Алюнов - Роль и место отдельной страны в мировом хозяйстве
В пособии дается характеристика основных критериев выделения подсистем мировой экономике, и рассматриваются классификации стран по методикам основных международных организаций. Методические указания содержат перечень типовых заданий и статистического материала для самостоятельного изучения студентами обозначенной темы.
Предисловие
Главной тенденцией мировой экономики на рубеже ХХ-ХХI вв. является интернационализация, т.е. усиление участия стран в мировом хозяйстве. Интернационализация все больше превращает мировое хозяйство в единый рынок товаров, услуг, рабочей силы и капитала.
Подобный процесс называют глобализацией, которая, в сущности, является более высокой стадией интернационализации.
Глобализация осуществляется прежде всего через регионализацию, когда внешнеэкономические связи страны ориентируются на свой и соседние регионы. На базе регионализации идет международная экономическая интеграция, т.е. срастание экономик соседних стран в единый региональный хозяйственный комплекс на основе глубоких и устойчивых экономических связей.
Одновременно, в современном мире сохраняется разрыв в уровнях социально- экономического развития между странами и регионами мира, но состав отстающих и лидирующих по уровню развития стран постоянно меняется. Причем во второй половине XX в., когда были достигнуты рекордные в истории человечества темпы экономического развития, этот процесс ускорился. Если в предыдущие столетия в мире росла экономическая мощь стран Запада, а затем России и Японии, то в последние десятилетия XX в. идет обратный процесс в мировом ВВП растет доля развивающихся стран и Китая.
Среди развивающихся стран по своей экономической динамике выделяются новые индустриальные страны, в то время как наименее развитые страны все больше отстают.
Взаимодействие отдельных стран и регионов по всем аспектам экономических отношений, переплетение национальных экономик усложняет процесс оценки роли и места отдельных стран в глобальной экономике. Учебно-методическое пособие призвано помочь студентам при самостоятельном изучении экономики зарубежных стран.
По структуре пособие состоит из двух частей. Первая часть содержит учебный материал по основным группам стран в мировой экономике, приводит наиболее распространенные классификации стран по широкому кругу экономических, социальных, а также не поддающихся количественной оценке критериев.
Вторая часть методические указания по написанию самостоятельной работы по курсу Мировая экономика в рамках изучения темы экономика зарубежных стран.
Критерии, выделения подсистем мирового хозяйства
Взаимодействие стран в системе мирового хозяйства и развитие их взаимных экономических отношений происходят в условиях сотрудничества и острейшей конкурентной борьбы. Результаты этой борьбы во многом зависят от их положения и роли в мировом хозяйстве и международных экономических отношениях.
Мировое хозяйство, являясь целостной системой, состоит из различных частей, подсистем, которые имеют определенную общность и отличия. Существует несколько подходов к определению места страны в мировом хозяйстве.
Разнообразие сочетаний показателей экономического развития различных стран не позволяет оценивать уровень экономического развития с какой-то одной точки зрения. Для выделения подсистем мирового хозяйства применяют целый ряд критериев, основными из которых являются:
1. уровень экономического развития;
2. социальная структура экономики;
3. тип экономического роста;
4. уровень и характер внешнеэкономических связей.
Все это в конечном итоге определяет степень их участия в международных экономических отношениях, их воздействие на мирохозяйственную систему и тенденции ее развития, а также обратное влияние внешнеэкономической сферы на национальные экономики. Соотношение сил между странами - конкурентами и партнерами определяется всеми вышеперечисленные показатели.
1.1Уровень экономического развития
Наиболее распространенным критерием определения подсистемы выступает уровень экономического развития. Следует подчеркнуть, что уровень экономического развития страны и ее участие в мировом хозяйстве понятие историческое.
Каждый этап развития национальной экономики и всего мирового хозяйства в целом вносит те или иные изменения в состав основных показателей.
Самый простой из них разделение мировой экономики на группы стран по уровню дохода на душу населения. Такой подход используется в ООН, МВФ, МБРР (абсолютные показатели дохода на душу населения по странам исчисляются ежегодно).
Например, МБРР различает три группы стран в соответствии с уровнем дохода (см. приложение 1). В 1995 г. были определены следующие граничные значения годового дохода на душу населения:
1.Низкий уровень доходов не более 765 долл. (49 стран);
2.Средний уровень доходов от 766 до 9385 долл. (58 стран);
3.Высокий уровень доходов 9386 долл. и выше (26 стран).
Дополнительная граница дохода на душу населения 3035 долл. вводится между уровнем доходов незначительно выше и незначительно ниже среднего.
Классификация стран мира по методике Всемирного Банка предлагает другие граничные значения среднедушевого дохода, представленные в табл. 1
Таблица 1
Группы стран по уровню среднедушевого дохода
| 1 |
Экономика с высоким уровнем дохода (25 стран) |
ВНП на душу населения от $12000 до $43000 в год:
- страны - члены ОЭСР;
- Саудовская Аравия;
- Израиль;
- Сингапур;
- Сянган;
- Кувейт;
- Объединенные Арабские Эмираты |
| 2 |
Экономика со средним уровнем дохода (54 страны) |
ВНП на душу населения от $545 до $12000 в год. Из них:
- страны с высшим средним уровнем дохода (37 стран): ВНП на душу населения от $4000 до $12000);
- страны с низшим средним уровнем дохода (17 стран): ВНП на душу населения от $545 до 4000 |
| 3 |
Экономика с низким уровнем дохода (42 страны) |
ВНП на душу населения менее $545 в год |
| 4 |
Страны не члены Всемирного Банка, не предоставляющие сведения (9 стран) |
- Албания;
- Куба;
- КНДР;
- Монголия;
- некоторые государства СНГ |
Место страны в мировой экономике (ее экономическая мощь) можно оценить путем сравнения общего объема ВВП, произведенного за год. По абсолютному объему ВВП в 2000 г. наиболее крупные страны по группам распределились следующим образом (млрд. долл.):
- первая США (10000), Китай(4900) и Япония(3500);
- вторая Германия(2160), Индия(2020), Франция(1610), Италия(1435), Великобритания(1435);
- третья Россия(1265), Бразилия(1100), Мексика(875), Индонезия(850), Канада(850), Южная Корея (710);
- четвертая Испания, Таиланд, Турция, Иран;
- пятая Австралия, Тайвань, Пакистан.
По прогнозу на 2010 год ситуация несколько изменится. Объем ВВП Китая выровняется с объемом ВВП США и превысит 10 млрд. долл. Эти страны будут самыми мощными в мировой экономики.
Индия, Бразилия, Индонезия достигнут уровня Германии, Франции, Великобритании, Италии и превратятся во влиятельную экономическую силу.
Существует еще один показатель, характеризующий силу отдельных стран в мировой экономике. Как известно, господствующее положение в мире занимают крупные компании. Через них реализуется влияние государств на мировое развитие.
В таблице 2 представлен рейтинг Financial Times по результатам хозяйственной деятельности за 1997 г. 500 ведущих мировых компаний.
Таблица 2 Рейтинг Financial Times-500
| Страна, регион |
Количество ТНК |
| Северная Америка |
235 |
| в т.ч. США |
222 |
| Европа |
145 |
| Япония |
71 |
| Азиатско-Тихоокеанский регион |
36 |
| Латинская Америка |
8 |
| Африка (ЮАР) |
4 |
| Ближний Восток |
1 |
Как показывают данные доля США превышает 40%. К тому же следует учитывать тот факт, что некоторые крупные компании полностью принадлежат индустриальным странам, но зарегистрированы в другом регионе.
Ранжированные ряды по основным экономическим показателям в последние годы дополнены многочисленными международными исследованиями, пытающимися более определенно и комплексно показать место каждой страны в экономическом развитии мира. Приведем классификацию стран по уровню экономического развития, данную на основе разнородных материалов в Докладе о развитии человека, ООН.
В докладе названо наибольшее по сравнению с другими источниками число стран 175. Страны делятся на три группы: промышленно развитые высокий уровень (47 стран), развивающиеся средний уровень (83), наименее развитые низкий уровень (45).
В таблице 3 они даны в алфавитном порядке.
Для стран с высоким уровнем развития типична ситуация, когда в структуре их ВВП преобладает третичный сектор (сфера услуг), вторичный сектор (промышленность и строительство) представлен прежде всего обрабатывающей промышленностью, а доля первичного сектора (сельское и лесное хозяйство, охота и рыболовство) невелика. Хотя в структуре ВВП некоторых развивающихся стран велика доля третичного и вторичного секторов, обычно она объясняется широким развитием туризма или торговли, или добывающей промышленности.
Развитие каждой страны вместе с тем определяется уровнем индустриализации и структурой производства, которые являются важными факторами роста национального дохода. Современный этап индустриализации характеризуется широким использованием информационной техники и технологии, дающей большую экономию овеществленного труда.
В сферу индустриализации и информации включаются не только промышленные отрасли, но и сельское хозяйство и сфера услуг.
Структура промышленного производства состоит из средств производства и предметов потребления. В индустриальных странах важное место занимает производство потребительских товаров длительного пользования, а уровень производства средств производства и предметов потребления примерно равны.
Таблица 3
Классификация стран по уровню экономического развития
Промышленно развитые
(высокий уровень) |
Развивающиеся
(средний уровень) |
Наименее развитые
(низкий уровень) |
| Австралия, Австрия, Азербайджан, Албания, Армения, Белоруссия, Бельгия, Болгария, Венгрия, Германия, Греция, Грузия, Дания, Израиль, Ирландия, Исландия, Испания, Италия, Казахстан, Канада, Киргизия, Латвия, Литва, Люксембург, Мальта, Нидерланды, Новая Зеландия, Норвегия, Польша, Португалия, Молдавия, Россия, Румыния, Словакия, Соединенное королевство Великобритании и Северной Ирландии, США, Таджикистан, Туркменистан, Узбекистан, Украина, Финляндия, Франция, Чехия, Швейцария, Швеция, Эстония, Япония |
Алжир, Антигуа и Барбуда, Аргентина, Багамские Острова, Бахрейн, Барбадос, Белиз, Боливия, Ботсвана, Бразилия, Бруней, Венесуэла, Вьетнам, Габон, Гана, Гайана, Гватемала, Гондурас, Гонконг, Гренада, Доминика, Доминиканская Республика, Египет, Зимбабве, Индия, Индонезия, Иордания, Ирак, Иран, Камерун, Катар, Кения, Кипр, Китай, Колумбия, Конго, КНДР, Коста-Рика, Куба, Кувейт, Ливан, Ливия, Маврикий, Малайзия, Марокко, Мексика, Монголия, Мьянма, Намибия, Никарагуа, Нигерия, ОАЭ, Оман, Пакистан, Панама, Папуа Новая Гвинея, Парагвай, Перу, Республика Корея, Сальвадор, Саудовская Аравия, Свазиленд, Сейшельские Острова, Сенегал, Сент-Люсия, Сингапур, Сирия, Суринам, Таиланд, Того, Тринидад и Тобаго, Тунис, Турция, Уругвай, Фиджи, Филиппины, Чили, Шри-Ланка, Эквадор, ЮАР, Ямайка |
Ангола, Афганистан, Бангладеш, Бенин, Буркина-фасо, Бурунди, Бутан, Вануату, Таити, Гамбия, Гвинея, Гвинея-Бисау, Джибути, Заир, Замбия, Йемен, Кабо-Верде, Камбоджа, Коморские Острова, Лаос, Лесото, Либерия, Мавритания, Мадагаскар, Малави, Мали, Мальдивские Острова, Мозамбик, Мьянма, Непал, Нигер, Танзания, Руанда, Самоа (Западное), Сан-Томе и Принсипи, Соломоновы Острова, Сомали, Судан, Сьерра-Леоне, Того, Уганда, ЦАР, Чад, Экваториальная Гвинея, Эфиопия |
Уровень экономического развития характеризуется также расходом сырья и энергии на единицу продукции. По мере повышения уровня экономического развития сокращается расход сырья и энергии и вместо натурального сырья во все большей степени используются материалы промышленного, в основном химического происхождения.
Рассмотрим классификацию стран по уровню экономического развития на основе таблицы ранжированного распределения стран по уровню народнохозяйственной эффективности производительности труда (табл. 4).
Ранжированный ряд возглавляют США, Швейцария, Люксембург, Канада, Бельгия, Швеция, Дания, Нидерланды, Япония, Австралия, Франция, Норвегия, а также в Бахрейн (последний за счет мощной нефтепереработки).
Россия оказалась на 70-м месте с индексом 10 000 долл., являясь по нынешним меркам экономически среднеразвитой страной. В этой же группе Греция, Тайвань, Аргентина, Южно-Африканская Республика, Мексика, Малайзия, Венгрия, Польша, Белоруссия, Турция, Бразилия и др.
