Кузнецов В. Е. - Управление инвестиционными рисками
В частности, актуальность финансового управления рисками на международных рынках связана с тем, что риски увеличиваются, произошла их глобализация, сократились ценовые спрэды при том, что увеличилась волатильность валют, процентных ставок, курсов ценных бумаг и цен на сырьевые товары. В целом, финансовые рынки стали более нестабильными, сложными и рискованными.
Риск является оценкой потенциальных (максимально возможных) потерь, которые может понести банк, страховая компания, пенсионный фонд или паевой фонд, осуществляющие определенную финансовую деятельность. Для институционального инвестора в целом эти максимально возможные потери не должны превышать определённой величины. В противном случае существует вероятность возникновения финансовой неустойчивости.
Как сделать так, чтобы этого не произошло? Необходима система управления рисками.
Значимость управления риском заключается в возможности, во-первых, прогнозировать в определенной степени наступление рискового события, во-вторых, заблаговременно принимать необходимые меры к снижению размера возможных неблагоприятных последствий. Для того чтобы управлять риском, необходимо иметь его количественную оценку, т.е. уметь измерять вероятность наступления неблагоприятных событий и величину потерь сопутствующих им.
Коммерческие банки сталкиваются в своей повседневной деятельности с большим количеством различного рода рисков (кредитные, валютные, ценовые). Они должны иметь эффективные методы по оценке рисков для ежедневного мониторинга всех видов риска, как по отдельности, так и в совокупности для всего портфеля банка.
Российская экономика является переходной, сочетающей в себе черты открытой рыночной и административной систем. Процесс реформ оказался связан с крупнейшими макроэкономическими проблемами: инфляция, инвестиционный кризис, бюджетный дефицит, быстро растущий государственный долг, демонетизация экономики, высокие риски и нестабильность.
Поэтому модели, используемые при оценке рисков, которые возникали на российском финансовом рынке, позволили банкам и предприятиям сглаживать негативные последствия таких экономических тенденций. В этой связи особую актуальность приобретает изучение зарубежного опыта.
Целью дипломной работы являются обобщение и анализ моделей оценки инвестиционных рисков, изучение теоретической концепции и методологии управления рисков для использования в банковской практике.
Для реализации поставленной цели в дипломной работе будут решены следующие задачи:
- изучение основных видов инвестиционных рисков и их классификации в инвестиционном анализе;
- анализ классических методов оценки риска;
- исследование VaR моделей в оценке инвестиционных рисков,
- разработка методологии управления рисками финансовых активов для применения в российской банковской практике;
- рассмотрение метода по страхованию рисков с помощью хеджирования позиций.
Инвестиционные риски
Понятие инвестиционных рисков
Инвестиционный риск это опасность потери инвестиций, неполучения от них полной отдачи, обесценения вложений.
Для финансового менеджера риск - это вероятность неблагоприятного исхода. Различные инвестиционные проекты имеют различную степень риска, самый высокодоходный вариант вложения капитала может оказаться и самым рискованным.
Риск - это экономическая категория. Как экономическая категория он представляет собой событие, которое может произойти или не произойти.
В случае совершения такого события возможны три экономических результата: отрицательный (проигрыш, ущерб, убыток); нулевой; положительный (выигрыш, выгода, прибыль).
Риска можно избежать, т.е. просто уклониться от мероприятия, связанного с риском. Однако для предпринимателя избежание риска зачастую означает отказ от возможной прибыли.
Функционированию и развитию многих экономических процессов присущи элементы неопределенности. Это обуславливает появление ситуаций, не имеющих однозначного исхода. Понятие ситуация риска можно определить как сочетание, совокупность различных обстоятельств и условий, создающих определенную обстановку для того или иного вида деятельности.
Если существует вероятность количественно и качественно определять степень вероятности того или иного варианта, то это и будет ситуация риска.
Ситуации риска сопутствуют три условия:
- наличие неопределенности;
- необходимость выбора альтернативы (в т. ч. отказ от выбора);
- возможность оценить вероятность осуществления выбираемых альтернатив.
Ситуацию риска следует отличать от ситуации неопределенности. Последняя характеризуется тем, что вероятность наступления результатов решений или событий в принципе неустанавливаема.
Ситуацию же риска можно охарактеризовать как разновидность неопределенности, когда наступление событий вероятно и может быть определено, т. е. объективно существует возможность оценить вероятность событий, предположительно возникающих в результате осуществления хозяйственной деятельности.
Стремясь снять рискованную ситуацию, субъект делает выбор и стремится реализовать его. Тем самым риск предстает моделью снятия субъектом неопределенности, способом практического разрешения противоречия при неясном (альтернативном) развитии противоположных тенденций в конкретных обстоятельствах.
Понимание того, что субъект столкнулся с ситуацией риска и ему предстоит выбор из нескольких альтернативных вариантов поведения, называется осознанием риска.
Кроме того, при рассмотрении сущности риска надо учитывать, что это понятие включает в себя не только наличие рисковой ситуации и ее осознание, но и принятие решения, сделанного на основе количественного и качественного анализа риска.
Таким образом, риск как ситуация, связанная с наличием выбора из предполагаемых альтернатив имеет важное свойство вероятность. Вероятность математический признак, означающий возможность рассчитать частоту наступления события при наличии достаточного количества статистических данных.
Вот почему риск нельзя определять через вероятность (вероятность признак риска) и тем более неопределенность (отсутствующую возможность определить вероятность исхода события).
Помимо этого, необходимо отметить основную особенность риска риск имеет свойство уменьшаться с увеличением предсказуемости рискосодержащего события. Под рискосодержащим событием понимается то событие, от совершения или несовершения которого зависит соответственно успех или неудача предполагаемого предприятия.
И так как риск в таком случае выражается процентной (или количественной) возможностью несовершения благоприятного события, то чем больше существует возможностей предвидеть, свершится или не свершится это событие, тем меньше значение риска. Таким образом, риск нельзя определить и как событие.
Событие в данном случае условие возникновения рисковой ситуации.
Исходя из вышесказанного, дадим следующее определение. Риск ситуация, связанная с наличием выбора из предполагаемых альтернатив путем оценки вероятности наступления рискосодержащего события, влекущего как положительные, так и отрицательные последствия.
Всю работу над риском целесообразно рассматривать только в системе отношений между субъектами и объектами управления риском, т. е. в некой системе.
Система управления представляет собой сложный механизм воздействия управляющей системы на управляемую с целью получения желаемого результата. Таким образом, управление риском как система состоит из двух подсистем: управляемой подсистемы (объекта управления) и управляющей подсистемы (субъекта управления).
В системе управления риском объектом управления являются риск, рисковые вложения капитала, экономические отношения между хозяйствующими подразделениями в процессе реализации риска.
Субъектом управления в системе управления риском является специальная группа людей (руководитель, финансовый менеджер, менеджер по риску и другие), которая посредством различных приемов и способов управления осуществляет целенаправленное воздействие на объект управления.
Существует интересное мнение по поводу использования термина система управления риском. Некоторые считают, что с точки зрения исследования операций словосочетание управление риском лишено смысла, поскольку неопределенностью управлять нельзя. Таким образом, когда говорят о системе управления риском, речь идет о системе поддержки принятия решения того или иного субъекта, главная задача, которой в максимальной степени снизить неопределенность, имеющую место при принятии решений субъектам.
Такая трактовка системы управления риском несколько сужает ее предназначение. Система управления риском, несомненно, включает процесс принятия решений, однако на этом ее функции не ограничиваются. Система управления риском включает также дальнейший мониторинг рисковых позиций, их хеджирование, порядок взаимодействия подразделений в процессе контроля за принятыми рисками и т. п.
При анализе системы управления рисками целесообразно использовать в качестве основного методологического инструмента системный подход.
Системный подход представляет собой всесторонний подход, фокусирующий внимание не только на организации, но и на окружающей ее среде. Центральным понятием системного подхода является понятие система, которое отражает понятие о том, что различные элементы, соединяясь, приобретают новое качество, которое отсутствует у каждого из них в отдельности. Новое качество возникает благодаря наличию связей в системе, которые осуществляют перенос свойств каждого элемента системы ко всем остальным элементам системы.
Такие связи называются интегральными или системными.
Эффективность функционирования системы управления риском, исходя из основных положений системного подхода, определяется эффективным взаимодействием между частями системы, нежели результативной работой ее отдельных властей
Таким образом, система управления рисками представляет собой совокупность взаимосвязанных и взаимозависимых элементов, конечной целью существования которых является минимизация рисков.
Систему управления риском можно охарактеризовать как совокупность методов, приемов и мероприятий, позволяющих в определенной степени прогнозировать наступление рисковых событий и принимать меры к исключению или снижению отрицательных последствий наступления таких событий. На систему управления риском оказывают влияние как внутренние, так и внешние факторы.
Системный подход предписывает искать истоки проблем, возникающих в работе, в первую очередь во внешней среде.
Внешними факторами системы управления риском являются следующие:
нормативная база в сфере регулирования риска (нормативы, методики, рекомендации, стандарты бухгалтерского учета и т. п.);
макроэкономические факторы;
зарубежный опыт управления риском.
Наиболее характерными чертами внешней среды является динамичность, многообразие и интегрированность.
Динамичность предполагает быструю изменчивость внешней среды. Задача создавать адаптивные системы управления риском, которые не сопротивляются изменениям внешней среды, а меняются вместе с ней.
Следующая характерная черта внешней среды многообразие. Современная организация взаимодействует с огромным числом различных объектов акционерами, клиентами, партнерами, Центральным банком, органами власти, конкурентами и т. д. Все это многообразие усугубляется еще и тем, что все объекты связаны между собой множеством нитей экономических, информационных, политических, административных, постоянно влияют друг на друга, то есть внешняя среда интегрирована.
Следовательно, изменение взаимодействия организации с любым из этих объектов влечет за собой изменение отношений и с остальными.
Внутренние факторы системы управления риском включают
специфику деятельности организации, его политику, стратегию и тактику;
организационную структуру;
квалификацию персонала.
Основными чертами внутренней среды являются:
стремление к выживанию;
постоянное изменение, развитие, направленное на приспособление к внешней среде;
совершенствование, наличие целостности, единого предназначения для всех элементов.
Как система управления, управление риском предполагает осуществление ряда процессов и действий, которые представляют собой элементы системы управления риском. К ним можно отнести:
идентификацию и локализацию риска;
анализ и оценку риска;
способы минимизации и предотвращения риска;
мониторинг рисковых позиции.
Процесс управления риском можно упрощенно представить в виде следующей блок-схемы ( 1.1.1.).
Следует отметить, что сбор и обработка информации является важным этапом процесса управления независимо от его конкретного содержания. В процессе управления риском к полноте и качеству информации предъявляются особые требования, так как отсутствие полной информации является одним из существенных факторов риска, и принятие решения в условиях неполной информации служит источником дополнительных финансовых потерь.
На схеме (1.1.1.) для упрощения блок-схемы сбор и обработка информации по аспектам риска представлены в качестве первого этапа. В действительности эта работа осуществляется на протяжении всего процесса принятия решения.
По мере перехода от одного этапа к другому при необходимости может уточняться потребность в дополнительной информации, осуществляться ее сбор и обработка.
Особую роль играет информация в процессе качественного и количественного анализа риска.

