Деньги, банки, кредит
Банковские услуги
Современный уровень развития производительных сил требует от банковского сектора предоставления все большего числа услуг своим клиентам - промышленным, торговым и иным предприятиям и организациям, а также населению. В последние десять-двадцать лет банковское дело в ряде развитых стран вышло на качественно новый уровень. Этот уровень предполагает, в частности, охват большинства населения банковскими услугами. Так, в Великобритании, Франции, Германии около 80% взрослого населения имеют текущий счет или вклад в банке. Что касается занятой части населения, то 95% ее имеют счет либо в банке, либо в страховом обществе, либо в нескольких кредитно-финансовых институтах.С переходом к системе рыночных отношений в банковском деле одной из актуальных становится проблема детального изучения роли и места банковских услуг в общей совокупности операций коммерческих банков, причин появления и развития новых услуг, а также их влияния на показатели доходности и ликвидности банков. Поиски ответов на эти вопросы будут способствовать развитию банковского дела в нашей стране, более полному удовлетворению потребностей субъектов экономики и государства в банковских услугах.
До середины 60-х гг. рекламе и маркетингу банковских услуг уделялось небольшое внимание. Лишь в конце 60-х гг. в ряде стран были организованы широкомасштабные кампании с целью привлечения внимания потенциальных клиентов к банковскому бизнесу и банковским услугам. Некоторые крупнейшие банки приступили к разработке долгосрочных программ, направленных на пересмотр роли коммерческих банков в рыночной экономике.
В 70-е гг. началось проведение рекламных кампаний по представлению отдельных банков. Именно в эти годы банки приступили к маркетинговому анализу своих взаимоотношений с уже существующими (реальными) и будущими (потенциальными) клиентами. В этот период коммерческие банки США, Великобритании, ФРГ и других стран организовали у себя отделы рекламы и маркетинга, функции которых заключались прежде всего в определении перспективных направлений политики банка по отношению к реальным и потенциальным клиентам, привлечении новых клиентов, создании и совершенствовании предлагаемых им услуг, повышении доходности банковских операций. Примерно с начала 70-х гг. банки стали придавать ключевое значение всей системе своих взаимоотношений с клиентурой - как торгово-промышленной, так и частной. По сути это было начало нового этапа развития рынка банковских услуг. В плане взаимодействия с клиентами он включил два основных направления деятельности банков.
Первое направление было связано с качественным совершенствованием уже существовавших видов операций и услуг. Так, в сфере кредитования многие банки ввели новые виды ссуд, в том числе и для частных клиентов, такие, как:
• ссуда физическому лицу на покупку нового дома до момента продажи заемщиком его старого дома (bridging loan);
• ссуда на покупку дома (housing loan), предлагаемая физическим лицам, как правило, не владеющим на момент выдачи ссуды какой-либо недвижимостью;
• ссуда на улучшение (ремонт) дома (home improvement loan), предоставляемая домовладельцу, планирующему реконструкцию, перестройку или ремонт принадлежащего ему дома;
• ссуда на потребительские цели (consumer loan), формирование личного кредитного плана (personal credit plan);
• ссуда под страховой полис (policy loan);.
• ссуда с погашением в рассрочку (instalment loan);
• ссуда частному лицу на необусловленные цели (use-as-you-please loan);
• потребительская денежная ссуда с разовым погашением (single payment personal cash loan);
• ссуда фермеру на улучшение земельных угодий (improvement loan);
• ссуда на учебу или стажировку (probate advance).
Для клиентов - юридических лиц стали применяться:
• ссуда на начало и развитие предпринимательской деятельности (business start loan и business development plan);
• ссуда на покупку активов другой фирмы (acquisition loan) и др.
Банки стремились найти возможные варианты модификаций старых операций не только для удовлетворения потребностей имеющихся клиентов, но и для привлечения новых.
Второе направление развития рынка банковских услуг заключалось в поиске и развитии банками принципиально новых, ранее не проводившихся операций для клиентов. Это направление со временем стало основным звеном политики многих банков и потребовало важнейших функциональных и структурных изменений в их деятельности.
Банковский процент
Банковский процент - одна из наиболее развитых в России форм ссудного процента. Он возникает в том случае, когда одним из субъектов кредитных отношений выступает банк.Банк, как и любое кредитное учреждение, размещает в ссуду прежде всего не собственные, а привлеченные средства. Доля дохода, получаемая банком, представляет собой компенсацию за посредничество, "рисковое объединение" и кредитную оценку. Риск невыполнения обязательств перед банком по его активам превышает риск невыполнений обязательств перед вкладчиком по пассивам. Таким образом, он принимает на себя риск неплатежей по ссудам. Кроме того, вкладчики допускают более низкую процентную ставку по средствам, передаваемый в банк, с тем чтобы не заниматься поиском клиентов и оценкой их кредитоспособности.
Уровень банковского процента по пассивным операциям, помимо общих факторов, рассмотренных в §13.2, зависит от:
• срока и размера привлекаемых ресурсов;
• надежности коммерческого банка;
• прочности взаимоотношений с клиентом.
Уровень процента на межбанковском денежном рынке при прочих равных условиях, как правило, превышает норму депозитного процента, так как учитывает затраты и интересы кредитного учреждения, предоставляющего ссуду.
К частным факторам, лежащим в основе определения уровня процента по активным операциям банка, относятся:
• себестоимость ссудного капитала;
• кредитоспособность заемщика;
• цель ссуды;
• характер обеспечения;
• срок и объем предоставляемого кредита.
Верхняя граница процента за кредит определяется рыночными условиями. Нижний предел складывается с учетом затрат банка по привлечению средств и обеспечению функционирования кредитного учреждения.
При расчете нормы процента в каждой конкретной сделке коммерческий банк учитывает:
• уровень базовой процентной ставки;
• надбавку за риск с учетом условий кредитного договора.
Базовая процентная ставка (Пбаз) определяется исходя из ориентировочной себестоимости кредитных вложений и заложенного уровней прибыльности ссудных операций банка на предстоящий период:
Пбаз = С1 +С2 +Пм,
где С1 - средняя реальная цена всех кредитных ресурсов на планируемый период;
С2 - отношение планируемых расходов по обеспечению функционирования банка к ожидаемому объему продуктивно размещенных средств;
Пм - планируемый уровень прибыльности ссудных операций банка с минимальным риском.
Средняя реальная цена кредитных ресурсов (C1) определяется по формуле средневзвешенной арифметической исходя из цены отдельного вида ресурсов и его удельного веса в общей сумме мобилизуемых банком (платных и бесплатных) средств.
Средняя реальная цена отдельных видов ресурсов определяется на основе рыночной номинальной цены указанных ресурсов и корректировки на норму обязательного резерва, депонируемого в Центральном банке РФ.
В частности,

где С? - средняя реальная цена привлекаемых банком срочных депозитов;
П? - средний рыночный уровень депозитного процента.
Аналогично определяется средняя реальная цена по другим источникам средств, по которым предусмотрено отчисление средств в фонд обязательных резервов.
Надбавка за риск дифференцируется в зависимости от следующих критериев:
• кредитоспособности заемщика;
• наличия обеспечения по ссуде;
• срока кредита;
• прочности взаимоотношений клиента с банком.
Учитывая, что процент по активным операциям банка играет важную роль в формировании доходов, а плата за привлеченные ресурсы занимает существенное место в составе его расходов, актуальное значение имеет проблема определения процентной маржи (Мфакт), т.е. разницы между средними ставками по активным (Па) и пассивным операциям банка (Пп):
Мфакт = Па - Пп
Основными факторами, влияющими на размер процентной маржи, являются объем и состав кредитных вложений и их источников, сроки платежей, характер применяемых процентных ставок и их движение.
При действующей практике кредитования в нашей стране, как правило, применяются фиксированные ставки процента, не подлежащие пересмотру до окончания кредитной сделки. Однако, продвигаясь по пути создания рыночного механизма, нельзя не учитывать опыт западных стран, где одновременно существует набор процентных ставок, которые, в большинстве случаев, пересматриваются в зависимости от рыночной конъюнктуры и приспосабливаются к ней.
В этих условиях все активы и пассивы принято делить на четыре категории в соответствии с быстротой регулирования процентных платежей и перехода на новый уровень ставок. Существует следующая классификация:
А. Активы и пассивы, по которым применяется немедленный и полный пересмотр процентных ставок при изменении рыночных условий.
В. Полное регулирование в течение трех месяцев.
С. Активы и пассивы, по которым ставки пересматриваются в период, превышающий три месяца.
D. Активы и пассивы с полностью финансированными ставками.
Взаимодействие этих факторов определяется путем сопоставления первых двух категорий активов (А+В) с аналогичными пассивами с учетом сложившейся рыночной ситуации.
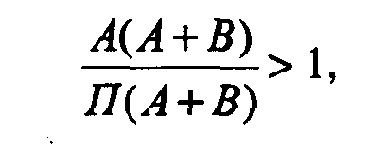
В период, когда процентные ставки растут, для банка более благоприятно соотношение, когда

т.е. число активов с подвижными процентными ставками превышает соответствующую величину пассивов, в связи с чем увеличивается разрыв в ставках по активным и пассивным операциям - растет процентная маржа.
Напротив, при падении рыночного уровня процента желательно придерживаться следующего соотношения, когда

и подкреплять активы с фиксированными ставками за счет пассивов, характеризующихся срочностью пересмотра платежей по процентам.
Для эффективного управления доходом от ссудных операций определяется и анализируется минимальная процентная маржа, характеризующая сложившуюся величину затрат, не покрытых полученными комиссиями и прочими доходами, на каждый рубль продуктивно размещенных средств:

где Pб - расходы по обеспечению функционирования банка (все расходы, кроме сумм начисленных процентов);
Дп - прочие доходы кредитного учреждения (доходы, за исключением поступлений по активным операциям банка); возмещение клиентами почтовых и телеграфных расходов, поступившая плата за услуги, оказанные предприятиям, проценты и комиссии, дополученные за прошлые годы, и востребованные проценты и комиссии, излишне уплаченные клиентам в прошлые годы, прочие доходы;
А? - актив баланса банка, приносящий доход на вложенные средства: кредитные вложения, приобретенные ценные бумаги, средства, перечисленные предприятиям для участия в их хозяйственной деятельности, и др.
Приведенные выше подходы используются коммерческими банками при проведении процентной политики по активным и пассивным операциям.
Вопросы для самоконтроля
1. Какова сущность ссудного процента?
2. В чем заключаются функции ссудного процента и какова его роль?
3. Каковы факторы, определяющие уровень ссудного процента?
4. Какова характеристика банковского процента - одной из форм ссудного процента?
Децентрализация денежного хозяйства, расширение его основы и форм
Для постепенной ликвидации монополии храмов по осуществлению денежных операций древние государства начали проводить с VII в. до н.э. самостоятельную чеканку металлической монеты. Стандартизация и монетизация денежного обращения стали прерогативой государств. Чеканка денег способствовала развитию торговых отношений между странами. Концентрация денежных средств облегчалась вследствие более удобных форм хранения и накопления. Внутренние и внешние экономические связи государств начинают приобретать более стабильный и устойчивый характер. Денежный оборот создает основу для дальнейшей разработки различных форм и методов ускорения торгового и платежного оборотов.Растущее общественное разделение труда, обособление ремесел и промыслов увеличивало количество торговых сделок и платежей. При наличии коммерческих рисков и затруднений необходима была концентрация денежных запасов. Она стала возможной при создании "торговых домов" на Древнем Востоке.
При большой правовой неуверенности и слабой устойчивости регулирования монетного дела данные предприятия, обслуживающие торговый промысел, неизбежно должны были заниматься деятельностью в области денежного хозяйства в пределах экономического интереса.
Вавилонские торговые дома Эгиби и Мурашу (VII-V в. до н.э.) славились разнообразием выполняемых ими операций: комиссионные операции по купле-продаже; выдача ссуд под расписку и залог; продажи и платежи за счет клиентов; участие в торговых делах в качестве финансирующего дело вкладчика; посредничество (как советника или доверенного лица) при составлении разного рода актов и сделок.
В Древнем Вавилоне государство постепенно начинает юридически регулировать личные кредитные отношения и выражать интересы владельцев денег. Поэтому большое значение для торговых домов приобретает операция - выдача кредита под заклад товаров, имеющих определенные рыночные цены. Зная информацию о конъюнктуре местного или дальнего рынков, спросе на тот или иной товар, они предоставляли денежные средства на определенный срок таким образом, чтобы путем продажи и последующей купли данного товара повышенного качества удавалось с лихвой перекрывать предоставленный кредит. Занимаясь в основном приемом сельскохозяйственных продуктов, их продажей и уплатой за клиентов государственных налогов, торговый дом Мурашу располагал в течение года 350 кг серебра, а единовременно - 20 кг и более.
Торговые дома осуществляли собственно коммерческие операции, а денежные как бы их опосредовали. Они имели постоянный доход с расчетных и ссудных операций, но он не пускался в оборот, а вкладывался в недвижимость и рабов. Постоянное взвешивание металлических слитков серебра с государственным клеймом сдерживало объемы кредитных операций.
Принципиальное значение приобретали такие ссудные операции, которые в определенной степени формировали эластичность денежных платежей. С развитием денежного хозяйства забота о платежных средствах становится важнейшей задачей государства, формируется обоюдный интерес между государством и торговыми домами, поскольку они выступали посредниками в платежах. Торговые дома, нередко сознательно идя на убытки, изъявляли готовность оказывать кредит крупным клиентам. Выполнение функций доверителей по составлению коммерческих договоров между клиентами, выпуск во внутреннем торговом обращении специальных расписок ("гуду"), имевших значение металлических денег - выделяло и функционально закрепляло денежные операции торговых домов.
Одновременно с появлением частных кредиторов в лице торговых домов и отдельных лиц, занимавшихся коммерческой деятельностью, действуют государственные торговые агенты - на Древнем Востоке их называли тамкарами. В документах они не назывались по личному имени, очевидно, функция здесь была важнее личности. Формируя оптовый характер определенным видам торговли, тамкары усиливали свое
влияние внесением денежных вкладов и созданием депозитного сбора, являвшимся страховым фондом торговой общины. Важной операцией подобных торговых общин стала продажа и купля денег в виде металлических слитков, торговля ими в других государствах.
Расчетные операции позволяли тамкарам проявлять самостоятельность при неуклонной подотчетности своей деятельности перед государством. Они могли одновременно вести коммерческие дела как за счет государства, так и за собственный счет. Затраты могли превышать полученный агентами доход. С течением времени крупные тамкары создавали свои торговые дома: либо они "кредитовали" государство, либо сдавали не всю выручку, а имели постоянный запас денежных средств на текущие нужды. С помощью помощников (шамаллу) - странствующих торговцев, не располагавших собственными денежными средствами, тамкары выполняли множество операций, в том числе кредитных, в значительном количестве районов, включаясь в международную торговлю и кредитование.
Всю зарождавшуюся торгово-обменную деятельность в основном выполняли рабы. Платившие оброк, действуя самостоятельно, на свой страх и риск. они были более выгодны государству и торговым домам.
Как свободные, распоряжаясь предоставленным им имуществом (пекулием), рабы брали и давали ссуды деньгами и натуральными продуктами себе подобным. Занимаясь торговлей, выступая в качестве свидетелей тех или иных денежных операций, они признавались объектами и субъектами права. Раб не только мог заложить, купить и продать имущество (в том числе недвижимое: дома и земельные участки), но и мог выступать как залогодержатель имущества свободных и рабов. Раб мог даже быть поручителем своего хозяина в тех случаях, когда они брали ссуду совместно.
Кредитор мог арестовать неплатежеспособного должника и заключить его в долговую тюрьму, однако он не имел права продавать должника в рабство третьему лицу. Кредитор также мог взять в залог должника, если последний не вернул ссуды. Поэтому должник бесплатно работал на кредитора, сохраняя свою свободу. После отработки долга и процентов по нему такие должники теряли всякую связь с кредитором. Вместе с тем дети должников, взятые в залог, могли быть обращены в рабство в случае неуплаты долга. Практика "самозаклада" постепенно исчезает с переходом залога в собственность кредитора.
Возможность приобретения единовременно крупных земельных владений в результате присвоения кредиторами заложенной земли несостоятельных должников свидетельствовала о распространении займов под залог земли без изъятия у владельца (ипотека).
Прочность и устойчивость древнего денежного хозяйства закладывались в подневольном человеке, рабе, постоянная (функция которого заключалась в непосредственном и четком осуществлении кредитных, расчетных или кассовых операций. Необходимы были условия, при которых традиция приняла необратимый характер. Если выполнение денежных операций храмами и торговыми домами Древнего Востока в значительной степени представляло собой их внутреннее дело, то появление трапезитов (в переводе с древнегреческого - "человек за столом"), в Древней Греции имело важное государственное и межгосударственное значение. Развитие внешней торговли благодаря колонизации ближайших территорий, массовый завоз рабов, в основном - иноземцев, имевших опыт ведения денежных операций, формирование городского, промышленного характера рабовладения, обязывающего концентрировать денежные средства, - позволили закрепить традиции проведения денежных операций.
В Древней Греции было 33 города, где действовали трапезиты. К концу V в. до н.э. у них наблюдается специализация: одни (трапезиты) принимали вклады и производили платежи за счет клиентов; другие (аргирамойсы) - занимались меняльным делом; третьи - выдавали мелкие займы, как правило, под залог.
Деятельность трапезитов получила почет только с III в. до н.э. благодаря собственным усилиям наиболее отличившихся: Пасиона, Формиона, Гермиоса, Эвбула и др. В то же время история оставила и имена первых трапезитов, которые в результате банкротства, судебных разбирательств прекратили свою деятельность (Аристолох, Созином, Тимодем, Гераклид и др.).
В наибольшей степени овладев меняльным делом (обменной операцией - купля-продажа монет разных государств), трапезиты получали высокие доходы, вытесняя аргирамойсов. Знание содержания металла в монетах, курса разных монет отдельных полисов (свою монету в Древней Греции чеканили 1136 полисов), определение степени их износа, предвидение возможности перечеканки создавали в лице трапезитов профессионалов своего дела.
Одновременно в государственных казначействах (хранилищах) деятельность профессионалов денежного хозяйства была резко ограничена, унифицирована, локальна. Так, в Древней Греции принимали и выдавали деньги - наукрарии, отчитывались по доходам и расходам - полёты, собирали денежные средства - аподеки, оценивали правильность осуществления денежных операций - логисты, судебно разрешали вопросы по неправильной отчетности - эвфины и т.д. Децентрализация денежных операций в рамках государственного аппарата была логически приемлема и в лучшем случае способствовала зарождению государственного кредита.
Традиции ведения денежного хозяйства получили свое развитие и в Древнем Риме. Длительное время денежными операциями занимались лица греческого происхождения. (История оставила имя легендарного из специалистов - Луция Цецилия Юкунда из Помпеи). Они часто привлекали для своих денежных расчетов рабов, которым поручалось их осуществление (диспенсаторы).
Таким образом, развитие рабства и закрепление за рабами денежных операций (сохранных, кассовых, учетных, расчетных, обменных. кредитных, депозитных, в рамках отдельных государств, храмов, торговых домов обеспечили совершенствование посредничества в платежах, стимулировали рост денежных накоплений и их концентрацию стали основой зарождения банков.
17.1.3. Возникновение устойчивых форм организации денежного и кредитного хозяйства.
Создание ассоциаций и товариществ
Правовое закрепление института частной собственности и ее выгодного приложения в наибольшей степени должно было проявиться в денежном хозяйстве. Концентрация денежного капитала потребовала четкого организационного выделения двух наиболее важных с учетом предпринимательской деятельности функций: перераспределительной (перемещение капитала с целью получения большей прибыли) и общественной, публичной (стимулирование воспроизводства материальных благ).
Основу денежного предпринимательства заложила деятельность ассоциаций Древнего Рима и городов средневековой Италии.
Постоянная их связь с государством (расчетное и ссудное обеспечение со стороны ассоциации и детальная правовая регламентация со стороны государства), стимулирование накопления денежного капитала и укрепление денежной системы (рост золотого запаса, изъятие из обращения металлических монет иностранного происхождения, выпуск вкладных бумаг для торговых сделок, внутренняя переоценка национальной монеты взамен перечеканки, платежи за счет третьих лиц), обоюдное содействие экономическому развитию нации (выполнение экономических функций государства - сбор налогов и податей) - таковы направления зарождения денежного предпринимательства.
Уже в Древнем Риме в условиях значительного накопления денежных капиталов, которые в основном принудительно со стороны государства направлялись на покупку обширных земельных владений в частное пользование, аргентарии (люди, выполняющие денежные операции) создавали ассоциации, в которых предпринимательский риск распределялся на всех участников. Одновременно ассоциации принимали на себя обязанности взимания государственных налогов. Пользование денежными средствами в ассоциации облегчалось благодаря отсутствию именного разграничения принимаемых денежных вкладов. Ассоциации активно участвовали в продаже товаров с публичных торгов. Вырученные деньги записывались в кредит доверителя. Ассоциации осуществляли наследственные дела, их участники выступали свидетелями при совершении брачных контрактов. Число денежных (монетных) лавок четко регламентировалось числом аргентариев -участников ассоциации. Другие специалисты (нумулярии), занимавшиеся меняльным делом, не имели права вести кредитные операции.
В Древнем Риме действовали около 50 сравнительно крупных ассоциаций и около 800 ростовщических и меняльных контор, конкурировавших с ассоциациями за мелкого заемщика. Столичные ассоциации расширяли сеть специальных представителей. Конкуренция шла не только за привлечение денежных вкладов, но и за их размещение (контракты с купеческими коллегиями, государственными учреждениями).
В условиях стабильного денежного обращения римские ассоциации активно использовали все ранее известные денежные операции. Предпринимательская основа деятельности римских ассоциаций имела при этом постоянную государственную поддержку. В противовес храмам государство пыталось создавать собственные денежные фонды, которые поддерживали ассоциации в кризисные периоды. Поддержка носила залоговый характер. Так, в Древнем Риме был создан особый фонд для выдачи ссуд сыновьям римских граждан на покупку семян. В качестве обеспечения ссуды принимался участок земли, засеиваемый зерном, купленным на полученную ссуду. Ассоциации с помощью своих представителей вынуждены были прибегать к таким ссудам, чтобы поддерживать свое существование в качестве крупных землевладельцев и не подвергнуться ликвидации государством.
Светская и духовная власти постоянно выступали за регулирование кредитных сделок и ограничение (сокращение) пределов повышения процентной ставки. Римский папа Лев Великий (V в. н.э.) распространил канонический запрет процентов на всех людей христианской веры. Всем священникам запрещалось вступать в денежные сделки с взиманием процентов. Позднее д восточной части Римской империи византийский император Юстиниан (VI в. н.э.) разрешал предоставлять кредиты купцам из 8% годовых, а остальным не позволялось превышать уровня 6%.
Совместные действия духовной и светской властей оказывали влияние на место и характер кредитных отношений. Церковь выступала как заинтересованный совокупный кредитор, а государство как заинтересованный совокупный заемщик. Поскольку кредитные отношения не являлись основной сферой их деятельности, власти выступали как посредники, для которых денежные операции оценивались в совокупности, без выделения ссудных. В условиях господства натурального хозяйства слабости и опасности предпринимательской деятельности (высокий коммерческий риск - грабежи, похищения, поджоги и пр.; длительные расстояния; отсутствие надежных мест хранения; государственная регламентация купли-продажи; отсутствие надежных мер веса; монетный беспредел денежного хозяйства) были наиболее выражены.
Посреднической деятельностью церкви, а затем и государства стали такие операции, как комиссионно-расчетные, обусловленные проведением внутренних и международных платежей; торгово-комиссионные (покупка и продажа драгоценных металлов, иностранной монеты); выдача поручительств, гарантий и иных обязательств за третьих лиц, предусматривающих их исполнение в денежной форме; доверительные операции, включая бухгалтерское и консультационное обслуживание. Духовной власти особенно было выгодно держать уровень процентных ставок на уровне комиссионных.
Собственно кредитные операции носили ростовщический характер, поскольку в основе ссуды лежали личные договоренности двух сторон, опосредованные диктатом кредитора. Для ростовщика кредитные операции служили средством накопления богатства и не стимулировали заинтересованность в предпринимательстве.
С падением Римской империи наступает кризис денежного хозяйства, который преодолевается с расцветом торговли и промышленности крупных ГОРОДОВ СЕВЕРНОЙ ИТАЛИИ с IX в. н.э. (Генуя, Венеция, Флоренция, Милан, Сиена и др.). Благодаря отдельным привилегиям городских властей первые итальянские ассоциации смогли выделиться и приобрести ведущее значение в экономике данных городов. Изъятие у ростовщиков выполнения тех функций, которые обеспечивали распределение торгового и денежного капиталов, давало возможность ассоциациям укрепить свое положение в качестве организаций на предпринимательской основе. Ассоциации становились гарантом привлечения денежных средств и их использования в интересах городов, что усиливало ответственность перед обществом, определяло уровень доверия к ним. С того времени и начал формироваться стереотип подобной деятельности как выгодного предпринимательства, целью которого являлось максимальное извлечение прибыли.
Постепенно роль ассоциаций по выполнению обменных операций с различными металлическими монетами ограничивалась, поскольку с образом менялы стало восприниматься ростовщичество. (Не случайно слово "ажио" как отклонение в сторону повышения рыночного курса денег ассоциировалось с "ажиотером" - денежным менялой, ростовщиком.)
Резкое разграничение ростовщических и собственно кредитных сделок возможно было только при переходе в процессе развития международной торговли к КРЕДИТНЫМ ДЕНЬГАМ (ВЕКСЕЛЯМ) и проведении на их основе операций по учету получивших распространение переводных векселей.
В итальянских городах обращение переводных векселей имело ограниченный исторический период. Так, в Венеции передаточная надпись на векселе (индоссамент) была запрещена с 1593 г. В целом использование бумаги в качестве средства закрепления необходимой экономической информации в Европе с X-XI вв. позволило упростить ранее известные денежные операции (прием коммерческих обязательств, оформление договоров, счетоводство и пр.).
Высокой мобильности итальянских специалистов по денежным операциям, развитию периферийной сети способствовали знания об изменениях вексельных курсов всех стран средневекового мира, правильной их оценки, о местах и времени проведения вексельных ярмарок (наиболее известных в Шампани), осуществлении наиболее выгодных сделок. В силу этого сложилась конкуренция между отдельными ассоциациями итальянских городов. Основное соперничество шло между ассоциациями Венеции и Генуи.
Из указов и законов, трактующих правила выполнения денежных операций времен средневековья, только по одной Венеции можно было составить многие тома. В 1171 г. действовавшее в течение нескольких десятилетий паевое товарищество закрытого типа приобрело облик депозитного (вкладного) банка. Последующие создаваемые товарищества (банки) будучи частными и являясь собственностью богатых горожан (патрициев), рассматривались властями города как общественная касса. Постоянные угрозы со стороны действовавших торговых домов как соперников, недоверие горожан, отсутствие явного интереса к организации денежного хозяйства - такова общая атмосфера, в которой приходилось формироваться товариществам. Период их становления был длительным. Наблюдая этот процесс, городские власти поняли необходимость упорядочения и регламентации подобного рода деятельности.
С 1270 г. существовала обязанность товариществ вносить представителю города - торговому консулу - залог, который с течением времени постоянно повышался в цене. Товарищеское предпринимательство подверглось детальной регламентации (запрет осуществления определенных операций, ограничение конкретными суммами денежных средств, организация особого учреждения по надзору за товариществами, баллотировка и испытание членов товариществ в сенате, присутствие представителей городских властей при проведении денежных операций, запрет соединения меняльного дела и деятельности товариществ, запрет открывать на определенный срок частным лицам другие товарищества, регулирование их количества в городе).
В 1584 г. в Венеции деятельность товариществ была объявлена монополией городских властей. Она сохранялась недолго, наряду с частными товариществами существовали общественные (городские) с ограниченным набором денежных операций. Поскольку положение города постоянно находилось в опасности из-за непрекращающихся междоусобных войн, тесная связь с городскими властями займов приводила к неоднократным разорениям товариществ. В течение XIII-XVI вв. из ста действовавших товариществ только семи удалось избежать разорения.
Достаточно надежные заемщики и сформировавшаяся сеть филиалов по всей Европе позволили отдельным товариществам Венеции сохранить свое могущество. Приближение надежной клиентуры благодаря развитию безналичных расчетов (перенесение сумм с одного счета на другой в книгах товариществ в присутствии обоих клиентов), прием денежных вкладов позволили изменить технологию их деятельности на предпринимательской основе. В 1619 г. существовавшее в Венеции общественное товарищество было названо жиробанк (от лат. giro - оборот). Главными его операциями стали платежи металлической монетой и заменяемыми их бумагами товарищества. Последнее обеспечило ограничение круга клиентов, личное присутствие клиента-плательщика по приказу товарищества, учреждение наличной кассы для удовлетворения требований вкладчиков.
В период с XII по XVI в. в той или иной степени все страны Европы оказались под влиянием деятельности итальянских товариществ.
В значительной мере благодаря поддержанию стабильной денежной валюты своих городов, итальянские товарищества упрочивали свое положение. Знакомство с набором денежных операций, осуществляемых итальянскими товариществами, быстро превращалось в активное их использование на местной, национальной почве.
Денежная масса и денежная база
Единство денег безналичного оборота и наличных денег обусловило возможность рассмотрения их как совокупности в виде денежной массы, под которой понимается совокупный объем наличных денег и денег безналичного оборота. В Федеральном законе "О Центральном банке РФ" от 12 апреля 1995 г. предусмотрено следующее: "Банк России может устанавливать ориентиры роста одного или нескольких показателей денежной массы..." (ст. 43).Важно подчеркнуть, что речь идет о совокупной величине денежной массы, включающей деньги безналичного оборота и наличные деньги.
Различия между безналичными денежными расчетами и безналичным оборотом, который совершается с помощью передачи ценных бумаг, проявляется и в том, что в состав денежной массы в обращении не входят ценные бумаги.
Денежная масса в обращении характеризуется величиной денежного агрегата M2, в состав которого включаются наличные деньги в обращении М0 (сумма наличных денег в обращении вне банков, т.е. за вычетом остатков в кассах банков, а также остатки средств в национальной валюте на расчетных, текущих счетах и депозитах нефинансовых предприятий, организаций и физических лиц, являющихся резидентами РФ. В этот агрегат не включаются депозиты в иностранной валюте).
Сравнительно недавно в РФ для характеристики величины денежной массы стал применяться показатель М2Х, в состав которого помимо величины М2 включаются также все виды депозитов в иностранной валюте (в рублевом эквиваленте - X). При этом для характеристики относительной обеспеченности оборота денежной массой используется коэффициент К2 =М2Х/ВВП. Величина этого коэффициента (К2) призвана характеризовать относительную обеспеченность оборота платежными средствами. В РФ величина К2 в 1995 г. составила 0,16, в то время как в других (развитых) странах его величина достигает 0,6-1,0. Это свидетельствует об относительно невысокой обеспеченности оборота платежными средствами в РФ, что косвенно проявляется в росте неплатежей в хозяйстве, задержках в выдаче заработной платы и пенсий.
Совокупный объем денежной массы, в том числе и ее прирост, во многом определяется увеличением абсолютных размеров кредита банков. С этой стороны величина денежной массы в обращении представляет собой результат денежно-кредитной политики.
В РФ структура денежной массы характеризуется сравнительно большим удельным весом наличных денег, который достигает в отдельные периоды 35% ее совокупного объема, что
намного больше, чем в развитых странах. Поэтому по мере развития безналичных расчетов будет улучшаться и структура денежной массы в направлении уменьшения доли наличных денег и повышения удельного веса денег безналичного оборота.
Для характеристики объема и слагаемых денежной массы в РФ приведем следующие данные.
Эти данные подтверждают сравнительно большой

Эти данные подтверждают сравнительно большой удельный вес наличных денег в совокупном объеме денежной массы, превысивший к 1 июля 1997 г. 37%. Вместе с тем приведенные данные характеризуют наличие значительных резервов экономии с помощью замещения налично-денежных оборотов безналичными расчетами.
Важно и то, что применение большой массы наличных денег обусловлено значительным объемом расчетов наличными, благодаря чему появляется возможность освобождения некоторых операций от налогообложения. Поэтому получение бюджетом причитающихся ему доходов способствует усилению заинтересованности общества в развитии безналичных расчетов и, соответственно, в снижении массы наличных денег в обороте.
Определенный интерес в последнее время вызывает денежная база, величина которой представляет собой итог:
• суммы наличных денег в обращении и в кассах коммерческих банков;
• средств в фонде обязательных резервов банков;
• остатков на корреспондентских счетах коммерческих банков в ЦБ РФ.
Наибольший удельный вес в денежной базе занимают наличные деньги. Об этом свидетельствуют данные об увеличении денежной базы с 103,8 трлн руб. на 1 января 1996 г. до 129,4 трлн руб. на 1 июля 1996 г. и до 163,2 млрд руб. на 1 июля 1998 г. При этом в денежной базе преобладающую часть (свыше 80%) составляют наличные деньги.
Величина денежной массы намного (более чем вдвое) превышает величину денежной базы. Поэтому не следует для характеристики массы денег в обращении пользоваться данными о денежной базе. Регулирование объемов денежной массы и денежной базы осуществляется с помощью мер денежно-кредитной политики, проводимых ЦБ РФ.
В составе мер, предусмотренных денежно-кредитной политикой, можно отметить изменение учетной ставки при предоставлении ресурсов ЦБ в порядке рефинансирования коммерческих банков, установление норм образования Фонда обязательных резервов коммерческих банков, подлежащих хранению в ЦБ, применение нормативов, регулирующих деятельность коммерческих банков, ограничения операций коммерческих банков в ЦБ и т.д. Эти меры призваны предотвратить чрезмерный рост денежной массы и денежной базы.
Вопросы для самоконтроля
7. Каковы функции денег?
2. Каковы особенности функции меры стоимости?
3. Какова сфера выполнения деньгами функции средства обращения и ее значение?
4. Какова сфера осуществления функции средства платежа и ее отличие от функции средства обращения?
5. Особенности и значение выполнения функции средства накопления?
6. Каковы предпосылки и особенности перехода к применению неполноценных денежных знаков?
7. Каковы особенности кредитных и бумажных денег?
8. Каково значение и особенности денег безналичного оборота?
9. В чем различия величин денежной массы и денежной базы?
Денежно-кредитное регулирование
Центральный банк регулирует экономику не прямо, а через денежно-кредитную систему. Воздействуя на кредитные институты, он создает определенные условия для их функционирования. От этих условий в известной мере зависит направление деятельности коммерческих банков и других финансовых институтов, что и оказывает влияние на ход экономического развития страны. Поэтому национальные особенности кредитной системы определяют степень регулирующего воздействия центрального банка на экономику и влияют на условия функционирования центрального банка. Особенности национальной банковской системы в значительной степени воздействуют на выбор путей и методов денежно-кредитного регулирования центральным банком, на предпочтение им тех или иных инструментов денежной политики.Функции контролирующих органов в денежно-кредитной сфере нередко переплетаются. Например, в США важным органом, контролирующим деятельность банковского сектора, является наряду с Федеральной резервной системой (ФРС) Контролер денежного обращения. Этот орган был создан задолго до появления ФРС, в 1863 г. в соответствии с Законом "О национальной денежной единице". Контролер денежного обращения наблюдает за деятельностью всех кредитных инструментов, находящихся в ведении организаций федерального уровня.
Кроме этого органа правами по банковскому контролю в США наделены банковские департаменты штатов, а также Федеральная Корпорация по страхованию депозитов, которая выдает лицензии на право совершения банковских операций кредитным институтам на федеральном уровне.
При выдаче лицензии проверяются прежде всего "финансовые тылы" вновь образовавшегося банка, соблюдение нормативов по использованию капитала, компетентность руководства, а также точность маркетинговых исследований в данной местности. Банкам, которым выдана федеральная лицензия, предписывается обязательное участие в ФРС; им придается статус федерального кредитного института и они называются национальными. Банки, получившие лицензию от правительства штата, имеют статус кредитного института, штата и им предоставляется возможность выбора: быть или не быть членом ФРС. Поскольку разные штаты вправе издавать собственные банковские законы, кредитные институты США поставлены в разные условия, что побуждает ФРС к использованию не административных, а рыночных механизмов регулирования.
Специфические условия сложились в денежно- кредитной системе Великобритании. Банк Англии предпочитает организацию контактов с банковской системой через группу специализированных кредитных институтов - через дисконтные дома. Последние представляют собой существенную институционную особенность английской банковской системы, так как играют важную роль в осуществлении денежной политики Банка Англии. К ним относятся восемь институтов, занимающих как бы промежуточное положение между центральным банком и прочими кредитными институтами. Такое особенное положение определяется тем, что только эти кредитные институты в английской банковской системе имеют привилегию рефинансирования в центральном банке. За это дисконтные дома обязаны еженедельно принимать на себя от Банка Англии казначейские векселя в полном объеме, что очень выгодно последнему, так как в Великобритании задача размещения казначейских ценных бумаг возлагается на центральный банк.
Дисконтные дома выступают в роли посредника между Банком Англии и банковской системой, на которую центральный банк не может непосредственно влиять, поскольку другие кредитные институты не имеют прямого доступа к рефинансированию центрального банка, как это происходит в других странах.мира.
Примером конструктивного сотрудничества между банковской системой страны и центральным банком служат отношения между двумя уровнями банковской системы Нидерландов, где активно развиваются контакты центрального банка с руководством национальных кредитных институтов. Законодательством страны центральному банку предписывается проведение регулярных консультаций с представителями кредитно-финансовых учреждений с целью разъяснения основных направлений политики центрального банка, а также с целью выработки совместными усилиями стабилизационных, антиинфляционных мероприятий. Практика подобного рода способствует установлению хороших контактов и взаимопониманию между двумя уровнями кредитной системы. Подобно Центральному банку Нидерландов тесные контакты с кредитной системой стремится поддерживать и Австрийский национальный банк.
Немецкий федеральный банк строит свои контакты с национальной кредитной системой не только через филиальную сеть, но и через крупные немецкие банки. Основная задача филиалов Немецкого федерального банка - контроль за соблюдением коммерческими банками установленных требований по минимальным резервам, обеспечение кредитных институтов, расположенных на соответствующей территории, наличностью, а также выполнение функций контор национального клирингового центра. Филиалы Немецкого федерального банка выступают в качестве промежуточного звена между кредитными институтами и центральным банком.
Большинство центральных банков ряда ведущих стран мира наиболее тесно сотрудничают с рядом крупных институтов, которые представляют собой ядро банковской системы.
Инструменты регулирования. Центральные банки развитых стран располагают определенными методами воздействия на экономику. Традиционно к ним относятся: дисконтная (учетная) и залоговая политика; политика минимальных резервов: операции на открытом рынке;
депозитная политика; валютная политика. Однако содержание стандартного набора методов и сочетание их применения банками разных стран зависят от ряда предпосылок.
Попытки подвести современные стратегии центральных банков разных стран под традиционные концепции денежной политики показали, что ни монетаризм, ни теории государственного регулирования в чистом виде не находят своего выражения в практике воздействия на экономику страны. В перспективе можно рассчитывать на компромиссный вариант выбора стратегии центрального банка. При этом в настоящее время все больше приоритет отдается рыночным механизмам по сравнению с административными методами регулирования. Примером тому служит либерализация банковского законодательства в ряде европейских стран в начале 90-х гг. (Австрии, Италии, Франции и др.)
Одним из основных принципов определения стратегии центральных банков служит ориентация на регулирование темпа роста денежной массы в национальной экономике или регулирование валютного курса национальной денежной единицы по отношению к какой-либо стабильной иностранной валюте, т.е. на внутренние или внешние показатели (рис. 19.1).

Рис. 19.1. Стратегия центрального банка
Выбор той или иной стратегии центрального банка зависит от ориентации экономики страны. При этом наблюдается следующая тенденция. Центральные банки развитых стран с мощным внутренним рынком ориентируются на регулирование темпов роста денежной массы в пределах расчетного индекса. Такой стратегии придерживаются, например, Немецкий федеральный банк, Банк Англии, ФРС США.
Различаются внутренняя и внешняя стабильность национальной денежной единицы (под внутренней понимается безинфляционное развитие, под внешней - стабильность валютного курса национальной денежной единицы по отношению к другим валютам).
В соответствии с выбранной стратегией центральные банки осуществляют в качестве приоритетной либо денежную, либо валютную политику и используют соответствующие инструменты.
В целях регулирования объема денежной массы проводятся меры либо по стимулированию роста денежной массы (экспансивная кредитная политика), либо по сдерживанию ее увеличения (рестрикционная кредитная и антиинфляционная политика). Однако в условиях стагфляции центральному банку приходится искать компромиссное сочетание инструментов экономического регулирования, как это происходит в настоящее время в ряде восточноевропейских стран, в России и странах Ближнего зарубежья.
Регулирование валютного курса национальной денежной единицы предпочитают европейские страны с развитой, ориентированной на экспорт, экономикой. В качестве примера можно привести Австрию, Бельгию, Нидерланды.
Выбор и сочетание инструментов, применяемых в определенной экономической ситуации, зависят от стратегии центрального банка. Тем не менее можно назвать требования, предъявляемые к инструментарию центрального банка любой развитой страны. Речь идет прежде всего об инструментах, которые должны обладать максимальной действенностью.
Не менее важным требованием является равномерность воздействия на конкурентоспособность отдельных групп или всех кредитных институтов. В связи с этим мероприятия центрального банка подразделяются на две группы. К первой из них относятся меры воздействия на часть коммерческих банков. Вторая группа включает мероприятия, касающиеся всех кредитных институтов. В качестве примера можно привести проведение центральным банком рестрикционной учетной политики. Инструменты, относящиеся к обеим группам, соответствуют требованию нейтральности центрального банка, поскольку они одинаково влияют на конкурентоспособность кредитных институтов по отношению друг к другу внутри различных групп или всех банков в целом. Это не исключает различных последствий таких мер для различных банков (например, крупных и мелких).
Все инструменты можно охарактеризовать с помощью следующих критериев:
• традиционные или нетрадиционные;
• административные или рыночные;
• общего действия или селективной направленности;
• прямого или косвенного воздействия;
• краткосрочные, среднесрочные или долгосрочные. Целесообразно различать прямое и косвенное воздействие того или иного механизма. Например, при проведении учетной политики осуществляется прямое регулирование на денежном рынке и одновременно оказывается косвенное воздействие на рынок капиталов.
Под долгосрочными целями денежно-кредитной политики понимается стратегия центрального банка, рассчитанная на период от одного года до нескольких десятилетий. Так, стратегия стабилизации Немецкого федерального банка длится с начала 60-х гг. по настоящее время.
Эффективность комбинирования применяемых одновременно инструментов денежно-кредитной политики зависит от успешного их сочетания при достижении разных по срокам целей. Примером инструментов долгосрочного регулирования служат традиционные инструменты денежной политики (например, политики минимальных резервов, политики рефинансирования и др.). Осуществлению краткосрочных целей служат как нетрадиционные инструменты, например операции "своп" в рамках валютной политики, арбитраж в рамках политики открытого рынка, так и некоторые традиционные инструменты (в Германии - операции с федеральными ценными бумагами).
Дисконтная (учетная) и залоговая политика центрального банка. Кредитные институты имеют возможность получать при необходимости кредиты центрального банка путем переучета векселей или под залог ценных бумаг. Смысл дисконтной и залоговой политики заключается в том, чтобы методом изменения условий рефинансирования коммерческих банков влиять на ситуацию на денежном рынке и рынке капиталов. Практически во всех странах Европейского Сообщества кредитные институты имеют возможность рефинансирования непосредственно в национальном банке. Исключение составляют Италия и Португалия. При этом рефинансирование может происходить как под залог ценных бумаг, так и без залога.
Рефинансирование в рамках дисконтной политики определяется следующими параметрами: требованиями к качеству принимаемых к переучету векселей; контингентом переучета, т.е. максимально возможным объемом переучета векселей для одного кредитного института; учетной ставкой центрального банка. В рамках залоговой политики к таким параметрам относятся требования к качеству принимаемых в залог ценных бумаг, ставка по залоговым кредитам; при необходимости количественное ограничение или временное приостановление выдачи залоговых кредитов.
При осуществлении дисконтной и залоговой политики центральный банк может селективно воздействовать на определенные отрасли народного хозяйства путем поощрения или ограничения приема к переучету или в залог векселей определенного рода путем изменения требований к качеству принимаемых в залог и к переучету векселей. Селективное воздействие нередко сопровождается общеэкономическими последствиями. Так, при ограничении объема определенных ценных бумаг, принимаемых в залог или к переучету, центральный банк снижает в целом кредитный потенциал коммерческих банков.
Поэтому в настоящее время общеэкономический эффект воздействия путем проведения дисконтной или залоговой политики выступает по своему значению на первый план. Макроэкономический эффект регулирования учетной ставки подтверждается наличием определенной взаимосвязи между изменением ее величины и темпом роста валового национального продукта.
Изменение контингента рефинансирования позволяет центральному банку достигать следующего эффекта. При ограничении контингента коммерческие банки вынуждены обращаться к более дорогим источникам кредитования, например к залоговым кредитам, что означает снижение объема их кредитного потенциала и удорожание кредитов. Ставка по залоговым кредитам центрального банка обычно выше ставки переучета.
В Бельгии, Германии, Дании и Нидерландах кредитные институты имеют возможность рефинансироваться в ограниченном объеме у центрального банка по ставкам ниже рыночных. В Германии и Дании кредитные институты могут при этом получать практически нелимитированные кредиты центрального банка дополнительно по рыночным ставкам, что повышает их ликвидность и конкурентоспособность по сравнению с коммерческими банками других европейских государств.
Рассмотрим действие данного инструмента на примере изменения величины учетной ставки. Если цель центрального банка -удорожание рефинансирования кредитных институтов для уменьшения их кредитного потенциала, он должен поднять учетную ставку. Однако данное мероприятие не принесет желаемого эффекта, если на денежном рынке наблюдается понижательная тенденция, так как в этом случае кредитные институты предпочтут межбанковские кредиты. Центральному банку для достижения поставленной цели необходимо воздействовать на денежный рынок другими методами (путем повышения ставок по минимальным резервам и т. д.). При прочих равных условиях, в случае действенного повышения учетной ставки, рефинансирование для коммерческих банков удорожается, что ведет в итоге к росту стоимости кредитов в стране. Тем не менее крупные банки зачастую позволяют себе снижать маржу и не изменять вслед за центральным банком процентные ставки, чтобы привлечь более широкую клиентуру.
Если целью центрального банка является облегчение доступа коммерческих банков к рефинансированию путем переучета векселей, он снижает учетную ставку. В этом случае кредитный потенциал коммерческих банков увеличится, а проценты по предоставляемым ими кредитам получат импульс к снижению.
Изменение учетной ставки центрального банка влечет за собой изменения условий не только на денежном рынке, но и на рынке ценных бумаг, в чем проявляется косвенное воздействие данного механизма регулирования. Повышение ставок по кредитам и депозитам на денежном рынке, обусловленное ростом учетной ставки центрального банка, вызывает уменьшение спроса и рост предложения ценных бумаг. Спрос на ценные бумаги уменьшается как со стороны небанков, потому что более привлекательными для них становятся депозиты, так и со стороны кредитных институтов, вследствие того, что при дорогих кредитах выгоднее прямое финансирование.
Таким образом, рост учетной ставки центрального банка относительно уменьшает рыночную стоимость ценных бумаг. Снижение учетной ставки центрального банка, напротив, удешевляет кредиты и депозиты, что ведет к процессам, обратным рассмотренным ранее. Растет спрос на ценные бумаги, уменьшается их предложение, поднимается их рыночная стоимость.
Осуществляя дисконтную и ломбардную политику центральный банк выполняет "сигнальную миссию". Снижение учетной ставки центрального банка кредитные институты и небанковские учреждения расценивают как сигнал к ориентации на экспансивную политику центрального банка. Повышение учетной и ломбардной ставок и служит сигналом к проведению контрактивной денежной политики. Такие сигналы позволяют кредитным институтам "подготовиться" к новым мерам центрального банка, ориентир на содержание которых они получили благодаря его "сигнальной миссии" при проведении дисконтной и залоговой политики.
В результате учетная и залоговая политика центрального банка является способом его непосредственного воздействия на ликвидность кредитных институтов путем изменения условий переучета и залога ценных бумаг, что влечет за собой косвенное воздействие на экономику страны.
Центральный банк Российской Федерации предоставляет банковскому сектору централизованные кредиты, выдаваемые на рыночных условиях в рамках денежно-кредитной программы Правительства и ЦБ РФ. До конца 1992г. механизм рефинансирования кредитных институтов, принятый в развитых странах, в практике экономического регулирования Банка России фактически отсутствовал. Центральный банк Российской Федерации пытался влиять на процентные ставки коммерческих банков путем регулирования объема и цены централизованных кредитов, что отвечало требованиям поставленной задачи антиинфляционного регулирования. Однако путем простого увеличения ставок достичь поставленной цели антиинфляционного регулирования не удалось. С января 1997 г. ЦБ РФ изменял ставки рефинансирования несколько раз и снизил их с 48%, 42%, 36%, 24% до 21% воктябре 1997 г.
Курс Банка России на развитие рыночных механизмов регулирования выразился в организации кредитных аукционов, с введением которых ограничивается административное установление процентных ставок и объемов кредитов центрального банка.
Политика обязательных резервов. В развитых странах, кроме Великобритании, Канады и Люксембурга, к коммерческим банкам предъявляется требование размещения ими в центральном банке минимальных резервов. Однако в применении конкретных форм данного инструмента в разных странах наблюдаются существенные различия в зависимости от национальных особенностей развития финансового рынка. Центральными банками используются различные структура минимальных резервов, амплитуда и частота колебаний их величины, специфика начисления процентов, условия, предоставляемые кредитным институтам при их рефинансировании.
Требования минимальных резервов появились как страховка ликвидности кредитных институтов, как гарантия по вкладам клиентов. Этот мотив использования минимальных резервов существует и сегодня. Поддерживая ликвидность банков, центральный банк выполняет свою задачу "кредитора последней инстанции".
Как инструмент денежной политики минимальные резервы выполняют двоякую роль: служат текущему регулированию ликвидности на денежном рынке и одновременно играют роль тормоза эмиссии кредитных денег коммерческими банками. Во многих странах минимальные резервы практически уже не используются как инструмент "жесткого" регулирования, так как центральные банки предпочитают им более гибкую политику открытого рынка.
По закону о Немецком федеральном банке центральный банк правомочен требовать от кредитных институтов соблюдения беспроцентных минимальных резервов.
В качестве компенсации за необходимость держать в центральном банке беспроцентные резервы для коммерческих банков существует ряд льгот:
• бесплатное совершение безналичного платежного оборота через Немецкий федеральный банк;
• причисление наличных средств коммерческих банков, находящихся у них в избытке, к выполнению обязательств по минимальным резервам, а также тот факт, что минимальные резервы могут служить рабочими активами.
Кроме приведенных выше "компенсирующих мер", дополнительно используется субвенционное рефинансирование путем переучета векселей. В некоторых случаях резервные обязательства могут быть выполнены путем приобретения государственных ценных бумаг, что преследует еще одну цель - финансирование государственного бюджета. Теми же мотивами руководствуется центральный банк, устанавливая высокий уровень минимальных резервов при относительно небольшом проценте. Такую политику чаще всего проводит центральный банк, вынужденный финансировать дефицит государственного бюджета.
При установлении ставок по минимальным резервам большую роль могут играть непосредственные переговоры между центральным и коммерческими банками. Так, в Нидерландах повышение наличных (кассовых) резервов кредитных институтов определяется путем согласования этой величины между центральным банком Нидерландов и коммерческими банками.
В механизме расчета ставок, а также в критериях, по которым они дифференцируются, в разных странах наблюдаются существенные различия. Резервные обязательства ориентируются, как правило, по состоянию или росту определенной части обязательств кредитных институтов. Резервы, учитываемые на активной стороне банковского баланса, величина которых должна согласовываться с величиной выданных кредитов (при соблюдении коэффициента ликвидности), составляют исключение. Основной статьей при расчете минимальных резервов служит величина вкладов небанковских учреждений по пассивной стороне баланса. В некоторых случаях учету при определении величины минимальных резервов подлежат и межбанковские обязательства.
Практически во всех развитых странах процесс подачи данных коммерческими банками для расчета минимальных резервов формализован. Так, Немецкий федеральный банк предлагает использование специального формуляра, посредством которого отдельные кредитные институты заявляют о своих обязательствах, подлежащих учету при расчете минимальных резервов.
Эффективность инструмента обязательных резервов зависит от широты охвата ими различных категорий обязательств. Увеличивая спектр таких обязательств, центральный банк уменьшает возможность обхода своих требований со стороны кредитных институтов. Например, в обязательства, облагаемые минимальными резервами в Германии, включаются вклады до востребования, срочные и сберегательные вклады сроком до четырех лет, а также привлеченные средства на межбанковском денежном рынке и долговые обязательства - именные и на предъявителя - сроком до двух лет. По закону о банковской деятельности ставки по минимальным резервам имеют верхнюю границу, при этом для разных видов вкладов границы неодинаковы. Ставки по обязательным резервам классифицируются не только по видам обязательств, но и по величине, срокам и происхождению (относительно резидентов и нерезидентов).
Размеры ставок по минимальным резервам существенно колеблются по странам. Наивысшие ставки установлены в Италии и Испании. На противоположном полюсе находится Япония, где ставка по минимальным резервам обычно не превышает 2,5%. Банк Англии, который практически не использует минимальные резервы как инструмент денежной политики, требует от кредитных институтов лишь 0,45% обязательств, подлежащих учету в минимальных резервах. Такую существенную разницу между ставками по минимальным резервам можно объяснить тем, что в странах, где установлена высокая резервная ставка, обязательства по минимальным резервам обычно не являются беспроцентными.
В большинстве развитых стран в последние годы активность использования политики минимальных резервов в качестве инструмента регулирования банковской ликвидности и для контроля рентабельности банковских операций снизилась. В Японии резервные ставки претерпели последнее существенное колебание после первого нефтяного кризиса середины 70-х гг., однако они остались после этого практически на том же уровне. В США резервная система уже давно отказалась от механизма изменения ставок минимальных резервов, однако Немецкий федеральный банк успешно использует данный инструмент, хотя и значительно реже, чем во времена функционирования Бреттонвудской валютной системы.
Стремление центральных банков добиться четкого выполнения требований по соблюдению минимальных резервов наталкивается на попытки коммерческих банков уклониться в рамках закона от платежей по поддержанию обязательных резервов. Так, в США в конце 70-х гг. многие банки вышли из ФРС в связи с тем, что в то время предписания по минимальным резервам касались только банков-членов. Развитие новых финансовых операций и появление свободных от резервного бремени еврорынков дало новые возможности коммерческим банкам США, так как депозиты, размещенные на еврорынке, остаются не охваченными национальными минимальными резервами. Происходит это по следующей причине: центральный банк отдельной страны либо вообще не использует механизм минимальных резервов (Люксембург), либо от обязательств по минимальным резервам освобождаются депозиты нерезидентов (во Франции и Испании), либо учету в минимальных резервах не подлежат те депозиты нерезидентов, которые компенсируются кредитами нерезидентам (в Германии).
С появлением новых путей обхода предписаний по минимальным резервам руководителям денежно-кредитной политики приходится все чаще изменять условия их взимания. В начале 80-х гг. США выступили с инициативой ввести единую систему минимальных резервов на еврорынке. Тогда данное предложение не нашло достаточной поддержки и поэтому не имело успеха.
Механизм обязательных резервов используется как инструмент кредитной политики практически во всех развитых странах. При этом страны, придерживающиеся твердого валютного курса, применяют данный инструмент в рамках политики гибкого регулирования. С развитием международных экономических связей, в том числе в банковском секторе, при создании свободных экономических зон, крупных региональных экономических объединений (например, таких, как ЕЭС) использование политики минимальных резервов требует постоянной адаптации к изменяющимся условиям.
Политика открытого рынка. Такая политика представляет собой выполнение операций по покупке или продаже твердопроцентных ценных бумаг центральным банком за свой счет на открытом рынке. Здесь к основным ценным бумагам относятся: казначейские векселя, беспроцентные казначейские обязательства, облигации государственного займа, промышленные облигации, первоклассные краткосрочные ценные бумаги и др.
Традиционными средствами проведения политики открытого рынка являются операции с государственными ценными бумагами на вторичном рынке, характерные для Великобритании, Германии, Греции, Италии и Франции. Операции на первичном рынке с государственными ценными бумагами осуществляются в строго определенных рамках в Великобритании. Для Банка Англии политика открытого рынка выступает ведущим инструментом экономического регулирования. Прочие инструменты используются нерегулярно. При проведении политики открытого рынка Банк Англии концентрируется на двух основных операциях: в рамках долгосрочной политики - на операциях с облигациями государственного займа, а в краткосрочной - на операциях с казначейскими векселями. Эта политика осуществляется через дисконтные дома путем установления для них твердых ставок по купле-продаже ценных бумаг. Таким образом, на денежном рынке создается дефицит ликвидных ресурсов, что способствует успешному проведению учетной политики. Операции на первичном рынке с негосударственными ценными бумагами не находят широкого распространения в рамках политики открытого рынка.
Для оживления экономики центральный банк увеличивает спрос на ценные бумаги. Он либо фиксирует курс, при достижении которого он скупает любой предлагаемый объем, либо приобретает определенное количество ценных бумаг данного типа независимо от курса предложения.
Напротив, если целью центрального банка является уменьшение резервов банковского сектора, то он выступает на открытом рынке на стороне предложения, проводя контрактивную политику. В этом случае у центрального банка есть две возможности реализации своей цели; либо объявить курс, при достижении которого центральным банком будет предложено любое количество ценных бумаг, либо предложить определенное количество ценных бумаг дополнительно.
Контрактивная политика открытого рынка приводит к возрастанию доходов от государственных ценных бумаг и к потере кредитными институтами части своих резервов.
При всех существующих различиях в осуществлении политики открытого рынка можно определить общую тенденцию, которая выражается в том, что центральные банки разных стран уделяют все большее внимание развитию данного инструмента; это связано со стремлением к регулированию экономики рыночными, а не административными методами.
Депозитная политика. Депозитная политика регулирует движение потоков денежных средств между коммерческими банками и центральным банком и тем самым оказывает влияние на состояние резервов кредитных институтов.
Если проводится экспансивная депозитная политика, денежные средства государственного сектора экономики, размещенные в центральном банке, уменьшаются (например, на величину b). Соответственно на эту величину возрастают резервы второго уровня банковской системы. При проведении экспансивной депозитной политики необходимо учитывать и обратный эффект, который вызывает рост резервов кредитных институтов. Если допустить, что размещенные в результате проведения депозитной политики в кредитных институтах денежные средства государственного сектора состоят на долю с из наличных денег, то общий объем резервов коммерческих банков увеличивается на (1 - с) • b. При увеличении резервов коммерческих банков путем притока депозитов из государственного сектора сумма минимальных резервов при ставке r возрастет на r • (1 - с) • b. Тогда резервы кредитных институтов увеличатся на разницу между двумя вышеприведенными данными.
При увеличении резервов возрастает кредитный потенциал коммерческих банков, что при уравновешенном рынке ведет к снижению процентных ставок и росту инфляции. При проведении контрактивной депозитной политики достигается обратный результат - уменьшение банковских резервов, сокращение кредитного потенциала, рост процентных ставок, снижение темпов инфляции.
Валютная политика. Направление и формы валютной политики, проводимой центральным банком, зависят от внутриэкономического положения данной страны и ее места в мировом хозяйстве. Цели валютной политики меняются в зависимости от исторического периода. Одним из важнейших средств реализации валютной политики является валютное регулирование.
Центральный банк обычно использует две основные формы валютной политики: дисконтную и девизную.
Дисконтная (учетная) политика проводится не только с целью изменения условий рефинансирования отечественных коммерческих банков, но иногда направлена на регулирование валютного курса и платежного баланса. Однако в современных условиях в странах с развитой и устойчивой экономикой, как правило, превалируют внутренние интересы. Довольно часто внутренние и внешние цели не совпадают, что приводит к необходимости решения спорных вопросов между центральным банком и правительственными структурами в лице Минфина и т.п.
Центральный банк, покупая или продавая иностранные валюты (девизы), воздействует в нужном направлении на изменение курса национальной денежной единицы - девизная политика. Подобные операции получили название "валютных интервенций". Приобретая за счет официальных золото-валютных резервов (или путем соглашений "своп") национальную валюту, он увеличивает спрос, а следовательно, и ее курс. Напротив, продажа центральным банком крупных партий национальной валюты приводит к снижению ее курса, так как увеличивается предложение. Влияние валютной политики центрального банка в форме проведения операций на срочном валютном рынке проявляется в стимулировании экспорта или импорта капитала. Направление желаемого движения капиталов зависит от приоритета политики центрального банка в данной экономической ситуации, что может выражаться либо в стимулировании товарного экспорта (демпинговая политика), либо в поддержании курса национальной валюты по отношению к иностранной.
Вопросы для самоконтроля
1. Какой банк является главным звеном двухуровневой системы?
2. Как возникли центральные банки?
3. Какие задачи выполняют центральные банки?
4. Какие функции выполняют центральные банки?
5. Каковы функции Центрального банка РФ?
6. Каковы способы и инструменты денежно-кредитного регулирования?
Деньги безналичного оборота
Деньги безналичного оборота отличаются спецификой, на которую следует обратить внимание, тем более что применяемая терминология не раскрывает особенности таких денег и их оборота.Особенности безналичных денежных расчетов проявляются в следующем:
• в расчетах наличными деньгами принимают участие плательщик и получатель, передающие наличные средства. В безналичных денежных расчетах участников трое: плательщик, получатель и банк, в котором осуществляются такие расчеты в форме записей по счетам плательщика и получателя;
• участники безналичных денежных расчетов состоят в кредитных отношениях с банком. Эти отношения проявляются в суммах остатков на счетах участников таких расчетов. Подобные кредитные отношения в налично-денежном обороте отсутствуют;
• перемещения (перечисления) денег, принадлежащих одному участнику расчетов, в пользу другого производятся путем записей по их счетам, в результате чего изменяются кредитные отношения банка с участниками таких операций. Другими словами, здесь производится кредитная операция, совершаемая с помощью денег. Тем самым оборот наличных денег замещается кредитной операцией. Это подчеркивает значение целесообразной организации процессов кредитования для регулирования денежной массы, состоящей из денег безналичного оборота и наличных денег.
Наряду с широким распространением безналичных денежных расчетов определенное развитие получило использование различных ценных бумаг (обязательств предприятий и банков) для совершения платежей без непосредственного оборота денежных средств. Между этими видами расчетных операций существуют общие черты и немалые различия.
В отличие от безналичных денежных расчетов, состоящих в перечислении денежных средств по счетам клиентов банков и совершаемых при участии банка в каждой операции, имеется довольно значительный безналичный оборот, осуществляемый с помощью различных ценных бумаг (обязательств предприятий и банков).
В подобных операциях оборот наличных денег замещается движением ценных бумаг, выражающих различные кредитные отношения. Такое замещение оборота наличных денег характеризуется особенностями по сравнению с безналичными денежными расчетами. Одна из особенностей - при безналичном обороте необязательным является участие банка в каждой расчетной операции, осуществляемой с помощью ценных бумаг. Так, вексель или другое обязательство могут быть использованы для уплаты при условии совершения передаточной надписи (индоссамент), но без перечисления денег по счетам участников операций в банке.
Другая особенность заключается в следующем. При безналичных денежных расчетах средства плательщика, хранящиеся на его счете в банке, могут быть использованы как всеобщее платежное средство для расчетов с различными получателями: их согласие на это не требуется.
Что же касается оплаты с помощью ценных бумаг, то она может быть осуществлена при условии согласия получателя на такую оплату. Возможность согласия осложняется еще и тем, что при оплате, например. векселем получатель должен перечислить налоги за реализованную продукцию, несмотря на то. что выручка еше не поступила.
Существует еще одна особенность. Она состоит в том, что участники расчетов с помощью ценных бумаг принимают на себя определенную ответственность за погашение ценной бумаги. Так, если вексель использовался для расчетов между юридическими лицами, о чем имеется соответствующая передаточная надпись (индоссамент), то в случае неспособности векселедателя погасить задолженность ответственность за оплату долга по векселю несут участники расчетной операции. выполненной с помощью векселя.
Подобную ответственность не принимают на себя участники безналичных денежных расчетов.
Отмеченное свидетельствует о наличии оснований для разграничений безналичных денежных расчетов и безналичного оборота.
Важным преимуществом безналичного оборота, выполняемого с помощью передачи ценных бумаг, является то, что такие операции могут осуществляться при отсутствии денежных средств на счете плательщика в банке. Именно это обстоятельство обусловило расширение применения таких операций в условиях существующего в РФ платежного кризиса. Благодаря безналичному обороту с помощью ценных бумаг (векселей и др.) в определенной степени устраняются негативные последствия платежного кризиса.
Однако не следует, с одной стороны, упускать из виду, что расчеты с помощью ценных бумаг выполняются при участии кредита (учет векселей, кредита под ценные бумаги и др.); с другой - нельзя игнорировать рассмотренные ранее особенности таких расчетов.
Это свидетельствует о целесообразности взвешенного подхода к расширению применения безналичных расчетов с помощью ценных бумаг, тем более, что не исключена возможность появления в обороте ценных бумаг, не связанных с процессами производства и товарооборота.
Расширение практики безналичных денежных расчетов с помощью электронной техники способствовало появлению термина "электронные деньги". По существу же в подобных операциях производятся безналичные денежные расчеты с той разницей, что вместо распоряжения денежными средствами с помощью документов, составленных на бумаге (поручения, чеки и др.), при электронной технике соответствующие распоряжения выполняются посредством электронных сигналов. Поэтому вряд ли имеются основания для признания существования такой самостоятельной разновидности денег, как электронные деньги.
Помимо денежного безналичного оборота, происходящего на основе замещения движения наличных денег кредитными операциями, в хозяйственной практике выделяют и счетные деньги, которые не совершают оборота, но используются при проведении взаимных расчетов. Так, при проведении зачетов взаимных требований в размере зачтенной суммы функционируют, но не совершают оборота счетные деньги.
Подобное использование денег имеет место и при применении бартера, когда стоимость взаимных поставок зачитывается (здесь выступают счетные деньги) лишь при ее неравенстве, бартерная сделка завершается с помощью перечисления незачтенной суммы.
Несмотря на особенности, присущие деньгам безналичного оборота, они обладают многими общими чертами с наличными деньгами. Это проявляется прежде всего в одинаковой денежной единице наличных денег или денег безналичного оборота. Существенно также, что между этими видами денег имеется тесная связь, выражающаяся в переходе одних в другие. Например, наличные деньги при взносе их на какой-либо счет в банке превращаются в деньги безналичного оборота. Напротив, при получении наличных денег из остатка на счете в банке деньги безналичного оборота переходят в наличные деньги.
Проявление единства этих видов денег состоит в том, что регулирование объема денег безналичного оборота, как и наличных денег, осуществляется с помощью кредита. Так, появление, а также увеличение или уменьшение массы денег безналичного оборота происходят в результате кредитных операций подобно тому, как это имеет место с массой наличных денег.
Формирование депозитной основы устойчивой деятельности банков
Рост количества промышленных и торговых предприятий, их платежного оборота в ходе промышленной революции, охватившей европейские страны на протяжении XVIII-XIX вв. не могли обеспечить денежные требования с помощью банкнотной эмиссии. Для развития банков ведущей становилась депозитная операция.Результатом депозитных операций банков стало появление HOBOГО ВИДА КРЕДИТНЫХ ДЕНЕГ (ДЕПОЗИТНЫХ). Они создавали на основе банковских вкладов и на системе специальных расчетов, которые производились между банками путем переноса сумм с одного счета на другой. Внешне обращение депозитных денег было связано с ЧЕКОМ - приказом собственника счета об уплате определенной суммы денег, который выписывался владельцем текущего счета в банке. Чек выписывался на специальном бланке, получаемом вкладчиком от банка.
Перевод счета от одного вкладчика к другому производился путем бухгалтерской записи на счетах банка, деньги не принимали участие в платеже. При постоянном росте банков происходил прием причитающихся платежей от своих клиентов, выписанных на другие банки. Одновременно производились через создаваемые расчетные палаты взаимные платежи. В общенациональном масштабе формировалась сфера чекового обращения и замещения ими полноценных металлических денег и банкнот в качестве средства обращения и платежа.
Депозиты резко отличались от тех кассовых запасов, которыми постоянно располагали банки для текущих платежей вкладчиков. Привлечение денежных средств в качестве депозитов обусловливалось начислением определенного процента. Банк мог договориться об обязательном досрочном уведомлении об изъятии денежных средств. Если кассовые запасы банков были достаточно предсказуемы (известные колебания в зависимости от величины и вида предприятия, его отраслевой направленности), то с депозитами ситуация обстояла сложнее. Для привлечения денежных средств в депозиты банкам приходилось развивать собственные услуги (платежи чеками, совершенствование кассовых операций).
Размеры депозитного обращения определялись объемом вкладов на текущие счета банков и величиной наличных денег (золотые монеты, банкноты), которые должны были выдаваться по первому требованию вкладчиков. Отношение наличных резервов банков к величине вкладов показывало ликвидность системы банков.
Способность к расширению и сжатию депозитного обращения определялась изменениями в наличном денежном обращении. Операции банков по приему и выдаче наличных денег не давали депозитным деньгам "отрываться" от размеров первичных вкладов. Использование чекового обращения позволяло банкам создавать "мнимые депозиты". Поэтому с развитием депозитного обращения усиливается контроль над банковской ликвидностью со стороны государства.
В ВЕЛИКОБРИТАНИИ для успешного функционирования акционерных обществ потребовались депозитные банки, которые взяли бы на себя финансовое посредничество между обществами и населением. Только за 20 лет (1840-1860 гг.) лондонские банки увеличили сумму своих депозитов в 13 раз. Деятельность депозитных банков приводила к концентрации денежного капитала. С 1858 по 1890 г. число депозитных банков сократилось с 400 до 104. Из 40 оставшихся к 1918 г. подавляющую часть банковского оборота осуществляли лишь двенадцать. В 1926 г. депозиты составляли по пассиву общего баланса английских банков 87,9%, тогда как собственный и резервный капиталы -только 6,6%.
В ГЕРМАНИИ деятельность депозитных банков в форме долевого участия в капитале предприятий давало возможности обеспечить им наилучший контроль за предприятиями, а они, в свою очередь, сокращали стоимость финансирования производства. Активно шел процесс объединения депозитных и фондовых операций (учреждение предприятий и размещение их акций). Формирование депозитов главным образом за счет средств промышленных предприятий способствовало универсализации немецкого банковского дела.
Во ФРАНЦИИ среди действовавших в течение длительного периода с переменным успехом 250-270 депозитных банков в условиях ограничения участия в капитале промышленных предприятий выделились позиции "Креди Лионнэ" и "Сосьете Женераль".
По масштабам деятельности они превосходили остальные банки. Благодаря государственным гарантиям они сосредоточили более половины текущих счетов предприятий и операций с ценными бумагами, 2/3, вкладов, вексельного портфеля и кредитов.
За 1815-1913 гг. (почти за 100 лет) объем текущих счетов в стоимостном выражении в общей структуре денежной массы только трех стран (Великобритании, Франции, США) возрос в 205,3 раза, а их доля увеличилась с 6,5% до 67,4 %.
В РОССИИ депозитная активность создаваемых коммерческих банков выявляется с начала 80-х гг. XIX в. При учреждении банков необходимо было соблюдать, чтобы наличные суммы вместе с текущим счетом в Госбанке составляли не менее 10% обязательств банков. Сумма обязательства не должна превышать основной и резервный капиталы более чем в 5 раз. Источником основного объема депозитных операций становился непосредственно Госбанк, который принимал вклады казначейства. Позднее для стимулирования вкладчиков с целью перевода их денежных средств в коммерческие банки он прекратил начисление процентов по текущим счетам. За 30 лет (1885-1914 гг.) вклады коммерческих банков возросли в 11,1 раза, тогда как их капитал увеличился в 7 раз.
Формы безналичных расчетов
Безналичные расчеты проводятся на основании расчетных документов установленной формы и с соблюдением соответствующего документооборота. В зависимости от вида расчетных документов, cпособа платежа и организации документооборота в банке, v плательщиков и получателей средств различают следующие основные формы безналичных расчетов: расчеты платежными поручениями, аккредитивную форму расчетов, расчеты чеками, расчеты платежными требованиями-поручениями. зачет взаимных требований.Формы расчетов между плательщиком и получателем средств определяются договором (соглашением, отдельными договоренностями).
Развитие форм безналичных расчетов в историческом аспекте представлено в табл. 6.1. После Октябрьского переворота 1917 г. в нашей стране происходили глубокие преобразования в экономической жизни общества. Была реформирована банковская система; серьезные изменения затронули денежно-кредитную систему в связи с гражданской войной, военной интервенцией и, позднее, переводом экономики на мирные рельсы. В этот период, несмотря на сужение сферы товарно-денежных отношений, все же применялись безналичные расчеты с использованием векселей, чеков, выполнялись банковские переводы. Однако единой унифицированной системы безналичных расчетов в стране не существовало.
В ходе проведения кредитной реформы 1930-1932 гг. коммерческий кредит и косвенный банковский кредит были заменены прямым банковским кредитом, и, соответственно, использование векселей на территории страны было запрещено. Вместе с тем впервые были введены такие формы безналичных расчетов, как акцептная, аккредитивная и расчеты по особым счетам. Последняя являлась своеобразной разновидностью аккредитивной формы расчетов и предполагала возможность для покупателя: а) рассчитываться с несколькими поставщиками с одного особого счета, на котором предварительно бронировались средства для расчетов; б) получать наличные денежные средства с особого счета на оплату канцелярских расходов и на выплату командировочных уполномоченному покупателя, осуществлявшему приемку товара по качеству в пункте нахождения поставщика.
Кредитная реформа 30- х гг. подвела определенные итоги в экономическом развитии страны и была нацелена на создание экономических предпосылок для перехода от рыночной экономики к плановой (административно-командной). Изучение кредитной реформы 30-х гг. имеет особое значение сегодня, поскольку в настоящее время в России осуществляется обратное движение от административно-командной к рыночной экономике, но на новом витке исторического развития. В частности, в сфере расчетов с 1989 г. в стране вновь стали использовать вексель для расчетных операций.

В период существования плановой социалистической экономики система безналичных расчетов претерпела серьезные изменения, но главным ее преимуществом были строгая унификация форм безналичных расчетов на территории всей страны и жесткий контроль за соблюдением платежной дисциплины со стороны государственных банков.
Современное экономическое развитие страны имеет ряд особенностей, важнейшей из которых выступает переход к рынку. Переходная экономика не может быть стабильной. В денежно-кредитной сфере это проявляется в обострении противоречий. Проявлениями экономического кризиса в России (как и в большинстве стран бывшего социалистического лагеря) были: разрыв хозяйственных связей между субъектами экономики, резкое падение объемов производства, инфляция, платежный кризис, обострение напряженности в денежно-кредитной сфере (бюджетный дефицит, рост внутреннего и внешнего долгов, валютный кризис, кризис банковской ликвидности), неплатежеспособность и банкротство предприятий и финансовых структур, нарастание политической и социальной напряженности и др.
В этих условиях очевидным было стремление преодолеть платежный кризис, в том числе путем совершенствования системы безналичных расчетов. В результате Банк России принял меры к ограничению сферы применения форм расчетов, не дающих гарантии платежа (например, была отменена акцептная форма расчетов, позднее ЦБ РФ предусмотрел возможность использования платежных требований для безакцептного списания средств со счета в уплату налогов в бюджет, штрафов, пени, неустоек и по соглашению между поставщиками и покупателями продукции). Одновременно была расширена практика использования расчетов платежными поручениями с предварительной оплатой.
Необходимо отметить, что в настоящее время предприятия и организации нередко прибегают к использованию векселей для "расшивки" неплатежей, однако самостоятельной вексельной формы расчетов в нашей стране не существует. Вексель в качестве расчетного документа может использоваться при аккредитивной форме расчетов, а также при расчетах в порядке зачета взаимных требований. Кроме того, банки и их клиенты разрабатывают специальные схемы расчетов с использованием векселей. Широко известен опыт Инкомбанка, Тверьуниверсалбанка, Сибирского торгового банка в этой области. Каждая форма безналичных расчетов, несмотря на особенности ее использования в различных странах или на разных исторических этапах развития каждой страны, имеет общие присущие ей черты (порядок документооборота, вид расчетного документа, способ платежа).
Итак, разнообразие применяемых форм расчетов и принципы выбора той или иной формы расчетов при заключении договоров и сделок зависят от конкретной экономической ситуации в стране, и претерпевают значительные изменения при проведении реформ в хозяйственной сфере.
Выбор формы расчетов в основном определяется:
• характером хозяйственных связей между контрагентами;
• особенностью поставляемой продукции и условиями ее приемки;
• местонахождением сторон сделки;
• способом транспортировки грузов;
• финансовым положением юридических лиц.
Выбор форм должен контролироваться банком на соответствие установленным правилам ведения расчетов. Банк должен рекомендовать клиентам руководствоваться при установлении форм расчетов необходимостью максимального их ускорения, упрощения документооборота, исключения встречного перераспределения средств между контрагентами.
Например, одногородние расчеты и иногородние расчеты за принятые по приемо-сдаточным документам товарно-материальные ценности или в случаях, когда длительность транспортировки последних не превышает одних суток, оформляются платежными поручениями или чеками из расчетных чековых книжек. Равномерные, постоянные поставки товарно-материальных ценностей и оказание услуг предопределяют возможность применения расчетов плановыми платежами. Аккредитивная форма расчетов определяется специальным договором сторон, особыми условиями поставки или вводится как санкция к неаккуратному покупателю за систематическую задержку платежей.
Расчеты платежными поручениями. Это - самая распространенная в настоящее время в России форма безналичных расчетов. Платежное поручение представляет собой поручение предприятия обслуживающему банку о перечислении определенной суммы со своего счета (рис. 6.1). Эта форма расчетов имеет тенденцию более широко использоваться в условиях рыночной экономики.
Расчеты платежными поручениями используются для совершения широкого спектра платежей: с их помощью рассчитываются с поставщиками и подрядчиками в случае предоплаты, органами пенсионного и страхового фондов, с работниками при переводе заработной платы на их счета в другие банки, при налоговых и иных платежах, при уплате банку комиссионных и т. д.
Платежные поручения действительны в течение десяти дней со дня их выписки (день выписки при этом в расчет не берется) и принимаются от плательщика к исполнению только при наличии средств на счете, если иное (получение ссуды для совершения платежа) не оговорено между банком и владельцем счета.
По договоренности сторон платежи поручениями могут быть срочными, досрочными и отсроченными. Срочный платеж совершается при авансовых платежах, т.е. до отгрузки товара (рис. 6.2); после отгрузки товара, т.е. путем прямого акцепта товара (см. рис. 6.1); либо при частичных платежах при крупных сделках. Досрочный и отсроченный платежи возможны в рамках договорных отношений без ущерба для финансового положения сторон.

Рис. 6.1. Расчеты платежными поручениями при последующей оплате товаров (услуг):
1 - поставка товара (оказание услуг); 2 - передача платежного поручения в банк и списание средств со счета покупателя; 3 - перевод средств в банк поставщика и зачисление средств на счет получателя; 4 - сообщение поставщику о зачислении средств на его банковский счет

Рис. 6.2. Расчеты платежными поручениями при предварительной оплате товаров (услуг):
1 - заключение договора о поставке товаров (оказании услуг) с предварительной оплатой; 2 - передача платежного поручения в банк и списание средств со счета покупателя; 3 - перевод средств в банк поставщика и зачисление средств на счет получателя; 4 - сообщение поставщику о зачислении средств на его банковский счет; 5 - поставка товара (оказание услуг)
В целях гарантии платежа поставщик может внести в условия сделки акцепт платежного поручения. Поручение акцептуется банком путем депонирования (бронирования) суммы поручения на отдельном балансовом счете. На акцептованном поручении делается соответствующая отметка, подтверждающая депонирование средств для оплаты. Акцептованные платежные поручения принимаются к исполнению только в полной сумме. Получение с них сдачи наличными или обмен на наличные не допускается. Сфера расчетов платежными поручениями, акцептованными банком, в настоящее время ограничена оплатой почтовых, телефонных и телеграфных услуг, разовых операций по перевозке грузов и пассажиров. К недостаткам данной разновидности расчетов платежными поручениями относят значительное усложнение и удлинение документооборота и отвлечение средств из хозяйственного оборота клиента.
Расчеты в порядке плановых платежей. В современной экономической литературе существуют различные подходы к трактовке расчетов в порядке плановых платежей. Нередко их рассматривают как разновидность расчетов платежными поручениями, поскольку именно этот документ является основным видом платежного документа, используемого в расчетах плановыми платежами. Однако это отнюдь не означает, что при расчетах плановыми платежами не могут использоваться иные расчетные документы (чеки, векселя).
Итак, при равномерных и постоянных поставках между поставщиками и покупателями расчеты между ними могут осуществляться в порядке плановых платежей на основании договоров (соглашений) с использованием в расчетах платежных поручений.
Поставщик по условиям договора берет на себя обязательство отгружать продукцию покупателю в установленных размерах и в определенные сроки исходя из согласованного графика поставок. Покупатель обязуется в сроки, определенные договором (ежедневно или периодически), производить плановые платежи исходя из периодичности платежей и планового объема поставок.
При переходе на расчеты плановыми платежами стороны сделки направляют в обслуживающие их банки копии соглашений с реквизитами контрагента сделки, с указанием длительности расчетных периодов, сроков перечисления платежей, указаниями счетов, с которых будут производиться платежи и на которые будут зачисляться средства, сроки выверки и порядок завершения расчетов.
На каждый плановый платеж выписывается и передается банку отдельный документ - платежное поручение (выписываемое покупателем).
Ежемесячно проверяется правильность осуществления платежей, их соответствие стоимости фактически отгруженной продукции или оказанных услуг. Один из участников сделки, определенный договором, контролирует расчетные отношения. Перерасчеты производятся в зависимости от результатов уточнения расчетов, отдельным платежным поручением (при недоплате) или зачислением разницы в счет будущих платежей (при переплате). Плановые платежи сводят к минимуму разрыв во времени между отгрузкой продукции и поступлением денежных средств за нее, упрощают технику расчетов, дают возможность сторонам более четко регулировать свой денежный оборот. Обязательным условием успешного применения данной формы расчетов являются стабильное финансовое состояние и высокая теснота связей между участниками сделки, что достаточно проблематично в современный период перехода к рынку.
Аккредитивная форма расчетов. Сфера применения аккредитивной формы расчетов недостаточно широка, ее удельный вес в структуре форм безналичных расчетов относительно невелик, но стабилен как в условиях административно-командной экономики, так и рыночной. Сущность аккредитивной формы расчетов состоит в том, что плательщик поручает обслуживающему его банку произвести за счет средств, предварительно депонированных на счете, либо под гарантию банка оплату товарно-материальных ценностей по месту нахождения получателя средств на условиях, предусмотренных плательщиком в заявлении на открытие аккредитива.
Аккредитив представляет собой условное денежное обязательство банка, выдаваемое им по поручению клиента в пользу его контрагента по договору, по которому банк, открывший аккредитив (банк-эмитент), может произвести поставщику платеж или предоставить полномочия другому банку производить такие платежи при условии предоставления им документов, предусмотренных в аккредитиве, и при выполнении других условий аккредитива.
Если банк, выставивший аккредитив (банк-эмитент), по поручению плательщика (покупателя) переводит средства в другой банк - банк поставщика, то для осуществления платежа при выполнении всех условий, предусмотренных в аккредитиве, в банке поставщика открывается отдельный балансовый счет "Аккредитивы".

Рис. 6.3. Аккредитивная форма расчетов с предварительным депонированием средств:
1 - заключение договора о расчетах с использованием аккредитивной формы расчетов с предварительным депонированием средств на отдельном счете в банке; 2 - передача в банк заявления на открытие аккредитива, платежного поручения о депонировании средств, а затем списание средств со счета покупателя; 3 - перевод средств в банк поставщика и зачисление средств на счет "Аккредитивы"; 4 - сообщение поставщику об открытии аккредитива; 5 - поставка товара (оказание услуг); 6 - расчетные документы, подтверждающие отгрузку товара (оказание услуг), в соответствии с условиями договора направляются в банк поставщика, и осуществляется списание средств со счета "Аккредитивы" и зачисление средств на счет поставщика; 7 - сообщение об использовании аккредитива направляется в банк покупателя; 8 - сообщение покупателю об использовании аккредитива
В соответствии с Положением о безналичных расчетах в нашей стране могут открываться следующие виды аккредитивов:
• покрытые (депонированные) или непокрытые (гарантированные);
• отзывные или безотзывные.
Покрытыми (депонированными) считаются аккредитивы, при открытии которых банк-эмитент перечисляет собственные средства плательщика или предоставляет ему кредит в распоряжение банка поставщика (исполняющий банк) на весь срок действия обязательств банка-эмитента (рис. 6.3).
При установлении между банками корреспондентских отношений непокрытый (гарантированный) аккредитив может открываться в исполняющем банке путем предоставления ему права списывать всю сумму аккредитива с ведущегося у него счета банка-эмитента (рис. 6.4).
Каждый аккредитив должен быть отзывным или безотзывным. При отсутствии такого определения аккредитив считается отзывным. Отзывный аккредитив может быть изменен или аннулирован банком-эмитентом без предварительного согласования с поставщиком (например, при несоблюдении условий, предусмотренных договором, досрочном отказе банка-эмитента гарантировать платежи по аккредитиву).

Рис. 6.4. Аккредитивная форма расчетов с использованием банковской гарантии:
1 - заключение договора о расчетах с использованием аккредитивной формы расчетов с предоставлением банком покупателя гарантии платежа; 2 - передача в банк заявления на открытие аккредитива под гарантию банка и отражение открытия аккредитива по внебалансовому счету "Гарантии и поручительства банка"; 3 - сообщение об открытии аккредитива и отражение открытия аккредитива по внебалансовому счету; 4 - сообщение поставщику об открытии аккредитива; 5 - поставка товара (оказание услуг); 6 - расчетные документы, подтверждающие отгрузку товара (оказание услуг), в соответствии с условиями договора направляются в банк поставщика и осуществляется зачисление средств на счет поставщика; 7 - дебетовое авизо направляется в банк покупателя, где производится списание средств со счета покупателя, при отсутствии средств на счете покупателя банк предоставляет плательщику кредит; 8 - сообщение покупателю о списании средств с его счета
Безотзывный аккредитив не может быть изменен или аннулирован без согласия поставщика, в пользу которого он был открыт. Поставщик может досрочно отказаться от использования аккредитива, если это предусмотрено условиями аккредитива.
В России аккредитив может быть предназначен для расчетов только с одним поставщиком и не может быть переадресован. Выплата с аккредитива наличными деньгами не допускается.
Использование аккредитивов в международных расчетах регламентируется Унифицированными правилами и обычаями для документарных аккредитивов, утвержденных Международной торговой палатой в декабре 1993 г.
Срок действия и порядок расчетов по аккредитиву устанавливается в договоре между плательщиком и поставщиком.
Открытие банком-эмитентом гарантированных аккредитивов осуществляется по договоренности с покупателем и в соответствии с условиями корреспондентских отношений с другим банком. Выплаты по аккредитиву производятся в течение срока его действия, установленного в договоре сторон.
При аккредитивной форме расчетов полностью соблюдаются все основные правила осуществления расчетов: продукция оплачивается после ее отгрузки; оплата производится с согласия плательщика, выраженного в данном случае самим фактом открытия аккредитива; плательщику предоставляется право отказаться от оплаты, если обнаружены нарушения условий договора; аккредитив открывается за счет средств покупателя или кредита банка, если покупатель имеет право на его получение. Положительной стороной аккредитивной формы расчетов является гарантия платежа. Вместе с тем этой форме расчетов присущ ряд существенных недостатков, которые и предопределили ограниченную сферу ее применения: средства покупателя в сумме аккредитива отвлекаются из его хозяйственного оборота на срок действия аккредитива; замедляется товарооборот, так как поставщик до извещения об открытии аккредитива не может отгрузить уже готовую продукцию и несет дополнительные затраты по ее хранению.
Расчеты чеками. При расчетах чеками владелец счета (чекодатель) \ дает письменное распоряжение банку, выдавшему расчетные чеки, уплатить определенную сумму денег, указанную в чеке, получателю средств (чекодержателю).
Чеки используются как физическими, так и юридическими лицами, выступают платежным средством и могут применяться при расчетах во всех случаях, предусмотренных законами Российской Федерации. Не допускаются расчеты чеками между физическими лицами.
Допускается прием чеков во вклады граждан на их лицевые счета в банках на условиях, определенных банком-эмитентом или банком-корреспондентом.
Чек удобен для расчетов в случаях:
• когда плательщик не хочет совершать платеж до получения товара, а поставщик - передавать товар до получения гарантии платежа;
• когда продавец заранее не известен.
Расчетный чек, эмитированный российским банком, имеет хождение только на территории Российской Федерации.
Чек служит ценной бумагой. Бланки чеков являются бланками строгой отчетности.
Чековая книжка представляет собой бланки чеков "Расчетный чек", сброшюрованные в книжки установленного образца по 10, 25 и 50 листов. Бланки чековых книжек - документы строгой отчетности и их форма устанавливается Центральным банком РФ. Для получения чековой книжки предприятия представляют в обслуживающий их банк заявления. Банк депонирует средства заявителя на отдельном счете, с которого оплачиваются чеки. Клиент получает в банке чековую книжку с указанием суммы, депонированной банком, в пределах которой он может выписывать чеки.
Клиентам с устойчивым финансовым положением и стабильной платежной дисциплиной при наличии соответствующего договора может быть выдана чековая книжка под гарантию банка (без депонирования средств).
Чек должен быть предъявлен к оплате в учреждение банка в течение десяти дней, не считая дня его выдачи.
Приобретая товар или получая услуги, предприятие (через полномочного представителя) выписывает расчетный чек и передает его поставщику-получателю средств (рис. 6.5). Чеки, поступившие в платеж, как правило, должны сдаваться чекодержателем в банк на следующий день со дня выписки. После проверки правильности реквизитов чеков и соблюдения сроков их действия банк зачисляет сумму, указанную в чеке, на счет получателя денежных средств, списав ее со счета, на котором депонированы средства, или с расчетного или ссудного счетов (если книжка выдана под гарантию банка).

Рис. 6.5. Расчеты чеками:
1 - покупатель направляет в банк заявление на выдачу чековой книжки; 2 - банк выдает ему чековую книжку (или разовый чек); 3 - отгрузка товара или оказание услуг; За - оплата товара чеком; 4 - поставщик предъявляет чек в банк к оплате и последний списывает средства со счета покупателя и зачисляет их на счет поставщика
В мировой банковской практике в зависимости от того, кто указан получателем платежа, чеки делят на именные, ордерные, предъявительские. Платеж по именному чеку может быть совершен только в пользу лица, указанного в чеке, по ордерному - как в пользу лица, указанного в чеке, так и по его приказу (оформленному на обороте чека) другому лицу, по предъявительскому - в пользу любого лица, предъявившего чек в банк. Именные чеки передаче не подлежат. Предъявительские -могут передаваться другому лицу путем простого вручения, ордерные - путем оформления передаточной надписи (индоссамента).
В России "Положение о безналичных расчетах" (1992 г.) конкретизировало порядок расчетов чеками и одновременно несколько ограничило возможности их использования. Последнее выразилось в том, что:
• чекодателю запрещен индоссамент чека;
• чекодатель не может передать чеки поставщику путем индоссамента;
• требуется обязательно предварительное депонирование чекодателем средств на отдельном счете.
Вместе с тем Положением о безналичных расчетах предусматривается возможность использования в платежном обороте и других видов чеков. Это дает банкам возможность эмитировать свои чеки. В настоящее время многие российские банки эмитируют и размещают свои чековые книжки. Известна деятельность Чекового синдиката, образованного в 1993 г. рядом банков. Согласно положению о деятельности синдиката каждый банк-участник имел право выпускать книжку, чеками из которой он мог расплачиваться на территории России. При этом все банки, выпустившие чек или поставившие на нем аваль, несли солидарную ответственность перед чекодателем.
При расчетах чеками из чековых книжек с депонированием средств гарантируется платеж поставщику, но средства отвлекаются из хозяйственного оборота плательщика на достаточно длительный срок.
Расчеты платежными требованиями-поручениями. Относительно новым для нашей экономики расчетным документом и, соответственно, новой формой безналичных расчетов являются расчеты платежными требованиями-поручениями.
Платежное требование-поручение представляет собой требование поставщика к покупателю оплатить на основании направленных в обслуживающий банк плательщика расчетных и отгрузочных документов стоимость поставленной по договору продукции, выполненных работ, оказанных услуг и поручение плательщика списать средства с его счета.
Платежные требования-поручения выписываются поставщиками и вместе с коммерческими документами отправляются в банк покупателя, который передает требование-поручение плательщику для акцепта (рис. 6.6). Плательщик обязан вернуть в банк акцептованное платежное требование-поручение или заявить отказ от акцепта в течение трех дней со дня поступления его в банк плательщика. Платежное требование-поручение принимается к оплате при наличии средств на счете плательщика.
Об отказе полностью или частично оплатить платежное требование-поручение плательщик уведомляет обслуживающий его банк в течение этих трех дней. Требования-поручения вместе с приложенными отгрузочными документами и извещениями об отказе в оплате возвращаются непосредственно поставщику. При согласии оплатить полностью или частично платежное требование-поручение плательщик оформляет его подписями лиц, уполномоченных распоряжаться счетом и оттиском печати, а затем сдает их в обслуживающий банк.

