Инвестиции
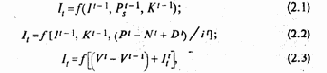
Экономическая сущность и формы инвестиций
Изучение инвестиций предполагает анализ общих основ и механизма осуществления инвестиционной деятельности как важнейшей составляющей рыночного хозяйствования, выявление специфики инвестиционных процессов в условиях российской экономики, переходной к рынку. Вместе с тем выяснение основных связей и зависимостей требует предварительного уточнения ключевых понятий, связанных с инвестиционной деятельностью, являющихся относительно новыми в отечественной экономической теории и практике и имеющих неоднозначную трактовку в различных источниках.
Экономические отношения, связанные с движением инвестиций
Движение инвестиций предполагает взаимодействие субъектов инвестиционной деятельности, экономические отношения по поводу реализации инвестиций. Для осуществления инвестиционного процесса необходимо взаимодействие, по меньшей мере, двух сторон: инициатора проекта и инвестора, финансирующего проект. Помимо этих сторон, как отмечалось выше, в инвестиционной деятельности могут принимать участие и другие субъекты.
Реализация инвестиций при прочих равных условиях становится возможной при совпадении экономических интересов участников инвестиционного процесса. Поэтому рассматриваемые отношения выступают как совокупность экономических связей, характеризующихся определенными свойствами. Они выражают отношения субъектов воспроизводства, обладающих юридической и экономической самостоятельностью, проявляющих взаимную заинтересованность в осуществлении инвестиций.
Вся совокупность связей и отношений по реализации инвестиций в различных формах на всех структурных уровнях экономики образует экономическое содержание понятия инвестиционной сферы. Инвестиционная сфера представляет собой ключевой элемент экономической системы, значение которого определяется тем, что именно здесь формируются важнейшие пропорции экономики: между накоплением и потреблением, накоплением и инвестированием, инвестированием и приростом капитальных стоимостей, вложениями и их отдачей, межотраслевая структура.
Формирование рыночного подхода к анализу инвестиций
Развитие рыночных отношений в российской экономике обусловило необходимость пересмотра толкования категории «инвестиции» в соответствии с новыми условиями.
Характерными чертами формирующегося рыночного подхода к пониманию сущности инвестиций являются:
связь инвестиций с получением дохода как мотива инвестиционной деятельности;
рассмотрение инвестиций в единстве двух сторон: ресурсов (капитальных ценностей) и вложений (затрат);
анализ инвестиций не в статике, а в динамике, что позволяет объединить в рамках категории «инвестиции» ресурсы, вложения и отдачу вложенных средств как мотива этого объединения;
включение в состав объектов инвестирования любых вложений, дающих экономический (социальный) эффект.
Рыночный подход к анализу сущности, форм и принципов осуществления инвестиционной деятельности нашел свое отражение при определении термина «инвестиции» в российском законодательстве. В соответствии с Законом РФ «Об инвестиционной деятельности в РСФСР» от 6 июня 1991 г. — одним из первых законов рыночной направленности — инвестициями являются все виды имущественных и интеллектуальных ценностей, вкладываемых в объекты предпринимательства и других видов деятельности, в результате которых образуется прибыль (доход) или достигается социальный эффект.
Аналогичная по смыслу формулировка содержится и в новом Законе «Об инвестиционной деятельности в Российской Федерации, осуществляемой в форме капитальных вложений» от 25 февраля 1999 г., с принятием которого утратил силу прежний законодательный акт. Инвестиции определяются в нем как денежные средства, ценные бумаги, иное имущество, в том числе имущественные права, иные права, имеющие денежную оценку, вкладываемые в объекты предпринимательской и (или) иной деятельности в целях получения прибыли и (или) достижения иного полезного эффекта.
В новом законодательном документе, имеющем в отличие от прежнего более конкретную направленность (сфера капитальных вложений), уточнено понятие не только инвестиций, но и капитальных вложений, которые рассматриваются как форма инвестиций, представляющая собой инвестиции в основной капитал (основные средства), в том числе затраты на новое строительство, расширение, реконструкцию и техническое перевооружение действующих предприятий, приобретение машин, оборудования, инструмента, инвентаря, проектно-изыскательские работы и другие затраты.
В целом инвестиции определяются как процесс, в ходе которого осуществляется преобразование ресурсов в затраты с учетом целевых установок инвесторов — получения дохода (эффекта).
Инвестиционная деятельность
Термину «инвестиционная деятельность» можно дать широкое и узкое определение. По широкому определению инвестиционная деятельность — это деятельность, связанная с вложением средств в объекты инвестирования с целью получения дохода (эффекта). Подобная трактовка содержится в Законе «Об инвестиционной деятельности в Российской Федерации, осуществляемой в форме капитальных вложений», в соответствии с которым под инвестиционной деятельностью понимается вложение инвестиций и осуществление практических действий в целях получения прибыли и (или) достижения иного полезного эффекта. По узкому определению инвестиционная деятельность, или иначе собственно инвестиционная деятельность (инвестирование), представляет собой процесс преобразования инвестиционных ресурсов во вложения.
Инвестиционная деятельность и оборот инвестиций
Движение инвестиций включает две основные стадии. Содержанием первой стадии «инвестиционные ресурсы — вложение средств» является собственно инвестиционная деятельность. Вторая стадия «вложение средств — результат инвестирования» предполагает окупаемость осуществленных затрат и получение дохода в результате использования инвестиций. Она характеризует взаимосвязь и взаимообусловленность двух необходимых элементов любого вида экономической деятельности: затрат и их отдачи.
С одной стороны, экономическая деятельность связана с вложением средств, с другой стороны, целесообразность этих вложений определяется их отдачей. Без получения дохода (эффекта) отсутствует мотивация инвестиционной деятельности, вложение инвестиционных ресурсов осуществляется с целью возрастания авансированной стоимости. Поэтому инвестиционную деятельность в целом можно определить как единство процессов вложения ресурсов и получения доходов в будущем.
При вложении капитальных ценностей в реальный экономический сектор с целью организации производства движение инвестиций на стадии окупаемости затрат осуществляется в виде индивидуального кругооборота производственных фондов, последовательной смены форм стоимости. В ходе этого движения создается готовый продукт, воплощающий в себе прирост капитальной стоимости, в результате реализации которого образуется доход.
Инвестиционная деятельность является необходимым условием индивидуального кругооборота средств хозяйствующего субъекта. В свою очередь деятельность в сфере производства создает предпосылки для новых инвестиций. С этой точки зрения любой вид предпринимательской деятельности включает в себя процессы инвестиционной и основной деятельности. Выступая на поверхности явлений как относительно обособленные сферы, инвестиционная и основная деятельность тем не менее представляют собой важнейшие взаимосвязанные составляющие единого экономического процесса.
Движение инвестиций, в ходе которого они последовательно проходят все фазы воспроизводства от момента мобилизации инвестиционных ресурсов до получения дохода (эффекта) и возмещения вложенных средств, выступает как кругооборот инвестиций и составляет инвестиционный цикл. Это движение носит постоянно повторяющийся характер, поскольку доход, который образуется в результате вложения инвестиционных ресурсов в объекты предпринимательской деятельности, всякий раз распадается на потребление и накопление, являющееся основой следующего инвестиционного цикла.
Совокупность кругооборотов выступает как оборот
Совокупность кругооборотов выступает как оборот инвестиций. В наиболее общем виде он представлен на рис. 1.1.

Анализ инвестиций должен осуществляться только на основе воспроизводственного подхода, предполагающего их рассмотрение в динамике, а не на основе вычленения и фиксации в качестве объекта исследования отдельных стадий их движения.
С позиций структурного анализа инвестиции как объект исследования можно рассмотреть в единстве следующих основных элементов: субъектов, объектов и собственно экономических отношений.
Классификация форм и видов инвестиций
Инвестиции осуществляются в различных формах. С целью систематизации анализа и планирования инвестиций они могут быть сгруппированы по определенным классификационным признакам. Классификация инвестиций определяется, таким образом, выбором критерия, положенного в ее основу. Базисным типологическим признаком при классификации инвестиций выступает объект вложения средств.
Классификация инвестиций, осуществляемых в форме капитальных вложений
В экономической литературе имеются и другие классификации инвестиций, отражающие, как правило, детализацию их основных форм.
В частности, инвестиции, осуществляемые в форме капитальных вложений, подразделяют на следующие виды:
оборонительные инвестиции, направленные на снижение риска по приобретению сырья, комплектующих изделий, на удержание уровня цен, на защиту от конкурентов и т.д.;
наступательные инвестиции, обусловленные поиском новых технологий и разработок, с целью поддержания высокого научно-технического уровня производимой продукции;
социальные инвестиции, целью которых является улучшение условий труда персонала;
обязательные инвестиции, необходимость в которых связана с удовлетворением государственных требований в части экологических стандартов, безопасности продукции, иных условий деятельности, которые не могут быть обеспечены за счет только совершенствования менеджмента;
представительские инвестиции, направленные на поддержание престижа предприятия.
В зависимости от направленности действий выделяют:
начальные инвестиции (нетто-инвестиции), осуществляемые при приобретении или основании предприятия;
экстенсивные инвестиции, направленные на расширение производственного потенциала;
реинвестиции, под которыми понимают вложение высвободившихся инвестиционных средств в покупку или изготовление новых средств производства;
брутто-инвестиции, включающие нетто-инвестиции и реинвестиции.
В экономическом анализе применяется и иная группировка инвестиций, осуществляемых в форме капитальных вложений:
инвестиции, направляемые на замену оборудования, изношенного физически и/или морально;
инвестиции на модернизацию оборудования. Их целью является прежде всего сокращение издержек производства или улучшение качества выпускаемой продукции;
инвестиции в расширение производства.
Задачей такого инвестирования является увеличение
Задачей такого инвестирования является увеличение возможностей выпуска товаров для ранее сформировавшихся рынков в рамках уже существующих производств при расширении спроса на продукцию или переход на выпуск новых видов продукции;
инвестиции на диверсификацию, связанные с изменением номенклатуры продукции, производством новых видов продукции, организацией новых рынков сбыта;
стратегические инвестиции, направленные на внедрение достижений научно-технического прогресса, повышение степени конкурентоспособности продукции, снижение хозяйственных рисков.
Посредством стратегических инвестиций реализуются структурные изменения в экономике, развиваются ключевые импортозамещающие производства или конкурентоспособные экспортно-ориентированные отрасли.
Наименее рисковыми из этих видов инвестиций считаются инвестиции в замену и модернизацию оборудования. Повышенной степенью риска характеризуются инвестиции в расширение производства и стратегические инвестиции (рис. 1.2).

Зависимость между видами инвестиций и уровнем риска обусловлена опасностью изменения реакции рынка на результаты деятельности фирмы после осуществления того или иного вида инвестиций. Очевидно, что риск негативных последствий инвестирования будет ниже при продолжении выпуска уже апробированных рынком товаров и выше при организации нового производства.
Классификация инвестиций по срокам
Формам собственности на инвестиционные ресурсы, регионам, отраслям, рискам и другим признакам
Формы инвестиционной деятельности могут быть также классифицированы по срокам, формам собственности на инвестиционные ресурсы, регионам, отраслям, рискам и другим признакам (табл. 1.1).
По срокам вложений выделяют краткосрочные, среднесрочные и долгосрочные инвестиции.
Под краткосрочными инвестициями понимаются обычно вложения средств на период до одного года. Данные инвестиции носят, как правило, спекулятивный характер. Среднесрочные инвестиции представляют собой вложения средств на срок от одного года до трех лет, долгосрочные инвестиции — на срок свыше трех лет.
По формам собственности на инвестиционные ресурсы выделяют частные, государственные, иностранные и совместные (смешанные) инвестиции.
Под частными (негосударственными) инвестициями понимают вложения средств частных инвесторов: граждан и предприятий негосударственной формы собственности.
Таблица 1.1. Классификация форм инвестиций
|
Классификационные признаки |
Формы инвестиций |
| По объектам вложений |
Реальные инвестиции Финансовые инвестиции |
| По срокам вложений |
Краткосрочные инвестиции Среднесрочные инвестиции Долгосрочные инвестиции |
| По цели инвестирования |
Прямые инвестиции Портфельные инвестиции |
| По сфере вложений |
Производственные инвестиции Непроизводственные инвестиции |
| По формам собственности на инвестиционные ресурсы |
Частные инвестиции Государственные инвестиции Иностранные инвестиции Смешанные инвестиции |
| По регионам |
Инвестиции внутри страны Инвестиции за рубежом |
| По рискам |
Агрессивные инвестиции Умеренные инвестиции Консервативные инвестиции |
это вложения, осуществляемые государственными органами
Государственные инвестиции — это вложения, осуществляемые государственными органами власти и управления, а также предприятиями государственной формы собственности.
К иностранным инвестициям относят вложения средств иностранных граждан, фирм, организаций, государств.
Под совместными (смешанными) инвестициями понимают вложения, осуществляемые отечественными и зарубежными экономическими субъектами.
По региональному признаку различают инвестиции внутри страны и за рубежом.
Внутренние (национальные) инвестиции включают вложения средств в объекты инвестирования внутри данной страны.
Инвестиции за рубежом (зарубежные инвестиции) понимаются как вложения средств в объекты инвестирования, размещенные вне территориальных пределов данной страны.
По отраслевому признаку выделяют инвестиции в различные отрасли экономики: промышленность (топливная, энергетическая, химическая, нефтехимическая, пищевая, легкая, деревообрабатывающая и целлюлозно-бумажная, черная и цветная металлургия, машиностроение и металлообработка и др.), сельское хозяйство, строительство, транспорт и связь, торговля и общественное питание и пр.
По рискам различают агрессивные, умеренные и консервативные инвестиции. Данная классификация тесно связана с выделением соответствующих типов инвесторов.
Агрессивные инвестиции характеризуются высокой степенью риска. Они характеризуются высокой прибыльностью и низкой ликвидностью.
Умеренные инвестиции отличаются средней (умеренной) степенью риска при достаточной прибыльности и ликвидности вложений.
Консервативные инвестиции представляют собой вложения пониженного риска, характеризующиеся надежностью и ликвидностью.
Важность задач выяснения роли инвестиций в воспроизводственном процессе обусловливает необходимость введения такого классификационного критерия, как сфера вложений, в соответствии с которым можно выделить производственные и непроизводственные инвестиции.
Определяющее значение для экономической системы имеют производственные инвестиции, обеспечивающие воспроизводство и прирост индивидуального и общественного капитала.
Контрольные вопросы и задания
В чем заключается экономическая сущность инвестиций?
Охарактеризуйте основные подходы к пониманию сущности инвестиций. Как изменилась трактовка понятия «инвестиции» в российской экономической литературе с развитием рыночных отношений?
Что понимается под инвестиционной деятельностью?
Какие стадии проходят инвестиции в ходе своего движения? Что такое кругооборот инвестиций?
Назовите основные субъекты инвестиционной деятельности. Кто может быть субъектом инвестиционной деятельности по российскому законодательству?
Что понимается под объектом инвестиций?
В чем состоит двойственный характер инвестиций, рассматриваемых со стороны объекта?
Назовите основные формы инвестиций.
Какой критерий лежит в основе деления инвестиций на прямые и портфельные? Как соотносятся эти формы инвестиций с реальными и финансовыми инвестициями?
Поясните почему инвестиции играют важнейшую роль в функционировании и развитии экономики.
Объекты инвестиций
Рассматриваемые со стороны объекта инвестиции носят двойственный характер. С одной стороны, они выступают как инвестиционные ресурсы, отражающие величину неиспользованного для потребления дохода; с другой стороны, инвестиции представляют собой вложения (затраты) в объекты предпринимательской или иной деятельности, определяющие прирост стоимости капитального имущества.
В составе ресурсов, т.е. имущественных и интеллектуальных ценностей, вкладываемых в объекты предпринимательской и других видов деятельности, можно выделить следующие группы инвестиций:
денежные средства и финансовые инструменты (целевые банковские вклады, паи, акции и другие ценные бумаги);
материальные ценности (здания, сооружения, оборудование и другое движимое и недвижимое имущество);
имущественные, интеллектуальные и иные права, имеющие денежную оценку (нематериальные активы).
Из этого следует, что инвестиции, рассматриваемые в ресурсном аспекте, могут существовать в денежной, материальной формах, а также в форме имущественных прав и других ценностей. Вместе с тем независимо от формы, которую принимают инвестиционные ресурсы, они едины по своей экономической сущности и представляют собой аккумулированный с целью накопления доход.
С точки зрения затрат инвестиции характеризуют направления вложений и выступают как объекты инвестиционной деятельности. Они включают:
основной и оборотный капитал;
ценные бумаги и целевые денежные вклады;
нематериальные активы.
В процессе воспроизводства осуществляется постоянная трансформация объекта инвестиций, отражающая его двойственную природу: ресурсы преобразуются во вложения, в результате использования вложений формируется доход, являющийся источником инвестиционных ресурсов следующего цикла, и т.д.
Понятие инвестиций в советской экономической литературе
В отечественной экономической литературе до 80-х годов термин «инвестиции» для анализа процессов социалистического воспроизводства практически не использовался, основной сферой его применения были переводные работы зарубежных авторов и исследования в области капиталистической экономики. Базисным понятием инвестиционной деятельности являлось понятие капитальных вложений.
В последующий период термин «инвестиции» получил более широкое распространение в научном обороте, стал использоваться в правительственных и нормативных документах. Однако большей частью инвестиции отождествлялись с капитальными вложениями. Инвестиции (капитальные вложения) рассматривались в двух аспектах: как процесс, отражающий движение стоимости в ходе воспроизводства основных фондов, и как экономическая категория — система экономических отношений, связанных с движением стоимости, авансированной в основные фонды от момента мобилизации денежных средств до момента их возмещения.
Более широкая трактовка инвестиций в рассматриваемый период была представлена позицией, согласно которой инвестиции выступают как вложения не только в основные фонды, но и в прирост оборотных средств, нашедшая отражение в Типовой методике определения экономической эффективности капитальных вложений 1981 г. и других методических рекомендациях. В основе данного подхода лежало положение о том, что основные фонды не функционируют в отрыве от оборотных средств и, следовательно, прирост прибыли (дохода) является результатом их совместного использования.
Включение в состав капитальных затрат расходов на формирование прироста оборотных средств положило начало исследованию оборота инвестиций и его отдельных стадий. Вместе с тем инвестиции, как правило, рассматривались в связи с расширенным воспроизводством основных фондов, поскольку завершение инвестиционного цикла связывалось с вводом в действие основных фондов и производственных мощностей. Исследование отдельных фаз движения инвестиций привело к формированию двух подходов к определению их экономической сущности — затратного и ресурсного.
В соответствии с затратным подходом инвестиции понимались как затраты на воспроизводство основных фондов, их увеличение и совершенствование. Данный подход являлся доминирующим в теоретических воззрениях и в практической деятельности, поскольку он отражал специфику функционировавшего в условиях административно-командной экономики хозяйственного механизма. Его характерной особенностью являлось то, что основное значение придавалось производительной стадии движения средств как исходному пункту инвестиционной деятельности, преуменьшалась роль денежной формы оборота основного капитала, движение которой ограничивалось рамками только строительного комплекса. Таким образом, оборот инвестиций рассматривался вне связи с конечными народно-хозяйственными результатами. Акцент на затратной стороне инвестиций, игнорирование стадии преобразования ресурсов в затраты, которая должна предшествовать производительной стадии движения средств, искажали действительную логику и последовательность инвестиционного процесса, сужали общее пространство движения инвестиций.
Обострение проблемы товарно-денежной сбалансированности общественного воспроизводства, общее снижение эффективности функционирования административно-командной системы управления привели к признанию недостаточности затратного подхода и обращения к ресурсному подходу. В основе последнего лежало выделение другого составляющего элемента инвестиций — ресурсов. При этом инвестиции трактовались как финансовые средства, предназначенные для воспроизводства основных фондов. Восстанавливая роль денежной формы движения средств как начального пункта их оборота, ресурсный подход вместе с тем игнорировал дальнейшее движение ресурсов, их последовательное превращение под воздействием целевых установок инвесторов в продукт инвестиционной деятельности.
Таким образом, существенный недостаток обоих подходов заключался в статичной характеристике объекта анализа, базирующейся на выделении какого-либо одного элемента инвестиций, затрат или ресурсов, обосновании приоритета отдельных стадий оборота средств — производительной или денежной, что ограничивало возможности исследования инвестиций как целостного процесса, в ходе которого происходит последовательная смена различных форм стоимости, реализуется динамическая связь элементов инвестиционной деятельности: ресурсы — затраты — доход.
Начало рыночных преобразований в России повлекло за собой реформирование подходов к анализу экономических процессов, в том числе и инвестиционной деятельности, усилило интерес к результатам научных исследований в странах развитой рыночной экономики.
Понятие инвестиций в западной экономической литературе
Обращение к трактовке термина «инвестиции» в зарубежной экономической литературе показывает, что в различных школах и направлениях экономической мысли определения понятия «инвестиции» содержат общую существенную черту — связь инвестиций с получением дохода как целевой установки инвестора.
В наиболее общем виде инвестиции понимаются как вложения капитала с целью его увеличения в будущем. Такой подход к определению понятия «инвестиции» является господствующим как в европейской, так и в американской методологии.
Вместе с тем нередко встречается позиция, в соответствии с которой предлагается различать категории «инвестиций», с одной стороны, и «вложений капитала», с другой стороны, на том основании, что отличительным признаком инвестиций, по мнению ее представителей, является производительный характер данной категории. При этом под инвестициями понимается, как правило, приобретение средств производства, а под вложениями капитала — покупка финансовых активов. В частности, в учебных курсах «Экономикс» при всех различиях в трактовке термина «инвестиции» большинство авторов подчеркивает материально-вещественное содержание инвестиций либо как «расходов на строительство новых предприятий, на станки и оборудование с длительным сроком службы», либо как «прироста любых материальных ценностей — всех расходов, которые непосредственно способствуют росту общей величины капитала в экономической системе».
Существует и другой подход к определению инвестиций, обусловленный возросшим значением рынка ценных бумаг как механизма, опосредующего перемещение реального капитала в странах развитой рыночной экономики. В его рамках инвестиции определяются как вложения в ценные бумаги.
Следует отметить, что развитие рыночных отношений связано с ростом многообразия объектов инвестирования, в состав которых входят как различные виды реальных активов, так и финансовых инструментов. При этом «в примитивных экономиках основная часть инвестиций относится к реальным, в то время как в современной экономике большая часть инвестиций представлена ценными бумагами».
В специальных исследованиях, посвященных проблемам инвестирования, инвестиции определяются как способ помещения капитала, который должен обеспечить сохранение или возрастание стоимости капитала и (или) принести положительную величину дохода. Инвестиция — это любой инструмент, в который можно поместить деньги, рассчитывая сохранить или умножить их стоимость и (или) обеспечить положительную величину дохода. Таким образом, учет многообразных форм инвестиций осуществляется на основе более широкой трактовки инвестиций как любого вложения капитала, направленного на его прирост. Такой подход определяет в качестве существенного признака инвестиций не характер вложений, а связь инвестиций с возрастанием капитала (получением дохода).
Следует отметить, что производительный характер присущ не только вложениям в реальные активы, составляющим группу капиталообразующих инвестиций (вложения в основной капитал, прирост оборотного капитала, земельные участки и объекты природопользования, нематериальные активы), но и вложениям в определенные финансовые инструменты, опосредующие движение капиталообразующих инвестиций (например, ценные бумаги предприятий реального сектора, позволяющие привлечь капитал в сферу предпринимательской деятельности).
В то же время некоторые реальные инвестиции (вложения в покупку недвижимости, драгоценные металлы, предметы коллекционирования), так же как и часть финансовых инвестиций (спекулятивные финансовые инструменты), не носят производительного характера. Поскольку данные вложения сопряжены с получением дохода как целевой установки инвестора, с позиций экономического субъекта они выступают как инвестиции, хотя на макроэкономическом уровне их реализация означает не прирост, а перераспределение совокупного дохода.
Инвестиции в западной экономической литературе рассматриваются в единстве двух аспектов: ресурсов (капитальных ценностей) и вложений (затрат). Наиболее очевидно данный подход представлен в работах Дж.М. Кейнса, по мнению которого инвестиции — это часть дохода за данный период, которая не была использована для потребления, текущий прирост ценностей капитального имущества в результате производительной деятельности данного периода. Это определение, которое не является исчерпывающим, отличает достаточно четкое выделение двух сторон инвестиций: ресурсов (аккумулированных с целью накопления дохода) и вложений (использования ресурсов), обеспечивающих прирост капитального имущества.
Прямые и портфельные инвестиции
По цели инвестирования выделяют прямые и портфельные (непрямые) инвестиции.
Прямые инвестиции выступают как вложения в уставные капиталы предприятий (фирм, компаний) с целью установления непосредственного контроля и управления объектом инвестирования. Они направлены на расширение сферы влияния, обеспечение будущих финансовых интересов, а не только на получение дохода.
Портфельные инвестиции представляют собой средства, вложенные в экономические активы с целью извлечения дохода (в форме прироста рыночной стоимости инвестиционных объектов, дивидендов, процентов, других денежных выплат) и диверсификации рисков. Как правило, портфельные инвестиции являются вложениями в приобретение принадлежащих различным эмитентам ценных бумаг, других активов.
Достаточно часто реальные и финансовые инвестиции рассматривают как соответственно прямые и портфельные. При этом в одних случаях под прямыми инвестициями понимают непосредственное вложение средств в производство, а под портфельными — приобретение ценных бумаг, т.е. критерием классификации служит в этом случае характеристика объекта инвестирования. На наш взгляд, такое отождествление является ошибочным, поскольку реальные инвестиции помимо вложений в физические элементы производительного капитала, как отмечалось, включают вложения и в другие формы реальных активов, а финансовые инвестиции охватывают вложения не только в ценные бумаги, но и в другие финансовые инструменты. Кроме того, вряд ли правомерно относить к производственным вложениям только прямые инвестиции, так как часть портфельных инвестиций (вложения в ценные бумаги производственных предприятий при их первичном размещении) также предназначена для привлечения средств инвесторов в производство.
В других случаях смешение различных групп инвестиций происходит вследствие отсутствия четкого критерия, используемого при их классификации. Как отмечалось выше, выделение реальных и финансовых инвестиций осуществляется в зависимости от объекта вложения средств, в то время как в основе разделения инвестиций на прямые и портфельные используется качественно иной критерий — цель инвестирования.
В частности, прямые инвестиции, представляющие собой вложения, направленные на установление непосредственного контроля и управления объектом инвестирования, могут осуществляться не только в реальные экономические активы, но и в финансовые инструменты. Возможность управления объектом инвестирования достигается через приобретение контрольного пакета акций, другие формы контрольного участия. Портфельные инвестиции представляют собой вложения, ориентированные на получение текущего дохода.
Следовательно, реальные и финансовые инвестиции, с одной стороны, и прямые и портфельные инвестиции, с другой, выступают как различные по типологии группы инвестиций.
Реальные и финансовые инвестиции
По объектам вложения средств выделяют реальные и финансовые инвестиции. Поскольку в экономической литературе существуют различные подходы к определению сущности и структуры данных экономических форм, их соотношению с другими классификационными группами инвестиций, необходимо уточнить содержание реальных и финансовых инвестиций, определить их объекты.
Реальные инвестиции выступают как совокупность вложений в реальные экономические активы: материальные ресурсы (элементы физического капитала, прочие материальные активы) и нематериальные активы (научно-техническая, интеллектуальная продукция и т.д.). Важнейшей составляющей реальных инвестиций являются инвестиции, осуществляемые в форме капитальных вложений, которые в экономической литературе называют также реальными инвестициями в узком смысле слова, или капитало образующими инвестициями.
Финансовые инвестиции включают вложения средств в различные финансовые активы — ценные бумаги, паи и долевые участия, банковские депозиты и т.п.
Роль инвестиций в экономике
Инвестиции играют существенную роль в функционировании и развитии экономики. Изменения в количественных соотношениях инвестиций оказывают воздействие на объем общественного производства и занятости, структурные сдвиги в экономике, развитие отраслей и сфер хозяйства.
Обеспечивая накопление фондов предприятий, производственного потенциала, инвестиции непосредственно влияют на текущие и перспективные результаты хозяйственной деятельности. При этом инвестирование должно осуществляться в эффективных формах, поскольку вложение средств в морально устаревшие средства производства, технологии не будет иметь положительного экономического эффекта. Нерациональное использование инвестиций влечет за собой замораживание ресурсов и вследствие этого сокращение объемов производимой продукции. Таким образом, эффективность использования инвестиций имеет важное значение для экономики: увеличение масштабов инвестирования без достижения определенного уровня его эффективности не ведет к стабильному экономическому росту.
Инвестиции находятся в определенной зависимости от фактора экономического роста, для выяснения которой следует предварительно определить понятия валовых и чистых инвестиций.
Субъекты инвестиций
Основными субъектами инвестиционной деятельности выступают инвесторы и пользователи объектов инвестирования. Характерной особенностью инвесторов является отказ от немедленного потребления имеющихся средств в пользу удовлетворения собственных потребностей в будущем на новом, более высоком уровне.
Для ранних этапов развития производства, когда инвестирование совпадало с процессом накопления, было характерно в основном индивидуальное инвестирование. По мере становления индустриального общества инвестирование постепенно отделялось от накопления. В рыночной экономике, как правило, пользователем инвестиций, потребителем капитала выступает сектор деловых фирм, в то время как функции сберегателя, поставщика капитала закрепляются за сектором домашних хозяйств; инвестированием занимаются специальные учреждения.
В соответствии с Законом «Об инвестиционной деятельности в Российской Федерации, осуществляемой в форме капитальных вложений» участниками инвестиционной деятельности являются инвесторы, заказчики, подрядчики, пользователи объектов инвестиционной деятельности, другие лица. По российскому законодательству ими могут быть хозяйствующие субъекты, банковские и небанковские финансово-кредитные институты, посреднические организации, инвестиционные биржи, граждане Российской Федерации, иностранные юридические и физические лица, государства и международные организации.
Инвесторами могут являться вкладчики, покупатели, заказчики, кредиторы и другие участники инвестиционной деятельности.
Пользователи объектов инвестиционной деятельности — это юридические, физические лица, государственные и муниципальные органы власти, иностранные государства, международные объединения и организации, использующие объекты инвестиционной деятельности.
Субъекты инвестиционной деятельности могут выступать одновременно и как инвесторы, и как пользователи объектов инвестиционной деятельности, а также совмещать функции других участников этой деятельности. Если инвестор и пользователь объектов инвестиционной деятельности являются различными субъектами, то отношения между ними оформляются договором об инвестировании. На договорной (контрактной) основе инвесторы могут привлекать юридических и физических лиц, необходимых для размещения инвестиций. Инвесторы осуществляют самостоятельный выбор объектов инвестирования, определяют направления, объемы и эффективность инвестиций, контролируют их целевое использование. Являясь собственниками инвестиционных ресурсов, они имеют право владеть, распоряжаться и пользоваться объектами и результатами инвестиционной деятельности, осуществлять реинвестирование.
Валовые инвестиции
выступают как совокупный объем инвестиций, направленных на приобретение средств производства, новое строительство, прирост товарно-материальных запасов в течение определенного периода. Чистые инвестиции отражают объем валовых инвестиций, уменьшенный на величину амортизационных отчислений.
Динамика показателя чистых инвестиций является индикатором состояния экономики: величина чистых инвестиций (при данном уровне эффективности их использования) показывает, в какой фазе развития находится экономика страны. Если объем валовых инвестиций превышает объем амортизационных отчислений и, следовательно, чистые инвестиции представляют собой положительную величину, прирост производственного потенциала обеспечивает расширенное воспроизводство, экономика находится в стадии подъема, растущей деловой активности.
При равенстве валовых инвестиций и амортизационных отчислений, т.е. нулевом значении чистых инвестиций, в экономику в данном периоде поступает такое же количество инвестиционных средств, какое и потребляется, имеет место простое воспроизводство общественного продукта (по стоимости), характеризующееся отсутствием экономического роста.
Если величина валовых инвестиций меньше суммы амортизационных отчислений, показатель чистых инвестиций является отрицательной величиной. Сокращение инвестиций вызывает уменьшение производственного потенциала и, как следствие, экономический спад.
Изменения объема чистых инвестиций ведет к изменению доходов, происходящему в том же направлении, но в большей степени, чем исходные сдвиги в инвестиционных расходах. Данный эффект вытекает из того, что в условиях повторяющегося характера потоков расходов и доходов в экономике расходы одного субъекта выступают как доходы другого, а всякое изменение дохода при определенном соотношении между потреблением и сбережением в его рамках вызывает соответствующее изменение потребления и сбережения, так что первоначальные колебания величины инвестиций ведут к многократному, хотя и уменьшающемуся с каждым последующим циклом изменению дохода (эффект мультипликатора, описанный Дж.М. Кейнсом).
Так, рост инвестиций вызывает увеличение уровня объема производства и дохода. Последний на стадии использования распадается на потребляемую и сберегаемую части; при этом та его часть, которая направляется на потребление (например, покупку товаров), служит источником дохода для их производителей. Полученный доход, в свою очередь, распадается на потребление и сбережение и т.д. В конечном счете первоначальный рост инвестиций приводит к многократному увеличению дохода.
Следует отметить, что эффект мультипликатора действует и в обратном направлении. При незначительном сокращении инвестиционных расходов может произойти существенное снижение дохода. Поэтому для стабильного и сбалансированного функционирования экономики следует обеспечивать определенное значение коэффициента мультипликации, создавать условия для бесперебойного осуществления инвестиционного процесса.
в отечественной экономической литературе начиная
1. Термин «инвестиции» начал использоваться в отечественной экономической литературе начиная с 80-х годов. В условиях административной системы управления экономикой основным понятием инвестиционной деятельности являлись капитальные вложения. Основные подходы к анализу сущности капитальных вложений — затратный и ресурсный — характеризовали капитальные вложения лишь с одной стороны: с точки зрения затрат на воспроизводство основных фондов или ресурсов, затрачиваемых на эти цели. В западной экономической литературе инвестиции традиционно трактовались как любые вложения капитала с целью его увеличения в будущем. Развитие рыночного подхода к пониманию инвестиций обусловило рассмотрение инвестиций в единстве ресурсов, вложений и отдачи вложенных средств, а также включение в состав объектов инвестирования любых вложений, дающих доход (эффект). В правовом аспекте инвестиции определяются как денежные средства, ценные бумаги, иное имущество, в том числе имущественные права, иные права, имеющие денежную оценку, вкладываемые в объекты предпринимательской и/или иной деятельности в целях получения прибыли и/или достижения иного полезного эффекта.
2. Инвестиционная деятельность может рассматриваться в широком и узком значениях. В широком значении инвестиционная деятельность — это деятельность, связанная с вложением средств в объекты инвестирования с целью получения дохода (эффекта), в узком — процесс преобразования инвестиционных ресурсов во вложения (собственно инвестиционная деятельность, или инвестирование). Собственно инвестиционная деятельность является содержанием первой стадии «инвестиционные ресурсы — вложение средств». Вторая стадия «вложение средств — результат инвестирования» характеризует взаимосвязь затрат и достигаемого эффекта.
Воспроизводственный подход к анализу инвестиций предполагает рассмотрение инвестиций в движении, которое носит повторяющийся характер, поскольку доход, образующийся в результате вложения инвестиционных ресурсов, распадается на потребление и накопление, а накопление является основой следующего инвестиционного цикла. С позиций структурного подхода инвестиции выступают как единство субъектов, объектов и экономических отношений, связанных с движением инвестиций. Роль инвестиций в экономике проявляется в их воздействии на экономический рост, объем производства и занятости, структурные сдвиги, развитие отраслей и сфер хозяйства. Изменение объема чистых инвестиций в соответствии с эффектом мультипликатора ведет к нарастающему изменению доходов в экономике.
3. Инвестиции могут осуществляться в различных формах. Классификация форм инвестиций определяется выбором критерия, положенного в ее основу. Основным критерием классификации инвестиций выступает объект вложения средств. По объектам вложения средств выделяют реальные и финансовые инвестиции. По цели инвестирования различают прямые и портфельные инвестиции; по срокам вложений — краткосрочные, среднесрочные и долгосрочные инвестиции; по формам собственности на инвестиционные ресурсы — частные, государственные, иностранные и совместные инвестиции; по рискам — агрессивные, умеренные и консервативные инвестиции; по сфере вложений — производственные и непроизводственные инвестиции; по региональному признаку — инвестиции внутри страны и за рубежом; по отраслевому признаку — инвестиции в различные отрасли экономики. В рамках форм инвестиций можно выделить виды инвестиций, которые классифицируются по признакам, отражающим дальнейшую детализацию основных форм инвестиций.
Будущая стоимость денег (future value — fv)
Представляет собой сумму средств, в которую вложенные сегодня средства превратятся через определенный период времени. Оценка будущей стоимости денег связана с процессом наращения этой стоимости, который представляет собой постепенное увеличение первоначальной суммы путем присоединения к ней дохода, рассчитываемого с учетом нормы доходности (как правило, процентной ставки). Процентная ставка выступает, с одной стороны, как инструмент наращения стоимости денежных средств, с другой стороны, как измеритель степени доходности.
Методы определения стоимости привлеченных средств банка
Более детально следует остановиться на методах определения стоимости привлеченных средств банка, специфической составляющей банковских ресурсов.
Стоимость привлеченных средств банка определяется исходя из уровня процентных ставок по депозитным операциям и установленных нормативов резервных отчислений по привлеченным ресурсам

