Балансы международных расчетов
Введение
Органы государственной власти, определяющие экономическую, финансовую и денежно-кредитную испытывают постоянную необходимость в информации о взаимоотношениях государства как субъекта международных экономических отношений с экономическими агентами внешнего мира. Такого рода информация также необходима самим экономическим агентам для принятия решений относительно будущих действий на финансовых, валютных и денежных рынках, в области инвестиционной и ценовой политики. Традиционно важное значение имеет информация о состоянии внешнеэкономической деятельности страны и для экономистов-исследователей, занимающихся анализом и прогнозом экономической ситуации в стране, а также исследованием места страны в системе мировых хозяйственных связей.
Основные потребности в подобной информации удовлетворяют балансы международных расчетов, а чаще основная их часть платежный баланс государства, который отражает товарные и финансовые потоки между данной страной и всем остальным миром. Подготовка многих политических и экономических решений нуждается в такого рода данных. Можно отметить три случая, когда информация, содержащаяся в платежном балансе, особенно необходима1):
1) С помощью анализа результатов обмена между странами легче судить о стабильности системы плавающих валютных курсов: платежный баланс помогает выявить масштабы аккумулирования иностранных валют у тех экономических агентов, которые больше заинтересованы в их владении, и тех, кто более склонен избавиться от этих валют.
2) В условиях фиксированных валютных курсов2) платежный баланс помогает определить объем притока иностранной валюты в страну, степень давления на курс национальной валюты, а также позволяет решить вопрос о целесообразности поддержки фиксированного курса валюты, если ей угрожает кризис.
3) Счета платежного баланса в части расчетного баланса предоставляют информацию о накоплении внешней задолженности, выплате процентов и платежей по основной сумме долга и возможностях страны аккумулировать валюту для будущих платежей. Эта информация необходима для оценки того, насколько стране-должнику стало обходиться дешевле или дороже погашать долги иностранным кредиторам.
Вместе с тем, для того, чтобы на основе платежного баланса можно было делать правильные выводы о состоянии внешнеэкономических связей государства, необходим анализ механизмов влияния тех или иных экономических явлений на счета баланса, так как сами по себе они не могут дать нам позитивных или негативных оценок тех или иных явлений.
В связи с ростом интенсивности мировых хозяйственных связей особую актуальность в последние несколько десятилетий приобрел анализ состояния платежного баланса государства как составной части исследований экономического состояния страны и её дальнейших перспектив развития. Особенно важное значение имеет анализ платежного баланса при оценке экономической ситуации в Российской Федерации: во-первых, либерализация внешнеэкономических связей и валютного курса создала предпосылки для изменения объема и структуры международных финансовых потоков России, а во-вторых, особого подхода заслуживает вклад экспортных и импортных операций в динамику ВВП России, а также анализ соответствия действительности финансовых потоков, фиксируемых в платежном балансе РФ.
Учитывая вышесказанное, представленная работа построена следующим образом: начиная с общей характеристики платежного баланса как экономической категории и его сущности, основных принципов составления и факторов, оказывающих влияние на изменения показателей балансов международных расчетов, будет сделан переход к изложению основных подходов к анализу состояния платежного баланса и взаимосвязи его показателей с состоянием экономики страны. Затем, основываясь на этой теоретической базе, будет сделана попытка анализа динамики сальдо по основным счетам платежного баланса Российской Федерации за период, по которому имеется соответствующая статистическая информация.
Глава 1. Платежный баланс как экономическая категория и инструмент экономического анализа §1. Сущность платежного баланса и основные принципы его составления
Платежный баланс страны представляет собой статистическую систему, в которой отражаются все экономические операции между резидентами данной страны и резидентами других стран (нерезидентами), которые имели место в течение определенного периода времени. В настоящее время платежные балансы в большинстве стран мира составляются в соответствии с рекомендациями, разработанными специалистами Международного валютного фонда, которые выпускаются в виде издания "Balance of Payments Manual" или "Рекомендации по составлению платежного баланса". Всего за время существования МВФ было выпущено пять редакций "Рекомендаций...", последняя из которых датирована 1993 годом.
Экономические операции, совершающиеся между резидентами и нерезидентами, охватывают сделки, объектом которых являются товары, услуги и доход, требования и обязательства по отношению к остальному миру, а также трансферты (которые с учетной точки зрения можно классифицировать как односторонние операции по счетам). Сама по себе экономическая сделка определена МВФ как экономический поток, отражающий создание, трансформацию, обмен, передачу некоторой стоимости и сопровождающий изменение собственности на товары и/или финансовые активы, оказание услуг, а также предоставление труда или капитала за плату.3)
Кроме платежного баланса, основанного на отражении финансовых потоков (flow-oriented), в системе балансов международных расчетов используется расчетный баланс, или позиция страны по международным инвестициям, составляемый по состоянию на определенную дату как правило, конец года (stock-oriented). Международная инвестиционная позиция показывает объем и структуру иностранных активов резидентов, то есть требований резидентов к нерезидентам, а также объем и структуру иностранных обязательств резидентов. Иногда, путем сопоставления активов и обязательств, возможно получить чистую международную инвестиционную позицию страны, которая эквивалентна доле национального богатства, предоставленного или взятого взаймы у внешнего мира (нерезидентов). Изменения в инвестиционной позиции по сравнению с предыдущим периодом могут быть вызваны экономическими операциями с активами и обязательствами, переоценкой активов и обязательств в результате изменения обменных курсов, цен и т.д., а также в результате иных действий (например, безвозмездных передач финансовых ресурсов).
В отличие от инвестиционной позиции, платежный баланс отражает изменения, произошедшие только в результате экономических операций.
Основной принцип, лежащий в основе построения платежного баланса принцип двойной записи, т.е. любая экономическая сделка находит двойное отражение в балансе путем записи по кредиту одной статьи и по дебету другой. Это правило имеет очень простую экономическую интерпретацию: большинство экономических операций заключается в обмене экономическими ценностями. Из этого следует, что сумма всех кредитовых проводок должна совпадать с суммой дебетовых, а общее сальдо равняться нулю, однако на практике баланс никогда не достигается. Это происходит потому, что данные, характеризующие разные стороны одних и тех же операций, берутся из разных источников.
Например, данные об экспорте товаров содержатся в таможенной статистике, в то время как данные о поступлениях иностранной валюты на счета предприятий за поставки по экспорту обычно берутся из банковской статистики. Расхождение между суммами кредитовых и дебетовых проводок называется "чистыми ошибками и пропусками". При этом, даже если показатель "чистых ошибок и пропусков" составляет относительно небольшую величину, это не означает, что сумма абсолютных величин ошибок и пропусков мала, так как противоположные по знаку ошибки и пропуски могут погашать друг друга.
С другой стороны, при наличии заметных устойчивых отрицательных или положительных значений указанного показателя в течение достаточно долгого периода времени, по величине статьи “чистые ошибки и пропуски” можно судить о систематической недо- или переоценке того или иного показателя платежного баланса.
В том случае, если происходит безвозмездное предоставление экономических ценностей (товаров, услуг или финансовых активов), для того, чтобы отразить эту операцию дважды, в системе платежного баланса вводится особая статья, которая называется "трансферты".
Согласно принципам составления платежного баланса, записи по кредиту производятся в случаях, касающиеся:
- Движения реальных (товарных) потоков, сопровождающих экспорт.
- Движения финансовых потоков, отражающее уменьшение зарубежных активов страны либо увеличение зарубежных обязательств.
С другой стороны, запись, произведенная по дебету, отражает:
- Движение реальных потоков, сопровождающих импорт.
- Изменение финансовых потоков, отражающее увеличение активов и уменьшение обязательств.
Другими словами, для активов (реальных либо финансовых) положительная запись (кредит) означает отток стоимостей, за которым должен последовать компенсирующий приток стоимостей (платежи) в данную страну, а отрицательная запись (по дебету) приток стоимостей, за который резиденты должны платить. В систематизированном виде правила отражения операций в платежном балансе по дебету и по кредиту приведены в таблице 1.
Активное сальдо по счету
Активное сальдо по счету отражает, как говорилось выше, факт превышения внутренних сбережений над внутренними инвестициями. В условиях России это означает, что часть внутренних сбережений, которая не шла на наращивание капитала внутри страны, инвестировалась в иностранные активы. В силу этого, сальдо финансового счета (счета операций с капиталом и финансовыми инструментами) оставалось отрицательным.
Говоря о тенденциях изменения сальдо по счету операций с капиталом, следует отметить, что особенностью 1996 года явилось значительное увеличение (почти в 4 раза) притока иностранных инвестиций в страну во всех формах: прямые инвестиции (2,5 млрд. долл. против 2 млрд. долл. в 1995 году), портфельные инвестиции (7,4 млрд. долл. против 90 млн. долл. в 1995 году) и иностранные кредиты (25,3 млрд. долл. против 6,5 млрд. долл. в 1995 году). Решающую роль сыграл пророст инвестиций нерезидентов в российские государственные ценные бумаги. В феврале 1996 г. Банком России был введен в действие новый официальный механизм инвестирования, снявший ряд ограничений на операции нерезидентов с ГКО-ОФЗ.
В силу этого в течение года происходила постепенная либерализация рынка данных финансовых инструментов для иностранных участников и как результат рост объема средств, инвестированных ими на рынке государственных ценных бумаг, который особенно проявился к концу года, когда был снят ряд политических вопросов (в частности о здоровье Президента), а также когда России был присвоен достаточно высокий кредитный рейтинг.
Вместе с тем, сальдо по статье "прочие инвестиции", к которым, согласно методологии платежного баланса, относятся операции с наличной валютой, текущими счетами, депозитами, торговыми кредитами и авансами, ссудами, займами, просроченной задолженности, сложилось отрицательное в размере -12,3 млрд. долл., что свидетельствует о чистом вывозе капитала в указанных формах.38) В противоположность предыдущему периоду, прирост наличной иностранной валюты составил 8,6 млрд. долл. Такая динамика показателя обусловлена несколькими факторами: политической неопределенностью, связанной с президентскими выборами (неслучайно показатель прироста наличной СКВ и резидентов был максимальным во втором квартале 3,1 млрд. долл.), сближением доходности по рублевым депозитам и вложений в наличный доллар (номинальная девальвация рубля составила в 1996 году 19,8%, а ставки по вкладам Сбербанка были снижены с 70% до 34% годовых), а также нерешенность проблем взаимных неплатежей и теневой экономики, что стимулирует использование наличной иностранной валюты в нерегистрируемых каналах денежного обращения.
Далее, дефицит по статьям "торговые кредиты и авансы", "изменение задолженности по своевременно не поступившей экспортной выручке", больший, чем в предыдущем году и появление статьи "изменение задолженности по своевременно не погашенным импортным авансам" с зарегистрированным значительным отрицательным сальдо в -4,3 млрд. долл. прямо говорит о совершении значительной части внешнеторговых операций с рассрочкой платежа, а косвенно свидетельствует о возросших объемах нелегальной утечки капитала за границу в виде невозврата экспортной выручки и непоставок импортной продукции в счет аванса.
Сальдо по привлеченным кредитам было положительным в 1996 году и составило 10,8 млрд. долл. против 7,7 млрд. долл. в 1995 году. Основными кредиторами России в 1996 году выступали международными финансовыми организации, от которых было получено кредитов на сумму около 5 млрд. долл., в том числе кредитов МВФ на сумму 3,75 млрд. долл., куда вошел последний транш резервного кредита и суммы, поступившие в рамках программы расширенного кредитования. Следует также отметить, что вследствие удачно прошедших переговоров с Парижским клубом была проведена реструктуризация большей части официальной задолженности, что снизило нагрузку на экономику, связанную с текущим обслуживанием внешнего долга, и отразилось в большом объеме положительного сальдо по статье "перенесено сроков погашения по задолженности. привлеченной органами государственного управления" 8,44 млрд. долл.
Общее сальдо платежного баланса в 1996 году возросло в 2 раза по сравнению с предыдущим периодом и было профинансировано главным образом за счет перенесения сроков погашения официальной задолженности России (результат переговоров с Парижским клубом) и получения новых займов органами государственного управления. Такую величину баланса официальных расчетов, которая свидетельствует об увеличении оттока капитала из страны в результате экономических операций, можно объяснить ухудшением внутренней экономической конъюнктуры, вызванного двумя субъективными факторами: подготовкой к президентским выборам лета 1996 года и болезнью Президента РФ Б.Н.Ельцина осенью-зимой указанного года.
Следует отметить произошедшее в 1996 году чистое сокращение официальных резервных активов России на 2,8 млрд. долл. США39, причем наибольшее сокращение опять наблюдалось во втором квартале в преддверии президентских выборов. Снижение официальных резервов, а также общее сокращение чистых иностранных активов банковского сектора экономики на 3 млрд. долл. вызвано, как показывает анализ платежного баланса, операциями небанковского сектора экономики России.
Эти операции можно классифицировать как вывоз капитала, который, если судить по увеличению их чистых иностранных активов, составил в 1996 году 20,8 млрд. долл.
§2. Платежный баланс Российской Федерации в январе-сентябре 1997 года и прогноз его показателей на 1998 год
На момент написания настоящей работы полный отчет Банка России о платежном балансе страны за минувший год еще не был опубликован, вышли лишь оценочные и прогнозные данные по некоторым основным показателям осуществления внешнеэкономических операций резидентов Российской Федерации с нерезидентами. В силу этого, при анализе состояния платежного баланса в 1997 году я планирую в основном опираться на отчет ЦБ РФ "Платежный баланс России за январь-сентябрь 1997 года", опубликованном в Вестнике Банка России40).
Начиная рассмотрение платежного баланса в 1997 году, следует отметить, что в прошлом году впервые за годы экономических реформ наметились коренные изменения в тенденциях развития показателей внешнеэкономических связей страны. Так, если в течение первого полугодия платежный баланс оставался устойчивым главным образом благодаря сохраняющемуся активному сальдо внешней торговли и масштабному притоку иностранного капитала, то в третьем квартале обозначились первые признаки снижения так называемого "запаса прочности" платежного баланса: дефицит по счету текущих операций (4 млрд. долл. в первом квартале, 15 млн. долл. во втором и -1 млрд. долл. в третьем), сокращение притока иностранного капитала (чистые портфельные инвестиции сократились с 5,7 млрд. долл. в первом квартале до 1,8 млрд. долл. в третьем), уменьшение иностранных резервов (активное сальдо по счету "резервные активы" составило в третьем квартале 1997 года 1,6 млрд. долл.).
Положительное сальдо торгового баланса также снижалось в течение рассматриваемого периода, достигнув в третьем квартале минимальной, начиная со второй половины 1994 года величины в 3,1 млрд. долл. При этом, сокращение сальдо произошло главным образом не за счет уменьшения объемов экспорта, а вследствие роста импорта. Такое возрастание объема импортируемых товаров объясняется, на мой взгляд, двумя причинами: во-первых, опережением роста валового внутреннего продукта ростом денежных доходов населения, а во-вторых, сокращением нерегистрируемого ГТК импорта результат мер по укреплению налоговой и платежной дисциплины.
В подтверждение первой причины роста импорта можно привести следующие цифры: если рост реальных денежных доходов населения составил в январе-сентябре 1997 года 3,8% к соответствующему периоду прошлого года, то рост ВВП составил лишь 0,2%. Так как доля денежных доходов, направляемых на покупку товаров и услуг практически не изменилась по сравнению с 1996 годов (68,9%), то вполне очевидно, что прирост доходов напрямую повлиял на увеличение импорта.
На динамику сальдо по счету текущих операций также оказал воздействие рост отрицательного сальдо по доходам от инвестиций, величину которого определяло снижение сумм поступающих доходов на фоне резко возросших (почти на 40%) платежей страны. Такое увеличение было связано преимущественно с начислением процентов по государственным ценным бумагам, находящимся в собственности нерезидентов, что в очередной раз сигнализирует о резком росте долговой нагрузки на государственный бюджет.
Говоря о сальдо по счету операций с капиталом и финансовыми инструментами, следует отметить, что впервые, начиная с конца 1995 года, сальдо по этому счету сложилось в третьем квартале с положительным знаком, причем в аналитическом представлении (за исключением операций с резервными активами) по итогам трех кварталов сальдо составило 12,2 млрд. долл. (за аналогичный период 1996 года оно было отрицательным -4,2 млрд. долл.). Положительное сальдо по финансовому счету означает, что такую величину зарегистрированный приток иностранного капитала в Россию превысил инвестиции резидентов в иностранные активы. Также следует отметить, что интенсивность потоков капитала возросла, отражая процесс интеграции России в систему международных финансовых отношений.
Приток иностранных инвестиций возрос в 2,4 раза, вывоз капитала почти на одну треть, причем основной формой увеличения как иностранных требований, так и обязательств резидентов выступили прочие инвестиции сектора нефинансовых предприятий.