Таблица 4
Ранжированное распределение стран мира по уровню производительности труда*
Место
в мире |
Страны и группы стран |
Годовая выработка,долл. |
Наиболее развитые
| 1 |
США |
51 000 |
| 2-3 |
Швейцария, Люксембург |
48 000 |
| 4 |
Канада |
46000 |
| 5-6 |
Бельгия, Швеция |
44000 |
| 7-8 |
Дания, Нидерланды |
42 500 |
| 9-10 |
Япония, Австралия |
41000 |
| 11-13 |
Франция, Норвегия, Бахрейн |
40 000 |
Развитые
| 14-16 |
Великобритания, Италия, Австрия |
39000 |
| 17-21 |
Германия, ОАЭ, Саудовская Аравия, Кувейт, Пуэрто-Рико |
37000 |
| 22-26 |
Финляндия, Новая Зеландия, Бруней, Сингапур, Гонконг |
35000 |
| 27-29 |
Исландия, Ирландия, Испания |
32000 |
| 30 |
Израиль |
27500 |
| 31 |
Республика Корея |
21 500 |
| 32-34 |
Португалия, Ливия, Венесуэла |
20 000 |
Среднеразвитые
| 35-36 |
Греция, Уругвай |
18 000 |
| 37-38 |
Словения, Тайвань |
17250 |
| 39-42 |
Аргентина, ЮАР, Чили, Чехия |
16500 |
| 43-45 |
Мексика, Малайзия, Оман |
15000 |
| 46-48 |
Венгрия, Эстония, Ботсвана |
14500 |
| 49-50 |
Латвия, Тринидад и Тобаго |
13500 |
| 51-52 |
Габон, Коста-Рика |
12500 |
| 53-56 |
Хорватия, Польша, Панама, Алжир |
12000 |
| 57-62 |
Литва, Словакия, Белоруссия, Таиланд, Колумбия, Иордания |
11500 |
| 63-66 |
Турция, Тунис, Эквадор, Ямайка |
11000 |
| 67-69 |
Бразилия, Египет, Болгария |
10500 |
| 70 |
Россия |
10000 |
Менее развитые
| 71-75 |
Сирия, Румыния, Парагвай, Казахстан, Югославия |
9750 |
| 76-78 |
Украина, Грузия, Ирак |
9000 |
| 79-83 |
Иран, Куба, Босния-Герцеговина, Македония, Гватемала |
8500 |
| 84-87 |
Перу, Молдавия, Армения, Киргизия |
8000 |
Неразвитые
| 88-91 |
Азербайджан, Узбекистан, Сальвадор, Индонезия |
7750 |
| 92-93 |
Туркмения, Марокко |
7250 |
| 94 |
Гондурас |
6850 |
| 95-96 |
Филиппины, Доминиканская Республика |
6350 |
| 97 |
Боливия |
6100 |
| 98-101 |
Пакистан, Шри-Ланка, Зимбабве, Гана |
5700 |
| 102-106 |
Китай, КНДР, Таджикистан, Никарагуа, Кот-д'Ивуар |
5300 |
| 107 |
Папуа Новая Гвинея |
5000 |
Продолжение таблицы 4
Самые отсталые
Место
в мире |
Страны и группы стран |
Годовая выработка,долл. |
| 108-109 |
Нигерия, Монголия |
4500 |
| 110-112 |
Индия, Сенегал, Мавритания |
3750 |
| 113-114 |
Вьетнам, Камерун |
3550 |
| 115-116 |
Албания, Лесото |
3250 |
| 117-121 |
Бангладеш, Судан, Йемен, Замбия, Того |
3100 |
| 122-124 |
Ангола, Уганда, Мадагаскар |
2750 |
| 125-126 |
Кения, Мозамбик |
2500 |
| 127-128 |
Мьянма, Либерия |
2150 |
| 129-133 |
Непал, Руанда, Гвинея, Бенин, ЦАР |
2000 |
| 134-135 |
Нигер, Чад |
1800 |
| 136-138 |
Малави, Гаити, Афганистан |
1600 |
| 139-140 |
Заир, Буркина-Фасо |
1500 |
| 141 |
Эфиопия |
1300 |
| 142 |
Мали |
1150 |
| 143 |
Сомали |
1000 |
* Годовая выработка чистой продукции (добавленная стоимость) на одного занятого в народном хозяйстве, включая отрасли сферы услуг.
Еще один признак сопоставления стран мира конкурентоспособность экономики. Конкурентоспособность национальной экономики это ее способность производить и реализовывать на внутреннем и внешнем рынке товары и услуги, соответствующие платежеспособному спросу и обеспечивающие экономический рост и повышение качества жизни населения.
Международные экономические организации (Всемирный экономический форум, Всемирный банк и др.) предложили до 350 показателей конкурентоспособности национальной экономики. Среди них выделяются следующие:
1. Экономический потенциал страны и его использование (население, природные ресурсы, удельный вес обрабатывающей промышленности и научно-технической продукции в составе ВВП, доля расходов на конечное потребление и валовое накопление инвестиции и т.д.).
2. Интернационализация экономики (степень участия в международном разделении труда и инвестиционных потоках, доля внешнеторгового оборота в ВВП, сальдо экспорта и импорта, доля отраслей высоких технологий в экспорте, соотношение индекса цен на экспортируемые товары).
3. Качество государственного регулирования социально-экономических процессов (законодательная база, правопорядок, политическая стабильность, уровень коррупции в аппарате, компетентность властей по оценке бизнеса, государственный долг в % к ВВП и др.).
4. Финансовая стабильность (бюджетный дефицит, инфляция, курс национальной валюты, золотовалютные резервы, ассортимент и качество финансовых услуг, развитие фондового рынка, неплатежи, соотношение внешней дебиторской и кредиторской задолженности).
5. Развитие инфраструктуры (развитие энергетики, транспорта, дорожного хозяйства, связи и телекоммуникаций, социально-бытовой инфраструктуры, инфраструктуры бизнеса).
6. Качество менеджмента (число профессиональных менеджеров, уровень их подготовки, наличие современной учебной базы, гибкость структур управления, компьютеризация управления).
7. Эффективность производства, рентабельность и риски (рентабельность продаж и использования активов, доля налогов в ВВП, оценка риска инвестиций, система страхования, производительность труда и ее динамика).
8. Научно-технологический уровень (доля расходов на научно-исследовательские и опытно-конструкторские работы (НИОКР) в ВВП и государственном бюджете, число и квалификация научных работников, число запатентованных разработок, сальдо экспорта и импорта лицензий, научно-технологический уровень производства в основных отраслях, эффективность и качество важнейших видов продукции, материало- и энергоемкость производства и их динамика, уровень выбросов в окружающую среду и утилизация отходов).
9. Численность и квалификация трудовых ресурсов, качество жизни (доля экономически активного населения и безработных, уровень образования и профессиональной подготовки, реальные доходы и их дифференциация, доля среднего класса, жилищные условия, экология и условия труда, состояние здоровья населения, преступность, уровень социальных услуг и т.д.).
Некоторые из этих показателей основаны на государственной статистике, другие на экспертных оценках и специальных исследованиях. Такой многосторонний подход не дает особых преимуществ странам с большой численностью населения или богатыми полезными ископаемыми.
Так, Сингапур и Гонконг заняли в конце 90-х гг. в списке из 48 государств второе и третье места благодаря высокому качеству управления, предпринимательской активности населения, активному участию в мирохозяйственных связях. США удалось занять первое место, на котором ранее находилась Япония, благодаря успехам в развитии и использовании новейших технологий, а также во внешнеэкономической экспансии.
Япония в 90-е гг. утратила некоторые конкурентные преимущества по производительности и оплате труда и в итоге переместилась на четвертое место.
Страны СНГ до 1995 г. вообще не участвовали в списке государств с наиболее конкурентоспособной экономикой. В 1995 г. в этот список впервые включена Россия, занявшая последнее 48-е место (после Греции, Мексики, Польши, Венгрии и Венесуэлы).
По производству ВВП на душу населения Россия оказалась на 42-м, по заработной плате в промышленности на 47-м (опередив лишь Китай), а по большинству социально-экономических показателей на последнем месте, хотя и намного впереди других стран СНГ.
Важный показатель инвестиционный климат в мире, точнее, инвестиционный риск. В конце 90-х гг. из 178 ранжированных стран в первую пятерку по инвестиционной привлекательности вошли Люксембург, Швейцария, США, Нидерланды и Великобритания.
Остальные развитые страны в первой двадцатке.
Аналитические группы стран мира по методике Всемирного Банка
/center>
Первую группу составляют страны с развитой рыночной экономикой. Как правило, их относят к категории промышленно развитых стран.
Сюда включают большинство стран Западной Европы, США, Канаду, Австралию, Новую Зеландию и Японию. Именно эти страны фактически осуществляют контроль над потоками товаров и денег в мировом масштабе, поскольку одновременно являются крупнейшими в мире экспортерами и импортерами товаров, услуг, капитала.
Количество их постоянно растет.
Во вторую группу включают страны, которые не так давно вступили на путь формирования рыночных отношений и получили название стран с развивающей рыночной экономикой. Здесь представлены бывшие развивающиеся страны или как их называют «новые индустриальные страны», наиболее развитые страны Латинской Америки, большинство стран с переходной экономикой или бывшие социалистические страны, а также Греция, Португалия и ЮАР.
Всего 27 стран. Эта группа стран еще не играет значительной роди в мировом производстве, однако ее экономический вес быстро растет.
Таблица 9
Аналитические группы стран мира по методике Всемирного Банка
| 1 |
Экспортеры нефти |
Страны, в которых экспорт нефти и газа составляет не менее 30% товарного экспорта: Алжир, Бахрейн, Камерун, Конго, Эквадор, Египет, Габон, Индонезия, Иран, Ирак, Кувейт, Ливия, Мексика, Нигерия, Норвегия, Оман, Катар, Саудовская Аравия, Сирия, Тринидад и Тобаго, ОАЭ, Венесуэла |
| 2 |
Страны со средним уровнем дохода и большим внешним долгом |
Аргентина, Боливия, Бразилия, Чили, Конго, Коста-Рика, Кот-д'Ивуар, Эквадор, Гондурас, Венгрия, Мексика, Марокко, Никарагуа, Перу, Филиппины, Польша, Сенегал, Уругвай. Венесуэла |
| 3 Члены ОЭСР |
| Географические регионы (страны с низким и средним уровнями дохода) |
| 1 |
Африканские страны региона южнее Сахары |
Все страны к югу от Сахары, кроме ЮАР |
| 2 |
Европа, Ближний Восток и Северная Африка |
Включает 8 развивающихся стран в Европе, а также страны Ближнего Востока и Северной Африки, входящие в группу стран-экспортеров нефти |
| 3 |
Восточная Азия |
Все страны с низким и средним уровнями похода в Восточной и Юго-Восточной Азии и в Тихоокеанском регионе, включая Китай, Таиланд и страны к востоку от них |
| 4 |
Южная Азия |
Бангладеш, Бутан, Индия, Мьянма, Непал, Пакистан, Шри-Ланка |
| 5 |
Латинская Америка и Карибский регион |
|
Особое место занимают ряд нефтедобывающих стран Ближнего Востока. По своему социально-экономическому укладу они являются типичными развивающимися странами, а по экономическому потенциалу и доходам на 1 человека некоторые из них превосходят не только вторую, но даже первую группу.
К третьей группе относят большинство стран мира с неразвитой рыночной экономикой. Эти государства в основном находятся в Азии, Африке и Латинской Америке.
Но большинство бедных стран находятся вблизи экватора. Многие годы они живут за счет помощи развитых стран.
Основу экспорта этих стран составляют сырьевые товары и их рынки контролируются промышленно развитыми странами.
Подводя итог, отметим, что аналитические группировки могут меняться в связи с переменами, происходящими в экономических и политических системах. Так, например, исчезло деление мира на две противостоящие социально-экономические системы — социализм и капитализм — поскольку отсутствуют социалистические страны, а вместе с ним нет больше соответствующих политических, военных и экономических блоков.
Далее рассмотрим более подробно выделенные группы стран.
3.1 Промышленно развитые страны
Международный валютный фонд включает в число развитых стран и территорий (т.е. тех частей некоторых стран, которые имеют особый статус, например, Гонконг или Гренландия) все страны Западной Европы (кроме Турции), США и Канаду, Японию, Австралию и Новую Зеландию, а с 1997 г. — также Южную Корею, Сингапур, Гонконг и Тайвань, Израиль. ООН добавляет к ним Южно-Африканскую Республику.
Организация экономического сотрудничества и развития относит к их числу также Турцию, Мексику, Польшу, Венгрию и Чехию, которые являются членами этой организации, хотя скорее это развивающиеся страны, но они вошли в нее по территориальному признаку (Турции принадлежит часть Европы, а Мексика входит в Североамериканское соглашение о свободной торговле — НАФТА). Таким образом, в число развитых стран включают около 30 стран и территорий, которые сосредоточивают около 70% мирового ВВП, и дают 70-75% мирового промышленного производства. (США — 21%, Япония — 8%, Германия — 5%).
В них проживает 23% всего населения мира. Они ВВП на душу населения колеблется в этих странах от 10 до 25 тыс. долл.
На них приходится около 70% мирового внешнеторгового оборота.
Одна из главных особенностей развитых стран — относительно равномерное распределение доходов, а также относительно равномерное хозяйственное освоение территории. Для них свойственна социальная ориентированность экономики, в частности поддержка малообеспеченных слоев населения. Большие капиталовложения в науку (2-3% ВНП) и внедрение ее достижений в производство определяют высокий интеллектуальный уровень труда. Гуманизация экономики развитых стран означает высокий процент расходов на медицину, образование, культуру.
Значительны также и расходы на охрану окружающей среды (3-4% ВНП), что подтверждает высокий уровень экологизации экономики.
В промышленно развитых странах происходит падение роли «нижних» этажей индустрии (традиционно добывающие отрасли) и одновременно наращивание производства в «верхних этажах» за счет развития отраслей высоких технологий. Передача «низкоквалифицированных» производств в развивающиеся страны и сохранение у себя только верхней части производственного комплекса есть своего рода инструмент конкурентной борьбы со странами с низким уровнем заработной платы, с импортом дешевых изделий из стран «новой индустриализации».
Развитые государства-экспортеры не только промышленной продукции, но и капитала.
По роли в мировой политике и экономике эти страны можно подразделить на три группы.
Первую образуют семерка главных стран: США, Япония, Германия, Франция, Великобритания, Италия и Канада. Их лидерство определяется не размерами территории и численностью населения, а важной ролью в мировой политике и экономике, высоким уровнем производительности труда, неоспоримыми успехами в развитии науки и техники.
Часть этих стран были метрополиями крупных колониальных империй и извлекали из них немалые прибыли.