1.1.1. Блок-схема процесса управления риском [15; 12].
1 - сбор и обработка данных; 2 - качественный анализ риска; 3 - количественная оценка риска; 4 - оценка приемлемости риска; 5, 11 - оценка возможности снижения риска; 6, 12 - выбор методов и формирование вариантов снижения риска; 7 - оценка возможности увеличения риска; 8 - формирование и выбор вариантов увеличения риска; 9, 13 - оценка целесообразности снижения риска; 10 - оценка целесообразности увеличения риска; 14 - выбор варианта снижения риска; 15 - реализация проекта (принятие риска); 16 - отказ от реализации проекта (избежание риска).
Качественный анализ предполагает: выявление источников и причин риска, этапов и работ, при выполнении которых возникает риск, т. е. установление потенциальных зон риска, идентификацию всех возможных рисков, выявление практических выгод и возможных негативных последствий, которые могут наступить при реализации содержащего риск решения.
Результаты качественного анализа служат важной исходной информацией для осуществления количественного анализа.
Количественный анализ предполагает численное определение отдельных рисков и общего риска. На этом этапе определяется вероятность наступления рисковых событий и их последствий, осуществляется количественная оценка степени риска, определяется также допустимый уровень риска.
В результате проведения анализа риска получается картина возможных рисковых событий, вероятность их наступления и последствий. После сравнения полученных значений рисков с предельно допустимыми вырабатывается стратегия управления риском, и на этой основе меры предотвращения и уменьшения риска.
Меры по устранению и минимизации риска включают следующие этапы:
оценку приемлемости полученного уровня риска;
оценку возможности снижения риска или его увеличения (в случае, когда полученные значения риска значительно ниже допустимого, а увеличение степени риска обеспечит повышение ожидаемой отдачи);
выбор методов снижения (увеличения) рисков;
оценку целесообразности и выбор вариантов снижения (увеличения) рисков.
После выбора определенного набора мер по устранению и минимизации риска следует принять решение о степени достаточности выбранных мер. Если мер недостаточно целесообразно отказаться от реализации проекта (избежать риска).
Следует отметить, что здесь рассмотрена лишь общая схема процесса управления риском. Характер и содержание перечисленных выше этапов и работ, используемые методы их выполнения в значительной степени зависят от специфики предпринимательской деятельности и характера возможных рисков.
-
Классификация инвестиционных рисков.
Общеизвестно, что реализация большинства инвестиционных проектов на любом фондовом рынке сопряжена с существенным риском потери части или даже всего вложенного капитала, причем риск потерь тем выше, чем выше уровень ожидаемого от инвестиций дохода. В связи с этим крайне важно иметь четкое представление о той системе рисков, которые можно назвать инвестиционными рисками, и которая вбирает в себя все риски, присущие инвестиционной деятельности в целом. Все инвестиционные риски принято подразделять на системные и несистемные в зависимости от того, насколько широкий круг инструментов фондового рынка подвергается опасности их воздействия в каждом конкретном случае.
Несистемные риски представляют собой такие риски, воздействию которых могут подвергнуться лишь отдельные ценные бумаги или небольшие их совокупности. Эти риски называют также риск отдельных ценных бумаг или уникальный риск, поскольку такие риски, как правило, бывают, присущи ценным бумагам только конкретной компании или, более того, только конкретным финансовым инструментам. Для иллюстрации можно назвать такие риски, относящиеся к категории несистемных:
- риск потери ликвидности (liquidity risk) - спрос на те или иные ценные бумаги может подвергаться значительным изменениям, в том числе пропадать на продолжительные периоды времени;
- предпринимательский риск (business risk) - цена ценных бумаг (в частности, акций) любой компании зависит от того, насколько успешно компания работает в выбранном ею направлении;
- финансовый риск (financial risk) - цена акций компании может колебаться в зависимости от проводимой ее руководством финансовой политики. Так, например, степень финансового риска увеличивается, если в финансировании деятельности компании ее руководство большое значение придает выпуску корпоративных долговых обязательств;
- риск невыполнения обязательств (default risk) - эмитент, в силу различных причин (например, банкротство), может оказаться не в состоянии выполнить в срок или вообще выполнить свои обязательства перед держателями его ценных бумаг.
Для минимизации несистемных рисков используется такой метод, как диверсификация, для применения которого необходимо составление инвестиционного портфеля. Создавая инвестиционный портфель, инвестор составляет набор из нескольких финансовых инструментов, выпущенных различными эмитентами, а значит, подвергающихся неодинаковым несистемным рискам. Таким образом, инвестор стремится диверсифицировать инвестиционные риски, то есть избежать одновременного изменения доходности каждого инструмента в одном и том же направлении. При этом чем меньше бумаг в инвестиционном портфеле, тем выше уровень риска. Метод диверсификации в отношении минимизации несистемных рисков проявил себя как весьма эффективный при условии составления достаточно большого инвестиционного портфеля.
Пределом для диверсификации служит уровень рисков, присущих данному финансовому рынку в целом, то есть рисков, получивших в теории название системных.
Под системными рисками понимаются риски, которые присущи работе не с отдельными ценными бумагами, а с теми или иными совокупностями ценных бумаг, в большей или меньшей степени для каждой из входящих в такую совокупность ценных бумаг. Системные риски носят также название риск инвестиционного портфеля или рыночный риск. Последнее название системные риски получили потому, что их влиянию подвергается весь рынок или его значительная часть. Соответственно, наибольшее внимание на системные риски следует обращать тем инвесторам, которые капиталовложениям в отдельные инструменты предпочитают формирование инвестиционного портфеля.
Системные риски вызываются возможными неопределенностями в экономической ситуации на рынке в целом, общими тенденциями, характерными для рынка в целом, а значит воздействуют на ценные бумаги практически всех эмитентов, работающих на данном рынке. В случае с системными рисками метод диверсификации не действует, и избежать опасности понести убытки в ходе осуществления капиталовложений крайне сложно. Как примеры таких рисков, не исчерпывая всего их многообразия, можно назвать:
- процентный риск (interest rate risk) - вызывается колебаниями процентных ставок. Особенно актуален для владельцев долговых обязательств, например, облигаций;
- валютный риск (exchange rate risk) - риск, присущий инвестициям в ценные бумаги иностранных эмитентов и напрямую связанный с колебаниями валютных курсов;
- инфляционный риск (inflation risk) - неожиданное повышение уровня инфляции ведет к вынужденным изменениям в деятельности эмитентов и может существенно повлиять на цену акций;
- политический риск (political risk) - неожиданные, в особенности драматические, изменения политической ситуации неизбежно влияют на фондовый рынок, зачастую весьма неблагоприятно. Особенно актуальным этот риск становится при работе с финансовыми инструментами развивающихся стран, но присутствует он и при работе на устоявшихся рынках.
Мировые финансовые и валютные кризисы, последний (как хочется надеяться) российский кризис августа 1998 года вновь наглядно продемонстрировали, что риски (прежде всего финансовые) существуют объективно, независимо от организации, находящейся под их воздействием. Так, например, рыночный риск (риск изменения рыночной цены активов или обязательств) существует всегда - любой кризис приводит лишь к существенному возрастанию этого риска. Это пример так называемого систематического (неустраняемого) риска - аналог -фактора в модели оценки капитальных активов САРМ (Capital Asset Pricing Model). Поэтому, в случае некорректного управления рисками (особенно финансовыми) в какой-либо организации, рыночный риск может принести к банкротству этой организации даже в период затишья на рынке.
Стоит еще раз особо подчеркнуть, что риск есть всегда. Действительно, риск субъекта на финансовом рынке - это неопределенность его финансовых результатов в будущем, обусловленная неопределенностью самого этого будущего.
На финансовых рынках у экономических агентов могут возникать не только финансовые риски, но и другие типы рисков (например, юридические, операционные, информационные, риски по забалансовым операциям, риски инноваций, банкротства, концентрации, злоупотреблений, специальные риски и т.д.).
Точнее определить риск (в том числе на финансовых рынках) как степень неопределенности результатов деятельности (включая финансовые результаты) экономического агента в будущем, возникающую из-за объективно существующей неопределенности этого будущего.
Данное определение хорошо согласуется с классическими понятиями исследования операций и других смежных дисциплин: определенность, риск и неопределенность.
В процессе оценки и выбора альтернатив руководителю приходится принимать решения при разных обстоятельствах, которые традиционно классифицируются как условия определенности, риска и неопределенности. Решение принимается в условиях определенности, если считается, что точно известен результат каждого из альтернативных вариантов выбора.
Оценка инвестиционных рисков
К решениям, принимаемым в условиях риска, относят такие, результаты которых не являются определенными, но вероятность каждого результата известна. Понятие риск используется здесь не в смысле опасности, а скорее относится к степени (уровню) неопределенности, с которой оперируют при поступлении данных и принятии решений.
Если в условиях определенности оптимальный выбор единственен (существует лишь одна альтернатива), то в условиях риска сумма вероятностей всех альтернатив должна равняться единице. Решение принимается в условиях неопределенности, если невозможно оценить вероятности потенциальных результатов и последствий принятия решений.
Нужно различать частичную неопределенность или, иначе, неопределенность I рода (известен лишь вид функции распределения) и неопределенность II рода (практически полная неопределенность). Неопределенность II рода особенно характерна для непредсказуемо или быстроменяющихся условий (условий средней и сильной нестабильности) внешней и/или внутренней среды финансовых рынков в кризисных ситуациях.
Важно подчеркнуть, что основные приемы, способы и методы принятия решений в условиях рисков и неопределенности предполагают использование моделей, основанных на тех или иных идеальных допущениях и предположениях. Как только эта аксиоматическая база перестает соответствовать реальной действительности, можно ожидать чрезвычайно сильных и грубых ошибок и искажений результатов, при этом, как правило, оказывается невозможной реализация теоретических построений и подходов на практике.
Возникает модельный риск. Отсюда неизменно следует вывод о чрезвычайной важности понимания экономической уместности и границ применимости конкретных методов и моделей, а также необходимости критического анализа и проверки на адекватность гипотез и аксиом, допущений и предположений, которые заложены в основу того или иного подхода, той или иной методики, концепции или методологии.
Рыночные риски относятся к группе финансовых рисков, поэтому предлагается следующее определение финансового риска (точнее, группы финансовых рисков). Финансовый риск - возможность (выражаясь математическим языком, вероятностная мера, в том числе вероятность ожидаемых или непредвиденных результатов) финансовых потерь и банкротств в процессе финансовой деятельности или неполучения прироста финансового выигрыша от вложений в альтернативные источники доходов и неверных действий (в том числе бездействия) на рынке.
Поэтому в дальнейшем под финансовым риском мы будем понимать как риск финансовых потерь, так и риск упущенной финансовой выгоды.
Заметим, что определения и классификации рисков могут быть различными, например, в зависимости от источников их возникновения, характера и особенностей учета, методов оценки, возможностей регулирования и минимизации рисков и других оснований и обоснований. В принципе, сколько ситуаций, методик и авторских мнений - столько может существовать определений и классификаций рисков.
Но критерий по-прежнему один - адекватность реальной действительности и практике.
Так, согласно поправкам Базельского комитета по банковскому надзору, в качестве основы для классификации рисков рекомендуется выделять следующие важнейшие группы (типы) рисков: рыночные риски (Market Risks), кредитные риски (Credit Risks), риски ликвидности (Liquidity Risks), операционные риски (Operations Risks), а также юридические риски (Legal Risks).
Из всех типов рисков группа рыночных рисков наилучшим образом поддается формализованному вероятностно-статистическому описанию, а методы оценки рыночного риска получили широкое применение в мировой практике.
Наибольшее распространение получили следующие два определения.
Рыночный риск - риск изменения значений параметров рынка, таких, как процентные ставки, курсы валют, цены акций или товаров, корреляция между различными параметрами рынка и изменчивость (волатильность) этих параметров.
Рыночный риск - риск получения убытков от изменения рыночной цены активов или обязательств.
Объединяя и уточняя эти определения, получим следующее определение:
Рыночный риск - степень неопределенности будущих изменений рыночных параметров и факторов, корреляция между этими параметрами и факторами, их волатильность, а также возможность потерь или упущенной выгоды от этих изменений.
Поясним понятие рыночного риска на простом примере. Предположим, что сегодня мы купили акции ОАО Газпром или ЛУКойл по цене X, рассчитывая, что при подъеме рынка нам удастся продать их через определенный промежуток времени (день, неделя, месяц и т.п.) с выгодой по цене YX.
Однако из-за неопределенности рынка акций в будущем есть вероятность падения цен акций ниже уровня X через указанный временной период, то есть мы рискуем понести потери. Если же во время колебаний цен около уровня X как в положительную, так и отрицательную стороны, мы не сможем использовать возможности арбитража и спекуляций (в хорошем рыночном смысле), то возникнет риск упущенной выгоды.
Сегодня особое значение рыночный риск приобретает при работе на международных рынках капиталов, прежде всего со срочными финансовыми инструментами и деривативами (в том числе, фьючерсами и опционами).
Резюмируя все вышесказанное, укажем основные моменты данной главы. Инвестиционный риск это опасность потери инвестиций, неполучения от них полной отдачи, обесценения вложений.
Инвестиционные риски можно подразделить на системные несистемные. Для минимизации несистемных рисков менеджер портфеля может применить такой метод, как диверсификация портфеля.
Основную угрозу инвестиционному портфелю несут систематические риски, так как они практически не поддаются управлению со стороны менеджеров портфеля. Поэтому в нашей работе основной упор будет сделан на анализ и оценку несистемных рисков.
Оценка инвестиционных рисков
Классические модели оценки риска
Рассмотрим один из методов определения риска портфеля на примере. Пусть в состав портфеля входят государственные ценные бумаги, а именно облигации федерального займа. ОФЗ 27018 с погашением в сентябре 2005 года составляет в структуре портфеля 25% (Х1=0,25), ОФЗ 45001 с погашением в ноябре 2006 года 45% (Х2=0,45), ОФЗ 46001 с погашением в сентябре 2008 года 30% (Х3=0,3) .
Ковариация - это статистическая мера взаимодействия двух случайных переменных. То есть это мера того, насколько две случайные переменные, такие, например, как доходности двух ценных бумаг / и/, зависят друг от друга. Положительное значение ковариации показывает, что доходности этих ценных бумаг имеют тенденцию изменяться в одну сторону, например лучшая, чем ожидаемая, доходность одной из ценных бумаг должна, вероятно, повлечь за собой лучшую, чем ожидаемая, доходность другой ценной бумаги. Отрицательная ковариация показывает, что доходности имеют тенденцию компенсировать друг друга, например лучшая, чем ожидаемая, доходность одной ценной бумаги сопровождается, как правило, худшей, чем ожидаемая, доходностью другой ценной бумаги.
Относительно небольшое или нулевое значение ковариации показывает, что связь между доходностью этих ценных бумаг слаба либо отсутствует вообще.
Очень близкой к ковариации является статистическая мера, известная как корреляция. На самом деле, ковариация двух случайных переменных равна корреляции между ними, умноженной на произведение их стандартных отклонений:
где pij (греческая буква р) обозначает коэффициент корреляции между доходностью на ценную бумагу i и доходностью на ценную бумагу j. Коэффициент корреляции нормирует ковариацию для облегчения сравнения с другими парами случайных переменных.
Пусть ОФЗ 27018 является ценной бумагой под номером один, ОФЗ 45001 под номером два и ОФЗ 46001 под номером три.
Коэффициент корреляции между первой и второй ценной бумагой составил р12 = 0,994, р13 = 0,990, р23 = 0,999.
Коэффициент корреляции всегда лежит в интервале между -1 и +1. Если он равен 1, то это означает полную отрицательную корреляцию, если +1 полную положительную корреляцию.
В большинстве случаев он находится между этими двумя экстремальными значениями. Все три бумаги имеют достаточно высокий коэффициент корреляции, близкий единице.
Данный факт дает основания предположить, что все три бумаги практически одинаково реагируют на изменение рыночной ситуации.
Чтобы найти ковариации ценных бумаг, нужно рассчитать их стандартные отклонения. При расчетах используется база данных с января по май 2003 года.
Проведя расчеты получили следующие результаты: 1 = 3,72, 2 = 4,34, 3 = 6,27. Отсюда можно сделать вывод, что дюрация облигации прямо пропорциональна стандартному отклонению, т.е. облигация, обладающая большей дюрацией, имеет больший риск.
Зная стандартные отклонения и коэффициенты корреляции ценных бумаг i и j, можем найти их ковариацию. Так расчеты показали, что 12 = 15,88, 13 = 22,83, 23 = 25,35. Найдем дисперсию для каждой ценной бумаги, которая понадобится для составления ковариационоой матрицы.
Дисперсия для первой ценной бумаги равна 11 = 1 * 1 * 1 = 1= 13,69. Аналогично, 22 = 17,58, 33 = 35,88.
В результате получаем на выходе следующую ковариационную матрицу.
Таблица 2.1.1.
Ковариационная матрица
|
Наименование ценной бумаги |
27018 |
45001 |
46001 |
|
27018 |
13,69 |
15,88 |
22,83 |
|
45001 |
15,88 |
17,58 |
25,35 |
|
46001 |
22,83 |
25,35 |
35,88 |
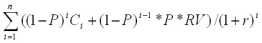
Все необходимое для расчета риска портфеля мы получили. Находим стандартное отклонение портфеля: р = [Х1Х111 + Х1Х212 + Х1Х213 + Х2Х121 + Х2Х222 + Х2Х323 + Х2Х131 + Х3Х232 + Х3Х333] = [(0,25*0,25*13,69) + (0,25*0,45*15,88) + (0,25*0,3*22,83) + (0,45*0,25*15,88) + (0,45*0,45*17,58) + (0,45*0,3*25,35) + (0,3*0,25*22,83) + (0,3*0,45*25,35) + 0,3*0,3*35,88)] = [21,49] = 4,64%.
В портфельной теории под риском понимается возможность отклонения, как положительного, так и отрицательного, фактической доходности актива от его ожидаемой доходности. Иными словами, риск здесь рассматривается как неопределенность результата инвестирования, а не только как возможность понести убытки или недополучить прибыль. Численно риск оценивается по величине среднего квадратического (стандартного) отклонения доходности актива:

(2.3)
где - ожидаемая доходность инвестиционного актива; ri - доходности инвестиционного актива при различных вариантах; pi - вероятности соответствующих вариантов; n - количество вариантов.
Ожидаемая доходность инвестиционного актива находится по следующей формуле:

(2.4)
где ri - доходности инвестиционного актива при различных вариантах; pi - вероятности соответствующих вариантов; n - количество вариантов.
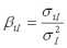
Также измерителем риска является фактора бета. Коэффициент бета бумаги показывает ее чувствительность к колебаниям рынка в будущем. Для оценки беты должны быть учтены всевозможные источники подобных колебаний.
Затем необходимо оценить, как отреагирует цена бумаги на каждое из этих изменений, а также вероятность такого изменения.
Бету бумаги можно интерпретировать как наклон графика рыночной модели. Если этот коэффициент был постоянным от периода к периоду, то историческую бету (historical beta) бумаги можно оценить путем сопоставления прошлых данных о соотношении доходности рассматриваемой бумаги и доходности рынка. Статистическая процедура для получения таких апостериорных (прошлых) значений коэффициента бета называется простой линейной регрессией (simple linear regression), или методом наименьших квадратов.
Как становится ясно, истинное значение коэффициента бета ценной бумаги невозможно установить, можно лишь оценить это значение.
Модели, рассматриваемые в финансовом анализе, связывают случайную величину r с величинами, которые объективно характеризуют финансовый рынок в целом. Такие величины называются факторами.
В зависимости от постановки задачи факторы могут считаться как случайными, так и детерминированными, т.е. точно известными величинами.
В самом простом случае выделяется один фактор. Тогда статистическая модель имеет вид:

. (2.5)
Здесь и - постоянные (неизвестные параметры), - случайная величина, удовлетворяющая условию:

, где

- условное математическое ожидание случайной величины относительно F. Из этого предположения следует, что и безусловное математическое ожидание величины также равно нулю. Коэффициент показывает чувствительность доходности ценной бумаги к фактору F. Коэффициент называют сдвигом.
Одна из самых распространенных моделей использует в качестве фактора F доходность рыночного индекса.
Рыночная модель (market mode) это один из путей отражения взаимосвязи доходности акции за определенный период с доходностью за тот же период акции на рыночный индекс:
ri = iI + iI rI + iI, ( 2.6)
где ri - доходность ценной бумаги i за данный период; rI - доходность на рыночный индекс I за этот же период; iI - коэффициент смещения; iI - коэффициент наклона; iI - случайная погрешность.
Как видно из выражения, при условии положительности коэффициента наклона, чем выше доходность на рыночный индекс, тем выше доходность ценной бумаги. "Бета" коэффициент исчисляется следующим образом:

(2.7)
где iI, обозначает ковариацию между доходностью акции i и доходностью на рыночный индекс, а I2 обозначает дисперсию (квадрат стандартного отклонения) доходности на индекс.
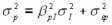
Исходя из рыночной модели, общий риск ценной бумаги i, измеряемый ее дисперсией и обозначенный как 2i , состоит из двух частей: (1) рыночный (или систематический) риск (market risk); (2) собственный (или несистематический) риск (unique risk). Таким образом, 2i равняется следующему выражению:

(2.8)
где 2i обозначает дисперсию доходности на рыночный индекс, 2iI2i - рыночный риск ценной бумаги i, а 2 i собственный риск ценной бумаги i, мерой которого является дисперсия случайной погрешности iI.
В рыночной модели общий риск портфеля, измеряемый дисперсией его доходности выражается следующим образом:

, (2.9)
где

,

.
В общем случае можно заметить, что чем более диверсифицирован портфель (т.е. чем большее количество ценных бумаг в него входит), тем меньше каждая доля Хi. При этом значение

не меняется существенным образом, за исключением случаев преднамеренного включения в портфель ценных бумаг с относительно низким или высоким значением беты. Так как бета портфеля является средним значением беты ценных бумаг, входящих в портфель, то нет оснований предполагать, что увеличение диверсификации портфеля вызовет изменение беты портфеля и, таким образом, рыночного риска портфеля в какую-либо сторону.
Таким образом, можно утверждать, что диверсификация приводит к усреднению рыночного риска.
Совершенно другая ситуация возникает при рассмотрении собственного риска портфеля. Если предположить, что во все ценные бумаги инвестировано одинаковое количество средств, то доля Х составит 1/N. Если портфель становится более диверсифицированным, то количество бумаг в нем (равное N) становится больше. Это также означает, что величина 1/N уменьшается, что приводит к уменьшению собственного риска портфеля.
Можно сделать следующее заключение: диверсификация существенно уменьшает риск.
Другим фактором, часто используемым в линейных регрессионных моделях, является доходность некоторого выделенного портфеля ценных бумаг, который называется касательным. Каждому портфелю соответствует случайная величина rp доходность.