Рис. 6.6. Расчеты платежными требованиями-поручениями:
1 - поставка товара (оказание услуг); la - передача платежного требования-поручения в банк покупателя; 2 - расчетные документы передаются покупателю для акцепта; 3 - акцептованные расчетные документы возвращаются в банк, где производится списание средств со счета покупателя; 4 - перевод средств в банк поставщика и зачисление средств на счет поставщика; 5 - сообщение поставщику о зачислении средств на его банковский счет
Зачет взаимных требований. В сложной системе хозяйственных связей существует возможность появления встречных потоков движения товарно-материальных ценностей и услуг. Эта ситуация служит основой применения такой специфической формы безналичных расчетов как зачет взаимных требований, т.е. перечисление со счета одной организации на счет контрагента только разницы (сальдо) встречных требований. Основное преимущество данной формы безналичных расчетов состоит в относительной простоте и экономичности.
К зачету могут быть представлены различные расчетные документы: платежные требования-поручения, платежные поручения, расчетные чеки и др. При зачете взаимных требований происходит резкое сокращение движения средств. Они требуются только в сумме разницы, оставшейся после зачета.
Зачеты взаимных требований бывают постоянно действующие и разовые. Постоянно действующие периодические расчеты по сальдо производятся обычно один раз в десять дней между двумя хозяйственными организациями на основе встречных, примерно равных поставок. Оба участника зачетов ведут у себя счета взаимных расчетов, на которых учитываются все суммы к платежам. Расчетные документы не сдаются в банк, а направляются сразу покупателю с отражением их суммы на счете взаимных требований. Периодически представители сторон выверяют счета взаимных расчетов, устанавливают, в чью пользу имеется сальдо, и на эту сумму выписывают либо платежное поручение, либо другой расчетный документ, который совершает традиционный документооборот.
Разовые зачеты взаимных требований между двумя юридическими лицами осуществляются в том случае, если одна сторона при совершении платежа в пользу другой стороны имеет к ней встречные требования и претензии. Незачтенный остаток средств погашает сторона, которая должна была больше заплатить. Разовые групповые зачеты могут проводить банки на определенную дату (конец квартала, начало года) для устранения образовавшейся взаимной просроченной задолженности юридических лиц по расчетам друг с другом.
Особенно широко зачет взаимных требований применялся в России в условиях командной системы экономики (1933-1987 гг.). Наибольшее распространение в те годы получили зачеты через отделы взаимных расчетов (ОВР) или бюро взаимных расчетов (БВР), создававшиеся в крупных организационных структурах, например, в министерствах для взаимозачета платежей предприятий одной отрасли или объединениях для зачета среди предприятий данного объединения, связанных единым производственным циклом. Такой подход позволял рационализировать платежный оборот.
В настоящее время предприятия и организации, так же, как, впрочем, и банки, могут осуществлять взаимозачеты через клиринговые палаты (центры). Банки, их учреждения могут вводить расчеты путем зачета взаимных требований, организовывать свои расчетные (клиринговые) центры для совершения расчетов обслуживаемой клиентуры, проводить в них зачетные операции взаимных требований хозорганов, а также открывать корреспондентские субсчета в других банках, их учреждениях для расчетов своих клиентов. Сальдо взаимных платежей погашается путем перевода средств по корреспондентским счетам этих банков, их учреждений, а также в РКЦ Банка России.
Клиринговые центры создаются обычно банками на акционерных началах, на условиях взаимной выгоды с целью ускорения и рационализации платежного оборота.
Акцептная форма расчетов. В безналичном обороте при расчетах за товарно-материальные ценности и услуги длительное время доминирующей формой безналичных расчетов была акцептная форма с применением платежных требований. В 1989 г. ее удельный вес составлял 44% всего платежного оборота и 66,2% (в 1988 г.) общего объема оплаченных счетов за товары и услуги.
Введенная в хозяйственную практику в ходе проведения кредитной реформы 1930 - 1932 гг. данная форма расчетов оказалась хорошо приспособленной к решению многих задач в области расчетов. Кроме того, она удачно сочеталась с использованием имевшихся средств вычислительной техники, автоматизацией вычислительных и учетных работ на предприятиях и в учреждениях банков. Эти обстоятельства позволили акцептной форме пройти долгий путь совершенствования и при этом оставаться основной при оплате товаров, услуг, работ. Процесс ее совершенствования шел по пути упрощения техники совершения операций и ускорения документооборота.
Суть расчетов платежными требованиями (акцептной формы расчетов) состояла в том, что получатель средств представлял в обслуживающий его банк на инкассо расчетный документ, содержащий требование к плательщику об уплате получателю определенной суммы через банк.
Бланк платежного требования мог быть совмещен со спецификацией либо к нему должны были быть приложены товарно-транспортные документы, в которых содержалась характеристика поставки: наименование товара, его количество, цена и стоимость.
Кроме вышеперечисленных обязательных реквизитов поставщик должен был указать в требовании: дату и номер договора; дату отгрузки, номера товарно-транспортных документов (приемосдаточных актов, если продукция принималась представителем покупателя на месте), способ отправки.
В зависимости от хронологической последовательности акцепта и совершения платежа различают предварительный и последующий акцепты. Оплата при последующем акцепте проводилась в течение операционного дня по мере поступления требований в банк плательщика. Акцепт (чаще отрицательный) хронологически следовал за оплатой. Банк принимал отказы от акцепта в течение трех рабочих дней, не считая дня поступления требований в банк. В день поступления отказа от акцепта сумма платежа восстанавливалась на том же счете плательщика, с которого была списана. В случае если по договору сторон был установлен предварительный акцепт, в верхней части требования на полях проставлялся штамп или отличительная надпись "Предварительный акцепт".
Акцепт означает согласие плательщика на оплату платежных документов. Различают положительный и отрицательный акцепты. Положительный акцепт предполагал письменное уведомление банка плательщиком о согласии на оплату, отсутствие последнего в течение определенного срока означало отказ от акцепта. При отрицательном акцепте молчанием плательщика в течение определенного срока давалось согласие на оплату, а отказ от акцепта оформлялся письменно.
В условиях предварительного акцепта платежное требование оплачивалось в течение операционного дня поступления акцепта (при положительном акцепте) или на следующий рабочий день после истечения срока акцепта (три дня, не считая дня поступления требования в банк).
Для максимального ускорения расчетов и сокращения документооборота наиболее выгоден последующий отрицательный акцепт, что повлияло на широкое использование данной формы безналичных расчетов в нашей стране.
Предварительный акцепт (как правило, положительный) применялся, если такой порядок предусматривался условиями договора или в качестве санкции к неаккуратному плательщику. Здесь требовалось письменное уведомление банка о согласии на оплату. При его отсутствии в течение трех дней требование считалось неакцептованным и возвращалось в банк поставщика. В случае специальной договоренности между сторонами сделки возможно было применение и отрицательного акцепта, когда оплата производилась на следующий рабочий день по истечении срока акцепта при отсутствии письменного отказа. При этом необходимо было письменное уведомление банка плательщика о факте договора.
В настоящее время расчеты платежными требованиями применяются в ограниченной сфере, например при безакцептной оплате платежных требований. Со счета плательщика оплачиваются без акцепта платежные требования, выписанные в соответствии с показаниями измерительных приборов (за газ, воду, электроэнергию, тепловую энергию и т.д.) или действующих тарифов (абонентная плата за телефон, арендная плата за строения и др.).
Акцептная форма расчетов широко применялась в безналичном обороте до 1992 г., так как наиболее полно отвечала основным условиям осуществления расчетов. Вместе с тем данная форма расчетов имела существенный недостаток, который заключался в том, что поставщику, выполнившему все условия договора, не гарантирован полный и своевременный платеж. Такой недостаток предопределил недоверие к этой форме расчетов со стороны структур альтернативной экономики, функционирующих на рыночных принципах.
С введением в 1992 г. Положения о безналичных расчетах расчеты платежными требованиями были отменены. Однако покупатели и поставщики вправе договориться между собой и обслуживающими их банками о применении в расчетах указанных платежных документов.
На основании письма Центрального банка РФ от 30 июня 1994 г. №98 установлено, что плательщик вправе отказаться от акцепта платежных требований по мотивам, предусмотренным в договорах, с обязательной ссылкой на пункт договора, и указанием мотива отказа.
Итак, важным условием выполнения сделки при данной форме расчетов является право плательщика отказаться от акцепта платежного требования (полностью или частично) при нарушении поставщиком определенных положений договора, четко зафиксированных в нормативных актах.
Если товар документально принят, отказы от акцепта по мотивам "незаказан" или "нарушены условия договора" банком не принимаются.
О любом отказе от акцепта платежного требования плательщик обязан сообщить банку и поставщику с четким указанием причин и товаров, по которым пришел отказ. При отказах по причине некачественности, некомплектности, пониженной сортности или отсутствия надлежащей маркировки или упаковки товаров в заявлении об отказе от акцепта требуется указать номер и дату акта приемки по качеству, приказа или извещения органа по надзору. Один экземпляр акта приемки должен быть направлен поставщику не позднее дня отправки заявления отказа от акцепта.
Кроме указанных выше вариантов, возможен полный или частичный отказ от акцепта в случаях специально предусмотренных в договорах. При этом в заявлении на отказ от уплаты платежного документа обязательно требуется ссылка на пункт договора. В обязанности банка входит контроль за порядком, сроками и обоснованностью отказов от акцепта. В случаях если указанные в заявлении причины отказа от акцепта не соответствуют зафиксированным в нормативных актах или в договорах, банк обязан не принимать отказ к исполнению.
При возникновении споров по обоснованности полного или частичного отказа плательщика от акцепта платежного требования они рассматриваются арбитражным или иным судом. Банки подобные споры не рассматривают.
Межбанковские расчеты. Расчеты между банками на территории России производятся через расчетно-кассовые центры, созданные Центральным банком РФ. Банковские операции по расчетам могут осуществиться и по корреспондентским счетам банков, открываемым другу друга на основе межбанковских соглашений.
Документооборот в банках и расчетно-кассовых центрах организуется в соответствии с Положениями ЦБ РФ "Об организации межбанковских расчетов на территории Российской Федерации" и "Об организации расчетов между банками разных республик". Однако так было не всегда. В СССР была создана отлаженная система расчетов. Сущность ее заключалась в следующем. Госбанк СССР строил свои корреспондентские отношения с другими кредитными институтами (Стройбанком СССР и Государственными трудовыми сберегательными кассами СССР (ГТСК СССР) посредством корреспондентских счетов, открытых правлениям этих кредитных учреждений в правлении Госбанка СССР. Подразделениям Стройбанка и ГТСК открывались в учреждениях Госбанка соответствующие корреспондентские субсчета, платежи по которым совершались независимо от наличия на них средств. В целом же расчеты по счетам Стройбанка и сберкасс проводились в пределах кредитового остатка.
Внутрибанковские расчеты между учреждениями Госбанка осуществлялись с использованием системы межфилиальных оборотов (МФО), введенной с 1933 г. В систему МФО были включены и учреждения Внешторгбанка СССР. Ежегодно по межфилиальным расчетам Госбанка проводилось до 200 млн. перечислений.
Аналогичная схема расчетов с применением счетов типа МФО использовалась и во взаимных платежах между учреждениями Стройбанка, а также внутри системы сберегательных касс.
Межфилиальные обороты имели место при перечислении банковскими учреждениями средств по поручениям своих клиентов получателям, счета которых находились в иногородних филиалах.
Преимущество расчетов посредством МФО заключалось в том, что они были хорошо отлажены и в известной степени дисциплинировали бухгалтерский аппарат банков, поскольку требовали четкой организации работы и строгого контроля.
Механизм расчетов по МФО предполагал централизованный порядок их урегулирования и контроля за своевременным, полным завершением. Вместе с тем невозможно было четко разграничить ресурсы банков. Впрочем, такой необходимости не было. Многолетний опыт Госбанка показал целесообразность использования МФО в рамках одного банка. За рубежом взаимные расчеты между отделениями и филиалами в некоторых крупных банках ведутся с использованием счетов типа МФО.
На первом этапе реорганизации банковской системы (1988-1990 гг.) порядок применения расчетов по МФО был распространен на учреждения всех государственных специализированных банков. В дальнейшем предполагалось обеспечить экономическую самостоятельность банков, повысить их реальную заинтересованность и ответственность за конечные результаты деятельности, довести принципы хозяйственного (коммерческого) расчета до подразделений банков. Однако выполнить эту задачу не удалось, что во многом было связано с механизмом межбанковских расчетов, обусловившим внеплановое перераспределение денежных средств между банками в процессе межфилиальных оборотов. В подобной ситуации учреждения специализированных банков, по сути дела, автоматически привлекали средства Государственного банка, а также автоматически предоставляли друг другу ресурсы взаймы независимо от их наличия. Такие кредиты по сути были обезличенными, бессрочными и бесплатными. В итоге Госбанк был лишен возможности регулировать денежный оборот и контролировать деятельность банков.
Назрела необходимость дальнейших преобразований банковской системы. В стране начала создаваться двухуровневая банковская система.
На втором этапе банковской реформы (начало 90-х гг.) был утвержден новый порядок взаиморасчетов банков - через корреспондентские счета, открываемые ими в учреждениях Центрального банка (расчетно-кассовых центрах - РКЦ) и друг у друга.
Современная система организации межбанковских расчетов регламентируется Банком России "Положением об организации межбанковских расчетов на территории Российской Федерации" (1992 г.), в котором указывается, что на территории России расчеты между учреждениями коммерческих, кооперативных банков и другими кредитными учреждениями производятся расчетно-кассовыми центрами Центрального банка РФ. Для расчетов каждому учреждению банка в РКЦ открывается корреспондентский счет. Порядок взаимоотношений по выполнению расчетов регулируется данным положением и договором о корреспондентских отношениях. Операции по расчетам между учреждениями банков отражаются в РКЦ по счетам "Взаимные межфилиальные расчеты". На этих счетах учитываются операции по перечислению (взысканию) платежей (задолженности) на счета получателей (плательщиков), обслуживаемых в других РКЦ. Контроль межфилиальных оборотов осуществляется в действующем порядке. Учреждениям банков счета по МФО не открываются.
Расчеты между клиентами одного учреждения банка производятся путем списания или зачисления средств по счетам клиентов, минуя корреспондентский счет банка.
Банки должны обеспечивать своевременное поступление на свой корреспондентский счет средств в размерах, необходимых для проведения платежей.
Корреспондентские счета выверяются учреждениями банков ежемесячно на основании ведомостей проверки состояния расчетов по корреспондентскому счету в РКЦ. По всем неправильно проведенным РКЦ суммам учреждения банков предъявляют требования о восстановлении или списании этих сумм в письменной форме.
Коммерческие банки и их учреждения могут вводить расчеты путем зачета взаимных требований, организовывать, свои расчетные центры для совершения расчетов обслуживаемой клиентуры, проводить в них зачетные операции взаимных требований хозяйственных органов, а также открывать корреспондентские субсчета в других банках, их учреждениях для расчетов своих клиентов. Сальдо взаимных платежей должно погашаться путем перевода средств по корреспондентским счетам этих банков, их учреждений, а также в РКЦ Центрального банка.
По соглашению между банками корреспондентские счета банков, их учреждений могут вестись не в РКЦ, а в других банках, их учреждениях. Режим корреспондентского счета одного банка (учреждения) в другом банке (учреждении) определяется по соглашению между банками.
Аналогичные проблемы в разных странах решаются по-разному (как в правовом и организационном, так и методическом планах). Но общие принципы организации межбанковских расчетов везде одинаковы. К числу таких общих черт можно отнести активное участие центральных банков в рационализации расчетов в форме прямого в них участия или в форме инициирования и поддержки специальных расчетных центров, создаваемых коммерческими банками, или специальных банков. Именно посредничество в платежах между банками как прерогатива центрального банка позволяет ему контролировать и регулировать денежный оборот.
Формы кредита
Формы кредита тесно связаны с его структурой и в определенной степени с сущностью кредитных отношений. Структура кредита включает, как отмечалось ранее, кредитора, заемщика и ссуженную стоимость, поэтому формы кредита можно рассматривать в зависимости от характера:• ссуженной стоимости;
• кредитора и заемщика;
• целевых потребностей заемщика.
В зависимости от ссуженной стоимости целесообразно различать товарную, денежную и смешанную (товарно-денежную) формы кредита.
Товарная форма кредита исторически предшествует его денежной форме. Можно предположить, что кредит существовал до денежной формы стоимости, когда при эквивалентном обмене использовались отдельные товары (меха, скот и пр.). Первыми кредиторами были субъекты, обладающие излишками предметов потребления. В поздней истории известны случаи кредитования землевладельцами крестьян в форме зерна, других сельскохозяйственных продуктов до сбора нового урожая.
В современной практике товарная форма кредита не является основополагающей. Преимущественной формой выступает денежная форма кредита, однако применяется и его товарная форма. Последняя форма кредита используется как при продаже товаров в рассрочку платежа, так и при аренде имущества (в том числе лизинге оборудования), прокате вещей. Практика свидетельствует о том, что кредитор, предоставивший товар в рассрочку платежа, испытывает потребность в кредите, причем главным образом в денежной форме. Можно отметить, что там, где функционирует товарная форма кредита, его движение часто сопровождается и денежной формой кредита.
Денежная форма кредита - наиболее типичная, преобладающая в современном хозяйстве. Это и понятно, поскольку деньги являются всеобщим эквивалентом при обмене товарных стоимостей, универсальным средством обращения и платежа. Данная форма кредита активно используется как государством, так и отдельными гражданами, как внутри страны, так и во внешнем экономическом обороте.
Наряду с товарной и денежной формами кредита применяется и его смешанная форма. Она возникает, например, в том случае, когда кредит функционирует одновременно в товарной и денежной формах. Можно предположить, что для приобретения дорогостоящего оборудования потребуется не только лизинговая форма кредита, но и денежная его форма для установки и наладки приобретенной техники.
Как уже отмечалось, кредит сводится не только к стадии предоставления средств во временное пользование, но имеет и другие стадии, в том числе возвращение ссуженной стоимости. Если кредит предоставлен в денежной форме и его возврат был произведен также деньгами, то данная сделка представляет собой денежную форму кредита. Товарную форму кредита можно признать только в тех кредитных сделках, в которых предоставление и возвращение ссуженных средств происходят в форме товарных стоимостей.
Если кредит был предоставлен в форме товара, а возвращен деньгами или наоборот (предоставлен деньгами, а возвращен в виде товара), то здесь более правильно считать, что имеется смешанная форма кредита.
Смешанная (товарно-денежная) форма кредита часто используется в экономике развивающихся стран, рассчитывающихся за денежные ссуды периодическими поставками своих товаров (преимущественно в виде сырьевых ресурсов и сельскохозяйственных продуктов). Во внутренней экономике продажа товаров в рассрочку платежей сопровождается постепенным возвращением кредита в денежной форме.
В зависимости от того. кто в кредитной сделке является кредитором.
выделяются следующие формы кредита: банковская, хозяйственная (коммерческая), государственная, международная, гражданская (частная, личная). Вместе с тем в кредитной сделке участвует не только кредитор, но и заемщик; в кредитной сделке они равноправные субъекты. Предложение ссуды исходит от кредитора, спрос - от заемщика.
Если банк, например, предоставляет кредит населению, а физическое лицо вкладывает свои сбережения на депозит в банке, то в этих случаях имеется один и тот же состав участников (банк и население). Вместе с тем каждая из сторон занимает здесь разное положение: в первом случае банк служит кредитором; во втором - заемщиком; в свою очередь в первом случае физическое лицо выступает в качестве заемщика, во втором - кредитора. Кредитор и заемщик меняются местами: кредитор становится заемщиком, заемщик - кредитором. Это меняет и форму кредита.
Банковская форма кредита - наиболее распространенная форма. Это означает, что именно банки чаще всего предоставляют свои ссуды субъектам, нуждающимся во временной финансовой помощи. По объему ссуда при банковской форме кредита значительно больше ссуд, выдаваемых при каждой из других его форм. Это не случайно. Банк является особым субъектом, основополагающим занятием которого чаще всего становится кредитное дело, он совершает многократное круговращение денежных средств на возвратной основе.
Первая особенность банковской формы кредита состоит в том, что банк оперирует не столько своим капиталом, сколько привлеченными ресурсами. Заняв деньги у одних субъектов, он перераспределяет их, предоставляя ссуду во временное пользование другим юридическим и физическим лицам.
Вторая особенность заключается в том, что банк ссужает незанятый капитал, временно свободные денежные средства, помещенные в банк хозяйствующими субъектами на счета или во вклады.
Третья особенность данной формы кредита характеризуется следующим. Банк ссужает не просто денежные средства, а деньги как капитал. Это означает, что заемщик должен так использовать полученные в банке средства, чтобы не только возвратить их кредитору, но и получить прибыль, достаточную по крайней мере для того, чтобы уплатить ссудный процент. Платность банковской формы кредита становится ее неотъемлемым атрибутом.
При хозяйственной (коммерческой) форме кредита кредиторами выступают хозяйственные организации (предприятия, фирмы, компании). Данную форму в силу исторической традиции довольно часто называют коммерческим кредитом, иногда вексельным кредитом, поскольку в его основе лежат отсрочка предприятием-продавцом оплаты товара и предоставление предприятием-покупателем векселя как его долгового обязательства оплатить стоимость покупки по истечении определенного срока. Вероятно, термин "коммерческий" кредит возник как реакция на долговые отношения, возникающие между поставщиком и покупателем при отгрузке товара и предоставлении договорной отсрочки платежа. Понятие "коммерческий" означает торговый, т.е. то, что образовалось на базе особых условий продажи товаров.
Эволюция взаимоотношений между предприятиями порождает не только отсрочку платежа за товар, но и другие формы. В современном хозяйстве предприятия предоставляют друг другу не только товарный, зачастую не столько товарный, сколько денежный кредит. Банки перестали быть монополистами в осуществлении кредитных операций; кредиты могут предоставлять практически все предприятия и организации, имеющие свободные денежные средства. Типичной стала ситуация, когда крупные промышленные и торговые предприятия и организации выдают денежные кредиты своим партнерам. Термин "коммерческий" кредит в его классическом понимании уступает его толкованию как хозяйственного кредита, предоставляемого предприятиями-кредиторами в товарной и денежной формах.
Хозяйственная (коммерческая) форма кредита имеет ряд особенностей. Прежде всего его источником являются как занятые, так и незанятые капиталы. При товарной форме хозяйственного кредита отсрочка оплаты служит продолжением процесса реализации продукции, ссужается не временно высвободившаяся стоимость, а обычный товар с отсрочкой платежа. При денежной форме хозяйственного кредита его источником выступают денежные средства, временно высвободившиеся из хозяйственного оборота. Важно при этом и то, что при товарном хозяйственном кредите собственность на объект передачи переходит от продавца-кредитора к покупателю, при денежном хозяйственном кредите собственность на ссуженную стоимость не переходит от кредитора к заемщику, последний получает ее только во временное владение. По-разному осуществляется платность за пользование кредитом. При товарном хозяйственном кредите плата за отсрочку платежа входит в стоимость товара, при денежном хозяйственном кредите плата за пользование ссудой взимается в открытой форме - кроме размера кредита, возвращаемого кредитору, заемщик дополнительно уплачивает ссудный процент.
Хозяйственный кредит независимо от своей товарной или денежной формы предоставляется главным образом на короткие сроки, в то время, как, например, банковский кредит зачастую носит долгосрочный характер.
Государственная форма кредита возникает в том случае, если государство в качестве кредитора предоставляет кредит различным субъектам. Государственный кредит следует отличать от государственного займа, где государство, размещая свои обязательства, облигации и др., выступает в качестве заемщика. Государственный заем чаще всего размещается под определенные государственные программы (на цели восстановления народного хозяйства в послевоенный период, развития народного хозяйства, в том числе его отдельных отраслей и пр.). Займы размещаются, как правило, на длительные сроки (на пять, десять и даже двадцать лет). В отличие от государственных займов, широко распространенных в современном хозяйстве, государственная форма кредита по сравнению с другими формами имеет ограниченное применение, чаще всего предоставляется через банки, а также в сфере международных экономических отношений, по существу становится международной формой кредита.
При международной форме кредита состав участников кредитной сделки не меняется, в кредитные отношения вступают те же субъекты -банки, предприятия, государство и население, однако отличительным признаком данной формы является принадлежность одного из участников к другой стране. Здесь одна из сторон - иностранный субъект.
Россия хотя и предоставляет кредиты иностранным субъектам, однако в большей степени выступает заемщиком, нежели кредитором.
Гражданская форма кредита основана на участии в кредитной сделке в качестве кредитора отдельных граждан, частных лиц. Такую сделку иногда называют частной (личной) формой кредита. Гражданская (частная, личная) форма кредита может носить как денежный, так и товарный характер, применяется во взаимоотношениях со всяким из других участников кредитных отношений.
Во взаимоотношениях частных лиц друг с другом данная форма кредита часто носит дружеский характер: ссудный процент устанавливается в меньшей сумме, чем в банках, в некоторых случаях не взыскивается; кредитный договор не заключается, чаще используется долговая расписка, однако и она зачастую не применяется. Элемент доверия здесь приобретает повышенное значение. Срок такого кредита не является жестким, чаще носит условный характер.
Как отмечалось ранее, формы кредита можно также различать в зависимости от целевых потребностей заемщика. В этой связи выделяются две формы: производительная и потребительская формы кредита.
Производительная форма кредита связана с особенностью использования полученных от кредитора средств. Этой форме кредита свойственно использование ссуды на цели производства и обращения, на производительные цели.
Так же, как в случае с товарной формой кредита, можно предположить, что его потребительская форма исторически возникла в начале развития кредитных отношений, когда у одних субъектов ощущался избыток предметов потребления, у других возникала потребность во временном их использовании. Со временем данная форма стала распространенной и в современном хозяйстве, позволяя субъектам ускорить удовлетворение потребностей населения прежде всего в товарах длительного пользования.
Потребительская форма кредита в отличие от его производительной формы используется населением на цели потребления, он не направлен на создание новой стоимости, преследует цель удовлетворить потребительские нужды заемщика. Потребительский кредит могут получать не только отдельные граждане для удовлетворения своих личных потребностей, но и предприятия, не создающие, а "проедающие" созданную стоимость.
Современный кредит имеет преимущественно производительный характер. Как отмечалось ранее, решающий удельный вес среди разнообразных форм кредита имеет банковский кредит. Это означает, что заемщик не только должен возвратить ссуду, но и уплатить за ее использование ссудный процент. В современном хозяйстве кредит ссужается не просто в форме денег, а в форме денег как капитала. Движение денег как капитала, как возрастающей стоимости обусловливает производительное использование ссуды, требует от заемщика такого размещения заемных средств, которое предполагает их рациональное, производительное использование, создание новой стоимости, прибыли, частично уступаемой кредитору в виде платы за временное позаимствование ссуженной стоимости.
Это не исключает случаи покрытия кредитом убытков от деятельности предприятий. Здесь форма кредита вступает в противоречие с его содержанием, в конечном счете нарушаются законы кредита, нарушается ход кредитного процесса, кредит из фактора экономического роста превращается в инструмент обострения диспропорций в развитии экономики.
Чистых форм кредита, изолированных друг от друга, не существует. Банковский кредит, например, хотя и предоставляется в денежной форме, однако на практике его погашение производится в форме товаров. Часто подобная ситуация вызывается исключительными обстоятельствами. Так, в России в период современного экономического кризиса 90-х гг. и сильной инфляции банки производили взыскание кредита посредством получения от заемщика соответствующих сумм товаров. Известны случаи, когда предприятия-заемщики расплачивались с банками за полученные ранее кредиты сахаром, который работники банка продавали по сходной цене клиентам и знакомым.
Это относится и к другим формам кредита. Банковский кредит, будучи по своему характеру производительным кредитом, на практике приобретает потребительские черты. В свою очередь гражданский кредит - это далеко не всегда потребительский кредит. Граждане могут приобретать ссуду на строительство или ремонт дома, приобретение хозяйственного инвентаря, используемого при сельскохозяйственных работах. Кредит гражданам на их потребительские цели в определенной степени может быть направлен на поддержание их жизнедеятельности, восстановление физических сил и здоровья, поэтому косвенно также приобретает своеобразные производительные черты.
В отдельных случаях используются и другие формы кредита, в частности:
• прямая и косвенная;
• явная и скрытая;
• старая и новая;
• основная (преимущественная) и дополнительная;
• развитая и неразвитая и др.
Прямая форма кредита отражает непосредственную выдачу ссуды ее пользователю, без опосредуемых звеньев. Косвенная форма кредита возникает, когда ссуда берется для кредитования других субъектов. Например, если торговая организация получает ссуду в банке не только для приобретения и продажи товаров, но и для кредитования граждан под товары с рассрочкой платежа. Косвенными потребителями банковского кредита являются граждане, оформившие ссуду от торговой организации на покупку товаров в кредит.
Косвенное кредитование происходило при кредитовании заготовительных организаций. В той части, в которой ссуда выдавалась заготовительной организации на оплату заготавливаемой продукции, наблюдается прямая форма кредита, в той же части, в какой данная ссуда шла на выплату заготовительной организацией авансов сдатчикам под будущий урожай сельскохозяйственной продукции, возникала косвенная форма кредита.
Под явной формой кредита понимается кредит под заранее оговоренные цели. Скрытая форма кредита возникает, если ссуда использована на цели, не предусмотренные взаимными обязательствами сторон.
Старая форма кредита - форма, появившаяся в начале развития кредитных отношений. Например, товарная ссуда под заклад имущества представляла собой старейшую форму, используемую на ранних этапах общественного развития. Для рабовладельческого общества была характерна ростовщическая форма кредита, которая впоследствии исчерпала себя, однако при определенных условиях ростовщическая плата за заемные средства может возникать и в современной жизни. Старая форма может модернизироваться, приобретать современные черты.
К новым формам кредита можно отнести лизинговый кредит. Объектом обеспечения становятся не только традиционное недвижимое имущество, но и современные виды техники, новые товары, являющиеся признаком современной жизни (автомобили, яхты, дорогостоящая видеоаппаратура, компьютеры). Современный кредит служит новой формой кредита по сравнению с его ростовщической формой.
Основная форма современного кредита - денежный кредит, в то время как товарный кредит выступает в качестве дополнительной формы, которая не является второстепенной, второсортной. Каждая из форм с учетом разнообразных критериев их классификации дополняет друг друга, образуя определенную систему, адекватную соответствующему уровню товарно-денежных отношений.
Развитая и неразвитая формы кредита
характеризуют степень его развития. В этом смысле ломбардный кредит называют допотопным, "нафталиновым" кредитом, не соответствующим современному уровню отношений. Несмотря на это, данный кредит применяется в современном обществе, он не развит достаточно широко, например, по сравнению с банковским кредитом.
Функции денег, состав и особенности
Сущность денег проявляется в их функциях, которые отражают возможности и особенности их использования, а также в роли денег, состоящей в достижении с их помощью определенных результатов.функциям денег присуши устойчивость, стабильность, они мало подвержены изменениям,
в то время как, например, роль денег в различных условиях может меняться.
Особенности функций состоят в том. что они в большинстве случаев осуществляются лишь деньгами.
Деньги выступают в качестве:
• меры стоимости;
• средства обращения;
• средства платежа;
• средства накопления.
Помимо перечисленных функций, нередко признается выполнение деньгами функции мировых денег (международного платежного средства), в которой они используются для денежных операций между странами. Выполнение такой функции при существовании золотых денег или свободно конвертируемой валюты не вызывало сомнений. В современных условиях денежная единица РФ - рубль - не обладает собственной стоимостью и фиксированным золотым содержанием. Как правило, рубли не применяются для расчетов с другими странами, не выполняют функцию мировых денег.
Функции денег рассматриваются как проявление их сущности. Вместе с тем они могут выполняться только при участии людей. Именно люди, используя возможности денег, могут определять цены товаров, применять деньги в процессах реализации и платежей, а также использовать их в качестве средства накопления.
Такой подход к функциям денег означает, что деньги представляют инструмент экономических отношений в обществе, а функции денег могут осуществляться лишь при участии людей.
Выполнение деньгами функции меры стоимости заключается в оценке стоимости товаров путем установления цен.
Основой установления цен товаров является величина их стоимости, зависящая прежде всего от величины затрат общественно необходимого труда на изготовление товаров. При установлении цены исходной величиной служит не индивидуальный уровень затрат труда отдельного товаропроизводителя на изготовление товара, а общественно необходимый уровень затрат. Соответственно в ценах фиксируются общественно необходимые затраты на производство отдельных видов товаров.
В случаях одинаковых цен на отдельные виды товаров преимущества имеют производители, у которых затраты на изготовление товаров ниже общественно необходимых. Напротив, у производителей, у которых затраты на изготовление товаров выше общественно необходимых, возникают потери вплоть до того, что они вынуждены сократить или прекратить производство таких товаров. В этом проявляется активность воздействия денег, благодаря применению которых стимулируется снижение издержек на изготовление товаров.
Вместе с тем когда речь идет об измерении величины стоимости товара, то имеется в виду ее выражение в ценах, которые характеризуют еще относительный уровень цены по сравнению с ценами других товаров.
Здесь нет ничего необычного, поскольку и в некоторых сферах человеческой деятельности применяется метод измерения в относительных величинах. Иными словами, цены товаров отражают не только абсолютную, но и относительную величину их стоимости, а также соотношения стоимости различных товаров.
Некоторые затруднения определения цены товара возникают в связи с переходом от применения денег, обладающих собственной стоимостью, к использованию денежных знаков, не разменных на золото. При применении полноценных денег имеются достаточные основания установления цены товара исходя из соотношения стоимости товара к стоимости денежной единицы.
К тому же при использовании полноценных денег обычно фиксируется золотое содержание (вес) денежной единицы, что позволяет применять такую величину в качестве масштаба цен.
Однако если в современных условиях вместо полноценных денег повсеместно используются денежные единицы, не обладающие собственной стоимостью, то установление цен существенно осложняется. Тем не менее и неполноценные деньги используются для установления цен. По этому вопросу пока еще не существует исчерпывающего, приемлемого объяснения. Так, определенное распространение получила точка зрения, согласно которой в процессе ценообразования может участвовать не реальное, а мыслимое золото; соответственно в процессе ценообразования нет необходимости использовать полноценные деньги.
В экономической литературе по этому вопросу существуют различные мнения. Одни авторы считают, что неполноценные деньги являются представителями золота и замещают его во всех функциях, в том числе и в функции меры стоимости. При этом определенное влияние на уровень цен оказывают изменения цены золота. Другие авторы высказывают мнение о возможном использовании денег для ценообразования в связи с наделением их правом служить законным средством платежа. Иногда обращается внимание на то, что соотношение цен на различные товары определяется и на основе сложившихся традиций.
В связи с рассматриваемыми вопросами большое значение имеет масштаб цен. При применении полноценных денег в законодательном порядке определяется весовое содержание золота в денежной единице. Эта величина используется в качестве масштаба цен; устанавливаемые цены увязываются с содержанием золота в денежной единице.
Вследствие отмены фиксированного золотого содержания денежной единицы и перехода к неполноценным денежным знакам возникли некоторые особенности характеристики масштаба цен. По этому вопросу сложились различные точки зрения.
Одна из них состоит в том, что неполноценные деньги выступают представителями золота и, соответственно, при увеличении массы таких денег в обороте каждая из денежных единиц представляет меньшую величину золота. Можно было бы с определенными оговорками согласиться с такой точкой зрения, если бы удалось (что маловероятно) определить ту величину золота, которую представляют неразменные на золото деньги.
Другая точка зрения заключается в возможности определения масштаба цен при применении не разменных на золото денег исходя из уровня прожиточного минимума одного человека. Сторонники такой точки зрения принимают следствие (изменения прожиточного минимума, учитывающего изменения цен) за исходную величину определения стоимости денежной единицы. К тому же здесь величина масштаба цен характеризуется исходя из изменений цен товаров личного потребления и не учитывает изменения цен товаров производственного назначения. Вполне возможно, что масштаб цен, уровни и соотношения цен различных товаров основываются в значительной мере на традиционных соотношениях, существовавших при применении полноценных денег. При этом необходимо иметь в виду, что изменения цен происходят не только в связи с изменениями масштаба цен, инфляционными процессами, но также в связи с изменениями стоимости товаров. Вместе с тем пока еще в этом вопросе отсутствует необходимая ясность.
Ориентиром при установлении цен с использованием денег, т.е. с помощью функции меры стоимости, служит, главным образом, величина стоимости товаров. Однако при установлении цен этим не ограничиваются, учитывают еще некоторые обстоятельства, в том числе потребительную стоимость товаров, а также стоимость и цены имеющихся взаимозаменяемых товаров.
В отношении учета при установлении цен особенностей потребительной стоимости соответствующих товаров нужно обратить внимание на следующее. Цены на новые виды продукции должны соответствовать изменениям их потребительной стоимости по сравнению с ранее изготовлявшейся продукцией. Если, например, производительность новой турбины превышает производительность ранее изготовлявшейся вдвое, то цена новой продукции, несмотря на различия в уровне издержек, не может более чем вдвое превышать цену ранее производившейся. Иными словами, при установлении цены на новую продукцию учитывается ее потребительная стоимость.
При установлении цен на отдельные виды товаров необходимо учитывать уровень цен взаимозаменяемых товаров. Игнорирование этого обстоятельства может привести к ограничению возможности реализации отдельных товаров.
Кроме того, при установлении цен на товары должно быть учтено наличие платежеспособного спроса, фактически складывающиеся соотношения объема предложения товаров и платежеспособного спроса и др. В частности, при превышении предложения над спросом цены могут понизиться и, соответственно, для возможности реализации товаров оказывается необходимым снизить цену товаров, предлагаемых к реализации.
Поэтому при установлении цен на отдельные виды товаров исходной величиной является их стоимость, но, кроме того, должны быть учтены и другие обстоятельства. В частности, цены могут изменяться под влиянием мер, предпринимаемых государством, в том числе в виде установления налогов (налог на продажу), акцизов, таможенных пошлин.
Разностороннее применение денег в процессах ценообразования свидетельствует о необоснованности и ограниченности характеристики их участия в таких процессах в качестве счетной единицы или, как утверждают некоторые авторы, в качестве "счетных денег", или единицы счета.
Такая характеристика представляется неприемлемой еще и потому, что в ней отсутствует объект счета - стоимость. Более обоснованным является определение участия денег в ценообразовании в качестве меры стоимости.
Деньги как средство обращения используются для оплаты приобретаемых товаров. При этом особенностью такой функции денег служит то, что передача товара покупателю и его оплата происходят одновременно. В этой функции употребляются наличные денежные знаки. Следует иметь в виду, что в РФ ее может выполнять лишь российская валюта (рубли). Применение иностранной валюты при реализации или покупке товаров не разрешается.
Как средство оплаты приобретаемых товаров деньги используются кратковременно. Одни и те же денежные знаки могут применяться многократно в различных сделках, перемещаясь от одних участников сделок к другим. Здесь большое значение приобретает скорость обращения денег: чем быстрее совершается оборот, тем меньше нужно денег для обращения товаров. Соответственно скорость обращения денег важна для регулирования массы денег, необходимых для обращения.
В участии денег в качестве средства обращения заложены возможности воздействия на экономические отношения между продавцами и покупателями. Так, покупатель товара предварительно должен убедиться в том, что потребительная стоимость предлагаемого товара соответствует предъявляемым требованиям. Без соблюдения этого требования реализация не осуществляется. Покупатель подвергает также контролю цену предлагаемого товара. При этом учитываются уровень цен, соотношение спроса и предложения по товару, намеченному к реализации, а также уровень цен на товары, которые могут заменить предлагаемый товар.
Размер оплаты приобретаемого товара может регулироваться сторонами, участвующими в реализации (продавцом и покупателем) и отклоняться от первоначально запрашиваемой цены.
Со своей стороны продавец должен убедиться в наличии средств у покупателя.
Все это означает, что в функции средства обращения деньги могут использоваться как инструмент взаимного контроля участников сделки по реализации товара.
Совокупный объем оборота, в котором участвуют деньги в функции средства обращения, относительно невелик и составляет лишь часть объема совокупного денежного оборота.
При выполнении деньгами функции средства обращения и поддержании стабильности цен важно, чтобы объем платежеспособного спроса соответствовал предложению товаров. Соблюдение такого требования обусловлено стремлением предотвратить задержку реализации товаров в связи с недостаточностью средств обращения, а также возможностью необоснованного роста цен и влиянием искусственного превышения платежеспособного спроса над предложением товаров.
Именно поэтому снабжение оборота необходимой массой денежных знаков приобретает большое значение. Однако решение такой задачи сопряжено с немалыми трудностями. Прежде всего имеющиеся рекомендации по этому вопросу не позволяют определить действительную потребность в деньгах. Это относится к закону количества денег в обращении, который характеризует зависимость потребности в наличных деньгах от объема реализации товаров, сумм платежей и скорости обращения денег. Правильная характеристика зависимости потребности оборота в наличных деньгах оказывается недостаточной для конкретного расчета такой потребности, тем более на предстоящий период (см. подробнее об этом далее). В равной мере такой расчет практически неосуществим при применении уравнения обмена.
В современных условиях определить действительную потребность в деньгах сложно по различным причинам. Одна из них состоит в том, что границы налично-денежного обращения и безналичных расчетов "размыты". Так, предприятия осуществляют расчет наличными деньгами в сравнительно крупных размерах и предусмотреть объем таких операций сложно. Наряду с этим расширяются денежные обороты населения с помощью пластиковых карточек. Предвидеть объем оборотов, осуществляемых с помощью таких карточек, вместо оборота наличных денег очень трудно. Нужно учесть и то, что нередко в России поступление наличных денег в оборот задерживается, в том числе и в связи с платежным кризисом.
Все это свидетельствует о целесообразности мер по улучшению использования денег при выполнении ими функции средства обращения.
Широко используются деньги как средство платежа. Такую функцию деньги выполняют при предоставлении и погашении денежных ссуд, при платежах за приобретаемые товары и оказанные услуги, при денежных взаимоотношениях с финансовыми органами (налоговые платежи, получение средств от финансовых органов), а также при погашении задолженности по заработной плате и др.
Функцию средства платежа выполняют и наличные деньги, главным образом во взаимоотношениях, в которых участвуют физические лица. Лишь небольшая часть платежей юридических лиц (в основном на не очень крупные суммы) производится наличными деньгами. Однако преобладающая часть денежного оборота, в котором деньги выступают как средство платежа, приходится на безналичные денежные расчеты между юридическими лицами и в определенной части в расчетах физических лиц (перечисление средств из вклада в банке в уплату за коммунальные услуги и др.).
При совершении некоторой части денежных оборотов в функции средства платежа, в отличие от оборотов в функции средства обращения, допускается применение помимо российской валюты (рублей) иностранной валюты. Это происходит, например, при взносе гражданами наличной инвалюты во вклады в банки и последующем получении из банка вложенных средств.
Сравнительно часто осуществляются расчеты в инвалюте при проведении платежей по экспортным и импортным операциям, в случае возникновения и погашения задолженности во взаимоотношениях с иностранными фирмами и государствами.
Преобладающая масса платежей совершается при проведении безналичных расчетов, в которых движение наличных денег замещается кредитными операциями, совершаемыми в денежных единицах.
Некоторая часть взаимных платежей участников денежного оборота происходит на условиях зачета взаимных требований, применение которого способствует ускорению погашения задолженности участников таких операций и уменьшает потребность оборота в деньгах. При проведении операций в части зачитываемого оборота не происходит оборота денег; в этой части деньги служат мерой стоимости и используются в качестве единицы счета. Лишь незачтенные суммы перечисляются с помощью денег в функции средства платежа.
Выполнение деньгами функции средства платежа как в налично-денежном обороте, так и в безналичных расчетах нельзя сводить к перемещению денежных средств. Неотделимым элементом платежей является их использование для регулирования взаимоотношений участников таких операций.
Расчеты за приобретаемые товарно-материальные ценности и оказанные услуги предполагают совершение платежей при условии контроля плательщика за соблюдением поставщиком условий договора.
В экономической литературе, особенно в работах зарубежных авторов, нередко признается выполнение деньгами в обороте лишь одной функции - средства обращения вместо двух функций - средства обращения и средства платежа. При подобной позиции принимается во внимание сходство операций по передаче денег в оплату товаров и в оплату долгов. Так, при характеристике одной функции - средства обращения - отмечается, что в ней выступают "... деньги, используемые для оплаты товаров и услуг, а также для оплаты долгов". Другими словами, функции средства обращения и средства платежа объединены в одной функции - средства обращения.
При этом принимается во внимание сходство операций по оплате товаров и оплате долгов. Сторонники подобной позиции игнорируют то, что, несмотря на наличие сходства операций по оплате товаров и оплате долгов, между ними имеются существенные различия. Действительно, при реализации товара на условиях немедленной его оплаты между участниками таких операций не возникают кредитные отношения. Напротив, при оплате долгов между участниками операций существуют кредитные отношения. Именно эти обстоятельства, учитывающие различный характер отношений между участниками денежного оборота, обусловливают обоснованность выделения в денежном обороте двух функций - средства обращения и средства платежа.
Деньги, непосредственно не участвующие в обороте, в том числе в функциях средства обращения и средства платежа, образуют денежные накопления и выполняют функцию средства накопления.
В состав денежных накоплений входят остатки наличных денег, хранящихся у отдельных граждан, а также остатки денег на счетах в банках. Образование денежных накоплений отдельных граждан обусловлено: превышением их доходов над расходами, необходимостью создания резерва для предстоящих крупных и сезонных расходов.
Наличие денежных накоплений позволяет населению использовать их в предстоящие периоды для оплаты приобретаемых товаров и погашения различных обязательств. Деньги в функции средства накопления состоят, кроме того, из остатков, накапливаемых предприятиями и организациями на их счетах в банках.
Выполнение деньгами функции средства накопления является важной предпосылкой развития кредитных отношений, с помощью которых становится возможным использование временно свободных средств, образующихся в различных звеньях хозяйства и у населения для предоставления ссуд предприятиям и организациям других звеньев хозяйства и отдельным гражданам. Возникающие и систематически возобновляемые кредитные отношения способствуют целесообразному использованию ресурсов хозяйства, развитию производства и более полному удовлетворению потребностей населения. Таковы народнохозяйственные результаты использования денег при выполнении ими функции средства накопления.
Сопоставляя различные виды денежных накоплений, следует выделить накопление наличных денег у населения. Практически в отношении таких остатков отсутствуют какие-либо ограничения в их использовании для оплаты товаров и обязательств. Это наиболее мобильный и ликвидный вид денежных накоплений. Тем более, что наличные деньги служат законным платежным средством и обязательны к приему во все виды платежей.
Несколько меньшие мобильность и ликвидность присущи по различным причинам остаткам средств юридических и физических лиц на счетах в банках. В отношении использования таких средств могут возникнуть при определенных условиях некоторые ограничения. Так, при недостаточности средств на расчетном счете предприятия для удовлетворения всех претензий имеющиеся средства могут использоваться в соответствии с установленной очередностью удовлетворения претензий, а не только по распоряжению предприятия-владельца счета. Тем не менее нельзя упускать из виду, что остатки на счетах в банках в определенной мере представляют собой не только накопление денег, но и вложения средств, приносящие доход.
В связи с этим следует отметить, что деньги, вложенные в акции, облигации и другие ценные бумаги, представляют собой уже не столько накопление денег, сколько их вложение для получения дохода.
Вместе с тем деньги в функции средства накопления в виде наиболее мобильной и ликвидной их части, какими являются наличные деньги, с одной стороны, не приносят доход; с другой (особенно в условиях инфляции) - подвержены опасности обесценения. Различные условия использования денег в функции средства накопления предполагают необходимость определенных усилий по целесообразному размещению накопленных денег.
При решении проблемы целесообразного размещения денежных сбережений принимается во внимание следующий комплекс требований:
• возможность беспрепятственного использования размещенных денежных средств;
• надежность вложений;
• минимизация риска;
• возможность получения дохода от вложений средств. Накопление наличных денег у населения обладает таким немаловажным преимуществом, как практически беспрепятственная возможность их использования для различных затрат. Это служит немалым побудительным мотивом увеличения таких накоплений.
В отношении использования наличных денег, находящихся у предприятий, существуют определенные ограничения. Они состоят прежде всего в установлении предельной величины остатка наличных денег в кассе. Кроме того, предприятия могут расходовать наличные деньги в соответствии с их целевым назначением.
Однако остатки наличных денег не приносят дохода. Вместе с тем в условиях инфляции существует значительный риск потерь в связи с обесценением денег. Все это усиливает заинтересованность в уменьшении остатка денежных средств, в первую очередь у населения.
Стремление к возможно более быстрому расходованию денежных сбережений и снижению остатков наличных денег проявились в применении термина "горячие деньги", от которых стремятся избавиться. Немалыми преимуществами по сравнению с остатками наличных денег обладают вложения средств в кредитные учреждения, тем более что вклады и депозиты приносят доход.
Таким вложениям присущи и негативные черты. В частности, полная гарантия сохранности вкладов и депозитов отсутствует в связи с возможными потерями в случаях несостоятельности кредитных учреждений. К тому же доходы по вкладам и депозитам не всегда компенсируют обесценение денежной единицы. В результате снижается заинтересованность в помещении денежных сбережений в кредитные учреждения. Отмеченное относится во многом и к вложениям в ценные бумаги.
Одним из направлений предотвращения потерь от обесценении денежных сбережений является их использование для приобретения имущества и товарно-материальных ценностей. Тем не менее такому применению денежных сбережений присущи определенные недостатки и прежде всего ограниченная возможность быстрого использования для различных расходов средств, вложенных в имущество.
Нельзя также игнорировать трудности обоснованной оценки имущества при его приобретении, а также возможности его реализации. К мерам предотвращения потерь при хранении денежных накоплений относится их вложение в остатки свободно конвертируемых валют. При кажущейся надежности вложений сбережений в инвалюту нельзя упускать из виду возможность потерь при изменениях курса, а также бездоходность вложений в наличную инвалюту. К тому же нельзя не учитывать, что вложения денежных сбережений в наличную инвалюту представляют собой беспроцентное предоставление средств взаймы стране - эмитенту валюты.
Таким образом, предпочтительнее использовать денежные накопления не в качестве остатка наличных денег, а как различные вложения с учетом особенностей каждого вида вложений. При таких условиях деньги нередко перестают выполнять функцию средства накопления.
Несмотря на различия функций денег, между ними существует взаимосвязь и единство, обусловленное сущностью денег. Так, функция меры стоимости реализуется в функциях средства обращения и средства платежа. Вместе с тем деньги могут попеременно выполнять функции средства обращения и средства платежа, а также служить средством накопления. В свою очередь денежные накопления могут быть использованы как средство обращения и как средство платежа.
Функция мировых денег проявляется во взаимоотношениях между странами или между юридическими и физическими лицами, находящимися в различных странах. В таких взаимоотношениях деньги используются для оплаты приобретаемых товаров, при совершении кредитных и некоторых других операций. При применении различными странами полноценных денег, обладавших собственной стоимостью, не возникали сколько-нибудь серьезные осложнения с их использованием в международных отношениях. Здесь деньги отдельных стран могли применяться для расчетов с другими странами, исходя из действительной стоимости денежной единицы каждой страны.
Когда же был совершен переход к неполноценным деньгам, прежняя практика оказалась недостаточно приемлемой. В новых условиях расчеты между странами стали производиться с помощью свободно конвертируемых валют (доллары США, иены, немецкие марки и др.) либо в таких международных единицах, как ЭКЮ (Europian Currency Union), или с 1999 г. - евро.
Если же плательщик, находящийся в России, располагает неконвертируемой валютой, он может ее обменять на свободно конвертируемую валюту по применяемому курсу и при наличии разрешений осуществить перечисление в другие страны. Напротив, при поступлении из-за рубежа свободно конвертируемой валюты она зачисляется на транзитный счет. С этого счета может быть проведена реализация части поступившей конвертируемой валюты на местную валюту по применяемому курсу, а при наличии разрешения можно использовать часть валюты для расчетов с зарубежными корреспондентами. Это означает, что функцию мировых денег могут выполнять денежные единицы свободно конвертируемых валют. Неконвертируемые денежные единицы такую функцию выполнять не могут.
Функции кредита
Слово "функция" (от лат. functio - исполнение) является довольно распространенным научным понятием. Им оперируют в естественных науках, политэкономии и философии. Парадокс состоит в том, что в каждом отдельном случае содержание этого понятия трактуется неодинаково. В математике, например, под функцией понимается зависимость переменных, в биологии и химии - свойство. Часто считается, что функция - это задача, которая при определенных предпосылках должна быть реализована предметом (вещью) или субъектом (человеком).В российской науке о кредите функция чаще воспринимается как проявление его сущности. Недостаток такого определения состоит в том, что анализ обращен не столько к самой сущности, сколько к явлению, проявлению сути кредита.
Вместе с тем функция - продолжение анализа сущности. Если структура кредита при этом обращена к его внутреннему строению, взаимодействию его элементов между собой, то функция кредита - это его взаимодействие как целого с внешней средой.
При рассмотрении функций кредита сохраняют свое значение методологические принципы, на которых был построен анализ сущности кредита как экономической категории. Их можно свести к следующему.
• Прежде всего функция, так же как и сущность кредита, имеет объективный характер. Функция характеризует определенную зримую работу, которую выполняют кредитор и заемщик, вступив в кредитные отношения. Как взаимодействие функция может быть скрыта от исследователей, однако от этого она не перестает существовать. По мере познания сущности кредита обнажаются более рельефно его качества, общество получает возможность вскрыть новые направления взаимодействия кредита или его функции.
• При анализе функций кредита важно учесть еще одно обстоятельство: в процессе своего движения в каждый данный момент кредит проявляет сущность не всеми своими функциями, а какой-либо одной или несколькими из них.
• функция - это не застывшая, а изменяющаяся категория. Вместе с изменением сущности кредита меняется и его взаимодействие.
• Функция выражает специфическое взаимодействие кредита как целостного процесса. Это позволяет сделать три вывода. Во-первых, функция относится к кредитному отношению в целом, а не отдельно к кредитору или заемщику; взаимодействие кредита может быть квалифицировано как его функция только в том случае, если оно в равной степени касается всех элементов кредита. Во-вторых, функция должна характеризовать специфическое взаимодействие всех форм кредита. Не существует каких-то особых функций коммерческого или банковского, международного или потребительского кредита; тем более нет и особых функций тех или иных разновидностей кредита, к примеру отдельно функций краткосрочного, среднесрочного или долгосрочного кредитования. Функцию порождает не форма или разновидность кредита, а его сущность как единой экономической категории. Функция -объективная категория, органически связанная с сущностью, а не субъективный прием (метод, разновидность), вытекающий из механизма кредитования. В-третьих, функция характеризует такое взаимодействие кредита с внешней средой, которое направлено на его сохранение как целостного образования.
В предыдущих разделах анализа кредитных отношений было установлено, что кредитные сделки, заключаемые между кредитором и заемщиком, возникают на стадии перераспределения стоимости. В процессе обмена временно высвободившаяся стоимость передается заемщику, а затем возвращается к своему владельцу. Этот характерный для кредита процесс дает основание для выделения ПЕРВОЙ - ПЕРЕРАСПРЕДЕЛИТЕЛЬНОЙ ФУНКЦИИ КРЕДИТА.
Каковы черты перераспределительной функции? Прежде всего важно определить, что именно перераспределяется посредством кредита. Через сделку ссуды кредитор может в одном случае передать заемщику во временное пользование товарно-материальные ценности; в другом, что более типично для современного кредитного хозяйства, - денежные средства. В обоих случаях при единой сущности этой сделки объект передачи различен. Однако это различие касается формы данного объекта, а не его содержания: вне зависимости от формы перераспределяется стоимость.
Итак, перераспределительной функции кредита свойственно перераспределение стоимости. Оно может происходить по территориальному и отраслевому признакам. В кредитные отношения могут вступать различные организации и лица независимо от их месторасположения. Для кредита не имеет значения расположение друг от друга кредитора и заемщика. Подобное перераспределение стоимости можно назвать межтерриториальным.
Межотраслевое перераспределение при помощи кредита происходит, когда стоимость передается от кредитора, представляющего одну отрасль, к заемщику - предприятию другой отрасли. В современном денежном хозяйстве, когда наибольший удельный вес занимают отношения между предприятиями и банком, межотраслевое перераспределение является решающим. Средства, аккумулируемые банками, теряют ведомственный характер, они "растворяются" в общих ресурсах банка, который предоставляет кредиты предприятиям соответствующей отрасли, независимо от того, сколько от нее поступило ресурсов.
Внутриотраслевое перераспределение стоимости на началах возвратности можно наблюдать при получении кредита предприятиями от отраслевых банков.
Перераспределение стоимости на кредитных началах исключает внутрихозяйственное перераспределение. Внутри одного и того же предприятия не могут возникать кредитные связи: предприятие не может кредитовать само себя - кредитные сделки заключаются только между парой субъектов, обладающих имуществом и юридическими правами.
Независимо от того, имеет ли место межтерриториальное, межотраслевое или внутриотраслевое перераспределение, оно не сопровождается сменой собственника: собственность на передаваемую стоимость сохраняется у кредитора.
Перераспределение ресурсов посредством кредита можно рассматривать на различных уровнях. На уровне предприятий как субъектов кредитных отношений, в рамках индивидуального кругооборота и оборота стоимости перераспределяются товарно-материальные ценности и денежные средства. На народнохозяйственном уровне в рамках совокупного кругооборота стоимости ее движение воплощается в перераспределении посредством кредита валового продукта, национального дохода. Причем как на народнохозяйственном уровне, так и на уровне индивидуального кругооборота и оборота стоимости ее перераспределение посредством кредита становится возможным только благодаря движению материальных потоков, валового продукта, национального дохода, приобретающих денежную, производственную или товарную формы.
Первая черта перераспределения ресурсов при помощи кредита заключается в том. что оно может затрагивать не только сумму материальных благ. средств производства и предметов потребления, произведенных обществом за год. т.е. валовой продукт, но и средства производства и предметы потребления, созданные в предшествующий период развития той или иной страны.
Посредством перераспределительной функции кредита - и это составляет ее вторую черту - могут перераспределяться не только валовой продукт и национальный доход, но и все материальные блага, все национальное богатство общества.
Третья черта функции затрагивает характер перераспределяемой стоимости.
Как уже отмечалось, кредитор предоставляет заемщику кредит, а заемщик возвращает его тогда, когда стоимость высвобождается. Кредитор не может предоставить в ссуду такую стоимость, которая занята в его хозяйстве, так же как заемщик не в состоянии реально погасить ее без свободных средств для платежа. Перераспределительная функция кредита, следовательно, охватывает не вообще перераспределение стоимости, а перераспределение временно высвободившейся стоимости. Вместе с тем перераспределение может также являться продолжением процесса реализации (обмена). При коммерческой форме кредита предприятие-изготовитель реализует свою продукцию на условиях предоставляемой покупателю отсрочки платежа, т.е. на кредитной основе. В этом случае не наблюдается высвобождения ресурсов. Однако для того, чтобы дать такую отсрочку, предприятию-поставщику нужно либо самому располагать свободными ресурсами до момента оплаты его продукции, либо получить их во временное пользование от других субъектов воспроизводства (чаще всего от банка). В том и в другом случаях перераспределяется то, что уже создано в различных звеньях хозяйства.
Важна и четвертая черта перераспределительной функции кредита. Как отмечалось ранее, объективно кредит носит производительный характер. Стоимость передается заемщику, и уже здесь заключено ее использование, предполагающее вовлечение "осевших" средств в хозяйственный оборот. Получение временно высвободившейся стоимости заемщиком сопровождается активной ее "работой" в хозяйстве: ссуда расходуется на разнообразные производственные нужды. Таким образом, в перераспределительной функции существенным является передача временно высвободившейся стоимости во временное пользование.
Пятая черта заключается в том. что стоимость передается чаше всего без участия каких-либо посредников: поступает в пользование непосредственного ссудополучателя. минуя те или иные промежуточные звенья. Это не исключает случаи, когда кредит может предоставляться лишь при наличии третьего субъекта - гаранта (юридического или физического лица).
ВТОРОЙ ФУНКЦИЕЙ КРЕДИТА, признанной в отечественной экономической литературе, ВЫСТУПАЕТ ЗАМЕЩЕНИЕ ДЕЙСТВИТЕЛЬНЫХ ДЕНЕГ КРЕДИТНЫМИ ОПЕРАЦИЯМИ. В современном кредитном хозяйстве созданы необходимые условия для такого замещения. Перечисление денег с одного счета на другой в связи с безналичными расчетами за товары и услуги, зачет взаимной задолженности, перечисление только сальдо взаимных зачетов дают возможность сократить налично-денежные платежи, улучшить структуру денежного оборота.
В современном хозяйстве действительные деньги (золотая монета) не обращаются: в обращении находятся денежные знаки, выпускаемые на основе кредита. Это дает возможность ряду авторов считать, что функция кредита как замещения действительных денег исчерпала себя и прекратила существование. Надо полагать, что в современном хозяйстве вхождение ссуженной стоимости в хозяйственный оборот выполняет функцию не всеобщего замещения денег, а функцию их временного замещения в экономическом обороте. Ссуженная стоимость, полученная заемщиком и вошедшая в хозяйственный оборот, начинает выполнять работу, свойственную деньгам (использоваться для приобретения товарно-материальных ценностей, выплаты заработной платы и т.д.).
Тесная связь кредита с кругооборотом производственных фондов предприятий приводит к попытке ряда экономистов выделить процесс опосредствования кругооборота средств в самостоятельную функцию кредита. Для этого вряд ли есть достаточно причин. Функция - специфическое взаимодействие кредита, в то время как опосредствование кругооборота средств свойственно, например, и деньгам, и финансам. Опосредствование кругооборота средств входит в содержание ряда стоимостных категорий, а поэтому не может считаться исключительно функцией кредита.
Это относится в равной степени и к стимулированию экономии ресурсов, которое объявляется некоторыми экономистами функцией кредита. Заключение кредитной сделки сопровождается возникновением взаимных обязательств ее участников. Кредит как экономическое отношение побуждает к рациональному использованию выделенных ресурсов для возврата временно позаимствованной стоимости. Заемщик должен так использовать полученную ссуду, чтобы вовремя возвратить ее банку, причем возвратить с приращением в виде процента. Однако определенные обязательства сторон образуются в любом экономическом отношении. Стимулирование экономного ведения хозяйства свойственно и цене, и финансам, и прибыли, и другим стоимостным категориям. Данное свойство связано с содержанием совокупности экономических отношений и поэтому не может быть функцией кредита. Под функцией понимается не общее, а специфическое взаимодействие кредита с внешней средой.
ВЗАИМОДЕЙСТВИЕ КРЕДИТА И ДЕНЕГ
Кредит и деньги являются самостоятельными экономическими категориями. выражающими определенные экономические отношения. В
то же время эти категории тесно взаимосвязаны, причем с развитием общества их взаимодействие становится все более активным.
Вопрос о первичности кредита или денег в обществе - не однозначный. По нашему мнению, сначала появилась такая экономическая категория, как кредит. Деньги возникают только на основе развития товарного производства и товарного обращения. Кредит же может существовать и в натуральной форме, когда на условиях возвратности предоставляется не товар, а натуральный продукт.
В первобытном обществе появлению подобного кредита способствовали три обстоятельства.
Во-первых, ряд необходимых первобытному племени орудий производства мог быть продуктом только коллективного труда, а служил он для индивидуальной производственной деятельности. Например, выдолбленная из ствола дерева лодка-каноэ изготовлялась значительным количеством людей и принадлежала всему племени. Вместе с тем в море на ней выходило не более двух-трех опытных рыболовов, которые и получали эту лодку от вождей племени при условии ее возврата по первому требованию. В охотничьих племенах таким же средством производства, предоставляемым сравнительно небольшому коллективу опытных охотников при условии возврата, служили сети для загонной охоты, также требующие для их изготовления труда значительного количества людей.
Во-вторых, любое достаточно развитое первобытное племя должно было создавать общественные резервы как в форме орудий производства, так и предметов потребления на случай неблагоприятных обстоятельств (стихийных бедствий, неурожаев, войн). Поэтому появляется возможность (опять же по распоряжению вождей) предоставлять на время такие натуральные продукты отдельным членам племени, нуждающимся в них. Например, охотник, сломавший на охоте лук, мог получить его из общественного склада на то время, пока он не изготовит новый. Это позволяло ему не прекращать охоты, что было в интересах всего племени.
В-третьих, постоянные взаимоотношения членов племени друг с другом не могли не привести к возникновению такой разновидности натурального (впоследствии товарного) кредита (дошедшей до нашего времени), как "соседский" кредит, т.е. предоставление продуктов и предметов быта членами племени (семьями) друг другу. Так, если в одной семье кончалась необходимая уже в то время приправа - соль, эта семья могла ее получить "по-соседски" у другой семьи (с отдачей), не обращаясь каждый раз к вождю для получения ее из общественного склада.
Вопрос о первичности кредита по сравнению с товаром и деньгами имеет не только абстрактное, теоретическое значение. Возникновение кредита ранее товарно-денежных отношений позволяет сделать вывод о том, что кредит - один из факторов их зарождения.
В условиях товарно-денежных отношений деньги и кредит развиваются в неразрывном единстве, взаимно дополняя друг друга в обслуживании производства, распределении и перераспределении валового общественного продукта.
При этом деньги и кредит используются непосредственно и одновременно, фактически нет фазы, в которой одна категория применялась бы в отрыве от другой.
С одной стороны, денежный кредит, предоставленный юридическим и физическим лицам, создает новые деньги на депозитных счетах в банках, которые используются владельцами этих счетов для платежей по их обязательствам. Владельцы счетов становятся одновременно субъектами кредитных и денежных отношений. С другой стороны, банки, привлекая из налично-денежного оборота деньги на депозитные счета, практически не уменьшают возможности клиентов осуществлять платежи, напротив, за счет дополнительно привлеченных ресурсов расширяют возможности их кредитования. В этом случае владельцы счетов также выступают как субъекты и кредитных, и денежных отношений.
Деньги, поскольку они опосредствуют процесс воспроизводства, неизбежно совершают постоянно повторяющийся кругооборот. Однако без существования кредита такой кругооборот не мог бы совершаться, поскольку кредит соединяет отдельные фазы воспроизводственного процесса в пространстве и во времени, причем не только соединяет, а ускоряет воспроизводственный процесс.
Взаимодействие денег и кредита проявляется и в том, что с помощью кредита ( через рынок кредитных ресурсов) деньги "перебрасываются" из одной сферы рынка в другие сферы. В то же время рынок кредитных ресурсов пополняется за счет денег, находящихся в других его сферах. Закономерности движения денег из одних сфер рынка в другие связаны действием в этих сферах закона спроса и предложения. При этом деньги из сфер, где предложение их превышает спрос, "уходят" в сферы рынка, где спрос превышает предложение. Рынок кредитных ресурсов - единственный рынок, на котором создаются новые деньги, удовлетворяющие дополнительный спрос во всех сферах рыночных отношений. Однако между экономическими категориями "деньги" и "кредит" существуют и отличия.
Первое отличие. Кредит является более "узкой", чем деньги, экономической категорией. Если субъектами денежных отношений выступают практически все юридические и физические лица, то субъекты кредитных отношений - только участники кредитных сделок - кредиторы и заемщики.
Второе отличие. Кредит создает не только деньги, но и другие средства платежа (переводные векселя, депозитные сертификаты), поэтому он выступает не только первоисточником денежного оборота, но и первоисточником платежного оборота как процесса движения всех платежных средств в хозяйстве.
Третье отличие. В случае отсрочки платежа за тот или иной товар (услугу) участвуют и кредит, и деньги в функции средства платежа. Если деньги проявляют свою суть при рассрочке платежа в момент самого платежа (именно поэтому данная функция денег и называется функцией средства платежа), то платеж в кредитной сделке - только элемент движения денег или товара на условии возвратности. Кредит как экономическая категория проявляет свою сущность не в платеже по истечении отсрочки, а в факте отсрочки платежа.
Платеж в кредитной сделке - это только один из случаев функционирования денег в функции платежа, между тем деньги в этой функции используются при уплате налогов, сборов, страховых платежей, выплате заработной платы, пенсий, пособий, дивидендов и т.п.
Четвертое отличие. Эти экономические категории имеют разные потребительные стоимости для субъектов денежных и кредитных отношений. Если субъекты денежных отношений заинтересованы в потребительной стоимости денег - их уникальном свойстве (всеобщей обмениваемости на любые товары и услуги), то для субъектов кредитных отношений интерес к ней испытывают только заемщики. Кредиторы же заинтересованы в другой потребительной стоимости кредита - способности приносить доход в виде процента.
Пятое отличие. Оно заключается в разных стадиях движения денег и кредита (рис. 14.1).

а) б)
Рис. 14.1. Стадии движения денег (а) и кредита (б)
Из рис. 14.1 видно, что движение денег существенно отличается от движения кредита (ссужаемой стоимости).
Во-первых, деньги, обслуживая процесс купли-продажи, совершают мимолетное движение: товар передается в собственность покупателю, покупатель сразу передает деньги (соответствующий эквивалент) за приобретенный товар продавцу (исключением является лишь продажа с рассрочкой платежа).
Во-вторых, движение денег носит не только мимолетный, но и односторонний характер: деньги уходят от покупателя к продавцу. При движении кредита передаваемая ссуженная стоимость вначале идет от кредитора к заемщику, а затем - от заемщика к кредитору.
В-третьих, в движении денег в процессе их одномоментной купли-продажи нет таких их важных стадий, как использование покупателем и возврат продавцу. В движении кредита данные стадии выступают непременным атрибутом круговращения ссуженной стоимости.
В-четвертых, в процессе движения кредита "вырастает" еще один немаловажный элемент движения стоимости, чего нет при обычной купле-продаже. Вместе с возвращением ссуженной стоимости кредитор получает не только первоначально авансированную сумму средств; но и в дополнение к ним дополнительную сумму - плату за кредит в виде ссудного процента.
Шестое отличие. Кредит в отличие от денег приносит процент, поэтому кредитор получает стоимость больше авансированной (если кредит предоставлялся и погашался в товарной форме) либо на товарном рынке он может приобрести большую стоимость, чем получил бы до предоставления кредита (если кредит возвращается в денежной форме).
Седьмое отличие. В денежных отношениях всегда происходит смена права собственности на деньги. Так, на рынке ценных бумаг их продавец, отказываясь от права собственности на ценные бумаги (которое переходит к покупателю), приобретает право собственности на деньги. В кредитных отношениях правом собственности обладает только одно лицо - кредитор. На рынке кредитных ресурсов он продает только право на временное использование ссужаемых товаров, оставляя за собой право собственности на них.
В условиях рыночной экономики проявляется тенденция дальнейшего усиления взаимодействия денег и кредита. Этому содействует ряд факторов:
• в системе кредитных отношений преимущественное место стала занимать наиболее современная форма кредита - банковский кредит. Это позволяет наиболее мобильно "перебрасывать" деньги в разные сферы денежного оборота, обслуживающего различные рынки, либо создавать новые деньги, увеличивающие денежный оборот;
• возникновение и развитие таких видов банковского кредита, как контокоррентный кредит, револьверной кредит, кредитные линии. Это дает возможность завязывать длительные и постоянные связи с клиентами, которые одновременно являются субъектами и денежных отношений, и кредитных отношений;
• появление для субъектов денежных отношений новой потребительной стоимости денег - способности обеспечивать наивысшую ликвидность денежных активов - приводит к развитию в банках новых срочных депозитных счетов, сочетающих преимущества срочных депозитов (повышенный процент) и депозитов до востребования. В американских банках такие счета называются трансакционными или нау-счетами. Это позволяет расширять масштабы привлечения денег на рынок кредитных ресурсов;
• развитие электронных денег (платежных карточек, кредитных карточек, дебетных карточек, в том числе с возможностью овердрафта) способствует привлечению денег на банковские счета и превращению их в кредитные ресурсы. Использование электронных денег, с одной стороны, позволяет наращивать кредитный потенциал банков; с другой - невозможно без кредита;
• расширение безналичных расчетов, появление новых систем электронных расчетов, работающих в режиме реального времени, ускоряют денежный оборот, поэтому часть денег становится ненужной для расчетов и оседает на депозитных счетах, расширяя кредитные ресурсы банковской системы. В то же время развитие взаимных (клиринговых) расчетов требует обязательного расширения кредита, предоставляемого участникам клиринга;
• с созданием современных систем денежно-кредитного регулирования кредит становится основой этих систем. Через кредит центральные банки воздействуют на эмиссионные возможности коммерческих банков, уменьшая или увеличивая выпуск денег в оборот, и достигается эластичность денежного оборота.
Таким образом, в обществе с развитыми рыночными отношениями и деньги, и кредит становятся объектами государственного регулирования, а это означает, что государство - либо прямой, либо косвенный субъект денежных и кредитных отношений.
Более того, современные деньги не могли бы существовать без государства. Если ранее их свойство всеобщей обмениваемости обеспечивалось тем, что деньги сами были товаром и обладали стоимостью, то теперь, когда они функционируют в виде денежных знаков, не имеющих собственной стоимости, только государство наделяет их обязательной платежной силой и обеспечивает их потребительную стоимость - свойство всеобщей обмениваемости.
Кредит, создавая платежные средства (включая деньги), дает банкам возможность осуществлять неограниченную эмиссию через использование механизма банковской мультипликации. Поэтому, если бы государство не стало через кредит регулировать эмиссионную деятельность коммерческих банков, любая денежно-кредитная система развалилась.
При взаимодействии деньги и кредит не только влияют друг на друга как экономические категории, но и структуры денег и кредитных операций тесно взаимосвязаны.
Виды современных денежных знаков различаются по степени их ликвидности.
Чем больше, при прочих равных условиях, доля денег, находящихся на счетах срочных депозитов свыше одного года, тем значительнее доля долгосрочных кредитов по сравнению с краткосрочными, выдаваемыми банками и государством. Наоборот, чем больше доля долгосрочных кредитов или кредитов, подлежащих пролонгации, тем больше доля денег, находящихся на счетах срочных депозитов. При этом размер краткосрочных кредитов достаточно устойчив, поскольку такие кредиты обслуживают постоянно возобновляемый кругооборот оборотных производственных фондов и фондов обращения, который при обычных условиях изменяется незначительно.
В перспективе дальнейшее взаимодействие и взаиморазвитие денег и кредита будут продолжаться. В результате сокращения удельного веса наличных денег в составе совокупной денежной массы большая часть денег, не участвующих в денежном обороте, будет привлечена на банковские счета и использована в качестве банковских ресурсов. Этому будет содействовать дальнейшее развитие систем электронных денег, которые, видимо, будут приниматься многими, если не всеми, предприятиями торговли и предприятиями, оказывающими услуги населению. Пластиковые карточки будут широко использоваться при банковском кредите.
Усилится регулирующая роль государства в денежно-кредитной сфере. Это проявится в создании компьютерных программ, позволяющих с большой точностью прогнозировать как денежные агрегаты, характеризующие будущий объем денежной массы, так и размер задолженности на различных ссудных счетах, а также выбирать наиболее оптимальные на данный момент инструменты денежно-кредитного регулирования.
Центральные банки получат возможность через кредит воздействовать не только на пассивы коммерческих банков, но и на структуру и качество их активов. Гибкое использование денег и кредита позволит организовать наиболее оптимальный кругооборот денег, а это, в свою очередь, обеспечит подлинно кредитный характер функционирующих в обороте денег при условии их постоянной возвратности в банковскую систему.
Вопросы для самоконтроля
1. В чем состоит взаимодействие денег и кредита?
2. Каковы отличия кредита от денег?
3. Каковы факторы усиления дальнейшего взаимодействия денег и кредита?
Границы кредита
Определение обоснованных границ применения кредита и их соблюдение имеют важное значение для отдельных участников кредитных операций и для экономики в целом.Лишь при оптимальном уровне кредитных вложений воздействие кредита на экономику может быть положительным.
Избыточное предоставление кредита негативно повлияет на процессы развития экономики, в том числе на замедление темпов воспроизводства. Одной из причин этого может явиться образование за счет заемных средств повышенных запасов, в которые отвлекаются ресурсы. Последние же могли быть использованы на производственные и потребительские нужды. Избыточное предоставление кредита ослабляет заинтересованность предприятий в экономном использовании ресурсов, в ускорении процессов производства и реализации продукции.
Если же по различным причинам потребности хозяйства в средствах удовлетворяются за счет кредита не полностью, возникают немалые трудности в деятельности предприятий, например нехватка средств для приобретения необходимых материалов, что влечет за собой замедление воспроизводственных процессов.
Объем предоставляемого кредита, прежде всего банковского, влияет на обеспечение оборота платежными средствами. Чрезмерное ограничение размера предоставляемого банковского кредита может привести к трудностям в приобретении материальных ценностей, к снижению платежеспособного спроса и соответственно отражается на сдерживании роста цен. Это происходит потому, что при определенном уровне предложения товаров и сравнительно меньшем уровне платежеспособного спроса на них возможности повышения цен ограничиваются. Вместе с тем такие меры могут повлиять на ухудшение обеспечения предприятий и организаций платежными средствами и воспрепятствовать возможному росту объема их производства и реализации.
Аналогичное влияние могут оказать ограничения в применении коммерческого кредита, когда в распоряжении предприятия-покупателя окажется меньше товарно-материальных ценностей, чем это необходимо для производственной деятельности. Напротив, чрезмерное расширение предоставления кредита, главным образом банковского, может способствовать увеличению массы платежных средств в обороте, повысить платежеспособный спрос и в конечном счете повлиять на рост цен.
Обоснованное определение и соблюдение границ кредита важны для всех форм и видов кредитных отношений. Особое значение это имеет для банковского кредита и деятельности банков. Это обусловлено доминирующим местом банковских кредитов в системе кредитных отношений, а также отсутствием границ применения банковского кредита, подобных тем, которые существуют при других видах кредитных отношений. Так, возможности предоставления коммерческого кредита ограничены наличием товаров у продавцов, которые могут их реализовать с отсрочкой оплаты.
Если при коммерческом и взаимном кредитовании юридических и физических лиц размеры ссужаемых средств ограничены наличием у заимодавца необходимых для этого ресурсов, то при применении банковского кредита такие ограничения практически отсутствуют. Это объясняется тем, что предоставление банковского кредита не зависит от наличия предварительно аккумулированных и неразмещенных средств.
Выдача банком каждой ссуды сопровождается одновременным и равновеликим зачислением средств на расчетные счета в банке. Зачисление предоставляемых взаймы средств на расчетные счета неравнозначно образованию ресурсов, а представляет собой лишь процесс образования платежных средств.
Такие процессы во многом зависят от деятельности банков, но чтобы во вновь созданных платежных средствах воплотились ресурсы, зависит не от банков, а от условий, складывающихся в хозяйстве. Если банк предоставил ссуду торговой организации и полученная ссуда перечислена на счет поставщика товара, то при использовании поставщиком поступивших средств для погашения его задолженности банку увеличения ресурсов и ссудной задолженности не будет. В рассматриваемой ситуации предоставление ссуды сопровождалось образованием платежных средств, обслуживающих процесс реализации продукции. В целом здесь не произошло ни увеличения кредитных ресурсов, ни увеличения кредитных вложений. Однако если в сумме выручки, полученной поставщиком, содержалась определенная сумма прибыли, то часть выручки могла "осесть" на расчетном счете поставщика. При этом имеется в виду, что поставщик использовал для погашения ссудной задолженности не всю выручку, а лишь часть ее.
В подобном случае на расчетном счете поставщика образуется остаток к сумме полученной прибыли, представляющий собой дополнительный ресурс. На величину остатка возрастет совокупная ссудная задолженность в размере превышения ссуды, выданной торговой организации, над суммой ссуды, погашенной поставщиком товара.
В рассматриваемой ситуации предоставление ссуды (в данном случае - торговой организации) сопровождается образованием платежных средств, которые были использованы для расчетов торговой организации с поставщиком товара, а также для погашения ссудной задолженности поставщика. При этом лишь часть вновь созданных платежных средств может быть использована для образования ресурсов, но только при определенных условиях, складывающихся в хозяйстве (здесь в связи с образованием прибыли у поставщика).
Дополнительные ресурсы могут появиться не только как воплощение образовавшейся прибыли. Имеются и многие другие причины, обусловливающие оседание средств на расчетных счетах. Одна из наиболее широко распространенных состоит в накоплении денежных средств для предстоящих расходов (платежей бюджету, в погашение ссуд, на выдачу зарплаты и др.). Такие накопления не являются непосредственным результатом предоставления ссуд, а обусловлены причинами, складывающимися в процессах хозяйственной деятельности. Все это подтверждает недопустимость признания образования платежных средств при предоставлении ссуд как явления, равнозначного образованию кредитных ресурсов.
Вместе с тем при избыточном кредитовании вполне возможно образование нереальных ресурсов, а при недостаточном кредитовании возникает и недостаток ресурсов. Это подчеркивает необходимость рассмотрения особенностей определения границ кредита.
Определение границ применения кредита предполагает установление:
• круга потребностей в средствах, которые могут удовлетворяться за счет кредита;
• границ использования кредита по народному хозяйству в целом, в том числе для увеличения оборотных средств, основных фондов, потребительских нужд, государственных потребностей;
• количественных границ предоставления кредита ( объема кредитных вложений отдельных банков и др.);
• границ предоставления кредита отдельным заемщикам, обусловленных особенностями взаимоотношений кредитора с заемщиком, с учетом интересов и потребностей заемщика, а также возможностей и интересов кредитора.
При определении границ применения кредита важно учитывать, что кредит - это метод возвратного предоставления средств, и потому предоставление ссуд возможно исходя из наличия необходимых условий возврата заемных средств.
Наиболее приемлемым является предоставление ссуд для авансирования их в оборотные средства. При этом имеется в виду, что такие средства высвобождаются после завершения кругооборота и могут служить источником погашения ссудной задолженности.
Приемлемой сферой применения кредита выступает также потребность в средствах для увеличения основных фондов. Погашение таких ссуд может производиться в пределах срока окупаемости затрат на подобные цели, главным образом за счет прибыли, образующейся благодаря применению новых основных фондов.
Вместе с тем применение кредита в качестве источника средств для капиталовложений в условиях инфляции оказывается малопривлекательным, учитывая обесценение денег и сравнительно продолжительный срок погашения кредита, особенно в связи с высоким уровнем платы за пользование заемными средствами, которая призвана компенсировать потери от погашения задолженности обесценивающимися деньгами.
Возможно также применение кредита для осуществления затрат потребительского характера при условии, что заемщик располагает возможностью погасить ссудную задолженность за счет предстоящих доходов. Например, во Франции возможность погашения потребительского кредита признается реальной, если заемщик способен использовать для этого 25% своего дохода и такая сумма окажется достаточной для погашения ссуды в течение установленного срока.
Кредит может предоставляться под залог недвижимости. При этом заемщику могут предоставляться взаймы денежные средства либо закладные листы, беспрепятственно реализуемые на рынке ценных бумаг.
При определении границ применения кредита должны учитываться:
• необходимость участия заемных средств в решении задач обеспечения бесперебойности и развития процессов производства и реализации продукции;
• качество коммерческой деятельности предприятий;
• экономное использование ресурсов хозяйства;
• вопросы повышения благосостояния населения;
• потребности обеспечения оборота платежными средствами и др.
Границы применения кредита определяются с учетом перечисленных условий, а также особенностей и задач развития экономики. Обычно границы регулируются различными нормативными актами и изменяются в различные периоды развития экономики. Так, в период, предшествовавший переходу к рыночной экономике, практически не использовалось коммерческое и ипотечное кредитование. Переход к рыночной экономике сопровождался расширением границ применения кредита, что проявилось в развитии коммерческого и ипотечного кредита.
Существуют перспективы расширения границ применения кредита за счет увеличения предоставления ссуд на увеличение основных фондов, на потребительские цели. а также ссуд под залог недвижимого имущества.
Отсюда следует, что границы не являются неизменными, а, напротив, изменяются в соответствии с изменениями экономической жизни страны.
Большое значение при определении границ применения кредита имеет установление количественных пределов его расширения.
Это особенно важно для банковского кредита, который обладает широкими возможностями увеличения объема предоставляемых ссуд.
В этом отношении следует различать макроуровень и микроуровень увеличения кредитных вложений, т.е. установление народнохозяйственных пределов объема кредитных вложений и таких пределов на уровне взаимоотношений отдельных банков со своими клиентами.
Прежде всего при рассмотрении таких вопросов надо обратиться к оценке зависимости изменений кредитных вложений от изменений объема производства.
При кажущейся обоснованности такого подхода он представляется спорным как на макроуровне, так и на микроуровне. Достаточно обратиться к сравнению на макроуровне фактических данных об изменениях объема производства и объема кредитных вложений, как становится ясным отсутствие взаимной увязки таких показателей. Иными словами, практика не подтверждает наличия прямой увязки между изменениями объема производства и объема кредитных вложений. Это подтверждает ограниченное значение применения показателя изменения объема производства для определения или прогнозирования объема кредитных вложений.
К этому следует добавить, что исходные данные о величине кредитных вложений, относящиеся к базовому периоду, не свободны от недостатков. Так, в составе кредитных вложений могут быть и такие, которые трудно признать обоснованными. Это также ставит под сомнение возможность определения или прогнозирования размера кредитных вложений в предстоящем периоде исходя из ожидаемых изменений объема производства по сравнению с базовым периодом.
Что касается взаимосвязи изменений объема кредитных вложений и изменений объема производства на микроуровне, то и здесь такая взаимосвязь обычно не имеет места, поскольку в деятельности предприятий происходят изменения ассортимента изготовляемой продукции, технологии ее производства и т.п., что сопровождается изменениями потребности в заемных средствах, не увязанных с изменениями объема производства.
Пример. Предположим, что предприятие производит холодильники в количестве 50 шт. в день и на изготовление каждого холодильника необходимо приобрести 100 кг металла, ежедневная потребность составляет 5 т. При вагонной поставке металла в количестве 60 т один раз в двенадцать дней величина текущего запаса составит в среднем 30 т. Если же предприятие увеличит объем производства вдвое, то дневная потребность составит 10 т, а при вагонной поставке в 60 т один раз в шесть дней величина текущего запаса составит по-прежнему 30 т. Этот пример подтверждает, что увеличение объема производства может и не сопровождаться ростом потребности в средствах, в том числе и заемных.
Определенное влияние на объем кредита, используемого заемщиком в базовом периоде, оказывают условия и возможности банка предоставлять кредит своим клиентам. Здесь вполне вероятно неполное удовлетворение потребности клиента в заемных средствах в связи с недостатками в его работе, которые препятствуют полному удовлетворению потребности. Кроме того, при определенных условиях банки не могут предоставлять ссуды в связи с ограничениями, устанавливаемыми действующими нормативами, с помощью которых регулируется деятельность банков.
Все это подтверждает ограниченное значение использования данных базового периода для прогнозирования потребности в кредите в предстоящем периоде.
Имеется и другая точка зрения, в соответствии с которой признается, что увеличение объема кредита зависит от наличия необходимых для этого ресурсов. Такая зависимость относится главным образом к банковскому кредиту.
Однако существование подобной зависимости опровергается практикой. В частности, применявшееся ЦБ РФ кредитование бюджета осуществлялось без предварительного накопления кредитных ресурсов. Аналогичным образом была проведена в 1991 г. индексация вкладов в Сбербанке РФ. В целом систематическое увеличение объема кредитных вложений происходит без наличия предварительно накопленных ресурсов. В действительности процессы кредитования и образования ресурсов совершаются одновременно и в равных суммах. Это подтверждается и равенством активов и пассивов в балансах банков. Вместе с тем нельзя рассчитывать на то, что банки, предоставляя ссуды, зачисляя средства на расчетные счета, создают необходимые ресурсы.
Расширение банковского кредитования, как отмечалось ранее, сопровождается увеличением массы платежных средств, из которых лишь часть может быть использована для образования ресурсов, если в хозяйстве сложились необходимые для этого предпосылки.
Тем не менее это не исключает того, что при необоснованном увеличении кредитных вложений банков, например без соответствующего материального обеспечения, на расчетных счетах могут образоваться повышенные остатки средств, представляющие собой, по существу, фиктивные или мнимые ресурсы.
Одной из мер, призванных предотвращать чрезмерное кредитование хозяйства, является соблюдение установленных ЦБ РФ нормативов, призванных регулировать деятельность банков. Важное значение в предотвращении избыточного кредитования имеет соблюдение требований обоснованного кредитования, в частности, таких, как возвратность, срочность, обеспеченность, платность использования предоставленных ссуд.
Отмеченное позволяет считать, что возможность расширения кредитования не зависит от наличия ресурсов и, следовательно, такой подход к определению применения кредита представляется недостаточно обоснованным.
Имеются также рекомендации об определении объема кредита исходя из требований закона денежного обращения. Некоторые основания для такой точки зрения существуют. Они состоят в том, что сумма платежных средств, находящихся в народном хозяйстве, включая наличные деньги, выпущенные в обращение, и остатки на счетах клиентуры в банках практически равны сумме кредитных вложений банков, а платежные средства поступают в оборот в результате проведения кредитных операций.
Однако если определять объем кредита в соответствии с законом денежного обращения и обусловленной этим законом суммой денежных средств, необходимых для оборота, то с учетом того, что эта сумма образуется в результате кредитных операций, вряд ли можно определить первопричину этих процессов. Здесь либо объем кредитных вложений ограничивает массу платежных средств в обороте, либо сумма необходимых для оборота платежных средств - размер кредитных вложений.
Рассматриваемой позиции присущи и другие существенные недостатки. Прежде всего следует учитывать различия в характере отношений, воплощающихся в деньгах, и отношений, связанных с движением кредита. Так, в отличие от величины денежной массы, объем которой регулируется в соответствии с законом денежного обращения, объем кредитных вложений регулируется условиями кредитных отношений. Поэтому методологически не обосновано регулирование объема кредитных вложений исходя из требований закона денежного обращения.
Не закон денежного обращения регулирует кредитные операции, а, напротив, с помощью кредита регулируется денежная масса. Иными словами, имеются достаточные причины для признания необоснованным определение объемов кредита исходя из требований закона денежного обращения.
Из рассмотренного следует, что объемы кредита не могут быть найдены исходя из динамики развития производства, наличия аккумулированных ресурсов, из объема денежных средств, необходимых для обращения. Тем не менее такие особенности развития экономики, как рост объема производства, изменения его структуры, а также задачи оптимизации величины денежных средств в обороте могут быть учтены при прогнозировании объема кредитных вложений на макроуровне в предстоящем периоде.
Использование кредита на микроуровне зависит от многих обстоятельств, прежде всего от интересов и возможностей сторон, участвующих в кредитных отношениях.
Что касается заемщиков, то величины привлечения ими заемных средств обусловлены прежде всего различными особенностями их деятельности, в связи с которыми возникает потребность в кредите для образования запасов товарно-материальных ценностей, проведения затрат для осуществления капиталовложений. Вместе с тем заемщик учитывает, что такие средства придется возвратить и за их использование нужно будет платить. Это ограничивает спрос на получение заемных средств.
Объемы кредита зависят также от возможностей и заинтересованности кредитора предоставлять заемные средства.
Возможности кредитора неодинаковы при различных формах кредитных отношений. Так, при использовании коммерческого кредита возможность его предоставления обусловлена наличием в распоряжении кредитора такого ресурса, как товарно-материальные ценности, которые могут быть реализованы на условиях отсрочки их оплаты. При этом учитываются реальные возможности возврата заемщиком предоставленного ему кредита.
При применении банковского кредита, несмотря на заинтересованность банка в расширении кредитования, в расчете на получение дохода существуют ограничения, вызванные многими обстоятельствами, среди которых важное значение имеет соблюдение установленных нормативов, регулирующих деятельность банков, состояние кредитоспособности заемщика, позволяющее рассчитывать на своевременный возврат заемных средств.
Оптимальное сочетание заинтересованности в предоставлении средств взаймы и надежности их возврата обусловливают объемы кредитования, зависящие от интересов и возможностей кредитора.
Необходимо еще отметить наличие специфических границ применения краткосрочного и долгосрочного кредитов. Существуют немалые различия в применении кредита в качестве источника оборотного и основного капитала.
Если заемные средства предоставлены для использования в качестве оборотного капитала, то погашение ссуд может быть произведено за счет средств, высвобождающихся из оборотных активов. Именно к периоду высвобождения авансированных средств из оборотных активов устанавливаются сроки возврата заемных средств. Это - срочное кредитование потребностей, обусловленных применением оборотного капитала.
Иное положение с привлечением заемных средств для капиталовложений. Такие средства заемщики возвращают не за счет суммы высвобождающихся амортизационных отчислений, а главным образом за счет прибыли, образующейся в связи с введенными в эксплуатацию основными фондами.
Это обусловлено прежде всего тем, что при использовании сумм амортизационных отчислений в качестве источника погашения образующейся ссудной задолженности сроки пользования кредитом оказываются продолжительными, в течение периода полного износа основных фондов.
Важно и то, что амортизационные отчисления для погашения задолженности по ссудам на капиталовложения не характеризуют эффективности кредитных вложений, тем более что амортизационные отчисления производятся, как правило, равновеликими суммами в течение всего срока эксплуатации вновь созданных основных фондов независимо от того, насколько эффективно эти фонды используются.
Напротив, использование прибыли для погашения ссуды на капиталовложения позволяет не только оценить эффективность кредитуемых вложений, но и ускорить погашение ссудной задолженности. Поэтому образуется своеобразная граница применения долгосрочного кредита, состоящая в том, что возможность предоставления таких кредитов и их размер определяются в зависимости от окупаемости кредитуемых затрат за счет прибыли в течение срока кредитования.
Следовательно, границы применения кредита на микроуровне регулируются в соответствии с:
• потребностью заемщиков в средствах и их заинтересованностью в уменьшении издержек по платежам за пользование заемными средствами связи с использованием кредита;
• заинтересованностью кредиторов и прежде всего банков в расширении кредитных вложений;
• необходимостью учитывать кредитоспособность заемщиков как предпосылки своевременного погашения задолженности по предоставленным кредитам;
• ограничениями возможности предоставления средств взаймы, обусловленных наличием ресурсов, особенно при коммерческом кредитовании, и необходимостью соблюдения банками установленных нормативов, регулирующих их деятельность.
В комплексе факторов и показателей, оказывающих влияние на границы применения кредита на микроуровне, первостепенное значение имеют потребности предприятий в средствах в сочетании с их заинтересованностью в экономном привлечении кредита и стремлением кредиторов соблюдать собственные интересы при кредитовании заемщиков и необходимостью соблюдения установленных нормативов, с помощью которых регулируется деятельность банков, а также соблюдаются требования возвратности предоставленных взаймы средств.
Вопросы для самоконтроля
1. В чем состоит и проявляется роль кредита?
2. Какова роль кредита в перераспределении материальных ресурсов?
3. В чем проявляется роль кредита в достижении бесперебойности производства и реализации продукции?
4. Каковы особенности использования кредита в расширении производства?
5. В чем состоят особенности изменения сферы применения кредита?
6. Какова роль кредита в сфере денежного оборота?
7. Каковы содержание и значение денежно-кредитной политики?
8. В чем состоит значение обоснованного установления границ применения кредита?
9. Каковы особенности взаимосвязи кредитных операций банка и образования ресурсов?
10. В чем заключаются особенности количественных границ кредита на макроуровне и микроуровне?
Характеристика элементов банковской системы
Элементы банковской системы образуют единство, выражают при этом специфику целого и выступают носителями его свойств.Элементами банковской системы являются банки, некоторые специальные финансовые институты, выполняющие банковские операции. но не имеющие статуса банка, а также некоторые дополнительные учреждения. образующие банковскую инфраструктуру и обеспечивающие жизнедеятельность кредитных институтов.
На практике функционирует многообразие банков. В зависимости от того или иного критерия их можно классифицировать следующим образом.
По форме собственности выделяют - государственные, акционерные, кооперативные, частные и смешанные банки. Государственная форма собственности чаще всего относится к центральным банкам. Капитал Банка России принадлежит государству. Подобная ситуация сложилась у центральных банков таких стран, как Германия, Франция, Великобритания, Бельгия. Доля государства в капитале центрального банка Японии составляет 50%, остальная часть принадлежит банкам; в Швейцарии государству принадлежат 47% капитала центрального банка (оставшиеся 53% принадлежат кантонам); в Австрии - 50% капитала Австрийского национального банка владеет государство, другой половиной - частные лица.
Коммерческие банки в рыночном хозяйстве чаще всего являются частными (по международной терминологии понятие частного банка относится не только и даже не столько к банкам, принадлежащим отдельным лицам, сколько к акционерным и кооперативным банкам). В централизованной системе хозяйства коммерческие банки, как правило, бывают государственными.
По законодательству большинства стран на национальных банковских рынках допускается функционирование иностранных банков. В ряде стран (во Франции и др.) деятельность иностранных банков не ограничивается. В России, Канаде и других странах для иностранных банков вводится определенный коридор, в количественных рамках которого они могут развертывать свои операции. В России совокупный капитал иностранных банков не должен превышать 15%.
По правовой форме организации банки можно разделить на общества открытого и закрытого типов ограниченной ответственности. По экспертным оценкам, к концу 1995 г. в России в режиме закрытых форм работало примерно 60 % коммерческих банков. Разрешена также деятельность иностранных банков, а также банков с российским и иностранным совместным капиталом. На 1 сентября 1998 г. в России функционировали 145 кредитных организаций с иностранным участием в уставном капитале, получивших право на осуществление банковских операций.
Виды банков можно классифицировать и по обслуживаемым ими отраслям. Это могут быть банки многоотраслевые и обслуживающие преимущественно одну из отраслей или подотраслей (авиационную, автомобильную, нефтехимическую промышленность, сельское хозяйство). В России преобладают многоотраслевые банки, что более предпочтительно с позиции снижения банковского риска. Вместе с тем в стране достаточно представительна прослойка банков, созданных группой предприятий отраслей. Они обслуживают преимущественно потребности своих учредителей; у таких банков существенно возрастают риски невозврата кредитов.
По числу филиалов банки можно разделить на бесфилиальные и многофилиальные. Наибольшее число филиалов в России имеет Сберегательный банк РФ. В целом по России на 1 января 1998 г. насчитывалось 6353 филиала, или в среднем 3,7 филиала на каждый коммерческий банк. Наибольшее количество филиалов сконцентрировано в Москве и Московской области. Второе место после Центра занимает Урал, далее - Дальний Восток, Поволжье, Северный Кавказ, Западная Сибирь.
По сфере обслуживания банки делятся на региональные, межрегиональные, национальные, международные. К региональным банкам, обслуживающим главным образом какой-либо местный регион, относятся и муниципальные банки.
По масштабам деятельности можно выделить малые, средние, крупные банки, банковские консорциумы, межбанковские объединения.
В ряде стран функционируют учреждения мелкого кредита. К ним относятся ссудо-сберегательные банки, строительно-сберегательные кассы, кредитная кооперация и др.
По размерам капиталов коммерческие банки можно сгруппировать так, как представлено в табл. 16.2.
Таблица 16.2