Критика меркантилизма
Последовавшая позже критика меркантилизма ставила под сомнение последнее утверждение о последствиях роста денежной массы, приводя тот аргумент, что во времена господства экономической школы меркантилизма основной проблемой была недостаточность основных средств по отношению к количеству рабочей силы низкий технологический и организационный уровень производства, а также практическое отсутствие сбережений. Эти факторы должны были оказывать решающее влияние на то, что результатом увеличения денежной массы в то время мог с большей вероятностью быть рост цен, нежели увеличение экономической активности.
Таким образом, критика меркантилизма привела к появлению новых учений о роли сальдо внешней торговли в экономическом развитии государства. Если эра меркантилистов была пронизана ощущением главенствующей роли государства в экономических отношениях, то пришедшая ей на смену идеология свободной конкуренции (laissez-faire) придавала значение прежде всего действиям на рынке отдельных экономических агентов. Результатом появления нового течения в экономической мысли, основоположником которого заслуженно считается выдающийся британский экономист Адам Смит, является появление теории механизма потоков наличности17) (specie-flow mechanism).
Впервые указанную теорию сформулировал известный экономист, стоящий у истоков количественной теории денег, Д.Юм в своей работе “О торговом балансе” в 1752 году. Согласно его утверждениям, теория механизма потоков наличности основывается на следующих предпосылках18):
- Все расчеты по внешнеторговым операциям совершаются путем наличных платежей.
- Существует прямая связь между объемом денежной массы и уровнем цен.
- Экспортные и импортные цены зависят, среди прочего, от относительных цен на мировых рынках.
Основываясь на изложенных постулатах, Юм разрабатывает идею автоматического механизма выравнивания платежного баланса: отсутствие сбалансированного торгового баланса (например, положительное сальдо внешней торговли) приводит к изменению объема денежной массы (за счет притока наличных денег), а следовательно, и изменению относительных цен (происходит абсолютное повышение внутренних/экспортных цен и относительное снижение внешних/импортных цен), что автоматически приводит к выравниванию возникшего сальдо. В качестве иллюстративного примера19 Юм предполагает, что какое-либо государство в один момент теряет 80% своей денежной массы. За счет снижения внутренних цен возникает положительное сальдо внешней торговли, что ведет к постепенному возрастанию объема денежной массы в стране. Между тем, основной вопрос заключается в том, до какого предела будет происходить увеличение денежной массы, то есть будет сохраняться положительное сальдо внешней торговли. Ученый предполагает, что существует некий естественный уровень денежной массы, после достижения которого ее увеличение прекращается, так называемая “степень индустриализации”, которая определяется максимальной продуктивностью рабочей силы, способной поддерживать данный уровень денежной массы.
Далее, если для каждой страны существует такой уровень, то для всех стран, участвующих в мировой торговле, должно существовать естественное распределение денежных потоков своего рода равновесное состояние, определяемое “степенью индустриализации” стран.
Такая концепция сильно отличалась от концепции меркантилистов, которые утверждали, что страна нуждается в промышленности, особенно экспортноориентированной, только в том случае, если она не располагает естественным источником драгоценных металлов, которые и определяют состояние торгового баланса страны. Согласно же выводам Юма, лидирующую роль в коррекции сальдо торгового баланса играли изменения уровня цен, а несколько меньшее значение придавалось изменению обменных курсов валют. Такой подход стал достижением теории международных валютных и кредитных отношений, которое занимало центральное место в этой науке, по крайней мере, до первой четверти XX века.
Естественно, за такой длительный период времени теория платежного баланса Д.Юма была сильно усовершенствована. Свой вклад в её развитие внесли такие ученые, как Д.Рикардо, который совместил закон сравнительных преимуществ и теорию естественного распределения денежных потоков, и Джон Стюарт Милль, который, основываясь на постулатах Юма, сделал два важных дополнения: во-первых, он показал, что приток наличности (иностранной валюты) ведет к снижению внутренних процентных ставок, за которым следует отток капиталов из страны и коррекция обменного курса национальной валюты таким образом, Милль впервые ввел в анализ понятия валютного рынка и счета операций с капиталом. Во-вторых, Дж.Ст.Милль был одним из первых, кто предложил ставку рефинансирования как инструмент защиты золотовалютных резервов государства и обменного курса национальной валюты.
Как уже упоминалось, вся экономическая теория платежного баланса первой четверти XX века основывалась на постулатах Юма с различными модификациями, введенными для анализа эффекта процентной ставки или международного перемещения капиталов на сальдо платежного баланса. Теорию Юма почти не затронула так называемая революция маржинализма, результатом которой, вместо усовершенствования прежних взглядов, стала совершенно новый подход к теории платежного баланса, известный под названием “подход с точки зрения эластичности” (elasticities approach).
Такой подход к анализу платежного баланса возник в 1930х годах как попытка выработать новую теорию платежного баланса в условиях плавающих валютных курсов. Подход с точки зрения эластичности и его более поздние модификации был призван дать ответ на три главных вопроса: во-первых, при каких условиях девальвация национальной валюты приведет к улучшению счета текущих операций; во-вторых, какой эффект окажет девальвация национальной валюты на уровень внутренней экономической активности и сальдо счета текущих операций, а в-третьих, какой эффект окажет девальвация национальной валюты на условия торговли этой страны.
Этот подход к анализу сальдо платежного баланса в краткосрочной перспективе сохранился в той или иной форме и до наших дней. При этом подход основывается на ряде допущений, основное из которых состоит в том, что анализ проводится в условиях частичного равновесия, то есть принимаются во внимание только колебания валютных курсов, а спрос и предложение на экспортные и импортные товары остается постоянным, хотя на практике это не так. Сущность этой теории можно выразить одной формулой.
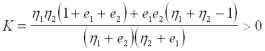
Представим себе мир из двух стран, производящих всего два товара. Пусть эластичности предложения на экспортные и импортные товары одной страны составляют соответственно е1,е2 и 1,2. При помощи математических выкладок можно показать, что девальвация национальной валюты одной страны положительно повлияет на ее торговый баланс при условии, что

При этом К часто называют эластичностью платежного баланса. Некоторая степень приближения показывает, что условие положительного влияния девальвации на сальдо платежного баланса можно записать как
(1 + 2) 1, (2)
что часто называют в литературе условием Маршалла-Лернера (условие, что положительный эффект девальвации национальной валюты на сальдо счета текущих операций будет достигнуто, если сумма эластичностей спроса на экспортные и импортные товары по цене больше единицы). Равенство же (2) именуют равенством Робинсона-Метцлера или “формулой четырех эластичностей”. Необходимо отметить, что введение в анализ эластичностей спроса и предложения на деле означает зависимость сальдо внешней торговли только от изменения относительных цен товаров, вызванных колебаниями валютных курсов20).
Таким образом, в период между Первой и Второй Мировыми войнами анализ платежного баланса основывался на двух инструментах модифицированная теория механизма потока наличности в качестве объяснения долгосрочного автоматического выравнивания сальдо платежного баланса и подход с точки зрения эластичностей, возникший на основе краткосрочного микроэкономического анализа. Переход же к анализу сальдо платежного баланса на основе идей Кейнса происходил ступенчато, а авторство чисто кейнсианской концепции сальдо платежного баланса нельзя приписать какому-либо конкретному исследователю.
§2. Идеи Дж.М.Кейнса и анализ платежного баланса
Введение как в анализ сальдо платежного баланса, так и в экономическую науку в целом, идей Кейнса началось с публикации его фундаментальной работы “Общая теория занятости, процента и денег” (1936). Но даже до этого момента обнаружилось противоречие между существовавшими подходами к анализу сальдо внешней торговли и результатами эмпирических исследований. Во-первых, на примере нескольких стран в условиях как плавающих, так и фиксированных валютных курсов, было показано, что в долгосрочной перспективе объяснение изменения сальдо внешней торговли с помощью механизма потока наличности полностью подтверждается статистическими данными.
С другой стороны, измеренные значения эластичности спроса в странах нетто-экспортерах оказались чрезвычайно низкими. Таким образом, сложилось мнение о переоценке роли изменения относительных цен в классическом анализе платежного баланса.
Литература
Платежный баланс России за первый квартал 1997 года// Вестник Банка России, №52, 12 августа 1997 года.
Платежный баланс России за январь-сентябрь 1997 года// Вестник Банка России №19, 25 марта 1998 года.
“Balance of Payments Manual” , International Monetary Fund, Washington, 1993
Krugman P.R., Obstfield M. “International Economics. Theory and Policy”, HarperCollins Publishers Inc, 1991
Romer D. “Advanced Macroeconomics”, McGraw-Hill, London, 1996
Stern, R.M. "The Balance of Payments: Theory and Economic Policy".-London, 1973
Taylor M. "The Balance of Payments: New Perspective on Open-Economy Macroeconomics", Gower House, UK, 1990
"The Monetary Approach to the Balance of Payments"/ A collection of research papers of the Staff of the IMF.- Washington, 1977
Thirlwall, A.P. "Balance of Payments Theory and the United Kingdom Experience", The MacMillan Press Ltd., London, 1986
Boon P., Sinegubko B., Chubarova V. "Financal Resilience Underestimated: Fiscal and Balance of Payments Outlook for 1998". - London, Brunswick Warburg, March 26, 1998.
"Direction of Trade Statistics", International Monetary Fund, Washington, 1993-1997.
“International Financial Statistics Yearbook”, International Monetary Fund, 1996
1 См.: Линдерт П.Х. “Экономика мирохозяйственных связей”, “Прогресс” Универс, М., 1992.
2 Здесь и далее под режимом фиксированных валютных курсов мы будем иметь в виду не только фиксацию курса национальной валюты на определенном уровне, но и установление лимитов колебаний валютного курса аналог режима так называемого "валютного коридора". Строго говоря, в мире практически не существует системы свободно плавающих валютных курсов в чистом виде, так как валютные интервенции центральных банков для удержания курса национальной валюты в определенных рамках стали неотъемлемой частью современного валютного рынка.
3 “Balance of Payments Manual”, IMF, 1993, p.6
4 Методологический комментарий к платежному балансу// "Вестник Банка России" №29(192) 20 мая 1997 года
5 “Balance of Payments Manual”, IMF, 1993, p.20
6 “Balance of Payments Manual”, IMF, 1993, p.20
7 “Balance of Payments Manual”, IMF, 1993, p.20, paragraph 58
8 “Balance of Payments Manual”, IMF, 1993, p.26, paragraph 92
9 “Balance of Payments Manual”, IMF, 1993, p.8
10 “Balance of Payments Manual”, IMF, 1993, p.37
11 См.: “Словарь современной экономической теории Макмиллана”, п/р Д.У.Пирса, М., Инфра-М, 1997, стр.156
12 См.: Stern, R.M. "The Balance of Payments: Theory and Economic Policy".-London, 1973. p.34
13 Для простоты положим, что в экспорт и импорт товаров и услуг включается получение дохода и текущие трансферты
14 Пер. с англ. total currency flow
15 См.: Taylor M. "The Balance of Payments: New Perspective on Open-Economy Macroeconomics", Gower House, UK, 1990, p. 10
16 См.: Thirlwall, A.P. "Balance of Payments Theory and the United Kingdom Experience", The MacMillan Press Ltd., London, 1986 p.18
17 В буквальном переводе “механизм потока монет”
18 См.: Taylor M. "The Balance of Payments: New Perspective on Open-Economy Macroeconomics", p. 18
19 См.:Taylor M."The Balance of Payments: New Perspective on Open-Economy Macroeconomics", p.15
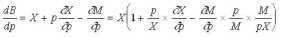
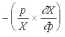
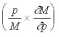
20 Пусть сальдо по счету текущих операций (B) равно B=pX-M, где р косвенная котировка курса национальной валюты, Х экспорт, выраженный в национальной валюте, М импорт, выраженный в иностранной валюте. Девальвация улучшит счет текущих операций, если dB/dp 0, т.е. уменьшение курса национальной валюты должно вызывать увеличение сальдо баланса текущих операций. Дифференцируя все выражение текущего баланса, получаем:

Пусть


эластичность спроса на импортные товары (1). Если импорт падает вместе с падением валютного курса, то 1 0. Так как счет текущих операций находится в равновесии, если М=рХ, то

т.е. чтобы сальдо по счету текущих операций возрастало (dB/dp0), должно выполняться условие (1 + 2) 1.
21 Составлено по Taylor M. "The Balance of Payments: New Perspective on Open-Economy Macroeconomics"
22 Описание подхода см. Thirlwall, A.P. "Balance of Payments Theory and the United Kingdom Experience", The MacMillan Press Ltd., London, 1986
23 Еще раз напомню, что если национальный доход (Y) равен Y=C+I+X-M, где С - расходы на потребление, I инвестиции, Х экспорт, М импорт, то если совокупные внутренние расходы обозначить через А, то сальдо по счету текущих операций (В) будет равно В=Х-М=Y-А. С другой стороны, если Y-C равно сбережениям (S), то сальдо по счету текущих операций может быть также выражено как В=Х-М=S-I.
24 Коэффициент называют склонностью к совокупному внутреннему потреблению.
25 Условиями торговли в теории международной торговли называют отношение индекса экспортных цен рассматриваемой страны к индексу ее импортных цен.
26 Эффект реальных кассовых остатков заключается в том, что экономические субъекты предпочитают хранить постоянную часть своего дохода в виде кассовых остатков. В случае если реальная стоимость кассовых остатков уменьшается из-за инфляции, то субъекты увеличивают номинальный уровень кассовых остатков, что при сохранении прежнего уровня доходов означает снижение совокупных расходов.
27 См.: "The Monetary Approach to the Balance of Payments"/ A collection of research papers of the Staff of the IMF.- Washington, 1977
28 Один из основоположников монетаризма М.Фридмен предложил подходить к спросу на деньги так же, как и на любой другой товар. По определению спрос на деньги это сумма денег, которую экономические субъекты предпочитают иметь в виде кассовых остатков на определенный момент времени. Основа спроса на деньги как экономической категории состоит в том, что экономические агенты, располагая определенным богатством, предпочитают хранить в денежной форме только его долю, распределяя остаток между иными формами активов. Цель хранения некоторой доли ресурсов в денежной форме состоит в том, чтобы обслуживать операции на рынках товаров и услуг.
Чтобы понять, какие факторы количественно определяют спрос на деньги, надо отметить, что, во-первых, хранение ресурсов в денежной форме не приносит дохода, во-вторых, объем кассовых остатков зависит от располагаемого дохода, а в-третьих, так как за деньги покупается реальная стоимость товаров и услуг, то и спрос на деньги также должен измеряться в реальном выражении (т.е. с учетом инфляции). Следовательно, совокупный реальный спрос на деньги (М) зависит от альтернативной стоимости хранения денег процента (r), национального дохода (Y) и индекса цен (p):

29 Описание подхода см.: Stern, R.M. "The Balance of Payments: Theory and Economic Policy".-London, 1973.
30 См.: Кругман П., Обстфельд М. "Международная экономика: теория и политика",-М.,-1997
31 См.: Дорнбуш Р., Фишер С. “Макроэкономика”, ИНФРА-М, М., 1997 с.143
32 См.: Платежный баланс России за 1993 год с комментарием// Вестник Банка России, №6, 19 апреля 1994 года.
33 См.: Платежный баланс России за 1994 год// Вестник Банка России, №15, 21 апреля 1995 года.
34 См.: Платежный баланс России за 1995 год// Вестник Банка России, №23, 28 мая 1996 года.
35 См.: Платежный баланс России за 1995 год// Вестник Банка России, №23, 28 мая 1996 года, с.6
36 См.: Платежный баланс России за 1995 год// Вестник Банка России, №23, 28 мая 1996 года, с.10
37 См.: Платежный баланс России за 1996 год// Вестник Банка России, №29, 20 мая 1997 года.
38 См.: Платежный баланс России за 1996 год//Вестник Банка России,№29,20 мая 1997 года, с. 12
39 См.: Платежный баланс России за 1996 год// Вестник Банка России,№29,20 мая 1997 года, с.21
40 См.: Платежный баланс России за январь-сентябрь 1997 года// Вестник Банка России №19, 25 марта 1998 года.
41 См. Boon P., Sinegubko B., Chubarova V. "Financal Resilience Underestimated: Fiscal and Balance of Payments Outlook for 1998". - London, Brunswick Warburg, March 26, 1998.
42 См. Boon P., Sinegubko B., Chubarova V. "Financal Resilience Underestimated: Fiscal and Balance of Payments Outlook for 1998", p. 4.
43 См. "О статистике внешней торговли и оценке тенденций в динамике платежного баланса Российской Федерации": информационно-аналитический бюллетень, №5, апрель 1997 г., стр. 2
44 См.: "О статистике внешней торговли и оценке тенденций в динамике платежного баланса Российской Федерации": информационно-аналитический бюллетень, №5, апрель 1997 г., стр. 5
45 См.: "О статистике внешней торговли и оценке тенденций в динамике платежного баланса Российской Федерации": информационно-аналитический бюллетень, №5, апрель 1997 г., стр. 7
46 См.: Баранов Г., Рушайло П., "Как преодолеть экономический подъем"// Коммерсантъ-Власть.-1998.-№8(260).-с.23-27.