(2.10)

- риск портфеля.
Оптимальной для любого инвестора стратегией в этой модели оказывается инвестирование части средств в касательный портфель, а части в безрисковые облигации. Либо наоборот: получение займа для дополнительного инвестирования в касательный портфель.
Чем меньше будет доля средств, вложенных в рисковые активы по отношению к безрисковым, тем меньше будет величина риска.
Очевидно, что доходности ценных бумаг, обращающихся на рынке, можно рассматривать в зависимости от времени. При этом будут зависеть от времени числовые характеристики случайной величины rp. Так же, вообще говоря, будут зависеть от времени и значения параметров и .
Модель финансового рынка называется равновесной, если числовые характеристики входящих в нее случайных величин постоянны во времени. Экономический смысл подобного предположения очевиден: рынок считается устоявшимся, сбалансированным.
В этом случае можно получить некоторые конкретные результаты, существенно упрощающие ситуацию.
Будем рассматривать модель зависимости доходности ценной бумаги от доходности касательного портфеля (предполагается, что безрисковая ставка получения и предоставления займов для всех участников рынка одна и та же и равна rf). Если модель равновесная, т.е. рынок сбалансированный, то касательный портфель удовлетворяет следующему свойству: доля каждой ценной бумаги в нем соответствует ее относительной рыночной стоимости.
Такой портфель называется рыночным и определяется однозначно. Таким образом, рассматривая равновесные модели, мы будем отождествлять понятия касательного и рыночного портфеля, доходность которого обозначим rM.
Итак, регрессионная модель для i-й ценной бумаги имеет вид:

(2.11)
Оказывается, в равновесном случае имеет место следующая теорема: для всех ценных бумаг, обращающихся на рынке, коэффициент , один и тот же и равен безрисковой ставке.
Имеем

(2.12)
Единственным параметром, характеризующим ценную бумагу, является ее чувствительность бета к рыночному портфелю.
Следующим методом является модель оценки финансовых активов (CAPM).
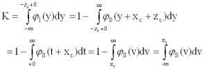
Уравнение

называется рыночной линией ценной бумаги. Уравнение

называется уравнением модели оценки финансовых активов. Для ее использования необходимо получить оценки параметров касательного портфеля ожидаемой доходности и риска, а также ковариаций доходностей ценных бумаг, входящих в р, с доходностью рыночного портфеля.
Практическое значение модели оценки финансовых активов заключается в том, что она может служить для выявления неверно оцененных бумаг в неравновесной ситуации, т.е. в ситуации несбалансированного рынка. Так, если доходность ной бумаги выше той, которая задается уравнением, то бумага является переоцененной, в противоположном случае недооцененной.
Однофакторные модели во многих случаях являются вполне адекватными, однако чаще всего они оказываются слишком упрощенными и тогда приходится рассматривать зависимость доходности ценной бумаги от нескольких (т) факторов, т.е. линейные регрессионные модели вида:

(2.13)
Здесь и к параметры, - факторы, определяющие состояние рынка (i номер наблюдения).
Такими факторами могут быть, например, уровень инфляции, темпы прироста валового внутреннего продукта и др. Если данная ценная бумага относится к некоторому сектору экономики, то безусловно следует рассматривать факторы, специфические для данного сектора.
Следует стремиться к возможно меньшему количеству объясняющих переменных (факторов), поскольку кроме усложнения модели лишние факторы приводят к увеличению ошибок оценок.
В данной работе для простоты и в связи с устоявшимися стереотипами упростим определение (сузим понятие) рыночного риска, определив рыночный риск субъекта финансового рынка только как риск его потерь в условиях неопределенных (случайных) изменений рыночных факторов, оказывающих влияние на активы субъекта и/или портфель его активов и финансовых инструментов. Тогда измерить рыночный риск - значит определить величину и вероятность суммарных возможных потерь за заданный период времени (период поддержания позиций).
В настоящее время в мире и России задача корректной количественной оценки рыночного риска приобретает чрезвычайно большое значение. Далее мы кратко рассмотрим современные способы решения этой проблемы.
Казалось бы, современная теория финансов дает ответ на вопрос, как измерить рыночный риск. Согласно этой теории, мера риска должна учитывать величину отклонения фактического результата от ожидаемого и вероятность реализации такого исхода. В классическом подходе Гарри Марковица к решению проблемы выбора структуры инвестиционного портфеля принимается, что доходность любого рискованного финансового инструмента или портфеля в целом является случайной переменной, распределение вероятностей изменений доходности - нормальным, а мерой степени неопределенности доходности портфеля - стандартное отклонение от ожидаемого (среднего) значения. Инвестор основывает свое решение по выбору портфеля исключительно на ожидаемой доходности и стандартном отклонении.
То есть для каждого портфеля инвестор должен оценить ожидаемую доходность за период владения и стандартное отклонение, а затем выбрать лучший вариант, основываясь на этих двух параметрах.
Однако в практике риск-менеджмента применение стандартного отклонения в качестве оценки риска имеет серьезные недостатки, из которых выделим два наиболее важных:
во-первых, стандартное отклонение не дает корректной оценки риска, если распределение изменений рыночной стоимости (в дальнейшем - стоимости) портфеля инвестиций перестает быть нормальным (гауссовским) и симметричным;
во-вторых, лица, принимающие решения по управлению портфелем, как правило, предпочитают получать информацию о риске в виде величины реальных денежных потерь, а не в форме стандартного отклонения.
Стандартное отклонение учитывает как благоприятные изменения стоимости портфеля, так и неблагоприятные. Если распределение изменений стоимости портфеля имеет симметричный вид, то стандартное отклонение определяет корректное значение риска.
Асимметричность распределения изменений стоимости многих финансовых портфелей современных инвесторов объясняется включением в их состав опционов и подобных опционам инструментов, изменением стоимости которых относительно рыночных цен активов и обязательств является нелинейным.
Swap - своп, обмен: 1) своп на валютном рынке: покупка или продажа валюты на условиях спот (Spot) с одновременным заключением обратной форвардной сделки для покрытия валютных рисков; 2) в общем случае, своп - операция по обмену обязательствами или активами для улучшения их структуры, снижения рисков и издержек, получения прибыли.
Swaption - свопцион: комбинация опциона и свопа в форме опциона на заключение операции своп на определенных условиях (например, взамен уплаты опционной премии).
Сар - кэп (шапка) - фиксированный максимум процентной ставки в облигационном займе; это условие может отделяться от конкретной облигации и обращаться как самостоятельная ценная бумага.
Collar - ошейник, воротник: фиксированные максимум и минимум процентной ставки в облигационном займе; может быть отделен от облигации и обращаться как самостоятельная ценная бумага.
Collar Swap - обмен обязательств по фиксированной ставке на обязательства по плавающей ставке, причем последняя имеет максимум и минимум.
Floor Agreement - соглашение пол -серия опционов пут (Put) относительно ставки ЛИБОР (LIBOR = London Interbank Offered Rate), другой процентной ставки или серия опционов колл (Call) на базе фьючерсного контракта, защищающие покупателя от снижения процентных ставок (продавец возмещает разницу между текущей и более высокой фиксированной ценами).
Warrants (WTs) - варранты, т.е. условие облигационного займа в форме ценных бумаг, дающих право на покупку дополнительных облигаций или акций заемщика по фиксированной цене; могут. самостоятельно обращаться на рынке.
Начиная с 1970 годов на международных и национальных финансовых рынках многократно увеличились объемы операций, в связи с этим существенно усложнились структуры этих рынков и расширился перечень финансовых инструментов, предлагаемых участникам рынков. Многообразие финансовых инструментов явилось результатом адаптации рынков к разнообразным потребностям субъектов финансовых сделок, к минимизации трансакционных издержек, международных, транс- и внутринациональных рисков.
Ожидаемый вид функции СКО
Перейдем от нестационарного шума к стационарному введением корректирующего делителя

. (3.16)
Тогда процесс *(t) является стационарным, и в его сечении находится случайная величина с матожиданием 0 и с СКО 0. И определение фактического значения параметра 0 этого процесса может производиться стандартными методами.
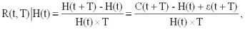
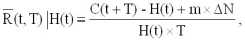
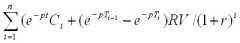
Теперь посмотрим, что делается со случайной величиной доходности долгового инструмента, в процентах годовых:

(3.17)
где Т - период владения долговым инструментом.
Заметим здесь, что рыночная цена H(t), измеренная в момент t, не рассматривается нами как случайная величина, так как ее значение в этот момент известно. Эта же цена неизвестна в будущем времени (t + T) и является случайной величиной, которая имеет нормальное распределение с матожиданием С(t + T) и СКО (t + T) (эти функции вычисляются по формулам (3.11) и (3.14)).
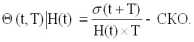
Cлучайный процесс доходности на интервале [t, t+T] в сечении имеет параметры:

(3.18)

(3.19)
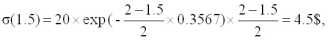
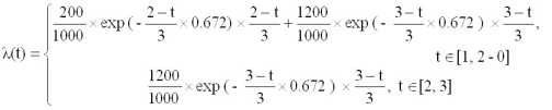
Рассмотрим пример анализа доходности дисконтной облигации.
Облигация номиналом N = 1000$ выпускается в обращение в момент времени TI = 0 (далее все измерения времени идут в годах) сроком на 2 года c дисконтом 30%, то есть по эмиссионной цене N0 = 700$. Инвестор намеревается приобрести бумагу в момент времени t =1. В этот момент текущая цена бумаги на рынке составляет H(1) = 820$.
Для проведения статистического анализа доступна история сделок с бумагой за истекший год ее обращения. Требуется идентифицировать доходность облигации R(t=1, T) на протяжении оставшегося года владения ( T [0, 1] ) как случайный процесс и определить параметры этого процесса.
Согласно (3.11), (3.12), внутренняя норма доходности нашей облигации составляет
r = ln(1000/700) = 35.67% годовых, (3.20)
а справедливая цена
С(t) = 1000*exp(-(2-t)*0.3567/2), t [0, 2]. (3.21)
Далее следует этап анализа истории цены за истекший год. СКО шума цены, согласно (3.14), имеет вид

(3.22)
где 0 определяется на основе анализа истории скорректированного шума цены вида (3.16).
Теперь бумага полностью идентифицирована. Случайный процесс ее доходности имеет параметры, которые определяются по формулам (3.18), (3.19).
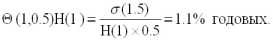
В частности, на момент погашения бумаги Т = 1, C(2) = 1000$, (1+1) = 0, (1+1) = 0, и R(1,1) = (1000-820)/(820*1) = 21.95% годовых неслучайная величина.
Оценим процесс количественно через Т = 0.5 лет владения бумагой, задавшись параметром СКО шума 0 = 20$. Тогда
C(1.5) = 1000*exp(-(2-1.5)*0.3567/2) = 914.7$, (3.23)

(3.24)

(3.25)

(3.26)
Пусть бумага данного вида эмиттирована в момент времени TI по цене N0, причем эта цена может быть как выше, так и ниже номинала (это обусловлено соотношением объявленной купонной ставки и среднерыночной ставки заимствования, с учетом периодичности платежей). Обозначим размер купона N, а число равномерных купонных выплат длительностью за период обращения обозначим за K, причем для общности установим, что платеж по последнему купону совпадает с моментом погашения бумаги.
Тогда временная последовательность купонных платежей может быть отображена вектором на оси времени с координатами

(3.27)
Формула для справедливой цены процентного долгового инструмента имеет вид:

(3.28)
где

- (3.29)
номер интервала, которому принадлежит рассматриваемый момент t,

(3.30)

, (3.31)
моменты i определяются соотношением (3.27), а внутренняя норма доходности долгового инструмента r отыскивается как корень трансцендентного уравнения вида
С(TI) = N0. (3.32)
Если купон по процентной бумаге нулевой, то переходим к рассмотренному выше случаю дисконтной бумаги.
Анализ соотношений (3.30) и (3.31) показывает, что шум цены, тренд которой имеет вид (3.28), является нелинейно затухающей кусочной функцией на каждом интервале накопления купонного дохода, причем шум получает как бы две составляющих: глобальную для всего периода обращения бумаги, и локальную на соответствующем моменту t интервале накопления купонного дохода.
Исследуем характер шума цены процентной бумаги:

(3.33)
где C(t) тренд цены - определяется по (3.28).
Руководствуясь соображениями, изложенными в предыдущем примере дисконтных бумаг, будем отыскивать СКО шума цены в виде:

(3.34)
где

(3.35)
а i определяется по (3.29). Соотношение (3.35) является частной производной справедливой цены (3.28) по показателю внутренней нормы доходности бумаги с точностью до постоянного множителя.
Аналогично предыдущему примеру, мы можем получить нормировочный делитель для шума цены процентной бумаги. Переход от нестационарного шума к стационарному будет иметь вид:

, (3.36)
где определяется по (3.35). При уменьшении величины купона до нуля соотношение (3.34) переходит в (3.14), что косвенно подтверждает правоту наших выкладок.
На 3.1.3 приведен примерный вид тренда цены процентной бумаги, а на 3.1.4 примерный вид СКО такой бумаги.
3.1.3. Функция справедливой цены процентной бумаги
3.1.4. Функция СКО процентной бумаги
Что касается доходности процентных инструментов, то формулы (3.17) (3.18) получают поправку в виде проплаченного за время Т купонного дохода:

(3.37)
где m число оплаченных купонов процентной бумаги за период T.
Вывод о том, что случайный процесс имеет в своем сечении нормальную величину, сохраняется без изменений. Параметры этой случайной величины:

(3.38)

(3.39)
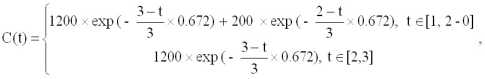
Рассмотрим расчетный пример.
Облигация номиналом N = 1000$ выпускается в обращение в момент времени TI = 0 (далее все измерения времени идут в годах) сроком на 3 года c дисконтом 10%, то есть по эмиссионной цене N0 = 900$. По бумаге объявлено три годовых купона по ставке 20% годовых, то есть размером N = 200$. Инвестор намеревается приобрести бумагу в момент времени t =1 сразу после первого купонного платежа.
В этот момент текущая цена бумаги на рынке составляет H(1) = 940$. Для проведения статистического анализа доступна история сделок с бумагой за истекший год ее обращения.
Требуется идентифицировать доходность облигации R(t=1, T) на протяжении оставшихся двух лет владения ( T [0, 2] ) как случайный процесс и определить параметры этого процесса.
Определим внутреннюю норму доходности нашей процентной бумаги, итеративно решив уравнение (3.32). Тогда, согласно (3.28), это уравнение приобретает вид:
(1000 + 200) * exp(-r) + 200*(exp(-r/3) + exp(-2r/3)) = 900, (3.40)
откуда методом итераций получаем r = 67.2% годовых.
Выражение для справедливой цены приобретает вид:

(3.41)
Далее следует этап анализа истории цены за истекший год. СКО шума цены, согласно (3.34) (3.35), имеет вид

(3.42)
где

(3.43)
а 0 определяется на основе анализа истории скорректированного шума цены вида (3.36).
Теперь бумага полностью идентифицирована. Случайный процесс ее доходности имеет параметры, которые определяются по формулам (3.18), (3.19).
В частности, на момент погашения бумаги Т = 2, C(3) = 1200$, (1+2) = 0, (1+2) = 0, и R(1,2) = (1200-940)/(940*2) = 13.83% годовых неслучайная величина.
Оценим процесс количественно через Т = 1 год владения бумагой непосредственно перед получением дохода по второму купону, задавшись параметром СКО шума 0 = 20$. Тогда
C(2-0) = 1200*exp(-(3-2)*0.672/3) + 200 = 1159.2$, (3.44)