Наличие в составе коммерческих банков кредитных организаций с небольшим уставным капиталом не укрепляет позиции банковской системы в целом. Практика показывает, что у банков с небольшой капитальной базой больше проблем с ликвидностью, развитием объема операций. Вместе с тем это не означает, что малые банки не должны работать на рынке. Напротив, мировая практика показывает, что малые банки могут успешно работать с малыми, производственными структурами (чего избегают крупные банки, предпочитающие работать со средними и крупными клиентами). Малые банки, создаваемые в "складчину" мелкими товаропроизводителями, способны аккумулировать ресурсы там, куда не проникают банки с большой капитальной базой, зачастую оказывают больше финансовой поддержки в развитии регионов, мелкого и среднего бизнеса.
В банковской системе действуют также банки специального назначения и кредитные организации (не банки).
Банки специального назначения выполняют основные операции по указанию органов исполнительной власти, являются уполномоченными банками, осуществляют финансирование определенных государственных программ. Наряду с данными операциями уполномоченные банки выполняют и другие операции, вытекающие из их статуса как банка.
Некоторые кредитные организации не имеют статуса банка, они выполняют лишь отдельные операции, в связи с чем не получают от центрального банка лицензию на осуществление совокупной банковской деятельности.
Общая сумма капиталов коммерческих банков России на 1 января 1997 г. составила 71,3 млрд руб., на 1 января 1998 г. - 95,9 млрд руб., увеличившись за год в 1,3 раза.
К элементам банковской системы относят и банковскую инфраструктуру. В нее входят различного рода предприятия, агентства и службы, которые обеспечивают жизнедеятельность банков. Банковская инфраструктура включает информационное, методическое, научное, кадровое обеспечение, а также средства связи, коммуникации и др.
В условиях рынка банки прежде всего нуждаются в широкой и оперативной информации о состоянии экономики, ее отраслях, группах предприятий, отдельных предприятиях, обращающихся в банк за кредитом и другими услугами. Для оценки кредитоспособности клиентов, экономического и делового рынка, для консультирования предприятий и населения, управления имуществом клиента банки нуждаются в подробной информации.
В условиях рынка, сильной конкуренции, а также экономического кризиса, нестабильности финансов государства и предприятий информационное обеспечение выступает естественным требованием, без которого банки не могут без ущерба для своего капитала и капитала клиентов финансировать различного рода проекты. Наличие информации и ее анализ становятся обязательным атрибутом технологии предоставления банковских услуг.
Информация, необходимая банкам, обычно предоставляется специальными агентствами - кредит-бюро, в ряде стран сведения, в которых нуждаются банки, можно почерпнуть в многочисленных справочниках (торговых и промышленных регистрах), журналах, специальных оперативных изданиях, а также запросить в центральном банке, где ведется картотека клиентов.
Необходимым компонентом банковской инфраструктуры выступает и методическое обеспечение. В силу переходного периода, когда старые инструкции бывшего Государственного банка СССР оказались неприемлемыми, полностью пакет новых положений и методических указаний еще не укомплектован. Особенность российских коммерческих банков состоит в том, что они зачастую не имеют унифицированных подзаконных актов, осуществляют операции на базе своих собственных методик и положений.
Неоформившимся блоком банковской инфраструктуры является также научное обеспечение. Оно затрагивает как функционирование банковской системы в целом, так и отдельных банков. К началу 1999 г. в России пока не было создано достаточно представительных научных центров, деятельность научных работников не была скоординирована. В структуре отдельных коммерческих банков, как правило, отсутствовали аналитические подразделения, осуществляющие исследование рынка банковских услуг, эффективность банковских операций.
Важнейшим элементом банковской инфраструктуры выступает кадровое обеспечение. В России существует сеть специальных высших учебных заведений, факультетов, техникумов, в которой подготавливаются кадры финансово-банковского профиля; формируется сеть начальных учебных заведений - финансово-банковских школ, колледжей, где преподавание общенаучных дисциплин сочетается с преподаванием основ специальных предметов - финансов, банковского дела, бухгалтерского учета и др. Переподготовка кадров, повышение их квалификации сосредоточены в различных специальных коммерческих школах, курсах, а также учебных центрах, создаваемых при крупных банках. Если учесть, что за пять-шесть лет, начиная с 1990 г., численность коммерческих банков возросла более чем в 12 раз, то станет очевидным, что подготовка кадров и особенно их переподготовка отставали от потребностей банковской системы в специалистах финансово-банковского профиля. После обвала банковской системы в августе-сентябре 1998 г. на рынке труда образовался излишек банковских служащих.
Увеличение числа субъектов рыночного хозяйства, объема выполняемых банками операций поставило перед банками задачи перехода на новые каналы связи, более высокого уровня технического обслуживания при совершении банковских операций. Постепенно российская банковская система оснащается новыми средствами связи, обеспечивающими высокую скорость платежей и расчетов.
Особым блоком банковской системы служит банковское законодательство, которое призвано регулировать банковскую деятельность. В настоящее время в России действуют три закона, прямо относящихся к работе банков. Это Федеральные законы "О Центральном банке РФ" (1995 г.), "О банках и банковской деятельности" (1996 г.), "О несостоятельности (банкротстве) кредитных организаций" (1999 г.). Международная практика показывает, что законы о банковских институтах должны быть дополнены законами о специальных банках, о банковских холдингах, объединениях и консорциумах, кредитной кооперации и других институтах мелкого кредита. Помимо этого в систему банковского законодательства обычно также входят законы, регулирующие различные аспекты банковской деятельности, в том числе кредитное дело, систему электронных платежей, банковскую тайну, банкротство банков и др. В системе банковского законодательства выделяются одновременно законы всеобщего действия (Гражданский кодекс РФ, Закон "О рекламе"), а также законы, обеспечивающие регулирование параллельно действующих институтов и затрагивающие банковскую деятельность. В данной группе законов в ряде стран действуют законы о бирже, акциях и ценных бумагах, об ипотеке, трасте и трастовых операциях, о финансово-промышленных компаниях, инвестиционных фондах и др.
Банковская система не может существовать без банковского рынка. На нем концентрируются банковские ресурсы, а также осуществляется торговля банковским продуктом. В условиях экономического кризиса и инфляции аккумулировать крупные ресурсы для значительных инвестиций не представляется возможным. В первом полугодии 1998 г. около 50% российских промышленных предприятий являлись убыточными, остатки их денежных средств на счетах, аккумулируемых банками, а также на счетах граждан были незначительны. Все это сдерживает развитие банковской системы. На рынке банковского продукта торговля кредитами, короткими деньгами (особенно после кризиса межбанковских кредитов в августе 1995 г.) не занимала пока видного удельного веса. Развитие новых видов услуг, связанных с кредитными карточками, электронными платежами, сдерживается недостаточно мощной технической базой российских банков.
Инфляция в условиях перехода к рыночным отношениям
С конца 1991 г. страна взяла курс на изменение базовых основ российской экономики - перевод государственно-монополизированной системы на рыночные отношения. Последние устанавливаются при неразработанности правовой базы, правовой ответственности всех субъектов товарного, финансового, валютного и кредитного рынков. Эти отношения строились на отношениях разгосударствления собственности и либерализации всех сфер хозяйствования. Была поставлена задача в максимально короткий срок по упрощенной схеме провести разгосударствление и приватизацию предприятий, финансовой и банковской систем.В рамках рыночных преобразований с начала 1992 г. осуществляется либерализация цен, в ходе которой предполагалось их увеличение для ликвидации разрыва между спросом и предложением и устранения неравновесия между товарной и денежной массами, накопившегося за последние десятилетия.
Существовало мнение, что в новых условиях хозяйствования сразу же заработают рыночные механизмы самонастройки, свободного переливания капитала, обеспечивающие структурную перестройку отечественной экономики. Сокращение совокупного спроса под воздействием либерализации цен должно было высвободить дополнительные ресурсы для использования их в наиболее эффективных производствах и видах хозяйственной деятельности.
Отказ от государственного ценового регулирования в январе 1992 г., как считали некоторые экономисты, был единственно возможным и наиболее эффективным средством ликвидации "подавленной" инфляции, преодоления товарных дефицитов, предотвращения окончательного развала потребительского рынка и распада финансовой системы в целом. Одновременно предполагалось проведение жесткой денежно-кредитной и бюджетной политики для достижения рыночного равновесия.
В результате полного "освобождения" цен вместо рыночного равновесия в стране начался глубокий экономический кризис, приведший к гиперинфляции, а затем и стагфляции экономики. Это было связано с тем, что либерализация цен проходила в условиях крайне монополизированных структур, не поддающихся быстрому превращению их в конкурентоспособных собственников. Процессы демонополизации, разгосударствления собственности еще не были до конца проработаны и начинались без создания надежной правовой базы как для приватизации, так и для регулирования экономических и социальных процессов в стране, с деформированной структурой производства и крайне низкой его эффективностью.
Нарастанию хозяйственного и финансового кризисов, усугубивших инфляцию, способствовали национальная и социальная политическая нестабильность, а также политические процессы, связанные с распадом СССР.
Либерализация цен в нашей стране совпала с процессами дезинтеграции хозяйственных связей со странами социалистического содружества и с бывшими союзными республиками. Разрушаются единый народнохозяйственный комплекс, единая банковская и бюджетная система страны, единое рублевое пространство.
Дезинтеграция экономики стимулировала нарастание инфляции в результате резкого спада производства и введения национальных валют. Глобальный развал товарных рынков, обособление денежных систем союзных республик вызвали массовый сброс платежных средств на российский республиканский рынок. Он составил свыше 1 трлн руб., что подняло цены в Российской Федерации примерно на 10%. Под государственным контролем оставались цены на топливно-энергетические ресурсы, ряд важнейших видов продовольственных товаров, жилье, транспортные услуги.
Либерализация цен не только ликвидировала избыток денежной массы в обращении, но и создала огромный дефицит платежных средств, что деформировало финансовые потоки в народное хозяйство, нарушило формирование доходов населения, предпринимателей, государства, обесценило основной и оборотный капитал в промышленности, приведшей к депрессии в ведущих отраслях производства, резко сокративших поступления финансовых ресурсов в бюджет России. Финансовые проблемы возникли во всех секторах экономики.
Экономическое напряжение в стране усугублялось расстройством финансовой системы, "войной бюджетов" между центром и другими регионами, огромными потерями государства из-за спада производства, затрат, связанных с конверсией военно-промышленного комплекса, выводом войск из стран дальнего и ближнего зарубежья, из-за военных действий на окраинах бывшего СССР.
Стремительный инфляционный рост оптовых и розничных цен в отсутствие конкуренции и государственного регулирования повышал затраты государства на содержание армии, науки, культуры, здравоохранения и образования. Они увеличивали дефицит государственного бюджета, который финансировался за счет централизованных кредитов Банка России, создавая в денежном обороте ничем не обеспеченную массу платежных средств.
Огромной проблемой для экономики России при регулировании инфляционных процессов становятся внешние займы. Не решив ни одной экономической, социальной и политической проблемы с помощью иностранных кредитов, их активно использовали для покрытия бюджетного дефицита, который из года в год нарастал и требовал еще больших заимствований, поскольку все большую долю в бюджетных расходах занимают расходы по обслуживанию внешнего долга.
Таким образом, спровоцированная государством "отпуском" цен, инфляция издержек дополнялась инфляцией спроса.
Важнейшим фактором нарастания инфляции в России в этот период явились дальнейшая либерализация валютного законодательства, внешней торговли, устранение валютных ограничений по текущим операциям, введение внутренней конвертируемости рубля в условиях огромной внешней задолженности государства.
Отказ от защитных торговых и валютных барьеров привел к огромным потокам дешевых импортных товаров, которые вытеснили с внутреннего рынка аналогичную отечественную продукцию и способствовали сокращению ее производства.
Мощные спекуляции на валютном рынке вызвали быстрое падение курса рубля и вздорожание всех импортируемых товаров, что усилило внутреннюю инфляцию издержек за счет импортируемой инфляции. Одновременно резко сокращаются возможности импорта инвестиционных товаров, сводя на нет долгосрочные перспективы экономического роста и решение проблем инвестиций в народном хозяйстве. Мощным негативным фактором в этом плане стало "бегство" капиталов за рубеж, лишивших только в 1992 г. российскую экономику инвестиций в размере 12-13 млрд долл., что эквивалентно 15-16% ВВП.
Особенностью российской инфляции является то, что она сопровождалась привязкой рубля к доллару и наличием нереального валютного курса, который устанавливался только по результатам торгов на Московской межбанковской валютной бирже, в то время как 80% продаж иностранной валюты осуществляются на межбанковском рынке.
В условиях частичной конвертируемости рубля, расширения прав использования валюты предприятиями и населением увеличился спрос на иностранную валюту для страхования инфляционного риска.
Разрешение использовать на территории России в качестве платежного и покупательного средства иностранную валюту привело к долларизации экономики и дополнительному росту денежной массы в обращении в объеме обращающейся иностранной валюты. Около 15% денежных доходов населения России вложено в наличную валюту, а повышенный спрос на нее стимулировал спекулятивные сделки с валютой на рынке.
Особенно активно пользовались этим банки, играя на повышении и понижении курса валют, получая значительный доход от обмена наличной и безналичной валюты, реэкспортируя наличную валюту в другие страны. Все это усиливало инфляционные тенденции в России.
Наиболее сильно финансовый кризис поразил промышленные предприятия, обусловивших кризис неплатежей, спад производства, снижение налогооблагаемой базы и нарастание бюджетного дефицита.
Либерализация цен не только обесценила денежные накопления населения, но и лишила возможности государственные предприятия нормально осуществлять свою деятельность, обесценив их оборотные средства.
При этом следует отметить, что государственные предприятия в стране никогда не наделялись в достаточной степени оборотными средствами, необходимыми для финансово-хозяйственной деятельности. Минимальный размер оборотных средств компенсировался возможностью получения доступных расчетно-платежных кредитов (по ставке 2% годовых) для покрытия разрыва в платежном обороте. У всех государственных предприятий предусматривалось формирование части оборотных средств-товаров, отгруженных за счет ссуд под расчетные документы в пути.
Потери оборотных средств государство предприятиям не компенсировало, оптовые цены возрастали значительно быстрее возможностей увеличения оборотных средств. Банковский кредит стал недоступен из-за высоких процентных ставок в условиях жесткой денежной политики государства, направленной на снижение темпов инфляции.
Некоторым предприятиям за счет централизованных источников был предоставлен кредит на пополнение оборотных средств, но при условии использования этого кредита в первую очередь для внесения платежей в бюджет. В итоге банк кредитовал бюджет за счет роста задолженности предприятий банковской системе.
Обесценение активов государственных предприятий не компенсировалось переоценкой основных фондов, которая была осуществлена только в октябре 1992 г. За это время сумма недоначисленной амортизации, поступившей в виде налога на прибыль в доходы бюджета, составила около 1 трлн руб. В 1993 г. стоимость фондов не изменялась, что явилось главным фактором выбытия основных фондов без компенсации для создания новых. Сейчас амортизация утратила свойство одного из важнейших и надежных источников инвестиций и не в состоянии обеспечить даже простое воспроизводство основных фондов.
Проблема обеспечения промышленных предприятий платежными средствами резко обострилась из-за кризиса сбыта, поскольку внутренний рынок был утерян отечественными товаропроизводителями.
В первой половине 1992 г. в результате проведения жесткой денежно-кредитной политики удалось резко сжать денежную массу, поставить под контроль дефицит бюджета, но продолжалась практика бесконтрольной выдачи кредитов бывшим республикам СССР.
Либерализация хозяйственных связей создавала огромные возможности для вывоза материальных и валютных ресурсов в ближнее и дальнее зарубежье, создавая дефицит на товарных и финансовых рынках в России.
В то же время нарастала задолженность бывших союзных республик Центральному банку РФ по "техническим" кредитам, связанным с невозможностью осуществления расчетов по поставкам товарно-материальных ценностей из России. Выдача этих кредитов спровоцировала не менее 25% общего объема инфляции.
Сжатие денежной массы внутри России вызвало колоссальный кризис неплатежей. Масштабы кризиса неплатежей существенно сократились после проведения в середине 1992 г. зачета взаимной задолженности предприятий, которым сократили неплатежи на 1,7 трлн руб. Вследствие этого наблюдается временный подъем промышленного производства при одновременном росте денежной массы и темпов инфляции в 2 раза.
В 1993 г., используя монетарные антиинфляционные инструменты, правительство стремилось сокращать денежную массу и довело ее к концу года до чрезвычайно низкого уровня - 14% по сравнению с декабрем 1991 г. Это произошло при высоком уровне бюджетного дефицита и его покрытия на 60% за счет эмиссии Центрального банка РФ.
Реакцией на жесткую денежно- кредитную политику явился новый виток нарастания взаимных неплатежей, рост которых продолжается до настоящего времени. Темпы роста неплатежей коррелируют с динамикой инфляции и денежной массы. Чем ниже темпы роста последних, тем выше темпы роста неплатежей. В 1993 г. увеличение взаимных неплатежей происходило уже на фоне активного сокращения объемов производства, натурализации хозяйственных отношений, появления большого количества денежных суррогатов, позволяющих "уходить" от налогообложения.
Стремление проводить жесткую денежно-кредитную политику, чтобы сбить инфляцию, превратилось в один из факторов, стимулирующих инфляционный рост цен, поскольку за определенными пределами снижения денежной массы начинаются последствия, которые неминуемо провоцируют нарастание инфляции по схеме: неплатежи - спад (остановка) производства - сокращение доходной базы бюджета - потребность в кредите для его финансирования.
Сокращая дефицит бюджета, государство увеличило свою задолженность перед предприятиями, а это обернулось неплатежами по технологическим цепочкам и общим кризисом неплатежей к концу года. Искусственное сжатие денежной массы и дефицита бюджета обусловило финансовый кризис в экономике.
В 1994 г. характер денежной политики государства не меняется. Оно любой ценой добивается снижения темпов роста денежной массы и на этой основе снижения темпов инфляции.
Для "связывания" избыточной денежной массы и ослабления давления с ее стороны на валютный рынок были задействованы возможности рынка государственных ценных бумаг путем установления чрезвычайно привлекательного для инвесторов уровня доходности. Быстрое наращивание номинальных объемов эмиссии обеспечило значительный приток средств на этот рынок. В результате перераспределения ресурсов спрос на валютном рынке стабилизировался, что предотвратило катастрофическое падение рубля.
С 1995 г. существенным моментом денежно-кредитной политики ЦБ РФ является требование жесткой централизации контроля за предложением денег экономике. Правительство отказалось от использования кредитов Банка России для покрытия дефицита федерального бюджета как основного фактора инфляции. Предусмотрено 57% дефицита покрывать доходами от операций с государственными ценными бумагами на внутреннем рынке, 47% - за счет внешних заимствований.
Вместе с тем используемые государством формы "неэмиссионного" механизма финансирования нараставшего дефицита государственного бюджета не только создают огромные проблемы бюджету, так как становятся крупнейшей расходной статьей бюджета по обслуживанию и погашению государственного долга, но и разрушают отечественное производство, лишая его финансовой базы развития.
При низком уровне рентабельности промышленности (6%) и убыточности сельского хозяйства (18%) временно свободные денежные средства в экономике направлялись в государственные ценные бумаги, доходность по которым достигала 80% годовых, а временами - 200, 300%. Одновременно Банк России фактически прекратил прямое предоставление централизованных кредитов коммерческим банкам, он перешел к проведению кредитных аукционов, где на конкурсной основе продаются кредитные ресурсы.
Развивая инструментарий денежно-кредитного регулирования, Банк России отказался от дифференцированного применения основных рычагов денежно-кредитной политики по регионам (ставки рефинансирования; лимиты кредитования: определение приоритетных сфер деятельности, предельной маржи по кредитам банка; установление резервных требований).
Несмотря на принятую жесткую программу, темпы инфляции в первом полугодии 1995 г. сохранялись достаточно высокими по сравнению с 1994 г. На них оказало влияние неоднократное увеличение цен на основные виды энергоресурсов, их рост превышал рост инфляции. Это повлекло за собой рост оптовых цен промышленности, стоимости перевозок грузов на транспорте и рост потребительских цен.
Посредством ряда жестких административных мер и, в частности, установлением валютного коридора, а также массированных валютных интервенций Банк России стабилизировал ситуацию на валютном рынке, что имело определенный антиинфляционный эффект. Все это позволило снизить темпы инфляции с 18% в январе 1995 г. до 7,9% в середине и в конце года.
Вместе с тем чрезвычайно жесткая политика Правительства и Центрального банка РФ по ограничению ресурсов в банковской сфере на фоне взаимных неплатежей в хозяйстве в августе 1995 г. вызвала серьезный банковский кризис, выразившийся в остром дефиците платежных средств у банков, который парализовал работу межбанковского рынка. Для предотвращения полномасштабного кризиса банковской системы Центральным банком РФ была осуществлена массированная скупка ценных бумаг у коммерческих банков с целью поддержания их ликвидности. Это свидетельствует о том, что финансовый кризис и кризис неплатежей поразили уже все сферы экономики.
Общим итогом последствий проводимых правительством жестких мероприятий в области регулирования денежной массы и снижения инфляции явился глубочайший экономический кризис (табл. 8.2).
Таблица 8.2
Из опыта организации банковских систем зарубежных стран
ВЕЛИКОБРИТАНИЯ. Английская банковская система в начале XX в. была двухуровневой и включала:• на первом уровне: Банк Англии - центральный банк;
• на втором уровне:
депозитные банки (первый из них - The London & Westminster bank - был основан в 1834 г.), занимающиеся приемом денежных вкладов и выдачей краткосрочных ссуд предприятиям крупной торговли и аристократии под залог надежных ценных бумаг (государственных и др.), а также покупкой краткосрочных векселей, выдачей денежных ссуд на бирже;
кредитные и торговые банки, не принимающие вкладов и выполняющие практически только учредительские (спекулятивные) операции, а также выдающие экспортные кредиты;
кредитные посредники, представляющие собой, во-первых, вексельных маклеров, осуществляющих, главным образом, покупку векселей и перепродажу их банкам; во-вторых, фондовых маклеров, обеспечивающих посреднические услуги при заключении биржевых сделок; клиринговые дома.
В текущем столетии эта система изменилась незначительно. Сейчас в Великобритании выделяют следующие виды коммерческих банков.
Депозитные банки. К ним относятся наиболее крупные банковские монополии - клиринговые банки, доминирующие в депозитно-ссудных операциях внутри страны. Клиринговые банки - это банки "большой четверки" - Нэшнл Вестминстер бэнк (National Westminster Bank), Ллойдз бэнк (Lloyd's Bank), Мидлэнд бэнк (Midland Bank) и Барклейз бэнк (Barclay's Bank). Депозитные банки являются основой банковской системы Великобритании. Их часто называют розничньми (retail banks). Они имеют около 15 тыс. отделений, их суммарный баланс превышает 200 млрд фунтов стерлингов.
Депозитные (клиринговые) банки принадлежат к числу универсальных, предоставляющих своим клиентам широкий выбор банковских операций и услуг. Однако при всей универсальности они имеют приоритеты в деятельности, специфические черты: определенный круг клиентуры, территориальную или отраслевую специализацию, свою концепцию развития и т.д.
Торговые банки. Они действуют в сфере внешней торговли и международных финансово-кредитных операций.
Банки Содружества. В настоящее время насчитывается семь крупных британских заграничных банков.
Иностранные банки в Великобритании. Таких банков сейчас насчитывается около 450.
Консорциальные банки. В них участвуют, по крайней мере, две стороны, причем ни одна из них не имеет контрольного пакета акций.
Что же касается кредитных учреждений небанковского типа, то здесь в их состав включаются: страховые компании; учреждения, занимающиеся сберегательными операциями (ссудо-сберегательные ассоциации, взаимные сберегательные банки и др.); финансовые компании; кредитные, строительные кооперативы и строительные общества; пенсионные фонды, доверительные паевые фонды и др.
Развитие правового регламентирования банковского дела в Великобритании также представляет интерес. До принятия Банковского акта 1979 г. в законодательных документах отсутствовало официальное определение термина "банк". Согласно существовавшему подходу банком считали организации: принимающие вклады от организаций и граждан; предлагающие чековые книжки своим клиентам с целью осуществления последними денежных расчетов; обеспечивающие некоторые другие финансовые услуги своим клиентам, включая предоставление кредитов и операции с ценными бумагами. Любая организация, которая могла продемонстрировать наличие этих трех основных операций в своей деятельности, была вправе именовать себя банком.
В 1979 г. с принятием нового закона о банках особое внимание было уделено определению термина "банк". Британское законодательство значительно упростило формулировку, указав на то, что под банком понимается любая компания, если она признается в качестве банка Банком Англии.
Банк Англии установил критерии для принятия к рассмотрению заявлений, которые должны были содержать общепризнанные в мире характеристики банка. Организация, претендовавшая на статус банка, должна была представить доказательства, что она принимает вклады, предлагает кредиты, осуществляет экспортно-импортные финансовые операции и обменивает валюту, оказывает инвестиционные услуги и дает консультации по различным вопросам, связанным с финансами.
Закон предусматривал и исключение, когда организация могла получить статус банка, даже если она не отвечала всем перечисленным требованиям. Речь идет о дисконтных (учетных) домах, представлявших собой уникальное явление в банковской системе Великобритании. Банк Англии кредитовал коммерческие банки не прямо, а через посредников - учетные или дисконтные дома (биллброкеры), а его управляющий еженедельно встречался с руководителями различных ассоциаций, причем не только банковских, но и торговых, и промышленных. Однако в 90-е гг. кредитные операции все в большей степени стал выполнять центральный банк страны, что привело к снижению роли дисконтных домов, а затем и к прекращению деятельности в 1997 г.
Закон 1979 г. предусматривал также другую категорию организаций, которые могли считаться банковскими учреждениями с ограниченными функциями. Речь шла о лицензированных организациях, принимающих депозиты (ЛОПД). На практике, прежде чем получить статус банка, любая организация должна была пройти испытательный срок в качестве ЛОПД.
Банк Англии, обладая правом предоставления статуса банка различным финансовым корпорациям, имеет право аннулировать этот статус у многочисленных уже действующих банков.
Банковский акт 1987 г. не отменил полностью все положения акта 1979 г., а лишь дополнил и изменил некоторые из них. Согласно акту 1987 г. главным звеном банковской системы Великобритании является Банк Англии - центральный банк страны, созданный в 1694 г. в виде акционерной компании с ограниченной ответственностью. В середине XVIII в. он стал выполнять ряд функций центрального банка. С принятием Банковского акта 1844 г. он официально получил статус центрального банка. С учетом законодательства единственным банком с правом эмиссии банкнот он стал только в 1921 г. после принятия парламентом страны соответствующего решения.
В 1946 г. Банк Англии был национализирован путем выкупа его акций. Принятый в том же году Банковский акт наделил центральный банк Великобритании правом давать коммерческим банкам рекомендации и директивы, согласованные с министерством финансов. Кроме того, он получил право требовать от коммерческих банковских организаций представления необходимой информации с целью проверки их деятельности.
Особое место в банковской системе страны занимают клиринговые банки. Свое название они получили потому, что заключили между собой соглашения о зачете взаимных требований (клиринговые соглашения). Клиринговые банки активно работают в системе зачетов платежных документов и ценных бумаг, осуществляемых через Лондонскую расчетную палату. Согласно законодательству все расчеты между обычными банками и другими финансовыми организациями могут производиться только через клиринговые банки.
Неординарное положение занимает Национальный сберегательный банк страны (НСБ). Этот банк, основанный в 1861 г., не похож на другие банковские учреждения. По своему правовому статусу НСБ представляет собой подразделение министерства национальных сбережений.
Особый банковский статус характеризует деятельность еще двух крупнейших банков: Трастового сберегательного банка и Национального жиробанка (НЖ). НЖ - квазигосударственное учреждение, услугами которого пользуются только государственные ведомства и местные органы власти при расчетах с населением.
Можно утверждать, что наличие и особые функции клиринговых банков, торговых банков (которые больше занимаются посредничеством, консультированием и предоставлением рекомендаций по тем или иным финансовым вопросам), а также организаций типа ЛОПД делают британскую банковскую систему во многом уникальной.
ГЕРМАНИЯ. В Германии число кредитных институтов составляет свыше 4 тыс., в том числе более 1 тыс. средних и мелких банков с годовым оборотом менее 100 млн ДМ. Эти кредитные институты имеют почти 45 тыс. филиалов, а всего в Германии насчитывается около 49 тыс. кредитных учреждений. При численности населения 80 млн человек каждое отделение банка обслуживает в среднем 1600 человек.
Двухуровневая структура банковской системы Германии включает:
• Дойче Бундесбанк (федеральный центральный банк);
• коммерческие (универсальные) банки;
• сберегательные банки;
• кооперативные центральные банки;
• кредитные кооперативы;
• банки специального назначения (государственные и частные ипотечные банки);
• почтовые, коммунальные и сберегательные банки;
• специализированные банки.
Центральный банк Германии - Дойче Бундесбанк, который имеет правление во Франкфурте-на-Майне, девять земельных центральных банков в качестве главных управлений и почти 200 главных отделений и филиалов. Центральный банк выступает как федеральное юридическое лицо публичного права и на 100 % принадлежит Федерации. Компетенцию и задачи Федерального банка определяет специальный закон.
Денежно-кредитная политика Дойче Бундесбанка разрабатывается Советом (совещательный орган), в состав которого входят члены правления Федерального банка и президенты земельных центральных банков. Члены правления назначаются Президентом страны согласно предложению федерального правительства, а президенты земельных центральных банков назначаются также Президентом согласно предложениям Бундесрата. Главой Совета Центрального банка и правления (исполнительный орган) являются президент и вице-президент Немецкого федерального банка.
Федеральный банк согласно предоставленному ему законом праву не обязан выполнять указания федерального правительства, но оказывает ему поддержку в проведении общей экономической политики.
Для обеспечения как можно более тесного сотрудничества между Советом Центрального банка и федеральным правительством последнее обязано при обсуждении мероприятий, имеющих большое значение для денежной политики, привлекать к этой работе президента Федерального банка. Со своей стороны федеральное правительство может принимать участие во всех заседаниях Совета банка. Правительство не имеет права голоса, но может подавать заявления или даже потребовать, чтобы какое-либо решение Совета Центрального банка не вступало в силу в течение двух недель.
Через Дойче Бундесбанк и его филиалы осуществляется основная масса безналичных денежных расчетов с использованием чеков и векселей внутри страны.
Коммерческие (универсальные) банки выполняют операции по приему средств в депозиты (вклады до востребования и срочные); предоставляют кратко-, средне- и долгосрочные ссуды малому и среднему бизнесу, крупным корпорациям, федеральным и местным органам власти;
выполняют финансовые и трастовые ( в том числе фондовые) услуги, электронные и брокерские услуги, операции с дорожными чеками, расчетно-кассовое обслуживание клиентов. Кроме того, коммерческие банки могут: выступать владельцами капитала корпораций, осуществлять эмиссию и размещение ценных бумаг; создавать и владеть инвестиционными фондами; иметь представителей в советах компаний, в которых они имеют собственность, и т.д.
К числу крупнейших немецких универсальных банков относятся:
Дойче Банк (Deutsche Bank AG), Дрезднер Банк (Dresdner Bank AG) и Коммерцбанк (Cornmerzbank AG). Эти банки осуществляют практически все виды операций за исключением эмиссии банкнот и предоставления ипотечного кредита.
Все коммерческие банки Германии можно условно разделить на три основные группы:
• около 350 частных банков (кредитные банки), в число которых входят три крупных, региональные и прочие кредитные банки, частные банки, а также филиалы иностранных банков (данная группа банков выполняет 1/3 операций всех банков страны);
• свыше 70 публично-правовых сберегательных касс и земельных банков (жироцентралей), которые выполняют 1/2 операций всех банков;
• приблизительно 3 тыс. кооперативных банков (системы Фолькс-банка и Райфейзенбанка) с их центральными банками, выполняющих около 1/5 операций банков.
Несмотря на то что частные банки, кооперативные кредитные учреждения и публично-правовые сберегательные кассы имеют различия в проводимой ими политике, специализации и связанного с этим банковского "разделения труда" не существует.
Основное преимущество универсальной немецкой банковской системы по сравнению с англосаксонской банковской системой с разделением функций заключается в более высокой стабильности на базе эффектов диверсификации и связанной с этим высокой надежности денежных вкладов. Банк, действующий на универсальной основе, в состоянии предоставить клиенту широкий круг операций и услуг, и за счет этого он может перераспределить доходы и потери от банковской деятельности.
Наряду с универсальными коммерческими банками в Германии существует ряд специализированных банков. Ипотечные банки и другие кредитные учреждения выдают ссуды под залог недвижимости, банки специального назначения предоставляют ссуды с рассрочкой платежа, кредитные кооперативы выдают ссуды для индивидуального жилищного строительства. Разнообразие банковских институтов в Германии проявляется в том, что свыше 1/4 кредитных организаций - это специализированные банки и приблизительно каждый третий крупный банк с оборотом свыше 5 млрд ДМ представляет собой специализированный банк.
Для представления своих интересов в законодательном, наблюдательном и прочих государственных органах все группы банков объединены в союзы. Действующие на уровне Федерации банковские центральные союзы частных банков, сберегательных касс и кооперативных банков располагают региональными и нередко местными организациями. В состав союзов входят также ревизионные объединения.
Параллельно с экономико-политическими банковскими союзами на уровне Федерации существуют социально-политические союзы больших групп кредитных организаций. Основная задача таких союзов заключается в установлении совместно с профсоюзами тарифного повышения заработной платы сотрудников банковской сферы, которое проводится, как правило, 1 раз в год. Кроме того, эти союзы совместно с государственными учреждениями принимают участие в разработке новых программ для профессионального обучения банковских работников и входят в состав организации по повышению их профессиональной квалификации.
Деятельность кредитных организаций регламентируется жесткими правовыми нормами. Параллельно с общими предписаниями гражданского, общественного права и специальными законами для отдельных банковских групп существует также закон о банковском деле.
Федеральное ведомство по надзору за банковским делом в Берлине осуществляет государственный надзор за всеми кредитными организациями. Ведомство является самостоятельным федеральным верховным органом, который подчиняется указаниям и служебному надзору федерального министра финансов. Президент ведомства назначается федеральным Президентом по предложению федерального правительства, которое должно предварительно выслушать и мнение представителя Дойче Бундесбанка.
ЯПОНИЯ. В 1995 г. в Японии действовало около 6200 коммерческих финансово-кредитных организаций. Банковский бизнес возведен в Японии в ранг первейшей государственной важности. За послевоенный период в Японии не было отмечено ни одного случая несостоятельности или банкротства банка, как результат политики государства в области банковского контроля и надзора, а также поддержки слабых банков. Следует подчеркнуть, что получить государственную лицензию на право осуществления банковских операций в Японии крайне сложно. Тем не менее дефицита банков в стране нет.
Главные элементы банковской системы Японии - 11 крупных частных банков, которые здесь называют "городскими", 64 частных местных банка, функционирующих в масштабе одной префектуры, и три могущественных частных банка долгосрочного кредитования. Городские банки обслуживают в основном крупный бизнес, корпорации страны.
Неотъемлемая часть кредитной системы Японии - 47 страховых компаний, которые аккумулируют огромные финансовые средства, используемые ими в основном для инвестиций в ценные бумаги, а также 220 фондовых компаний. Наличие компаний, специализирующихся на операциях с ценными бумагами, - одна из главных особенностей банковской системы Японии, которая была построена по американскому образцу. В отличие от других стран мира действующие в Японии законы четко разделяют полномочия между банками и фондовыми компаниями, не позволяя им вторгаться в сферу операций друг друга.
Японские специалисты обычно используют следующую классификацию кредитных организаций страны: а) Банк Японии (центральный банк); б) коммерческие банки; в) специализированные кредитные институты, в том числе финансовые компании для малого и среднего бизнеса, для сельского хозяйства, лесной и рыбной отраслей, прочие частные финансовые компании; правительственные кредитные учреждения; почтовые сберегательные кассы.
Особую роль в банковской системе играет Банк Японии, который был учрежден в 1882 г. как центральный банк. С момента создания Банка Японии единственное изменение его статуса произошло в 1942 г., когда был создан Совет по политике - высший орган для принятия управленческих решений. Членами Совета являются: управляющий банка, представители министерства финансов, агентства по экономическому планированию частного банковского бизнеса и промышленности.
Банк Японии, 55% уставного капитала которого (примерно 1 млн долл.) принадлежит правительству, а 45% - частным компаниям, обладает эмиссионным правом, т.е. правом выпуска денежных знаков; устанавливает официальную учетную процентную ставку, служит "банком банков" и банкиром правительства. Он формирует денежную политику и обеспечивает средства для ее реализации, определяет потребности в резервах для депозитных институтов, осуществляет контроль (надзор) за деятельностью банков и других кредитных институтов.
Роль центрального банка закреплена законодательно в Законе о Банке Японии. Последний руководит банковской системой страны, включая и государственные банки. В Японии их насчитывается 11, точнее, два банка и девять банковских корпораций.
Следует также отметить особый статус государственных спецбанков и государственных финансовых корпораций. Спецбанки - Импортный банк Японии и Японский банк развития, финансовые корпорации - Народная финансовая корпорация, Финансовая корпорация малого бизнеса и др.
Государственные финансовые компании отвечают за целевое и эффективное использование государственных средств, предназначенных для финансирования приоритетных проектов, в том числе по развитию сельского хозяйства, малого бизнеса, приоритетных регионов страны.
Фактически государственные функции выполняет и один из крупнейших коммерческих банков страны - Банк Токио, поддерживающий корреспондентские отношения с 2 тыс. банков в разных странах мира. На Банк Токио в соответствии с японским законодательством возложено ведение валютных операций.
Коммерческие банки в Японии - основные банки (городские, региональные и иностранные) - выполняют широкой круг операций и услуг для своих клиентов (свыше 300 видов). В их числе: прием средств в депозиты (вклады до востребования и срочные); предоставление кратко-, средне- и долгосрочных ссуд малому и среднему бизнесу, крупным корпорациям, федеральным и местным органам власти; финансовые и трастовые услуги, электронные услуги, брокерские услуги, операции с дорожными чеками и пр.
Представление о кредитной системе Японии будет неполным, если не отметить почтово-сберегательные кассы, которые призваны аккумулировать мелкие сбережения населения. Этой же сферой деятельности занимаются и гигантские городские банки, местные банки и др. Однако японские сберкассы при почтовых отделениях, как ни парадоксально, предоставляют индивидуальным клиентам гораздо больший набор услуг, чем частные банки, позволяют на более выгодных условиях человеку среднего достатка получать кредиты и хранить сбережения. Благодаря этому государственные почтово-сберегательные кассы, административно подчиняющиеся почтовому ведомству, смогли аккумулировать крупные финансовые ресурсы.
ШВЕЙЦАРИЯ. Швейцария - страна банков. На 1,5 тыс. жителей приходится один банк. В стране функционирует 140 филиалов (отделений) крупных иностранных банков. Швейцарская банковская система объединяет более 500 банковских организаций.
Все швейцарские банки традиционно делятся на три основные группы:
• крупнейшие национальные банки - Юнион бэнк оф Свитцелэнд (Union Bank of Switzerland), Суисс бэнк корпорэйшн (Suiss Bank Corporation) и Суисс кредит бэнк (Suiss Credit Bank);
• кантональные, местные и сберегательные банки, в основном работающие с местными вкладчиками в своих регионах. Они предоставляют также ссуды и осуществляют расчетно-кассовые операции;
• частные банки, основной вид деятельности которых - управление инвестиционными портфелями.
Рассмотрение лишь банковской системы Швейцарии не дает полного представления о своеобразии и широких возможностях приложения капитала в этой стране. В кредитную систему Швейцарии органично входят также финансовые компании. Они делятся на:
• компании, рекламирующие себя для приема депозитов, которые обязаны отвечать всем требованиям федерального банковского законодательства;
• компании, не принимающие депозиты, но выполняющие другие банковские операции. Они подпадают под регулирование лишь некоторых статей данного законодательства.
Отличительной чертой швейцарской банковской системы является строгий контроль за деятельностью банков и инвестиционных компаний. После второй мировой войны в Швейцарии не было ни одного случая банкротства. Контроль за банками имеет трехступенчатую структуру и осуществляется Федеральной банковской комиссией, Национальным Банком и Швейцарской банковской ассоциацией.
Деятельность банков, ее регулирование и контроль проходят в соответствии с Федеральным банковским законом о банках и сберегательных банках от 8 ноября 1934 г. Главное назначение Закона - защита интересов клиента.
Банковская лицензия выдается Федеральной банковской комиссией только в том случае, если банк отвечает всем требованиям Закона. Исключения не допускаются. В случае, если обнаруживаются нарушения Закона, выданная лицензия может быть немедленно отозвана.
Еще одна черта, определяющая высокий рейтинг швейцарских банков, - банковская секретность. Тайна вкладов защищена в Швейцарии положениями как гражданского, так и уголовного права. Банк, не умеющий хранить секреты своих клиентов, может быть лишен лицензии, а служащим за разглашение такой информации грозит тюремное заключение на срок до шести месяцев или штраф до 50 тыс. швейцарских франков. Банковская информация может быть открыта правительственным органам только в том случае, если есть доказательства (не подозрения!) причастности клиента к уголовному преступлению. При этом уклонение от уплаты налогов преступлением в Швейцарии не считается. Нарушение валютного регулирования других стран также не подпадает по швейцарскому уголовному праву в разряд преступлений.
К особенностям банковской системы Швейцарии следует отнести также функционирование Банковского комитета.
Банковский комитет - это независимый орган, не подчиняющийся ни правительству, ни Национальному банку. Комитет контролирует соблюдение банками Закона о банковской деятельности, свода правил и установленных нормативов. Он призван защищать интересы акционеров. Комитет в своей деятельности опирается на независимые аудиторские службы, которые находятся вне банка, а также на внутренний аудит банка. Комитету предоставлено право при назначении людей на руководящие банковские посты высказывать свое мнение. В Швейцарии деятельности этого органа придают большое значение. Решения банковского комитета обязательны для выполнения.
США. В начале XX в. в США имелось не менее 5 тыс. эмиссионных (национальных) банков, каждый из которых обладал правом выпускать в обращение банкноты на сумму своего основного капитала. При этом каждый из национальных банков был обязан принимать в уплату билеты всех остальных банков (несмотря на то, что они не являлись законными платежными средствами). Банки находились под контролем особого департамента Казначейства, во главе которого стоял назначаемый Президентом США Контролер денежного обращения.
Кредитная система США состоит из следующих основных элементов: банковской системы (Федеральной резервной системы - ФРС, выполняющей функции центрального банка страны; коммерческих банков; инвестиционных банков; сберегательных банков; ссудо-сберега-тельных ассоциаций) и небанковских кредитных институтов: почтовых сберегательных касс; финансовых компаний; кредитных кооперативов; страховых компаний; пенсионных фондов; фондов социального страхования; обществ взаимного кредита; институтов страхования депозитов и пр. В экономической литературе встречаются и иные классификации.
Американская банковская система имеет ряд уникальных особенностей в построении и организации ее работы.

Функции центрального банка в США выполняет Федеральная резервная система, основанная в 1913 г. вопреки оппозиции крупных банков и банковских корпораций. Целями образования ФРС были: создание здорового экономического климата в стране, поддержка и контроль за деятельностью банков.
По структуре ФРС представляет собой сложный организм. Важнейшую роль в нем выполняют три основных звена: Совет управляющих ФРС (в Вашингтоне); федеральные резервные банки; банки-члены ФРС. В ФРС входят 12 федеральных резервных банков, являющихся центральными для округов, на территории которых они расположены. Помимо этого банками-членами ФРС выступают около 6 тыс. коммерческих банков (из примерно 12 тыс.). Сейчас наблюдается тенденция к большей централизации ФРС, но это, как свидетельствуют американские специалисты, процесс длительный, эволюционный.
Банки-члены ФРС - наиболее крупные частные коммерческие банки, на долю которых приходится свыше 70% всех депозитов кредитной системы США. Они служат акционерами федеральных резервных банков и получают на свой акционерный пай 6%-ный дивиденд. Помимо этого преимущество, которым пользуются банки-члены ФРС, обусловлено прежде всего тем, что они становятся клиентами одного из федеральных резервных банков и пользуются его услугами, в том числе и в получении необходимых денежных сумм путем займа или учета коммерческих бумаг. Причем если возможность получения ссуды в коммерческом банке ограничена ресурсами этого банка, то при обращении банка-члена в федеральный резервный банк такое ограничение фактически отпадает, поскольку этот банк может в активных операциях рассчитывать на ресурсы всей ФРС. Банки же, которые не являются членами системы, для пополнения кассы прибегают к услугам своих корреспондентов, банков-членов ФРС. Таким образом, в функции банка банков ФРС осуществляет всестороннее обслуживание банков-членов.
Для выполнения своей главной задачи - способствовать поддержанию благоприятных экономических условий в стране - ФРС обладает рядом средств воздействия на состояние банковского кредита и денежного обращения. Объектом непосредственного воздействия всего комплекса средств ФРС служат банковские резервы. Федеральные резервные банки выступают держателями депозитов банков-членов. Эти депозиты - основная часть всех определенных законом резервов банков-членов ФРС. Увеличение или сокращение резервов, обусловленное использованием ФРС того или иного метода денежно-кредитного регулирования, оказывает либо стимулирующее, либо сдерживающее воздействие на экономические процессы. Проводится политика кредитной экспансии или политика кредитной рестрикции.
ФРС независима в финансовом отношении, имеет собственный бюджет и финансирует свою деятельность за счет доходов от операций и прибыли от эмиссии денег. Право "чеканить монету" и регулировать ее стоимость, которое согласно Конституции принадлежит Конгрессу, было передано ФРС, а точнее, Федеральному комитету по операциям на открытом рынке. Этот комитет был учрежден в 1936 г. при Совете управляющих. Со временем он превратился по существу в основной оперативный орган ФРС. После покрытия своих расходов и выплаты дивидендов банкам-членам ФРС ежегодно передает в государственную казну от 15 млрд до 20 млрд долл. Независимость ФРС выражается и в том, что Президент США не имеет права отдать ФРС какой-либо приказ или сместить ее управляющих.
Итак, по закону каждый банк-член ФРС должен определенную долю привлеченных средств держать в форме бездоходных резервов частью в виде наличных денег, а частью - в виде депозита в федеральном резервном банке своего округа. Не члены ФРС тоже должны держать резервы (кроме штата Иллинойс), но, во-первых, нормы резервов в разных штатах разные в соответствии с местным законодательством; во-вторых, этим банкам резервы нередко разрешается держать в формах, приносящих доходы (срочные вклады в других банках, вложения в некоторые виды краткосрочных государственных ценных бумаг и т.д.). Поэтому нередко банки штатов либо не желают вступать в ФРС, либо выходят из нее. Последнее подтверждает вывод о том, что в США нет единой государственной политики регулирования банковской деятельности.
Коммерческие банки США выполняют широкий спектр операций и услуг, в том числе принимают средства в депозиты (вклады до востребования и срочные); предоставляют кратко-, средне- и долгосрочные ссуды малому и среднему бизнесу, крупным корпорациям, федеральным и местным органам власти; выполняют финансовые и трастовые услуги. Однако американские банки не могут (по законодательству) выступать владельцами ценных бумаг, кроме случаев возмещения непогашенного кредита. Между коммерческой и трастовой деятельностью банков проходит "китайская стена"; информация, полученная трастовым отделом, не может передаваться в другой.
Через холдинговые компании американские банки оказывают своим клиентам инвестиционные услуги (напрямую коммерческим банкам запрещено выполнять операции с корпоративными ценными бумагами, и этой деятельностью занимаются в основном инвестиционные банки); электронные услуги; выполняют операции с дорожными чеками; брокерские услуги; занимаются размещением и куплей-продажей казначейских, муниципальных и других официальных долговых инструментов; оказывают услуги по инвестиционному консультированию.
В отличие от коммерческих банков специализированные кредитные институты занимаются кредитованием определенных сфер и отраслей хозяйственной деятельности. Как правило, можно выделить одну или несколько их основных операций. Эти институты доминируют в относительно узких секторах рынка ссудных капиталов и имеют специфическую клиентуру.
Важным направлением специализации банков является инвестиционная деятельность. Инвестиционные банки (в США, Великобритании и Японии) мобилизуют долгосрочный ссудный капитал и предоставляют его заемщикам (функционирующим капиталистам и государству) посредством выпуска и размещения облигаций или других видов заемных обязательств. Инвестиционные банки занимаются выяснением характера и размеров финансовых потребностей заемщиков, согласованием условий займа, выбором вида ценных бумаг, определяют сроки их выпуска с учетом состояния рынка, осуществляют их эмиссию и последующее размещение среди инвесторов. В роли гарантов эмиссии и организаторов рынка они покупают и продают пакеты акций и облигаций за свой счет, предоставляют кредиты покупателям ценных бумаг. Классический тип инвестиционных банков характерен для США, где законодательство запрещает коммерческим банкам заниматься инвестиционной деятельностью (кроме операций с государственными и муниципальными облигациями). В настоящее время в Ассоциацию инвестиционных банкиров США входит около 700 инвестиционных банков.
Ведущие позиции по величине активов и значению в качестве поставщиков ссудного капитала после коммерческих банков занимают страховые компании. Характер аккумулируемых ими ресурсов позволяет использовать их для долгосрочных производственных капиталовложений через рынок ценных бумаг. Такими возможностями банки, опирающиеся на сравнительно краткосрочные привлекаемые средства, не располагают. Поэтому страховые компании занимают главенствующее положение на рынке капиталов.
Страхование в современных условиях представляет собой прибыльный бизнес. Продавая страховые полисы, страховые компании аккумулируют огромные суммы на длительные сроки. Приток денежных средств в виде страховых премий и доходов от активных операций, как правило, намного превышает сумму ежегодных выплат держателям полисов. Это позволяет компаниям из года в год увеличивать инвестиции в высокодоходные долгосрочные ценные бумаги с фиксированными сроками погашения, главным образом в облигации промышленных корпораций, государственные облигации и закладные под недвижимость.
Разновидностью кредитно-финансовых учреждений являются также финансовые компании (или, как их называют в Великобритании, финансовые дома). Эти учреждения специализируются на кредитовании отдельных отраслей или предоставлении определенных видов кредитов (потребительского, инвестиционного и др.). Наибольшее распространение они получили в США, Канаде и Великобритании. Финансовые компании можно разделить на три вида: предоставляющие потребительский кредит; обслуживающие систему коммерческого кредита; предоставляющие мелкие ссуды индивидуальным заемщикам.
Финансовые компании, занимающиеся потребительским кредитом, выдают кредит не прямо потребителям, а покупают их обязательства у розничных торговцев и дилеров со скидкой (7-10%). При продаже товара продавец взимает с покупателя первоначальный взнос наличными (как правило, 10-12% цены товара). Остаток долга покупатель выплачивает регулярными взносами ежемесячно или в другие сроки.
Взимаемые финансовыми компаниями ставки выше, чем ставки по обычным банковским ссудам, из-за применяемых методов взимания средств -с общей суммы займа или со стоимости покупки. Например, 10% с суммы займа при погашении задолженности равными месячными платежами в течение года практически соответствуют 18% годовых.
Юридический статус финансовых компаний, специализирующихся на кредитовании продаж в рассрочку, позволяет им принимать от населения депозиты, однако отказывает в праве называться "банковскими компаниями". Это лишает их возможности привлекать средства на тех же условиях, что и банки, и они вынуждены конкурировать с последними, предлагая кредиторам более высокие процентные ставки.
Доля финансовых компаний в общей сумме активов финансово-кредитных учреждений невелика. Так, в США доля финансовых компаний в общем объеме кредитной задолженности составляет около 4%. Основным источником ресурсов финансовых компаний служат срочные депозиты (от трех до шести месяцев). Они аккумулируют денежные средства промышленных и торговых фирм, некоторых финансовых учреждений и в меньшей степени населения, выплачивая им более высокой процент, чем банки.
Особое место среди банкоподобных специальных институтов занимают кредитные, строительные кооперативы - строительные общества, которые формируют капитал из сберегательных вкладов своих членов и выдают последним ипотечный кредит. Эти институты работают вместе с кредитными товариществами и финансируют таким образом строительство частных домов.
Множество других видов кредитных учреждений (в том числе пенсионные фонды, доверительные паевые фонды, специализированные финансовые институты и пр.) выполняют отдельные банковские операции, но при этом не имеют права именовать себя банками и вынуждены конкурировать как с последними, так и между собой.
Следующий вид специализированных кредитно-финансовых институтов -учреждения, занимающиеся сберегательными операциями. Существует несколько их видов. Ссудо-сберегательные ассоциации, получившие распространение в США, - это учреждения со строго ограниченными функциями. Главная форма мобилизации средств заключается в привлечении сбережений населения путем продажи собственных акций. Лица, внесшие свои сбережения в ассоциацию, становятся ее акционерами и получают доход в форме дивиденда. Изъятие сбережений (выкуп акций) разрешается лишь с уведомлением за 30-90 дней. Важнейшим и по сути дела единственным видом активных операций этих учреждений выступают ипотечные операции.
Сходной деятельностью занимаются взаимо-сберегательные банки. Они принимают от населения мелкие сбережения и инвестируют их в некоторые виды ценных бумаг. Вкладчики получают доход в форме процентов по вкладу. В отличие от коммерческих банков, у которых преобладают ссудные операции, подавляющая часть средств взаимосберегательных банков помещается в ценные бумаги. Наибольший удельный вес в активах составляет ипотечная задолженность.
Изменение роли кредита
Роль кредита, а также сфера его применения не являются неизменными. стабильными. Напротив, с изменениями экономических условий в стране происходят и изменения роли кредита и сферы его применения.В условиях функционирования полноценных денег роль кредита в сфере наличноденежного обращения была менее значительна, чем при функционировании неразменных на золото денежных знаков. Это связано с условиями функционирования полноценных денег, при которых изменение массы денег практически мало связано с применением кредита. Так, уменьшение массы полноценных денег в сфере обращения сопровождается превращением их в сокровище и происходит практически без участия кредита. Напротив, увеличение массы денег в обращении может произойти из сокровища, но также без участия кредита.
Если же в обращении применяются неполноценные денежные знаки, то увеличение их массы в обороте при участии кредита в форме дополнительной эмиссии наличных денег происходит в связи с осуществлением кредитных операций. Точно так же денежные знаки изымаются из обращения при погашении ссудной задолженности.
Еще более важна роль кредита в условиях инфляции, когда регулирование массы денег в обращении, происходящее с помощью кредита, приобретает возрастающее значение для поддержания стабильности покупательной способности денежной единицы.
В условиях инфляции возможность долгосрочного кредитования затрат на увеличение основных фондов существенно ограничивается по разным причинам и в том числе потому, что трудно определить, как добиться реального погашения ссудной задолженности с учетом обесценения денег в течение сравнительно продолжительного предстоящего периода. Поэтому роль кредита ограничивается.
Различные изменения в условиях развития экономики влияют на роль кредита и применяемые виды кредитных отношений. Об этом свидетельствует то, что в связи с переходом от государственного, централизованного управления экономикой к рыночной экономике возобновилось использование коммерческого и ипотечного кредитов с соответствующим изменением сферы кредитных отношений и объема кредитных вложений.
Появление акционерных компаний, выпуск акций, расширение привлечения бюджетом средств с помощью различных ценных бумаг вызвали расширение кредитных операций с ценными бумагами. Это отразилось в участии кредита в операциях по эмиссии ценных бумаг, в кредитовании под залог таких бумаг.
Изменения роли кредита в немалой степени связаны с расширением сферы кредитных отношений и развитием методов кредитования и управления кредитом.
В период, предшествовавший переходу к рыночной экономике, в России не применялся ипотечный кредит. Сравнительно ограниченное значение имели коммерческий кредит и применение кредита в качестве источника капиталовложений. Существовала строгая централизация управления банковским кредитом, что проявлялось в выделении из центра кредита для различных заемщиков на определенные цели и в пределах определенных сумм (лимитов кредитования).
При таких условиях недостаточно последовательно учитывались и не всегда гибко удовлетворялись потребности заемщиков, что соответственно ограничивало роль кредита. Напротив, при переходе к рыночной экономике происходит расширение сферы кредитных отношений. Это относится к предоставлению заемных средств под залог недвижимости. Значительно возросло применение коммерческого кредита, а также использование заемных средств в качестве источника инвестиций.
Произошел переход к децентрализации управления кредитными операциями коммерческих банков. Этому способствовало расширение прав и возможностей коммерческих банков и их клиентов, что проявилось в отказе от централизованного установления лимитов кредитования и переходе к договорным отношениям банков с клиентурой.
Дальнейшее расширение сферы применения кредита, для чего имеются немалые возможности, а также совершенствование управления кредитом будут сопровождаться повышением его роли в жизни общества.
Вместе с тем существенное значение для возрастания роли кредита имеет совершенствование методов кредитования. В этом отношении в качестве примера можно привести применение проектного кредитования. При таком порядке кредитования участие банка в инвестициях не ограничивается предоставлением долгосрочных ссуд для капиталовложений и оценкой эффективности кредитуемых объектов, а предусматривает участие банка в выборе целесообразного направления капиталовложений, анализе его обоснованности и эффективности, а также возможное участие в подготовке технико-экономического обоснования, бизнес-плана и др. Одним из немаловажных элементов участия банков в проектном кредитовании является определение состава источников финансирования: собственные средства заемщика, банковский кредит, мобилизация ресурсов с помощью эмиссии акций и т. п.
Отсюда следует, что роль кредита в расширении производства возрастает. Немалые изменения происходят и в методах ипотечного кредитования. Так, ипотечный кредит обычно предусматривает предоставление ссуд под залог недвижимости (зданий, земли). При этом предоставленные ссуды могут использоваться для удовлетворения различных потребностей, включая и расходы на потребление. Здесь также происходят изменения применяемых методов кредитования, состоящие в том, что ссуды предоставляются под залог части сооружаемых объектов, например при жилищном строительстве. В таких случаях предоставленный кредит может служить источником средств для последующего строительства на условиях полного погашения ссудной задолженности за счет выручки от реализации сооружаемых объектов. Это подтверждает, что совершенствование методов кредитования способствует повышению роли кредита, в частности, в области его использования в качестве источника инвестиций.
Выделим некоторые направления, в которых проявляется воздействие кредита:
• перераспределение материальных ресурсов в интересах развития производства и реализации продукции с помощью операций по предоставлению ссуд и привлечению средств юридических и физических лиц;
• влияние на бесперебойность процессов воспроизводства путем предоставления ссуд, обеспечивающих устранение задержек в осуществлении таких процессов;
• участие в расширении производства, в том числе с помощью выдачи заемных средств на увеличение основных фондов, выполнение лизинговых операций и др.;
• экономное использование заемщиками как собственных, так и заемных средств, чему в немалой степени способствуют процессы предоставления заемных средств, а также взимание платы за пользование заемными средствами;
• ускорение получения потребителями товаров, услуг и жилья (за счет предоставления заемных средств);
• регулирование выпуска в обращение и изъятия из обращения наличных денег на основе применения кредита и обеспечение безналичного денежного оборота платежными средствами.
Достижению эффективных результатов применения кредита способствует последовательное осуществление государственной денежно-кредитной политики. Такая политика в современных условиях, особенно в связи с инфляцией, состоит главным образом в проведении жестких мер по регулированию объема кредитных и денежных операций. Здесь важное значение имеют поддержание устойчивости денежной единицы и зашита интересов вкладчиков и кредиторов банка.
Одним из направлений политики является установление ЦБ РФ ориентиров роста денежной массы, включая показатели объема эмитируемых, наличных денег, показатели остатков на расчетных счетах депозитов и др.
Для достижения целей денежно-кредитной политики используются нормативы, регулирующие деятельность коммерческих банков, контролируется соблюдение таких нормативов. Кроме того, ЦБ РФ определяет общий объем кредитов, которые он предоставляет коммерческим банкам (рефинансирование), а также процентные ставки по предоставляемым кредитам. Следует также учитывать, что немалое значение для осуществления денежно-кредитной политики имеют устанавливаемые ЦБ РФ правила проведения банковских операций, в том числе правила выполнения безналичных расчетов.
Меры по регулированию объема кредитных вложений, эмиссии наличных денег способствуют повышению роли кредита, его влиянию на развитие производства и реализацию продукции, на совершенствование хозяйственной деятельности.
Экономическая основа формирования уровня ссудного процента
Существующие теории ссудного процента исходят из наличия неразрывной взаимосвязи между спросом и предложением средств, объемом сбережений и инвестиций, процентом и доходом как элементами единой системы. Причем ее макроэкономический анализ возможен только с учетом одновременного рассмотрения всех выделенных составляющих.Этот подход может быть выражен через систему функций:
M=L(y,i); (1)
S(y,i)=I(y,i), (2)
где М - предложение денежных средств;
L - функция спроса денежных средств;
S - функция сбережений;
I - функция объема инвестиций;
i - норма процента;
у - уровень дохода.
Уравнение (1) определяет взаимосвязь между спросом и предложением средств, а уравнение (2) - между объемом сбережений и инвестиций. С учетом заданного количества денег единовременное решение системы указанных уравнений позволяет, по мнению автора, определить норму ссудного процента и уровень дохода на инвестиции.
Иными словами, при сложившемся уровне дохода на инвестиции норма процента на денежном рынке формируется соотношением спроса и предложения денежных средств. Одновременно при неизменной норме процента уровень дохода в "реальном" секторе определяется объемом сбережений и инвестиций. Денежная сфера и реальный (производственный) сектор тесно взаимосвязаны. Изменения в соотношении спроса и предложения денежных средств ведут к колебанию процента, который, в свою очередь, действует на формирование спроса на инвестиции и в конечном счете - на уровень дохода. Увеличение или уменьшение доходности осуществляемых вложений, напротив, определяет размер денежного спроса и, следовательно, уровень ссудного процента.
Рассмотренный механизм формирования уровня ссудного процента базируется на разработках ряда направлений, которые внесли весомый вклад в развитие теории данной проблемы. Основными из них выступают: реальная, или классическая, теория ссудного процента, теория ссудных фондов и кейнсианская теория предпочтения ликвидности.
Классическая, реальная, теория предполагает, что единственными переменными, которые воздействуют на норму процента даже в краткосрочном аспекте, являются инвестиции и сбережения.
Простая реальная модель рынка облигаций (рис. 13.1) включает функцию спроса и предложения облигаций и равновесную норму процента, которая устанавливается в точке их равенства (Вd - BS, iм - равновесная норма процента). Предполагается, что спрос и предложение облигаций равны сбережениям и инвестициям, и, следовательно, условие равновесия можно также представить в виде S (i) = (i), т.е. норма процента определяется равновесием планируемых сбережений и инвестиций.
Рассмотренная классическая теория процента абстрагируется от влияния ряда факторов. Прежде всего теория не учитывает воздействие других рынков на спрос и предложение облигаций, предполагается, что облигации - единственный вид активов, которыми располагает потребитель, делается ряд прочих допущений.
Неоклассическая теория ссудных фондов, разработанная экономистами стокгольмской и кембриджской школ, расширяет понятие спроса и предложения капитала, дополняя его спросом на кассовую наличность и приростом денежной массы. В этом случае поток спроса на облигации приравнивается к сумме планируемых сбережений и некоторому приросту денежной массы за период, или

Рис. 13.1. Простая реальная модель рынка облигаций:
BS -
функция предложений облигаций; ВD - функция спроса облигаций;
S (i) -
функция сбережений; I (i) - функция инвестиций
BD=S(i)+MS,
где МS - прирост денежной массы за определенный период времени.
Признается, что спрос на заемные фонды (или поток предложения облигаций) вызывается потребностью финансирования производственных инвестиций, а также спросом на кредит со стороны тех, кто стремится увеличить свою кассовую наличность. Что можно выразить следующей функцией:
BS
= I(i) +МD,
где МD - денежный спрос с целью увеличения кассовой наличности.
Условие равновесия рынка при этом получит следующее выражение:
S(i)+MD=I(i)+
MS
В интерпретации этой теории норма процента выступает в значительной степени денежным феноменом. Она определяется как реальными факторами (сбережениями и инвестициями), так и денежными (спросом на деньги и их предложением), причем уровень процента может быть изменен непосредственно за счет влияния последних.
В теории, разработанной Дж. М. Кейнсом, норма процента определяется в качестве вознаграждения за расставание с ликвидностью. Дж.М. Кейнс отмечал, что процент - это "цена, которая уравновешивает желание держать богатство в форме наличных денег с имеющимся количеством наличных денег", т.е. количество денег в обращении - еще один фактор, который наряду с предпочтением ликвидности при данных обстоятельствах определяет действительную норму процента.
Таким образом, уровень процента с учетом заданного дохода изменяется, по словам автора, в прямом отношении к степени предпочтения ликвидности и в обратном - к количеству денег в обращении:
М' = L' (у, i),
где М' - количество денег;
L' - функция предпочтения ликвидности.
Следует отметить, что предпочтение ликвидности Дж. М. Кейнс ставит в зависимость от следующих основных причин: соображения обращения, предосторожности и спекулятивных соображений.
Дж.М. Кейнс определил, что график предпочтения ликвидности L = L'(у0, i), отражающий связь количества денег с нормой процента, представляет плавную кривую, которая падает по мере роста объема денежной массы. В точке пересечения функции с заданным предложением денежных средств (M) будет получена равновесная для настоящего момента норма процента (i0).
Таким образом, особенность кейнсианской теории состоит в предположении, что норма процента складывается в результате взаимодействия спроса и предложения денежных средств. Причем процент рассматривается как "в высшей степени психологический феномен".
Между тем уровень ссудного процента в условиях свободных рыночных отношений складывается не только на основе соотношения между совокупным спросом и предложением денежных средств, но и является результатом сложного взаимодействия ряда факторов не только финансовой сферы, но и производственной. К их числу относятся цикличность производства, достигнутый в стране уровень накопления денежного капитала и сбережений, общий уровень развития денежных рынков и рынков ценных бумаг, международная миграция капиталов, состояние национальных валют.
Большое значение для участников кредитных отношений имеет также сочетание двух начал формирования процентных ставок: рыночных сил и государственного регулирования, которое проводится с целью:
• поддержания развития отдельных отраслей экономики;
• создания единообразных условий функционирования для элементов национальной кредитной системы;
• проведения антиинфляционной политики.
В последние годы во многих странах процесс "дерегулирования" затронул и сферу процентных ставок, когда политика государственного регулирования, широко используемая в предыдущие годы, постепенно потеряла свое значение: все большую роль в нормировании цены кредита принимают рыночные силы, хотя данный процесс не всегда однозначен.
Западными экономистами признается положение о том, что на макроуровне рыночная норма процента испытывает непосредственное влияние инфляционных процессов. Причем данный подход поддерживается сторонниками различных теорий ссудного процента. Это положение впервые было выдвинуто И. Фишером, который определял номинальную ставку процента как функцию реальной нормы процента и ожидаемого темпа инфляции:
i
= r + е,
где i - номинальная, или рыночная, ставка процента;
r - реальная;
е - темп инфляции.
Только в особых случаях, когда на денежном рынке не происходит повышения цен (е = 0), реальная и номинальная процентные ставки совпадают.
Данная формула может служить для приближенного определения номинальной процентной ставки и дает приемлемые результаты только при небольших значениях r и е. В противном случае применяется другой подход, учитывающий необходимость компенсации и по начисляемой сумме платы за кредит. Номинальная процентная ставка определяется по формуле
i = (1 + r) (1 + е) - 1 = r + е + r • е,
и соответственно уровень реального процента выражается как

В условиях развития рыночных начал в экономике России в сфере кредитных отношений уровень ссудного процента стремится к средней норме прибыли в хозяйстве. При условии свободного перелива капитала последний будет устремляться в ту отрасль, ту сферу приложения средств, которая обеспечит получение наибольшей прибыли. Если уровень дохода в производственном секторе экономики будет выше ссудного процента, то произойдет перемещение средств из денежной сферы в производственную и наоборот.
Примером такого влияния в 1993- 1996 гг. стало воздействие доходности рынка государственных ценных бумаг на отток банковских средств из сферы краткосрочного кредитования в сферу операций с государственными краткосрочными бескупонными облигациями. С конца 1996 г. при падении доходности отмеченного сегмента рынка банковский капитал устремился в другие сферы.
При формировании рыночного уровня ссудного процента на отклонение его величины от средней нормы прибыли влияют как общие факторы, действующие на макроуровне, так и частные, лежащие в основе проведения процентной политики отдельных кредиторов.
К числу общих факторов относятся:
• соотношение спроса и предложения заемных средств;
• регулирующая направленность политики Центрального банка РФ;
• степень инфляционного обесценения денег. Последний из названных факторов оказывает особое влияние на уровень ссудного процента. Об этом свидетельствует практика всех стран, прошедших по пути перехода от плановой экономики к рыночным отношениям, к числу которых соответственно относится и Россия.
Частные факторы определяются конкретными условиями деятельности кредитора, его положением на рынке кредитных ресурсов, характером операций и степенью риска. Кроме того, имеются особенности при формировании отдельных форм ссудного процента.
Экономическое содержание налично-денежного оборота
Налично-денежный оборот представляет собой процесс движения наличных денежных знаков (банкнот, казначейских билетов, разменной монеты). Несмотря на то, что налично-денежный оборот во всех странах как с рыночной, так и с административной моделями экономики составляет меньшую часть, он имеет большое значение. Именно этот оборот обслуживает получение и расходование большей части денежных доходов населения. Именно в налично-денежный оборот складывается постоянно повторяющийся кругооборот наличных денег (рис. 7.1).Из схемы видно, что налично-денежный оборот начинается в расчетно-кассовых центрах Центрального банка РФ. Наличные деньги переводятся из их резервных фондов в оборотные кассы, тем самым они поступают в обращение. Из оборотных касс РКЦ наличные деньги направляются в операционные кассы коммерческих банков. Часть этих денег банки могут передавать друг другу на платной основе, но большая часть наличных денег выдается клиентам - юридическим и физическим лицам (либо в кассы предприятий и организаций, либо непосредственно населению). Часть наличных денег, находящихся в кассах предприятий и организаций, используется для расчетов между ними, но большая часть передается населению в виде различных видов денежных доходов (заработной платы, пенсий и пособий, стипендий, страховых возмещений, выплаты дивидендов, поступлений от продажи ценных бумаг и т. д.).
Население также использует наличные деньги для взаиморасчетов, но большая их часть расходуется на выплату налогов, сборов, страховых платежей, квартплаты и коммунальных платежей, погашение ссуд, покупку товаров и оплату различных платных услуг, покупку ценных бумаг, лотерейных билетов, арендные платежи, уплату штрафов, пени и неустоек и т.д.

Рис. 7.1. Схема налично-денежного оборота (на примере России)
Таким образом, деньги поступают либо непосредственно в операционные кассы коммерческих банков, либо в кассы предприятий и организаций (прежде всего предприятий торговли и предприятий, оказывающих услуги населению).
В соответствии с действующим порядком организации налично-денежного оборота для каждого предприятия устанавливаются лимиты остатка наличных денег в их кассах и деньги, превышающие лимит, должны сдаваться в обслуживающий данное предприятие коммерческий банк. Для коммерческих банков также устанавливаются лимиты их операционных касс, поэтому в сумме, превышающей лимит, они сдают наличные деньги в РКЦ. Последним также устанавливается лимит их оборотных касс, поэтому деньги в сумме, превышающей лимит, переводятся в резервные фонды, т.е. изымаются из обращения.
7.2. Организация налично-денежного оборота
Налично-денежный оборот организуется государством в лице центрального банка. Для этого центральный банк систематически издает документ, который называется "Порядок ведения кассовых операций в народном хозяйстве". Последний раз этот документ в России издавался в сентябре 1993 г.
Налично-денежный оборот организуется на основе следующих принципов:
• все предприятия и организации должны хранить наличные деньги (за исключением части, установленной лимитом) в коммерческих банках;
• банки устанавливают лимиты остатка наличных денег для предприятий всех форм собственности;
• обращение наличных денег служит объектом прогнозного планирования;
• управление денежным обращением осуществляется в централизованном порядке;
• организация налично-денежного оборота имеет целью обеспечить устойчивость, эластичность и экономичность денежного обращения;
• наличные деньги предприятия могут получать только в обслуживающих их учреждениях банков.
7.3. Денежные системы, их формы и развитие
Организуемое и регулируемое государственными законами денежное обращение страны называется денежной системой. В каждой стране денежная система складывается исторически. Известны различные типы денежных систем. Так, в условиях существования металлического денежного обращения различали два типа денежных систем: биметаллизм и монометаллизм.
Биметаллизм - денежная система, при которой государство законодательно закрепляет роль всеобщего эквивалента за двумя металлами золотом и серебром, монеты из них функционируют на равных основаниях. Существовали три разновидности биметаллизма:
• система параллельной валюты, когда соотношение между золотыми и серебряными монетами устанавливалось стихийно на рынке;
• система двойной валюты, когда это соотношение устанавливалось государством;
• система "хромающей" валюты, при которой золотые и серебряные монеты служат законными платежными средствами, но не на равных основаниях, так как чеканка серебряных монет производилась в закрытом порядке в отличие от свободной чеканки золотых монет. В этом случае серебряные монеты становятся знаком золота.
Монометаллизм - денежная система, при которой один денежный металл является всеобщим эквивалентом и одновременно в обращении присутствуют другие знаки стоимости (банкноты, казначейские билеты, разменная монета), разменные на золото. Существовало три разновидности золотого монометаллизма: золотомонетный стандарт, золотослитковый стандарт и золотодевизный стандарт.
При золотомонетном стандарте золото выполняет все функции денег, в обращении находятся как золотая монета, так и знаки золота, производится свободная чеканка золотых монет с фиксированным содержанием золота, золотые монеты свободно меняются на знаки золота по нарицательной стоимости.
Золотослитковый стандарт характерен тем, что банкноты обмениваются на золотые слитки, но только при предъявлении определенной их суммы.
Наконец, особенностью золото-девизного стандарта было то, что банкноты обмениваются на девизы, т. е. на иностранную валюту, разменную на золото. Важная роль золото-девизного стандарта заключалась в том, что он закрепил валютную зависимость одних стран от других, что явилось основой для создания в последующем системы международных валютных договоров и систем валютного регулирования, обеспечивающих относительную устойчивость свободно конвертируемых валют.
С 30-х гг. в мире начинают функционировать денежные системы, построенные на обороте неразменных кредитных денег. Это прежде всего связано с действием общего экономического закона экономии общественного труда. Эволюция денежных систем приводит к созданию все более экономичных денежных систем, где издержки денежного оборота постоянно снижаются, следовательно, снижаются и затраты общественного труда.
Для всех денежных систем, основанных на обороте кредитных денежных знаков, характерно:
• вытеснение золота как из внутреннего, так и внешнего оборотов и оседание его в золотых резервах (в основном в банках); золото при этом по-прежнему выполняет функцию сокровища;
• выпуск наличных и безналичных денежных знаков на основе кредитных операций банков;
• развитие безналичного денежного оборота и сокращение налично-денежного оборота (в среднем в мировой экономике соотношение между наличным и безналичным оборотами составляет 1:3);
• создание и развитие механизмов денежно-кредитного регулирования денежного оборота со стороны государства.
Существуют две разновидности денежных систем, основанных на обороте кредитных денежных знаков. Первая разновидность свойственна административно-распределительной системе экономики. Она имеет следующие характерные черты:
1. Сосредоточение денежного оборота (как безналичного, так и наличного) в едином государственном банке.
2. Законодательное разграничение денежного оборота на безналичный и наличный обороты. При этом безналичный оборот, как правило, обслуживает распределение средств производства, а наличный оборот - распределение предметов потребления и услуг.
3. Обязательность хранения денежных средств предприятий на счетах в государственном банке. Лимитирование (установление предельной суммы) остатка наличных денег в кассах предприятий.
4. Нормирование государством расходов предприятий из получаемой ими выручки наличными деньгами.
5. Прямое директивное планирование денежного оборота и его составных элементов как составной части общей системы' государственного планирования.
6. Централизованное директивное управление денежной системой.
7. Выпуск денег в хозяйственный оборот в соответствии с выполнением государственного плана экономического развития.
8. Сочетание товарного и золотого обеспечения денежных знаков при приоритете товарного.
9. Законодательное установление масштаба цен и валютного курса национальной денежной единицы.
Такого типа денежные системы существовали в странах социалистического лагеря до его распада.
В большинстве стран современного мира используется вторая разновидность денежных систем, основанных на обороте кредитных денежных знаков. Эта разновидность свойственна странам с рыночной экономикой. Характерные черты такого типа денежной системы следующие:
1. Децентрализация денежного оборота между разными банками.
2. Разделение функции выпуска безналичных и наличных денежных знаков между разными звеньями банковской системы. Выпуск наличных денег осуществляют центральные государственные банки, выпуск безналичных денег - коммерческие банки, находящиеся в разных формах собственности.
3. Создание и развитие механизма государственного денежно-кредитного регулирования.
4. Централизованное управление денежной системой через аппарат государственного центрального банка.
5. Прогнозное планирование денежного оборота.
6. Тесная взаимосвязь безналичного и наличного денежных оборотов при приоритете безналичного оборота.
7. Наделение центрального банка страны относительной самостоятельностью по отношению к решениям правительства.
8. Обеспечение денежных знаков активами банковской системы (золото, драгоценные металлы, товарно-материальные ценности, ценные бумаги).
9. Выпуск денежных знаков в хозяйственный оборот в соответствии с государственными концепциями денежно-кредитной политики.
10. Система рыночного установления валютного курса на основе "корзинки" валют.
7.4. Современный тип денежной системы, ее характеристика
Как любая система, денежная система состоит из ряда элементов. В современных условиях необходимо уйти от традиционного определения денежной системы. Данное понятие сложилось в условиях существования старых денежных систем, когда либо не существовало безналичного денежного оборота, либо он был ограничен. Поэтому обычно разграничивали понятия системы безналичных расчетов и денежной системы. На самом деле денежная система на современном этапе должна включать две подсистемы: подсистему безналичных расчетов и подсистему наличных расчетов.
Какие основные элементы должны содержать обе подсистемы как составные части единой денежной системы, можно видеть из рис. 7.2.
Как видно из рис. 7.2, первым основополагающим элементом денежной системы являются принципы организации системы. Под принципами принимаются правила, в соответствии с которыми государство организует данную денежную систему.
По каким же принципам строится современная денежная система рыночного типа? Рассмотрим их:

Рис.7.2. Элементы денежной системы
Принцип централизованного управления денежной системой. Этот принцип существует и в первом типе денежной системы, свойственном административно-распределительной модели экономики. Однако при этой модели управление осуществлялось с помощью директивных актов правительства, которые были обязательны для выполнения всеми государственными банками и их филиалами во всех регионах разных стран.
Управление денежными системами в условиях рыночной модели экономики характерно тем, что здесь на первый план выступают не административные методы управления (хотя и они имеют место), а экономические, когда государство через аппарат центральных банков ставит на рынках такие условия, которые заставляют банки, финансовые институты и другие юридические лица принимать нужные государству решения.
• Принцип прогнозного планирования денежного оборота. Он означает, что как централизованные, так и децентрализованные планы денежного оборота и его составных частей подготавливаются не как директивные планы, обязательные для выполнения конкретными органами, отвечающими за их выполнение, а как прогнозы, т. е. ориентиры, к которым надо стремиться. Исключение составляет такой финансовый план, как государственный бюджет, который при любом типе денежной системы остается директивным планом, за выполнение которого отвечает правительство и, как правило, министерство финансов страны.
• Принцип устойчивости и эластичности денежного оборота. Этот принцип заключается в том, что денежная система должна быть организована таким образом, чтобы, с одной стороны, не допускать инфляции; с другой - расширять денежный оборот, если возрастают потребности хозяйства в денежных средствах, и сужать их, если уменьшаются эти потребности.
При определенных условиях (спад производства, бюджетный дефицит, недостаточное обеспечение оборота платежными средствами и др.) устойчивость денежного оборота может быть нарушена, и возникает платежный кризис. Преодоление такого кризиса возможно с помощью комплекса мер, включающих развитие производства, уменьшение бюджетного дефицита, обеспечение оборота необходимой массой денежных средств и др.
• Принцип кредитного характера денежной эмиссии. В соответствии с этим принципом появление новых денежных знаков (безналичных и наличных) в хозяйственном обороте возможно только в результате проведения банками кредитных операций. Из других источников, включая казначейства стран, денежные знаки в оборот не должны поступать.
• Принцип обеспеченности выпускаемых в оборот денежных знаков. В условиях рыночной модели экономики денежные знаки обеспечиваются находящимися в активах банков товарно-материальными ценностями, золотом и другими драгоценными металлами, свободно конвертируемой валютой, ценными бумагами и другими долговыми обязательствами. При этом золотое содержание денежной единицы с 1992 г. в РФ не фиксируется.
• Принцип неподчиненности центрального банка правительству и подотчетности его парламенту страны. Он связан с тем, что поддержание устойчивости денежного оборота, борьба с инфляцией являются приоритетной задачей центрального банка. Если бы этого принципа не было, всегда бы существовала угроза, что правительство для решения стоящих перед ним задач начнет "вычерпывать" средства центрального банка, и тем самым устойчивость денежного оборота будет нарушена.
В то же время центральный банк может проводить политику, противоречащую текущим задачам государства, поэтому центральный банк должен систематически отчитываться перед парламентом страны, который призван способствовать преодолению разногласий между центральным банком и правительством.
• Принцип предоставления правительству денежных средств только в порядке кредитования. Обычно в законодательствах стран с рыночной экономикой имеется положение о том, что центральный банк не должен финансировать правительство, а средства ему предоставлять только в порядке кредитования под определенное обеспечение (недвижимость, товарно-материальные ценности, принадлежащие государству, государственные ценные бумаги, другие ценные бумаги, принадлежащие государству (федерации или субъектам федерации). Применение данного принципа позволяет предотвратить использование денег для покрытия дефицита федеральных местных бюджетов и не давать тем самым стимула к развитию инфляционного процесса. Кроме того использование данного принципа заставляет правительство изыскивает другие источники поступлений средств в бюджет для покрытия федеральных и местных расходов.
• Принцип комплексного использования инструментов денежно-кредитного регулирования. Сущность его заключается в том, что центральный банк не должен ограничиваться каким-либо одним инструментом денежно-кредитного регулирования для поддержания устойчивости денежного оборота, а должен использовать комплекс этих инструментов, иначе должного эффекта достигнуть не удается.
• Принцип надзора и контроля за денежным оборотом. Государство через банковскую, финансовую систему, налоговые органы должно обеспечивать постоянный контроль как за всем денежным оборотом в целом, так и за отдельными денежными потоками в хозяйстве. Кроме того, объектом контроля является и соблюдение субъектами денежных отношений основных принципов организации как наличного, так и безналичного оборотов.
• Принцип функционирования исключительно национальной валюты на территории страны. Законодательство страны предусматривает платежи за товары и услуги внутри страны производить исключительно в национальной валюте. Это не означает, конечно, что население не может на территории страны свободно обменивать национальную валюту на валюты других стран, но использовать такую валюту, полученную при обмене, разрешается для платежей за рубежом, а также помещения во вклады в банки.
Принципы построения денежной системы отражаются в других элементах денежной системы или во всей их совокупности и влияют на них. Рассмотрим эти элементы.
Наименование денежной единицы. Этот элемент денежной системы, как правило, складывается исторически, однако в некоторых случаях (например, в период революций) государство может установить новое наименование денежной единицы. Так, во Франции, когда к власти пришел Бонапарт, который стал императором Наполеоном I, было установлено такое наименование денежной единицы, как "наполеондор". В России в период с 1922 по 1947 г. существовали два наименования денежной единицы: "рубль" и "червонец". После денежной реформы 1947 г. и вплоть до настоящего времени в России сохранилось единое наименование денежной единицы - "рубль", что было закреплено в принятом Парламентом страны Законе "О денежной системе Российской федерации" и в последующем Законе "О Центральном банке Российской Федерации".
Порядок обеспечения денежных знаков. Государственным законодательством (законы "О Центральном банке РФ", "О банках и банковской деятельности") устанавливается, что в качестве обеспечения могут служить товарно-материальные ценности, золото и драгоценные металлы, свободно конвертируемая валюта, ценные бумаги, страховые полисы, гарантии Правительства, банков и других организаций и т.д. Использование других видов обеспечения или нарушение основных правил оформления банками обеспечения не должно допускаться.
Эмиссионный механизм. Он представляет собой порядок выпуска денег в оборот и их изъятия из оборота. Безналичные деньги выпускаются коммерческими банками в процессе совершения ими кредитных операций. При погашении ссуд осуществляется изъятие денег из оборота. Выпуск наличных денег производится через расчетно-кассовые центры центрального банка. Изъятие наличных денег происходит при сдаче денежной наличности коммерческими банками в расчетно-кассовые центры.
Структура денежной массы в обороте. Она рассматривается двояко. Это либо соотношение между наличной и безналичной денежной массой, либо соотношение между денежными знаками разной купюрности во всем объеме денежной массы.
Порядок прогнозного планирования денежного оборота. Такой порядок включает систему прогнозных планов денежного оборота; органы, составляющие эти планы; совокупность показателей, определяемых с помощью этих планов; задачи, решаемые с помощью каждого плана.
Механизм денежно-кредитного регулирования. Этот механизм представляет собой набор инструментов денежно-кредитного регулирования (методы); права и обязанности органов, осуществляющих денежно-кредитное регулирование; задачи и объекты денежно-кредитного регулирования.
Порядок установления валютного курса, или котировка валют. Это означает отношение валюты данной страны, выраженной в валютах других стран, например, 1 долл. = 15 руб. До перестройки в России использовался порядок установления валютного курса, исходя из золотого содержания различных валют. Однако, поскольку в настоящее время ни в одной стране золотое содержание денежной единицы не фиксируется, сейчас используется способ котировки, учитывающий колебания покупательной способности национальных валют, а также спрос и предложение той или иной валюты на валютных рынках. Наиболее популярный способ котировки основан на "корзинке" валют, при котором национальная валюта сопоставляется с рядом других национальных валют, входящих в "корзинку".
Порядок кассовой дисциплины в хозяйстве. Он отражает набор общих правил, форм первичных кассовых документов, форм отчетности, которыми должны руководствоваться предприятия и организации всех форм собственности при организации налично-денежного оборота, проходящего через их кассы.
Контроль за соблюдением этого порядка возлагается на коммерческие банки, осуществляющие кассовое обслуживание хозяйств. Современные денежные системы не статичны. Они продолжают развиваться, становясь все более экономичными и эффективными. Общей тенденцией для денежных систем разных стран является расширение применения современной вычислительной, компьютерной, электронной техники в организации денежного оборота. Все более широко используются "электронные деньги", представляющие собой уже не записи на бумажных носителях информации, а записи в форме электронных сигналов, прежде всего на магнитных или других носителях. Это позволяет значительно повысить долю безналичного оборота в совокупном денежном обороте, ускорить расчеты, обеспечить лучший контроль банков и налоговых органов за денежным оборотом, добиться существенной экономии издержек обращения.
7.5. Денежная единица и ее покупательная способность
Необходимой предпосылкой успешного выполнения деньгами их функций в народном хозяйстве, их применения в деятельности предприятий, населения является устойчивая покупательная способность денежной единицы.
При изменениях покупательной способности денежной единицы, происходящих по разным причинам, в том числе при непропорциональном изменении цен различных товаров, ухудшаются возможности выполнения деньгами функций меры стоимости, средства обращения и платежа, а также накопления. Это сопровождается ослаблением роли денег в осуществлении эквивалентного обмена товаров, в процессах их купли-продажи. Понижение покупательной способности денежной единицы отражается на ухудшении материального положения части населения, получающей стабильный доход (зарплату, пенсии), на снижении заинтересованности в накоплении денег и т.п. Поэтому для устранения подобных негативных последствий возникает необходимость в различных экономических условиях, действенных мерах для достижения устойчивой покупательной способности денежной единицы.
Вместе с тем не следует устойчивость покупательной способности денежной единицы понимать как нечто неизменное, постоянное. Покупательная способность денежной единицы подвержена по различным причинам систематическим бoльшим или мeньшим изменениям. Такие изменения могут возникать под влиянием происходящих неодинаковых изменений стоимости различных реализуемых товаров, соотношений платежеспособного спроса и предложения в связи с регулирующим воздействием государства (акцизы, налоги и др.), в зависимости от изменений курса национальной валюты, вызванных состоянием внешнеэкономических взаимоотношений (активный или пассивный торговый и платежный баланс), и др.
Кроме того, на изменения покупательной способности денежной единицы могут повлиять и обстоятельства, относящиеся к условиям развития экономики, включая особенности денежной системы и проводимые в ней изменения.
Меры, направленные на поддержание устойчивости денежной единицы, были разными, они зависели от развития экономики и особенностей функционирования денег.
Достаточно обратить внимание на то, что покупательная способность денежной единицы может изменяться как при применении не разменных на золото денег, так и когда в обороте используются полноценные или разменные на золото деньги.
Покупательная способность золотой денежной единицы могла меняться под влиянием изменения стоимости золота. В XVI-XVII вв., когда в оборот поступило дешевое золото из западного полушария, произошло снижение покупательной способности денежной единицы. В подобной ситуации причина роста цен заключалась в уменьшении стоимости золота.
При применении золотой денежной единицы воздействие государства на величину ее покупательной способности имело сравнительно ограниченное значение. С одной стороны, государство следило за соответствием фактического веса золотых монет их установленному весу, чему способствовал контроль за чеканкой монет. С другой стороны, государство принимало меры по обеспечению беспрепятственного обмена бумажных денежных знаков на золото. Государство оказывало влияние на курс национальной валюты, в том числе и с помощью регулирования экспортно-импортных и других внешнеэкономических отношений.
Что же касается регулирования массы денег в обороте, то в подобных условиях необходимость в таких мерах была крайне ограничена, поскольку деньги, обладавшие собственной стоимостью, беспрепятственно уходили из оборота в накопление и при необходимости возвращались из накопления в оборот.
Значительно возрастает значение государственного регулирования массы денег в обороте при применении не разменных на золото денежных знаков и при широком развитии безналичного денежного оборота. Это обусловлено во многом тем, что при утрате непосредственной связи денежной единицы с золотом появились возможности чрезмерного увеличения массы денег в обороте со всеми вытекающими из этого нежелательными последствиями, в том числе в виде возникновения повышенного платежеспособного спроса, что отражалось, при прочих равных условиях, на обесценении денежной единицы, снижении ее покупательной способности.
Воздействие государства на денежный оборот может проявляться в виде системы мер по регулированию массы денег в интересах предотвращения возможных негативных последствий чрезмерного увеличения денежной массы, включая рост платежеспособного спроса и снижение покупательной способности денежной единицы. Вместе с тем государство имеет возможность осуществить различные меры, направленные на устранение уже сложившихся негативных последствий обесценения денежной единицы.
В условиях, когда в налично-денежном и безналичном оборотах функционируют, как правило, кредитные деньги, существует реальность использования возможностей кредитной системы по ограничению объема денежной массы в интересах поддержания устойчивости денежной единицы.
В этом отношении важно, что право эмиссии наличных денег, как уже отмечалось, предоставляется только Центральному банку РФ, а возможности расширения кредитования коммерческими банками регулируются с помощью различных мер, включая соблюдение норматива достаточности собственного капитала банка, обязательное резервирование каждым коммерческим банком определенных, достаточно значительных сумм в Центральном банке РФ и др.
В условиях экономической нестабильности осуществляется достаточно жесткая денежно-кредитная политика, которая призвана наряду с другими задачами способствовать устойчивости денежной единицы, в том числе и с помощью ограничения объема денежной массы.
Стремление к ограничению величины денежной массы в хозяйстве нередко связывается с задачей предотвращения инфляции. Подобная позиция исходит из признания инфляции процессом, причины которого относятся главным образом к сфере денежного оборота. В частности, имеется в виду, что наличие избыточной массы денег в обороте приводит к необоснованному увеличению платежеспособного спроса, способствующему росту цен. Поэтому нередко признается следующий факт: важнейшей мерой по преодолению инфляции может явиться уменьшение денежной массы в обороте.
Подобная мера действительно отражается на ограничении роста цен и соответственно на снижении темпов инфляции. Однако в подобных ситуациях возникают и негативные последствия в виде образования крупной задолженности по выдаче зарплаты, пенсии и т.п.
Такая задолженность свидетельствует о наличии скрытой или подавленной инфляции, не учитываемой существующей информацией об уровне инфляции, а также характеризует ухудшение материального положения получателей таких средств.
Меры по искусственному уменьшению массы денег в обороте сопровождаются и иными негативными результатами. При ограниченном объеме денежной массы участники денежного оборота находят возможности применения таких способов расчета между собой, в которых можно обойтись без денежного оборота.
Как отмечалось ранее, в хозяйственной практике РФ широкое развитие получили расчеты с применением бартера, зачета, векселей. Использование таких способов расчета сталкивается с немалыми трудностями. Например, оно приводит к тому, что сторона, испытывающая особенно острую потребность в соответствующих материальных ресурсах, вынуждена согласиться на проведение операций по повышенной цене, что негативно влияет на деятельность покупателя.
Все это свидетельствует о снижении роли денег при совершении расчетов без денежного оборота, о целесообразности корректировки денежно-кредитной политики государства по преодолению данных негативных последствий, в том числе облегчению условий расчетов по реализации продукции, сопровождающихся некоторым ростом производства, предотвращения необоснованного роста цен по определенному кругу расчетных операций (бартер, зачет, векселя).
7.6. Направления стабилизации денежной единицы
Среди мер, призванных устранить или уменьшить негативные последствия снижения устойчивости денежной единицы, привлекают внимание периодически осуществляемые в различных странах изменения величины денежной единицы, ее наименования, а также проводимые денежные реформы. Подобные меры выполняются с помощью деноминации, девальвации и денежной реформы. Наиболее радикальна по своим последствиям - денежная реформа.
Деноминация. Она имеет несравненно меньшее значение и состоит в изменении наименования денежной единицы, как правило, при условии замены прежней денежной единицы по определенному соотношению (например, 10:1) новой денежной единицей. Подобные меры не приводят к существенному преобразованию денежной системы и сводятся лишь к замене денежной единицы, что имеет в основном техническое значение, поскольку облегчает и упрощает счет, но не ведет к созданию устойчивой денежной единицы.
Применяемая терминология для характеристики изменений денежной единицы не всегда достаточно правильно оценивает содержание таких мер. Например, проведение деноминации, как правило, означает уменьшение номинального выражения эмитируемых денежных знаков.
Подобная оценка практически приемлема для характеристики деноминации, проведенных в нашей стране. Это относится к деноминации в 1922 г., когда рубль выпуска 1922 г. заменял 10000 руб. ранее выпущенных денежных знаков, а также в 1923 г., когда вновь выпущенные знаки соотносились к знакам образца 1922 г. как 1:100.
Впоследствии в 1961 г. была проведена замена выпущенных ранее денежных единиц по соотношению 10:1 к единице 1961 г. Такая мера представляла собой деноминацию, которая сводилась к изменению номинального выражения денежной единицы, что имело значение главным образом для денежного оборота внутри страны. Однако одновременно с деноминацией было уменьшено золотое содержание денежной единицы в 4,5 раза. Оно не могло характеризоваться как деноминация, а представляло собой самостоятельную меру, которая имела отношение в основном к операциям с иностранными государствами.
Не вполне точно, по нашему мнению, дается наименование деноминации в Указе Президента РФ от 4 августа 1997 г. "Об изменении нарицательной стоимости российских денежных знаков и масштаба цен". В соответствии с Указом предусматривается деноминация нарицательной стоимости денежных знаков, а не денежной единицы, в то время как деноминация распространяется не только на наличные денежные знаки, но и на деньги безналичного оборота. -
Девальвация. В 1998 г. в РФ повышенный интерес привлекала к себе девальвация. Этот интерес был обусловлен сложившимся положением в экономике, финансовым кризисом, неплатежами, колебаниями курса рубля, что имело значение для расчетов по внешнеэкономическим операциям, а также при обмене рубля на иностранную валюту (доллар и др.)
При рассмотрении проблемы девальвации существуют различия в определении ее содержания, причин, вызывающих ее осуществление. В процессе анализа проблемы игнорируются различия в характере денежной единицы и условиях ее функционирования.
Действительно, при функционировании полноценной или разменной на золото денежной единицы под девальвацией понималось снижение стоимостной величины денежной единицы, состоявшее в уменьшении ее золотого содержания. Так, в середине XX в. как нечто само собой разумеющееся в литературе отмечалось, что девальвация состоит в уменьшении золотого содержания денежной единицы. Например, девальвация франка в 1928 г. заключалась в том, что "его золотое содержание уменьшилось почти в 5 раз по сравнению с довоенным", девальвация итальянской лиры (1936 г.), японской иены (1937 г.) "состояла в уменьшении золотого содержания названных денежных единиц".
В приведенных характеристиках осуществление девальвации не увязывается с изменениями курсов валют, а связывается с изменением золотого содержания денежных единиц.
В отличие от ранее существовавших характеристик и девальвации в современных условиях, когда весовое золотое содержание денежной единицы не фиксируется и размен денежных знаков на золото не производится, изменилось понимание девальвации.
Сравнительно широко распространена характеристика, которая связывает девальвацию со снижением курса национальной валюты, с необходимостью накопления достаточных золото-валютных резервов, способных обеспечить стабильность ее курса.
Недостаточность подобной трактовки состоит в том, что в ней в большей или меньшей степени игнорируются такие важные обстоятельства, влияющие на курс национальной валюты, как соотношение уровней цен на внутреннем и зарубежных рынках, инфляционные процессы.
Определенное влияние на курс валюты оказывают состояние торгового и платежного балансов, а также воздействие государства на изменение уровня цен с помощью мер таможенной и налоговой политики. Не следует игнорировать и такие факторы, как изменение стоимости товаров в связи с колебаниями в размере издержек производства, соотношения спроса и предложения товаров, снижения цен на нефть, газ и другие товары на международных рынках.
Итак, девальвация - такое изменение курса национальной денежной единицы по отношению к иностранной валюте, которое сопровождается понижением покупательной способности денежной единицы.
Необходимо учитывать, что изменение и прежде всего снижение курса рубля сопровождается рядом последствий, в том числе:
• повышением заинтересованности в увеличении экспорта, так как за единицу валютной выручки можно получить большую сумму рублей;
• ростом цен на внутреннем рынке, особенно по импортируемым товарам, что может отразиться на ухудшении материального положения населения;
• снижением ценности рублевых сбережений (наличными деньгами и деньгами, хранящимися в банках);
• ухудшением условий импорта оборудования и различных приборов. Все это должно послужить побудительным мотивом для осуществления государством определенных мер по устранению негативных последствий снижения курса рубля как для предприятий, так и для населения.
Денежные реформы. Следует подчеркнуть, что такие меры, как деноминация, обмен денег, девальвация, устраняют некоторые отрицательные последствия, сложившиеся в денежной сфере, но не приводят к долговременным улучшениям в этой сфере и не сопровождаются устранением причин, вызвавших те или иные недостатки. В отличие от перечисленных мер денежная реформа представляет собой радикальное устранение недостатков в денежной сфере, предусматривающее переход к применению устойчивой денежной единицы, отличающейся стабильностью покупательной силы, что может способствовать развитию отношений, присущих рыночной экономике, повышению роли денег в развитии народного хозяйства.
Денежные реформы осуществляются в соответствии с законодательными актами, направленными на укрепление денежной системы страны. В ходе денежных реформ изымаются из обращения обесцененные бумажные деньги, выпускаются новые, изменяется денежная единица или ее золотое содержание, происходит переход от одной денежной системы к другой. Во всех этих случаях речь идет об изменении денежной единицы как в налично-денежном обороте, так и в безналичных расчетах.
При этом необязательно, особенно в современных условиях, изменение золотого содержания денежной единицы, но может измениться курс национальной валюты.
Завершение денежной реформы не дает гарантии сохранения устойчивости новой денежной единицы в последующем. После проведения денежной реформы необходимо систематическое осуществление определенных мер по сохранению достигнутых результатов. Немалую роль в этом играет обоснованная денежно-кредитная политика, с помощью которой может быть осуществлено необходимое регулирование денежной сферы.
Содержание и исторический опыт проведения денежных реформ позволяют выделить три важнейшие предпосылки успешного их осуществления, к числу которых могут быть отнесены:
• рост производства, способствующий увеличению объема предложения товаров и ограничивающий возможность роста цен, что имеет первостепенное значение для поддержания устойчивости денежной единицы;
• бездефицитность бюджета, позволяющая обойтись без использования денежной эмиссии и привлечения кредита для покрытия расходов бюджета, благодаря чему происходит ограничение платежеспособного спроса и возможного его влияния на рост цен;
• наличие достаточных золото-валютных резервов, позволяющих поддерживать стабильность курса национальной валюты, а при необходимости использовать такие резервы для ввоза товаров, увеличивать их предложение на рынке.
Значение каждого из перечисленных факторов при проведении различных денежных реформ неодинаково, лишь при наличии этих предпосылок проведение реформы может быть успешным. Так, при проведении реформы Витте в России в 1895-1897 гг. существовали необходимые предпосылки в виде роста производства и практически бездефицитного бюджета. Однако так как эта реформа предусматривала переход к свободному размену денежных знаков на золото, особое значение приобрело накопление достаточно золотого запаса.
Для решения этой проблемы был провозглашен лозунг: "Не доедим, а вывезем", что позволило благодаря увеличению экспорта накопить необходимый золотой запас и успешно завершить денежную реформу.
Следующая денежная реформа в нашей стране проводилась в 1922-1924 гг. и имела своей целью устранение сложившихся в денежной сфере отрицательных последствий первой мировой и гражданской войн и, в частности, наличия в обороте быстро обесценивающейся денежной единицы.
Несмотря на отсутствие необходимых предпосылок осуществления денежной реформы, возникли условия, требовавшие скорейшего ее осуществления. Они состояли в том, что в обороте во все большей мере стала функционировать инвалюта, вытеснявшая применявшиеся быстро обесценивающиеся денежные знаки. Поэтому проведение реформы было начато к концу 1922 г. в виде выпуска червонца. Вместе с тем вследствие отсутствия нужных условий реформа была завершена не сразу, а лишь в начале 1924 г.
Важное значение имело то, что к этому времени происходил рост производства, особенно сельскохозяйственного, а в распоряжении государства был относительно достаточный золото-валютный запас. Вместе с тем существовал значительный бюджетный дефицит, для покрытия которого использовалась эмиссия денежных знаков. Преодоление бюджетного дефицита затянулось до начала 1924 г., что и обусловило продолжительность реформы.
Затем денежная реформа в нашей стране была проведена в 1947 г. Она имела своей целью: устранить последствия войны 1941-1945 гг. в сфере денежного обращения, в которой находилась чрезмерная масса денег; нормализовать величину денежной массы; создать устойчивую денежную единицу, тем более что в стране сохранялась карточная система распределения продуктов, при которой продукты реализовывались по пониженным ценам и существовала коммерческая торговля без применения нормированного распределения по карточкам, здесь товары продавались по повышенным ценам. Поэтому реформа предусматривала не только применение новой денежной единицы, но также отмену карточной системы, нормированного распределения продукции и переход к торговле по единым ценам.
К этому времени в стране сложились соответствующие предпосылки для проведения реформы, в том числе происходил рост объема производства, доходы и расходы бюджета были практически сбалансированы, существовал достаточный золотовалютный резерв. Тем не менее первоначально намечавшееся проведение реформы в 1946 г. было перенесено на 1947 г. в связи с неурожаем 1946 г.; хороший урожай 1947 г. способствовал успешному проведению реформы.
Опыт денежных реформ в России подтверждает, что требуемыми предпосылками их проведения являются рост производства, бездефицитность бюджета, наличие золотовалютных резервов, хотя каждая их производившихся реформ отличалась своими особенностями. Общие же требования проведения реформ сохраняют свое значение.
В современных условиях в РФ к концу XX в. обозначилась необходимость проведения денежной реформы. Это связано прежде всего с существенным снижением значения денег в деятельности предприятий, в жизни населения.
Одно из важных проявлений этого - ослабление роли денег во взаимоотношениях предприятий. Как отмечалось ранее, из преобладающей части расчетов между ними деньги вытеснены и замещены применением бартера, зачетов и векселей. В свою очередь, это приводит к устранению рыночных отношений, в которых могут принимать участие покупатели и продавцы, у которых имеется возможность выбора наиболее приемлемого варианта реализации или покупки товара. При наличии рыночных отношений первостепенное значение приобретают соотношения платежеспособного спроса и предложения товаров и конкуренция между участниками рынка, оказывающая немаловажное положительное влияние на развитие производства.
Расширение бартера, зачетов и векселей приводит к сужению денежного оборота и существенному ослаблению роли денег в хозяйственном обороте. Такие операции способствуют повышению цен на товары, в которых остро нуждается покупатель, появляется возможность ухода от налогообложения.
Подобная ситуация в значительной мере лишает предприятия и бюджетную систему возможности нормально осуществлять свою деятельность. Все это обусловливает необходимость существенных изменений в денежной сфере. Такая необходимость подтверждается проведением в 1998 г. деноминации, а также изменением курса национальной валюты.
Проведение денежной реформы в РФ может рассматриваться как перспективное направление совершенствования денежной сферы, повышения роли денег в развитии экономики.
Основными направлениями подготовки к проведению денежной реформы могут послужить рост производства, устранение бюджетного дефицита, накопление достаточных золотовалютных резервов.
Вопросы для самоконтроля
1. Что следует считать началом налично-денежного оборота?
2. В чем состоят преимущества и недостатки хранения денежной наличности с позиции ликвидности и доходности?
3. Под влиянием какого общеэкономического закона происходит формирование денежных систем во всех странах?
4. Может ли прерваться процесс налично-денежного оборота?
5. В чем состоят отличия денежных систем при административно-распределительной и рыночной моделях экономики?
6. Что понимается под принципами организации денежной системы?
7. Какие принципы свойственны денежной системе любого типа?
8. Как на практике (на примере России) используется принцип кредитного характера денежной эмиссии?
9. В чем состоит значение устойчивости покупательной способности денежной единицы для повышения роли денег?
10. Каково значение деноминации денежной единицы?
11. Как изменилось понятие "девальвация" при переходе от применявшегося фиксированного золотого содержания денежной единицы к неразменным на золото деньгам, не обладающим фиксированным золотым содержанием?
12. В чем состоит значение денежной реформы?
13. Каковы необходимые предпосылки проведения денежной реформы?
Эмиссия наличных денег
Эмиссия наличных денег представляет собой их выпуск в обращение, при котором увеличивается масса наличных денег, находящаяся в обращении.Монополия на эмиссию наличных денег принадлежит государственному центральному банку. Ранее при административно-распределительной системе величина эмиссии служила объектом директивного планирования государством и ни в коем случае не могла превышаться. В условиях, рыночной экономики директивного планирования не существует, однако центральные банки прогнозируют размер предполагаемой эмиссии, используя прогнозы кассовых оборотов коммерческих банков и собственные аналитические материалы. При этом важно не только установить оптимальную прогнозируемую величину эмиссии, но и распределение ее по отдельным регионам страны.
Эмиссия наличных денег осуществляется децентрализованно. Это связано с тем, что потребность коммерческих банков (именно она определяет размер эмиссии) в наличных деньгах зависит от потребности в них юридических и физических лиц, обслуживаемых этими банками, а она постоянно меняется. Поэтому каждый раз завозить деньги из Центра, чтобы удовлетворить эту потребность, было бы не только нецелесообразно (из-за многократно возрастающих издержек обращения), но и невозможно.
Представим, что потребность в наличных деньгах возрастает в Южно-Сахалинске. Пока из Центра туда будут доставлены деньги, величина этой потребности может измениться в ту или иную сторону. В результате либо придется везти деньги назад в Центр, либо пересылать в Южно-Сахалинск дополнительные суммы денег, которые опять же из-за расстояния могут не совпасть с реальной потребностью в наличных деньгах.
Как же происходит эмиссия наличных денег и кто ее непосредственно осуществляет?
Эмиссию наличных денег проводят ЦБ РФ и его расчетно-кассовые центры (РКЦ). Они открываются в различных регионах страны и выполняют расчетно-кассовое обслуживание расположенных в этих регионах коммерческих банков. Для эмиссии наличных денег в расчетно-кассовых центрах открываются резервные фонды и оборотные кассы. В резервных фондах хранится запас денежных знаков, предназначенных для выпуска их в обращение, в случае увеличения потребности хозяйства данного региона в наличных деньгах. Эти денежные знаки не считаются деньгами, находящимися в обращении, поскольку они не совершают движения, являются резервом.
В оборотную кассу расчетно- кассового центра постоянно поступают наличные деньги от коммерческих банков, но и из нее постоянно выдаются наличные деньги. Таким образом деньги в оборотной кассе пребывают в постоянном движении; они считаются деньгами, находящимися в обращении. Если сумма поступлений наличных денег в оборотную кассу расчетно-кассового центра превышает сумму выдач денег из нее, то деньги изымаются из обращения. При этом они переводятся из оборотной кассы РКЦ в ее резервный фонд.
Резервными фондами РКЦ распоряжаются управления (городские, областные, республиканские) Центрального банка России. Если в результате действия банковского мультипликатора у данного коммерческого банка возрастает величина денег на депозитных счетах, то в результате: а) увеличивается и потребность клиентов в наличных деньгах;
б) увеличивается свободный резерв коммерческого банка.
Расчетно-кассовые центры обязаны выдавать коммерческим банкам бесплатно наличные деньги в пределах их свободных резервов. Поэтому, если у большинства коммерческих банков, обслуживаемых РКЦ, возрастет потребность в наличных деньгах, а поступления денег в их операционные кассы эквивалентно не возрастет, то РКЦ вынужден будет увеличить выпуск наличных денег в обращение. Для этого он на основе разрешения управления Центрального банка РФ переведет наличные деньги из резервного фонда в оборотную кассу РКЦ. Для данного РКЦ это будет эмиссионной операцией, хотя в целом по стране эмиссии наличных денег может и не произойти.
При осуществлении эмиссии одним РКЦ другой РКЦ может в то же время дополнительно изъять аналогичную сумму наличных денег, поэтому общая масса денег в обращении может и не измениться. Сведениями о том, произошла или не произошла в данный день эмиссия, располагает только Правление Центрального банка, где составляется ежедневный эмиссионный баланс.
Деньги, эмитируемые РКЦ в обращение, поступят в операционные кассы коммерческих банков, откуда будут выданы клиентам этих банков, т.е. поступят или в кассы предприятий, или непосредственно населению. При этом деньги списываются со счетов клиентов до востребования.
Следовательно, наличные деньги трансформируются из безналичных денег, находящихся на депозитных счетах, и представляют собой составную часть денежной массы, созданной коммерческими банками, в результате действия механизма банковского мультипликатора. В России на долю наличных денег приходится 1/3 всей денежной массы.
Международные финансовые институты
В целях развития сотрудничества и обеспечения целостности и стабилизации всемирного хозяйства в основном после второй мировой войны созданы международные валютно-кредитные и финансовые организации. Среди них ведущее место занимают Международный валютный фонд (МВФ) и группа Всемирного банка (ВБ), организованные на основе Бреттонвудского соглашения стран-участниц международной конференции. СССР не ратифицировал этого соглашения в связи с "холодной войной" между Востоком и Западом. Однако в результате реформ, направленных на переход к рыночной экономике и интеграцию в мировую экономику, Россия вступила в эти организации в 1992 г., как и ряд бывших социалистических стран и республик распавшегося СССР.МВФ и группа ВБ имеют общие черты. Они организованы по аналогии с акционерной компанией. Поэтому доля взноса в капитал определяет возможность влияния страны на их деятельность. Принцип "взвешенных" голосов определяет количество голосов каждой страны-члена. Развитые страны (их 24), составляя 14% количества членов МВФ, имеют почти 60% голосов, в том числе США - 17,7%, страны ЕС - 26,2%. В ВБ США располагают 17% всех голосов, т.е. столько, сколько 140 развивающихся стран в совокупности. Штаб-квартира МВФ и группы ВБ находится в Вашингтоне - столице страны, имеющей наибольшую квоту в их капиталах. Группа ВБ включает Международный банк реконструкции и развития (МБРР) и три его филиала.
Формирование ресурсов МВФ и МБРР различно. Квоты стран-членов МВФ и МБРР различаются. Квоты стран-членов МВФ оплачиваются полностью (около 25% - СДР и свободно конвертируемой валютой и 75% - национальной валютой). Взносы в капитал МБРР оплачиваются лишь в размере 7% подписного капитала, а 93% служат гарантийным фондом, который используется в качестве обеспечения эмиссии облигаций Банка на мировых рынках. Размер квот определяется с учетом доли страны в мировой экономике и торговле.
В дополнение к собственному капиталу международные финансовые институты прибегают к заемным средствам.
Основные задачи МВФ заключаются в следующем:
• содействие сбалансированному росту международной торговли;
• предоставление кредитов странам-членам ( сроком от трех до пяти лет) для преодоления валютных трудностей, связанных с дефицитом их платежного баланса;
• отмена валютных ограничений;
• межгосударственное валютное регулирование путем контроля за соблюдением структурных принципов мировой валютной системы, зафиксированных в Уставе фонда.
Возможность получить кредит МВФ ограничена следующими условиями:
• лимитируется размер заимствования страны в зависимости от ее квоты;
• фонд предъявляет определенные требования, иногда жесткие, к стране-заемщице, которая должна выполнить макроэкономическую стабилизационную программу. Это позволяет Фонду воздействовать на экономику стран-должников.
Новым явлением с середины 80-х гг. стал отказ МВФ и МБРР от рекомендации развивающимся странам монетаристской политики, в условиях экономического спада еще более усиливающей его. Стабилизационные программы стали базироваться также и на концепции "экономики предложения" и направлены на развитие производства, проведение экономических реформ, нейтрализацию их негативных социальных последствий. Курс МВФ на ускорение приватизации, экономических реформ, либерализации цен и внешнеэкономической деятельности в России усилил негативные последствия шокового перехода к рыночной экономике (экономический спад, инфляция, банкротства, неплатежи, коррупция и т.д.).
В отличие от МВФ большинство кредитов МБРР - долгосрочные (15-20 лет). Они обусловлены выполнением рекомендаций экономических миссий, которые предварительно обследуют экономику и финансы стран-заемщиц, нередко затрагивая их суверенитет.
МБРР, как и МВФ, предоставляют не только стабилизационные, но и структурные кредиты (на осуществление программ, направленных на структурные реформы в экономике). Их деятельность взаимно увязана, они дополняют друг друга. Причем членом МБРР может стать лишь член МВФ.
Специфика МБРР заключается в наличии у него трех филиалов:
Международная ассоциация развития (MAP создана в 1960 г.) предоставляет льготные беспроцентные кредиты на срок 35-40 лет наименее развитым странам-членам МБРР, взимает лишь комиссию в размере 3/4% на покрытие административных расходов. Цель этих кредитов - поощрение экспорта товаров из развитых стран в беднейшие страны. Специфика деятельности MAP заключается в координации деятельности с МБРР и совместном кредитовании проектов. Тем самым совмещаются потоки льготных государственных кредитов как формы экономической помощи и более дорогих частных ссудных капиталов.
Международная финансовая корпорация (МФК создана в 1956 г.) стимулирует направление частных инвестиций в промышленность развивающихся стран для роста частного сектора. Кредиты предоставляются наиболее рентабельным предприятиям на срок до пятнадцати лет (в среднем от трех до семи лет). Специфика кредитов МФК заключается в отсутствии требования правительственных гарантий в отличие от МБРР и MAP, так как частный капитал стремится избежать государственного контроля. Кроме того, МФК с 1961 г. имеет право непосредственно инвестировать средства в акционерный капитал предприятий с последующей перепродажей акций частным инвесторам. В этом проявляется присущая группе Всемирного банка тенденция сотрудничества, а не конкуренции с частными инвесторами.
Многостороннее агентство по гарантированию инвестиций (МАГИ создано в 1988 г.) осуществляет страхование (сроком от пятнадцати до двадцати лет) прямых инвестиций от некоммерческих рисков, консультирует правительственные органы по вопросам иностранных инвестиций. Членами МАГИ являются только члены МБРР.
Международные финансовые институты - МВФ и группа ВБ - играют важную роль в регулировании международных кредитных отношений. Даже их небольшие ссуды открывают стране доступ к заимствованиям в частных банках на мировом рынке ссудных капиталов. Кредиты МВФ и МБРР как бы подтверждают платежеспособность страны.
МВФ, МБРР наряду с другими международными организациями активно участвуют в урегулировании внешнего долга развивающихся стран, России, других государств СНГ, стран Восточной Европы.
Европейский банк реконструкции и развития (ЕБРР) создан в 1990 г., местонахождение - Лондон. Главная цель ЕБРР - способствовать переходу к рыночной экономике в государствах бывшего СССР, странах Центральной и Восточной Европы. ЕБРР кредитует проекты лишь в определенных пределах.
Ресурсы ЕБРР формируются по аналогии с МБРР. Однако доля оплаченного акционерного капитала ЕБРР выше (30 % по сравнению с 7%). Неоплаченные акции могут быть при необходимости востребованы, но обычно используются как гарантия при привлечении заемных средств на мировом кредитном рынке.
ЕБРР специализируется на кредитовании производства (включая проектное финансирование), оказании технического содействия реконструкции и развитию инфраструктуры (включая экологические программы), инвестициях в акционерный капитал, особенно приватизируемых предприятий. Преимущественные сферы деятельности ЕБРР, в том числе в России, - финансовый, банковский секторы, энергетика, телекоммуникационная инфраструктура, транспорт, сельское хозяйство. Большое внимание уделяется поддержке малого бизнеса. Как и другие международные финансовые институты, ЕБРР предоставляет консультативные услуги при разработке программ развития с целевыми инвестициями. Одна из стратегических задач ЕБРР - содействие приватизации, разгосударствлению предприятий, их структурной перестройке и модернизации, а также консультации по этим вопросам.
Региональные банки развития созданы в 60-х гг. в Азии, Африке, Латинской Америке для решения специфических проблем и расширения сотрудничества развивающихся стран этих регионов.
Межамериканский банк развития (МаБР, Вашингтон, создан в 1959 г.). Африканский банк развития (АфБР, Абиджан, образован в 1963 г.) и Азиатский банк развития (АзБР, Манила, создан в 1965 г.) преследуют единые цели: долгосрочное кредитование проектов развития соответствующих регионов, кредитование региональных объединений. Общей чертой этих банков является существенное влияние на их деятельность развитых стран, которым принадлежит значительная часть капитала банков и они составляют примерно 1/3 их членов. В региональных банках развития установлен одинаковый принцип формирования ресурсов, привлечения заемных средств в социальные фонды, проводится кредитная политика во многом по образцу группы ВБ.
Вместе с тем существуют различия в деятельности региональных банков развития. Они определяются разным уровнем экономического, культурного развития стран трех континентов - Латинской Америки, Азии и Африки, особенностями их исторических традиций.
Региональные валютно-кредитные и финансовые организации западноевропейской интеграции представляют собой составную часть ее институциональной структуры. Они преследуют цель укрепления интеграции и создания экономического, валютного и политического союза (ЕС) в соответствии с Маастрихтским договором 1993 г., проведения согласованной политики по отношению к развивающимся странам, ассоциированным с ЕС.
К основным региональным организациям ЕС относятся:
Европейский инвестиционном банк (ЕИБ, Люксембург) предоставляет кредиты на срок от семи до двадцати лет, а развивающимся странам - до сорока лет. Цель ЕИБ - развитие отсталых регионов стран ЕС, реконструкция предприятий, создание совместных хозяйственных объектов, развитие приоритетных отраслей;
Европейский фонд развития (ЕФР, 1958 г.) проводит коллективную политику ЕС по отношению к развивающимся странам, координирует двусторонние программы официальной помощи развитию этих стран;
Европейский фонд ориентации и гарантирования сельского хозяйства (1969 г.) содействует созданию и развитию общего аграрного рынка ("Зеленая Европа");
Европейский фонд регионального развития (ЕФРР, 1975 г.) предоставляет кредиты за счет средств совместного бюджета ЕС с целью выравнивания региональных диспропорций в странах-членах, поскольку там насчитывается 25 беднейших районов, уровень жизни в которых в 2,5 раза ниже, чем в 25 наиболее процветающих;
Европейский валютный институт (ЕВИ, Франкфурт-на-Майне, 1994 г.) заменил Европейский фонд валютного сотрудничества, созданный в 1973 г., - это наднациональный орган в составе управляющих двенадцати центральных банков, осуществляющий координацию денежной и кредитной политики этих банков, содействует созданию системы европейских центральных банков и переходу к единой валюте. К ЕВИ перешла функция эмиссии ЭКЮ и предоставления кредитов на покрытие дефицита баланса стран-членов. С июля 1998 г. ЕВИ заменен Европейским центральным банком, который выпускает евро. С 1999 г. начала действовать Европейская система центральных банков, которая включает Европейский центральный банк и центральные банки стран ЕС, перешедших к евро.
Особое место среди международных валютно- кредитных организаций занимает Банк международных расчетов (БМР, Базель, 1930 г.). По существу, это банк центральных банков (34 страны, 1999 г., в том числе Россия с 1996 г.). БМР содействует их сотрудничеству, принимает их депозиты и предоставляет кредиты. Специфической чертой БМР является выполнение функций банка-агента при международных расчетах по валютному клирингу (ныне клирингу по операциям частных коммерческих банков в ЭКЮ, замененных евро) и другим расчетам стран-членов.
БМР организует также коллективную валютную интервенцию центральных банков с целью поддержания курса ведущих валют, выступает попечителем по межправительственным кредитам, наблюдает за состоянием еврорынка.
БМР - ведущий информационно-исследовательский центр. Роль международных финансовых институтов повышается в условиях интернационализации хозяйственных связей. В их деятельности переплетаются тенденции партнерства и противоречия, характерные для всемирного хозяйства.
Вопросы для самоконтроля
1. В чем отличие международных валютных отношений от валютной системы?
2. В чем проявляются связь и различие основных элементов национальной и мировой валютных систем?
3. Каковы различия в структурных принципах Ямайской и Европейской валютных систем?
4. Что такое СДР и ЭКЮ? В чем их общность и различие?
5. Каковы этапы создания европейского экономического и валютного союза (Маастрихтское соглашение)? Что такое евро?
6. Каковы основные разделы и статьи платежного баланса?
7. Что такое валютный курс и каковы его курсообразующие факторы?
8. В чем отличие международных расчетов от внутренних?
9. Каковы основные формы международных расчетов?
10. Каковы понятие "международный кредит" и его формы?
11. Что такое рынок евровалют?
12. В чем различия Международного валютного фонда и Международного банка реконструкции и развития?
13. Каковы функции филиалов МБРР?
14. В чем особенности Европейского банка реконструкции и развития?
15. Каковы особенности БМР?
16. Что такое мировые финансовые центры?
Международные финансовые потоки и мировые рынки
Во всемирном хозяйстве постоянно перемешается денежный капитал, формирующийся в процессе воспроизводства отдельных стран. Мировые финансовые потоки обслуживают движение товаров, услуг, капиталов. Эти потоки отличаются единством формы (обычно в денежной форме, в виде финансово-кредитных инструментов) и места (рынок). Специфической сферой рыночных отношений являются мировые валютные, кредитные, финансовые рынки, а также рынки золота. Эта система рыночных отношений обеспечивает аккумуляцию и перераспределение мировых финансовых потоков в целях непрерывности и эффективности воспроизводства. Движение мировых финансовых потоков осуществляется через банки, специализированные финансово-кредитные институты, фондовые биржи.Мировые рынки валют, кредитов, ценных бумаг, золота имеют следующие особенности:
• огромные масштабы;
• отсутствие географических границ;
•.круглосуточное проведение операций;
• использование ведущих валют, а также ЭКЮ, замененных евро с 1999 г., отчасти СДР;
• участники сделок - первоклассные банки, кредитно-финансовые институты с высоким рейтингом;
• доступ на эти рынки имеют в основном первоклассные заемщики или заемщики под солидную гарантию;
• специфические международные процентные ставки типа ЛИБОР (лондонская ставка предложения по межбанковским депозитам);
• стандартизация и высокая степень информационных технологий безбумажных операций на базе использования ЭВМ;
• диверсификация сегментов рынка и инструментов сделок.
В результате конкуренции в мире на базе ведущих национальных рынков сложились тринадцать мировых финансовых центров - Нью-Йорк, Лондон, Токио, Париж, Цюрих, Люксембург, Франкфурт-на-Майне, Сингапур, Бахрейн и т.д. Это центры сосредоточения банковских и финансовых институтов, осуществляющих международные валютные, кредитно-финансовые, фондовые операции, сделки с золотом.
Движение мировых финансовых потоков происходит через следующие основные рынки.
Валютные рынки - официальные центры, где совершается купля-продажа иностранных валют на национальную по курсу, складывающемуся на основе спроса и предложения. Институциональная структура валютного рынка включает банки, брокеров, предприятия. На Западе 85-95% валютных сделок производятся на межбанковском рынке. Валютные биржи на Западе сохранились лишь в отдельных странах и играют скромную роль. Специфика России заключается в том, что определенная часть валютных сделок осуществляется на восьми валютных биржах, прежде всего на Московской межбанковской валютной бирже. Однако межбанковский рынок постепенно оттесняет биржевой валютный рынок. При валютных ограничениях (например, в России) требуется лицензия на проведение валютных операций.
Инструментами сделок на валютных рынках являются банковские векселя, тратты, чеки, банковские переводы, особенно телеграфные (банкноты - только при обмене валют).
Валютные операции обеспечивают международные расчеты, страхование валютных и кредитных рисков, проведение валютной политики, получение прибыли участниками, а также используются для валютной спекуляции. В связи с этим валютные операции, как свидетельствует мировой опыт, давно стали объектом государственного и банковского наблюдения и контроля. Ряд банков испытывает затруднения и терпит банкротство из-за потерь в валютных операциях.
Мировой кредитный рынок - специфическая сфера международного движения ссудного капитала между странами на условиях возвратности и уплаты процента, где формируются спрос и предложение на заемный капитал. Традиционно разграничивались рынок краткосрочных ссудных капиталов (денежный рынок) и рынок средне- и долгосрочных капиталов (рынок капиталов), в том числе финансовый рынок. Мировой финансовый рынок - часть рынка ссудных капиталов, где преимущественно производятся эмиссия и купля-продажа ценных бумаг. На практике это деление постепенно утрачивает значение, так как происходит взаимный перелив капиталов, а обычные банковские кредиты замещаются эмиссией ценных бумаг.
Составной частью мирового рынка ссудных капиталов с конца 50-х гг. стал рынок евровалют, на котором евробанки осуществляют в основном депозитно-ссудные операции в иностранных валютах, принадлежащих нерезидентам стран-эмитентов этих валют (например, доллары на счетах иностранных банков в США и за рубежом).
Рынки золота - специальные центры торговли золотом, где производится его регулярная купля-продажа по рыночной цене.
Таким образом, сложился круглосуточно функционирующий интернациональный рыночный механизм, управляющий мировыми финансовыми потоками.
Международные расчеты
Международные расчеты - регулирование платежей по денежным требованиям и обязательствам, возникающим между юридическими лицами (государствами, организациями) и гражданами разных стран на основе их экономических, политических и культурных отношений. Расчеты осуществляют преимущественно безналичным путем в форме записей на счетах банков. Для этого на базе корреспондентских соглашений с иностранными банками открываются банковские корреспондентские счета: "лоро" (счет зарубежных банков в национальном кредитном учреждении) и "ностро" (счет данного банка в иностранном банке).Средства международных расчетов. Поскольку отсутствуют мировые кредитные деньги, принятые во всех странах, в международных расчетах используются девизы - платежные средства в иностранной валюте. В их числе:
коммерческие переводные векселя (тратты) - письменные приказы об уплате определенной суммы определенному лицу в определенный срок, выставляемые экспортерами на иностранных импортеров;
обычные (простые) векселя - долговые обязательства импортеров;
банковские векселя - векселя, выставляемые банками данной страны на своих иностранных корреспондентов. В зависимости от репутации банков сфера обращения их векселей шире, чем коммерческих векселей. Купив банковские векселя, импортеры пересылают их экспортерам для погашения своих обязательств;
банковский чек - письменный приказ банка своему банку-корреспонденту о перечислении определенной суммы с его текущего счета за границей чекодержателю;
банковские переводы - почтовые и телеграфные переводы за рубеж;
банковские карточки (кредитные, пластиковые и др.) - именные денежные документы, дающие право владельцам использовать их для приобретения товаров и услуг за рубежом на безналичной основе.
Наряду с национальными валютами ведущих стран используются международные валютные единицы - ЭКЮ, замененные евро с 1999 г., и в незначительном объеме СДР.
Золото, которое при золотом монометаллизме непосредственно использовалось как международное платежное и покупательное средство, в условиях неразменных кредитных денег используется лишь как чрезвычайные мировые деньги при непредвиденных обстоятельствах (войны, экономические и политические потрясения и т.д.). Государства при необходимости прибегают к продаже части официальных золотых запасов на те валюты, в которых выражены их международные обязательства. Таким образом, золото стало использоваться для международных расчетов опосредствованно через операции на рынках золота.
Основные формы международных расчетов. Они аналогичны формам внутренних расчетов, но имеют следующие особенности:
1. Определенные отношения участников внешнеэкономических сделок и их банков по поводу оформления, пересылки, обработки и оплаты предусмотренных контрактом документов.
2. Документарный характер международных расчетов, которые осуществляются против документов: финансовых (векселей, чеков, платежных расписок) и коммерческих (счетов-фактур, отгрузочных документов - коносаментов, накладных, квитанций, страховых полисов, различных сертификатов).
3. Унификацию правил и обычаев основных форм международных расчетов.
Основными формами международных расчетов являются:
• инкассовая форма расчетов - поручение клиента банку о получении платежа от импортера за товары и услуги и зачисление этих средств на счет экспортера в банке. Банки выполняют инкассовые операции, пользуясь полученными от экспортера инструкциями, в соответствии с Унифицированными правилами по инкассо;
• аккредитивная форма расчетов - соглашение об обязательстве банка по просьбе клиента оплатить документы либо акцептовать или учесть (негоциировать) тратту в пользу третьего лица (бенефициара), на которого открыт аккредитив. Порядок осуществления этой формы расчетов регламентируется Унифицированными правилами и обычаями для документарных аккредитивов. Аккредитив (особенно безотзывный и подтвержденный) в большей степени, чем инкассо, гарантирует своевременность платежа. Вместе с тем это наиболее сложная и дорогостоящая форма расчетов; импортер при этом вынужден резервировать сумму аккредитива или использовать кредит банка;
• банковский перевод - поручение одного банка другому выплатить переводополучателю определенную сумму. В международных расчетах перевододателем часто выступают клиенты банков. В форме перевода производятся оплата инкассо, авансовые платежи, перерасчеты. Банковские переводы зачастую сочетаются с другими формами расчетов, а также с гарантиями банков;
• авансовый платеж - оплата товаров импортером авансом до отгрузки, а иногда до их производства (например, при импорте дорогостоящего оборудования, судов, самолетов). В отличие от мировой практики, где авансовые платежи составляют 10-33% суммы контракта, в России они достигают 100%. Тем самым импортеры России кредитуют иностранных поставщиков. Согласие импортера на предварительную оплату связано либо с его заинтересованностью, либо с давлением экспортера;
• расчеты по открытому счету - расчеты, предусматривающие периодические платежи в установленные сроки импортера экспортеру при регулярных поставках товаров в кредит по этому счету. Эти расчеты наиболее выгодны для импортера и практикуются при доверительных и длительных отношениях с зарубежным поставщиком;
• расчеты с использованием векселей, чеков, банковских карточек -международные расчеты, в которых применяются переводные и обычные векселя. За оплату векселя ответственность несет акцептант (импортер или банк), давший согласие его оплатить. Единообразный вексельный закон (1930 г.) регламентирует форму, реквизиты, условия выставления и оплаты векселей.
По неторговым операциям используются дорожные (туристские) чеки, выписываемые крупными банками в разных валютах. Чек - денежный документ установленной формы, содержащий приказ банку выплатить обозначенную на нем валюту его владельцу. Форма и реквизиты чека регулируются национальным и международным законодательствами (Чековой конвенцией 1931 г. и др.).
В международных расчетах активно используются банковские карточки преимущественно американского происхождения (Виза, Мастеркард, Америкэн Экспресс). С конца 80-х гг. и особенно в 90-х гг. банки России активно выпускают пластиковые карточки, в том числе международные.
Международные расчеты осуществляются с помощью ЭВМ, электронных сигналов в виде записей в памяти банковских компьютеров, передаваемых по каналам дистанционной связи. Информация по межбанковским расчетам передается через СВИФТ. Акционерное общество - Всемирная межбанковская финансовая телекоммуникационная сеть (с 1977 г.) обслуживает около 4 тыс. банков и финансовых учреждений почти 100 стран;
• валютные клиринги - расчеты в форме обязательного взаимного зачета международных требований и обязательств на основе межправительственных соглашений. В отличие от внутреннего межбанковского клиринга взаимные зачеты по валютному клирингу производятся не добровольно, а в обязательном порядке при наличии межправительственного соглашения. Впервые валютные клиринги были введены в 1931 г. в условиях мирового экономического кризиса. Они широко распространились накануне и особенно после второй мировой войны (с 74 в 1935г. до 400 двусторонних клирингов в 1950г.). В 1950-1958 гг. многосторонний клиринг - Европейский платежный союз (ЕПС) - охватил 17 стран Западной Европы.
Благодаря клирингу международные расчеты экспортеров и импортеров осуществляются в национальной валюте с клиринговыми банками, которые производят окончательный зачет взаимных требований и обязательств. Экспортеры получают не иностранную, а национальную валюту. Импортеры вносят в клиринговый банк национальную валюту.
С 1985 г. функционирует многосторонний клиринг по операциям частных коммерческих банков в ЭКЮ, замененных евро с 1999 г. Как и в ЕПС, Банк международных расчетов (Базель) является банком-агентом клиринга по операциям в ЭКЮ, с 1999 г. - евро.
Международный кредит: сущность и основные формы
Международный кредит - разновидность экономической категории "кредит". Это - движение ссудного капитала в сфере международных экономических отношений, связанное с предоставлением валютных и товарных ресурсов на условиях возвратности, срочности, обеспеченности и уплаты процентов. В качестве кредиторов и заемщиков выступают банки, предприятия, государства, международные финансовые институты.Условия международного кредита отражают его связь с экономическими законами рынка и используются для решения задач экономических агентов рынка и государства.
Функции международного кредита. Они выражают особенности движения ссудного капитала в сфере международных экономических отношений. В их числе:
1. Перераспределение ссудного капитала между странами для обеспечения потребностей расширенного воспроизводства. Тем самым кредит содействует выравниванию национальной прибыли в среднюю прибыль, увеличивая ее массу.
2. Экономия издержек обращения в сфере международных расчетов путем использования кредитных средств (тратт, векселей, чеков, переводов и др.), развития и ускорения безналичных платежей.
3. Ускорение концентрации и централизации капитала благодаря использованию иностранных кредитов.
4. Регулирование экономики.
Роль кредита. Выполняя эти взаимосвязанные функции, международный кредит играет двоякую роль в развитии производства: положительную и отрицательную. С одной стороны, кредит обеспечивает непрерывность воспроизводства и его расширение. Он способствует интернационализации производства и обмена, углублению международного разделения труда. С другой стороны, международный кредит усиливает диспропорции общественного воспроизводства, стимулируя скачкообразное расширение прибыльных отраслей, сдерживает развитие отраслей, в которые не привлекаются иностранные заемные средства. Международный кредит используется для укрепления позиций иностранных кредиторов в конкурентной борьбе.
Границы международного кредита зависят от источников и потребности стран в иностранных заемных средствах, возвратности кредита в срок. Нарушение этой объективной границы порождает проблему урегулирования внешней задолженности стран-заемщиц. В их числе - развивающиеся страны, Россия, другие государства СНГ, страны Восточной Европы и т.д.
Двоякая роль международного кредита в условиях рыночной экономики проявляется в его использовании как средства взаимовыгодного сотрудничества стран и конкурентной борьбы.
Формы международного кредита. Классификация форм кредита осуществляется по:
назначению:
• коммерческие кредиты, обслуживающие международную торговлю товарами и услугами;
• финансовые кредиты, используемые для инвестиционных объектов, приобретения ценных бумаг, погашения внешнего долга, проведения валютной интервенции центральным банком;
• промежуточные кредиты для обслуживания смешанных форм экспорта капиталов, товаров, услуг (например, инжиниринг);
видам:
• товарные (при экспорте товаров с отсрочкой платежа);
• валютные (в денежной форме);
технике предоставления:
• наличные кредиты, зачисляемые на счет заемщика;
• акцептные в форме акцепта (согласия платить) тратты импортером или банком;
• депозитные сертификаты;
• облигационные займы, консорциональные кредиты и др.;
валюте займа:
• международные кредиты в валюте либо страны-должника, либо страны-кредитора, либо третьей страны, либо в международных валютных единицах (СДР, чаще в ЭКЮ, замененных евро с 1999 г.);
срокам:
• краткосрочные кредиты (от одного дня до одного года, иногда до восемнадцати месяцев);
• среднесрочные (от одного года до пяти лет);
• долгосрочные (свыше пяти лет).
Если краткосрочный кредит пролонгируется (продлевается), он становится средне- и иногда долгосрочным. В процессе трансформации краткосрочных международных кредитов в ссуды на более длительный срок участвует государство в качестве гаранта. Для удовлетворения потребностей экспортеров в ряде стран (Великобритании, Франции, Японии и др.) создана при поддержке государства специальная система средне- и долгосрочного кредитования экспорта машин и оборудования. Долгосрочный международный кредит (практически до десяти-пятнадцати лет) предоставляют прежде всего специализированные кредитно-финансовые институты - государственные и полугосударственные;
обеспечению:
• обеспеченные кредиты;
• бланковые кредиты.
В качестве обеспечения используются товары, коммерческие и финансовые документы, ценные бумаги, недвижимость, другие ценности, иногда золото. Например, Италия, Уругвай, Португалия (в середине 70-х гг.), некоторые развивающиеся страны (в 80-х гг.) использовали международные кредиты под залог части официальных золотых запасов, оценивающихся по среднерыночной цене. Бланковый кредит выдается под обязательство (вексель) должника погасить его в срок.
В зависимости от категории кредитора различаются международные кредиты:
• фирменные (частные);
• банковские;
• брокерские;
• правительственные;
• смешанные, с участием частных предприятий (в том числе банков) и государства;
• межгосударственные кредиты международных финансовых институтов.
Фирменный (частный) кредит предоставляется экспортером иностранному импортеру в виде отсрочки платежа (до семи лет) за товары. Он оформляется векселем или открытым счетом. При вексельном кредите экспортер выставляет переводной вексель (тратту) на импортера, который акцептует его при получении коммерческих документов. Кредит по открытому счету основан на соглашении экспортера с импортером о записи на счет покупателя его задолженности по ввезенным товарам и его обязательстве погасить кредит в определенный срок (в середине или конце месяца). Такой кредит применяется при регулярных поставках и доверительных отношениях между контрагентами.
К фирменным кредитам относится также авансовый платеж импортера. Покупательский аванс (предварительная оплата) является не только формой кредитования иностранного экспортера, но и гарантией принятия импортером заказанного товара (например, ледокола, самолета, оборудования и др.), который трудно продать.
Банковские международные кредиты предоставляются банками экспортерам и импортерам, как правило, под залог товарно-материальных ценностей, реже предоставляется необеспеченный кредит крупным фирмам, с которыми банки тесно связаны. Общепринято создавать банковские консорциум, синдикаты, пулы для мобилизации крупных кредитных ресурсов и распределения риска. Банки экспортеров кредитуют не только национальных экспортеров, но и непосредственно иностранного импортера: кредит покупателю активно развивается с 60-х гг. Здесь выигрывает экспортер, так как своевременно получает инвалютную выручку за счет кредита, предоставленного банком экспортера покупателю, а импортер приобретает необходимые товары в кредит.
Крупные банки предоставляют акцептный кредит в форме акцепта тратты. При этом акцептант становится непосредственным плательщиком по векселю, но за счет средств должника (трассата). На акцептном рынке акцептованные переводные векселя в разных валютах свободно продаются.
Брокерский кредит - промежуточная форма между фирменным и банковским кредитами. Брокеры заимствуют средства у банков; роль последних уменьшается.
Межгосударственные кредиты предоставляются на основе межправительственных соглашений. Международные финансовые институты ограничиваются небольшими кредитами, которые открывают доступ заемщикам к кредитам частных иностранных банков на мировом рынке ссудных капиталов.
С 80-х гг. активно развивается проектное финансирование (кредитование) совместно с несколькими кредитными учреждениями (иногда до 200) без привлечения средств из государственного бюджета.
Специфической формой кредитного обслуживания внешнеэкономических связей являются операции по лизингу, факторингу, форфетированию.
Лизинг - соглашение об аренде движимого и недвижимого имущества сроком от трех до пятнадцати лет. В отличие от традиционной аренды объект лизинговой сделки выбирается лизингополучателем, а лизингодатель приобретает оборудование за свой счет. Срок лизинга короче срока физического износа оборудования. По истечении срока лизинга клиент может продолжать аренду на льготных условиях или купить имущество по остаточной стоимости. В мировой практике лизингодателем обычно является лизинговая компания, а не коммерческий банк.
Факторинг - покупка специализированной финансовой компанией всех денежных требований экспортера к иностранному импортеру в размере до 70-90% суммы контракта до наступления срока их оплаты; факторинговая компания кредитует экспортера на срок до 120 дней. Благодаря факторинговому обслуживанию экспортер имеет дело не с разрозненными иностранными импортерами, а с факторинговой компанией.
Форфетирование - покупка банком или форфетором на полный срок на заранее оговоренных условиях векселей (тратт), других финансовых документов. Тем самым экспортер передает форфетору коммерческие риски, связанные с неплатежеспособностью импортера. В результате продажи портфеля долговых требований упрощается структура баланса фирмы-экспортера, сокращаются сроки инкассации требований, бухгалтерские и административные расходы.
Необходимость кредита
Вслед за деньгами изобретение кредита является гениальным открытием человечества. Благодаря кредиту сокращается время на удовлетворение хозяйственных и личных потребностей. Предприятие-заемщик за счет дополнительной стоимости имеет возможность увеличить свои ресурсы, расширить хозяйство, ускорить достижение производственных целей. Граждане, воспользовавшись кредитом, имеют двойной шанс:либо применить способности и полученные дополнительные ресурсы для расширения своего дела, либо ускорить достижение потребительских целей, получить в свое распоряжение такие вещи, предметы, ценности, которыми они могли бы владеть лишь в будущем.
Кредит выступает опорой современной экономики, неотъемлемым элементом экономического развития. Его используют как
крупные предприятия и объединения, так и малые производственные, сельскохозяйственные и торговые структуры; как государства, правительства, так и отдельные граждане.
Кредиторы, владеющие свободными ресурсами, только благодаря их передаче заемщику имеют возможность получить от него дополнительные денежные средства. Кредит, предоставляемый в денежной форме, представляет собой новые платежные средства.
При всей очевидности той пользы, которую приносит кредит, его воздействие на народное хозяйство оценивается неоднозначно. Зачастую одними специалистами считается, что кредит возникает от бедности, он нехватки имущества и ресурсов, имеющихся в распоряжении субъектов хозяйства. Кредит, по мнению других специалистов, разрушает экономику, поскольку за него надо платить, что подрывает финансовое положение заемщика, приводит к его банкротству.
Столь разноплановое понимание воздействия кредита на экономику во многом связано с отсутствием о нем четкого представления.
Возникновение кредита следует искать не в сфере производства продуктов для их внутреннего потребления, а в сфере обмена, где
владельцы товаров противостоят друг другу как собственники, юридически самостоятельные лица, готовые выступить в экономические отношения. Товарообмен как перемещение товара из рук в руки, обмен услугами являются той почвой, где могут возникнуть и возникают отношения по поводу кредита. Движение стоимости - ядро движения кредита.
Конкретной экономической основой, на которой появляются и развиваются кредитные отношения, выступают кругооборот и оборот средств (капитала).
Средства и предметы труда в стоимостном выражении на предприятиях в каждый данный момент могут находиться в денежной, производственной и товарной формах. При этом их назначение различно.
На первой стадии кругооборота капитала денежная форма "входит" в производственную: за счет денежных средств приобретаются средства производства. На второй стадии (в процессе производства) создается готовый продукт (товар), производственная форма переходит в товарную, к стоимости средств производства здесь присоединяется вновь созданная стоимость. На третьей стадии реализуется готовая продукция. Товарная форма переходит в свою начальную денежную форму, чаще всего с некоторым количественным приращением в виде чистого дохода.
Движение средств не замыкается их переходом из одной формы в другую. Движение средств - не только их кругооборот, но и оборот. Денежные средства, полученные после реализации продукции, вновь расходуются: приобретаются новые средства производства, выплачивается заработная плата; кругооборот вновь и вновь повторяется, происходит постоянное круговращение средств.
Последовательное превращение из одной формы в другую, а также постоянное круговращение капитала, кругооборот и оборот не везде одинаковы; в каждом конкретном случае они отражают особенности производства и обращения продукции. Индивидуальные кругооборот и оборот выражают специфику производственной и сбыто-снабженческой деятельности того или иного предприятия. Каждый из индивидуальных кругооборотов тесно взаимосвязан с другими кругооборотами как часть единого хозяйственного оборота.
Кругооборот и оборот капитала отличаются непрерывностью. Вместе с тем это не исключает колебаний в его кругообороте и обороте. В процессе его движения образуются приливы и отливы денежных средств, колебания потребности в ресурсах и источниках ее покрытия. Их можно наблюдать в связи с движением как основных, так и оборотных капиталов предприятий.
В процессе движения основных капиталов прежде всего наблюдается высвобождение ресурсов. Средства труда используются в процессе производства длительное время, их стоимость переносится на стоимость готовой продукции частями. Постепенное восстановление стоимости основных капиталов в денежной форме приводит к тому, что высвобождающиеся денежные средства оседают на счетах предприятий. При этом предприятие может использовать их, лишь накопив определенную сумму, достаточную для приобретения новых средств труда взамен изношенных, в том числе для очередной покупки новых машин и механизмов.
Однако постепенное высвобождение стоимости основных капиталов по своему размеру не может удовлетворить потребности предприятий в приобретении их новых партий, так как новая техника (машины, механизмы и т. п.) приобретается не в виде отдельных частей и деталей, а целиком. Замена изношенных средств труда новыми осуществляется за счет амортизационных отчислений, накапливаемых в амортизационном фонде. Эти затраты каждый раз достаточно крупные, требующие накопления ресурсов в течение длительного времени. Внутри кругооборота и оборота основных капиталов происходит неравномерное их движение, вызванное природой восстановления их стоимости. Следует заметить, что подобная неравномерность может привести к тому, что у одних предприятий образуются свободные денежные средства, у других в связи с потребностью в крупных единовременных затратах образуется их недостаток.
Аналогичная ситуация возникает и в движении оборотных капиталов. Более того, здесь колебания в их кругообороте и обороте проявляют себя более разнообразно. Прежде всего они возникают вследствие сезонности производства, несовпадения времени производства и времени обращения продукции. Значительная потребность в привлечении дополнительных денежных средств может быть вызвана также импортными поставками, разовым завозом товарно-материальных ценностей, ценностными факторами и др.
Неравномерность в движении средств возникает и в связи с отгрузкой готовой продукции. Как известно, момент отгрузки продукции зачастую не совпадет с моментом получения выручки от ее реализации. Это происходит вследствие того, что место производства продукции отдалено от места ее потребления, причем эта отдаленность от рынка сбыта может быть значительной и вызывать потребность в дополнительных ресурсах.
На базе неравномерности кругооборота и оборота капиталов естественным становится появление отношений, которые устраняют несоответствие между временем производства и временем обращения средств, разрешают относительное противоречие между временным оседанием средств и необходимостью их использования в народном хозяйстве. Таким отношением является кредит.
Кредит становится неизбежным атрибутом товарного хозяйства. Кредит берут не потому, что заемщик беден, а потому, что у него в силу объективности кругооборота и оборота капитала в полной мере недостает собственных ресурсов. Как подчеркивалось ранее, их нерационально накапливать про запас, они все время находятся в движении, в обороте.
Общество становится заинтересованным, во-первых, в том, чтобы избежать праздного омертвления высвободившихся ресурсов; во-вторых, в том, чтобы экономика развивалась непрерывно в расширенных масштабах.
Вместе с тем кругооборот и оборот капитала еще не в полной мере объясняют объективную необходимость кредита. Неравномерность кругооборота и оборота лишь характеризует факт высвобождения средств в одном звене и наличия потребности в них на другом участке; в кругообороте и обороте, следовательно, заложена возможность возникновения кредитных отношений.
Для того чтобы возможность кредита стала реальностью, нужны определенные условия, по крайней мере два:
• кредит становится необходимым в том случае, если происходит совпадение интересов кредитора и заемщика;
• участники кредитной сделки - кредитор и заемщик - должны выступать как юридически самостоятельные субъекты, материально гарантирующие выполнение обязательств, вытекающих из экономических связей.
Для того чтобы кредитная сделка состоялась, требуется, чтобы ее участники взаимно проявили интерес к кредиту, обладающему определенными качествами. Эти интересы не есть нечто субъективное, регулируемое в конечном счете волей участников производственных отношений. Всякий интерес, порождающий действие, обусловлен прежде всего объективными процессами, конкретной ситуацией, делающей неизбежной возникающую взаимную заинтересованность.
На практике, например, предприятие как субъект кредита в силу кругооборота средств может испытывать потребность в привлечении дополнительных ресурсов в целях обеспечения непрерывности производства. Однако потребность в дополнительных ресурсах у заемщика не есть абсолютно обязательный фактор, обусловливающий выдачу кредита кредитором.
Банки как коллективные кредиторы обязаны проанализировать возможности выдачи ссуды заемщику, определять его реальную кредитоспособность в соответствии с требованиями возврата средств и содержанием кредитного договора;
Общая характеристика центральных банков
Главным звеном банковской системы любого государства является центральный банк страны. В различных государствах такие банки называются по-разному: народные, государственные, эмиссионные, резервные, Федеральная резервная система (США), Банк Англии, Банк Японии, Банк Италии и др.Центральные банки возникли как коммерческие банки, наделенные правом эмиссий и банкнот. Несмотря на то что первым банком, осуществившим эмиссию, был Банк Стокгольма (в 1650 г. он выпустил депозитные сертификаты на золотые монеты, которые выписывались на предъявителя и обращались наравне с другими видами денег на всей территории королевства Швеции), первым эмиссионным банком считается созданный в 1694 г. Банк Англии, поскольку он начал выпускать банкноты и учитывать коммерческие векселя. Впоследствии, кроме эмиссии банкнот, за центральными банками закрепилась роль казначея государства, посредника между государством и коммерческими банками, проводника денежно-кредитной политики государства. Будучи коммерческими, центральные банки были национализированы, и в настоящее время капитал центральных банков полностью или частично принадлежит государству.
Создание центрального эмиссионного банка было обусловлено процессами концентрации и централизации капитала, переходом к единым национальным денежным системам.
Во всех развитых странах действует несколько законов, в которых сформулированы и закреплены задачи и функции центрального банка, а также определены инструменты и методы их осуществления. В некоторых государствах главная задача центрального банка излагается в конституции. Как правило, основным правовым актом, регулирующим деятельность национального банка, служит закон о центральном банке страны; он устанавливает организационно-правовой статус последнего, процедуру назначения или выборов его руководящего состава, статус во взаимоотношениях с государством и национальной банковской системой. Данным законом закрепляются полномочия центрального банка как эмиссионного центра страны.
Наряду с законом о центральном банке взаимодействия между центральным банком и банковской системой регулируются законом о банковской деятельности. Такой закон определяет основные права и обязанности кредитных институтов по отношению к центральному банку.
Центральные банки развитых стран классифицируются по степени их независимости в решении вопросов денежной политики с помощью различных объективных и субъективных факторов.
К субъективным факторам относятся сложившиеся взаимоотношения между центральным банком страны и правительством с учетом неформальных контактов руководителей.
Среди множества объективных факторов оценки независимости центральных банков можно выделить пять важнейших:
• участие государства в капитале центрального банка и в распределении прибыли;
• процедура назначения (выбора) руководства банка;
• степень отражения в законодательстве целей и задач центрального банка;
• права государства на вмешательство в денежно-кредитную политику;
• правила, регулирующие возможность прямого и косвенного финансирования государственных расходов центральным банком страны.
Что касается первого фактора оценки, то состав собственников капитала центрального банка при проведении денежно-кредитной политики существенно не влияет на его независимость.
В соответствии со вторым фактором порядок выбора (назначения) и, главным образом, отзыва руководства центрального банка страны влияет на степень политической независимости последнего от органов государственного управления.
Третий фактор определяет, с одной стороны, рамки свободы деятельности центрального банка; с другой - его законодательно установленные полномочия. В большинстве развитых стран (Австрии, Германии, Дании, Нидерландах, России, Франции, Швейцарии, Японии) основные цели и сфера деятельности центрального банка отражены в конституции или подробно изложены в законах о центральном банке и банковской деятельности.
В ряде стран (например, в США, Швеции и Италии) формулировка задач центрального банка в законодательстве дана только в общих чертах. Тем не менее это несущественно для определения степени независимости центрального банка. Фактор подробности определения законодательством целей и задач центрального банка играет второстепенную роль, и его влияние необходимо рассматривать только в совокупности с анализом традиций и условий функционирования центрального банка.
От четвертого фактора ( наличия установленного законодательством права государственных органов отклонять решения руководства центрального банка, а со стороны центрального банка - обязательства координировать проводимые мероприятия с общей стратегией государственного регулирования) прежде всего зависит политическая независимость центрального банка.
Наиболее низкой степенью независимости от вмешательства государственных органов в денежно-кредитную политику обладают центральные банки Франции и Италии. В этих странах право определения направлений вмешательства законодательным путем передано правительству. Центральный банк выступает в роли консультанта и призван руководствоваться решениями правительства. Со времен второй мировой войны руководство Банком Франции находится под влиянием министерства финансов.
В законодательстве Великобритании, Нидерландов, Швеции и Японии четко установлена возможность государственных органов вмешиваться в политику центрального банка, инструктировать его, отменять его решения.
Несколько на более высокой ступени независимости находятся центральные банки Австрии и Дании. Законодательство этих стран не содержит формального права государства на вмешательство в денежно-кредитную политику центрального банка, однако обязывает его координировать свою стратегию с политикой правительства.
Центральные банки ФРГ и Швейцарии являются наиболее независимыми. В законодательстве этих стран отсутствует право государства на вмешательство в денежную политику центрального банка.
Пятый фактор независимости центрального банка выражается в наличии законодательного ограничения кредитования правительства и влияет как на экономическую, так и на политическую независимость центрального банка. Данный фактор имеет значение только при наличии системы непосредственного финансирования правительства центральным банком. Такая система распространена в большинстве развитых стран мира. Исключение составляют США и Великобритания, где государственные займы распределяются на открытом рынке. Наиболее независимы центральные банки Австрии, Германии и Нидерландов.
Операции коммерческих банков
Современные коммерческие банки - банки, непосредственно обслуживающие предприятия и организации, а также население - своих клиентов. Коммерческие банки выступают основным звеном банковской системы. Независимо от формы собственности коммерческие банки являются самостоятельными субъектами экономики. Их отношения с клиентами носят коммерческий характер. Основная цель функционирования коммерческих банков - получение максимальной прибыли.Согласно банковскому законодательству банк - это кредитная организация, которая имеет право привлекать денежные средства физических и юридических лиц, размещать их от своего имени и за свой счет на условиях возвратности, платности, срочности и осуществлять расчетные операции по поручению клиентов. Таким образом, коммерческие банки осуществляют (должны осуществлять) комплексное обслуживание клиентов, что отличает их от специальных кредитных организаций небанковского типа, выполняющих ограниченный круг финансовых операций и услуг. В отличие от банка кредитные организации производят лишь отдельные банковские операции. Коммерческий банк, как и любой другой банк, выполняет функции:
Коммерческие банки выступают прежде всего как специфические кредитные институты, которые, с одной стороны, привлекают временно свободные средства хозяйства; с другой - удовлетворяют за счет этих привлеченных средств разнообразные финансовые потребности предприятий, организаций и населения.
Экономическую основу операций банка по аккумуляции и размещению кредитных ресурсов составляет движение денежных средств как объективного процесса, оказывающего влияние на формирование и использование ссужаемых стоимостей. Организуя этот процесс, коммерческий банк выступает коммерческим предприятием, обеспечивающим выгодное помещение аккумулированных кредитных ресурсов.
В последние годы, как в нашей стране, так и в мировой банковской практике, эксперты отмечают наличие двух, на первый взгляд взаимоисключающих, тенденций: универсализацию и специализацию, банковской деятельности, подчеркивая, что со специализацией банков усиливаются тенденции к универсализации их деятельности. Традиционно занимавшиеся в большей степени тем или иным кругом операций, коммерческие банки вторгаются в смежные сферы деятельности. Следовательно, вид коммерческого банка (универсальный, отраслевой, специального назначения, региональный и т. п.) выделяется наряду с содержанием его операций также степенью развития экономики страны, кредитных отношений, денежного и финансового рынков.
Коммерческие банки большинства западных стран выполняют сейчас различные операции для удовлетворения финансовых потребностей всех типов клиентов от мелкого вкладчика до крупной компании. Крупные учреждения банков осуществляют для своих клиентов по некоторым оценкам до 300 видов операций и услуг. К ним относятся: ведение депозитных счетов, безналичные переводы средств, прием сбережений, выдача разнообразных ссуд, купля-продажа ценных бумаг, операции по доверенности, хранение ценностей в сейфах и др. Благодаря этому коммерческие банки постоянно и неразрывно связаны практически всеми звеньями воспроизводственного процесса.
Операции коммерческого банка представляют собой конкретное
проявление банковских функций на практике. По российскому законодательству к основным банковским операциям относят следующие:
• привлечение денежных средств юридических и физических лиц во вклады до востребования и на определенный срок;
• предоставление кредитов от своего имени за счет собственных и привлеченных средств;
• открытие и ведение счетов физических и юридических лиц;
• осуществление расчетов по поручению клиентов, в том числе банков-корреспондентов;
• инкассация денежных средств, векселей, платежных и расчетных документов и кассовое обслуживание клиентов;
• управление денежными средствами по договору с собственником или распорядителем средств;
• покупка у юридических и физических лиц и продажа им иностранной валюты в наличной и безналичной формах;
• осуществление операций с драгоценными металлами в соответствии с действующим законодательством;
• выдача банковских гарантий.
При этом в Законе "О банках и банковской деятельности" (в редакции 1995 г.) подчеркивается, что небанковские кредитные организации вправе осуществлять банковские операции, за исключением операций, предусмотренных пунктами 1,2,3 и 9. Допустимые сочетания иных банковских операций для небанковских кредитных организаций устанавливаются Банком России.
Кроме того, в соответствии с российским банковским законодательством коммерческие банки помимо перечисленных выше банковских операций вправе производить следующие сделки:
• выдачу поручительств за третьих лиц, предусматривающих исполнение обязательств в денежной форме;
• приобретение права требования по исполнению обязательств от третьих лиц в денежной форме;
• оказание консультационных и информационных услуг;
• предоставление в аренду физическим и юридическим лицам специальных помещений или находящихся в них сейфов для хранения документов и ценностей;
• лизинговые операции.
Кредитная организация также вправе выполнять иные сделки, присущие ей как юридическому лицу в соответствии с законодательством Российской Федерации. Все банковские операции и сделки осуществляются в рублях, а при наличии соответствующей лицензии Банка России и в иностранной валюте.
Кредитной организации (в том числе коммерческим банкам) запрещается занятие производственной, торговой и страховой деятельностью, т. е. эти операции следует отнести к числу небанковских.
Приведенные ранее положения из Закона "О банках и банковской деятельности" содержат упоминание об операциях и услугах банка. В отечественной экономической литературе нередко не делают различий между этими понятиями. При этом распространено определение банковских услуг как "массовых операций". Однако из такого определения не ясно, чем услуги отличаются от банковских операций. Между тем о банковских услугах речь может идти лишь в рамках взаимоотношений "клиент - банк". Именно наличие клиента и позволяет рассматривать операции банка как его услуги. Таким образом, банковской услугой является одна или несколько операций банка, удовлетворяющих определенную потребность клиента.
Кроме того, услуги коммерческих банков можно определить как проведение банковских операций по поручению клиента в пользу последнего за определенную плату. К основным характеристикам банковской услуги относятся:
• нематериальная сущность услуг;
• продукт не складируется, но в банках создаются запасы денежных средств, которыми управляет банкир;
• проведение банковских операций и услуг регламентируется в законодательном порядке;
• автор новой банковской услуги не имеет авторских прав;
• система сбыта (предоставления банковских операций и услуг) эксклюзивна и интегрирована, поскольку все филиалы одного банка выполняют одинаковый набор банковских операций и услуг.
Важно отметить, что в соответствии с российским банковским законодательством кредитным организациям запрещается заключать соглашения и выполнять согласованные действия, направленные на монополизацию рынка банковских услуг, а также на ограничение конкуренции в банковском деле. Приобретение акций (долей) уставных капиталов кредитных организаций, а также заключение соглашений, предусматривающих контроль за деятельностью кредитных организаций (их объединений), не должно противоречить антимонопольным правилам.
Клиент банка. Законодательство большинства стран относит к числу клиентов банка любых физических и юридических лиц, открывших счет в банке и заключивших юридический договор с ним. Последнее обстоятельство существенно. Например, в Великобритании лицо, получающее в банке некоторую разовую услугу (обмен валюты или обмен монет на банкноты) его клиентом юридически не считается.
Договор банка с клиентом. В нашей стране отношения между Банком России, коммерческими банками и их клиентами осуществляются на основе договоров, если иное не предусмотрено федеральным законом. Договор определяет основные положения сотрудничества банка и клиента. Согласно договору, деловые взаимоотношения банка и клиента строятся на взаимном доверии. Банк официально предоставляет услуги клиенту, берет обязательство выполнять указания последнего и заверяет клиента в том, что тот может положиться на компетентность банковских работников и их высокий профессионализм.
В договоре должны быть указаны процентные ставки по кредитам и вкладам (депозитам), стоимость банковских услуг и сроки их выполнения, в том числе сроки обработки платежных документов, имущественная ответственность сторон за нарушения условий договора, включая ответственность за нарушение обязательств по срокам платежей, а также порядок его расторжения и другие существенные условия договора.
Все права представительства или распоряжения денежными средствами, ценными бумагами и другими ценностями имеют силу до тех пор, пока от клиента не поступает специального письменного указания об их отмене или приостановлении. Изменения в правах представительства или распоряжения средствами вступают в силу только после того, как банк получает о них уведомление в письменном виде. При этом клиент обязуется уведомлять банк немедленно о всех событиях, имеющих важное значение с учетом деловых взаимоотношений клиента и банка, особенно об изменениях в наименовании клиента (названии компании) и его правоспособности (например, о достижении клиентом совершеннолетия).
Процентные ставки по кредитам, вкладам (депозитам) и комиссионное вознаграждение по операциям устанавливается кредитной организацией по соглашению с клиентами, если иное не предусмотрено федеральным законом.
Кредитная организация не имеет права в одностороннем порядке изменять процентные ставки по кредитам, вкладам (депозитам), комиссионное вознаграждение и сроки действия этих соглашений (договоров) с клиентами, за исключением тех случаев, когда это предусмотрено в соглашении с клиентом. Клиент вправе предъявлять претензии банку исключительно в пределах суммы средств на своем счете (счетах), в той же валюте и только в строго оговоренных случаях, когда эти претензии не вызывают дискуссий или подтверждены выпиской из решения суда.
Банковские счета. Практически во всех странах правовые взаимоотношения банка и клиента начинаются с открытия счета. В нашей стране клиенты банка вправе открывать необходимое им количество расчетных, депозитных и иных счетов в любой валюте в коммерческих банках с их согласия, если иное не установлено федеральным законом. Например, клиент - юридическое лицо может иметь несколько счетов по основной деятельности. Одним из таких счетов является расчетный (текущий) счет, который используется для зачисления выручки от реализации продукции (работ, услуг), учета доходов от внереализационных операций и иных поступлений, а также для расчетов с поставщиками, бюджетом, рабочими и служащими и других платежей. Кроме расчетного счета клиент банка может иметь также депозитные, ссудные и другие счета в рублях и иностранной валюте.
Порядок открытия, ведения и закрытия банком счетов клиентов устанавливается федеральными законами и Банком России. Ответственность коммерческого банка, его руководителей и иных должностных лиц за нарушение этого порядка устанавливается федеральными законами.
В ряде стран мира клиент вправе потребовать от банка "особого режима" для своего счета. Под особым режимом обычно понимают оставление почтовой корреспонденции клиента в банке, когда по соображениям конфиденциальности клиент заинтересован в том, чтобы вся его почта оставалась в банке, откуда он ее забирает лично или с помощью своих доверенных лиц. Обслуживание счетов с особым режимом требует больших банковских издержек, чем обслуживание обычных счетов, поэтому статус особого счета предоставляется, как правило, лишь с разрешения руководства банка.
С особым вниманием банки подходят к вопросу закрытия счета. Как правило, закрытию счета предшествует присвоение ему категории "спящего" (dormant account) в результате продолжительного отсутствия операций по нему. В зависимости от местного законодательства "спящие" в течение определенного периода времени счета объявляются конфискованными и передаются в государственную казну. В некоторых странах законодательство (например, Закон "О конфискации имущества" в Великобритании) требует от банка приложения необходимых усилий для обнаружения владельца счета (обычно это происходит путем публикации объявлений в газетах) перед передачей средств государству.
В процессе проведения межбанковских операций в соответствии с действующим законодательством российские коммерческие банки на договорных началах могут привлекать и размещать друг у друга средства в форме вкладов (депозитов), кредитов, производить расчеты через создаваемые в установленном порядке расчетные центры и корреспондентские счета, открываемые друг у друга, и совершать другие взаимные операции, предусмотренные лицензиями, выданными Банком России.
Коммерческий банк ежемесячно сообщает в Банк России о вновь открытых корреспондентских счетах на территории Российской Федерации и за рубежом.
Корреспондентские отношения между коммерческим банком и Банком России осуществляются также на договорных началах. Списание средств со счетов кредитной организации производится по ее распоряжению либо с ее согласия, за исключением случаев, предусмотренных федеральным законом. При недостатке средств для кредитования клиентов и выполнения принятых на себя обязательств коммерческий банк может обращаться за получением кредитов в Банк России на определяемых последним условиях.
В соответствии с российским банковским законодательством при заключении сделки кредитная организация обязана по требованию физического или юридического лица предоставить информацию о своей финансовой отчетности, в том числе бухгалтерский баланс, и аудиторское заключение за предыдущий год и ежемесячные бухгалтерские балансы за текущий год. За нарушение порядка раскрытия информации и введение клиентов и инвесторов в заблуждение с помощью недостоверной информации кредитная организация несет ответственность в соответствии с действующим законодательством.
Итак, многие коммерческие банки в современных условиях предлагают своим клиентам (как физическим, так и юридическим лицам) широкий круг операций и услуг. Коммерческие банки универсального типа выполняют функции по аккумуляции денежных средств населения, хозяйственных организаций, фирм, компаний; по размещению кредитных ресурсов; организации и проведению денежных расчетов; предлагают клиентам различные банковские операции и услуги.
В условиях рыночной экономики все операции коммерческого банка можно условно разделить на три основные группы:

Рис. 20.1. Структура основных операций коммерческого банка
• пассивные операции (привлечение средств);
• активные операции (размещение средств);
• активно-пассивные (посреднические, трастовые и пр.) операции (рис. 20.1).
В российской банковской практике операции коммерческих банков также обычно делят на три группы.
1. Пассивные операции - операции по привлечению средств в банки, формированию ресурсов последних. Значение пассивных операций для банка велико.
В условиях рыночной экономики особую важность приобретает процесс формирования банковских пассивов, оптимизация их структуры и в связи с этим качество управления всеми источниками денежных средств, которые образуют ресурсный потенциал коммерческого банка. Очевидно, что устойчивая ресурсная база банка позволяет ему успешно проводить ссудные и иные активные операции. Поэтому каждый коммерческий банк стремится наращивать свои ресурсы.
К пассивным операциям банка относят: привлечение средств на расчетные и текущие счета юридических и физических лиц; открытие срочных счетов граждан, предприятий и организаций; выпуск ценных бумаг; займы, полученные от других банков, и т.д.
Все пассивные операции банка, связанные с привлечением средств, в зависимости от их экономического содержания делятся на:
• депозитные, включая получение межбанковских кредитов;
• эмиссионные (размещение паев или ценных бумаг банка).
Ресурсы банка состоят из заемных средств и собственного капитала. Собственный капитал - это средства, принадлежащие непосредственно банку, в отличие от заемных, которые банк привлек на время. Особенность собственного капитала банка по сравнению с капиталом других предприятий заключается в том, что собственный капитал банков составляет примерно 10%, а на предприятиях - около 40-50%. Несмотря на небольшой удельный вес, собственный капитал банка выполняет несколько жизненно важных функций.
Защитная функция. Значительная доля активов банка (примерно 88%) финансируется вкладчиками. Поэтому главной функцией акционерного капитала банка и приравненных к нему средств является защита интересов вкладчиков. Защитная функция собственного капитала означает возможность выплаты компенсации вкладчикам в случае ликвидации банка. Собственный капитал позволяет сохранять платежеспособность банка путем создания резерва активов, позволяющих банку функционировать, несмотря на угрозу появления убытков. Важно иметь в виду, что большая часть убытков банка покрывается не за счет капитала, а текущих активов. В отличие от большинства фирм сохранение платежеспособности банка обеспечивается частью собственного капитала. Банк считается платежеспособным пока остается нетронутым акционерный капитал, т.е. пока стоимость активов равна сумме обязательств, за вычетом необеспеченных обязательств плюс его акционерный капитал. Однако такой подход существовал не всегда. Из истории России известно, что коммерческий банк в конце XIX в. мог считаться несостоятельным, если его капитал сокращался до размера, при котором он должен был прекратить свою деятельность согласно уставу, или при отсутствии в уставе особого указания - если капитал его сокращался на 1/3.
Тема защитной функции капитала банка особенно актуальна сегодня, поскольку в нашей стране, с одной стороны, еще не создана эффективная система страхования депозитов; с другой - нестабильная экономическая ситуация, резкий рост конкуренции в банковском секторе, проведение агрессивной банковской политики при отсутствии адекватной информационной базы, нередко отсутствие профессиональных знаний у части банкиров и другие негативные факторы приводят к банковским банкротствам и потере вкладчиками своих средств. Поэтому для нашей страны наличие собственного капитала является первым условием надежности банка.
Оперативная функция. Для начала успешной работы банку необходим стартовый капитал, который используется на приобретение земли, зданий, оборудования, а также создание финансовых резервов на случай непредвиденных убытков. На эти цели используется также собственный капитал.
Регулирующая функция. Помимо обеспечения финансовой основы для операций и защиты интересов вкладчиков, собственные средства банков выполняют также регулирующую функцию, которая связана с особой заинтересованностью общества в успешном функционировании банков, а также с законами и правилами, позволяющими государственным органам контролировать проводимые операции.
Структура банковских ресурсов отдельных коммерческих банков зависит от степени их специализации или, наоборот, универсализации, особенностей их деятельности, состояния рынка ссудных ресурсов и др.
Например, универсальные коммерческие банки, осуществляющие преимущественно операции по краткосрочному кредитованию, в качестве основного вида привлеченных ресурсов используют краткосрочные депозиты, а инвестиционные банки - покупку ценных бумаг, специальные целевые фонды государства и акционерных компаний и предприятий, предназначенные для капитальных вложений, долгосрочные займы, полученные от других кредитных и финансовых институтов. Не исключено, что по мере развития и расширения деятельности коммерческих банков они и сами будут создавать себе ресурсы, предоставляя наиболее надежным клиентам доверительные кредиты путем зачисления суммы ссуд на счета таких клиентов. Подобные операции должны проводиться только при условии соблюдения ликвидности банка.
Структура собственных средств банка неоднородна по качественному составу и изменяется на протяжении года в зависимости от ряда факторов, в частности от характера использования получаемой банком прибыли.
Уставный капитал российских банков формируются в основном за счет средств, поступающих в оплату акций (акционерный банк). При этом капитал может формироваться не только за счет взносов денежных средств, но и материальных и нематериальных активов, а также ценных бумаг третьих лиц. Анализ практических данных свидетельствует, что в некоторых банках на долю материальных активов банков приходилось до 70% суммы уставного капитала, что значительно сокращало возможности банка по его использованию в качестве ресурса кредитования и снижало его платежеспособность и ликвидность. Аналогичная ситуация возникала при значительной доле нематериальных активов в уставном капитале банка.
В последние годы у банков увеличивается доля иностранной валюты (пересчитываемой в рублевый эквивалент по курсу ЦБ РФ на дату подписания учредительного договора) в составе денежных средств, образующих уставный капитал, а также ценных бумаг, имеющих рыночную котировку и не эмитированных вносителем.
Собственный капитал банка - основа наращивания объемов его активных операций. Поэтому для каждого банка чрезвычайно важно находить источники его увеличения. Ими могут быть: нераспределенная прибыль прошлых лет, включая резервы банка; размещение дополнительных выпусков ценных бумаг или привлечение новых пайщиков.
Управление собственным капиталом играет важную роль в обеспечении устойчивости пассивов и прибыльности банков. Одним из способов управления собственным капиталом банка является дивидендная политика. В условиях финансовой нестабильности и неразвитости фондового рынка многие российские банки обеспечивают рост собственного капитала путем накопления прибыли. Капитализация дивидендов нередко самый легкий и наименее дорогостоящий способ пополнить акционерный капитал. Вместе с тем ряд банков определили, что курс их акций зависит от уровня выплачиваемых дивидендов, т.е. рост дивидендов ведет к росту курса акций. Таким образом, высокая доходность акций облегчает наращивание капитала с помощью продажи дополнительных акций.
Крупные банки широко используют эмиссию акций в качестве эффективного способа привлечения денежных ресурсов. Коммерческие банки эмитируют как простые акции, так и привилегированные (бессрочные, с ограниченным сроком, конвертируемые в простые). Привилегированные акции как объект инвестиций связаны с меньшим риском, чем простые, но и уровень дивидендов по ним ниже среднего уровня дивидендов, выплачиваемых по простым акциям. Доля привилегированных акций в капитале банка намного ниже, чем простых. Нередко российские банки выплачивают своим сотрудникам годовые премии в виде привилегированных акций. Спрос на последние на рынке крайне низкий, поскольку крупные инвесторы предпочитают принимать активное участие в управлении банком (что дает им владение простыми акциями). Но решить эту проблему можно, выпуская в достаточном количестве конвертируемые привилегированные акции. Стабилизация экономической ситуации в стране очевидно повлияет на рост спроса на надежные долгосрочные инструменты, в том числе привилегированные акции.
Крупные банки с хорошей репутацией имеют возможность размещения своих акций на фондовом рынке и, манипулируя курсом акций и определяя уровень дивидендов, проводят эффективные операции с целью извлечения дополнительной прибыли. Для небольших банков возможности мобилизации дополнительных ресурсов посредством выпуска акций существенно затруднены. Дешевле и выгоднее привлечь ресурсы вкладчиков, чем наращивать собственный капитал.
В зарубежной практике для увеличения собственного капитала широко распространен выпуск облигаций. Растущий банк постоянно испытывает потребность в долгосрочном капитале для финансирования своего роста и может предпочесть иметь долговые обязательства в структуре своего капитала. Эта потребность покрывается путем рефинансирования выкупа облигаций, по которым истекает срок займа за счет нового выпуска облигаций. В нашей стране данная практика пока не нашла широкого распространения.
Привлеченные средства занимают преобладающее место в структуре банковских ресурсов. В мировой банковской практике все привлеченные средства по способу их аккумуляции делят на депозиты и прочие привлеченные средства. Основную часть привлеченных средств коммерческих банков составляют депозиты.
Важно отметить, что вклады принимаются только банками, имеющими такое право в соответствии с лицензией Банка России. Право привлечения во вклады средств граждан предоставлено банкам, с даты регистрации которых прошло не менее двух лет. Привлечение средств во вклады оформляется договором в письменной форме в двух экземплярах, один из которых выдается вкладчику. Банки обеспечивают сохранность вкладов и своевременность исполнения своих обязательств перед вкладчиками.
Прочие привлеченные средства - это ресурсы, которые банк получает в виде займов, или путем продажи на денежном рынке собственных долговых обязательств. Они отличаются от депозитов тем, что приобретаются на рынке на конкурсной основе. Инициатива их привлечения принадлежит самому банку. Пользуются ими преимущественно крупные банки. Обычно это значительные суммы, в силу чего соответствующие операции считаются оптовыми.
Современная банковская практика характеризуется большим разнообразием вкладов (депозитов) и, соответственно, депозитных счетов:
• депозиты до востребования;
• срочные депозиты;
• сберегательные вклады;
• вклады в ценные бумаги.
Депозиты можно также классифицировать по срокам, категориям вкладчиков, условиям внесения и изъятия средств, уплачиваемым процентам, возможности получения льгот по активным операциям банка и т.д.
2. Активные операции - операции, посредством которых банки размещают имеющиеся в их распоряжении ресурсы для получения прибыли и поддержания ликвидности. К активным операциям банка относятся: краткосрочное и долгосрочное кредитование производственной, социальной, инвестиционной и научной деятельности предприятий и организаций; предоставление потребительских ссуд населению; приобретение ценных бумаг; лизинг; факторинг; инновационное финансирование и кредитование; долевое участие средствами банка в хозяйственной деятельности предприятий; ссуды, предоставляемые другим банкам.
Активные операции банка по экономическому содержанию делят на:
• ссудные (учетно-ссудные);
• расчетные;
• кассовые;
• инвестиционные и фондовые;
• гарантийные.
ССУДНЫЕ ОПЕРАЦИИ - операции по предоставлению (выдаче) средств заемщику на началах срочности, возвратности и платности. Ссудные операции, связанные с покупкой (учетом) векселей либо принятием векселей в залог, представляют собой учетные (учетно-ссудные) операции.
В Законе "О банках и банковской деятельности" предусмотрено, что кредитная организация может предоставлять кредиты под залог движимого и недвижимого имущества, государственных и иных ценных бумаг, гарантии и иные обязательства в соответствии с федеральными законами.
Виды ссудных операций чрезвычайно разнообразны. Они делятся на группы по следующим критериям (признакам):
• тип заемщика;
• способ обеспечения;
• сроки кредитования;
• характер кругооборота средств;
• назначение (объекты кредитования);
• вид открываемого счета;
• порядок выдачи средств;
• метод погашения ссуды;
• порядок начисления и погашения процентов;
• степень риска;
• вид оформляемых документов и др.
Итак, классификация ссуд заемщиков и объектов кредитования может быть проведена по ряду признаков.
По направлениям использования (объектам кредитования) ссуды в нашей стране подразделяют на: целевые (кредиты на оплату материальных ценностей для обеспечения производственного процесса, кредиты для осуществления торгово-посреднических операций, кредиты на строительство и приобретение жилья, кредиты на формирование оборотных средств и др.) и нецелевые (например, кредиты на временные нужды).
Опыт стран Восточной Европы и России свидетельствует о том, что по мере развития рыночных отношений и самостоятельности банков в структуре их кредитных вложений могут произойти определенные сдвиги, связанные с появлением новых объектов кредитования, приемов по поддержанию ликвидности банковской деятельности, что, в свою очередь, влияет на организационную структуру коммерческого банка, а также банковской системы в целом.
По субъектам кредитной сделки (по облику кредитора и заемщика) различают:
а) в зависимости от типа кредитора:
• банковские ссуды ( предоставляемые отдельными банками или банковскими консорциумами, объединениями, в силу чего и получили название консорциальных);
• ссуды кредитных организации небанковского типа (ломбардов, пунктов проката, касс взаимопомощи, кредитных кооперативов, строительных обществ, пенсионных фондов и т.д.);
• личные или частные ссуды (предоставляемые частными лицами);
• ссуды, предоставляемые заемщикам предприятиями и организациями (в порядке коммерческого кредитования или ссуды с рассрочкой платежа, предоставляемые населению торговыми организациями и др.);
б) по типу заемщика:
• ссуды юридическим лицам: коммерческим организациям (предприятиям и организациям, в том числе банкам, компаниям, фирмам), некоммерческим, правительственным организациям;
• ссуды физическим лицам.
По отраслевому признаку различают ссуды, предоставляемые банками предприятиям промышленности, сельского хозяйства, торговли, транспорта, связи и т.д.
По срокам кредитования ссуды подразделяют на:
• краткосрочные (сроком от одного дня до одного года);
• среднесрочные (сроком от одного года до трех-пяти лет);
• долгосрочные (сроком свыше трех-пяти лет).
В настоящее время в России в связи с общей экономической нестабильностью деление ссуд по срокам носит условный характер. Банки, предоставляя ссуды, делят их на краткосрочные (до одного года) и долгосрочные (свыше одного года). Краткосрочную ссуду можно оформить на определенный срок (в пределах года) или до востребования. Ссуда до востребования не имеет фиксированного срока, и банк может потребовать ее погашения в любое время. При предоставлении ссуды до востребования часто предполагается, что заемщик сравнительно ликвиден и что активы, в которые вложены заемные средства, могут быть превращены в наличность в кратчайший срок.
По виду открываемого счета бывают разовые ссуды, предоставляемые с отдельных (простых) ссудных счетов или кредитование со специальных ссудных счетов, предусматривающих учет совокупной задолженности клиента перед банком.
По обеспечению выделяют ссуды необеспеченные (бланковые) и обеспеченные (залогом, гарантиями, поручительствами, страхованием). Главная причина, по которой банк требует обеспечения, - риск понести убытки в случае нежелания или неспособности заемщика погасить ссуду в срок и полностью. Обеспечение не гарантирует погашения ссуды, но уменьшает риск, так как в случае ликвидации банк получает преимущество перед другими кредиторами в отношении любого вида активов, которые служат обеспечением банковской ссуды.
По графику погашения различают ссуды, погашаемые единовременно, и ссуды с рассрочкой платежа. Кредиты без рассрочки платежей имеют важную особенность: по таким кредитам погашение задолженности по ссуде и процентов осуществляется единовременно.
Ссуды с рассрочкой платежа включают: ссуды с равномерным периодическим погашением ссуды (ежемесячно, ежеквартально и т.д.); ссуды с неравномерным периодическим погашением ссуды (сумма платежа в погашение ссуды меняется (возрастает или снижается) в зависимости от определенных факторов, например по мере приближения даты окончательного погашения ссуды или завершения кредитного договора; ссуды с неравномерным непериодическим погашением. При выдаче ссуды с рассрочкой платежа действует принцип, согласно которому сумма ссуды списывается частями на протяжении периода действия договора. Подобный порядок погашения ссуды не столь обременителен для заемщика, как при единовременной уплате долга. Для банка также выгоднее, чтобы ссуда погашалась периодически в течение всего периода действия договора, так как это ускоряет оборачиваемость кредита и высвобождает кредитные ресурсы для новых вложений, повышая таким образом его ликвидность.
Возможно также деление ссуд на ссуды с льготным периодом погашения и без льготного периода.
По методу взимания процентов ссуды классифицируют следующим образом: ссуды с удержанием процентов в момент предоставления ссуды; ссуды с уплатой процентов в момент погашения кредита и ссуды с уплатой процентов равными взносами на протяжении всего срока пользования (ежеквартально, один раз в полугодие или по специально оговоренному графику).
Существует также такое понятие, как ссуда с аннуитетным платежом, т.е. погашением основного долга с одновременной уплатой процентов за пользование ссудой.
По характеру кругооборота средств ссуды делят на: а) сезонные и несезонные, б) разовые и возобновляемые (револьверные, ролловерные). В группу револьверных кредитов, как правило, включают кредиты, предоставляемые клиентам по кредитным картам или кредиты по единым активно-пассивным счетам в форме овердрафта, контокоррентного кредита и т.д.
В качестве примера можно привести практику США, где потребительские ссуды делят на три группы: ссуды с рассрочкой платежа, револьверные и ссуды без рассрочки платежа.
Кредит с рассрочкой платежа предполагает периодическое погашение ссуды и процентов. В большинстве случаев заемщик получает такой кредит для покупки товаров или покрытия других расходов и обязуется погашать кредит ежемесячно равными долями. Кредиты, предоставляемые по кредитным картам, и овердрафт по текущим счетам формально можно отнести к кредитам с рассрочкой платежа, так как по ним также осуществляются периодические (в основном ежемесячные) платежи. Однако они имеют ряд особенностей, что позволяет выделить их в отдельную группу кредитов.
Сроки погашения ссуд с рассрочкой платежа в США обычно составляют от двух до пяти лет. Размеры ссуд варьируются в больших диапазонах. Такие кредиты нередко предоставляются на небольшие суммы, но в то же время объектами кредитования по ним могут быть автомобиль, яхта, самолет и другие крупные покупки стоимостью свыше 100 тыс. долл.
В отличие от револьверных кредитов большинство ссуд с рассрочкой платежа являются обеспеченными.
Кредиты с рассрочкой платежа могут принимать форму прямого или косвенного банковского кредита. При предоставлении прямого банковского кредита заключается кредитный договор между банком и заемщиком - пользователем ссуды. Косвенный банковский кредит предполагает наличие посредника в кредитных отношениях банка с клиентом. Таким посредником чаще всего выступают предприятия розничной торговли. Кредитный договор в этом случае заключается между клиентом и магазином, который в последующем порядке получает ссуду в банке. О распространенности подобной формы кредитования свидетельствует, например, тот факт, что в настоящее время свыше 60% ссуд, выдаваемых американцам на приобретение автомобиля, представляют собой косвенный кредит.
Прямое и косвенное банковское кредитование имеет свой преимущества и недостатки. Первое, что выгодно отличает прямое банковское кредитование от косвенного, - это простота организации кредитного процесса, которая позволяет точно оценить объект кредитования, выяснить экономическую целесообразность выдачи ссуды и организовать действенный контроль за ее использованием и погашением. Все это, несомненно, положительно влияет на организацию кредитных отношений банка с заемщиком. К негативным факторам, с позиций банка, связанным с прямым банковским кредитованием, обычно относят несколько более высокий уровень риска, чем при косвенном банковском кредитовании. Чем обусловлен подобный вывод?
Во-первых, тем, что современная практика кредитования в нашей стране имеет ряд сложностей: а) глубокий анализ кредитоспособности клиентов на стадии, предшествующей выдаче ссуды, проводят далеко не все коммерческие банки; б) методики анализа кредитоспособности не всегда отвечают требованиям практики; в) наличие обеспечения по ссуде нередко носит формальный характер.
Во-вторых, макроэкономическая ситуация в стране (экономическая, политическая, социальная нестабильность, инфляция, платежный кризис и т.д.) также негативно отражается на организации кредитного процесса.
Косвенное банковское кредитование позволяет банку сократить влияние рисков (кредитных, процентных, валютных, рыночных и пр.), поскольку ссуды, предоставляемые, например, юридическим лицам (торговым организациям, предприятиям, фирмам и т.д.), позволяют с большей степенью достоверности и реальности определить кредитоспособность заемщика (юридического лица), возможности погашения ссуды в срок и полностью, организовать действенный контроль, в том числе на стадии погашения ссуды. С точки зрения клиента, важно также, что он: а) получает ссуду в момент возникновения потребности в ней (в торговой организации при покупке товаров длительного пользования, например, по кредитной карте), б) для него нет необходимости обращаться в банк с просьбой о выдаче ссуды и т.д.
Приведенная классификация условна, так как в банковской практике подчас невозможно выделить тот или иной вид ссуды в "чистом виде" в соответствии с определенным признаком классификации. Вместе с тем представленная классификация отражает многообразие ссуд, но не исчерпывает всех возможных критериев классификации, в силу чего ее можно продолжить в зависимости от других признаков.
Все кредитные операции осуществляются коммерческими банками в соответствии с договорами, заключенными с клиентами. Кроме кредитного договора для оформления ссуды клиенты представляют в банк срочное обязательство (обязательство-поручение), залоговое или гарантийное обязательство и заявление на получение ссуды.
При нарушении заемщиком обязательств по кредитному договору коммерческий банк вправе досрочно взыскать предоставленные ссуды и начисленные проценты, если это предусмотрено договором, обращать взыскания на заложенное имущество в порядке, установленном федеральным законом. Более того, банк обязан предпринять все предусмотренные законодательством Российской Федерации меры для взыскания задолженности. В этом отношении коммерческий банк вправе обратиться в арбитражный суд с заявлением о возбуждении производства по делу о несостоятельности (банкротстве) в отношении заемщиков, не выполняющих свои обязательства по возврату полученных кредитов.
Наряду с операциями по привлечению средств в депозиты ссудные и расчетные операции относятся к числу важнейших операций банка.
РАСЧЕТНЫЕ ОПЕРАЦИИ - операции по зачислению и списанию средств со счетов клиентов, в том числе для оплаты их обязательств перед контрагентами. Коммерческие банки производят расчеты по правилам, формам и стандартам, установленным Банком России, при отсутствии правил проведения отдельных видов расчетов - по договоренности между собой, при выполнении международных расчетов - в порядке, установленном федеральными законами и правилами, принятыми в международной банковской практике.
Коммерческие банки, Банк России обязаны перечислять средства клиента и зачислять средства на его счет не позднее следующего операционного дня после получения соответствующего платежного документа. В случае несвоевременного или неправильного зачисления на счет или списания со счета клиента денежных средств кредитная организация, Банк России выплачивают проценты на сумму этих средств по официальной процентной ставке Банка России.
КАССОВЫЕ ОПЕРАЦИИ - операции по приему и выдаче наличных денежных средств. Более широко кассовые операции можно определить как операции, связанные с движением наличных денежных средств, а также формированием, размещением и использованием денежных средств на различных активных счетах банка (включая счет "Касса" и корреспондентские счета в других банках) и счетах клиентов коммерческого банка.
ИНВЕСТИЦИОННЫЕ ОПЕРАЦИИ - операции по инвестированию банком своих средств в ценные бумаги и паи небанковских структур в целях совместной хозяйственно-финансовой и коммерческой деятельности, а также размещенные в виде срочных вкладов в других кредитных организациях. Особенность инвестиционных операций коммерческого банка от кредитных операций заключается в том, что инициатива проведения первых исходит от самого банка, а не его клиента. Это инвестиционная деятельность самого банка.
ФОНДОВЫЕ ОПЕРАЦИИ - операции с ценными бумагами (помимо инвестиционных).
К фондовым операциям относятся:
Кроме того, активные операции банков делятся в зависимости от:
• степени рискованности - на рисковые и риск-нейтральные;
• характера (направлений) размещения средств - на первичные (операции, связанные с размещением средств на корреспондентском счете, в кассе, с выдачей ссуд клиентам, другим банкам, некоторые иные операции), вторичные (операции, связанные с отчислениями средств в резервный и страховой фонды) и инвестиционные (операции по вложению средств банка в собственный портфель ценных бумаг, в основные фонды, по участию в хозяйственной деятельности других предприятий и организаций);
• уровня доходности - на операции, приносящие доход (высокодоходные и низкодоходные, приносящие доход стабильный или нестабильный) и не приносящие дохода (к последним можно отнести операции с наличностью, по корреспондентскому счету, по отчислению средств в резервный фонд Центрального банка РФ, выдаче беспроцентных ссуд, пролонгированию и отсрочке ссуд, когда проценты за пользование ссудами не уплачиваются).
3. Активно-пассивные операции банков - комиссионные, посреднические операции, выполняемые банками по поручению клиентов за определенную плату - комиссию. Именно эту группу банковских операций обычно называют услугами. Различают расчетные услуги, связанные с осуществлением внутренних и международных расчетов, трастовые услуги по купле-продаже банком по поручению клиентов ценных бумаг, инвалюты, драгоценных металлов, посредничество в размещении акций и облигаций, бухгалтерское и консультационное обслуживание клиентов и прочие.
КОМИССИОННЫЕ ОПЕРАЦИИ - операции, осуществляемые банками по поручению, от имени и за счет клиентов; приносят банкам доход в виде комиссионного вознаграждения.
К данной категории операций относятся:
• операции по инкассированию дебиторской задолженности (получение денег по поручению клиентов на основании различных денежных документов);
• переводные операции;
• торгово-комиссионные (торгово-посреднические) операции (покупка и продажа для клиентов ценных бумаг, драгоценных металлов; факторинговые, лизинговые и др.);
• доверительные (трастовые) операции;
• операции по предоставлению клиентам юридических и иных услуг. Особое внимание при проведении доверительных операций банки уделяют счетам клиентов в иностранных валютах. Обычно рекомендуется диверсифицировать средства на таких счетах в несколько наиболее стабильных валют (например, 50% - в доллары США, 30% - в немецкие марки, 10% - в фунты стерлингов, 10% - в швейцарские франки). Подобная диверсификация позволяет избежать потерь, связанных с резкими колебаниями курсов тех или иных валют. Для удобства ведения учета многие банки пересчитывают средства клиентов во всех валютах в общепринятые единицы (например, ЭКЮ). Если же клиент не давал банку специальных указаний относительно выбора валюты вклада, суммы в иностранных валютах, поступающие на его счет, пересчитываются банком в любую валюту.
Наконец, все операции банка делят на:
• ликвидные и неликвидные;
• операции в рублевом и валютном выражении;
• регулярные ( совершаемые банком периодически, постоянно воспроизводимые им) и иррегулярные (носящие для банка случайный, эпизодический характер);
• балансовые и забалансовые.
На последней категории операций следует остановиться подробнее, тем более что сейчас объем забалансовых операций, выполняемых ведущими банками мира, стремительно возрастает.
Термином "забалансовые операции" обозначается широкий круг операций, которые, как правило, не отражаются в официально публикуемых банковских балансах или даются под чертой в разделе "контр-счетов" ("забалансовых" счетов). Забалансовые операции могут проводиться банками как с целью привлечения средств (пассивные операции), так и их размещения (активные). Кроме того, если банки проводят забалансовые операции за определенное вознаграждение (комиссию) по поручению клиента, то их относят к активно-пассивным операциям или банковским услугам.
Особенность забалансовых операций состоит в том, что значительная их часть представляет собой обязательство банка совершить активную (реже - пассивную) операцию при наступлении (возникновении) определенных, заранее оговоренных условий. Таким образом, особенностью большей части забалансовых операций является их условный характер, поэтому они часто называются условными обязательствами.
Забалансовые операции - не новое явление в мировой банковской деятельности. Кредитные учреждения и раньше проводили их отдельные виды, например трастовые (доверительные) операции, форвардные валютные сделки, операции с документарными и резервными аккредитивами. Но до недавнего времени объем забалансовой деятельности был относительно незначителен и не определял лицо банковской системы. Положение резко изменилось в начале 80-х гг. Забалансовые операции превратились в одно из ведущих направлений банковской деятельности. Доходы от них играют все возрастающую роль в формировании банковской прибыли. Наибольшее развитие забалансовая деятельность получила у американских банков. Насчитывается более тридцати разновидностей забалансовых операций, которые позволяют банкам решать следующие основные задачи:
• страхование и перераспределение рисков между участниками рынка, в особенности кредитного и рыночного;
• расширение доступа к кредитным ресурсам и снижение стоимости заимствований;
• получение дополнительной прибыли и повышение доходности активов;
• сохранение требуемого органами банковского надзора соотношения между капиталом и активами при увеличении объема операций;
• управление активами и пассивами;
• проведение спекулятивных операций.
Основа кредита
Познание сущности кредита предполагает раскрытие его основы. В современной экономической литературе "основа" трактуется неодинаково. Часто под этим словом понимается та база, на которой зарождаются и развиваются кредитные отношения. Таким материальным основанием кредита в наиболее общем виде обычно считается товарное производство, более конкретно - кругооборот и оборот капиталов субъектов производства. Подобное толкование основы кредита как его базы, его материальной причины имеет определенный смысл, ведь с терминологической точки зрения это слово означает основание, фундамент. При такой постановке вопроса очевидно и другое - анализ как бы смещается в сторону выяснения причин, которые вызывают образование кредита, нас же интересует сущность кредита.Определенные плоскости анализа возникают и в том случае, если основа понимается как правила, регулирующие управление кредитным процессом. К ним довольно часто относят принципы кредитования (срочность кредита, его материальная обеспеченность), которые большинство авторов рассматривают как надстроечные элементы, как способы, с помощью которых обеспечивается реализация сущности кредитных отношений. Подобное направление анализа имеет полное право на существование, так как в системе кредитования должно быть некое ядро, которое предопределяет все другие составляющие элементы системы. В этом смысле принципы кредитования можно назвать основой, а все другие составляющие его механизма - обоснованными.
Однако для целей анализа сущности подобный подход оказывается недостаточным. При таком понимании основа (как правило, способы кредитования) является объективированной, но не объективной категорией. В данном случае интерес представляет не процесс организации кредитных отношений, а их базисная сторона. Основа кредита - это наиболее глубокая часть сущности кредитных отношений, это то, на чем "держится" сущность и чем она определяется. Можно также предположить, что она составляет главное в сущности, определяющее свойство кредита, влияющее на все другие свойства.
Определяющим звеном, главным в сущности кредита, некоторые авторы иногда считают уплату ссудного процента. На первый взгляд для этого действительно есть серьезные причины: ссудный процент неизбежно существует рядом с кредитом, без него кредитная сделка представляется противоестественной. Кажется, что без процента нет и кредита.
В одной из книг начала XX в., посвященных кредиту и банкам, приводятся примеры, как один крестьянин передавал телегу во временное пользование. Является ли, спрашивает автор книги, такая передача вещи во временное пользование кредитом? Ведь здесь имеет место все - и передача, и возвращение вещи через определенный период времени. Тем не менее кредитом, считает автор, здесь можно назвать лишь такую сделку, когда крестьянин возвращает не только телегу, но и в виде платы кладет туда мешок овощей.
В современном хозяйстве ссудный процент как бы становится атрибутом кредита, становится его свойством. Вместе с тем ссудный процент порождается не самим кредитом, а круговращением стоимости, которое свойственно капиталу. Это свойство не кредита, а использования средств как капитала. Ссудный процент выражает другое экономическое отношение, отличное от кредита, служит другой экономической категорией, возникающей при определенных условиях. Кредит является категорией обмена, в то время как ссудный процент выступает распределительной категорией.
В истории развития кредита существуют многочисленные примеры беспроцентных ссуд. В римском праве, например, кредиты подразделяются на ссуды, по которым уплачивался процент, и ссуды, по которым процент не взыскивался. В современном хозяйстве беспроцентными зачастую выступают дружеские, личные кредиты (кредиты друзьям, близким знакомым, родственникам). Даже современный банковский кредит может приобретать беспроцентный характер (кредиты инсайдерам -акционерам банка и др.). Беспроцентными в особых случаях могут быть и международные кредиты, предоставляемые в порядке помощи развивающимся странам.
Означает ли это, что современный кредит может существовать без ссудного процента? Видимо, нет. Признаком современной системы кредитования служит взыскание процента по ссудам. Связано это в том числе и с тем, что банковский кредит предоставляется главным образом на базе привлеченных средств, которые для банка выступают как платные ресурсы. Банки как коммерческие предприятия экономически не могут покупать ресурсы за плату, а продавать свои кредиты на бесплатной основе. Платный характер кредита порождает его движение как капитала. Поэтому и взыскание ссудного процента становится неотъемлемым правилом современной системы кредитования.
Исходя из представленных суждений, нетрудно заметить, что основа кредита превращается в наиболее принципиальный вопрос, от решения которого зависит понимание сущности кредита.
На наш взгляд, более правильно считать, что основой кредита является возвратность. Возвратность кредита, вне зависимости от стадий движения ссужаемой стоимости, выступает всеобщим свойством кредита. В процессе анализа кругооборота ссужаемой стоимости видно, что возвратность пронизывает все движение кредита, все стадии этого движения, будь то размещение и получение кредита или использование кредита, высвобождение стоимости, либо передача стоимости от заемщика к кредитору. Возвратность представляет собой специфическое свойство, определяющую черту, присущую кредитным отношениям.
Возвратность не возникает сама по себе: она базируется на материальных процессах, на завершении кругооборота стоимости. Однако завершение кругооборота стоимости - это не возврат, высвобождение стоимости лишь подготавливает почву для возврата. Возврат кредита (в отличие от финансов) наступает в тот момент, когда высвободившиеся средства дают возможность ссудополучателю вернуть денежные средства, полученные во временное пользование. Возвратность выражает двусторонний процесс, она одинаково важна как для кредитора, так и для заемщика. Для кредитора ссужение стоимости - это не акт дарения; кредитор только потому и дает деньги (ценность) взаймы, что предполагает неизбежность их обратного притока. Для заемщика получение кредита - это также не дар, ему необходимо так использовать ссуду, чтобы обеспечить своевременное высвобождение стоимости и ее возврат.
При возвратном движении стоимости важна и юридическая сторона. Собственность на стоимость, передаваемую на определенный срок, не переходит от кредитора к заемщику. Собственником в кредите остается первоначальный кредитор, заемщик становится лишь временным владельцем ссужаемых средств.
Возвратность кредита - как бы возвратность в квадрате. Первоначально ссуженная стоимость возвращается, совершая круговращение в хозяйстве заемщика, высвободившиеся в результате такого круговращения средства заемщик передает затем своему кредитору. Подобное движение ссуженной стоимости существенно отличает кредит от других экономических категорий. Оно имеет принципиальное значение для практики: банки, аккумулирующие временно свободные ресурсы, не могут распоряжаться ими как своими капиталами. Собственником денежных средств, которые размещает банк на кредитной основе, остаются другие юридические и физические лица. Поэтому каждое решение о выдаче кредита должно соотноситься с тем, может ли банк получить обратно денежные средства, которые он разместил в виде кредита. Возвратность - объективное свойство. Это означает, что общество не может ее отменить, не изменив суть сделки. Лишь на базе объективных качеств кредитной сделки можно эффективно управлять кредитными потоками. Банк не имеет права размещать аккумулированные ресурсы на безвозвратной основе, так как он должен возвратить их истинным владельцам.
Возвратность, свойственная кредиту, получает юридическое закрепление в соответствующем договоре, который заключают участники кредитной сделки и который фиксирует соглашение сторон, юридически закрепляет необходимость возвращения временно позаимствованной стоимости.
На этом анализ основы кредита можно было и завершить, если бы не одна немаловажная проблема. Дело в том, что у кредита есть и социально-экономическая сторона.
Как отмечалось ранее, кредит является порождением общественных потребностей. В этом смысле социально-экономическая основа кредита заложена в его общественном характере. Вне зависимости от типа общественно-экономических формаций кредит служит их целям. Кредит способствует реализации только таких общественных целей, при которых:
• обеспечивается возвращение ссужаемой стоимости;
• интересы кредитора и заемщика совпадают;
• не допускается превалирование интересов одной из сторон кредитных отношений.
Экономическая и социально-экономическая стороны основы кредита тесно взаимосвязаны друг с другом. Из истории кредита можно привести многочисленные примеры, когда акценты на потребности заемщика в ущерб интересам кредитора в конечном итоге приводили к задержке и даже потере возврата ссуд. Стремление кредитора заработать на заемщике, поглотить не только прибавочный, но и необходимый продукт (например, при ростовщическом кредите) приводило к разрушению экономики, фактическому свертыванию данной формы кредитных отношений.
В результате анализа основы кредита его сущность можно определить как движение стоимости на началах возвратности в интересах реализации общественных потребностей.
Данная характеристика кредита не исключает других определений его сущности. Сущность как выражение специфического имеет немало разнообразных оттенков. Уместить их в одном определении представляется затруднительным. В связи с этим определений сущности кредита может быть несколько, и каждое из них может выражать то или иное его качество, ту или иную деталь, характерную для его структуры, состава участников, стадий движения и основы кредита. Так, можно предположить, что кредит - это:
• взаимоотношения между кредитором и заемщиком;
• возвратное движение стоимости;
• движение платежных средств на началах возвратности;
• движение ссуженной стоимости;
• движение ссудного капитала;
• размещение и использование ресурсов на началах возвратности;
• предоставление настоящих денег взамен будущих денег и др.
Преимущество этих и других определений состоит в том, что каждое из них охватывает ту или иную сторону сущности кредита. Недостаток их заключается в том, что каждое из них в известной степени является ограниченным, не выражает всей сущности, не сможет поэтому претендовать на исчерпывающую характеристику. Было бы спорным при этом, если бы акцент делался на одном из них, в ущерб другим глубинным качествам кредитных отношений.
Неверными выглядят и попытки выразить суть кредитных отношений через вскрытие их внешних качеств. В связи с этим вызывают возражения такие трактовки кредита, как: 1) денежные отношения; 2) формы распоряжения средствами; 3) аккумуляция и перераспределение временно свободных денежных средств.
Определение кредитных отношений как денежных отношений исключают другие, неденежные формы кредита. Кредит как экономическая категория выражает свою суть независимо от того, в какой форме он выступает. Предоставление кредита в товарной форме не подтверждает его характеристику только как денежных отношений.
В трактовке кредита как формы распоряжения средствами исчезает специфический элемент, затрагивающий сущностные черты этой экономической категории. Распоряжение ресурсами свойственно не только кредитным отношениям - распоряжаться можно и собственными средствами предприятий и организаций, а также финансами; данное качество, следовательно, не только не выделяет кредит из ряда других экономических отношений, но, напротив, как бы "растворяет" его в их массе.
Наконец, нет достаточных оснований и в определении кредита как формы аккумуляции и перераспределения временно свободных денежных средств. Аккумуляция не выражает сущностный атрибут движения ссуженной стоимости. Накопление ресурсов, их аккумуляция в целях предстоящих затрат может осуществляться не столько в интересах их предоставления на началах кредита, сколько для использования накопленных ресурсов на нужды собственного производства, где они выступают не как полученные в кредит, а как собственные средства. Факт аккумуляции ресурсов не входит органически в понятие кредита, не может характеризовать сущность кредитных отношений. Перераспределение представляет собой не суть экономических отношений, а лишь одно из проявлений их сути.
Не претендуя на полное выражение сущности кредита, можно было его охарактеризовать как передачу кредитором ссуженной стоимости заемщику для использования на началах возвратности и в интересах общественных потребностей.
Вопросы для самоконтроля
1. Каковы факторы, обусловливающие необходимость кредита?
2. Какую роль в кредите играет доверие?
3. Чем кредит отличается от найма рабочей силы?
4. Почему страхование не является кредитом?
5. Чем кредит отличается от финансов?
6. Что важно проанализировать при раскрытии сущности кредита?
7. Что такое структура кредита?
8. Каковы стадии движения кредита?
9. Что такое основа кредита и в чем она выражается?
10. Каковы определения сущности кредита?
11. Какие определения сущности кредита дискуссионные?
Основные направления антиинфляционной политики
Природа инфляции в России и причины, ее усугубляющие, не характерны для стран с рыночной экономикой. Здесь переплелись экономические и политические факторы, денежные и воспроизводственные. На путь рыночных преобразований страна вступила со специфической инфляцией планово-распределительной системы, на которую стали давить мощные факторы инфляции издержек. На фоне глобального товарного дефицита происходят: огромный отток материальных и валютных ресурсов России в ближнее и дальнее зарубежье, вытеснение импортом отечественного производства, масштабный разрыв хозяйственных связей из-за распада СССР, ослабление внутрироссийского экономического сотрудничества и катастрофический спад производства, разрушение сверхмонополизированного производства без создания рыночной инфраструктуры и конкуренции, искусственное административное сдерживание инфляции, нарастающие неплатежи во всех экономических структурах, огромные внутренние и внешние займы и т.д.Уникальный характер российской инфляции требует использования особых методов ее регулирования, соответствующих современным реальным условиям российской экономики. Антиинфляционная программа должна учитывать реальное развитие рыночных отношений, возможность использования рыночных механизмов с государственным регулированием в условиях глубочайшего финансового кризиса.
Цель антиинфляционной политики государства состоит в том. чтобы установить контроль над инфляцией и добиться приемлемых для народного хозяйства темпов ее роста.
Попытки справиться с инфляцией путем рестрикционной денежной политики в российских условиях имеют значительно более негативные последствия, чем сама инфляция, так как отбрасывают экономику назад за счет снижения уровня производства, нарастания неплатежей во всех секторах экономики, откладывания выплат по государственному внешнему и внутреннему долгу. Крайне негативные последствия имеет такая политика и для социальной сферы: возрастает безработица, своевременно не выплачиваются заработная плата, пенсии, пособия, резко снижается жизненный уровень населения.
Поскольку рыночные отношения в России только формируются, еще не создана в полной мере законодательная база, не закончен процесс разгосударствления и приватизации собственности, необходимо прежде всего определиться с целями и границами реформ, проводимых в стране с учетом социально-экономических последствий. В связи с этим должна быть четко определена финансовая стратегия государства. направленная на создание предпосылок финансовой стабилизации и экономического роста в условиях рыночных отношений с использованием экономических методов государственного регулирования.
Основным фактором в борьбе с инфляцией являются преодоление экономического спада, кризиса неплатежей, спада инвестиционной активности. формирование стабильной рыночной инфраструктуры. Оздоровление экономики связано с поддержкой приоритетных отраслей народного хозяйства, стимулированием экспорта продукции, в том числе экспорта вооружений, разумной протекционистской политикой и политикой валютного курса, способствующих решению вопросов конкурентоспособности отечественных товаров, а не спаду производства, как это происходило при установлении "коридора" допустимого изменения валютного курса.
Большое значение в антиинфляционной политике имеют структурная перестройка экономики и приспособление ее к потребностям рынка за счет грамотной конверсии военно-промышленного комплекса, демонополизации и регулирования деятельности существующих монополий, стимулирования конкуренции в производстве, распределении, секторе услуг и т.д.
В сложившихся условиях решающим фактором борьбы с инфляцией будет возможность восстановления государственных структур управления и контроля за ценами и доходами, распределением и перераспределением материальных и финансовых ресурсов при сохранении курса на преимущественное применение свободных рыночных цен. Государству не обойтись без регулирования цен на энергоносители, на продукцию, выпускаемую монопольными структурами, транспортные услуги. Необходимо государственное вмешательство в ликвидацию ножниц цен на промышленную и сельскохозяйственную продукцию.
Как и во многих цивилизованных странах с рыночной экономикой, должна быть создана система ценового соглашения между производителями, профсоюзами и правительством по всей технологической цепочке производства и с учетом реального платежеспособного спроса потребителей.
При переходе к рынку необходима цивилизованная приватизация на основе учета реальных экономических, технологических и экологических потребностей общества, на базе реальной оценки приватизируемого имущества, обеспечивающего соответствующие поступления средств в государственный бюджет. Для достижения эффективности экономики необходимо искать разумное соотношение между всеми формами собственности.
На базе этих преобразований может быть осуществлен комплекс мер макроэкономической политики, связанной с формированием и развитием единого общероссийского рынка товаров, кредита, валюты, фондового рынка, рынка недвижимости, земли, труда и т.д. Большую роль в этом играет восстановление экономического союза стран СНГ с учетом взаимных интересов и интересов России.
Блокировка финансовых факторов инфляции связана с сокращением дефицита бюджета за счет решения проблем собираемости налогов.
Особое внимание в антиинфляционной политике должно быть уделено совершенствованию налоговой системы:
• сокращению количества взимаемых налогов;
• отказу от использования инфляции как источника финансирования бюджета. С этой целью необходимо регулярно переоценивать основные фонды, индексировать все ограничители доходов предприятий, выступающих в абсолютных суммах, корректировать отчеты о прибылях и убытках;
• пересмотру налоговых платежей, включаемых в издержки производства, которые стимулируют рост цен: отчислений в пенсионный фонд, фонд социального страхования, фонд занятости населения, платы за землю, налога на имущество и т.д.;
• изменению методики налогообложения;
• ликвидации государственной задолженности перед отраслями и сферами народного хозяйства;
• регулированию перераспределительных отношений между бюджетами федерации и бюджетами регионов.
Поскольку в бюджетных расходах большую долю составляют расходы по обслуживанию внешнего и внутреннего долгов, для сдерживания инфляции важно определить пределы внешних заимствований и предоставления российских кредитов иностранным государствам. Пока внешние заимствования России значительно превышают возможности страны по возврату текущих платежей. Необходимо активнее использовать различные формы регулирования обязательств страны и реализации ее долговых активов.
Важным направлением в антиинфляционной политике являются дальнейшее развитие и государственное регулирование валютного и финансового рынков, а также совершенствование механизма формирования валютного курса.
Основой внешнеэкономической деятельности продолжают оставаться развитие экспорта и укрепление его базы, что требует обеспечения эффективного экспортного и валютного контроля с целью остановить "бегство" капитала за рубеж и обеспечить своевременность и полноту уплаты налогов по этим операциям. Страна нуждается в программе возвращения российских капиталов, а также в привлечении иностранных капиталов для инвестиций.
Необходимо нейтрализовать внешние факторы инфляции за счет использования налоговых пошлин и развития импортозаменяющих производств, а также ограничить долларизацию экономики, которая сейчас по существу служит параллельной валютой.
Большое значение для сдерживания инфляции может иметь перестройка экспорта и импорта: переход с сырьевой ориентации экспорта на технологические виды продукции, а также отказ от бросовых цен, по которым реализуется отечественное сырье и теряется экспортная выручка на десятки миллиардов долларов в год.
Одну из определяющих ролей в проведении антиинфляционной политики играет Центральный банк РФ, который осуществлял денежно-кредитное регулирование. Он должен ориентироваться не только на снижение инфляции, но и на более равновесное развитие экономики, а также смягчить ограничения денежной массы в обращении и добиваться улучшения ее структуры, поскольку более высокие темпы роста менее ликвидных компонентов денежной массы способствуют ослаблению инфляционного давления, сокращение же объема наличных денег сокращает темпы инфляции. Улучшение структуры денежной массы предполагает и более активное воздействие ЦБ РФ на оборот, обслуживаемый квази деньгами, денежными суррогатами.
Необходимо прямое управление кредитной эмиссией, используемой на восстановление хозяйственных связей, подъем производства, восстановление банковской системы. Для сдерживания инфляции нужна поддержка инвестиционной активности коммерческих банков, как это применяется в мировой практике (хотя бы в рамках льгот по созданию обязательных резервов в ЦБ РФ).
Большое значение для борьбы с инфляцией имеет снятие инфляционных ожиданий как у хозяйствующих структур, так и у населения, что в значительной мере может быть обусловлено экономической и политической стабильностью в стране, более взбешенными выступлениями в средствах массовой информации.
Успешное осуществление антиинфляционной политики возможно только на основе разработки нормативных актов, регулирующих все сферы рыночных отношений и безусловного выполнения существующего законодательства.
Вопросы для самоконтроля
1. В чем заключается сущность инфляции? Связана она с ростом стоимости жизни или падением покупательной способности денег?
2. Всем ли общественно-экономическим формациям присуща инфляция?
3. Как инфляция связана с ростом цен? Всегда ли рост цен - признак инфляции?
4. Какие условия вызывают возникновение инфляционных процессов?
5. Как проявляется инфляция в условиях планово-регулируемой экономики и в условиях рыночной экономики?
6. Каковы формы проявления "подавленной" инфляции в зависимости от общественно-экономических отношений в стране?
7. Как параллельное обращение устойчивой и падающей валюты влияет на развитие инфляции? Какова роль иностранных займов в этом процессе?
8. Чем обусловлена корректирующая инфляция? Приведите примеры корректирующей инфляции.
9. Какова взаимосвязь инфляции и безработицы?
10. Каковы социально-экономические последствия инфляции? Одинаковы ли они для стран с разными экономическими условиями?
11. Как диспропорции в развитии народного хозяйства СССР влияли на инфляционные процессы в стране?
72. Каковы причины инфляции спроса и инфляции издержек в условиях планово-распределительной системы?
13. Каковы специфические условия инфляции в России при переходе к рыночным отношениям?
14. Какое влияние на сдерживание инфляционных процессов в России оказала денежно-кредитная политика государства?
15. Каковы основные направления антиинфляционной политики государства?
16. Существуют ли пределы "сжатия" денежного оборота в борьбе с инфляцией?
17. Каковы последствия в обслуживании ВВП денежными суррогатами для инфляционных процессов?
Основы организации денежного оборота
Современная экономика любого государства представляет собой широко разветвленную сеть сложных отношений миллионов входящих в нее хозяйствующих субъектов между собой, а также с внешними агентами из других стран. Основой этих взаимосвязей выступают расчеты и платежи, в процессе которых удовлетворяются взаимные требования и обязательства.С помощью потока денег в наличной и безналичной формах - денежного оборота как совокупности всех платежей, опосредуюших движение стоимости в денежной форме между финансовыми и нефинансовыми агентами во внутреннем и внешнем экономических оборотах страны за определенный период, - обеспечиваются реализация валового продукта, использование национального дохода и все последующие перераспределительные процессы в экономике.
Главные составляющие денежного оборота: налично-денежный и безналичный обороты. Основная часть его платежный оборот, в котором деньги функционируют как средство платежа, используются для погашения долговых обязательств. Он производится как в наличной так и в безналичной формах. Весь безналичный оборот - платежный ибо предполагает разрыв во времени движения товара в различных его разновидностях и денежных средств, т.е. функционирование денег в качестве средства платежа. Безналичный платежный оборот, являясь преобладающим (до 90% всего денежного оборота) осуществляется в виде записей по счетам плательщиков и получателей денежных средств в кредитных учреждениях, путем зачетов взаимных требований и передачи оборотных документов (векселей, варрантов и т.п.). Соответственно экономические процессы в народном хозяйстве опосредуются преимущественно безналичным платежным оборотом.
Счет в банке - сердцевина его взаимоотношений с клиентом, а рост суммы средств на счете нередко рассматривается как главный показатель работы предприятия. Типы счетов, используемых для расчетных операций, самые разнообразные, среди них выделяются счета до востребования для обслуживания текущей (основной) деятельности, называемые с учетом особенностей каждой страны, например, во Франции- текущие, в США - чековые, в Германии - жиросчета, в России - расчетные. Операции по расчетному счету предприятия показывают изменения его долговых требований и обязательств и в рамках предприятия отражают распределение и перераспределение ВНП и НД. Сюда поступают: выручка от реализации продукции (выполненных работ, оказанных услуг), включая часть экспортной выручки от нерезидентов в результате обязательной продажи на внутреннем валютном рынке и пр. С расчетного счета удовлетворяются долговые обязательства по выплате заработной платы работающим, отчислениям налогов в бюджет, взносам во внебюджетные фонды, страховым платежам, оплате сырья, материалов, топлива, энергии, комплектующих соответствующим поставщикам, погашению ссуд, векселей и других финансово-кредитных инструментов. В целом же банковская система выступает исходным пунктом кругооборота наличных денег и безналичных платежей, а создание платежных средств, являющееся ее важнейшей функцией, тесно связано с проводимыми этой системой кредитными операциями. Денежные средства на расчетных и других аналогичных счетах в банках отражаются посредством записи остатков, оборотов по лицевым счетам вследствие безналичных расчетов. Главный источник этих средств - ссуды банков по известной формуле Loans make deposits - ссуды создают вклады. Когда банк предоставляет кредит клиенту, он открывает ему счет до востребования в пассиве своего баланса на сумму выданной ссуды. При этом активы банка увеличиваются на данную сумму долгового требования клиенту и одновременно увеличиваются пассивы, куда поступает ссуда. Поскольку предприятия, частные лица в процессе расчетно-кассового обслуживания напрямую связаны с банками, прерогативой именно последних выступает превращение долговых требований к своим клиентам в платежные средства. Открывая им счета до востребования, банки тем самым увеличивают денежную массу. Затем вклады мобилизуются клиентами посредством чеков или поручений по перечислениям в процессе безналичных расчетов. Связь последних с кредитными отношениями очевидна: во-первых, в силу того, что при их проведении деньги выполняют функцию средства платежа (погашения долгов); во-вторых, разрыв во времени между началом и окончанием платежа придает последнему кредитный характер, а проводимая при этом платежная операция является по сути и кредитной, опосредующей кредитные отношения с организациями, оказывающими платежные услуги, как правило, банками. Например, перечисление средств со счета согласно поручению плательщика означает уменьшение ему долга со стороны банковской системы и увеличение - получателю средств.
Таким образом, денежная масса представляет собой результат взаимодействия двух потоков. Один поток - выпуск денег, означающий распределение платежных средств через банки среди экономических агентов, испытывающих потребность в деньгах: другой - возврат денег должниками, имеющий место при уменьшении долговых требований в активах банков из-за уплаты долгов. Ввиду того, что выпуск платежных средств происходит активнее, чем возврат, денежная масса имеет тенденцию к увеличению. Производные денежного оборота - денежная масса и объем кредитов - наряду с валютным курсом служат главными объектами денежно-кредитной политики. В управлении этими объектами значительную роль играет исследование их исходных начал - денежных и кредитных потоков (оборотов) путем учета и анализа всех операций (сделок), осуществляемых посредством денег и кредита. Такие потоки могут подразделяться по основным видам сделок, подразделениям и секторам экономики, регионам, вплоть до потоков в каждом первичном звене общественного производства - предприятии, Большой опыт разработки учета потоков накоплен в США, где подобная отчетность по инициативе Совета управляющих Федеральной резервной системы является регулярной.
В процессе реформирования экономики России делаются только первые шаги в данной области с целью углубления анализа денежной политики, что во многом связано с платежным кризисом в народном хозяйстве, обусловившим по сути его "товарно-безденежный характер" и приведшим к разрушению платежно-расчетных отношений между предприятиями, банками и государством. Из-за отсутствия в стране нормального платежного оборота нередко имело смысл изучение лишь частных вопросов платежного оборота. Банком России периодически проводятся исследования отдельных элементов платежного оборота по данным своих подразделений. Разовые региональные обследования платежного оборота проводятся и рядом Главных управлений Банка России, особенно в Москве, Санкт-Петербурге, Новосибирске.
Министерством финансов России сделана попытка изучения платежного оборота на микроуровне. Введена отчетность для юридических лиц (кроме бюджетных учреждений, страховых организаций и банков) о движении денежных средств. Она во многом сходна с формой платежного календаря как элемента оперативного финансового планирования и по существу представляет отчет о выполнении намеченных показателей. Подобная информация обеспечивает оперативный контроль за поступлением и использованием денежных (особенно наличных) средств предприятий-налогоплательщиков, а также состоянием расчетов в народном хозяйстве. Обобщение информации по отраслям, регионам и другим массивам данных позволяет проанализировать и соответствующие денежные потоки реального сектора экономики.
Представляет интерес также система платежного мониторинга, разработанная в начале 90-х гг. ЦЭМИ РАН и ГВЦ Банка России, суть которой состоит в отслеживании всех первичных платежных документов, отражающих проведение коммерческой операции, записи данных платежного оборота в блочном матричном балансе - квадратной системе счетов, дeбеты которых расположены по вертикали, а крeдиты - по горизонтали. Платежный мониторинг рекомендуется использовать финансово-промышленным группам (ФПГ) для контроля за информационными потоками, циркулирующими внутри ФПГ.
Особенности построения банковских систем
Актуальность в условиях перехода к рынку приобретают перспективы развития банковской системы, в том числе российских банков и других кредитных институтов. Разработка таких перспектив возможна лишь на основе изучения функционирования российских, а также зарубежных банков. В настоящее время в России на страницах экономической печати, в дискуссиях на научных и практических конференциях широко обсуждаются возможности построения двухуровневой банковской системы, а также реорганизации существующих кредитных организаций. Идет процесс создания новых, реорганизации действующих банков, развивают свою деятельность банковские ассоциации, союзы. Вместе с тем необходимо подчеркнуть, что механическое изменение структуры банков без существенного преобразования сути их деятельности не сможет привести к реальному улучшению их работы, а следовательно, и оказать положительное воздействие на экономику страны.Исторический опыт свидетельствует, что та или иная структура банковской системы зависит от конкретных общественно-экономических условий. На практике используются различные модели построения банковских систем при главенствующей роли центрального банка. Тем не менее можно выделить следующие особенности банковских систем:
уникальность систем, обусловленная национальными традициями, историческим опытом развития. Банковские системы разных стран, их организационная структура зависят от многих факторов (объективных и субъективных), к числу которых наряду с историческими, национальными традициями следует отнести также степень развития товарно-денежных отношений в стране, общий уровень роста экономики, способы регулирования денежного обращения (прямой и косвенный) и др. Например, на Североамериканском континенте две высокоразвитые страны мира - США и Канада, находящиеся в непосредственной близости друг к другу, имеют прямо противоположные подходы к организации своих банковских систем. В США насчитывается около 12 тыс. банков, в Канаде - всего шесть банков, имеющих филиалы и отделения на территории всей страны. Следовательно, вопрос заключается не в количестве банков как таковых, а в численности банковских учреждений (филиалов, отделений, агентств), обслуживающих предприятия, организации и население.
Количественная характеристика элементов банковской системы -вопрос не формальный для любой страны. В России, например, до проведения банковской реформы конца 80-х - начала 90-х гг. насчитывалось всего три государственных банка, которые имели разветвленную сеть учреждений по всей стране (Госбанк СССР - около 4,5 тыс. отделений, Стройбанк СССР - 2,5 тыс. и Внешторгбанк СССР - семь отделений на территории страны). Возможность проведения единой государственной политики в денежно-кредитной сфере и жесткий контроль за ее реализацией были важнейшим преимуществом подобной банковской системы. Однако отсутствие рыночных начал в экономике и межбанковской конкуренции тормозили поступательное движение российской банковской системы;
различия в понимании банка как основного элемента банковских систем. В мировой банковской практике конкуренция между банками и небанковскими кредитными учреждениями, а также среди последних порождает тенденцию к определенной универсализации их деятельности, что в свою очередь вызвало дискуссии о том, каковы же отличительные признаки банка, выделяющие его из ряда кредитных институтов, что такое современный банк. Полемика возникла в результате крупных изменений как в кредитной системе, так и в понимании, теоретическом осмыслении роли банков в условиях научно-технической революции, что привело к повышению значимости и банковской системы в целом. Среди изменений следует особо выделить рост числа финансовых институтов, именующих себя банками; диверсификацию услуг, предоставляемых банковскими и небанковскими кредитными организациями; существенные изменения в самом характере выполняемых услуг, сути банковских операций, вызванных широким внедрением электронно-вычислительной техники и оргтехники в банковскую сферу.
В последние годы быстро менялась традиционная роль банков и других (небанковских) кредитных организаций. Так, на Западе банки осуществляют ипотечные операции, используют закладные; строительные общества предоставляют клиентам банковские услуги; крупные магазины розничной торговли выпускают кредитные и дисконтные карточки; банки приобретают биржевые маклерские фирмы и т.д. При этом в соответствии с американским законодательством, например, небанковским кредитным институтам предоставлены те же юридические права, что и банкам. В Великобритании, напротив, кредитные институты (небанки) имеют определенные ограничения в деятельности;
положение банков на рынке ценных бумаг. Исторические, национальные особенности построения банковских систем проявляются также в том, что в отдельных странах (в Германии, Франции, Австрии, Венгрии, Италии, других европейских странах) не существует четкого разграничения между коммерческими и инвестиционными банками, что определяется положением последних на рынке ценных бумаг.
В Германии, например, банки исторически сочетают краткосрочные депозитно-ссудные и долгосрочные инвестиционные операции. Коммерческие банки могут быть владельцами капитала корпораций, осуществлять эмиссию и размещение ценных бумаг; создавать и владеть инвестиционными фондами; могут иметь представителей в советах компаний, в которых у них есть собственность, и т. д.
В США кредитные и инвестиционные банковские операции четко разграничены. Инвестиционные банки, выполняющие операции с государственными и корпоративными ценными бумагами, выделены в группу специализированных банков, в то время как коммерческим банкам запрещено выполнять операции на фондовом рынке с корпоративными ценными бумагами.
Банковская система Японии, если рассматривать инвестиционную деятельность банков, во многом была построена по американскому образцу. В отличие от других стран мира действующие в Японии законы четко разделяют полномочия между банками и фондовыми компаниями, не позволяя им вторгаться в сферу операций друг друга. Японские коммерческие банки могут: выступать владельцами части акционерного капитала корпораций (не свыше 5% общего капитала корпораций) и быть представлены в советах компаний, в которых они имеют собственность; выполнять трастовые операции, связанные с выпуском ценных бумаг, но не имеют права самостоятельно эмитировать или размещать ценные бумаги.
В Великобритании, в отличие от стран континентальной Европы, коммерческие и инвестиционные банки также разделены (многие инвестиционные банки образовались из "торговых банков"). Они имеют привилегию обращаться в Банк Англии за централизованными кредитами и работают с привлеченными средствами коммерческих банков. Наиболее влиятельные из торговых банков (около 60) входят в Ассоциацию эмиссионных домов. Результатом подобного подхода является различный правовой статус коммерческих и инвестиционных банков;
система надзора за деятельностью коммерческих банков. В мировой банковской практике существуют разные подходы к организации банковского надзора. Можно выделить три группы стран, отличающихся способами построения надзорных структур, местом и ролью центрального банка в этих структурах:
• страны, в которых контроль (надзор) осуществляется центральным банком, - Австралия, Великобритания, Исландия, Испания, Ирландия, Италия, Новая Зеландия, Португалия;
• страны, в которых контроль выполняется не центральным банком, а другими органами, - Канада, Дания, Люксембург, Швеция, Австрия, Финляндия, Норвегия;
• страны, в которых контроль производится центральным банком совместно с другими органами, - Швейцария (Центральным банком совместно с Федеральной банковской комиссией и Швейцарской банковской ассоциацией); Франция (Банком Франции совместно с Банковской комиссией); Германия (Бундесбанком совместно с Федеральной службой кредитного контроля); США (Федеральной резервной системой - ФРС - совместно с Министерством финансов - Казначейством через контролера денежного обращения и независимым агентством - Федеральной корпорацией страхования депозитов).
Наибольший интерес представляет опыт США. Известно, например, что банки в США двойного (точнее, раздельного) подчинения. Это означает, что для части коммерческих банков (национальных банков) лицензирование, контроль, надзор и регулирование их деятельности осуществляются федеральным правительством, а для другой части - властями отдельных штатов. С учетом регулирования все американские банки можно разделить на четыре группы:
• национальные банки;
• банки штатов - члены ФРС;
• банки - не члены ФРС, входящие в Федеральную корпорацию страхования депозитов (ФКСД);
• банки - не члены ФРС, чьи вклады не застрахованы в ФКСД.
Национальные банки подчиняются Контролеру денежного обращения (служба Министерства финансов) и подпадают под действие всех федеральных банковских законов, а также правил и инструкций ФРС и ФКСД. Банки штатов - члены ФРС подчиняются законам и правилам того штата, где они зарегистрированы и осуществляют свои операции, и соответствующим федеральным законам, поскольку они являются членами ФРС и ФКСД. Банки - не члены ФРС с вкладами, застрахованными в ФКСД, подчиняются законам соответствующих штатов, а также правилам и инструкциям ФКСД. Банки - не члены ФРС с незастрахованными вкладами подпадают под действие лишь законодательства штатов. При этом банки определяют свою юрисдикцию, т.е. выбирают подчинение федеральным властям или властям штатов. К этому следует добавить, что в стране продолжают действовать несколько банков, не подчиняющихся ни федеральным властям, ни властям штатов (они называются частными).
Кроме того, порядок открытия отделений банков относится к компетенции властей штатов. В одних штатах (в 15) запрещено открывать отделения или филиалы (Техас, Иллинойс и др.); в других - разрешается делать это без всяких ограничений (Калифорния, Северная Каролина). В ряде штатов сеть отделений должна быть ограничена тем же географическим местом (округом, городом, поселком), где располагается главная контора банка. Иногда допускается открытие отделения в соседних округах.
Подобной практики нет не только в других странах, но и ни в одной другой сфере государственного регулирования в самих США. Это при условии, что банковское дело в этой стране признается крайне важной отраслью, нуждающейся в особо строгом контроле.
Итак, банковский надзор объективно необходим, следовательно, нужны и специальные органы, осуществляющие соответствующие функции. Органы могут быть разными по статусу, но среди них почти всегда есть государственные. Система регулирующих (надзирающих) органов в той или иной стране всегда отражает особенности политического и социально-экономического развития данной страны, ее традиции, задачи, решаемые ею на том или ином историческом этапе. Вместе с тем рассмотрение практики построения системы регулирования банковской деятельности в отдельных странах в историческом аспекте показывает, что эти процессы в разных странах все же имеют больше общего, нежели различий;
уровни банковских систем. Совокупность действующих в стране банков может иметь одноуровневую либо двухуровневую организацию.
Одноуровневый вариант построения банковской системы может быть в случаях, когда:
• в стране еще нет центрального банка;
• в стране есть только центральный банк;
• центральный банк выполняет все банковские операции, конкурируя с другими банками.
Первый случай соответствует ранним этапам развития банковского дела, когда банки (и другие кредитные организации) без какой-либо координации их деятельности могли выполнять любые принятые в то время операции, вплоть до эмиссии своих денежных знаков. В настоящее время существование банковской системы без центрального банка является исключением из общего правила. В качестве примера можно привести Люксембург и Гонконг. В Люксембурге в последние годы ведется работа по созданию центрального банка, а в Гонконге по соглашению с Великобританией функции центрального банка для этой страны выполнял Банк Англии.
Примером второго случая может служить монобанковская система во главе с Госбанком СССР (до проведения последней банковской реформы). Подобная банковская система была по своей сути реализацией на практике идеи В. И. Ленина о создании единого банка с отделениями по всей стране.
Третий случай также апробирован в Советском Союзе. Госбанк СССР был универсальным банком, выполнявшим функции центрального банка и обслуживающим клиентуру. С 20-х гг. вплоть до принятия в 1987 г. Постановления ЦК КПСС и Совета Министров СССР № 821 Госбанк СССР, облеченный эмиссионной и кредитной функциями одновременно, в случае потребности хозяйства в дополнительных кредитах мог при отсутствии ресурсов "в одном кармане" (аккумулированных свободных денежных средств и др.) брать средства "в другом", не испытывая при этом каких-либо особых неудобств.
При желании банк мог выдать кредит, создав себе тем самым и вклад (ресурс) в хозяйстве. "Капиталотворческая" функция таким образом могла иметь и действительно имела место, вызвав формирование "мнимых" вкладов и увеличение платежных средств в хозяйственной практике. Необходимо отметить, что капиталотворчеством банки могут (в определенных пределах) заниматься при любом построении банковской системы,
В настоящее время практически во всех странах с рыночной экономикой созданы и активно развиваются двухуровневые банковские системы, где на первом уровне функционирует центральный банк страны, осуществляющий эмиссионную, законотворческую, надзорную и прочие виды деятельности; на втором - действуют коммерческие банки.
Однако нередко на страницах экономической литературы встречаются упоминания о трехуровневых (и более) системах. Такой подход предполагает включение в банковские (кредитные) системы также кредитных институтов небанковского типа (например, страховых компаний, инвестиционных фондов, финансовых компаний и др.), что позволяет вести речь о различиях в составе элементов банковских систем. Последними являются лишь банки, но крупные финансовые ресурсы, находящиеся в распоряжении кредитных институтов небанковского типа, обусловили необходимость их учета и анализа при рассмотрении функционирования не только банковских, но и иных финансово-кредитных организаций в рамках кредитной системы. Примером в данном случае могут служить системы Японии, Швейцарии, Великобритании и других развитых стран Запада.
Особенности построения банковской системы России
В XVIII - начале XX вв., вплоть до проведения кредитной реформы 1930-1932 гг., Россия имела развитую, разветвленную банковскую систему. (Исключение составлял лишь период военного коммунизма, когда товарно-денежные отношения и банковская деятельность были по сути дела прекращены.)Результатом проведения кредитной реформы 1930-1932 гг. явилось построение кредитной системы распределительного типа. Роль коммерческих банков в системе начала снижаться, и впоследствии в нашей стране сложилась монобанковская система, состоящая из государственных банков.
До проведения банковской реформы 1997-90-х гг., в бывшем СССР, как и в некоторых других странах Восточной Европы, утвердилась в основном следующая структура банковской системы: центральный государственный банк с широкими функциями - эмиссионный центр, главный государственный кредитный, расчетный и кассовый институт страны; государственный банк, обслуживающий сферу капитального строительства; банк для внешней торговли.
Отличительными чертами банковских систем социалистических стран были: концентрация банковского дела в немногих кредитных учреждениях, централизация управления банками на основе планомерной организации кредита, расчетов, государственной валютной монополии. Центральные государственные банки выступали в качестве универсальных кредитных институтов, которые выполняли большинство функций, присущих в экономически развитых странах различным звеньям банковской системы (исключая страховое дело).
Важным фактором, определяющим структуру банков, их численность, выступает общая направленность хозяйственного механизма. Курс на жесткую централизацию, концентрацию власти порождает монобанковскую систему, основанную на функционировании только одного банка (нескольких соподчиненных банков). Концепция же разрушения монополизма, децентрализации управления экономикой логически обусловливает схему, основанную на деятельности нескольких самостоятельных банков. Именно по этому пути пошли такие экс-социалистические страны, как Венгрия, Китай, Югославия. Такая схема принята и в мировой западной практике, где наряду с центральным банком действует множество частных и государственных кредитных институтов (коммерческих, кооперативных, специальных, с особыми задачами, со специальным уставом и др.).
Разделение банков на эмиссионный и деловые (коммерческие) не противоречит созданию нового экономического механизма в России. Банковская система, состоящая из центрального банка, организующего денежное обращение и не обслуживающего клиентов (за исключением банков), а также банков, кредитующих предприятия, организации и население, характерна для всех развитых стран с рыночной экономикой.
Разделение банковских функций дает возможность Центральному банку Российской Федерации сосредоточить свое внимание на эмиссионной деятельности, поддержании стабильности банковской системы, денежно-кредитном регулировании экономики, осуществлении законотворческой функции и функции "кредитора в последней инстанции".
Коммерческие банки ближе к интересам клиента, полнее координируют с ним свою деятельность, позволяют более оперативно решать задачи, которые возникают перед ними на современном этапе, и могут составить конкуренцию прочим кредитным организациям.
Рассмотренные положения послужили теоретическим обоснованием проведения банковской реформы в период перестройки экономики России (табл. 18.1).
На первом этапе реформы банковской системы наряду с Госбанком СССР начали функционировать государственные специализированные банки: Внешэкономбанк СССР, Промстройбанк СССР, Агропромбанк СССР, Жилсоцбанк СССР и Сберегательный банк СССР, созданные для обслуживания определенных народнохозяйственных комплексов и населения. Перестройка банковской системы должна была явиться органической частью глубоких преобразований в управлении экономикой. Однако банковская реформа на первом этапе не дала тех результатов, которые от нее ожидались.
"Наиболее существенным недостатком преобразований, которые были совершены в банковской сфере, явилось то, что они были направлены главным образом на банкотворчество без радикального изменения содержания, стиля и методов банковской работы, усиления экономических методов влияния на экономику".