47 См.: Алексашенко С. "Девальвация рубля: минусы очевидны, а плюсы под большим вопросом"// Эксперт.-1998.-№17.-с.8
48 См.: Платежный баланс России за 1996 год// Вестник Банка России, №29, 20 мая 1997 года
49 См.: "О статистике внешней торговли и оценке тенденций в динамике платежного баланса Российской Федерации": информационно-аналитический бюллетень, №5, апрель 1997 г., стр. 7-10
Национальный доход в системе национальных счетов
Национальный доход в системе национальных счетов определяется как:
Y = C + I + (X - M) , где (1)
Y национальный доход;
C совокупное потребление;
I совокупные инвестиции;
Х экспорт товаров и услуг;
М импорт товаров и услуг13);
(X - M) сальдо по счету текущих операций.
В закрытой экономике, автаркии, совокупные расходы (C+I) не могут превышать национальный доход (Y). В экономике, вовлеченной в мирохозяйственные связи, превышение совокупных расходов над национальным доходом возможно только в случае дефицита счета текущих операций (MX). Превышение импорта над экспортом может быть истолковано как то, что страна живет не по средствам. То же самое можно показать с помощью перегруппировки равенства (1):
S - I = X - M, где (2)
S (=Y - C) совокупные сбережения.
В закрытой экономической системе сбережения должны равняться инвестициям, в открытой же экономике эти два показателя могут различаться в зависимости от состояния счета текущих операций. Превышение импорта над экспортом (MX) подразумевает, что инвестиции превышают сбережения на сумму дефицита, что не может иметь место без притока долгосрочного иностранного капитала для финансирования этого дефицита.
Тем не менее, существует опасность сохранения дефицита счета текущих операций за счет притока долгосрочного капитала по следующим причинам. Вопервых, в случае высокой ликвидности инструментов, обслуживающих этот приток капитала, экономика страны находится в сильной зависимости от состояния мировых финансовых и денежных рынков, которые подвержены сильным спекулятивным колебаниям цен. Во-вторых, если финансирование дефицита счета текущих операций финансируется за счет кредитов МВФ, то свобода действий правительства страны в области экономической политики может быть также существенно ограничена путем выполнения предписаний Фонда, обуславливающих получение кредита.
Общий платежный баланс (баланс официальных расчетов). Тот факт, что дефицит по счету текущих операций финансируется путем привлечения долгосрочного иностранного капитала привел к возникновению понятия общего сальдо платежного баланса как критерия равновесия. Эта концепция использовалась в США до 1955 года, а в Великобритании до сентября 1970 г. Так же, как и сальдо по счету текущих операций, общее сальдо служит измерителем тенденций развития платежного баланса по отношению к динамике развития реальной экономики (не учитывая движение краткосрочного капитала). В случае использования этой концепции сальдо можно записать как (Х-М+LTC), где LTC сальдо по счетам движения краткосрочного капитала. Тем не менее, такое определение сальдо платежного баланса подразумевает, что все операции, связанные с движением капитала на краткосрочной основе, являются операциями "под чертой", то есть финансирующими дефицит платежного баланса.
С развитием рынков краткосрочных ссудных контрактов, в 1970х годах, эта точка зрения изменилась и стало принятым считать, что только операции с официальными резервами являются финансирующими операциями, что привело к следующему понятию сальдо платежного баланса.
Баланс совокупного потока иностранной валюты14) (баланс официальных расчетов). Сальдо платежного баланса в такой интерпретации может быть выражено как (X - M) + LTC + STCp, где STCp сальдо по счетам движения краткосрочного частного капитала. Такая концепция сальдо платежного баланса предусматривает, что финансирующими операциями являются операции с резервными активами и так называемые операции исключительного финансирования, то есть накопление/погашение просроченной задолженности и прочие операции с ней, операции по реструктуризации существующего государственного долга, займы официальных органов, предоставленные для финансирования дефицита платежного баланса, некоторые капитальные трансферты, такие, как прощение долгов, а также ряд других операций государственных органов.
В случае, если операциями по финансированию дефицита платежного баланса считать только операции с официальными резервами, то сальдо платежного баланса дает представление о финансовом давлении на монетарные власти с целью поддержания курса национальной валюты, если действует режим фиксированных валютных курсов. В случае действия режима плавающих валютных курсов, такой баланс всегда будет находится в равновесии так как дефицит всегда может быть профинансирован с помощью девальвации национальной валюты. Но, хотя, как уже отмечалось, в мире в настоящее время преобладает политика удержания курса национальной валюты в определенных границах, анализ баланса совокупного потока иностранной валюты все еще имеет некоторое значение.
Финансовые отношения страны с остальным миром могут быть также продемонстрированы расчетом позиции по международным инвестициям, которую можно характеризовать как “баланс внешней задолженности”. Он представляет собой активы и пассивы нерезидентов на некоторый момент времени и дает значения по статьям движения капиталов и резервов, делая возможным сопоставление платежных позиций страны, как банка.
Таким образом, в настоящей главе были изложены основные сведения, необходимые для анализа платежного баланса: его сущность, основные принципы составления, структуру платежного баланса и подходы к определению сальдо платежного баланса. Завершив рассмотрение центральных понятий системы платежного баланса, я перехожу к ее значению для функционирования экономики страны.
Глава 2. Платежный баланс и национальная экономика
§1. Экономические взгляды на платежный баланс до 1930х годов
Для исследователя показателей платежного баланса необходимо представлять себе весь спектр взглядов и подходов к его анализу, в том числе уже вошедших в историю экономической мысли. Ставя перед собой цель описания эволюции экономических взглядов на систему записей о результатах внешнеэкономической деятельности страны, следует прежде всего определить ту отрасль экономической науки, в чью компетенцию входит изучение платежного баланса.
Очевидно, что вопросами платежного баланса занимается международная экономика, которая представляет собой дисциплину, изучающую взаимоотношения между отдельными экономическими системами, которые в современном мире ассоциируются со странами или государствами. Экономика мирохозяйственных связей в широком смысле может быть разделена на две подотрасли, первая из которых теория международной торговли может рассматриваться как ответвление от теории стоимости, так как она изучает рациональное распределение ресурсов и доходов от торговых операций. Второй подотраслью экономики мирохозяйственных связей как науки является экономика международных денежных потоков (international monetary economics), задачей которой является анализ целей экономической политики на макроуровне при существующих внешних ограничениях на используемые финансовые ресурсы.
Теория платежного баланса занимает свое место именно в этой, последней из приведенных подотраслей теории международных экономических отношений.
В период до 1930х годов было принято считать, что все вопросы теории международных валютных и кредитных отношений проработаны до мельчайших подробностей. Общая теория платежного баланса была разработана в XVIIIXIX вв. преимущественно британскими учеными и к данному периоду, на первый взгляд, уже не нуждалась в дальнейших пересмотрах. Но даже общие вопросы анализа основывались на более ранних исследованиях экономистов, принадлежащих к школе меркантилистов.
Термин “меркантилисты” был впервые применен Адамом Смитом в 1776 году к разнородной группе исследователей, публиковавшей свои работы в период с конца XV до начала XVIII века. Основные взгляды представителей этой научной школы широко известны: понятие золота и серебра как основных элементов национального богатства, поощрение экспорта, особенно создающего новые рабочие места, понятие мировой торговли как процесса с совокупным нулевым результатом (zero-sum game), то есть если кто-то выигрывает, то кто-то обязательно должен проиграть отсюда конкуренция на мировых рынках и взаимный антагонизм стран-участниц мировой торговли. Но стержневым элементом всей системы экономических взглядов школы меркантилистов является так называемая “доктрина платежного баланса” идея, заключающаяся в том, что положительное сальдо торгового баланса это мера национального благосостояния, а основной целью экономической политики государства должно быть стремление к поддержанию этого положительного сальдо15).
Споры о результатах, к которым может привести положительное сальдо внешней торговли, велись уже в период развития школы меркантилистов. Дело в том, что в случае, если финансовые ресурсы, полученные в результате устойчивого положительного сальдо не находят должного направления использования, то единственным результатом может быть увеличение денежной массы в стране. В работах В.Петти (1662) и Д.Ло (1705)16) прослеживается две основных точки зрения на эту проблему, первая из которых заключается в том, что увеличение денежной массы приведет к увеличению общей ликвидности в экономике через увеличение оборотного капитала, а в конечном счете, к увеличению деловой активности. Другая точка зрения на эффект положительного сальдо внешней торговли заключается в повышении доступности кредита, снижении процентных ставок и стимулировании таким образом деловой активности.
Другими словами, экономисты того времени связывали увеличение денежной массы не с ростом цен, а в первую очередь, с ростом реального национального дохода (или роста выпуска продукции).
Общий баланс или баланс официальных расчетов
Таким образом, в настоящее время большинство стран мира составляют свои платежные балансы в соответствии с методологией и принципами, разработанными Международным валютным фондом. Такой подход значительно облегчает сопоставление и анализ платежных балансов разных стран за разные промежутки времени, а также позволяет унифицировать процесс составления платежного баланса.
§2. Структура платежного баланса.
Разделение платежного баланса на конкретные счета, или компоненты, должно основываться на ряде принципов, среди которых следует особо выделить следующие10):
- каждая статья платежного баланса должна иметь свои особенности, то есть фактор или их совокупность, оказывающие влияние на объем одной статьи, должны отличаться от факторов, воздействующих на иные статьи;
- наличие той или иной статьи в платежном балансе должно иметь значение для группы стран, выраженное как в динамике изменения этой статьи, так и в абсолютной ее величине. Другими словами, если какой-нибудь показатель системы платежного баланса подвержен сильным колебаниям в течение определенного периода времени у группы стран либо он занимает большой удельный вес в платежных балансах группы стран, то он должен быть выделен в виде отдельной статьи;
- сбор информации для учета по статьям не должен представлять особых сложностей для составителей платежного баланса (тем не менее, этот принцип второстепенен по отношению к первым двум);
- структура платежного баланса должна быть такой, чтобы показатели платежного баланса сочетались с другими статистическими системами, например, системой национальных счетов; в то же время, количество статей не должно быть чрезмерно многочисленным, а сами статьи должны подлежать консолидации в компоненты более высокого уровня (для того, чтобы страны, не вышедшие на высокий уровень обработки статистической информации были способны представлять платежный баланс с меньшей детализацией).
МВФ в пятом издании "Руководства..." приводит детальный перечень стандартных компонентов платежного баланса, особо оговаривая то, что у большинства стран нет необходимости придерживаться этого перечня до мельчайших подробностей прежде всего в силу отсутствия информации по отдельным статьям.
Стандартные компоненты баланса можно разбить на две основные группы счетов: счет текущих операций, по которому учитываются экономические сделки, охватывающие товары, услуги, получение дохода и текущие трансферты, и счет операций с капиталом и финансовыми инструментами, учет по которому охватывает капитальные трансферты, продажу/приобретение непроизведенных нефинансовых активов, а также операции с финансовыми требованиями и обязательствами. Более детальная классификация счетов платежного баланса приведена в таблице 1 Приложения.
Приведенная структура в части счета текущих операций отражает исторически сложившиеся критерии отнесения экономических сделок к текущим операциям. Наиболее значительную долю в счете текущих операций обычно занимает счет "товары", в последнее время все большую роль начинает играть статья "услуги", также в счет текущих операций входят статьи "доход" и "текущие трансферты". Также примечательно выделение в составе второй части платежного баланса счета операций с капиталом и финансового счета (или счета операций с финансовыми инструментами), первый из которых охватывает операции, связанные с получением капитальных трансфертов и приобретение/продажу непроизведенных нефинансовых активов, а второй все операции, связанные с изменением владельца всех иностранных активов и обязательств экономики страны.
Такое разделение отражает, во-первых, растущую роль интеллектуальной собственности программных продуктов, технологий, ноу-хау и т.д. в мировой экономике, а во-вторых, развитие мирового рынка ссудного капитала.
§3. Подходы к определению сальдо платежного баланса
После рассмотрения принципов составления и структуры платежного баланса мне представляется необходимым перейти к изложению подходов к определению сальдо платежного баланса основного показателя, используемого для анализа как практиками, так и экономистами-теоретиками.
Проблема в данном случае заключается в том, что по сути платежный баланс является чисто учетным документом, основной целью составления которого служит получение наиболее точных сведений о состоявшихся внешних платежах страны. Этот принцип составления платежного баланса общая сумма кредита должна быть равна общей сумме дебета часто не удовлетворяет экономистов и политиков, и для разработки конкретных мер требуется сальдо по агрегированным группам операций внутри общего баланса. При этом ситуация аналогична анализу бухгалтерского баланса, когда аналитик строит баланс-нетто и исчисляет различные финансовые коэффициенты.
В связи с этим МВФ рекомендует странам составлять платежный баланс в двух вариантах: в соответствии со стандартными компонентами (нейтральное представление) и в аналитическом представлении. В нейтральном представлении операции классифицируются с точки зрения безусловных экономических критериев. В аналитическом представлении составители могут определенным образом перегруппировывать статьи для целей получения, например, общего сальдо платежного баланса, которое в нейтральном представлении всегда должно быть равно нулю.
Анализ сальдо платежного баланса важен также и при определении экономической политики, основной целью которой с теоретической точки зрения является достижение равновесного состояния, которое в современной экономической теории означает такую ситуацию, когда экономические агенты не имеют побудительных причин к изменению своего поведения11). В связи с этим возникает вопрос, какие компоненты платежного баланса должны находится в равновесии.
В экономической науке выделяют три основных аналитических группировки статей платежного баланса, результатом которых является соответствующее сальдо12:
- Торговый баланс
- Баланс текущих операций
- Общий баланс или баланс официальных расчетов
Говорят, что имеет место положительное сальдо, когда кредит превосходит дебет и наоборот отрицательное сальдо, или дефицит, когда дебет превосходит кредит.
Традиционно принято говорить о подведении черты, разграничивающей операции, результат которых составляет анализируемый показатель сальдо платежного баланса и операции по финансированию этого сальдо. Таким образом, сальдо платежного баланса является в определенной мере субъективным понятием и его определение зависит как от целей анализа, так и от роли, которую играет страна и ее национальная валюта в международных экономических отношениях.
Торговый баланс наиболее часто публикуемый представляет собой чистую стоимость экспорта только товаров (так называемого "видимого" экспорта) за вычетом их импорта. Изменение торгового баланса комментировать можно по-разному: считается, что превышение экспорта над импортом показывает, что усиливается мировой спрос на товары данной страны. Если весь мир покупает экспортные товары данного государства и покупатели на внутреннем рынке также предпочитают отечественные товары импортным, то экономика данной страны в хорошем состоянии.
И наоборот, дефицит показывает, что товары данной страны недостаточно конкурентоспособны, и ее жители должны что-то предпринять, чтобы защитить свой уровень жизни.
Но вместе с тем следует отметить, что такой анализ справедлив, если причиной изменения торгового баланса повышение или понижение спроса на товары данной страны. Однако на торговый баланс действуют и другие силы, о чем речь пойдет далее, но в качестве примера можно привести хороший инвестиционный климат, который может повлечь рост инвестиций в страну, а вместе с тем и рост закупок оборудования за рубежом, что может привести к дефициту торгового баланса, хотя на самом деле состояние экономики государства далеко не ухудшается.
Баланс по текущим операциям наиболее информативный баланс, отражающий все потоки активов, как частные, так и официальные, связанные с движением товаров и услуг. Положительное сальдо текущего платежного баланса означает, что кредит страны больше дебета по статьям движения товаров, услуг и даров и показывает объем обязательств нерезидентов по отношению к резидентам. Другими словами, положительное сальдо говорит о том, что страна является нетто-инвестором по отношению к другим государствам.
И наоборот, дефицит по текущим операциям означает, что страна становится чистым должником, чтобы расплачиваться за дополнительный чистый импорт товаров.
В период развития экономической школы меркантилистов равновесие определялось в терминах баланса по счету текущих операций. При этом указанное сальдо не учитывает движение капитала и изменения в золотовалютных резервах страны. Таким образом, цель экономической политики, с точки зрения школы меркантилистов, заключается в максимизации положительного сальдо по счету текущих операций с целью накопления золота в стране. В настоящее время видно, что такое утверждение не лишено оснований, так как именно состояние счета текущих операций влияет на реальный доход страны и уровень жизни ее населения.
Так, при интеграции счета текущих операций в систему национальных счетов можно увидеть, что дефицит по счету текущих операций означает, что расходы страны превышают ее доходы, что не может быть профинансировано иначе, чем путем притока иностранного заемного капитала на долгосрочной основе.
Платежный баланс РФ
Источник: "Вестник Банка России", 1994-1998 г.г.