, (3.45)

(3.46)

(3.47)
Обладая квазистатистикой ценового поведения облигации, мы можем оценить СКО шума цены (3.14) и (3.34) как треугольную нечеткую функцию фактора времени. И все соответствующие вероятностные распределения приобретают вид нечетких функций, а случайные процессы приобретают постоянные нечеткие параметры.
Мы получили вероятностную интерпретацию цены долгового инструмента. Зная матожидание и дисперсию цены, мы можем оценивать то же для текущей доходности.
И тогда мы можем решать задачу Марковица, отыскивая максимум доходности портфеля при фиксированном СКО портфеля.
Если квазистатистики по отдельной долговой бумаге нет, можно воспользоваться статистикой квазистатистикой ведущих индексов по долговым обязательствам (например, индексами доходности по 10-летним или 30-летним государственным долговым обязательствам, анализируемыми в пределах последнего года). Параметры случайных процессов для этих индексов могут быть взяты за основу при моделировании ценовых случайных процессов для индивидуальных долговых обязательств, при этом мера уверенности эксперта в оценке параметров будет находиться в обратной зависимости от ширины расчетного коридора, формируемого соответствующими нечеткими числами и вероятностными распределениями с нечеткими параметрами.
Хеджирование как метод страхования рисков
Стремление финансиста избежать риска и обеспечить себе гарантированную доходность вложенного капитала побуждает его к такой организации портфеля активов, при которой получается минимально возможный разброс эффективностей относительно приемлемого для него значения. Эта проблема близка по содержанию еще одной, практически важной, задаче составления такого портфеля, доход от которого заведомо позволит обслужить все имеющиеся на заданную дату обязательства (долги).
Одна из главных проблем финансовой математики и финансовой инженерии состоит в том, чтобы выявить условия, при которых подобное снижение риска осуществимо. И если это так, то определить начальный капитал, делающий возможным подобное хеджирование.
Одним из основных факторов снижения риска выступает отрицательная коррелированность эффективностей портфельных компонентов. В связи с этим соответствующие стратегии хеджирования основываются на противопоставлении опционов на акции и самих акций, а также облигаций различной срочности.
Известно, что активы с отрицательно коррелированными доходностями снижают риск портфеля. Данное свойство применяют для получения защищенных от риска финансовых вложений, сочетая те направления, у которых возможные уклонения доходностей от их ожидаемых значений противоположны.
Этим, в том числе, объясняется становление на развитых финансовых рынках биржевой торговли по заключению контрактов с опционами и фьючерсами - одними из основных финансовых инструментов, относящихся к производным ценным бумагам и обладающих хеджирующими достоинствами. О масштабах торговли можно судить хотя бы потому, что, например, на Нью-Йоркской бирже в дневном обороте заключаются 3,4 млн. опционных контрактов.
Если учесть, что каждый единичный контракт - это сделка на куплю или продажу 100 акций, то, следовательно, ежедневно было задействовано порядка 340 млн. акций.
Высокий спрос на фьючерсы и опционы поддерживается, в отличие от акций, благодаря заинтересованности инвесторов в снижении портфельного риска и вопреки неблагоприятным значениям ожидаемой доходности (низкая) и риска (высокий). Для удачливых инвесторов достигаемые здесь эффективности могут быть намного выше, чем по акциям, что, впрочем, уравновешивается, в силу контрактного характера этих бумаг, проигрышем оппонентов.
Проиллюстрируем на примере акции и колл-опциона полярность изменения доходностей финансового актива и заключенного на него срочного контракта. Пусть для определенности это будет европейский тип опциона при деньгах (контрактная цена равна текущему курсу), который дает право на дату покупки акции по цене, равной текущей котировке S, и допустим, что за контрактный срок Т дивиденды на акцию выплачиваться не будут.
При удорожании акции до уровня St S держатель опциона воспользуется своим правом и эмитент вынужден будет исполнить контракт по заниженной цене. В результате его брутто-потери (без учета премии) составят величину fт = ST - S, равную тому выигрышу, который он имеет как владелец акции (происходит перекачка выигрыша по акции в карман держателя опциона).
В противоположной ситуации, если произойдет понижение цены (ST S), он потеряет по акции, но выиграет по опциону, (получит премию без вычетов).
На рынке ценных бумаг отмеченная разнонаправленность обнаруживает себя через отрицательную статистическую связь (корреляцию) доходностей по акциям и опционам.
Этот пример подсказывает, в частности, один из доступных способов получения безрискового портфеля через соблюдение хеджирующей пропорции между числом проданных колл-опционов (короткая позиция), в расчете на одну купленную акцию. Заметим, что разнообразие опционных позиций (2 х 2 = 4) по вариантам сделки (купить, продать) и видам опционов (колл, пут) позволяет прийти к другим вариантам отрицательных корреляций, например сочетать покупку акций и пут-опционов на нее.
Это, в свою очередь, расширяет возможности составления хеджирующих смесей.
В качестве еще одного варианта отрицательной коррелированности рассмотрим разнопериодные облигации. В дальнейшем будет показано, как это свойство позволяет решать защитные задачи от риска, связанного с изменением процентной ставки.
Для простоты ограничимся обсуждением бескупонных облигаций.
В общем случае разные периоды будут отличаться эффективностями вложений. Информация об этом содержится в кривой доходности (yield curve), отражающей зависимость доходности к погашению от срока выпуска до погашения.
Взаимоотношение между доходностью и срочностью долговых контрактов (облигаций) называется еще временной структурой процентных ставок (term structure of interest rates). Практически эта кривая строится по текущим рыночным ценам на государственные долговые обязательства (которые признаются безрисковыми) различных сроков погашения.
Обычно кривая доходности имеет положительный наклон, то есть ценные бумаги с большим сроком до погашения имеют более высокую доходность.
В повседневной деятельности инвесторы в зависимости от своих запросов опираются на различные варианты кривых доходности. Для сравнительного анализа временной структуры ими привлекаются как процентные ставки, выводимые из текущих котировок однотипных бумаг с разными датами эмиссии, например трехмесячных ГКО, так и кривые доходности, отслеживающие динамику ее изменения и персонифицированные по выпускам.
Наличие подобной информации позволяет менеджеру активно управлять портфелем облигаций, занимаясь либо его комплектацией, либо выбором времени продажи одного выпуска и купли другого, либо и тем и другим.
Остановимся на двух способах инвестирования в зависимости от длительности ценных бумаг с фиксированной доходностью:
- для краткосрочных облигаций - это покупка и хранение их до срока погашения, а затем реинвестирование поступивших средств;
- другой вариант V игра на кривой доходности при наличии определенных условий. Одно из условий состоит в том, что кривая доходности имеет наклон вверх. Другое условие - это уверенность инвестора в том, что кривая доходности в будущем не изменится. При данных ограничениях инвестор, играющий на кривой доходности, покупает ценные бумаги, имеющие более длительный срок до погашения, чем это ему в действительности необходимо, а затем продает их до срока погашения, получая таким образом некоторую дополнительную прибыль.
Рассмотрим инвестора, который вкладывает средства в 90-дневные казначейские векселя. В данный момент они продаются по 98,25 долл. при номинале в 100 долл., то есть их доходность составляет (за год):
(100-98,25) / 98,25 * (365 / 90) * 100 = 7,22%.
Однако 180-дневные казначейские векселя продаются по 96 долл., что дает большую доходность: (100-96) / 96 * (365 / 180) * 100 = 8,45%.
Изобразим возрастающую кривую доходности, на которой расположены эти значения.

Кривая доходности казначейских векселей.
Согласно этой кривой за 90 дней до срока истечения ожидаемая цена продажи длинных векселей будет равна дисконтированной по ставке 7,22% величине их номинала, что, как легко убедиться, даст 98,25 долл. Заметим, что это значение совпадает с текущей ценой 90-дневных векселей, поскольку в соответствии со сделанным предположением кривая доходности не поменялась за 90 дней.
Это означает, что ожидаемая ставка доходности от перепродажи составит: (98,25-96,00) / 96,00 * (365 / 90) * 100 = 9,5%.
Итак, ожидаемая доходность при игре по кривой выше, чем доходность ожидания по короткой облигации (9,5 7,22). Данное явление происходит потому, что инвестор ожидает получить прибыль за счет досрочной реализации 180-дневных векселей, которые были первоначально приобретены.
Таким образом, с точки зрения доходности из двух альтернатив - покупка и погашение 90-дневных векселей или покупка 180-дневных бумаг и их продажа через те же 90 дней - вторая оказывается предпочтительнее.
Разумеется, что для убывающей кривой доходности вывод поменяется на противоположный. Если же эффективности не зависят от горизонта погашения (доходность постоянна), альтернативы становятся равновыгодными.
Ситуационно подходящий срок погашения может следовать календарным обязательствам инвестора, например необходимости покрыть задолженность в определенном объеме на определенную дату. Допустимо, конечно, отложить требуемую сумму и держать ее до наступления удобного момента.
Но разумнее обойтись меньшей суммой и наращивать ее до нужного размера с помощью облигаций. Для этого можно купить облигации с погашением на нужный период или воспользоваться более короткими бумагами и реинвестированием.
Еще один способ - вложиться в облигации с превосходящим периодом и продать их по срочности обязательства.
Следует иметь в виду, что в реальности будущие процентные ставки случайны. Поэтому как реинвестирование (короткие бумаги), так и игра на кривой доходности более рискованны, чем просто покупка бумаг с подходящим сроком погашения.
В самом деле, при многошаговом наращении по однопериодным бумагам и преждевременной продаже длинных бумаг результаты будут зависеть от случайных в будущем ставок по формулам начисления и соответственно дисконтирования по сложным процентам. Отсюда понятно, что получаемые по каждому варианту изменения в выигрышах будут по разному реагировать на изменение процентных ставок: копируя их для коротких бумаг и отрицая для длинных.
К примеру, пусть для простоты кривая доходности горизонтальна, то есть доходность к погашению не зависит от времени погашения t. Иначе говоря, текущие Р, и номинальные Ft стоимости связаны одной той же (в отличие от предыдущего примера) ставкой дисконтирования г:
Pt(l+r) = Ft, t=l,2, ...,
то есть все контракты независимо от срока их действия имеют одну и ту же внутреннюю норму доходности.
Обозначим базовую процентную ставку, действующую в настоящий момент, через г0. Для покрытия задолженности D на дату Т можно воспользоваться одним из трех вариантов вложения: в однопериодные, Т-периодные и в облигации с погашением позже долга (L Т) и номиналом
D(l + r)L-T.
При начальном капитале I = D(l + r0) и неизменной в будущем процентной ставке все три способа, приуроченные к моменту выплаты Т (разовое погашение, реинвестирование, досрочная продажа), финансово эквивалентны и безрисковы. Независимо от случайных изменений процентной ставки первый способ (покупка Т-бумаг и хранение их до срока погашения) остается безрисковым и обеспечивает обслуживание долга за| счет вырученных при погашении средств D.
Если в момент, следующий за настоящим, ставка вырастет до величины г го, то результат реинвестирования D1 превысит величину долга D: D1 = I(1+ r) = D((1 + r)/(1 + r0)) D, а игра на кривой доходности приведет к недостаче: D2 = I(1 + r0)/(1 + r) = D((1 + r0) / (1 + r) D.
Таким образом, доходность реинвестирования (короткие бумаги) станет выше, а доходность перепродажи (длинные бумаги) снизится.
При падении ставки (г го) выводы поменяются на симметричные. Отсюда видно, что случайные доходности активов, предшествующих долгу и следующих за ним, меняются разнонаправленно, то есть имеют отрицательную корреляцию.
Известны: исходная цена бумаги, дивидендный доход в процентах, безрисковая процентная ставка, страйк, срок опционного контракта или срок до его исполнения. Далее есть варианты расчета.
Если известна волатильность подлежащего актива, можно посчитать теоретическую цену опциона, и наоборот, если известна фактическая цена опциона, можно оценить соответствующую волатильность актива. Среди исходных данных мы не найдем расчетную доходность актива, потому что, согласно результатов Блэка и Шоулза, теоретическая цена опциона не зависит от расчетной доходности подлежащего актива.
Итак, мы можем оценить, насколько сильно теоретическая цена опциона отличается от фактической и тем самым сделать косвенную оценку эффективности использования опционов. Но может ли такая оценка быть количественной?
Что, если я приобретаю не один опцион, а выстраиваю опционную комбинацию? Каков инвестиционный эффект от покрытия опционом подлежащего актива?
Чтобы ответить на перечисленные вопросы, нужно как бы отстраниться от всего достигнутого в опционной теории и посмотреть на проблему совсем с другой стороны а именно так, так, как на нее смотрит классический инвестор. А он задается простым вопросом: если я покупаю по известной цене один опцион или некоторую опционную комбинацию, на какой эффект с точки зрения доходности и риска своих вложений я могу рассчитывать?
Умея рассчитывать доходность и риск одного или группы опционов, можно перейти к оценке того же для опционных портфелей.
Введем следующие обозначения, которые будем употреблять в дальнейшем:
Входные данные (дано):
T расчетное время (срок жизни портфеля или время до исполнения опционного контракта);
S0 стартовая цена подлежащего опционам актива;
zc цена приобретения опциона call;
zp цена приобретения опциона put;
xc - цена исполнения опциона call;
xp - цена исполнения опциона put;
ST финальная цена подлежащего опционам актива в момент Т (случайная величина);
rT текущая доходность подлежащего актива, измеренная в момент времени T по отношению к стартовому моменту времени 0 (случайная величина);
- среднеожидаемая доходность подлежащего актива;
r среднеквадратическое отклонение (СКО) доходности подлежащего актива;
Выходные данные (найти):
IT доход (убыток) по опциону (комбинации), случайная величина;
RT текущая доходность опциона (комбинации), измеренная в момент времени T по отношению к стартовому моменту времени 0 (случайная величина);
- среднеожидаемая доходность опциона (комбинации);
R СКО доходности опциона (комбинации);
QT риск опциона (комбинации).
Далее по тексту работы все введенные обозначения будут комментироваться в ходе их использования.
Также мы дополнительно оговариваем следующее:
- Мы не рассматриваем возможность дивидендных выплат (чтобы не усложнять модель).
- Здесь и далее мы будем моделировать опционы только американского типа, т.е. такие, которые могут быть исполнены в любой момент времени на протяжении всего срока действия опциона. Это необходимо, чтобы не требовать синхронизации срока жизни портфеля на подлежащих опционам активах и сроков соответствующих опционных контрактов.
Общепринятым модельным допущением к процессу ценового поведения акций является то, что процесс изменения котировки является винеровским случайным процессом, и формула Блэка-Шоулза тоже берет это предположение за исходное. Существуют определенные ограничения на использование вероятностей в экономической статистике. Но, поскольку этот инструмент учета неопределенности является традиционным и общеупотребительным, я хочу оформить свои результаты в вероятностной постановке, при простейших модельных допущениях с использованием аппарата статистических вероятностей.
А затем, по мере накопления опыта моделирования, мы будем усложнять модельные допущения и одновременно переходить от статистических вероятностей к вероятностным распределениям с нечеткими параметрами, используя при этом результаты теории нечетких множеств. Задача эта в целом выходит за рамки данной монографии, но заложить основы этой теории мы сможем уже здесь.
Посмотрим на винеровский ценовой процесс c постоянными параметрами (коэффициент сноса, по смыслу предельная курсовая доходность) и (коэффикциент диффузии, по смыслу стандартное уклонение от среднего значения предельной доходности). Аналитическое описание винеровского процесса:

(3.48)
где z(t) стандартный винеровский процесс (броуновское движение, случайное блуждание) с коэффициентом сноса, равным нулю и коэффициентом диффузии, равным единице.
Если принять, что начальное состояние процесса известно и равно S0, то мы можем, исходя из (2.1), построить вероятностное распределение цены ST в момент T.
Примерный вид плотности нормального распределения
Эта величина, согласно свойств винеровского процесса как процесса с независимыми приращениями, имеет нормальное распределение со следующими параметрами:

; (3.49)
- среднеквадратичное отклонение (СКО) величины ln ST/S0:

(3.50)
В принципе, для моих последующих построений вид вероятностного распределения цены подлежащего актива несущественен. Но здесь и далее, для определенности, мы остановимся на нормальном распределении. Его плотность обозначим как

(3.51)
Примерный вид плотности нормального распределения вида (3.51) представлен на 3.2.2.