Вторую группу образуют небольшие по размеру государства, характеризующиеся высоким уровнем социально-экономического развития (Австрия, Бельгия, Дания, Нидерланды, Швеция и др.). Они нередко выступают в качестве связующего звена в экономических и политических взаимоотношениях стран первой группы.
Отдельные страны этой группы занимают весьма заметные позиции в мировой торговле и политике.
В третью группу входят страны «переселенческого капитализма» (Австралия, ЮАР, Израиль).
Большинство развитых стран входит в интеграционные объединения, из которых наиболее мощными являются Европейский союз (20% мирового ВВП) и Североамериканское соглашение о свободной торговле (24%).
3.2 Развивающиеся страны
Большинство стран Азии, Африки и Латинской Америки — развивающиеся страны. Они представляют собой особую группу государств, отличающихся своеобразием исторического развития, социально-экономической и политической спецификой.
Группа развивающихся стран объединяет 133 государства, в которых проживает 79 % населения мира. В 1999 г. доля развивающихся стран составила 40,1 % в мировом ВВП и 27,5 % в мировом экспорте товаров и услуг. ВВП на душу населения в среднем в 15 раз меньше, чем в странах с развитой рыночной, экономикой: самый высокий ВВП на душу населения в Сянгане (бывший Гонконг) — более $26 000 в год — и Сингапуре — около $25000 в год.
Развивающиеся страны весьма различаются по регионам, источникам экспортных доходов, по источникам внешнего финансирования, по уровню развития, что оказывает существенное воздействие на их положение в мировом хозяйстве и международных экономических отношениях.
Говоря об их сходстве, необходимо отметить колониальное прошлое и связанные с этим многоукладность хозяйства, быстрый рост численности населения, его нищету, неграмотность. Им свойственны аграрная минерально-сырьевая специализация экономики и соответственно слабое развитие обрабатывающей промышленности, узость внутреннего рынка, подчиненное место в системе мирового хозяйства.
Вместе с тем страны эти разные.
При типологии важно учитывать уровень развития и структуру производительных сил государств и те черты социально-экономической действительности, которые наиболее точно отражают и сегодняшнее положение, и ближайшие перспективы стран. Используя эти критерии, можно выделить пять групп развивающихся стран.
К первой группе целесообразно отнести наиболее развитые новые индустриальные страны: НИС первой волны, или первого поколения — Южная Корея, Тайвань, Сингапур, Гонконг (Сянган), а также НИС Латинской Америки — Аргентина, Бразилия, Мексика. Вторая волна — Малайзия, Таиланд, Индия, Чили; третья волна — Кипр, Тунис, Турция, Индонезия; четвертое поколение — Филиппины, южные провинции Китая и др.
НИС — часть развивающихся государств, достигших в последние годы высоких темпов экономического роста и претендующих на место среди развитых стран. Они характеризуются: высокими темпами экономического роста, высокими темпами использования достижений НТП, высокой долей экспорта наукоемкой продукции (около 12% мирового ВВП).
Вторую группу образуют нефтеэкспортирующие страны, обладающие уникальными ресурсами (Катар, Кувейт, Бахрейн, Саудовская Аравия, Ливия, ОАЭ, Ирак и др.). Их характерные признаки: высокий доход на душу населения, солидный природно-ресурсный потенциал развития, важная роль на рынке энергетического сырья и финансовых средств, выгодное экономико-географическое положение.
Соотношение между доходами от нефти и численностью населения создает специфические условия, позволяющие накапливать гигантские богатства.
Третья группа, наиболее многочисленная, объединяет страны со средним для освободившихся стран уровнем общеэкономического развития, средним размером ВВП на душу населения (около 1 тыс. долл.). Сюда входят Колумбия, Гватемала, Парагвай, Тунис и др.
В четвертую группу стоит выделить Индию, Пакистан и Индонезию — страны с огромными территориями и населением, природно-ресурсным потенциалом и возможностями экономического развития. Эти государства заняли видное место в системе международных экономических связей, вызвали мощный приток внешних ресурсов в виде вложений иностранного капитала.
Но низкие величины производства и потребления на душу населения (ВВП на душу населения — около 300 долл.) заметно тормозят их социально-экономическое развитие.
Последняя, пятая группа — наименее развитые страны мира (Афганистан, Бангладеш, Бенин, Сомали, Чад и др.). Некоторые из них не имеют выхода к морю и слабо связаны с внешним миром. В этих странах чрезвычайно низкий доход на душу населения (например, в Эфиопии — 120 долл.), повсеместно преобладают доиндустриальные формы труда, а в экономике господствующие позиции занимает сельское хозяйство.
Именно эти страны составляют основу утвержденного ООН списка наименее развитых стран.
У развивающихся стран есть много общих проблем и характеристик. Характерные черты развивающихся стран:
—низкий уровень жизни и неравномерное распределение доходов;
—политическая и экономическая нестабильность;
—слабая валюта, инфляция и большой внешний долг;
—чрезмерная опора на государственный сектор в развитии экономики;
—быстрый рост населения и нехватка продуктов питания;
—неконкурентные цены на товары;
—низкий уровень накопления и скудные инвестиции;
—малоэффективное использование природного сырья;
—почти отсутствует промышленность;
—неразвитое сельское хозяйство;
—большой процент неграмотных;
—недостаток квалифицированных работников и высокий уровень безработицы;
—отсутствие технического прогресса;
—войны и социальные конфликты;
—плохое медицинское обслуживание;
—неразвитая сеть автомобильных и железных дорог.
Наибольшим удельным весом в развивающемся мире обладает азиатский регион в составе 32 государств, его доля в мировом ВВП и экспорте составляет соответственно — 24,4 % и 17,8 %, Африканский регион, в который входит 51 государство, имеет наименьший удельный вес в мировом ВВП и экспорте — 3,2 % и 1,8 % соответственно. Развивающиеся страны Западного полушария, к которым относятся 33 государства Латинской Америки и Карибского бассейна, имеют около 8,5% в мировом ВВП и 4,5 % в мировом экспорте товаров и услуг.
По группе развивающихся стран в целом и по всем регионам наблюдается превышение их доли в мировом ВВП над их долей в мировом экспорте товаров и услуг, что свидетельствует о недостаточном использовании международного разделения труда в целях развития.
По источникам основных (более 50 %) доходов от экспорта развивающиеся страны подразделяются: на экспортеров топлива, которых насчитывалось в 1999 г. 18 государств с долей в мировом экспорте 3,3 %, экспортеров другого первичного сырья — 42 государства с долей в мировом экспорте 1,2 %.
Таблица 10
Положение развивающихся стран в мировой экономике
|
Количество стран |
доля в мировом ВВП (%) |
доля в мировом экспорте (%) |
| 1. По основному экспортному товару |
| Топливо |
18 |
3, 3 |
3, 2 |
| Сырье (без топлива) |
42 |
2, 4 |
1, 2 |
| Промышленные изделия |
14 |
27, 0 |
18, 9 |
| Услуги, частные трансферты и др. |
35 |
1, 2 |
0, 7 |
| Смешанный товарных экспорт |
24 |
6, 1 |
3, 6 |
| 2. По внешнему заимствованию |
| Чистые кредиторы |
9 |
1, 1 |
2, 0 |
| Чистые должники |
124 |
39, 1 |
25, 7 |
| в том числе страны - должники с трудностями в обслуживании долга |
55 |
9, 1 |
4, 2 |
| 3. По внешнему финансированию |
| Официальное |
45 |
2, 1 |
0, 9 |
| Частное |
51 |
33, 1 |
22, 6 |
| Смешанное |
28 |
2, 8 |
1, 7 |
| 4. Другие группы |
| Бедные страны с чрезмерной задолженностью |
40 |
1, 9 |
0, 8 |
| Наименее развитые страны |
46 |
1, 6 |
0, 5 |
24 государства имели доходы от диверсифицированного экспорта, их доля в мировом экспорте равнялась 3,6 %. 35 государств развивающегося мира с доле 0,7% мирового экспорта имели валютные доходы в основном от услуг и частных переводов (трансфертов).
И, наконец, в экспорте только 15 государств преобладает готовая промышленная продукция, среди которых 11 азиатских, в том числе новые индустриальные страны Юго-Восточной Азии (Гонконг, Сингапур, Тайвань, Южная Корея), а также Бангладеш, Китай, Индия, Малайзия, Пакистан, Таиланд, Филиппины; Бразилия, Мексика и Турция, их совокупная доля в мировом экспорте составила 19 % в 1999 г. (см. таблицу 10).
По источникам внешнего финансирования абсолютное большинство развивающихся стран является чистым импортером капитала, и только 9 нефтедобывающих государств относятся к чистым экспортерам и кредиторам. 45 стран-заемщиков получают финансирование в основном из официальных источников, т. е. от иностранных государств и международных организаций. Преобладание официальных ресурсов в финансировании свидетельствует о серьезных затруднениях этих стран в получении средств от частных кредиторов.
51 развивающееся государство финансируется в основном из частных источников, остальные — из смешанных источников.
В 1999 г. 55 государств развивающегося мира оставались несостоятельными должниками, т. е. они испытывали серьезные трудности в обслуживании своих долговых обязательств. Это выражалось в нарушении этими странами графиков платежей или их внешние долги в течение последних 5 лет реструктурировались, т. е. продлевались сроки погашения их долгов в течение 1994-1998 гг.
40 государств с низким уровнем развития (до 900 долл. ВВП на душу населения) имели чрезмерную задолженность, т. е. их количественные показатели по долговой нагрузке были выше предельно допустимых.
3.3 Страны с переходной экономикой
К этой группе относят государства, которые с 80-90-х гг. осуществляют переход от административно-командной (социалистической) экономики к рыночной (поэтому их часто называют постсоциалистическими). Это 16 стран Центральной и Восточной Европы, бывшие советские республики, а также Монголия, Китай и Вьетнам (хотя формально две последние страны продолжают строить социализм).
Иногда всю эту группу стран относят к развивающимся (например, в статистике МВФ), исходя из низкого уровня ВВП на душу населения (только у Чехии и Словении он превышает 10 тыс. долл.), а иногда к ним относят только три последние страны.
Немало общего имеют страны этого региона в путях исторического и социально-экономического развития, особенно в XX в. После окончания Второй мировой войны все они вступили на путь социалистических преобразований. За последние десятилетия в большинстве из них были осуществлены индустриализация и кооперирование сельского хозяйства.
Их доля в мировом промышленном производстве в начале 90-х гг. превысила 10%. Однако, административно-командные методы управления хозяйством, медленное внедрение в производство достижений научно-технического прогресса привели к замедлению темпов экономического роста и производительности труда.
Следствием этого явились отставание от Запада в техническом прогрессе, неконкурентоспособность большинства готовых изделий на мировом рынке, падение уровня жизни населения, инфляция. Смена политического и государственного руководства в Польше, Венгрии, Чехии, Словакии, Болгарии, Румынии в 1989-1990 гг. и распад СССР в 1991 г. привели к коренному повороту в политическом, экономическом и социальном развитии этих стран.
В 1999 г. на долю этих стран приходились 5,8 % мирового ВВП и 4,4 % мирового экспорта товаров и услуг; в том числе 16 стран ЦВЕ — 2,3 % и 2,5 %. Доля стран СНГ составила соответственно 3,5 % и 1,9 %, в том числе России — 2,4 % и 1,3 %. Приведенные данные свидетельствуют об отставании бывших советских республик от стран ЦВЕ в использовании международного разделения труда. 5 стран ЦВЕ (Венгрия, Польша, Словения, Чехия и Эстония) входят в первую группу вступающих в Европейский союз (ЕС).
По всем экономическим показателям эта группа значительно уступает странам-членам ЕС. ВВП на душу населения ЦВЕ в 1999 г. составил 4524 долл., в ЕС — 22672 долл., в ВВП доля промышленности равнялась 34 % (в ЕС — 29 %), доля сельского хозяйства — 5 % (в ЕС — 2 %), услуг — 60 % (в ЕС — 69 %).
Показатели второй пятерки, вступающей в ЕС, в составе Болгарии, Латвии, Литвы, Румынии и Словацкой Республики значительно ниже — 1958 долл., 35 %, 13 % и 52 % соответственно.
Если в этой самой молодой группе стран попытаться выделить подгруппы, то возможна различная классификация.
В одну группу можно выделить бывшие советские республики, которые ныне объединены в Содружество Независимых Государств (СНГ). Это позволяют сделать схожий подход к реформированию экономики, близкий уровень развития большинства этих стран, объединение в одной интеграционной группировке, хотя подгруппа достаточно разнородна.
Так, Белоруссия, Узбекистан, Туркмения проводят менее радикальные по сравнению с другими странами подгруппы реформы, а Таджикистан по уровню социально-экономического развития и в советские времена сильно отставал от других союзных республик.
В другую подгруппу можно объединить страны Центральной и Восточной Европы, включая страны Балтии. Для этих стран характерен преимущественно радикальный подход к реформам, стремление войти в ЕС, сравнительно высокий уровень развития большинства из них.
Однако сильное отставание от лидеров этой подгруппы, меньшая радикальность реформ приводит некоторых экономистов к выводу, что Албанию, Болгарию, Румынию и некоторые республики бывшей Югославии целесообразно включать в первую подгруппу.
В отдельную группу стран традиционно относят так называемые социалистические страны, которые являются таковыми по статусу общественного устройства, укладу экономики: Вьетнам, Куба, Монголия, КНДР, Лаос, Китай. Следует отметить, что Китай по статусу остается страной социалистической, хотя по темпам экономического роста его относят к новым индустриальным странам.
Из прежней многочисленной группы стран с административно-командной экономикой к концу 90-х гг. остались только две страны: Куба и Северная Корея.