где kпр — стоимость привлеченных средств;
kд — уровень средней процентной ставки по депозитам;
kp — уровень ставки, необходимый для компенсации издержек, связанных с иммобилизацией части привлеченных средств в фонд обязательных резервов.
Для расчета уровня средней процентной ставки по депозитам необходимо определить структуру привлеченных средств. Для этого осуществляется группировка привлеченных средств банка по срокам и внутри этих групп (по уровню процентной ставки), а затем определение доли каждой группы в общем объеме привлеченных ресурсов. Уровень средней процентной ставки по депозитам рассчитывается по формуле

где w — доля групп депозитов в их общем объеме;
k — процентная ставка по группе депозитов;
n — число групп.
Уровень ставки, компенсирующей недополученный процентный доход в связи с резервированием части привлеченных средств в Банке России rp, определяется исходя из значений устанавливаемого размера минимальных резервных отчислений и доли привлеченных средств в совокупных инвестиционных ресурсах банка

где Np — среднее значение норматива резервных отчислений;
wпр/åsi — доля привлеченных средств в общей сумме ресурсов банка, предназначенных для инвестирования.
Размер требований по образованию обязательных резервов выступает фактором, обусловливающим увеличение стоимости привлеченных средств. Средняя стоимость банковских ресурсов, предназначенных для инвестирования, лежит в основе определения нормы дисконта банка, используемой при экономической оценке инвестиций банка методом чистого приведенного дохода. Важным аспектом определения величины стоимости ресурсов в качестве нормы дисконта является учет того, что она рассматривается банком как уровень доходности, который может быть обеспечен при альтернативных вложениях с аналогичным уровнем риска.
Модели простых и сложных процентов
При расчете наращения и дисконтирования денежных средств могут использоваться модели простых и сложных процентов.
Простой процент представляет собой сумму, которая начисляется от исходной величины стоимости вложения в конце одного периода, определяемого условиями вложения средств (месяц, квартал, год).
Расчет суммы простого процента S в процессе наращения вложений проводят по формуле

По окончании каждого периода инвестиция увеличивается на величину kt.
Поэтому будущая стоимость инвестиции FV с учетом начисленных процентов определяется по формуле.

Множитель (1 + kt) представляет собой коэффициент наращения простых процентов.
При расчете суммы простого процента в процессе дисконтирования, или суммы дисконта D, используется формула

Привлечение каждого источника ресурсов связано
Привлечение каждого источника ресурсов связано с реальными или потенциальными издержками для инвестора, что обусловливает необходимость определения стоимости привлечения ресурсов по каждому виду источников.
Согласно западной теории инвестиционного анализа определение стоимости элементов инвестиционных ресурсов должно производиться на основе их рыночной оценки, которая в условиях эффективного рынка равна текущей (дисконтированной) стоимости денежных поступлений фирмы от инвестиций.
В условиях высокого уровня развития фондового рынка и его информационной инфраструктуры рыночная стоимость отдельных элементов капитала, в частности акций и облигаций, определяется с помощью биржевых и внебиржевых котировок, публикуемых в финансовой прессе. Если акции и облигации фирмы не котируются на открытом рынке, то финансовые менеджеры, как правило, используют метод сопоставления коэффициентов «цена — доходность» для финансовых инструментов подобных фирм с известными котировками.
В российских условиях, где акции большинства предприятий не имеют рыночной оценки, база сопоставления практически отсутствует, а финансовая и статистическая информация носят ограниченный характер, данный подход может быть использован с определенными модификациями на основе проведения расчетов текущей стоимости ожидаемого потока денежных выплат по отдельным элементам инвестиционных ресурсов.
Оценка средней стоимости инвестиционных ресурсов с использованием дисконтирования
Ресурсы, направляемые на инвестирование, как правило, имеют сложную структуру и формируются посредством комбинирования различных составляющих. Инвестиционные ресурсы фирмы (компании) включают обычные акции, привилегированные акции, заемные средства, прочие финансовые инструменты (облигации и др.).
Средняя (средневзвешенная) стоимость этих ресурсов формируется под влиянием необходимости обеспечить определенный средний уровень прибыльности. Поэтому средневзвешенная стоимость инвестиционных ресурсов может быть определена как уровень требуемой доходности вложений инвестора, сопоставимый с уровнем доходности, который может быть получен по альтернативным инвестициям с аналогичным уровнем риска.
В западной литературе по инвестиционному анализу обычно используется термин «weighted average cost of capital» — средневзвешенная стоимость капитала, или просто «cost of capital» — стоимость капитала, который означает затраты на привлечение источников капитала, т.е. проценты и дивиденды, выплачиваемые кредиторам и инвесторам за использование предоставленных ими ресурсов. Анализ стоимости инвестиционных ресурсов особенно важен при оценке эффективности инвестиций методами, основанными на дисконтировании средств.
Дисконтирование денежных потоков предполагает выбор дифференцированной ставки процента (нормы дисконта) в зависимости от конкретных инвестиционных характеристик объекта и целей оценки. Вариация форм ставки процента для дисконтирования означает, что в этом качестве могут быть использованы средняя депозитная или кредитная ставка, индивидуальная норма доходности с учетом определенных факторов (уровня инфляции, степени риска и ликвидности инвестиций), норма доходности по альтернативным видам инвестиций, норма доходности по текущей деятельности и др.
Однако для большей достоверности расчетов показателей эффективности инвестиций применительно к конкретному инвестору норма дисконта должна учитывать особенности формирования различных видов инвестиционных ресурсов, влияние факторов, определяющих их стоимость, т.е. отражать реально существующие возможности по финансированию инвестиционной деятельности.
При этом важно рассмотреть не только текущую, но и будущую стоимость ресурсов, определить дополнительные затраты, связанные с привлечением новых источников финансирования. Следует также отметить, что от степени обоснованности этой величины во многом зависят результаты расчета эффективности инвестиционных объектов, а следовательно, и выбор объектов инвестирования. Включаемые в инвестиционный портфель инвестиционные проекты должны обеспечивать доходность, не меньшую чем средневзвешенная стоимость ресурсов, предназначенных для инвестирования.
С учетом различия источников финансирования инвестиционной деятельности и их структуры стоимость привлечения совокупных инвестиционных ресурсов исчисляется по формуле средневзвешенной величины

где wi — доля инвестиционных ресурсов, полученных из i-го источника;
ki — стоимость i-го ресурса.
Определение стоимости инвестиционных ресурсов
Принятие инвестиционных решений предполагает оценку приемлемости инвестиций, сопоставление предполагаемых результатов инвестирования и вложенных средств. При этом важную роль приобретает правильное определение действительной стоимости инвестируемого капитала. Решение данной проблемы означает, с одной стороны, необходимость использования такого способа мобилизации капитала, при котором стоимость капитала будет минимальной, а с другой стороны — выбора направлений использования мобилизованных средств, ориентированных на максимизацию доходности вложений.
Определение стоимости собственных средств
При определении стоимости собственных средств необходимо исходить из того, что издержки по их обслуживанию в значительной мере связаны с необходимостью выплат дивидендов акционерам. Следует учитывать, что если фирма в течение рассматриваемого периода воздерживается от выплаты дивидендов, осуществляя их капитализацию, то это не означает возможность игнорирования расходов данного вида, поскольку обязательства будущих выплат можно рассматривать как скрытые издержки.
Стоимость обслуживания собственных средств в части акционерного капитала и нераспределенной прибыли определяется ожидаемой доходностью акций фирмы как эмитента.
Стоимость капитала, получаемого с помощью привилегированных акций, можно определить по формуле

где Dp — ежегодные дивидендные выплаты на одну привилегированную акцию;
Рр — цена одной привилегированной акции.
Ожидаемая доходность обыкновенной акции определяется на основе использования метода приведения будущих доходов к настоящей стоимости. В соответствии с этим текущая рыночная стоимость акции представляет собой настоящую стоимость потоков будущих дивидендных выплат, дисконтированных по ставке, равной стоимости акционерного капитала

где Р — рыночная стоимость акции;
Dt — сумма дивидендных выплат в t-м периоде;
kk — стоимость акционерного капитала.
Если поток будущих дивидендных выплат можно определить с высокой степенью достоверности, то ставка дисконтирования, при которой настоящая стоимость будущих дивидендных выплат равна текущей стоимости акций, выступает как стоимость акционерного капитала. Однако на практике сложность использования этого метода связана с тем, что величина будущих дивидендов, как правило, неизвестна и прогнозируемая доходность акций может не совпасть с их реальной доходностью.
Для определения требуемого уровня доходности
Для определения требуемого уровня доходности используются следующие модели:
роста дивидендов,
доходности по прибыли на акцию,
цены капитальных активов.
Возможности применения этих моделей в значительной мере определяются наличием информации. Так, модель роста дивидендов может быть использована в случае, когда предполагается постоянный и равномерный характер дивидендных выплат.
При этом текущая рыночная стоимость акций определяется по формуле

где g — темп роста дивидендов.
Исходя из этого, можно рассчитать стоимость акционерного капитала

В соответствии с данной формулой стоимость акционерного капитала зависит от дивидендных выплат текущего года, сложившейся рыночной стоимости акций и темпа роста дивидендов. Определение значения первых двух факторов не представляет сложности, поскольку финансовые результаты текущего года известны. Однако темп роста дивидендов является в некоторой степени условной величиной, которая может быть установлена на основе методов прогнозирования, что неизбежно уменьшает достоверность и точность расчетов.
При неопределенности величины будущих дивидендных выплат, их неравномерном и случайном характере используются другие методы оценки доходности акций. Наиболее простым подходом к оценке требуемой доходности акционерного капитала является использование модели доходности по прибыли на акцию. Эта модель исходит из того, что чистая прибыль в расчете на одну акцию выступает как величина дохода, получаемого акционером в виде дивидендов при распределении прибыли после уплаты налогов.
в расчете на одну акцию
Чистая прибыль в расчете на одну акцию определяется по формуле

где NP — чистая прибыль на одну акцию;
Р — рыночная цена одной акции.
Недостатки модели оценки доходности по чистой прибыли на акцию связаны с использованием показателя отчетной бухгалтерской прибыли, который является в значительной мере менее объективным, чем величина будущих денежных поступлений. Показатель прибыли строится на основе данных, которые, во-первых, зависят от специфики используемых способов учета, а во-вторых, отражают результаты прошлых периодов, в то время как текущая рыночная стоимость акций определяется будущими величинами дохода на вложенный капитал.
В зависимости от проводимой учетной политики, колебаний рыночных цен акций показатели доходности по чистой прибыли на акцию могут существенно различаться, что снижает достоверность оценки. Полностью элиминировать указанные недостатки вряд ли удастся, однако определенную степень приемлемости оценки можно достичь при использовании в качестве показателя доходности ценных бумаг усредненного показателя доходности акций, рассчитанного на основе данных о размерах капитала и чистой прибыли по группе фирм с похожими характеристиками рентабельности, риска и перспектив роста.
В России, где отсутствует практика составления рейтинга фирм и публикации достаточной и достоверной информации о деятельности большинства предприятий, вычислить значение данного показателя достаточно сложно.
Степень развития фондового рынка и наличия относительно полной и точной информации о его конъюнктуре определяет возможность использования для оценки требуемой доходности на основе модели цены капитальных активов (capital asset pricing model — САРМ):

где kf — доходность по безрисковым финансовым инструментам;
km — средняя рыночная доходность акций;
β — коэффициент, характеризующий рыночный риск;
(km - kf) — премия за риск.
Модель САРМ имеет широкое распространение
Модель САРМ имеет широкое распространение в современной западной практике. В соответствии с данной моделью доходность конкретных финансовых инструментов зависит от доходности безрисковых ценных бумаг и коэффициента Р, отражающего чувствительность данного вида акций к изменениям рынка.
Исходным пунктом определения требуемой доходности является определение доходности безрисковых финансовых инструментов, в качестве которых принимаются, как правило, государственные ценные бумаги. При этом соблюдается требование сопоставимости сроков обращения государственных ценных бумаг, с одной стороны, и сроков дивидендных выплат, с другой. Значения коэффициента β определяются на основе сопоставления динамики курса данного финансового инструмента и изменения фондовых индексов.
В условиях низкой степени развития и неустойчивости российского фондового рынка, незначительности его влияния на состояние экономики, отсутствия необходимой информационной инфраструктуры возможности применения рассматриваемой модели в ее основной версии существенно ограниченны.
Вместе с тем с учетом отмеченной специфики при наличии соответствующей информации могут быть использованы модифицированные версии модели САРМ с использованием для характеристики средней доходности ценных бумаг рассмотренного выше среднего показателя доходности по прибыли на одну акцию для группы фирм и дисперсии относительно средней величины.
При использовании данного подхода следует учитывать, что результаты расчетов могут характеризоваться значительной степенью условности в связи с недостатками, присущими показателю чистой прибыли на акцию, а также допущениями основной версии модели, предполагающей зависимость показателя текущей доходности от внешних факторов, в частности доходности безрисковых финансовых инструментов и средней рентабельности капитала.
Таким образом, все рассмотренные методы анализа имеют определенные слабые стороны, поэтому на практике необходимо пользоваться более чем одним методом, чтобы повысить достоверность и точность расчетов. Целесообразно сравнить полученные различными методами результаты, проанализировать причины расхождений в значениях рассматриваемых показателей и при необходимости рассчитать эффективность инвестиций с использованием различных вариантов значения стоимости капитала.
Определение стоимости вновь привлеченных средств
При финансировании инвестиционной деятельности путем привлечения капитала за счет дополнительной эмиссии ценных бумаг возникает необходимость введения в расчеты еще одного параметра — эмиссионных расходов. Стоимость вновь привлекаемого капитала будет несколько превышать стоимость существующего капитала, поскольку, несмотря на то что величина дополнительного акционерного капитала должна быть уменьшена на величину затрат, сопровождающих его эмиссию, необходимо обеспечить прежний уровень доходности для инвесторов.
С учетом этого определить стоимость нового акционерного капитала можно по формуле

где kn — стоимость дополнительного акционерного капитала;
kk — стоимость существующего акционерного капитала;
f — норма эмиссионных расходов в расчете на одну акцию.
В случае постоянных равномерных выплат дивидендов по вновь привлеченному капиталу стоимость дополнительного акционерного капитала можно определить по формулам (10.12) и (10.15)

Отсюда

Таким образом, стоимость дополнительного акционерного капитала зависит от текущей доходности акций, нормы эмиссионных расходов и темпа роста дивидендных выплат. Вложение дополнительного капитала может осуществляться в объекты, обеспечивающие доходность не ниже данной стоимости.
Определение стоимости заемных средств
Стоимость заемных средств (облигаций, не котирующихся на рынке, или долгосрочных займов, не имеющих формы рыночных ценных бумаг) определяется на основе расчета текущей стоимости непогашенной суммы основного долга и процентных выплат. Коэффициент дисконтирования может быть найден исходя из реальной доходности аналогичных финансовых инструментов, обращающихся на рынке, или (при отсутствии последних) исходя из средних значений эффективной процентной ставки по вновь получаемым кредитам, скорректированной с учетом налоговых отчислений.
Средневзвешенная стоимость ресурсов, привлеченных для финансирования инвестиций, зависит не только от стоимости различных видов ресурсов, но и от доли каждого ресурсного источника в их совокупном объеме.
Оптимальная структура инвестиционных ресурсов
Наиболее благоприятной для инвестора (оптимальной) является такая структура инвестиционных ресурсов, при которой их средневзвешенная стоимость будет минимальна. В практической деятельности кроме определения оптимальной структуры необходимо рассчитывать стоимость привлечения дополнительной единицы каждого вида ресурса (предельную, или маржинальную, стоимость).
Если имеющиеся у фирмы ресурсы достаточны для финансирования планируемых инвестиций, то маржинальная стоимость ресурсов будет равна средневзвешенной стоимости имеющихся источников. В случае необходимости привлечения дополнительных средств при расчете средневзвешенной стоимости следует учитывать издержки на организацию такого привлечения, поскольку изменение структуры ресурсов влечет за собой изменение стоимости совокупных ресурсов. При данной структуре инвестиционных ресурсов значение предельной стоимости отражает уровень расходов по привлечению дополнительных источников финансирования инвестиций.
Понятие аннуитета
Одним из широко используемых в финансово-экономических расчетах понятий является аннуитет.
Аннуитет представляет собой такой вид денежных потоков, которые осуществляются последовательно в равных размерах через равные периоды времени. Аннуитетные платежи имеют место при оценке долевых и долговых ценных бумаг, инвестиционных проектов. Примером аннуитета могут быть ежеквартальные выплаты процентов по облигациям, депозитным и сберегательным сертификатам, арендная плата и др.
Для определения будущей и настоящей стоимости аннуитета могут быть использованы формулы (10.1) и (10.2). Вместе с тем вследствие специфики этой формы, заключающейся в равномерности поступлений, эти формулы могут быть упрощены. Формула для определения будущей стоимости аннуитета имеет вид

где Sa — будущая стоимость аннуитета на конец определенного периода;
А — сумма аннуитетного платежа;
ka — множитель наращивания аннуитета, определяемый по специальным таблицам при заданных параметрах процентной ставки и числа периодов.
Обратная формула для определения настоящей стоимости аннуитета

где Рa — настоящая стоимость аннуитета;
Rа — дисконтный множитель аннуитета, определяемый по специальным таблицам при заданных параметрах дисконтной ставки и числа периодов.
Понятие о дисконтировании денежных средств
Современные методы оценки инвестиций предполагают осуществление различных финансовых расчетов, связанных с определением стоимости денежных средств в разные периоды времени.
Оценка стоимости денежных средств во времени
Необходимость оценки денежных средств во времени связана с тем, что стоимость денежных ресурсов с течением времени изменяется. При этом имеется в виду не обесценение денежных средств в результате инфляции, а иной, более фундаментальный аспект, связанный с обращением капитала (денежных средств).
Сегодняшний рубль, помещенный в любые коммерческие операции (вложение в ценные бумаги, инвестиционный проект, банковский депозит и т.д.), через определенный период времени может превратиться в большую сумму за счет полученного с его помощью дохода.
Так, если положить на депозитный вклад 1000 руб. под 10% годовых, через год сумма вклада составит
1000 + 1000 ∙ 0,10 = 1100 руб.
Если депозитный вклад не изымать из банка, а оставить его на второй год, то окончательная сумма после двухлетнего периода составит
1000 (1 + 0,10) (1 + 0,10) = 1000 (1 + 0,10)2 = 1210.
Инвестирование представляет собой, как правило, длительный процесс, поэтому при осуществлении инвестиционной деятельности приходится сравнивать стоимость средств в начале их инвестирования (настоящую стоимость) с их стоимостью при возврате в виде будущей прибыли, амортизационных отчислений, других денежных потоков (будущей стоимостью).
Сложным процентом
называется сумма, которая образуется в результате вложения средств при условии, что сумма начисленного простого процента не выплачивается после каждого периода, а присоединяется к сумме основного вклада и в последующем доход исчисляется с общей суммы, включающей также начисленные и невыплаченные проценты.
Начисление сложных процентов с целью нахождения величины будущей стоимости в инвестиционном анализе называют компаундингом.
Расчет суммы вложения в процессе его наращения по сложным процентам производится по формуле (10.1), а в процессе дисконтирования — по формуле (10.2). Сумма сложного процента определяется как разность между окончательной и первоначальной суммами вклада.
В финансово-экономических расчетах коэффициент
(1 + k)t
называют коэффициентом, или множителем наращения, а также ставкой процента, нормой доходности, нормой прибыли, а коэффициент
1/(1 + k)t
коэффициентом дисконтирования, дисконтной ставкой, дисконтом, учетной ставкой. Очевидно, что оба коэффициента связаны между собой, поэтому, зная один показатель, можно определить другой.
Для простоты вычислений разработаны специальные таблицы, с помощью которых при заданных параметрах указанных коэффициентов и периодов инвестирования можно определить текущую и будущую стоимость денежных средств.
Стоимость привлечения банковских ресурсов как основа определения дисконтной ставки банка
Под средней (средневзвешенной) стоимостью привлечения банковских ресурсов, предназначенных для инвестирования, понимается усредненная норма затрат банка по аккумулированию соответствующих средств, выраженная в виде годовой процентной ставки.
Для финансирования инвестиций банк может использовать средства из следующих источников: акционерный капитал, привлеченные средства, заемные средства.
Средневзвешенная стоимость привлечения совокупных ресурсов kп исчисляется по формуле

где kп, kз, kпр — стоимость привлечения, соответственно, акционерного капитала, заемных и привлеченных средств;
wк, wз, wпр — доля соответственно акционерного капитала, заемных и привлеченных средств в объеме совокупных ресурсов банка.
Расчет стоимости привлечения акционерного капитала и заемных средств банка в целом аналогичен рассмотренному выше, вместе с тем целесообразно обратить внимание на некоторые особенности.
В частности, при оценке требуемой доходности акционерного капитала банка на основе моделей доходности по прибыли на акцию или модели САРМ могут быть достигнуты более приемлемые результаты, чем по нефинансовым предприятиям, поскольку имеется более широкая база для расчета усредненного показателя доходности акций. Этот показатель может быть исчислен по группе банков с похожими характеристиками рентабельности, риска и перспектив роста исходя из данных рейтинговых таблиц, составляемых по различным методикам.
В случае использования заемных средств целесообразно рассматривать в отдельности каждый займ или ссуду, поскольку количество этих источников невелико и процентная ставка определяется условиями конкретного договора для каждого отдельного случая. Средняя процентная ставка рассчитывается на основе величин процентных ставок по источникам заемных средств и доли каждого источника в их общей сумме.
Стоимость привлечения инвестиционных ресурсов фирмы
Все методы оценки инвестиций в той или иной мере базируются на сопоставлении будущих доходов от предполагаемых инвестиций и затрат на их осуществление. При этом решение проблемы максимизации дохода предполагает, с одной стороны, обеспечение минимальной стоимости ресурсов, используемых для финансирования инвестиций, а с другой — выбор наиболее эффективных вариантов их размещения. В этом плане особое значение приобретает правильность определения реальной стоимости инвестируемых средств.
Стоимость привлечения и размещения инвестиционных ресурсов банка
Основные аспекты рассмотренной выше методики (метод дисконтирования для расчета текущей рыночной стоимости, определение стоимости собственных средств, расчет оптимальной структуры и предельной стоимости инвестиционных ресурсов) могут быть использованы для выявления стоимости инвестиционных ресурсов различных типов инвесторов. Вместе с тем существует некоторая специфика определения стоимости инвестиционных ресурсов для финансовых институтов, в частности для банков, в связи с особенностями их функционирования как финансовых посредников.
Стоимость размещения банковских ресурсов
Стоимость привлечения банковских ресурсов является основной составляющей стоимости их размещения. Для получения банком дохода от инвестиционной деятельности необходимо, чтобы стоимость предложения (размещения) инвестиционных ресурсов превышала стоимость их привлечения.
Требуемая норма доходности банка должна отражать не только затраты, связанные с инвестиционной деятельностью, но и обеспечение определенного уровня доходности, что обусловливает необходимость расчета показателя стоимости предложения (размещения) банковских ресурсов, представляющего собой среднюю норму затрат по аккумулированию и размещению инвестиционных ресурсов.
Проблема определения величины стоимости размещения инвестиционных ресурсов имеет двойственный характер. При ее решении необходимо учитывать и интересы банка как инвестора, и интересы предприятий, получающих инвестиции. Величина стоимости размещения ресурсов должна обеспечивать кредитным организациям получение дохода, компенсирующего издержки по осуществлению инвестиций и инвестиционный риск, и одновременно способствовать эффективному развитию предприятий-реципиентов. При этом важно, чтобы установленная величина стимулировала снижение банковских издержек, связанных с осуществлением инвестиционной деятельности. Одним из путей решения рассматриваемой проблемы является расчет экономически обоснованной величины стоимости размещения инвестиционных ресурсов.
Величина стоимости размещения ресурсов может быть рассчитана по формуле

где kp — стоимость размещения ресурсов;
kп — стоимость привлечения ресурсов;
kt — уровень процентной ставки, необходимый для покрытия издержек банка по обязательным налоговым отчислениям и платежам;
km — уровень процентной ставки, обеспечивающей компенсацию операционных и управленческих издержек, связанных с осуществлением инвестиций;
ku — уровень процентной ставки, необходимой для компенсации риска невозврата инвестиционных кредитов и обесценения инвестиционных бумаг.
Механизм снижения величины стоимости размещения ресурсов рекомендуется реализовать преимущественно на основе использования внутренних резервов банка, прежде всего за счет сокращения управленческих, операционных расходов, размеров фонда оплаты труда, т.е. тех затрат, уровень которых характеризует степень совершенства банковского менеджмента и управленческой стратегии.
Управленческие расходы банков, в том числе и фонд оплаты труда, должны включаться в стоимость предложения ресурсов лишь в пределах сумм, определяемых с помощью ограничивающих ориентиров. Значения данных ориентиров устанавливаются в соответствии с требованиями к оптимальной структуре расходов банка. Анализ средних значений доли управленческих расходов в доходах наиболее рентабельных банков показывает, что итоговые ориентиры по всем видам управленческих расходов, подлежащих компенсации за счет стоимости размещения ресурсов банка, составляют не более 5% величины финансовых результатов банка с учетом прибылей и убытков прошлых лет и не более 10% суммы доходов банка. Величина стоимости размещения ресурсов, направляемых на инвестирование, должна рассчитываться также с учетом изменений экономической конъюнктуры, темпов инфляции, величины ставки рефинансирования, нормативов обязательных резервов.
Рассмотренный подход позволяет более обоснованно подходить к формированию инвестиционной и кредитной политики банков, регулировать параметры величин стоимости привлечения и предложения ресурсов так, чтобы, с одной стороны, не выйти за пределы минимально допустимой границы доходности, а с другой стороны, предотвратить необоснованное завышение стоимости предоставляемых средств и выявить внутренние резервы снижения процентных ставок.
Следует также отметить, что снижение стоимости предложения банковских ресурсов, означая уменьшение стоимости заемных средств для нефинансовых предприятий, будет способствовать оптимизации структуры инвестиционных ресурсов компаний и фирм и повышению эффективности их инвестиционной деятельности.
Текущая стоимость денежных cpeдcтв (present value — pv)
В инвестиционных расчетах рассматривается как первоначальное значение той суммы, которая инвестируется ради получения дохода в будущем и определяется как сумма будущих денежных поступлений, приведенных с учетом определенной ставки процента (дисконтной ставки) к настоящему времени.
В отечественной экономической литературе при обозначении текущей стоимости используются также термины: «настоящая стоимость», «современная стоимость», «приведенная стоимость», «дисконтированная стоимость».
Расчет будущей стоимости денежных средств в настоящем периоде производится путем дисконтирования. Дисконтирование — это способ приведения будущей стоимости денег к их стоимости сегодня. Оно представляет собой процесс, обратный наращению денежных средств, т.е. определение того, сколько надо инвестировать сегодня, чтобы получить обусловленную сумму в будущем.
При расчете величины будущей стоимости используется формула .