Эксперты сходились по мнении, что банки значительно ухудшили свою работу, что реорганизация банковской системы не принесла изменений, которые бы соответствовали новой экономической модели, а настоящей реформы не получилось.
Главная причина неудачи на первом этапе банковской реформы состояла в том, что она проводилась сверху, методом принуждения и не была должным образом подготовлена. Отсутствовали необходимые предпосылки ее проведения. Коренная перестройка управления экономикой была начата лишь в 1987 г. К началу банковской реформы в стране еще не сложилось понимание роли банка в экономической реформе в целом. Проблемы экономического роста привели к ослаблению финансового положения субъектов экономики и государства. Дефицит государственного бюджета, использование кредита для покрытия бюджетных потребностей, опережающие темпы роста денежной массы по сравнению с темпами роста товарооборота и услуг, предоставляемых населению, усиливали инфляционные тенденции в экономике.
В середине 90-х гг. в условиях развития товарно-денежных отношений, экономических методов хозяйствования роль банков в экономике существенно повысилась. Являясь центрами хозяйственной жизни, осуществляя регулирование денежного оборота и ссудного фонда, банки ведут работу, которую не выполняет ни одно звено управления экономикой. Мировая банковская история не знает аналога тому, что произошло в России. За кратчайший срок в стране возникло более 2500 самостоятельных банков, немало кредитных организаций, осуществляющих отдельные банковские функции. Для сопоставления: США, чтобы создать 1000 банков, потребовалось около 80 лет - с 1781 по 1860 г.
Динамика развития современной банковской системы России в количественном аспекте имеет следующий вид.
Численность коммерческих банков
В целом по СССР
на 1 января 1989 г. -43
на 1 января 1990 г. -224
на 1 января 1991 г. -1357
в том числе по России
на 1 октября 1991 г. -1215
на 1 октября 1994 г. - в России зарегистрировано 2436 коммерческих банков
на 1 января 1995 г. -2517
на 1 июля 1995 г. -2568
в сентябре 1995 г. -2700
на 1 ноября 1997 г. -2029 действующих банков
на 1 августа 1998 г. - зарегистрировано 2539 коммерческих банков, в том числе действующих 1786
Финансовый кризис 1998 г. резко негативно отразился на состоянии российских банков. За август-октябрь 1998 г. число действующих банков сократилось наполовину. В декабре 1998 г. общее количество реально действующих банков, по данным ЦБ РФ, не превышало 700.
В конце 1998 г. банковской капитал сократился почти на 1/3, реальная величина активов - на 1/4. Трудности банков привели к существенным проблемам клиентов. Реальный объем кредитных вложений предприятиям за этот период сократился на 1/4, объем неоплаченных в срок платежных документов, несмотря на снижение по итогам принятых Банком России мер по расшивке неплатежей (было оплачено документов на 45 млрд руб.), оценивался в 6,9 млрд руб. в декабре 1998 г.
В настоящее время в России функционируют разные виды банков, в том числе с различной формой собственности: государственной, частной, кооперативной, смешанной (включая иностранный капитал).
В соответствии с российским законодательством государственной считается собственность федеральная и субъектов Федерации. Поэтому государственными должны считаться те банки (помимо Центрального), капитал которых является достоянием либо РФ в целом; либо республик в составе РФ, краев, областей и других субъектов Федерации; либо в акционерном капитале преобладают акции государственных учредителей (например, государственные предприятия и организации).
Если в формировании уставного капитала такого банка участвуют негосударственные структуры либо иностранные государственные или негосударственные институты, то речь идет об одном из вариантов совместных банков. Совместными выступают, например, Межгосударственный банк заинтересованных стран - членов СНГ и Российский банк реконструкции и развития.
Возможные варианты смешанных банков: государственно-частный, государственно-кооперативный, частно-кооперативный.
К смешанному виду относятся также муниципальные (коммунальные) банки, получившие в современной банковской системе России официальное право на существование лишь в середине 1993 г. (Постановление ВС РФ "О создании муниципальных банков в городах" от 22 июля 1993г.)
Кооперативные банки характеризуются особой формой собственности и особым механизмом использования получаемой прибыли (она в основном расходуется на оказание льготных услуг участникам банков -как правило, кооперативам). В Москве активно работали, например, следующие кооперативные банки: Актив, Единство, Москоопбанк и др.
Формально международным может считаться любой банк хотя бы с одним зарубежным филиалом. Так, Промстройбанк в 1996 г. имел свои представительства в Лондоне, Женеве, Франкфурте-на-Майне и Нью-Йорке.
Российские загранбанки следует считать одновременно элементами банковских систем России и принимающих стран. К их числу относятся: Евробанк (BCEN-Eurobank), Московский народный банк (Moscow Narodny bank), Ост-Вест Хандельсбанк (Ost-West Handelsbank), Ком-мерцбанк (Russische Kommerz bank), Донау банк (Donay-bank), Ист-Вест Юнайтед банк (East-West United bank).
В России функционируют банки с различной степенью независимости. Максимальной степенью независимости (в рамках требований закона и нормативных актов ЦБ РФ) обладают банки, самостоятельно формирующие и изменяющие свой уставный капитал, определяющие свою стратегию и тактику, структуру активов, по собственному усмотрению распределяющие свой доход. Другие виды банков по данному критерию - банки с ограниченной независимостью.
Дочерний банк - формально независимый коммерческий банк, контролируемый другим банком (другими банками), который в силу этого выступает в роли материнского банка (банка-холдинга). Условием таких взаимоотношений является обладание материнским банком контрольным пакетом акций (паев) дочернего банка. Дочерний банк можно рассматривать и как банк, и как структурное подразделение банка ("под-банк"). Это своеобразная переходная форма.
Банк-сателлит, или "карманный" банк - банк, уставный капитал которого сформирован преимущественно из средств клиентов, что ведет к излишней концентрации влияния у наиболее крупных учредителей, оказывающихся способными навязывать решения, противоречащие как интересам большинства вкладчиков и учредителей, так и задачам роста эффективности деятельности самого банка. По сути это дочерние банки различных производственных и торговых структур.
Уполномоченными (агентскими) называют банки, выполняющие по договорам те или иные операции для органов власти и управления, в том числе для центрального банка. Так, Промстройбанк выступает агентом Правительства РФ по финансированию и кредитованию важнейших государственных программ развития промышленности, строительства, транспорта и связи. В 1996 - 1997 гг. многие коммерческие банки и кредитные учреждения были уполномоченными Банка России по торговле государственными краткосрочными облигациями. Во всех подобных случаях банки заинтересованы быть агентами, хотя эта роль в определенной мере снижает степень их реальной независимости.
Понятие "уполномоченный банк" употребляется и в другом смысле, когда не предполагается снижения уровня независимости одного банка по сравнению с другими. Например, любой банк, получив валютную лицензию, превращается тем самым в уполномоченного агента государственного валютного контроля.
По масштабу деятельности банки, как уже отмечалось, можно классифицировать по размеру их капитала. Большинство российских коммерческих банков в конце 90-х гг. продолжали оставаться небольшими.
Таблица 18.2

По организационо-правовой форме российская практика знает два основных вида банков: паевые банки и акционерные. При этом последний вид делится на два подвида: акционерные банки закрытого типа (АБЗТ) и акционерные банки открытого типа (АБОТ). Очевидным преимуществом открытой формы являются более широкая возможность привлечения капиталов и большая свобода действий для участников (акционеров). Одновременно данная форма менее устойчива, меньше защищена от "окружающей среды", в том числе от структур, цель которых - установление контроля над банками, более рискованна для участников. В зависимости от уровня развития, выработанной стратегии и с учетом макроэкономической ситуации в стране и общих тенденций в банковской сфере каждый банк может трансформировать свою организационно-правовую форму в тот вариант, который на данном этапе больше соответствует его задачам и возможностям.
В середине 90-х гг. российские банки выходили на мировую арену и начали составлять реальную конкуренцию признанным лидерам: японским, американским, швейцарским, английским банкам. В 1994 г. впервые в число 1 тыс. крупнейших банков мира, список которых опубликовал английский журнал "Банкер" (The Banker), вошли пять российских банков: Внешторгбанк, Сбербанк, Токобанк, Инкомбанк и банк "Империал" (табл. 18.2). В начале 1995 г. уже шесть российских банков были включены в мировой рейтинг крупнейших финансовых учреждений:
Внешторгбанк с собственным капиталом в 722 млн. долл. поднялся на 372-е место, Сбербанк с 653 млн. занял 414-е место, Токобанк с 257 млн. долл. переместился на 749-е место, Инкомбанк с 205 млн. долл. занял 850-е место, впервые 916-е место занял ОНЕКСИМбанк с 173 млн. долл. и на 969-е место переместился банк "Империал" с 154 млн. долл.
Американский финансовый журнал Инститьюшнл Инвестор ("Institutional Investor") включил в состав списка тысячи ведущих банков мира за 1995 г. шесть представителей России. В их число вошли отобранные по комбинированной методике журнала три банка, расположенных в России, - Сбербанк РФ, Внешторгбанк РФ и банк "Империал", а также три банка, имеющих штаб-квартиры за рубежом, - Московский народный банк (Лондон), Евробанк (Париж) и Ист-Вест Юнайтед банк в Люксембурге, который является дочерним банка "Империал".
Инститьюшнл Инвестор классифицирует также банки по показателю ликвидности. Этот индекс при условии правильной постановки учета отражает не только способность банков быстро мобилизовывать ресурсы для выполнения своих платежных обязательств, но и степень осторожности, с которой банки подходят к кредитованию реальной экономики. В число 100 ведущих банков мира по коэффициенту ликвидности в середине 90-х г. вошли Внешторгбанк РФ (30-е место), Московский народный банк (36-е место), Евробанк (40-е место) и банк "Империал" (50-е место).
В то же время суммарный объем капитала российских банков был относительно невелик. Ограничен по сравнению с мировой практикой набор предоставляемых ими банковских операций и услуг. Между тем практически все они стремятся быть универсальными.
В 1993-1995 гг. в структуре банков России происходили заметные изменения, связанные с увеличением как числа новых банков, так и уставного фонда (капитала) действующих банков. Последнее происходило прежде всего по инициативе Банка России. При этом в конце 1995-1996 гг. наблюдалась тенденция снижения темпов роста численности банков. В результате количество действующих банков к концу 1996 г. составляло лишь 2095, что на 600 банков меньше, чем в середине 1995 г.
Основные показатели деятельности российских коммерческих банков до финансового кризиса 1998 г. представлены в табл. 18.3.
Таблица 18.3

Наибольшее количество банков - около 45% (на 1 июля 1995 г.) было сосредоточено в Центральном районе, главным образом в Москве. Наименьшая концентрация банков приходилось на Центрально-Черноземный регион - менее 1,5%. Москва сохраняла лидерство среди крупных центров и по общему количеству филиалов тех банков, которые расположены вне территории данного региона (около 25%).
Процесс создания новых банков сопровождался укрупнением наиболее динамичных, проводящих агрессивную политику банковских структур. Характерно, что с 1991 по сентябрь 1994 г. лишь 11 коммерческих банков были ликвидированы по решению общего собрания акционеров или пайщиков. За этот же период 250 банков были преобразованы в филиалы более мощных банковских структур.
Кризис банковской ликвидности августа - сентября 1995 г. оказал существенное воздействие на активизацию процесса реорганизации и укрупнения российских банков. Только за 1995 г. лицензии были лишены 225 банков, и почти 800 кредитных организаций закончили год с убытками.
Управляя процессом укрупнения российских коммерческих банков, Центральный банк РФ установил особый контроль над 20-30 крупнейшими банками (имеется в виду их перевод из РКЦ в ОПЕРУ-II, ежедневный учет срочных обязательств банков на основе балансов и постепенный переход к расчетам в режиме реального времени).
В середине 90-х гг. наблюдалась дальнейшая интернационализация банковской системы России за счет появления на российском рынке банков с участием иностранного капитала. Банк России установил лимит (12%) на долю капитала иностранных банков в сумме капиталов всех коммерческих банков страны. Это было связано с тем, что в переходный период необходимо было создание определенных преференциальных условий для отечественного капитала по сравнению с иностранным в банковском секторе экономики. В то же время очевидно, что присутствие в стране банков с международно признанной репутацией является одним из условий создания благоприятного инвестиционного климата, необходимого для того, чтобы иностранные инвестиции пошли в производительные сферы экономики.
В целях регулирования притока иностранных банков в Россию было установлено, что Россия вправе вводить ограничения на операции иностранных банков. Эти условия были определены в соглашении о партнерстве и сотрудничестве с Европейским Сообществом, подписанном Президентом России в июне 1994 г.
В период до 1 января 1996 г. все банки стран ЕС, за исключением тех банков, которые получили лицензию от ЦБ РФ и приступили к обслуживанию российских резидентов до 15 ноября 1993 г., не могли проводить операции с российскими резидентами. При этом была достигнута договоренность, не закрепленная юридически, о том, что банкам государств ЕС, получившим лицензии до 15 ноября 1993 г., эти лицензии подтверждались и они могли выполнять все виды операций, в том числе с российскими резидентами. Эта договоренность была реализована в Указе Президента от 10 июня 1994 г.
В течение второго этапа - до конца июня 1999 г. - Российская Федерация вправе использовать другие ограничения, наиболее важными из которых являются запрет на проведение иностранными банками операций с акциями российских компаний и установление минимального остатка на счете частного лица - резидента РФ в иностранном банке в размере 55 тыс. ЭКЮ. Другими словами, только очень состоятельные российские граждане, которые могут положить на счет сумму 55 тыс. ЭКЮ, имели право обслуживаться в иностранном банке. Кроме того, в течение этого срока Россия была вправе ограничивать количество филиалов иностранных банков. В настоящее время Центральный банк РФ разрешает иностранным банкам, помимо головной конторы, открывать один филиал. Наконец, Российская Федерация сохраняет за собой право, не ограниченное сроками или условиями, продолжать практику установления квоты, т.е. максимального удельного веса иностранного капитала в банковской системе России.
Параллельно с расширением сети коммерческих банков в конце 90-х гг. принимались меры по укреплению их надежности. В этом направлении активную работу проводил Центральный банк РФ, осуществляя надзор и регулирование деятельности коммерческих банков. Быстрый рост числа банков породил проблему распыленности банковского капитала. Изначальная недостаточность капитала привела к цепочке дальнейших негативных последствий: невозможности предоставлять сколько-нибудь значимые для клиентов кредиты, управлять кредитными рисками с соблюдением принципов разумной осторожности и установленных Банком России экономических нормативов, недостаточной рентабельности операций и др. В 1996 г. Центральный банк Российской Федерации издал новую редакцию Инструкции № 1 "О порядке регулирования деятельности кредитных организаций", в соответствии с которой минимальный размер уставного капитала для вновь создаваемых кредитных организаций был установлен на 1 апреля 1996 г. в сумме, эквивалентной 2,0 млн ЭКЮ (для кредитных организаций с ограниченным кругом операций - 500 тыс. ЭКЮ). ЦБ РФ предусмотрел меры по постепенному доведению минимального размера уставного капитала до 5,0 млн ЭКЮ (к 1 июля 1998 г.), т.е. до уровня, позволяющего российским банкам соответствовать международным правилам достаточности капитала.
Минимальный размер собственных средств (капитала) кредитной организации, определяемых как сумма уставного капитала кредитной организации и нераспределенной прибыли был установлен в сумме, эквивалентной 5 млн. ЭКЮ (начиная с 1 января 1999 г.).
Минимальный размер собственных средств (капитала) кредитной организации с ограниченным кругом операций был установлен в сумме, эквивалентной 1 млн. ЭКЮ (начиная с 1 января 1999 г.).
Предполагалось, что процесс укрепления банковской системы должен сопровождаться преобразованием банков, не соответствующих новому уровню минимального капитала, в другие кредитные организации с ограничением круга выполняемых ими операций (прежде всего запрещением привлечения вкладов населения) либо в филиалы более крупных банков.
В результате принятых решений Банка России активизировался процесс создания банков с более крупным капиталом, удовлетворяющим новым стандартам. Процесс концентрации банковского капитала давал возможность укрепить надежность всей системы банков. Одновременно разрабатывалась нормативная база по процедуре санации, реорганизации и ликвидации банков в первую очередь в связи с их несостоятельностью (банкротством).
Однако практика свидетельствовала о проблемах в банковской сфере. Кризис платежеспособности клиентов банков, плохое качество кредитных портфелей, рисковая политика, введение валютного коридора, ужесточение резервных требований и прочие факторы привели к резкому снижению доходности банковской деятельности. По данным ЦБ РФ около 1/3 всех банков России завершили 1995 г., а затем и 1996-1997 гг. с убытками.
В период финансового кризиса 1998 г. банковская система России понесла наиболее ощутимые потери по сравнению с другими секторами экономики. Величина потерь капитала банков, по оценке ЦБ РФ, на 1 декабря 1998 г. превысила 100 млрд. руб., а недостаток высоколиквидных активов для выполнения текущих обязательств достиг 38,0% общего объема таких активов и 8,6% общего объема обязательств банков.
Резкое снижение уровня доверия ко всей банковской системе и к отдельным банкам (как со стороны банковского сообщества, так и со стороны корпоративных клиентов) привело к замораживанию операций на межбанковском денежном рынке. За август-октябрь 1998 г. объем привлеченных межбанковских кредитов и депозитов снизился в рублях и в валюте на 1/3.
В этих условиях было признано необходимым осуществить реструктуризации банковской системы. Свою роль в процессе реструктуризации банковской системы призвано сыграть Агентство по реструктуризации кредитных организаций, создаваемое совместно Правительством Российской Федерации и Банком России.
Агентство призвано реализовать задачи государственного контроля за банками путем непосредственного вмешательства в их деятельность вплоть до участия в капиталах банков в интересах кредиторов и вкладчиков, проводить операции, укрепляющие структуру балансов банков, контролировать активы банков в целях недопущения их утраты.
Таким образом, можно выделить следующие особенности построения современной банковской системы России.
1. Первый этап реформирования банковской системы отличался быстрым ростом численности кредитных учреждений. В конце 80-х гг. многие считали, что найдены правильные пути быстрейшей реорганизации банковского дела. Однако дальнейшие события показали, что в 1988-1995 гг. перестройка деятельности банков была обеспечена в основном в организационной части. Коренное же изменение качественных параметров работы банков, их отношений с предприятиями, организациями, учреждениями и населением еще не произошло и находится лишь в начальной стадии становления. Это обстоятельство в сочетании с инфляцией, кризисом системы платежей и другими факторами поставило под вопрос возможность функционирования большинства банков. В ходе событий августа-сентября 1998 г. прекратили свое существование не только ряд мелких, но и отдельные крупные банки.
В 1995-1998 гг. свое существование прекратили больше банков, чем было создано новых. За 1996-1998 гг. было отозвано более 1000 банковских лицензий.
2. Общая численность банков в России в расчете на 100 тыс. человек еще недостаточна. Особенно мало их в сельской местности и в отдаленных районах. Кроме того, некоторые виды банков практически отсутствуют. Так, ипотечные и муниципальные банки только начинают зарождаться. Недостаточна специализация банков, особенно функциональная. Практически нет инвестиционных, клиринговых банков, поскольку для них отсутствует правовая база.
3. Законодательные основы функционирования современной банковской системы России были созданы в 1990 г. с принятием законов "О Центральном банке РФ" и "О банках и банковской деятельности". В 1995 и 1996 гг. эти законы были приняты Государственной Думой в новой редакции. Закон "О Центральном банке Российской Федерации (Банке России)" дал более четкое и подробное описание функций главного банка страны, наделил ЦБ РФ правом издания нормативных актов, обязательных для исполнения всех юридических и физических лиц и органов государственной власти. В Законе были усовершенствованы инструменты осуществляемой ЦБ РФ денежно-кредитной политики, развит принцип независимости ЦБ РФ и однозначно записано, что никакие государственные органы не имеют права вмешиваться в деятельность ЦБ РФ по реализации его функций.
В новой редакции "Закона о банках и банковской деятельности" четко прослеживаются три основных принципа: либерализация ведения банковской деятельности, усиление мер по обеспечению устойчивости банковской системы, приближение положений закона к нормам прямого действия. Закон, по существу, впервые в российском банковском законодательстве определил перечень и существо исключительно банковских операций, для которых потребуется лицензия ЦБ РФ и которые могут осуществлять только особым образом зарегистрированные "кредитные организации". Закон внес определенную ясность в регулирование деятельности банков на рынке ценных бумаг, обусловил изменения в порядке регистрации банков и ужесточил требования к сохранению банковской тайны.
В настоящее время на стадии принятия находится такой важный для дальнейшего развития банковской практики закон, как Федеральный закон "Об обязательном страховании банковских вкладов граждан", а Федеральный закон "О банкротстве (несостоятельности) кредитных организаций" вступил в силу в марте 1999 г.
Таким образом, современная практика развития банковской системы, ранее названные и прочие причины предопределили необходимость дальнейшего совершенствования функционирования банковской системы России, в частности, создания научной концепции стратегии развития банковской системы.
Вопросы для самоконтроля
7. Каковы особенности построения банковских систем стран с развитой рыночной экономикой?
2. В чем основные преимущества и недостатки организации банковских систем зарубежных стран?
3. Какова банковская система России? Проблемы ее развития в XX в?
4. Каково современное состояние банковской системы России? Каковы направления ее далънейшего совершенствования?
Особенности проявления роли денег при разных моделях экономики
Роль денег подвержена изменениям в связи с характерными чертами функционирования экономики. Особенности проявления роли денег при разных моделях экономики заметны во всех аспектах применения денег.При существовавшей до недавнего времени в России административно-командной экономике роль денег была ограничена. Этому способствовали и бытовавшие взгляды о возможной полной отмене денег и переходу к прямому продуктообмену. Деньгам отводилась вспомогательная роль, главным образом как инструменту учета и контроля со стороны центральных и других органов управления хозяйством.
В условиях административно-командной экономики объем и ассортимент производимой продукции устанавливался вышестоящими органами для каждого предприятия в форме планов в натуральных и стоимостных показателях. При этом стоимостные показатели планируемого объема и ассортимента продукции имели подчиненное значение и рассчитывались на основе натуральных показателей, исходя, как правило, из цен, установленных центральными органами.
Произведенная продукция распределялась между потребителями в натуральных единицах по фондам и нарядам, на основании которых между участниками процессов реализации продукции заключались договоры, предусматривавшие обязанности сторон по отпуску и приобретению продукции в натуральных и стоимостных показателях. Стоимостные показатели определялись в зависимости от данных о поставках продукции в натуральных единицах с применением установленных цен.
При реализации продукции деньгам и денежным расчетам отводилось подчиненное значение. Роль денег в подобных условиях сводилась к их использованию в качестве вспомогательного инструмента учета и контроля.
В административно-командной экономике роль денег снижается, что связано с применением стабильных цен, устанавливавшихся центральными органами. Такие цены оставались неизменными и при различных соотношениях спроса и предложения товаров и продолжали применяться при недостатке товаров и нормированном их распределении.
Однако в подобной ситуации возникала "подавленная инфляция", сопровождающаяся снижением роли денег, поскольку для приобретения товаров не столь важно было наличие денег у покупателя, сколь важна возможность их получения в соответствии с установленными нормами.
Вместе с тем использование денег имело немаловажное значение и в административно-командной экономике. Так, лишь при применении денег становилось возможным определение совокупного объема различных издержек (материалов, амортизации, заработной платы и др.) на изготовление продукции, составляющих ее себестоимость. Сопоставление планового и фактического уровней себестоимости предоставляло возможность оценивать отклонения фактического уровня от планового и предпринимать меры по его нормализации, что без применения денег оказалось бы невозможным.
Точно так же лишь с помощью денег становится возможным сведение (в денежном выражении) объемов различных видов продукции и получение обобщенного показателя ее совокупного объема. Использование денег позволяет оценивать выполнение плана по совокупному объему продукции и разработать меры по улучшению выполнения плана.
Применение денег усиливало и в условиях административно-командной экономики возможность учета и контроля выполнения различных плановых натуральных показателей и определение мер по улучшению деятельности предприятий.
Тем не менее не следует переоценивать действительную роль денег в такой экономике, поскольку, несмотря на то, что их применение повышает возможности учета и контроля, это не позволяет отводить деньгам самостоятельное и тем более важное значение в функционировании экономики. Здесь роль денег остается подчиненной.
В рыночной экономике роль денег значительно повышается, чему способствуют создание и использование предпосылок, характерных для новых условий хозяйственной деятельности.
Переход от административно-командной к рыночной экономике включал различные существенные изменения, в том числе в формах собственности на орудия и предметы труда, в производстве и реализации продукции, что послужило предпосылкой для создания новых условий управления процессами производства и реализации продукции.
В рыночной экономике товаропроизводители, действующие на основе различных форм собственности (государственной, кооперативной, частной), приобретают самостоятельность в установлении объема, ассортимента производимой и реализуемой продукции. Этому уже не препятствуют плановые показатели, которые прежде устанавливались вышестоящими органами. В новых условиях возрастают возможности проявления инициативы в хозяйственной деятельности.
При этом усиливается роль денег, с помощью которых может быть дана оценка такому ориентиру, как платежеспособный спрос: с его учетом формируются объем и ассортимент производимой и реализуемой продукции. Вместе с тем принимаются во внимание соображения выгодности отдельных направлений производственно-хозяйственной деятельности, которые предполагают учет уровня цен на изготовляемые и реализуемые товары и уровня издержек на их производство.
Повышение роли денег в рыночной экономике происходит и в сфере розничной торговли, в которой отменено распределение по нормам, карточкам, талонам, и решающее значение при определении возможности покупки товаров приобретают деньги.
В отмеченных сторонах деятельности и при определении ее результатов в виде прибыли также существенную роль играют деньги.
Специфика деятельности предприятия не означает, что в рыночной экономике отсутствует централизованное регулирование. Оно осуществляется не с помощью административных, а главным образом экономическими методами.
Особенности проявления роли денег при различных моделях экономики состоят в:
• воздействии на улучшение хозяйственной деятельности;
• усилении заинтересованности различных звеньев хозяйства в развитии производства, прежде всего с помощью обоснованного ценообразования, стимулирующего рост объема продукции и снижение издержек на ее изготовление;
• создании режима зависимости денежных расходов от поступлений денег, что повышает заинтересованность трудящихся, предприятий, государственных органов в увеличении денежных поступлений в результате роста производства и экономного использования ресурсов;
• осуществлении в процессе денежного оборота контроля за ценами, объемом и качеством поставляемой продукции, призванного способствовать более полному удовлетворению потребности.
Эффективность применения денег предполагает использование устойчивой денежной единицы, что усиливает стремление к преодолению таких негативных процессов, как инфляция.
Вопросы для самоконтроля
1. Чем характеризуется роль денег?
2. Какова роль денег в развитии и повышении эффективности производства, активизации деятельности граждан, выполнении государственных функций?
3. Каковы особенности роли денег во внешнеэкономическом торговом обороте?
4. В чем состоят особенности и недостатки уравнения обмена?
5. В чем состоят особенности различных теорий денег?
6. Каковы особенности применения денег в административно-командной экономике?
7. В чем проявляется повышение роли денег в рыночной экономике?
Особенности зарождения банков в отдельных странах Европы
Не все европейские города и государства средневековья рассматривали банки как институт укрепления денежного обращения. Опыт АМСТЕРДАМА имел ограниченные рамки. Только в крупных городах международной торговли он нашел свое применение (например, в немецких городах ЛЮБЕКЕ и ГАМБУРГЕ). На территориях, не связанных регулярными морскими и речными путями, становление банков имело те же основы, что и в древние века (прежде всего посредническая роль храмов, торговых домов и отдельных купцов).В ГЕРМАНИИ на базе филиалов итальянских торговых домов стали развиваться немецкие торговые дома (товарищества полного или товарищества на вере). Они не подлежали, в силу сравнительной территориальной удаленности от основного торгового дома, строгой регламентации; не имели устава и не были обязаны публиковать балансы, что требовали власти итальянских городов. Для организации выполнения денежных операций достаточно было получить свидетельство определенного образца. Основные операции сводились к привлечению денег со стороны крупных вкладчиков (баронов, князей и др.) и для предоставления их нуждающимся в качестве ссуд под заклад (невзирая на законы об ограничении или запрете ростовщичества).
Торговый дом Я. Фуггера (1450-1528) выполнял все виды известных денежных операций - от расчетных до кредитных, внедрял в практику доверительные операции по управлению имуществом, опекунские и аудиторские операции. При постоянных захватах и переделах земельных владений, необходимости их выкупа важными государственными персонами торговый дом Я. Фуггера предоставлял им услуги по выдаче кредита, осуществлял международные денежные расчеты. В 1637 г. имущество Фуггеров перешло генуэзцам.
В рамках "Священной Римской империи" (конгломерат независимых государств был закреплен в 1648 г.) торговые дома развернули кредитную экспансию. В начале XIV в. датский король вынужден был заложить свои земли своему кредитору - графу Гольштейнскому. Во главе чешского королевства стоял известный предприниматель Ф. фон Валленштейн (1583-1634), который с помощью целенаправленных операций с чеканкой монеты, финансовых спекуляций, систематической скупкой конфискованных владений создал громадное состояние и учредил чешский монетный консорциум.
В отдельные германские княжества и королевства после войны 1618- 1648 гг. были приглашены гугеноты, элита французского купечества, специалисты вексельного и безналичного денежного оборотов. Они имели большой опыт ведения денежных операций, держали денежный капитал постоянно в движении, вели банковские книги. С их помощью был создан первый ремесленный банк "Гемайн-Кредит".
Во ФРАНЦИИ в XII-XVI вв. предпринимались неоднократные попытки создания товариществ для выдачи ссуд под некрупные залоги (заклады). Буллой римского папы Льва Х (начало XVI в.) предусматривалось ограничение взимания процента, не превышающее расходов по управлению товариществ. В 1627 г. подтверждались их права и преимущества вместо ломбардов, взимавших высокий процент за ссуды.
Товарищества получили общественное признание и доверие в противовес ломбардам, которые постоянно домогались приема в залог только крупных закладов. В 1673 г. выдача ссуд под залог регламентируется, повсеместное распространение банков достигло столицы страны -Парижа. Широкое распространение банков, ориентированных на денежные средства мелких вкладчиков, дополнялось становлением банкирских домов.
На РУСИ с начала XIII в. в результате активной торговли с немецкими городами определились основные центры денежных операций - Новгород и Псков. Монастыри и церкви служили местом существования торговых домов. Иваньковская община (по уставу Новгородской церкви св. Иоанна на Опоках) занималась денежными операциями (формирование собственного капитала за счет вступительных взносов купечества, прием вкладов и выдача ссуд, получение привилегий в пользовании доходов). Первоначально деньги (товарные и металлические) не оформлялись при предоставлении ссуды заложенным имуществом. Постепенно начинают распространяться залоговые отношения.
Русь усвоила основные положения византийского государственного права, приняла их организацию денежных операций (стремление государства охранять монополию в этих вопросах, регламентация операций и размера допустимых процентов). Право на занятие подобным промыслом сдавалось на откуп. Псковское ссудное право оформляло кредитные сделки на особых "досках". В денежный оборот вводились долговые обязательства - простые векселя. По основному правовому документу - Русской Правде - регламентировалась охрана и порядок обеспечения имущественных интересов кредитора, порядок взимания долга, виды несостоятельности.
На протяжении XIII- XVI вв. выполнение денежных операций было локализовано сокращением международной торговли, отсутствием поддержки со стороны князей и их городов, пытавшихся привить традиции мусульманского кредитного дела (ссуда выступала как подарок, использование процента строго запрещалось). Высокая ставка ссудного процента ростовщиков не стимулировала зарождение денежного хозяйства.
Отсутствие мобильного денежного капитала, зависимость денежного обращения страны от импорта иностранных металлических денег в виде таможенных пошлин и акцизов на товары, периодически проводимые денежные реформы со стороны государства, географическая удаленность отдельных регионов страны не способствовали возникновению частного денежного предпринимательства.
Локальные очаги денежного хозяйства реально существовали в отдельных русских городах, но их развитие всецело зависело от государства. В 1665 г. псковским воеводой А. Ордин-Нащекиным была предпринята попытка создать ссудный банк для "маломочных" купцов. Его функции должна была исполнять городская управа, действовавшая при поддержке крупных торговцев. Отсутствие четко разработанного плана деятельности, определения приоритетов, противодействия со стороны бояр и приказных чиновников обусловили кратковременный характер действий данного банка.
В течение нескольких веков европейские страны привносили в зарождение банковского дела новые традиции, обусловленные национальными особенностями экономического развития, уровнем товарно-денежных и кредитных отношений.
Платежный баланс: понятие и основные статьи
Платежный баланс - балансовый счет международных операций страны в форме соотношения валютных поступлений из-за границы и платежей, произведенных данной страной другим странам.Составляемые по методике МВФ платежные балансы включают не только поступления и платежи, которые фактически осуществлены, но и будущие платежи по международным требованиям и обязательствам, т.е. элементы расчетного баланса.
Расчетный баланс - соотношение валютных требований и обязательств данной страны к другим странам
- практически не составляется, за исключением некоторых аналитических исследований, поскольку трудно отделить фактически произведенные платежи от будущих при современной системе учета. Однако в дополнение к платежному балансу составляется баланс международных активов и пассивов страны, характеризующий ее международные валютно-финансовые позиции.
Различаются платежный баланс на определенную дату (в виде ежедневно меняющегося соотношения поступлений и платежей) и баланс за определенный период (на основе статистических показателей о сделках, например, за месяц, квартал, год).
Платежный кризис и направления его смягчения в условиях переходной экономики
Особенностью функционирования денежной сферы в РФ в условиях переходной экономики является несвоевременное совершение платежей. Размеры неплатежей в РФ в мае 1998 г. превысили 2 трлн деноминированных рублей.Платежный кризис нельзя рассматривать как явление, значение которого ограничено денежной сферой. Он оказывает негативное влияние на различные стороны экономики РФ; создает серьезные препятствия нормальному осуществлению хозяйственной деятельности предприятий и организаций. Так, непоступление выручки в связи с платежным кризисом ограничивает возможность предприятий приобретать необходимые им материальные ресурсы.
Характерное проявление кризиса неплатежей - задержки с выдачей заработной платы рабочим и служащим, что сопровождается ухудшением их материального положения, ограничением объема платежеспособного спроса на товары и услуги. Платежный кризис и вызванное им уменьшение поступлений доходов в бюджет оказывают немалое влияние на образование бюджетного дефицита, что ограничивает возможность расходования средств государством.
Велико влияние платежного кризиса на уменьшение капиталовложений. Наряду с другими причинами этому способствуют отсутствие у предприятий собственных ресурсов для таких затрат и ограниченные возможности привлечения средств бюджета и получения банковских ссуд.
Наличие платежного кризиса обусловлено многими причинами, в том числе относящимися к сферам производства и обращения. Здесь важно, что влияние различных причин происходит не обособленно, а при их взаимосвязи и взаимодействии.
Факторы сферы производства включают охвативший значительную часть экономики спад производства, уменьшение объема капиталовложений, снижение рентабельности, убыточность большого числа предприятий этой сферы.
Негативные процессы в сфере обращения прежде всего связаны с уменьшением выручки предприятий за реализуемую продукцию и образованием недостатка средств для оплаты необходимых материалов, услуг, платежей бюджету, для выдачи зарплаты.
Возникающие неплатежи неизбежно приводят к уменьшению спроса, отражаются на сокращении объема производства предприятий изготовителей поставляемых материалов, а также на сокращении платежеспособного спроса населения, что, в свою очередь, влечет за собой уменьшение производства предприятий, изготовляющих товары для населения.
Невыполнение обязательств перед бюджетом вследствие спада производства и уменьшение поступления выручки сопровождаются некоторыми дополнительными отрицательными последствиями в сфере обращения. Например, ограничиваются возможности бюджета по оплате заказов оборонным предприятиям, финансированию здравоохранения, образования и др. Все это влияет на уменьшение платежеспособного спроса на различные виды продукции и соответственно на спад производства.
Особое место среди факторов, влияющих на существование и развитие платежного кризиса, занимает проводимая в РФ в течение ряда лет денежно-кредитная политика, направляемая на уменьшение массы денег в обороте. Основная задача такой политики состояла в том, что бы с помощью ограничения объема денежной массы преодолеть инфляцию, уменьшить платежеспособный спрос и тем самым оказать воздействие на предотвращение роста цен.
Однако применение мер по ограничению денежной массы привело к широкому использованию в обороте различных способов безналичных расчетов, в том числе с помощью бартера, зачетов, векселей, на долю которых в последние годы приходилась преобладающая часть расчетов.
В условиях платежного кризиса, широкого применения бартера во многом утрачивается значение такой важной особенности рыночной экономики, как конкуренция.
Поставленный в трудное экономическое положение каждый участник денежного оборота не пользуется для покупки или реализации рынком, где имеется возможность выбора контрагента, во взаимоотношениях с которым он расходует или получает деньги, а ищет контрагента, имеющего встречную равновеликую потребность в материальных ресурсах и согласного на зачет, бартер или применение векселя.
В результате подобных операций продавец остается без требуемых денежных средств для других последующих расчетов, что ограничивает его возможности приобретения нужных материальных ресурсов и других расходов (платежи бюджету, выдачу заработной платы и т.п.).
Помимо отмеченных трудностей и ряда негативных последствий, нельзя игнорировать при подобных операциях возникающую у одной из сторон острую необходимость в осуществлении сделки, способствующую возможности повышения цены реализуемой продукции.
Следует иметь в виду, что расчеты между предприятиями, осуществляемые минуя банки и без оборота денег, стали преобладающими в хозяйственной практике. Так, в начале 1998 г. до 90% выручки предприятий приходились на денежные суррогаты и бартер.
Существование платежного кризиса означает в определенной мере отказ от условий функционирования рыночной экономики. Это проявляется прежде всего в существенном ослаблении значения присущих рыночной экономике взаимоотношений платежеспособного спроса на различные товары и их предложения. Такие взаимоотношения во многом заменяются обособленными сделками между отдельными контрагентами с применением зачетов, бартера, векселей. При проведении подобных сделок существенно снижается роль денег и ослабляется действие рычагов, присущих рыночной экономике.
Для преодоления платежного кризиса целесообразно проведение широкого круга мер как в сфере производства, финансовой деятельности, бюджета, так и в сфере организации расчетов в интересах обеспечения оборота необходимой массой платежных средств.
Вместе с тем самостоятельной задачей являются совершенствование организации расчетов, обеспечение оборота достаточной массой платежных средств.
Трудности и недостатки, присущие расчетам с помощью зачета, бартера, векселя, и ограниченные возможности их применения обусловили поиск иных способов расчетов в условиях платежного кризиса.
Одной из мер в этом направлении служит образование негосударственных, небанковских расчетных и клиринговых кредитных организаций. Таким учреждениям, действующим в Москве и в некоторых городах РФ, разрешено открывать счета юридическим лицам, не являющимся кредитными организациями.
Между клиентами расчетных и клиринговых учреждений производятся зачеты, для завершения которых могут быть предоставлены ссуды на срок до семи дней за счет собственного капитала расчетной или клиринговой организации и средств фонда, образуемого за счет сумм, депонируемых клиентами.
Общий объем платежей, прошедших через клиринговые организации, сравнительно невелик, и в 1997 г. составил 16,5 млрд руб.
Тем не менее подобные операции способствовали некоторому уменьшению объема неплатежей. Дальнейшее же расширение операций маловероятно как потому, что клиентура не всегда располагает свободными средствами для депонирования в клиринговом центре, так и потому, что при ограниченном контингенте клиентов таких центров возможности зачета невелики. Эти меры могут рассматриваться как временные, приемлемые лишь до кардинального решения проблемы устранения неплатежей.
Возможности уменьшения неплатежей существуют и в области расчетов между предприятиями, выступающими клиентами различных банков. Дело в том, что в новых условиях в расчетах между клиентами появились дополнительные звенья в лице РКЦ (расчетно-кассовых центров), что привело к некоторому замедлению расчетов.
Ухудшение условий расчетов, проводимых с участием РКЦ, связано также с тем, что каждый банк вынужден осуществлять бездоходное вложение средств в РКЦ, поскольку расчетная операция по поручению банка может выполняться лишь в пределах остатка средств банка, находящихся в РКЦ. Такие вложения достигают значительных размеров, сопоставимых с объемом обязательных резервов, которые коммерческие банки хранят в учреждениях ЦБ РФ. При недостаточности средств банка в РКЦ в размере, необходимом для расчетных операций, остаток на счете банка в РКЦ может быть пополнен с помощью привлечения межбанковских кредитов (МБК) или получения краткосрочного (до семи дней) кредита ЦБ. Однако на практике привлечение такого кредита не всегда возможно.
Нельзя не отметить и то, что при переходе к расчетам с участием РКЦ, особенно на первых порах их применения, появилась возможности злоупотреблений с помощью фальшивых авизо. Это было в немалой степени связано с тем, что расчеты через РКЦ оказались лишенными преимущества ранее применявшейся системы расчетов с помощью межфилиальных оборотов (МФО), предусматривавшей децентрализованную квитовку и централизованный контроль по выполняемым расчетным операциям.
Децентрализованная квитовка состояла в том, что учреждение банка, в которое поступило поручение от учреждения банка, начавшего операцию, сообщало последнему о выполнении поручения.
Централизованный контроль заключался в том, что в определенных вычислительных центрах на основе данных, поступивших от учреждений банков, начинавших соответствующие операции, производилась группировка операции по учреждениям банка, которые должны были их выполнить. По таким данным, поступившим от вычислительного центра в учреждении банка, завершившего выполнение операции, можно было удостовериться, все ли операции других учреждений банков были выполнены и нет ли в составе выполненных операций таких, по которым не было поручений банков, начинавших операцию.
Осуществление расчетных операций через РКЦ требует значительных затрат на содержание таких учреждений из всегда возмещаемых (при небольшом объеме операций) взимаемой РКЦ платой. Это является одной из причин намеченного ЦБ РФ в 1998 г. закрытия 100 РКЦ.
Одной из мер совершенствования организации расчетов между клиентами различных банков является сравнительно недавно распространившаяся практика расчетов между банками с помощью операций по корреспондентским счетам банков на основе заключаемых между ними соответствующих корреспондентских договоров.
В соответствии с корреспондентским договором в каждом из банков открывается счет для проведения корреспондентских операций, на который зачисляются средства банка-корреспондента, используемые для выполнения его поручений. В случае недостаточности средств на корреспондентском счете может быть предоставлен кредит в пределах сумм, предусмотренных договором (овердрафт).
Подобные расчеты совершаются без участия в них РКЦ, что способствует ускорению платежей и в определенной мере предотвращает возможность появления фальшивых авизо. Однако эффективность подобной организации расчетов оказывается ограниченной в связи с тем, что в каждом звене корреспондентских отношений участвуют обычно два банка, осуществляющие расчеты между обслуживаемыми ими клиентами. Одно из важнейших преимуществ корреспондентских отношений между банками состоит в том, что при них имеет место зачет взаимных требований банков, выполняющих расчетные операции своих клиентов.
Более полному использованию возможности смягчения платежного кризиса с помощью совершенствования условий проведения расчетов способствуют также совместные усилия банков по взаимному выполнению расчетных операций. Подобные отношения представляются предпочтительными по сравнению с корреспондентскими отношениями между отдельными банками. Здесь полезной может быть организация клирингов с участием в них групп банков по операциям их клиентуры.
Увеличение числа банков и их клиентов, принимающих участие в организации и осуществлении межбанковского клиринга, расширяет возможность зачета взаимных требований, снижает неплатежи. В связи с этим заслуживает внимания попытка создания двенадцатью банками в Санкт-Петербурге расчетного пула Северо-Западного региона. Такая мера обладает определенными преимуществами, состоящими в снижении неплатежей.
Вместе с тем нельзя упускать из виду присущие ей недостатки. К их числу следует отнести, с одной стороны, то, что круг участников клиринга ограничен; соответственно ограничиваются возможности преодоления неплатежей с помощью клиринга. С другой стороны, при применении клиринга расчеты между его участниками обособляются, а поступающие в их распоряжение средства используются прежде всего для удовлетворения требований участников клиринга, но в ущерб требованиям других участников хозяйственного оборота. Например, выручка участников клиринга не может использоваться для расчетов с другими предприятиями и организациями, не участвующими в клиринге, а также для платежей бюджету, выдачи заработной платы и др.
Все это свидетельствует о недостатках клиринга и обоснованности признания целесообразности ограничения его применения и более полного использования возможностей применения денежного оборота.
Расширение безналичных расчетов с применением денежного оборота вместо бартера, зачетов может способствовать повышению роли денег в народном хозяйстве, последовательному переходу к рыночным условиям взаимодействия совокупного предложения товаров и платежеспособного спроса на них.
Привлекает внимание то, что немалая часть неплатежей возникает в связи с недостаточностью платежных средств для осуществления денежного оборота. Об этом свидетельствует использование для значительной части расчетов-бартера, зачетов и других денежных суррогатов. О недостаточной обеспеченности оборота платежными средствами свидетельствует уровень коэффициента монетизации (отношение объема денежной массы к величине ВВП). Так, в 1995-1996 гг. коэффициент монетизации составлял в РФ 13%, в то же время в других странах тот же коэффициент составлял 40-70% к объему ВВП, т.е. намного больше. По нашей оценке, вероятно, целесообразно, по крайней мере, удвоить денежную массу, подняв ее уровень с 13 до примерно 25%.
Решение задачи более полного удовлетворения потребности оборота в платежных средствах может опираться на существенное увеличение кредитных вложений банков в реальную экономику. Такая мера тем более обоснованна, что доля банковского кредита в составе источников оборотных средств предприятий незначительна, а увеличение объема предоставляемых банками ссуд улучшит обеспеченность предприятий платежными средствами, что будет способствовать смягчению платежного кризиса.
Вопросы для самоконтроля
1. Каковы основные элементы системы безналичных расчетов?
2. Почему расчеты платежными поручениями (в частности, с предварительной оплатой товаров и услуг) являются сегодня наиболее распространенной формой безналичных расчетов в нашей стране?
3. В чем основные преимущества и недостатки аккредитивной формы расчетов?
4. Какие формы безналичных расчетов наиболее перспективны для российских клиентов банков?
5. Какова характеристика современной системы межбанковских расчетов, действующей в России?
6. Каковы перспективы развития безналичных расчетов в нашей стране?
7. Каковы основные причины платежного кризиса?
8. В чем проявляются негативные последствия платежного кризиса?
9. В чем состоят преимущества и ограниченные возможности влияния применения клиринга на смягчение платежного кризиса?
10. Каковы возможности и границы более полного удовлетворения потребности оборота в платежных средствах и влияние этой меры на смягчение платежного кризиса?
Показатели темпов падения ВВП по сравнению с предыдущим годом и роста инфляции (%)
| Год | Темпы падения (-) ВВП | Темпы падения (-) промышленного производства | Темпы падения (-) инвестиций | Рост рыночных цен | |||||
| 1992 | -22 | -18 | -40 | 26,1 раз | |||||
| 1993 | -12 | -14 | -12 | 9,4 раз | |||||
| 1994 | -15 | -21 | -26 | 3,2 раз | |||||
| 1995 | -4 | -11 | -13 | 131,0 | |||||
| 1996 | -6 | -8 | -15 | 21,8 | |||||
| 1997 | +0,4 | +1,9 | -5 | 11,0 | |||||
| 1998 | -5 | -9 | -7 | 80,0 | |||||
| Прогноз |
Либерализация цен и политика денежных ограничений привели к обвальному промышленному спаду.
Россия к началу 1999 г. потеряла больше половины своего валового национального продукта и более чем вдвое снизила промышленное производство. При этом спад носил не структурный, а всеобщий характер и он поразил наиболее прогрессивные и высокотехнологичные отрасли и виды производства, что означает потерю как внутреннего, так и внешнего рынков.
Наиболее глубоким и опасным по своим социально-экономическим последствиям является спад инвестиционной активности. При сокращении объема инвестиций на 2/3 невозможны не только структурная перестройка, но и воспроизводственный процесс, поскольку происходит невозобновляемое выбытие основных фондов.
В этой сфере самые высокие темпы спада. Средства, предназначенные для инвестиций в народное хозяйство, шли на более привлекательные рынки государственных ценных бумаг и валюты. Последнее означало инвестирование западных экономик.
При создавшемся положении для воспроизводства оборудования, необходимого для обновления основных фондов на российских предприятиях, по оценкам экономистов, потребуется несколько десятилетий.
Много негативных последствий имеет и приватизация. Она не только не дала бюджету ощутимых поступлений, не только не способствовала привлечению отечественных и иностранных инвестиций, но и не оказала реального влияния на повышение эффективности хозяйствования. В ряде случаев благодаря приватизации оказались искусственно разрушенными технологические связи. Все это не могло не отразиться на финансовом положении страны и мерах по борьбе с инфляцией.
Либерализация цен и ужесточение бюджетной и кредитной политики в целях подавления инфляции вызвали развал платежных отношений и кризис неплатежей. Неплатежи, составившие в начале 1992 г. 40 млрд руб., к началу 1997 г. достигли 800 трлн руб., в том числе 35,9 трлн руб. по заработной плате. Неплатежеспособными стали не только предприниматели, банки, но и государство.
Практика хозяйствования показала, что инфляция в России не столько денежный феномен, сколько связана с особенностями российской экономики. Обесценение денег в России происходит не по причине излишка денег в обращении, а в результате монопольного взвинчивания цен посредническими, порой мафиозными структурами, спекулятивной игрой на понижение курса рубля.
После либерализации цен не рост денежной массы вызвал инфляцию, а, наоборот, денежная масса не успевала за растущим платежеспособным спросом в результате взвинчивания цен. Неплатежи возмещали нехватку реальных денег в платежном обороте и являлись оборотной стороной снижения инфляции. "Разбухающая" сфера неплатежей неподконтрольна Центральному банку РФ и правительству и не затрагивается денежно-кредитным регулированием. К началу 1996 г. она в 1,5 раза превысила денежный агрегат М2. По сути это дополнительная эмиссия со стороны хозяйствующих субъектов (в которую не вошли неплатежи государства). Она - показатель "подавленной" инфляции, реальный уровень которой должен исчисляться значительно более высокими цифрами, чем это регистрируется официальной статистикой. Подавление инфляции достигается также за счет таких специфических мер, как несвоевременные расчеты государства по размещенным и выполненным государственным заказам, несвоевременная выплата заработной платы, пенсий и пособий, откладывание выплат по внешнему долгу, увеличение внутренней и внешней задолженности государства, значительное недофинансирование науки, образования и других сфер экономики.
Сокращение темпов инфляции происходит при одновременном увеличении неплатежей, спаде производства и массовой остановке предприятий.
Отказ государства от регулирования экономических и социальных процессов привел к потере контроля за ценами и доходами, распределением и перераспределением материальных и финансовых ресурсов. Денежные потоки "оторвались" от натурально-вещественных, разрушая воспроизводственный цикл, что делает невозможным формирование рыночных отношений в производственной сфере.
В 1996 г. впервые с начала проведения экономической реформы в стране было достигнуто снижение инфляции при росте денежной массы. Потребительские цены увеличились на 21,8% за год, а денежная масса М2 выросла на 33,7%. Впервые снизилась и скорость обращения денег с 10,4 в 1995 г. до 8,7 дней в 1996 г.
Основным фактором роста денежной массы в 1996 г. был кредит банковской системы на покрытие дефицита федерального бюджета. Увеличение кредита правительству за январь - сентябрь более чем в 2 раза превысило прирост кредитов, предоставленных банками экономике.
Поскольку инфляция в России имеет немонетарную природу, то экономика, инвестиции, финансы очень слабо отреагировали на снижение цен. Со второго полугодия 1996 г. наметились признаки стабилизации производства, которые не были поддержаны государственной политикой ни в 1997 г., ни в 1998 г.
Вместе с тем сохранялись факторы, не позволившие закрепить депрессивную стабилизацию. К ним относятся: нарастание бюджетного дефицита и государственного долга и слабая собираемость налогов, дальнейший рост неплатежей и задолженности по заработной плате, возрастание сферы использования денежных суррогатов, увеличение безработицы.
В России вновь накапливается инфляционный потенциал, который, по оценкам экономистов, более чем вдвое превышал фактический уровень инфляции.
Он проявился в августе 1998 г., когда в России разразился системный финансовый кризис, государство оказалось неспособным погашать внутренние и внешние долги.
К августу 1998 г. долги по ГКО достигли 436 млрд руб., в то время как все доходы бюджета на год были запланированы в 367 млрд руб. Погашение и выплаты процентов по государственному долгу с июля вдвое превышали объем собираемых налогов, что заставило государство отказаться от дальнейшего обслуживания долга. Это вызвало обвальную девальвацию рубля и рост инфляции до 80-90% годовых по сравнению с 11% в 1997 г.
Кризис характеризуется банкротством реального сектора экономики, банковской системы, разрушением экономической базы для подавления инфляции.
Понятие "денежный оборот", его содержание и структура
В большинстве западных изданий определение денежного оборота отсутствует. В учебнике "Денежное обращение и кредит" под редакцией проф. В. С. Геращенко в 1986 г. денежный оборот определяется как "совокупность денежных платежей, совершаемых в порядке безналичных перечислений и при помощи наличных денег".В учебнике "Организация и планирование денежного обращения", изданном в 1988 г., денежный оборот рассматривается как совокупность безналичного и наличного денежных оборотов.
В томе 1 изданного в 1984 г. "Финансово-кредитного словаря" денежный оборот определяется "как проявление сущности денег в их движении".
В изданном в Киеве в 1992 г. учебнике "Гроши та кредит" дается такое определение денежного, оборота: "Взятый сам по себе процесс беспрерывного перемещения денег между субъектами экономических отношений для их взаимного удовлетворения представляет собой денежный оборот".
Все эти определения имеют недостатки и не раскрывают содержания денежного оборота. Первое определение - количественное, и оно более подходит для отражения величины денежного оборота; второе -характеризует его структуру, а не содержание; третье - неверно хотя бы потому, что сущность денег проявляется в их функциях, а не в их движении, денежный же оборот имеет свою собственную сущность.
Наиболее удачно, по нашему мнению, определение, данное в учебнике, изданном в Киеве, поскольку в нем денежный оборот характеризуется как процесс, причем процесс непрерывный. Однако нельзя согласиться, что перемещение денег происходит исключительно между субъектами экономических отношений. Деньги могут совершать движение и за рамками экономических отношений.
Более приемлемым является следующее определение: денежный оборот представляет собой процесс непрерывного движения денег в наличной и безналичной формах.
Такое определение соответствует содержанию современного денежного оборота, где движение совершают именно деньги, а не различные заменители или суррогаты денег.
В условиях обращения денег, обладающих собственной стоимостью, денежный оборот, как и товарный оборот, выступает в качестве стоимостного оборота, поскольку золотая или серебряная монеты имели собственную стоимость, отраженную в указанном на ней номинале. Стоимостной оборот объединял как денежный, так и товарный обороты.
Современный же денежный оборот совершается с помощью денежных единиц (в налично-денежном и безналичном оборотах), не обладающих стоимостью, равной их номиналу. Поэтому стоимостным сейчас можно считать только товарный оборот.
В экономической литературе часто не разграничиваются понятия "денежный оборот", "платежный оборот", "денежное обращение", "денежно-платежный оборот". Между тем все эти понятия различаются между собой. Так, понятие "денежный оборот" более узкое, чем понятие "платежный оборот".
Платежный оборот - процесс движения средств платежа, применяемых в данной стране.
Он включает не только движение денег как средств платежа в налично-денежном и безналичном оборотах, но и движение других средств платежа (чеков, депозитных сертификатов, векселей и т.д.). Нельзя не обратить внимание на то, что определенная, сравнительно значительная часть расчетов между их участниками осуществляется без денежных оборотов, в форме бартера, зачета и др. Денежный оборот является, следовательно, составной частью платежного оборота. Денежное обращение, включающее оборот наличных денег, в свою очередь, служит составной частью денежного оборота. Обращение денежных знаков предполагает их постоянный переход от одних юридических или физических лиц к другим. Например, банк выдает денежные знаки институту, которые поступают в кассу банка. Из кассы банка эти денежные знаки поступают студенту в форме стипендии. Студент покупает за эти денежные знаки товары на рынке. Продавец товара за эти денежные знаки приобретает товары в магазине. Магазин сдает эти денежные знаки в банк. Банк снова предоставляет денежные знаки институту и т.д.
Обращаться могут только наличные деньги. Движение денежной единицы в безналичном обороте отражается в виде записей по счетам в банке. В подобной ситуации движение наличных денег замещается кредитными операциями, выполняемыми при участии банка, по счетам участников соответствующих операций. Поэтому понятие "денежное обращение" можно отнести только к части денежного оборота, а именно к налично-денежному обороту.
Под денежно-платежным оборотом понимается часть денежного оборота, где деньги функционируют как средство платежа независимо от того, безналичный это оборот или наличный.
Деньги, находящиеся в обороте, выполняют три функции: платежа, обращения и накопления. Последнюю функцию деньги осуществляют потому, что их движение невозможно без остановок. Когда же они временно прекращают свое движение, они и выполняют функцию накопления.
Функцию меры стоимости деньги, находящиеся в денежном обороте, не выполняют. Эту функцию деньги выполнили до вхождения в денежный оборот при установлении с их помощью цен на товары. Поэтому выполнение функции меры стоимости влияет только на потребность в деньгах для денежного оборота, следовательно; и на величину денежного оборота. Например, когда человек приходит на рынок, перед тем как купить товар и передать деньги продавцу, он торгуется, в результате чего устанавливается цена товара, и только после этого деньги совершают движение - передаются в руки продавца.
Денежный оборот складывается из отдельных каналов движения денег между:
• центральным банком и коммерческими банками;
• коммерческими банками;
• предприятиями и организациями;
• банками и предприятиями и организациями;
• банками и населением;
• предприятиями, организациями и населением;
• физическими лицами;
• банками и финансовыми институтами различного назначения;
• финансовыми институтами различного назначения и населением. По каждому из этих каналов деньги совершают встречное движение.
Структуру денежного оборота можно определять по разным признакам. Из них наиболее распространенным является классификация денежного оборота в зависимости от формы функционирующих в нем денег. По этому признаку денежный оборот подразделяется на безналичный и налично-денежный обороты. Однако, несмотря на всю важность такой классификации, она не отражает экономического содержания отдельных частей денежного оборота. Поэтому наряду с данным признаком классификации денежного оборота следует использовать и другой признак - характер отношений, которые обслуживает та или иная части денежного оборота.
В зависимости от этого признака денежный оборот разбивается на три части:
• денежно-расчетный оборот, который обслуживает расчетные отношения за товары и услуги и по нетоварным обязательствам юридических и физических лиц;
• денежно-кредитный оборот, обслуживающий кредитные отношения в хозяйстве;
• денежно-финансовый оборот, обслуживающий финансовые отношения в хозяйстве.
Наконец, можно классифицировать денежный оборот в зависимости от субъектов, между которыми двигаются деньги. По этому признаку структура денежного оборота будет такова:
• оборот между банками (межбанковский оборот);
• оборот между банками и юридическими и физическими лицами (банковский оборот);
• оборот между юридическими лицами;
• оборот между юридическими и физическими лицами;
• оборот между физическими лицами.
5.2. Особенности денежного оборота при разных моделях экономики
Различные модели экономики накладывают свой отпечаток на характер денежного оборота. Это отражается на особенностях денежного оборота при административно-распределительной и рыночной моделях экономики.
В условиях административно-распределительной модели экономики денежному обороту были присущи следующие особенности:
• как наличный, так и безналичный обороты обслуживали распределительные отношения в хозяйстве. Весь общественный продукт в виде средств производства и в виде продуктов и услуг (предметов потребления) распределялся: в первом случае - через систему материально-технического снабжения; во втором - через систему государственных торговых точек в соответствии с жалованьем (заработной платой), получаемым членами общества;
• законодательно делился на безналичный и наличный обороты, причем государство устанавливало, какие отношения должны обслуживаться безналичным, а какие - налично-денежным оборотом. При этом безналичный оборот преимущественно обслуживал распределение средств производства, а наличный оборот - распределение предметов потребления;
• служил объектом директивного планирования государством;
• функционировал в рамках единой государственной формы собственности;
• был централизован - его исходный и завершающий этапы были сосредоточены в государственном банке;
• существовала монополия государственного банка на эмиссию как безналичных, так и наличных денежных знаков;
• не существовал механизм банковского мультипликатора.
В условиях рыночной модели экономики особенности денежного оборота следующие:
• обслуживает преимущественно рыночные отношения в хозяйстве и только в незначительной части - распределительные отношения;
• служит объектом прогнозного планирования государством, коммерческими банками, юридическими и физическими лицами;
• функционирует в условиях существования различных форм собственности;
• децентрализован - его исходный и завершающий этапы рассредоточены в разных коммерческих и государственных банках;
• безналичный и налично-денежный обороты тесно связаны друг с другом - налично-денежный оборот совершается только на базе безналичного оборота;
• эмиссию безналичных денег осуществляет система коммерческих банков, эмиссию наличных денег - государственный банк.
Понятие и признаки банковской системы
Понятие "система" широко используется современной наукой. Оно соотносится с исследованием многообразных явлений природы и общественного развития. Считается, что признаком современного мышления является системный подход. Термином "система" охотно оперируют не только ученые, философы, но и деятели культуры и искусства, организаторы производства и работы банков.Как это ни покажется странным, но термин "система" не получил от этого четкого определения. Чаще всего под словом "система" понимается состав чего-либо. В Федеральном законе "О Центральном банке Российской Федерации (Банке России)" (1995 г.) отмечается, что банковская система включает Центральный банк и кредитные организации. Такое толкование не случайно ("система" от rp. systeme - целое, составленное из частей, соединение).
Из этого же предположения о содержании системы исходит и немецкое законодательство, а также некоторые немецкие авторы. В одном из лучших немецких учебников "Банковское дело" под редакцией проф. Х.Е. Бюшгена отмечается, что банковская система состоит из универсальных и специализированных банков, эмиссионного банка. Центральный банк играет ведущую роль - роль банка банков.
Вместе с тем термины "система" и "банковская система" определяют не только состав банков. По содержанию понятие "банковская система" более широкое, оно включает:
• совокупность элементов;
• достаточность элементов, образующих определенную целостность;
• взаимодействие элементов.
Какими же свойствами, признаками характеризуется банковская система?
1. Банковская система прежде всего не является случайным многообразием, случайной совокупностью элементов. В нее нельзя механически включать субъекты, также действующие на рынке, но подчиненные другим целям.
К примеру, на рынке функционируют торговая система, система транспорта и связи, исполнительной и законодательной власти, правоохранительных органов и т.п. Каждая из данных и других систем имеет свое особое назначение. Они соприкасаются друг с другом, но имеют разные задачи. В банковскую систему нельзя включать производственные, сельскохозяйственные единицы, занятые другим родом деятельности.
2. Банковская система специфична, она выражает свойства, характерные для нее самой, в отличие от других систем, функционирующих в народном хозяйстве. Специфика банковской системы определяется ее составными элементами и отношениями, складывающимися между ними.
Когда рассматривается банковская система, то прежде всего имеется в виду, что она в качестве составного элемента включает банки, которые как денежно-кредитные институты дают "окраску" банковской системе.
Вместе с тем это не следует понимать так, что сущность банковской системы есть сложение сущностей ее элементов. Сущность банковской системы - это не арифметическое действие, а проникновение в новую более широкую сущность, охватывающую сущность не только отдельных элементов, но и их взаимосвязь. Сущность банковской системы обращена не только к сущности частных, составляющих элементов, но и к их взаимодействию.
Из этого следует, что сущность банковской системы влияет на состав и сущность ее отдельных элементов.
Практика знает несколько типов банковской системы:
• распределительная централизованная банковская система;
• рыночная банковская система;
• система переходного периода.
В противоположность распределительной системе банковская система рыночного типа характеризуется отсутствием монополии государства на банки. Каждый субъект воспроизводства самой разнообразной формы собственности (не только государственной) может образовать банк. В рыночном хозяйстве функционирует множественность банков с децентрализованной системой управления. Эмиссионные и кредитные функции разделены ими между собой. Эмиссия сосредоточена в центральном банке, кредитование предприятий и населения осуществляют различные деловые банки - коммерческие, инвестиционные, инновационные, ипотечные, сберегательные и др. Деловые банки не отвечают по обязательствам государства, так же как государство не отвечает по обязательствам деловых банков; деловые банки подчиняются своему Совету, решению акционеров, а не административному органу государства.
Различия между этими двумя типами системы представлены в табл. 16.1.
Современная банковская система России представляет собой систему переходного периода. Она выступает как рыночная модель; разделена на два яруса: первый ярус охватывает учреждения Центрального банка РФ, осуществляющего выпуск денег в обращение (эмиссию), его задачей являются обеспечение стабильности рубля, надзор и контроль за деятельностью коммерческих банков.. Второй ярус состоит из различных деловых банков, задача которых - обслуживание клиентов (предприятий, организаций, населения), предоставление им разнообразных услуг (кредитование, расчеты, кассовые, депозитные, валютные операции и др.).
Банковская система находится в стадии переходной системы: она содержит компоненты рыночной банковской системы, однако их взаимодействие еще недостаточно развито. Известно, что та или иная система так или иначе происходит из предшествующей, поэтому содержит "родимые пятна" прошлого. Рыночная система, возникшая из централизованной системы, проходя становление в условиях переходного периода, должна быть в условиях России еще "наполнена" рыночной идеологией. В составе элементов банковской системы и их взаимодействии должны полнее учитываться особенности и условия рыночной экономики.
3. Банковскую систему можно представить как целое, как многообразие частей, подчиненных единому целому. Это означает, что ее отдельные части (различные банки) связаны таким образом, что могут при необходимости заменить одна другую. В случае, если ликвидируется один банк, вся система не становится недееспособной - появляется другой банк, который может выполнять банковские операции и услуги. В банковскую систему при этом могут влиться новые части, восполняющие специфику целого.
Теоретически можно предположить, что даже в том случае, если в банковской системе исчезает первый ярус - центральный банк, вся система не разрушается, какое-то время другие банки способны в пределах выпущенной массы платежных средств совершать расчеты, выдавать кредиты, проводить другие банковские и небанковские операции. В истории некоторых стран были примеры, когда эмиссионные операции поручались не только центральному банку, но и новым, коммерческим банкам.
Таблица 16.1

4. Банковская система не находится в статическом состоянии, напротив, она постоянно в динамике. Здесь выделяются два момента.
Во-первых, банковская система как целое все время находится в движении, она дополняется новыми компонентами, а также совершенствуется. Например, еще недавно в России не было муниципальных банков, сейчас они созданы в ряде крупных экономических центров. Существенное место занимали маленькие банки (с капиталом до 100 млн руб.), постепенно их число сокращается, достигнув к 1 сентября 1998 г. 0,5% общей численности кредитных учреждений. С выходом нового банковского законодательства банковская система приобрела более совершенную законодательную базу.
Во-вторых, внутри банковской системы постоянно возникают новые связи. Взаимодействие образуется как между центральным банком и коммерческими банками, так и между ними. Банки участвуют на рынке межбанковских кредитов, предлагают для продажи "длинные" и "короткие" деньги, покупают денежные ресурсы друг у друга. Банки могут оказывать друг другу иные услуги, к примеру, участвовать в совместных проектах по финансированию предприятий, образовывать объединения и союзы.
5. Банковская система является системой "закрытого" типа. В полном смысле ее нельзя назвать закрытой, поскольку она взаимодействует с внешней средой, с другими системами. Кроме того, система пополняется новыми элементами, соответствующими ее свойствам. Тем не менее она "закрыта", так как, несмотря на обмен информацией между банками и издание центральными банками специальных статистических сборников, информационных справочников, бюллетеней, существует банковская "тайна". По закону банки не имеют права давать информацию об остатках денежных средств на счетах, об их движении.
6. Банковская система - "самоорганизующаяся", поскольку изменение экономической конъюнктуры, политической ситуации неизбежно приводит к "автоматическому" изменению политики банка.
В период экономических кризисов и политической нестабильности банковская система сокращает долгосрочные инвестиции в производство, уменьшает сроки кредитования, увеличивает доходы преимущественно не за счет основной, а побочной деятельности. Напротив, в условиях экономической и политической стабильности и, следовательно, сокращения риска банки активизируют свою деятельность как по обслуживанию основной производственной деятельности предприятий, так и долгосрочному кредитованию хозяйства, получают доходы преимущественно за счет своих традиционных процентных поступлений.
Банки, не принявшие меры, учитывающие меняющиеся события, неизбежно оказываются в трудном экономическом положении, теряют клиентов, несут убытки, в конечном счете перестают существовать.
7. Банковская система выступает как управляемая система. Центральный банк, проводя независимую денежно-кредитную политику, в различных формах подотчетен лишь парламенту либо исполнительной власти. Деловые банки, будучи юридическими лицами, функционируют на базе общего и специального банковского законодательства, их деятельность регулируется экономическими нормативами, устанавливаемыми центральным банком, который осуществляет контроль за деятельностью кредитных институтов (в ряде стран функции надзора за деятельностью коммерческих банков возложены на другие специальные государственные органы).
Все эти признаки свойственны и российской банковской системе, которая в современных условиях, будучи системой переходного периода, тем не менее является развивающейся системой. Нормативная и законодательная база их деятельности все время меняется. Экономический кризис, обвал банковской системы 1998 г. как следствие накапливающихся диспропорций в народном хозяйстве и денежном обороте затормозили развитие банков, более того, по некоторым позициям отбросили их на несколько лет назад, девальвировав капиталы денежно-кредитных институтов, сократив их численность, однако как рыночные институты банки сохранили свою значимость в экономике переходного периода.
Признаки банковской системы:
• включает элементы, подчиненные определенному единству, отвечающие единым целям;
• имеет специфические свойства;
• способна к взаимозаменяемости элементов;
• является динамической системой;
• выступает как система "закрытого" типа;
• обладает характером саморегулирующейся системы;
• является управляемой системой.
Банковская система не изолирована от окружающей среды, напротив, она тесно взаимодействует с ней, представляет собой подсистему более общего образования, какой служит экономическая система. Будучи частью более общего, банковская система функционирует в рамках общих и специфических банковских законов, подчинена общим юридическим нормам общества, ее акты, хотя и выражают особенности банковского сектора, однако могут вноситься в общую систему, как и она сама, только в том случае, если не противоречат общим устоям и принципам, строят общую систему как единое целое.
Понятия "выпуск денег" и "эмиссия денег". Формы эмиссии
Деньги в хозяйственном обороте в условиях рынка существовали и существуют всегда. Новые деньги в оборот поступают из банков, создающих их в результате кредитных операций. Вот почему кредитный характер денежной эмиссии является одним из основополагающих принципов организации денежной системы государства.Понятия "выпуск денег" и "эмиссия денег" - неравнозначны. Выпуск денег в оборот происходит постоянно. Безналичные деньги выпускаются в оборот, когда коммерческие банки предоставляют ссуду своим клиентам. Наличные деньги выпускаются в оборот, когда банки в процессе осуществления кассовых операций выдают их клиентам из своих операционных касс. Однако одновременно клиенты погашают банковские ссуды и сдают наличные деньги в операционные кассы банков. При этом количество денег в обороте может и не увеличиваться.
Под эмиссией же понимается такой выпуск денег в оборот, который приводит к общему увеличению денежной массы, находящейся в обороте. Существует эмиссия безналичных и наличных денег (последняя и называется эмиссией денег в обращение).
В условиях административно-распределительной экономики (по типу бывшего СССР) и ту, и другую эмиссию, как правило, осуществлял Государственный банк. В условиях рыночной экономики эмиссионная функция разделяется: эмиссия безналичных денег производится системой коммерческих банков, эмиссия наличных денег - государственным центральным банком. При этом первична эмиссия безналичных денег. Прежде чем наличные деньги появятся в обороте, они должны отражаться в виде записей на депозитных счетах коммерческих банков.
Главная цель эмиссии безналичных денег в оборот - удовлетворение дополнительной потребности предприятий в оборотных средствах. Коммерческие банки удовлетворяют эту потребность, предоставляя предприятиям кредиты. Однако кредиты банки могут выдавать только в пределах имеющихся у них ресурсов, т.е. тех средств, которые они мобилизовали в виде собственного капитала и средств, находящихся на депозитных счетах. С помощью же этих ресурсов можно удовлетворить лишь обычную, а не дополнительную потребность хозяйства в оборотных средствах. Между тем либо в связи с ростом производства, либо в связи с ростом цен на товары постоянно возникает дополнительная потребность хозяйства и населения в деньгах. Поэтому должен существовать механизм эмиссии безналичных денег, удовлетворяющий эту дополнительную потребность.
В условиях стран с административно-распределительной системой хозяйства эмиссия безналичных денег осуществлялась на основе кредитных планов, путем расширения предоставляемых в соответствии с ними кредитов.
В странах с рыночной моделью экономики, когда монополия на эмиссии разрушена, действие подобного механизма становится невозможным.
Предпосылки и значение появления денег
Деньги - экономическая категория, в которой проявляются и при участии которой строятся общественные отношения: деньги выступают в качестве самостоятельной формы меновой стоимости, средства обращения, платежа и накопления.В современных условиях в повседневной жизни людей, в деятельности предприятий, государственных и других органов, в различных сферах экономической деятельности деньги используются при:
• определении цен и реализации товаров и услуг;
• определении себестоимости продукции и величины прибыли;
• оплате труда;
• составлении и исполнении бюджетов;
• осуществлении кредитных и расчетных операций;
• осуществлении операций с ценными бумагами;
• сбережении и накоплении в качестве средства;
• оценке объема ресурсов, участвующих в процессе производства (основные и оборотные фонды) и т.п.
Деньги возникают при определенных условиях осуществления производства и экономических отношений в обществе и способствуют дальнейшему их развитию. Под влиянием меняющихся условий развития экономических отношений изменяются и особенности функционирования денег.
К непосредственным предпосылкам появления денег относятся:
• переход от натурального хозяйства к производству товаров и обмену товарами;
• имущественное обособление производителей товаров - собственников изготовляемой продукции.
В первоначальный период существования человеческого общества господствовало натуральное хозяйство, в котором производилась продукция, предназначенная для собственного потребления. Постепенно в интересах увеличения производства, а в определенной мере под влиянием природных условий (например, таких как условия для развития животноводства, земледелия, рыбной ловли и т.д.) происходила специализация людей на изготовлении определенных видов продукции. При этом возросшее количество продукции оказалось возможным использовать не только для удовлетворения потребностей производителя, но и для обмена на другую продукцию, необходимую данному производителю. Такова важнейшая предпосылка возникновения обмена продукции.
Переход к производству товаров и обмену товарами сопровождался прежде всего тем, что вместо изготовления продукции для удовлетворения собственных потребностей хозяйствующего субъекта развивалось производство продукции для обмена на другие товары или для реализации. Такой переход основывался на специализации производителей на изготовлении определенных видов продукции, что увеличивало ее производство на основе повышения производительности труда.
Имущественное обособление товаропроизводителей, являющихся собственниками производимых товаров, позволяло обменивать принадлежащие им товары на другие или реализовать товары за деньги.
Непосредственный обмен товара на товар может быть лишь при наличии потребности продавца именно в том товаре, который предлагается к обмену другой стороной. Это предполагает также, что другие товаропроизводители располагают возможностью предъявить к обмену продукцию, нужную данному производителю, а соответственно данный производитель располагает продукцией, нужной другому товаропроизводителю.
Следовательно, обмен товарами может происходить при наличии нужных товаров у сторон, вступающих в обменную сделку. Однако это существенно ограничивает возможности обмена товаров. К тому же при обмене должны учитываться интересы товаропроизводителей и соблюдаться требование эквивалентности стоимости обмениваемых товаров, что в свою очередь также ограничивает обмен, в том числе в связи с неделимостью обмениваемых товаров (например, крупного рогатого скота).
Соблюдение требований эквивалентности обмена предполагает измерение стоимости товаров исходя из затрат труда на их изготовление.
Стремление к развитию обмена побуждало к увеличению производства товаров, выделению из многообразия обмениваемых товаров всеобщего эквивалента, используемого для измерения стоимости и при обмене товаров. Увеличение производства товаров усиливало стремление к развитию обмена и заинтересованность в выделении из многообразия обмениваемых товаров всеобщего эквивалента, используемого при обмене товаров.
Развитие обмена, постепенное возрастание его интенсивности вызывало использование сначала отдельных видов товаров (скота, меха), а затем драгоценных металлов (главным образом золота) в качестве всеобщего эквивалента. Выделению золота как всеобщего эквивалента и в конечном счете в качестве денег способствовала его однородность, делимость и сохранность от порчи.
Переход от натурального хозяйства к товарному, а также требование соблюдения эквивалентности обмена обусловили необходимость появления денег, без участия которых невозможен массовый обмен товаров, складывающийся на основе производственной специализации и имущественной обособленности товаропроизводителей.
Необходимость возникновения и применения денег подтверждается многочисленными безрезультатными попытками обойтись без них. Об этом свидетельствует банкротство осуществленной Р. Оуэном в 1832 г. попытки обмена товаров без денег, с помощью оценки товаров, исходя из затрат рабочего времени с применением "трудовых бон". Неудачны были и попытки осуществления в России продуктообмена на базе натуральных коэффициентов, проводившегося в 1918 и 1921 гг.
Пример. В 1921 г. применялись следующие натуральные коэффициенты обмена:
1 аршин ситца = 20 фунтам зерна;
1 пачка спичек =13,5 фунтам зерна;
1 пуд гвоздей = 23 пудам 7 фунтам зерна.
В связи с различиями отдельных видов зерна было установлено:
пшеницы =
Возникновение денег и их применение сопровождалось немаловажными последствиями. Появление денег позволило преодолеть узкие рамки взаимного обмена отдельных производителей товарами и создать условия для возникновения рынка, в операциях которого могут участвовать многие владельцы разных товаров. Это, в свою очередь, способствовало дальнейшему развитию специализации производства и повышению его эффективности.
Важное значение имело то, что благодаря применению денег появилась возможность разделить единовременный процесс взаимного обмена товарами ( Т-Т) на два разновременно осуществляемых процесса: первый состоит в продаже своего товара (Т-Д). второй - в приобретении нужного товара в другое время и в другом месте (Д-Т).
При этом применение денег уже не сводится к участию в качестве посредника в процессах обмена товаров. Напротив, функционирование денег приобретает черты самостоятельного процесса: товаропроизводители могут хранить деньги, полученные от реализации своего товара, до момента приобретения нужного товара. Отсюда возникли денежные накопления, которые могли быть использованы как для приобретения товаров, так и для предоставления денег взаймы и погашения долгов.
В результате таких процессов движение денег приобрело самостоятельное значение, отделилось от движения товаров.
Еще большую самостоятельность функционирование денег получило в связи с замещением полноценных денег, обладающих собственной стоимостью, денежными знаками, а также при последующей отмене фиксированного золотого содержания денежной единицы. При этом в обороте стали функционировать деньги, не обладающие собственной стоимостью, что позволило эмитировать денежные знаки в соответствии с потребностью оборота, независимо от наличия золотого обеспечения.
Самостоятельность функционирования денег значительно расширилась при появлении безналичных расчетов, в том числе и расчетов на базе применения электронной техники.
Принципы организации безналичных расчетов
Безналичный платежный оборот в стране организуется на основе определенных принципов.Принципы организации расчетов - основополагающие начала их проведения. Соблюдение принципов в совокупности позволяет обеспечить соответствие расчетов предъявляемым требованиям: своевременности, надежности, эффективности.
Первый принцип - правовой режим осуществления расчетов и платежей - обусловлен ролью платежной системы как основного элемента любого современного общества. Все гражданские правоотношения подразделяются на вещные (раздел 2 ГК РФ) и обязательственные (разделы 3, 4 ГК РФ). Рыночный оборот по существу представляет собой совокупность различных обязательственных отношений, связанных с исполнением определенных обязанностей конкретными должниками в пользу кредиторов. Выполнение обязательств предприятиями, частными лицами, государством обеспечивается благодаря платежной системе. В литературе высказана позиция, что безналичные расчеты - это не движение денежных средств, а движение денежных обязательств. При этом объем требований клиента к банку отражается на его расчетном (текущем) счете. На корреспондентских счетах банков отражаются уже суммы требований к банкам-корреспондентам, основным из которых является Банк России. Сложность и важность расчетных взаимоотношений предопределяют необходимость установления единообразия посредством регулирования. Базой последнего служит комплекс законов и подзаконных актов (указов Президента, постановлений правительства), а также нормативных актов тех государственных органов, которым поручено выполнять функцию регулирования расчетов. Развитие международных расчетов в связи с либерализацией внешнеэкономической деятельности обусловливает необходимость использования соответствующих конвенций и нормативных актов.
В связи с этим следует отметить, что в начале XX в. немецкий экономист Г. Кнапп рассматривал деньги только как платежное средство (других функций он не признавал), причем как продукт государственной власти и права. "Сущность денег, - отмечал он, - заключается не в материале знаков, а в правовых нормах, регулирующих их употребление".
К концу 90- х гг. сложившаяся нормативная база, регулирующая платежно-расчетные отношения, имела недостатки. По мнению правоведов, основные из них:
• существенное отставание нормотворчества от динамики развития денежного рынка;
• недостаточно активное обновление правовых норм и замедленное введение современных категорий.
Все это привело к устареванию системы законодательства в области расчетных отношений. Как отмечается в юридической литературе, область, с которой имеет отношения буквально каждый предприниматель и от которой зависит четкая работа всего хозяйственного механизма, регламентируется такими актами, как письма и телеграммы Банка России.
Последствия нормативно-правового вакуума следующие:
• либо увеличение объема договорной документации, ее крайняя усложненность, включение положений, которые должны устанавливаться законом, вплоть до понятийного аппарата;
• либо (что происходит в подавляющем большинстве случаев) отсутствие необходимых договорных условий и соответственно неизбежное ущемление интересов экономически более слабой стороны.
Таким образом, неопределенность правовых условий порождает правовой риск.
Второй принцип - осуществление расчетов преимущественно по банковским счетам. Наличие последних как у получателя, так и плательщика - необходимая предпосылка расчетов. Безналичные расчеты ведутся юридическими лицами и гражданами через банк, в котором им открыт соответствующий счет. Для расчетного обслуживания между банком и клиентом заключается договор банковского счета - самостоятельный двусторонний (участники имеют как права, так и обязанности) гражданско-правовой договор. Юридическое оформление и функционирование счетов предприятий в банке предопределяется действующим порядком создания предприятий, их правовым статусом, а также инструкцией Госбанка СССР от 30 октября 1986 г. № 28 (с последующими изменениями и дополнениями).
Согласно Федеральному закону "О банках и банковской деятельности" (ст. 30) в договоре должны быть указаны процентные ставки по кредитам и вкладам (депозитам), стоимость банковских услуг и сроки их выполнения, в том числе сроки обработки платежных документов, имущественная ответственность сторон за нарушение договора, включая ответственность за нарушение обязательств по срокам осуществления платежей, а также порядок его расторжения и другие существенные условия договора. Клиенты вправе открывать необходимое им количество расчетных, депозитных и иных счетов в любой валюте в банках с их согласия, если иное не установлено федеральным законом.
Банки и другие кредитные учреждения для проведения расчетов между собой открывают корреспондентские счета - друг у друга (заключается договор корреспондентского счета) и в обязательном порядке - в учреждениях Банка России (договор на расчетное обслуживание банка).
Третий принцип - поддержание ликвидности на уровне, обеспечивающем бесперебойное осуществление платежей. Соблюдение этого принципа - залог четкого безусловного выполнения обязательств. Все плательщики (предприятия, банки и т.п.) должны планировать поступления, списания средств со счетов, предусмотрительно изыскивать недостающие ресурсы (путем получения кредита или продажи активов) с целью своевременного выполнения долговых обязательств.
Четвертый принцип - наличие акцепта (согласия) плательщика на платеж. Данный принцип реализуется путем применения:
• либо соответствующего платежного инструмента (чека, простого векселя, платежного поручения), свидетельствующего о распоряжении владельца на списание средств;
• либо специального акцепта документов, выписанных получателями средств (платежных требований-поручений, платежных требований, переводных векселей).
Вместе с тем законодательством предусмотрены случаи бесспорного (без согласия плательщиков) списания средств: недоимок по налогам и другим обязательным платежам - на основании исполнительных листов, выданных судами, некоторых штрафов по распоряжениям взыскателей и др., а также безакцептного списания за тепловую и электрическую энергию, коммунальные и другие услуги.
Пятый принцип - срочность платежа - вытекает из самой сути рыночной экономики, неотъемлемым условием которой является своевременное и полное выполнение платежных обязательств. Подробное толкование срока, его начала и окончания (включая нерабочий день), определенного периодом времени, порядок совершения действий в последний день срока даны в первой части Гражданского кодекса РФ, введенной в действие с 1 января 1995 г. (ст. 190-195). Значение этого принципа заключается в том, что непрерывно расходуемые средства на производство товаров, оказание услуг должны возмещаться за счет платежей покупателей в сроки, предусмотренные заключенными договорами. Сбои в соблюдении сроков платежей ведут к нарушению кругооборота средств и в конечном счете к платежному кризису.
Согласно Положению о порядке проведения операций по списанию средств с корреспондентских счетов (субсчетов) кредитных организаций (письмо ЦБ РФ от 1 марта 1996 г. №244) обязательными реквизитами представляемых в банк платежных поручений служат срок и очередность платежа. Принцип срочности относится не только ко времени (периоду) оплаты счетов за товары и услуги, но и к составной части этого периода - времени выполнения банками услуг по проведению расчетных операций. В форме бухгалтерского баланса предприятия дебиторская задолженность в активах и кредиты банков, займы в пассивах показываются с подразделением на долгосрочные (свыше одного года) и краткосрочные (до одного года).
В современных условиях платежного кризиса этот принцип фактически не выдерживается. Проблема соблюдения рассматриваемого принципа может быть решена путем преодоления платежного кризиса и развития всех остальных принципов, особенно излагаемых далее.
Шестой принцип - контроль всех участников за правильностью совершения расчетов, соблюдением установленных положений о порядке их проведения - подразделяется на предварительный, текущий, последующий, внутренний и внешний контроль. Большую роль в соблюдении данного принципа играет установление согласно ст. 16 Федерального закона РФ от 21 ноября 1996 г. № 129-ФЗ "О бухгалтерском учете" публичности бухгалтерской отчетности. Так, акционерные общества открытого типа, банки и другие кредитные организации, страховые организации, биржи, инвестиционные и иные фонды, создающиеся за счет частных, общественных и государственных средств (взносов), обязаны публиковать годовую бухгалтерскую отчетность не позднее 1 июня года, следующего за отчетным.
Имеются определенные особенности в проведении контроля со стороны предприятий и банков. В частности, банки, выступая посредниками между продавцами и покупателями, налоговыми органами, населением, бюджетом, внебюджетными фондами, контролируют соблюдение ими установленных правил расчетов. Руководствуясь интересами, обслуживаемых клиентов, особенно необходимостью поддержания устойчивой кредитоспособности фирм, банки нередко, особенно на Западе, принимают на себя весь контроль за проведением расчетов. В частности, они осуществляют комплекс услуг по управлению денежной наличностью: составление кассовых смет, инкассацию чеков и счетов дебиторов, тщательный контроль за движением средств и размещение на рынке свободных ресурсов.
В международной практике именно обслуживание счетов клиентов и комиссии за дополнительные услуги приносят банку львиную долю доходов. Многие российские банки переходят к подобной системе работы, усиливая свой капитал с клиентами. Все больше получает развитие финансовый менеджмент клиента как система управления денежными потоками клиентов, позволяющая обеспечивать оптимальные финансовые решения как для банков - сбалансирование ликвидности и диверсификацию вложений, так и для клиента - финансовое обеспечение коммерческой деятельности и инвестирование высвобождающихся средств.
Специфический характер носит контроль банков за проведением расчетов между ними самими.
Однако, как показывает практика, контроль участников рыночных отношений за выполнением договорных обязательств в силу неразвитости финансового менеджмента на предприятиях должным образом не налажен. Не отрегулирован механизм и правового контроля со стороны государства за соблюдением правил игры предприятиями различной формы собственности. Эти причины, в свою очередь, стали одними из главных в образовании платежного кризиса. Отсюда ослаблено применение всех остальных принципов расчетов.
С принципом взаимного контроля участников расчетов тесно связан седьмой принцип - их имущественной ответственности за несоблюдение договорных условий. Суть этого принципа заключается в том, что нарушения договорных обязательств в части расчетов влекут применение гражданско-правовой ответственности в форме возмещения убытков, уплаты неустойки (штрафа, пени), а также иных мер ответственности. Надлежащий контроль позволяет предотвратить неисполнение обязательств как своих, так и контрагентов, а если они не выполнены последними, - практически полностью возместить причиненные убытки и тем самым ослабить негативные последствия. Возможности для этого значительно расширились благодаря совершенствованию законодательства, значительно дополнившего прежние (до перехода к рынку) меры воздействия за невыполнение денежных обязательств.
В связи с внедрением рыночных основ в экономику России, пожалуй, ни в одной сфере экономических отношений, за исключением налоговой, не было принято столько законов и подзаконных актов, как в области расчетных взаимоотношений. Основное место среди них занимают акты по усилению имущественной ответственности за нарушение обязательств при осуществлении расчетов. В Гражданском кодексе (части первой, ст. 295) значительно усилена ответственность за неисполнение денежного обязательства.
Дальнейшее развитие получило правовое регулирование процесса взыскания недоимок по налогам: отнесение к числу первоочередных платежей; установление пени за просрочку платежа 0,7% суммы за каждый день просрочки; принятие порядка бесспорного взыскания недоимки по платежам в бюджет в виде обращения на суммы, причитающиеся от его дебиторов, а также на имущество недоимщиков и др.
Взаимные претензии между плательщиком и получателем средств рассматриваются обеими сторонами без участия банковских учреждений. Спорные вопросы решаются в суде, третейском суде и арбитраже. Претензии к банку, связанные с выполнением расчетно-кассовых операций, направляются клиентами в письменной форме в обслуживающий их банк. Последний ведет переписку по этим претензиям с другими банками, и, при необходимости, с участием РКЦ.
Несмотря на предпринимаемые меры, проблема укрепления принципа имущественной ответственности в процессе организации расчетов осталась одной из трудноразрешимых. Как свидетельствует практика работы арбитражных судов, функционирующих в России с 1993 г., самые болезненные дела связаны с расчетами. Из поступивших в 1997 г. на разрешение арбитражных судов исковых заявлений, относящихся к гражданским правоотношениям, более 70% всех дел связано с расчетами за продукцию, товары и услуги. Резко увеличивается и количество споров, вытекающих из кредитных-договоров и договоров на расчетно-кассовое обслуживание.
Самое большое количество претензий и исков, предъявляемых в связи с неисполнением обязательств по договорам, объясняется ненадлежащим исполнением или неисполнением условий расчетов за товар. Недостаточная ответственность недобросовестных получателей продукции стала одной из причин несвоевременных платежей. Множество нарушений и экономических преступлений связано с расчетами, а также с использованием счетов в банках.
Подытоживая изложение двух последних взаимосвязанных между собой принципов организации безналичных расчетов, следует отметить, что пока еще не налажена целостная система контроля за сферой расчетов со стороны коммерческих и центрального банков, Министерства финансов РФ, Министерство налогов и сборов РФ, Прокуратуры РФ и других органов. Во многом это связано со становлением новых условий деятельности самих этих органов применительно к рыночной экономике, а также недостатками в создании соответствующей законодательной базы. Отсюда своевременной является задача подготовки и издания Федерального закона "О государственном финансовом контроле в Российской Федерации", поставленная в Указе Президента РФ от 25 июля 1996 г. №1095.
Природа ссудного процента
Ссудный процент - объективная экономическая категория, представляющая собой своеобразную цену ссуженной во временное пользование стоимости. Его возникновение обусловлено наличием товарно-денежных отношений, которые, в свою очередь, определяются отношениями собственности. Ссудный процент возникает там, где отдельный собственник передает другому определенную стоимость во временное пользование с целью ее производительного потребления. Эта стоимость обладает чертами товара. Ее потребительная стоимость (полезность) состоит в производстве прибыли, которая, с одной стороны, составляет доход производителя; с другой - кредитора (в форме процента).Движение ссужаемой стоимости таково:
Д-Д', т.е.Д'-Д=?Д,
где Д - ссужаемая стоимость;
Д' - наращенная сумма долга;
?Д - приращение к ссуде, выступающее в виде платы за кредит.
Для кредитора цель сделки состоит в получении определенного дохода на ссуженную стоимость; предприниматель привлекает средства также с целью увеличения прибыли. Ее размер зависит от цены продукции и затрат на ее производство, т.е. от себестоимости продукции, представляющей затраты живого и овеществленного труда. Когда предприниматель привлекает заемные средства, то из прибыли он должен уплатить проценты. Если исходить из принципа равного дохода на вложенные средства, то на один рубль заемных средств приходится величина прибыли, соответствующая доходности собственных вложений. Столкновение интересов собственника средств и предпринимателя, пускающего их в оборот, приводит к разделению прибыли на вложенные средства между заемщиком и кредитором. Доля последнего выступает в форме ссудного процента.
В экономической литературе советского периода (особенно 20-30-е гг.) ссудный процент чаще всего воспринимался как средство снижения себестоимости продукции. Действительно, ссудный процент включался в себестоимость продукции. Поэтому его трактовка как элемента себестоимости не кажется противоестественной. Тем не менее при данной характеристике ссудного процента теряется его специфика. В основу себестоимости продукции входит не только ссудный процент, но и другие компоненты. Более того, стоимость живого и овеществленного труда имеет более высокий удельный вес, поэтому экономия именно данных издержек представляла бы наиболее ощутимое средство снижения себестоимости товаров.
Вряд ли убедительно и определение процента как средства возмещения расходов банка, поскольку оно не характеризует сущности ссудного процента, а сведено лишь к определению результатов одного из участников кредитных отношений.
В 80-х гг. в советской экономической литературе главенствующее место заняли теории, определяющие ссудный процент в качестве иррациональной цены кредита.
Развитие рыночных отношений в экономике России определило условия для трансформации функций ссудного процента, присущих ему в системе административного управления: стимулирующей и распределения прибыли в более широкую регулирующую функцию, которая содержит элементы стимулирования и распределения.
Вместе с тем еще не созданы предпосылки, которые позволили бы проценту в полном объеме реализовать функцию регулятора производства, соответствующую рыночным условиям. Если уровень ссудного процента складывается на основе соотношения спроса и предложения кредита, как это характерно для рыночного хозяйства, он должен четко отражать изменение экономической конъюнктуры. Стимулы к дополнительным инвестициям с привлечением кредита будут сохраняться до тех пор, пока ожидаемая рентабельность превышает текущую норму процента или равна ей. Однако данная схема на сегодняшний день не соответствует реальным экономическим условиям. Несмотря на рыночное формирование уровня ссудного процента, ряд процессов (инфляция, экономический кризис, особенности валютного регулирования, неразвитость денежного рынка, монопольное владение государством отдельными отраслями производства) не позволяет проценту выступать эффективным регулятором производства.
Тем не менее отдельные направления экономического регулирования присущи и современному функционированию ссудного процента. Так, посредством нормы процента уравновешивается соотношение спроса и предложения кредита. Он содействует рациональному сочетанию собственных и заемных средств. В условиях рыночного формирования уровня ссудного процента привлечение в оборот заемных средств является выгодным только при покрытии кредитом временных и необходимых дополнительных потребностей. Всякое излишнее использование кредита снижает общий уровень рентабельности вложений.
Посредством процента осуществляется регулирование объема привлекаемых банком депозитов. Рост потребностей хозяйства в кредитах должен быть покрыт соответствующим приростом банковских депозитов как источников кредитования. Это ведет к повышению ставок депозитного процента до размера, уравновешивающего предложение депозитов и спрос на них со стороны банка. Напротив, при сокращении потребностей хозяйства в кредитах снизятся доходы банка от предоставляемых ссуд. Увеличить прибыль он сможет при сокращении пассивных операций. Таким образом, уменьшение притока ресурсов в кредитную систему выступает реакцией на снижение потребностей хозяйства в заемных средствах.
Процентная политика коммерческого банка уже сегодня направлена на соответствующее управление ликвидностью его баланса.
Дифференциация уровня ссудного процента по активным операциям в зависимости от ликвидности вложений приводит к соответствию спроса на рисковый кредит со стороны заемщиков требованиям ликвидности баланса банков. Аналогично прослеживается роль процента по депозитным операциям как стимула привлечения наиболее устойчивых средств в оборот кредитного учреждения.
Устанавливаемая Центральным банком РФ ставка платы за ресурсы наряду с нормой обязательных резервов и условиями выпуска и обращения государственных ценных бумаг постепенно становится эффективным средством управления коммерческими банками. Не прибегая к прямому регулированию процентной политики последних, Центральный банк РФ определяет единство процентной политики в масштабах хозяйства, стимулируя повышение или понижение процентных ставок.
В целом усиление роли банковского процента в экономике и превращение его в действенный элемент экономического регулирования непосредственно связаны с состоянием экономической ситуации в стране и ходом реформ. Для современных экономических отношений характерно усиление роли банковского процента как результат проявления его регулирующей функции.
Существуют различные формы ссудного процента, их классификация определяется рядом признаков, в том числе:
• формами кредита;
• видами кредитных учреждений;
• видами инвестиций с привлечением кредита;
• сроками кредитования;
• видами операций кредитного учреждения (табл. 13.1).
Таблица 13.1