Методические указания для самостоятельной работы
Часть II. Методические указания для самостоятельной работы
Практическая работа по мировой экономике посвящена самостоятельному изучению студентами роли и места отдельной страны в мировом хозяйстве. Целями самостоятельной работы являются выработка у студентов навыков:
—поиска источников статистической и аналитической информации, посвященной изучаемой теме, в том числе с использованием ресурсов Internet;
—обработке первоисточников статистической информации;
—расчетов различных показателей, характеризующих состояние мировой экономики;
—анализа полученных результатов и их графического представления;
—реферативного изложения результатов исследования, в котором органически сочетались бы результаты количественного и качественного анализа состояния экономики отдельной страны на фоне процессов глобализации мировой экономики.
Самостоятельная работа может выполняться индивидуально или группой из двух человек. Результаты исследования оформляются отчетом, объемом около 20 печатных страниц, включая таблицы, графики и диаграммы и перечень источников используемой информации.
Исследование предлагается провести по следующему сценарию:
Во введении коротко охарактеризовать географическое положение, природно-ресурсный потенциал страны (перечень стран, предлагаемых для анализа см. в таблицах приложения 5), геополитическое положение страны в мировом сообществе.
Первый раздел посвятить анализу статистических данных, характеризующих эволюцию места выбранной для исследования страны в мировом хозяйстве на протяжении ХХ века., а также статистические материалы для данного этапа работы приведены в табл. 1-6, приложения 5 (далее при указании таблиц ссылка на приложение 5 по умолчанию). Каждая страна может быть рассмотрена в сопоставлении с группой стран, к которой она относиться; в сопоставлении с соседними странами; странами, входящими в одну и ту же экономическую группировку; в сопоставлении с общемировыми показателями или показателями ведущих экономических стран.
Например, показатели экономического развития Канады можно сравнить со среднемировыми индикаторами, уровнем развития индустриально развитых стран, США, стран ЕС, а также определить место Канады среди стран-членов НАФТА.
Второй раздел должен включать характеристику современного положения исследуемой страны в мировой экономике. Поиск источников информации, а также статистических материалов осуществляется студентами самостоятельно.
Поскольку работа ориентирует исследователя на всесторонний анализ статистической информации, коротко напомним основные формулы расчетов показателей временных рядов конъюнктурных показателей.
Временной ряд конъюнктурных показателей – это числовая последовательность наблюдений, характеризующих изменение какого-либо показателя во времени. Отдельные наблюдения ряда называются уровнями временного ряда.
Обычно при анализе временных рядов определяют направление, скорость и интенсивность изменения изучаемого явления. Динамика экономического объекта может быть изучена на основе показателей, характеризующих изменения отдельных уровней временного ряда внутри периода, в число которых входит:
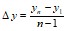
1.Абсолютный прирост – это разность между текущим и каким-либо предыдущим уровнем ряда:

,
где ?y - абсолютный прирост;
yi - текущий уровень ряда динамики;
yi-k - уровень, отстающий от уi на k лет.
2. Темп роста - это отношение текущего уровня к предыдущему, или какому-либо другому, принятому за базу:

;

;

,
где Тp - темп роста,
y1 - начальный уровень ряда,
yn - последний уровень ряда.
3. Темп прироста - это отношение абсолютного прироста к базовому уровню:

или

4. Абсолютное значение 1% прироста показывает, какая абсолютная величина скрывается за одним процентом прироста, и представляет собой отношение абсолютного прироста к темпу прироста, выраженному в процентах и равно одной сотой предыдущего уровня.
Динамика изучаемого объекта может быть исследована также на основе обобщенных характеристик временного ряда, представляющих собой выражение динамики за весь период одним средним числом. К ним относятся:
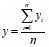
1. Средний уровень ряда, который показывает, какая средняя величина уровня характерна для всего анализируемого периода. Он определяется для интервального ряда

,
где yi - уровень ряда;
n - число уровней.
2. Средний абсолютный прирост ряда, который показывает скорость развития явления и определяется по формуле:

3. Средний темп роста, который показывает интенсивность развития явления и определяется как:

или

,
где y0 - базисный уровень ряда.
4. Средний темп прироста, который показывает интенсивность развития явления, и определяется так:

Первый раздел исследования предполагает выполнение следующих типовых заданий:
Задание 1. По данным табл. 1 рассчитать цепным и базисным способом рост численности населения в анализируемой стране, сравнить темпы роста численности населения со среднемировым темпом роста и показателями по основным группам стран. Определить изменение доли населения страны в населении мира и региона или группы стран, к которой относится рассматриваемая страна. Рассчитать среднегодовые темпы прироста населения по соответствующим периодам, сравнить со среднемировыми значениями. Выполнение расчетов в типовых заданиях предлагается проводить оформлением таблиц, содержащих необходимые исходные и расчетные данные.
Сделать выводы.
Задание 2. По данным табл. 2 рассчитать цепным и базисным способом прирост ВВП в анализируемой стране, сравнить темпы прироста ВВП со среднемировым темпом прироста и показателями по основным группам стран. Определить изменение доли ВВП страны в мировом ВВП и ВВП региона или группы стран, к которой относится рассматриваемая страна. Рассчитать среднегодовые темпы прироста ВВП по соответствующим периодам, сравнить со среднемировыми значениями.
Результаты проиллюстрировать графически или с помощью диаграмм. Сделать выводы.
Задание 3. По данным табл. 1 и 2 показатель ВВП на душу населения по соответствующим периодам и относительное изменение ВВП на душу населения на протяжении ХХ века в анализируемой стране, мире и основных группах стран. Определить соотношение ВВП на душу населения в анализируемой стране с аналогичным показателем США, проследить динамику этого соотношения. Рассчитать среднегодовые темпы прироста ВВП на душу населения, сравнить со среднемировыми значениями.
Результаты проиллюстрировать графически или с помощью диаграмм. Сделать выводы.
Задание 4. По данным табл. 2 и 3 рассчитать выработку ВВП на одного занятого, сравнить с показателем выработки в мире и в США. Проанализировать изменение производительности труда на протяжении ХХ века в анализируемой стране, мире и США.
Результаты проиллюстрировать графически или с помощью диаграмм. Сделать выводы.
Задание 5. По данным табл. 5 рассчитать цепным и базисным способом рост сельскохозяйственного производства в анализируемой стране, сравнить темпы роста со среднемировым темпом роста и показателями по основным группам стран. Определить изменение доли сельскохозяйственного производства страны в мировом объеме и объеме региона или группы стран, к которой относится рассматриваемая страна.
Рассчитать среднегодовые темпы прироста сельскохозяйственного производства по соответствующим периодам, сравнить со среднемировыми значениями. Сравнить динамику показателя с динамикой ВВП.
Сделать выводы.
Задание 6. По данным табл. 6 рассчитать цепным и базисным способом рост промышленного производства в анализируемой стране, сравнить темпы роста со среднемировым темпом роста и показателями по основным группам стран.
Определить изменение доли промышленного производства страны в мировом объеме и объеме региона или группы стран, к которой относится рассматриваемая страна. Рассчитать среднегодовые темпы прироста промышленного производства по соответствующим периодам, сравнить со среднемировыми значениями.
Сравнить динамику показателя с динамикой ВВП. Сделать выводы.
Задание 7. По данным табл. 4 рассчитать рост экспорта в анализируемой стране, сравнить темпы роста со среднемировым темпом роста и показателями по основным группам стран. Определить изменение доли экспорта в мировом объеме и объеме региона или группы стран, к которой относится рассматриваемая страна. Рассчитать среднегодовые темпы прироста экспорта по соответствующим периодам, сравнить со среднемировыми значениями.
Проанализировать основные статьи экспорта страны. Сделать выводы.
Задание 8. По данным табл. 1, 2 и 4 рассчитать долю товарного экспорта в ВВП и показатель экспорта на душу населения по соответствующим периодам и относительное изменение этих показателей на протяжении ХХ века в анализируемой стране, мире и группе стран, к которым относится рассматриваемая страна.
Результаты проиллюстрировать графически или с помощью диаграмм.
Сделать общий вывод по заданиям первого раздела исследования.
Поскольку материалы для второго раздела исследования студенты подбирают самостоятельно, обозначим лишь основные направления анализа. Роль и место страны в мировой экономике во многом определяется отраслевой структурой экономики, эффективностью промышленного и сельскохозяйственного производства, структурой импортных и экспортных потоков.
При анализе уровня участия страны в мировом хозяйстве необходимо обращаться не только к международной торговле, но и международному движению факторов производства. Необходимо также оценить положение страны на мировых рынках кредитных ресурсов и рынках капитала.
Так, показателями участия страны в международном движении капитала являются объем накопленных зарубежных капиталовложений в стране по отношению к ее ВВП, объем накопленных в стране иностранных инвестиций по отношению к ее ВВП, доля иностранного капитала в ежегодных инвестициях страны, объем внешнего долга страны по отношению к ее ВВП и объем платежей по обслуживанию этого долга по отношению к поступлениям от экспорта товаров и услуг. Процессы транснационализации также позволяют судить о влиянии страны на мировое хозяйство.
Немаловажно определить положение страны на мировом рынке трудовых ресурсов, ее роль технологическом и научно-техническом обмене. В этом случае показателями участия страны в международном движении других факторов производства могут быть доля иностранной рабочей силы в общей численности занятых или численность занятой за рубежом отечественной рабочей силы, доля иностранных патентов и лицензий в общей численности зарегистрированных в стране патентов и лицензий, размеры экспорта и импорта технологии и управленческих услуг.
В заключении предлагается оценить участие страны в интеграционных процессах и процессах либерализации внешнеэкономической деятельности. При выполнении работы допускается использование информации первой части учебно-методического пособия, а также рекомендованной литературы.
Стадии экономического роста в странах мира
И, наконец, VII класс (низший) — страны с низким ИРЧП и низким уровнем экономического развития: Мьянма, Экваториальная Гвинея, Лаос, Лесото, Коморские острова, Заир, Замбия, Бангладеш, Бенин, Того, Йемен, Танзания, Мавритания, Центральноафриканская Республика, Мадагаскар, Камбоджа, Непал, Бутан, Гаити, Ангола, Судан, Уганда, Малави, Джибути, Гвинея-Бисау, Чад, Гамбия, Мозамбик, Гвинея, Эритрея, Бурунди, Эфиопия, Мали, Буркина-Фасо, Нигер, Руанда, Сьерра-Леоне (итого 37). Это все беднейшие афро-азиатские страны.
Из них значительно населена одна Бангладеш, но и ее то и дело не щадят ужасающие наводнения, тропические ураганы.
Особо следует сказать о странах СНГ, доля которых в мировом промышленном производстве сократилась за годы реформ с 20 до 10%. Однако по уровню образования и квалификации работников СНГ сохраняет ведущие позиции относительно соседних стран. Развитые страны, особенно США, намного превосходят СНГ по числу университетов (в США их около 2 тыс.) и специализированных колледжей, по материально-технической базе обучения, позволяющей оперативно использовать последние достижения науки и техники, а также по интенсивности труда студентов. В то же время в школах и вузах России и других стран СНГ выше уровень базового образования, комплексность знаний, общая гуманитарная подготовка, навыки коллективной работы.
Население СНГ также отличает относительно высокий уровень культуры.
1.3 Тип экономического роста
Немаловажным критерием определения подсистем мирового хозяйства выступает тип экономического развития, выражающего не только количественные изменения в производстве товаров и услуг, но и определенные качественные сдвиги. При экстенсивном типе развития экономический рост достигается за счет количественного увеличения факторов производства при неизменной технической основе, что приводит к практически неизменной эффективности производства. Интенсивный тип экономического роста базируется на увеличении масштабов выпуска продукции путем качественного совершенствования факторов производства.
Это предполагает совершенствование средств и предметов труда, повышение квалификации рабочей силы, улучшение организационных параметров производства, благодаря чему прирост производства обеспечивается преимущественно за счет увеличения общественной производительности труда.
В реальной действительности нет «чистых» типов экономического развития, тем не менее применительно к отдельным подсистемам можно говорить о преимущественно экстенсивной или преимущественно интенсивной формах производства, сменяющих друг друга в течение послевоенных лет. Так, развитие экономики индустриальных стран мирового хозяйства до середины 60-х годов по многим признакам относится преимущественно к экстенсивному, а в последние двадцать лет — преимущественно к интенсивному типу развития.
Современный экономический рост (наиболее известное определение которого дал американский экономист, лауреат Нобелевской премии С. Кузнец) представляет собой развитие, при котором долгосрочные темпы роста производства устойчиво превышают темпы роста населения. К этому следует добавить, что темпы прироста доходов ощущаются на протяжении жизни одного поколения.
Их средняя величина по меньшей мере должна превышать 0,1-0,2% в год. Современный экономический рост обусловлен быстрой самоподдерживающейся эволюцией технологий, используемых в экономике.
Классификация стран по стадиям экономического развития дается многими учеными. Например, У. Ростоу подразделяет страны на традиционные, индустриальные и зрелые. Американские социологи Д. Белл и А. Тофлер включают страны с аналогичным уровнем экономического развития в группы доиндустриальных, индустриальных и постиндустриальных.
Американский экономист А. Мэддисон выделяет аграрную и промышленную стадии развития стран.
В табл. 5 приведены данные У. Ростоу и других известных американских экономистов о стадиях экономического роста по странам мира.
Распространение нововведений носит комплексный характер, они принимают в экономике форму замкнутых воспроизводственных контуров — технологических укладов, в рамках которых используются совместимые технологии, формы и методы управления. В период доминирования уклада в его воспроизводственном контуре создается более половины валового национального продукта.
Жизненный цикл технологического уклада в развитых странах соответствует трем циклам Кондратьева, одновременно в экономике функционируют три уклада. В табл.
6 даны оценки периодов распространения технологических укладов в странах-лидерах мировой экономики по производительности труда.