Расчет текущей стоимости осуществляется по формуле

где k — норма доходности вложенных средств, выражаемая десятичной дробью;
t — число периодов времени, в течение которых вложенные средства будут находиться в обороте.
Инвестиционная деятельность представляет собой, как
1. Инвестиционная деятельность представляет собой, как правило, длительный процесс, поэтому при оценке ее эффективности возникает задача сопоставимости затрат и результатов, которая решается путем приведения стоимости денежных средств к настоящему времени. Необходимость оценки денежных средств во времени обусловлена тем, что стоимость денежных ресурсов в процессе их обращения как капитала с течением времени изменяется. Оценка будущей стоимости денег связана с процессом наращения первоначальной (текущей) стоимости с учетом нормы доходности. Расчет стоимости денежных средств в настоящем периоде производится путем дисконтирования, приведения будущей стоимости денег к их стоимости сегодня.
2. При расчете наращения и дисконтирования денежных средств могут использоваться модели простых и сложных процентов. При последовательном осуществлении денежных потоков в равных размерах и через равные периоды времени в инвестиционных расчетах используется формула аннуитета.
3. Ресурсы, предназначенные для инвестирования, могут формироваться посредством комбинирования различных составляющих. С учетом этого стоимость привлечения совокупных инвестиционных ресурсов определяется как средневзвешенная величина, зависящая от двух факторов: стоимости каждого из источников капитала и его доли в общей сумме инвестиционных ресурсов. Под средневзвешенной стоимостью инвестиционных ресурсов понимают уровень требуемой доходности вложений инвестора, сопоставимый с уровнем доходности, который может быть получен по альтернативным инвестициям с аналогичным уровнем риска. Определение стоимости элементов инвестиционных ресурсов производится на основе их рыночной оценки, равной текущей (дисконтированной) стоимости денежных поступлений фирмы от инвестиций.
4. Определение стоимости инвестиционных ресурсов для банков в связи с особенностями их функционирования как финансовых посредников характеризуется некоторыми особенностями. Средневзвешенная стоимость привлечения банковских ресурсов, предназначенных для инвестирования, выступает как усредненная норма затрат банка по аккумулированию соответствующих средств, выраженная в виде годовой процентной ставки.
5. Стоимость привлечения банковских ресурсов лежит в основе определения стоимости их размещения. Для получения банком дохода от инвестиционной деятельности необходимо, чтобы стоимость предложения (размещения) инвестиционных ресурсов превышала стоимость их привлечения. Поэтому требуемая норма доходности банка должна отражать не только затраты, связанные с инвестиционной деятельностью, но и обеспечение определенного уровня доходности. При решении проблемы определения величины стоимости размещения инвестиционных ресурсов необходимо учитывать и интересы банка как инвестора, и интересы предприятий, получающих инвестиции. Одним из путей ее решения является расчет экономически обоснованной величины стоимости размещения инвестиционных ресурсов.
Идентификация рисков
Идентификация рисков предполагает выявление состава и содержания возможных рисков. Общей основой идентификации рисков применительно к конкретному инвестиционному объекту, дающей представление о структуре риска, выступает классификация рисков. В соответствии с ней выявляются состав и содержание рисков по отдельным инвестиционным вложениям, затем по группам вложений и, наконец, по совокупности инвестиционных вложений в целом.
Однако поскольку на практике инвестиционная
Однако поскольку на практике инвестиционная деятельность связана с множественными рисками и использованием различных ресурсных источников, количество оптимальных соотношений возрастает. В связи с этим для достижения равновесия между риском и доходом необходимо использовать пошаговый метод решения путем последовательных приближений. Осуществление инвестиционной деятельности предполагает не только принятие известного риска, но и обеспечение определенного дохода. Если предположить, что минимальному риску соответствует минимальный необходимый доход, то можно выделить несколько секторов, характеризующихся определенной комбинацией дохода и риска: А, В, С.
Сектор А, вложения в котором не обеспечивают минимального необходимого дохода, может рассматриваться как область недостаточной доходности. Функционирование в секторе С связано с высокими рисками, снижающими возможность получения ожидаемых высоких доходов, поэтому сектор С может быть определен как область повышенного риска. Осуществление вложений в секторе В обеспечивает инвестору достижение дохода при допустимом риске, следовательно, сектор В является областью оптимальных значений соотношения доходности и риска.
Инвестиционная деятельность связана с различными видами рисков.
Инвестиционные риски: сущность и классификация
Инвестиционный риск представляет собой вероятность возникновения финансовых потерь в виде снижения капитала или утраты дохода, прибыли вследствие неопределенности условий инвестиционной деятельности.
Соотношение риска и доходности
Доходность и риск, как известно, являются взаимосвязанными категориями. Наиболее общими закономерностями, отражающими взаимную связь между принимаемым риском и ожидаемой доходностью деятельности инвестора, являются следующие:
более рискованным вложениям, как правило, присуща более высокая доходность;
при росте дохода уменьшается вероятность его получения, в то время как определенный минимально гарантированный доход может быть получен практически без риска.
Оптимальность соотношения дохода и риска означает достижение максимума для комбинации «доходность — риск» или минимума для комбинации «риск — доходность».
При этом должны одновременно выполняться два условия:
1) ни одно другое соотношение доходности и риска не может обеспечить большей доходности при данном или меньшем уровне риска;
2) ни одно другое соотношение доходности и риска не может обеспечить меньшего риска при данном или большем уровне доходности.
На рис. 11.1 показано, что при допущении принятия одного риска и одного источника дохода имеется лишь одно такое сочетание — точка Е.

Источники информации, необходимой для оценки рисков
Оценка уровней риска предполагает определение источников и массивов информации, включающей статистические и оперативные данные, экспертные оценки и прогнозы, рейтинги и т.д. Принятие решений при наличии более полной и точной информации является более взвешенным, а следовательно, менее рискованным.
Информация, которая необходима для целей управления рисками, может быть разделена на следующие блоки:
информация об участниках инвестиционной деятельности;
информация о текущей конъюнктуре рынка и тенденциях ее изменения;
информация о предполагаемых событиях, способных оказать значимое влияние на рынок;
информация об изменениях в нормативной базе, воздействующих на инвестиционную деятельность;
информация об условиях инвестиционных вложений.
Основными источниками информации являются: статистическая отчетность, публикуемая государственными органами; финансовая, биржевая и специализированная пресса («Euromoney», «Institutional Investor», «Project Finance», «Вестник ФКЦБ», «Деловой экспресс», «Коммерсанть», «Рынок ценных бумаг», «Финансовая газета», «Финансовые известия», «Финансовая Россия», «Экономика и жизнь», «Эксперт» и др.), подсистемы финансового рынка международных и национальных информационных систем («Blumberg», «Reuter», «Телекурс», «Финмаркет»), специализированные базы данных (DIALOG, NEWSNET и др.), базы данных нормативных актов («Гарант», «Консультант+»), системы данных рейтинговых агентств, информационные системы бирж и организованных внебиржевых систем, оценочные и прогностические материалы аналитических отделов банков, экспертные оценки.
Статистическую обработку информации целесообразно осуществлять на основе методов несплошного статистического наблюдения, таких, как репрезентативная выборка на случайной основе, направленный отбор информации на классификационной основе, анкетные опросы.
Методы сплошного статистического наблюдения являются более трудоемкими и применяются реже, хотя при достоверной статистической базе их использование позволяет прийти к более точным выводам. Следует отметить, что качество отбора и обработки первичных массивов информации во многом определяет результаты анализа, что обусловливает высокую значимость этого блока регулирования риска.
Классификация рисков инвестиционной деятельности
В общем виде классификация наиболее значимых и специфичных для инвестирования рисков представлена на рис. 11.2.

Конъюнктурный риск
Риск, связанный с неблагоприятными изменениями общей экономической ситуации или положением на отдельных рынках. Конъюнктурный риск может возникать, в частности, вследствие смены стадий экономического цикла развития страны или конъюнктурных циклов развития инвестиционного рынка.
Инфляционный риск возникает вследствие того, что при высокой инфляции денежные суммы, вложенные в объекты инвестирования, могут не покрываться доходами от инвестиций. Инфляционный риск, как правило, почти полностью ложится на инвесторов (кредиторов), которые должны правильно оценить перспективы развития инфляционных процессов, поэтому при исследовании инвестиционных качеств предполагаемых объектов принято закладывать прогнозные темпы инфляции.
Важное воздействие на показатели эффективности инвестиций оказывают различие уровней инфляции по видам ресурсов и продукции (неоднородность инфляции) и превышение уровня инфляции над ростом курса иностранной валюты. Переход к расчетам в твердой валюте (или в натуральных показателях при инвестиционном проектировании) не отменяет необходимости учета инфляционного риска, поскольку наличие инфляции влияет на показатели проекта не только в стоимостном, но и в натуральном выражении: воздействие инфляции изменяет как финансовые результаты осуществления проекта, так и его параметры (планируемые объемы необходимых ресурсов, производства, продаж и т.д.). Следует отметить, что учет инфляционных рисков во многом осложняется неполнотой и неточностью имеющейся информации.
Риск ухудшения условий для данной сферы деятельности включает риски, связанные с возможностью усиления конкуренции, изменения требований потребителей, банковскими кризисами и др.
К прочим рискам можно отнести риски, возникающие в связи с экономическими преступлениями, недобросовестностью хозяйственных партнеров, возможностями неисполнения, неполного или некачественного исполнения партнерами взятых на себя обязательств и пр.
Общие риски могут представлять серьезную угрозу для инвесторов, их следует учитывать по всем формам и объектам инвестирования. В отличие от общих рисков специфические риски сугубо индивидуальны для каждого инвестора. Они агрегируют все виды рисков, связанных с инвестиционной деятельностью конкретного субъекта или с вложениями в конкретные объекты инвестирования.
Мониторинг рисков
Следующий этап регулирования рисков предполагает проведение мониторинга рисков с целью осуществления необходимой корректировки принятых решений. Важным принципом проведения мониторинга является сопоставимость результатов, для обеспечения которой необходимо применять единую методику и использовать ее через равные интервалы времени.
Эффективность мониторинга во многом зависит от качества построения системы показателей риска, степени ее репрезентативности, а также чувствительности к неблагоприятным изменениям, имеющим отношение к рассматриваемому инвестиционному объекту.
Общие риски
Включают риски, одинаковые для всех участников инвестиционной деятельности и форм инвестирования. Они определяются факторами, на которые инвестор при выборе объектов инвестирования не может повлиять. Риски подобного рода в теории инвестиционного анализа называют систематическими. К основным видам общих рисков можно отнести внешнеэкономические риски, возникающие в связи с изменением ситуации во внешнеэкономической деятельности, и внутриэкономические риски, связанные с изменением внутренней экономической среды. В свою очередь, данные виды рисков выступают как синтез более частных разновидностей рисков.
Определение критериев и способов анализа рисков
Следующим блоком процесса регулирования рисков является определение критериев и способов анализа рисков. Для этого применительно к каждому объекту инвестирования целесообразно разработать комплекс показателей по идентифицированным ранее статьям номенклатуры рисков и определить критические и оптимальные значения по отдельным показателям и их комплексу.
Поскольку инвестиционный риск характеризует вероятность недополучения прогнозного дохода, то его уровень оценивается как отклонение ожидаемых доходов по инвестициям от средней или расчетной величины. При расчете вероятности получения ожидаемого дохода могут быть использованы как статистические данные, так и экспертные оценки. Однако при недостаточно представительной статистике наилучшим методом представляется обработка экспертами статистической информации и осуществление на этой основе экспертных оценок.
Традиционно статистическая оценка инвестиционных рисков осуществляется двумя методами:
1) методом вероятностного распределения;
2) методом оценки по коэффициенту β.
Измерение инвестиционных рисков на базе вероятностного распределения исходит из рассмотрения ожидаемого дохода по инвестиционным вложениям как случайной переменной величины и наличия вероятностного распределения его возможных значений.
В соответствии с этим уровень риска оценивается следующими величинами:

При этом наиболее вероятное значение
При этом наиболее вероятное значение доходности Авер находится в диапазоне

При одинаковых значениях уровня ожидаемого дохода более надежными являются вложения, которые характеризуются меньшим значением среднеквадратического отклонения, показывающего колеблемость вероятности получения ожидаемого дохода (вариацию доходности).
При различии значений средних уровней доходности по сравниваемым инвестиционным объектам выбор направления вложений исходя из значений вариации невозможен, поэтому в данных случаях инвестиционное решение принимается на основе коэффициента вариации, оценивающего размер риска на величину доходности. Предпочтение отдается тем инвестиционным проектам, по которым значение коэффициента вариации является более низким, что свидетельствует о лучшем соотношении дохода и риска.
Метод оценки по коэффициенту β используется при определении риска данного инвестиционного объекта (в основном фондовых инструментов) по отношению к уровню систематического (рыночного) риска.
Коэффициент определяется по формуле

где Кр — корреляция между доходностью данного фондового инструмента и средним уровнем доходности фондовых инструментов в целом;
σi — среднеквадратическое отклонение доходности по данному фондовому инструменту;
σr — среднеквадратическое отклонение доходности по рынку ценных бумаг в целом.
При β = 1 данный фондовый инструмент характеризуется средним уровнем риска,
при β > 1 — высоким уровнем риска и
при β < 1 — низким уровнем риска.
происходит возрастание уровня систематического риска
Следовательно, с увеличением β происходит возрастание уровня систематического риска инвестиционных вложений.
Использование статистических методов для оценки рисков инвестиционной деятельности в российской экономике носит ограниченный характер, что связано с отсутствием или непредставительностью статистических данных по многим объектам инвестирования. С определенной степенью осторожности статистические методы могут применяться для анализа рисков по ряду фондовых инструментов, в частности по наиболее торгуемым корпоративным ценным бумагам. Однако оценка рисков инвестиционного кредитования и проектного финансирования на основе статистических методов, как правило, не является достоверной.
При отсутствии необходимых информационно-статистических данных для расчета величины рисков на основе статистических методов оценка рисков проводится экспертным путем. Для этого применительно к каждому объекту инвестирования целесообразно разработать комплекс показателей по идентифицированным ранее статьям номенклатуры рисков и определить предельные и оптимальные значения по отдельным показателям и их комплексу.
После определения простых рисков решается вопрос о выборе метода сведения разнообразных показателей к единой интегральной оценке. В качестве такого метода можно использовать один из традиционных методов получения рейтинговых показателей: индексный метод, метод расстояний, относительных величин, взвешенных балльных оценок.
Для оценки роли отдельных рисков в общем риске используется взвешивание; при этом для каждого объекта инвестирования могут быть применены различные подходы при соблюдении таких общих требований, как неотрицательность весовых коэффициентов и приравнивание их суммы к единице.
Наибольшего внимания заслуживает подход, предполагающий ранжирование отдельных рисков по степени приоритетности и определение весовых коэффициентов k в соответствии со значимостью этих рисков. Так, максимальное значение весового коэффициента k1 присваивается рискам, имеющим в сложившейся ситуации первостепенное значение, минимальное kn — рискам последнего ранга; риски с равной значимостью получают одинаковые весовые коэффициенты. Определяется также значение соотношения между весовыми коэффициентами первого и последнего рангов (q = k1/kn). В качестве способа взвешивания используется расчет средней арифметической или средней геометрической.
Расстояние между соседними рангами можно исчислить по формуле

Весовой коэффициент отдельного риска с рангом m составляет

Отсюда

Если простые риски не ранжируются по степени приоритетности, то они, соответственно, имеют равные весовые коэффициенты (1/n).
С целью контроля за достоверностью результатов оценки рисков при использовании весовых коэффициентов в соответствии со степенью приоритетности можно исчислить общий риск объекта инвестирования, применяя весовые коэффициенты, найденные посредством случайного распределения. В качестве значений весовых коэффициентов можно использовать, в частности, среднюю величину (1/n) и величину среднеквадратического отклонения, рассчитанного исходя из возможного значения коэффициента вариации (Вр/п).
Процесс регулирования инвестиционных рисков
Инвестиционная деятельность всегда связана с рисками. Ее успешное осуществление во многом зависит от того, насколько удастся выполнить задачу нахождения оптимального соотношения доходности и риска, квалифицированно управлять рисками.
Последовательность действий по регулированию риска включает:
идентификацию рисков, возникающих в связи с инвестиционной деятельностью;
выявление источников и объемов информации, необходимых для оценки уровня инвестиционных рисков;
определение критериев и способов анализа рисков;
разработку мероприятий по снижению рисков и выбор форм их страхования;
мониторинг рисков с целью осуществления необходимой корректировки их значений;
ретроспективный анализ регулирования рисков.
Разработка мероприятий по снижению рисков
Следующая стадия процесса регулирования рисков связана с разработкой мероприятий по их страхованию. В качестве объектов страхования могут рассматриваться как весь комплекс рисков, присущих данному виду инвестирования, так и наиболее значимые риски (в частности, те, на долю которых приходится свыше 5% от значения совокупных рисков). В последнем случае существенные риски выделяются в отдельный блок с тем, чтобы выработать конкретные мероприятия по их снижению.
Общими способами страхования риска является диверсификация рисков, создание специальных резервов, используемых при реализации рисков, полная или частичная передача рисков специализированным кредитно-финансовым институтам — страховым компаниям, система заключения срочных контрактов и сделок на рынке ценных бумаг, предоставление гарантий, включение защитных оговорок в заключаемые договоры.
В зарубежной практике оговорки широко применяются: при предоставлении консорциальных кредитов в договорах по типу кросс-дефолт, устанавливающих право кредитора на досрочное взыскание задолженности по кредиту, если заемщик не выполняет своих платежных обязательств по отношению к другим кредиторам; при заключении контрактов с партнерами по реализации инвестиционного проекта с целью уменьшения непредвиденных затрат в связи с инфляцией типа «поставляй или плати».
Диверсификация инвестиционных рисков предполагает совершенствование управления инвестиционными активами и источниками финансирования, их оптимизацию по объемам, срокам и структуре. Важное значение имеет соблюдение принципа диверсификации при осуществлении инвестиционно- кредитной деятельности банков. Следует отметить, что экономические нормативы, введенные в действие Центральным банком РФ, ориентируют банки в основном на снижение кредитных рисков. Диверсификация кредитных вложений осуществляется путем установления показателя предельной суммы ссуд, максимального размера риска на одного заемщика, количества крупных кредитов и их среднего размера. Повышение степени диверсификации характеризуется увеличением количества крупных кредитов в общей сумме кредитных вложений и уменьшением размера крупных кредитов.
Вместе с тем используемая методика не учитывает другие виды банковских рисков, в частности процентный риск, и необходимость диверсификации инвестиционных активов по срокам. Для измерения степени риска инвестиций банка с точки зрения их соответствия источникам финансирования по объемам и срокам с учетом процентного риска можно использовать следующий показатель:

где σ — показатель уровня риска;
Iat — инвестиционные вложения, взвешенные по срокам;
Ipt, — источники финансирования инвестиционных вложений, взвешенные по срокам.
Кроме того, рассматриваемый показатель, являясь результатом сопоставления инвестиционных активов и источников их финансирования, взвешенных по срокам, свидетельствует об излишке или недостатке средств для обеспечения инвестиционной деятельности и дает возможность предусмотреть вероятность возникновения у банка финансовых затруднений. Полученные результаты, скорректированные с учетом риска потерь, показывают максимальную величину резервов, которые необходимо сформировать на случай реализации рисков.
Следует отметить, что формирование специальных резервов как способ страхования рисков может осуществляться и в обязательном порядке (в соответствии с нормативными актами), и добровольно. Основными видами резервов, которые могут создаваться на случай реализации рисков, являются: резерв под общие риски, под кредитный риск, обесценение ценных бумаг, по рискованным операциям и финансированию.
Ретроспективный анализ
Завершающей стадией процесса регулирования рисков выступает ретроспективный анализ результатов их регулирования. Проведение такого анализа вполне обоснованно, так как дает возможность сравнить планируемые и достигнутые результаты регулирования рисков, учесть полученный опыт для оптимизации процесса регулирования рисков в будущем.
Использование рассмотренных методов анализа и регулирования инвестиционных рисков требует накопления больших массивов информации, средств ее обработки, обширного багажа теоретических и практических знаний, высокой квалификации специалистов-аналитиков, их способности к конструктивному мышлению и прогностическим оценкам. Все это делает процесс регулирования рисков весьма сложным, трудоемким и дорогостоящим. Однако, как показывает опыт, недостаточное внимание к процессам регулирования рисков ставит под вопрос не только возможность максимизации прибыли, но и финансовую устойчивость субъектов инвестиционной деятельности.
Риски проектного финансирования
При проектном финансировании следует учитывать следующие внутренние виды рисков: непроработанность проектной документации; производственно-технологический риск; риск изменения приоритетов в развитии предприятия; неопределенность целей, интересов и поведения предприятий — участников проекта; риск несоответствия существующих направлений сбыта и требований к сбыту продукции в соответствии с проектом; неполнота или неточность информации о финансовом положении и деловой репутации участников проекта; риск своевременной реализации проекта и выхода на расчетную эффективность и др.
Риски инвестиционного проекта по времени возникновения условно можно разделить на три стадии:
риски, возникающие на подготовительной стадии,
риски, связанные со строительством объекта,
риски в связи с функционированием объекта.
Более высокими уровнями рисков характеризуются вторая и третья стадии реализации проекта. На стадии строительства объекта наиболее вероятными считаются риски, связанные с задержкой ввода предприятия в эксплуатацию, превышением сметной стоимости проекта, изменением себестоимости продукции в результате повышения цен на сырье и материалы, ухудшением платежеспособности заказчика. Для третьей стадии наиболее характерны внутренние (хозяйственные) риски, связанные с низким качеством управления предприятием, неустойчивостью спроса на продукцию, появлением альтернативной конкурентоспособной продукции, неплатежеспособностью потребителей и др.
При осуществлении вложений в ценные бумаги наряду с рассмотрением общих и специфических рисков в ходе фундаментального анализа важное значение приобретает рассмотрение технических рисков, связанных с фондовым рынком, в частности риск несвоевременной поставки ценных бумаг, риск урегулирования расчетов.
Социально-политический риск
объединяет совокупность рисков, возникающих в связи с изменениями политической системы, расстановки политических сил в обществе, политической нестабильностью. Политические и страновые риски инвесторы принимают на себя в случае небольших или краткосрочных вложений с соответствующим увеличением процентной ставки. При инвестиционном кредитовании или проектном финансировании снижение риска может обеспечиваться за счет предоставления гарантий государства.
Экологический риск выступает как возможность потерь, связанных с природными катастрофами, ухудшением экологической ситуации.
Риски, связанные с мерами государственного регулирования, включают риски изменения административных ограничений инвестиционной деятельности, экономических нормативов, налогообложения, валютного регулирования, процентной политики, регулирования рынка ценных бумаг, законодательных изменений.
Специфические риски
Могут быть связаны с непрофессиональной инвестиционной политикой, нерациональной структурой инвестируемых средств, другими аналогичными факторами, негативные последствия которых можно в существенной степени избежать при повышении эффективности управления инвестиционной деятельностью. Эти риски являются диверсифицированными, понижаемыми и зависят от способности инвестора к выбору объектов инвестированиям приемлемым риском, а также к реальному учету и регулированию рисков.
Совокупность рассматриваемых рисков по экономическому содержанию аналогична понятию несистематического риска. (Несистематический риск называют также индивидуальным, остаточным, особым или диверсифицируемым риском.) Выделение в совокупности рисков, возникающих при инвестиционной деятельности банков, систематических и несистематических рисков позволяет использовать в дальнейшем анализе методологический аппарат теории формирования эффективного инвестиционного портфеля.
При рассмотрении специфических рисков представляется целесообразным выделить в их составе риски, присущие инвестиционному портфелю, и внутренние риски, свойственные различным видам инвестирования.
Риск инвестиционного портфеля возникает в связи с ухудшением качества инвестиционных объектов в его составе и нарушением принципов формирования инвестиционного портфеля. В свою очередь, он является агрегированным и включает в себя более частные виды рисков. К наиболее значимым из них можно отнести следующие виды рисков.
Капитальный риск — интегральный риск инвестиционного портфеля, связанный с общим ухудшением его качества, который показывает возможность потерь при вложении в инвестиции по сравнению с другими видами активов.
Селективный риск связан с неверной оценкой инвестиционных качеств определенного объекта инвестирования при подборе инвестиционного портфеля.
Риск несбалансированности возникает в связи с нарушением соответствия между инвестиционными вложениями и источниками их финансирования по объему и структурным показателям доходности, риска и ликвидности.
Риск излишней концентрации (недостаточной диверсификации) можно определить как опасность потерь, связанных c узким спектром инвестиционных объектов, низкой степенью диверсификации инвестиционных активов и источников их финансирования, что приводит к необоснованной зависимости инвестора от одной отрасли или сектора экономики, региона или страны, от одного направления инвестиционной деятельности. При этом данный риск выступает как конгломерат различных рисков (странового, отраслевого, регионального, кредитного и т.д.) в сочетании со специфическими признаками, указанными в определении.
Рассмотренные риски являются специфическими рисками
Рассмотренные риски являются специфическими рисками портфельного инвестирования, возникающими в связи с функционированием инвестиционного портфеля как целостной совокупности, что предполагает необходимость их учета при формировании и управлении инвестиционным портфелем. Кроме данных видов рисков можно выделить риски, присущие в той или иной степени различным видам инвестиционных объектов в составе инвестиционного портфеля, которые следует учитывать как при оценке отдельных инвестиционных вложений, так и инвестиционного портфеля в целом. Основные виды этих рисков следующие.
Страновой риск — возможность потерь, вызванных размещением средств и ведением инвестиционной деятельности в стране с неустойчивым социальным и экономическим положением. Он включает в себя соответствующие экономические, политические, географические, экологические и прочие риски, которые в отличие от рассмотренных выше аналогичных видов общих рисков могут быть снижены при выборе инвестором иных объектов вложений.
Отраслевой риск — риск, связанный с изменением ситуации в определенной отрасли. В основе отраслевого риска лежит цикличность развития отраслей, переориентация экономики, истощение ресурсов конкретного вида, изменение спроса на рынках и другие факторы.
Региональный риск — это риск потерь в связи с неустойчивым состоянием экономики региона, который особенно присущ монопродуктовым регионам.
Временной риск — возможность потерь вследствие неправильного определения времени осуществления вложений в инвестиционные объекты и времени их реализации, сезонных и циклических колебаний.
Риск ликвидности — риск потерь при реализации инвестиционного объекта вследствие изменения оценки его инвестиционного качества.
Кредитный риск — риск потери средств или потери инвестиционным объектом первоначального качества и стоимости из-за несоблюдения обязательств со стороны эмитента, заемщика или его поручителя. Данный вид риска в наибольшей степени присущ банковской деятельности, он связан с возможным ростом расходов при предоставлении кредитов по «плавающей» ставке, имеющей тенденцию к росту, снижением платежеспособности заемщика.
Операционный риск — риск потерь, возникающих в результате того, что в деятельности субъекта, осуществляющего инвестиции, имеются нарушения в технологии инвестиционных операций, неполадки в компьютерных системах обработки информации и др.
Приведенная структура рисков должна быть дополнена видами рисков, характерных для конкретных форм инвестирования.
Под инвестиционным риском понимают вероятность
1. Под инвестиционным риском понимают вероятность возникновения финансовых потерь в виде снижения капитала или утраты дохода вследствие неопределенности условий инвестиционной деятельности. Доходность и риск являются взаимосвязанными категориями. Эта взаимосвязь в наиболее общем виде состоит в том, что более рискованным вложениям присуща более высокая доходность, а менее рискованным — низкий, но гарантированный доход.
2. Инвестиционная деятельность связана с различными видами рисков. Принято выделять общие (систематические) риски — одинаковые для всех участников инвестиционной деятельности и определяемые факторами, на которые инвестор не может воздействовать, и специфические (несистематические) риски, зависящие от способности инвестора к выбору объектов инвестирования с приемлемым риском и регулированию рисков.
3. Алгоритм действий по регулированию риска включает: идентификацию рисков, возникающих в связи с инвестиционной деятельностью; выявление источников и объемов информации, необходимых для оценки уровня инвестиционных рисков; определение критериев и способов анализа рисков; разработку мероприятий по снижению рисков и выбор форм их страхования; мониторинг рисков с целью осуществления необходимой корректировки их значений; ретроспективный анализ регулирования рисков. Оценка уровня риска связана с расчетом отклонения ожидаемых доходов по инвестициям от средних или расчетных значений дохода. Она может производиться статистическими и экспертными методами.
В настоящее время определилась единая
Различия этих методик состоят в степени детализации. В настоящее время определилась единая структура бизнес-плана.
Она включает:
резюме проекта (краткая характеристика),
характеристика продукции или услуг,
положение дел в отрасли,
анализ рынка,
производственная деятельность,
стратегия маркетинга,
управление реализацией инвестиционного проекта,
оценка рисков и способы их страхования,
финансовый план,
приложения.
Наиболее важным разделом бизнес-плана является финансовый план. Финансовое обоснование проекта выступает критерием принятия инвестиционного решения, поэтому разработка финансового плана должна вестись особо тщательно.
Финансовый план включает расчет потребности в инвестициях, обоснование плана доходов и расходов, определение точки безубыточности по инвестиционному проекту, срока окупаемости инвестиционных вложений, характеристику источников финансирования инвестиционного проекта.
Расчет потребности в инвестициях осуществляется на основе моделирования потока инвестиций, связанных с созданием новых производственных мощностей (модернизацией производства, его реконструкцией или техническим перевооружением) и вводом объекта в эксплуатацию. Здесь также отражаются необходимый объем инвестиций в оборотные активы и создание резервных фондов.
При обосновании плана доходов и расходов, связанных с эксплуатацией инвестиционного проекта, приводятся расчеты основных показателей хозяйственной деятельности по проекту: валового дохода, объем и состав текущих затрат, валовая и чистая прибыль, денежный поток, определяемый как сумма амортизации и чистой прибыли.
Точка безубыточности (break-even point) определяет границы убыточности и прибыльности инвестиционного проекта. Она показывает, при каком объеме продаж достигается окупаемость затрат. Безубыточность будет достигнута при таком объеме чистого дохода, который равен общей сумме текущих постоянных и переменных затрат.
Чистый доход от реализации рассчитывается
Чистый доход от реализации рассчитывается путем вычета из валового дохода налога на добавленную стоимость и акцизных сборов. Постоянные текущие затраты — это затраты, которые не изменяются при изменении объемов производства или продаж; к ним относятся расходы по содержанию и аренде основных фондов, амортизация, расходы на рекламу и др. Переменные текущие затраты включают расходы на сырье и материалы, транспортные издержки и другие, сумма которых изменяется пропорционально изменению объемов производства или продаж.
Определение точки безубыточности осуществляется по формуле