Примерный вид плотности нормального распределения
Теперь, сделав все базовые допущения к математической модели, мы можем переходить непосредственно к процессу вероятностного моделирования опционов и их комбинаций.
Приобретая опцион call, инвестор рассчитывает получить премию как разницу между финальной ценой подлежащего актива ST и ценой исполнения опциона xc. Если эта разница перекрывает цену приобретения опциона zc, то владелец опциона получает прибыль.
В противном случае имеют место убытки.
Случайная величина дохода по опциону связана со случайной величиной финальной цены подлежащего актива соотношением 3.49.

(3.52)
В правой части (3.52) все параметры являются известными и постоянными величинами, за исключением ST, которая является случайной величиной с плотностью распределения (3.51).
А текущую доходность по опциону call мы определим формулой

(3.53)
Представление (3.49), когда стартовая и финальная цены актива связаны экспоненциальным множителем, является неудобным для моделирования. Аналогичные неудобства вызывает представление доходности на основе степенной зависимости.
Именно поэтому мы оперируем категорией текущей доходности как линейной функции дохода и финальной цены. Предполагая нормальность распределения финальной цены актива (что соответствует винеровскому описанию ценового процесса), мы автоматически таким образом приходим к нормальному распределению текущей доходности.
Построенная линейная связь текущей доходности и цены является полезной особенностью, которая потом может быть удачно использована в ходе вероятностного моделирования.
Определим плотность I(y) распределения дохода IT по опциону как функции случайной величины ST. Воспользуемся известной формулой. Если исходная случайная величина X имеет плотность распределения X(x), а случайная величина Y связана с X функционально как Y=Y(X), и при этом существует обратная функция X=X(Y), тогда плотность распределения случайной величины Y имеет вид

. (3.54)
В нашем случае, исходя из (3.52),

(3.55)
dST/dIT = 1, IT -zc. (3.56)
Мы видим, что в точке IT = -zc плотность I(y) приобретает вид дельта-функции. Необходимо определить множитель при дельта-функции.
Это можно сделать косвенным образом. На участке, где функция ST(IT) дифференцируема, в силу (3.54)-( 3.58) выполняется

IT -zc. (3.57)
В силу нормирующего условия справедливо

(3.58)
откуда, в силу (2.10), искомый множитель K есть

(3.59)
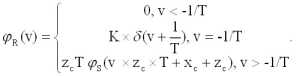
Множитель K есть, таким образом, не что иное как вероятность события ST xc. При наступлении такого события говорят, что опцион call оказался не в деньгах.
Это событие условие отказа от исполнения call-опциона и прямые убытки в форме затрат на приобретение опциона.
Наконец, итоговое выражение для I(y)

(3.60)
где

(3.61)
На 3.2.2 представлен примерный вид плотности вида (3.60).

Примерный вид плотности усеченного распределения
Видно, что мы перешли от нормального распределения цен к усеченному нормальному распределению доходов. Но это не классическое усеченное распределение, а распределение, функция которого претерпевает разрыв первого рода в точке с бесконечной плотностью.
Теперь нетрудно перейти к распределению доходности R(v), пользуясь (3.53), (3.54) и (3.60):

(3.62)
Плотности вида (3.60) и (3.62) бимодальные функции.
Теперь оценим риск инвестиций в call опцион. Мне думается, что правильное понимание риска инвестиций сопряжено с категорией неприемлемой доходности, когда она по результатам финальной оценки оказывается ниже предельного значения, например, уровня инфляции в 4% годовых.
Это значение близко к текущей доходности государственных облигаций, и тогда ясно, что обладая сопоставимой с облигациями доходностью, опционный инструмент значительно опережает последние по уровню риска прямых убытков (отрицательной доходности).
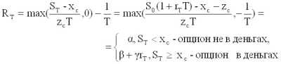
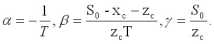
Поэтому риск инвестиций в опцион call может быть определен как вероятность неприемлемой доходности по формуле

(3.63)
где R(v) определяется по (3.62).
Среднеожидаемая доходность вложений в опцион определяется стандартно, как первый начальный момент распределения:

(3.64)
Среднеквадратическое отклонение доходности call опциона от среднего значения также определяется стандартно, как второй центральный момент распределения

(3.65)
Рассмотрим важные асимптотические следствия полученных вероятностных форм. Для этого установим связь между доходностями call опциона и подлежащего актива, с учетом (3.52) и (3.53):

, (3.66)
где

(3.67)
Видим, что доходность опциона call и подлежащего актива связаны кусочно-линейным соотношением, причем на участке прямой пропорциональности это происходит с коэффициентом , который собственно, и характеризует фактор финансового рычага (левериджа). Участок прямой пропорциональности соответствует той ситуации, когда опцион оказывается в деньгах. Поэтому, с приближением вероятности K вида (3.49) к нулю, выполняются следующие соотношения

(3.68)
То есть между соответствующими параметрами подлежащего актива на участке, когда опцион оказывается в деньгах, возникает линейная связь посредством левериджа. С ростом среднеожидаемой доходности актива растет и средняя доходность call опциона, а с ростом волатильности актива растет также и волатильность опциона.
Итак, мы получили вероятностные формы для описания доходности и риска по вложениям в опцион call. Действуя аналогичным образом, мы можем получать подобные формы для опционов другой природы, а также для их комбинаций друг с другом и с подлежащими активами.
Приобретая опцион put, инвестор рассчитывает получить премию как разницу между ценой исполнения опциона xp и финальной ценой подлежащего актива ST. Если эта разница перекрывает цену приобретения опциона zp, то владелец опциона получает прибыль.
В противном случае имеют место убытки.
Надо сказать, что приобретение опциона put без покрытия подлежащим активом не является традиционной стратегий. Классический инвестор все же психологически ориентируется на курсовой рост приобретаемых активов.
С этой точки зрения стратегия классического инвестора это стратегия быка. А покупка put опциона без покрытия эта медвежья игра.
Обычная логика использования опциона put это логика отсечения убытков с фиксацией нижнего предела доходности, который не зависит от того, насколько глубоко провалился по цене подлежащий актив. Но для нас не имеет значения, какой стратегии придерживается инвестор.
Мы понимаем, что опцион put является потенциальным средством извлечения доходов, и нам эту доходность хотелось бы вероятностно описать.
Проведем рассуждения по аналогии с предыдущим разделом работы. Случайная величина дохода по опциону связана со случайной величиной финальной цены подлежащего актива соотношением.

(3.69)
А текущая доходность по опциону put определяется формулой

(3.70)
Используем все соображения о получении плотностей распределения, выработанные в предыдущем разделе работы. В нашем случае, исходя из (3.69)

(3.71)
|dST/dIT| = 1, IT -zp. (3.72)
Интересно отметить, что в случае опциона call цена подлежащего актива и доход по опциону связаны возрастающей зависимостью, а в нашем случае - убывающей. То есть чем хуже чувствует себя актив, тем лучше держателю непокрытого опциона (если, конечно, инвестор заодно не владеет и самим подлежащим активом).
Множитель K при дельта-функции в точке IT = -zp есть

- (3.73)
вероятность события ST xp. Опцион оказывается не в деньгах, что есть условие отказа от исполнения put опциона и прямые убытки в форме затрат на приобретение этого опциона.
Итоговое выражение для плотности распределения I(y) случайной величины дохода по опциону put имеет вид

(3.74)
Плотность вида (2.27) это усеченный с двух сторон нормальный закон плюс дельта-функция на границе усечения. С этой точки зрения качественный вид зависимости (2.27) повторяет вид того же для опциона call в силу симметрии нормального распределения.
При произвольном распределении финальной цены результаты были бы другими.
Теперь нетрудно перейти к распределению доходности R(v), пользуясь (3.69), (3.70) и (3.71):

(3.75)
Разумеется, отмечаем бимодальность (3.74) и (3.75).
Поэтому риск инвестиций в опцион put может быть определен по формуле

(3.76)
где

(3.77)
а R(v) определяется по (3.75).
Среднеожидаемая доходность вложений в опцион и СКО определяются по (2.64) и (2.65) соответственно.
Рассмотрим асимптотические следствия по аналогии с call опционом. Для этого установим связь между доходностями put опциона и подлежащего актива, с учетом (3.69) и (3.70):

, (3.78)
где

(3.79)
Видим, что доходность опциона put и подлежащего актива связаны кусочно-линейным соотношением, причем на участке прямой пропорциональности это происходит с коэффициентом , который собственно, и характеризует фактор финансового рычага (левериджа).Участок прямой пропорциональности соответствует той ситуации, когда опцион оказывается в деньгах. Поэтому, с приближением вероятности K вида (7.26) к нулю, выполняются следующие соотношения

(3.80)
То есть между соответствующими параметрами подлежащего актива на участке, когда опцион оказывается в деньгах, возникает линейная связь посредством левериджа. С ростом средней доходности актива средняя доходность put опциона падает, а с ростом волатильности актива волатильность опциона также растет.
В начале года инвестор приобретает за zc = 10 ед. цены опцион call на подлежащий актив со стартовой ценой S0 = 100 ед. Цена исполнения опциона xc = 100 ед., опцион американский, срочностью 1 год. Поскольку цена исполнения совпадает со стартовой ценой, то покупаемый опцион является опционом в деньгах.
Инвестор ориентируется на следующие параметры доходности и риска подлежащего актива: текущая доходность r = 30% годовых, СКО случайной величины текущей доходности r = 20% годовых. В пересчете на финальную цену ST это означает, что через время Т = 0.5 лет подлежащий актив будет иметь нормальное распределение ST с параметрами sT = 115 ед. и S = 10 ед.
Требуется определить доходность и риск опциона в момент времени Т = 0.5 года.
Все полученные соотношения реализованы в компьютерной программе. Расчет по формулам (3.63) - (3.65) дает QT = 0.335,

= 105.8% годовых и S = 188.5% годовых. Одновременно отметим: поскольку вероятность того, что опцион не в деньгах, мала (0.066), то полученные значения моментов близки к своим асимптотическим приближениям (3.68)

= 100% и S = 200% годовых соответственно.
Результаты наглядно показывают то, что опцион это одновременно высокорисковый и высокодоходный инструмент. Высокая доходность достигается за счет левериджа: не вкладывая деньги в подлежащий актив, инвестор тем не менее получит по нему возможный доход и не будет участвовать в убытках. Другое дело, что обычно инвестор балансирует на грани прибылей и убытков, ибо все ищут выигрыша, и никто не станет работать себе в убыток. Поэтому для call-опционов в деньгах разница между среднеожидаемой ценой подлежащего актива и ценой приобретения опциона обычно колеблется вокруг цены исполнения.
Это означает, что вложения в непокрытые опционы с точки зрения риска сопоставимы с игрой в орлянку. Для put опциона в деньгах сопоставимыми являются цена исполнения, с одной стороны, и сумма цены опциона и ожидаемой цены подлежащего актива с другой стороны.
Исследуем рынок полугодовых call-опционов компании IBM. Это можно сделать, воспользовавшись материалами по текущим котировкам опционов на сервере MSN. Исследуем вопрос, какие из обращающихся на рынке call-опционы нам предпочтительнее покупать. Для этого нам нужно задаться прогнозными параметрами распределения доходности подлежащего актива, близкими к реальным.
Это будет как бы тот ранжир, которым будут вымеряться опционы выделенной группы.
Взглянем на вектор исторических данных IBM за прошедший квартал (3.2.3). Процесс существенно нестационарен, поэтому стандартной линейной регрессией пользоваться нельзя. Глядя на график, зададимся умеренной оценкой доходности порядка 30% годовых и СКО доходности в 30% годовых.
Эти параметры и примем за базовые.
Стартовая цена подлежащего актива на дату покупки опциона 114.25$. Соответственно, через полгода мы должны иметь финальное распределение цены подлежащего актива с параметрами: среднеее 131$, СКО 17$.