Типичными представителями третьего технологического уклада, устаревшего, но пока широко распространенного в России, являются производства с использованием машин, станков, которые не могут без участия рабочего обработать изделие.
Таблица 5
Стадии экономического роста в странах мира
| Страны |
Начало стадий экономического роста, годы |
| 1780 |
1800 |
1820 |
1840 |
1860 |
1880 |
1900 |
1920 |
1940 |
1960 |
1980 |
| Великобритания |
н |
п |
|
|
|
|
|
о |
|
|
|
|
|
|
|
м |
|
|
|
|
|
и |
| Франция |
|
|
|
|
н |
п |
|
|
|
|
|
|
|
о |
|
|
|
м |
|
|
|
и |
| США |
|
|
|
|
|
|
н |
п |
|
|
|
|
|
о |
м |
|
|
|
|
|
и |
|
| Германия |
|
|
|
|
|
|
|
|
н |
п |
|
|
|
о |
|
|
|
м |
|
|
|
и |
| Скандинавские страны |
|
|
|
|
|
|
|
|
|
н |
п |
|
|
|
|
|
|
|
|
|
|
и |
| Япония |
|
|
|
|
|
|
|
|
|
|
н |
п |
|
|
|
о |
м |
|
|
|
|
и |
| Канада |
|
|
|
|
|
|
|
|
|
|
|
|
н |
п |
|
|
о |
м |
|
|
|
и |
| Аргентина |
|
|
|
|
|
|
|
|
|
|
|
|
|
|
|
н |
п |
|
|
|
м |
и |
| Мексика |
|
|
|
|
|
|
|
|
|
|
|
|
|
|
|
|
н |
п |
|
о |
м |
и |
| Индия |
|
|
|
|
|
|
|
|
|
|
|
|
|
|
|
|
н |
п |
|
|
|
о |
| Россия |
|
|
|
|
|
|
|
|
|
|
|
|
н |
п |
|
|
|
о |
|
м |
|
и |
Обозначения:
п — первый промышленный переворот;
о — второй промышленный переворот (электротехнический);
м — массовое производство;
и — информационная стадия;
н — начало этапа.
Таблица 6
Периоды распространения технологических укладов
| Стадия уклада |
Технологические уклады |
| 1 |
2 |
3 |
4 |
5 |
6 |
| Начало распространения, год |
1725 |
1775 |
1825 |
1875 |
1925 |
1975 |
| Начало доминирования, год |
1775 |
1825 |
1875 |
1925 |
1975 |
2025 |
| Время отмирания, год |
1875 |
1925 |
1975 |
2025 |
2075 |
2125 |
Четвертый технологический уклад — воспроизводственный контур, в котором ведущую роль играет комплекс, где на смену технологическим машинам пришли автоматы.
В промышленности четвертый уклад — это серийное производство с помощью автоматических линий, переналаживаемых человеком.
Пятый технологический уклад — это контур комплекса технологических и энергетических машин-автоматов и машин для обработки информации. Представители пятого уклада в промышленности — гибкие автоматизированные производства, позволяющие без участия человека производить под управлением системы компьютеров определенную, достаточно широкую номенклатуру продуктов.
Шестой технологический уклад — контур комплекса машин-автоматов, способных самостоятельно изменять программы своей работы. Представители шестого уклада — системы, реализующие информационные технологии, комплексные информационно-управленческие системы, робототехнические комплексы, способные адекватно реагировать на изменения ситуации.
Анализируя временные ряды экономической динамики США — лидера мировой экономики XX века за период с 1880 по 1938 г., известный американский экономист русского происхождения, лауреат Нобелевской премии В. Леонтьев обратил внимание на следующее явление. Начиная с 1912 г. тенденция к росту капиталоемкости единицы продукции сельского хозяйства сменилась тенденцией к сокращению капиталоемкости при сохранении тенденции к снижению трудоемкости производства. В 1922 г. аналогичные изменения произошли в промышленности.
В хозяйственном комплексе США эффект снижения капиталоемкости единицы национального продукта при одновременном снижении и трудоемкости стал развиваться с 1912 г. и приобрел устойчивую тенденцию в начале 1930-х годов.
Первый, второй и третий технологические уклады связаны с распространением машин, с заменой человека машинами. Главный фактор производства на этом этапе — капитал, так как сокращение трудоемкости производства достигается за счет роста капиталовложений.
Развитие четвертого, пятого и шестого технологических укладов связано с внедрением технологий автоматизированных производств, распространением машин-автоматов и появлением возможностей роста при сокращающихся капиталовложениях и затратах труда. Это определяет приоритет ценности человеческого капитала, проявляющегося в труде высококвалифицированного персонала.
Эволюция технологий связана с эволюцией экономических отношений. Об этом свидетельствуют изменения в распределений национального дохода. В качестве иллюстрации этих изменений приведем данные по США (табл. 7).
Эти данные показывают, что в периоды кризисов, связанных с переходом к доминированию новых технологических укладов, перераспределяется национальный доход в пользу заработной платы, сокращается доля ренты, изменяется соотношение доходов промышленного и финансового капитала.
Таблица 7
Распределение национального дохода в США в XX веке.
| Период |
Доля в национальном доходе (средние значения по пятилетним периодам), % |
| Заработная плата |
Прибыль |
Ссудный процент |
Рента |
| 1901-1920 |
66,7-67,7 |
17,8-19,6 |
5,4-5,7 |
8,0-9,3 |
| 1921-1930 |
74,0-74,9 |
11,0-12,2 |
5,9-7,1 |
7,0-7,9 |
| 1931-1940 |
75,7-77,9 |
10,1-12,0 |
6,0-8,8 |
4,1-5,4 |
| 1941-1970 |
73,2-77,4 |
15,4-20,0 |
4,0-2,9 |
3,1-3,4 |
| 1971-1980 |
80,2-82,6 |
10,0-14,0 |
3,5-5,5 |
1,9-2,3 |
| 1981-1990 |
78,6-80,2 |
10,3-10,8 |
8,0-9,8 |
1,0-1,3 |
Экономическая стратегия, преследующая цель преодолеть отставание страны по уровню развития, называется догоняющим развитием.
Широко известны две модели догоняющего развития: импортозамещающая и экспортоориентированная и соответственно два типа экономического роста: импортозамещающий и экспортоориентированный.
Базирующаяся фактически на меркантилистской теории, импортозамещающая модель в полном объеме сложилась вначале в послереволюционной России, затем в других социалистических государствах, а также в крупных странах Латинской Америки и Азии (Аргентине, Бразилии, Мексике, Индии, Пакистане). Частично этой модели придерживались в 30-40-е гг. и многие развитые страны.
Суть данной модели заключается в протекционизме по отношению к большинству отраслей национальной экономики, часто подкрепленном государственной монополией внешней торговли и неконвертируемостью национальной валюты. Протекционизм благоприятствует развитию импортозамещающих отраслей, монополия (полная или частичная) внешней торговли также ослабляет конкуренцию отечественным товарам со стороны иностранных, а неконвертируемость национальной валюты препятствует вывозу национального капитала, концентрируя его во внутренних капиталовложениях.
Данная модель способствует созданию многоотраслевой экономики, включая самые современные производства. Однако на практике сокращается лишь импорт потребительских товаров, а импорт инвестиционных товаров растет, увеличивается дефицит конвертируемой валюты и, главное, многие новые отрасли национальной экономики оказываются неконкурентоспособными на мировом рынке, так как создавались или привыкли к «тепличным» условиям протекционизма.
Экспортоориентированная модель сложилась еще в прошлом веке в наиболее развитых странах. Ориентация создаваемых отраслей преимущественно на внешний рынок с самого начала заставляла их поддерживать высокую конкурентоспособность, которая еще больше усиливалась, если страна имела небольшие ввозные пошлины. Подобная экспортная ориентация могла сочетаться с активным привлечением к экспортному производству иностранного капитала, особенно если в стране были невысокие налоги, политическая и социальная стабильность и иностранному капиталу предоставлялись льготы.
Однако во многих странах модель экспортоориентации включала и элементы импортозамещения, так как в ряде экспортоориентированных отраслей сохранялись высокие ввозные пошлины.
Успешное использование экспортоориентированной модели, точнее, одной из ее модификаций (ориентация на экспорт, но без свободы доступа конкурирующих товаров и капиталов на внутренний рынок) Японией, а затем Южной Кореей подтолкнуло Китай и другие крупные страны Азии и Латинской Америки применить эту модель. Однако максимально ее использовали новые индустриальные страны, средние и малые размеры которых с самого начала не позволяли им создавать многоотраслевую экономику. Прежде всего, это относится к Сингапуру и Гонконгу.
Страны, использовавшие экспортоориентированную модель развития, продемонстрировали ее преимущества, выразившиеся прежде всего в их высоких темпах экономического развития.
1.4 Характер внешнеэкономических связей
Характеристика и место подсистем в мировом хозяйстве неразрывно связаны с местом в национальных хозяйствах внешнего сектора, который находит свое выражение в экспорте и импорте товаров и услуг, движении капитала. Она затрагивает направления, меру и формы участия страны в международном разделении труда.
Мировой уровень развития производительных сил, интернационализация производства исключают возможность эффективного ведения хозяйства в рамках замкнутых комплексов. Международный обмен обеспечивает приток недостающих или более дешевых потребительских и капитальных товаров и услуг, а также доступ к дополнительным рынкам сбыта.
К основным показателям, характеризующим роль внешнеэкономических связей, относятся экспортные и импортные квоты товаров и услуг, товарная структура внешней торговли, характер участия в международном движении капитала, технологии, рабочей силы, степень открытости хозяйства.
Открытая экономика — это такое национальное хозяйство, где иностранным хозяйствующим субъектам открыт доступ на большинство рынков и в большинство отраслей и сфер; в закрытой экономике большинство рынков, отраслей и сфер для них закрыто. Под открытой экономикой также понимается хозяйство, направление развития которого определяется тенденциями, действующими в мировом хозяйстве, а внешнеэкономические связи усиливаются, при этом внешнеторговый оборот достигает такого уровня, когда он начинает стимулировать общий экономический рост.
Однако в мире почти нет полностью открытых, т.е. полностью либерализованных экономик, за исключением нескольких небольших государств. Поэтому нередко говорят о более открытых или менее открытых экономиках.
Так, российская экономика более открыта, чем китайская, если судить по уровню тарифных ставок на импортные товары, доле импортных товаров на внутреннем рынке, либеральности валютно-расчетных отношений и другим показателям.
В тех случаях, когда протекционизм явно преобладает над либерализмом во внешнеэкономической деятельности, говорят о закрытой экономике. В мире стран с такой экономикой осталось немного. Это объясняется тем, что, как доказал мировой опыт, существует высокая корреляция между уровнем внешнеэкономического либерализма и темпами экономического роста.
Расчеты по 117 странам мира, проведенные экономистами Гарвардского университета, показали, что там, где в последнюю четверть века проводилась политика закрытой экономики, среднегодовой прирост ВВП в расчете на душу населения составил 0,7%, а там, где придерживались политики открытой экономики, ВВП на душу был в пять раз выше.
Степень открытости экономики может быть определена, в частности, следующими показателями:
1) экспортная квота — отношение стоимости экспорта страны (Эс) к ВВП или ВНП данной страны:

Этот показатель нельзя трактовать как долю экспорта во всем объеме ВВП, потому что экспорт учитывается по ценам экспортируемых товаров и услуг, а ВВП — только по добавленной стоимости. Тем не менее величина экспортной квоты говорит о важности экспорта для национальной экономики. Часто экспортную квоту исчисляют только по экспорту товаров.
Нередко также определяют импортную квоту, а иногда складывают экспорт и импорт и соотносят эту сумму с ВВП страны, называя полученную величину внешнеторговой квотой. По данным Всемирного банка, во второй половине 90-х гг. внешнеторговая квота составила у США 24%, Франции — 45, Южной Кореи — 67, Канады — 76, Бельгии — 137%, т.е. размер этой квоты коррелируется с размерами внутреннего рынка страны.
2) объем экспорта на душу населения — отношение стоимости экспорта страны к численности населения:

3) удельный вес в мировом экспорте — отношение стоимости экспорта страны (Эс) к стоимости мирового экспорта (Эм):

4) доля импорта в розничном товарообороте (у России - 40%).
5) соотношение доли страны в мировом экспорте с ее долей в мировом ВВП по паритету покупательной способности. У России этот показатель составляет 0,5 (1,6% : 3,0%), США — 0,7 (14% : 21%), Японии — 0,9 (8% : 9%).
Внешняя торговля оценивается и с помощью абсолютных значений экспорта, импорта и внешнеторгового оборота. Весьма важным понятием является сальдо внешней торговли, представляющее разницу между стоимостными значениями экспорта и импорта. Баланс внешней торговли может иметь положительную или отрицательную величину, и редко сводится к нулю. Отрицательное сальдо торгового баланса означает возникновение пассивного торгового баланса.
И, наоборот, положительное сальдо характеризует активный торговый баланс страны.
При анализе уровня участия страны в мировом хозяйстве необходимо обращаться не только к международной торговле, но и международному движению факторов производства. Так, показателями участия страны в международном движении капитала являются объем накопленных зарубежных капиталовложений в стране по отношению к ее ВВП, объем накопленных в стране иностранных инвестиций по отношению к ее ВВП, доля иностранного капитала в ежегодных инвестициях страны, объем внешнего долга страны по отношению к ее ВВП и объем платежей по обслуживанию этого долга по отношению к поступлениям от экспорта товаров и услуг.