где Оп — объем продаж (производства), при котором достигается безубыточность проекта;
Зт.пост — сумма текущих постоянных затрат;
Уч.д — уровень чистого дохода к объему продаж (производства), %;
Узт.пер — уровень переменных текущих затрат к объему продаж (производства), %.
Срок окупаемости является одной из характеристик эффективности инвестиционного проекта. Он показывает, через какой период времени окупятся вложения в инвестиционный проект. Методика его расчета приведена далее.
Обоснование стратегии финансирования инвестиционного проекта предполагает определение источников инвестиционных ресурсов и их структуры.
В качестве основных способов финансирования инвестиционных проектов могут рассматриваться:
самофинансирование, т.е. осуществление инвестирования только за счет собственных средств;
привлечение акционерного и паевого капитала;
кредитное финансирование (кредиты банков, выпуск облигаций);
лизинг;
смешанное финансирование на основе различных комбинаций рассмотренных способов.
Выбор способов финансирования должен быть ориентирован на оптимизацию структуры источников формирования инвестиционных ресурсов. При этом следует учитывать достоинства и недостатки каждой группы источников финансирования инвестиций (табл. 12.1).
Сравнительная характеристика источников финансирования инвестиционных
Таблица 12.1. Сравнительная характеристика источников финансирования инвестиционных проектов
|
Источники финансирования |
Достоинства |
Недостатки |
|
Внутренние источники (собственные средства) |
Легкость, доступность и быстрота мобилизации Снижение риска неплатежеспособности и банкротства Более высокая прибыльность вследствие отсутствия дивидендных или процентных выплат Сохранение собственности и управления учредителей |
Ограниченность объемов привлечения средств Отвлечение собственных средств из хозяйственного оборота Ограниченность независимого контроля за эффективностью использования инвестиционных ресурсов |
|
Внешние источники (привлеченные и заемные средства) |
Возможность привлечения средств в значительных масштабах Наличие независимого контроля за эффективностью использования инвестиционных ресурсов |
Сложность и длительность процедуры привлечения средств Необходимость предоставления гарантий платежеспособности Повышение риска неплатежеспособности и банкротства Уменьшение прибыли в связи с необходимостью дивидендных или процентных выплат Возможность утраты собственности и управления компанией (при акционировании) |
Оформление инвестиционного проекта в соответствии с рассмотренными методиками позволяет оценить его финансовую приемлемость и эффективность.
Бизнес-план и его роль в финансовом обосновании инвестиционного проекта
Бизнес-план (в переводе с английского — план предпринимательской деятельности) получил распространение в российской практике начиная с 90-х годов, когда переход к рыночному механизму инвестирования потребовал изменения принципов финансирования капитальных вложений. Развитие новой модели инвестиционного планирования было вызвано, с одной стороны, сокращением государственных инвестиций, обусловившим необходимость поиска альтернативных источников финансирования, причем на возвратных началах, с другой стороны — задачами достижения соответствия разрабатываемых проектов международным нормам.
Международные финансовые организации выделяли кредитные ресурсы российским предпринимателям только при наличии проработанного бизнес-плана. Отсутствие опыта разработки бизнес-планов у большинства предпринимателей серьезно осложняло поиск потенциальных инвесторов.
В российской экономике стали возникать структуры (государственные, коммерческие и смешанные), предлагающие услуги по разработке бизнес-планов. Среди них Государственная инвестиционная корпорация, Российская финансовая корпорация (РФК), Международный инвестиционный союз (МИС), Российский центр содействия иностранным инвестициям Минэкономики РФ, Российский союз промышленников и предпринимателей, Международный фонд содействия приватизации и иностранным инвестициям, академические и исследовательские институты, фирмы. Финансовое обоснование инвестиционных проектов в соответствии с обусловленными требованиями стало обязательным условием соискателей инвестиций из государственного бюджета, коммерческих банков и других потенциальных инвесторов.
Новая модель инвестиционного планирования на основе разработки бюджетов предполагаемых инвестиций пришла на смену традиционной для советской практики системы составления технико-экономических обоснований. В отличие от последней, бизнес-план предполагает разработку стратегии предпринимательства, тщательное изучение всех деталей проекта на основе анализа денежных потоков, внешних и внутренних факторов, предопределяющих будущие результаты и затраты инвестора, учет неопределенности и риска.
Бизнес-план представляет собой документ, в котором комплексно, системно и детально обосновывается инвестиционное предложение и определяются основные характеристики инвестиционного проекта. Бизнес-проект должен убедительно доказать эффективность принятия инвестиционного решения для его потенциальных участников, заинтересованных лиц и организаций, местной администрации, экспертов и т.д.
Состав бизнес-плана и степень его детализации зависят от ряда факторов: масштабности проекта, его характера и целевой направленности, степени риска и др. Типовые методики составления бизнес-плана разработаны ЮНИДО (Организация ООН по проблемам промышленного развития), МБРР, ЕБРР. С учетом основных принципов, лежащих в основе разработки бизнес-планов в мировой практике, подготовлен ряд отечественных методик. Среди них методика Комитета Российской Федерации по машиностроению, РИНКЭЦЭ и АО «Информприбор», Московского комитета архитектуры, Московского Комитета по науке и технологиям, методики с использованием специальных компьютерных программ (PROJECT EXPERT, «Альт-Инвест» и др.).
Бюджетная эффективность проекта
отражает влияние реализации проекта на доходы и расходы федерального, регионального или местного бюджета. Основным показателем бюджетной эффективности проекта является бюджетный эффект, который используется для обоснования заложенных в проекте мер федеральной или региональной поддержки. Для шага t бюджетный эффект B(t) определяется как разность между доходами R(t) и расходами E(t) соответствующего бюджета

Интегральный бюджетный эффект B(int) рассчитывается как превышение интегральных доходов бюджета R(int) над интегральными расходами бюджета E(inf)

Экономическая эффективность
Отражает воздействие процесса реализации инвестиционного проекта на внешнюю для проекта среду и учитывает соотношение результатов и затрат по инвестиционному проекту, которые прямо не связаны с финансовыми интересами участников проекта и могут быть количественно оценены.
Показатели народно-хозяйственной эффективности определяют эффективность проекта с позиций экономики в целом, отрасли, региона, связанных с реализацией проекта.
Выбор инвестиционного проекта, предусматривающего государственную поддержку, производится исходя из максимального интегрального эффекта, учитывающего коммерческую, бюджетную и народно-хозяйственную экономическую эффективность.
и США под мелкими проектами
В странах Западной Европы и США под мелкими проектами понимаются проекты, имеющие стоимость менее 300 тыс. долл., под средними (традиционными проектами) — проекты, имеющие стоимость от 300 тыс. долл. до 2 млн долл. Крупные проекты — это проекты, носящие стратегический характер и имеющие стоимость более 2 млн долл. Мегапроекты представляют собой государственные или международные целевые программы, которые объединяют ряд инвестиционных проектов единого целевого назначения. Стоимость мегапроектов — 1 млрд долл. и выше. В российской практике (при выделении на конкурсной основе централизованных инвестиционных ресурсов) крупными проектами считаются проекты стоимостью свыше 50 млн долл.
Цели, которые ставятся инициаторами инвестиционных проектов, могут быть самыми различными. В ряде случаев проекты ориентированы не на прямое извлечение прибыли, а на снижение рисков производства и сбыта, экспансию в новые сферы бизнеса. Государственные инвестиционные проекты могут преследовать социальные или экологические цели.
Важное значение при анализе инвестиционных проектов имеет определение степени взаимозависимости инвестиционных проектов. Независимые проекты могут оцениваться автономно, принятие или отклонение одного из таких проектов никак не влияет на решение в отношении другого. Альтернативные проекты являются конкурирующими; их оценка может происходить одновременно, но осуществляться может лишь один из них из-за ограниченности инвестиционных ресурсов или иных причин. Взаимосвязанные проекты оцениваются одновременно, при этом принятие одного проекта невозможно без принятия другого.
Инвестиционные проекты могут различаться по степени риска: более рискованными являются проекты, направленные на освоение новых видов продукции или технологий, менее рискованными — проекты, предусматривающие государственную поддержку.
Инвестиционные проекты могут быть кратко- и долгосрочными. К краткосрочным относятся проекты со сроком реализации до двух лет, к долгосрочным — со сроком реализации свыше двух лет.
Период времени, в течение которого реализуются цели, поставленные в проекте, называется жизненным циклом проекта. Он включает определенные этапы.
В качестве основных можно выделить три этапа:
предынвестиционный этап,
этап инвестирования,
этап эксплуатации созданных объектов.
Ключевое значение для успешной реализации проекта имеет предынвестиционный этап подготовки инвестиционного проекта.
Он включает следующие стадии:
поиск концепции проекта,
предварительная подготовка проекта,
оценка осуществимости и финансовой приемлемости проекта.
Подготовка инвестиционных проектов осуществляется на основе предварительной разработки бизнес-плана.
Инвестиционное проектирование: принципы финансового обоснования
Разработанные в мировой практике методы определения эффективности инвестиций используются для оценки эффективности как реальных инвестиционных проектов, так и финансовых инвестиций, а также для выбора инвестиционных объектов. Вместе с тем отличия инвестиционных качеств реальных и финансовых инвестиций обусловливают существование определенных особенностей расчета конкретных моделей оценки доходности инвестиционных объектов.
Понятие и виды инвестиционных проектов
В наиболее общем смысле под инвестиционным проектом понимают любое вложение капитала на срок с целью извлечения дохода. В специальной экономической литературе по инвестиционному проектированию и проектному анализу инвестиционный проект рассматривается как комплекс взаимосвязанных мероприятий, направленных на достижение определенных целей в течение ограниченного периода времени.
В составе реальных инвестиционных проектов наибольшее значение имеют проекты, осуществляемые посредством капитальных вложений. Данные инвестиционные проекты могут быть классифицированы по различным основаниям (рис. 12.1).

Использование новых методических подходов к оценке эффективности инвестиций при переходе к рыночной экономике
При переходе к рыночной экономике возникла необходимость пересмотра существовавшей практики оценки эффективности капитальных вложений и активного использования методических подходов, разработанных в мировой практике.
В настоящее время в России наиболее известны следующие западные методики: UNIDO (United Nations Industrial Development Organization — Организация ООН по проблемам промышленного развития) и электронная версия этой методики — COMFAR; Всемирного банка реконструкции и развития; Европейского банка реконструкции и развития; фирмы «Goldman, Sachs & Со», фирмы «Ernst & Young».
На основе западных и современных отечественных разработок в области методов оценки эффективности инвестиций применительно к условиям перехода российской экономики к рыночным отношениям специалисты ряда научных институтов, других структур выпустили методические рекомендации по оценке инвестиций (в частности, «Методические рекомендации по оценке эффективности инвестиционных проектов и их отбору для финансирования», утвержденные Министерством экономики РФ, Министерством финансов РФ, Государственным комитетом РФ по строительству, Государственным комитетом промышленности РФ, методики Инвестиционно-финансовой группы, Российской финансовой корпорации, фирмы «Альт» и др.).
В этих методиках используются методология и базовые принципы оценки эффективности инвестиций, широко применяемые в мировой практике. Важнейшими из этих принципов являются: определение стратегии финансирования инвестиционного проекта; учет результатов анализа финансового состояния предприятия и рынка, рисков инвестиционного проекта, воздействия реализации инвестиционного проекта на охрану окружающей среды; оценка возврата инвестируемого капитала на основе показателя денежного потока, соизмерение разновременных показателей инвестируемого капитала и денежного потока посредством дисконтирования, дифференциация нормы дисконта и ее форм при дисконтировании денежного потока для различных проектов в зависимости от уровня риска и целей оценки.
Эффективность инвестиционных проектов определяется на основе системы показателей:
коммерческой (финансовой) эффективности,
бюджетной эффективности,
экономической эффективности.
Одной из составляющих комплексной оценки эффективности проекта является выявление его социальных и экологических последствий. Для расчета эффективности инвестиционных проектов используются методические подходы, адекватные условиям рыночной экономики. Ключевую роль в количественном обосновании эффективности инвестиционного проекта играют методы, основанные на дисконтировании денежных средств.
Коммерческая, бюджетная и экономическая эффективность инвестиционного проекта
Коммерческая (финансовая) эффективность проекта учитывает финансовые последствия реализации проекта для ее непосредственных участников. Она определяется соотношением затрат и финансовых результатов, обеспечивающих требуемый уровень доходности. Коммерческая эффективность может рассчитываться для инвестиционного проекта в целом или для конкретных участников проекта с учетом их вклада.
Показатели эффективности проекта в целом исчисляются по результатам инвестиционной и операционной деятельности, т.е. на основании потока реальных денег без учета результатов финансовой деятельности, а показатели эффективности для участников проекта включают все притоки и оттоки денежных средств конкретного участника.
Рекомендуемые подходы не могут быть
Рекомендуемые подходы не могут быть использованы банком, рассматривающим возможности альтернативного вложения своих средств путем кредитования. Более точно интересам банка как инвестора (кредитора) отвечает подход, отражающий движение денежных потоков в виде предоставления кредита (отток денежных средств) и возврата кредита и процентных сумм (приток денежных средств).
Может использоваться следующая формула расчета чистого приведенного дохода банка:

где Dt — возврат кредита;
Кt — получение кредита;
rb — дисконтная норма банка.
Данная формула может использоваться для сравнительной оценки при выборе вариантов инвестиционного кредитования и кредитования инвестиционных проектов. Наиболее эффективным из сравниваемых инвестиционных объектов является тот, который характеризуется большей величиной чистого приведенного дохода. Рассматриваемый показатель может использоваться не только для сравнительной оценки эффективности инвестиций, но и как критерий целесообразности их реализации. При отрицательном или нулевом значении чистого приведенного дохода вложение средств является неэффективным, поскольку оно не принесет дополнительного дохода.
Норма внутренней доходности характеризует уровень доходности определенного инвестиционного объекта, выражаемый нормой дисконта, при которой будущая стоимость денежного потока от инвестиций равна текущей стоимости инвестируемых средств

Она представляет собой ту норму дисконта, при которой величина чистого приведенного дохода равна нулю. Пользуясь принятыми ранее обозначениями, можно определить, что IRR — это значение r в формуле (12.5).
Если расчет чистого приведенного дохода показывает, эффективны ли вложения в инвестиционный объект при определенной норме дисконта, то внутренняя норма доходности определяется в процессе расчета и затем сравнивается с требуемой нормой доходности.
Индекс доходности, представляющий собой отношение
Индекс доходности, представляющий собой отношение приведенной стоимости денежных потоков к величине вложений, характеризует относительную меру возрастания интегрального эффекта NPVr на единицу вложенных средств Io:

Поскольку эффективность любых инвестиций определяется на основе сопоставления эффекта (дохода) и затрат, этот показатель в методическом плане выступает как коэффициент эффективности вложений, исчисленный с учетом различия ценности денежных потоков во времени. В случае разновременности осуществления вложений прием дисконтирования используется не только при исчислении денежных потоков, но и для определения текущей стоимости затрат. Такой вариант показателя в западной практике называют коэффициентом «доход — издержки» [«benefit — cost — ratio» (BCR)]

Индекс доходности тесно связан с показателем чистого приведенного дохода: если значение последнего положительно, то индекс доходности выше единицы и наоборот.
Одним из наиболее распространенных показателей оценки эффективности инвестиций является срок окупаемости. В большинстве случаев под ним понимают период, в течение которого инвестиционные вложения покрываются за счет суммарных результатов их осуществления, или, иначе, минимальный временной интервал, за пределами которого интегральный эффект становится и в дальнейшем остается неотрицательным. Поскольку результаты и затраты, связанные с инвестированием, можно вычислить на основе метода дисконтирования или без дисконтирования (простейший вариант), могут быть получены различные значения срока окупаемости.
Простейший метод обладает таким существенным недостатком, как отсутствие учета различия ценности денег во времени, поэтому его используют при наличии определенных допущений. Более предпочтительным является второй метод расчета на основе дисконтирования, хотя и он не лишен недостатков, поскольку не учитывает порядок возникновения потоков денежных средств в течение периода окупаемости и те денежные потоки, которые формируются после периода окупаемости вложений.
В методических рекомендациях, как правило, подчеркивается, что ни один из рассматриваемых показателей не является достаточным для принятия инвестиционного решения и при выборе объекта инвестирования следует исходить из ряда критериев. Это положение нуждается в уточнении, поскольку в ситуациях, когда возникает противоречие между различными показателями, для объективной оценки сравнительной эффективности инвестиций необходимо исходить из определенной иерархии показателей и той роли, которую каждый из них играет в системе оценок.
Значимость отдельных показателей для оценки сравнительной эффективности инвестиций вытекает из степени их связи с целью инвестирования. В соответствии с этим критериальным оценочным показателем является чистый дисконтированный доход, поскольку он, определяя меру интегрального эффекта, дает наиболее общую характеристику результата инвестирования, т.е. непосредственно отражает цель инвестиций. Все другие показатели характеризуют состояние инвестиционного объекта и имеют иное назначение при анализе инвестиций.
Объективность результатов оценки сравнительной эффективности
Объективность результатов оценки сравнительной эффективности инвестиций во многом зависит от правильности определения нормы дисконта и тенденций ее изменения. В экономической литературе по инвестиционному анализу часто указывается на то, что недостатком метода чистого приведенного дохода является сложность выбора соответствующей нормы дисконта, и отмечается преимущество другого показателя эффективности инвестиций — нормы внутренней доходности, состоящее в том, что при его использовании нет необходимости заранее определять индивидуальную норму дисконта.
Между тем в действительности проблема определения нормы дисконта возникает и при использовании нормы внутренней доходности. Как отмечалось, в процессе сравнительной оценки инвестиций внутренняя норма доходности сопоставляется с требуемой нормой доходности. Однако требуемая норма доходности есть не что иное как заданная норма дисконта, таким образом, и при использовании внутренней нормы доходности необходимо заранее определять норму дисконта как базу сравнения.
По существу, сравнение внутренней нормы доходности с требуемой нормой дохода ничем не отличается от расчета чистого приведенного дохода с определенной ставкой дисконта и последующей проверкой его на положительное значение. В графической форме зависимость чистого приведенного дохода NPV от ставки дисконта r представляет собой кривую, пересекающую ось r один раз (при NPV = 0), при эффективных (положительных) значениях NPV (r0 > 0), поэтому сопоставление IRR > r0, ничего не добавляет к полученному результату. Поскольку внутренняя норма доходности не является характеристикой конечного эффекта инвестирования, она не может быть использована в качестве доминирующего критерия для выбора лучшего инвестиционного объекта. Таким критерием, как отмечалось, является чистый приведенный доход. Показатель чистого приведенного дохода, обладая высокой устойчивостью при различных комбинациях исходных условий, позволяет найти целесообразное инвестиционное решение. Не случайно в авторитетных зарубежных изданиях данный показатель признается наиболее надежным в системе показателей оценки эффективности инвестиций.
Внутренняя норма доходности при сравнительной оценке эффективности инвестиций должна использоваться только в сопоставлении с другими показателями. С учетом этого данный показатель может служить индикатором уровня риска по инвестиционному проекту: превышение внутренней нормы доходности над заданной нормой дисконта свидетельствует о более высокой надежности проекта и уменьшает опасность возможных ошибок при оценке потока денежных поступлений.
Другой аспект роли внутренней нормы доходности связан с тем, что противоречие результатов оценки сравнительной эффективности альтернативных инвестиционных проектов, полученных путем использования этого показателя и показателя приведенного чистого дохода, может свидетельствовать о необходимости поиска лучшего варианта инвестирования средств.
К примеру, если один из рассматриваемых проектов характеризуется значительно большей величиной чистого приведенного дохода и меньшей величиной внутренней нормы доходности, чем другой, однако при этом оказывается, что эффект в первом случае достигнут за счет более высоких затрат вложенных средств, то при наличии свободных инвестиционных ресурсов целесообразно рассмотреть возможность поиска третьего варианта с более высоким значением внутренней нормы доходности, так чтобы при соблюдении ресурсных ограничений по инвестициям сумма величин приведенного чистого дохода по второму и третьему вариантам превышала соответствующий показатель по третьему варианту.
Внутренняя норма доходности может использоваться для сравнения различных вариантов инвестирования по степени прибыльности при условии тождественности их основных параметров: требуемой суммы вложений, уровня риска, продолжительности и т.д. При различных параметрах сравниваемых инвестиционных проектов внутренняя норма доходности не может служить основой для их ранжирования, так как такой подход не обеспечивает максимизации чистого приведенного дохода.
Использование индекса доходности как критериального показателя приемлемости инвестиций наряду с показателем чистого приведенного дохода нецелесообразно, так как он представляет собой, по существу, следствие применения чистого приведенного дохода и имеет недостатки, свойственные удельным показателям. Более распространенным аспектом его применения является оценка сравнительной эффективности различных объектов инвестирования. Вместе с тем использование индекса доходности при ранжировании различных инвестиционных объектов может не обеспечить максимальный эффект. Поэтому этот показатель должен применяться в тесной связи с показателем чистого приведенного дохода.
Нецелесообразно применять в качестве ведущего критерия сравнительной оценки эффективности инвестиций и показатель срока окупаемости, так как он, как отмечалось, не полностью учитывает возникающие в результате инвестирования потоки денежных средств.
Таким образом, анализ системы рассматриваемых показателей сравнительной эффективности инвестиций свидетельствует о том, что роль критерия в этой системе принадлежит показателю чистого приведенного дохода, в то время как другие показатели, используемые для более полной характеристики сравниваемых объектов инвестирования, целесообразно применять в комплексе с основным критериальным показателем.
Методы оценки инвестиций, основанные на дисконтировании
Для сравнения различных инвестиционных проектов (или вариантов проекта) и выбора наилучшего из них используются следующие показатели:
чистый дисконтированный доход (net present value — NPV),
индекс доходности или индекс прибыльности (profitability index — PI),
внутренняя норма доходности или возврата инвестиций (internal rate of return — IRR),
срок окупаемости (pay-back — PB) и некоторые другие показатели, отражающие специфику проекта и интересов его участников.
Чистый дисконтированный доход представляет собой превышение интегральных результатов над интегральными затратами, или, иначе, разность между суммой денежных поступлений в результате реализации проекта (дисконтированных к текущей стоимости) и суммой дисконтированных текущих стоимостей всех инвестиционных вложений.
Его можно определить как сумму текущих эффектов за весь расчетный период, приведенную к начальному периоду. При допущении, что норма дисконта является постоянной в течение всего расчетного периода и расчет осуществляется в базовых ценах, чистый дисконтированный доход для проекта в целом определяется по формуле

где Rt — результаты шага, сумма денежных поступлений в периоде t;
It — вложения средств в периоде t;
(Rt — It) — эффект, достигаемый на t-м шаге;
r — норма дисконта.
Данную формулу рекомендуется применять для исчисления чистого приведенного дохода потенциального инвестора. Помимо нее приводится, как правило, формула расчета чистого приведенного дохода для реципиента — субъекта инвестиций с учетом выплаты процента за кредит

где Рt — выплаты процента за кредит;
rr — средневзвешенная стоимость собственного капитала реципиента.
Помимо рассмотренных показателей при оценке
Помимо рассмотренных показателей при оценке инвестиционных проектов используются также иные критерии, в числе которых интегральная эффективность затрат, точка безубыточности, коэффициенты финансовой оценки проекта (рентабельности, оборачиваемости, финансовой устойчивости, ликвидности), характеристики финансового раздела бизнес-проекта. К числу ключевых категорий, лежащих в основе обоснования финансового плана, относятся понятия потока реальных денег, сальдо реальных денег и сальдо реальных накопленных денег.
При реализации инвестиционного проекта выделяют инвестиционную, операционную и финансовую деятельность и соответствующие этим видам деятельности притоки и оттоки денежных средств.
Потоком реальных денег F(t) называют разность между притоком и оттоком денежных средств от инвестиционной и операционной деятельности в каждом периоде реализации проекта

Сальдо реальных денег D(t) — это разность между притоком и оттоком денежных средств от инвестиционной, операционной и финансовой деятельности:

Необходимым условием принятия проекта является положительная величина сальдо накопленных реальных денег в каждом периоде реализации проекта. Оно определяется по формуле

Положительная величина D(t) свидетельствует о наличии денежных средств в периоде t, отрицательная — об их недостатке и необходимости привлечения дополнительных собственных, заемных или привлеченных средств или снижения операционных затрат.
Выбор тех или иных показателей эффективности инвестиций определяется конкретными задачами инвестиционного анализа. Степень объективности инвестиционного решения во многом зависит от глубины и комплексности оценки эффективности инвестиций на основе используемой совокупности формализованных критериев. Кроме того, принятие инвестиционного решения относительно конкретного инвестиционного проекта предполагает учет не только формализованных, но и неформализованных (содержательных) методов и критериев.
Метод определения бухгалтерской рентабельности инвестиций
(return on investment — ROI) ориентирован на оценку не денежных поступлений, а дохода фирмы. Показатель рентабельности инвестиций, называемый также расчетной нормой прибыли (accounting rate of return — ARR) или средней нормой прибыли (average rate of return — ARR), рассчитывается как отношение среднего дохода фирмы (earnings — Е) к среднегодовой стоимости инвестиций. При этом величина дохода фирмы берется, как правило, с учетом налогообложения.
Формула расчета рентабельности инвестиций имеет следующий вид:

где Н — ставка налогообложения;
Е(1 - Н) — величина дохода после налогообложения;
С1 — учетная стоимость активов на начало периода;
С2 — учетная стоимость активов на конец периода;
(С2 — С1) / 2 — среднегодовая стоимость инвестиций, рассчитываемая как среднее между учетной стоимостью активов на начало и конец периода.
Использование показателя ROI связано с возможностью его сопоставления с другими показателями рентабельности фирмы и определения степени приемлемости рассматриваемого проекта. К преимуществам этого показателя можно отнести ясность и простоту расчетов, а также ориентированность на величину дохода, что, с одной стороны, позволяет создать четкую систему стимулирования персонала, связанного с реализацией инвестиций, а с другой стороны, заинтересовать акционеров фирмы, которые в первую очередь обращают внимание на уровень дохода.
Недостатки показателя ROI аналогичны слабостям показателя срока окупаемости. Он не учитывает неодинаковой ценности денежных средств во времени и различий в величине денежных поступлений, которые возникают как результат неодинаковой продолжительности эксплуатации созданных благодаря инвестированию активов.
При определенных допущениях показатель ROI приближается к значению IRR в случае, если:
вложение средств осуществляется в проект с условно-безграничным сроком (перпетуитет) при равенстве годовых денежных поступлений;
накопленные амортизационные отчисления равны денежной сумме, необходимой для замены выбывшего оборудования;
состав оборотного капитала неизменен в течение срока реализации инвестиционного проекта.
Следует учитывать, что расчеты на основе простейших методов оценки инвестиций носят приближенный характер.
Модели оценки эффективности ценных бумаг
Эффективность любых форм инвестиций рассчитывается на основе сопоставления эффекта (дохода) и затрат на его получение. При вложениях в ценные бумаги в качестве затрат выступает сумма инвестированных в ценные бумаги средств, а в качестве дохода — разность между текущей стоимостью ценной бумаги и суммой вложенных в ее приобретение средств. Поскольку доход по ценной бумаге может быть получен лишь в будущем, для сопоставимости он должен быть приведен к настоящему времени путем дисконтирования.
Основная формула для расчета эффективности финансовых инвестиций

или, поскольку (С – I0) представляет собой ожидаемый от инвестирования доход

где Ef — эффективность инвестирования в ценную бумагу;
С — текущая (дисконтированная) стоимость ценной бумаги;
I0 — сумма инвестируемых средств;
D — ожидаемый доход от инвестирования.
Текущая стоимость ценной бумаги определяется двумя основными факторами: величиной денежного потока от инвестирования в ценную бумагу и уровнем процентной ставки, используемой при дисконтировании.
Расчет приведенного чистого дохода по финансовым инвестициям имеет определенные отличия от определения дохода от реальных инвестиций. При оценке сравнительной эффективности вложений в ценные бумаги приведенный чистый доход исчисляется как разность между приведенной стоимостью отдельных фондовых инструментов и стоимостью их приобретения. При этом сумма ожидаемых денежных доходов от инвестиций в ценные бумаги не включает амортизационных отчислений, как по вложениям в реальные активы. Существенную специфику имеет и формирование денежных потоков по различным видам фондовых инструментов.
и другим аналогичным долговым инструментам
По облигациям и другим аналогичным долговым инструментам ожидаемый доход складывается из потоков процентных сумм по этим активам и стоимости самого актива на момент погашения. Возможны следующие варианты формирования денежных потоков: без выплаты процентов по фондовому инструменту, с периодической выплатой процентов, с выплатой всей процентной суммы при погашении.
По простым и привилегированным акциям формирование ожидаемого денежного дохода зависит от того, как предполагается использовать данный фондовый инструмент — в течение неопределенного времени или заранее предусмотренного срока. В первом случае будущие денежные потоки формируются только за счет начисляемых дивидендов, во втором — будущие денежные потоки включают суммы начисляемых дивидендов и прироста курсовой стоимости финансовых инструментов.
Кроме того, в обоих вариантах в зависимости от условий обращения конкретных видов финансовых инструментов, проводимой дивидендной политики и, соответственно, различной динамики уровня выплачиваемых дивидендов денежные потоки могут формироваться на различной основе: стабильного уровня дивидендов, постоянно возрастающего уровня дивидендов, непостоянного уровня дивидендов.
В связи с этим фондовые инструменты характеризуются разнообразием моделей оценки их приведенной стоимости при сравнении эффективности различных финансовых инвестиций (рис. 12.2).