Таблица 3
Платежный баланс Российской Федерации в 1994-1997 годах (аналитическое представление)
|
1994 год
|
1995 год
|
1996 год
|
1997 год
|
|
I квартал
|
II квартал
|
III квартал
|
IV квартал
|
I квартал
|
II квартал
|
III квартал
|
IV квартал
|
I квартал
|
II квартал
|
III квартал
|
IV квартал
|
I квартал
|
II квартал
|
III квартал
|
Счет текущих операций
|
1275
|
1246
|
2440
|
831
|
5908
|
3227
|
-391
|
763
|
3762
|
1679
|
2006
|
4153
|
4060
|
15
|
-1045
|
Товары и нефакторные услуги
|
127
|
2039
|
3236
|
1881
|
4908
|
4119
|
1735
|
1968
|
3260
|
3348
|
3832
|
6284
|
4879
|
2375
|
1618
|
Товары (торговый баланс)
|
1461
|
4444
|
5000
|
4207
|
5947
|
6148
|
5073
|
4302
|
4641
|
4925
|
5066
|
8429
|
5880
|
3536
|
3099
|
Экспорт товаров
|
13029
|
17026
|
17790
|
18823
|
18855
|
20071
|
20246
|
22382
|
20872
|
21944
|
21920
|
25732
|
21161
|
20236
|
21455
|
Импорт товаров
|
-11682
|
-12249
|
-12597
|
-14656
|
-12908
|
-13923
|
-15173
|
-18080
|
-16231
|
-17019
|
-16854
|
-17303
|
-15281
|
-16700
|
-18356
|
Нефакторные услуги
|
-1334
|
-2405
|
-1764
|
-2326
|
-1039
|
-2029
|
-3338
|
-2334
|
-1381
|
-1577
|
-1234
|
-2145
|
-1001
|
-1161
|
-1481
|
Оказанные нерезидентам
|
0
|
0
|
0
|
0
|
2021
|
2657
|
2623
|
2758
|
2899
|
3251
|
4073
|
2693
|
2765
|
3317
|
4091
|
Оказанные нерезидентами
|
0
|
0
|
0
|
0
|
-3060
|
-4686
|
-5961
|
-5092
|
-4280
|
-4828
|
-5307
|
-4838
|
-3766
|
-4478
|
-5572
|
Баланс услуг труда и капитала (баланс доходов)
|
1110
|
-767
|
-1045
|
-1084
|
915
|
-880
|
-2068
|
-1300
|
483
|
-1601
|
-1878
|
-2293
|
-852
|
-2281
|
-2613
|
Из них: баланс услуг капитала
|
1160
|
-717
|
-995
|
-1034
|
926
|
-810
|
-1920
|
-1227
|
603
|
-1491
|
-1781
|
-2215
|
-773
|
-2186
|
-2484
|
Предоставленных нерезидентам
|
2247
|
438
|
315
|
243
|
2573
|
614
|
409
|
530
|
2610
|
710
|
446
|
465
|
2390
|
592
|
549
|
Полученных от нерезидентов
|
-1087
|
-1155
|
-1310
|
-1277
|
-1647
|
-1424
|
-2329
|
-1757
|
-2007
|
-2201
|
-2227
|
-2680
|
-3163
|
-2778
|
-3033
|
Текущие трансферты
|
38
|
-26
|
249
|
34
|
84
|
-12
|
-59
|
95
|
19
|
-67
|
52
|
160
|
33
|
-79
|
-50
|
Полученные
|
0
|
0
|
0
|
0
|
183
|
163
|
147
|
271
|
135
|
105
|
143
|
315
|
109
|
42
|
68
|
Выплаченные
|
0
|
0
|
0
|
0
|
-99
|
-175
|
-206
|
-176
|
-116
|
-172
|
-91
|
-155
|
-76
|
-121
|
-118
|
|
|
|
|
|
|
|
|
|
|
|
|
|
|
|
|
Счет операций с капиталом и финансовыми инструментами
|
-6364
|
-5255
|
-6815
|
-9425
|
-6161
|
-1802
|
-42
|
-13845
|
-7834
|
-7092
|
-7995
|
-5846
|
-5639
|
3419
|
-3129
|
Счет операций с капиталом
|
0
|
0
|
0
|
0
|
-22
|
-73
|
-173
|
-80
|
-219
|
-66
|
-80
|
-99
|
-29
|
-188
|
-12
|
Капитальные трансферты
|
0
|
0
|
0
|
0
|
-22
|
-73
|
-173
|
-80
|
-219
|
-66
|
-80
|
-99
|
-29
|
-188
|
-12
|
Финансовый счет
|
-6364
|
-5255
|
-6815
|
-9425
|
-6139
|
-1729
|
131
|
-13765
|
-7615
|
-7026
|
-7915
|
-5747
|
-5610
|
3607
|
-3117
|
Прямые и портфельные инвестиции
|
0
|
0
|
0
|
0
|
-1322
|
106
|
563
|
932
|
1747
|
771
|
1000
|
6267
|
6067
|
9333
|
3359
|
Активы
|
0
|
0
|
0
|
0
|
-1564
|
-150
|
-93
|
-23
|
108
|
-289
|
-63
|
-300
|
-320
|
-665
|
-982
|
Пассивы
|
0
|
0
|
0
|
0
|
242
|
256
|
656
|
955
|
1639
|
1060
|
1063
|
6567
|
6387
|
9998
|
4341
|
Прочие инвестиции
|
-6364
|
-5255
|
-6815
|
-9425
|
-4817
|
-1835
|
-432
|
-14697
|
-9362
|
-7797
|
-8915
|
-12014
|
-11677
|
-5726
|
-6476
|
Активы
|
-3480
|
-1303
|
-3582
|
-5711
|
-2624
|
1035
|
5794
|
-656
|
-5790
|
-9118
|
-5979
|
-12246
|
-1507
|
-9195
|
-10558
|
Наличная иностранная валюта и депозиты
|
291
|
130
|
-1413
|
-4056
|
-114
|
2454
|
846
|
1173
|
1082
|
-5012
|
-1312
|
-4272
|
-1128
|
-1852
|
-4563
|
Торговые кредиты и авансы
|
0
|
0
|
0
|
0
|
-228
|
2
|
8039
|
227
|
-1626
|
-1800
|
-1700
|
-4375
|
-2458
|
-2379
|
-1236
|
Ссуды и займы предоставленные (непросроченные)
|
-2439
|
-1214
|
-1098
|
-957
|
1817
|
3748
|
1408
|
1585
|
2424
|
3123
|
2267
|
1685
|
4050
|
2325
|
364
|
Просроченная задолженность
|
0
|
0
|
0
|
0
|
-4156
|
-3772
|
-1398
|
-1228
|
-4612
|
-2374
|
-1295
|
-1195
|
1829
|
-2736
|
-1004
|
Прочие активы
|
-1332
|
-219
|
-1071
|
-698
|
57
|
-1397
|
-3101
|
-2413
|
-3058
|
-3055
|
-3939
|
-4089
|
-3800
|
-4553
|
-4119
|
Пассивы
|
-2884
|
-3952
|
-3233
|
-3714
|
-2193
|
-2870
|
-6226
|
-14041
|
-3572
|
1321
|
-2936
|
232
|
-10170
|
3469
|
4082
|
Наличная национальная валюта и депозиты
|
186
|
221
|
229
|
226
|
193
|
198
|
433
|
1807
|
44
|
-51
|
641
|
671
|
-7587
|
564
|
1023
|
Торговые кредиты и авансы
|
0
|
0
|
0
|
0
|
395
|
-433
|
-1278
|
-6774
|
75
|
-434
|
-571
|
131
|
405
|
442
|
120
|
Привлеченные кредиты
|
-3070
|
-4173
|
-3462
|
-3940
|
-2881
|
-2758
|
-5284
|
-9927
|
-3297
|
7
|
-2974
|
-96
|
-2494
|
2123
|
2246
|
Прочие пассивы
|
0
|
0
|
0
|
0
|
100
|
123
|
-97
|
853
|
-394
|
1799
|
-32
|
-474
|
-494
|
340
|
693
|
|
|
|
|
|
|
|
|
|
|
|
|
|
|
|
|
Поправка к резервным активам
|
-1417
|
297
|
-795
|
71
|
146
|
-263
|
187
|
1006
|
-400
|
-798
|
-196
|
-90
|
48
|
30
|
-49
|
Чистые ошибки и пропуски
|
999
|
26
|
-1708
|
2447
|
-3520
|
413
|
-4635
|
7899
|
-969
|
-882
|
-561
|
-1587
|
-594
|
902
|
-1129
|
|
|
|
|
|
|
|
|
|
|
|
|
|
|
|
|
Общее сальдо платежного баланса
|
-5507
|
-3686
|
-6878
|
-6076
|
-3627
|
1575
|
-4881
|
-4177
|
-5441
|
-7093
|
-6746
|
-3370
|
-2125
|
4366
|
-5352
|
|
-22147
|
|
|
|
|
|
|
|
|
|
|
|
|
|
|
Финансирование
|
5491
|
3945
|
7172
|
5432
|
3627
|
-1575
|
4882
|
4177
|
5441
|
7093
|
6746
|
3370
|
2125
|
-4366
|
5352
|
Резервные активы
|
1265
|
-1371
|
3791
|
239
|
-96
|
-5936
|
-1105
|
-3249
|
-2034
|
3431
|
1390
|
54
|
-1331
|
-8034
|
1616
|
Исключительное финансирование
|
3724
|
4999
|
3181
|
4900
|
3109
|
3920
|
5319
|
6343
|
4718
|
3102
|
4486
|
2581
|
2848
|
2058
|
2551
|
Использование новых займов органами гос.управления для финансирования дефицита
|
345
|
345
|
345
|
345
|
0
|
1690
|
1650
|
2144
|
1393
|
1013
|
677
|
672
|
646
|
701
|
677
|
- использование кредитов МВФ
|
345
|
345
|
345
|
345
|
0
|
1690
|
1650
|
2144
|
1393
|
1013
|
677
|
672
|
646
|
701
|
677
|
Просрочено платежей
|
0
|
0
|
0
|
0
|
899
|
560
|
1059
|
-1387
|
725
|
619
|
619
|
729
|
882
|
1007
|
1034
|
Перенесено платежей по обслуживанию официального внешнего долга
|
3379
|
4654
|
2836
|
4555
|
2210
|
1670
|
2610
|
5586
|
2600
|
1470
|
3190
|
1180
|
1320
|
350
|
840
|
Прочие операции
|
502
|
317
|
200
|
293
|
614
|
441
|
668
|
1083
|
2757
|
560
|
870
|
735
|
608
|
1610
|
1185
|
Использование новых займов органами гос.управления для финансирования дефицита (кроме кредитов МВФ)
|
502
|
317
|
200
|
293
|
614
|
441
|
668
|
1083
|
2757
|
560
|
870
|
735
|
608
|
1610
|
1185
|
Источник: "Вестник Банка России", 1994-1998 г.г.
Список использованных источников и литературы
- "Валютный рынок и валютное регулирование" / Под ред. И.Н.Платоновой М.:БЕК, 1996. 440 с.
- Дорнбуш Р., Фишер С. “Макроэкономика”, ИНФРА-М, М., 1997. - 685 с.
- Кругман П., Обстфельд М. "Международная экономика: теория и политика",-М.,-1997. - 699 с.
- Линдерт П.Х. “Экономика мирохозяйственных связей”: Пер. с англ., - М.:Прогресс,1992.-520 с.
- "Международные валютно-кредитные и финансовые отношения."/ Под ред. Л.Н.Красавиной.М.:Финансы и статистика, 1994.592 с.
- Мэнкью Г. "Макроэкономика". Пер. с англ. М.: Изд-во МГУ, 1994. 736 с
- "Словарь современной экономической теории Макмиллана", п/р Д.У.Пирса, М., Инфра-М, 1997. 590 с.
- Фишер С., Дорнбуш Р., Шмалензи Р., “Экономика”, “Дело”, М., 1993, 670 с.
- Алексашенко С. "Девальвация рубля: минусы очевидны, а плюсы под большим вопросом"// Эксперт.-1998.-№17. - с.8
- Баранов Г., Рушайло П., "Как преодолеть экономический подъем"// Коммерсантъ-Власть.-1998.-№8(260).-с.23-27
- Методологический комментарий к платежному балансу// "Вестник Банка России" №29(192) 20 мая 1997 года, с. 35
- "О статистике внешней торговли и оценке тенденций в динамике платежного баланса Российской Федерации": информационно-аналитический бюллетень, №5/ Фонд "Бюро экономического анализа"; -М.:1997.-16 с.
- Платежный баланс России за 1993 год с комментарием// Вестник Банка России, №6, 19 апреля 1994 года.
- Платежный баланс России за 1994 год// Вестник Банка России, №15, 21 апреля 1995 года.
- Платежный баланс России за первый квартал 1995 года// Вестник Банка России, №31-32, 1 августа 1995 года.
- Платежный баланс России за первое полугодие 1995 года// Вестник Банка России, №46, 10 ноября 1995 года.
- Платежный баланс России за девять месяцев 1995 года// Вестник Банка России, №7, 20 февраля 1996 года.
- Платежный баланс России за 1995 год// Вестник Банка России, №23, 28 мая 1996 года.
- Платежный баланс России за первый квартал 1996 года// Вестник Банка России, №30, 4 августа 1996 года.
- Платежный баланс России за первое полугодие 1996 года// Вестник Банка России, №62, 14 ноября 1996 года.
- Платежный баланс России за девять месяцев 1996 года// Вестник Банка России, №12, 3 марта 1997 года.
- Платежный баланс России за 1996 год// Вестник Банка России, №29, 20 мая 1997 года.
Показателей платежного баланса
В силу вышеизложенного начнем рассмотрение показателей платежного баланса с 1993 года32). В указанном году в целом по текущим операциям сложилось положительное сальдо в 6 млрд. долл. США, что более чем в полтора раза превышает аналогичный показатель 1992 года. В значительной степени рост сальдо по текущим операциям в 1993 году был обусловлен превышением экспорта товаров над импортом при заметном сокращении последнего второй год экономических реформ характеризуется значительным сокращением зависимости экономики от импорта.
С другой стороны, сокращение статьи "импорт товаров" можно объяснить как началом ввоза товаров из дальнего зарубежья через страны ближнего зарубежья, так и более полным учетом товарного экспорта. Последнее соображение также подтверждается и тем фактом, что рост положительного сальдо внешней торговли в 1993 году происходил на фоне ощутимого ухудшения её условий: так средние экспортные цены были ниже, чем в 1992 году, на 8%, а импортные увеличились на 6%.
В 1993 году продолжился рост дефицита по статье "услуги". В целом, дисбаланс по нефакторным услугам сложился вследствие роста дефицита по секторам туризма и строительства, а по факторным услугам из-за наступления сроков выплаты процентов по кредитам, полученных в период начала экономических реформ.
Сальдо по счету операций с капиталом составило в 1993 году, по данным Банка России -2.5 млрд. долл. США, причем основными компонентами, определяющими размер указанного показателя явились: положительное сальдо по привлеченным кредитам (эту статью платежного баланса сложно анализировать, так как в 1993 году в ее составе привлеченных и предоставленных кредитов учитывались отсрочки платежа и авансовые платежи) и отрицательное сальдо по статье "Другой краткосрочный капитал", в составе которой наибольший удельный вес занимают статьи "ввоз наличной иностранной валюты банками" и "текущие счета и депозиты", отражающие рост долларизации российской экономики и размещение активов национальной финансовой системы за рубежом.
Платежный баланс за 1994 год, в отличие от соответствующих документов предыдущих периодов, был составлен в разрезе расширенной номенклатуры показателей, учитывающих косвенные оценки по некоторым статьям (рост наличной иностранной валюты вне банков, вывоз наличных рублей в ближнее зарубежье и т.д.)33). Кроме того, в балансе впервые были учтены операции со странами СНГ.
В 1994 году продолжился рост положительного сальдо торгового баланса, которое составило 15 млрд. долл. США, при одновременном увеличении объема внешнеторгового оборота следствие дальнейшей либерализации внешней торговли, а также девальвации рубля. Вместе с тем, произошло снижение сальдо по текущим операциям, что вызвано, по данным ЦБ РФ, дефицитом баланса услуг (-9,6 млрд. долл.), причиной чего, в свою очередь, стало начало массового выезда резидентов за границу в рамках туристических поездок.
При анализе капитальных операций с нерезидентами видно, что Россия в 1994 году оставалась нетто-инвестором по отношению к остальному миру (дефицит по счету операций с капиталом составил -7,5 млрд. долл.). При этом, в абсолютном выражении вывоз капитала составил 17 млрд. долл., ввоз 10,5 млрд. долл. Основными источниками оттока капитала были предоставленные кредиты 5,9 млрд. долл., прямые и портфельные инвестиции 2,2 млрд. долл., а также ввоз наличной валюты в страну 6,2 млрд. руб.
С другой стороны, главными составляющими импорта капитала являлись иностранные кредиты, общий объем использования которых составил в указанном году 6,4 млрд. долл. (в том числе первый транш кредита МВФ в размере 1,5 млрд. долл.).
В платежном балансе РФ за 1994 год впервые рассчитано общее сальдо платежного баланса, которое равнялось -26,1 млрд. долл., и которое можно интерпретировать в данном случае как чистый отток денежных средств из страны в результате первичных, автономных, независимых операций. Дефицит общего платежного баланса было профинансирован главным образом за счет просроченных и перенесенных платежей по обслуживанию внешнего долга и использования кредитов по линии государства и под его гарантию.