Российские капиталовложения за рубежом большинством экономистов оцениваются в 200-300 млрд долл., что по отношению к нынешнему объему ВВП России (по ППС), равного примерно 1000 млрд долл., составляет 0,2-0,3 к 1. В свою очередь, объем накопленных капиталовложений в России составлял немногим более 20 млрд долл., т.е. соотношение с ВВП составляет 0,02 к 1. Для сравнения укажем, что у США эти соотношения составляют соответственно 0,6:1 и 0,7:1. В связи с небольшим объемом иностранного капитала в России его доля в ежегодных капиталовложениях в конце 90-х гг. составляет около 5% (если считать только иностранные прямые инвестиции).
Показателями участия страны в международном движении других факторов производства могут быть доля иностранной рабочей силы в общей численности занятых или численность занятой за рубежом отечественной рабочей силы, доля иностранных патентов и лицензий в общей численности зарегистрированных в стране патентов и лицензий, размеры экспорта и импорта технологии и управленческих услуг.
Одним из кумулятивных показателей открытости национальной экономики является показатель экономической свободы. Для расчета показателя экономической свободы страны рассматривают десять ключевых аспектов: 1) торговую политику, 2) налогообложение, 3) вмешательство правительства, 4) кредитно-денежную политику, 5) приток капитала и иностранных инвестиций, 6) банковскую политику, 7) контроль над зарплатой, 8) и ценами, 9) права собственности, 10) регулирование и деятельность «черного рынка».
В каждой из этих десяти больших категорий используют более чем 50 критериев, чтобы дать представление об уровне экономической свободы в каждой стране.
Рассчитанный таким образом индекс убедительно показывает (приложение 3), что страны с самым высоким уровнем экономической свободы имеют также и самый высокий уровень жизни. И точно так же страны с самым низким уровнем экономической свободы имеют и самый низкий уровень жизни. Хотя этот индекс не измеряет политическую свободу, тем не менее имеется определяющая связь между ней и экономической свободой.
Не случайно страны с самыми серьезными нарушениями прав человека в мире оказались почти в самом конце по показателю индекса экономической свободы (например, Ирак, Северная Корея).
Тип социально-экономического развития
Из бывших социалистических стран выше всех поднялись Словения (34-е место) и Чехия (35-е место). Чуть отстали Китай (40-е) и Венгрия (44-е).
Россия на 86-м месте. Среди бывших республик СССР ее обошли Литва, Эстония и Латвия (соответственно 59-е, 71-е и 75-е места). Остальные рассеяны среди слаборазвитых стран: от 125-го места (Молдавия) до 173-го (Таджикистан).
Замыкают список Куба, Ирак, КНДР, Суринам и Афганистан.
1.2Тип социально-экономического развития
Производительные силы функционируют в определенной системе производственных отношений, которые определяют общий тип социально-экономического развития. Поэтому одним из критериев выделения подсистем в мировом хозяйстве выступает социальная структура экономики, в рамках которой развиваются отдельные страны и группы.
В ее основе лежат характер и формы реализации собственности, а также связанная с ним отраслевая и демографическая структура населения.
Формы реализации собственности выступают важным фактором развития мирового сообщества, оказывая определяющее влияние на формирование общественных отношений. Различные формы собственности отражают различные ступени в разделении труда, а отношения индивидов к средствам труда определяют их отношения друг к другу.
Экономическая реализация собственности проявляется прежде всего в условиях соединения средств производства с рабочей силой, при этом важную роль играют конкретные организационно-правовые формы предприятий и хозяйственной деятельности, Собственность на средства производства определяет не только характер экономических взаимосвязей между людьми в процессе производства, но и формы распределения произведенного продукта, его обмена и потребления, показывает, в каком качестве в этом процессе выступает личный фактор производства.
Той или иной социальной структуре экономики присуща определенная последовательность в развитии отдельных сфер хозяйства. С изменением этой последовательности происходит смещение приоритетов в структуре воспроизводства, включая распределение национального дохода, поэтому социальная структура хозяйства в известной мере влияет на формирование целей определенных периодов развития подсистем.
Таким образом, оценка подлинного уровня развития стран как такового одними экономическими показателями не достигается. Действительно, оценка мощи и даже притягательной силы любой страны до сих пор обычно производилась по общему объему ВВП или по его объему на душу населения.
ВВП — это суммарное производство всех видов товаров и услуг, но ценой все больших масс твердых, жидких и газообразных отходов, ценой загрязнения нашей жизненной среды.
Показатель ВВП также не учитывает также продукцию натурального хозяйства, распределение доходов, уровень и качество жизни населения. Поэтому длительное время предпринимаются попытки выработать более совершенные критерии оценки уровня социально-экономического развития страны.
Уровень и качество жизни в стране определяются массой показателей, в первую очередь продолжительностью жизни, заболеваемостью различными болезнями, состоянием личной безопасности, природной среды, безработицей и, конечно, уровнем потребления различных товаров и услуг.
Проанализируем подробнее данные об основных демографических и некоторых социальных и экономических индикаторах по главным группам регионов, регионам и странам мира, которые можно сгруппировать более или менее систематические данные по следующим группам показателей:
1. общедемографические;
2. показатели рождаемости и смертности;
3. показатели образования;
4. показатели здравоохранения.
В общей численности населения очевиден огромный перевес группы менее развитых регионов, к которой примыкает относительно небольшая по численности группа слаборазвитых стран. По прогнозам к 2025 г. численность населения группы развитых регионов немного увеличится (с 1,17 до 1,24 млрд человек), а слаборазвитых — вдвое (с 575 млн до 1,62 млрд человек). Процент среднего роста населения за 1995-2000 гг. в мире составил 1,5%, в развитых регионах — 0,3, в менее развитых — 1,8, в слаборазвитых — 2,7%.
Гораздо быстрее растет городское население. Его доля в мире 45%, в развитых странах — 75, в менее развитых — 38, в слаборазвитых — 22%.
Население Европы (без республик СНГ) к 2025 г. уменьшится с 727 до 718 млн человек. Небольшой рост будет только в Западной Европе и несколько больший — в Северной.
Восточная и Южная Европа, Россия, Украина, Белоруссия сейчас вошли в зону депопуляции, и в ней, по этим прогнозам, останутся. Во всех остальных регионах мира население возрастет.
По наиважнейшему демографическому показателю средней продолжительности жизни при рождении со значительным отрывом лидируют развитые страны (71,2 года у мужчин; 78,6 — у женщин) при средних показателях для всего мира — 63,7/67,8. Впереди Западная, Северная, Южная Европа и Северная Америка (свыше 73 лет у мужчин и 80 — у женщин).
Но выше всего среди регионов мира этот показатель — в Австралии и Новой Зеландии (75,1/80,9). Приближается к ним Океания, состоящая из многочисленных небольших островков (71,3/76,4), Самый высокий уровень имеет Япония (76,8/82,9), что делает тихоокеанскую островную группу (Япония — Океания — Новая Зеландия) наиболее благоприятной по продолжительности жизни для землян.
Нынешняя Россия имеет показатель 61,5/73,6.
Показатель младенческой смертности также весьма показателен, в мире он равен 57 на 1000 родившихся, в развитых странах — 9, в менее развитых — 63, в слаборазвитых — 102.
Ценность показателей продолжительности жизни и младенческой смертности связана с тем, что они, пожалуй, наиболее точно (если говорить об отдельных индикаторах) отражают уровень социального развития стран. Общий коэффициент смертности здесь менее подходит, поскольку на его уровень сильно влияют не только социальное развитие, но и особенности возрастной структуры.
На уровне продолжительности жизни сказывается не только уровень социального развития, но и успехи в здравоохранении и — особенно — в достижении здорового образа жизни. Наиболее впечатляющи они в Японии, затем идет Сингапур, достигший большого прогресса с момента достижения независимости.
Далее следуют наиболее известные своим здоровым образом жизни Финляндия, Швеция, Канада, Швейцария, Австралия или же достигшие высокого уровня здравоохранения Бельгия, Австрия, Великобритания, Германия, Нидерланды.
Суммарный коэффициент рождаемости — один из наиболее точно отражающих воспроизводство населения. Развитые регионы в целом находятся ниже грани простого воспроизводства — 1,71. Менее развитые в целом имеют почти вдвое больший показатель — 3,38.
Самая же высокая плодовитость при неконтролируемой либо слабоконтролируемой рождаемости в группе слаборазвитых регионов — 5,59.
По уровню рождаемости выделяется Африка (5,58). В Азии, Латинской Америке и на Карибах — 2,96; в Центральной Америке — 3,32; в Южной Америке — 2,86; в Океании — 2,48.
Это регионы все еще быстрого демографического роста.
По суммарному коэффициенту рождаемости резко контрастируют с ними Европа (без республик бывшего СССР) — 1,59; Северная Америка — 2,06; Австралия — Новая Зеландия — 1,91. Соответственно и рост населения там невелик, особенно в Европе.
Особняком стоят страны СНГ. С 1995 г. их население, за счет славянских республик, особенно России (с 1992 г.) и Украины (с 1991 г.), заметно сокращается. А на славянские республики (Россию, Украину, Белоруссию) приходится 70% населения СНГ. Суммарный коэффициент рождаемости в России — 1,53; в Украине — 1,64; в Белоруссии — 1,65. В других странах СНГ показатель от 2,10 (Грузия) до 4,70 (Таджикистан).
Так или иначе, территория Евразии, занимаемая восточно-славянскими народами, постепенно теряет население. Суммарный коэффициент рождаемости в России и в Украине неумолимо приближается к единице.
Наконец, нельзя обойти вниманием данные о проценте рожденных под наблюдением специалиста, ибо они отражают огромное социальное неравенство между странами мира. Данные эти имеются далеко не по всем странам и не могут поэтому суммироваться по регионам мира.
Показатель 100% имеют, по опубликованным данным, всего 6 стран, это Япония, США, Болгария, Бельгия, Швеция, Норвегия. У 30 стран он в интервале от 90 до 100, среди них почти все развитые страны, а также Израиль (99%), Куба (99%), Сингапур (99%), КНДР (99%), Пуэрто-Рико (99%), Монголия (99%), ОАЭ (99%), Чили (99%), Тринидад и Тобаго (98%), Малайзия (98%), Кувейт (97%), Венесуэла (97%), Коста-Рика (97%), Уругвай (96%), Китай (95%).
Менее 50% рожденных под наблюдением специалиста имеют 32 страны, среди них такие демографические гиганты, как Индия (31), Пакистан (35), Нигерия (37), Индонезия (40), и это определяет общее довольно печальное положение на планете Земля. Все эти страны афро-азиатские.
10% и менее имеют 5 стран: Эфиопия, Афганистан, Бангладеш, Непал, Сомали. В последнем — 2% рожденных под наблюдением специалиста.
Показатели уровня образования демонстрируют удручающую картину. Среди мужчин и женщин 100%-ную грамотность имеют страны СНГ, США, Канада, Австралия, Новая Зеландия, Япония, большинство европейских стран.
Но даже в Европе уже встречаются исключения: в Португалии 11% неграмотных среди мужчин и 19% среди женщин, в Югославии — 3 и 12, в Испании — 3 и 7, в Греции — 2 и 11, в Италии — 2 и 4% соответственно. «Рекорд» держит Буркина-Фасо (72%). Среди стран, где неграмотных больше половины (50% и более) можно отметить также Бенин, Гвинею, Сомали, Непал, Нигер, Мали, Чад, Судан, Афганистан, Мозамбик, Пакистан, Мавритания, Бангладеш и др.
Среди развивающихся стран лучшие показатели имеют Турция, Перу, Парагвай, Вьетнам, Лаос, Чили, Коста-Рика, Сингапур, Шри-Ланка, Куба, Аргентина, Таиланд, Уругвай, Израиль (3%), Тринидад и Тобаго, Ямайка, Республика Корея.
Попыткой обобщить некоторые наиболее важные из вышеперечисленных показателей является показатель под названием индекс развития человеческого потенциала (ИРЧП), разработанный в 1990 г. в рамках специальной Программы развития ООН. Индекс развития человека рассчитывается на основе трех базовых показателей: продолжительность жизни, уровень образования, ВВП на душу населения.
Классификация по рейтингу в ИРЧП выделяет страны с высоким уровнем развития человеческого потенциала — 64, со средним уровнем — 66 и с низким уровнем — 45.
В 1999 г. максимальное значение индекса (0,96) было у Канады, сохраняющей первое место по человеческому развитию на протяжении многих лет. Минимальные показатели (от 0,340 до 0,251) у беднейших африканских стран (Бурунди, Эфиопия, Сьерра-Леоне) Высокий индекс развития человека характерен для промышленно развитых стран Запада (среднее значение индекса 0,919).
Наибольшего прогресса в развитии человека достигли страны Юго-Восточной Азии, где средний ИРЧП сегодня равен 0,849 (в Китае – 0,626).
Для стран переходной экономики Восточной Европы и СНГ среднее значение индекса равно 0,754. В странах «третьего мира» среднее значение индекса равно 0,637. Россия занимает 71 место в мире по индексу развития человека (0,792).
При этом ИРЧП в России сегодня значительно ниже, чем в СССР в начале 90-х годов. Наиболее негативным фактором, повлиявшим на снижение ИРЧП в России, стало резкое сокращение ожидаемой продолжительности жизни.
В приложении 2 приводится развернутая таблица по основным странам мира, характеризующая этот индекс и показывающая значение самого индекса. Среднемировое значение ИРЧП — 0,764. Промышленно развитые страны имеют 0,911, все развивающиеся — 0,576.
Наконец, наименее развитые страны — 0,366.
Кроме ИРЧП, в таблице названы и другие индексы, послужившие для его расчетов основой, но имеющие и самостоятельное значение, особенно индексы демографические. В целом индекс человеческого развития равен среднеарифметическому от суммы трех составляющих его индексов.