Важную роль при оценке эффективности
Важную роль при оценке эффективности инвестирования играет величина нормы дисконта, используемая при приведении сумм будущих денежных потоков к настоящему времени. Необходимость выбора соответствующей конкретному инвестиционному' объекту нормы дисконта обусловлена существенными колебаниями уровня риска. Дифференциация нормы дисконта должна осуществляться с учетом следующих параметров: средней стоимости ресурсов, предназначенных для инвестирования, прогнозируемого темпа инфляции в рассматриваемом периоде, премии за инвестиционный риск.
В зарубежной практике определение нормы дисконта, используемой при оценке приведенной стоимости финансовых инструментов (так называемой нормы текущей доходности), осуществляется, как правило, в соответствии с моделью цены капитальных активов. Согласно данной модели норма текущей доходности по конкретному финансовому инструменту определяется как сумма нормы текущей доходности по безрисковым финансовым инвестициям (в частности, по государственным облигациям) и премии за риск, уровень которого в конечном счете определяет степень дифференциации доходности по отдельным инструментам.
При этом норма текущей доходности по безрисковым финансовым инструментам формируется на основе ставки ссудного процента на денежном рынке и уровня инфляции и, в свою очередь, рассматривается как общая основа для последующей дифференциации нормы дисконта по различным финансовым инструментам.
В современной российской практике при оценке сравнительной эффективности инвестиций в качестве базы сравнения целесообразно использовать не норму текущей доходности по безрисковым инвестициям, а среднюю стоимость предполагаемых источников инвестиций. Такой подход определяется не только сложностью выявления безрисковых инвестиций в условиях неразвитого фондового рынка, но и тем, что показатель средней цены ресурсов, предназначенных для инвестирования, наиболее полно отражает возможности конкретного субъекта в области финансирования инвестиционной деятельности. Результаты оценки сравнительной эффективности различных объектов инвестирования используются при их выборе и формировании инвестиционного портфеля банка.
Сравнение эффективности различных проектных вариантов
Сравнение эффективности различных проектных вариантов осуществлялось с помощью метода приведенных затрат, в соответствии с которым лучшим вариантом считался тот, который обеспечивал минимальное значение суммы годовой себестоимости продукции С и объема капитальных вложений KB, умноженного на нормативный коэффициент эффективности Ен

Здесь в определенной степени (через приведение капитальных вложений к настоящему времени с помощью нормативного коэффициента эффективности) осуществлялся учет фактора времени.
В конце 70-х годов в расчете эффективности капитальных вложений стали учитывать затраты на инвестирование производственной сферы, экологические последствия, что позволило достичь более полного определения эффективности капитальных вложений и повысить объективность оценок.
Вместе с тем возможности рассматриваемой методики ограничивались существовавшей системой хозяйствования. В условиях плановых методов распределения капитальных вложений не практиковалось рассмотрение риска случайности и неопределенности, взаимосвязи номинальных и реальных стоимостных оценок в условиях инфляции, категорий финансового анализа — денежных потоков, ликвидности, баланса наличности и т.д.
Оценка эффективности реальных инвестиционных проектов
В отечественной экономике методические подходы, сложившиеся к определению эффективности инвестиций, предполагали осуществление анализа только в сфере капитальных вложений, эффективность вложений в ценные бумаги при отсутствии рынка ценных бумаг, естественно, не рассматривалась.
Методика оценки эффективности капитальных вложений в условиях административной системы хозяйствования
На основе типовой методики, разработанной специалистами во главе с академиком Т.С. Хачатуровым, были выпущены различные отраслевые методики и инструкции по оценке эффективности капитальных вложений. Эффективность капитальных вложений оценивалась на основе коэффициента эффективности, рассчитываемого как отношение среднегодовой суммы прибыли к объему капитальных вложений, и срока окупаемости — показателя, обратного коэффициенту окупаемости

где Э — коэффициент эффективности;
Пср — среднегодовая сумма прибыли;
KB — объем капитальных вложений,
Ток — срок окупаемости.
Следует отметить, что оба эти показателя имели ряд существенных недостатков, основным из которых являлось отсутствие учета фактора времени, вследствие чего в процессе расчета сравнивались несопоставимые показатели: объем инвестиций в настоящей стоимости и объем прибыли в будущей стоимости. Использование этих показателей не соответствовало требованиям объективной и всесторонней оценки.
Объективность расчетов не достигалась вследствие того, что в качестве показателя возврата рассматривался не весь денежный поток, формируемый за счет сумм чистой прибыли и амортизационных отчислений, а только прибыль, что искажало результат оценки вследствие занижения коэффициента эффективности и, соответственно, завышения срока окупаемости. Использование для расчетов показателей, базирующихся на одинаковых исходных данных (объем прибыли и объем капитальных вложений), вело к получению односторонней оценки эффективности капитальных вложений.
Оценка инвестиционных качеств и эффективности финансовых инструментов
В основе оценки сравнительной эффективности любых форм инвестиций лежит определение меры эффекта. Вместе с тем существуют определенные особенности оценки доходности финансовых инструментов, обусловленные спецификой их инвестиционных качеств.
Методы оценки инвестиционных качеств финансовых инвестиций
Основными критериями инвестиционных качеств объектов инвестирования являются доходность, риск и ликвидность.
Доходность финансовых инструментов определяется прибылью и ростом курсовой стоимости по сравнению с вложенными средствами. Риск при вложениях в финансовые инструменты означает возможность недополучения дохода или утраты вложенных средств, доходность и риск находятся в обратной взаимосвязи. Ликвидность финансовых инструментов выступает как их способность быстро и без потерь превращаться в деньги.
При оценке инвестиционных качеств ценных бумаг кроме расчета общих для всех объектов инвестирования показателей эффективности проводят исследование методами фундаментального и технического анализа, принятыми в финансовой практике.
Фундаментальный анализ базируется на оценке эффективности деятельности предприятия-эмитента. Он предполагает изучение комплекса показателей финансового состояния предприятия, тенденций развития отрасли, к которой оно принадлежит, степени конкурентоспособности производимой продукции сегодня и в перспективе. Базой анализа являются публикуемые компанией-эмитентом балансы, отчеты о прибылях и убытках и другие материалы.
Фундаментальный анализ также называют факторным, поскольку он опирается на изучение влияния отдельных факторов на динамику цен финансовых инструментов в настоящем периоде и прогнозирование значений этих факторов в будущем периоде. Так, полученные на его базе результаты позволяют определить, как соотносится стоимость ценной бумаги эмитента с реальной стоимостью активов, денежными поступлениями, и сделать прогноз дохода, который определяет будущую стоимость ценной бумаги и, следовательно, может воздействовать на ее цену. Исходя из этого делается вывод о целесообразности инвестирования средств.
Простейшие методы оценки инвестиций
Помимо рассмотренных методов оценки инвестиций, основанных на дисконтировании денежных средств, в инвестиционной практике продолжают использоваться так называемые простые, или простейшие, методы. К простейшим методам оценки эффективности инвестиций относятся: расчет срока (периода) окупаемости инвестиций, о котором упоминалось выше, и метод определения бухгалтерской рентабельности инвестиций.
Метод расчета срока окупаемости
(pay-back period — РР) заключается в определении периода РР, необходимого для возмещения суммы первоначальных инвестиций I0. Формула расчета имеет вид

где (Rt — It) — среднегодовая сумма денежных поступлений от реализации инвестиционного проекта.
Данный показатель применим в случае, когда величины денежных поступлений по годам равны. Использование метода расчета срока окупаемости для сравнения эффективности и выбора инвестиционных проектов предполагает выполнение следующих условий:
равный срок действия сравниваемых проектов;
единовременный характер первоначальных вложений;
равенство денежных поступлений после окончания срока окупаемости.
Распространение срока окупаемости как показателя оценки сравнительной эффективности инвестиций вызвано не только его относительной ясностью и простотой расчета. Рассматриваемый показатель характеризует уровень инвестиционных рисков, связанных с ликвидностью. Более высокий срок окупаемости при прочих равных условиях сопряжен с возрастанием вероятности действия неконтролируемых случайных и неопределенных факторов. Указанные факторы особенно сильно проявляются в условиях инфляции, сокращая результаты и увеличивая затраты инвестирования, что ведет к снижению чистого приведенного дохода вплоть до отрицательных значений и вызывает, соответственно, отказ от осуществления инвестиций.
В этом плане срок окупаемости можно рассматривать как индикатор степени неопределенности, своеобразное ограничение, применение которого позволяет отсечь объекты инвестирования, характеризующиеся высокими значениями неконтролируемых факторов.
Технический анализ
Основывается на оценке рыночной конъюнктуры и динамики курсов. Концепция технического анализа предполагает, что все фундаментальные факторы суммируются и отражаются в движении цен на фондовом рынке. Объектами изучения являются показатели спроса и предложения ценных бумаг, динамика курсовой стоимости, общие тенденции движения курсов ценных бумаг на фондовом рынке. Технический анализ базируется на построении и исследовании графиков динамики отдельных показателей (как правило, рыночных цен) в рассматриваемом периоде, нахождении определенной тенденции (тренда) и ее экстраполировании на перспективу
Изучение динамики курсов позволяет определить моменты, когда целесообразно производить покупку или продажу ценной бумаги, а также примерно оценить темпы изменения и прирост курсовой стоимости.
Для оценки динамики курсов акций в рамках технического анализа используются индексы фондового рынка. В мировой практике хорошо известны основные индексы и отработаны приемы их учета при принятии инвестиционных решений. К наиболее известным индексам фондового рынка относятся: в США — индексы Доу Джонса и «Стандарт энд Пурз», в Японии — индекс «Никкей», в Великобритании — индексы «Футси».
Фондовые индексы рассчитываются на основе средней арифметической или средневзвешенной курсовой стоимости акций по крупнейшим компаниям. Так, индекс Доу Джонса определяется как средняя арифметическая ежедневных котировок акций 30 крупнейших корпораций на момент закрытия биржи.
В России вследствие относительной неразвитости рынка ценных бумаг, недостаточности информации и ее низкого качества достоверность созданных индексов пока недостаточна. Основным индексом отечественного фондового рынка является индекс Российской торговой системы — индекс РТС.
Одним из способов предоставления информации для инвесторов на развитых фондовых рынках является рейтинговая оценка акций и облигаций. Среди десятков рейтинговых агентств, известных в мире, доминирующими являются четыре: американские агентства — «Moody's Investor Service, Inc.», «Standard & Poor's Corporation» (S & P), «Duff& Phelps Credit Rating Co.» (DCR) и «Fitch IBSA», возникшее в результате слияния американской фирмы «Fitch Investors Service» и английского агентства «International Bank Credit Analysis» (IBCA).
На основе анализа инвестиционных качеств ценной бумаги специалисты рейтинговых агентств присваивают ценной бумаге соответствующую категорию. В табл. 12.2 и 12.3 приведены рейтинговые оценки ценных бумаг известными рейтинговыми агентствами.
Рейтинговая оценка простых
Таблица 12.2. Рейтинговая оценка простых и привилегированных акций

При анализе инвестиционных качеств фондовых
Таблица 12.3. Рейтинговая оценка облигаций

При анализе инвестиционных качеств фондовых инструментов следует учитывать, что нельзя найти такой вид ценных бумаг. Который бы устраивал потенциального инвестора по всем параметрам (задача «магического треугольника»).
инвестиционные различия ценных бумаг по
Так, инвестиционные различия ценных бумаг по виду получаемого дохода по ним связаны с возможностью получения дохода в виде фиксированных процентных платежей, плавающей ставки ссудного процента, выигрыша по займу, дисконта при покупке ценной бумаги, дивиденда, разницы курсовой стоимости при продаже и т.д.
Преимущества и недостатки вложений в некоторые ценные бумаги, характеризующие их инвестиционные качества, показаны в табл. 12.4.
Предпочтение выбора той или иной ценной бумаги во многом определяется типом инвестора (табл. 12.5).
Таблица 12.4. Сравнительная характеристика инвестиционных качеств некоторых видов ценных бумаг

Тип инвестора
Таблица 12.5. Тип инвестора и инвестиционные предпочтения

Типы инвесторов
В зависимости от отношения к источнику дохода, уровню доходности, иску инвестирования выделяют различные типы инвесторов.
Консервативные инвесторы нацелены на получение стабильного дохода в течение длительного промежутка времени. Они предпочитают вкладывать средства в ценные бумаги с низким уровнем риска, обеспечивающие непрерывный поток платежей в виде процентных или дивидендных выплат.
Умеренные инвесторы в качестве основного ориентира избирают уровень дохода, который может формироваться как за счет дивидендных и процентных выплат, так и за счет курсовой разницы при рассчитанном уровне риска. Период инвестирования не ограничен какими-то определенными рамками.
Агрессивные инвесторы имеют своей целью получение максимально высокой курсовой разницы от каждой сделки. Срок инвестирования по времени ограничен длительностью инвестиционной операции, уровень риска очень высокий.
Стратегические инвесторы направляют свою деятельность не на получение доходов на фондовом рынке, а на захват сферы влияния и установление контроля над собственностью путем приобретения паритетного пакета акций. Период инвестирования не ограничен определенным сроком, так как стратегические инвесторы стараются сохранить контроль над собственностью, дающий возможность извлечения более высоких доходов, чем у других акционеров, и расширения сферы влияния.
В основе оценки сравнительной эффективности
1. В основе оценки сравнительной эффективности любых форм инвестиций лежит определение меры эффекта. Вместе с тем из-за специфики инвестиционных качеств реальных и финансовых инвестиций существуют определенные особенности расчета конкретных моделей оценки их доходности.
2. Под инвестиционным проектом в наиболее общем смысле понимают любое вложение капитала на срок с целью извлечения дохода. При анализе проекта он рассматривается как комплекс взаимосвязанных мероприятий, направленных на достижение определенных целей в течение некоторого периода времени. Период времени, в течение которого реализуются цели инвестиционного проекта, называют жизненным циклом проекта. Основными этапами жизненного цикла проекта являются: предынвестиционный этап, этап инвестирования, этап эксплуатации созданных объектов. В свою очередь, предынвестиционный этап, имеющий ключевое значение для успешной реализации проекта, включает стадии поиска концепции проекта, предварительной подготовки проекта, оценки осуществимости и финансовой приемлемости проекта.
3. Изменение принципов финансирования капитальных вложений с переходом к рыночному механизму инвестирования обусловило необходимость осуществления подготовки инвестиционных проектов на основе предварительной разработки бизнес-плана. В отличие от традиционной для советской практики системы составления технико-экономических обоснований бизнес-план предполагает разработку стратегии предпринимательства, тщательное изучение всех деталей проекта на основе анализа денежных потоков, внешней и внутренней среды с учетом неопределенности и риска. Это документ, в котором комплексно и детально обосновывается инвестиционное предложение и определяются основные характеристики инвестиционного проекта.
4. В соответствии с типовой методикой бизнес-план включает следующие разделы: резюме проекта; характеристика продукции или услуг; положение дел в отрасли; анализ рынка; производственная деятельность; стратегия маркетинга; управление реализацией инвестиционного проекта; оценка рисков и способы их страхования; финансовый план и приложения. Важным разделом бизнес-плана является финансовый план, включающий расчет потребности в инвестициях, обоснование плана доходов и расходов, определение точки безубыточности по инвестиционному проекту, срока окупаемости инвестиционных вложений, характеристику источников финансирования инвестиционного проекта.
5. Современные отечественные разработки в области методов оценки эффективности инвестиций базируются на принципах, широко применяемых в мировой практике. В их числе: определение стратегии финансирования инвестиционного проекта; учет результатов анализа финансового состояния предприятия и рынка, рисков инвестиционного проекта, воздействия реализации инвестиционного проекта на охрану окружающей среды; оценка возврата инвестируемого капитала на основе показателя денежного потока, соизмерение разновременных показателей инвестируемого капитала и денежного потока посредством дисконтирования, дифференциация нормы дисконта и ее форм при дисконтировании денежного потока для различных проектов в зависимости от уровня риска и целей оценки.
6. При оценке эффективности инвестиционного проекта рассчитывают коммерческую эффективность проекта, учитывающую финансовые последствия реализации проекта для ее непосредственных участников, бюджетную эффективность, отражающую влияние реализации проекта на доходы и расходы бюджета, экономическую эффективность, отражающую воздействие процесса реализации инвестиционного проекта на внешнюю для проекта среду (экономику в целом, отрасль, регион и др.). Для оценки эффективности инвестиций используются сложные и простые методы. Сложные методы, основанные на дисконтировании, предполагают расчет показателей чистого дисконтированного дохода, индекса доходности, внутренней нормы доходности, срока окупаемости. В данном комплексе показателей роль критерия принадлежит показателю чистого приведенного дохода. К простейшим методам оценки эффективности инвестиций относятся: расчет срока (периода) окупаемости инвестиций (без дисконтирования) и метод определения бухгалтерской рентабельности инвестиций. Кроме рассмотренных методов используются также показатели интегральной эффективности затрат, точки безубыточности, коэффициенты финансовой оценки проекта (рентабельности, оборачиваемости, финансовой устойчивости, ликвидности), характеристики финансового раздела бизнес-проекта.
7. При оценке инвестиционных качеств ценных бумаг помимо расчета общих для всех объектов инвестирования показателей эффективности используются методы фундаментального и технического анализа. В основе фундаментального анализа лежит оценка эффективности деятельности предприятия-эмитента, технического — оценка рыночной конъюнктуры и динамики курсов. Предпочтение выбора фондового инструмента во многом определяется типом инвестора (консервативным, умеренным, агрессивным, стратегическим). Доход по ценной бумаге рассчитывается как разность между текущей стоимостью ценной бумаги и суммой вложенных в ее приобретение средств.
Формирование портфеля ценных бумаг
Портфель ценных бумаг по сравнению с рассмотренными выше видами инвестиционных портфелей характеризуется рядом особенностей. К положительным можно отнести более высокую степень ликвидности и управляемости, к отрицательным — отсутствие в ряде случаев возможностей воздействия на доходность портфеля, повышенные инфляционные риски.
Проблемы формирования портфеля ценных бумаг занимают одно из ведущих мест в современной экономической теории и практике, что обусловлено их актуальностью в условиях развитого рынка. Однако условия российской экономики не позволяют в полной мере применять общие положения теории портфельного инвестирования и сформированный на Западе арсенал инвестиционных стратегий.
В связи с этим при определении основ формирования фондового портфеля неизбежно приходится ограничиваться использованием лишь тех аспектов портфельной теории, которые могут быть в какой-то степени адаптированы к российской действительности, и учитывать специфические формы проявления различных факторов, воздействующих на выбор ценных бумаг для портфельного инвестирования в российской экономике.
К основным факторам, определяющим формирование фондового портфеля, можно отнести:
приоритеты целей инвестирования, реализация которых обусловливает выбор конкретного типа инвестиционного портфеля;
степень диверсификации инвестиционного портфеля;
необходимость обеспечения требуемой ликвидности портфеля;
уровень и динамику процентной ставки;
уровень налогообложения доходов по различным финансовым инструментам.
В соответствии с целью инвестирования формирование портфеля ценных бумаг может осуществляться на основе различного соотношения дохода и риска, характерного для того или иного типа портфеля. В зависимости от выбранного типа портфеля осуществляется отбор ценных бумаг, обладающих соответствующими инвестиционными свойствами.
Условия отечественного фондового рынка, характеризующегося нестабильной конъюнктурой, резким изменением котировок, высоким уровнем риска, а также недостатком качественных ценных бумаг, определяют небольшую разновидность портфелей по сравнению со странами с развитой рыночной экономикой и их специфику Так, предпочтительным объектом портфельного инвестирования длительное время являлись государственные ценные бумаги. При этом, если в развитых странах государственные ценные бумаги формируют консервативный портфель, являющийся высоконадежным, но низкодоходным, то портфель, например, ГКО, обеспечивавших высокую доходность, не соответствует общепринятым характеристикам консервативного портфеля.
Портфели ценных бумаг, построенные по принципу диверсификации, предполагают комбинацию из достаточно большого количества ценных бумаг с разнонаправленной динамикой движения курсовой стоимости (дохода). Такая диверсификация может носить отраслевой или региональный характер, а также проводиться по различным эмитентам. Диверсификация, призванная снизить инвестиционные риски при обеспечении максимальной доходности, основана на различиях в колебаниях доходов и курсовой стоимости ценных бумаг.
В соответствии с современной портфельной теорией результаты простой диверсификации и диверсификации по отраслям, предприятиям, регионам и т.д. по существу тождественны. Аналитические данные свидетельствуют, что наличие в портфеле 10—15 различных ценных бумаг значительно снижает риск вложений; дальнейшее увеличение количества активов и увеличение степени диверсификации не играет существенной роли при прочих равных условиях для снижения инвестиционного риска (табл. 13.1) и является нецелесообразным, поскольку ведет к эффекту излишней диверсификации.
Изменение риска портфеля ценных бумаг
Таблица 13.1. Изменение риска портфеля ценных бумаг при различной степени диверсификации при одинаковом уровне риска (25 видов ценных бумаг)

Эффект излишней диверсификации характеризуется превышением темпов прироста издержек по ее осуществлению над темпами прироста доходности портфеля, что связано с возрастанием сложностей качественного портфельного управления при увеличении количества ценных бумаг, увеличением вероятности приобретения некачественных ценных бумаг, ростом издержек по отбору ценных бумаг, по покупке мелких лотов ценных бумаг и другими отрицательными явлениями.
Следует отметить, что поскольку в реальной хозяйственной практике предприятия функционируют в рамках одной хозяйственной системы с присущими ей закономерностями и взаимосвязями, при моделировании возможно более безрискового портфеля следует анализировать не только качества отдельных видов ценных бумаг, но и корреляцию между ними. При этом в соответствии с портфельной теорией наименьший риск достигается в случае формирования портфеля из акций, движение курсов которых демонстрирует отрицательную корреляцию.
В условиях отечественного фондового рынка использование принципа диверсификации активов по отраслевому признаку существенно ограничено из-за незначительного количества обращающихся на нем ценных бумаг приемлемого качества и распределения их по секторам экономики. Так, акции, котируемые в российской торговой системе, представляют всего шесть секторов экономики, причем около 80% всех акций приходится на долю нефтегазового комплекса. В связи с этим в российской практике сложно применять и другое правило работы с портфелем ценных бумаг на развитых фондовых рынках, сопряженное с принципом диверсификации — пересмотр состава портфеля не реже одного раза в три — пять лет.
Специфика российского рынка акций проявляется
Специфика российского рынка акций проявляется и в том, что ему присуще внутреннее структурное деление в зависимости от ликвидности акций. Кроме значительных отличий в ликвидности акции различных эшелонов характеризуются разной траекторией движения курсов. Так, существует достаточно высокая корреляция курсов акций, входящих в один эшелон, и, напротив, существенно более низкая, а нередко и отрицательная корреляция акций различных эшелонов. Это создает определенные предпосылки для эффективной с позиций снижения риска диверсификации портфеля, элементами которого могут выступать акции различных эшелонов.
Принцип диверсификации портфеля, заключающийся в формировании групп акций, различающихся по степени ликвидности, отличается от общепринятых принципов и в определенной мере заменяет принцип диверсификации портфеля по отраслевому признаку, свойственный развитым рынкам.
В условиях значительных различий степени ликвидности требование обеспечения ликвидности портфеля ценных бумаг применительно к российским корпоративным ценным бумагам в наибольшей степени может быть достигнуто при формировании портфеля из акций, активно обращающихся в российской торговой системе и на Московской межбанковской валютной бирже. При этом важным условием является приобретение указанных ценных бумаг по низким ценам. Это связано с тем, что рынок корпоративных ценных бумаг характеризуется наличием высоких спрэдов в ценах покупки и продажи акций даже по наиболее торгуемым ценным бумагам. Ожидаемый доход от роста курсовой стоимости акций может быть нивелирован высоким спрэдом при их реализации на рынке.
Уровень ожидаемого дохода по ценным бумагам, как известно, находится в обратной зависимости от уровня процентной ставки, что определяет важность учета возможных изменений этого показателя при формировании инвестиционного портфеля. Ставка ссудного процента является важной составляющей нормы текущей доходности по финансовым инвестициям, которая устанавливает экономическую границу приемлемости рассматриваемых ценных бумаг. Поэтому риск повышения процентной ставки может вызвать необходимость корректировки фондового портфеля.
Одним их факторов, воздействующих на формирование инвестиционного портфеля, является уровень налогообложения доходов по отдельным финансовым инструментам. Если по доходам от акций ставка налогообложения является единой, то по государственным и муниципальным ценным бумагам могут устанавливаться налоговые льготы. Наличие таких налоговых льгот может создать достаточную мотивацию для включения соответствующих финансовых инструментов в состав формируемого портфеля, формирования таких разновидностей фондовых портфелей, как портфель ценных бумаг, освобожденных от налога, портфель государственных и муниципальных ценных бумаг.
Сформированный с учетом всех рассмотренных факторов портфель ценных бумаг подлежит совокупной оценке по критериям доходности, риска и ликвидности, которая должна показать, соответствуют ли его основные характеристики заданному типу портфеля. При необходимости усилить целевую направленность портфеля по отдельным критериям в него вносятся определенные коррективы.
Инвестиционный портфель: понятие, виды, цели и принципы формирования
Суть портфельного инвестирования состоит в улучшении возможностей инвестирования путем придания совокупности объектов инвестирования тех инвестиционных качеств, которые недостижимы с позиции отдельно взятого объекта, а возможны лишь при их сочетании. Структура инвестиционного портфеля отражает определенное сочетание интересов инвестора.
Оценка инвестиционного портфеля
Оценка инвестиционных решений, ранжирование инвестиционных объектов и моделирование инвестиционного портфеля могут осуществляться на основе различных методов.
Методы моделирования инвестиционного портфеля
В соответствии с правилом выбора по Парето наилучшим из совокупности предполагаемых инвестиционных объектов является вариант, для которого нет ни одного объекта по заданным показателям не хуже него, а хотя бы по одному показателю лучше. При этом для сравнения объектов инвестирования по заданным показателям составляются, как правило, таблицы предпочтений, демонстрирующие преимущества тех или иных инвестиционных объектов. Зачастую правило выбора по Парето дает большее количество вариантов, чем это необходимо с учетом ограниченности общего объема инвестиционных ресурсов. В этом случае применяется правило выбора по Борда, согласно которому инвестиционные объекты ранжируются по значениям каждого показателя в порядке убывания с присвоением соответствующего значения ранга, и наилучшим вариантом признается объект инвестирования с максимальным значением суммарного ранга.
Процедура выбора может осуществляться и на основе метода выбора по удельным весам показателей, при котором сами основные показатели ранжированы по степени значимости для инвестора. Каждому показателю присваивается весовой коэффициент (в долях единицы) при сумме всех весовых коэффициентов, равной единице. Значения рангов показателей для каждого инвестиционного объекта взвешиваются по удельным весам самих показателей и суммируются. Лучший инвестиционный объект характеризуется максимальным значением такого взвешенного ранга.
Следует отметить, что при составлении инвестиционного портфеля могут использоваться комбинированные методы, для чего отбор инвестиционных проектов производится в несколько этапов, на каждом из которых применяется одно из правил с последующим исключением выбранных вариантов из дальнейшего рассмотрения. Обобщенная оценка может осуществляться на основе суммирования значений всех рассматриваемых показателей или на основе того показателя, которому инвестор отдает приоритет. Оценочные показатели могут включать основные показатели доходности инвестиций, а также такие показатели, как совокупный показатель риска по инвестиционному проекту, показатель кредитного рейтинга заемщика и др.
Выбор того или иного метода оценки инвестиционных решений и формирования инвестиционного портфеля определяется конкретной целевой установкой инвестора. Вместе с тем рассмотренные методы не позволяют в достаточной мере отразить значение отдельных показателей в системе сравнительной оценки эффективности инвестиций, рассмотренных в предыдущей главе (чистого приведенного дохода как критериального показателя, срока окупаемости как ограничительного показателя и т.д.), достичь максимального соответствия между суммарным объемом финансирования инвестиционных проектов и предполагаемыми инвестиционными ресурсами. В наибольшей степени принципу составления оптимального портфеля соответствуют методы линейного программирования, позволяющие решить задачу максимизации доходности портфеля при заданных ограничениях.
Оценка инвестиционного портфеля по критерию риска
Оценка инвестиционного портфеля по критерию риска производится с учетом коэффициентов риска и объемов вложений в соответствующие виды инвестиций. Вначале по каждому виду инвестиций рассчитываются конкретные значения показателей риска. Совокупный риск инвестиционного портфеля предприятия определяется как соотношение сумм инвестиций по различным направлениям, взвешенным с учетом риска, и общей суммы инвестиций по формуле

где R — совокупный риск;
Ii — инвестиционные вложения по i-му направлению;
Ri — показатель риска по i-му направлению;
I — общий объем инвестиций.
Данная формула используется в случае, когда динамика доходности различных инвестиций в портфеле инвестиций предприятия взаимонезависима или малозависима. При подборе альтернативных инвестиций, находящихся в обратной корреляционной зависимости, совокупный риск портфеля может быть уменьшен. Так, если доля i-го вида инвестиций в портфеле составляет Хi, а доля инвестиций j-го вида Хj, то при ковариации величин Ii и Ij, обозначаемой КВij, дисперсия инвестиционного портфеля определяется по формуле

При величине KB, не равной 0, коэффициенты корреляции i-го и j-го видов инвестиций ККij могут быть исчислены по формуле

к 0, совокупный риск портфеля
Определение дисперсии портфеля принимает вид

При значениях ККij, приближающихся к —1, значения σ и вариации портфеля стремятся к 0, совокупный риск портфеля уменьшается. Это объясняется тем, что при падении доходности одного вида инвестиций доходность другого вида инвестиций растет, компенсируя это падение.
Совокупный риск инвестиционного портфеля в существенной мере зависит от уровня риска портфеля ценных бумаг, поскольку последний в отличие от портфеля реальных инвестиционных проектов характеризуется повышенным риском, распространяющимся не только на доход, но и на весь инвестированный капитал. При росте количества разнообразных ценных бумаг в портфеле уровень риска портфеля ценных бумаг может быть уменьшен, но не ниже уровня систематического риска.
Вместе с тем следует учитывать, что это положение справедливо лишь для случая независимости ценных бумаг в портфеле; если ценные бумаги в портфеле взаимозависимы, то возможны по меньшей мере два варианта. В случае прямой корреляционной зависимости при увеличении количества ценных бумаг в портфеле уровень риска не изменяется, так как доходность всех ценных бумаг падает или растет с одинаковой вероятностью. В случае обратной корреляционной зависимости, как уже отмечалось по инвестиционному портфелю в целом, наименее рискованный портфель ценных бумаг может быть сформирован при определении в нем оптимальных долей ценных бумаг разного типа.
При оценке инвестиционного портфеля банков с точки зрения ликвидности и процентного риска можно использовать показатель уровня риска, предложенный в предшествующем разделе, который рассчитывается как соотношение между инвестиционными активами и источниками финансирования, взвешенными по объемам и срокам

где σ — показатель уровня риска;
Iat — инвестиционные вложения, взвешенные по срокам;
Iрt — источники финансирования инвестиционных вложений, взвешенные по срокам.
о снижении соответствующих рисков. Важным
Меньшее значение показателя σ свидетельствует о снижении соответствующих рисков. Важным условием снижения риска инвестиционного портфеля является обеспечение устойчивости его структуры. Это предполагает соответствие инвестиционных вложений и источников их финансирования не только по объемам и срокам, но и по таким ключевым параметрам, как уровень рискованности инвестиционных активов и степень устойчивости ресурсов банка, предназначенных для финансирования инвестиций. Чем выше уровень риска инвестиционных вложений, тем большую долю в структуре пассивов должны занимать стабильные средства.
Игнорирование этого положения может повлечь за собой использование для финансирования высокорисковых долгосрочных вложений недостаточно устойчивых источников, которые могут быть привлечены и на долгосрочной основе.
Для определения степени стабильности инвестиционного портфеля можно использовать коэффициент, исчисляемый по формуле


Для присвоения коэффициентов риска определенным группам инвестиционных активов может быть использована методика Центрального банка РФ. Стабильность пассивов рассматриваемой методикой не оценивается. Результаты расчета коэффициента стабильности инвестиционного портфеля по группе финансово-устойчивых банков свидетельствуют о том, что его рекомендуемое значение составляет 0,9-1,2. Более низкое значение коэффициента свидетельствует о недостаточной эффективности использования источников финансирования инвестиций, а более высокое — о повышенном риске и неустойчивости структуры инвестиционного портфеля. Данный коэффициент может быть рассчитан для оценки стабильности не только совокупного инвестиционного портфеля, но и отдельных инвестиционных активов.
Вследствие специфики деятельности банка как финансового посредника собственный капитал банка занимает незначительную долю в его общей ресурсной базе по сравнению с нефинансовыми предприятиями, для которых характерна более высокая доля собственных средств, чем заемных. Это обстоятельство обусловливает различие подходов к определению стабильности инвестиционного портфеля банка и предприятия. Так, при оценке стабильности инвестиционного портфеля предприятия объем инвестиций целесообразнее соотносить с собственными источниками их покрытия.
Исходя из этого оценить стабильность
Исходя из этого оценить стабильность инвестиционного портфеля предприятия можно путем расчета соотношения между суммами вложений по различным направлениям инвестирования и объемом собственных средств (капитала) предприятия К по формуле