Для ссудного процента во всех его формах характерен следующий механизм использования:
• Уровень ссудного процента определяется макроэкономическими факторами: соотношением спроса и предложения средств, степенью доходности на других сегментах финансового рынка, регулирующей направленностью процентной политики Центрального банка РФ, а также зависит от конкретных условий сделок как по привлечению, так и размещению средств.
• Центральный банк РФ переходит от прямого административного управления нормой ссудного процента к экономическим методам регулирования уровня платы за кредит: посредством изменения платы за кредит на рефинансирование кредитных учреждений, путем маневрирования нормой обязательных резервов, депонируемых в Центральном банке РФ от суммы привлеченных вкладов, через изменение уровня доходности по операциям с государственными ценными бумагами.
• Порядок начисления и взимания процентов определяется договором сторон. Как правило, применяется ежемесячное либо ежеквартальное начисление процентов.
• Источник уплаты процента различается в зависимости от характера операции. Так, платежи по краткосрочным ссудам включаются в себестоимость продукции; расходы по долгосрочным и по просроченным кредитам относятся на прибыль предприятия после ее налогообложения.
Проблемы расширения круга операций, ликвидности и доходности банков
В начале 80-х гг. коммерческие банки в силу ряда причин (глобализация рынков, усиление конкуренции, технологическая революция в банковском деле и др.) существенно расширили круг операций, отдавая приоритет развитию различных форм обслуживания клиентов. Началось формирование обновленного рынка банковских услуг, на котором наряду с традиционными видами операций получили развитие и новые услуги. В этот период маркетингу придавалось все большее значение по мере усиления конкуренции между самими коммерческими банками и между банками и другими кредитно-финансовыми институтами. В некоторых странах были созданы исследовательские учреждения, специализирующиеся на изучении проблем рекламы и маркетинга (например, Институт маркетинга в Великобритании).Таким образом, практика функционирования зарубежных банков свидетельствует, что наряду со стратегической ориентацией банка, определяющей успех банковской деятельности важно также выделить уровень менеджмента, его маркетинговую активность. В нашей стране вопросы банковского менеджмента и маркетинга стали волновать банкиров относительно недавно. Подтверждением данного тезиса служит, например, тот факт, что лишь в последней российской инструкции по проведению аудиторской проверки предусматривается обязательная оценка аудиторами состояния менеджмента в банке.
Под банковским менеджментом понимают управление деятельностью банка
по различным ее направлениям, в том числе: управление депозитными, ссудными, расчетно-кассовыми операциями, управление ликвидностью, доходностью банка, рисками в его деятельности, персоналом. Основополагающий момент в менеджменте - правильная постановка цели и выбор соответствующих инструментов и методов ее достижения.
Под стратегией коммерческого банка понимается учение о наиболее эффективной его деятельности. Для каждого банка прежде всего должны быть ясны его цели. Цель коммерческого банка определяется с позиции его доходности, рентабельности, ликвидности, структуры баланса, направлений его деятельности (депозитная политика, политика на финансовом рынке, в области кредитования, ссудного процента и др.). В каждом конкретном случае могут быть общие цели (в целом по банку, на перспективу) и частные цели, формируемые как текущие задачи.
Наряду со стратегической ориентацией банка, определяющей успех банковской деятельности, можно также выделить качество и квалификацию менеджмента, его маркетинговую активность. Западные банки смогли сделать качественный скачок в своем развитии прежде всего благодаря налаженному менеджменту и маркетингу.
Под маркетингом понимают вид человеческой деятельности, направленный на удовлетворение общественных потребностей посредством обмена. Маркетинг - это рыночная стратегия по созданию, продвижению и сбыту продуктов (оказанию услуг). Банковский маркетинг представляет собой определенный набор технических приемов, целью применения которых является удовлетворение потребностей клиентов доходным для банка образом
. Основные мотивы банковского маркетинга включают удовлетворение потребностей клиентов путем дифференциации услуг при заинтересованности работников в результатах своего труда для достижения рентабельности банка.
В настоящее время понятие маркетинга в банковской сфере включает:
• выявление существующих и потенциальных рынков для предоставления услуг;
• выбор сфер наиболее выгодного предложения банковских услуг и определение соответствующих потребностей клиентов;
• установление кратко- и долгосрочных целей развития существующих и создания новых видов услуг;
• предложение услуг таким образом, чтобы заинтересовать клиентов при условии постоянного контроля за качеством выполнения услуг и получения прибыли от их проведения.
Для привлечения новых клиентов в условиях ужесточающейся конкуренции банки приступают к оказанию и нетрадиционных услуг, в том числе таких, как кредитование в форме овердрафта, кредитные линии, предоставление клиентам целых наборов информационных материалов. В борьбе за клиента многие банки делают упор на развитие наступательной рыночной стратегии и разработку новых форм услуг. К числу наиболее устойчивых тенденций в сфере банковских операций в развитых странах следует отнести расширение числа банков, комплекса но обслуживающих все типы клиентов. Все больше банков стремится к непосредственному контакту с клиентами путем личного общения работника с клиентом или с помощью различных средств связи: почтовой корреспонденции, телефона, факсимильных и телексных коммуникаций и др.
Наряду с банками предложение банковских услуг на рынке осуществляют различные финансово-кредитные институты, но основными действующими лицами на рынке банковских услуг выступают коммерческие банки, в особенности банки-лидеры, цели функционирования которых определяются прежде всего с позиции их доходности и ликвидности.
Термин "ликвидность" (от лат. liquidus - жидкий, текучий) в буквальном смысле слова означает легкость реализации, продажи, превращения материальных ценностей и прочих активов в денежные средства. Ликвидность банка нередко определяют как способность банка приобретать наличные средства в Центральном банке РФ или банках-корреспондентах по разумной цене. В целом ликвидность банка предполагает возможность продавать ликвидные активы, приобретать денежные средства в центральном банке и эмитировать акции, облигации, депозитные и сберегательные сертификаты, другие долговые инструменты.
Термин "платежеспособность" несколько шире, он включает не только и не столько возможность превращения активов в быстрореализуемые, сколько способность юридического или физического лица своевременно и полностью выполнять свои платежные обязательства, вытекающие из торговых, кредитных или иных операций денежного характера. Таким образом, ликвидность выступает как необходимое и обязательное условие платежеспособности, контроль за соблюдением которой уже берет на себя не только само юридическое или физическое лицо, но и определенный внешний орган надзора и контроля,
Платежеспособность трактуется как способность банка в должные сроки и в полной сумме отвечать по своим обязательствам
(перед вкладчиками - по выплате депозитов, акционерами - по выплате дивидендов, государством - по уплате налогов, персоналом - по выплате заработной платы).
Ликвидность для коммерческого банка выступает как способность банка обеспечить своевременное выполнение в денежной форме своих обязательств по пассиву. Ликвидность банка определяется сбалансированностью активов и пассивов баланса банка, степенью соответствия сроков размешенных активов и привлеченных банком пассивов.
Ликвидность - важнейшая качественная характеристика деятельности банка, свидетельствующая о его надежности и стабильности. Для обеспечения ликвидности банку необходимо формировать такую структуру баланса, при которой активы могут своевременно преобразовываться в денежные средства, не утрачивая при этом своей стоимости, по мере востребования пассивов. Структура ликвидных активов банка имеет вид:
• денежная наличность в кассе банка (рубли и иностранная валюта);
• драгоценные металлы;
• остатки средств на корреспондентском счете в Центральном банке РФ;
• ценные бумаги правительства;
• ссуды, предоставленные банком, срок погашения которых наступает в течение ближайших 30 дней;
• другие платежи в пользу банка, подлежащие перечислению в эти сроки.
Нормы ликвидности банка обычно устанавливаются как отношение различных статей активов баланса ко всей сумме или к определенным статьям пассивов или, наоборот, пассивов к активам. Ликвидность банка лежит в основе его платежеспособности.
В современной экономической литературе существуют два подхода к характеристике ликвидности. Ликвидность можно понимать как "запас" или как "поток". "Запас" характеризует ликвидность банка на определенный момент времени, его способность ответить по своим текущим обязательствам, в особенности по счетам до востребования.
Как "поток" ликвидность оценивается за определенный период времени либо на перспективу. При этом ликвидность как запас представляет собой узкий подход. Следует иметь в виду, что при рассмотрении ликвидности как "потока" повышенное внимание уделяется возможности обеспечения обращения менее ликвидных активов в более ликвидные, а также притоку дополнительных средств, включая получение займов. Наибольшее значение приобретает не только оценка ликвидности -"потока", но и оценка ликвидности - "прогноза".
Для оценки совокупной ликвидности коммерческого банка нужно в системе рассматривать стационарную ликвидность ("запас"), текущую ликвидность ("поток") и перспективную ликвидность ("прогноз").
На ликвидность и платежеспособность коммерческого банка оказывает влияние ряд факторов, которые можно разделить на макроэкономические и микроэкономические.
К основным макроэкономическим факторам, определяющим ликвидность и платежеспособность коммерческого банка, можно отнести: геополитическую и макроэкономическую обстановку в стране: совокупность законодательных, юридических и правовых норм банковской деятельности; структуру и стабильность банковской системы; состояние денежного рынка и рынка ценных бумаг и др.
Кроме того, на ликвидность и платежеспособность коммерческого банка оказывают влияние микроэкономические факторы, из которых к числу основных можно отнести: ресурсную базу коммерческого банка, качество инвестиций, уровень менеджмента, а также функциональную структуру и мотивацию деятельности банка.
Следует отметить, что факторы влияют в комплексе, причем взаимосвязь наблюдается как в их отдельных группах, так и между группами.
В зарубежной практике общий резерв ликвидности подразделяется на первичный и вторичный. Первичный резерв ликвидности рассматривается как главный источник ликвидности банка. При этом в балансовых отчетах в роли первичных резервов фигурируют активы, включаемые в статью "наличность и задолженность других банков", куда входят средства на счетах обязательных резервов, средства на корреспондентских счетах (вкладах) в других коммерческих банках, наличные деньги в сейфе и чеки, а также иные платежные документы в процессе инкассирования. Доля первичных резервов оценивается отношением наличных активов к сумме вкладов или к сумме всех активов. Вторичные резервы ликвидности - высоколиквидные доходные активы, которые с минимальной задержкой и незначительным риском потерь можно превратить в наличные средства. К ним относятся активы, которые обычно составляют портфель правительственных ценных бумаг и в некоторых случаях - средства на ссудных счетах. Основное назначение вторичных резервов - служить источником пополнения первичных резервов.
Каждый коммерческий банк стремится создать минимальный резерв ликвидных средств и обеспечить максимальный кредитный потенциал, исходя из своей ликвидности, надежности, прибыльности. Ликвидность тесно связана с доходностью банка, но в большинстве случаев достижение высокой ликвидности противоречит обеспечению более высокой прибыльности. Наиболее рациональная политика коммерческого банка в области управления ликвидностью состоит в обеспечении оптимального сочетания ликвидности и прибыльности.
Риск постоянно сопутствует банковской деятельности. Риски в банковской практике - это опасность (возможность) потерь банка при наступлении определенных событий. Риски могут быть как чисто банковскими (внутренними), связанными с функционированием кредитного института, так и внешними, или общими. Важнейшим способом преодоления или минимизации рисков служит их регулирование, т.е. поддержание оптимальных соотношений ликвидности и платежеспособности банка в процессе управления его активами и пассивами.
Высокий уровень прибыльности, как правило, связан с высокорисковыми операциями.
Политика банка должна заключаться в том, чтобы достичь равновесия (оптимального соотношения) между риском и доходом банка. Равновесие в ближайшей перспективе, или краткосрочное равновесие, представляет собой соотношение между ликвидностью и прибыльностью. Чем выше ликвидность банка, тем ниже прибыльность, и наоборот: чем ниже ликвидность, тем выше ожидаемая прибыль и обязательно риск. Равновесие в отдаленной перспективе, или долгосрочное равновесие, предполагает, что чем выше ликвидность, тем прочнее финансовое состояние банка, его капитальная база. Наоборот, чем ниже ликвидность, тем менее устойчив банк, меньше его капитальная платежеспособность.
Более устойчивые в финансовом отношении банки, заботящиеся о своей ликвидности и платежеспособности, предлагают процент по вкладам не выше среднеотраслевого. Высокий процент по срочным вкладам и депозитам физических и юридических лиц свидетельствует прежде всего о том, что коммерческий банк обладает нестабильной ресурсной базой, недостаточной для эффективных кредитных вложений. Такой банк старается расширить и стабилизировать свои ресурсы путем привлечения сторонних депозитов, предлагая вкладчикам повышенную процентную ставку. Но привлечение ресурсов по повышенной процентной ставке предполагает и осуществление вложений под более высокий процент, т.е. вложения, как правило, более рисковые, и вкладчики вместо прибыли могут потерять и сам депозит в случае краха банка.
Доходность и ликвидность банков не достигаются автоматически. Очевидным решением проблемы привлечения дешевых и размещения дорогих ресурсов является проведение такой политики банка, которая может принести наивысший доход при разумном, с точки зрения руководства банка, уровне риска. С одной стороны, руководство банка, акционеры (пайщики) последнего заинтересованы в более высоких доходах, которые могут быть получены за счет вложения средств в долгосрочные проекты, ценные бумаги сомнительного качества и т. п. Однако подобные действия неизбежно ухудшают ликвидность банка, необходимую при изъятии вкладов и для удовлетворения законного спроса на кредит. Неспособность же банка удовлетворить обоснованные и законные потребности клиентов приведет к немедленной потере банком выгодных контрактов, ослаблению его конкурентных позиций и в конечном счете к возможному краху банка как жизнеспособного субъекта рыночных отношений. Таким образом, с другой стороны, подобные операции коммерческих банков могут поставить под сомнение платежеспособность, ликвидность и устойчивость банковской системы в целом.
Основным методом управления ликвидностью и платежеспособностью российских коммерческих банков (с позиций внутреннего и внешнего аудита) является соблюдение ими экономических нормативов Банка России. Для обеспечения экономических условий устойчивого функционирования банковской системы Центральный банк РФ устанавливает ряд экономических нормативов, в том числе: минимальный размер уставного капитала для вновь создаваемых и минимальный размер собственных средств (капитала) для действующих банков; нормативы достаточности капитала; нормативы ликвидности; максимальный размер риска на одного заемщика или группу связанных заемщиков; максимальный размер крупных кредитных рисков и др.
Как отмечалось ранее, ликвидность банка тесно взаимосвязана с доходностью его деятельности.
Анализ доходов и расходов банка дает возможность изучения результатов деятельности коммерческого банка, а. следовательно, и оценки эффективности его как коммерческого предприятия.
Анализ результативности банковской деятельности начинается с анализа доходов и расходов, а заканчивается исследованием прибыли.
Валовые доходы банка
принято разделять на процентные и непроцентные. Стабильный и ритмичный прирост доходов банка свидетельствует о его нормальной работе и о квалифицированном управлении.
Процентные доходы банка - это начисленные и полученные проценты по ссудам и ценным бумагам. Непроцентные доходы - доходы от инвестиционной деятельности (дивиденды, доходы от участия в совместной деятельности предприятий и организаций и проч.); доходы от валютных операций; доходы от полученных комиссий и штрафов; прочие доходы. Валовые расходы банка также делят на процентные и непроцентные.
К валовым расходам банка
относятся: а) операционные расходы (уплаченные комиссионные по услугам и корреспондентским отношениям; расходы по операциям с ценными бумагами; расходы по операциям на валютном рынке); б) расходы по обеспечению функционирования банка (расходы на содержание аппарата управления; хозяйственные расходы); в) прочие расходы (штрафы, пени, неустойки уплаченные; проценты и комиссионные прошлых лет и т.д.).
Прибыль - это главный показатель результативности работы банка. Количественная и качественная оценки прибыльности производятся с целью выяснения финансовой устойчивости банка. Речь в целом идет о качественной стороне дела и даже не о массе той прибыли, которая получена банком. Прибыль, используемая для оценки работы банка, - это итоговый показатель, но вопрос при этом заключается в том, за счет каких факторов она получена и как эта прибыль используется в дальнейшем: на накопление или потребление. Бытующее представление о том, что надежность банка определяется размером его прибыли и выплачиваемых дивидендов - более чем спорно. Напротив, высокий дивиденд при всей его привлекательности для акционеров, еще не показатель высокоэффективной деятельности кредитного учреждения. Прибыль должна рассматриваться с позиции ее достаточности для роста банковского капитала, в связи с чем ее рациональнее уберечь от чрезмерного распределения на потребительские цели. Масса прибыли сама по себе - далеко не исчерпывающий показатель. Ее необходимо сравнивать с другими показателями, характеризующими деятельность банка. Большая роль в анализе деятельности банка отводится аудиту.
Внутренний аудит банка предполагает оценку, контроль и анализ основных направлений деятельности банка самим банком, его представлений об эффективности работы, целесообразности проведения тех или иных банковских операций и услуг, их доходности и прочее. Внешний аудит проводится Центральным банком РФ, другими коммерческими банками, налоговой инспекцией, аудиторскими фирмами и прочими организациями, а также клиентами (реальными и потенциальными) коммерческого банка.
Важным для деятельности банка является не только внутренний анализ его деятельности, но и сравнение результатов работы с другими банками. В условиях рыночной экономики важно проследить также тенденции развития банковской системы в целом на национальном уровне. Сегодня в России налицо дефицит аналитической информации о работе коммерческих банков. Поэтому важен рейтинг банков как основа для изучения их деятельности.
Рейтинг банков - это система оценки их деятельности, основанная на финансовых показателях работы и данных баланса банка.
Рейтинг банка в целом состоит в выведении свободной оценки по всем направлениям, которые подверглись анализу.
В международной практике используются разные методики составления банковских рейтингов. Обычно оценку надежности банков, или банковский рейтинг проводят центральные банки или государственные органы надзора за работой банков. Например, в США рейтинг надежности всех американских банков ведет Федеральная резервная система, выполняющая функции центрального банка страны. В Германии эту работу выполняет министерство финансов, используя нерейтинговые методики. В нашей стране Банк России также проводит работу по оценке надежности и стабильности всех коммерческих банков. Особое внимание уделяется при этом выявлению банков ненадежных, имеющих недостатки в финансовой деятельности.
Рейтинговая оценка может быть произведена специальным рейтинговым агентством на основе соглашения с банком. Она призвана защитить интересы как банка, так и его клиентов. Банковский рейтинг свидетельствует о финансовом положении кредитного института, его положении среди других банков.
Единой, универсальной методики анализа надежности банка не существует (не только в России, но и за рубежом). Поскольку все банки разные (по функциональному признаку, по набору выполняемых операций и услуг, по составу клиентов, по территориальному признаку, по проводимой ими политике на финансовых рынках и т.д.), то единой методики анализа их финансовой устойчивости нет и быть не может.
В мировой банковской практике превалируют два подхода к оценке деятельности коммерческих банков на основе:
• анализа системы показателей конкретного банка и сравнения их с аналогичными показателями первоклассных банков;
• рейтинговой оценки, производимой надзорными органами.
В условиях России пока затруднено полноценное использование подобных методов анализа. Это в первую очередь связано с тем, что в нашей стране практически отсутствуют различного рода экспертные службы, которые на профессиональном уровне могли бы заниматься сбором, обобщением, систематизацией и публикацией материалов в масштабах государства, отражающих деятельность коммерческих банков, как это делается в развитых странах мира. Более того, ряд показателей, применяемых в международной практике, не адаптирован для российских банков. В данной связи необходимо завершить работу по переходу на международные стандарты в области учета и отчетности банков России, а также оптимизировать принципы их работы.
В США для оценки надежности, стабильности работы коммерческих банков используют рейтинговую систему CAMEL, важнейшими показателями, характеризующими деятельность коммерческого банка в которой являются: достаточность капитала (С); качество активов (А); уровень менеджмента (М); доходность (Е); ликвидность (L).
Банк считается устойчивым, если он располагает достаточным капиталом, имеет ликвидный баланс, платежеспособен и удовлетворяет ряду требований к качеству его капитала.
Российской банковской системе еще предстоит разработать национальную систему рейтинговой оценки деятельности банков. Определенное значение здесь может иметь адаптация международного опыта к условиям российского рынка.
Вопросы для самоконтроля
1. Как определить уровень законодательного обеспечения деятельности коммерческих банков?
2. Каковы основные операции коммерческих банков?
3. Какие услуги банков получили наибольшее распространение в современной российской банковской практике?
4. В чем состоит содержание понятия "ликвидность банка"?
5. Каким образом уровень риска влияет на эффективность (доходность) банковской деятельности?
6. Почему для российских коммерческих банков вопросы повышения качества менеджмента и маркетинга особенно актуальны в современных условиях перехода к рынку?
Различия в характеристике роли денег
Появление денег, изменение их видов и повышение их роли в экономике изменили содержание и возможности использования денег для решения различных задач.Первоначально при применении полноценных денег большое внимание уделялось рассмотрению товарного характера и происхождения денег, обладающих собственной стоимостью и возможностью использования для оценки товаров и обмена на них.
При функционировании полноценных денег изменение их количества в обороте не оказывало сколько-нибудь заметного влияния на изменение уровня цен. Это было обусловлено тем, что избыточные для оборота деньги уходили в сокровища, а при необходимости возвращались в оборот. Приспособление массы денег к потребностям оборота происходило без государственного регулирования. Поэтому изменение количества денег в обращении не привлекало внимания теоретиков и не служило объектом теоретических исследований.
Повышению интереса к вопросам теории денег способствовала активизация государственной политики в денежно-кредитной сфере, особенно в связи с появлением в обороте неполноценных денежных знаков. Все большее внимание стало привлекать влияние изменения массы денег в обороте на уровень цен и на заинтересованность в повышении эффективности производства. Такое влияние денег было отражено в уравнении обмена:
MV=PQ,
где М- количество денег в обращении;
V- скорость обращения денег;
Р - средний уровень цен товарных сделок;
Q - количество (объем) товарных сделок.
В формуле показатели v и q являются стабильными, а величина М служит причиной, под влиянием которой изменяется Р.
Другими словами, главную роль в установлении уровня цен играет количество денег в обращении. К этому сводится основное содержание количественной теории денег, согласно которой уровень цен в конечном счете определяется количеством денег в обращении, или уровень цен изменяется пропорционально изменению массы денег в обращении.
Вместе с тем внимательное ознакомление с уравнением обмена порождает больше вопросов, чем способно дать на них ответы. Так, трудно согласиться с тем, что показатель скорости обращения денег (V) характеризуется как стабильный, хотя он может быть определен как результат соотношения двух переменных величин: объема реализации (Р) и количества денег в обращении (М).
Важно и то, что использование уравнения обмена при определении массы денег, необходимой для обращения и возможного регулирования размера этой массы, практически нереально. Здесь имеются значительные, трудно преодолимые сложности определения показателя скорости обращения денег (V), относимого к числу стабильных.
Для расчета этого показателя нужны данные об объеме оборота и сумме денежных средств, обслуживающих такой оборот. Однако получение требуемых данных в современных условиях, когда в обороте находятся не только наличные деньги, но и денежные средства безналичного оборота, весьма затруднено. В этом отношении существенно, что безналичный денежный оборот совершается по расчетным и ссудным счетам. Но при таких условиях вряд ли возможно оценить совокупную величину остатков денежных средств, участвующих в обороте, поскольку остатки числятся как на расчетных счетах (пассив баланса), так и на ссудных счетах (актив баланса банка).
Можно привести и многие другие аргументы, свидетельствующие о сложности определения величины отдельных показателей, включенных в уравнение обмена, а также об ограниченном значении взаимосвязи и взаимозависимости между ними.
В целом же оказывается, что имеется одно уравнение со многими неизвестными. При оценке значения уравнения обмена следует обратить внимание на важнейший недостаток, состоящий в том, что решающее влияние на уровень цен оказывают изменения количества денег в обращении, в то время как в действительности изменения цен в немалой степени обусловлены изменениями стоимости товаров.
Наряду с количественной теорией появились и другие взгляды на характер, особенности и результаты функционирования денег и их влияния на уровень цен. Так, английский экономист А. Филлипс, опираясь на результаты проведенного анализа, пришел к выводу о зависимости изменений уровня цен не от изменений количества денег в обращении, а от уровня занятости населения и соответствующего этому уровню заработной платы. Такая взаимосвязь была сформулирована и названа "кривой Филлипса".
Экономисты, разделяющие эту позицию, признают, что рост занятости и увеличение уровня заработной платы сопровождается ростом цен, напротив, при снижении оплаты труда снижаются цены. Однако это означает, что не количество денег в обращении, а изменение уровня платежеспособного спроса, обусловленного изменением уровня оплаты труда, влияет на цены.
На основе количественной теории возникли и другие, порой противоречащие друг другу, мнения ученых о роли денег и их воздействии на развитие экономики. В этом отношении следует выделить два направления: кейнсианство и монетаризм.
Оба направления признают важность значения денег и их воздействия на хозяйственные процессы. В соответствии с ними считается необходимым проведение мероприятий по поддержанию оптимального количества денег в обращении.
Кейнсианский и монетаристский подходы различаются главным образом тем, что меры при кейнсианском подходе направлены на усиление роли денег в стимулировании спроса, в то время как при монетаристском - на стимулирование ограничения спроса по сравнению с предложением товаров.
Сторонники кейнсианства предусматривают активное участие государства в регулировании массы денег в обращении и отдают предпочтение мерам по целесообразному увеличению количества денег в обращении для стимулирования занятости и деловой активности. Такие меры могут при определенных условиях способствовать росту производства, но также развитию инфляции. Это предполагает необходимость взвешенных мер по увеличению количества денег в обращении.
Иная позиция характерна для монетаристов. Признавая роль денег и наличия в обращении необходимого их количества, они рассчитывают на то, что в условиях рыночной экономики, с одной стороны, количество денег в обращении подвержено саморегулированию; с другой - имеет значение сдерживающее воздействие государства на массу денег в обращении. Здесь важно, чтобы обоснованное уменьшение массы денег в обращении стимулировало усиление заинтересованности в получении денег, а соответственно и рост предложения товаров. Нельзя игнорировать при этом возможные затруднения с реализацией товаров при ограниченном количестве денег в обращении.
Таким образом, можно сделать вывод, что общим для рассмотрения теории денег является признание роли денег в развитии экономики и необходимости регулирования массы денег в обращении. Однако различия в трактовках кейнсианских и монетаристских подходов обусловливают рекомендации неодинаковых мер по регулированию количества денег в обращении с целью стимулирования бесперебойности роста объема производства и реализации товаров. Ни одной из рекомендаций нельзя отдавать предпочтение.
Это обусловливает необходимость разработки и осуществления обоснованной денежно-кредитной политики, которая может изменяться в зависимости от особенностей и задач развития экономики в различные периоды.
Развитие банков
17.2.1. Внешние факторы закрепления устойчивой деятельности банковВ течение XVII в. сформировались объективные предпосылки изменения положения банков и банковского дела в Европе. Благодаря образованию мирового товарного рынка в ходе великих географических открытий XV-XVI вв.. усилению национальных интересов и экономических притязаний отдельных европейских государств, качественному повышению уровня хозяйственных возможностей, интернационализации финансовых связей, обострению рискованности предпринимательской деятельности банковское дело неизбежно должно было соединиться с общим процессом глобализации мирохозяйственных отношений. Банки выходят на мировую экономическую арену при поддержке собственных национальных государств, а позднее - и без нее по мере концентрации и централизации денежного капитала.
Локальные, ограниченные действия отдельных банков (особенно итальянских и голландских) усиливали межбанковскую конкуренцию, стимулировали расширение универсализации и одновременно - специализации в проведении денежных операций. Колоссальный прилив серебра и золота из Америки в Европу в XVI в. подорвал монополию этих банков в обеспечении хозяйства денежными средствами. Он качественно изменил масштабы банковской деятельности, продемонстрировал сложившиеся ранее ограниченные возможности данного вида предпринимательства и его доходности (только в Амстердаме можно было получить кредит в 3% годовых, что считалось крайне низким). Кредитные предложения банков осуществлялись слишком долго, их сроки определялись временем перевозки товаров на длительные расстояния. Размещение и использование кредита были крайне неэффективными. Английский экономист Д. Hope (1641-1691) писал о своей стране: "Из тех денег, которые в нашей стране отдаются под проценты, едва ли десятая часть размещена среди торговых людей, использующих эти ссуды в своих предприятиях; в большинстве случаев деньги даются взаймы для поддержания роскоши, для покрытия расходов тех людей, которые хотя и владеют крупными имениями, однако тратят привносимые их имениями доходы быстрее, чем эти доходы к ним поступают, и не желая продавать что-либо из своего имущества, предпочитают закладывать свои имения".
Основные функции банков ( привлечение временно свободных денежных средств и их накопление; кредитование ремесел, промыслов, государств, частных лиц; осуществление денежных расчетов и платежей в хозяйстве) получили свое развитие в рамках регулирования денежного обращения, поддержания его устойчивого равновесия в условиях постоянного дефицита денег.
Подобное развитие (как становление) имело для банков свой предел, обусловленный характером металлического денежного обращения. Подлинное развитие банков должно было состояться тогда, когда исчезли бы ограничения, которые ставило металлическое денежное обращение на процесс банковского предпринимательства:
• нерегулярные поступления определенного количества драгоценных металлов для возмещения своего монетарного запаса, стершегося в ходе денежного обращения;
• крайняя неэластичность золота как денег по своему предложению (огромные затраты на подъем золотодобычи и природная ограниченность);
• недостаточная пригодность полноценных денег обслуживать кредитное обращение в силу неспособности золота приносить проценты за счет собственного объема;
• сдерживание увеличения скорости оборота индивидуальных денежных капиталов, уменьшение национального богатства (добыча золота не увеличивала ни производительное, ни личное потребление).
Одновременно с банками государства пытались различными способами ликвидировать сложившиеся ограничения, прежде всего с помощью обращения неразменных на металл государственных БУМАЖНЫХ ДЕНЕГ с принудительным курсом. Они получили в XVII в. распространение в Северной Америке (Массачусетс), а затем в ведущих странах Европы. Это смягчило существовавшее противоречие, предохраняя часть золота и серебра в сфере обращения от потерь в результате стирания.
Однако природа бумажных денег была такова, что их количество в обращении должно было соответствовать вытесненному золоту. Излишний выпуск бумажных денег приводил к их обесценению, что вызвало невозможность регулирования денежного обращения. Понижение золотого содержания монет также не решало проблему. Необходимы были носители денежных отношений, которые не зависели бы от монополии золота и объем их регламентировался степенью развития национального капитала. Этим требованиям соответствовали КРЕДИТНЫЕ ДЕНЬГИ. Они замещали полноценные деньги, а не временно заменяли их в сфере обращения, как бумажные. Кредитные деньги создавали условия, при которых сфера обращения в лице банков выступала как производство по созданию и уничтожению денег. С появлением кредитных денег уничтожается зависимость их оборота от механически действующего фактора - количества металлических денег.
Металлические деньги не нуждались в специальном, особом институте, который обеспечивал бы их функционирование. В их обращении были заинтересованы храмы и государства. Они консервировали данный вид обращения. Кредитным деньгам необходим был особый институт, им явились банки.
Первоосновой эмиссии кредитных денег стало обращение векселей для коммерческого кредитования. Однако автоматизма здесь не было. Появление векселей не означало наделение их денежными свойствами. Размеры вексельного обращения связаны с массой реализованных в кредит товаров и с уровнем цен этих товаров. Долговое обязательство становится деньгами тогда, когда приобретает особую форму движения, начинает использоваться как средство платежа до указанного в нем срока погашения (появилась новая функция банков - выпуск кредитных средств обращения). Вексель наделяется денежным свойством при условии приобретения им ликвидного характера.
Вексель как частное долговое обязательство обретает определенную двойственность, оставаясь продуктом функционирующего капитала, он одновременно выступает видом кредитных денег. Превращение векселя в БАНКНОТУ в качестве признанного обществом значимого эквивалента осуществляется в порядке эмиссионных операций банков. В банках векселя обмениваются на равноценное (за вычетом учетного процента) количество наличных металлических или бумажных денег. Концентрируя массы долговых обязательств, банки принимают ответственность по конечным расчетам по учетным векселям на себя. Подобные банковские обязательства уже не ограничиваются узким кругом заинтересованных лиц, а начинают рассматриваться как наличные деньги, входя во всеобщее употребление.
Обращение банкнот в сфере платежа наличными деньгами вызывает необходимость дополнительной их устойчивости в виде золотого запаса банков. Эмитируя банкноты, банки руководствуются не интересами участников кредитных сделок, а собственной доходностью, что усиливало предпринимательские основы банковского дела.
Золотое обеспечение банкнот было связано с эмиссионной функцией банков, а товарное покрытие банкноты являлось важной ее качественной характеристикой. Разменная банкнота была менее эластична по условиям расширения, чем вексель. Кроме решения участников кредитной сделки, нужна была еще и готовность банка превратить вексель посредством учета в наличные деньги. Выпуск новых банкнот зависел от объема частного кредитного оборота и от эмиссионной политики банка. Потребность в их создании диктовалась не увеличением товарооборота в целом, а лишь потребностью товарооборота в наличных деньгах. В то же время по условиям сжатия разменная банкнота была более эластична, чем вексель. Ее свободный размен делал возможным в любой момент предъявить избыточное количество банкнот банку-эмитенту, потребовав за них золото.
Объем банкнотного обращения уменьшался за счет погашения ссуд банку, выданных под учтенные векселя, и чем короче был срок этих кредитов, тем устойчивей становилось обращение. Возвращение банкнот в банк означало лишь предпосылку сжатия банкнотного обращения, которая становилась реальностью при росте банковской ликвидности. Тем самым появлялась необходимость регулирования банкнотного обращения в общегосударственном масштабе.
Развитие банковской системы
На ход развития банковской системы влияет ряд макроэкономических и политических факторов. Среди них можно выделить такие, как:• степень зрелости товарно-денежных отношений;
• общественный и экономический порядок, его целевое назначение и социальная направленность;
• законодательные основы и акты;
• общее представление о сущности и роли банка в экономике. Банки выполняют операции, носящие в основном денежный характер. Они принимают денежные вклады, выдают денежные кредиты, совершают денежные расчеты в наличной и безналичной формах. Поэтому степень развитости товарно-денежных отношений, развитости торговли, денежного обращения предопределяет и масштабы, и содержание банковской деятельности. Кредитор превращается в банк не сам по себе, а по мере формирования достаточно оживленного денежного и торгового оборотов, когда торговля деньгами, банковское дело стали основным занятием предприятия, когда оно отделилось от торговли, стало самостоятельным видом промысла. На развитие банков влияет развитие национальных рынков, международной торговли. Спрос на банковские услуги расширяется по мере увеличения производства, масштабов обмена между товаропроизводителями.
При общем поступательном развитии банковского хозяйства оно может в то же время сдерживаться войнами, которые связаны с разрушением материальных благ и имущества. Негативное влияние на банковскую систему могут также оказать и затяжные экономические кризисы.
Общественный и экономический порядок неизбежно затрагивает и характер деятельности банковской системы. Если в обществе не поощряются сбережения, банки не могут мобилизовать свободные ресурсы;
если вместо товарообмена вводятся обязательные изъятия продуктов, если в целом не поощряется деятельность банков, отдается предпочтение распределению, а не обмену продуктов, то кредитные учреждения не получают импульсов для развития, более того, банки могут быть свернуты, как это, например, было в нашей стране в период военного коммунизма. На развитие банков влияют и запрещения местных властей. Местное лобби, составленное из местных банков, местных предпринимателей, может воздействовать на принятие решений по открытию филиалов других банков. Естественное для развития банков взыскание ссудного процента может сдерживаться общим представлением общества о его ценностях и морали.
Заметное влияние на развитие банковской системы может оказать законодательная база той или иной страны. Как отмечалось ранее, в некоторых странах банкам запрещается выполнять определенные операции с ценными бумагами, вкладывать свои капиталы в капиталы предприятий. В ряде стран банкам не разрешено заниматься страхованием. В США действует система двойного подчинения, когда образовать банк могут как власти отдельных штатов, так и федеральное правительство. В свою очередь по закону банки могут сами выбрать свою юрисдикцию (органы регулирования и контроля). В соответствии с законодательством в некоторых странах центральные банки могут широко заниматься обслуживанием хозяйства, в других их основная функция сосредоточена на выпуске денег в обращение и укреплении их платежеспособности.
Законодательство оказывает воздействие на развитие банковской системы не только своими запретами. Известны многочисленные примеры, когда в соответствии с тем или иным законом учреждается тот или иной банк, призванный содействовать развитию той или иной отрасли народного хозяйства (промышленности, торговли, транспорта и т.п.).
На развитие банковской системы огромное влияние оказывают и общие представления о сущности и роли банка в экономике. В распределительной системе банк воспринимается как часть государственного аппарата управления, как орган контроля, надзора за деятельностью предприятий. Банк в этой связи выступал как бы в роли надстройки, не создающей своего продукта. Иное положение занимают банки в условиях рыночной экономики. Банковская система приобретает двухуровневый характер, собственность на банки приобретает черты, адекватные многообразию форм собственности в хозяйстве, появляются частные, кооперативные и акционерные банки, такие специализированные кредитные учреждения, как ипотечные, муниципальные банки; система становится более многосторонней, приобретает более законченные черты, предлагает обществу более широкий спектр операций и услуг.
• Развитие банковской системы можно рассматривать не только в историческом разрезе, но и с позиции ее современного положения. Здесь также можно выделить некоторые факторы, в том числе состояние экономического развития, межбанковскую конкуренцию и др.
Банковская система приобретает особый положительный заряд в своем развитии в фазе экономического подъема, когда спрос на банковский продукт и банковские услуги существенно возрастает. Вместе с увеличением объема банковских операций возрастает банковский доход, который используется на развитие кредитного учреждения. В фазе подъема сокращаются экономические риски, деятельность банковской системы приобретает стабильный характер. Напротив, в условиях экономического кризиса, сопровождающегося инфляцией, дефицитом местных и федеральных финансов, развитие банков дестабилизируется, размер ресурсов, аккумулируемых банками, резко сокращается, что приводит к снижению традиционных банковских операций, банки вынуждены искать побочные источники дохода, что увеличивает риски, отвлекает банковские ресурсы от производительной деятельности. В условиях инфляции обесценивается капитальная база коммерческих банков, могут падать их доходы от кредитных операций. Дефицит бюджета зачастую приводит к его покрытию за счет дополнительной эмиссии денежных знаков, что еще больше дестабилизирует денежный рынок.
На состоянии банковской системы и ее текущем развитии отражаются и политические факторы. Здесь прежде всего оказывается важной общая политическая направленность государства. Если государство провозглашает цели развития частной собственности, рыночных отношений, то это содействует привлечению и росту частного банковского капитала, увеличению численности кредитных учреждений. Неопределенность политических мотивов и ценностей государства, приводит к задержке развития банков; оттоку капиталов за границу. На текущее развитие банков может повлиять даже смена в стране политического лидера. Его политическая и экономическая программа может не отвечать интересам банковского капитала, в связи с чем банки не стремятся развивать свои операции, сдерживают инвестиции в народное хозяйство.
В мировой практике существует специальный термин - политические риски, в соответствии с которыми страны ранжируются по отношению друг к другу; странам с высоким рейтингом политического риска, как правило, сокращается либо полностью прекращается кредитная поддержка со стороны международных банковских институтов, а также со стороны отдельных стран, располагающих свободными денежными средствами.
На развитие банковской системы может оказать влияние и текущая экономическая политика государства. Центральный банк как национальный институт располагает значительным инструментарием, с помощью которого он может регулировать деятельность как отдельных банков, так и банковской системы в целом. Проводя политику, направленную на стабилизацию банковской системы, центральный банк может требовать от коммерческих банков увеличения их резервов, выдавать им в порядке поддержки краткосрочные кредиты или, напротив, отзывать лицензии на проведение банковских операций, сдерживать открытие филиалов. В соответствии с политикой центрального банка коммерческие банки также .меняют свою тактику - расширяют или сужают инвестиции, регулируют направление своей деятельности.
Довольно заметным фактором, определяющим развитие банковской системы, является межбанковская конкуренция. Наличие достаточно представительного числа самостоятельных банков в стране и ее отдельных регионах создает определенную среду, в которой банки вынуждены вступать в борьбу за клиента, улучшать качество обслуживания, расширять услуги, предлагать рынку новые продукты.
В странах с рыночной ориентацией конкуренция способствует развитию банковской системы. В законодательстве данных стран содержатся специальные положения, сдерживающие образование монополизма в банковской сфере, поскольку считается, что монополизм как антипод конкуренции не содействует развитию банковского рынка.
Развитие банковской системы может сдерживаться под влиянием таких факторов, как чрезмерный налоговый пресс на банковскую прибыль, отсутствие достаточных ресурсов для активного ведения банковских операций, недостаток квалифицированных кадров и др. В странах с переходной экономикой зачастую именно эти факторы не позволяют банкам делать более широкие шаги в своем развитии.
Развитие банковской системы можно рассматривать с количественной и качественной точек зрения. В переходный период в России существенно растет численность кредитных институтов. К 1 сентября 1998 г. в России насчитывались 6271 коммерческий банк и их филиалы (включая Сберегательный банк РФ и его филиалы). Как отмечалось, в общем числе российских коммерческих банков еще заметна доля банков с малой капитальной базой. В начале 1998 г. лишь у 52,5% российских коммерческих банков капитальная база отвечала международным стандартам. На эту же дату (1 января 1998 г.) 11,6% российских банков имели уставный фонд до 500 тыс. руб., что в 10 раз меньше, чем это требуется маленькому европейскому банку.
С качественной стороны развитие банковской системы характеризуется не только с позиции достаточности уставного капитала банков, но и с позиции роста инвестиций в сферу производства, увеличения перечня предоставляемых услуг, в том числе новых банковских продуктов и технологий. С качественной стороны роль банков, как это будет показано далее, определяется тем, насколько они реально оказывают воздействие на ускорение экономического роста, повышение эффективности производства.
Роль денег в воспроизводственном процессе
Результаты применения и воздействие денег на различные стороны деятельности и развития общества характеризуют их роль. Разностороннее использование денег и их влияние на развитие страны основывается во многом на том, что продукция производится предприятиями не для собственных нужд, а для других потребителей, которым она продается за деньги. Иными словами, производимая продукция принимает форму товара; между участниками процессов производства и реализации товаров складываются товарно-денежные отношения.Роль денег прежде всего проявляется в результатах участия денег в установлении цены товара. В условиях рыночной экономики эта величина складывается, исходя из стоимости товара, с возможным отклонением цены от стоимости. На цену товара влияют соотношение спроса и предложения и конкуренция, что позволяет снижать цену товара. Однако снижение цен могут допустить производители, у которых уровень издержек ниже. Напротив, производители, у которых уровень издержек выше, вынуждены либо добиться снижения издержек, либо сократить или прекратить производство таких товаров. Механизм ценообразования направлен, следовательно, на повышение эффективности производства, на снижение уровня издержек.
Большое значение имеют деньги в процессе денежного оборота, когда они выполняют функцию средства обращения или средства платежа. При оплате приобретаемых ценностей или оказанных услуг покупатель контролирует уровень цен и качество товаров и услуг, что вынуждает изготовителей снижать цены и повышать качество своей продукции. В итоге это направлено на повышение эффективности производства.
Сомнительной представляется целесообразность перехода к бесплатному оказанию некоторых видов услуг, например бесплатный проезд на городском пассажирском транспорте, применяемый в некоторых регионах. Здесь происходит ослабление заинтересованности транспортных предприятий в увеличении перевозок и улучшении обслуживания пассажиров, поскольку утрачивается зависимость доходов от объема и качества оказанных услуг (финансирование местными органами затрат на содержание транспортного предприятия не зависит от объема выполняемых ими перевозок).
Роль денег меняется в связи с изменениями условий развития экономики. При переходе к рыночной экономике их роль повышается.
Так расширяется сфера применения денег при приватизации предприятий и имущества, включая недвижимость. Усиливается роль денег в обоснованной оценке имущества, а также при приобретении имущества (включая недвижимость), так как необходимо располагать соответствующей суммой денег, накопление которых требует немалых усилий.
Повышается роль денег в усилении заинтересованности в улучшении работы предприятий, использовании имущества, включая и возможность увеличения дивидендов. Такое повышение в нынешних условиях связано в России в некоторой мере с ограничениями государственного регулирования цен. Напротив, инфляционные процессы сопровождаются ослаблением роли денег и некоторым сужением сферы их применения. В этом отношении можно выделить расширение бартерных операций, где отсутствует оборот денег. Следует также отметить ограничения возможности использования денег для ссудных операций, особенно для капиталовложений в связи с опасностью обесценения денег.
Кроме того, обесценение денег приводит к снижению заинтересованности в накоплении рублей, что вызывает увеличение вложений в свободно конвертируемую валюту, главным образом долларов США. Сумма накапливающейся у населения инвалюты косвенно свидетельствует о вывозе из страны на соответствующую сумму товарно-материальных ценностей, взамен которых на руках у населения остается наличная инвалюта. Вместе с тем накопленная населением наличная инвалюта свидетельствует о том, что страна, являющаяся эмитентом такой валюты, получает на соответствующую сумму бесплатный эмиссионный ресурс, который может быть использован для кредитных операций.
При существовании платежного кризиса сравнительно широко распространяется практика предварительной оплаты (предоплаты) предприятиями приобретаемых ценностей. Это сопровождается ослаблением роли денег в контроле покупателя за качеством продукции и своевременностью ее поставки.
Деньги играют важную роль в хозяйственной деятельности предприятий, в функционировании органов государства, в усилении заинтересованности людей в развитии и повышении эффективности производства, экономном использовании ресурсов.
С помощью денег можно определить не только суммарную величину издержек (материалы, амортизация, электроэнергия, зарплата и др.) на производство каждого вида продукции и совокупного их объема, но и результаты производства посредством цены отдельных видов продукции, всего ее объема, величину полученной прибыли.
Без использования денег, лишь по различным натуральным показателям определить совокупный объем затрат на изготовление отдельных видов продукции и совокупного ее объема не представляется возможным. Применение денег позволяет сопоставить выручку от реализации продукции и отдельных ее видов с издержками на ее производство, оценить выгодность производства каждого вида продукции. Тем самым создаются предпосылки для усиления заинтересованности в расширении производства наиболее выгодных видов продукции, что направлено на снижение издержек, рост прибыли и повышение эффективности производства.
Имущественная обособленность производителей и обусловленная этим зависимость возможности осуществления расходов от денежных поступлений усиливают заинтересованность в увеличении производства и снижении издержек. Так, для проведения требуемых затрат на изготовление продукции (приобретение материалов, выдачу зарплаты и др.), а также для других расходов и для расширения производства предприятия должны располагать соответствующими денежными средствами. Для их получения нужно увеличивать выпуск и реализацию продукции, снижать издержки.
Вместе с тем зависимость возможности расходования средств от величины денежных поступлений побуждает к образованию запасов материалов лишь в минимально необходимых размерах и к осуществлению мер по ускорению поступления выручки за реализуемую продукцию. При недостаточности собственных средств для образования повышенных запасов производитель мог бы привлечь для этого кредит, но это сопряжено с дополнительными издержками (%), что нежелательно, поскольку такие издержки составляют прямой вычет из денежных доходов.
Успешная деятельность государственных органов по удовлетворению социальных и других нужд предполагает получение для этого доходов (за счет налогов и других источников) и целесообразное их расходование. Использование денег позволяет предпринимать меры по увязке и достижению сбалансированности величины денежных доходов и расходов.
Государственные органы могут также способствовать расширению производства отдельных отраслей и видов продукции с помощью финансирования капиталовложений на такие цели. Кроме того, при изъятии у предприятий части их доходов для государственных нужд возможно стимулирование развития отдельных участков хозяйства путем предоставления налоговых и других льгот. В то же время при расходовании государственных средств имеется возможность применять денежные нормы расходов, что обусловливает необходимость экономного использования средств.
В условиях инфляции, когда покупательная способность денежной единицы подвержена изменениям, намного снижается надежность бюджетных планов. Напротив, применение устойчивой денежной единицы со стабильной покупательной способностью повышает надежность и обоснованность принимаемых и исполняемых бюджетных планов. Это подчеркивает значение преодоления инфляции, перехода к устойчивой денежной единице.
Денежная оплата труда рабочих и служащих, денежные доходы предпринимателей побуждают их активизировать свое участие в процессах производства, увеличении его объема, в реализации продукции, поскольку при таких условиях возрастают денежные доходы граждан и предпринимателей, что соответственно может способствовать повышению уровня их благосостояния.
В отличие от натурального распределения продукции между участниками ее производства, денежная оплата позволяет дифференцировать состав и ассортимент продукции, используемой для потребления каждым гражданином благодаря приобретению нужных товаров. При этом владелец денег может не только выбрать нужный ему товар, но также подвергнуть контролю цены и качество приобретаемых товаров.
Важную роль выполняют деньги в экономических взаимоотношениях с другими странами. Деньги используются для оценки и определения выгодности операций по экспорту и импорту товаров, а также для денежных расчетов по таким операциям.
Деньги применяются также при проведении расчетов между странами в связи с кредитными и другими нетоварными операциями. Для характеристики роли денег во внешнеэкономических отношениях важно и следующее. В каждой стране периодически составляется торговый баланс, в котором сопоставляются выраженные в деньгах операции по экспорту и импорту товаров. В результате сопоставления объема экспорта и импорта за определенный период подводятся итоги таких операций в виде активного (превышение экспорта над импортом) либо пассивного (превышение импорта над экспортом) торговых балансов.
Данные торгового баланса используются не только для оценки сложившегося соотношения экспорта и импорта товаров, но и для разработки и проведения мер по оптимизации соотношения экспорта и импорта. Так, при пассивном торговом балансе предпринимаются меры по снижению импорта и увеличению экспорта, без чего оказывается необходимым вывоз валюты на сумму пассивного торгового баланса.
Аналогичный подход осуществляется и в отношении платежного баланса, в который включаются платежи по товарным операциям (экспорту, импорту), расчеты по кредитным взаимоотношениям и некоторым другим обязательствам.
Не следует сводить роль денег во внешнеэкономических взаимоотношениях к оценке складывающегося положения в области экспорта-импорта, а также других нетоварных расчетов. Такие расчеты с зарубежными контрагентами происходят в свободно конвертируемых валютах (СКВ), курсы которых (отношение валюты данной страны к валютам других стран) подвержены изменениям, что оказывает немалое влияние на выгодность или невыгодность экспортно-импортных операций.
Еще более сложное положение складывается в России, где денежная единица (рубль) не относится к СКВ. В России существует внутренняя конвертируемость, состоящая в праве обмена (покупки, продажи) СКВ за рубли. При этом во внешнеэкономических отношениях рубли в современных условиях, как правило, не применяются.
В зависимости от обменного курса появляется заинтересованность в расширении экспортно-импортных операций либо такие операции свертываются как невыгодные. При этом понижение курса рубля по отношению к СКВ стимулирует экспорт, а повышение курса рубля воздействует на уменьшение экспорта.
Пример. Существующая в России цена определенного товара составляет 200 тыс. руб.; за рубежом такой товар может быть реализован за 10 тыс. долл. Если курс 22 руб. за один доллар, то экспорт такого товара выгоден, поскольку за 10 тыс. долл. можно получить 220 тыс. руб., т.е. больше цены в рублях. Однако при курсе 19 руб. полученные доллары можно обменять на 190 тыс. руб., т.е. меньше, чем при продаже в нашей стране. Этот пример показывает, что изменения курса валюты могут способствовать расширению либо уменьшению экспорта.
Поэтому могут осуществляться меры по изменению курса валюты (путем проведения ссудных операций на международном рынке, изменения процентной ставки по зарубежным вкладам и др.) как предпосылки увеличения или уменьшения экспорта. Иными словами, в процессе управления денежным оборотом можно изменять курс валюты, что свидетельствует как о роли денег во внешнеэкономической деятельности, так и о возможности использования денег в управлении такими процессами.
Повышение эффективности развития экономики обусловливает проведение мероприятий по усилению роли денег. Для этой цели первостепенное значение имеет преодоление инфляции, а также расширение сферы применения денег, совершенствование организации их обращения, последовательная увязка денежной массы с потребностями оборота.
Вместе с тем следует учитывать, что для последовательного усиления роли денег в повышении эффективности развития экономики необходимы обоснованные меры по обеспечению денежного оборота платежными средствами в соответствии с потребностью в них, а также меры по достижению устойчивости денежной единицы, выражающейся в постоянной покупательной ее способности.
Роль кредита
Роль кредита характеризуется результатами его применения для экономики. государства и населения, а также особенностями методов, с помощью которых эти результаты достигаются. Что касается методов, то они в значительной мере обусловливаются возвратностью кредита и, как правило, платным предоставлением средств. Это повышает ответственность и усиливает заинтересованность участников кредитных операций, побуждая их к целесообразному предоставлению и использованию заемных средств.Присущая кредитным отношениям возвратность средств в сочетании с взиманием платы за пользование средствами усиливают заинтересованность в экономии на размере привлекаемых средств и сроках их использования.
Отмеченная особенность кредитных отношений становится заметной при сравнении их с безвозвратным бюджетным финансированием, при котором практически отсутствует материальная заинтересованность в уменьшении сумм бюджетного финансирования, так как получаемые средства не подлежат возврату, пользование ими - бесплатное.
Отмеченные особенности, в частности возвратность, срочность и платность, способствуют повышению роли кредита в экономии ресурсов.
Результаты применения кредита важны и многообразны. Кредит используемый для возвратного предоставления средств, влияет на процессы производства, реализации и потребления продукции и на сферу денежного оборота.
Роль кредита проявляется в результатах складывающихся при осуществлении различных видов его отношений, возникающих при коммерческом, банковском, потребительском, государственном и ипотечном кредитах. По каждому направлению влияния кредита доминирующее место занимает какой-либо вид кредитных отношений. Так, при реализации товаров с отсрочкой платежа основную роль играет коммерческий кредит. Напротив, при предоставлении взаймы денежных средств первостепенное значение имеет банковский кредит, занимающий ведущее место среди других форм кредита.
Немалое значение в системе кредитных отношений имеет привлечение средств для выполнения кредитных операций. Однако такая деятельность неодинакова для различных кредитных отношений. Например, при применении коммерческого кредита нет необходимости в привлечении кредитором средств со стороны; для предоставления средств взаймы в виде отсрочки оплаты реализуемых товаров для предоставления кредита используются собственные ресурсы кредитора. Это не исключает последующее привлечение банковского кредита для компенсации вложений средств кредитора (учет векселей, ссуды под залог векселей). Тем не менее первоначально при предоставлении коммерческого кредита не обязательно предполагается привлечение средств со стороны.
Напротив, банковское кредитование предполагает широкое использование привлеченных средств. Такая деятельность банков имеет немаловажное значение, поскольку наличие привлеченных средств свидетельствует о том, что собственники средств не использовали их для приобретения товаров. Однако в подобной ситуации предоставление средств заемщику означает появление у него возможности приобретать необходимые товары. Иными словами, применение банковского кредита сводится в конечном счете к перераспределению материальных ресурсов. Такой результат применения банковского кредита характеризует его значение в перераспределении материальных ресурсов в хозяйстве.
По существу, аналогичные результаты складываются при применении коммерческого кредита, когда предоставление отсрочки оплаты реализуемых товаров сопровождается перераспределением материальных ресурсов от поставщика к покупателю.
Практически и при применении государственного, потребительского, а также ипотечного кредитов, предоставляемых под залог недвижимого имущества и на сооружение такой недвижимости, как жилье, становится возможным перераспределение материальных ресурсов.
Все это свидетельствует о важности участия кредита в перераспределении материальных ресурсов. Однако это предполагает необходимость таких кредитных отношений, при которых достигается целесообразное использование ресурсов. Одним из проявлений роли кредита выступает его воздействие на бесперебойность процессов производства и реализации продукции. При систематических несовпадениях текущих денежных поступлений и расходов предприятий возможны временная недостаточность средств для приобретения необходимых товарно-материальных ценностей, оплаты услуг и обусловленные этим нарушения бесперебойности процессов производства и реализации продукции. Благодаря предоставлению заемных средств для удовлетворения временных потребностей преодолеваются непрерывно повторяющиеся "приливы" и "отливы" средств у заемщиков, что способствует преодолению задержки воспроизводственного процесса и тем самым его бесперебойности и ускорению.
Подобные результаты достигаются при применении различных форм кредита. Так, с помощью коммерческого кредита заемщик может, даже при отсутствии у него требующихся денежных средств, приобрести материальные ресурсы, необходимые для бесперебойности процессов производства и реализации продукции.
По-иному воздействует на достижение непрерывности процессов производства и реализации продукции банковский кредит, благодаря предоставлению которого заемщик получает возможность приобретать и своевременно оплачивать требуемые материальные ресурсы.
При предоставлении ссуд для удовлетворения таких потребностей нужно удостовериться, что речь идет о временной потребности и при этом существует надежность своевременного погашения ссудной задолженности. Отмеченное имеет немаловажное значение, поскольку не исключено использование кредита для образования необоснованно повышенных запасов, что может явиться предпосылкой замедления кругооборота.
Кредит играет большую роль в удовлетворении временной потребности в средствах, обусловленной сезонностью производства и реализации определенных видов продукции. Использование заемных средств позволяет образовать сезонные запасы и производить сезонные затраты предприятиями и организациями сезонных отраслей хозяйства. Здесь важно, что при применении кредита создаются благоприятные условия не только для успешной работы предприятий и организаций сезонных отраслей хозяйства, но и для экономного использования ресурсов, поскольку эти предприятия и организации могут осуществлять свою деятельность при минимальном объеме собственных средств, а также уменьшении резервов, в том числе денежной их части.
Вместе с тем благодаря перераспределению средств между различными заемщиками создается возможность сокращения совокупного объема средств, предоставляемых заемщикам. Необходимой предпосылкой предоставления заемных средств для удовлетворения сезонных потребностей служит то, что размер потребности в средствах обусловлен действительно сезонными факторами. Это существенно, поскольку несоблюдение такого требования может привести к избыточному предоставлению заемных средств и к несвоевременному их возврату.
Велика роль кредита и в расширении производства. Заемные средства могут предоставляться на сравнительно короткие сроки для увеличения запасов и затрат, требующихся для расширения производства и реализации продукции. Вместе с тем кредит может использоваться в качестве источника средств для увеличения основных фондов - зданий, сооружений, приобретения оборудования и т. д. В этом случае он увеличивает возможности предприятий в создании новых основных фондов, нужных для развития производства.
Применение кредита в качестве источника увеличения основных фондов имеет некоторые преимущества по сравнению с использованием такого безвозвратного источника средств, как бюджетное финансирование. Например, при определении потребности в средствах для капиталовложений, осуществляемых за счет безвозвратного финансирования из бюджета, вполне возможно стремление предприятия получить как можно больше средств. Напротив, при использовании кредита как источника капиталовложений стремление к получению большей суммы лишается оснований, поскольку средства, взятые взаймы, придется впоследствии возвращать, а пользование ими оплачивать.
Кроме того, применение кредита в качестве источника средств для капиталовложений позволяет более последовательно контролировать эффективность таких затрат благодаря определению возможности погашения ссуд за счет прибыли от проводимых мероприятий и установлению сроков погашения ссуд в пределах сроков окупаемости кредитуемых мероприятий.
Нужно еще обратить внимание на значительные возможности участия кредита в расширении производства при применении его в качестве источника средств для выполнения лизинговых операций, широко распространенных за рубежом, но пока еще недостаточно развитых в России. Дальнейшее расширение лизинговых операций является важным направлением повышения роли кредита в развитии экономики.
Отмеченные направления применения кредита для удовлетворения временных, сезонных потребностей в средствах, а также для капиталовложений способствуют бесперебойности и расширению процессов производства и реализации продукции. Однако при удовлетворении таких потребностей возможно использование заемных средств для покрытия различных недостатков в работе предприятий, в том числе образования необоснованно повышенных запасов, покрытия вложений в дебиторскую задолженность и т.п.
Это означает, что характеристика роли кредита как рычага, способствующего бесперебойности производства и его развитию, оказывается прямолинейной, поскольку не исключено применение кредита. которое может повлиять на замедление производства и реализацию продукции.
Такая возможность возлагает немалую ответственность на кредиторов, которые должны прилагать необходимые усилия для предотвращения втягивания заемных средств в удовлетворение необоснованных потребностей, что вместе с тем ставит под сомнение возможность возврата предоставленных взаймы средств.
Что касается роли потребительского кредита, то его применение позволяет быстрее удовлетворять разнообразные потребности населения, в том числе их желание приобрести предметы долговременного пользования до их полной оплаты, внести взнос на получение жилья и др. Потребительские кредиты способствуют повышению уровня потребления.
Источником погашения ссудной задолженности по потребительскому кредиту служит часть предстоящих доходов заемщиков. Поэтому предоставлению таких кредитов должна предшествовать тщательная проверка реальности источников погашения.
Государственный кредит используется главным образом для привлечения средств на покрытие расходов бюджета. Заемные средства для удовлетворения такой потребности могут поступать, как правило, в форме выручки от реализации казначейских обязательств или облигаций, в ряде случаев и в форме банковского или международного кредита.
Благодаря этому становится возможным обеспечить средствами расходы бюджета, в том числе покрытие бюджетного дефицита. Использование заемных средств для такой цели обычно ограничивается в интересах экономного использования ресурсов, тем более что впоследствии такая задолженность должна быть погашена.
Значима роль и ипотечного кредита, при применении которого средства предоставляются взаймы под залог недвижимого имущества. Заемные средства могут использоваться на различные цели, включая производственные и потребительские нужды, а также для удовлетворения других потребностей, включая вложения в основные производственные фонды и фонды обращения.
Однако возврат заемных средств здесь не увязывается с высвобождением средств из вложений в кредитуемые ценности, как это имеет место при применении некоторых других форм кредита. Во многих случаях источником возврата заемных средств служат предстоящие доходы заемщика. Вместе с тем при предоставлении ссуд под залог незавершенного строительства жилья возврат ссуд увязывается с завершением строительства и реализацией жилья, построенного за счет заемных средств.
Особенности применения ипотечного кредита обусловливают необходимость обоснованной оценки недвижимости, принимаемой в залог, и определения реальных возможностей реализации заложенного имущества при несвоевременном возврате заемных средств. Такие меры способствуют надежности возврата предоставленных ссуд под залог имущества и направлены на предотвращение возможных потерь кредита.
Значительна роль кредита в сфере денежного оборота - наличного и безналичного. Это относится к денежно-кредитным системам всех стран. В России Центральный банк РФ монопольно осуществляет эмиссию наличных денег и организует их обращение. Важно также то, что поступление наличных денег в обращение и изъятие их из обращения происходят на кредитной основе, через банки. Последнее проявляется, с одной стороны, в том, что выпуск наличных денег в обращение из касс банков при выдаче наличных денег предприятиям, организациям, а также отдельным гражданам возможен, если у них имеются остатки на счетах в банках. Наличие таких остатков означает, что между клиентами и банками существуют кредитные отношения, в которых кредиторами являются предприятия, организации и отдельные граждане. Выдача наличных денег со счетов в банках свидетельствует о погашении банком своей задолженности клиентам. С другой стороны, взнос в банки наличных денег, свидетельствующий об изъятии денег из обращения, сопровождается увеличением задолженности банка своим клиентам.
Иными словами, выдача банками наличных денег клиентам, а также поступление в банки наличных денег представляют собой кредитные операции, в которых проявляются кредитные отношения между банками и его клиентами. При рассмотрении банковских операций с наличными деньгами, в том числе их выпуска в обращение и изъятия из обращения, следует учитывать, что: остатки на счетах клиентов в банках образуются в результате кредитных операций; первичное образование средств на счетах клиентов происходит в результате предоставления ссуд при осуществлении депозитной эмиссии. Впоследствии эти средства, образовавшиеся при осуществлении ссудных операций, могут быть использованы для перечисления другим предприятиям и организациям, бюджету, а также для выдачи наличных денег.
В дальнейшем средства, поступившие на счета получателей, включая и счета бюджета, могут выступать как дополнительно аккумулированные ресурсы, хотя образование таких остатков на счетах произошло в результате предоставления ссуд.
При рассмотрении этих процессов нельзя упускать из виду, что аккумулированные ресурсы представляют собой неиспользованные денежные резервы владельцев подобных средств.
Аналогичное представление может сложиться при привлечении наличных денег на счета в банке, хотя наличные деньги ранее поступили в обращение, что происходило при использовании для этой цели средств, образовавшихся в результате предоставления ссуд.
Следовательно, имеются основания утверждать, что различные виды денежных средств, привлекаемых банком в качестве ресурсов, имеют кредитное происхождение, что свидетельствует о важной роли кредита в образовании средств для наличного и безналичного денежных оборотов.
Вместе с тем не следует переоценивать возможность кредита по увеличению массы денежных средств в обороте. Так, нельзя считать, что выдача каждой ссуды сопровождается соответствующим увеличением денежной массы в обороте. В действительности обоснованное увеличение денежной массы возможно при наличии необходимых условий в хозяйстве. Если, например, торговая организация получила ссуду в сумме 100 тыс. руб. и перечислила ее поставщику за приобретенный товар, то, в свою очередь, поставщик может из суммы полученного платежа погасить свою ссуду в размере 90 тыс. руб., а 10 тыс. руб. "осядут" на его расчетном счете. Другими словами, увеличение ссудной задолженности в конечном счете составит 10 тыс. руб. (100 тыс. руб. выданной ссуды - 90 тыс. руб. погашенной ссуды), которым соответствует увеличение остатка на расчетном счете (например, за счет прибыли или других источников поставщика).
Итак, с помощью кредита были предоставлены платежные средства, обслужившие расчет торговой организации с поставщиком, но увеличение денежной массы составило лишь 10 тыс. руб., в чем отразились определенные предпосылки, сложившиеся в хозяйстве.
Разумеется, не исключена возможность использования кредита для увеличения денежной массы без соответствующих предпосылок, складывающихся в хозяйстве, что будет означать необоснованное увеличение денежной массы с вытекающими отсюда негативными последствиями. Поэтому необходима повышенная осторожность при осуществлении кредитных операций с тем, чтобы предотвратить необоснованное увеличение денежной массы.
Анализируя роль кредита в осуществлении безналичного оборота, нельзя игнорировать следующее. Для того чтобы бесперебойно совершать платежи, у предприятий периодически возникает дополнительная потребность в средствах. Такая потребность складывается в значительной мере вследствие несовпадения ежедневных сумм денежных поступлений и расходов. Возникающая при этом временная потребность в средствах может удовлетворяться за счет привлечения кредита. Это свидетельствует о значении применения кредита для бесперебойного безналичного денежного оборота.
Для использования преимуществ применения кредита в качестве дополнительного источника средств для бесперебойного безналичного денежного оборота важно соблюдение требования, состоящего в недопущении предоставления ссуд для покрытия недостатков в работе заемщиков и обеспечении выдачи ссуд в размере обоснованной потребности в средствах.
Большое значение для соблюдения этого требования имеет увязка размера предоставляемых ссуд и сроков их погашения с реальными процессами производства и реализации товаров, что предполагает выдачу заемных средств исходя из потребности, обусловленной ростом величины остатка кредитуемых ценностей, и на срок снижения остатков таких ценностей. При соблюдении такого требования сумма денежных средств, образовавшихся в результате кредитных операций, будет соответствовать потребности оборота, а по мере уменьшения остатков кредитуемых ценностей денежные средства будут использованы для погашения ссуд и "уйдут" из оборота заемщика. Это требование опирается на посылку, состоящую в том, что потребность оборота в денежных средствах зависит от стоимости массы товаров, поступающих в оборот. При подобном подходе усиливается значение совершения кредитных операций путем увязки массы денежных средств в обороте с потребностью в них.
Следует учитывать, что достижение соответствия денежной массы в обороте потребности в них имеет важное значение для бесперебойности процессов производства и реализации продукции. Так, при массе денежных средств в обороте, меньшей, чем потребность оборота в них, могут возникнуть трудности в реализации продукции со всеми вытекающими из этого отрицательными последствиями. Напротив, предоставление обороту с помощью кредита избыточной (по сравнению с потребностью) массы денежных средств может способствовать снижению покупательной способности денежной единицы.
Несмотря на то, что для достижения необходимого соответствия массы денежных средств в обороте потребностям оборота большое значение имеет соблюдение определенных принципов совершения кредитных операций, вместе с тем, учитывая важное народнохозяйственное значение регулирования массы денежных средств в обороте, применяется государственное регулирование кредитных операций, для чего используются меры, входящие в систему денежно-кредитной политики.
Стабилизация форм и методов регулирования денежного и кредитного хозяйства
Европа стала центром устойчивого проникновения денежных операций. свойственных для возникновения банков, в экономическую деятельность создаваемых государств. Истинное значение банковского дела прояснялось в процессе развития торговых связей между государствами. Итальянский опыт ведения банковского дела становится лишь стимулирующим фактором создания собственных банков. Предпринимательский слой, служивший источником появления специалистов банковского дела, постепенно расширяется. Купцы первые расширяют свое дело не только за счет собственных денежных средств, но и чужих, им доверенных. Рост товарооборота позволял позднее рассчитаться торговцу с участвовавшими в его деле лицами товарами и деньгами. В той же степени и другие предприниматели (ремесленники, продающие свою продукцию на рынок, и крестьяне, вырастившие свой урожай и пускающие его в товарный оборот) сначала нерегулярно, а затем все чаще и постоянно начинают выполнять нужные денежные операции, прибегают к ссудам или выдают их сами. Сезонный характер отдельных видов предпринимательства, наличие текущих временных затруднений, необходимость иметь денежные запасы в ликвидной форме и другие факторы - все это приводило к усиленной потребности в платежных средствах в развитии денежных операций.Появившиеся в платежном обороте европейских городов и стран кредитные деньги (векселя), даже при распространении вексельных ярмарок, осуществлении переводных операций, когда собиравшиеся вместе торговцы и другие предприниматели взаимно засчитывали свои требования, не ускоряли процесс денежного обращения.
Вексель имел относительно ограниченную сферу обращения, которая охватывала, как правило, оптовую торговлю. Посредством векселя невозможно было приобрести розничный товар в кредит. Рост вексельного оборота зависел от уровня развития кредитных отношений, которые, в свою очередь, были опосредованы расширением товарооборота. Сжатие объема вексельного обращения определялось как сокращением размеров кредитного обращения, так и сроком погашения векселей.
По мере развития кредитных отношений наблюдается все большее несоответствие между товарным оборотом, которое компенсируется расширением вексельного обращения, и объемом обращающихся полноценных металлических денег. Монетизация денежного обращения европейскими городами и государствами позволяла лишь засвидетельствовать право на определенное количество денег. Денежное хозяйство оставалось слабым по ряду причин, к которым относились: быстрое стирание находившихся в обращении металлических денег; ограниченные объемы необходимого металла в распоряжении государств; рост количества монетных дворов для поддержания денежного обращения; отсутствие надлежащих технических средств, обеспечивающих чеканку монет и т.д. Поэтому учреждаемые в европейских государствах ассоциации или товарищества объективно становились инструментом стабилизации денежного обращения, укрепления зарождавшихся денежных систем отдельных стран.
Наиболее наглядно этот процесс прослеживается в центре Нидерландов - АМСТЕРДАМЕ. В результате конкурентной борьбы действовавшего в городе института самостоятельных кассиров и учрежденного городскими властями разменного банка в течение нескольких веков удалось упрочить голландскую денежную систему (с конца XVIII в. на протяжении более чем века основной стандартной монетой стала монета достоинством в три гульдена).
В условиях международной торговли, принявшей широкие масштабы в Амстердаме, постоянное наличие при крупных торговых сделках значительного количества различной пробы и достоинства металлических денег потребовало создания системы кассиров, которые должны были заменить менял.
Кассиры, получая от купцов, пользующихся их услугами, известные суммы денег, открывали на эти суммы "кредит" в своих книгах. Затем они посылали долговые требования купцам, по которым получались деньги и происходило кредитование. Кассиры производили платежи по распоряжениям купцов, уменьшая на соответствующую сумму их текущие счета. Поскольку система кассиров была задействована в огромных оборотах международной торговли, доходы приобрели предпринимательскую основу. Кассиры, обслуживая платежи многих купцов, балансировали, регулировали их взаимные требования. Полученные от купцов металлические деньги использовались кассирами для обменных операций.
Городские власти Амстердама усмотрели опасность в соединении профессий кассиров и менял и приняли решение об учреждении организации, которая заменяла кассиров и действовала бы открыто по уставу. В 1609 г. был создан разменный банк для удовлетворения постоянной потребности в размене металлических денег, который стал крупным центром банковского предпринимательства. Попытка упразднить деятельность кассиров не имела успеха.
Банк осуществлял размен монет с установлением официального лажа (ажио), создав прецедент монополизма. Он открывал у себя кредит на внесенные в различной монете деньги. Под металлическое обеспечение принятых вкладов выдавались банком расписки. Но цель превратить банк в единого кассира не была достигнута, поскольку к распискам стали также приплачивать лаж. Это противоречило целям, преследуемым учреждением банка (ажио до 5%). Проведя резкое отличие между полноценными и порчеными металлическими деньгами, банк оказывал положительное влияние на товарооборот города. Расписки придавали торговле твердую предпринимательскую основу. В 1621 г. была восстановлена в полном объеме прежняя система кассиров, усилилась конкуренция между ней и банком.
Для приближения стоимости обращавшихся денег к установленной законом цене в 1641 г. некоторые виды монет были объявлены "хорошими банковскими деньгами". Банк в качестве кредитора принимал "хорошие" виды монет, а в качестве менялы оперировал мелкой монетой, получившей название "кассовых денег". Разделение функций банка в качестве кредитора и менялы объяснялось недостаточностью собственных денег, что чрезмерно повышало ажио. Банку приходилось изучать конъюнктуру спроса на различные виды денег, что позволило на практике снизить ажио.
Урегулирование городскими властями в 1659 г. монетной системы, установившей твердый тариф мелкой монеты, способствовало чеканке собственной городской монеты - гульденов, начиная с 1681 г. В связи с этим разменный банк был преобразован в депозитный и переводной (жиро) банк, основная задача которого сводилась к определению качества видов монет для отбора в ранг "хороших".
Постепенно ссуды банка расширяются в обмен на хранившиеся в монете вклады, получатель квитанции (рецеписсы) мог по предъявлении ее в течение определенного срока забрать обратно монеты. Повышение курса квитанций привело к тому, что без них нельзя было получить необходимые металлические деньги. Несмотря на высокую репутацию банка, доверие к нему со стороны купцов, квитанции оказались ненадежными и их курс держался на авторитете банка (счетная монета, по которой определялись "хорошие деньги", не имела твердого содержания металла, постоянно находилась в состоянии колебаний в сторону обесценения). Для ограничения подобного влияния в качестве залога за предоставленные ссуды банком практиковался прием благородных металлов (золота и серебра). Имея счета не более 2900 купцов, банк постепенно из депозитного превращается в ссудный. Все виды монет, представленных квитанциями, постоянно находились в наличии, и выдача ссуд осуществлялась под запасы металлического обеспечения.
Перейдя к активным спекулятивным действиям, скупая и продавая в периоды резкого колебания курса собственные квитанции, банк одновременно использовал их в вексельном обороте. Банк превращался в центр европейского вексельного обращения.
Стадии движения кредита
Движение ссужаемой стоимости можно представить следующим образом:Рк- Пкз - Ик ... Вр... Вк... - Пкс,
где Рк - размещение кредита;
Пкз - получение кредита заемщиками;
Ик - его использование;
Вр - высвобождение ресурсов;
Вк - возврат временно позаимствованной стоимости;
Пкс - получение кредитором средств, размещенных в форме кредита.
Подобно тому, как в структуре кредита не следует противопоставлять один его элемент другому, так и в анализе стадий движения ссуженной стоимости нельзя искусственно вычленять одну из них, возводить в ранг основополагающей при анализе сущности данной экономической категории. В некоторых случаях это требование анализа нарушается: считается, например, что кредит - это его предоставление (размещение), что кредит - это лишь его использование и, наконец, что кредит - это не первое, не второе, а возврат ссуженной стоимости.
Подобный подход разрывает единство движения кредита. Так, предоставление кредита не может быть самоцелью, оно закономерно сопряжено с возвратным движением, немыслимо без возвращения ссуженной стоимости. Предоставление кредита может существовать только ради использования потребительских свойств ссужаемого объекта, его возвращения к исходной точке. Тем не менее размещение кредита в форме предоставления ссуды является исходной стадией движения кредита. Ей, как правило, предшествует процесс аккумуляции стоимости. Для того чтобы кому-то передать денежные средства или ценности, их необходимо накопить. Вместе с тем, как отмечалось ранее, в ссуду может быть размещена стоимость, "уходящая" от своего владельца в процессе реализации товара. Например, передача кредитором товара в хозяйство ссудополучателя может быть обусловлена не концентрацией, накоплением у него временно свободных материальных ценностей, а необходимостью продолжить процесс обмена, завершить начатый кругооборот. В этом случае товар, который передается посредством кредита покупателю, не выражает собой высвободившуюся ценность. Средства не обязательно могут считаться высвободившимися и в том случае, если они размещаются за счет сокращения вложений в собственное производство.
Размещение кредита (Рк) - важный момент для практики. Кредитор не может раздавать ссуженную стоимость "щедрой рукой" всякому, кто нуждается в дополнительных ресурсах. В каждом отдельном случае у него должна быть уверенность в том, что принятое решение является наиболее рациональным вложением кредитных ресурсов. Банки как кредиторы выдают кредиты в соответствии с требованиями движения кредита как целостного процесса, в соответствии с требованиями завершающей стадии - возвращения ссуды, ее эффективного использования.
Получение кредита заемщиком (Пкз) может использоваться им для достижения разнообразных целей, в том числе для погашения ранее образовавшихся долгов. На практике получение ссуды заемщиком может не совпадать с общим размером его потребностей, вызвать необходимость обращения к кредитору за новой ссудой, к новым кредиторам. Все эти и другие случаи не упраздняют одного фундаментального свойства данной стадии: получение кредита заемщиком удовлетворяет его временные потребности, так как другая сторона кредитных отношений отчуждает, ссужает стоимость на определенное время. Переход стоимости во владение заемщика позволяет ему реализовать потребительную стоимость объекта передачи в процессе использования кредита (Ик).
Высвобождение ресурсов (Вр) характеризует завершение кругооборота стоимости в хозяйстве заемщика. Подобно тому, как аккумуляция временно свободных денежных средств предшествовала размещению кредита кредитором, так и высвобождение стоимости в хозяйстве заемщика, ее концентрация позволяют ему вернуть временно позаимствованную стоимость. Однако данная стадия движения, кредита лежит как бы вне отношений между кредитором и заемщиком. Высвобождение кредита в хозяйстве заемщика отражает процесс использования стоимости в интересах удовлетворения его временных потребностей. Данная стадия является материальной базой для вступления кредита в следующую фазу.
Возврат кредита (Вк) выражает переход временно позаимствованной стоимости от заемщика к кредитору. Стоимость, совершившая определенную "работу" в хозяйстве заемщика, "уходит" от своего временного владельца, переходит к кредитору. В зависимости от характера высвобождения средств возвратность на данном этапе движения кредита может быть качественно различной. Если возврат наступил вследствие действительного высвобождения средств, то реально выполнение обязательств заемщика перед кредитором. В этом случае возврат позаимствованных средств отражает реальную их возвратность. Если же высвобождения стоимости не произошло, а заемщик тем не менее выполняет свои обязательства за счет иного вспомогательного источника, то возникает формальная возвратность. Последняя не обеспечивает своевременного получения подлинного экономического эффекта от использования ссуды, так как с ее помощью не создаются доходы, прибыль в том объеме, как это предусматривалось в момент предоставления ссуды.
Получение кредитором стоимости, предоставленной во временное пользование (Пкс), - завершающая стадия движения кредита. По времени возврат кредита (Вк) и получение кредитором средств, размещенных в ссуду (Пкс), могут совпадать. Объединяет данные стадии и то, что речь в данном случае идет об одной и той же массе стоимостей: заемщик возвращает определенную сумму долга, такую же сумму долга (с приращением в виде процента) получает кредитор. Однако различие интересов кредитора и заемщика делает заключительную фазу движения кредита неоднозначной. Так, для заемщика важно выполнить обязательства перед кредитором, возвратив ему всю сумму кредита. Для кредитора важна не только полнота возврата ранее ссуженной стоимости (в товарной форме), но и сохранение ее потребительских качеств.
Рассмотренные стадии кругооборота ссужаемой стоимости при всей их самостоятельности имеют в известной степени условное значение. Кредит как экономическая категория является единым по своей сути, по характеру движения. Вместе с тем во времени и в пространстве движение стоимости на началах возвратности может и не совпадать. Это и дало возможность обособить отдельные стадии, выразить более обстоятельно "поведение" кредита на каждой из них.
Совокупность рассмотренных стадий позволяет увидеть движение кредита как частей полного кругооборота ссужаемой стоимости, включающего стадии, относящиеся не только к кредиту. Собственно кредитные отношения, как уже отмечалось, возникают в сфере обращения, поэтому к кредиту можно отнести только акты перехода стоимости от кредитора к заемщику и обратно.
Структура кредита
Структура есть то. что остается устойчивым, неизменным в кредите. Как объект исследования кредит состоит из элементов, находящихся в тесном взаимодействии друг с другом. Такими элементами являются прежде всего субъекты его отношений. Пространственно они могут быть удалены друг от друга на разные расстояния, однако характер их взаимных обязательств от этого не меняется. В кредитной сделке субъекты отношений всегда выступают как кредитор и заемщик.Становление кредитора и заемщика происходит прежде всего на базе товарного обращения. Процесс купли-продажи товаров не всегда приводит к немедленному получению продавцом их денежного эквивалента, покупатель не всегда имеет возможность сразу заплатить за товар, оплата производится только по истечении определенного срока. Так, продавец становится кредитором, покупатель - должником.
Товарное обращение не представляет собой единственную базу возникновения кредитора и заемщика. Кредитор и заемщик появляются во всех случаях, когда на одном полюсе (у одного субъекта) отсрочено получение эквивалента; на другом - его уплата.
Кредитор - сторона кредитных отношений, предоставляющая ссуду. Кредиторами могут стать субъекты, выдающие ссуду, т.е. реально предоставляющие нечто во временное пользование. Для этого чтобы выдать ссуду, кредитору необходимо располагать определенными средствами. Их источниками могут стать как собственные накопления, так и ресурсы, позаимствованные у других субъектов воспроизводственного процесса. В современном хозяйстве банк-кредитор может предоставить ссуду не только за счет своих собственных ресурсов, но и за счет привлеченных средств, хранящихся на его счетах, а также мобилизованных посредством размещения акций и облигаций.
С образованием банков происходит концентрация кредиторов. Мобилизуя свободные денежные ресурсы предприятий и населения, банкиры становятся коллективными кредиторами.
Источниками кредитования часто становятся не только ресурсы, которые временно не используются в народном хозяйстве. При коммерческом кредите, например, кредитор предоставляет заемщику (покупателю) товары, подлежащие реализации.
Кредиторами выступают лица, предоставившие ресурсы в хозяйство заемщика на определенный срок. Как правило, кредиторами становятся добровольно. Случаи, когда ссудополучатель не возвращает кредит в установленные сроки, лишь нарушают добровольность кредитной сделки, приводят к особой системе более жестких отношений с заемщиком. В целом временные границы существования кредиторов определяются сроками кредита, которые зависят от хода процесса воспроизводства.
Положение кредитора по отношению к ссужаемым средствам двоякое. Собственные ресурсы кредитора, передаваемые на основе кредита, остаются его собственностью. Собственником привлеченных средств, размещаемых кредитором, остаются предприятия и население. Поскольку банки (как кредиторы) работают в основном на привлеченных ресурсах, они должны так построить систему кредитования, чтобы обеспечить возврат размещенных ресурсов и их передачу действительным собственникам по их требованию. Это означает, что не только предприятия или индивидуальные ссудополучатели должны возвратить ссуду кредитору (банку), но и сам кредитор обязан возвратить кредит, полученный от своих клиентов.
Мобилизация высвободившихся ресурсов кредиторами носит производительный характер, поскольку она обеспечивает их превращение в "работающие" ресурсы. Размещая ссуженную стоимость, кредитор обеспечивает ее производительное использование как для своих собственных целей, так и для целей других участников воспроизводственного процесса.
Заемщик - сторона кредитных отношений, получающая кредит и обязанная возвратить полученную ссуду. Должник и заемщик - близкие, но не одинаковые понятия. Предприятия и отдельные граждане могут, например, задержать оплату коммунальных услуг, налогов, страховых платежей, однако никакого кредитного отношения здесь не возникает. Кредитор в этих случаях ничего не передает, собственником остается тот же субъект. Долг - это состояние не только экономических, но и чисто человеческих отношений; долг - это более широкое понятие, характеризующее обязанность вообще. Применительно к кредитной сделке речь должна идти не о должнике, а о заемщике.
Исторически заемщиками были отдельные лица, испытывающие потребность в дополнительных ресурсах. С образованием банков происходит концентрация не только кредиторов, но и значительное расширение состава заемщиков. В современных условиях помимо банков заемщиками выступают предприятия, население и государство. Традиционно банки при этом становятся коллективными заемщиками, поскольку занимают не для себя, а для других.
Особое место заёмщика в кредитной сделке отличает его от кредитора.
Во-первых, заемщик не является собственником ссужаемых средств, он выступает лишь их временным владельцем; заемщик пользуется чужими ресурсами, ему не принадлежащими.
Во-вторых, заемщик применяет ссужаемые средства как в сфере обращения, так и в сфере производства (для приобретения материалов и расширения и модернизации производства). Кредитор же предоставляет ссуду в фазе обмена, не входя непосредственно в производство.
В-третьих, заемщик возвращает ссужаемые ресурсы, завершившие кругооборот в его хозяйстве. Для обеспечения такого возврата заемщик так должен организовать свою деятельность, чтобы обеспечить высвобождение средств, достаточных для расчетов с кредитором.
В-четвертых, заемщик не только возвращает стоимость, полученную во временное пользование, но и уплачивает при этом больше, чем получает от кредитора, является плательщиком ссудного процента.
В-пятых, заемщик зависит от кредитора, кредитор диктует свою волю. Экономическая зависимость от кредитора заставляет заемщика рационально использовать ссуженные средства, выполнять свои обязательства как ссудополучателя. Даже возвратив ссуженные средства, а также уплатив приращение к ним в виде ссудного процента, заемщик не утрачивает своей зависимости от заимодавца: потенциально в своем прежнем кредиторе он видит нового кредитора, а поэтому должен полностью выполнить все обязательства, вытекающие из договора о ссуде, создав основание для очередного получения кредита.
Занимая зависимое от кредитора положение, заемщик не теряет своей значимости в кредитной сделке как полноправной стороны. Без заемщика не может быть и кредитора. Заемщик должен не только получить, но и использовать полученные во временное пользование ресурсы, причем таким образом, чтобы полностью рассчитываться по своим долгам. В этом смысле заемщик - такая производительная сила, от которой зависит эффективное применение ресурсов, полученных во временное пользование.
Вступая в кредитные отношения, кредитор и заемщик демонстрируют единство своих целей, единство своих интересов. В рамках кредитных отношений кредитор и заемщик могут меняться местами: кредитор становится заемщиком, заемщик - кредитором. В современном денежном хозяйстве один и тот же субъект может выступать одновременно и как кредитор, и как заемщик. Отношения между кредитором и заемщиком, их связь друг с другом представляют собой отношения двух субъектов, выступающих, во-первых, как юридически самостоятельные лица; во-вторых, как участники кредитных отношений, обеспечивающие имущественную ответственность друг перед другом; в-третьих, как субъекты, проявляющие взаимный экономический интерес друг к другу. Связи между субъектами кредитных отношений характеризуются устойчивостью, постоянством, определяются рамками кредита как целостной системы, как особых отношений, обладающих определенными свойствами.
Заемщиком не может быть любой желающий получить ссуду. Заемщик должен не только выступать самостоятельным юридическим или физическим лицом, но и обладать определенным имущественным обеспечением, экономически гарантирующим его способность возвратить кредит по требованию кредитора. На практике заемщиками могут быть предприятия, обладающие материальными и денежными ресурсами, а также отдельные лица, подтверждающие свою дееспособность, свой доход как гарантию возврата кредита.
Взаимодействие кредитора и заемщика носит характер единства противоположностей. Как участники кредитной сделки кредитор и заемщик находятся по разные ее стороны. Кредитор - сторона, предоставляющая ссуду, заемщик-сторона, данную ссуду получающая; в рамках единой цели каждый при этом имеет свой интерес, обусловленный своим особым положением в хозяйстве. К примеру, кредитор заинтересован в более высоком ссудном проценте, а для заемщика важно получить более дешевый кредит.
Помимо кредиторов и заемщиков, элементом структуры кредитных отношений является объект передачи - то, что передается от кредитора к заемщику и что совершает свой обратный путь от заемщика к кредитору (рис. 9.1). Объектом передачи выступает ссуженная стоимость, как особая часть стоимости. Прежде всего она представляет собой своеобразную нереализованную стоимость.