Ценовая динамика call-опционов компании IBM
В таблицу 3.2.1 сведены значения доходностей и рисков по каждой группе опционов.
Таблица 3.2.1
|
# |
Symbol |
Strike price,$ |
Option Price,$ |
Risk
|
Return,
sh/ y |
Ret/Risk |
Rank |
|
1 |
IBMDP |
80 |
35.0 |
0.215 |
0.933 |
4.3 |
2 |
|
2 |
IBMDQ |
85 |
37.6 |
0.363 |
0.468 |
1.3 |
|
|
3 |
IBMDR |
90 |
29.2 |
0.279 |
0.822 |
3.0 |
3 |
|
4 |
IBMDS |
95 |
22.8 |
0.244 |
1.059 |
4.5 |
1 |
|
5 |
IBMDT |
100 |
21.5 |
0.314 |
0.817 |
2.6 |
4 |
|
6 |
IBMDA |
105 |
18.9 |
0.361 |
0.658 |
1.8 |
|
|
7 |
IBMDB |
110 |
17.3 |
0.435 |
0.393 |
0.9 |
|
|
8 |
IBMDC |
115 |
13.5 |
0.456 |
0.246 |
0.5 |
|
Из таблицы 3.2.1 видно, что безусловными фаворитами являются опционы 1 и 4. Все прочие опционы обладают несопоставимыми характеристиками, они явно переоценены.
Проведем аналогичное исследование put опционов в соответствии с данными примера 2. Результаты расчетов сведены в таблицу 3.2.2
Таблица 3.2.2
|
# |
Symbol
|
Strike price, $ |
Option Price, $ |
Risk
|
Return,
sh/ y |
|
1 |
IBMPF |
130 |
22.3 |
0.93 |
-0.381 |
|
2 |
IBMPG |
135 |
26.9 |
0.929 |
-0.512 |
|
3 |
IBMPH |
140 |
32.2 |
0.934 |
-0.638 |
|
4 |
IBMPI |
145 |
24.1 |
0.763 |
-0.273 |
|
5 |
IBMPJ |
150 |
27.5 |
0.738 |
-0.281 |
|
6 |
IBMPK |
155 |
34.6 |
0.785 |
-0.428 |
|
7 |
IBMPL |
160 |
48.1 |
0.91 |
-0.701 |
Видно, что при наших инвестиционных ожиданиях put опционы являются совершенно непригодными для инвестирования инструментами. Видимо, рынок ждет глубокого падения акций IBM и, соответственно, запрашивает высокие опционные премии за риск.
Решим обратную задачу: каких параметров акций IBM через полгода ждет рынок,чтобы инвестирование в put опционы представлялось этому рынку справедливым делом с точки зрения критериев доходности и риска. Возьмем для рассмотрения опцион IBMPC ценой 13.1$ и ценой исполнения 115$ и будем варьировать величинами ожидаемой доходности и риска подлежащего актива.
Результаты расчетов сведены в таблицу 3.2.3.
Таблица 3.2.3
|
# |
IBM STD, sh/y |
IBM return, sh/y |
Option risk |
Option return,
sh/ y |
|
1 |
0.1 |
-0.1 |
0.908 |
-0.957 |
|
2 |
-0.2 |
0.630 |
-0.136 |
|
3 |
-0.3 |
0.252 |
0.730 |
|
4 |
0.2 |
-0.1 |
0.747 |
-0.711 |
|
5 |
-0.2 |
0.566 |
-0.053 |
|
6 |
-0.3 |
0.369 |
0.632 |
|
7 |
0.3 |
-0.1 |
0.671 |
-0.528 |
|
8 |
-0.2 |
0.544 |
-0.064 |
|
9 |
-0.3 |
0.412 |
0.375 |
Видно, что рынок настроен на тактическое снижение цены подлежащего актива в темпе порядка (-30%) годовых. Только в этом диапазоне мы имеем приемлемые риски и высокие степени доходности инвестиций в опционы такие, чтобы упомянутый риск оправдать.
В первой части данной главы мы получили вероятностную интерпретацию цены долгового инструмента. Зная матожидание и дисперсию цены, мы можем оценивать то же для текущей доходности.
И тогда мы можем решать задачу Марковица, отыскивая максимум доходности портфеля при фиксированном среднеквадратичном отклонении портфеля.
Во второй части главы мы рассмотрели основные аспекты хеджирования как страхования рисков. Рассмотрели как производятся расчеты по инвестициям в производные инструменты.
Производные инструменты, как основной инструмент по снижению рисков, пользуется большой популярностью на мировых рынках.
Заключение
В работе исследованы теоретические и прикладные аспекты финансового управления инвестиционными рисками с использованием ценных бумаг.
Практическая значимость работы состоит в том, что применение рассмотренных моделей поможет лучше управлять собственными и клиентскими рисками, снизить возможности потерь и получить дополнительную прибыль в деятельности российских банков.
В соответствии с целями и задачами исследования были рассмотрены следующие группы проблем:
в первой главе одна из проблем была связана с анализом теоретических аспектов управления инвестиционными рисками. Для изучения предпосылок финансового управления рисками в качестве исходной базы было принято положение о том, что возникновение моделей по снижению инвестиционных рисков было определено новыми потребностями финансовых рынков, возникшими в последние десятилетия.
Появление новых финансовых продуктов и услуг помогло рынкам сохранить стабильность и управляемость.
Важнейшими причинами, из-за которых стали активнее использовать методы по управлению инвестиционными рисками: усиление неравномерности экономического развития и международная интеграция, периодические финансовые кризисы в различных странах, концентрация рисков у банковских заемщиков, глобализацией рисков хозяйственной деятельности на формирующихся рынках (emerging markets), развитие внебалансовых операций банков, усложнение финансовых потребностей их клиентов.
Выделим основные моменты по оценке инвестиционных рисков, на которые нужно обратить внимание во второй главе работы. Ожидаемая доходность служит мерой потенциального вознаграждения, связанного с портфелем.
Стандартное отклонение рассматривается как мера риска портфеля. Ожидаемая доходность портфеля является средневзвешенной ожидаемой доходностью ценных бумаг, входящих в портфель. В качестве весов служат относительные пропорции ценных бумаг, входящих в портфель.
Ковариация и корреляция измеряют степень согласованности изменений значений двух случайных переменных.
Одной из распространенных моделей по оценке рисков является VaR модель. VaR величина максимально возможных потерь, такая, что потери в стоимости данного портфеля инвестора за определенный период времени с заданной вероятностью не превысят этой величины.
Таким образом, VaR дает вероятностную оценку потенциальных убытков по портфелю в течение определенного периода при экспертно заданном доверительном уровне.
В третьей главе работы мы получили вероятностную интерпретацию цены долгового инструмента. Зная матожидание и дисперсию цены, мы можем оценивать то же для текущей доходности.
И тогда мы можем решать задачу Марковица, отыскивая максимум доходности портфеля при фиксированном среднеквадратичном отклонении портфеля.
Во второй части главы мы рассмотрели основные аспекты хеджирования как страхования рисков. Рассмотрели как производятся расчеты по инвестициям в производные инструменты.
Производные инструменты, как основной инструмент по снижению рисков, пользуется большой популярностью на мировых рынках.
Резюмируя все вышесказанное, можно сказать, что, в принципе, все приведенные модели по управлению инвестиционными рисками являются классикой инвестиционного анализа. На самом деле, в мире используется многочисленное количество моделей по оценке рисков. Каждая модель имеет свои недостатки и преимущества, которые устраняются или дополняются.
По данным Татфондбанка можно отметить, что им применялась не одна модель по оценке риска. В результате, применение какой-либо модели по оценке риска в полной мере сейчас не применяется в силу выявленных в них недостатков.
Cписок литературы
- Берзон Н.И. Фондовый рынок. Вита Пресс. -1999. С.125-131.
- Буренин А. Рынок ценных бумаг и производных финансовых инструментов М.: 1 Федеративная Книготорговая компания. -1998. - С.352.
- Гитман Л.Дж., Джонк М.Д. Основы инвестирования. - М.: Дело, 1997.-1008с.
- Кох И.А. Аналитические модели рынка ценных бумаг. Казань: КФЭИ. -2001. С.48-68.
- Капитаненко В.В. Инвестиции и хеджирование. Москва.: -2001. С.157-168.
- Кремер Т.В. Теория вероятности. Инфра-М. -1999. С. 201-214.
- Кристина И. Рэй. Рынок облигаций: торговля и управление рисками. М.: Дело. 1999. С. 314-320.
- Меньшиков И.С. Финансовый анализ ценных бумаг.-М.: Финансы и статистика. 1998. С. 101-107.
- Рэдхед К., Хьюс С. Управление финансовыми рисками. М.: ИНФРА-М. 2000. С. 162-169.
- Ральф Винс. Математика управления капиталом. Методы анализа рисков для трейдеров и портфельных менеджеров/ Пер. с англ.: - М.: Издательский дом АЛЬПИНА, 2000. 401
- Рынок ценных бумаг / под ред. Галанова В.А., Басова А.И.- М.: Финансы истатистика. -1999. -С 352.
- Шарп У., Александр Г., Бэйли Дж. Инвестиции.- ИНФРА-М. -1999. С.185-214.
- Артеменко О. Модель расчета предполагаемой вероятности дефолта и ее использование в оценке стоимости долговых инструментов. // Рынок ценных бумаг. 2000. -9. С.67-69.
- Волкова В. Выбор акций для портфельного инвестирования.// Финансовый бизнес. 2000. - 2. -с. 47-48.
- Егорова Е.Е Системный подход оценки риска. // Управление риском. 2002. -2. -С.12-13.
- Демшин В. Оценка стоимости: доходный подход и безрисковая норма доходности.// Рынок ценных бумаг. 2001. - 12. -С. 35-39.
- Константинов А. Портфельное инвестирование на российском рынке акций.//Финансист,2000, 8, с. 28-31.
- Кузнецов В.Е. Измерение финансовых рисков. // Банковские технологии. 1997. -7. С. 76-78.
- Рукин А. Портфельные инвестиции. Финансово - математические методы.// Рынок ценных бумаг, 1999, 18, с. 45-47.
- Слуцкин Л. Активный и пассивный портфельный менеджмент.// Банковские технологии, 1998, июль, с. 74-77.
- Смирнов В. Экспресс оценка стоимости акций в российских реалиях.// Рынок ценных бумаг. 2001. - 12. -С. 31-35.
- Сурков Г. Границы применимости методологии VaR для оценки рыночных рисков. // Финансист. 2002. -9. С. 63-71.
- Фаррахов И.Т. Расчет лимитов межбанковского кредитования. // Оперативное управление и стратегический менеджмент в коммерческом банке. 2001. -4. С. 98-104.
Разработка и реализация мер по управлению инвестиционными рисками.
Выбирая, какому из них отдать предпочтение, необходимо учитывать макро- и микроэкономическую ситуации, а также стратегические и тактические цели и задачи конкретной организации.
Конкретные модели расчетов VaR могут быть основаны на комбинации изложенных выше методов и их модификаций.
Выделим основные моменты данной главы, на которые нужно обратить внимание. Ожидаемая доходность служит мерой потенциального вознаграждения, связанного с портфелем. Стандартное отклонение рассматривается как мера риска портфеля. Ожидаемая доходность портфеля является средневзвешенной ожидаемой доходностью ценных бумаг, входящих в портфель.
В качестве весов служат относительные пропорции ценных бумаг, входящих в портфель. Ковариация и корреляция измеряют степень согласованности изменений значений двух случайных переменных.
Одной из распространенных моделей по оценке рисков является VaR модель. VaR величина максимально возможных потерь, такая, что потери в стоимости данного портфеля инвестора за определенный период времени с заданной вероятностью не превысят этой величины.
Таким образом, VaR дает вероятностную оценку потенциальных убытков по портфелю в течение определенного периода при экспертно заданном доверительном уровне.
Разработка и реализация мер по управлению инвестиционными рисками.
Управление инвестиционными рисками в коммерческом банке
Для рынка долговых инструментов присущи свои особенности определения основных направлений и методов управления рисками.
Деятельность по управлению рисками связана с решением следующих задач:
- выявление рисков, присущих операциям на рынке корпоративных облигаций;
- проведение количественной оценки возможных потерь, связанных с реализацией этих рисков;
- определение предельно допустимого уровня финансовых потерь по операциям с корпоративными облигациями;
- ограничение возможных потерь от реализации рисков на уровне не выше предельно допустимого, путем установления комплексной системы ограничений (лимитов) на операции с корпоративными облигациями.
Конечной целью деятельности по управлению рисками является максимизация экономической эффективности, при поддержании сопутствующих рисков на уровне не выше, чем предельно допустимый.
В портфельном инвестировании при расчетах лимитов по операциям с облигациями за основу выбираются ряд рисков.
Статический риск - риск, связанный с возможностью неисполнения контрагентом своих обязательств. Статический риск включает в себя кредитный риск неисполнения эмитентом своих обязательств по выпущенным долговым обязательствам и риск неисполнения контрагентом своих обязательств по поставке оплаченных банком ценных бумаг или по оплате поставленных ему банком ценных бумаг.
Динамический риск - риск, связанный с возможным неблагоприятным изменением рыночной конъюнктуры. Динамический риск включает в себя риск неблагоприятного изменения процентных ставок на рынке, следствием которого являются негативные изменения в доходности портфеля, а так же риск падения ликвидности рынка, следствием которого является невозможность реализации облигаций портфеля без существенных потерь.
Исходя из текущих условий деятельности на рынке облигаций и политики Банка, проводимой по отношению к этим операциям и управлению рисками, устанавливаются следующие нормативы чувствительности к риску.
Неприемлемый риск - величина убытков, неприемлемая с точки зрения функционирования банка в целом. Устанавливается в абсолютной сумме руководством Банка.
Предельно допустимый риск - величина убытков, приводящая к необходимости возмещения их части трейдерами в расчете на величину общего лимита средств, выделяемых на операции с облигациями. Норматив устанавливается в инвестиционных ориентирах в соответствии с решением правления Банка.
В абсолютной сумме он рассчитывается как максимальный процент убытков, превышение которого влечет за собой необходимость возмещения, умноженный на величину общего лимита средств, выделяемых на операции с корпоративными облигациями, и деленный на сто процентов.
Максимально приемлемый риск - величина убытков, равная глобальному стоп-лоссу, установленному в Положение об инвестиционной политике и портфельном управлении для сектора облигаций в расчете на величину общего лимита средств, выделяемых на операции с облигациями.
Для того, чтобы трейдер имел более детальную картину о состоянии своего портфеля, нужно произвести количественную оценку возможных потерь, связанных с данными рисками.
Оценка статического риска производится на основе кредитного анализа эмитента или контрагента, а также статистической вероятности неисполнения своих обязательств эмитентом, обладающим данным уровнем кредитного качества.
Величина статического риска по конкретной открытой позиции будет равна произведению суммы открытой позиции на вероятность неисполнения эмитентом или контрагентом своих обязательств.
Величина общего статического риска портфеля будет равна сумме статического риска по всем открытым позициям.
Оценка динамического риска производится на основе исторических данных о ценах и ликвидности рыночных инструментов и прогнозе экономической ситуации на анализируемый период.
Величина динамического риска изменения процентных ставок равна максимально возможному негативному изменению стоимости инструмента в прогнозируемой на период экономической ситуации. Величина риска, определяемая этим методом не должна превышать величину потерь, определенную в качестве предельно допустимой, глобальным стоп-лоссом в расчете на данную конкретную позицию.
Динамический риск процентных ставок рассчитывается на планируемый период владения бумагой. Величина динамического риска ликвидности равна: для торгуемых бумаг - сумме превышения величины открытой позиции над среднедневным биржевым оборотом по данному инструменту за три последних месяца (по номиналу), умноженной на вероятность неисполнения эмитентом своих обязательств; для бумаг, взятых на первичном размещении, риск ликвидности рассчитывается аналогично, но за среднедневной оборот берется среднедневной оборот по наиболее схожему по своим характеристикам инструменту, который уже обращается на вторичном рынке.
С целью ограничения величины статического и динамического риска, как по портфелю в целом, так и по отдельным отраслям и эмитентам на операции с облигациями устанавливаются лимиты.
Базовый кредитный лимит рассчитывается на основе анализа кредитного качества заемщика и вероятности дефолта, соответствующей этому кредитному качеству. Расчет данного лимита больше подходит для облигаций корпоративного сектора.
Величина статического риска у государственных бумаг очень мала и практически не участвует в расчетах, за исключением муниципальных облигаций.
Базовый кредитный лимит определяется таким образом, чтобы общая величина статического риска соответствующая открытой позиции на всю сумму лимита не превышала величины максимально приемлемого риска. Величина базового кредитного лимита определяется как сумма максимально приемлемого риска, деленная на вероятность дефолта данного конкретного заемщика.
При этом, дефолт трактуется в соответствии с определением рейтинговых агентств Moody's или SP.
Вероятность дефолта определяется: для предприятий имеющих общепризнанный кредитный рейтинг, - как процент предприятий, имевших соответствующий рейтинг и объявивших дефолт в тот же срок от получения рейтинга, что и анализируемое предприятие плюс один год, среди всех предприятий, получивших этот же рейтинг в соответствующий период. Информация берется из публикаций Moody's или SP. При осуществлении инвестиций со сроком до погашения, в качестве периода, для определения вероятности дефолта, берется срок от получения рейтинга плюс срок оставшийся до погашения.
При наличии прогноза по рейтингу (позитивный/негативный) вероятность дефолта может использоваться соответствующая рейтингу на ступень выше или ниже, чем та, которая присвоена предприятию, но только если оценка прочих рисков подтверждает прогноз изменения рейтинга.
Для предприятий, не имеющих общепризнанного кредитного рейтинга, вероятность дефолта оценивается на основе сравнения показателей финансового положения, кредитной истории, качества менеджмента, доли рынка и прочих существенных показателей анализируемого предприятия, с показателями наиболее близкого по характеру деятельности предприятия, которое имеет общепризнанный кредитный рейтинг в заданный период. При этом, вероятность дефолта берется не ниже, чем вероятность дефолта за соответствующий период соответствующая самому низкому кредитному рейтингу по классификации Moody's или SP. Для всех предприятий, независимо от того, имеют ли они общепризнанный кредитный рейтинг или нет, в обязательном порядке проводится анализ кредитного качества по методике Банка Зенит или любой другой аналогичной методике, или, в случае нахождения таковой, - более совершенной.
При этом вероятность дефолта самого надежного заемщика, вне зависимости от того, какой кредитный рейтинг имеет данный заемщик, и какова соответствующая ему вероятность дефолта, обязательно берется не ниже чем 0,01.
Скорректированный базовый кредитный лимит определяется путем уменьшения, в случае необходимости, величины базового кредитного лимита для того, чтобы учесть размер компании - эмитента и совокупный объем выпуска всех эмиссий облигаций данного эмитента, обращающихся на открытом рынке. Скорректированный базовый кредитный лимит определяется как базовый кредитный лимит, уменьшенный до величины чистого денежного потока компании за год и затем уменьшенный до величины, не превышающей 3% от совокупного объема выпуска всех эмиссий облигаций данного эмитента, обращающихся на открытом рынке.
На заседание правления банка для последующего утверждения выносится скорректированный базовый кредитный лимит.
Текущими лимитами ограничивается общий совокупный риск портфеля корпоративных облигаций, общий совокупный риск вложений в каждую отдельную отрасль и совокупный риск по каждой открытой позиции.
Глобальный объемный лимит по риску портфеля устанавливается таким образом, чтобы сумма статического и динамического риска по всем позициям портфеля корпоративных облигаций не превышала величины неприемлемого риска.
Объемный лимит вложений в одну отрасль равен сумме статического и динамического риска по всем вложениям в одну отрасль не должна превышать величины предельно допустимого риска.
Текущий лимит на открытую позицию рассчитывается как сумма статического и динамического риска по каждой отдельной открытой позиции не должна превышать величины максимально приемлемого риска.
Текущие лимиты не выносятся на обсуждение заседания правления банка, а контроль за их соблюдением осуществляется начальником подразделения и сотрудником, отвечающим за аналитическую работу по операциям с корпоративными облигациями.
Чтобы избежать непредвиденных потерь по портфелю, нужно проводить оперативный контроль за рисками и соблюдением лимитов.
Предварительно, перед каждым новым открытием позиции, осуществляются расчеты рисков. Риски определяются как в отдельности - по новой позиции, так и, с учетом ранее открытых позиций, по отрасли и по портфелю в целом.
По результатам расчетов, определяется значение текущего лимита на новую позицию. При этом, открытие позиции на всю сумму текущего лимита не должно привести к нарушению отраслевого и глобального объемных лимитов.
При покупке инструментов на первичном рынке, допускается открывать позицию на всю сумму скорректированного базового кредитного лимита, без учета динамического риска, однако при появлении вторичного рынка по бумаге и данных для расчетов динамического риска, размер позиции должен быть уменьшен, в случае необходимости, до величины текущего кредитного лимита.
Отчет по рискам портфеля составляется одновременно с месячным прогнозом развития ситуации на рынке корпоративных облигаций.
В случае, если по результатам пересмотра, один или несколько лимитов оказываются нарушенными, в портфель следует внести соответствующие коррективы.
Бывают такие ситуации, что в портфелях находятся ценные бумаги, эмитенты которых не имеют кредитного рейтинга, и иногда бывает сложно определить по параметрам облигации какова степень статического риска у данного заемщика.
После августовского кризиса 1998 года российский рынок ценных бумаг пережил ряд потрясений, связанных с неспособностью либо нежеланием заемщиков исполнять свои обязательства по облигациям и кредитам. В результате риск дефолта стал одним из наиболее важных факторов, принимаемых во внимание при оценке долговых ценных бумаг. Традиционной мерой такого риска является превышение уровня доходности к погашению над безрисковой процентной ставкой.
Мы предлагаем альтернативный подход, который позволяет математически определить предполагаемую вероятность дефолта по долговым финансовым инструментам, которая является мерой риска дефолта как на развивающихся, так и на развитых рынках. Этот показатель играет весьма важную роль во внутрибанковском планировании.
Трейдеры по ценным бумагам могут использовать этот показатель в частности для торговли относительной стоимостью (ценные бумаги сходного кредитного качества должны иметь близкие значения вероятности дефолта).
Во внутри банковском планировании, например при приведении стоимости фондирования разных направлений бизнеса внутри банка к безрисковым ставкам, а также для расчетов стоимости хеджирования кредитных рисков, коммерческие банки пользуются этим подходом.
Умножая данный показатель на стоимость актива, можно теоретически определить стоимость хеджирования или в случае кредитования клиента банком размер компенсации за дополнительный риск.
Для расчета предполагаемой вероятности дефолта предположим, что вероятность его наступления в период между любыми двумя последовательными платежами не зависит от срока до погашения ценной бумаги. Такой подход аналогичен тому, который используется при расчете доходности к погашению по облигациям, когда при расчете приведенной стоимости будущих платежей в качестве ставки дисконтирования используется одна и та же процентная ставка доходность к погашению, рассчитываемая по формуле:
Bond рriсе =