Рассмотренные соотношения позволяют оценить соответствие инвестиционной деятельности принципам доходности, ликвидности и надежности.
При формировании смешанного инвестиционного портфеля необходимо произвести сравнение итоговых оценочных показателей суб портфелей, по результатам которого инвестиционные ресурсы банка могут быть перераспределены для более эффективной реализации инвестиционного портфеля в целом.
Управление первоначально сформированным инвестиционным портфелем предполагает постоянный мониторинг эффективности портфеля в целом, а также его отдельных составляющих по мере изменения рыночной конъюнктуры и основных параметров конкретных инвестиционных объектов. Для оптимизации состава портфеля могут использоваться диверсификация инвестиционных активов, пересмотр отдельных составляющих портфеля, приобретение и продажа различных инвестиционных активов, работа с реальными инвестиционными проектами и др.
Отбор инвестиционных объектов по критерию ликвидности
Отбор инвестиционных объектов по критерию ликвидности осуществляется исходя из оценки двух параметров: времени трансформации инвестиций в денежные средства и размера финансовых потерь инвестора, связанных с этой трансформацией. Оценка ликвидности по времени трансформации измеряется, как правило, количеством дней, необходимых для реализации на рынке того или иного инвестиционного объекта.
Для оценки ликвидности инвестиционных объектов по времени трансформации инвестиционного портфеля в целом следует осуществить классификацию инвестиций по степени ликвидности, выделив:
реализуемые инвестиции Ip, включающие быстрореализуемые и среднереализуемые инвестиции,
слабореализуемые инвестиции Ic, включающие медленно реализуемые инвестиции и трудно реализуемые инвестиции.
Оценка ликвидности производится на основе расчета
Lp — доли легкореализуемых инвестиций
(Iр) в общем объеме инвестиций (I),
Lc — доли слабореализуемых инвестиций в общем объеме инвестиций (I) и
коэффициента соотношения ликвидности реализуемых и слабореализуемых инвестиций Кл по формулам

При больших значениях доли реализуемых инвестиций в их общем объеме и коэффициента соотношения ликвидности реализуемых и слабореализуемых инвестиций инвестиционный портфель считается более ликвидным. Подбор высоколиквидных объектов инвестирования при прочих равных условиях обеспечивает инвестору возможность повышения гибкости управления инвестиционным портфелем путем реинвестирования средств в более выгодные активы, выхода из неэффективных проектов и т.д.
При оценке ликвидности реальных инвестиционных проектов, характеризующихся относительно низкой степенью ликвидности, в качестве показателя обычно рассматривают период инвестирования до начала эксплуатации объекта, исходя из того, что реализованный инвестиционный проект, приносящий реальный денежный поток, может быть продан в относительно более короткий срок, чем незавершенный объект. Средний уровень ликвидности портфеля реальных инвестиционных проектов определяется как средневзвешенная величина, рассчитываемая на основе доли инвестиционных ресурсов, направляемых в проекты с различным сроком реализации, и среднего срока реализации проектов.
Оценка ликвидности инвестиционных объектов по уровню финансовых потерь определяется на основе анализа отдельных составляющих этих потерь путем соотнесения суммы потерь и затрат к сумме инвестиций. Показатели ликвидности инвестиций по времени и уровню финансовых потерь находятся между собой в обратной зависимости, экономическое содержание которой заключается в том, что если инвестор соглашается на больший уровень финансовых потерь при реализации инвестиций, то он быстрее сможет реализовать проект, и наоборот. Наличие такой связи позволяет инвестору не только осуществлять оценку уровня ликвидности инвестиций, но и управлять процессом их трансформации в денежные средства, воздействуя на показатель уровня финансовых потерь.
Отбор объектов инвестирования по критерию доходности
Отбор объектов инвестирования по критерию доходности (эффективности) играет наиболее существенную роль в процессе инвестиционного анализа в связи с высокой значимостью этого фактора в системе оценок. При постановке задачи линейного программирования оптимизация инвестиционного портфеля сводится к задаче нахождения такой комбинации инвестиционных объектов, которая обеспечила бы максимально возможный уровень доходности при заданных ограничениях.
В качестве критериального показателя доходности, который должен быть максимизирован, следует использовать показатель суммарного чистого приведенного дохода инвестиционного портфеля, отражающий совокупный эффект инвестиций

В качестве ограничений могут быть заданы нестрогие неравенства (≤ и ≥):
общий объем инвестиций по объектам в составе инвестиционного портфеля ∑Ii не должен превышать объем инвестиционных ресурсов, выделенных для финансирования инвестиций Ip

минимальная внутренняя норма доходности по объектам в составе инвестиционного портфеля (IRR) должна быть не меньше стоимости предполагаемых инвестиционных ресурсов k или установленной инвестором нормы дисконта r
максимальный срок окупаемости по объектам

максимальный срок окупаемости по объектам в составе инвестиционного портфеля Тi не должен быть больше установленного предприятием ограничения Tp

прочие показатели, существенные для инвестора.
Понятие инвестиционного портфеля
В процессе формирования инвестиционного портфеля обеспечивается новое инвестиционное качество с заданными характеристиками. Таким образом, инвестиционный портфель выступает как инструмент, посредством которого достигается требуемая доходность при минимальном риске и определенной ликвидности.
Под инвестиционным портфелем понимается целенаправленно сформированная в соответствии с определенной инвестиционной стратегией совокупность вложений в инвестиционные объекты. Исходя из этого основная цель формирования инвестиционного портфеля может быть сформулирована как обеспечение реализации разработанной инвестиционной политики путем подбора наиболее эффективных и надежных инвестиционных вложений.
В зависимости от направленности избранной инвестиционной политики и особенностей осуществления инвестиционной деятельности определяется система специфических целей, в качестве которых могут выступать:
максимизация роста капитала;
максимизация роста дохода;
минимизация инвестиционных рисков;
обеспечение требуемой ликвидности инвестиционного портфеля.
Данные цели формирования инвестиционного портфеля в существенной степени являются альтернативными. Так, рост рыночной стоимости капитала связан с определенным снижением текущего дохода инвестиционного портфеля. Приращение капитальной стоимости и увеличение дохода ведут к повышению уровня инвестиционных рисков. Задача достижения требуемой ликвидности может препятствовать включению в инвестиционный портфель объектов, обеспечивающих рост капитальной стоимости или получение высокого дохода, но характеризующихся, как правило, весьма низкой ликвидностью. В связи с альтернативностью рассмотренных целей инвестор при формировании инвестиционного портфеля определяет их приоритеты или предусматривает сбалансированность отдельных целей исходя из направленности разработанной инвестиционной политики.
Учет приоритетных целей при формировании инвестиционного портфеля лежит в основе определения соответствующих нормативных показателей, служащих критерием при отборе вложений для инвестиционного портфеля и его оценке. В зависимости от принятых приоритетов инвестор может установить в качестве такого критерия предельные значения прироста капитальной стоимости, дохода, уровня допустимых инвестиционных рисков, ликвидности. Вместе с тем в составе инвестиционного портфеля могут сочетаться объекты с различными инвестиционными качествами, что позволяет получить достаточный совокупный доход при консолидации риска по отдельным объектам вложений.
Порядок формирования инвестиционного портфеля
Общими критериями включения различных объектов в инвестиционный портфель являются соотношения доходности, риска и ликвидности инвестиционных вложений, вместе с тем формирование конкретных портфелей имеет свои особенности.
Формирование портфеля реальных инвестиционных проектов
В отличие от портфелей других объектов инвестирования портфель реальных инвестиционных проектов является, как правило, наиболее капиталоемким, наименее ликвидным, высоко рисковым, а также наиболее сложным в управлении, что определяет высокий уровень требований к его формированию, отбору включаемых в него инвестиционных проектов.
В условиях становления рынка инвестиционных проектов в России, направленных на развитие отечественного производства, представляется целесообразным их осуществление на основе использования проектного финансирования с его системой тщательной оценки проекта, детальной разработки механизма реализации, распределения рисков между заемщиком, кредитором и другими участвующими в проекте сторонами.
В качестве источников информации о существующих инвестиционных проектах могут использоваться:
данные, накопленные администрациями регионов;
инвестиционные проекты, выдвинутые в рамках Программы конверсии предприятий ВПК;
инвестиционные проекты, являющиеся частью планов приватизации предприятий;
инновационные проекты различных проектных, научно-исследовательских институтов, вузов;
различные инициативные проекты.
Общий подход к рассмотрению реальных инвестиционных проектов предполагает оценку области деятельности проекта, анализ проекта, выбор метода финансирования, выявление рисков проекта, разработку схемы распределения рисков и схемы финансирования (п. 12.1). Важной задачей является определение факторов, позволяющих произвести предварительный отбор инвестиционных проектов.
в политике реализации структурной перестройки
К таким факторам можно отнести:
приоритеты в политике реализации структурной перестройки экономики региона;
состояние отраслевой среды, характеризующееся стадией цикла, в которой находится отрасль, структура и конкурентоспособность отрасли, законодательство и нормативная база;
соответствие инвестиционного проекта стратегии деятельности компании;
степень разработанности инвестиционного проекта;
концентрацию средств на ограниченном числе объектов;
сравнительно быстрые сроки окупаемости вложений;
наличие производственной базы и инфраструктуры для реализации инвестиционного проекта;
объем инвестиций, требующихся для реализации проекта;
форму инвестирования;
структуру источников финансирования инвестиционного проекта, долю собственных и привлеченных средств в реализации проекта;
наличие и качество маркетинговых исследований;
уровень риска несвоевременной реализации проекта и недостижения расчетной эффективности;
возможность использования льготной политики налогообложения;
поддержку инвестиционного проекта федеральными и/или региональными государственными структурами.
При проведении предварительного анализа учитываются также характеристика инициатора проекта (организационно-правовая форма собственности, структура уставного капитала, кредитная история, данные о производственных ресурсах и хозяйственной деятельности, финансовом положении) и сведения об обеспечении проекта (платежные гарантии, страховые депозиты, залог, страхование кредита, гарантии правительственных структур).
Отобранные в результате предварительной оценки инвестиционные проекты подлежат обязательной экономической экспертизе, которая играет существенную роль в анализе инвестиционных проектов. В ходе всесторонней экспертизы инвестиционных проектов проверяется достоверность приведенных в бизнес-плане основных характеристик проекта, осуществляются определение денежных потоков, генерируемых проектом, и расчет конкретных значений показателей эффективности, риска и ликвидности, сравнение и окончательный отбор инвестиционных проектов с учетом приоритетных целей инвестирования. При этом используются рекомендации международных методик оценки инвестиционных проектов (ЮНИДО, Всемирного банка, ЕБРР), подкрепленные программными продуктами, а также отечественных методик с использованием специальных компьютерных программ, представленных на российском рынке (PROJECT EXPERT, Альт-Инвест и др.).
Однако существует определенная ограниченность применения различных методик для принятия конкретных решений по формированию портфеля, поскольку помимо общего уровня проработанности проектов и обоснованности расчетов по ним необходимо иметь точное представление о таких важных вопросах, как способность инициаторов проекта осуществить его успешную реализацию и определить эффективность продвижения предлагаемой продукции на рынке.
Поэтому при формировании инвестиционного портфеля следует проработать не только финансовые характеристики проекта, но и другие его разделы, особенно связанные с менеджментом и маркетингом, которые зачастую являются наименее проработанными. Слабое знание рынка, мотивов поведения потребителя, перспектив реализации предлагаемой продукции и позиции предприятия на рынке существенно снижает конкурентоспособность проектов. Анализ практики свидетельствует о том, что затраты на экспертизу несопоставимы с возможными потерями, если проект, будучи профинансирован, потерпит коммерческую неудачу на рынке.
Принципы формирования инвестиционного портфеля
Анализ различных теорий портфельного инвестирования свидетельствует о том, что в основу формирования инвестиционного портфеля должны быть положены определенные принципы.
К основным из них можно отнести:
обеспечение реализации инвестиционной политики, вытекающее из необходимости достижения соответствия целей формирования инвестиционного портфеля целям разработанной и принятой инвестиционной политики;
обеспечение соответствия объема и структуры инвестиционного портфеля объему и структуре формирующих его источников с целью поддержания ликвидности и устойчивости предприятия;
достижение оптимального соотношения доходности, риска и ликвидности (исходя из конкретных целей формирования инвестиционного портфеля) для обеспечения сохранности средств и финансовой устойчивости предприятия;
диверсификация инвестиционного портфеля, включение в его состав разнообразных инвестиционных объектов, в том числе и альтернативных инвестиций для повышения надежности и доходности и снижения риска вложений;
обеспечение управляемости инвестиционным портфелем, что предполагает ограничение числа и сложности инвестиций в соответствии с возможностями инвестора по отслеживанию основных характеристик инвестиций (доходности, риска, ликвидности и пр.).
Формирование инвестиционного портфеля осуществляется после того, как сформулированы цели инвестиционной политики, определены приоритетные цели формирования инвестиционного портфеля с учетом сложившихся условий инвестиционного климата и конъюнктуры рынков.
Отправной точкой формирования инвестиционного портфеля является взаимосвязанный анализ собственных возможностей инвестора и инвестиционной привлекательности внешней среды с целью определения приемлемого уровня риска в свете прибыльности и ликвидности баланса. В результате такого анализа задаются основные характеристики инвестиционного портфеля (степень допустимого риска, размеры ожидаемого дохода, возможные отклонения от него и пр.), осуществляется оптимизация пропорций различных видов инвестиций в рамках всего инвестиционного портфеля с учетом объема и структуры инвестиционных ресурсов.
Важным этапом формирования инвестиционного портфеля является выбор конкретных инвестиционных объектов для включения в инвестиционный портфель на основе оценки их инвестиционных качеств и формирования оптимального портфеля.
Виды инвестиционных портфелей
Различие видов объектов в составе инвестиционного портфеля, целей инвестирования, других условий обусловливает многообразие типов инвестиционных портфелей, характеризующихся определенным соотношением дохода и риска. Это находит свое отражение в различных классификационных схемах, приводимых в экономической литературе.
Классификация инвестиционных портфелей по видам объектов инвестирования связана прежде всего с направленностью и объемом инвестиционной деятельности. Для предприятий, осуществляющих производственную деятельность, основным типом формируемого портфеля является портфель реальных инвестиционных проектов, для институциональных инвесторов — портфель финансовых инструментов.
Это не исключает возможность формирования смешанных инвестиционных портфелей, объединяющих различные виды относительно самостоятельных портфелей (субпортфелей), характеризующихся различными видами инвестиционных объектов и методами управления ими.
При этом специализированные инвестиционные портфели могут формироваться как по объектам инвестиций, так и по более частным критериям:
отраслевой или региональной принадлежности,
срокам инвестиций,
видам риска и др.
Так, инвестиционный портфель фирмы (компании) в условиях рыночной экономики включает, как правило, не только портфель реальных инвестиций, но и портфель ценных бумаг, и может дополняться портфелем прочих финансовых инвестиций (банковские депозиты, депозитные сертификаты и пр.).
Инвестиционный портфель банка может включать комбинацию следующих портфелей:
портфель инвестиционных проектов;
портфель инвестиционных кредитов;
портфель ценных бумаг; портфель долей и паев;
портфель недвижимости;
портфель вложений в драгоценные металлы, коллекции и прочие объекты инвестирования.
В зависимости от приоритетных целей
В зависимости от приоритетных целей инвестирования можно выделить:
портфель роста,
портфель дохода,
консервативный портфель,
портфель высоколиквидных инвестиционных объектов.
Портфель роста и портфель дохода ориентированы преимущественно на вложения, обеспечивающие соответственно приращение капитала или получение высоких текущих доходов, что связано с повышенным уровнем риска. Консервативный портфель, напротив, формируется за счет инвестиционных объектов с меньшим уровнем риска, которые характеризуются более низкими темпами прироста рыночной стоимости или текущих доходов. Портфель высоколиквидных инвестиционных объектов предполагает возможность быстрой трансформации портфеля в денежную наличность без существенных потерь стоимости.
Эти типы портфелей, в свою очередь, включают целый ряд промежуточных разновидностей.
Например, в рамках портфеля роста могут быть выделены:
портфель консервативного роста,
портфель среднего роста,
портфель агрессивного роста.
По степени соответствия целям инвестирования следует выделить сбалансированные и несбалансированные портфели. Сбалансированный портфель характеризуется сбалансированностью доходов и рисков, соответствующей качествам, заданным при его формировании. В его состав могут быть включены различные инвестиционные объекты: с быстро растущей рыночной стоимостью, высокодоходные и иные объекты, соотношение которых определяется рыночной конъюнктурой. При этом комбинация различных инвестиционных вложений позволяет достичь приращения капитала и получения высокого дохода при уменьшении совокупных рисков. Несбалансированный портфель может рассматриваться как портфель, не соответствующий поставленным при его формировании целям.
Поскольку подбор объектов в составе инвестиционного портфеля осуществляется в соответствии с предпочтениями инвесторов, существует связь между типом инвестора и типом портфеля. Так, консервативному инвестору соответствует высоконадежный, но низкодоходный портфель, умеренному — диверсифицированный портфель, агрессивному — высокодоходный, но рискованный портфель.
Портфельное инвестирование направлено на улучшение
1. Портфельное инвестирование направлено на улучшение возможностей инвестирования путем придания определенной комбинации объектов инвестирования заданных инвестиционных качеств, которые не могут быть достигнуты с позиций отдельных инвестиционных объектов. Под инвестиционным портфелем понимают целенаправленно сформированную в соответствии с определенной инвестиционной стратегией совокупность вложений в инвестиционные объекты. Основной целью формирования инвестиционного портфеля является обеспечение реализации разработанной инвестиционной политики путем подбора наиболее эффективных и надежных инвестиционных вложений. В качестве специфических целей выступают: максимизация роста капитала, максимизация роста дохода, минимизация инвестиционных рисков, обеспечение требуемой ликвидности инвестиционного портфеля. В связи с альтернативностью специфических целей при формировании инвестиционного портфеля определяются приоритеты или предусматривается его сбалансированность.
2. Различие объектов в составе инвестиционного портфеля, целей инвестирования и других условий обусловливает многообразие типов инвестиционных портфелей. Их классификация может осуществляться по различным признакам: направления инвестиционной деятельности, цели инвестирования, степень соответствия целям инвестирования и др. К основным принципам формирования инвестиционного портфеля относят: обеспечение реализации инвестиционной политики; обеспечение соответствия объема и структуры инвестиционного портфеля объему и структуре формирующих его источников; достижение оптимального соотношения доходности, риска и ликвидности; диверсификация инвестиционного портфеля; обеспечение управляемости инвестиционным портфелем.
3. Отличительными особенностями портфеля реальных инвестиционных проектов являются высокая капиталоемкость, низкая ликвидность, высокий риск. Отбор инвестиционных проектов предполагает учет приоритетов экономической политики, состояния отраслевой среды, формы инвестирования, соответствия инвестиционного проекта стратегии деятельности компании, степени разработанности инвестиционного проекта, уровня риска, срока окупаемости вложений, требуемого объема инвестиций и их структуры, возможности концентрации средств на ограниченном числе объектов, наличия производственной базы и инфраструктуры, наличия и качества маркетинговых исследований, возможностей использования льготной политики налогообложения, степени государственной поддержки инвестиционного проекта.
4. Портфель ценных бумаг характеризуется, с одной стороны, более высокой степенью ликвидности и управляемости, а с другой стороны - повышенными инфляционными рисками и ограниченным воздействием на доходность. К основным факторам, определяющим формирование фондового портфеля, относят: приоритеты целей инвестирования, степень диверсификации инвестиционного портфеля, необходимость обеспечения требуемой ликвидности портфеля, уровень и динамику процентной ставки, уровень налогообложения доходов по различным финансовым инструментам. В соответствии с современной портфельной теорией учет принципа диверсификации (по отраслям, регионам, эмитентам) портфеля предполагает подбор ценных бумаг с разнонаправленной динамикой движения курсовой стоимости (дохода). В условиях отечественного фондового рынка, характеризующегося незначительным количеством обращающихся ценных бумаг приемлемого качества и соответствующей спецификой формирования фондового портфеля, могут использоваться лишь некоторые аспекты портфельной теории с учетом их адаптации к существующим реалиям.
5. Моделирование инвестиционного портфеля и оценка инвестиционных решений могут осуществляться на основе различных методов (правило Парето, правило Борда, выбор по удельным весам показателей, ранжированных по степени значимости, комбинированные методы, методы линейного программирования и др.). Выбор метода оценки инвестиционных решений и формирования инвестиционного портфеля определяется целями инвестора. Сформированный портфель ценных бумаг подлежит совокупной оценке по критериям доходности, риска и ликвидности.
Формирование инвестиционной политики государства в условиях развития рыночных отношений в России
Становление новой модели инвестиционной деятельности, адекватной рыночной системе хозяйствования, предполагало замену централизованного распределения инвестиционных ресурсов рыночными формами инвестирования. Это, в свою очередь, обусловливало необходимость разработки новой инвестиционной политики, отвечавшей изменившимся экономическим условиям. Между тем заданные приоритеты экономической политики определили «вторичность» задач инвестиционного развития по отношению к финансовым целям.
Как уже отмечалось, официальная концепция рыночного реформирования российской экономики базировалась на упрощенно-монетаристских принципах, реализация которых на практике выразилась в конкретных мерах по минимизации роли государства в экономике, ускоренной либерализации цен и внешнеэкономической деятельности, приватизации государственной собственности, формировании рыночных структур.
Инвестиционная политика начального периода рыночного реформирования
Меры государственной инвестиционной политики в рассматриваемый период были связаны в основном с комплексной программой стимулирования отечественных и иностранных инвестиций в экономике России, Бюджетом развития на период 1997—2000 гг., концепцией среднесрочной программы развития российской экономики на 1997—2000 гг. «Структурная перестройка и экономический рост».
Основные направления государственной инвестиционной политики, изложенные в этих документах, включали:
проведение децентрализации инвестиционного процесса, перенос центра тяжести на частные инвестиции, повышение роли собственных и привлеченных средств предприятий посредством проведения новой амортизационной политики, использования прибыли, вторичной эмиссии ценных бумаг, средств банков, институциональных инвесторов, населения;
переход от безвозвратного финансирования предприятий к кредитованию их на платной и возвратной основе;
усиление государственного контроля за целевым расходованием средств федерального бюджета, направленных на инвестиции;
сохранение роли государства как стратегического инвестора в области важнейших жизнеобеспечивающих производств, социальной сфере, общественно значимых объектов, не привлекательных для частных инвесторов;
использование централизованных инвестиций на реализацию эффективных и быстро окупающихся проектов, расширение практики их долевого (государственного и частного) финансирования;
стимулирование частных и иностранных инвестиций, совершенствование нормативной базы, предоставление гарантий и страхование инвестиций.
В соответствии с принятым курсом экономических реформ восстановление инвестиционного процесса должно было осуществляться при минимальной роли государства. В качестве основных предполагаемых источников рассматривались: возросшие возможности предприятий за счет снижения налогового бремени и роста амортизационных отчислений, перелив кредита с рынка государственных обязательств в реальный сектор, мобилизация валютных сбережений населения, находящихся вне банковского оборота, приток иностранного частного капитала.
Между тем, как уже отмечалось, на базе рыночных методов регулирования не удалось решить поставленные задачи, поскольку в российской экономике не сложились условия, позволяющие полностью отказаться от методов государственного воздействия. В российских условиях воздействие монетарных импульсов на производство не принесло ожидаемых результатов. Жесткие рестрикционные меры в области денежно-кредитной политики хотя и облегчили в определенной мере адаптацию предприятий к изменяющейся рыночной конъюнктуре, но обнаружили свою несостоятельность в плане структурной перестройки производства и экономического оживления. Ухудшающееся финансовое состояние предприятий препятствовало, с одной стороны, направлению собственных средств (прибыли и амортизации) на инвестиционные цели, а с другой — привлечению ресурсов фондового и кредитного рынков.
Не были созданы макроэкономические предпосылки для мобилизации сбережений населения в форме иностранной наличной валюты, притока отечественного и иностранного частного капитала в реальный сектор экономики. В результате проводимой политики покрытия дефицита государственного бюджета путем расширяющейся эмиссии государственных обязательств накопление государственного долга и повышение стоимости его обслуживания вело к прогрессирующему сокращению возможностей бюджетного финансирования, которое усугублялось ростом напряженности в бюджетно-налоговой сфере в условиях жесткой фискальной политики и деформации платежной системы.
В поисках выхода из создавшейся ситуации осуществлялось постоянное урезание бюджетных расходов. Сокращение доходной части бюджета вело к перенапряженности и неупорядоченности государственного финансирования, необеспеченности финансовыми ресурсами запланированных инвестиционных расходов, хроническому невыполнению федеральных инвестиционных программ.
Государственное финансирование инвестиционной деятельности было практически свернуто, между тем масштабы частного инвестирования не смогли компенсировать снижение государственных инвестиций. При повышении доли частных инвестиций в общем объеме источников финансирования (по формам собственности) совокупные инвестиционные ресурсы резко сократились. Если сокращение бюджетной поддержки производства по внешним признакам согласуется с сущностью рыночных преобразований, то почти полный отказ от государственного инвестирования противоречит закономерностям развития рыночной экономики.
Инвестиционная политика в посткризисный период
С целью корректировки курса экономических реформ и решения задач выхода страны из острого экономического кризиса в ноябре 1998 г. был принят совместный документ «О мерах Правительства Российской Федерации и Центрального банка Российской Федерации по стабилизации социально-экономического положения в стране», который исходил из необходимости усиления вмешательства государства в экономику, в том числе и ее инвестиционную сферу. В нем было предусмотрено повышение организующей роли государства в обеспечении повышения эффективности производства за счет объединения «проблемных» организаций в крупные корпорации, в том числе с государственным участием, и оказания поддержки развитию мелкого и среднего бизнеса, создания конкурентной среды. Данный документ содержал ряд новых подходов к решению проблем оздоровления государственных финансов, банковской системы, восстановления рыночных механизмов реального сектора экономики, снижения налогового бремени, стимулирования экспорта, инвестиционной и инновационной активности, защиты внутреннего рынка, повышения эффективности управления государственным имуществом.
Были определены приоритеты программ развития, через которые должна реализовываться государственная структурная и производственная политика:
наращивание производства в отраслях с быстрым оборотом капитала и высокой бюджетной эффективностью, обеспечивающих товарное наполнение потребительского рынка;
поддержка наукоемких отраслей и высоких технологий, отраслей с высокой степенью обработки продукции, в том числе на базе развития кооперационных связей с иностранными компаниями;
производство конкурентоспособной машиностроительной продукции как основы технической реконструкции экономики;
сохранение и увеличение занятости населения.
Однако реализация данных подходов осложнялась сохранением существующих экономических условий; преодоление же сложившихся экономических проблем требовало использования действенных механизмов мобилизации ресурсов и инвестиционного роста.
Так, продолжалось сокращение государственных инвестиций и уменьшение доли средств, выделяемых на финансирование государственной инвестиционной Программы. Не получили государственной поддержки инвестиционные программы конверсии оборонной промышленности, а также большая часть объектов производственных комплексов. Было приостановлено выполнение большинства федеральных целевых программ. Сокращение инвестиционных расходов осуществлялось без детального анализа различных инвестиционных программ и их оценки с позиций соответствия приоритетным направлениям экономического роста.
Аналогичная ситуация наблюдалась и в области государственного финансирования инновационной деятельности. Реализация намерений реструктурирования научно-технической сферы с целью приведения ее в соответствие с реальным экономическим базисом, платежеспособным спросом на научно-техническую продукцию на практике означала резкое сокращение доли государственных ассигнований на развитие инновационной деятельности. Необоснованность инвестиционной политики и противоречивость принимаемых мер обусловили невыполнимость целевых ориентиров и неэффективность их программного обеспечения.
Новые программные правительственные документы, официально отражающие экономическую стратегию государства (план действий Правительства Российской Федерации в области социальной политикой модернизации экономики на 2000-2001 гг., в основе которого положена стратегия развития Российской Федерации до 2010 г. фонда «Центр стратегических разработок»), декларируют смену приоритетов экономической политики, усиление ее направленности на модернизацию и развитие реального сектора. В качестве основных средств достижения поставленных целей рассматриваются: улучшение инвестиционного и предпринимательского климата, условий для развития финансовых рынков, методы денежно-кредитной, бюджетной и налоговой политики.
Анализ практического применения либеральной модели развития экономики ясно свидетельствует о том, что для инвестиционного подъема необходимо существенное повышение действенности государственного регулирования.
Кейнсианская концепция
В соответствии с кейнсианской доктриной инвестиционный спрос является важнейшей составляющей, определяющей динамику валового национального продукта. Частный инвестиционный спрос изменчив.
Это обусловлено следующими факторами:
1) субъекты сбережений и инвестиций выступают как различные группы, принимающие решения о сбережениях и инвестициях на различных основаниях;
2) источником финансирования инвестиций являются не только текущие сбережения, но и наличные сбережения домашних хозяйств и эмиссия денежных средств кредитными организациями.
В связи с этим кейнсианская концепция предполагает возможность разрыва между объемами сбережений и инвестиций при изменении наличных сбережений домашних хозяйств и ссуд коммерческих банков. Изменчивость частного спроса вызывает нестабильность экономики, что определяет необходимость государственного вмешательства, в основе которого должно лежать воздействие на динамику цен и процентных ставок.
Логика кейнсианской модели состоит в следующем. Предположим изначально, что при прогнозируемой величине денежной массы в обращении устанавливается равновесная ставка ссудного процента. Согласно кейнсианским рекомендациям с целью стимулирования инвестиций государство увеличивает предложение денег. При сохраняющемся спросе на деньги рынок отвечает на данное воздействие снижением ставки процента. Изменения на денежном рынке дают толчок к реакции инвестиционного рынка: уменьшение ссудного процента приводит к росту инвестиций вследствие удешевления кредита и повышения курса ценных бумаг. При повышении вложений в производство возрастает объем национального продукта, увеличивается масса дохода, на который прирост инвестиций (чистых) оказывает мультиплицирующий эффект. Таким образом, краткосрочное воздействие государства приводит к стимулированию роста инвестиций и производства. Однако рыночный механизм, отвечая на повысившийся уровень дохода и соответствующее повышение спроса на деньги, увеличивает ставку процента, что блокирует инвестиции.
Таким образом, рыночный механизм, отреагировав на государственное вмешательство, в конечном счете гасит первоначальный импульс. Это значит, что в долгосрочной перспективе ставка процента слабо подвержена регулирующему воздействию. Политика дальнейшего наращивания денежной массы приводит не только к инфляционному финансированию, но и к бесконечной эластичности спроса на деньги по проценту. В результате экономика попадает в ликвидную ловушку, описанную Д. Робертсоном. Дальнейшее наращивание денежной массы не даст эффекта, так как ставка процента не опустится ниже определенного минимума. В этой ситуации инвестиционный рынок не получит импульса от денежного, что приведет к блокированию инвестиций, спаду производства.
механизм воздействия на инвестиции через
Следовательно, механизм воздействия на инвестиции через динамику нормы процента в условиях депрессии, когда процентная ставка не уменьшается, не действует. Политика дешевых денег еще не означает, что банки готовы предоставлять ссуды. Низкий процент обусловливает рост курса ценных бумаг, однако фирмы не могут получать средства от продажи своих ценных бумаг, так как последние в условиях спада ненадежны. Возрастает предпочтение ликвидности, увеличение массы наличных денег повышает платежеспособный потребительский спрос, что при уменьшающемся товарном предложении ведет к инфляционному росту цен.
Поскольку денежно-кредитная политика оказывается недействительной, кейнсианская модель предполагает использование фискальной политики для стабилизации экономики, в частности увеличение государственных расходов. Эта мера может оказать стимулирующее воздействие на инвестиционный спрос, однако приведет к увеличению дефицита госбюджета. Попытка его финансирования даже наименее инфляционным способом — за счет займов на кредитном рынке — может усилить рыночное неравновесие.
Во-первых, она приведет к оттоку денежных средств с рынка частных инвестиций в государственные обязательства, являющиеся более надежными (crowding-out effect), в результате чего сбережения будут направлены на покрытие дефицита государственного бюджета, а не инвестиционного спроса фирм, определяющего инвестиционный процесс в рыночной экономике. Во-вторых, нехватка денежных средств на рынке ссудного капитала обусловит рост ставок банковского кредита, снижение курса ценных бумаг, что также уменьшает инвестиции.
Таким образом, можно сделать вывод, что в долгосрочном периоде кейнсианские рекомендации недостаточно эффективны. Кроме того, рассмотренному механизму присущи и внутренние противоречия. Если экспансионистские меры, включающие кредитную экспансию Центрального банка и функции государства как гаранта частных сделок имеют стимулирующее воздействие на инвестиции, другие мероприятия (прогрессивное налогообложение, увеличение бюджетных расходов на потребление) ведут к снижению мотивов сбережения и инвестирования.
Использование кейнсианских рекомендаций возможно в условиях:
а) кризисных периодов, требующих усиления вмешательства государства;
б) установления контроля за эмиссией и темпами инфляции;
в) государственной поддержки конкуренции.
Монетаризм
Монетаристы, являющиеся последователями неоклассической теории равновесия рыночной экономики, поддерживают ее концептуальное положение о тождественности сбережений и инвестиций. В противовес кейнсианству, которое спрос на деньги считает неустойчивым и подверженным воздействию спекулятивных мотивов, монетаризм исходит из стабильности функции спроса на деньги, обусловленной устойчивой склонностью к сбережениям. Из этого делается вывод, что эффективное функционирование и развитие рыночной системы могут быть достигнуты при условии постоянного приращения денежной массы, соответствующего потребностям экономики; в свою очередь, динамика инвестиций, рассматриваемых как воплощенная форма сбережений, определяется изменениями денежной массы.
В отличие от кейнсианской теории монетаризм предполагает, что дискретная политика государства по манипулированию денежным предложением препятствует функционированию рыночной экономики, которая обладает высокой степенью стабильности. Вследствие инерционности рыночного механизма могут возникать различные последствия, которые не являются полностью предсказуемыми и могут быть подвержены краткосрочному воздействию. Постоянное вмешательство государственных органов управления приводит к искажению рыночной конъюнктуры, лишает хозяйствующие субъекты экономических ориентиров. Регулирование инвестиций посредством воздействия на процентную ставку вызывает нарушение механизма саморегулирования, ведет к резким колебаниям денежной массы в обращении, росту инфляции. Поэтому для стабилизации экономики необходимо поддерживать постоянный обоснованный рост денежной массы в соответствии с требованиями рынка.
Регулирование величины и темпов роста денежной массы осуществляется методом таргетирования, предполагающего установление целевых ориентиров роста денежных агрегатов на предстоящий период исходя из ожидаемого повышения производственного потенциала и роста цен в течение таргетируемого периода, а также учет количественных параметров денежной массы в действиях всех участников рынка.
Стабилизация цен, нивелирование инфляционной компоненты в результате политики таргетирования ведет к стимулированию конкуренции. В этих условиях происходит восстановление механизма равновесных цен, ориентирующих инвестора на вложение в более прибыльные сферы инвестиционной деятельности. С целью воздействия на инвестиционный процесс государство использует также снижение налогового бремени, сокращение бюджетного дефицита и др.
Вместе с тем использование монетарного правила должно учитывать долгосрочные цели. Общее изменение денежной массы за определенный период не должно превышать расчетного долгосрочного темпа.
Определение стратегических приоритетов инвестирования
При определении стратегических приоритетов необходимо исходить из имеющихся конкурентных преимуществ на мировом рынке, выражающихся в первую очередь в наличии разработок высоких технологий. В настоящее время к отраслям, где существуют серьезные технологические заделы и сохраняются потенциальные преимущества, можно отнести авиацию, металлургию, энергетику, машиностроение, станкостроение, биотехнологию и ряд других.
Инвестиции в производство инновационной продукции будут способствовать формированию новых направлений перетока капитала, повышению его производительности и стимулированию экономического роста. Точечный характер этих инвестиций позволит добиться экономического оживления при ограниченности инвестиционных источников. Такой подход признан мировой практикой испытанным способом преодоления ограничителей экономического роста, обусловленных недостаточностью рыночных механизмов.
Высокую степень приоритетности следует придать эффективным программам развития жизнеобеспечивающих отраслей и сфер народного хозяйства, поддержки отечественных производителей и обеспечения внутреннего спроса в экономике. Вместе с тем следует учитывать, что в экономике, интегрирующейся в мирохозяйственные связи, инвестиции в производство товаров, являющихся конкурентоспособными лишь на внутреннем рынке, не могут быть источником стабильного и растущего дохода.
Важным условием эффективности государственной инвестиционной политики является разработка концепции структурной перестройки производственного сектора, особенно в части приоритетных направлений, на базе которой должны быть определены стратегии и механизм реформирования для различных групп предприятий, масштабы, формы и методы государственной поддержки, модели организации производственных структур с учетом реально сложившихся в российской экономике условий, в том числе и институциональных.
В российской экономике традиционно носителями конкурентных преимуществ являются крупные производственные комплексы. Именно крупные корпорации, обладающие научно-техническим потенциалом, возможностями мобилизации ресурсов и эффективной интеграции в мирохозяйственные связи, могут выступить основой подъема и ускоренного развития экономики. Предприятия мелкого бизнеса, имеющие, несомненно, большое значение для функционирования рыночной экономики, в настоящее время характеризуются крайне низким техническим уровнем и отсутствием инвестиционных ресурсов, что вызывает необходимость поиска их места в производственных цепочках крупных структур. Формирование устойчивых и эффективно развивающихся корпоративных отраслевых и межотраслевых диверсифицированных объединений, финансово-промышленных групп требует усиления государственной поддержки корпоративного звена, в том числе и путем непосредственного участия в капитале корпораций. Развитие корпоративных форм будет способствовать реализации долгосрочных производственных программ, созданию реальных условий для обеспечения устойчивого экономического роста.
Принципы, границы и формы участия государства в инвестиционной деятельности
Правительственными, независимыми структурами, коллективами ученых, отдельными специалистами разработаны различные концепции инвестиционной политики. Несмотря на значительное многообразие, их объединяет позиция, согласно которой односторонний монетаристский подход, так же как и возврат к централизованной системе управления экономики России, в современных условиях недостаточны.
Действительно, анализ ситуации, сложившейся в российской экономике, приводит к принципиальному выводу о невозможности обеспечить решение приоритетных задач инвестиционного развития только на основе саморегуляции рынка, который в российской экономике характеризуется весьма низкой степенью сформированности. Требуется усиление роли государства в инвестиционной сфере, корректировка экономической политики, поиск оптимального сочетания государственного и рыночного регулирования. При этом следует определить границы и принципы участия государства в инвестиционном процессе с учетом специфики переходного к рынку периода развития российской экономики.
Современные системы экономического регулирования
Современный международный опыт свидетельствует о том, что на разработку инвестиционной политики воздействуют различные теоретические рекомендации, эффективность применения которых зависит от полноты учета особенностей сложившейся конъюнктуры, различных факторов, воздействующих на инвестиционную деятельность, комплексности и последовательности предпринимаемых мер экономического регулирования.
В процессе развития системы экономического регулирования развитых стран происходила смена доминант тех или иных теоретических концепций. Так, в 30-е годы модель нерегулируемого рынка уступила место кейнсианской модели, в 70-е годы был осуществлен переход к монетаризму, сопровождавшийся переориентацией экономических систем в сторону ослабления механизмов государственного регулирования.
Вместе с тем в промышленно развитых странах, несмотря на характерную для монетаризма либерализацию экономики, росла роль государства в стимулировании научно-технического прогресса, наукоемких отраслей, образования, социальной инфраструктуры и формирования соответствующих институтов. Напротив, в большинстве развивающихся стран монетаристская трансформация экономических систем привела к резкому свертыванию институтов государственного регулирования, блокированию активной инвестиционной политики, сокращению производственного потенциала, усилению внешней зависимости государств через механизмы неэквивалентного обмена в условиях развертывающейся глобализации экономических систем.
Процессы интернационализации и глобализации на современном этапе развития способствуют усилению взаимозависимости национальных экономик, что сближает механизмы и инструментарии в различных моделях, применяемых для достижения таких экономических целей, как достижение постоянного и равномерного экономического роста, увеличение занятости, стабилизация денежного обращения и курса валют, повышение благосостояния и улучшение качества жизни людей.
Современные системы экономического регулирования выступают как синтез государственных и рыночных методов, соотношение которых определяется спецификой конкретной ситуации. В условиях социально-экономической нестабильности усиливается роль государственных методов экономического регулирования, при устойчивом экономическом развитии возрастает значение рыночных методов, в то время как государство сохраняет за собой определенные функции в сфере экономического и социального регулирования.
Структурализм
Кроме указанных концепций государственного регулирования в мировой практике используются рекомендации и других экономических направлений. Так, в развивающихся странах, имеющих долгосрочный опыт высокой инфляции, сформировались теории структурной инфляции.
В них рассматривается такой вариант инфляции, которая протекает как динамический процесс, вызванный диспропорциями между различными сферами и отраслями производства, неэластичностью предложения по отношению к спросу, низкой подвижностью факторов производства, негибкостью цен. Механизм инфляции связывается со структурой спроса, перемещение которого в условиях индустриализации стимулирует сдвиги в производстве и потреблении, вызывает повышение цен, а затем и рост массы денег в обращении. Структуралисты считают, что для сдерживания инфляции использования только денежного, ценового и финансового регулирования недостаточно, необходимы прежде всего изменения в структуре экономики на базе стимулирования сбалансированного экономического роста, ликвидации диспропорций, эластичности предложения и цен.
Соглашаясь с представителями кейнсианства по вопросу о том, что инфляция оказывает стимулирующее воздействие на экономический рост, структуралисты вместе с тем считают, что при определенных условиях экономически целесообразна и галопирующая инфляция. Они отмечают, что при существующих различиях в темпах развития отдельных секторов экономики создаются диспропорции, которые инициируют инфляционные взрывы при сохранении твердых цен в этих сферах. Поэтому, по мнению структуралистов, следует производить активное инвестирование в отстающие секторы, ликвидировать диспропорции даже путем финансирования инвестиций посредством денежной эмиссии.
Теория экономики предложения
Акцент на необходимость поворота государственной экономической политики от кейнсианских рекомендаций стимулирования платежеспособного спроса к всемерному стимулированию предложения, т.е. частного предпринимательства, является ключевой идеей не только монетаризма, но и теории экономики предложения. При наличии многих общих позиций монетаризм и теория экономики предложения имеют ряд существенных разногласий. Одним из них, несущим практическую нагрузку, является следующее. Полагая, что решающим направлением государственной бюджетной политики должно быть стимулирование (в первую очередь, налоговое) предпринимательства и сбережений населения, сторонники теории предложения допускают при этом возможность возникновения дефицита госбюджета (за счет сокращения его доходной части), поскольку считают, что в результате стимулирования будет достигнут такой ускоренный рост доходов и соответственно налогов с них, который полностью компенсирует предшествующие налоговые потери (закономерности, описываемые кривой Лаффера).
Монетаристы также выступают за налоговое стимулирование, однако не за счет сохранения бюджетного дефицита, минимизация которого ставится ими во главу угла. Таким образом, авторы теории предложения, отрицая кейнсианские идеи о бюджетном дефицитном финансировании, по существу, возвращаются к ним в модифицированном виде: не как к активному инструменту стимулирования экономической деятельности, а как к возможному результату
Условия усиления роли государства в инвестиционной сфере
При анализе возможностей усиления роли государства в инвестиционной сфере следует учитывать, что степень расширения государственного участия имеет объективные пределы. Эти пределы, с одной стороны, обусловлены реальными финансовыми возможностями, а с другой стороны, тем, что рост присутствия государства в экономике должен способствовать притоку частных инвестиций, а не их вытеснению. Усиление роли государства в инвестиционной сфере не тождественно огосударствлению и возврату к администрированию хозяйственной деятельности. Оно предполагает повышение эффективности государственной долгосрочной политики и конкретных действий при сохранении рыночных свобод и стимулировании частных инвестиций.
Вопрос о принципах участия государства в инвестиционной деятельности во многом связан с проблемой ограниченности финансового потенциала для инвестиционного подъема. Примерные расчеты показывают, что только для восстановления объемов инвестирования, характерных для дореформенного периода, с учетом глубины инвестиционного спада потребуется пятикратное увеличение инвестиций, т.е. доведение их величины примерно до 2 трлн руб. По оценкам Министерства экономического развития РФ, потребность в инвестициях составляет 150 млрд долл. в год.
При анализе данной проблемы возникает также вопрос о критерии достаточности инвестиций. В среднесрочном периоде критерием достаточности инвестиций может служить такой объем инвестиционных ресурсов, который позволит обеспечить переход к устойчивому экономическому росту. С точки зрения макроэкономики это означает достижение стабильных положительных значений величины совокупных чистых инвестиций, соответствующих приросту объемов средств для обновления основного капитала, при увеличении эффективности использования инвестируемых ресурсов. В связи с этим необходимо стимулирование инвестиций до уровня, превышающего выбытие накопленных элементов производительного капитала. Этот ориентир обусловлен тем, что при более низких значениях инвестиций во вновь созданный продукт не будут компенсированы выбывающие элементы производительного капитала (прежде всего — основного капитала), в результате чего будут по-прежнему воспроизводиться условия экономического спада и продолжится сокращение потенциала реального оживления производства.
Между тем возможности обеспечения приемлемой динамики экономического развития во многом ограничены низкими масштабами внутренних накоплений, снижением капиталоотдачи вложений в реальном секторе экономики. Очевидно, что эти особенности российской экономики в ближайшее время будут определять принципы государственной инвестиционной политики. С учетом жестких ресурсных ограничений и несформированности рыночных механизмов инвестирования государственная политика в сфере инвестиционной деятельности должна базироваться на принципах выбора приоритетных направлений и «точечного инвестирования», повышения степени управляемости инвестиционным процессом на основе усиления обоснованности, последовательности и комплексности разрабатываемых мероприятий.
Данная специфика воздействует и на формы участия государства в инвестиционной деятельности. Как отмечалось, в рыночной экономике роль государства как непосредственного инвестора сохраняется для основных жизнеобеспечивающих производств, социальной сферы и отраслей, имеющих особое государственное значение. Более важное значение приобретает регулирование инвестиционного процесса, направленное на создание благоприятного режима для деятельности частных инвесторов.
в российской экономике, при ориентированности
В условиях, создавшихся в российской экономике, при ориентированности инвестиционной стратегии в целом на перенос центра тяжести с государственного инвестирования на формирование инвестиционной среды, благоприятной для частных инвесторов и перелива капиталов посредством совершенствования денежно-кредитных, налоговых, амортизационных и иных методов, обе составляющие государственной инвестиционной политики (как государственное инвестирование, так и государственное регулирование инвестиционной деятельности) должны быть направлены на поддержку приоритетных отраслей и производств, носить взвешенный и системный характер (рис. 14.1).