Рис.9.1. Структура кредита
Высвободившаяся стоимость, оседающая у одного из субъектов кредитных отношений, характеризует замедление ее движения, невозможность в данный момент вступить в новый хозяйственный цикл. Благодаря кредиту стоимость, временно остановившаяся в своем движении, продолжает путь, переходя к новому владельцу, у которого обозначилась потребность в ее использовании на нужды производства и обращения.
Стоимость в рамках кредитных отношений обладает особой добавочной потребительной стоимостью. Помимо потребительной стоимости, которая свойственна собственно деньгам или товару, стоимость, совершающая движение между кредитором и заемщиком, приобретает особое качество ускорять воспроизводственный процесс. При помощи кредита у нового владельца ссуженной стоимости отпадает потребность в накоплении в полном объеме собственных ресурсов, обеспечивающих проведение соответствующих хозяйственных мероприятий. Кредит позволяет преодолеть барьер накоплений, с помощью которых становится возможным начало или продолжение очередного хозяйственного цикла. Стоимость, авансированная посредством кредита, создает основу для непрерывности кругооборота производственных фондов, устраняет простои в их движении и в конечном счете ускоряет воспроизводственный процесс.
Важной чертой ссуженной стоимости является ее авансирующий характер. Кредит, как правило, предвосхищает образование тех доходов, которые должны быть получены заемщиком в его хозяйстве. Практически заемщик обращается к кредитору с просьбой о ссуде не только потому, что в данный момент у него нет свободных денежных средств, но и потому, что он заинтересован в получении доходов, в том числе доходов, которые можно было бы использовать для предстоящих платежей. Вместе с тем не всякое авансирование средств, как это уже отмечалось, представляет собой кредит. Стоимость авансируется, к примеру, и в процессе финансирования затрат за счет средств бюджета, собственных средств хозяйственных организаций.
Средства не только затрачиваются, они в конечном счете рассчитаны на получение какого-то дохода, того или иного эффекта. Авансирование, хотя и выступает неотъемлемым свойством ряда экономических процессов, не является специфической чертой, присущей только кредитным отношениям. Видимо, для того, чтобы стать таковой, оно должно сопровождаться некоторыми дополнительными условиями. К их числу следует прежде всего отнести возвратность и сохранение права собственности кредитора на средства, предоставленные в распоряжение ссудополучателя. При отсутствии этих качеств авансирование теряет кредитный характер, сливается с процессами, которые свойственны другим экономическим категориям.
Стоимость, "уходящая" от кредитора к заемщику, сохраняется в своем движении. Сохранение стоимости достигается в процессе ее использования в хозяйстве заемщика. Последний должен передать кредитору равноценность (эквивалент), обладающую той же стоимостью и потребительной стоимостью.
Итак, сохранение стоимости является фундаментальным качеством кредита. На практике оно далеко не всегда реализуется. Это может быть прежде всего вызвано инфляционными процессами, которые связаны с переполнением каналов денежного обращения излишними денежными знаками и приводит к снижению покупательной способности денежной единицы. В результате заемщики возвращают ссуду в том же номинальном размере, но в уцененном виде. Возвращение кредита в условиях инфляции требует особых гарантий от обесценения ссужаемых средств. Такой гарантией на практике часто выступает ссудный процент. Банки нередко практикуют взыскание более высокой платы за кредит, страхующей ссудный фонд от обесценения. Положительный процент по вкладам населения (выше, чем темп инфляции) также может препятствовать потерям от обесценения, от снижения покупательной способности денежной единицы.
Рассмотренная структура кредита характеризует его целостность. Кредит - это не только кредитор (к примеру, банк), не только заемщик (предприятие) или ссуженная стоимость. Структура кредита как целого предполагает единство его элементов. В экономической литературе это обстоятельство учитывается не в полной мере. Поэтому сущность кредита как экономической категории зачастую подменяется сущностью банковского кредита. Обеднение сущности кредита происходит и в том случае, когда в объекте передачи (ссуженной стоимости) видят элемент, достаточный для раскрытия сущности экономического явления. Во всех этих случаях сущность кредита как целостного процесса подменяется сущностью одного из его элементов.
Структура платежного баланса:
а) экспорт
б) импорт
2. Баланс услуг и некоммерческих платежей - баланс "невидимых" операций
II. Баланс движения капиталов и кредитов
Торговый баланс - соотношение между поступлениями по экспорту и платежами по импорту товаров - становится активным, если вывоз товаров превышает ввоз. Пассивное сальдо торгового баланса возникает, если импорт превышает экспорт товаров (например, у ряда развивающихся стран и государств, осуществляющих переход к рыночной экономике).
Дефицит торгового баланса развитых стран (например, США) может быть результатом активного внедрения импортных товаров стран конкурентов (Западной Европы, Японии, новых индустриальных государств).
Баланс "невидимых" операций объединяет платежи и поступления по различным по форме и экономическому содержанию услугам и некоммерческим операциям. В их числе: транспортные перевозки, связь, страхование, комиссионные операции, международный туризм, деловые поездки, культурный обмен, содержание дипломатических и торговых представительств, лицензии, техническая помощь, лизинговые операции, гонорары, изобретения, военные расходы за границей и др. По международной методике в услуги включены проценты по кредитам и дивиденды по иностранным инвестициям, хотя по экономическому содержанию они относятся к движению капиталов и кредитов.
Выделена также статья "Односторонние переводы": а) государственные (субсидии по линии экономической помощи странам, пенсии, взносы в международные организации); б) частные (заработная плата иностранных рабочих). Эти частные переводы - источник валютных поступлений в Италию, Турцию, Испанию, Грецию, Португалию, Пакистан, Египет и др. Для ряда промышленных стран (ФРГ, Франции, Швейцарии, Великобритании, США и др.) потребительские переводы - дефицитная статья платежного баланса.
Баланс движения капиталов и кредитов - соотношение платежей и поступлений по ввозу и вывозу частных и государственных капиталов, по полученным и предоставленным международным кредитам. Движение предпринимательского капитала осуществляется в форме прямых заграничных инвестиций (в предприятия) и портфельных капиталовложений (в ценные бумаги). Международное движение ссудного капитала происходит в форме долгосрочных, среднесрочных и краткосрочных кредитов. При нестабильности валютно-экономического положения стран возникает стихийное движение "горячих" денег и "бегство" капиталов в поисках более высокого дохода и надежного убежища.
В этом разделе платежного баланса выделена статья "Ошибки и пропуски", в которую относят статистические неточности и неучтенные операции, особенно по разделу движения капиталов и кредитов. "Бегство" капиталов обычно характерно для стран, переживающих острые социально-экономические и политические трудности. Например, в России статья "Ошибки и пропуски" в начале 90-х гг. составляла 8,8 млрд долл., или 1/5 экспорта товаров и услуг, по сравнению с 10% в развивающихся странах и примерно 1% в развитых странах. Столь крупные "ошибки и пропуски" в платежном балансе России отражают неэквивалентность бартерной торговли, занижение экспортных цен на вывозимые российские товары по сравнению со среднемировыми, а также "бегство" капиталов. После преодоления кризисной ситуации "беглый" капитал частично репатриируется, т.е. возвращается на родину при содействии государства.
Балансы международных расчетов - платежный и расчетный - занимают значительное место в системе макроэкономических показателей. При определении ВВП и национального дохода учитывается чистое сальдо международных требований и обязательств.
По международной методике сальдо платежного баланса измеряется путем отнесения (часто произвольного) статей к основным и балансирующим. С середины 70-х гг. США и другие ведущие страны вернулись к измерению сальдо платежного баланса лишь по его текущим операциям (торговый баланс и "невидимые" операции). Движение капиталов и кредитов отнесено к балансирующим статьям платежного баланса. Традиционно для погашения дефицита платежного баланса (если платежи превышают валютные поступления) используются иностранные кредиты и ввоз капиталов. Это временный метод покрытия дефицита платежного баланса, так как страны-должники обязаны выплатить проценты, дивиденды и основную сумму займа. Привлечение иностранных кредитов для покрытия пассивного сальдо платежного баланса порождает проблему урегулирования внешней задолженности.
Окончательным методом покрытия пассивного сальдо платежного баланса служат официальные золото-валютные резервы страны. Причем в современных условиях желтый металл предварительно реализуется на мировых рынках золота на иностранные валюты, в которых выражены международные обязательства.
С 1970 г. для покрытия дефицита платежного баланса используются СДР путем перевода этих безналичных международных активов со счета одной страны на счет другой в МВФ в обмен на иностранную валюту. С 1979 г. страны-члены ЕВС использовали ЭКЮ для приобретения необходимой иностранной валюты в целях покрытия дефицита платежного баланса.
Вспомогательным средством покрытия пассивного сальдо платежного баланса может быть продажа иностранных и национальных ценных бумаг за границей. Таким средством служит и официальная помощь развитию в форме субсидий, даров, кредитов.
Странам с активным платежным балансом небезразлично, какими средствами покрываются международные обязательства их должниками. Поэтому проблема балансирования платежного баланса часто вызывает межгосударственные разногласия.
Сущность денег
Рассмотренные процессы свидетельствуют о том, что деньги служат необходимым активным элементом и составной частью экономической деятельности общества, отношений между различными участниками и звеньями воспроизводственного процесса.Сущность денег характеризуется их участием в:
• осуществлении различных видов общественных отношений; сущность денег не может быть неизменной: она должна отражать развитие экономических отношений в обществе и изменения самих денег;
• распределении валового национального продукта (ВНП), в приобретении недвижимости, земли. Здесь проявление сущности неодинаково, так как различные возможности денег обусловлены разными социально-экономическими причинами;
• определении цен, выражающих стоимость товаров. Изготовление товаров (оказание услуг) осуществляется людьми с помощью орудий труда, с использованием предметов труда. Произведенные товары обладают стоимостью, которая определяется совокупным объемом перенесенной стоимости орудий и предметов труда и вновь созданной живым трудом стоимости.
Однако величина стоимости определенного товара, изготовленного отдельным товаропроизводителем, выражается ценой, зависящей не столько от индивидуальных затрат отдельного товаропроизводителя, сколько от существующего в обществе уровня затрат на изготовление тех или иных товаров. Поэтому при реализации товара его владелец может претендовать лишь на цену, обусловленную общественно необходимым уровнем затрат на изготовление определенного товара.
Это означает, что цена, определяемая в соответствии с общественно необходимым уровнем затрат на изготовление отдельных товаров, позволяет товаровладельцам претендовать на получение других товаров в сумме, равной стоимости произведенных товаров. Этому способствует соблюдение требования эквивалентности, осуществляемое с помощью денег. Последние также создают возможность регулирования оценки отдельных товаров и приобретения (покупки) лишь определенной части общественного продукта. Деньги являются всеобщим товарным эквивалентом.
Кроме того, сущность денег характеризуется тем, что они:
• служат средством всеобщей обмениваемости на товары, недвижимость, произведения искусства, драгоценности и др. Эта особенность денег становится заметной при сравнении с непосредственным обменом товаров (бартером). Дело в том, что отдельные товары также способны обмениваться на другие на условиях бартера. Однако, как уже отмечалось, подобные возможности обмена ограничены рамками взаимной потребности и соблюдением требования эквивалентности таких операций. Только деньгам присуще свойство всеобщей непосредственной обмениваемости на товары и другие ценности.
В различных социально-экономических условиях проявление данного свойства денег меняется. Если при административно-командной модели экономики возможности непосредственной обмениваемости денег на товары были ограничены, то при переходе к рыночной экономике такие возможности существенно расширились, значение денег в обменных операциях повысилось (см. подробнее в главе 3). Изменения были обусловлены различиями характера товарно-денежных отношений и сфер их применения;
• улучшают условия сохранения стоимости. При сохранении стоимости в деньгах, а не в товарах уменьшаются издержки хранения и предотвращается порча. Поэтому предпочтительнее сохранять стоимость в деньгах.
При характеристике денег нередко обращается внимание на их товарное происхождение и, соответственно, товарную природу. Товарное происхождение денег вряд ли может вызвать сомнение. Однако постепенно, в том числе в связи с переходом от применения полноценных денег к использованию денежных знаков, не обладающих собственной стоимостью, а также в связи с развитием безналичных расчетов, деньги утрачивали такую присущую товарам особенность, как наличие у них стоимости и потребительской стоимости.
В современных условиях денежные знаки и деньги безналичного оборота не обладают собственной стоимостью, но сохраняется возможность применения их в качестве меновой стоимости. Это свидетельствует о том, что деньги все больше отличаются от товара и превратились в самостоятельную экономическую категорию с сохранением некоторых свойств, придающих им сходство с товаром.
Вопросы для самоконтроля
1. Каковы предпосылки возникновения и применения денег?
2. Какие особенности драгоценных металлов (золота) способствовали их использованию в качестве денег?
3. В чем состоит значение появления и применения денег?
4. Чем характеризуется сущность денег и каковы ее особенности?
Сущность, формы проявления и причины инфляции, ее социально-экономические последствия
Инфляция представляет собой обесценение денег, падение их покупательной способности, вызываемое повышением цен, товарным дефицитом и снижением качества товаров и услуг. Она ведет к перераспределению национального дохода между секторами экономики, коммерческими структурами, группами населения, государством и населением и субъектами хозяйствования.Инфляция свойственна любым моделям экономического развития, где не балансируются государственные доходы и расходы, ограничены возможности центрального банка в проведении самостоятельной денежно-кредитной политики.
Иногда инфляционные процессы возникают или специально стимулируются государством, когда использованы все прочие формы перераспределения общественного продукта и национального дохода.
Глубинные причины инфляции находятся как в сфере обращения, так и в сфере производства и очень часто обусловливаются экономическими и политическими отношениями в стране.
К факторам денежного обращения относятся: переполнение сферы обращения избыточной массой денежных средств за счет чрезмерной эмиссии денег, используемой на покрытие бюджетного дефицита; перенасыщение кредитом народного хозяйства; методы правительства по поддержанию курса национальной валюты, ограничение его движения и др.
К неденежным факторам инфляции относятся: факторы, связанные со структурными диспропорциями в общественном воспроизводстве, с затратным механизмом хозяйствования, государственной экономической политикой, в том числе налоговой политикой, политикой цен, внешнеэкономической деятельностью и т.д.
Все это свидетельствует о том, что инфляция представляет собой сложное многофакторное явление, обусловленное нарушением воспроизводственных процессов, непропорциональным развитием народного хозяйства, политикой государства, политикой эмиссионных и коммерческих банков.
Инфляция может развиваться и при стабильной массе денег в обращении. Так, сокращение обращения объема товаров и услуг при данной массе денег в обращении в США в 40-х и 70-х гг. вызвало инфляционные процессы, что было обусловлено ускорением оборота денег. По экономическому эффекту ускорение оборота денег при прочих неизменных условиях равнозначно выпуску дополнительной массы денег в обращение.
При инфляции капитал перемещается из сферы производства в сферу обращения, так как там скорость обращения значительно выше, что дает огромные прибыли, но одновременно усиливает инфляционные тенденции. Механизм инфляции самовоспроизводится, а на его основе нарастает дефицит сбережений, сокращаются кредиты, инвестиции в производство и предложение товаров.
Таким образом, факторы инфляции действуют как при производстве и реализации товаров, так и при изменении массы и скорости обращения денег.
Временное нарушение сбалансированности макроэкономических пропорций в рыночной экономике преодолевается рыночным механизмом хозяйствования через цены, перераспределением денежных и товарных ресурсов, умелой политикой центрального банка и государства. При длительном постоянном нарушении сбалансированности начинаются инфляционные процессы. Их интенсивность, темпы роста цен и доходов могут быть различны, и главная задача в этом случае - не допустить неконтролируемого ускорения инфляции, инфляции, связанной с нарастанием издержек производства, разрушающих экономику, и свести к минимуму потери инвесторов.
В современных условиях инфляция во всем мире носит хронический, повсеместный, всеохватывающий характер, вызываемый не только денежными, но и неденежными факторами, часто политическими. Полностью исключить инфляцию даже в рыночных условиях хозяйствования невозможно, речь может идти только об управляемой инфляции.
Типичным проявлением инфляции выступает общее повышение товарных цен и понижение курса национальной валюты. В то же время в условиях планово-распределительной системы в наибольшей степени инфляция выражается в дефицитности экономики, снижении качества товаров и значительно меньше - в уровне повышения цен. Искусственное, административное сдерживание цен, которые, с одной стороны, ориентированы на фактические издержки, складывающиеся в производстве; с другой - на полное игнорирование спроса (розничные цены), в итоге тормозило развитие производства, совершенствование его технического уровня и порождало товарный дефицит.
Цены, регулируемые государством, длительное время могут оставаться неизменными, но купить многие товары по фиксированным ценам практически невозможно, их нет в свободной продаже. В таких случаях, как правило, возникает официальное и неофициальное нормирование, усиливаются распределительные отношения, в хозяйстве появляются различные рынки, где товары реализуются по повышенным ценам.
Такая инфляция называется "подавленной", скрытой, в отличие от открытой, официально регистрируемой статистическими службами. Проявление скрытой инфляции выражается и в том, что за прежние суммы приобретается продукция низкого качества и в меньшем количестве, происходит более быстрый рост цен на новые изделия по сравнению с качеством, из торговли "вымывается" более дешевый ассортимент. В народном хозяйстве из-за роста издержек производства и сохранения стабильных цен снижается рентабельность, возрастают государственные дотации.
"Подавленная" инфляция может иметь место и в условиях рыночных отношений. Правительство пытается "подавить" инфляцию не путем развития производства, а зажимая денежную массу и фиксируя курс доллара. В этом случае инфляция проявляется в огромных неплатежах, в натурализации хозяйственных отношений, падении производства.
Для достижения заданного уровня инфляции государство задерживает платежи по государственным заказам, по оплате труда, выдачу пенсий и компенсаций, финансирование бюджетных отраслей.
Инфляция, как правило, измеряется ростом цен, но не всякое повышение цен связано с инфляцией. Повышение товарных цен может происходить и в условиях обращения золотой валюты, и в период оживления и подъема экономики, когда наряду с ростом цен растут и доходы. Общий рост цен, связанный с появлением более современных или новых товаров, вызванный изменением их стоимости и потребительской стоимости, может не иметь социально-экономических последствий.
При инфляции неравномерно возрастают цены на различные группы товаров, в результате меняется структура цен и национальный доход перераспределяется не только между сферами воспроизводства и отраслями народного хозяйства, но и между группами населения.
В процессе инфляции при появлении на рынке дополнительных денежных ресурсов цены на товары повышаются по-разному и с разной скоростью. Раньше всех при образовании лишних денег увеличиваются цены на товары первой необходимости, затем - на товары длительного пользования и особенно недвижимость. В условиях инфляции не обязательно повышаются все цены. Даже в периоды быстрого роста инфляции одни цены могут оставаться стабильными, другие - снижаться. Так, в США в 1970-1980 гг., когда наблюдался высокий уровень инфляции, цены на такие товары, как видеомагнитофоны, цифровые часы и персональные компьютеры фактически были снижены.
Повышение цен может быть не только проявлением, но и причиной "раскручивания" инфляции, как это случилось в российской экономике в 1992 г., когда в результате либерализации цен оптовые цены возросли в 34 раза, розничные - в 26-28 раз, ВНП - в 15 раз, денежная масса возросла в 8-9 раз и кредитные вложения в экономику - в 6 раз.
Повышение оптовых цен вызвало необходимость приспосабливать денежную массу к ценовой динамике. Рост наличной и безналичной денежной массы происходил медленнее роста цен, т.е. в хозяйственном обороте постоянно наблюдался недостаток денег, а цены продолжали расти. Государство начало выпускать 10-, 50- и 100-тысячные рублевые купюры.
Западные экономисты рассматривают инфляцию, как правило, анализируя факторы повышения цен, связанные с формированием потребительского спроса, с предложением товаров и услуг, с соотношением спроса и предложения, влияющих на формирование цен, и факторы производства. Эти факторы определяют два вида инфляции: инфляцию спроса, вызванную избыточным спросом, и инфляцию издержек, вызывающую рост цен под воздействием нарастания издержек производства.
Инфляция спроса обусловливается "разбуханием" денежной массы и в связи с этим платежеспособного спроса при данном уровне цен в условиях недостаточно эластичного производства, способного быстро реагировать на потребности рынка. Совокупный спрос, превышающий производственные возможности экономики, вызывает повышение цен.
Основной причиной "разбухания" денежной массы является рост военных расходов, когда экономика ориентируется на значительные затраты на вооружение и по этой причине у государства нарастает бюджетный дефицит, покрываемый с помощью эмиссии, по существу, не обеспеченных товарными ресурсами денег.
На первоначальной стадии накопления избыточной денежной массы стимулируются наращивание производства и продаж, снижение безработицы, цен и в итоге - установление равновесия. Поэтому делается вывод, что в минимальных размерах инфляция даже полезна, так как она гарантирует от кризиса перепроизводства и сокращения занятости. В последующем, когда полная занятость распространяется на все сферы экономики и они уже не могут отвечать на увеличение спроса дополнительным предложением продукции, происходит рост цен. Затем начинают действовать факторы, вызывающие упадок производства, снижение его эффективности и обострение инфляции.
При инфляции спроса в платежном обороте существует определенный "навес" избыточной массы денежных средств по сравнению с ограниченным предложением, что и вызывает повышение цен и обесценение денег.
Инфляцию издержек рассматривают обычно с позиций роста цен под воздействием нарастающих издержек производства, прежде всего роста затрат на заработную плату. Повышение цен на товары сокращает доходы населения, и требуется индексация заработной платы. Ее увеличение приводит к росту издержек на производство продукции, сокращению прибыли, объемов выпуска продукции по действующим ценам. Желание сохранить прибыль заставляет производителей повышать цены. Возникает инфляционная спираль: возрастание цен требует увеличения зарплаты, увеличение зарплаты влечет за собой повышение цен - теория "инфляционной спирали" заработной платы и цен.
Инфляция издержек может быть лишь в том случае, если увеличиваются издержки на единицу продукции и в связи с этим поднимаются цены. Однако заработная плата является лишь одним из элементов цены и, как правило, производство товаров дорожает за счет увеличения затрат на приобретение сырья, энергоносителей, оплату транспортных услуг. Повышение материальных затрат во всем мире - закономерный процесс в связи с удорожанием добычи, транспортировки сырьевых ресурсов и энергоносителей, и это всегда будет влиять на рост издержек производства. Противодействующим фактором выступает использование новейших технологий, снижающих затраты на единицу продукции.
Рост заработной платы вызывает рост издержек производства и соответственно рост цен, если происходит одновременное ее повышение в основных отраслях хозяйства вне взаимосвязи с ростом производительности труда. В реальной жизни рост заработной платы в масштабах государства всегда значительно отстает от роста цен и полной компенсации никогда не осуществляется.
При инфляции издержек количество денег с учетом скорости их обращения "подтягивается" к возросшему уровню цен, вызванному воздействием неденежных факторов со стороны производства и предложения товаров. Если масса денег быстро не адаптируется к возросшему уровню цен, начинаются проблемы в денежном обороте - дефицит платежных средств, неплатежей, а вслед за этим и спад, остановка производства, сокращение товарной массы.
Инфляция издержек и инфляция спроса взаимосвязаны и взаимообусловлены, их трудно четко подразделить. Избыточная денежная масса в экономике всегда порождает повышенный спрос, вызывая неравновесие рынков в сфере совокупного спроса и совокупного предложения, реакцией на которое выступает рост цен. Являясь продуктом разбалансированного денежного рынка, инфляция спроса распространяется дальше, поражая производство и потребление, деформируя потребительский спрос, усиливая неравномерность и непропорциональность развития различных сфер хозяйствования, приводя в конечном счете к инфляции издержек.
Любая современная система экономики инфляционна, и в ней действуют факторы, относимые и к инфляции спроса, и к инфляции издержек.
Большую роль в развитии инфляционных процессов играют внешнеэкономические факторы. Они проявляются тогда, когда страна активно использует импортные товары. Закономерный рост мировых цен на сырье и энергоносители всегда провоцирует нарастание инфляции издержек. Импортные цены не только "подталкивают" цены национальной продукции, но и повышают издержки производства при использовании импортных комплектующих изделий, повышая стоимость готовой продукции.
Особое влияние на инфляционные процессы оказывает приток иностранных займов, валюты, так как ввоз иностранной валюты и скупка ее центральным банком увеличивают денежную массу в стране, способствуя тем самым обесценению денег, усилению инфляции. Здесь немалое значение имеет взвешенная денежная политика, проводимая центральным банком страны в части создания валютных запасов, использования механизма регулирования и формирования валютного курса и одновременно снижения его инфляционного давления на экономику.
Важным инфляционным фактором является и долларизация экономики, когда доллар становится параллельной валютой, выполняя функции денег. Наличие в денежном обороте более твердой валюты вытесняет из обращения национальную и ускоряет снижение ее курса.
Инфляция может вызываться адаптивными инфляционными ожиданиями, связанными с воздействием политической нестабильности, с деятельностью средств массовой информации, потерей доверия к правительству. На фоне больших инфляционных ожиданий и роста курса иностранной валюты население предпочитает держать свои сбережения не в национальной валюте.
Адаптивные инфляционные ожидания стимулируют наращивание текущего спроса в ущерб сбережениям и инвестиционным возможностям кредитной системы, что делает их еще более устойчивыми, так как ускоряется денежный оборот.
Инфляция может быть спровоцирована налоговой политикой государства. В условиях инфляции формирование доходов бюджета происходит на инфляционной основе - при спаде производства прибыль образуется преимущественно за счет роста цен, а не за счет создания реальных материальных ценностей. Если в бюджет изымается большая часть прибыли хозяйства, то усиливается тенденция уклонения от уплаты налогов, снижаются возможности инвестиционной активности. При падении объемов производства налог на добавленную стоимость только усугубляет инфляцию, он впрямую влияет на увеличение цен.
Налоговая политика государства может преследовать фискальную или регулирующую цель. При стагфляции решающим направлением бюджетной политики должно быть стимулирование частного предпринимательства и сбережений населения, эффект от создания противовеса инфляционным процессам компенсирует предшествующие налоговые потери государства.
Инфляция может воспроизводиться и из-за политической нестабильности в государстве и социальной активности населения, связанной с забастовками в базовых отраслях экономики. В России политический фактор сыграл важную роль в развитии инфляции.
В процессе преобразования планово-распределительной системы в рыночную в российской экономике в наибольшей степени проявилась корректирующая инфляция, обусловленная объективными процессами трансформации структуры внутренних цен. В новых условиях хозяйствования нельзя было оставить старую систему ценообразования, фактически регулирующую прибыль и рентабельность, доходы и расходы бюджета, спрос и предложение продукции, занятость, состояние экспорта и импорта, платежного баланса, валютного курса.
При закрытости экономики государственное регулирование цен создавало относительно стабильное макроэкономическое равновесие.
Либерализация всех сфер хозяйственной жизни резко нарушила это равновесие, а результатом отпуска цен была трансформация стоимостных пропорций в хозяйстве. Это вызвало сильную корректирующую инфляцию. Рост цен в потребительском секторе к концу 1992 г. увеличился в 26 раз, в производственном секторе - в 34 раза, что связано с существовавшими неоправданно низкими ценами на сырьевые ресурсы и энергоносители.
Изменение структуры внутренних цен - процесс долгий и неоднозначный. Он зависит от многих факторов, связанных с развитием производства внутри страны, в отдельных регионах, а также с объемом и структурой импортных поставок, изменением курса рубля по отношению к другим валютам. Трансформация соотношений внутренних цен происходит на протяжении всех лет реформ, и общей тенденцией является сближение внутренних и мировых цен.
Инфляция классифицируется в зависимости от темпов роста цен. Она подразделяется на ползущую со среднегодовыми темпами прироста цен от 5 до 10%, характерную для развитых стран, где происходит небольшое умеренное обесценение денег из года в год, и это признается неизбежным моментом нормального развития рыночной экономики и рассматривается в качестве фактора экономического роста.
Галопирующая инфляция (прирост цен 10-50%) и гиперинфляция характерны для развивающихся стран, переходящих от планово-распределительной системы к рыночной. Она рассматривается как негативное явление, вызывающее социально-экономическое и политическое напряжение в обществе.
Грань между приведенными видами инфляции условна, но общим признаком является возрастание скорости оборота денежных средств, резкое снижение совокупной покупательной способности денежной массы и уход из денежного оборота не только разменной монеты, но и последовательно мелких бумажных купюр.
Галопирующая инфляция делает бессмысленным денежные накопления с целью приобретения товаров не только длительного пользования и отдаленного спроса, но и непродовольственных товаров повседневного спроса. В результате усиливаются инфляционные ожидания и происходит переориентация покупательского спроса практически полностью на продовольственные товары.
В рамках гиперинфляции следует выделить супергиперинфляцию, при которой рост цен составляет свыше 50% и более в месяц. В России в 1992 г. цены возросли более чем в 26 раз. Общий индекс цен за четыре года к концу 1995 г. повысился в 4500 раз. Примером гиперинфляции может служить состояние денежного обращения после войны. В Германии после первой мировой войны цены в 1923 г. возросли в 1,3 трлн раз (при проведении денежной реформы в 1923 г. одна новая марка обменивалась на 1 трлн старых марок).
В Венгрии в 1946 г. один довоенный форинт приравнивался к 829 октильонов форинтов.
В зависимости от продолжительности различают хроническую инфляцию и стагфляцию, когда инфляция сопровождается падением производства, что также характерно для современной России.
Социально-экономические последствия инфляции выражаются в:
• перераспределении доходов между группами населения, сферами производства, регионами, хозяйствующими структурами, государством, фирмами, населением; между дебиторами и кредиторами;
• обесценении денежных накоплений населения, хозяйствующих субъектов и средств государственного бюджета;
• постоянно уплачиваемом инфляционном налоге, особенно получателями фиксированных денежных доходов;
• неравномерном росте цен, что увеличивает неравенство норм прибылей в разных отраслях и усугубляет диспропорции воспроизводства;
• искажении структуры потребительского спроса из-за стремления превратить обесценившиеся деньги в товары и валюту. Вследствие этого ускоряется оборачиваемость денежных средств и увеличивается инфляционный процесс;
• закреплении стагнации, снижении экономической активности, росте безработицы;
• сокращении инвестиций в народное хозяйство и повышении их риска;
• обесценении амортизационных фондов, что затрудняет воспроизводственный процесс;
• возрастании спекулятивной игры на ценах, валюте, процентах;
• активном развитии теневой экономики, в ее "уходе" от налогообложения;
• снижении покупательной способности национальной валюты и искажении ее реального курса по отношению к другим валютам;
• социальном расслоении общества и в итоге обострении социальных противоречий.
8.2. Особенности инфляции в России
8.2.1. Причины и формы проявления инфляции в условиях планово-распределительной системы
В каждой стране инфляционный процесс имеет специфику, связанную с совокупностью причин и факторов, его вызывающих.
Современную инфляцию в России нельзя рассматривать без учета специфичности планово-распределительной системы хозяйствования. без учета политических и экономических процессов, произошедших за последние годы.
В связи с этим необходимо выделить причины инфляционных процессов в дореформенных условиях и причины, усугубившие инфляцию при переходе к рыночным отношениям и вызвавшие гиперинфляцию.
Важным фактором инфляционных процессов в стране выступала планово-распределительная система хозяйствования. Она способствовала затратному механизму хозяйствования и нарушению материальной и денежной сбалансированности в народном хозяйстве, что вызывалось диспропорциями во всех сферах экономики, но прежде всего в:
• распределении национального продукта на фонд накопления и фонд потребления и на базе этого проведении активной инвестиционной политики;
• производстве средств производства и товаров народного потребления;
• системе государственного ценообразования;
•доходах и расходах государственного бюджета (дефицит);
• кредитных и финансовых ресурсах.
Зарождавшиеся инфляционные процессы в нашей стране были обусловлены диспропорциями в сложившейся структуре народного хозяйства, в которой предпочтение отдавалось производству средств производства и вооружений при крайне недостаточном уровне промышленного производства потребительских товаров и услуг, слабом развитии сельского хозяйства при огромных и неэффективных инвестициях в него.
Условия для разбалансированности народнохозяйственных пропорций создавала на протяжении последних десятилетий повышенная инвестиционная активность. Народное хозяйство не в состоянии было осваивать наращиваемые объемы капитальных вложений, поскольку не учитывались ресурсные возможности страны, что оборачивалось удорожанием стоимости строительства, растягиванием сроков и ростом незавершенного строительства, достигавшим 2/3 суммы инвестиций.
Планово- распределительная система создавала затратный механизм хозяйствования и разбалансирования товарно-денежных отношений.
Использование отдельных рыночных элементов в управлении экономическими процессами в нашей стране было предусмотрено еще хозяйственной реформой 1964 г. Однако в результате сохранения жесткой централизации планирования управления, детальной регламентации деятельности всех хозяйственных звеньев реформа, разладив старый механизм хозяйствования, не создала новый и привела к обострению противоречий в экономике, способствовала углублению товарно-денежной несбалансированности в народном хозяйстве.
Провозглашенная самостоятельность предприятий, введение полного хозрасчета не сочетались с административной системой управления производством - диктатом министерств и ведомств. Приоритет ведомственных интересов над общественными, жесткий план и фондирование основной массы материальных ресурсов, невозможность распоряжаться изготовленной продукцией и заработанными средствами сдерживали инициативу предприятий и объединений, снижали стимулы эффективного хозяйствования.
В основу хозяйствования был поставлен план, по выполнению которого оценивалась работа предприятий, объединений, министерств и ведомств. Несмотря на фондирование материальных ценностей, плановые задания не всегда подкреплялись соответствующим обеспечением материальных и трудовых ресурсов, а в строительстве - и строительными механизмами. Это позволяло направлять усилия многих коллективов предприятий не столько на выполнение плана, сколько на его корректирование. У большинства предприятий планы производства в течение года неоднократно пересматривались и, как правило, в сторону снижения. При этом фонды оплаты труда либо оставались неизменными, либо увеличивались.
С учетом уровня выполнения плана, который не всегда отражал реальный вклад коллектива предприятия или организации в экономику, формировались фонды экономического стимулирования. Несовершенство механизма формирования фондов экономического стимулирования приводило к тому, что они росли быстрее фондообразующих показателей: прибыли, реализации, производительности труда. Заниженность плановых заданий, нередко их подгонка под фактически выполненный уровень давали возможность значительно завышать вознаграждения и выплачивать незаработанные средства.
Стремление выполнить план любой ценой, не считаясь с затратами, приводило к снижению эффективности общественного производства, расточительному использованию трудовых, материальных и финансовых ресурсов, разбалансированности материальных и стоимостных пропорций. При этом не сыграли должной роли повышение значимости таких показателей, как прибыль и реализация, заинтересованности в них как фондообразующих показателях и на базе этого снижение себестоимости выпускаемой продукции. Рост затрат компенсировался во многих случаях ростом оптовых цен.
Широко распространились многопрофильные, неспециализированные производства, продукция которых не отличалась высоким качеством, но требовала огромных затрат. Не учитывалась экономическая целесообразность создания собственных строительных организаций, производства инструментов, оснастки, создания агроцехов, цехов ширпотреба и т.д.
В строительстве капитальные вложения распыляются по многочисленным стройкам и объектам, не обеспечивается сопряженность в обеспечении строек трудовыми, материальными и финансовыми ресурсами и в результате повсеместно не соблюдаются сроки строительства, а его сметная стоимость возрастает в несколько раз. Огромные капитальные вложения в "проекты века" затрудняли балансирование государственного бюджета (который стал дефицитным), нарушали пропорции денежного оборота. Нарастает дефицитность экономики.
В стране все годы существовал острейший дефицит сырья, материалов, оборудования, производственных мощностей, хотя страна производила больше всех в мире металла, топлива, электроэнергии, хлопка и т.д.
Материально-финансовая несбалансированность приводила к тому, что в стране был создан огромный парк бездействующих мощностей, производимые и закупаемые за рубежом станки и оборудование не устанавливаются в цехах по десять-пятнадцать лет из-за несоблюдения сроков строительства, в результате отсутствия материалов, механизмов, рабочих рук. Однако строительство и ввод новых мощностей продолжались, при этом не учитывалась их сопряженность со смежными отраслями. В результате металлургия отставала от машиностроения, сельское хозяйство - от перерабатывающих отраслей, дорожного строительства, хранилищ, животноводство - от кормовой базы и т.д.
Все это приводило к огромным материальным и денежным потерям, разбалансированности экономики, к росту дефицита одних товаров при перепроизводстве других, к разбалансированности денежной и товарной массы. Таким образом, создавался затратный механизм хозяйствования, усугубляемый системой плановых заданий, которые выполнялись в ряде случаев независимо от значительных затрат.
В стране создавался избыточный платежеспособный спрос как у населения, так и у государственных предприятий. Предприятия, создав за счет прибыли различные фонды экономического стимулирования, не могли зачастую их использовать из-за отсутствия материалов, оборудования, новых технологических линий и т. д.
Неудовлетворенный платежеспособный спрос населения и хозяйственных организаций, с одной стороны, отрицательно влиял на денежный оборот и денежное обращение; с другой - создавал значительные ресурсы для роста кредитных вложений и финансирования государственного бюджета, что, в свою очередь, способствовало расширению масштабов затратного механизма хозяйствования.
Большую роль в развитии инфляции играет расширение масштабов кредитования сверх реальных потребностей экономики, что ведет к росту эмиссии кредитных средств и наращиванию платежеспособного спроса. Его развитие зависит от масштабов участия кредита в покрытии непроизводительных расходов государства, структуры банковских операций, использования кредитов в финансовых операциях хозяйства, когда теряются принципы краткосрочного кредитования и кредит начинает терять свою основу, превращаясь в безвозмездное финансирование. В СССР в 80-е гг. кредит становится основным источником формирования оборотных средств, резко сокращая долю собственных ресурсов. Он перестает регулировать денежный оборот, перенасыщение его денежными и платежными средствами.
Кредит содействовал деформации пропорций между доходами и расходами государства, постепенному наращиванию бюджетного дефицита, который полностью покрывался ресурсами банка (табл. 8.1).
По мере увеличения бюджетного дефицита кредиты Госбанка Министерству финансов все увеличивались и в 1990 и 1991 гг. они превысили кредиты народному хозяйству.
Негативное воздействие на денежный оборот оказало неоправданное развитие сферы платежных кредитов, задачей которого было покрытие разрыва в платежном обороте хозяйств и сокращение неплатежей в народном хозяйстве. Упрощенный порядок предоставления и оформления этого кредита, неограниченность лимитами позволили неоправданно насыщать денежный оборот платежными средствами за счет перекредитования хозяйственных органов (одни и те же ценности кредитовались по два-три раза) и втягивать эти ссуды в покрытие финансовых прорывов.
Таблица 8.1 Кредитные вложения банков на 1 января(млрд. руб.)
|
Показатель |
1986 г. |
1987 г. |
1988 г. |
1989 г. |
1990 г. |
1991 г. |
|
Кредиты народному хозяйству и населению |
521,4 |
452,6 |
430,4 |
404,6 |
391,2 |
364,4 |
|
Кредиты Госбанка Министерству финансов |
106,7 |
125,7 |
180,2 |
267,7 |
350,5 |
511,2 |
|
Задолженность бюджета по возмещению разниц в ценах на сельскохозяйственную и другую продукцию |
11,3 |
14,9 |
20,5 |
30,3 |
39,6 |
61,6 |
В условиях несбалансированного плана и недостатков материально-технического снабжения хозяйственные организации стремились накапливать материальные ценности, не считаясь с имеющимися денежными ресурсами, что усугубляло материально-стоимостные диспропорции, приводящие к обострению товарного дефицита, нарастанию денежных накоплений, не подкрепленных товарными ресурсами. В результате в 1971-1985 гг. не был обеспечен товарами каждый второй рубль, выпущенный в обращение. За 1971-1985 гг. количество наличных денег в обращении возросло в 3,1 раза, вклады в сберкассы - в 5,2 раза, производство товаров народного потребления - только в 2 раза.
Процесс разбалансированности народного хозяйства усугублялся широким вовлечением кредита в покрытие финансовых прорывов на всех уровнях народного хозяйства, что приводило к увеличению денежной массы в обращении.
Важным фактором инфляционных тенденций в стране выступала государственная система ценообразования. Поддержание многих цен на искусственно стабильном, или низком, уровне в отрыве от происходивших изменений в производстве, спросе и предложении приводило к их деформации, неравновесному уровню по соотношению стоимости отдельных товаров и услуг. Кроме того, директивное установление цен не позволяло избыточной денежной массе в активной форме воздействовать на динамику цен. В условиях дефицитности товаров государственное регулирование цен не способствовало устранению структурных диспропорций в производстве, потреблении и еще больше усиливало избыточный платежеспособный спрос.
Инфляционные процессы в 70-80-х гг. набирали силу как в сфере денежного обращения, так и в сфере безналичного платежного оборота. Это проявлялось в стремлении завышать оптовые и розничные цены либо в постепенном исчезновении товаров, цены на которые оставались стабильными. Уже в этот период наблюдаются крупные диспропорции между оптовыми, розничными и закупочными ценами, которые не отражали общественно необходимые затраты труда и качество изделий, их потребительские свойства, не учитывали соотношения спроса и предложения и значительно отличались от мирового уровня.
Регулярно пересматривая оптовые, закупочные цены, государство оставляло неизменными низкие розничные цены. Это требовало широкого использования дотаций государственного бюджета и порождало ситуацию, когда увеличение выпуска сельскохозяйственной продукции, добычи сырьевых ресурсов увеличивало убытки государства. При этом надбавки к закупочным ценам распределялись по отдельным регионам страны не с учетом эффективности производства той или иной сельскохозяйственной продукции, а с учетом затрат. Чем выше себестоимость выпускаемой продукции, тем в большем размере компенсировались затраты государства. Такая практика порождала иждивенческие настроения и незаинтересованность в эффективном хозяйствовании.
Недостаточно обоснованная дифференциация цен способствовала возникновению дефицитности одних товаров и оседанию других в торговле и промышленности. Все это приводило к спекуляции, развитию натурального обмена либо затовариванию. У производителей продукции не было стимулов повышать ее качество, снижать себестоимость. В эти годы осуществлялись огромная ежегодная уценка и списание товаров в торговле (составляющие 1,5-2 млрд. руб.).
Большую роль в разбалансированности хозяйства сыграло проведение либерализации хозяйственных отношений во всех отраслях экономики, включая банковскую и финансовую сферы, внешнеэкономическую деятельность, валютные отношения, без создания надлежащих правовых основ и без учета большой внутренней и внешней задолженности государства.
Расширение самостоятельности предприятий, переход на практику договорных цен и изменение порядка расходования прибыли, которая в значительной своей доле оставалась в распоряжении хозяйств, затем принятие закона о кооперации (которая быстро освоила технику обналичивания безналичных средств) привели к резкому увеличению в 1990 г. налично-денежной массы, значительно превышающей товарное предложение.
В дальнейшем, когда предприятиям была предоставлена свобода в выборе ассортимента выпускаемой продукции, порядка ее сбыта, а позже в выходе на внешний рынок, товарный дефицит стал тотальным.
Особое место в развитии инфляции занимает дефицит государственного бюджета. Радикальная экономическая реформа, начатая в 1985 г., предусматривала ускоренное развитие производства на базе масштабных увеличений капитальных вложений в машиностроение, за счет которого предполагалось обновить основные фонды и повысить эффективность хозяйствования. Для этих целей активно использовался бюджет, дефицит которого из года в год нарастал: с 47,8 млрд руб. в 1986 г. до 150,0 млрд руб. в 1991 г.
Дефицитность экономики в определенной степени балансировалась огромными импортными поставками, которые стали возможны за счет интенсивной добычи и экспорта нефти, резкого увеличения цен на нее на мировом рынке. В то же время отсталая структура экспорта сделала внешнюю торговлю уязвимой для колебаний цен на нефть. Их падение повлекло за собой огромные потери для государственного бюджета.
Сокращение доходов государства было связано не только со снижением поступлений от экспорта энергоносителей, сокращением импорта товаров народного потребления, с проведением антиалкогольной политики. В то же время резко увеличивались непредвиденные расходы по ведению афганской войны, затраты, связанные с ликвидацией последствий аварий в Чернобыле, Спитаке. Одновременно государство расширяло круг социальных льгот, включая повышение заработной платы, максимальных размеров пенсий и т.д.
Нарастание дефицита бюджета требовало применения рестриктивной финансовой политики, которая не была осуществлена. В то же время с 1 января 1991 г. более чем на 50 % повышаются оптовые цены промышленности при сохранении фиксированных розничных цен, что означало увеличение дотации из государственного бюджета, повышение его дефицитности и увеличение денежной массы в обращении.
Повышение в апреле розничных цен в среднем на 55 % снизило на 1/3 "денежный навес".
Отрицательную роль в стабилизационных мероприятиях союзного правительства сыграл ЦБ РФ, проводивший политику денежно-кредитной экспансии, увеличивший почти в 2 раза выдачу наличных денег, бюджетных кредитов российскому правительству. В результате в 2 раза увеличиваются денежная масса и количество наличных денег. С этого момента государство фактически потеряло контроль за денежным оборотом и эмиссией денег.
Сущность, функции и роль банков как элемента банковской системы
16.4.1. Современные представления о сущности банкаВопрос о том, что такое банк, не является таким простым, как это кажется на первый взгляд. В народном обиходе банки - это хранилища денег. Вместе с тем данное или подобное ему житейское толкование банка не только не раскрывает его сути, но и скрывает его подлинное назначение в народном хозяйстве. Еще более запутывает дело терминологическое значение слова банк (от гол. bank - скамья), а также такие современные выражения, как банк данных, банк растений, книжный банк, которые к банку как таковому не имеют никакого отношения. Рядовым читателям трудно разобраться с вопросом о банке с позиции его деятельности.
Деятельность банковских учреждений так многообразна, что разобраться в вопросе об их сущности оказывается действительно сложным занятием. В современном обществе банки выполняют самые разнообразные операции. Они не только организуют денежный оборот и кредитные отношения: через них осуществляются финансирование народного хозяйства, страховые операции, купля-продажа ценных бумаг, а в некоторых случаях посреднические сделки и управление имуществом. Кредитные учреждения выступают в качестве консультантов, участвуют в обсуждении народнохозяйственных программ, ведут статистику, имеют свои подсобные предприятия.
Наиболее массовым представлением о современном банке является его определение как учреждения, как организации. "Банковские учреждения и организации" - широко распространенный термин, его можно встретить как в научной, так и в учебной литературе, банковском законодательстве, банковских документах и печати. Напомним, что слово "организация" отсылает не к сущности явления, а к определенной совокупности людей. Организация (от франц. organisation) - совокупность людей, групп, объединенных для достижения какой-либо цели, решения новой какой-либо задачи, совместно реализующих программу или цель и действующих на основе определенных правил и процедур. Что это за объединение, чем оно занимается в соответствии со своими правилами - все это применительно к банку как учреждению, организации остается скрытым. Более того, банк как организация оказывается близко стоящим к понятиям "благотворительная организация", "общественная организация". Хотя банк и выполняет общественную миссию, он тем не менее имеет слабое отношение к этим понятиям.
Часто банк характеризуется как орган экономического управления. Подобное представление своими корнями опирается на тот период, когда банки из частных, кооперативных стали превращаться в государственный орган, когда существовала монополия государства на банковское дело; банк как бы сросся с государством, стал частью государственного аппарата управления, контроля за деятельностью хозяйства. Функции надзора, задачи сигнализации о допущенных недостатках, бесхозяйственности на предприятиях при этом приобретали оттенок их главного назначения. Отсюда и другое толкование банка как элемента надстройки. Можно отметить, что в период преобладания централизованного управления, сращивания государственного аппарата с банковским аппаратом банк действительно напоминал такую надстройку. Кредитование осуществлялось на базе нормативного, директивного распределения ресурсов сверху, безналичные расчеты между предприятиями носили директивный характер, принцип "один банк для клиента" не давал основы для развития коммерческих отношений в банковской сфере. С переходом к рынку положение банка в экономике существенно видоизменилось и трактовка его сути как аппарата управления (или части государственного аппарата управления) сама собой отпала.
Нередко банк характеризуется как посредническая организация. Основанием для этого служит особый перелив ресурсов, временно оседающих у одних и требующих применения у других. Особенность ситуации при этом состоит в том, что кредитор, имеющий определенную часть ресурсов, желает при соответствующих гарантиях, на конкретный срок, под процент отдать ее другому контрагенту-заемщику. Интересы кредитора должны совпадать с интересами заемщика, который совсем не обязательно может находиться в данном регионе. В современном денежном хозяйстве такое совпадение интересов случайно. Консолидирующим звеном здесь выступает банк-посредник, обеспечивающий возможность осуществления сделки с учетом спроса и предложения. В отличие от индивидуального кредитора ресурсы в "кармане" банка теряют свое первоначальное лицо. Собрав многочисленные средства, банк может удовлетворить потребности самых разнообразных заемщиков, предоставить выбор кредита на любые сроки, обеспечение, ссудный процент. Банк выступает в данном случае в роли удачливой сводницы, устраивающей знакомство двух субъектов - кредитора и заемщика.
В каком же смысле банк. становится посредником? Между кем посредником? Посредниками выступают самые разные организации и лица. Торговля, например, - это также посредник, ибо она находится между потребностями производителей (промышленных и сельскохозяйственных предприятий) и потребителей (населения, других предприятий), желающих приобрести продукт другого производителя. Торговля выступает своеобразным посредником между продавцом и покупателем. Роль посредника в различных сферах человеческой деятельности могут на себя брать самые различные службы (юридические, комиссионные, почтовые и прочие), но от этого они не становятся банками. Банк как посредник имеет другую природу, связанную не с посреднической деятельностью как таковой, а с особым родом его деятельности.
Для анализа важен здесь и другой момент. Если считать, что банк -это посредник между кредитором и заемщиком, то как объяснить, что в своей повседневной деятельности он одновременно и кредитор, и заемщик, ибо ежедневно он и отдает свои ресурсы, и получает чужие. Если следовать логике посреднической интерпретации банка, его можно было бы считать в одном случае кредитором, в другом-заемщиком. Это было бы ближе к истине, ибо здесь полнее обозначалась бы специфика его деятельности в отличие от деятельности других объектов хозяйствования.
Парадокс состоит в том, что банк, выступая как кредитор, как заемщик, как посредник между ними, тем не менее с позиции своей сущности не является ни тем, ни другим, ни третьим. Банк как кредитор, банк как заемщик, банк как посредник - это лишь фрагменты его деятельности и в этом смысле лишь частица его сущности, которая не исчерпывает специфики его положения и деятельности в обществе. Любое предприятие, любое частное лицо может выступать в качестве заимодавца, ссудополучателя, осуществлять посреднические операции в сфере налично-денежных и безналичных платежей, но от этого они не превращаются в банки. Скорее всего банк - это и кредитор, и заемщик, и посредник между ними, и посредник в денежных расчетах; тем не менее и в этих своих качествах он в полной мере не раскрывает свою суть. Банк - это особое явление в хозяйственной жизни.
Деятельность банка в сфере обращения порождало и представление о нем как об агенте биржи еще в 20- е гг. Поводом для этого послужило то, что банки являются непременными участниками биржи. Они могут самостоятельно организовывать биржевые операции, выполнять операции по торговле ценными бумагами. Однако ни исторически, ни логически это не превращает банк в часть биржевой организации. Частные банки (банкирские дома) появились задолго до биржи, до возникновения купли-продажи ценных бумаг. Существенно при этом и то, что торговля ценными бумагами является частью банковских операций, причем далеко не главной. Именно потому, что торговля ценными бумагами довольно специфична и отлична от собственного банковского дела, она позволила бирже выделиться в качестве самостоятельного элемента рынка со специальным аппаратом и задачами.
Постепенно банк, в свою очередь, все более становился кредитным центром, что дало возможность его определять как кредитное предприятие. Однако это не дает основания для смешения банка с кредитом. Банк и кредит - это не парные понятия.
Кредит - это отношение между кредитором и заемщиком по поводу возвратного движения ссуженной стоимости. В кредитных отношениях, следовательно, кто-то из сторон кредитор и кто-то заемщик. В каждой данной кредитной сделке, взятой в отдельности, как бы сфотографированной в определенный момент, всегда две стороны, причем кредит выражает особое специфическое отношение между ними. В отличие от кредита банк - это одна из сторон отношений, которая хотя и может одновременно выступать в качестве кредитора и в качестве заемщика, однако в каждый данный момент в отдельно взятой, опять же сфотографированной сделке выступает то ли в качестве кредитора, то ли в качестве заемщика. Следовательно, банк - это не само отношение, а один из субъектов отношений, принимающий в кредитной сделке одну из противостоящих друг другу сторон. Далее, отличие между банком и кредитом состоит и в том, что кредит - это отношение как в денежной, так и в товарной форме. В банке сконцентрированы и проходят потоки только в денежной форме. При сопоставлении банка и кредита важно видеть и их исторические корни. Банк возник только тогда, когда возникли деньги, в то время как кредит функционировал и до появления денег во всех их функциях. Банк - следствие развития кредита, являющегося, в свою очередь, по отношению к банку его фундаментом.
Эти и другие определения банка, бытующие в экономической литературе и обиходе, имеют один общий недостаток: они направлены не на вскрытие его сути, а на показ того, чем занимаются банки, или чем они могут заниматься. Между тем ответ на вопрос о том, что такое сущность банка, требует более строгого анализа.
16.4.2. Методологические основы анализа сущности банка
Для ответа на вопрос о сущности банка необходимо придерживаться вполне определенных методологических основ. Их несколько:
• анализ сущности банка следует связывать с его деятельностью на макроуровне;
• его сущность необходимо соотносить к банку как единому целому, вне зависимости от многообразных типов банков;
• сущность банка предполагает вскрытие его специфики;
• неотъемлемым элементом характеристики сути банка является определение его основы;
• сущность банка - это показ его структуры как специфического объекта;
• определений сущности банка может быть несколько, все зависит от того, какая сторона его сущности является в данный момент предметом рассмотрения.
Как уже отмечалось, банк занимается самыми разнообразными операциями. Его поэтому зачастую называют и посредником, и агентом биржи, и торговым предприятием, и кредитным учреждением. Банки принимают вклады, осуществляют расчеты, выдают кредиты, выполняют сотни разнообразных услуг. Ряд операций, которые получили название банковских, при этом выполняют и другие организации. Кредиты предоставляют крупные промышленные и торговые фирмы, прием вкладов осуществляют различные инвестиционные компании, расчеты могут совершать специальные подразделения крупных хозяйственных организаций. С позиции вскрытия сущности банка положение усугубляется тем, что некоторые банки не совершают всего комплекса операций, а, специализируясь, выполняют некоторые из них. Каждый банк индивидуален по отношению к его клиентам, которые могут пользоваться не всеми, а определенной совокупностью банковских услуг. В этих условиях выразить суть банков исходя из того, что они делают на микроуровне (уровне взаимоотношений с клиентами), представляется довольно сложным делом.
Нельзя утверждать, что это невозможно. Можно, например, в множестве операций, которые выполняет банк, выбрать определенное ядро, минимум операций, без которых банк как таковой немыслим. Именно по этому пути идет банковское законодательство, которое определяет юридический статус банка. В соответствии с банковским законодательством банк - это такая кредитная организация, которая выполняет депозитные, расчетные и кредитные операции. Важнейшим требованием здесь выступает не только то, что они осуществляют данные операции, но и то, что банки выполняют их одновременно (в отличие, например, от учреждений, организаций, фирм, которые могут выполнять одну из них). Важное дополнение содержится в немецком банковском законодательстве, оно сводится к тому, что занятие банковскими операциями является не побочным, а основным в деятельности субъекта.
Правовое толкование сущности банка, основанное на выделении отдельных операций как вида деятельности, конституирующего его суть, имеет огромное значение, ибо позволяет отделить банк от других субъектов хозяйствования.
Вместе с тем юридическое толкование сущности банка производно, оно должно опираться на экономическую сторону вопроса. Экономическая сторона этого вопроса состоит в том, что по отношению к отдельно взятому клиенту сущность банка как бы завуалирована, она не просматривается каждый раз во всем объеме.
Банк поэтому можно понять по его отношению не к отдельно взятому субъекту воспроизводства, а по отношению к экономике в целом - на макроуровне. В этом случае банк представляет собой не учреждение с определенным набором услуг, а институт, за которым закрепились определенные функции. Из истории развития банков известно, что банкирские дома выполняли сохранную операцию (прообраз вклада), обслуживали расчеты торгового люда, предоставляли денежные ссуды. Именно эти древнейшие операции, которые были как бы классическими для банка, и закреплялись за банком как юридическим и экономическим институтом.
Анализируя экономическую суть банка, важно абстрагироваться от того, выполняет ли тот или иной банк ту или иную операцию в том или ином объеме. Банк, например, может временно не принимать вклады от населения (теоретически можно предположить, что у него и так достаточно своих ресурсов, что у него нет возможности выгодно разместить депозиты, наконец, он просто специализируется на других операциях и у него нет экономической заинтересованности в полной мере заняться приемом вкладов). От этого, однако, данный банк не перестает быть банком.
Методология анализа сущности банка требует такого подхода, который абстрагируется от отдельно взятой частной сделки и операции. Определение банка, его экономической сущности возможно лишь на базе обобщения единичного и специфического, на базе вскрытия совокупной характеристики его реальной деятельности.
На макроэкономическом уровне каждая из выполняемых банком операций приобретает значение не своей штучностью, а всеобщностью, вне зависимости от того, выполняет ее тот или иной конкретный банк или нет. Именно потому банку и поручают статус банка, что, обладая качествами банка, он должен предоставлять хозяйству определенный обязательный перечень услуг.
Кроме того, методологическое требование к банку состоит в том, что, несмотря на наличие многих типов банка, его сущность можно соотносить только к банку как единому целому. Хотя банки и выполняют самые различные операции, но от этого они не перестают быть банками. Напротив, они ими остаются и осуществляют операции, которые своими родовыми корнями опираются на сущность банка как такового.
Исходя из данной методологической посылки, следует, что вряд ли имеет смысл при определении сущности банка формулировать ее отдельно для центрального и коммерческого банков. У банка не может быть две сущности, хотя для всех очевидно, что один из них, являясь эмиссионным центром, банком банков, работает на макроуровне, в то время как коммерческий банк взаимодействует с конкретными субъектами воспроизводства (предприятиями и организациями различных отраслей народного хозяйства) и населением. У каждого из этих банков различные задачи, каждый из них не похож на другой по своему организационному построению, взаимодействию с исполнительной и законодательной властью. И все же при всех различиях эти институты остаются банками. Уровень теоретического исследования сущности должен быть таков, что ее выражение возможно только при обращении к банку как единому целому.
В соответствии с данными методологическими предпосылками не следует выделять сущность международных, национальных, региональных или межрегиональных банков. Банки представляют собой планетарное явление; национальная принадлежность, привязанность к какому-либо региону не меняют их сущностную характеристику, отражаются лишь на национальном, местном или интернациональном колорите их деятельности.
Это относится и к типу собственности, которая при всей ее важности отражается на мотивах и некоторых особенностях деятельности, но никоим образом не на сущности банка как единого целого. Нецелесообразно, на наш взгляд, стремление обособить сущность различных типов банков (ипотечных, сберегательных, муниципальных, инвестиционных и пр.). Можно давать им конкретное определение, поскольку они зачастую отличаются как по направлениям своей деятельности, так и структурному построению внутренних подразделений. Однако эти определения могут претендовать на обозначение различий изнутри, в рамках единой сущности банка.
С методологической точки зрения вопрос о сущности банка требует вскрытия, его специфики. Анализ сущности обусловливает необходимость выделения из множества черт, присущих тому или иному явлению, тех из них, которые отличают его от других явлений. Сущность банка - это прежде всего его специфика. При всей внутренней определенности банка вскрыть его специфические особенности представляется непростым занятием. Банков много, их деятельность связана с обслуживанием разнообразных потребностей различных субъектов -юридических и физических лиц. Банки имеют свои средства коммуникации, фабрики по изготовлению денег, типовых платежных средств, выступают консультантами, посредниками в переговорах. Банки выполняют несколько сот услуг, количество и многообразие которых в современном хозяйстве продолжают увеличиваться.
Трудность раскрытия сущности банка, его специфики и в том, что много из того, что делает банк, делают и другие субъекты. В каталоге его услуг зачастую больше того, что могут и делают другие, скорее свойственно другим, нежели банку.
Традиционным выходом из данной ситуации является попытка выделить из числа выполняемых операций и предоставляемых услуг тех из них, которые представляют собой сугубо банковские операции и услуги. Такой подход дает возможность в правовом отношении определить то, чем может и чем не должен заниматься банк.
Юридические аспекты в раскрытии сущности банка имеют под собой лишь частичное основание, они лишь приближают к раскрытию его сути. Как отмечалось ранее, банковские операции в силу своей конкретной формы и содержания не могут быть взяты за основу характеристики сущности банка как единого целого. Для этого следует обращаться не к операциям как таковым, раскрывающим деятельность отдельного банка, а к макроуровню отношений банка с хозяйством, не к описанию его деятельности посредством перечисления выполняемых операций, а к качественной стороне, проявляющейся на макроуровне, синтезирующей деятельность банков в их совокупности и в многообразии выполняемых операций. Операции как деятельность являются проявлением сути, а не самой сутью.
При раскрытии сути банка важна его характеристика как экономического института. Это означает, что банк имеет не только свой самостоятельный юридический статус, но и то, что:
• банк как самостоятельный хозяйствующий субъект обладает материальной дееспособностью;
• дееспособность банка подчинена общим и специфическим экономическим законам, игнорирование которых им самим и с внешней стороны чревато крупными потерями и убытками;
• в силу того, что банки работают не только на своих, но и чужих деньгах, последствия нарушений в денежной сфере оказываются неизбежными и для его клиентов;
• политическая сторона деятельности банка (на макро- и микроуровнях) обусловлена экономическими условиями; его влияние на экономику огромно и позитивно только в том случае, когда денежный аспект его деятельности определяется интересами стабилизации производства и валюты.
Эти и другие черты банка как экономического института раскрывают его общеэкономическую характеристику. Не будем забывать, что согласно методологическим требованиям при раскрытии сущности банка следует придерживаться идеи раскрытия его специфических сторон.
При раскрытии этих сторон существовало несколько подходов. Так, известна позиция, когда банки относились к разряду учреждений, организаций, части аппарата управления, государственных или частных предприятий, акционерных обществ и др. Какой исходный термин употребить, имеет не формальный характер для науки и практики, он имеет важное значение, ибо может апеллировать и самыми разнообразными сторонами деятельности банка. К примеру, банк как организация апеллирует к его организационной стороне, его элементам (люди, предметы труда и т. д.); банк как аппарат управления причисляет его к разряду надстроечных элементов общества; банк как государственное или частное предприятие, акционерное общество характеризует его с позиции собственности. Наверняка есть и другие подходы, и каждый из них, безусловно, имеет свое значение, ибо с разных сторон характеризует исходное в деятельности банка.
Более плодотворной является исходная посылка о том, что банк является предприятием. В чем здесь особый смысл? Смысл, видимо, не в самом слове. Как отмечают специалисты, во французском языке нет устоявшегося термина "предприятие", употребляемого по отношению к банку в его современном значении, например, так, как в русском или немецком языках. Во французском языке употребляется другое слово -общество, комиссия. Эти же слова употребляются и у нас, но среди них предпочтение отдается "организации, учреждению", а не банку как акционерному обществу (исходное понятие при характеристике банка во французском законодательстве).
Предприятие (по "Толковому словарю великорусского языка" В. Даля) - это то, что предпринимается, это само дело. Банк как предприятие - особая специфическая деятельность, имеющая не абстрактный, а производительный характер. Производительный характер банка виден прежде всего в том, что он создает свой собственный специфический продукт. Им являются:
• платежные средства, эмитируемые на макро- и микроуровне. Без денег не может быть совершен обмен продуктами труда, не может быть продолжен воспроизводственный процесс. Выпуск наличных денег - это монополия банка, его производит только банк, делая специфическим продуктом банковской системы;
• аккумулируемые свободные, временно не используемые ресурсы. Превращая "неработающие" денежные средства в работающие, банки питают тем самым хозяйство дополнительными "энергетическими" ресурсами;
• кредиты, предоставляемые его клиентам как капитал, как средства, возвращаемые к своей исходной точке с приращением в виде вновь созданной стоимости;
• разнообразные услуги, производительный характер которых подтверждается органическим включением прибыли в общий размер совокупного общественного продукта, создаваемого в соответствующий период времени.
При апелляции к банку как к предприятию не имеется в виду его отождествление с предприятием, производящим станки, механизмы, товары потребления и пр. Именно это зачастую шокирует российских законодателей, видящих в данном подходе опасность включения банков в сферу материального производства. За последние десятилетия банк в России больше ассоциировался с конторой, посредником в платежах, не производящим никакого продукта, государственной службой, осуществляющей контроль за работой клиентов.
Между тем в условиях рынка это совсем не так, банк приобретает совершенно иные черты в России.
Дело, следовательно, не в том, что по привычке закреплено в сознании за тем или иным словом, а в том, что это слово действительно означает. В России, к примеру, широко распространен термин "предприятие сферы обслуживания", и это не мешает им в их деятельности и деятельности других субъектов, хотя они зачастую не производят нового материального продукта, а предоставляют услуги. Строительная организация также не имеет титула "предприятие", но производит материальные ценности. Конечно, банк как предприятие - это не завод, не фабрика, не строительная организация, это специфическое предприятие, ибо всякая банковская деятельность по своей природе есть банковское дело, есть предприятие, производящее свой собственный продукт, отличающий его от других предприятий, это деятельность не надстройки, а элемента базиса общества.
Банк как предприятие является производительным институтом, деятельность которого направлена на удовлетворение потребностей участников рынка. "Организация", "учреждение" имеют меньше шансов на выражение производительного начала в банковской деятельности, ибо апеллируют к организации процесса, что, так же как подход с позиции собственности (банк как акционерное общество), имеет право на существование, ибо характеризует банк с других важных сторон. Тем не менее понятие "банк как предприятие", на наш взгляд, более приближает к раскрытию его сути.
Как уже отмечалось, анализ сущности любого явления или процесса требует раскрытия его главного качества. На макроуровне таким основополагающим качеством является кредитное дело. Преобразование отдельно взятого кредитора в банк исторически произошло на той стадии развития общества, когда обмен перестал быть случайным, когда масштабы кредитной деятельности потребовали его обособления. Так происходит и в современном мире. Стоит только владельцам капитала вложить свои ресурсы в большей части в кредитную деятельность, переключить свою деятельность на кредитное предпринимательство, как это требует особой реорганизации, создания структуры в виде банка.
Кредитное дело - основа банка, это то, что стало основополагающим занятием субъекта в масштабах, требующих особой организации. Кредитное дело, будучи субстанциональной основой банка, не может существовать само по себе, изолированно от деятельности по организации расчетов.
Банк, в отличие от ломбарда, касс взаимопомощи, кредитной кооперации и прочих учреждений мелкого кредита, - крупный кредитный институт, регулирующий платежный оборот хозяйствующих субъектов в наличной и безналичной формах.
Сущность банка тесно соприкасается с его структурой. Согласно общеметодологическим требованиям раскрытие его сущности также требует ответа на вопрос о том, что является его структурой. Так сложилось, что под структурой банка часто понимается аппарат его управления. В этом случае все сводится к описанию тех функциональных подразделений, которые составляют аппарат управления банком, начиная от его Совета, директората вплоть до управлений, отделов и секторов. Такого рода "структура" характеризует банк, однако она оказывается привязанной к его размеру, уровню специализации или универсализации, направлениям деятельности, имеющемуся аппарату управления, зачастую просто к субъективным факторам.
Есть и другие попытки определить структуру банка. Под ней можно понимать устройство банка, состав его элементов, находящихся в тесном взаимодействии между собой, такое построение банка, которое дает ему возможность функционировать как денежному институту. В этом случае банк можно условно разделить на четыре блока.
Первый блок - банковский капитал как обособившаяся часть промышленного и торгового капитала, как собственный и преимущественно заемный капитал, как капитал, используемый не для себя, а занимаемый для других. Банковский капитал существует только в движении, между его частями складывается определенная пропорциональность, образуются определенные издержки. Непрерывность движения банковского капитала повышает его доходность, конкурентоспособность и рыночную стоимость. От состояния капитала зависит финансовая устойчивость банка, его платежеспособность. На эффективности его движения сказываются такие факторы, как фаза экономического цикла (кризис, депрессия, подъем), степень конкурентной борьбы, банковская и налоговая политика, инфляция и др.
Второй блок банковской структуры, так же как и первый, имеет свои особенности и охватывает саму деятельность банка. Он функционирует главным образом в сфере обмена. Продуктом деятельности банка выступают эмитирование платежных средств, выпуск наличных денег в обращение, различного рода операции и услуги. Выпуск денег на макро- и микроуровне становится только монополией банка, его производит только банк.
Существенный продукт банка представляют собой также аккумулируемые свободные временно неиспользуемые ресурсы. Превращая "неработающие" денежные средства в работающие, банк питает тем самым хозяйство дополнительными ресурсами.
Продуктом банка, как уже отмечалось, служат также кредиты, предоставляемые клиентам как средства, возвращаемые к своей исходной точке с приращением в виде вновь созданной стоимости. Деятельность банка как кредитного института является его основой, главным свойством в характеристике его сущности. По своей сущности банк выступает как крупное кредитное учреждение, обязательным занятием которого стало предоставление денежных средств на началах возвратности. Кредитное дело становится основополагающим занятием в масштабах, требующих особой организации.
В отличие от услуг операции осуществляются в денежной форме, отражают денежные потоки в различных фазах воспроизводства, совершаются непосредственно через банки, затрагивают взаимоотношения банка с различными (отдельными) субъектами воспроизводства.
Третий блок включает группу людей, отдельные личности, обладающие знаниями в области банковского хозяйства, управления им, специализирующиеся на обособившемся виде деятельности.
Банкир - древняя профессия. Банки возникли из потребностей хозяйства, существовали задолго до новой эры, первые банковские дома имелись в Древнем Вавилоне, Египте, Риме. Наряду с обменом денег в них осуществлялись кредитование и расчеты. В Вавилоне и Греции банковские операции выполнялись в храмах, которые были надежным местом хранения денежных средств. Зарождение банка как института, обособившегося от других субъектов, следует отнести к периоду, когда масштабность выполняемых кредитором операций потребовала созданий специального учреждения, при котором занятие банковским делом (торговля деньгами) стало основным видом его деятельности. В отличие от ростовщика и кредитора банк не только кредитор, но и заемщик, работает не только на своих, но и чужих деньгах.
Четвертый блок - производственный, охватывающий банковскую технику, здания, сооружения, средства связи и коммуникации, внутреннюю и внешнюю информацию, определенные виды производственных материалов.
На базе проведенного анализа банк можно определить как денежно-кредитный институт, регулирующий платежный оборот в наличной и безналичной формах.
Данное определение сущности банка не исключает другие его определения. Сущность является достаточно богатой категорией; в одно определение зачастую невозможно вместить все ее глубинные стороны.
Не исключено поэтому, что банку можно давать и другие определения, соответствующие характеристике его отдельных сторон. Банк можно определить и как денежный, и как кредитный институт, и как специфическое предприятие, и как особое акционерное общество, имеющее специфические задачи и назначение и др. Все эти определения, обращенные к той или иной стороне сущности банка, имеют право на самостоятельное существование, расширяют представление о банке как специфическом денежно-кредитном институте.
16.4.3. Функции и роль банка
К важным вопросам теории банка относится и вопрос о его функциях. Как и в вопросе о сущности, здесь немало заблуждений, спорного и неясного. Функции и операции банка практически отождествляются, так как функция как понятие употребляется в смысле характеристики определенных видов деятельности банка. Поскольку под деятельностью подразумеваются выполняемые операции, такое смешение становится понятным. В связи с этим в перечне функций можно встретить такие, как осуществление платежного оборота, держание кассы, выдача кредита, управление и хранение ценных бумаг, покупка и продажа наличной и безналичной валюты, выдача гарантийных обязательств и др. - практически все операции, получившие статус обязательных для банка.
Функция как вид деятельности в некоторых случаях рассматривается не только с позиции отдельного банка (какие операции он выполняет), но и с позиции клиента банка. В экономической литературе можно встретить упоминание о таких функциях, как предложение и открытие финансирования; предложение и открытие помощи по вложению денег и капитала; предложение и разработка возможностей по денежным вкладам как необходимая предпосылка для обеспечения экономии платежных средств; предложения и осуществление платежного оборота; предложение прочих услуг.
Как и в вопросе о сущности, функция во всех этих случаях выводится из уровня микроотношений банк - клиент с нарушением тех методологических требований, которые рассматривались в предшествующем параграфе. Если нужно выявить функцию банка, следует ее анализировать:
• на макроэкономическом уровне отношений между банком как таковым и народным хозяйством;
• по отношению к банку как единому целому;
• с учетом специфики банка как денежно-кредитного института;
• в целом с несколько других позиций, нежели те, которые приняты в современной теории.
Это означает, что во множестве операций, которые выполняет отдельный банк, надо выявить некоторый стержень, где они приобретают не индивидуальную, а общеэкономическую окраску, где тип банка, его специализация или универсализация, регион функционирования не имеют значения. Важным с позиции методологии является то, чтобы функция при этом выражала не проявление сути банка, а саму суть. Функция в этой связи всегда специфична, она обращена не вообще к экономическим институтам, а именно к банку, обладающему спецификой, не только к банку, но и к его взаимодействию с другими субъектами воспроизводства. Функция - специфическое взаимодействие банка (в целом и его отдельных заемщиков) с внешней средой, направленное на сохранение банка как целостного образования.
Попытка исследовать функцию на народнохозяйственном уровне с учетом методологических требований дает возможность сформулировать несколько иные функции банка. В экономической литературе можно встретить упоминание о. таких процессах, которые относят к функциям банка, например, предоставление возможностей помещения денег, участие в других предприятиях, собирание денег для последующего кредитования, ведение платежного оборота для клиентуры.
Эти и другие функции банка, встречающиеся в отечественной и зарубежной экономической литературе, расширяют горизонты в понимании банка, дают важную характеристику банка как денежно-кредитного института. Вместе с тем по каждой из них возникают вопросы, требующие уточнения, возникают сомнения в их подлинности.
Нельзя забывать важнейшее методологическое положение о том, что рассмотрение функций есть продолжение анализа сущности. Следовательно, тот или иной процесс, который обозначается как функция, должен быть свойственен не всей совокупности экономических институтов, а именно банку. Функция банка - это то, что характерно именно для банка в отличие от других экономических субъектов. Отсюда процессы помещения денег, участие в других предприятиях не выражают специфики банка, поэтому не могут трактоваться как его функции.
В равной мере это относится и к доверительной функции банка. Доверие, как известно, имеет место во всякой экономической сделке независимо от того, совершается ли она через банк или минуя его. Доверие свойственно банку, но это не означает, что оно составляет функцию исключительно данного экономического института. Клиенты банка (юридические и физические лица) не в меньшей степени доверяют банку, ищут тот банк, который в большей степени отвечает их потребности в платежах, хранении и сохранности стоимости их ресурсов. Во всякой схеме купля-продажа, не совершаемой через банк, доверие между продавцом и покупателем является необходимым атрибутом. Поскольку в доверии не выражен аспект специфики взаимодействия банка с окружающей средой, оно не может претендовать на его квалификацию как функции.
Сложнее с вопросом об аккумуляции временно свободных денежных средств (собирании денег для последующего использования, в том числе кредитования). Является ли этот процесс функцией банка? То, что банк собирает временно свободные ресурсы, ни у кого не вызывает сомнений. В эмиссионном банке сосредоточиваются деньги коммерческих банков, у коммерческих банков - деньги их клиентов. Сохранная операция, принятие ценностей для временного хранения представляет собой одну из древних банковских операций. Вопрос состоит в том, что процесс собирания денег для их последующего использования свойственен не только банку. Напротив, он больше характерен для других, нежели только для банка. Каждый субъект прежде чем профинансировать те или иные затраты, должен накопить, собрать определенную сумму средств. Дело, следовательно, состоит не только в самом акте собирания ресурсов, не и в его особых чертах. При всей схожести процесса аккумуляции средств, свойственного ряду субъектов воспроизводства, их аккумуляция банком имеет ряд особенностей. Они состоят в том, что:
• банк собирает не столько свои, сколько чужие временно свободные средства;
• аккумулируемые денежные ресурсы используются не на свои, а чужие потребности (в порядке перераспределения средств);
• собственность на аккумулируемые и перераспределяемые источники остается у первоначального кредитора (клиентов банка);
• аккумуляция средств становится одним из основных видов деятельности банка, на ее проведение в современных условиях требуется специальное разрешение (лицензия).
С учетом этих и других оговорок можно предположить, что функция аккумуляции средств является первой функцией банка. Здесь не следует забывать о том, что, например, различные инвестиционные фонды, финансово-промышленные компании также собирают денежные ресурсы для инвестиций. В отличие от аналогичной функции банка данные субъекты собирают денежные средства для своих собственных целей, поэтому можно отметить, что данная функция в современном хозяйстве как бы лишь частично уступается другим субъектам хозяйства, не являющимся банками.
Вторая функция банка - функция регулирования денежного оборота. Банки выступают центрами, через которые проходит платежный оборот различных хозяйственных субъектов. Благодаря системе расчетов банки создают для своих клиентов возможность совершения обмена, оборота денежных средств и капитала. Регулирование денежного оборота достигается также посредством эмитирования платежных средств, кредитования потребностей различных субъектов производства и обращения, массового обслуживания хозяйства и населения. Поэтому можно сделать вывод, что данная функция реализуется посредством комплекса операций, признанных банковскими и закрепленных за банком как денежно-кредитным институтом.
Третья функция банка - посредническая функция. Под ней зачастую понимается деятельность банка как посредника в платежах. Через банки проходят платежи предприятий, организаций, населения, и в этом смысле банки, находясь между клиентами, совершая платежи по их поручению, как бы наделены посреднической миссией. Однако понимание посреднической функции несколько глубже, чем посредничество в платежах, оно обращено не к одной операции, а к их совокупности, к банку как единому целому.
Как отмечалось ранее, через банки проходит денежный оборот как отдельно взятого субъекта, так и экономики страны в целом. Через банки осуществляется перелив денежных средств и капиталов от одного субъекта к другому, от одной отрасли народного хозяйства к другой. Посредством совершения операций по счетам банки совершают движение капиталов, аккумулируя их в одном секторе экономики, перераспределяют ресурсы и капиталы в другие отрасли и регионы. Перераспределяемые банками ресурсы не совпадают ни по размеру, ни по сроку, ни по сфере функционирования. Высвободившиеся ресурсы у одного субъекта и аккумулируемые банком не совпадают с потребностями другого. Банк, находясь в центре экономической жизни, получает возможность трансформировать (изменять) размер, сроки и направления капиталов в соответствии с потребностями хозяйства. Таким образом, посредническая функция банка - это функция трансформации ресурсов, обеспечивающая более широкие отношения субъектов воспроизводства и сокращение риска.
Сущность и функции банка определяют его роль в экономике. Под ролью банка следует понимать его назначение, то, ради чего он возникает, существует и развивается. Так же как и функция, роль банка специфична, она адресует к экономике в целом, к банку независимо от того, к какому типу он принадлежит (эмиссионному или коммерческому, сберегательному или инвестиционному и т.п.).
Учитывая то, что банк функционирует в сфере обмена, его назначение и влияние на экономику необходимо прежде всего рассматривать через данную сферу. Назначение банка состоит в том, что он обеспечивает:
• концентрацию свободных капиталов и ресурсов, необходимых для поддержания непрерывности и ускорения производства;
• упорядочение и рационализацию денежного оборота.
Как это следует из функции аккумуляции временно свободных ресурсов, банки являются собирателями временно свободных денежных ресурсов для их последующего направления тем хозяйствующим субъектам, которые нуждаются в дополнительных ассигнованиях. Собранные по крупицам временно свободные денежные средства как мелкие денежные потоки превращаются банками в огромные потоки денежных ресурсов. Их концентрация, направление на удовлетворение потребностей производства и обращения сверх имеющихся в их распоряжении источников составляют важнейший атрибут их соприкосновения и взаимодействия с экономической средой. Аккумулируемые банками денежные средства, их последующее перераспределение дают возможность не только поддержать непрерывность производства и обращения продукта, но и ускорить воспроизводственный процесс в целом.
Банки, возникшие на базе развития капитала, товарного и денежного обращения, как никто другой, обладают свойством упорядочения и рационализации денежного оборота. Уже на ранних стадиях банковского дела банкиры обеспечивали хранение денежных средств, их перевод в соответствии с торговыми операциями как внутри страны, так и во внешнеэкономическом обороте, выступали в роли менял денежных знаков одной страны на валюту других стран. С тех пор технология и масштабы банковского дела существенно видоизменились.
Переход от примитивных форм расчетов, используемых древними банкирскими домами, к организации расчетов на базе современных электронных сетей дает возможность хозяйству ускорить время обращения, расширить хозяйственные связи между товаропроизводителями. Банки стали неотъемлемыми атрибутами современной экономической жизни. Без их содействия невозможно представить деятельность предприятий, их объединений, отдельных юридических лиц и граждан.
Упорядочение и рационализация денежного оборота достигаются не только вследствие расчетов, организуемых банком, внедрения наиболее совершенных и экономичных форм платежей, но и посредством более рационального использования ресурсов предприятия. По денежным средствам, помещенным в банк, предприятия и граждане могут получать определенный процент по вкладам, бесплатные другие услуги. В целом банки могут выполнять по поручению клиента работу по управлению денежными и материальными средствами. Деньги, находящиеся в банке, не просто хранятся на счетах, они совершают кругообращение, позволяющее получить дополнительную прибыль как их владельцам, так и кредитному учреждению.
Роль банка условно можно рассматривать с количественной и качественной точек зрения. Количественная сторона определяется объемом и разнообразием банковского продукта, предоставляемого и реализуемого на рынке. Практически роль банков с количественной стороны определяется объемом их активных операций. Банковская статистика в этой связи показывает объем предоставляемых народному хозяйству кредитов в разрезе отдельных секторов экономики, в том числе краткосрочные, долгосрочные и среднесрочные кредиты, отдельно предприятиям и населению. Статистика отдельных стран позволяет увидеть кредиты, предоставляемые отдельными группами банков, на специальные цели (на сезонные потребности, на жилищное строительство, под векселя, межбанковские кредиты, по контокорренту и пр.).
В статистических сборниках содержится особая информация о работе банков с позиции размера привлекаемых средств, объема депозитов, форм расчетов, размера операций с ценными бумагами, валютных операций и т.д. Эти и другие данные позволяют оценить масштабы и направления банковской деятельности, определить их развитие в динамике, сделать сравнение работы банков по их группам, в сопоставлении с другими странами и др.
Важно рассматривать банковскую деятельность не только саму по себе, но и в увязке с общеэкономическими показателями. Банк, работая в сфере обмена, не отгорожен "китайской стеной" от народного хозяйства, воспроизводственного процесса в целом. Его роль поэтому невозможно представить изолированно от влияния на экономику в целом, от того, как банки, предоставляя свой продукт, помогают хозяйству в его развитии. Было бы, например, проблематичным рассматривать роль банка с позиции только массы платежных средств, предоставляемых на макро- и микроуровнях. Размер выпущенных в обращение денег свидетельствует лишь о выполняемой банком операции, без которой не состоялся бы обмен, замедлился ход производства и обращения продукта. Выпуск платежных средств - важная характеристика банковской деятельности. Однако с позиции оценки роли банка здесь вряд ли можно ставить точку. Эмитирование платежных средств имеет по крайней мере две стороны: их масса оказывает огромное влияние на стабильность денежной единицы и на эффективность производства и обращения продукта.
Эти две стороны зачастую представляются на практике как антиподы, в то время как они составляют суть единого назначения банка. Выпуская деньги в обращение, банк не может не видеть то, как это повлияет на производство и обращение в целом. Банк не может не видеть того, что, к примеру, излишний выпуск платежных средств дестабилизирует денежную массу, вызывает инфляцию, обесценивает капиталы и накопления, отрицательно влияет как на денежный оборот, так и на кругооборот средств.
Банки не могут не видеть и того, что искусственное сдерживание потока денежных средств, необходимых для обмена, может вызвать затруднения в платежах. Так, в России в начале 90-х гг. печатание денег, их выпуск в обращение отставали от потребностей налично-денежного оборота, вызывая задержку выплаты заработной платы работникам, получения пенсий и пособий. Одной из причин неплатежей между предприятиями в условиях сильной инфляции и обесценения их капиталов выступало (наряду с другими причинами) отставание эмиссии от потребностей денежного оборота, на практике приводило к приостановке производства, свертыванию производства определенных промышленных продуктов.
Стабильность денежной единицы, соответствие ее массы потребностям народного хозяйства является важнейшим показателем сбалансированной денежной политики банков, важнейшим компонентом того, насколько деятельность банков отвечает их назначению в экономике. Банки, хотя и работают, как отмечалось ранее, в сфере обмена, но не ради его как такового, последний неотделим от производства, распределения и потребления общественного продукта. Роль банка, воспроизводимая на макроэкономическом уровне, не может быть поэтому раскрыта в полной мере без учета его воздействия на экономику в целом. Банк, будучи институтом обмена, работает не только на него, но и на конечные цели потребителей банковских услуг.
Поэтому, характеризуя роль банка в экономике, не следует ограничиваться показателями только денежной массы, важно наряду с ней рассматривать объемы банковской деятельности во взаимосвязи с достигнутыми показателями роста и обращения общественного продукта.
Влияние роли банка на общеэкономические показатели можно проследить на примере его деятельности в области кредитования хозяйства. Объем этой деятельности не дает полной картины назначения банков. Так, в период экономических кризисов потребность в кредитах значительно возрастает. Предприятия чаще испытывают острые финансовые затруднения, взаимные неплатежи по самым различным причинам (трудности сбыта, невыполнение правительством обязательств по оплате заказов, несостоятельность должников и др.) достигают колоссальных размеров, вызывают резкое увеличение потребности в кредите как платежном средстве. В этих условиях полное удовлетворение банками потребности предприятий в дополнительных платежных средствах было бы ошибочным. Опыт показывает, что в период экономических кризисов резко возрастают кредитные риски. Рост кредитов не только не сопровождается их адекватным возвратом, но, напротив, вызывает значительный рост просроченных платежей по ссудам, приводит к росту убытков от кредитных операций. Именно в этой связи в период кризиса банки, несмотря на значительный рост спроса на кредит, сокращают объемы своих кредитных операций. Снижение объемов производства неизбежно сопровождается и сокращением объема кредитных вложений.
Назначение банков как кредитных институтов от этого не уменьшается. Банки не могут, не имеют права безоговорочно увеличивать кредитную помощь всякому клиенту, который в ней нуждается, ибо они сами работают преимущественно на чужих деньгах. Повышенный риск невозврата кредита обязывает банк проводить сдержанную кредитную политику. Это не означает, что банк полностью прекращает свою кредитную деятельность. Банк всегда останется прежде всего кредитным институтом, перераспределение им временно свободных денежных средств продолжается; сокращаются лишь объемы кредитных вложений как в силу общих макроэкономических показателей состояния производства, так и в силу существенного сокращения тех ресурсов, которые могут аккумулировать банки на нужды кредитования.
Деятельность банка по кредитованию народного хозяйства вопреки тенденциям производства и рынка его продуктов неизбежно может подорвать как само производство, так и кредитную основу, базирующуюся на возвратном движении средств. Поэтому разрабатываются модели оптимального соотношения между ростом производства и ростом кредитных вложений, активов банка и доли кредитов в его активах, устанавливаются нормативы ликвидности, пропорции между кредитами и депозитами и т.д. Их цель состоит в сдерживании неоправданной кредитной экспансии, снижении рисков в банковской деятельности. Качественная сторона роли банка достигается здесь посредством проведения сбалансированной политики, направленной как на эффективность производства, так и на эффективность банковской деятельности. Исходя из того, как банку удается на практике проводить такую политику, в конечном счете и определяется результат - выполнял ли он свое назначение в экономике, была ли роль банка положительной или негативной.
При оценке роли банка важно видеть и его общественное назначение. Банк с позиции собственности представляет собой неоднородный институт. Центральный банк чаще всего является собственностью государства. Осуществляя свою деятельность на макроуровне, он выступает как общенациональный институт, проводящий политику не в интересах того или иного региона, той или иной группы отраслей народного хозяйства или предприятий, а в интересах государства, нации в целом. Выступая при этом как экономический институт, центральный банк не ставит своей задачей получение прибыли.
На прибыль работает другой уровень банковской системы - коммерческие банки, чаще всего выступающие как акционерные, паевые, кооперативные и частные банки. Общественное назначение данного типа банков проявляется в том смысле, что они работают не ради своей собственной прибыли, а прежде всего ради прибыли их клиентов. Не надо забывать, что банки возникли вследствие определенного общественного интереса - заинтересованности хозяйства в функционировании особого института, удовлетворяющего потребности в платежах и ресурсах, сохранности капиталов. Рожденные интересами народного хозяйства, банки изначально обязаны осуществлять деятельность в соответствии с общественными интересами. Попытка проводить политику, не отвечающую общественным потребностям и интересам, всегда приводила к падению банков, их уходу с экономической арены. В распоряжении государства (правительства) всегда находились инструменты, с помощью которых банки лишались лицензий, их деятельность постепенно свертывалась.
Дело не только в том историческом процессе, который определяет общественную миссию банка. Банк, будучи одним из экономических субъектов производства, является "гражданином" той страны, того общества, в котором он живет и развивается. Гражданская позиция банка вольно или невольно всегда проявляется в его деятельности.
На переломных, переходных этапах общественного развития, при переходе от одного общественного строя к другому, от одной системы хозяйствования к другой общественное назначение банков проявляет себя в более сложной форме, зачастую оказывается как бы отодвинутым на второй план. Работа ради собственной прибыли в деятельности некоторых банков начинает превалировать над общественными интересами. Прибыль для себя и зачастую любой ценой (в ущерб интересам клиентов) в итоге приводит к нарушению законодательных и экономических норм и, как следствие, - ликвидации тех банков, которые провозгласили исключительно коммерческие цели, точнее, которые поставили свои собственные интересы над интересами клиентов. Подрыв доверия предприятий и населения к таким банкам так или иначе увеличивает их собственные убытки, оборачивается потерями, предопределяет переход к политике в интересах клиента как гарантии получения банковской прибыли.
Большое воздействие на данный процесс оказывают сложившийся менталитет, представление банкиров об общественных ценностях и долге. Чем быстрее в сознании банкиров утверждается идеология деятельности, направляемая на удовлетворение потребностей их клиентов, тем в большей степени сказывается их позитивная роль в общественном развитии. Важно при этом не забывать, что банк - это не политический орган, а экономическое предприятие, он не может заниматься благотворительной деятельностью, деньгами своих вкладчиков он не имеет права покрывать убытки несостоятельных заемщиков. Из всего спектра потребностей хозяйства банк как общественный институт обязан выбрать те из них, которые при его активной поддержке позволят получить большую прибыль, повысить рентабельность как предприятия-заемщика, так и его самого.
Вопросы для самоконтроля
1. Как определить понятие "банковская система"?
2. Какими признаками характеризуется банковская система?
3. В чем различие между распределительной (централизованной) и рыночной банковской системой?
4. Каковы элементы банковской системы?
5. Какие виды банков входят в банковскую систему?
6. Что такое банковская инфраструктура?
7. Какие макроэкономические и политические факторы влияют на ход исторического развития банковской системы?
8. Как вы определите сущность банка? В чем его специфика?
9. Что является главным в сущности банка?
10. Каковы элементы структуры банка?
11. Перечислите функции банка, в чем их специфика?
12. В чем вы видите роль банка?
Сущность и механизм банковского мультипликатора
При существовании двухуровневой банковской системы механизм эмиссии действует на основе банковского (кредитного, депозитного) мультипликатора.Банковский мультипликатор представляет собой процесс увеличения (мультипликации) денег на депозитных счетах коммерческих банков в период их движения от одного коммерческого банка к другому. Банковский, кредитный и депозитный мультипликаторы характеризуют механизм мультипликации с разных позиций.
Банковский мультипликатор характеризует процесс мультипликации с позиции субъектов мультипликации. Здесь дается ответ на вопрос: кто мультиплицирует деньги? Такой процесс осуществляется коммерческими банками. Один коммерческий банк не может мультиплицировать деньги, их мультиплицирует система коммерческих банков.
Кредитный мультипликатор раскрывает двигатель процесса мультипликации,
то, что мультипликация может осуществляться только в результате кредитования хозяйства.
Депозитный мультипликатор отражает объект мультипликации -деньги на депозитных счетах коммерческих банков (именно они увеличиваются в процессе мультипликации).
Как же действует механизм банковского мультипликатора? Этот механизм может существовать только в условиях двухуровневых (и более) банковских систем, причем первый уровень - центральный банк управляет этим механизмом, второй уровень - коммерческий банк заставляет его действовать, причем действовать автоматически независимо от желания специалистов отдельных банков. Механизм банковского мультипликатора непосредственно связан со свободным резервом.
Свободный резерв представляет собой совокупность ресурсов коммерческих банков, которые в данный момент времени могут быть использованы для активных банковских операций.
Такое понятие пришло в Россию из западной экономической литературы. Следует отметить, что оно не совсем точно. На самом деле свободные (оперативные) резервы коммерческих банков - это их ликвидные активы, из определения же видно, что данное понятие относится к ресурсам, т.е. пассивам коммерческих банков.
Данное понятие основывается на том, что коммерческие банки могут осуществлять свои активные операции (выдавать ссуды, покупать ценные бумаги, валюту и т. д.) только в пределах имеющихся у них ресурсов. Свободный резерв системы коммерческих банков складывается из свободных резервов отдельных коммерческих банков, поэтому от увеличения или уменьшения свободных резервов отдельных банков общая величина свободного резерва всей системы коммерческих банков не изменяется. Величина свободного резерва отдельного коммерческого банка
Ср = К+ ПР + ЦК ± МБК- ОЦР-А0 ,
где К - капитал коммерческого банка;
ПР - привлеченные ресурсы коммерческого банка (средства на депозитных счетах);
ЦК - централизованный кредит, предоставленный коммерческому банку центральным банком;
МБК - межбанковский кредит;
ОЦР - отчисления в централизованный резерв, находящийся в распоряжении центрального банка;
А0 - ресурсы, которые на данный момент уже вложены в активные операции коммерческого банка.
Рассмотрим механизм банковского мультипликатора на условном примере (рис. 4.1, размеры кредита и отчислений даны в млн руб.), причем для упрощения сделаем три допущения:
• коммерческие банки на данный момент не располагают свободными резервами;
• каждый банк имеет только двух клиентов;
• банки используют свои ресурсы только для кредитных операций.
Клиент 1 нуждается в кредите для оплаты поставок от клиента 2, но банк 1 не может предоставить ему кредит, поскольку не имеет свободного резерва. Банк 1 обращается к центральному банку и получает от него централизованный кредит в сумме 10 млн руб. У него образуется свободный резерв, за счет которого выдается ссуда клиенту 1.
Клиент 1 со своего расчетного счета оплачивает поставку клиенту 2. В результате свободный резерв в банке 1 исчерпывается, но возникает свободный резерв в банке 2, поскольку клиент 2 держит свой расчетный счет именно в этом банке, и привлеченные ресурсы (ПР) этого банка возрастают (см. формулу).
Часть свободного резерва банк 2 отдает в распоряжение центрального банка в виде отчислений в централизованный резерв (ОЦР). Условно принимаем норму таких отчислений в размере 20% привлеченных ресурсов. Оставшаяся часть (8 млн руб.) свободного резерва используется для предоставления кредита в размере 8 млн руб. клиенту 3.
Клиент 3 расплачивается за счет этого кредита с клиентом 4, обслуживаемым коммерческим банком 3. Таким образом уже у этого банка возникает свободный резерв, в то время как у банка 2 он исчезает. Банк 3 часть свободного резерва 1,6 млн руб. (20 % ПР} отчисляет в централизованный резерв, а оставшаяся часть - 6,4 млн руб. используется для выдачи ссуды клиенту 5. При этом деньги на расчетном счете клиента 4 остаются нетронутыми.
Клиент 5 за счет ссуды, полученной от банка 3, расплачивается с клиентом 6, переводя их на его расчетный счет, открытый в банке 4. Отсюда в банке 3 свободный резерв исчезает: в банке 4 - возникает. Опять же 20 % этого резерва (1,3 млн руб.) отчисляется в централизованный резерв, оставшаяся часть используется для выдачи ссуды в размере 5,1 млн руб. клиенту 7, который за счет этой ссуды расплачивается с клиентом 8, расчетный счет которого находится в коммерческом банке 5.
Свободный резерв коммерческого банка 4 исчезает (хотя средства на расчетном счете клиента 6 остаются неизрасходованными), у коммерческого банка 5 он появляется. В свою очередь этот банк часть сво его свободного резерва - 1 млн руб. (20% ПР) оставляет в центральном банке в виде отчислений в централизованный резерв, а остальную часть (4,1 млн руб.) использует для выдачи ссуды клиенту 9. Далее процесс продолжается до полного исчерпания свободного резерва, который в итоге за счет отчислений в централизованный резерв аккумулируется в центральном банке и достигает размера первоначального свободного резерва (10 млн руб. в банке 1).