, (3.1)
где YTM доходность к погашению; Сi, платеж по облигации в момент времени Тi; YTM = r + Risk Premium, где r безрисковая процентная ставка.
Для расчета приведенной стоимости будущих платежей в качестве ставки дисконтирования будет использоваться безрисковая процентная ставка, так как весь риск будет заложен в оценке вероятных платежей.
Пусть Р вероятность наступления дефолта в период между любыми двумя последовательными платежами. Тогда вероятность того, что дефолт не наступит в первый период выплаты по ценной бумаге, равна (1 - Р), а в i-й период произведению вероятностей ненаступления дефолта во все предыдущие периоды и (1 - Р), т. е. (1 P).
Аналогично вероятность того, что дефолт наступит именно в i-й период, равна (1 - Р)Р.
В случае если дефолт не наступает, держатель ценной бумаги получает платеж Сi, а в случае дефолта остаточную стоимость ценной бумаги RV.
Таким образом, с учетом риска наступления дефолта инвестор может рассчитывать на получение i-го платежа в размере (1 - Р)Сi,- + (1 P)P*RV.
При этом текущая приведенная стоимость PV, такого платежа будет равна
PVi = [(1 - Р)С + (1 - P)P*RV]/(1 + r), (3.2)
где r безрисковая доходность (для долларовых облигаций доходность по US Treasuries или местному инструменту с минимальным риском дефолта).
РРыночная стоимость ценных бумаг равна сумме приведенных стоимостей всех платежей, таким образом, зная рыночную цену, можно рассчитать предполагаемую вероятность дефолта:
Bond price =

. (3.3)
Такое распределение вероятности описывается экспоненциальной зависимостью: D(T) = 1 е

функция распределения вероятности дефолта в течение срока, где р плотность распределения вероятности дефолта.
Вероятность Р может быть выражена следующим образом:
Р = 1 - е

. (3.4)
Отметим, что для большинства ценных бумаг (Тi - Т

) величина постоянная, т. е. величина Р не зависит от срока до погашения.
Формула для приведенной стоимости ценной бумаги может быть сведена к следующей:
Bond price =

, (3.5)
и задача сводится к нахождению р. Таким образом, зная величину, можно определить годовую вероятность дефолта по формуле D = 1 - e. D(T) вероятность наступления дефолта в течение срока Т, где р плотность распределения вероятности дефолта (в нашем предположении р не зависит от времени). dD(t) = (1 - D(t))pdt приращение функции распределения вероятности дефолта при приращении времени на dt. d(l - D(t))/(l - D(t)) = -pdt. Отсюда D(t) = 1 e. Вероятность ненаступления дефолта в течение срока Тi равна произведению вероятности ненаступления дефолта в срок Т на (1 - Р), т. е. е(1 - Р) = е. Отсюда P = 1 - e

.
Приведенная выше модель может быть использована инвесторами и трейдерами для сравнения ценных бумаг сходного кредитного качества.
Например, при уровне остаточной стоимости 12% от номинальной стоимости предполагаемая годовая вероятность дефолта по российским еврооблигациям в начале марта составляла 9 11%.
В то же время по ОВГВЗ составляет от 11% (по 7-му траншу) до 25% (по 4-му траншу), что говорит о несоответствии оценки ценных бумаг участниками рынка и агентством Standard Poor's, которое недавно уравняло рейтинги ОВГВЗ и еврооблигаций на уровне ССС+.
Коммерческими банками такая модель может быть использована для расчета маржи над безрисковой процентной ставкой для заемщиков с различным рейтингом.
Рассмотрим ситуацию, когда в банке существует система внутренних рейтингов заемщиков и некоторые кредиты имеют частичное покрытие, которое может рассматриваться как остаточная стоимость в случае неисполнения заемщиком своих обязательств.
Предполагается выдать кредит заемщику с рейтингом, предполагающим 10%-ю вероятность неисполнения обязательств. Кредит подлежит погашению через год с выплатой половины суммы через полгода и оставшейся суммы через год.
Если безрисковая ставка в данной валюте составляет 15%, а остаточная стоимость 20% от суммы кредита, то согласно приведенной модели процентная ставка должна составлять 23,85%.
В случае изменения рейтинга заемщика (оценки вероятности неисполнения обязательств) с помощью этой же модели можно переоценить стоимость кредита. Например, если через 3 месяца после выдачи кредита рейтинг заемщика предполагает вероятность неисполнения обязательств 15%, а остаточная стоимость оценивается в 10%, то стоимость такого кредита будет составлять 97,3%.
Рассмотрим еще один пример, где применяется данная модель. Компания обращается в банк за возобновлением кредита.
С момента подачи последней заявки кредитоспособность компании, по мнению банка, упала и риск кредитования возрос, по крайней мере, на 10 процентных пунктов, до 20%.
По сравнению с предыдущим разом в случае продажи займа на рынке вы получили бы только 90 центов/долл. При той же оценке уровня остаточной стоимости изложенная выше методология предлагает вам повысить ставку займа на 10,4 процентных пунктов, с 23,85 до 34,25%.
Таким образом, модель оценки вероятности дефолта может быть инструментом оценки рыночной стоимости существующих долгов, а также механизмом определения процентных ставок по кредитам с учетом риска заемщика.
Для трейдеров наряду с доходностью к погашению данная модель может служить удобным инструментом для сравнения привлекательности облигаций различных эмитентов, позволяя численно определить уровень риска дефолта.
Для коммерческих банков применение данной методологии осложнено российскими реалиями, например:
дифференциацией отношений компаний с кредиторами: одним платят, другим нет;
отсутствием внутрироссийских рейтингов компаний и др.
Тем не менее внутри банков рейтинги заемщиков должны существовать, поэтому некоторые элементы предложенного подхода могут быть использованы как элементы в создании внутрибанковских методик оценки рисков.
Рассмотрим как производится оценка доходности и риска ценных бумаг с фиксированным доходом, в частности векселей и облигаций.
Сейчас трудно найти работу, в которой бы проводился вероятностный анализ доходности и риска долговых обязательств. Скорее всего, это связано с тем, что доходность такого рода бумаг не лежит в произвольно широких пределах, как это имеет место для акций и паев взаимных фондов на акциях. Моделируя ценные бумаги с фиксированным доходом, мы знаем параметры выпуска (дата выпуска, цена размещения, дата погашения, число купонов, их размер и периодичность).
Единственное, чего мы не знаем, - это то, как будет изменяться котировка этих бумаг на рынке в зависимости от текущей стоимости заемного капитала, которая косвенно может быть оценена уровнем федеральной процентной ставки страны, где осуществляются заимствования.
Идея вероятностного анализа долговых обязательств, представленная здесь, состоит в том, чтобы отслоить от истории сделок с долговыми обязательствами неслучайную составляющую цены (тренд). Тогда оставшаяся случайная составляющая (шум) цены может рассматриваться нами как случайный процесс с непрерывным временем, в сечении которого лежит нормально распределенная случайная величина с нулевым средним значением и со среднеквадратичным отклонением (СКО), равным (t), где t время наблюдения случайного процесса.
Ожидаемый вид функции (t) будет исследован нами позже.
Получим аналитический вид трендов долговых обязательств и для начала рассмотрим простейшие случаи таких выражений, которые имеют место для дисконтных бескупонных облигаций и дисконтных векселей.
Пусть бумага данного вида эмитирована в момент времени TI по цене N0 N, где N номинал ценной бумаги. Тогда разница N N0 составляет дисконт по бумаге.
Параметрами выпуска также определен срок погашения бумаги TM, когда владельцу бумаги возмещается ее номинал в денежном выражении.
Пусть t момент времени, когда инвестор собирается приобрести бумагу. Определим ее справедливую рыночную цену С(t).
Это выражение и является трендом для случайного процесса цены бумаги.
Пусть время в модели дискретно, а интервал дискретизации - год. Бумага выпускается в обращение в начале первого года, а гасится в конце n го. Тогда рыночная цена дисконтного инструмента, приобретаемого в начале (k+1) го года обращения бумаги, имеет вид:

(3.6)
где r внутренняя норма доходности долгового инструмента, определяемая по формуле:

(3.7)
Формула (3.6) предполагает, что на рынке имеются бумаги с той же самой внутренней нормой доходности, что и наша, которые при этом имеют реинвестируемые купонные платежи, а период реинвестирования равен одному году. Если бы не так, то расчет следовало бы вести по формуле, предполагающей, что период реинвестирования платежей совпадает с периодом обращения дисконтного инструмента.
Получим аналоги формул (3.6) и (3.7) для непрерывного времени, предполагая по ходу, что реинвестирование также идет в непрерывном времени с периодом бесконечно малой длительности. Это делается следующим образом. Разобъем весь период обращения ценной бумаги [TI, TM] на интервалы числом n и длительностью

(3.8)
Обозначим t = TI + k * и применим к расчету рыночной цены бумаги формулы (3.6) и (3.7). Это дает:

, (3.9)

(3.10)
Предельный переход в (3.9) и (3.10) при 0 дает:

(3.11)

(3.12)
3.1.1. Функция справедливой цены дисконтной облигации
Это и есть соотношение для справедливой цены дисконтной бумаги для непрерывного времени. Качественный вид функции (3.10) представлен на 3.1.1.
Сделаем предположение о характере шума цены. Для этого построим частную производную цены по показателю внутренней нормы доходности бумаги:

(3.13)
Видно, что чувствительность цены к колебаниям процентной ставки имеет нестационарный вид и убывает до нуля по мере приближения срока погашения бумаги. Таким образом, резонно искать среднеквадратичное отклонение (СКО) шума как функцию вида:

(3.14)
Ожидаемый вид СКО представлен на 3.1.2.
С практической точки зрения это означает следующее. Мы наблюдаем случайный процесс цен на бумаги, который можно обозначить H(t). Тогда шум процесса имеет вид