Индекс предстоящей продолжительности жизни строится на предпосылке, что в современных условиях минимальная продолжительность жизни даже в самых неблагополучных странах не опускается ниже 25 лет, а в наиболее благополучных странах максимальная продолжительность жизни не превышает в среднем 85 лет. Формула этого индекса выглядит следующим образом:
|
Индекс предстоящей продолжительности жизни |
= |
Предстоящая продолжительность жизни в стране |
- |
Минимальная продолжительность жизни в мире |
| ------------------------------------------------------------------------------- |
| Максимальная продолжительность жизни в мире |
- |
Минимальная продолжительность жизни в мире |
Индекс охвата населения образованием рассчитывается по следующей формуле:
|
Индекс охвата населения образованием |
= |
2 |
× |
Доля грамотных в возрасте свыше 15 лет |
× |
Доля охвата образованием населения в школьном и студенческом возрасте |
| --------------------------------------------------------------------------------- |
| 3 |
Индекс уровня жизни упрощенно может быть представлен как отношение национального ВВП на душу населения, скорректированного по ППС, к среднемировому значению этого показателя.
Помимо ИРЧП можно выделить еще два кумулятивных показателя, позволяющий проранжировать страны — индекс гуманитарного развития, индекс устойчивого экономического благосостояния.
Индекс гуманитарного развития (от 0 до 1) — агрегатный показатель, рассчитанный на основе характеристик продолжительности жизни, уровня знаний (показатель степени грамотности населения) и уровня овладения ресурсами, необходимыми для нормальной жизни. Этот показатель дает совсем другие результаты, чем расчет ВВП на душу населения.
США, например, имеющие самый высокий в мире показатель на душу населения по ВВП, по индексу гуманитарного развития занимает только 19-е место, уступая таким странам, как Австрия, Канада и Испания.
Индекс устойчивого экономического благосостояния — наиболее комплексный, он учитывает и неравенство в распределении благ, и, главное, поправки на издержки экологического характера, связанные с национальным хозяйствованием.
Отметим, что на распределении доходов населения сказываются не только особенности хозяйственной структуры страны, но и особенности ее политической системы. Так, по характеру распределения доходов страны делят на пять типов:
1.страны с очень низким уровнем семейных доходов;
2.страны с преимущественно низким уровнем доходов;
3.страны с очень низким и очень высоким уровнем семейных доходов (например, Португалия в 1980-х годах и Россия в 1990-х годах);
4.страны с низким, средним и высоким уровнем семейных доходов;
5.страны с преимущественно средним уровнем доходов.
Следует отметить парадокс, состоящий в том, что именно страны третьего типа являются крупнейшими рынками предметов роскоши и престижных товаров. При общей бедности в этих странах насчитывается немало богатых, заботящихся о своем престиже.
ЮНЕСКО и Всемирная организация здравоохранения (ВОЗ) также периодически проводят исследования динамики уровня жизни и «жизнеспособности народов» (по терминологии ЮНЕСКО-ВОЗ) в зависимости от социально-экономической политики правительств и экологической ситуации в той или иной стране.
Коэффициент жизнеспособности измеряется по пятибалльной шкале — он характеризует возможность сохранения генофонда, физиологического и интеллектуального развития нации в условиях продолжения социально-экономической политики правительства, осуществляемой на момент обследования конкретной страны. Согласно исследованиям ЮНЕСКО-ВОЗ В настоящий момент пять баллов не имеет ни одна страна в мире.
Четыре балла получили Швеция, Нидерланды, Бельгия, Дания, Исландия.
«Тройку» имеют США, Япония, Германия и другие индустриально развитые страны, а также новые индустриальные — (о. Тайвань, Южная Корея, Сингапур, Малайзия и др.), Израиль, Коста-Рика, Югославия.
«Двойка» означает, что жизнеспособность нации может снижаться, если государство не будет увеличивать ассигнований на здравоохранение, науку, образование, на уменьшение загрязнения окружающей среды и жилищное строительство. Этот балл, согласно критериям ЮНЕСКО-ВОЗ, требует регулирования розничных цен, особенно на продовольствие, медикаменты и медицинские услуги.
Два балла получили Китай, КНДР, Ирак, Бразилия, Аргентина, Монголия, Албания, Турция, другие развивающиеся страны, государства Восточной Европы, Куба, Вьетнам. Такую же оценку имеют страны Балтии, Туркмения, арабские территории, ранее оккупированные Израилем (сектор Газа, Западный берег Иордана).
От 1,7 до 1,9 баллов имеют Украина, Казахстан, другие страны Средней Азии, Молдавия, Белоруссия, коренное население Южно-Африканской Республики, аборигены Австралии, индейцы Южной и Центральной Америки, а также страны Центральной и Восточной Африки. По 1,6 балла получили Сомали и Гаити, Бирма и Папуа-Новая Гвинея; по 1,5 — Западная Сахара, Босния, Афганистан.
Наконец, балл ниже 1,5 по существу смертный приговор нации, он означает, что вследствие социально-экономической политики правительства и постоянного ухудшения экологической ситуации население обречено либо на постепенное вымирание, либо на деградацию — «воспроизводимые» поколения будут отличаться физиологической и интеллектуальной неполноценностью, существуя лишь за счет удовлетворения естественно-природных инстинктов. Эти поколения не смогут аналитически мыслить, ибо у них не будет способностей к самостоятельному мышлению.
Балл ниже 1,5 означает также, что население страны все более восприимчиво к инфекциям и болезням, и характеризуется возрастающим уровнем нетрудоспособности. А личная и творческая индивидуальность такого населения постоянно снижается — ВОЗ и ЮНЕСКО именуют этот процесс «обезличиванием и дебилизацией».
Пример такого рода — Буркина-Фасо, до 80% населения которой являются носителями СПИДа. Эта страна, а также Чад, Эфиопия, Южный Судан и Коморские Острова имеют коэффициент жизнеспособности 1,1-1,3.
Коэффициент жизнеспособности 1,4 балла получила в середине 90-х гг. Россия.
На основе изложенной информации ряд исследователей предлогают такую классификацию стран мира по уровню развития (сочетание индекса потенциала человеческого развития с индексом уровня экономического развития).
I класс (наивысший): Канада, Франция, Норвегия, США, Исландия, Нидерланды, Япония, Финляндия, Новая Зеландия, Швеция (10 стран).
II класс (высший): Испания, Австрия, Бельгия, Австралия, Великобритания, Швейцария, Ирландия, Дания, Германия, Греция, Италия, Израиль, Люксембург, Португалия, Мальта, Чехия, Словакия, Венгрия, Польша, Белоруссия (19 стран). Здесь страны, расположенные не только как бы в эпицентре развитого капитализма (Бельгия, Германия), но и на его периферии (Греция, Ирландия, Португалия).
Характерно присутствие Израиля, с одной стороны, и Белоруссии, с другой.
III класс (выше среднего): страны с высоким уровнем промышленного развития, но имеющие средний ИРЧП, и страны с высоким ИРЧП, но со средним уровнем промышленного развития: Россия, Азербайджан, Армения, Грузия, Казахстан, Киргизия, Молдавия, Таджикистан, Туркмения, Узбекистан, Украина, Латвия, Литва, Эстония, Албания, Болгария, Румыния, Словения, Чили, Коста-Рика, Аргентина, Уругвай, Панама, Венесуэла, Мексика, Колумбия, Белиз, Бруней, Таиланд, Малайзия, Ливия, Кипр, Сингапур, Республика Корея, Бахрейн, Объединенные Арабские Эмираты (итого 36). К их числу не относятся более мелкие островные государства, не играющие вследствие своей величины существенной роли, хотя и достаточно развитые: Барбадос, Тринидад и Тобаго, Багамские острова, Антигуа и Барбуда, Доминика, Фиджи, Сент-Винсет и др. (итого 11).
Это IV класс (дополнительный).
К V классу (среднему) отнесем все страны, в которых средний уровень экономического развития сочетается со средним ИРЧП: Ливан, Суринам, Иран, Эквадор, Саудовская Аравия, Турция, КНДР, Сирия, Хорватия, Македония, Тунис, Алжир, Ямайка, Иордания, Куба, Доминиканская Республика, Оман, Перу, Южно-Африканская Республика, Шри-Ланка, Парагвай, Ботсвана, Филиппины, Индонезия, Монголия, Гайана, Китай, Египет, Сальвадор, Боливия, Свазиленд, Гватемала, Намибия, Марокко, Габон, Вьетнам, Никарагуа, Папуа - Новая Гвинея, Зимбабве, Конго (итого 40). Возможно, сюда же следует отнести Югославию и Боснию и Герцеговину, ослабленные многолетними войнами.
VI класс (ниже среднего) — страны с низким ИРЧП, но со средним уровнем экономического развития: Гана, Камерун, Кения, Индия, Пакистан, Нигерия, Кот-д'Ивуар, Сенегал (итого 8). Из этих 8 стран 3 демографических гиганта — Индия, Пакистан, Нигерия.
Типология национальных моделей экономического развития
Опыт показывает, что богатые страны со временем стремятся вновь ввести ограничения экономической свободы. Например, страны начинают реализовывать значительные социальные программы и другие меры, которые они не могли позволить себе прежде.
Защита людей, оставшихся позади в результате быстрого экономического роста, важна, но в Европе, в частности, она доведена до таких степеней, которые препятствуют росту и снижают уровень жизни.
Так, после того как некоторые страны стали экономически свободными (например, Германия и Франция), они имеют тенденцию спускаться ниже по шкале экономической свободы, получая более низкие оценки, чем вновь возникающие свободные экономики таких стран, как Сянган, Тайвань или Сингапур. Эти азиатские тигры все еще растут и развиваются и, возможно, только начинают ограничивать свою экономику постиндустриальной политикой социального обеспечения и охраны окружающей среды.
Швейцария самая экономически свободная страна в Европе. За ней следуют экономики Англии, Голландии, Чешской Республики и Дании. Бывшие социалистические страны продолжают продвигаться вперед по пути к максимальной экономической свободе. Лучшими примерами этого служат Чешская республика и Эстония. Германия единственная страна в Европе, экономические показатели которой с каждым годом ухудшаются.
Причина этого в последнее время усиление правительственного вмешательства в экономику, прежде всего, в результате неуспеха полной приватизации государственной промышленности и объединения. Чили самая экономически свободная страна Латинской Америки.
Она значительно снизила барьеры, препятствовавшие торговле, и устранила еще несколько видов контроля над ценами. Сянган и Сингапур продолжают занимать два верхних места.
Район Африки южнее Сахары остается самым экономически несвободным регионом мира, ни одна из 38 стран этого региона, значащихся в индексе, не признана вполне свободной. Только десять названы в основном свободными, 22 в основном несвободными и 6 угнетенными.
Многие страны, расположенные южнее Сахары, находятся среди стран, получающих самую большую экономическую помощь в мире (в подушном исчислении). И все же индекс убедительно показывает, что нищета в Африке южнее Сахары не является результатом недостаточной иностранной помощи, а проистекает из-за отсутствия экономической свободы, воплощенной в политике.
Типология национальных моделей экономического развития
Картину мира по признаку эффективности экономического развития невозможно понять без некоторой типологии национальных примеров такого развития. В экономической литературе такая типология связана с использованием устоявшегося термина модель экономики.
Термин страновая или национальная модель был введен в научный оборот относительно недавно, в последней четверти XX в. Понятие страновой модели используется в случае, если социально-экономическое и политическое развитие того или иного национального государства в течение достаточно длительного периода демонстрирует стабильность ключевых параметров, заложенных в основу модели. Страновая модель экономического развития это совокупность элементов, формирующих целостность национального хозяйства, и механизм, обеспечивающий тесную связь и взаимодействие этих элементов.
Экономическая модель каждой страны это результат длительного исторического процесса, в течение которого выстраивается соотношение элементов модели и формируется механизм их взаимодействия. Критерии, по которым оценивается содержание модели экономического развития и проводятся сравнения национальных экономических систем, весьма разнообразны. К ним относятся:
соотношение форм собственности;
уровень развития и формы организации рыночной среды в целом и ее отдельных сфер;
границы и методы государственного воздействия на экономику;
цели и средства проводимой экономической политики;
источники и масштабы финансирования экономики, ее инновационный механизм;
структура капиталов компаний;
система управления и организации труда на предприятиях;
степень открытости экономики;
динамика, структура и управление внешнеэкономическими связями и проч.
При всей своей устойчивости каждая национальная экономическая модель имеет своеобразный жизненный цикл. Достаточно длительные (обычно не менее 10 лет) периоды стабильного и динамичного роста той или иной страны, сопровождающегося прогрессивными преобразованиями в структуре экономики и ростом благосостояния, иногда называют экономическим чудом.
Такая характеристика устоялась в отношении экономического развития Германии (50 - первой половины 70-х гг.), известны мексиканское и бразильское чудеса (60 - первой половины 70-х гг.). В 70-80-е гг. поэтому критерию в мировом хозяйстве была выделена группа новых индустриальных стран Юго-Восточной Азии.
В настоящее время этот термин используется применительно к Китаю, который с 1979 по 1998 г. демонстрировал среднегодовой темп прироста ВВП, равный 9,8%, рост потребительских цен в пределах 3%, накопленный объем прямых зарубежных инвестиций в 185,8 млрд долл.
Отличительной особенностью страновых моделей на исходе XX в. является то, что все они (за исключением северокорейской и отчасти кубинской) являются моделями рыночной экономики. В то же время чисто рыночных основ организации хозяйственной жизни не имеет ни одна национальная экономическая система.
Государственное регулирование необходимый атрибут современной организации и функционирования экономики.
В массиве развитых стран выделяют три группы страновых моделей рыночной экономики: либеральную, социально ориентированную и социал-демократическую.
Для либеральной или частно-корпоративной модели характерны следующие черты:
абсолютное преобладание частной собственности;
законодательное обеспечение максимальной свободы субъектов рынка;
ограничение сферы государственного регулирования в основном проведением макроэкономической политики;
относительно небольшая доля государственного бюджета в ВВП и удельного веса госинвестиций и выплат по линии социального обеспечения в структуре государственных расходов.