Задачи повышения действенности государственного регулирования
1. Задачи повышения действенности государственного регулирования инвестиционной сферы российской экономики обусловливают необходимость изучения концепций государственной экономической политики, которые были выработаны применительно к условиям сформировавшегося рынка, и использования их рекомендаций с учетом реальной ситуации, сложившейся в России. Основными концепциями экономического регулирования в западной практике выступают кейнсианство и монетаризм. Сторонники кейнсианской теории исходят из признания изменчивости инвестиционного спроса, возможности разрыва между сбережениями и инвестициями, нестабильности рыночной экономики и необходимости вмешательства государства. Монетаристы, поддерживающие положение неоклассической теории о равновесии рыночной экономики, тождественности сбережений и инвестиций, стабильности функции спроса на деньги, считают, что эффективное функционирование рыночной системы и положительная динамика инвестиций могут быть достигнуты при условии постоянного приращения денежной массы, соответствующего потребностям экономики. Положение о необходимости поворота государственной экономической политики от кейнсианских рекомендаций стимулирования платежеспособного спроса к стимулированию предложения содержится также в теории экономики предложения. В развивающихся странах сформировались теории структурной инфляции, сторонники которой считают необходимым осуществлять активное инвестирование в отстающие секторы с целью ликвидации диспропорций, инициирующих высокую инфляцию.
2. Переход к новому инвестиционному режиму связан с необходимостью разработки новой инвестиционной политики, адекватной изменившимся экономическим условиям. Основные направления инвестиционной политики включают: проведение децентрализации инвестиционного процесса; переход от безвозвратного финансирования предприятий к кредитованию их на платной и возвратной основе; сохранение роли государства как инвестора в области важнейших производств, социальной сфере, общественно значимых объектов; усиление контроля за целевым расходованием средств федерального бюджета, направленных на инвестиции; использование централизованных инвестиций на реализацию эффективных и быстро окупающихся проектов, расширение практики их долевого финансирования; стимулирование частных и иностранных инвестиций, совершенствование нормативной базы, предоставление гарантий и страхование инвестиций.
3. Усиление роли государства в инвестиционной сфере российской экономки должно быть нацелено на повышение эффективности государственной инвестиционной политики при сохранении рыночных свобод и стимулировании частных инвестиций. Степень расширения государственного участия имеет объективные пределы, обусловленные, с одной стороны, реальными финансовыми возможностями, а с другой — задачей стимулирования, а не вытеснения частных инвестиций. Принципы государственной инвестиционной политики при существующих ресурсных ограничениях и несформированности рыночных механизмов инвестирования предполагают выбор приоритетных направлений инвестирования, повышение степени управляемости инвестиционным процессом на основе усиления обоснованности, последовательности и комплексности разрабатываемых мероприятий. При ориентированности инвестиционной стратегии в целом на перенос центра тяжести с государственного инвестирования на формирование благоприятной инвестиционной среды государственная инвестиционная политика должна быть направлена на поддержку приоритетных отраслей и производств, носить системный и взвешенный характер.
Западные концепции регулирования инвестиций
Программы государственного регулирования инвестиционного процесса строятся на определенных теоретических воззрениях. В западной экономической практике в качестве базисных концепций экономического регулирования используются, как правило, противостоящие научные направления — кейнсианство и монетаризм, содержащие различные (в соответствии с их трактовкой причинно-следственных связей рыночной экономики) подходы к государственному регулированию инвестиционного процесса. При этом сторонники кейнсианской теории делают акцент на достижение целей экономического роста, а монетаризма — на стабилизацию денежного обращения, уровня цен и курсов валют.
Активная промышленная и структурная политика
Задачи обеспечения экономического роста и инвестиционного подъема помимо решения проблем инвестиционно-финансовых ресурсов предполагают воплощение последних в технологиях и производствах, повышающих конкурентоспособность национального хозяйства. Для этого необходимы меры по созданию на макро- и микроэкономическом уровне условий, способствующих восстановлению производственного потенциала, реструктуризации производства, устранению причин возрастания неплатежей, обеспечению эффективных механизмов рыночной конкуренции, оздоровлению институтов антимонопольного регулирования и банкротства.
Реструктурирование производства направлено на оздоровление производственного потенциала, обеспечение снижения трансакционных издержек, повышение эффективности менеджмента, усиление интеграции промышленного и финансового капитала. Важнейшей задачей реструктурирования является повышение инвестиционной привлекательности предприятий. Для этого необходимо создать систему, обеспечивающую открытость, доступность и достоверность информации о состоянии предприятий для потенциальных инвесторов (агентства, кредитные бюро и т.д.), повышение защиты прав собственности акционеров и других владельцев предприятий, улучшение качества работы и ответственности менеджеров высшего звена, организацию отношений собственности и управления, устанавливающую четкую зависимость между доходами менеджера и получаемой предприятием прибылью.
Реструктуризация также предполагает выделение и поддержку конкурентоспособных производств и активизацию банкротства неплатежеспособных предприятий. Движение инвестиционно-финансовых ресурсов, направляемых на реструктурирование предприятий, должно осуществляться через систему банков развития и сосредоточиваться на специальных инвестиционных счетах.
Другая сторона этой проблемы связана с необходимостью повышения низкой в настоящее время способности восприятия производственного сектора к инвестициям. Отсутствие перспективных прогнозов развития на многих российских предприятиях, недостаточность эффективных инвестиционных проектов, низкая степень проработанности имеющихся инвестиционных проектов препятствуют вложениям капитала и инвестиционному оживлению. Это обусловливает необходимость решения перечисленных выше задач в рамках проведения политики на микроэкономическом уровне, включая задачу формирования необходимых институциональных предпосылок.
Ключевым направлением реструктурирования реального сектора является создание условий для становления крупных корпоративных структур, интеграции научно-технического, производственного, финансового и торгового капитала, стимулирования процессов организации финансово-промышленных групп. Крупные корпорации способны выступить стратегическими партнерами государства в проведении реформ, взять на себя функции организации деятельности и обеспечения инвестиционного процесса в важнейших народно-хозяйственных сферах, используя как рыночные, так и (в рамках корпоративного оборота) планово-распределительные методы.
Создание и функционирование финансово-промышленных групп (ФПГ) опирается на два экономических фактора: с одной стороны, это содействие росту эффективности производства, с другой — повышение уровня конкуренции на национальном и региональных рынках. ФПГ должны противодействовать спаду экономики, стабилизируя межхозяйственные связи и формируя внутреннюю конкурентную среду; ослаблять неплатежи; поддерживать малый и средний бизнес, включая его представителей в круг своих партнеров; усиливать регулируемость национальной экономики, снижать риски для инвесторов.
Для стимулирования процессов становления корпораций, способных к самостоятельному выживанию в условиях внутренней нестабильности и жесткой международной конкуренции, необходимо разработать многообразные организационные формы, позволяющие объединять предприятия, связанные технологической цепочкой, рассмотреть возможность снятия ряда антимонопольных ограничений на вертикальную интеграцию при приобретении предприятий в результате банкротства, сократить ограничения на взаимное участие в собственности финансовых и производственных структур.
Задача государственного регулирования состоит в том, чтобы усилить позитивные моменты в деятельности ФПГ и ослабить негативные. Следует упростить процедуры регистрации ФПГ, предоставить группам приоритетное право на приобретение пакетов акций предприятий, входящих в технологические цепочки. Необходимо разработать специальную государственную программу содействия формированию ФПГ в соответствии с обозначенными стратегическими приоритетами. Программа должна соответствовать международным нормам, учитывать опыт созданных групп, в том числе транснациональных. Со своей стороны государство должно обеспечить условия, которые бы способствовали экономической эффективности деятельности корпораций.
Денежно-кредитные методы стимулирования инвестиций
Создание государством благоприятных условий для роста инвестиционной активности предполагает целенаправленное воздействие на воспроизводственные процессы на макро- и микроэкономических уровнях. Важнейшей областью, где должна по-новому и эффективно проявиться активизация инвестиционной роли государства на новом этапе экономических реформ, является денежно-кредитная сфера.
Обеспечение устойчивого инвестиционного подъема прежде всего предполагает рост монетизации экономики, ликвидацию диспропорций денежной массы, снижение процентных ставок, восстановление платежной системы, дедолларизацию и повышение роли национальной валюты.
Рост монетизации экономики может быть достигнут путем ограниченной денежно-кредитной эмиссии. При определении степени опасности ее инфляционных последствий следует учитывать, что инфляция инициируется не только эмиссионными, но и другими факторами. Поэтому борьба с ней не сводится только к ограничению эмиссии, она предполагает и иные направления, в первую очередь — обеспечение устойчивого функционирования производства. Рост уровня монетизации реального сектора российской экономики выступает важнейшей предпосылкой оживления производства, которое, в свою очередь, является ключевым антиинфляционным фактором.
Основным условием предупреждения инфляционных последствий денежно-кредитной эмиссии является разработка и запуск механизмов, направленных на изменение макроэкономических условий и гарантирующих ориентацию денежных потоков на поддержку производства. При таком подходе объем эмиссии определяется объективным спросом на деньги производственного сектора экономики за вычетом средств, перемещающихся на финансовый рынок.
При определении параметров прироста целевого расширения денежной массы особое значение приобретает учет структуры денежного предложения. Различные каналы денежной эмиссии имеют неодинаковую чувствительность к инфляции. В этой связи расширение денежного предложения может осуществляться через рефинансирование банков путем учета векселей нефинансовых предприятий и целевого направления эмитированных средств на финансирование производственных инвестиций. Еще менее инфляционным каналом эмиссии является финансирование производственных инвестиций через государственные институты развития.
Важным инструментом целевого регулирования денежных потоков является государственное воздействие на динамику процентных ставок. Так, с целью активизации инвестирования поддержка производств и проектов, признанных приоритетными, может производиться путем кредитования по льготным ставкам. При этом движение льготных кредитов должно осуществляться через систему государственных банков развития при установлении строгого контроля, исключающего нецелевое применение средств и финансовые спекуляции.
Опыт развития стран с рыночной экономикой показывает, что регулирование процентных ставок выступает весьма действенным методом повышения роста деловой активности в фазе кризисов, при углублении неравновесного состояния экономических систем. С достижением экономического равновесия и сбалансированного развития производственного и финансового секторов необходимость государственного вмешательства в экономику в целом уменьшается, соответственно снижается роль государственного воздействия на динамику процентных ставок денежного рынка.
Использование государственного регулирования характеризуется определенной цикличностью. В условиях обострения структурных диспропорций, когда действие рыночных механизмов становится недостаточным для того, чтобы обеспечить, с одной стороны, сдерживание развития избыточных производств и обесценения основного капитала, а с другой стороны, наращивание инвестиционной активности, роль государственного воздействия на экономику, в том числе в области целевого регулирования денежных потоков, возрастает, при переходе экономики к устойчивому росту — уменьшается. Это подтверждается анализом практики преодоления структурных депрессий в странах Западной Европы и США, послевоенного восстановления Японии, Франции и Германии.
Государственное регулирование процентных ставок применялось
Государственное регулирование процентных ставок применялось как в странах с развитой рыночной экономикой (в период послевоенного развития Японии, в течение длительного времени во Франции, при проведении так называемого нового курса Рузвельта в США), так и в ряде развивающихся стран, демонстрирующих устойчиво высокие темпы экономического роста (Индия, Китай, страны Юго-Восточной Азии и др.). Значительные масштабы накопления, обеспечивающие возможность повышения темпов экономического развития, во многом были достигнуты в результате проведения политики активного воздействия на уровень процентных ставок в интересах развития национального производства. В этих целях использовались также прямые и косвенные методы целевого регулирования денежных потоков и трансформации внутренних накоплений в инвестиции, в частности путем создания государственных банков развития, ссудо-сберегательных ассоциаций и иных специализированных кредитных институтов, установления определенных нормативов кредитной политики для негосударственных банков, ставок льготного налогообложения.
Так, в Японии условия для финансирования инвестиций и роста производства были созданы путем усиления государственного контроля за процентными ставками и использованием сбережений населения, которые аккумулировались в почтово-сберегательных учреждениях и банках, а затем через систему доверительных счетов Министерства финансов и эмиссию облигаций коммерческими банками направлялись в государственные институты, банки долгосрочного кредитования и траст-банки (см. п. 9.2).
В США механизм трансформации сбережений в инвестиции базировался на широком развитии ссудо сберегательных ассоциаций, привлекавших сбережения личного сектора для предоставления целевых кредитов жилищному строительству и различным отраслям промышленности.
Во многих развивающихся странах устойчивый рост экономики во многом обусловлен тем, что основную часть денежных потоков удалось локализовать в государственных банках, которые размещали мобилизованные сбережения и кредитные ресурсы в производственные инвестиции в соответствии с заданными приоритетами социально-экономического развития и по регулируемым процентным ставкам.
В российской экономике, характеризующейся несбалансированной структурой и затяжным кризисом, преодоление инвестиционного спада и восстановление инвестиционной активности невозможно без целенаправленного регулирования государством денежных потоков и процентных ставок. Лишь при достижении устойчивого роста экономики роль государственного воздействия на финансовые рынки в целом должна уменьшаться.
Совершенствование структуры денежной массы связано также со снижением доли наличных денег в обращении, для чего требуются введение жестких ограничений на платежи наличными деньгами во всех сферах экономики, дальнейшая компьютеризация расчетов, расширение безналичных форм платежного оборота. Проведение этих мероприятий, позволяющих расширить экономическое пространство деятельности банковского сектора, будет способствовать увеличению инвестиционного потенциала банков.
Одной из первоочередных задач современного этапа является полное восстановление платежной системы, ограничение бартерных сделок, вытеснение из обращения огромной массы платежных средств, которые не могут служить полноценным ресурсом для формирования потенциала накоплений. Основными способами ее решения могут быть проведение взаимозачетов, переход к рефинансированию коммерческих банков на основе переучета коммерческих векселей, организация эмиссии и налаживание обращения складских свидетельств, закладных и иных разрешенных законом платежных инструментов, удешевление кредитных ресурсов, привлекаемых для финансирования основного и оборотного капитала, секьюритизация просроченной задолженности.
Секьюритизация просроченной задолженности предприятий может
Секьюритизация просроченной задолженности предприятий может проводиться путем выпуска коммерческих векселей и складских обязательств, имеющих соответствующее товарное наполнение. При этом решение проблемы неплатежей должно быть совмещено с расширением предложения на товары отечественного производства и инициированием спроса на них. Значительную роль при этом могли бы сыграть региональные маркетинговые центры, функционирование которых способствовало бы проведению сделок между предприятиями на основе аккумулирования информации о рынке продукции и размещения заказов.
Решение проблемы неплатежей на неинфляционной основе, выступая одним из направлений оздоровления денежного обращения, является важнейшим условием роста производства и инвестиций. Кроме того, для повышения эффективности системы регулирования денежного обращения и исключения возможностей активизации эмиссионных механизмов, не сопровождающихся расширением предложения товаров, необходимо обеспечить усиление валютного регулирования и контроля, нацеленное на пресечение нелегального вывоза капитала и вытеснение иностранной валюты из внутриэкономического оборота.
В последние годы в российской экономике наметились положительные сдвиги в структуре денежного предложения, связанные с некоторым уменьшением доли наличных денег в обращении и доли неденежных форм расчетов. Нейтрализация эффекта вытеснения частного спроса на кредитные ресурсы государственным посредством реорганизации условий размещения государственных ценных бумаг, контролируемое целевое расширение денежной массы (при обеспечении превышения темпов роста денежной массы над темпами роста инфляции) обусловили снижение уровня процентных ставок. Банк России (пока в качестве эксперимента) приступил к рефинансированию коммерческих банков на основе переучета векселей финансово устойчивых предприятий.
Создание механизмов притока капитала в производственный сектор является важной составляющей эффективной организации денежного предложения. В настоящее время в российской экономике из всех присущих рыночному хозяйству каналов обеспечения производства инвестиционными источниками в наибольшей степени представлен лишь один — собственные средства предприятий. Роль кредитной системы и фондового рынка в механизме трансформации сбережений в производственные инвестиции, как показал предшествующий анализ, не является существенной.
Формирование эффективной инфраструктуры финансового рынка
Воздействие на инвестиционную активность банков. Пересмотр прежней системы регулирования в соответствии с заявленными приоритетами экономической политики предполагает изменение форм и методов воздействия на банковский сектор, реструктурирование банковской системы с учетом задач реализации инвестиционных функций банков в экономике. Реструктурированная банковская система должна отвечать требованиям высокой надежности, управляемости и инвестиционной направленности, гарантировать необходимый уровень предложения кредитных ресурсов по доступным для производственной сферы процентным ставкам. Однако для того чтобы банковская система могла обеспечить приток инвестиций в развитие производства, необходимо создание соответствующих макроэкономических условий.
Важное значение в повышении инвестиционной активности банковской системы имеет создание системы стимулирования и страхования инвестиций. Одним из условий предоставления банками долгосрочных займов на инвестиционные проекты при высоких кредитных и инвестиционных рисках производственной сферы является наличие государственных гарантий.
К числу мер, способствующих возрастанию производственных инвестиций коммерческих банков, можно также отнести снижение нормативов резервных отчислений и льготное налогообложение. Известно, что в настоящее время резервная политика Банка России предусматривает усреднение нормативов обязательных резервных отчислений. Между тем в интересах экономики следовало бы установить механизм, дифференцирующий величину резервных отчислений от привлеченных средств в зависимости от направления использования активов банка. При этом меньшее значение должно соответствовать использованию средств для производственного инвестирования, большее — применяться при вложении средств в валютные активы. Это способствовало бы более эффективному регулированию структуры денежной массы путем сокращения возможностей направления средств на рынки, характеризующиеся высоким инфляционным эффектом, вытеснению иностранной валюты из денежного обращения, стимулированию финансирования реальных проектов путем переориентации денежной массы со спекулятивных операций в производство.
Среди возможностей использования льготного налогообложения для стимулирования инвестиционной активности коммерческих банков могут быть рассмотрены такие методы, как снижение налогооблагаемой базы на сумму инвестиционных активов, применение льготного налогообложения прибыли банков при условии выдачи долгосрочных кредитов по низким процентным ставкам, предоставление льгот по налогу на прибыль, возмещающее потери банков от выделения инвестиционных кредитных ресурсов.
Оптимальным подходом к решению проблемы повышения экономической заинтересованности банков в осуществлении инвестиционной деятельности с помощью льготного налогообложения является тот, который предполагает, с одной стороны, невысокие потери для бюджета, а с другой — стимулирует коммерческие банки направлять ресурсы в производственный сектор, а не в иные сферы деятельности, по доступным для производства процентным ставкам. Такой подход может достигаться путем компенсации потерь банков от выделения низкодоходных для них кредитов за счет предоставления налоговых льгот. При этом данные стимулирующие меры могут осуществляться как на федеральном, так и на региональном уровне — в виде предоставления льгот по ставкам налогов, зачисляемых в региональные или местные бюджеты в пределах полномочий соответствующих органов.
Возможности повышения инвестиционной активности коммерческих банков во многом обусловлены состоянием их ресурсной базы. Кризисные события 1997-1998 гг. существенно подорвали устойчивость российской банковской системы и вызвали обострение проблем формирования ее ресурсов. В данной ситуации резко возросла необходимость создания условий, позволяющих обеспечить устойчивость банковского сектора и в то же время привлечение сбережений широких слоев частных вкладчиков.
Одним из таких условий выступает организация системы защиты частных вкладов, введение которой способствует укреплению доверия населения к государству и банковскому сектору.
Механизм отбора инвестиционных проектов на конкурсной основе
В рыночной экономике, где основным критерием инвестирования выступает эффективность инвестиционных вложений, не могут использоваться прежние технологии распределения централизованных капитальных вложений между предприятиями на безвозвратных началах, не стимулирующие предприятия к росту эффективности. Поскольку прямые государственные инвестиции менее эффективны, чем инвестиции частных инвесторов, рискующих своим капиталом, более оправданным подходом является государственная поддержка частных инвестиций.
Государственная поддержка частных инвестиций осуществляется посредством долевого участия государства в инвестиционных проектах, прошедших конкурсный отбор. Размещение централизованных инвестиционных ресурсов на конкурсной основе ориентировано на повышение инвестиционной активности и мобилизацию капитала частных отечественных и иностранных инвесторов по приоритетным направлениям экономического развития, подъем коммерческой, бюджетной и народно-хозяйственной эффективности инвестиционных вложений по всем формам собственности.
Первым документом, регламентирующим новый порядок финансирования инвестиционных проектов, явились «Методические рекомендации о порядке организации и проведения конкурсов по размещению централизованных инвестиционных ресурсов» (утверждены Министерством экономики РФ, Министерством финансов РФ и Министерством строительства РФ 2 декабря 1994 г. и введены в действие с 1 января 1995 г.).
В Методических указаниях были определены условия участия инвестиционных проектов в конкурсе, этапы его организации и проведения, функции федеральных органов власти и Комиссии по инвестиционным конкурсам при Минэкономики РФ, права и обязанности организаторов и участников конкурса, даны рекомендации по подготовке пакета документов, в том числе и бизнес-плана в соответствии с общепринятыми в мировой практике принципами проектного финансирования, изложены основные требования к конкурсным предложениям, механизм рассмотрения инвестиционных проектов и оформления результатов конкурсов.
Новый порядок финансирования инвестиционных проектов предоставлял инвесторам право выбора формы участия государств в финансовом обеспечении прошедшего инвестиционный конкурс проекта.
Участие государства в финансировании инвестиционного проекта могло осуществляться в следующих формах:
государственного инвестиционного кредита со сроком возврата в течение двух лет и уплатой процентов за пользование предоставленными ресурсами в размере 1/4 ставки рефинансирования Банка России;
закрепления в государственной собственности части акций создаваемого предприятия, реализуемых на рынке в течение двух лет с начала получения прибыли от реализации инвестиционного проекта, с направлением выручки от реализации акций в доход федерального бюджета.
В качестве ключевого критерия при принятии решений о выделении средств из федерального бюджета рассматривалось обеспечение ввода в действие объекта (производственных мощностей) в обусловленный срок при сокращении объема средств, привлеченных из федерального бюджета, и повышении эффективности использования централизованных ресурсов.
Обязательными условиями для представления к конкурсу инвестиционных проектов являлись:
доля централизованных инвестиционных ресурсов в общей сумме затрат на реализацию проекта не должна превышать 20%, соответственно 80% затрат должны быть обеспечены за счет собственных, заемных и привлеченных средств частного инвестора;
доля собственных средств инвестора в общей сумме затрат на реализацию проекта не должна быть менее 20%.
Начиная с 1997 г. получили развитие новые подходы в области государственной поддержки инвесторов, связанные с сертификацией инвестиционных проектов, предоставлением государственных гарантий, образованием Бюджета развития.
Сертификация инвестиционных проектов определяет возможности
Сертификация инвестиционных проектов определяет возможности увеличения доли государственной поддержки до 50% при производстве продукции (услуг), не имеющей аналогов в мире; до 40% — при производстве продукции (услуг) обрабатывающей промышленности на экспорт; до 30% — при импортозамещении по более низкой цене.
Государственные гарантии по сертифицированным проектам рассматриваются многими инвесторами как наиболее предпочтительная форма государственной поддержки в условиях ограниченности бюджетных средств. Гарантии обеспечивают возврат не всей суммы риска, а его определенной части в случае срыва реализации эффективного инвестиционного проекта по не зависящим от инвестора причинам.
В свою очередь, инвестор должен предоставить встречные гарантии, в том числе залогового характера.
Бюджет развития был образован как специальный инструмент, аккумулирующий инвестиционные ресурсы федерального бюджета с целью их использования для финансирования инвестиционных проектов и привлечения средств частных инвесторов. Ресурсы Бюджета развития могут использоваться для долевого финансирования инвестиционных проектов на конкурсных, платных и возвратных началах, а также предоставления государственных гарантий на конкурсной основе на заемные средства (при верхнем пределе гарантий до 40% от суммы заемных средств).
К конкурсу на использование средств Бюджета развития допускаются инвестиционные проекты, соответствующие следующим условиям:
соответствие целям Бюджета развития;
обеспечение положительных значений чистого дисконтированного дохода;
доля собственных средств инвестора в общей сумме затрат на реализацию проекта не должна быть менее 20%, а по крупным проектам (свыше 50 млн долл.) — не менее 30%;
положительное заключение независимой экспертизы.
В России функционируют различные экспертные советы, осуществляющие экономическую оценку инвестиционных проектов. Государственные органы обеспечивают контроль за соблюдением инвестиционного законодательства, строительных нормативов, землепользования, экологии. В странах с развитой экономикой экспертизой инвестиционных проектов занимаются, как правило, эксперты, привлекаемые самими инвесторами или участвующими в финансировании проекта финансовыми институтами.
Предпринимаемые правительством действия по осуществлению выборочной ограниченной поддержки приоритетных направлений промышленного развития, проведения на конкурсной основе отбора эффективных проектов дали определенные результаты.
Зарубежный опыт свидетельствует, что такие меры, как правило, являются весьма действенным стимулом привлечения частных инвестиций и способствуют реализации проектов. Однако в России они оказались недостаточными. На этой основе не удалось мобилизовать требуемые инвестиционные ресурсы (как частные, так и государственные), организовать поток инвестиций в приоритетные производства. Селективные инвестиции оказались не в состоянии выступить залогом структурных преобразований. Между тем причины неэффективности предпринятых действий ни в коей мере не связаны с правомерностью использования принципа приоритетных направлений и селективного подхода к финансированию инвестиционной деятельности в концептуальном плане. В условиях ограниченности инвестиционных ресурсов данный принцип, по существу, является безальтернативным.
Налоговая политика
В области налоговой политики создание благоприятных условий активизации инвестиционной деятельности в производственном секторе предполагает повышение действенности налоговых льгот при осуществлении инвестиций. Налоговые льготы могут осуществляться в виде: освобождения от налогообложения части прибыли, направленной на финансирование капитальных вложений с целью развития собственной производственной базы и на финансирование жилищного строительства; скидок, действие которых связано с расходами, влияющими на результаты налогообложения; налоговых кредитов; налоговых каникул.
В Налоговом кодексе льготы по налогообложению существенно сокращены. В частности, в системе налоговых скидок не предусмотрена льгота по расходам на капитальные вложения. Это связано с тем, что данная льгота во многом не выполняла возложенной на нее роли стимулирования инвестиций в реальный сектор экономики из-за неконкретности механизма реализации, предусмотренного законодательством. Практическое применение существующих ограничений (данная льгота предоставляется при условии полного использования суммы начисленной амортизации) усложняло расчет налогооблагаемой прибыли и оставляло возможность для уклонения от налогов.
Более эффективным видом налоговых льгот, получившим распространение в западной практике, является инвестиционный налоговый кредит. Он предусматривает уменьшение в течение определенного срока и в допустимых пределах платежей по налогу на прибыль (доход), а также по региональным и местным налогам с последующей поэтапной уплатой суммы кредита и начисленных процентов. В отличие от других видов льгот налоговый инвестиционный кредит выступает как прямое снижение налогового обязательства и в большей степени учитывает имущественное положение налогоплательщика. Если использование налоговых скидок является более выгодным для налогоплательщиков, чьи доходы облагаются по высоким ставкам, то применение инвестиционного налогового кредита — для налогоплательщиков с низкими доходами.
В России порядок применения инвестиционного-налогового кредита был определен Федеральным законом «Об инвестиционном налоговом кредите», однако вследствие сложности оформления кредита и несовершенства правовой базы данный вид налоговых льгот не получил распространения. В Налоговом кодексе инвестиционный налоговый кредит рассматривается как основной вид льгот, стимулирующих инвестиции в реальный сектор экономики.
Предусмотрено три основания для получения такого кредита:
проведение организацией научно-исследовательских и опытно-конструкторских работ или технического перевооружения собственного производства;
осуществление внедренческой или инновационной деятельности, включая создание новых или совершенствование применяемых технологий, а также применение новых видов сырья или материалов;
выполнение организацией особо важного заказа по социально-экономическому развитию региона или предоставление ею особо важных услуг населению.
В первом случае сумма инвестиционного кредита может быть равна 30% стоимости приобретенного для проведения НИОКР или технического перевооружения оборудования. В остальных случаях сумма кредита определяется по соглашению между уполномоченным органом и заинтересованной организацией.
Предприятие может получить несколько инвестиционных налоговых кредитов по разным основаниям при соблюдении определенных ограничений. В частности, в каждом отчетном периоде суммы, на которые уменьшаются платежи по налогу, не могут превышать 50% платежей, определенных без учета наличия договоров об инвестиционном налоговом кредите. Накопленная в течение налогового периода сумма кредита не может превышать 50% суммы налога, подлежащего уплате организацией за этот период.
Инвестиционный налоговый кредит может предоставляться на срок от одного до пяти лет. Проценты, начисляемые на полученную сумму, не должны быть менее 1/2 и более 3/4 ставки рефинансирования Центрального банка. Субъектам Федерации и органам местного самоуправления дано право устанавливать иные основания и условия предоставления инвестиционного налогового кредита (в том числе сроки действия и ставки процентов за кредит) по региональным местным налогам соответственно.
Правовые и нормативные методы регулирования
Совершенствование правового регулирования инвестиционного процесса является одним из важнейших условий его активизации. Базисными законами в области инвестиционной деятельности являются, как отмечалось. Федеральный закон «Об инвестиционной деятельности в Российской Федерации, осуществляемой в форме капитальных вложений» № 39-ФЗ с дополнениями и изменениями, Федеральный закон «Об иностранных инвестициях в Российской Федерации» № 160-ФЗ (Приложения 1, 2, 3). Правовые основы регулирования инвестиционной сферы отражены в Гражданском кодексе Российской Федерации.
Между тем в практической организации инвестиционной деятельности остается целый ряд проблем, которые требуют правовой регламентации. К ним можно отнести: гарантии реального обеспечения прав собственности, вопрос о частной собственности на землю, процедуры регистрации предприятий, связанных с деятельностью иностранных инвесторов, непредсказуемого и частого изменения таможенных пошлин, а также несогласованность и противоречивость используемых правовых подходов.
Законодательная основа должна быть фундаментом деятельности всех экономических субъектов (государства, предприятий, корпораций, финансовых посредников, населения). Необходимо законодательно определить пределы административного воздействия, повысить роль правовой регламентации хозяйственной жизни, создать эффективную систему судебного рассмотрения хозяйственных споров, перейти к использованию нормативных методов регулирования экономики.
Широкое применение нормативных методов регулирования (процентных и налоговых ставок, экономических нормативов ликвидности, платежеспособности, финансового состояния, норм обязательного резервирования, нормативных требований, предъявляемых при лицензировании и регистрации хозяйственной деятельности, критериев конкурсов инвестиционных проектов и т.д.) позволит обеспечить объективность принятия хозяйственных решений, ограничить роль административных органов контролем за соответствием деятельности хозяйствующих субъектов нормативам, требованиям и критериям, установленным законодательством.
Таким образом, принимая во внимание масштаб задач, которые предстоит решить, очевидно, что для инициирования устойчивого инвестиционного подъема необходимы согласованные меры по обеспечению благоприятной среды инвестиционной деятельности, выработка форм и методов экономического регулирования, учитывающих реальную инвестиционную ситуацию.
Причины активизации инвестиционной политики регионов
В условиях формирования рыночной модели хозяйствования государственная региональная инвестиционная политика базировалась на общих принципах децентрализации инвестиционного процесса. Реализация этого курса на практике применительно к регионам явилась основой возрастания их роли в инвестиционном процессе и активизации их собственной инвестиционной политики. При последовательном сокращении доли федерального бюджета в общем объеме инвестиций в основной капитал (с 16,6% в 1992 г. до 6,6% в 1999 г.) доля бюджетов субъектов Российской Федерации и местных бюджетов продолжала держаться на уровне немногим выше 10%.
Вместе с тем активизация собственной инвестиционной политики регионов имеет и ряд других причин. Среди этих причин: попытки преодолеть несовершенство федерального инвестиционного законодательства, элиминировать непоследовательность инвестиционной политики центра, создать более благоприятный климат, обеспечивающий приток инвестиций в локальных рамках региона.
Региональные органы власти стали проявлять значительную активность в улучшении инвестиционного климата, создании зон наибольшего благоприятствования, предоставлении различных налоговых льгот, развитии лизинговой деятельности, кредитной поддержки инвестиций. В 1993-1994 гг. над формированием собственного инвестиционного законодательства стали работать республики Коми, Саха-Якутия и Татарстан. Затем к формированию пакета законодательных и иных документов по инвестиционной деятельности приступил ряд других регионов. Если в 1997 г. только пять регионов имели специальное инвестиционное законодательство, то к 2000 г. около 70 регионов приняли законодательные и нормативные акты в области инвестиционной деятельности.
В целом процесс формирования регионального инвестиционного права был направлен на совершенствование и дополнение в рамках компетенции региональных органов власти федеральной нормативно-правовой базы инвестиционной деятельности. Вместе с тем анализ показывает наличие существенных различий в ранних и более поздних законодательных актах: если первые законодательные акты были нацелены в основном на привлечение иностранных инвестиций, то последующие документы определяли условия, благоприятные для всех типов инвесторов. В определенной степени это явилось отражением постепенного отхода от младореформистской трактовки иностранных инвестиций как решающего фактора экономического развития и признания того факта, что масштабный приток иностранных инвестиций, как правило, следует за возобновлением внутренних инвестиций в результате создания благоприятных и стабильных условий в стране.
Имея возможность в рамках существующего федеративного устройства России вести собственную инвестиционную политику, создавать и реализовывать различные схемы стимулирования инвестиций, региональные власти накопили за период рыночного реформирования значительный опыт в сфере инвестиционного сотрудничества, и их роль в этом процессе в последнее время все усиливается.
В наиболее общем виде инвестиционная политика регионов включает следующие основные элементы:
разработка и принятие пакета законодательных и нормативно-правовых актов, регулирующих инвестиционный процесс;
предоставление гарантий сохранности частного капитала;
предоставление налоговых и иных льгот, отсрочек по налоговым и арендным платежам, нефинансовых стимулов;
создание организационных структур по поддержке инвестиционной деятельности;
содействие в разработке, проведении экспертизы и сопровождении инвестиционных проектов;
выдача гарантий и поручительств коммерческим банкам, финансирующим инвестиционные проекты;
мобилизация средств населения посредством выпуска муниципальных ценных бумаг;
содействие становлению институтов региональной инвестиционной инфраструктуры.
Проблемы бюджетного финансирования инвестиций
Бюджетное финансирование инвестиционной деятельности пока осуществляется на базе подходов, существенно ограничивающих воздействие государства на ход рыночных преобразований и структурную перестройку экономики. При этом данные недостатки связаны не столько с ограниченными возможностями бюджетной системы, сколько с неопределенной или даже ошибочной стратегией распределения централизованных инвестиций, отсутствием действенного контроля за их использованием.
Необходимость решения этой проблемы дополняется тем, что перекосы в государственной инвестиционной политике одновременно являются причиной отсутствия или существенного искажения ориентиров для частных инвесторов. Анализ свидетельствует о наличии определенной зависимости между государственными приоритетами и инвестиционными мотивациями частных инвесторов, которую необходимо учитывать при разработке перспективных направлений инвестиционной политики.
В противном случае не удастся сформировать основу для проведения общегосударственной инвестиционной политики и согласования интересов инвесторов различных уровней, а предпринимаемые меры будут по-прежнему носить преимущественно пассивный характер и не обеспечивать запланированных результатов. Следует также учитывать, что недостаточная и бессистемная поддержка отдельных производителей или регионов снижает стимулы к накоплению и последующему самофинансированию и не способствует формированию рыночного поведения хозяйствующих субъектов.
При анализе вопроса об возможностях государственной инвестиционной поддержки производителей нельзя не учитывать крайнюю ограниченность бюджетных средств. Вместе с тем в современных условиях не меньшее значение приобретают повышение качества обоснования и четкости реализации инвестиционной политики, учет степени проработанности и реальности бюджетного планирования.
В российской экономике, где доминируют не денежные формы расчетов, составление реальных прогнозов объема денежной массы весьма затруднено. Бюджетная политика разрабатывается в условиях фактора неопределенности, что усугубляет сложность как составления реального бюджета, так и исполнения принятого бюджета.
Использование международного опыта по реализации государственных инвестиций как приоритетного фактора экономического роста не может быть успешным без учета современного состояния российских государственных финансов и необходимости перестройки бюджетной системы. Так, одним из удачных примеров реформирования экономики за счет государственных инвестиций является опыт Германии, бюджетная система которой в отличие от российской характеризуется отлаженностью, что выражается в четком выделении текущих и инвестиционных расходов, контроле над целевым использованием бюджетных средств, установлении и соблюдении предельного объема финансирования бюджетного дефицита за счет кредитов суммой предусмотренных инвестиционных расходов (так называемое Золотое правило, установленное ст. 115 Основного Закона ФРГ).
В российской экономике, как убедительно показывают итоги реформ, возрастание государственных расходов непроизводительного характера не компенсировалось соответствующим увеличением инвестиционных расходов бюджета. Напротив, оно выступило одним из факторов, обусловливающих сокращение государственных централизованных инвестиций, ослабление инвестиционной функции государства.
В связи с этим использование государственных инвестиций как фактора экономического роста предполагает необходимость существенных изменений в бюджетной политике и организации бюджетной системы. При разработке бюджета должны быть использованы принципы определения приоритетных направлений, установления нормативов, определяющих уровень бюджетных средств по выделенным направлениям, разделения текущего и инвестиционного бюджета на нормативной основе, исключения возможности превышения расходов над доходами при планировании текущего бюджета, четкого определения источников покрытия дефицита инвестиционного бюджета. Определенные изменения следует внести и в технологию осуществления контроля за использованием средств обеих составляющих бюджета, усилив роль казначейского метода исполнения бюджета.
с использованием государственных инвестиций, является
Важной проблемой, связанной с использованием государственных инвестиций, является их низкая по сравнению с частными инвестициями эффективность. Данные о реализации федеральных программ подтверждают, что используемые при распределении государственных финансовых ресурсов подходы не способствуют росту эффективности инвестирования и реструктуризации национальной экономики. По заявлению министра финансов, в результате распыления государственных средств между многочисленными предприятиями и проектами из предоставленных с 1992 г. на возвратной основе 50 млрд руб. в бюджет вернулась лишь малая часть этих ресурсов.
Отсутствие системной основы в организации инвестиционного процесса, недостаточная степень проработанности и реальности бюджетного планирования явились причинами постоянного недофинансирования государственных инвестиционных программ. Так, в 1995 г. на государственные инвестиции из бюджета было выделено 49% средств из минимально запланированных. Конверсионные программы были профинансированы на 25%, а по объектам, финансируемым на конкурсной основе, было выделено только 10% предусмотренных на эти цели ассигнований. Не была выполнена федеральная инвестиционная программа, федеральные целевые программы были профинансированы на 60%. В целом по государственным инвестициям, финансируемым из федерального бюджета, кредиторская задолженность на конец года составила около 5 трлн неденоминированных рублей. На ее погашение в бюджете 1996 г. было предусмотрено только 2,2 трлн руб., а остальная часть должна была быть погашена за счет текущего финансирования 1996 г., что создало дополнительные трудности финансового обеспечения инвестиционной программы 1996 г.
В 1996 г. ситуация в сфере государственного инвестирования резко ухудшилась. Государственные инвестиции были профинансированы на четверть годового лимита, а средства, намеченные к размещению на конкурсной основе для реализации быстро окупающихся коммерческих проектов, практически не выделялись. Из 358 важнейших производственных и социальных объектов, которые должны были быть введены в строй, были приняты к эксплуатации лишь четыре.
В 1997 г. продолжалось снижение активности в сфере государственных инвестиций. Наряду с недостатком финансирования традиционных направлений бюджетных расходов не удалось реализовать расширение бюджетного финансирования в рамках и через механизм Бюджета развития (табл. 15.1), который был сформирован как составная часть федерального бюджета, аккумулирующая капитальные расходы федерального бюджета и предназначенная для кредитования, инвестирования и гарантийного обеспечения инвестиционных проектов.
с учетом секвестра; из них
Таблица 15.1. Проектируемые средства Бюджета развития в 1997—1999 гг. (в ценах соответствующих лет)