В 1996 году был опубликован отчет Банка России о платежном балансе страны за 1995 год, который впервые был составлен в соответствии с требованиями пятого издания "Руководства МВФ по составлению платежного баланса"34). В частности, в документе появился счет операций с капиталом и финансовыми инструментами, объединивший в себе старый счет операций с капиталом и операции с международными резервами, статья "прочие инвестиции" была выражена с разбивкой на активы и обязательства, а сам платежный баланс стал публиковаться в гораздо более подробном виде.
Сальдо торгового баланса России в 1995 году продолжило свой рост и составило 22,8 млрд. долл. США, что на 15% больше аналогичного показателя за предыдущий период. При этом, наблюдался рост как экспорта (на 17%), так и импорта (на 23%), что обусловлено принятием Правительством мер по поддержке отечественного экспорта (начало работы по устранению нетарифных ограничений, сокращение перечня лицензируемых товаров, уменьшение экспортных тарифов) и одновременным укреплением курса рубля, что стимулировало увеличение импорта.
Сальдо платежного баланса по текущим операциям в 1995 году также превышал аналогичный показатель прошлого года на 8%, но его рост был вызван только увеличением чистого экспорта товаров, так как по статьям факторных и нефакторных услуг наблюдался больший, чем в 1994 году, дефицит, что обусловлено дальнейшим увеличением выездного туризма и увеличением присутствия на российском рынке труда дешевой рабочей силы из стран СНГ35).
По счету операций с капиталом и финансовыми инструментами в российском платежном балансе сложился дефицит в объеме 9 млрд. долл. США, что на 28% выше, чем за предшествующий год. Наибольший вклад в формирование сальдо указанного счета в 1995 году был отмечен со стороны следующих статей "наличная иностранная валюта и депозиты", "баланс по предоставленным кредитам", "баланс по привлеченным кредитам", "непоступление экспортной выручки" и "резервные активы", а процесс прямого и портфельного иностранного инвестирования в экономику России в 1995 году еще не приобрел значимых размеров.
Начавшееся в 1995 году ужесточение кредитно-денежной политики отразилось в стабилизации операций с наличной иностранной валютой на уровне 1994 года, причем суммы ввезенной и вывезенной наличной валюты, по данным ЦБР, были в отчетном году практически равными. Баланс по предоставленным кредитам в отчетном году характеризует возросшие масштабы движения капитала, причем как видно из баланса, основные операции проводились сектором нефинансовых предприятий в форме экспортных кредитов (расчеты, проведенные Государственным таможенным комитетом, показывают, что фактические поступления валютной выручки за экспортные поставки 1995 года не превышали 2/3 стоимости годового экспорта в страны дальнего зарубежья и 1/3 в страны СНГ).
Обращает на себя внимание увеличение иностранных активов Российской Федерации в 1995 году, произошедшее в основном за счет увеличения национальных резервных активов, объем которых возрос по итогам года на 10,4 млрд. долл., причем свыше половины годового прироста резервных активов (5,9 млрд. долл.) было обеспечено во втором квартале. Такая ситуация отражает курсовую политику Центрального Банка, когда в мае-июне, стремясь не допустить повышения курса рубля, он производил скупку долларов на валютном рынке.
Общее сальдо платежного баланса по итогам 1995 года составило -11,1 млрд. долл., то есть практически в два раза меньше аналогичного показателя 1994 года36). Указанный дефицит был профинансирован в основном за счет использования трех источников: перенесения платежей по обслуживанию официального внешнего долга, прироста резервных активов и использования кредита "стенд-бай" МВФ. Уменьшение общего дефицита платежного баланса отражает снижение инфляционного давления на рубль (1995 год был первым годом проведения жесткой кредитно-денежной политики) и начало процесса макроэкономической стабилизации.
В 1996 году основные тенденции платежного баланса сохранились, если не принимать во внимание активизацию оттока капитала в первой половине года в связи с приближающимися президентскими выборами37). При этом, динамика внешнеторговых товарных операций по полугодиям отражает влияние валютной политики Центрального Банка. Так, в январе-июне в условиях реального укрепления рубля прирост импорта составил 24% к уровню соответствующего периода предыдущего года, а экспорта всего 8%. Во втором полугодии реальное обесценение рубля стимулировало некоторое повышение темпов роста экспорта (9%) на фоне резкого сокращения прироста импорта (3%).
В итоге, положительное сальдо торгового баланса в 1996 году было зафиксировано на максимальном за 5 лет уровне 23 млрд. долл.
Такая величина торгового баланса вместе с тем фактом, что абсолютная величина дефицита по счету услуг сократилась по сравнению с 1995 годом на 25%, привела к тому, что в 1996 году сальдо платежного баланса РФ по текущим операциям достигло 23 млрд. долл., что превышает аналогичные показатели предыдущих лет.
Правила отражения операций в платежном балансе по дебету и по кредиту
Таблица 1.
Правила отражения операций в платежном балансе по дебету и по кредиту4)
Операция
|
Кредит, плюс (+)
|
Дебет, минус (-)
|
А. Товары и нефакторные услуги
|
Экспорт товаров и экспорт услуг (оказание услуг нерезидентам)
|
Импорт товаров и импорт услуг (оказание услуг нерезидентами)
|
Б. Услуги труда и капитала (оплата труда и доходы от инвестиций)
|
оказанные нерезидентам резидентами
|
оказанные резидентам нерезидентами
|
В. Трансферты (текущие и капитальные)
|
получение средств
|
передача средств
|
Г. Операции с финансовыми активами или обязательствами
|
увеличение обязательств по отношению к нерезидентам (например, приобретение нерезидентами наличной национальной валюты) или уменьшение требований к нерезидентам (например, снижение остатков по счетам резидентов в банках-нерезидентах)
|
увеличение требований к нерезидентам (например, предоставление кредитов нерезидентам) или уменьшение обязательств по отношению к нерезидентам (например, погашение резидентами ценных бумаг, приобретенных нерезидентами)
|
Основу концепции платежного баланса составляют также несколько принципов, которые приводятся ниже в кратком изложении.
Концепции экономической территории, резидентности и центра экономических интересов. Эти концепции используются как при построении платежного баланса, так и в системе национальных счетов. Смысл их состоит в том, чтобы определить, каких экономических субъектов относить к субъектам внешнего мира, а каких к внутренним, какие экономические операции и потоки считать внешнеэкономическими.
Руководство по составлению платежного баланса МВФ в абзаце 21 определяет экономическую территорию страны как территорию, находящуюся под юрисдикцией правительства страны, в пределах которой возможна свободное перемещение людей, товаров и финансовых ресурсов. При этом можно отметить, что эта территория не всегда совпадает с географической границей государства, так как в пределы экономической территории включаются территориальные анклавы вне основной государственной границы: посольства, консульства, военные базы, научные станции, информационные, иммиграционные или благотворительные агентства, расположенные на территории других государств и находящиеся в распоряжении правительства страны, которое владеет или арендует эти объекты.5)
Согласно пятому изданию "Руководства...", экономический субъект имеет центр экономических интересов на территории данного государства, если в каком-то месте, находящемся на экономической территории страны, существует имущество, производственные помещения, иные строения, которые этот экономический субъект использует и намеревается использовать в течение определенного длительного периода времени прямым или косвенным образом для осуществления экономических операций или сделок в достаточно большом масштабе.6) Из приведенного определения центра экономических интересов видно, что формулировки достаточно расплывчаты, чтобы применять их напрямую на практике. Вследствие этого МВФ утверждает, что в большинстве случаев для определения центра экономических интересов достаточно признака ведения экономической деятельности и операций в течение годичного срока.
Оба предыдущих понятия экономической территории и центра экономических интересов субъекта необходимы для определения ключевого понятия в системе платежного баланса резидентности, то есть установление критериев, в соответствии с которыми того или иного экономического субъекта было возможно отнести к категории резидента данной страны. В связи с этим важно подчеркнуть, что концепция резидентности в системе платежного баланса не основывается на критериях национальной принадлежности экономического субъекта либо на юридических критериях определения резидентов того или иного государства.
В соответствии с пятым изданием "Руководства..." экономический субъект является резидентом данной страны, если он имеет центр экономических интересов на экономической территории страны.7)
МВФ подразделяет всех экономических субъектов на две категории: домашние хозяйства и физические лица, составляющие домашние хозяйства, а также юридические лица и иные организационно-правовые формы ведения коммерческой деятельности, некоммерческие организации и органы государственной власти данной страны. Пятое издание "Руководства..." подробно описывает наиболее общие случаи применения критериев резидентности к обеим категориям (например, вопросы резидентства международных либо межправительственных организаций и т.д.).
Принципы оценки экономической сделки и времени записи. Для целей сравнительного анализа и агрегирования статистических данных при составлении балансов международных расчетов требуется единая система оценки сделок с реальными и финансовыми активами и пассивами, а также оценки активов и обязательств на определенный момент времени. МВФ рекомендует производить оценку всех сделок, а также активов и обязательств, по рыночным ценам, согласованным участниками экономической операции.
Обычно учет в системе платежного баланса производится по фактическим ценам (причем, как правило, экспорт учитывается в ценах CIF, а импорт в ценах FOB).
Тем не менее, МВФ определяет рыночную цену как денежную сумму, которую покупатель, добровольно желающий купить товар, услугу и т.д., готов уплатить продавцу, добровольно желающему продать товар, услугу и т.д., в обмен на предмет сделки при условиях независимости сторон сделки друг от друга и коммерческой обоснованности сделки.8) Вместе с тем, в пятом издании "Руководства..." перечислены случаи, когда рыночную цену в соответствии с приведенными критериями установить невозможно бартерные операции, налоговые платежи, сделки между дочерним и материнским предприятиями, международный лизинг, гранты от государственных и некоммерческих организаций. В таких случаях оценка сделок производится по ценам аналогичных сделок или товаров, существовавших на рынке в период времени, за который проводится оценка. Также МВФ дает рекомендации по поводу выявления трансфертного ценообразования в сделках между аффилированными предприятиями резидентами разных стран.
Сами же операции находят свое отражение в балансе в момент создания, трансформации, обмена, передачи или исчезновения экономической стоимости. При этом считается, что требования и обязательства всегда возникают при смене собственника за некоторыми исключениями, такими как передача имущества в рамках договора лизинга, перемещение продукции из одной страны в другую в пределах одной корпорации или сети аффилированных предприятий или перемещение давальческого сырья в страну в целях переработки (толлинг).
Концепция и типы экономических операций. В широком смысле, смена экономического состояния объекта операции, отражаемая в платежном балансе, вытекает из сделки между резидентом и нерезидентом (по крайней мере, все сделки между ними фиксирует платежный баланс). Основными типами действий экономических субъектов, которые можно найти в балансе, являются не платежи, несмотря на название баланса, а экономические операции или сделки, которые могут вовсе не сопровождаться денежным платежом.
Учет в системе платежного баланса таких операций и составляет основное его отличие от баланса международных платежей страны. МВФ выделяет следующие виды экономических операций, которые отражаются в платежном балансе9):
1) Обмен. Такого рода сделки обычно составляют большую часть операций, фиксируемых в платежном балансе. Сделка обмена заключается в предоставлении одним контрагентом другому экономической стоимости в обмен на эквивалентную стоимость в другой форме.
При этом экономическая стоимость определяется в широком смысле как реальные ресурсы (товары, услуги, доход) либо инструменты денежного, валютного и финансового рынков.
2) Трансферты. Отличаются от сделок обмена тем, что контрагент не предоставляет взамен полученной стоимости ее эквивалента.
3) Миграция. В силу того, что экономическая система определена в терминах экономических субъектов, ее производительность наверняка будет подвержена изменению вместе с изменением количества субъектов, относящихся к данной экономике. Миграция возникает, когда домашнее хозяйство перемещается на продолжительное время в другую страну.
Данное явление имеет значение для платежного баланса в силу того, что вместе с домашним хозяйством перемещаются также и некоторые виды активов, которые как бы импортируются в ту страну, куда переезжает экономический субъект.
4) "Вмененные" операции. В некоторых случаях в платежном балансе могут учитываться так называемые “вмененные” экономические операции, не сопровождаемые движением стоимости от резидента к нерезиденту и наоборот. Примером является реинвестирование полученной прибыли иностранным акционером предприятия.
Несмотря на то, что эта операция не сопровождается международным движением стоимостей, реинвестированная прибыль в доле, пропорциональной доле иностранного инвестора в акционерном капитале, отражается в платежном балансе как доход от прямых инвестиций с балансирующей проводкой "реинвестированная прибыль" по финансовому счету.
В заключение рассмотрения основных принципов составления платежного баланса необходимо остановиться на том, в каких денежных единицах вести учет. С точки зрения МВФ, стандартная единица учета должна быть достаточно стабильной, чтобы изменения ее курса в течение учетного периода не отражались на итоговых показателях, также единица учета должна быть стабильной на протяжении как можно большего числа учетных периодов для обеспечения сравнимости и анализа их динамики. Таким образом, не существует идеальной единицы учета, а для представления отчета в МВФ от стран требуется составление платежного баланса в тех единицах, которые утверждены в самой стране для этих целей. При этом МВФ в своих целях может пересчитывать отчеты, представленные странами-участницами в денежные единицы, которые его эксперты считают наиболее подходящими в сложившихся обстоятельствах, учитывая рыночные, официальные обменные курсы, а в некоторых случаях и обменные курсы так называемого "черного" рынка.
Но следует отметить, что в подавляющем большинстве стран учет и публикация показателей платежного баланса ведется в валюте США.
Приток иностранного капитала.
Скорее всего, именно отсутствием корректировки досчета таможенной статистики можно объяснить и тот высокий рост импорта, начавшийся с третьего квартала 1997 года. Так, по таможенным данным, в 4 квартале 1997 года зарегистрировано на 47% больше импорта, чем в 4 квартале 1996 года, что представляется труднообъяснимым с учетом общей экономической ситуации. Согласно экспертным оценкам, прирост объем импорта в четвертом квартале 1997 года составил около 10.8% к соответствующему периоду предыдущего года.
Другими словами, положительное сальдо внешнеторгового баланса сокращается существенно медленнее, чем это оценивается в официальных публикациях, что несколько увеличивает оценку сальдо текущих операций в платежном балансе.
Несмотря на то, что фактическое сокращение сальдо по текущим операциям, возможно, сокращается меньшими темпами, чем содержащиеся в публикациях Банка России показатели, указанное сокращение тем не менее происходит. Для настоящей работы представляет интерес изучение причин этого процесса. Если рассматривать его комплексно, то следует отметить прежде всего усилившееся давление на курс рубля, который принято связывать только с последствиями финансового кризиса в Юго-Восточной Азии, выражающимися в оттоке средств нерезидентов с российского фондового рынка.
Между тем, процессы на валютном рынке можно понять, внимательно изучив показатели платежного баланса. Исходя из приведенного в первой главе настоящей работы тождества национального дохода, сальдо платежного баланса по текущим операциям в открытой экономике является показателем расходов страны по отношению к ее внутреннему доходы (ВВП). С этих позиций сокращение сальдо по текущим операциям и появление дефицита по этому счету можно трактовать как повышение доходов резидентов и соответственно рост их расходов на покупку импортных товаров.
Причиной повышения доходов в свою очередь является начавшийся в стране экономический рост46). Анализ данных платежного баланса за второй и третий кварталы представляется в этом случае тем более ценным, если учесть, что на данные за этот период не мог оказать воздействие финансовый кризис.
В такой ситуации необходимо каким-то образом погашать дефицит. Это можно произвести несколькими путями: во-первых, косвенно с помощью роста объемов экспорта. Но, как уже говорилось, это не представляется пока возможным в силу неблагоприятной конъюнктуры на мировых товарных рынках (прежде всего это касается цен на нефть). Во-вторых, путем притока иностранного капитала.
Но, последствия мирового финансового кризиса пока оказывают противодействие активизации этого процесса, а кроме того, он не может продолжаться бесконтрольно в течение долгого промежутка времени, так как может закончиться финансовым кризисов, аналогичным мексиканскому. В таком случае, в числе форм реакции экономики может быть удовлетворение спроса на иностранную валюту на внутреннем рынке за счет резервов ЦБ либо девальвация национальной валюты, чего в России денежные власти пока пытаются не допустить, используя накопленные золотовалютные резервы, а также рассчитывая на кредиты международных финансовых организаций.
Так, Банк России считает, что отрицательный эффект девальвация рубля превысит положительный47, так как около 70% российского экспорта составляют энергоресурсы, цветные металлы и продукты первичной переработки. Эластичность экспорта этих товаров по цене очень невелика, так как их объемы продаж больше ограничены объемами добычи, физическими возможностями газопроводов, перерабатывающих заводов, нежели курсом национальной валюты. Таким образом, девальвация вряд ли выправит российский торговый баланс. А если принять во внимание процентные платежи, то становится понятно, что для всех российских заемщиков девальвация рубля будет означать увеличение их издержек на обслуживание долга.
В свою очередь, их финансовой положение быстро отразится на налоговых платежах. К тому же, резкое уменьшение курса национальной валюты неминуемо создаст ажиотажный спрос на иностранную валюту со стороны как населения, так и иностранных инвесторов.