В соответствии со схемой деньги на расчетных счетах клиентов 2, 4, 6, 8 и т. д. (всех четных клиентов) остаются нетронутыми и поэтому общая сумма денег на расчетных (депозитных) счетах составит в конечном счете величину, многократно большую, чем первоначальный депозит - 10 млн руб., образовавшийся при выдаче ссуды клиенту 1. Однако деньги на депозитных счетах могут увеличиться не более чем в 5 раз, поскольку величина коэффициента мультипликации, представляющая собой отношение образовавшейся денежной массы на депозитных счетах к величине первоначального депозита, обратно пропорциональна норме отчислений в централизованный резерв.
Таким образом, если норма отчислений в централизованный резерв равна 20 %, то коэффициент мультипликации будет составлять 5(1/20 х 100). Он никогда не будет достигать 5, потому что всегда часть свободного резерва используется для других, не кредитных операций (например, в кассе любого банка должны быть наличные деньги для кассовых операций).
Поскольку процесс мультипликации непрерывен, коэффициент мультипликации рассчитывается за определенный период времени (год) и характеризует, насколько за этот период времени увеличилась денежная масса в обороте.
Банковский мультипликатор действует независимо от того, предоставлены ли кредиты коммерческим банкам или они предоставлены федеральному правительству. Деньги в этом случае поступят на бюджетные счета в коммерческих банках, а они тоже относятся к привлеченным ресурсам (ПР), поэтому свободный резерв коммерческих банков, где находятся эти счета, увеличится (см. формулу) и включится механизм банковского мультипликатора.
Механизм банковского мультипликатора заработает не только от предоставления централизованных кредитов. Он может быть задействован и в том случае, когда центральный банк покупает у коммерческих банков ценные бумаги или валюту. В результате этого уменьшаются ресурсы банков, вложенные в активные операции, и увеличиваются свободные резервы этих банков, используемые для кредитных операций, т.е. включается механизм банковской мультипликации. Включить этот механизм центральный банк может и тогда, когда он уменьшит норму отчислений в централизованный резерв. В этом случае также увеличится свободный резерв системы коммерческих банков, что при прочих равных условиях приведет к росту кредитования и включению банковского мультипликатора.
Управление механизмом банковского мультипликатора, следовательно, эмиссией безналичных денег осуществляется исключительно центральным банком, в то время как эмиссия производится системой коммерческих банков. Центральный банк, управляя механизмом банковского мультипликатора, расширяет или сужает эмиссионные возможности коммерческих банков, тем самым выполняя одну из основных своих функций - функцию денежно-кредитного регулирования.
Сущность кредита
9.3.1. Общие требования к характеристике сущности кредита как экономической категорииНа поверхности экономических явлений кредит выступает как временное позаимствование веши или денежных средств. При помощи кредита приобретаются товарно-материальные ценности, различного рода машины, механизмы, покупаются населением товары с рассрочкой платежа. Объектом приобретения за счет кредита выступают разнообразные ценности (вещи, товары). Однако "вещное" толкование кредита выходит за рамки политэкономического анализа. Как уже отмечалось, экономическая наука о деньгах и кредите изучает не сами вещи, а отношения между субъектами по поводу вещей. В этой связи кредит как экономическую категорию следует прежде всего рассматривать как определенный вид общественных отношений.
Однако кредит - не всякое общественное отношение, а лишь такое, которое отражает экономические связи, движение стоимости. Как же можно определить сущность кредита? Прежде чем ответить на этот вопрос, важно уточнить, что вкладывается в понятие "сущность". Необходимость в этом связана с тем, что сущность кредита в ряде случаев отождествляется с его содержанием, природой и даже причиной возникновения. Эти понятия не тождественны. К примеру, содержание выражает как внутреннее состояние кредита, так и его внешние связи (с производством, обращением, другими экономическими категориями). Сущность же кредита обращена к внутренним его свойствам, выступает как главное в содержании этой экономической категории.
К сущности экономического явления тесно примыкает и его природа, трактуемая как врожденные свойства, естественное состояние, принадлежность кредита к какому-то определенному роду, в данном случае -к стоимости. В широком смысле природа кредита - это не какой-то его отдельный вид, а все кредитные отношения во всем многообразии их форм. Природа кредита - это, следовательно, не только его сущность, но и форма существования.
Сущность кредита тесно связана с его необходимостью и причинами, но и здесь нет тождества. Причина выражает связь кредита с многообразными экономическими процессами. Причина может вызвать разные следствия, вызвать к жизни наряду с кредитом и другие экономические явления, поэтому она не дает исчерпывающей характеристики сущности данной экономической категории.
При выявлении сущности кредита, как и сущности других экономических категорий, важно придерживаться следующих методологических принципов. Их можно свести к следующему.
• Все разновидности кредита должны отражать его сущность независимо от той формы, в которой он выступает. Например, ссуда может обслуживать разнообразные долговременные и краткосрочные потребности (затраты на приобретение сырья, материалов, оборудования). Кредит может функционировать во внутреннем и внешнем экономических оборотах, в денежной и товарной формах. Однако независимо от потребностей, которые обслуживает кредит, его суть не меняется, кредит продолжает выражать характерные для него черты.
• Вопрос о сущности кредита надо рассматривать по отношению к совокупности кредитных сделок. Если в одной из кредитных сделок заемщик не возвращает ссуду, то это еще не означает, что одно из свойств -возвратность становится не обязательным для кредита как экономической категории. Утрата одного из качеств в той или иной конкретной кредитной сделке не означает, что кредит теряет свою определенность и обособляемость.
• Анализ сущности кредита предполагает раскрытие ряда его конкретных характеристик, которые показывают сущность в целом. Вот почему, отвечая на вопрос о том, что представляет сущность кредита, нужно рассмотреть:
структуру кредита;
стадии движения; основу.
Важно при этом, чтобы раскрываемая сущность кредита выражала его целостность, подходила для всех его проявлений.
Упрочение тенденции специализации и универсализации банковской деятельности
В XX в. выявилось неравномерное развитие отдельных крупных по экономическому потенциалу государств мира. Ведущее положение заняли США и Япония. Тесная связь со структурными изменениями в хозяйстве, конкуренция с различного рода специализированными кредитно-финансовыми учреждениями постоянно требовали поддержания устойчивости и ликвидности национальных банковских систем. Приспособление к изменяющимся условиям при выполнении для финансово-промышленного капитала основных, важнейших функций и операций (эмиссионных, депозитных, кредитных, фондовых) исключали возможности ослабления роли банков как особых институтов по созданию кредитных денег.Рост объема предоставляемых услуг и изменение их качества, смешение операций банков и небанковских учреждений, влияние участия государства в проведении банковской политики были столь различны в отдельных странах, что понадобились международные институты, способные обеспечить стабилизацию деятельности формирующегося мирового банковского сообщества (Банк международных расчетов, созданный в 1930 г., Международный банк реконструкции и развития - в 1946 г., Международный валютный фонд - в 1947 г.). Под действием глобальных деформаций (мировых войн и экономических кризисов) приходилось направлять банковскую деятельность в более регулируемое русло концентрации и специализации (устранение конкуренции между крупными банками, децентрализация посредством широкой банковской периферии, целевое использование по объему и характеру приложения денежных капиталов).
На примере английского опыта развития банков, имевшее наиболее длительный исторический период, прослеживаются процессы универсализации и специализации банковского капитала. Они имели важные последствия для появления банков во многих странах Азии, Африки, Америки. В зависимости от выбранных методов деятельности, применяемых денежных операций банки пытались обеспечить себе стабильность и прибыль.
Специализация банков ВЕЛИКОБРИТАНИИ выразилась в выделении клиринговых банков (предоставление кредита в форме овердрафта и краткосрочных ссуд) и учетных домов (осуществление вексельного кредита). Подобное разграничение снижало предпринимательский риск. Клиринговыми назывались шесть ведущих депозитных банков, являвшихся членами Лондонской клиринговой (расчетной) палаты. Либеризация правил торговли ценными бумагами, усиление конкуренции в сфере традиционных операций позволили клиринговым банкам расширить круг банковских и околофинансоввдх услуг. Организационно клиринговые банки обрастали специализированными дочерними компаниями, превращаясь в кредитно-финансовые конгломераты.
Учетные дома, обладая монопольной возможностью пользоваться кредитами Банка Англии в обмен на посредничество в размещении казначейских векселей, выступали как достаточно гибкие формы банковской деятельности. Постепенная утрата монополии привела учетные дома к необходимости диверсифицировать свою деятельность.
Одновременно с объективным процессом специализация как необходимый элемент банковского предпринимательства в отдельных европейских странах выступает как элемент государственного хозяйственного регулирования.
Во ФРАНЦИИ в ходе неоднократных национализации отдельных видов банков выработаны государственные принципы специализации. В 80-х гг. XX в. проведена реорганизация кредитных учреждений для устранения прежней специализации (депозитные, деловые, банки средне- и долгосрочного кредитования) и дана их новая классификация. Для поощрения конкуренции осуществлялось сближение операций банков и финансовых компаний. С целью повышения конкурентоспособности страны на финансовых рынках мира был введен статус универсального банка.
В ГЕРМАНИИ со второй половины 40-х гг. XX в. на базе филиалов трех ведущих гроссбанков образованы 30 самостоятельных региональных банков. Строго ограничивались операции банков пределами земель, в которых они функционировали. Позднее полная легализация гроссбанков позволила отвоевать прежние позиции, в результате из 30 осталось только девять региональных банков. Отмена ограничений в области открытий отделений окончательно усилила монопольные позиции гроссбанков (1% общего числа коммерческих банков и 40 % их активов).
В СОВЕТСКОМ СОЮЗЕ с 30-х по 80-е гг. XX в. государством создавалась и совершенствовалась система специализированных банков. В конце отмеченного периода она состояла из Внешторгбанка, Агропромбанка, Жилсоцбанка, Стройбанка и Сбербанка. Каждый из них представлял собой сложную централизованную систему с разветвленной сетью учреждений. Государством проводились реорганизации принятой специализации (расширение сети отделений и контор, разграничение круга клиентов и т. д.).
Валютные отношения и валютная система
По мере интернационализации хозяйственных связей стран возрастают международные потоки товаров, услуг, капиталов и кредитов. В мировом хозяйстве осуществляется круглосуточный "перелив" денежного капитала, формирующегося в процессе национального общественного воспроизводства. Причем в каждом суверенном государстве законным платежным средством являются его национальные деньги. Однако в международном обороте обычно используются иностранные валюты. Это обусловлено тем, что в мировом хозяйстве пока еще отсутствуют общепризнанные мировые кредитные деньги, обязательные для всех стран.Интеграция стран, в том числе современной России, в мировое хозяйство вызывает превращение части денежного капитала из национальных денег в иностранную валюту и наоборот. Это происходит при международных валютных, расчетных и кредитно-финансовых операциях.
В связи с этим исторически сформировались международные валютные отношения - совокупность общественных отношений, складывающихся при функционировании валюты в мировом хозяйстве. Они обслуживают взаимный обмен результатами деятельности национальных хозяйств. Элементы валютных отношений возникли в античном мире (в Древней Греции и Древнем Риме) как вексельное и меняльное дела.
Состояние валютных отношений зависит от процесса воспроизводства и, в свою очередь, оказывает на него обратное влияние (положительное или отрицательное) в зависимости от степени их устойчивости.
По мере развития внешнеэкономических связей была создана валютная система - государственно-правовая форма организации валютных отношений, регулируемая национальным законодательством или межгосударственным соглашением. Вначале сложилась национальная валютная система. Ее характеризуют:
• национальная валюта;
• условия ее конвертируемости, т.е. обмена на иностранные валюты, различаются: а) свободно конвертируемые валюты, которые без ограничений обмениваются на иностранные валюты. В Уставе Международного валютного фонда (МВФ) с 1978 г. введено также понятие "свободно используемая валюта". К ней отнесены американский доллар, немецкая марка, японская иена, французский франк, английский фунт стерлингов; б) частично конвертируемая валюта, например рубль России; в) неконвертируемые (замкнутые) валюты;
• режим валютного паритета - соотношения между двумя валютами. Золотой паритет, основанный на золотом содержании денежных единиц, был отменен (на Западе - с середины 70-х гг., в России - с 1992 г.). По Уставу МВФ паритеты валют могут устанавливаться в СДР (SDR - special drawing rights) - специальных правах заимствования или в другой международной валютной единице, но не в золоте. С середины 70-х гг. используются паритеты на базе валютной корзины. Это метод соизмерения средневзвешенного курса одной денежной единицы с определенным набором других валют. Например, валютная корзина СДР состоит из пяти перечисленных ранее свободно используемых валют, причём доля американского доллара составляет ныне примерно 39%, немецкой марки - 21, японской иены - 18, французского франка и фунта стерлингов - по 11%. Валютную корзину, состоящую из двенадцати валют стран Европейского сообщества (ЕС), представляет европейская валютная единица (ЭКЮ), которая с января 1999 г. заменена коллективной валютой - евро;
• режим валютного курса (фиксированный, плавающий в определенных пределах). Так, в Европейской валютной системе установлен предел взаимных колебаний курса двенадцати валют ±15% центрального курса; в России - 4300 - 4900 руб. к 1 доллару США во второй половине 1995 г. и 5750 - 6350 руб. - в 1997 г. В 1998 г. верхняя граница валютного коридора была повышена до 9500 руб. Во время валютно-финансового кризиса (с августа 1998 г. курс рубля к доллару вышел за эти пределы - до 15-25 деноминированных руб.). В большинстве стран пределы плавания валютного курса юридически не установлены;
• наличие или отсутствие валютных ограничений. Например, в России введены ограничения, лимитирование, запрет определенных операций с валютными ценностями в связи с нестабильностью экономики страны; развитые страны постепенно (с конца 50-х до начала 90-х гг.) отменили валютные ограничения. В 1996 г. Россия отменила валютные ограничения по торговым и неторговым операциям, присоединившись к статье VIII Устава МВФ;
• регулирование международной валютной ликвидности страны, включающей четыре компонента (официальные золотые и валютные резервы стран, счета СДР, евро (вместо ЭКЮ с 1999 г.), резервную позицию в МВФ) и отражающей способность страны погашать ее внешний долг;
• регламентация использования международных кредитных средств обращения и форм международных расчетов;
• режимы валютного рынка и рынка золота;
• статус национальных органов, регулирующих валютные отношения (центральный банк, министерство финансов, специальные органы; например, в России - Федеральная служба валютного и экспортного контроля).
По мере развития мировых хозяйственных связей создана мировая валютная система, которая преследует глобальные цели мирового сообщества и призвана обеспечить интересы стран-участниц, имеет особый механизм регулирования и функционирования.
В результате длительного исторического развития сложились следующие ее основные элементы:
• функциональные формы мировых денег (Золото, резервные валюты, международные валютные единицы);
• регламентация условий конвертируемости валют;
• унификация режима валютных паритетов и валютных курсов;
• регламентация объема валютных ограничений (требование МВФ к странам-членам отменить ограничения по операциям с валютными ценностями в определенный период);
• регламентация состава компонентов международной валютной ликвидности (например, с 1970 г. МВФ ввел в оборот новую международную валютную единицу - СДР, с 1979 г. Европейский фонд валютного сотрудничества - европейскую валютную единицу - ЭКЮ), которая с января 1999 г. постепенно заменяется единой коллективной валютой - евро;
• унификация правил использования международных кредитных средств обращения (векселей, чеков и др.) и форм международных расчетов;
• режимы мировых валютных рынков и рынков золота;
• статус института межгосударственного регулирования с 1944 г. - Международного валютного фонда.
Особенности и стабильность мировой валютной системы зависят от степени соответствия принципов построения ее структуры принципам построения структуры мирового хозяйства, расстановке сил на мировой арене и интересам ведущих стран. При несоответствии этих принципов периодически возникает кризис мировой валютной системы, завершающийся ее развалом и созданием новой валютной системы.
Первая мировая валютная система была основана на золотомонетном стандарте и юридически оформлена межгосударственным соглашением на Парижской конференции ведущих стран в 1867 г.
Валютный кризис, разразившийся в период первой мировой войны и после нее, завершился созданием второй мировой валютной системы, оформленной соглашением стран на Генуэзской международной экономической конференции (1922 г.). Генуэзская валютная система, как и денежная система 30 стран, была основана на золото-девизном стандарте. Девиза - иностранная валюта в любой форме. С 20-х гг. национальные кредитные деньги стали использоваться в качестве международных платежно-резервных средств. В период между войнами до Бреттонвудской системы статус резервной валюты - особой категории конвертируемой валюты - не был официально закреплен ни за одной валютой, а английский фунт стерлингов и американский доллар оспаривали лидерство в ходе острой конкурентной борьбы.
Третья мировая валютная система - Бреттонвудская, оформленная соглашением (в Бреттон-Вудсе, США, 22 июня 1944 г.), также базировалась на золото-девизном стандарте. Причем впервые статус резервной валюты был юридически закреплен за долларом и фунтом стерлингов. Экономическое превосходство США, сосредоточивших в 1949 г. 54,6% капиталистического промышленного производства, 33% экспорта товаров, почти 75% официальных золотых резервов, и ослабление их конкурентов в итоге второй мировой войны обусловили господствующее положение доллара. Тяжелое валютно-экономическое положение стран Западной Европы и Японии, зависимость этих стран от США, долларовая гегемония проявлялись в их "долларовом голоде" - острой нехватке долларов.
Структурные принципы Бреттонвудской системы:
• статус доллара и фунта стерлингов как резервных валют;
• фиксированные золотые паритеты и курсы валют (могли колебаться в пределах ± 1 % паритета, а в Западной Европе -± 0,75 %);
• конвертируемость долларовых резервов иностранных центральных банков в золото через американское казначейство по официальной цене;
• заниженная официальная цена золота ( 35 долл. за тройскую унцию, содержащую 31,1 г чистого золота);
• создание МВФ как органа межгосударственного валютного регулирования.
США использовали эти принципы, закрепившие долларовый стандарт, для усиления своих позиций в мире за счет других стран. Противоречия Бреттонвудской валютной системы, прежде всего между национальным характером доллара и фунта стерлингов и их использованием как международного платежного средства, постепенно расшатали ее по мере укрепления позиций Западной Европы, Японии. С конца 60-х гг. разразился кризис этой системы, который привел к ее постепенному развалу в 1971 - 1976 гг.
Ее сменила четвертая (ныне функционирующая) мировая валютная система, оформленная соглашением стран - членов МВФ в Кингстоне (Ямайка, январь 1976 г.),ратифицированным в апреле 1978 г. Измененный Устав МВФ определил структурные принципы Ямайской валютной системы.
Во-первых, золото-девизный стандарт был заменен стандартом СДР, которые формально объявлены основой валютных паритетов и курсов валют. Однако за 30 лет с момента эмиссии СДР (1970 г.) они не стали эталоном стоимости, главным международным платежным и резервным средством и далеки от мировых денег. Количество валют, курс которых "прикреплен" к СДР, сокращается (с 15 в 1980 г. до 2 в 1998 г.). Стандарт СДР не перспективен. Сфера применения СДР ограничена в основном операциями МВФ. Практически сохранился долларовый стандарт, хотя официально доллар ныне не имеет статуса резервной валюты в отличие от его статуса в Бреттонвудской системе. На долю доллара приходится примерно 39% валютной корзины СДР, определяющей их условную стоимость. К доллару прикреплена 21 валюта, причем их число сокращается. Тем не менее доллар по-прежнему лидирует как международное платежное и резервное средство. Лидирующие позиции доллара базируются на значительном экономическом, научно-техническом и военном потенциале США, хотя они утратили монопольное положение в мировой экономике под натиском их конкурентов - Японии и Западной Европы. Стандарт СДР фактически трансформировался в многовалютный стандарт, основанный на американском долларе, немецкой марке (замененной евро с 1999 г.), японской иене - валютах трех мировых центров.
Во-вторых, в рамках Ямайской валютной системы узаконена демонетизация золота - утрата им денежных функций. В соответствии с измененным Уставом МВФ золото не должно использоваться как мера стоимости и точка отсчета валютных курсов. Тем самым узаконена отмена золотых паритетов, официальной цены золота, конвертируемости долларовых авуаров в золото американским казначейством для иностранных центральных банков и правительственных органов. Однако, несмотря на законодательное вытеснение из Ямайской валютной системы золота как валютного металла, фактически его денежные функции не исчерпаны, хотя и существенно изменились. Золото по-прежнему является чрезвычайными мировыми деньгами и наиболее надежными резервными активами, поскольку обладает реальной ценностью. Центральные банки и частные тезавраторы хранят около 60 тыс. т золота (примерно 34 тыс. и 25 тыс. т соответственно).
В-третьих, Ямайская валютная система дает странам право выбрать любой режим валютного курса. Тем самым был узаконен режим плавающих валютных курсов, к которому страны фактически перешли в марте 1973 г. Этот режим более гибкий, чем фиксированные валютные курсы, но вопреки надеждам не обеспечил стабильность курсовых соотношений. Напротив, увеличились затраты центральных банков на проведение валютной интервенции (в том числе коллективной) в форме вмешательства центрального банка в операции на валютном рынке.
В-четвертых, МВФ, сохранившийся от Бреттонвудской системы, призван усилить межгосударственное валютное регулирование, обеспечить более тесное сотрудничество стран-членов, либерализацию валютных отношений путем отмены валютных ограничений в целях достижения валютной стабилизации в мире.
Ямайская валютная система более гибко, чем Бреттонвудская система, приспособилась к нестабильности платежных балансов и валютных курсов и новой расстановке сил в мире. Вместе с тем ее функционирование порождает ряд сложных проблем, связанных, в частности, с: неэффективностью стандарта СДР; противоречием между юридической демонетизацией золота и фактическим сохранением его статуса как чрезвычайных мировых денег; несовершенством режима плавающих валютных курсов и т.д. Кроме того, развивающиеся страны недовольны своим зависимым положением в мировой валютной системе и настаивают на ее реформе с учетом их интересов.
Продолжается поиск путей совершенствования Ямайской валютной системы для решения этих проблем, усиления координации валютно-экономической политики трех мировых центров и стабилизации мирового валютного механизма.
В марте 1979 г. в Западной Европе создана международная (региональная) валютная система - Европейская валютная система (ЕВС).
Причиной ее формирования явилось развитие западноевропейской экономической и валютной интеграции, начавшейся с организации "Общего рынка" в 1957 г. (Римский договор). Цель ЕВС - стимулирование интеграционных процессов, создание европейского политического, экономического и валютного союза - Европейского союза (ЕС), укрепление позиций Западной Европы.
Особенности западноевропейской экономической интеграции определили структурные принципы ЕВС, отличающиеся от Ямайской системы:
• Вместо СДР введен стандарт ЭКЮ - европейской валютной единицы. Валютная корзина ЭКЮ состоит из двенадцати западноевропейских валют. В ней доминирует немецкая марка (более 30%). Сфера использования ЭКЮ значительно шире сферы применения СДР и включает не только государственный, но и частный секторы, в том числе депозитно-ссудные операции банков, международные расчеты частных фирм. ЭКЮ постепенно приобретает черты мировой валюты, но
еще ею не стала и с 1999 г. заменена евро - коллективной европейской валютой.
• В противовес официальной демонетизации золота в Ямайской системе в ЕВС возобновлены операции с этим валютным металлом. Золото и доллары включены в механизм эмиссии ЭКЮ путем объединения 20 % официальных золото-долларовых резервов стран-членов ЕС. Центральные банки этих стран перевели 2,3 тыс.т. их золота в распоряжение Европейского валютного института (до 1994 г. - Европейский фонд валютного сотрудничества - ЕФВС), который взамен выпускал ЭКЮ, переводя их на счет соответствующего центрального банка. Взносы золота оформляются возобновляемыми трехмесячными сделками "своп", основанными на сочетании наличной продажи золота на ЭКЮ и контрсделки по покупке его через три месяца.
• Режим совместного плавания курсов валют стран - членов ЕВС предусматривает пределы их взаимных колебаний (±2,25 %, с августа 1993 г. - ±15 % центрального курса). Подобный режим коллективного плавания валют называется "европейская валютная змея", так как графическое изображение этих колебаний похоже на движение змеи. Если курс валюты выходит за допустимые пределы, то центральный банк обязан осуществлять валютную интервенцию преимущественно в немецких марках, т. е. продавать марки на национальную валюту в целях сдерживания падения ее курса к марке и наоборот. Коллективное плавание курса валют ЕС обеспечило их относительную стабильность, хотя периодически проводятся официальные девальвации (снижение курса) и ревальвации (повышение курса) - 16 раз за 1979 - 1993 гг. Курс нестабильных валют (Ирландии, Италии, Бельгии, Дании и др.) обычно снижается, а курс "твердых" валют (ФРГ, Нидерландов и др.) повышается, обостряя противоречия между участниками ЕВС.
• Страны - члены ЕВС в противовес МВФ создали собственный орган межгосударственного валютного регулирования - Европейский фонд валютного сотрудничества, замененный в 1994 г. Европейским валютным институтом в соответствии с Маастрихтским соглашением о создании Европейского союза (ЕС), а с июля 1998 г. - Европейским центральным банком.
ЕВС более стабильна, чем Ямайская, так как колебания курсов валют меньше. Ее достижения обусловлены следующими факторами: поступательное развитие экономической и валютной интеграции; передача части суверенных прав наднациональным органам; ориентация на конкретные программы; гибкость при выборе направлений и методов регулирования валютных отношений; разработка механизма принятия и реализации решений.
Однако и ЕВС испытывает трудности в связи с противоречиями стран-членов. Ряд ее проблем обусловлен разными уровнями и темпами развития экономики, инфляции, безработицы, состоянием платежного баланса, золото-валютных резервов стран-членов. Ряд стран (Ирландия, Греция, Португалия и др.) требуют увеличения дотаций из общего бюджета ЕС для подтягивания своих отсталых районов в рамках региональной политики. Многие страны против передачи суверенных прав наднациональным органам. Внешние факторы (особенно колебания курса доллара) также осложняют функционирование ЕВС.
Маастрихтский договор (ноябрь 1994 г.) о поэтапном формировании политического, экономического и валютного союза
(Европейского союза - ЕС) - важная веха в развитии ЕВС. Первый этап формирования ЕС начался в июле 1990 г. (поскольку этот договор выработан на основе предыдущего "плана Делора") и предусматривал окончательную отмену валютных ограничений стран-членов в конце 1992 г. Большое внимание уделено сближению уровней экономического развития стран, снижению темпов инфляции, сокращению бюджетного дефицита.
На втором этапе создан Европейский валютный институт (вместо ЕФВС) в составе управляющих двенадцати центральных банков для подготовки к организации Европейской системы центральных банков и эмиссии новой европейской валюты - евро. Здесь внимание уделяется координации экономической, в том числе денежно-кредитной, политики на основе директив Совета министров ЕС и отчетов его стран-членов перед Европарламентом об их выполнении. К нарушителям экономической (особенно бюджетной) дисциплины применяются санкции в форме ограничения кредитов Европейского инвестиционного банка (ЕИБ), штрафов, беспроцентного депозита в ЕС до снижения бюджетного дефицита. Предусмотрена помощь ЕС по оздоровлению экономики в основном за счет совместных фондов и кредитов ЕИБ.
Третий этап наступил в конце XX в.,, когда несколько стран ЕС достигло необходимой конвергенции. С января 1999 г. 11 из 15 стран ЕС ввели, как отмечалось ранее, единую коллективную валюту - евро -вначале в форме записи на банковских счетах для безналичных расчетов, а с 2002 г. она будет в наличной форме вместо национальных денежных единиц. Постепенно увеличится число стран ЕС, присоединявшихся к зоне евро. Для денежно-кредитного и валютного регулирования 1 июля 1998 г. создан Европейский центральный банк. На этом этапе введены фиксированные взаимные валютные курсы по отношению к евро - новой коллективной валюте ЕС.
Валютная система России в условиях перехода к рынку формируется с учетом структурных принципов Ямайской валютной системы, поскольку страна вступила в МВФ в июне 1992 г. В августе 1993 г. взамен рубля бывшего СССР введен в обращение российский рубль как основа не только денежной, но и национальной валютной системы. Установлены правила его частичной (внутренней) конвертируемости и поставлена стратегическая задача перехода к свободной конвертируемости по мере стабилизации экономики. Вместо режима множественности валютных курсов введен единый плавающий валютный курс. С середины 1995 г. введены пределы его рыночных колебаний по отношению к доллару США, которые были значительно превышены в условиях глобального валютно-финансового кризиса, в 1997-1998 гг. охватившего весь мир, в том числе Россию с лета 1998 г.
Законодательно установлены режим деятельности валютного рынка, состав его участников (валютные биржи, коммерческие банки, посредники-брокеры) и порядок валютных операций. Определен статус органов, осуществляющих валютное регулирование.
Валютные отношения обслуживают международные экономические, политические и культурные отношения, которые отражаются в платежном балансе стран.
Валютный курс как экономическая категория
Важным элементом международных валютных отношений является валютный курс как измеритель стоимостного содержания валют. Он представляет собой соотношение между денежными единицами разных стран, определенное их покупательной способностью и рядом других факторов. Валютный курс необходим для международных валютных, расчетных, кредитно-финансовых операций. Например, экспортер обменивает вырученную иностранную валюту на национальную, так как в нормальных условиях валюты других стран не обращаются в качестве денежного средства на территории данного государства. Импортер же приобретает иностранную валюту для оплаты купленных за рубежом товаров.Валютный курс как стоимостная категория. Валютный курс - это не технический коэффициент пересчета, а "цена" денежной единицы данной страны, выраженная в иностранной валюте или международных валютных единицах (СДР, ЭКЮ).
Стоимостной основой курсовых соотношений валют является их покупательная способность, выражающая средние национальные уровни цен на товары, услуги, инвестиции.
К факторам, влияющим на валютный курс, относятся:
Состояние экономики
| Темп инфляции Уровень процентных ставок Деятельность валютных рынков Валютная спекуляция Валютная политика | Состояние платежного баланса Степень использования национальной валюты в международных расчетах Ускорение или задержка международных расчетов |
Политическая обстановка в стране
Степень доверия к валюте на национальном и мировом рынках
Перечисленные факторы определяют спрос и предложение валюты. Например, чем выше темп инфляции в стране по сравнению с другими государствами, тем ниже курс ее валюты, если не противодействуют иные факторы. Инфляционное обесценение денег в стране вызывает снижение их покупательной способности и тенденцию к падению их валютного курса.
При активном платежном балансе страны растет спрос на ее валюту со стороны иностранных должников, и курс ее может повыситься.
Если в данной стране более высокие процентные ставки, чем в других странах, это может содействовать притоку иностранных капиталов и повышению спроса на валюту данной страны и ее курса. Так, в первой половине 80-х гг. политика повышенных процентных ставок в США стимулировала (наряду с другими факторами) приток инвестиций в размере более 500 млрд долл. из Западной Европы и Японии. В итоге курс доллара повысился, а курс валют стран-инвесторов под влиянием этого фактора снизился.
Режим валютных курсов. Различают фиксированный и плавающий валютные курсы. Например, в 1944 - 1973 гг. (до марта) в рамках Бреттонвудской валютной системы валютный курс мог колебаться лишь в пределах ±1% паритета (по Европейскому валютному соглашению ±0,75 %). Для поддержания курса, фиксированного в этих пределах центральные банки были обязаны проводить валютную интервенцию. При снижении курса валюты, например, к доллару эмиссионный банк продает доллары, скупая национальную валюту, а при повышении курса -покупает доллары и продает национальную валюту.
С марта 1973 г. страны перешли к плавающим валютным курсам. Однако преобладает регулируемое государством плавание курсов валют. В ЕВС установлены относительные пределы взаимных колебаний курсов ( ±2,25 -с 1979 г., ±15% - с августа 1993 г.), в России с 1995 г. -абсолютные пределы колебаний курса рубля к курсу доллара, которые в условиях валютно-финансового кризиса 1998 г. перестали соблюдаться.
Влияние изменений валютного курса на экономику. Снижение курса национальной валюты обычно выгодно экспортерам, так как они получают экспортную премию (надбавку) при обмене вырученной подорожавшей иностранной валюты (например, доллара) на подешевевшую национальную (если курс рубля снизился с 20 до 25 руб. за один доллар, то такая надбавка равна 5 руб. на один доллар). Экспортеры стремятся при этом увеличить свои прибыли путем расширения вывоза товаров по ценам ниже среднемировых.
Импортеры при этом проигрывают, так как им дороже обходится покупка валюты цены контракта (в том же примере доллар будет стоить 25 руб., а не 20 руб.). При падении курса национальной валюты снижается реальный долг, выраженный в ней, но увеличивается внешняя задолженность в иностранной валюте, приобретение которой обходится дороже.
Повышение курса национальной валюты по отношению к иностранным денежным единицам оказывает в принципе противоположное влияние на международные экономические отношения. Последствия колебаний валютного курса зависят от валютно-экономического и экспортного потенциалов страны, ее позиций в мировом хозяйстве.
Виды денег
Деньги представляют собой развивающуюся категорию и со времени своего возникновения претерпели значительные изменения, проявившиеся в переходе от применения одних видов денег к другим, а также в изменении условий их функционирования и в повышении их роли.В отдельных сферах денежного оборота и в различные периоды при определенных условиях применяются различные виды денег.
Предшественниками денег были отдельные виды товаров, применявшиеся при обмене в качестве эквивалентов. Такими эквивалентами служили скот, меха и даже табак (в штате Вирджиния, США).
Развитие обмена, его интенсивность обусловили выделение денег в качестве всеобщего эквивалента, материальной основой которых явились драгоценные металлы и прежде всего золото.
Преимущество золотых денег по сравнению с другими эквивалентами (скотом, мехами) состояли в однородности денежного материала, его делимости, сохранности от порчи.
В сравнительно недавнем прошлом (XIX в. и в начале XX в.) в обороте достаточно широко применялись наличные деньги в виде золотых монет (в России после денежной реформы 1895-1897 гг. до начала первой мировой войны в обороте были десятирублевые и пятирублевые золотые монеты).
Особенность таких денег состоит в том. что они обладают собственной стоимостью и не подвержены обесценению.
Это значит, что при наличии полноценных золотых денег в обороте в количестве, превышающем действительную потребность, они уходят из оборота в сокровище. Напротив, при увеличении потребности оборота в наличных деньгах золотые монеты беспрепятственно возвращаются в оборот из сокровища. Тем самым золотые монеты способны достаточно гибко приспосабливаться к потребностям оборота без ущерба для владельцев денег.
При таких условиях не возникает необходимость в определенных мерах по регулированию массы денег в обращении в соответствии с потребностями оборота, что характерно для бумажных денежных знаков.
Однако золотым деньгам присущи немалые недостатки:
• дороговизна использования золотых денег, которые стоят намного больше, чем денежные знаки, изготовляемые из бумаги;
• невозможность обеспечить потребность оборота золотыми деньгами, поскольку потребности в деньгах растут быстрее, чем увеличивается добыча золота.
В связи с отмеченными, а также некоторыми другими причинами во всем мире постепенно перестали применять золото в качестве материала для изготовления денег.
Напротив, широко стали применяться денежные знаки из бумаги, в том числе бумажные деньги и кредитные деньги (банкноты).
При переходе от применения полноценных денег к денежным знакам прежде всего появились в обороте разменные на золото кредитные билеты. В процессе замещения полноценных денег бумажными денежными знаками возникла проблема увязки свокупной массы таких денежных знаков с потребностями оборота. Значение решения подобной проблемы было обусловлено тем, что при выпуске в обращение денежных знаков сверх потребности в них возникает угроза их обесценения, чего не бывает при использовании золотых денег.
В этом отношении важно, что золотые монеты даже небольшого размера (которые к тому же легко потерять) обладали значительной стоимостью, в связи с чем возникали трудности при покупке товаров на небольшую сумму. Поэтому немалая часть населения (например, в России в конце XIX в. и в начале XX в.) предпочитала пользоваться денежными знаками, которые свободно обменивались на золото.
При таких условиях в обороте постоянно находились и не предъявлялись к обмену на золото бумажные денежные знаки. Это позволило выпускать в обращение часть денежных знаков без полного их обеспечения золотом, поскольку здесь не возникала потребность предъявления денежных знаков к обмену на золото. Такая возможность была использована в России в 1897 г. следующим образом. Указом от 29 августа 1897 г. было определено, что золотое обеспечение банкнот должно составлять не менее половины выпущенных в обращение кредитных билетов, если сумма последних не превышает 600 млн руб.; все кредитные билеты, выпущенные сверх этой суммы, должны были полностью обеспечиваться золотом. Однако это означает, что 300 млн руб. могли выпускаться без золотого обеспечения. О значении возможного выпуска в обращение не обеспеченных золотом кредитных денег (билетов) свидетельствует тот факт, что совокупная масса денег в обращении (без низкопробной серебряной и медной монеты) составляла в 1900-1914 гг. 1-2 млрд руб.
В дальнейшем в России и во всем мире продолжался процесс превращения денежных знаков в самостоятельную разновидность денег и вместе с тем уменьшалась их связь с золотом.
Впоследствии при проведении в России в 1922-1924 гг. денежной реформы связь денежных знаков с золотом была частично сохранена. Это проявилось в установлении фиксированного золотого содержания денежной единицы и в обеспечении денежных знаков золотом и драгоценными металлами в размере 25% суммы выпущенных в обращение банкнот. Тем не менее свободного обмена денежных знаков на золото не было - продолжался процесс отделения бумажных денежных знаков от золота. До 1992 г. в России сохранялась еще связь денежных знаков с золотом в виде фиксированного золотого содержания денежной единицы (рубля), но в соответствии с законом Российской Федерации от 26 сентября 1992 г. "О денежной системе РФ" размер золотого обеспечения банковских билетов уже не фиксируется. Тем самым был практически завершен процесс отделения денежных знаков от золота.
В современных условиях в России золотые монеты пятирублевого и десятирублевого достоинства (по номиналу) продаются соответственно по цене, намного превышающей номинал. Это свидетельствует о самостоятельности применения денежных знаков.
Такой процесс охватил все страны мира, в которых повсеместно был прекращен размен денежных знаков на золото и не применяется фиксированное золотое содержание денежной единицы. Этим завершился переход от применения полноценных золотых денег к денежным знакам, изготовленным из бумаги. В налично-денежном обращении широко распространяются кредитные деньги (банкноты). В обороте применяются и бумажные знаки, которые называются бумажными деньгами, отличающиеся во многом от банкнот.
Бумажные деньги. К ним относятся такие денежные знаки, главной особенностью которых является не то, что они изготовлены на бумаге, а то, что они обычно выпускаются государством (как правило, казначейством) для покрытия своих расходов. Обратный приток бумажных денег (казначейских билетов) происходит при уплате налогов и других неналоговых платежей. Казначейские билеты обязательны к приему для платежей, в том числе за товары, услуги и др. Казначейские билеты, выпускавшиеся в оборот, не имели золотого обеспечения. Такие денежные знаки обычно выпускались в нашей стране органами казначейства с начала нэпа до 1925 г.
Важнейший недостаток бумажных денег состоит в том, что они поступают в оборот без необходимой увязки с потребностями в денежных знаках (для оплаты товаров, услуг и других потребностей). В связи с этим, поскольку выпуск бумажных денег обусловлен потребностью в средствах для покрытия расходов государства (казначейства), становится возможным чрезмерный (по сравнению с потребностью оборота) выпуск таких денег в обращение, при котором вполне вероятно обесценение денег, уменьшение их покупательской способности.
Недостатки, присущие бумажным деньгам, могут в значительной мере устраняться благодаря применению кредитных денег.
Кредитные деньги (банкноты). Они также изготовляются из бумаги, но выпуск в обращение кредитных денег производят обычно банки при выполнении кредитных операций, осуществляемых в связи с различными хозяйственными процессами (образование запасов товарно-материальных ценностей на срок их использования и др.). Предоставляя ссуду, банк может выдать заемщику свои банкноты: после истечения срока пользования ссудой предоставленные средства подлежат возврату в банк для погашения ссудной задолженности. Часть возникшей ссудной задолженности погашается при поступлении в банк наличных денег (выручка торговых организаций и др.).
Выпуск в обращение банкнот и их изъятие из оборота происходят на основе кредитных операций, выполняемых в связи с хозяйственными процессами, а не при осуществлении расходов и получении доходов государством.
Связь между выдачей наличных денег из касс банка и предоставлением ссуд, между поступлением в банк наличных денег и погашением ссудной задолженности проявляется не в каждой отдельной ссудной операции, а в совокупном объеме операций по предоставлению и погашению ссуд и операций по выдаче наличных денег и их поступлениям в кассы банка.
Особенностью кредитных денег является то, что их выпуск в обращение увязывается с действительными потребностями оборота. Это предполагает осуществление кредитных операций в связи с реальными процессами производства и реализации продукции. Ссуда выдается, как правило, под обеспечение, которым служат определенные виды запасов, а погашение ссуд происходит при снижении остатков ценностей. Благодаря этому может достигаться увязка объема платежных средств, предоставляемых заемщикам, с действительной потребностью оборота в деньгах. Такая особенность представляет собой наиболее важное преимущество кредитных денег.
При нарушении связи с потребностями оборота кредитные деньги утрачивают свои преимущества и превращаются в бумажные денежные знаки. Это подтверждается современным опытом денежного обращения в России, где в обращение поступают (эмитируются) банкноты.
Увязка оборота кредитных денег (их выпуск в обращение и изъятие из оборота) происходит не при осуществлении каждой кредитной операции, а по их совокупности, в целом по народному хозяйству. Если, например, промышленное предприятие, взяв в банке ссуду и использовав заемные средства для получения наличных денег (для выдачи зарплаты), не обязано погасить ссуду наличными деньгами; образовавшуюся ссудную задолженность промышленное предприятие может погасить не наличными деньгами, а за счет безналичных поступлений.
Наличные деньги в кассу банка могут быть возвращены торговым предприятием, которое внесет в банк выручку, используемую для погашения задолженности, возникшей при получении ссуды для оплаты завозимых товаров (на условиях безналичных перечислений).
В России в обороте используются банкноты Центрального банка РФ. Эти денежные знаки выпускаются в обращение банком на основе кредитных операций. С рассматриваемой стороны такие деньги, казалось бы, могут быть признаны кредитными. Значительную часть кредита Центральный банк РФ предоставлял до 1995 г. бюджету, который использовал полученные ссуды для покрытия своих расходов. Поэтому такие денежные знаки, поступающие в оборот за счет полученных ссуд и используемые для покрытия расходов бюджета, скорее можно отнести к бумажным, учитывая то, что они поступали в оборот для покрытия бюджетных расходов, а кредитные операции, на основе которых происходила эмиссия, не увязаны с процессами производства и реализации продукции.
Наиболее существенное различие между такими видами денег, как кредитные деньги (банкноты) и бумажные денежные знаки, состоит в особенностях их выпуска в обращение. Так, банкноты выпускаются в обращение в связи с кредитными операциями, выполняемыми в увязке с реальными процессами производства и реализации продукции, бумажные деньги поступают в оборот без такой увязки.
Важными по своему значению и последствиям их применения являются деньги безналичного оборота, движение которых фиксируется в форме записей по счетам клиентов в банке (оборот происходит без денежных знаков). Расширяющееся применение таких денег обусловлено рядом их преимуществ, к числу которых относится в первую очередь снижение издержек осуществления денежного оборота за счет уменьшения таких расходов, как печатание денежных знаков, их пересылка, пересчет, охрана. Немалое значение имеет предотвращение возможности хищения денежных знаков и др.
Особенностью денег безналичного оборота служит то, что операции с их использованием совершаются в кредитных учреждениях путем записей по счетам участников расчетных операций. В подобных операциях происходит замещение оборота наличных денег кредитными операциями.
Безналичные расчеты осуществляются в соответствии с установленными правилами, соблюдение которых контролируют кредитные организации.
Виды кредита
Вид кредита - это более детальная его характеристика по организационно-экономическим признакам, используемая для классификации кредитов. Единых мировых стандартов при их классификации не существует. В каждой стране есть свои особенности. В России кредиты классифицируются в зависимости от:• стадий воспроизводства, обслуживаемых кредитом;
• отраслевой направленности;
• объектов кредитования;
• его обеспеченности;
• срочности кредитования;
• платности и др.
Кредит, как отмечалось ранее, представляет собой категорию обмена. При продаже своего продукта, при покупке сырья, оборудования и прочих товаров, необходимых для продолжения деятельности, товаропроизводители испытывают значительную потребность в дополнительных платежных средствах. Являясь важным инструментом платежа, кредит применяется для удовлетворения разнообразных потребностей заемщика. Эти потребности зарождаются не только в обмене, где разрыв в платежном обороте наиболее проявляется, но и в других стадиях воспроизводства. Хозяйственные организации, производящие продукт, расходуют полученные ссуды для приобретения средств производства, удовлетворения потребностей по расчетам по заработной плате с работниками, с бюджетными организациями. Население получает кредит для удовлетворения своих потребительских нужд. Выступая категорией обмена, кредит используется для удовлетворения потребностей производства, распределения и потребления валового продукта.
Кредит подразделяется на виды и в зависимости от их отраслевой направленности. Когда кредит обслуживает потребности промышленных предприятий, то это промышленный кредит. Бывает также сельскохозяйственный, торговый кредит. Отраслевая направленность кредита часто находит свое воплощение в государственной статистике ряда стран (отдельно выделяются кредиты промышленности, торговле, сельскому хозяйству и т.д.). По отраслям делят кредиты и отдельные коммерческие банки.
Классификация кредита обусловлена также объектами кредитования. Объект выражает то, что противостоит кредиту. Чаще всего кредит используется для приобретения различных товаров (в промышленности - сырье, основные и вспомогательные материалы, топливо, тара и т.п., в торговле - товары разнообразного ассортимента, у населения -товары длительного пользования), и здесь кредиту противостоят различные товарно-материальные ценности. В ряде случаев ссуда выдается для осуществления различных производственных затрат. Например, в сельском хозяйстве кредит в большей части направляется на затраты по растениеводству и животноводству, в промышленности - на сезонные затраты (ремонт, подготовку к новому сезону производства сельскохозяйственных продуктов и др.).
Объект кредитования может иметь материально-вещественную форму и не иметь ее. Заемщик берет ссуду необязательно для накопления необходимых ему товарно-материальных ценностей. Кредиту поэтому необязательно будут противостоять конкретные виды материалов. Ссуда довольно часто берется под разрыв в платежном обороте, когда у предприятия временно отсутствуют свободные денежные средства, но возникают обязательства по разнообразным видам текущих платежей. Это могут быть потребности, связанные с необходимостью платежей по выплате заработной платы персоналу предприятия, различных налогов в федеральный или местный бюджет, по взносам по страхованию имущества и пр. В этом случае кредит покрывает недостаток денежных средств или разрыв в платежном обороте.
Классификация кредита по видам зависит и от его обеспеченности. Обычно обеспеченность различают по характеру, степени (полноте) и формам. По характеру обеспечения выделяют ссуды, имеющие прямое и косвенное обеспечение. Прямое обеспечение содержат, например, ссуды, выданные под конкретный материальный объект, на покупку конкретных видов товарно-материальных ценностей. Косвенное обеспечение могут иметь, например, ссуды, выданные на покрытие разрыва в платежном обороте. Хотя ссуда и выдается на покрытие платежных обязательств заемщика, прямой оплаты товарно-материальных ценностей, которые прямо противостояли бы кредиту, может не быть, однако проявляется косвенное материальное обеспечение в форме товарных запасов, созданных за счет собственных денежных источников.
По степени обеспеченности можно выделить кредиты с полным (достаточным), неполным (недостаточным) обеспечением и без обеспечения. Полное обеспечение имеется в том случае, если размер обеспечения равен или выше размера предоставляемого кредита. Неполное обеспечение возникает тогда, когда его стоимость меньше размера кредита. Кредит может и не иметь обеспечения. Такой кредит называют бланковым. Чаще всего он предоставляется при наличии достаточного доверия банка к заемщику, уверенности банка в возврате средств, предоставляемых заемщику во временное пользование.
Обеспечение кредита можно рассматривать не только с позиции противостояния ему определенной массы стоимостей, ликвидных товарно-материальных запасов, но и определенных внешних гарантий. Помимо обычного залога товарно-материальных ценностей, имущества, принадлежащего заемщику, в группу обеспечения возврата кредита входят различного рода гарантии, поручительства третьих лиц, страхование и др.
При классификации кредита в зависимости от срочности кредитования выделяют краткосрочные, среднесрочные и долгосрочные ссуды.
Краткосрочные ссуды обслуживают текущие потребности заемщика, связанные с движением оборотного капитала. Краткосрочными ссудами считаются такие ссуды, срок возврата которых по международным стандартам не выходит за пределы одного года. Однако на практике их срок может быть неодинаков. Это определяется экономическими условиями, степенью инфляции. Так, в России 90-х гг. в силу значительных инфляционных процессов к краткосрочным ссудам зачастую относили ссуды со сроком до трех-шести месяцев.
Среднесрочные и долгосрочные кредиты обслуживают долговременные потребности, обусловленные необходимостью модернизации производства, осуществления капитальных затрат по расширению производства.
Устоявшегося стандартного срока как критерия отнесения кредита к разряду среднесрочных или долгосрочных ссуд пока нет. В США, например, среднесрочными ссудами являются такие ссуды, срок погашения которых не выходит за пределы восьми лет, в Германии - до шести лет. Нет единообразия и в размере срока по долгосрочным ссудам.
В России к среднесрочным ссудам относили ссуды со сроком погашения от шести до двенадцати месяцев, к долгосрочным - кредиты, срок возврата которых выходил за пределы года. Деление кредитов по их длительности функционирования в хозяйстве заемщика было оправданным, ибо в условиях обесценения денег даже кратковременное их пребывание в хозяйстве заемщика могло привести к потере сохранности капитала. Сильная инфляция трансформировала представление о сроке кредитования, меняла критерии срочности кредитования заемщиков.
Кредит можно классифицировать по видам и в зависимости от платности за его использование. Здесь выделяют платный и бесплатный, дорогой и дешевый кредиты. За основу такого деления берется размер процентной ставки, установленный за пользование ссудой.
В современном хозяйстве кредит функционирует как капитал. Это означает, что кредитор передает ссуженную стоимость не как сумму денег, а как самовозрастающую стоимость, которая возвращается ему с приращением в виде ссудного процента. Заемщик же полученные средства должен использовать таким образом, чтобы с их помощью можно было не только обеспечить непрерывность производства, но и создать новую стоимость, достаточную, чтобы рассчитаться с кредитором -возвратить ему первоначально авансированную сумму и уплатить ссудный процент. Именно поэтому кредит как стоимостная категория носит платный характер.
Тем не менее как в древней, так и в современной истории существует и бесплатный кредит в очень ограниченных размерах. Чаще всего в современном хозяйстве он применяется при кредитовании инсайдеров (акционеров банка), при личных (дружеских) формах кредита и др.
При товарном кредите (в форме векселей) отсрочка платежа также не сопровождается взысканием процента. Вместе с тем хотя прямо здесь плата за кредит и не проявляет себя, однако косвенно процент входит в цену того продукта, по которому была произведена отсрочка его оплаты.
В рамках платности за кредит применяются понятия дорогого и дешевого кредитов.
Понятие дорогого кредита связано со взысканием процентной ставки, размер которой выше его рыночного уровня. Как правило, такая ставка установлена по кредитам, имеющим повышенный риск невозврата ссуды (из-за низкого класса кредитоспособности заемщика, сомнительного обеспечения и пр.). Другие кредиты (с повышенной процентной ставкой) применяются также как своеобразная санкция за несвоевременный возврат ссуды, а также нарушения, противоречащие кредитному договору с клиентом.
Чаще всего размер платности кредитор дифференцирует в зависимости от срока кредита, качества обеспечения, платежеспособности заемщика. Платность меняется с учетом экономического цикла - подъема, депрессии или экономического кризиса.
Дорогой и дешевый кредиты - понятия относительные. Например, для западной практики процентные ставки российских банков в условиях экономического кризиса и инфляции середины 1990 г. могут показаться космическими с позиции их размера. Однако с учетом месячного и годового темпов инфляции они уже не стали такими, поскольку обесценение денег в 1996-1997 гг. достигало от 1 до 2% ежемесячно. Под влиянием обвала банковской системы России в августе - сентябре 1998 г. плата за кредит вновь существенно возросла.
В мировой банковской практике используются и другие критерии классификации кредитов. В частности, кредиты могут делиться на ссуды, выдаваемые в национальной и иностранной валюте, юридическим и физическим лицам и др.
Вопросы для самоконтроля
1. По каким критериям можно выделить формы кредита?
2. Какие формы кредита выделяют в зависимости от стоимости?
3. Какие формы кредита выделяют в зависимости от кредитора и заемщика?
4. Каковы формы кредита в зависимости от целевых потребностей заемщика?
5. Что такое вид кредита и какие шесть критериев его классификации можно использовать?
Внутренние факторы закрепления устойчивой деятельности банков
Среди европейских стран с 40-х гг. XVII в. эмиссионные операции у банков выполняются в АНГЛИИ и ШОТЛАНДИИ. Так, благодаря официальной отмене запрета на взимание процентов за кредит еще в 1571 г., отказу правительства от услуг итальянских банкиров в сборе государственных налогов и платежей, повсеместным запретам (вплоть до выселения из страны) деятельности банкиров-евреев в Англии получили возможность расширить свои операции мастера ювелирных дел. Важным условием стало и то, что в результате порчи монет металлическое содержание денежной единицы Англии - фунта стерлингов снизилось в 3 раза и более за период с 1290 по 1616 г.Английские купцы стали хранить свободные денежные средства у мастеров ювелирных дел. Мастера, в свою очередь, стали предлагать торговцам процент на вносимые денежные вклады, поскольку они получали возможность отдать их в рост по более высокой ставке. Расписки мастеров (частные векселя), подтверждающие принятие вкладов на хранение, стали обращаться в виде банкнот. Со временем количество небольших частных банков заметно возросло, каждый из них обладал равными правами в выпуске банкнот в неограниченных масштабах и вне государственного контроля.
В результате банкнотного обращения банкам и банкирам удалось завоевать доверие общества, поскольку в их деятельности данное денежное средство активно и легко использовалось при платежах.
На хранение в банки стали поступать крупные денежные суммы под обеспечение всего лишь бухгалтерской записи (депозиты). Более того, банки имели возможность предоставлять взаймы достаточно крупные денежные суммы из тех, что были депонированы.
Банки стремились облегчить вкладчикам распоряжение депонированными средствами. Вместо личного присутствия и записей в банковских книгах путем переписываний в счетах производилась простая передача бумаги на предъявителя. Вместо уплаты наличными появляется уступка (цессия) требования на банк как на общую кассу
Банк первоначально выступал в виде отдельного банкира или нескольких людей (двух-шести человек), объединенных эмиссионным интересом. Эмиссионные операции в равной степени были и переводными, так как сумма денежных обязательств банка и его деловое (предпринимательское) состояние не изменялись. Основное преимущество эмиссионной деятельности банков заключалось в том, что доход от нее (сеньораж) превышал комиссии, получаемые от каждого вида денежных операций в отдельности.
Для ликвидации избыточной эмиссии в условиях сложившейся острой конкуренции между банками обычным стало регулярное взаимное погашение банкнот. Обмен банкнот происходил дважды в неделю и сразу же подводились балансы.
Обеспечением эмиссионной деятельности стали золотые и серебряные монеты, государственные бумажные деньги, которые подлежали размену на монеты. Банкноты становились единым денежным стандартом (единицей учета), что позволяло избежать естественные трудности, связанные с обращением металлических денег.
Основным условием сохранения самостоятельности эмиссионной деятельности банков выступала форма их организации. Банки в виде обществ с неограниченной ответственностью предусматривали, что в случае банкротства они должны были нести ответственность перед вкладчиками и держателями банкнот. В Англии на протяжении XVII-XIX вв., наоборот, преобладали общества с ограниченной ответственностью. Уровень банкротства в Англии в 4 раза и более превосходил данный показатель для Шотландии. Убытки зачастую ложились на держателей банкнот, тогда как в Шотландии, как правило, они покрывались самими банками. Однако несмотря на это, в Англии долго существовали частные эмиссионные банки. В 1921 г. последним собственную эмиссию банкнот в стране прекратил один из банкирских домов.
Банкнотное обращение частных банков имело существенные недостатки (необходимость постоянного приема и выпуска; отношения между банком и приобретающими банкноты не носили личного характера; обладатели банкнот часто не в состоянии были судить о кредитоспособности банка). Доверие, оказанное банкнотам со стороны общества, имело слабую основу, определяемую периодом возникновения и масштабами деятельности эмиссионных банков.
Государство не могло не обратить внимание на стихийно сформировавшуюся систему банков. Для усиления своего влияния был учрежден в 1694 г. Банк Англии. Используя сложившуюся форму организации бизнеса (акционерное общество), банк получил от государства привилегии в виде определенной монополии. Последняя предполагала значительные преимущества, в том числе предоставление права увеличения капитала в обмена предоставление кредита правительству. Ни один другой банк, состоявший из семи и более партнеров, не имел права выпуска банкнот (со сроком выплаты менее полгода). Это фактически привело к исключению акционерных обществ из эмиссионного бизнеса и из банковского дела вообще. С 1742 г. Банк Англии становится единым акционерным обществом по выпуску банкнот.
Концентрация привилегий в Банке Англии обеспечила ему усиление положения в выпуске банкнот: многие мелкие банки перешли к практике хранения в нем своих денежных средств. К началу XIX в. Банк Англии приобрел в основном черты центрального банка страны.
Банкноты Банка Англии практически стали законным средством платежа, а в 1712 г. правительство объявило их универсальным средством платежа. Банки стали рассматривать банкноты центрального банка в качестве средства обеспечения собственной эмиссионной деятельности. В местном денежном обращении решающую роль также стали играть денежные обязательства Банка Англии.
Закон Пиля 1844 г. окончательно провозгласил монополию эмиссионной деятельности в Банке Англии.
Не обеспеченная золотом эмиссия ограничивалась. Все прочие существовавшие к тому времени эмиссионные банки продолжали действовать, однако максимальный предел эмиссии для каждого из них фиксировался на том уровне, который был достигнут в преддверии принятия закона. Эмиссионные права банков терялись в тех случаях, когда они сливались либо поглощались другими банками или добровольно отказывались от них. Банк Англии приобретал эмиссионные права банков в объеме двух третей от утвержденной эмиссии. Приобретение эмиссионных прав вновь образованными банками было запрещено.
Приостановка действия закона Пиля позволяла Банку Англии выпускать любое количество банкнот, не заботясь о покрытии их находящимся в банке золотым запасом. Неразменные банкноты превращались в такой вид кредитных денег, сферой действия которых становилась вся экономика страны (не имели внутренней стоимости, были напрямую связаны с движением торгового национального богатства, обеспечивали устойчивость обращения системой государственного кредита, были по стоимостной характеристике сравнимы с бумажными деньгами).
Отделение эмиссионной функции от кредитной в Банке Англии заложило основы денежного обращения, регулируемого центральным банком. Активно начинает использоваться внутренний государственный долг для поддержания устойчивости денежного обращения. За 1844-1921 гг. (почти за 80 лет) эмиссионное право утратили 207 частных банкирских домов и 72 акционерных банка Великобритании.
Первые локальные денежные системы, опиравшиеся не на золото, а на национальные кредитные деньги, были созданы со второй половины XIX в. в колониальных владениях Великобритании, а затем и в других странах Европы.
За 100 лет (1815-1913 гг.) объем банкнот в структуре совокупной денежной массы трех ведущих государств (Великобритании, Франции, США) вырос в 14,3 раза в стоимостном измерении, а их доля (с учетом металлической монеты) снизилась с 26,4% до 19,3%.
Концентрация эмиссии банкнот центральными банками ведущих европейских стран осуществляется во второй половине XIX в первой четверти XX в.
В ГЕРМАНИИ ко времени объединения немецких земель (70-е гг. XIX в.) действовали 33 эмиссионных банка, в 1848 г. были изданы общие правила, разрешавшие их открытие (сумма эмиссии банкнот не должна была превышать основной капитал). С 1875 г. расширение эмиссионного права стало прерогативой государства. Постепенно количество особых правил по ограничению эмиссии росло. Вскоре значительная часть банков отказалась от своего права эмиссии в пользу имперского (Прусского, образованного в 1846 г.) банка. Их доля в случае добровольного отказа в контингенте свободных от налога банкнот, не обеспеченных металлическими деньгами, переходила на долю имперского банка. Первая часть банков была ликвидирована, вторая - потеряла право эмиссии вследствие истечения срока, на который они это право получили, а третья - должна была подчиняться требованиям имперского банка (помещать свои средства в строго разрешенные операции, инвестировать не более половины основного и запасного капиталов в ценные бумаги, обеспечивать находившиеся в обращении банкноты на 1/3 металлическими деньгами, на 2/3 учетными векселями с тремя подписями на срок не свыше трех месяцев).
Расширение операций разрешалось тем банкам, которые могли доказать, что их банкнотная эмиссия не превышала размеров основного капитала. Ломбардные ссуды могли выдаваться только под определенные виды обеспечения и покрытием для банкнот не могли служить. Однако последующее ограничение ломбардных операций побудило оставшиеся эмиссионные банки отказаться от выпуска банкнот к началу XX в. В 1909 г. имперским банкнотам была придана сила национального платежного средства.
Во ФРАНЦИИ еще с XVIII в. стали создаваться эмиссионные банки. Регулирующую роль должен был сыграть по декрету Наполеона I Банк Франции, действовавший с 1800 г. В 1848 г. устанавливается принудительный курс банкнот существовавших эмиссионных банков и Банка Франции, что способствовало потере самостоятельности девяти провинциальных банков и превращению их и отделения центрального банка. Поставленный в привилегированное положение с 1803 г. Банк Франции в течение длительного времени использовал его для концентрации выпуска банкнот. Законом 1911 г. привилегии банка были возобновлены, эмиссионное право было значительно увеличено. Беспроцентный государственный долг, подлежащий погашению только после уничтожения привилегии, активно использовался для устойчивости банкнотного обращения.
В РОССИИ банковское дело развивалось как государственное, и частных эмиссионных банков не было. Созданный в 1860 г. Государственный банк выступал в качестве комиссионера казны, охватывающей эмиссию кредитных билетов. Госбанк лишь производил обмен кредитных билетов: ветхих - на новые, крупных - на мелкие и размен на монету, а также прием монеты и слитков из золота и серебра с выдачей за них кредитных билетов. Законодательство сводило на нет его эмиссионные функции. Министр финансов являлся "непосредственным главным начальником банка" с широкими распорядительными правами и возможностью направлять всю деятельность банка.
С принятием нового устава в 1894 г. Госбанк все более становится центральным эмиссионным банком, кредитные билеты выпускаются в строго ограниченном размере. В 1897 г. монопольное право эмиссии кредитных билетов устанавливается окончательно.
Вопросы для самоконтроля
1. Что такое денежная эмиссия, чем она отличается от эмиссии ценных бумаг?2. Какая эмиссия - наличных или безналичных денег - является первичной?
3. Что такое свободный резерв? Чем отличается по формуле свободный резерв отдельного коммерческого банка и системы коммерческих банков? Составьте формулу свободного резерва системы коммерческих банков.
4. Что такое банковский мультипликатор? Чем отличается это понятие от понятий "депозитный мультипликатор" и "кредитный мультипликатор"?
5. Как действует механизм банковского мультипликатора, какие факторы на него влияют?
6. Выполните следующее задание. На основании приведенных данных рассчитайте коэффициент банковской мультипликации Кбм , используя денежный агрегат M2:

Ответ: Кбм составил 1,28.
7. Кто управляет эмиссией безналичных денег и эмиссией наличных денег?
Возникновение банков
17.1.1. Храмы и храмовое хозяйство как основной источник и организатор денежного хозяйстваДля периода зарождения первых государств на Древнем Востоке, (третье тысячелетие до н.э.) характерно использование в качестве денег, как отмечалось ранее, наиболее важных общественно значимых предметов потребления (скот, зерно, меха, кожи и пр.).
Товарные деньги обладали высокой транспортабельностью, относительной сохранностью в течение длительного времени, сравнительно низкими издержками на содержание. Постепенно они начинают играть роль повседневного средства обращения. Использование товарных денег требовало их накопления в качестве всеобщего эквивалента.
Местом сохранения товарных денег становились культовые сооружения, храмы.
Особо важное значение храмы имели потому, что являлись страховым фондом общин и государств. В них концентрировались создаваемые продукты, которые предназначались на обмен с другими общинами и странами.
Устойчивость храмового хозяйства основывалась на сложившемся веками доверии как со стороны государства, так и общины. Относительно высокая стабильность храмового хозяйства служила важным условием поддержания денежного обращения. Она способствовала упрочению и постоянному проведению храмами денежной операции - сохранение товарных денег. Естественная порча, снижение качества, вынужденное обновление товарных денег обусловили закрепление за храмовым хозяйством функции регулирования денежного обращения (кассовые операции).
Выполнение данной функции храмами потребовало дополнительных денежных операций - учетной и расчетной. Они велись в весовых единицах. Сложности, связанные с несовершенством видов всеобщего эквивалента (большие объемы хранения, складирования, учета), вынуждали периодически заменять одни эквиваленты другими, для которых свойственны более четкие весовые характеристики: делимость, соединяемость, однородность и главное - сохранность, не требующая значительных затрат по времени и по усилиям.
В качестве всеобщего эквивалента несомненными преимуществами обладали металлы (медь, олово, бронза, серебро, золото). Постепенно выделились СЕРЕБРО и ЗОЛОТО, которые имели дополнительные качества: портативность, т.е. большую стоимость при малом объеме, редкость и устойчивость к внешней среде.
Вытеснение товарных денег металлическими осуществлялось длительное время, при этом зачастую металлические деньги сохраняли свою товарную форму. Храмы были заинтересованы в затягивании процесса замены товарных денег металлическими, так как за ними закреплялась и упрочивалась новая денежная операция - обменная. В то же время для упрощения и облегчения денежного обращения, его регулирования необходимо было способствовать быстрой замене одних видов денег на другие.
Развитие денежных операций храмового хозяйства государств Древнего Востока находилось под влиянием зарождающихся товарных отношений и создаваемых институтов государственной власти. Денежные операции учитывались в натуральном измерении, через прямой обмен. Например, в Древнем Египте до XV в. до н.э. не было даже слова, обозначавшего понятие "ТОРГОВЕЦ". Деньги, поступавшие в качестве государственных налогов, в течение многих веков откладывались в царских сокровищницах, изымались из обращения. Для торговли не хватало драгоценных металлов в слитках, что принуждало к сохранению натурального хозяйства, заставляло вновь прибегать к прямому обмену товарами, к использованию товарных денег.
Храмы, выполняя основные денежные операции (сохранные, кассовые, учетные, расчетные, обменные), в условиях постоянной нехватки денежных средств (при господстве натурального хозяйства) были единственными, кто мог удовлетворять общественные и частные потребности в получении металлических денег (в виде слитков серебра и золота), при высоком качестве их предложения. Государства были крайне заинтересованы в безопасности и умелом использовании денежных средств. Постоянный приток в храмы денежных средств от государств часто имел форму дарений.
В рамках храмового хозяйства, наряду с бесплатным хранением имущества и денежных средств, начинает осуществляться операции государственных и храмовых складов по платному хранению. Храмы одновременно и непосредственно занимаются предоставлением ссуд, отсрочивая уплату всеобщего эквивалента. Расширение ссудных операций позволило им покупать и продавать земельные участки, взыскивать налоги, управлять государственным имуществом.
В силу того, что со всякой ссудой и взиманием процентов в древних цивилизациях связывалось ростовщичество (выдача кредита под высокий процент), ссудные операции храмов оформлялись с особым соблюдением юридических норм. Условия предоставления ссуд были жесткими, а .ответственность по долговым обязательствам очень высокая. Подобная регламентация прослеживается, начиная с XVIII в. до н.э., по своду законов вавилонского царя Хаммурапи.
Таким образом, храмы производили основные денежные операции, способствовали зарождению кредитных операций, осуществляли расчетно-кассовые операции, совершенствовали платежный оборот.
Сложившиеся традиции доверять денежные средства храмам распространяются не только на Древнем Востоке, но активно перенимаются в Древней Греции и Древнем Риме, а затем - в средневековой Европе. Знаменитые греческие храмы (Дельфийский, Делосский, Самосский, Эфесский) передоверяли выполнение денежных операций отдельным лицам, функционально закрепляли за ними отдельные денежные операции. По мере усложнения операций укреплялось положение лиц, которые становились финансовыми посредниками.
Храмы имели широкие возможности, обусловленные общественным и государственным доверием, накоплением материальных богатств различного происхождения. В средневековой Европе место за алтарем каждой церкви постоянно являлось хранилищем денег, которые временно оставлял меняла, обычный горожанин или крестьянин. Сложившиеся обычаи строго соблюдались в течение многих веков. Могуществом своих монастырей славился орден тамплиеров. Благодаря честности в денежных операциях, рациональной организации бухгалтерии облегчалось движение денежных средств. В XIV в. н.э. орден насчитывал около 20 тыс. рыцарей, значительная часть которых занималась денежными операциями.
Введение к сущности кредита
Часто кредит воспринимается как деньги. На первый взгляд кажется, что для этого действительно есть основания. В современном хозяйстве в долг предоставляются в большей части денежные средства. Тем не менее деньги и кредит - это различные не только понятия, но и разные отношения.При их сравнении в книге имеется в виду не их натурально-вещественная, а экономическая сторона. Кроме того, не имеет значения, сколько денежных знаков получил один участник от другого, каковы их купюры. Деньги и кредит являются экономическими категориями, поэтому представления об их сущности, сопоставление их сущностей можно формировать не по сумме денег, а на основании их характеристики как экономических (стоимостных) отношений.
В связи с этим следует отметить, что первым отличием кредитных от денежных отношений является различие состава участников. Деньги как всеобщий эквивалент становятся таковыми в результате отношений между продавцом и покупателем, между получателем денег и их плательщиком. Стоимость совершает при этом встречные движения: товар переходит от продавца к покупателю, деньги - от покупателя к продавцу. В кредитной сделке участвуют другие субъекты, а именно кредитор и заемщик. Именно потому, что в сделке качественно изменился состав ее участников, имеющих специфические интересы, возникают новые, особые отношения - отношения по поводу возвратного движения стоимости. Стоимость при этом не совершает встречного движения: она переходит от кредитора к заемщику и по истечении определенного времени вновь возвращается к своему владельцу.
Для кредита характерна отсрочка платежа: стоимость переходит во временное владение и возвращается к кредитору только через определенный срок.
Тем не менее деньги и кредит существуют рядом друг с другом, более того, они кажутся неразрывными. Однако это единство - в рамках общего движения стоимости, которое может включать различные по своей сущности и функциональному назначению процессы. Переход от одного процесса (купля-продажа с немедленной уплатой эквивалента) к другому (продажа с применением кредита) означает переход к новой форме отношений, к смене характера экономической сделки, переход от одной экономической категории к другой.
Второе отличие кредита от денег наблюдается при отсрочке платежа за тот или иной товар. В этом случае участвуют и кредит, и деньги в функции средства платежа. Тем не менее если деньги проявляют свою суть в акте рассрочки платежа в момент самого платежа (именно поэтому данная функция денег и называется функцией средства платежа), то платеж в кредитной сделке - только элемент движения стоимости на началах возвратности. Кредит как экономическая категория проявляет свою сущность не в платеже по истечении отсрочки, а в самом факте отсрочки платежа.
Нельзя также забывать, что в акте платежа деньги проявляют свою суть не только в связи с истечением отсрочки платежа, связанного с движением кредита. Как отмечалось ранее, деньги как средство платежа функционируют и при уплате налогов в бюджет, при выплате стипендий, пособий и т.п.
Третье отличие кредита от денег связано с различием потребительных стоимостей. Если деньги как всеобщий эквивалент в своей потребительной стоимости обладают способностью превращения в продукт любого вида овеществленного труда, то для участников кредитных отношений, для кредитной сделки не это выступает существенным моментом. Кредитор и заемщик проявляют заинтересованность в предоставлении и получении стоимости на определенное время. Кредит удовлетворяет временные потребности участников кредитной сделки.
Четвертое отличие кредита от денег прослеживается в их движении. Кредит может предоставляться как в денежной, так и товарной формах. Товар становится деньгами только в том случае, если он выделился из общего товарного мира и стал всеобщим эквивалентом. В кредит необязательно предоставлять товар, ставший всеобщим эквивалентом; во временное пользование может быть предоставлен обычный товар, имеющий стоимость и потребительную стоимость.
При раскрытии сущности кредита немаловажной характеристикой является доверие. Существует точка зрения на то, что отношения кредита - это прежде всего доверие. Такое суждение довольно распространено.
Рассказывают, что однажды к известному банкиру Ротшильду пришел незнакомый молодой человек и попросил у него взаймы 1 млн. долл. Банкир так проникся симпатией и доверием к юноше, блондину с голубыми глазами, что предоставил ему эти деньги в кредит. "В кредите главное для меня, - отмечает Ротшильд, - это доверие".
Немало сторонников другой точки зрения. Так, крупный немецкий экономист, профессор В. Лексис (1837-1914), известный по многочисленным работам в области теории денег и кредита, страхования и статистики, категорично утверждал, что "доверие заимодавца для существа кредита решающего значения не имеет, ... ежедневный опыт показывает, что заимодавцы (кредиторы) питают по отношению к платежеспособности и платежеготовности должников больше недоверия, чем доверия; они поэтому требуют гарантий для обеспечения возможно более полной защиты своих интересов от потерь, связанных с кредитными отношениями".
Два противоположных мнения двух известных людей, практика и теоретика. Как это не покажется странным, но каждый из них оказывается в чем-то прав. Для банкира-практика было бы противоестественным давать взаймы человеку, которому он не доверяет. Какой смысл работать себе в убыток? Только в том случае, когда кредитор убежден в возврате ссуды заемщиком, может состояться кредитная сделка. Доверие, дающее уверенность, убежденность в соблюдении условий кредитных соглашений, становится их решающим компонентом. К тому же слово "кредит" образовано от лат. credere, что означает "верить".
Парадокс здесь в том, что и В. Лексис также оказывается правым. Напомним, что он пишет не об отдельно взятой кредитной сделке, а об их совокупности, о сущности кредита как экономического отношения. В. Лексис не утверждает, что доверие вообще не характеризует сути кредита, он лишь замечает, что оно не имеет для него решающего значения.
Какое же значение сохраняет за собой данное свойство? Прежде всего доверие выступает неотъемлемым свойством кредита. Однако, будучи таковым, оно не присуще только для кредитных отношений, оно в этом смысле не является специфическим свойством, оно характерно и для других экономических отношений (например, в торговле продавец доверяет покупателю и предполагает, что он не вернет ранее проданной ему вещи; в человеческих отношениях люди склонны доверять, нежели не доверять друг другу). В этом смысле доверие, характеризуя кредит, не выражает его специфики и, следовательно, не может претендовать на свойство, раскрывающее в полной мере сущность кредита как экономического отношения.
В реальной жизни довольно часто встречаются явления, которые могут напоминать кредитные отношения. Это связано с авансированием затрат и доходов без немедленного получения их эквивалента. К примеру, подписка на периодическую печать, абонементы и различные услуги, коммунальные услуги (платежи за жилье, газ, отопление и пр.) обычно оплачиваются заранее, полная же компенсация произведенных затрат получается только по истечении определенного времени. Отсрочка возврата эквивалента - одно из свойств кредита, однако рассматриваемые платежи по своему существу не являются кредитными отношениями.
Отсрочка платежа распространена и в хозяйственной практике. В период экономического кризиса, кризиса платежей, подрыва доверия поставщик, как правило, требует предварительной оплаты товара. Часто предварительная оплата применяется и при оказании ряда услуг (индивидуальный пошив одежды, изготовление мебели по заказу зачастую сопровождается задатком получателя). Существенно при этом, что в случае отказа заказчика от получения оплаченной услуги или полностью, или частично сумма произведенного вперед платежа не возвращается, в то время как для кредитной сделки возвратность является непременным условием. Заметим, что здесь нет и особого договора, в то время как при ссуде составление кредитного договора обязательно.
К разряду кредитных отношений часто относят процесс найма рабочей силы. Внешне кредит и найм также чем-то напоминают друг друга. Работник, нанимающийся на работу, сразу не получает за затраченный им труд. Это произойдет только по истечении определенного времени. Когда работодатель платит за нанимаемый труд вперед, происходит обратный процесс - своеобразное "кредитование" рабочего, который возмещает плату, отработав в последующем соответствующее время. В обоих случаях имеет место отсрочка уплаты эквивалента: в первом случае - получения платы за труд, во втором - возмещения результата труда. Здесь есть и акт использования: в первом случае работник использует полученные им деньги; во втором случае работодатель - рабочую силу.
При сходстве кредита и найма тем не менее можно выделить существенные различия. Прежде всего в ссуду предоставляются ценности в виде денег или вещей, их возвращение поэтому может быть либо в денежной, либо в вещной форме. При найме рабочей силы работник, получивший плату вперед, предоставляет работодателю не деньги, не вещи, а свою рабочую силу. Для выхода из затруднений при оценке принадлежности тех или иных явлений к кредитным отношениям в теории предлагается ограничить понятие кредита отношениями по поводу вещей. Однако это не спасает положение, ибо вещь, по поводу которой возникают отношения, хотя и присутствует, но не дает ни малейшего основания считать, что здесь имеется дело с кредитом; даже при возвратном движении вещей кредитные отношения зачастую не просматриваются. Это проявляется при найме, когда при авансировании работником работодателя вещь как таковая отсутствует.
При найме отделение объекта передачи от кредитора заемщику не происходит. Работник как кредитор вместе со своей рабочей силой в процессе труда переходит во владение к заемщику-работодателю. При кредите кредитор передает ссуженную стоимость, сам же физически во владение заемщика не переходит, в хозяйстве заемщика "трудится" не кредитор, а передаваемый им ссудный капитал.
Плата за труд вперед - обычное авансирование, которое довольно часто встречается на практике.
Не исключением является и страхование, которое также по ошибке относят к кредитным отношениям. При наступлении страхового случая страховая компания выплачивает страхователю определенную сумму средств, причем зачастую большую, чем уплаченная ранее сумма. Налицо по крайней мере два обстоятельства, напоминающие кредит: возвратное движение средств и уплата страховщиком определенной суммы средств, в сделке страхования нет, однако, других качеств. Прежде всего возвратность здесь необязательный атрибут, так как страхователю средства выплачиваются только при возникновении страхового случая. Между страховщиком и страхователем составляется не договор ссуды или займа, а специальный договор страхования. Нельзя также не учитывать и того, что при уплате страхового взноса собственность на него переходит к страховщику, в то время как при кредите собственность на ссужаемую стоимость лишь временно уступается, ее собственником всегда является одно и то же юридическое лицо-кредитор.
Непростая ситуация возникает и по отношению к финансам. Средства, полученные из бюджета, совершают круговращение, в определенном смысле возвращаются (полностью, частично и даже с приращением). У них нет определенных свойств этой возвратности, которые присущи кредиту, когда стоимость, полученная от кредитора, не только совершает круговращение в хозяйстве заемщика, но и от последнего передается кредитору.
"Свои" и "чужие" деньги имеют различные стадии движения, их не только надо использовать для обеспечения жизнедеятельности, но и возвратить ссудодателю, не просто возвратить, а возвратить с приращением в виде ссудного процента. Использование бюджетных ассигнаций, своих капиталов ("финансов предприятий") не сопровождается составлением договора, для финансовых отношений это было бы абсурдным, в то время как для кредитной сделки заключение кредитного договора является непременным условием. Каждый из субъектов выступает при этом в особой, специфической роли, обусловливающей его определенные обязательства.
Вряд ли целесообразно возражать против утвердившегося, широко воспринимаемого термина "финансы", охватывающего все случаи жизни как в смысле формирования личного бюджета, так и его расходования независимо от того, приобретаются ли средства жизнеобеспечения или платятся различного рода налоги, проценты, страховые суммы и пр.
Для собственного кармана не имеет значения: уходят ли деньги в казну, в банк, передаются страховому агенту или тратятся в магазине.
Однако если при общении можно употребить то или иное словообозначение, то в научных исследованиях это недопустимо. Исследование сложных экономических отношений требует четкого разграничения понятий и тех процессов, которые стоят за ними.
Финансы в отличие от кредита являются порождением распределительных, а не перераспределительных процессов, приводят к смене собственника передаваемой стоимости, директивны, обусловливают отношения между субъектами.
Сложности возникают не только при сопоставлении финансов, страхования и кредита, но и когда деньги непосредственно помещаются в банк. Принято считать, что субъект, положивший деньги в банк, прокредитовал его. Это не всегда так. Когда деньги помещаются во вклад (положены на депозит на определенный срок), то по существу кредитному учреждению предоставлен определенный займ. При окончании срока займа денежные средства возвращаются банком их собственнику, который одновременно получает вознаграждение в виде процентов по вкладу. Кредит и займ - родовые понятия, с одними и теми же свойствами.
Другое дело, если деньги положены в банк на хранение. В этом случае по истечении срока хранения денежные средства возвращаются, но без всякого вознаграждения, напротив, за хранение денег, предметов, ценностей банку выплачиваются соответствующие комиссионные. Сохранная операция лишь напоминает кредитную операцию, по своей сути она не может быть отнесена к разряду кредитных отношений.
Кажется много схожего у кредита и с гарантией и поручительством. В законодательстве отдельных стран данные сделки как родовые процессы поставлены рядом с кредитом. Тем не менее кредит, с одной стороны, гарантия и поручительство, с другой - выражает разные отношения, и нет никаких оснований отождествлять их. Движение средств идет не от кредитора к должнику, как это имеет место в кредитной сделке, а от гаранта, поручителя - к первоначальному кредитору.
В момент предоставления гарантии реально ссужаемая стоимость не передается, свои обязательства гарант выполняет лишь в исключительном случае. В гарантии, поручительстве содержится обязательство заплатить за должника лишь при его несостоятельности, невозможности полностью либо частично рассчитаться по долгам. Есть и еще одно немаловажное отличие: уходящая от гаранта стоимость (в случае выполнения им своего обязательства перед первоначальным кредитором) используется ссудодателем, а не ссудополучателем.
Случаи рассмотрения отношений, напоминающих по своей форме кредитные, можно было бы продолжить и далее, однако проведенный их анализ показал, что они не являются таковыми, выступают как околокредитные сделки, в них отсутствует комплекс свойств, который позволил бы им характеризоваться как кредитные отношения.
Взаимосвязь денежного оборота с системой рыночных отношений
Взаимосвязь денежного оборота с системой рыночных отношений при рыночной модели экономики представлена на рис. 5.1.Как видно из рисунка, система рыночных отношений распадается на две сферы: денежно-товарных и денежно-нетоварных отношений. Особенностью денежно-товарных отношений является то, что происходит не только денежный, но и товарный (стоимостной) обороты, поскольку движение денег здесь всегда связано со встречным движением товаров.
При денежно-нетоварных отношениях стоимостного оборота не происходит, меняются только владельцы денег. Например, на рынке кредитных ресурсов у кредитора временно уменьшается количество имеющихся у него денег и, тем самым, уменьшается его право выйти в другие сферы рынка. У заемщика же увеличивается количество имеющихся у него денег и тем самым увеличивается его возможность выйти на другие рынки.
Каждая часть денежного оборота обслуживает свою сферу рыночных отношений (см. рис. 5.1), причем деньги свободно переходят из одной части денежного оборота в другую, что позволяет оперативно перебрасывать их из одной сферы рыночных отношений в другую в соответствии со складывающейся в результате действия закона спроса и предложения конъюнктурой рынка. В отличие от других рынков валютный рынок не обслуживается конкретно какой-то частью денежного оборота, он только увеличивает или уменьшает этот оборот.

Рис. 5.1. Взаимосвязь отдельных частей денежного оборота с системой рыночных отношений в хозяйстве
Таким образом, можно сформулировать две основные задачи, которые решает денежный оборот, обслуживая систему рыночных отношений, что и определяет его роль:
• денежный оборот, перераспределяя деньги между своими частями, обеспечивает свободный перелив капитала из одной сферы рыночных отношений в другую, тем самым осуществляя их взаимосвязь;
• в денежном обороте создаются новые деньги, обеспечивающие удовлетворение потребности в них всех сфер рыночных отношений.
Итак, как было отмечено ранее, денежный оборот в условиях рыночной модели экономики обслуживает не только рыночные, но и распределительные отношения в хозяйстве. Это прежде всего финансовые отношения, связанные с существованием федерального и местного бюджетов; кредитные отношения, связанные с предоставлением центральным банком кредитов правительству, а также льготных кредитов коммерческим банкам.
Вопросы для самоконтроля
1. Чем отличается понятие "денежный оборот" от понятия "денежное обращение" ? Как они взаимосвязаны друг с другом ?
2. Как взаимосвязаны денежный и товарный обороты?
3. Как и в каком из каналов денежного оборота обслуживается товарный оборот?
4. Почему денежный оборот не является стоимостным ?
5. Где меньшие издержки обращения - в наличном или безналичном денежных оборотах?
6. Каковы преимущества и недостатки разных способов классификации денежного оборота?
7. Какие способы определения величины денежного оборота за год можно предложить?
8. Какие существуют преимущества ц .недостатки в денежных оборотах, функционирующих при разных моделях экономики?
Задачи и функции центральных банков
Центральные банки являются регулирующим звеном в банковской системе, поэтому их деятельность связана с укреплением денежного обращения, защитой и обеспечением устойчивости национальной денежной единицы и ее курса по отношению к иностранным валютам, развитием и укреплением банковской системы страны, обеспечением эффективного и бесперебойного осуществления расчетов.Традиционно перед центральным банком ставится пять основных задач. Центральный банк призван быть:
• эмиссионным центром страны, т.е. пользоваться монопольным правом на выпуск банкнот;
• банком банков, т.е. совершать операции не с торгово-промышленной клиентурой, а преимущественно с банками данной страны: хранить их кассовые резервы, размер которых устанавливается законом, предоставлять им кредиты (кредитор последней инстанции), осуществлять надзор, поддерживая необходимый уровень стандартизации и профессионализма в национальной кредитной системе;
• банкиром правительства, для этого он должен поддерживать государственные экономические программы и размещать государственные ценные бумаги; предоставлять кредиты и выполнять расчетные операции для правительства, хранить (официальные) золото-валютные резервы;
• главным расчетным центром страны, выступая посредником между другими банками страны при выполнении безналичных расчетов, основанных на зачете взаимных требований и обязательств (клирингов);
• органом регулирования экономики денежно-кредитными методами. В ряде стран эти задачи центральных банков закреплены законодательством. Так, монополия на эмиссию национальной денежной единицы дает возможность центральному банку держать под контролем ликвидность кредитных институтов. В Германии же, например, несмотря на то, что в Законе о Немецком федеральном банке не приводится механизм установления верхней границы роста денежной массы, определяются инструменты регулирования уже обращающихся денег.
В качестве банка банков центральный банк предоставляет кредитным институтам возможность рефинансирования. При этом центральный банк вправе по закону ограничить коммерческие банки страны в кредитных средствах. Наиболее распространены два вида операций центрального банка с кредитными институтами: покупка и продажа чеков и векселей (в том числе казначейских); залоговые операции с ценными бумагами, векселями и платежными требованиями.
Важную роль в функционировании банковской системы страны играет характер осуществления надзора центральным банком. Однако в Великобритании на протяжении десятилетий вплоть до 1979 г. контроль за деятельностью второго уровня банковской системы со стороны Банка Англии не был закреплен законодательно и являлся достаточно либеральным. Немецкий федеральный банк способствует проведению надзора специальным федеральным органом банковского контроля. Поскольку последний не располагает необходимой структурой агентств, то он опирается на филиальную сеть центрального банка. Английский национальный банк в отличие от Немецкого федерального банка данную функцию выполняет лишь в ограниченном объеме (банковский контроль передан министерству финансов).
При решении пяти задач центральный банк выполняет три основные функции: регулирующую, контролирующую и информационно-исследовательскую.
К регулирующей функции относится регулирование денежной массы в обращении. Это достигается путем сокращения или расширения наличной и безналичной эмиссии и проведения дисконтной политики, политики минимальных резервов, открытого рынка, валютной политики.
С регулирующей функцией тесно связана контролирующая функция. Центральный банк получает обширную информацию о состоянии того или иного банка при проведении, например, политики минимальных резервов или редисконтирования. Контролирующая функция включает определение соответствия требованиям к качественному составу банковской системы, т.е. процедуру допуска кредитных институтов на национальный банковский рынок. Кроме того, сюда относятся разработка набора необходимых для кредитных институтов экономических коэффициентов и норм и контроль за ними.
Всем центральным банкам присуща информационно-исследовательская функция, т.е. функция научно-исследовательского, информационно-статистического центра. При этом во многих странах эта функция отмечена в законодательном порядке. Так, Немецкий федеральный банк обязан давать при необходимости рекомендации федеральному правительству, а также снабжать его информацией о развитии кредитной системы.
В законе о национальном банке большое значение отводится информационно-исследовательской функции банка: предполагается, что банк обязан публиковать свои решения в специальном приложении к одной из центральных газет. Например, Австрийский национальный банк наделен значительными правами в плане доступа к информации. Он вправе требовать справки о деятельности отдельных кредитных институтов, предписывать сроки и форму отчетности коммерческих банков. На базе этих данных центральный банк проводит анонимный статистический анализ и при необходимости представляет информацию в высшие инстанции государственной власти и международные организации.
Центральный банк, имея, анализируя и публикуя объективную информацию о ситуации в денежно-кредитной сфере, может оперативно реагировать на глобальные и локальные экономические процессы. От верности оценки информации зависит выбор направлений денежно-кредитной политики в целом. Принятие решения о дополнительном выпуске денежных средств эмиссионным управлением центрального банка основывается на соответствующем экономическом анализе ситуации в стране, с тем чтобы при необходимости дать рекомендации и скоординировать действия государственных органов.
Информационно-исследовательская функция центрального банка предполагает также консультационную деятельность. В порядке информационного обмена, а также с целью консультаций центральными банками проводятся встречи, конференции, в том числе и на международном уровне. Функции центрального банка зачастую переплетаются, из одной вытекает другая, если этого требует достижение поставленной цели или решения какой-либо определенной задачи.
Функции Центрального банка Российской Федерации. В соответствии с Федеральным законом "О внесении изменений и дополнений в Закон РФ "О Центральном банке Российской Федерации (Банке России)"" от 26 апреля 1995 г. Центральному банку РФ предписано выполнение следующих функций:
• во взаимодействии с Правительством Российской Федерации разрабатывать и проводить единую государственную денежно-кредитную политику, направленную на защиту и обеспечение устойчивости рубля;
• монопольно осуществлять эмиссию наличных денег и организовывать их обращение;
• быть кредитором последней инстанции для кредитных организаций, организовывать систему рефинансирования;
• устанавливать правила осуществления расчетов в Российской Федерации;
• устанавливать правила проведения банковских операций, бухгалтерского учета и отчетности для банковской системы;
• проводить государственную регистрацию кредитных организаций, выдавать и отзывать лицензии кредитных организаций, занимающихся их аудитом;
• осуществлять надзор за деятельностью кредитных организаций;
• регистрировать эмиссию ценных бумаг кредитных организаций в соответствии с федеральными законами;
• выполнять самостоятельно или по поручению Правительства Российской Федерации все виды банковских операций, необходимых для решения основных задач Банка России;
• регулировать прохождение валюты, включая операции по покупке и продаже иностранной валюты; определять порядок расчетов с иностранными государствами;
• организовывать и производить валютный контроль как непосредственно, так и через уполномоченные банки в соответствии с законодательством Российской Федерации;
• принимать участие в разработке прогноза платежного баланса Российской Федерации и организовывать составление платежного баланса Российской Федерации;
• в целях осуществления перечисленных функций проводить анализ и прогнозирование состояния экономики Российской Федерации в целом и по регионам, прежде всего денежно-кредитных, валютно-финансовых и ценовых отношений; публиковать соответствующие материалы и статистические данные;
• осуществлять иные функции в соответствии с федеральными законами.
Детальный перечень функций Центрального банка Российской Федерации не противоречит международной практике работы центральных банков. Так же как и центральные банки других стран, Центральный банк Российской Федерации прежде всего выполняет функцию денежно-кредитного регулирования экономики и эмиссионную функцию.
Законы кредита
Представление общества о кредите не может быть полным без раскрытия законов его движения. Знание законов, налаживание механизма их реализации дают возможность наиболее успешно применять те ресурсы, которые дополнительно получают субъекты рынка в виде временно неиспользуемых стоимостей.Экономические законы предполагают обнаружение устойчивой взаимосвязи между экономическими явлениями, в том числе между кредитом и другими экономическими категориями. Кредит представляет собой лишь элемент общей системы экономических отношений, его функционирование можно понять не в изолированности, не в отрыве от этих отношений, а во взаимосвязи и взаимодействии с ними. Как уже отмечалось, кредит тесно взаимодействует как с экономикой в целом, так и с отдельными ее секторами. Соприкасаясь с другими элементами производственных отношений, кредит тем не менее "не растворяет" в них свою сущность. Будучи зависимым от этих отношений, он сохраняет свою относительную самостоятельность. Законы кредита в общем виде характеризуют то. что выражает единство зависимости кредита и его относительной самостоятельности.
У экономических законов, в том числе законов кредита, есть два фундаментальных признака: необходимость и существенность. Необходимость - основа закона. Без ее познания, без раскрытия неотвратимости той или иной зависимости кредита от других экономических отношений практически нет закона, а есть лишь описание всех и всяческих связей, характерных для экономических категорий. Закон, с одной стороны, не выражающий требуемых связей, "железной" необходимости, не может квалифицироваться как закон.
Необходимость, выражаемая законом, с другой стороны, должна совмещаться с сущностью кредита - признак существенности. Взаимодействуя с внешней средой, кредит остается самим собой. На него могут влиять различные экономические процессы, но его специфические черты от этого не исчезают. Вместе с тем кредит влияет на другие экономические отношения посредством присущих ему качеств (возвратности, срочности и др.). В этом смысле связи, выражаемые законами кредита, устойчивы, постоянны. Там, где нет постоянства во взаимодействии, нет и закона кредита.
Закон, следовательно, выражает такие связи, которые относятся именно к кредиту и одновременно являются неизбежными только для кредита.
Важно не смешивать закон с сущностью кредита. Закон выражает лишь элемент сущности, одну из ее сторон. Кроме того, законы обращены не к самой сущности, а к отношению между сущностями.
Помимо необходимости и существенности, экономические законы обладают и другими признаками, например объективностью. Положение об объективности законов препятствует их субъективистскому толкованию, предполагает такие их качественные и количественные характеристики, которые существуют вне и независимо от сознания людей. Это означает, что:
• кредит как объективная реальность совершает свое движение во времени и пространстве;
• ему свойственны противоречия, причинная обусловленность, определенные тенденции, закономерности, структура;
• его существование неразрывно связано с другими экономическими образованиями;
• он составляет лишь элемент общей системы экономических отношений.
Важным в данной характеристике является и то, что кредит, несмотря на происходящие в нем изменения, превращения из одной формы в другую, несмотря на механизм управления, остается объективной стоимостной категорией с ее всеобщими свойствами и связями. Законы кредита - прежде всего экономические законы, где стоимость, облаченная в особую форму, продолжает свое движение, не теряя при этом своих глубинных свойств.
На практике объективность экономических законов не достигается сама собой. Она становится возможной только при соблюдении интересов кредитора и заемщика, наличии определенных экономических условий.
К признакам закона относится также его всеобщность. Согласно данному признаку классифицировать то или иное качество как закон, определенное развитие как закон развития можно только тогда, когда одно и то же событие возникло при сходных обстоятельствах, присущих всем явлениям.
В отличие от ряда общих экономических законов, регулирующих экономику в целом, законы кредита действуют лишь на базе тех отношений, суть которых они выражают.
Законы кредита конкретны. Затрагивая особые стороны движения кредита, они определяют направление его движения, связи со смежными экономическими категориями, зависимости от конкретных материальных процессов и т.д. В определенном смысле законы кредита более конкретны, чем законы воспроизводства и его отдельных фаз, так как они обусловлены спецификой рассматриваемой категории.
Законы кредита проявляются прежде всего как законы его движения. Кредит в качестве отношений между кредитором и заемщиком нельзя представить без движения ссуженной стоимости, без ее пространственного перехода от одного субъекта к другому, без временного функционирования в кругообороте средств заемщика. Движение составляет важнейшую характеристику кредита как стоимостного образования, характеристику более существенную, чем его свойство, то, без чего кредит не может существовать.
В связи с этим в перечне законов кредита следует особенно выделить закон, выражающий особенности движения ссуженной стоимости, закон возвратности кредита.
Закон возвратности кредита (в отличие от собственных или бюджетных ресурсов) отражает возвращение ссуженной стоимости к кредитору, к своему исходному пункту. В процессе возврата от заемщика к кредитору передается именно та ссуженная стоимость, которая ранее была передана во временное пользование. Важно здесь и то, что возвратность ссуженной стоимости - это возвратность в квадрате, поскольку средства возвращаются не только к заемщику, совершив свой кругооборот, но от него к юридической исходной точке.
Рассматривая законы кредита, следует признать, что движение ссуженной стоимости зависит от источников ее образования. Если такая зависимость существует, то ее можно выразить в виде определенного закона. При кредите осуществляется взаимодействие с реально созданными стоимостями, его движение во многом обусловлено следующим обстоятельством: имеются ли в распоряжении кредитора реальные средства, которые могут быть переданы заемщику. Закон, регулирующий зависимость кредита от источников его образования, определим как закон равновесия между высвобождаемыми и перераспределяемыми на началах возвратности ресурсами.
К законам кредита можно отнести также закон сохранения ссуженной стоимости. Средства, предоставляемые во временное пользование, возвратившись к кредитору, не теряют не только своих потребительских свойств, но и своей стоимости; ссуженная стоимость, возвратившись из хозяйства заемщика, предстает в своем первозданном равноценном виде, готовая вступить в новый оборот. В отличие от средств производства, частично или полностью перенесших часть своей стоимости на готовый продукт, ссуженная стоимость возвращается в своем постоянном равноценном качестве, обладая теми же потенциальными свойствами, что и при первичном вступлении в оборот.
Существенное значение для кредита, как и для других экономических категорий, имеет время, составляющее атрибут движения стоимости. Оно во многом связано с теми потребностями, которые возникают у субъектов рынка. От того, куда, в какие затраты вложены кредитные ресурсы, зависит общая продолжительность функционирования кредита в кругообороте средств.
Время функционирования кредита оказывается зависимым и от ряда других факторов, в том числе времени высвобождения ресурсов. Чем больше время, на которое высвобождена стоимость у кредитора, тем шире возможности увеличения продолжительности ее функционирования в хозяйстве заемщика. Чем быстрее оборачиваемость кредита, тем шире возможности высвобождения ссуженной стоимости и ее вступления в новый оборот.
Все это позволяет уточнить временные границы функционирования кредита, сделать вывод о том, что движение ссуженной стоимости в каждой хозяйственной сделке ограничено. Временные границы ссуженной стоимости, возможности ее предоставления только на определенный срок обусловливают и временный характер существования кредитора и заемщика. В результате временный характер функционирования кредита становится атрибутом отношений не отдельных его частей, а законом кредита как целого, законом, воспроизводящим зависимость кредита от продолжительности высвобождения ссуженной стоимости и ее использования в кругообороте средств. Закон кредита, отражающий подобную его зависимость, предполагает, в частности, удовлетворение только временных потребностей субъектов воспроизводства в использовании позаимствованной стоимости.
Рассмотренные законы движения кредита имеют для практики большое значение. Отход от их требований, нарушение их сущности может отрицательно повлиять на денежный оборот, снизить роль кредита в народном хозяйстве.
Нарушение возвратности кредита дестабилизирует денежное обращение, приводит к банкротству банков, обостряет социальные противоречия, вызывая недовольство вкладчиков тех банков, которые объявили о своей несостоятельности.
Отсутствие дисбаланса между ресурсами, вовлекаемыми в процесс кредитования, увеличивает денежную массу, приводит к снижению покупательной способности денежной единицы.
Нарушение сохранения ссуженной стоимости приводит к девальвации ресурсов кредитора, снижению размера реальных стоимостей, предоставляемых в порядке помощи народному хозяйству.
Знание и учет законов кредита выступают наиболее важной задачей государства и банков в регулировании экономики страны.
Вопросы для самоконтроля
1. Что такое функция кредита и какими свойствами она должна обладать?
2. В чем состоят пять черт перераспределительной функции кредита?
3. Какова характеристика функции временного замещения денег в экономическом обороте?
4. Каковы функции кредита, имеющие дискуссионный характер?
5. Какими признаками должны обладать законы кредита?
6. В чем состоит закон возвратности кредита?
7. Каково содержание закона сохранения стоимости?
8. Какое значение законы кредита имеют для практики кредитных отношений?
Зарождение финансовых рынков и усиление позиций центральных банков
В течение XVII-XX вв. результатом консолидации и концентрации денежных капиталов в банках явилось усиление экономической мощи крупных государств мира (Великобритания, Франция, Германия, Россия). Стабилизировалась роль определявших уровень кредитных отношений в средние века европейских стран (Италия, Испания, Португалия, Нидерланды). В XX в. сформировался крупный экономический потенциал США и Японии. Качественно различный уровень структуризации товарно-денежных отношений повлиял на преобразование кредитных отношений, на степень их концентрации, централизации и монополизации, государственное регулирование.Чем больше было субъектов хозяйствования, тем при всех прочих равных условиях более интенсивно происходило увеличение кредитных операций банков ведущих европейских стран. Для их проведения банки не только расширили свою денежную основу (внедрение новых видов кредитных денег), но и способствовали формированию национальных и мирового финансовых рынков. Уже с XVII в. по мере упрочения позиций фондовых бирж, котировок на них ценных бумаг государств и различных компаний, массового учредительства акционерных обществ банки развивают отдельные сегменты финансовых рынков как полнокровных источников пополнения своего денежного капитала для осуществления кредитных операций.
"Как только торговля деньгами отделяется от торговли товарами, она приобретает - при известных условиях, определяемых производством и торговлей товарами, и в этих пределах - свое собственное развитие, имеет особые законы и фазы, которые определяются ее собственной природой. Когда же вдобавок к этому торговля деньгами в своем дальнейшем развитии расширяется до торговли ценными бумагами - причем эти ценные бумаги состоят не только из государственных бумаг, но к ним присоединяются и акции промышленных и транспортных предприятий, и торговля деньгами завоевывает, таким образом, прямое господство над частью производства, которое в общем и целом господствует над нею, тогда обратное действие торговли деньгами на производство становится еще сильнее и сложнее. Торговцы деньгами являются собственниками железных дорог, шахт, металлургических заводов и т. д. Эти средства приобретают двоякий характер: их работа должна приспособляться то к интересам непосредственного производства, то к потребностям акционеров, поскольку они же являются банкирами".
Однако концентрация частного финансово- промышленного капитала неизбежно вырастает до национальных масштабов. Кредитная активность банков Великобритании и Голландии на протяжении длительного времени вплоть до XX в. выражалась не только уровнем промышленного развития, но и масштабами проводимых операций. На протяжении трех столетий (с 40-х гг. XVII в. до 40-х гг. XX в.) интенсивность кредитных операций этих банков определялась масштабами территорий и проживающего на них населения. За отмеченный период рост колониальных владений к метрополии по площади и количеству населения составил: для Великобритании - соответственно 73 раза и 9,5 раза, для Голландии - соответственно 70 раз и 8 раз. Только банки Великобритании имели за границей свыше 4 тыс. отделений, позволявшие сохранить фунт стерлингов как резервную валюту, обслуживающую 1/3 мирового платежного оборота. Валютные резервы Великобритании (с учетом Франции и США) за 1815-1913 гг. увеличились соответственно по золоту в 150,2 раза, по серебру - в 49,2 раза. Огромные государственные расходы требовали задействовать банки в качестве крупных финансовых посредников.
В ВЕЛИКОБРИТАНИИ укрепление национальной валюты, привязка к ней внутреннего государственного долга благодаря организации Банка Англии создало основы взаимодействия государства как крупного заемщика банка и банка как крупного кредитора государства. Банк Англии с помощью собственных банкнот гарантировал обслуживание государственного долга. Он мог выдавать кредиты правительству с разрешения парламента. При несоблюдении сумма штрафа составляла трехкратный размер суммы выданных правительству кредитов без разрешения парламента. Даже король не мог изменить данное положение. С 1746 г. было установлено устойчивое соотношение, которое длительное время соблюдалось между кредитами банка государству и увеличением акционерного капитала в результате дополнительного выпуска акций и дополнительных взносов.
Концентрация привилегий в центральном банке предопределила централизацию денежного капитала, с ней кредитные операции банков приобрели дополнительный стимул роста и устойчивость. Это обеспечивалось за счет расширения обслуживаемых банковскими услугами территорий и установления льгот для крупных клиентов. Если в 1890 г. 104 английских банка имело 2203 отделения, то к 1926 г. только 18 крупных банков располагало сетью в 8676 отделений. По активу общего баланса английских банков ссудные операции в течение длительного периода были стабильными и составляли долю в 58%.
Монопольное положение отдельных акционерных банков ослабило позиции Банка Англии. Правительство вынуждено было выдавать специальные разрешения для слияния крупных банков. В то же время банки не испытывали конкуренции и вплоть до 70-х гг. XX в. находились под защитой банковского картеля, который контролировал процентные ставки и условия деятельности. Регулирующая роль Банка Англии была постепенно восстановлена и упрочена. Благодаря совершенствованию кредитной деятельности удалось ликвидировать противоречия, сложившиеся между лондонскими (столичными) и провинциальными банками в результате конкуренции на финансовом рынке и создать единую банковскую систему.
В ГЕРМАНИИ монополизация банков позволила контролировать рынок ценных бумаг, что усилило риск долгосрочного кредитования промышленности и создало предпосылки для образования банковских синдикатов при высоком уровне акционерного капитала и отсутствии широкой сети филиалов. Стабилизации банковской системы, усилению роли Рейхсбанка способствовала тесная связь с местными банками. К 30-м гг. XX в. количество акционерных банков составило около 400. Усилилось монополистическое влияние ведущих трех крупных банков (Дойчебанк, Дрезденербанк, Коммерцбанк).
Во ФРАНЦИИ выпуск ценных бумаг без обеспечения привел к спекулятивной рискованной кредитной деятельности "Генерального общества движимого имущества" ("Кредит мобиле") с середины XIX в. К концу XIX в. из 6 тыс. банков, появившихся в течение 50 лет, осталось 2 тыс. Только благодаря кредитной политике Банка Франции с начала XX в., внедрению ломбардных операций (кредиты под залог государственных ценных бумаг) удалось стабилизировать кредитный рынок, учетную ставку процента. Преобладание операций с ценными бумагами усилило позиции крупных деловых банков - известных банкирских домов Вормса, Дрейфуса, братьев Лазар и др. Большое значение придавалось межбанковским связям, упрочению корреспондентских отношений, особенно в условиях постоянной конкуренции с разветвленной государственной кредитной системой (почтовые сберкассы, народные банки) и из-за высокой степени государственных притязаний (тенденций к национализации банков).
В РОССИИ государственные банки (Медный, Вспомогательный для дворянства, Ассигнационный и др.) на протяжении длительного периода занимались долгосрочным кредитованием (с 30-х гг. XVIII в.). Появление коммерческих банков началось с 60-х гг. XIX в. К 1914 г. было создано более 50 банков, количество их отделений возросло с 40 до 822. Распространенными становятся ссуды под ценные бумаги. Со стороны других кредитных учреждений (обществ взаимного кредита, городских банков, кредитной кооперации) ощущалась постоянная конкуренция.
Небольшое количество коммерческих банков объяснялось политикой государства (финансовая поддержка крупных банков, жесткое регулирование акционерного учредительства).
Особое значение имела собственно кредитная деятельность Государственного банка. Вразрез с уставом, по которому основными учетно-ссудными операциями являлись учет векселей, срочных правительственных и общественных процентных бумаг, иностранных тратт и ссуд под товары и ценные бумаги. Госбанк предоставлял долгосрочные кредиты и осуществлял прием в залог недвижимого имущества заемщиков по векселям. Развитие получили неуставные ссуды, т.е. операции, производимые по специальной докладной министра финансов и с разрешения императора. По назначению, размерам и сроку они противоречили уставу.
Далее важным направлением становится развитие промышленного кредита (ссуды под простые векселя, под залог недвижимого имущества, различного рода инвентарь). Тесная подчиненность Министерству финансов в качестве его вспомогательного учреждения не способствовала развитию краткосрочного кредита.
В советское время (с 20-х по 80-е гг. XX в.) Госбанк был превращен в орган краткосрочного кредитования народного хозяйства: коммерческий кредит был заменен прямым банковским, а система коммерческих банков - системой государственных специализированных банков.
Банки: Управление - Кредит - Закон
- Банки
- Управление банком
- Банковская ликвидность
- Банковские риски
- Виды банков
- Услуги банка
- Банковское право
- Банки в России
- Иностранные банки
- Кредит
- Виды кредита
- Кредитная система
- Кредиты в России
- Кредитное законодательство