(3.15)
где C(t) тренд цены - определяется по (6.6).
VаR модели оценки инвестиционных рисков
Инструментарий, применяемый в международной практике, весьма разнообразен: на валютных рынках - форвардные и фьючерсные контракты, валютные опционы, свопы (Swap), опционы на свопы (Swaption); на денежных рынках - процентные фьючерсы, опционы на фьючерсы, свопы, опционы на свопы, кэпы (Сар), коллары (Collar), свопы на коллары (Collar Swap), флоры (Floor) и опционы на них (Caption, Floortion, Collar-tion); на фондовых рынках -фьючерсы и опционы не только на акции, но и на индексы, варранты (Warrants) и т.п. Параметры, описывающие степень риска (например, волатильность), могут рассматриваться в качестве торгуемого индекса, явным образом указывая на степень риска.
Международные финансовые рынки особенно динамично развиваются в течение последних двух десятилетий в ответ на значительные изменения в мировой экономике и экономической политике. Увеличение объемов международной торговли, появление транснациональных корпораций и банков, либерализация и волна дерегулирований национальных рынков в развитых странах, мировая хозяйственная интеграция способствовали росту интенсивности массового движения капитала. Происходящее переплетение национальных и международных активов приводит к формированию единого универсального рынка капиталов, доступного всем субъектам независимо от их государственной и национальной принадлежности.
Все эти события и факторы вызывают повышенный интерес к выбору методологии количественной оценки финансовых рисков. Одной из таких методологий оценки рыночных рисков, развивающихся параллельно с ростом и развитием финансовых рынков, стала методология Value-at-Risk.
VаR модели оценки инвестиционных рисков
Для всесторонней (количественной и качественной) оценки рыночного риска в настоящее время в мире все активнее используется методология Value-at-Risk (VaR). Существует множество неточных переводов и понятий Value-at-Risk типа стоимость под риском, стоимостная оценка (мера) риска или даже рисковая стоимость и т.п., но, по мнению экспертов, подобные термины в научно-практической литературе следует использовать без перевода, используя латинские аббревиатуры и стараясь по возможности математически точно определять эти понятия с практическими иллюстрациями на примерах, применяя единую аббревиатуру. Тем не менее даже в англоязычной литературе для Value-at-Risk используются две аббревиатуры - VAR и VaR. Правильно применять последний вариант аббревиатуры, т.е.
VaR, так как аббревиатура VAR может иногда употребляться в одной и той же зарубежной статье для обозначения и Value-at-Risk и дисперсии (Variance). Латинская аббревиатура VaR применяется на практике и в теории исключительно для обозначения Value-at-Risk, поэтому везде в данной работе только она и будет использоваться.
VaR - это вероятностно-статистический подход для определения соотношения ценовых показателей и риска, основным понятием в нем является распределение вероятностей, связывающее все возможные величины изменений рыночных факторов с их вероятностями.
Методология VaR стала особенно широко применяться в последние годы и сегодня используется в качестве единого унифицированного подхода к оценке риска международными банковскими и финансовыми организациями. Например, Банк международных расчетов (BIS) применяет VaR в качестве основы при установлении нормативов величины собственного капитала относительно риска активов.
Кроме единства и относительной простоты подхода, главным и, видимо, самым веским аргументом в пользу концепции VaR является тот факт, что VaR стала общепризнанной методологией оценки риска среди зарубежных организаций и финансистов.
Сторонники данной концепции верят, что в конечном итоге VaR позволит на общем языке обсуждать проблемы оценки риска финансовым директорам, бухгалтерам, акционерам, управленцам, аудиторам и регулирующим органам всех стран. Методология VaR обладает рядом других несомненных преимуществ, так как позволяет:
- оценить риск в терминах возможных потерь, соотнесенных с вероятностями их возникновения;
- измерить риски на различных рынках универсальным образом;
- агрегировать риски отдельных позиций в единую величину для всего портфеля, учитывая при этом информацию о количестве позиций, волатильности на рынке и периоде поддержания позиций.
К другим важным достоинствам VaR относятся: простота и наглядность расчётов, консолидация информации, возможность сравнительного анализа потерь и соответствующих им рисков, а также то, что сам процесс оценки риска не менее важен, чем результат. VaR -своеобразный способ мышления и рассуждения о рисках.
К недостаткам VaR относятся сильные и слабые допущения о свойствах финансовых рынков, поведении экономических агентов на этих рынках, о виде и параметрах эмпирической функции распределения вероятностей, о чувствительности портфеля и ряд других.
При оценке VaR практически не учитывается ликвидность - важная характеристика всех рынков, особенно российских. Это может привести к тому, что в отдельные моменты изменение структуры портфеля для уменьшения риска может оказаться бесполезным.
Методология VaR применима на стабильных рынках и перестает адекватно отображать величину риска, когда на рынках происходят быстрые и/или резкие изменения. Если рыночные условия существенно меняются, например, скачкообразно изменяются цены, резко изменяется ликвидность рынка или корреляция между активами, то VaR учтет эти изменения через определенный промежуток времени, только накопив необходимую статистику событий и данных.
В течение же этого временного интервала любые оценки VaR будут некорректны.
С помощью VaR оценивается вероятность возникновения потерь больше определенного уровня, то есть оценивается вес хвоста распределения, поэтому дополнительно к VaR рекомендуется изучать поведение портфеля в стрессовых ситуациях (Stress-testing) и использовать сценарный подход (Scenario Approach), чтобы оценить длину хвоста распределения.
К тому же VaR (как, впрочем, большинство известных методологий и методик) не дает абсолютной оценки возможных потерь, иногда VaR - прогноз непрогнозируемых событий.
Однако VaR - действительно универсальный подход к оценке рыночных рисков, методология и элемент культуры современного риск-менеджмента.
Одна из главных целей разработки концепции VaR - одним единственным числом агрегировать и отобразить информацию о рыночных рисках портфеля, а также о рисках составляющих портфель сегментов и элементов.
Следует различать VaR как методологию, т.е. совокупность отдельных методов и методик оценки рыночного риска и числовые значения VaR для различных финансовых инструментов и всего портфеля в целом как суммы потенциально возможных потерь.
Теоретически рыночный риск может характеризоваться единственным параметром - VaR.
Например, при оценке валютных рисков открытых валютных позиций фирмы или коммерческого банка Value at Risk - выраженная в единицах базовой валюты суммарная оценка максимально возможных (с некоторой заданной вероятностью) убытков от воздействия того или иного рыночного фактора на открытую позицию по данному финансовому инструменту (впрочем, как и по портфелю в целом) в течение периода времени, необходимого для закрытия этой позиции.
Формализованно точное определение VaR портфеля активов (финансовых инструментов) часто формулируется следующим образом. Пусть портфель фиксирован (известна стоимостная структура портфеля: состав финансовых инструментов и их цены в момент времени t). VaR портфеля для заданного доверительного уровня и данного периода поддержания позиций t определяется как такое значение V, которое обеспечивает покрытие максимально возможных потерь Х держателя (владельца или менеджера) портфеля за временной период t с заданной вероятностью р, т. е. выполняется соотношение: Р(Х -V) = р.
С точки зрения теории вероятностей и математической статистики VaR соответствует р-квантилю заданного распределения. При этом VaR = V соответствует доверительному уровню (Confidence Level), равному 1 - p.
Проще говоря, VaR - статистическая оценка максимально возможных потерь данного портфеля финансовых инструментов при заданном распределении за определенный период времени во всех случаях, за исключением заранее заданного малого процента ситуаций.
Итак, VaR - величина максимально возможных потерь, такая, что потери в стоимости данного портфеля инвестора за определенный период времени с заданной вероятностью не превысят этой величины.
Таким образом, VaR дает вероятностную оценку потенциальных убытков по портфелю в течение определенного временного периода при экспертно заданном доверительном уровне. Доверительный уровень определяет вероятность наступления определенного события (например, 99% или 99,9%).
Доверительный уровень часто соответствует доверительному уровню, используемому при расчете показателя отдачи на капитал RAROC (показатель очищенной от риска прибыли с капитала).
Доверительный уровень может устанавливаться не только в процентах, но и в среднеквадратических отклонениях (например, как в правиле трех сигм для гауссовского распределения вероятностей).
Временной горизонт определяет период, в течение которого осуществляется измерение риска потерь; он должен выбираться исходя из наличия статистических данных и характера проводимых операций в зависимости от продолжительности срока владения активами и ликвидности рынка.
В любом случае определение VaR подразумевает знание функции распределения доходности портфеля за выбранный интервал времени. Если стандартное отклонение как мера риска определяет ширину плотности распределения доходности портфеля, то VaR определяет конкретное значение потерь в стоимости портфеля, соответствующее заданному весу хвоста распределения.
Пример, поясняющий понятие и определение VaR, приведен на 2.2.1. По оси абсцисс отложены изменения цен ликвидации портфеля в течение определенного периода времени, по оси ординат - частота появления этих изменений.
Кривая на рисунке задает плотность распределения вероятностей прибылей и потерь для данного портфеля (часто не гауссовского распределения) и заданного периода поддержания позиций. Заштрихованная светлым область соответствует выбранному доверительному уровню 1 - р = 98,5% в том смысле, что ее площадь составляет 98,5% от общей площади под кривой; соответственно площадь затемненной области слева составляет 1,5% от общей площади под кривой.
Таким образом, VaR представляет собой величину суммарных возможных потерь, отвечающих заданному доверительному уровню.

Итак, для вычисления VaR необходимо определить ряд базовых элементов, непосредственно влияющих на его величину. В первую очередь это вероятностное распределение рыночных факторов, напрямую влияющих на изменения цен входящих в портфель активов. Понятно, что для его построения необходима некоторая статистика по поведению каждого из этих активов во времени.
Если предположить, что логарифмы изменений цен активов подчиняются нормальному (гауссовскому) закону распределения с нулевым средним, то достаточно оценить только волатильность (здесь Volatility - среднеквадратическое отклонение приращения логарифма цены актива в единицу времени).
Однако на реальном российском финансовом рынке (впрочем, как и на многих зарубежных и международных рынках) предположение (гипотеза) о нормальности распределения, как правило, не выполняется.
После задания функций распределения рыночных факторов необходимо выбрать доверительный уровень, то есть вероятность, с которой наши потери не должны превышать VaR. Затем надо определить период поддержания позиций (holding period), на котором оцениваются потери. При некоторых упрощающих предположениях легко показать, что значение VaR портфеля пропорционально квадратному корню из периода поддержания позиций. Поэтому при принятии этих предположений или их достоверности достаточно вычислять только однодневную величину VaR.
Тогда, например, четырехдневное значение VaR будет в два раза больше, а 25-дневное - в пять раз.
Кроме того, если в портфеле содержатся сложные производные финансовые инструменты (например, опционы), надо выбрать функцию их ценообразования в зависимости от параметров рынка. Наконец, необходимо определить корреляционные связи между различными рыночными факторами и составить матрицу ковариаций.
Последнее представляется весьма важным.
Следует, однако, помнить, что любая числовая мера степени неопределенности является ограниченной - лишь само реальное распределение дает исчерпывающую характеристику риска. Поэтому в качестве такой меры риска выбор той или иной функции и числовых характеристик распределения должен производиться с учетом особенностей конкретной задачи управления рисками.
Так, например, принимая доверительный уровень, скажем, 99%, мы должны подумать о последствиях остального 1% -будет ли это не слишком большой проигрыш порядка одного стандартного отклонения, или что-то типа мировых кризисов октября 1987 года (тогда индекс Доу-Джонса упал более чем на 800 пунктов) или 1997 года, черного вторника или кризиса августа 1998 года в России. В последних случаях необходимо увеличить доверительный интервал, например, до 99,9%-99,99%.
И, наконец, для расчета VaR необходимо знать стоимостную структуру портфеля (состав и цены финансовых инструментов).
Получение релевантной информации о составе портфеля - непростая задача. Некоторые крупные корпорации, имеющие в своем портфеле тысячи торгуемых на различных рынках инструментов и ведущие активные финансовые операции, сталкиваются с проблемой оперативного получения информации о текущей структуре портфеля.
Другая проблема состоит в выборе времени фиксации цен активов, образующих портфель. Торговые сессии на мировых рынках заканчиваются в разное время, что создает проблему: по каким ценам считать изменение стоимости портфеля?
Обычно время фиксации выбирается как время закрытия торгов на рынке, где сосредоточены основные активы компании.
Итак, после того как выявлены все базовые элементы, следует обратиться непосредственно к процедуре вычисления Value-at-Risk.
Существуют три основных метода вычисления VaR: аналитический метод (иначе называемый вариационно-ковариационным методом, или методом ковариационных матриц), метод исторического моделирования (исторический метод, или метод исторических данных) и метод статистического моделирования (метод статистических испытаний или, иначе, метод Монте-Карло).
Основная идея аналитического метода заключается в выявлении рыночных факторов, влияющих на стоимость портфеля, и аппроксимации стоимости портфеля на основе этих факторов. То есть финансовые инструменты, составляющие портфель, разбиваются, насколько это возможно, на элементарные активы, такие, что изменение каждого зависит только от воздействия одного рыночного фактора.
Например, многолетняя купонная облигация может рассматриваться как набор бескупонных облигаций с разными сроками погашения.
Портфель раскладывается на базисные активы (компоненты), от которых зависит его текущая (современная) стоимость (Present Value). Среднеквадратичное отклонение стоимости портфеля определяется среднеквадратическими отклонениями каждой из компонент и матрицей ковариаций.
Наиболее известное воплощение этой модели - Risk-Metrics J.Р. Morgan.
Этот метод требует только оценки параметров распределения при явном допущении о виде распределения рыночных факторов. Обычно делают предположение о нормальном законе распределения каждого рыночного фактора. На основе данных прошлых периодов (далее исторических данных) вычисляются математические ожидания и дисперсии факторов, а также корреляции между ними.
Если аппроксимация имеет линейный вид, то распределение доходности портфеля в целом также будет нормальным, и, зная параметры распределений рыночных факторов, можно определить параметры распределения всего портфеля.
Оценив стандартные отклонения логарифмов изменений цен для каждого из входящих в портфель активов, вычисляем VaR для них путем умножения стандартных отклонений на соответствующий доверительному уровню коэффициент. Полное вычисление VaR портфеля требует знания корреляционных связей между его элементами.
Аналитический метод может быть обобщен на портфель с произвольным числом различных активов - достаточно знать их волатильности и корреляции между ними. Волатильности важны при рассмотрении нелинейных инструментов.
Корреляции между различными активами особенно важны при рассмотрении сложных портфелей - именно корреляция определяет характер неттирования прибылей/убытков между различными инструментами.
Серьезное преимущество этого метода состоит в том, что для большинства рыночных факторов все необходимые параметры нормального распределения хорошо известны. Отметим также, что оценка риска в рамках методологии VaR, полученная с помощью аналитического метода, совпадает с оценкой риска, предлагаемой современной портфельной теорией.
Аналитический метод прост в реализации и позволяет относительно быстро (возможно, даже в режиме реального времени) вычислять VaR практически на любых современных компьютерах. Но качество оценки ухудшается при увеличении в портфеле доли инструментов с нелинейными функциями выплат.
Кроме того, необходимость делать допущения о виде распределений для базовых активов является серьезным недостатком этого метода. Аналитический метод обладает также рядом не менее существенных недостатков. В частности, приходится опираться на весьма сомнительные гипотезы о нормальности распределения и стационарности нормального распределения, что делает метод мало пригодным для современных российских (и не только российских) условий.
Метод неприменим для портфелей, состоящих из инструментов, стоимость которых зависит от базисных активов нелинейным образом, например, для портфелей, содержащих нелинейные финансовые инструменты типа опционов и так называемых кредитных деривативов (Credit Derivatives).
Резюмируя все вышесказанное по аналитическому методу, можно выделить основные положительные и отрицательные стороны применения аналитического метода для расчета VaR. Преимущества: простота и наглядность расчетов; возможность расчета совокупной величины VaR для линейных инструментов; доступность методических материалов.
Недостатки: допущение о нормальном распределении; невозможность расчета VaR для нелинейных инструментов.
Следующий метод, который используется при вычислении VaR, - это метод исторического моделирования. Этот метод заключается в исследовании изменений стоимости портфеля за предыдущий исторический период.
Исторические изменения стоимости активов используются для оценки изменения текущей стоимости портфеля. Определяются максимально возможные изменения стоимости портфеля для выбранного доверительного уровня.
Для вычисления VaR на определенный исторический период составляется база данных значений цен инструментов, входящих в портфель (или выделенных рыночных факторов, если портфель аппроксимируется). После этого надо вычислить изменения цен инструментов за промежуток времени, для которого рассчитывается VaR, и получить соответствующие значения изменений стоимости портфеля.
Затем надо проранжировать полученные данные, построить гистограмму распределения изменений стоимости портфеля и найти значение VaR, соответствующее выбранному значению вероятности.
Этот метод является непараметрическим и основан на весьма понятном предположении о неизменности развития и стационарности рынка в ближайшем будущем. Выбирается период времени (например, 100 торговых дней), за который отслеживаются относительные изменения цен всех входящих в сегодняшний портфель активов.
Затем для каждого из этих изменений вычисляется, насколько изменилась бы цена сегодняшнего портфеля, после чего полученные 100 чисел сортируются по убыванию. Взятое с обратным знаком число, соответствующее выбранному доверительному уровню (например, для уровня 99% необходимо взять число с номером 99), и будет представлять собой эмпирическую оценку VaR портфеля.
У исторического метода есть безусловные преимущества - он не требует серьезных упрощающих предположений и способен улавливать весьма неординарные события на рынке. Важные преимущества данного метода состоят также в том, что он свободен от предположений о виде распределения рыночных факторов портфеля, прост в осуществлении.
При его использовании не возникает проблем с оценкой портфеля, содержащих опционы и подобные им инструменты.
К недостаткам обсуждаемого метода следует отнести то, что он требует проведения большой работы по сбору исторических данных и их обработке. Кроме того, оценка возможных изменений стоимости портфеля ограничена набором предыдущих исторических изменений.
Типичная проблема при использовании данного метода состоит в отсутствии требуемого объема исторических данных. Чтобы получить более точную оценку VaR, необходимо использовать как можно больший объем данных, но использование слишком старых данных приводит к тому, что сегодняшний (и тем более будущий) риск будет оценен на основе данных, которые не соответствуют текущему состоянию рынка.
Таким образом, наиболее существенным недостатком исторического метода является его исключительная неустойчивость по отношению к выбору предыстории.
В самом деле, пусть портфель состоит только из одного фьючерса на доллар США. Пусть из доступных нам n дней периода предыстории в течение первых n/2 дней волатильность изменений цен фьючерса была равна 1%, а в течение последующих n/2 дней в десять раз меньшее, чем при выборе всей доступной предыстории. Какое значение считать верным не понятно.
Вопрос остается открытым, а ответ на него потребует дополнительных гипотез о текущем состоянии рынка.
Следующим на очереди является метод статистического моделирования (иначе метод Монте-Карло), который основан на моделировании случайных процессов с заданными характеристиками. Данный метод заключается в моделировании возможных изменений стоимости портфеля при некоторых предположениях. Выявляются основные рыночные факторы, влияющие на стоимость портфеля. Затем строится совместное распределение этих факторов каким-либо способом, например, с использованием исторических данных или данных, основанных на каком-либо сценарии развития экономики.
После этого моделируется большое число возможных сценариев развития ситуации, а изменение портфеля считается для каждого результата моделирования. Далее строится гистограмма полученных данных и определяется значение VaR.
Таким образом, изменения стоимости портфеля моделируются на основе выбранных статистических параметров отдельных активов, входящих в состав портфеля.
В отличие от исторического моделирования в методе Монте-Карло изменения цен активов генерируются псевдослучайным образом в соответствии с заданными параметрами. Имитируемое распределение может быть в принципе любым, а число сценариев весьма большим (от нескольких десятков до сотен тысяч).
В остальном этот метод почти аналогичен методу исторического моделирования.
Метод Монте-Карло является наиболее точным и надежным при рассмотрении нелинейных инструментов. Этот метод имеет еще несколько важных преимуществ. Он не использует конкретную модель определения параметров и может быть легко перенастроен в соответствии с экономическим прогнозом.
Метод моделирует не конечную стоимость портфеля, а целые сценарии развития ситуаций, что позволяет отслеживать изменение стоимости портфеля в зависимости от пути развития ситуации.
Недостатки метода Монте-Карло его медленная сходимость (это приводит к существенным затратам времени и вычислительных мощностей), сложность и трудоемкость расчетов.
Итак, метод Монте-Карло отличается высокой точностью и надежностью, пригоден практически для любых портфелей, но его применение требует качественной математической подготовки специалистов и достаточных компьютерных ресурсов для сложных вычислений.
Выбор одного из методов определения VaR зависит, прежде всего, от структуры портфеля, временных ограничений и технических возможностей, а также многих других условий и обстоятельств.
Поэтому, вообще говоря, сложно рекомендовать тот или иной метод вычисления VaR.
Инвестиции: Анализ - Инвестирование - Инвестиционные фонды