Завершая краткий анализ счета текущих операций, можно сказать, что налицо произошедший в 1997 году перелом тенденций, которым следовали индикаторы текущих операций, начиная с 1992 года. Такое изменение было вызвано несколькими причинами, в числе которых можно выделить как внутренние микроэкономические предпосылки, так и внешние факторы.
§4. Проблема нерегистрируемой утечки капитала.
Расхождения в статистике внешней торговли, о которых шла речь в предыдущем параграфе, сказываются на таком показателе платежного баланса, как "чистые ошибки и пропуски". Эта статья, в соответствии с методологией МВФ, отражает разнородность потоков формирования исходной информации и в течение ряда лет ее величина может колебаться около нуля. Вместе с тем, устойчиво отрицательное ее значение, получаемое из года в год, может рассматриваться как свидетельство (хотя и весьма условное) существования постоянного вывоза средств из страны, не учитываемого в других статьях платежного баланса.
Между тем, следует отметить, что указанная статья имеет в платежных балансах России за все годы имеет отрицательный знак: по официально публикуемым данным ее величина составила в 1995-96 годах около 6-7 млрд. долл48.
Подтвердить гипотезу о статье "чистые ошибки и пропуски" можно с помощью анализа соотношения динамики этой статьи и анализа показателей кредиторской задолженности в стране49). Анализ показывает, что динамика прироста чистых ошибок и пропусков, которая, как сказано выше, должна коррелировать с динамикой вывоза капитала из страны, имеет обратную связь с динамикой просроченной задолженности (см. 1), причем связь эта носит весьма устойчивый характер.
Рисунок 1
Темпы прироста просроченной кредиторской задолженности и сальдо по статье платежного баланса "чистые ошибки и пропуски"

Источник: Публикации Центрального Банка РФ, Госкомстата
В итоге можно предположить, что в условиях неплатежей экономическая активность в стране в существенной степени поддерживается за счет офшорных операций. Предприятия, стремящиеся снизить фактическое налоговое бремя, избежать штрафных санкций по просроченной задолженности в бюджет, могли предпочитать осуществлять взаимные расчеты через зарубежные банки, так как при появлении денег в России они безакцептно снимались в пользу бюджета, а 6-7 миллиардов долларов, ежегодно вывозимых из страны, являются вполне достаточными для пополнения оборотных средств. С другой стороны, такая гипотеза, основанная на макроэкономических показателях, требует детальной проверки на микроуровне.
Следует также отметить, что в 1997 году обозначилась качественно новая тенденция. В предыдущие годы "чистые ошибки и пропуски" были меньше, чем сальдо по текущим операциям, что косвенно показывало, что отток капитала происходил в основном за счет невозврата экспортной выручки. В 1997 году нерегистрируемый отток капитала, возможно, в значительной мере финансировался из привлеченных средств.
Заключение
В заключение, после рассмотрения платежного баланса как основной экономической категории, характеризующий состояние внешнеэкономических связей страны и основных принципов его составления, подходов к анализу платежного баланса, истории экономических учений о платежном балансе, а также анализа состояния и динамики основных показателей платежного баланса России можно сделать следующие выводы.
Во-первых, платежный баланс, кроме экономической категории, является еще и сложной статистической системой, непрерывно развивающейся и охватывающей учет все большего количества разнообразных экономических операций. Развитие системы платежного баланса отражается в новых изданиях Руководства по составлению платежного баланса, которое составляется Международным валютным фондом. По методике, принятой МВФ, записи в платежном балансе производятся согласно принципу двойной записи, при этом запись с положительным знаком производится при отражении в платежном балансе экспорта, уменьшения зарубежных активов страны либо увеличения зарубежных обязательств, а записи с отрицательным знаком в противоположных случаях.
Во-вторых, анализ платежного баланса производится прежде всего с точки зрения рассмотрения сальдо по различным статьям баланса или их группировкам. В настоящее время общепринято анализировать три основных показателя сальдо платежного баланса торговый баланс, баланс по текущим операциям и общий платежный баланс, хотя существуют и другие трактовки сальдо по статьям платежного баланса. Таким образом, сальдо платежного баланса, его величина и динамика являются важнейшим элементами платежного баланса как экономической категории, необходимым для понимания экономических процессов в современных условиях открытой экономики.
В-третьих, взаимосвязь показателей системы платежного баланса являлась предметом для исследования многих экономистов в разное время. Так, впервые проблемами воздействия сальдо платежного баланса на экономику страны занимались представители школы меркантилистов, которые утверждали, что единственное, к чему надо стремиться это положительное сальдо торгового баланса, величина которого является мерой национального благосостояния. Дальнейшее развитие экономической науки привело к включению в анализ платежного баланса таких переменных, как уровень цен и процентных ставок, объем денежной массы, валютный курс и т.д.
В итоге, было показано, что в долгосрочной перспективе сальдо платежного баланса стремится к нулю, т.е. был открыт так называемый самовыравнивающий механизм платежного баланса, который лежит в основе всех исследований платежного баланса до сегодняшнего дня.
Спрос на деньги
Для начала необходимо определить, что денежный рынок находится в равновесии в случае, когда реальная денежная масса (предложение денег) равно совокупному спросу на деньги. Если спрос на деньги выразить как:

а предложение денег в стране (денежную массу) как:

F* чистые международные золотовалютные резервы центрального банка, выраженные в национальной валюте;
А чистые внутренние активы центрального банка (внутренний кредит);
это денежный мультипликатор, выражающий соотношение между валовыми активами центрального банка (F*+A) и денежной массой.
В условиях равновесия номинальный спрос на деньги равен их предложению, т.е.:

Из концепции общего сальдо платежного баланса, изменение международных активов центрального банка за определенный промежуток времени F* равно сальдо платежного баланса (для страны с валютой, не использующейся в качестве резервной). Из уравнения (5) тогда можно выразить международные активы центрального банка как:

Если предположить, что величина постоянная, то сальдо платежного баланса за период (равное изменению золотовалютных резервов центрального банка) можно выразить как:

Именно последнее уравнение выражает суть монетаристского подхода. Первое слагаемое его правой части отражает изменение номинального спроса на деньги, при помощи чего можно показать, что (при прочих равных условиях) увеличение спроса на деньги приводит к появлению положительного сальдо платежного баланса, которое сохраняется до тех пор, пока предложение денег внутри страны (денежная масса) не возрастет до такой степени, чтобы соответствовать возросшему объему спроса на деньги и не установится равновесие. Второе слагаемое уравнения платежного баланса отражает воздействие факторов предложения денег.
Увеличение денежной массы по отношению к спросу на деньги первоначально приводит к дефициту платежного баланса, рестриктивное действие которого на предложение денег продолжается до момента достижения равновесия.
Простота уравнения (7), связывающего сальдо платежного баланса с монетарными переменными заставляет задуматься над проблемой: если все, что необходимо для улучшения состояния платежного баланса это уменьшение нормы расширения денежной массы, то почему же платежный баланс не так легко уравновесить. Чтобы ответить на этот вопрос, необходимо понять, каким образом сокращение денежной массы улучшает платежный баланс.
Контроль над денежной массой означает проведение жесткой денежно-кредитной политики. Рассмотрим экономику, которая растет и в которой наблюдается незначительная инфляция, так что спрос на номинальные кассовые остатки растет30). При этом если рост денежной массы замедляется, появляется избыточный спрос на деньги (относительно их предложения).
Рост спроса на деньги вызывает рост процентных ставок и падение расходов. Рост процентных ставок ведет к улучшению платежного баланса. Однако существует тонкое различие между установлением границы роста денежной массы и обычной жесткой денежно-кредитной политикой.
В открытой экономике с фиксированными валютными курсами (а это одна из предпосылок монетаристского подхода) объем денежной массы зависит не только от стремлений центрального банка: он не может полностью контролировать предложение денег, так как вынужден покрывать любой спрос на иностранную валюту для поддержания курса национальной валюты. С другой стороны, жесткая денежно-кредитная политика, связанная с ограничением внутреннего кредита, обычно вызывает экономический спад.
Из положений монетаристского подхода также вытекает, что снижение курса национальной валюты девальвация может улучшить платежный баланс только лишь в краткосрочном периоде. Происходит это следующим образом: девальвация действительно улучшает конкурентное положение страны на мировых рынках, и это приводит к положительному сальдо внешней торговли. Согласно основному уравнению монетаристского подхода, положительное сальдо в данном случае (так как не происходит увеличения денежной массы) сопровождается ростом спроса на деньги.
Как уже было показано, такая ситуация длится до тех пор, пока денежная масса не будет соответствовать новому уровню спроса на деньги, а платежный баланс не придет в равновесие. Таким образом, девальвация имеет только временный эффект для экономики, который продолжается до тех пор, пока цены и предложение денег не возрастут, чтобы полностью компенсировать более высокие цены на импортные товары и услуги.31)
Следует отметить, что все приведенные рассуждения о монетаристском подходе к анализу платежного баланса касаются режима фиксированных валютных курсов. Если такой подход применять к платежному балансу страны с плавающими валютными курсами, то сальдо платежного баланса (сальдо официальных расчетов) будет саморегулируемым, величина официальных золотовалютных резервов не будет меняться, а денежная масса будет полностью находиться под контролем монетарных властей. На практике, как уже говорилось, большинство валютных режимов это режимы управляемого плавания валютных курсов, центральные банки стран проводят определенную политику в области курса национальной валюты, поддерживая его в случае необходимости с помощью интервенций на валютном рынке. С другой стороны, даже если монетарные власти позволяют курсу национальной валюты свободно колебаться, существование мирового рынка ссудных капиталов делает денежный рынок страны чувствительным к событиям на денежном рынке других стран, что означает межстрановое движение капиталов, а значит и давление на процентные ставки и валютный курс, что действует как на объем денежной массы, так и на уровень спроса на деньги.
Это доказывает, что монетаристский подход применим и в современных условиях.
Заканчивая анализ монетаристского подхода к анализу платежного баланса, следует еще раз подчеркнуть, что его ценность состоит прежде всего в том, что с его помощью впервые удалось показать монетарную природу общего сальдо платежного баланса или сальдо баланса официальных расчетов. Но с другой стороны, указанный подход абсолютно неприменим (а как правило, приводит к ложным выводам) при анализе причин ухудшения состояния платежного баланса. На деле причина дефицита платежного баланса может не иметь ничего общего с избыточным предложением денег, а его выравнивание с помощью мер денежно-кредитной политики может привести к совершенно неожиданным результатам. Дело в том, что дефицит платежного баланса может возникнуть при равновесии на денежном рынке, например, вследствие падения внешнего спроса на экспортируемые товары.
Ограничение денежной массы в таком случае может привести к увеличению уровня безработицы и валового выпуска, не исправляя дефицит платежного баланса.
Глава 3. Основные тенденции в динамике показателей платежного баланса России §1. Платежный баланс Российской Федерации в 1992 - 1996 годах
В настоящее время проведение полноценного количественного анализа тенденций платежного баланса Российской Федерации представляет некоторые затруднения в связи с тем фактом, что Центральный Банк начал публикации платежного баланса России, включающего операции со странами ближнего и дальнего зарубежья, только начиная с 1994 года. При этом, составление и публикация платежного баланса в соответствии с требованиями пятого издания "Руководства МВФ по составлению платежного баланса" осуществляется с 1995 года. В таблице 3 представлены данные по имеющимся показателям российского платежного баланса за 1992 - 1997 годы, а более детальная информация по платежному балансу с поквартальной разбивкой приведена в таблицах 2-3 Приложения.
Таблица 3
Основные показатели платежного баланса России в 1992-97 г.г. (млн. долл. США)
|
1992
|
1993
|
1994
|
1995
|
1996
|
1997*
|
Торговый баланс
|
5056
|
11491
|
15112
|
21470
|
23061
|
19000
|
Баланс текущих операций
|
...
|
6230
|
5792
|
9507
|
11600
|
4000
|
Счет операций с капиталом и финансовыми инструментами
|
...
|
-3892
|
-7556
|
-9664
|
-7601
|
2500
|
Общий платежный баланс
|
...
|
...
|
-22147
|
-11110
|
-22650
|
...
|
* Оценка
Источники: Вестник Банка России, International Financial Statistics
Рассмотрим основные тенденции показателей платежного баланса на протяжении 6 лет после начала реформ. Как уже отмечалось выше, данные о платежах России в 1993 и особенно в 1992 годах носят оценочный характер по нескольким причинам, среди которых можно выделить следующие: во-первых, органам государственного комитета РФ по статистике и Банка России требовалось время для того, чтобы организовать учет внешнеторговых операций со странами СНГ, так как в первые годы после распада СССР таможенное оформление грузов, следующих в страны СНГ, и поступающих из этих стран еще не производилось. Во-вторых, операции стран СНГ со странами так называемого дальнего зарубежья учитывались как один показатель внешнеторговых операций стран бывшего СССР, что создавало определенные сложности в выделение финансовых потоков, относящихся к российским резидентам. Третьей причиной приблизительного характера показателей платежного баланса в начале девяностых годов следует считать, по моему мнению, общую неразвитость как базы статистического учета, так и отсутствие опыта у сотрудников ЦБ и Госкомстата в составлении системы национальных счетов и платежного баланса.
Таким образом, для получения картины реального положения дел с международными платежами России в 1992-93 г.г. необходимы серьезные корректировки показателей опубликованных платежных балансов.
Сравнительный анализ классического и кейнсианского механизмов
После публикации работы Дж.М.Кейнса стало очевидно, что выравнивание сальдо платежного баланса в долгосрочной перспективе происходит как за счет изменения относительных цен, так вследствие сдвигов уровней дохода и занятости, а значит и эффективного спроса. В таблице 2 приведены основные позиции кейнсианской и классической схем выравнивания сальдо платежного баланса. Предположим, что мировое экономическое сообщество состоит из двух стран А и Б, причем у страны Б положительное сальдо торгового баланса, а у страны А соответственно дефицит внешней торговли.
Таблица 2
Сравнительный анализ классического и кейнсианского механизмов автоматического выравнивания сальдо текущего баланса21)
Кейнсианский механизм
|
Классический механизм
|
1. Приток потока доходов в экономику страны Б и отток национального дохода из страны А.
|
1. Отток денег из страны А и приток в экономику страны Б.
|
2. Увеличение национального дохода в стране Б приводит к увеличению эффективного спроса в стране Б.
|
2. Увеличение денежной массы в стране Б приводит к росту цен в этой стране.
|
3. За счет увеличения совокупного спроса в стране Б увеличивается спрос на импортные товары.
|
3. За счет увеличение цен на товары, производимые в стране Б, спрос на аналогичные товары, производимые в стране, возрастает.
|
4. За счет увеличения спроса на импортные товары происходит увеличение импорта в страну Б и выравнивание платежного баланса.
|
4. За счет увеличения спроса на импортные товары происходит увеличение импорта в страну Б и выравнивание платежного баланса.
|
Другими словами, то, что в классической модели объясняется потоками наличности и изменениями цен, в модели Кейнса зависит от изменения эффективного спроса. Основное отличие же кейнсианского механизма заключается в том, что эффективный спрос может меняться, даже если цены остаются неизменными.
Вместе с тем, новые течения в экономической науке обнаружили новые недостатки подхода к анализу платежного баланса с позиции эластичности: предпосылка о частичном равновесии на рынках с выведением из анализа изменения спроса и предложения, полное отсутствие в модели эффектов денежного сектора и т.д. Со временем платежный баланс был признан сложным явлением, анализ которого на основе предпосылки частичного равновесия не удовлетворяет элементарным требованиям к такому анализу. Как результат, в конце 1940х начале 1950х годов был предложен новый подход к анализу платежного баланса подход с позиций совокупных внутренних расходов (absorption approach)22).
Этот подход рассматривает сальдо платежного баланса как разницу между расходами страны и ее доходами (см. §3, Глава 1) и утверждает, что сальдо по счету текущих операций можно увеличить, только сократив расходы или увеличив доходы23). Любая экономическая политика, таким образом, нацеленная на увеличение национального дохода, не должна сопровождаться повышением совокупных внутренних расходов. Мерами, сопровождающими такую экономическую политику, служат девальвация национальной валюты, импортные тарифы и квоты, экспортные субсидии, и другие ценовые и количественные меры по регулированию внешнеторгового сальдо.
В то же время, политика по сокращению совокупных внутренних расходов не должна привести к падению национального дохода. Такого рода экономическая политика называется политикой по перенаправлению расходов экономических субъектов с импортных товаров и услуг на товары и услуги, производимые внутри страны (expenditure-switching policy).