В наиболее чистом виде эта модель представлена экономикой США до Великой депрессии, но и в настоящее время экономическая система этой страны является эталоном либеральной модели.
Типовая модель социально ориентированной экономики отличается следующими параметрами:
смешанная экономика, в которой достаточно весома доля государственной собственности;
макроэкономическое регулирование осуществляется не только средствами кредитно-денежной и налогово-бюджетной политики, но и охватывает другие сферы экономики (структурная, инвестиционная политика) и трудовых отношений (регулирование занятости);
особое значение для государственных органов имеет поддержание конкурентных отношений в экономике, которое обеспечивается средствами структурной политики и содействием развитию малого и среднего бизнеса;
высокая доля госбюджета в ВВП (государство благосостояния);
развитая система социальной поддержки населения при ведущей роли в ней государства, расходы которого по этой линии составляют значительную часть государственного бюджета;
функционирование института производственной демократии.
Наиболее полно совокупность этих качеств представлена в германской или неолиберальной модели социального рыночного хозяйства.
Социал-демократическая модель близка к предыдущей, а ее особенность состоит в предельной социализации, возможной в рыночной экономике:
значительна роль госсектора, в структуре которого преобладают объекты социального назначения;
доля госбюджета в ВВП превышает 50%, в расходной части бюджета доминируют статьи, по которым финансируется социальная сфера;
регулирование трудовых отношений не на уровне предприятий и отраслей, а на национальном уровне;
государственная социальная политика включает средства, минимизирующие уровень безработицы и дифференциацию населения по уровню доходов;
развитая система производственной демократии.
Такая модель присуща экономикам государств Северной Европы, прежде всего скандинавским странам. Эта экономическая система известна как шведская модель.
В мировом хозяйстве представлены страновые модели, которые можно считать переходными формами между тремя основными типами. Так, экономическая система Франции занимает промежуточное положение между либеральным и неолиберальным типом.
Особое место принадлежит японской экономической модели, поскольку она обладает рядом специфических черт, затрудняющих отнесение этой модели к выделенным трем типам. Одной из таких особенностей является социальная организация общества в Японии, предусматривающая гармонизацию отношений в обществе на всех его уровнях и во всех социальных сферах на основе уважения традиций японского образа жизни.
На базе этих моральных ценностей сложилась своеобразная мотивация трудовой деятельности, отличная от американского стандарта. Именно эта модель демонстрирует значение социокультурного и конфессиональных факторов в экономической жизни общества.
Японской модели свойственны:
четкое и эффективное взаимодействие труда, капитала и государства (профсоюзов, промышленников, финансистов и правительства) в интересах достижения национальных целей;
дух коллективизма и патернализма на производстве;
внушительный упор на человеческий фактор.
Эта модель распространена в значительной части стран Юго-Восточной Азии и Дальнего Востока, особенно в практике экономического роста так называемых азиатских молодых тигров Гонконга, Сингапура, Тайваня, Южной Кореи.
Разнообразие экономических моделей характерно и для массива развивающихся стран. Особо выделим латиноамериканскую модель, которую характеризуют:
сильное и не всегда грамотное прямое вмешательство государства в экономику;
коррупция, даже криминализация общества, включая хозяйственные связи;
ориентация производства на удовлетворение спроса ведущих капиталистических стран, использующих три предыдущие модели экономики, на природные ресурсы и дешевую рабочую силу.
Наименее привлекательной в настоящее время выглядит африканская модель, которая базируется на многообразии форм собственности и рыночных отношениях. В странах Африки, использующих эту модель, наблюдается прежде всего малограмотность и даже беспомощность в регулировании и управлении хозяйственными процессами на уровне как предприятий и фирм, так и государства в целом.
Без помощи развитых капиталистических стран африканцы вряд ли вообще могут создать современную экономику.
Африканской экономике присущи:
нещадная эксплуатация неквалифицированного труда;
широкое применение силовых методов прямого вмешательства в производство сверху;
неразвитость трудовых отношений и демократии вообще;
крайне низкая эффективность.
В приложении 4 приведено ранжирование групп стран мира по темпам экономического роста, типам экономической системы и параметрам экономической политики в 1913-1998 гг.
Группы стран в мировой экономике
Мировое хозяйство есть система национальных хозяйств отдельных стран, объединенных международным разделением труда, торгово-производственными, финансовыми и научно-техническими связями. Это глобальное геоэкономическое пространство, в котором в интересах роста эффективности материального производства свободно обращаются товары, услуги, капиталы: человеческий, финансовый, научно-технический.
Мировое хозяйство целостная, но вместе с тем и противоречивая система национальных хозяйств.
В целях исследования в мировой экономике принято выделять различные группы стран. Из традиционных классификации наиболее известной является классификация, которая основывается на разделении стран по уровню их экономического развития на периферию и центр.
Центр образуют промышленно развитые страны. Иногда их условно называют странами Запада, поскольку в начале XX века в их состав входили лишь некоторые страны Западной Европы и США. В этих странах завершилась индустриализация, создана гибкая и эффективная рыночная экономика.
Центр представляет собой системообразующее ядро мировой экономики, в котором создаются передовые технологические, организационно-управленческие, социальные и экономические стандарты, на основе которых формируется мирохозяйственный порядок. Естественно, что в наибольшей мере интернационализация экономической деятельности характерна для группы стран центра, входящих, в частности, в Организацию экономического сотрудничества и развития (ОЭСР). Почти 1/3 объема мировой торговли приходится на взаимный обмен этих стран, а свыше 2/3 международных потоков долгосрочного, средне- и краткосрочного капитала также циркулирует в рамках стран ОЭСР.
При наличии совокупности условий, включая однотипность экономических механизмов, географическую близость, развитые транспортные коммуникации, возникают новые международные глубоко интегрированные общности, подобные Европейскому Союзу (ЕС). Аналогичные процессы происходят и на американском континенте, где в результате договоренности, достигнутой между США, Канадой и Мексикой, возникло еще одно обширное экономическое пространство (НАФТА).
Периферия это страны, догоняющие центр по уровню развития. Они называются развивающимися.
Для этих стран характерны более низкая производительность труда, низкий уровень душевого дохода. Большинство из них находятся на том или ином этапе индустриализации, которая в хозяйстве этих стран еще не завершилась. Значительная их часть имеет сырьевую направленность и малоэффективный механизм развития экономики.
При этом разрыв в уровнях жизни центра и периферии мирового хозяйства все углубляется.
Западные экономисты также традиционно классифицировали страны по принадлежности к первому, второму или третьему миру. К этой группе принадлежат промышленно развитые и некоторые нефтедобывающие страны, получающие высокие доходы от торговли топливными ресурсами.
К странам второго мира было принято относить государства с централизованной экономикой, имеющие низкий и средний уровень дохода. Многие из этой многочисленной группы стран в настоящее время находятся на разных ступенях перехода к рыночной экономике, и их принято относить к группе стран переходного периода, хотя МБРР принял решение называть их традиционно плановыми экономиками (ТПЭ).
Таким образом, наименование второй мир вышло из употребления, и многие страны попадают в категорию третьего мира.
Страны третьего мира, известные также как развивающиеся, располагают экономикой с низким и средним уровнями дохода. Страны с низким уровнем дохода находятся в основном в регионах Азии. Африки а Латинской Америки.
Страны со средним уровнем дохода в географическом плане разбросаны очень широко.
Существует еще деление стран на богатый Север и бедный Юг, что идентично делению на развитые и слаборазвитые страны. Как правило, большинство стран с высоким уровнем доходов являются индустриально развитыми странами, а страны с низкими доходами расположены в Африке к югу от Сахары. Страны со средним уровнем доходов находятся в Латинской Америке, Азии и Арабском Востоке.
Приведенные классификации является достаточно упрощенными, поскольку очень трудно определить степень развитости рыночных отношений и соответственно, достижение каких показателей обеспечивает переход страны из одной группы в другую. Это деление уже не соответствует тем глубоким изменениям, которые произошли в мире. К примеру, многие нефтедобывающие страны обладают более высоким уровнем доходов по сравнению с индустриальными странами, но в политическом, культурном, экономическом плане они являются типичными развивающимися странами.
У стран с переходной экономикой, в том числе и России, уровень доходов ниже среднего, но по многим параметрам они приближаются к индустриальным странам.
Деление стран на периферию и центр, на страны первого и третьего мира является большим упрощением ввиду того, что группа развивающихся стран очень неоднородна. В ней, например, есть страны, которые проходят ускоренную индустриализацию и приближаются к развитым странам, это новые индустриальные страны (НИС).
Кроме того, в этот двухполюсный мир центр-периферия трудно вписать значительную часть бывших социалистических стран.
Тем не менее, деление стран на группы связано с особенностями их исторического, экономического, культурного и политического развития. Обычно эти страны имеют много общих черт, как в плане экономического развития, так и в институциональном и структурном плане. Наибольшей популярностью сегодня пользуется деление стран мира на три крупные группы национальных экономик:
промышленно развитые (капиталистические или индустриальные) страны;
развивающиеся страны;
страны переходного периода (в прошлом социалистические или страны с централизованным планированием экономики).
Но было бы ошибкой проводить слишком резкую черту между этими группами. Например, уже сегодня целую группу развивающихся стран страны Юго-Восточной Азии, в частности Южную Корею, Гонконг (с 1997 г. провинция Китая, Сянган), Тайвань, Бразилию и Аргентину, и некоторые другие по целому ряду экономических показателей логично отнести к числу индустриально развитых государств мира.
Однако по уровню других важных показателей (глубина социальных контрастов, неравномерность регионального развития и др.) они традиционно еще относятся к группе развивающихся стран.
Следует отметить, что публикации международных организация часто принимают во внимание формальные признаки принадлежности к той или иной группе стран. Так, статистика ООН включает в число развивающихся стран КНР, КНДР, Кубу, а также страны, достигшие высокого уровня развития, с одинаковой социальной структурой хозяйства Бразилию и др.
Исследователи Мирового банка основным критерием выделения групп стран считает уровень ВВП на душу населения. В публикациях Мирового банка социалистические страны были отнесены к группе развивающихся стран.
В соответствии с классификацией Мирового банка, в 1999 г. развитые страны включали 23 государства, развивающиеся страны 133 государства (табл. 8).
В группе развивающихся стран особое место занимают новые индустриальные страны Юго-Восточной Азии (НИС ЮВА) Гонконг, Сингапур, Тайвань, Южная Корея и Израиль, которых МВФ относит к продвинутым странам. Страны с переходной экономикой состояли из 28 государств, к которым относятся все постсоциалистические государства Восточной и Центральной Европы, а также бывшие республики Советского Союза.
Развивающиеся страны и страны с переходной экономикой это страны догоняющего развития, экономическая стратегия которых направлена на преодоление разрыва в уровнях социально-экономического развития по сравнению с лидирующими (развитыми) странами.
Представление о группах стран в мировой экономике дают такие организации, как ООН, МВФ, ОЭСР и Мировой банк. Каждая из этих организаций осуществляет деление, исходя из своих целей.
В таблице 9 представлен вариант группировки стран мира, используемый Всемирным Банком.
Международная финансовая корпорация (МФК) выделяет группы стран покритерию уровня зрелости рыночных отношений. Различия между странами находятся в плоскости степени развития рынков товаров, услуг, труда, капиталов, информации, в степени включения этих стран в мировой рынок.
Исходя из этого, мировой рынок делится на развитые, развивающиеся и неразвитые рынки.
Таблица 8
Доля стран в мировом ВВП и экспорте товаров и услуг (1999 г., %)
| Страны |
Число стран |
ВВП |
Экспорт товаров и услуг |
Население |
| Мир |
184 |
100 |
100 |
100 |
| Развитые |
23 |
53, 9 |
67, 9 |
14, 1 |
| Большая семерка |
7 |
45, 8 |
48, 9 |
11, 6 |
| США |
- |
21, 9 |
14, 0 |
4, 6 |
| Япония |
- |
7, 6 |
6, 7 |
2, 1 |
| Германия |
- |
4, 7 |
9, 0 |
1, 4 |
| Франция |
- |
3, 3 |
5, 5 |
1, 0 |
| Италия |
- |
3, 2 |
4, 4 |
1, 0 |
| Великобритания |
- |
3, 2 |
5, 4 |
1, 0 |
| Канада |
- |
2, 0 |
4, 0 |
0, 5 |
| Европейский союз |
15 |
20, 3 |
39, 3 |
6, 3 |
| Еврозона |
11 |
15, 8 |
31, 2 |
4, 9 |
| Развивающиеся |
133 |
40, 3 |
27, 7 |
79, 0 |
| Африка |
51 |
3, 2 |
1, 8 |
12, 0 |
| Азия |
31 |
24, 4 |
17, 8 |
53, 4 |
| Китай |
- |
11, 2 |
3, 1 |
21, 1 |
| Индия |
- |
4, 6 |
0, 6 |
16, 6 |
| НИС ЮВА |
4 |
3, 3 |
9, 5 |
1, 3 |
| Средний Восток и Европа |
18 |
4, 0 |
3, 4 |
5, 0 |
| Западное полушарие |
33 |
8, 4 |
4, 5 |
8, 5 |
| С переходной экономикой |
28 |
5, 8 |
4, 4 |
6, 8 |
| Центральная и Восточная Европа |
16 |
2, 3 |
2, 5 |
2, 0 |
| Белоруссия и Украина |
2 |
0, 6 |
0, 4 |
1, 1 |
| Закавказье и Центральная Азия |
9 |
0, 5 |
0, 3 |
1, 3 |
| Россия |
- |
2, 4 |
1, 3 |
2, 5 |