Ключевой вопрос теории платежного баланса в условиях плавающих валютных курсов о влиянии девальвации национальной валюты на сальдо платежного баланса рассматривается в рамках подхода с позиций совокупных внутренних расходов следующим образом. Так как сальдо по счету текущих операций равно B=Y-A, то B=Y-A. Девальвация национальной валюты повлияет на исследуемый показатель следующим образом: она выразится в изменении национального дохода (YD), совокупных внутренних расходов (AD), а также текущий баланс будет косвенно зависеть от изменения национального дохода (YD)24). Таким образом, при девальвации национальной валюты сальдо по счету текущих операций можно выразить как:
B = YD - AD - YD = YD(1-) - AD
А сама девальвация улучшит состояние платежного баланса при условии:
YD(1-) AD
Таким образом, в рамках подхода с позиции совокупного внутреннего потребления исследованию подлежат три фактора: оценка влияния девальвации на национальный доход, количественная оценка коэффициента и оценка влияния девальвации на уровень совокупного внутреннего потребления.
Влияние девальвации национальной валюты на объем реального национального дохода также можно разбить на три основных направления: во-первых, если ресурсы в стране немобильны (т.е. капитал и рабочая сила не способны быстро переместиться в другие страны), то реальный национальный доход увеличится, так как спрос переориентируется на товары, производимые внутри страны. Во-вторых, девальвация, в зависимости от соотношения эластичностей предложения и спроса на экспортные и импортные товары, может повлиять на условия торговли данной страны25): изменение условий торговли влияет на национальный доход так же, как и девальвация при немобильных ресурсах (т.е. улучшение условий торговли ведет к увеличению национального дохода из-за переориентации спроса и наоборот). В-третьих, девальвация валюты может благоприятно повлиять на уровень национального дохода в силу перераспределения ресурсов, т.е. в случае, если до девальвации национальная валюта была переоценена, то это означало субсидирование производства товаров для внутреннего потребления.
Девальвация валюты перемещает ресурсы в сторону производителей экспортных товаров, что при сохранении прежнего уровня производства товаров для внутреннего потребления ведет к увеличению национального дохода.
При этом следует отметить, что все приведенные эффекты действуют в указанном направлении, только если
Девальвация также влияет на снижение совокупных внутренних расходов. Во-первых, это происходит вследствие увеличения номинальных кассовых остатков26), во-вторых, из-за перераспределения дохода в пользу экономических субъектов с большей минимальной склонностью к сбережениям, в-третьих, вследствие инерционности номинальных расходов, когда при увеличении цен не привыкшие к новому ценовому уровню экономические субъекты продолжают тратить столько же денег в номинальном выражении, сколько и до повышения, в-четвертых, вследствие увеличения процентных ставок, а в-пятых как результат увеличения цен на импортные товары.
Тем не менее, дальнейшие исследования показали, что подход к анализу платежного баланса с позиции совокупных внутренних расходов обладает целым рядом недостатков, среди которых основным является тот, что при применении указанного подхода возможна неверная интерпретация причин дефицита баланса текущих операций. Следуя логике этой теории (т.е. B=Y-A), неверно считать, что дефицит по счету текущих операций всегда вызван превышением плановых расходов над планируемым производством товаров и услуг. Среди прочего, Y и A могут быть сбалансированы, но счет текущих операций будет в состоянии дефицита вследствие снижения конкурентоспособности национальных товаров, избытка предложения в некоторых секторах промышленности и т.д.
Впоследствии это отразится в системе национальных счетов как YA, но не как следствие завышенных запланированных расходов, а как результат снижения национального дохода.
В 1960х годах, с появлением нового течения в экономической науке монетаризма получил свое развитие и соответствующий подход к анализу платежного баланса. В анализ был введен денежный рынок и международные перемещения капитала, понятия спроса и предложения денег, денежной эмиссии, анализ платежного баланса перестал основываться только на анализе спроса и предложения на товары и услуги и компонентов национальных счетов. Современная экономическая теория рассматривает платежный баланс, основываясь на позициях, выработанных основоположниками монетаристского подхода.
§3. Современные методы анализа платежного баланса: монетаристский подход
Метод анализа платежного баланса с позиций монетаризма кардинально отличается от всех предшествовавших ему подходов. Это отличие состоит прежде всего в том, что рассматривается платежный баланс целиком, то есть как счет текущих операций, так и счет операций с капиталом (и финансовыми инструментами). В данной концепции сальдо платежного баланса эквивалентно изменению официальных золотовалютных резервов государства (т.е. используется сальдо баланса официальных расчетов). Аргументом для такой позиции служит утверждение, что сальдо платежного баланса должно рассматриваться как результат разрыва между спросом на деньги и предложением денег, а на величину самого сальдо, так как оно является монетарным явлением, можно повлиять с помощью мер денежно-кредитной политики.
Этот подход также характерен тем, что он активно использовался МВФ при анализе и выработке экономической политики для стран, имеющих проблемы с платежным балансом27).
В общем виде монетаристский подход к анализу платежного баланса является анализом спроса и предложения денег в стране с открытой экономикой28). В рамках такого анализа избыточный спрос на деньги или предложение денег внутри страны отражается именно в счетах платежного баланса. Также монетаристский подход строится на целом ряде предпосылок, таких как регулируемый валютный курс, долгосрочное равновесное состояние экономики с полной занятостью, спрос на деньги напрямую зависит от национального дохода, в долгосрочном периоде уровень цен и процентных ставок в стране выходят на мировой уровень вследствие открытости экономики, высокой степени заменяемости между импортными товарами и товарами, произведенными внутри страны, и прочие предпосылки29).
Структура платежного баланса
При этом, разница в подходах к анализу платежного баланса проявляется в различии переменных, которые по мнению приверженцев того или иного направления экономической теории оказывают влияние на динамику сальдо платежного баланса (чаще всего речь идет о сальдо по текущим операциям). Так, если в период, предшествовавший публикации работ Дж.М.Кейнса считалось, что на сальдо платежного баланса влияют эластичности спроса и предложения на товары в разных странах, то кейнсианский механизм выравнивания платежного баланса основывается на колебаниях уровней дохода, занятости и совокупного спроса. Последний же из рассмотренных в данной работе и наиболее современный подход к анализу платежного баланса монетаристский утверждает, что общее сальдо платежного баланса зависит только от соотношения спроса на деньги и предложения денег в стране.
Также из в работе была рассмотрена динамика платежного баланса Российской Федерации за годы, прошедшие с начала экономических реформ. Причем в период до 1997 года, основные тенденции в платежном балансе России были очевидны: постоянный рост положительного торгового баланса и сальдо по счету текущих операций, растущий дефицит по счету операций с капиталом и финансовыми инструментами и отрицательная величина общего платежного баланса. Такие показатели были связаны прежде всего с либерализацией российской внешней торговли, низким уровнем иностранных инвестиций в страну и прочими факторами.
Но начиная со второй половины 1997 года показатели российского платежного баланса перестали соответствовать наметившейся в течение последних пяти лет тенденции. Как следствие падения мировых цен на нефть и общего ухудшения конъюнктуры на мировых товарных рынках началось падение сальдо торгового баланса и сальдо по текущим операциям. Определенно сказать, является ли такие изменения кратковременными или это начало установления новой тенденции, не представляется возможным из-за отсутствия статистических данных за достаточно большое число периодов.
Также по этой причине невозможно оценить влияние мирового финансового кризиса на российский платежный баланс.
В итоге очевидно, что платежный баланс это один из основных источников о состоянии макроэкономической ситуации в стране, а состояние платежного баланса не может быть игнорировано при принятии решений как в области макроэкономической политики, так и на микроуровне.
Приложение
Таблица 1
Структура платежного баланса (по методологии МВФ)
I. Счет текущих операций
|
A. Товары и услуги
|
а. Товары
|
1. Экспорт/импорт товаров
|
2. Товары для переработки
|
3. Стоимость ремонта товаров, приведения их в исправное состояние
|
4. Товары, приобретаемые транспортными средствами в портах
|
5. Немонетарное золото
|
b. Услуги
|
1. Транспортные услуги
|
2. Поездки
|
3. Услуги связи
|
4. Строительство
|
5. Страховые услуги
|
6. Финансовые услуги
|
7. Услуги по экспорту/импорту информации и программного обеспечения
|
8. Роялти и лицензионные платежи
|
9. Прочие услуги
|
10. Персональные, культурные и прочие рекреационные услуги
|
11. Услуги, оказываемые правительственными учреждениями
|
B. Доход
|
1. Оплата труда
|
2. Доход от инвестиций
|
2.1. Доход от прямых инвестиций
|
2.2. Доход от портфельных инвестиций
|
2.3. Доход от прочих инвестиций
|
C. Текущие трансферты
|
1. Сектор государственного управления
|
2. Текущие трансферты прочих секторов
|
2.1. Переводы наемных рабочих
|
2.2. Прочие трансферты
|
II. Счет операций с капиталом и финансовыми инструментами
|
A. Счет операций с капиталом
|
1. Капитальные трансферты
|
1.1. Сектор государственного управления
|
1.2. Прочие капитальные трансферты
|
2. Приобретение/продажа непроизведенных, нефинансовых активов
|
B. Финансовый счет
|
1. Прямые инвестиции
|
1.1. За границу
|
1.2. В экономику отчетной страны
|
2. Портфельные инвестиции
|
2.1. Активы
|
2.2. Обязательства
|
3. Прочие инвестиции
|
3.1. Активы
|
3.2. Обязательства
|
4. Резервные активы
|
4.1. Монетарное золото
|
4.2. Специальные права заимствования
|
4.3. Резервная позиция в МВФ
|
4.4. Иностранная валюта
|
4.5. Прочие требования
|
Источник: “Balance of Payments Manual”, IMF, 1993, p.p.43-48
Таблица 2
Платежный баланс Российской Федерации в 1993-1997 г.г. (нейтральное представление)
|
1993 год
|
1994 год
|
1995 год
|
1996 год
|
1997 год
|
|
I квартал
|
II квартал
|
III квартал
|
IV квартал
|
I квартал
|
II квартал
|
III квартал
|
IV квартал
|
I квартал
|
II квартал
|
III квартал
|
IV квартал
|
I квартал
|
II квартал
|
III квартал
|
IV квартал
|
I квартал
|
II квартал
|
III квартал
|
Счет текущих операций
|
2913
|
2528
|
2237
|
-1448
|
1275
|
1246
|
2440
|
831
|
5908
|
3227
|
-391
|
763
|
3762
|
1679
|
2006
|
4153
|
4060
|
15
|
-1045
|
Товары и нефакторные услуги
|
1780
|
2167
|
3491
|
-609
|
127
|
2039
|
3236
|
1881
|
4908
|
4119
|
1735
|
1968
|
3260
|
3348
|
3832
|
6284
|
4879
|
2375
|
1618
|
Товары (торговый баланс)
|
1797
|
2375
|
4229
|
1147
|
1461
|
4444
|
5000
|
4207
|
5947
|
6148
|
5073
|
4302
|
4641
|
4925
|
5066
|
8429
|
5880
|
3536
|
3099
|
Экспорт товаров
|
8697
|
11075
|
11853
|
12086
|
13029
|
17026
|
17790
|
18823
|
18855
|
20071
|
20246
|
22382
|
20872
|
21944
|
21920
|
25732
|
21161
|
20236
|
21455
|
Импорт товаров
|
-5200
|
-7500
|
-5800
|
-8459
|
-11682
|
-12249
|
-12597
|
-14656
|
-12908
|
-13923
|
-15173
|
-18080
|
-16231
|
-17019
|
-16854
|
-17303
|
-15281
|
-16700
|
-18356
|
поправка на неэкв. бартер
|
-1700
|
-1200
|
-1824
|
-2480
|
114
|
-333
|
-193
|
40
|
|
|
|
|
|
|
|
|
|
|
|
Нефакторные услуги
|
-17
|
-208
|
-738
|
-1756
|
-1334
|
-2405
|
-1764
|
-2326
|
-1039
|
-2029
|
-3338
|
-2334
|
-1381
|
-1577
|
-1234
|
-2145
|
-1001
|
-1161
|
-1481
|
Экспорт
|
|
|
|
|
|
|
|
|
2021
|
2657
|
2623
|
2758
|
2899
|
3251
|
4073
|
2693
|
2765
|
3317
|
4091
|
Импорт
|
|
|
|
|
|
|
|
|
-3060
|
-4686
|
-5961
|
-5092
|
-4280
|
-4828
|
-5307
|
-4838
|
-3766
|
-4478
|
-5572
|
Баланс услуг труда и капитала (баланс доходов)
|
1032
|
-429
|
-2264
|
-1262
|
1110
|
-767
|
-1045
|
-1084
|
915
|
-880
|
-2068
|
-1300
|
483
|
-1601
|
-1878
|
-2293
|
-852
|
-2281
|
-2613
|
Экспорт услуг
|
|
|
|
|
2247
|
438
|
315
|
243
|
2588
|
631
|
449
|
625
|
2618
|
733
|
481
|
502
|
2440
|
655
|
610
|
труда
|
|
|
|
|
|
|
|
|
15
|
17
|
40
|
95
|
8
|
23
|
35
|
37
|
50
|
63
|
61
|
капитала
|
|
|
|
|
2247
|
438
|
315
|
243
|
2573
|
614
|
409
|
530
|
2610
|
710
|
446
|
465
|
2390
|
592
|
549
|
Импорт услуг
|
|
|
|
|
-1137
|
-1205
|
-1360
|
-1327
|
-1673
|
-1511
|
-2517
|
-1925
|
-2135
|
-2334
|
-2359
|
-2795
|
-3292
|
-2936
|
-3223
|
труда
|
|
|
|
|
-50
|
-50
|
-50
|
-50
|
-26
|
-87
|
-188
|
-168
|
-128
|
-133
|
-132
|
-115
|
-129
|
-158
|
-190
|
капитала
|
|
|
|
|
-1087
|
-1155
|
-1310
|
-1277
|
-1647
|
-1424
|
-2329
|
-1757
|
-2007
|
-2201
|
-2227
|
-2680
|
-3163
|
-2778
|
-3033
|
Текущие трансферты
|
101
|
790
|
1010
|
423
|
38
|
-26
|
249
|
34
|
84
|
-12
|
-59
|
95
|
19
|
-67
|
52
|
160
|
33
|
-79
|
-50
|
Полученные
|
|
|
|
|
|
|
|
|
183
|
163
|
147
|
271
|
135
|
105
|
143
|
315
|
109
|
42
|
68
|
Выплаченные
|
|
|
|
|
|
|
|
|
-99
|
-175
|
-206
|
-176
|
-116
|
-172
|
-91
|
-155
|
-76
|
-121
|
-118
|
|
|
|
|
|
|
|
|
|
|
|
|
|
|
|
|
|
|
|
|
Счет операций с капиталом и финансовыми инструментами
|
-2689
|
289
|
-2696
|
1204
|
-2274
|
-1272
|
-732
|
-3278
|
-2388
|
-3640
|
5026
|
-8662
|
-2793
|
-797
|
-1445
|
-2566
|
-3466
|
-917
|
2174
|
Счет операций с капиталом
|
0
|
0
|
0
|
0
|
0
|
0
|
0
|
0
|
-22
|
-73
|
-173
|
-80
|
-219
|
-66
|
-80
|
-99
|
-29
|
-188
|
-12
|
Капитальные трансферты
|
|
|
|
|
|
|
|
|
-22
|
-73
|
-173
|
-80
|
-219
|
-66
|
-80
|
-99
|
-29
|
-188
|
-12
|
Финансовый счет
|
-2689
|
289
|
-2696
|
1204
|
-2274
|
-1272
|
-732
|
-3278
|
-2366
|
-3567
|
5199
|
-8582
|
-2574
|
-731
|
-1365
|
-2467
|
-3437
|
-729
|
2186
|
Прямые инвестиции
|
287
|
88
|
179
|
128
|
56
|
8
|
-312
|
75
|
116
|
163
|
563
|
870
|
404
|
21
|
690
|
992
|
348
|
1337
|
1531
|
За границу
|
|
|
|
|
|
|
|
|
-68
|
-124
|
-70
|
-43
|
-32
|
-216
|
-66
|
-57
|
-507
|
-623
|
-677
|
В Россию
|
|
|
|
|
|
|
|
|
184
|
287
|
633
|
913
|
436
|
237
|
756
|
1049
|
855
|
1960
|
2208
|
Портфельные инвестиции
|
49
|
12
|
63
|
-59
|
-103
|
-338
|
-216
|
52
|
-1438
|
-57
|
-1
|
62
|
1343
|
750
|
310
|
5275
|
5719
|
7996
|
1828
|
Активы
|
|
|
|
|
|
|
|
|
-1496
|
-26
|
-23
|
20
|
140
|
-73
|
3
|
-243
|
187
|
-42
|
-305
|
Пассивы
|
|
|
|
|
|
|
|
|
58
|
-32
|
23
|
42
|
1203
|
823
|
307
|
5518
|
5532
|
8038
|
2133
|
Прочие инвестиции
|
-2493
|
302
|
-2738
|
1636
|
-2075
|
132
|
-3200
|
-3715
|
-1094
|
2526
|
5555
|
-7271
|
-1887
|
-4135
|
-3559
|
-8698
|
-8221
|
-2058
|
-2740
|
Активы
|
-2545
|
-364
|
-4100
|
-3252
|
-3480
|
-1303
|
-3582
|
-5711
|
-2624
|
1035
|
5794
|
-656
|
-5790
|
-9118
|
-5979
|
-12246
|
-1507
|
-9195
|
-10558
|
Наличная иностранная валюта
|
-380
|
-741
|
-1958
|
-2621
|
-1137
|
-619
|
-2203
|
-2288
|
-1383
|
2345
|
-341
|
-632
|
-96
|
-3072
|
-2544
|
-2803
|
-2671
|
-1203
|
-3511
|
Текущие счета и депозиты
|
105
|
-6
|
-384
|
-219
|
1428
|
749
|
790
|
-1768
|
1269
|
109
|
1187
|
1805
|
1178
|
-1940
|
1232
|
-1469
|
1543
|
-649
|
-1052
|
Торговые кредиты и авансы
|
|
|
|
|
|
|
|
|
-228
|
2
|
8039
|
227
|
-1626
|
-1800
|
-1700
|
-4375
|
-2458
|
-2379
|
-1236
|
Ссуды и займы предоставленные (непросроченные)
|
-110
|
-267
|
-633
|
-139
|
-2439
|
-1214
|
-1098
|
-957
|
1817
|
3748
|
1408
|
1585
|
2424
|
3123
|
2267
|
1685
|
4050
|
2325
|
364
|
Просроченная задолженность
|
-1684
|
-230
|
-120
|
199
|
|
|
|
|
-4156
|
-3772
|
-1398
|
-1228
|
-4612
|
-2374
|
-1295
|
-1195
|
1829
|
-2736
|
-1004
|
Изменение задолженности по своевременно не поступившей экспортной валютной и рублевой выручке
|
|
|
|
|
-550
|
-550
|
-550
|
-550
|
284
|
-741
|
-1683
|
-1677
|
-1082
|
-1100
|
-1129
|
-914
|
-2100
|
-2257
|
-2103
|
Изменение задолженности по своевременно не погашенным импортным авансам
|
|
|
|
|
|
|
|
|
|
|
|
|
-1936
|
-1812
|
-2861
|
-3163
|
-2100
|
-2257
|
-2103
|
Прочие активы
|
-476
|
880
|
-1005
|
-472
|
-782
|
331
|
-521
|
-148
|
-227
|
-656
|
-1418
|
-736
|
-40
|
-143
|
51
|
-12
|
400
|
-39
|
87
|
Пассивы
|
52
|
666
|
1362
|
4888
|
1405
|
1435
|
382
|
1996
|
1530
|
1491
|
-239
|
-6615
|
3903
|
4983
|
2420
|
3548
|
-6714
|
7137
|
7818
|
Наличная национальная валюта
|
|
|
|
|
186
|
221
|
229
|
226
|
-82
|
50
|
161
|
59
|
-87
|
-39
|
-80
|
-37
|
-84
|
69
|
6
|
Текущие счета и депозиты
|
-1617
|
-795
|
-796
|
2140
|
63
|
71
|
234
|
517
|
275
|
148
|
272
|
1748
|
131
|
-12
|
721
|
708
|
-7503
|
495
|
1017
|
Торговые кредиты и авансы
|
|
|
|
|
|
|
|
|
395
|
-433
|
-1278
|
-6774
|
75
|
-434
|
-571
|
131
|
405
|
442
|
120
|
Баланс по привлеченным кредитам
|
1669
|
1461
|
2158
|
2748
|
1156
|
1143
|
-81
|
1253
|
842
|
1603
|
703
|
-2501
|
4178
|
3669
|
2382
|
3220
|
962
|
5791
|
5982
|
Кредиты привлеченные
|
1122
|
863
|
-68
|
1478
|
-2223
|
-3511
|
-2917
|
-3302
|
-2267
|
-627
|
-2966
|
-6700
|
853
|
1580
|
-1427
|
1311
|
-1240
|
4434
|
4108
|
Органами гос.управления и под их гарантию
|
-306
|
-329
|
-161
|
-183
|
-2451
|
-3729
|
-2880
|
-3566
|
-2703
|
-616
|
-1423
|
-572
|
179
|
-571
|
-2156
|
-573
|
-785
|
800
|
406
|
Использовано
|
22
|
45
|
65
|
82
|
847
|
662
|
545
|
638
|
614
|
2131
|
2318
|
3227
|
4150
|
1573
|
1547
|
1407
|
1254
|
2311
|
1862
|
в т.ч. кредиты МВФ
|
|
|
|
|
345
|
345
|
345
|
345
|
0
|
1690
|
1650
|
2144
|
1393
|
1013
|
677
|
672
|
646
|
701
|
677
|
Погашено по графику
|
-328
|
-374
|
-226
|
-265
|
-3298
|
-4391
|
-3425
|
-4204
|
-3317
|
-2747
|
-3741
|
-3799
|
-3971
|
-2144
|
-3703
|
-1980
|
-2039
|
-1511
|
-1456
|
Банковским сектором
|
1428
|
1192
|
93
|
1661
|
228
|
218
|
-37
|
264
|
143
|
371
|
-15
|
179
|
308
|
229
|
246
|
957
|
335
|
485
|
1664
|
Предприятиями
|
|
|
|
|
|
|
|
|
293
|
-382
|
-1528
|
-6307
|
366
|
1922
|
483
|
927
|
-790
|
3149
|
2038
|
Перенесено
|
|
|
|
|
3379
|
4654
|
2836
|
4555
|
2210
|
1670
|
2610
|
5586
|
2600
|
1470
|
3190
|
1180
|
1320
|
350
|
840
|
по кредитам, привлеченным органами гос.управления
|
|
|
|
|
3379
|
4654
|
2836
|
4555
|
2210
|
1670
|
2610
|
5586
|
2600
|
1470
|
3190
|
1180
|
1320
|
350
|
840
|
Просрочено
|
547
|
598
|
2226
|
1270
|
|
|
|
|
899
|
560
|
1059
|
-1387
|
725
|
619
|
619
|
729
|
882
|
1007
|
1034
|
Прирост задолженности перед предприятиями СНГ и Балтии по хоздоговорам
|
|
|
|
|
|
|
|
|
22
|
126
|
-34
|
-72
|
|
|
|
|
|
|
|
Прочие пассивы
|
|
|
|
|
|
|
|
|
78
|
-3
|
-63
|
925
|
-394
|
1799
|
-32
|
-474
|
-494
|
340
|
693
|
Резервные активы
|
-1202
|
-1669
|
-250
|
246
|
1265
|
-1371
|
3791
|
239
|
-96
|
-5936
|
-1105
|
-3249
|
-2034
|
3431
|
1390
|
54
|
-1331
|
-8034
|
1616
|
Монетарное золото
|
|
|
|
|
18
|
577
|
-121
|
59
|
0
|
0
|
0
|
0
|
0
|
0
|
0
|
0
|
0
|
0
|
0
|
Специальные права заимствования
|
|
|
|
|
|
|
|
|
1
|
-230
|
93
|
14
|
-141
|
115
|
134
|
2
|
1
|
-8
|
2
|
Резервная позиция в МВФ
|
|
|
|
|
|
|
|
|
0
|
0
|
0
|
0
|
0
|
0
|
0
|
0
|
0
|
0
|
0
|
Прочие валютные активы
|
|
|
|
|
1247
|
-1948
|
3912
|
180
|
-97
|
-5706
|
-1198
|
-3263
|
-1893
|
3316
|
1256
|
52
|
-1332
|
-8026
|
1614
|
Поправка к резервным активам
|
670
|
1556
|
50
|
-747
|
-1417
|
297
|
-795
|
71
|
146
|
-263
|
187
|
1006
|
-400
|
-798
|
-196
|
-90
|
48
|
30
|
-49
|
Чистые ошибки и пропуски
|
-224
|
-2817
|
459
|
244
|
999
|
26
|
-1708
|
2447
|
-3520
|
413
|
-4635
|
7899
|
-969
|
-882
|
-561
|
-1587
|
-594
|
902
|
-1129
|
Общий баланс
|
0
|
0
|
0
|
0
|
0
|
0
|
0
|
0
|
0
|
0
|
0
|
0
|
0
|
0
|
0
|
0
|
0
|
0
|
0
|
Тенденции в динамике сальдо по счету текущих операций
Обращает на себя внимание увеличение почти в четыре раза притока прямых инвестиций, который составил в за первые девять месяцев минувшего года 5 млрд. долл. (в том числе 1,1 млрд. долл. оплаченная стоимость проданного на аукционе государственного пакета акций ОАО "Связьинвест". Вместе с тем, либерализация доступа иностранного капитала на рынок государственных ценных бумаг (чистые поступления от нерезидентов на рынок ГКО-ОФЗ за девять месяцев составили 10,7 млрд. долл.), а также выход Правительства России и местных органов власти на рынок еврооблигаций (сумма полученная от их размещения за 3 квартала 1997 года 4 млрд. долл.) оказали сильное влияние на увеличение притока и портфельных инвестиций в Россию (примерно на 15,7 млрд. долл. по сравнению с аналогичным периодом прошлого года). В итоге, суммарная величина прямых и портфельных инвестиций в экономику России составила 20,7 млрд. долл. (6,2% к ВВП), что в 5,5 раза больше, чем за соответствующий период предыдущего года.
Такие темпы роста свидетельствуют о существенном росте влияния иностранного капитала на макроэкономическую ситуацию в России.
С другой стороны, по статье "прочие инвестиции" сложился дефицит в размере -6,5 млрд. долл. США, что свидетельствует о чистом приросте иностранных активов резидентов. Причем если прирост иностранных обязательств по прочим инвестициям был достигнут за счет привлечения новых займов, то увеличение иностранных активов происходило в основном по причине чистого ввоза наличной иностранной валюты, непоступления экспортной выручки и предоставления торговых кредитов и авансов источников, не являющих качественно благоприятными для экономики страны.
Общее сальдо платежного баланса за девять месяцев 1997 года сложилось отрицательное в размере -3,1 млрд. долл., причем одновременно прирост официальных резервных активов составил 7,7 млрд. долл. Согласно статистике Центрального Банка, сальдо было профинансировано за счет получения новых займов у МВФ и прочих международных финансовых организаций и реструктуризации сроков погашения уже существующих обязательств.
Таким образом, по итогам анализа состояния платежного баланса России можно сделать вывод о том, что, начиная с 1992 года основной тенденцией показателей платежного баланса являлось постепенное наращивание объемов как экспорта, так и импорта, как следствие постоянное положительное сальдо по счету текущих операций. Также можно отметить дефицит по финансовому счету (счету операций с капиталом) и постепенный рост притока иностранных инвестиций. Вместе с тем, следует отметить, что начиная со второго полугодия 1997 года наметились определенные сдвиги существовавших тенденций.
Оценить, насколько долговременными окажутся последствия этих изменений, на момент написания настоящей работы не представляется возможным по нескольким причинам, среди которых можно выделить две основные: во-первых, еще не опубликован полный платежный баланс РФ за 1997 год, по данным о четвертом квартале которого можно судить о степени развития наметившихся явлений, а во-вторых, последствия кризисных явлений на мировых финансовых рынках и резкие непредсказуемые колебания внешнеторговой конъюнктуры, вносящие большую степень неопределенности в любые прогнозные расчеты.
Но скорее всего, в 1998 году вряд ли стоит ожидать революционных изменений в структуре платежного баланса, хотя по мнению некоторых экспертов41), в текущем году произойдет улучшение платежного баланса России с точки зрения притока иностранного капитала, что вызовет дальнейший рост сальдо по счету операций с капиталом и финансовыми инструментами до 14 млрд. долл. США в годовом выражении. Вместе с тем, ухудшение конъюнктуры на мировых рынках приведет к дефициту по счету текущих операций в объеме 7 млрд. долл. В итоге, чистый прирост международных резервов Центрального банка составит 7 млрд. долл.
США.
Такое развитие ситуации можно предвидеть, если следовать расчетам экспертов инвестиционной компании "Брансвик Варбург", которые показывают, что негативное влияние падения мировых цен на нефть на российский платежный баланс несколько преувеличено42). Так, даже в случае дальнейшего падения цен на нефть, общее сальдо платежного баланса (или прирост международных резервов ЦБР) все равно останется положительным и составит по итогам 1998 года 2 млрд. долл.
§3. Тенденции в динамике сальдо по счету текущих операций платежного баланса России и оценка показателей внешней торговли.
По мере развития рыночных реформ интеграция российской экономики в систему мирового хозяйства становится все более глубокой. В последнее время стало очевидным, что в отличие от прошлых лет оказывать значимое влияние на динамику макроэкономических показателей страны стали не только изменения конъюнктуры на мировых товарных рынках, но и ряд других факторов. Так, недавние потрясения на финансовых рынках мира, впервые столь явно затронувшие российскую экономику в конце 1997 года, заставили более внимательно взглянуть на кратко- и среднесрочные перспективы экономического развития страны и состояние её внешнеэкономических связей. Другим фактором, действие которого по времени совпало с финансовым кризисом, стало резкое ухудшение на рынке нефти, цены на которую за последние месяцы упали до рекордно низкого за последние десять лет уровня.
Учитывая, что экспорт нефти является одним из основных источников валютных поступлений (в 1997 году было экспортировано 126.8 млн. тонн нефти на сумму 14.8 млрд. долл.), столь существенное падение цен не может не сказаться на внутреннем экономическом положении страны и не повлиять на динамику показателей исполнения бюджета, объемов производства, валютного курса, платежного баланса.
Говоря о платежном балансе, необходимо отметить, что хотя основой данных об объемах внешней торговли служит таможенная статистика, общеизвестно, что ее данные не учитывают значительную часть импорта. Это происходит, в частности, из-за сложностей оценки объемов так называемой неорганизованной торговли (официально не охватываемой таможенной статистикой). Оценка объемов этого импорта может быть получена косвенным путем на основе статистики о реализации импортированных товаров общем объеме розничного товарооборота на вещевых и прочих рынках. Расчеты Государственного комитета по статистике показывают, что в 1995-96 г.г. эта величина составляла около 20%-22% от официально регистрируемого импорта.43)
К другой группе проблем регистрации фактического объема импорта относится занижение таможенной стоимости при регистрации импорта и различные способы уклонения от его регистрации. При этом, оценку стоимости товаров, ввозимых таким путем, можно получить на основе данных "зеркальной статистики", то есть путем сопоставления данных российского импорта с данными экспорта стран-партнеров.
Расчеты, выполненные специалистами фонда "Бюро экономического анализа"44), показывают, что согласно результатам сравнительного анализа таможенной статистики с данными МВФ по внешнеторговым партнерам России, данные ГТК о российском экспорте практически точно совпадают с общим объемом импорта из России. Напротив, данные ГТК о российском импорте существенно ниже показателей экспорта в Россию, регистрируемого её партнерами. Согласно проведенным расчетам, суммарная поправка к таможенным данным по импорту может составлять не более 35%-40%.
С другой стороны, государственные органы, публикующие статистику внешней торговли также осуществляют дооценку официальных показателей, причем поправка Центрального Банка на нерегистрируемый импорт является наиболее существенной около 55%.
Таблица 5
Внешняя торговля Российской Федерации в 1995-97 г.г. (млрд. долл.)
|
Экспорт
|
Импорт
|
|
Данные ГТК
|
Оценка Госкомстата
|
Оценка ЦБ РФ
|
Данные ГТК
|
Оценка Госкомстата
|
Оценка ЦБ РФ
|
1995 год
|
78,4
|
81,1
|
81,6
|
46,7
|
61,0
|
60,1
|
1996 год
|
84,9
|
89,1
|
90,4
|
46,6
|
62,3
|
67,4
|
1997 год
|
84,8
|
87,4
|
...
|
52,5
|
67,6
|
...
|
Источники: Публикации ГТК, Госкомстата, Платежные балансы РФ
Как видно из таблицы 5, импорт товаров по данным Центробанка в 1996 году был выше импорта, публикуемого Госкомстатом, почти на 5 млрд. долл. За 9 месяцев 1997 года расхождение составило 2.5 миллиарда. Можно предположить, что в платежном балансе за 4 квартал поправка ЦБ на нерегистрируемый импорт будет также выше поправки Госкомстата.
Если, как и в предыдущие периоды, ее величина составит 0,8 млрд. долл., то суммарное расхождение за год окажется весьма значительным порядка 3,3 млрд. долл.
Проблема отражения в официальных публикациях данных о внешней торговле получила дальнейшее развитие в результате того, что во втором полугодии 1997 года начались серьезные изменения в российской таможенной статистике. По мнению экспертов фонда "Бюро экономического анализа"45 есть основания полагать, что после резкой критики летом и в результате существенного усиления контроля за работой таможенных органов со стороны ФСБ, Прокуратуры и МВД РФ, а также в результате внутренней работы по устранению нарушений данные первичного таможенного учета во втором полугодии 1997 года стали заметно улучшаться: начало сокращаться число таких нарушений, как занижение таможенной стоимости импорта, уклонение от декларирования импорта и др. Это означает, что объективно доля видимого импорта в общем объеме фактического импорта должна увеличиваться. Соответственно, при этом для получения полного объема импорта необходимо снижать коэффициенты досчета.
В противном случае, темпы роста импорта выглядят нереальными.
Безналичный оборот: Деньги - Расчеты - Карты