Государственные инвестиции были профинансированы в размере 8,0 трлн руб., или на 59,8% уточненного лимита с учетом секвестра; из них только 2,3 трлн руб. направлено на реализацию целевых программ и инвестиционных проектов. При этом имели место значительные задержки финансирования инвестиций в рамках государственной поддержки высокоэффективных коммерческих проектов.
За 1995—1997 гг. на инвестиционные конкурсы было представлено 1000 проектов сметной стоимостью 52 трлн неденоминированных рублей. Победителями конкурсов были признаны 230 проектов, общий объем государственного финансирования по которым составил около 2 трлн руб. Средства на эти цели были предусмотрены в федеральном бюджете, однако их финансирование не было обеспечено в полном объеме. Задолженность победителям инвестиционных конкурсов на конец 1997 г. составила 1,2 трлн руб.
В 1998 и 1999 гг. сокращение доходов бюджета и проблемы привлечения ресурсов для финансирования бюджетного дефицита еще в большей степени ограничили возможности государства по финансированию инвестиционных программ. В 1998 г., по данным Министерства экономики РФ, государственные инвестиционные программы были профинансированы на 23,9%.
В 1999 г. проектируемые ресурсы Бюджета развития составили 20,775 млрд руб., в том числе: на финансирование экспорто-ориентированных, импортозамещающих и иных инвестиционных проектов 18,4 млрд руб.; на поддержку экспорта высокотехнологичной продукции под заключенные контракты и реализацию программ конверсии оборонного производства 2 млрд руб.; для предоставления государственных гарантий Правительства Российской Федерации под проекты, осуществляемые российскими организациями, включая страхование экспортных кредитов, — до 50 млрд руб. Реально из запланированных сумм на инвестиционные проекты было выделено всего 6,3 млрд руб.
Данные факты свидетельствуют о необходимости усиления роли селективного подхода при государственном инвестировании, концентрации государственных инвестиций на строго определенных приоритетных направлениях, ужесточения контроля за средствами Бюджета развития, отбором конкурсных проектов.
Проблемы согласования инвестиционной политики федерального центра и регионов
С активизацией инвестиционной политики регионов возникает ряд проблем, связанных с углублением межрегиональных противоречий. В их числе усиление конкуренции за привлечение инвестиционного капитала, возрастание дифференциации уровней социально-экономического развития, разрыв единого инвестиционного пространства. Эти противоречия достаточно тесно взаимосвязаны.
Российские регионы характеризуются высокой степенью экономической неоднородности, а следовательно, и различием возможностей привлечения инвестиционных ресурсов. Анализ региональной структуры инвестиций свидетельствует о неравномерном распределении средств: предпочтения инвесторов связаны в основном с вложениями ресурсов в крупные центры с развитой рыночной инфраструктурой, со сравнительно высокой платежеспособностью населения, а также в сырьевые регионы. Рост самостоятельности регионов в проведении региональной политики инициирует усиление конкурентной борьбы между регионами за привлечение инвестиционного капитала путем предоставления более благоприятных условий для его использования. Это имеет не только позитивные, но и негативные последствия.
Дифференцированность инвестиционной среды, многообразие форм и методов стимулирования инвестиций, отсутствие унифицированных схем продвижения проектов затрудняют активизацию инвестиционного процесса. Анализ фактологического и статистического материала свидетельствует о продолжающихся процессах вывоза отечественного капитала, отсутствии масштабного притока иностранных инвестиций и т.д.
Для инвесторов, особенно иностранных, первостепенное значение имеют стабильность и транспарентность экономики государства в целом, поэтому при принятии инвестиционных решений учитываются в первую очередь не региональные, а страновые риски. Мировой опыт показывает, что основные потоки средств стратегических инвесторов устремляются не столько в места, где созданы максимальные налоговые льготы, сколько в страны, экономика которых стабильно и последовательно развивается на собственной, внутренней основе, так как здесь можно рассчитывать на сохранность вложений, устойчивую прибыль и дальнейшие перспективы.
Законы, составляющие основу федерального инвестиционного права в настоящее время (Федеральный закон «Об инвестиционной деятельности в Российской Федерации, осуществляемой в форме капитальных вложений» и Федеральный закон «Об иностранных инвестициях в Российской Федерации»), были приняты в 1999 г. после длительной переработки первых инвестиционных законов начала 90-х годов, содержавших целый ряд уязвимых положений.
В течение достаточно долгого периода регионы в рамках своей компетенции пытались самостоятельно восполнить пробелы федеральных законов. Во вновь принятые законодательные акты внесен ряд существенных уточнений в понятийный аппарат инвестиционной деятельности, обозначены права и обязанности инвесторов, основы регулирования инвестиционной деятельности органами государственного и местного самоуправления, условия деятельности зарубежных инвесторов, процедура прохождения инвестиционных проектов, государственные гарантии различных прав субъектов инвестиционной деятельности.
Хотя многим регионам удалось разработать более системную, чем на федеральном уровне, инвестиционную политику, это не привело к кардинальным сдвигам в инвестиционной сфере. Очевидно, что при наличии противоречий между федеральным и региональным законодательствами правовой механизм не может обеспечить гарантирование инвестиций.
Таким образом, проблема создания необходимой законодательно-нормативной базы инвестиционной деятельности в комплексе не разрешена: нет механизмов реализации рассмотренных законов, отсутствуют необходимые подзаконные акты, не учтены в ряде случаев интересы регионов.
Очевидна потребность в разработке государственной инвестиционной политики и ее нормативно-правовой базы на основе анализа, систематизации и унификации федерального и регионального инвестиционного права с учетом апробированных на практике отечественных достижений, а также мирового опыта. Формирование взвешенной инвестиционной политики, позволяющей согласовать интересы федерального центра и регионов, будет способствовать нивелированию различий региональных условий инвестирования, а следовательно, уменьшению дифференциации уровней развития регионов.
При этом встает проблема достижения сбалансированности экономических и социальных условий регионального развития. Речь идет о том, что ориентация инвестиционной политики государства на экономическую эффективность ведет к росту доходов федерального бюджета, но одновременно и к возрастанию дифференциации уровней социально-экономического развития регионов, определяя необходимость усиленной государственной поддержки отстающих регионов. В то же время акцент на социальную сторону, на поддержку слабых регионов с целью ослабления территориальных диспропорций уменьшит экономический эффект в настоящем, но восполнит его будущим снижением государственной помощи.
Данная проблема в наиболее концентрированном виде описана в рамках новосибирской региональной модели, где на основе сравнения возможных вариантов прогнозов, связанных с реализацией различных стратегий инвестирования, показано, что односторонние варианты инвестиционной политики или усиливают неоднородность регионального развития, или снижают общие экономического результаты.
Взвешенный подход к формированию государственной инвестиционной политики предполагает учет как общероссийских принципов и законов, так и специфики регионального развития, отказ от бессистемной поддержки регионов, активизацию собственных инвестиционных возможностей региона. Мобилизация внутренних ресурсов является основой привлечения внешних потоков капитала не только на уровне национальной экономики, но и на региональном уровне.
Региональные аспекты инвестиционной политики
Эффективность инвестиционной политики в федеральном государстве во многом зависит от того, насколько при ее формировании учтены макроэкономический и региональные аспекты, согласованы и стратегически сориентированы на достижение общих экономических результатов интересы центра и регионов.
Российский банк развития и его задачи в сфере производственного инвестирования
С целью активизации инвестиционного спроса и более эффективного использования государственных инвестиционных ресурсов в 1999 г. созданы Российский банк развития и Агентство по страхованию и гарантированию инвестиций. Важно, чтобы при их организации были учтены результаты функционирования созданных ранее государственных структур, таких, как Государственная инвестиционная корпорация, Агентство по ипотечному жилищному кредитованию и другие, деятельность которых не привела к кардинальным сдвигам в инвестиционной сфере.
Как уже отмечалось, государственные институты развития действуют практически во всех странах с динамично развивающейся экономикой. Они играют структурообразующую роль в национальной кредитной системе, ориентируют кредитно-финансовые институты на трансформацию сбережений в инвестиции.
В наиболее общем виде структура государственных институтов развития представлена общенациональным государственным банком, направляющим внутренние сбережения в производственные инвестиции, экспортно-импортным банком, осуществляющим кредитование экспорта и инвестирование конкурентоспособных отраслей национальной экономики, государственными финансовыми институтами, стимулирующими вложения населения в жилищное строительство, многоотраслевыми и отраслевыми инвестиционными корпорациями. Целевое размещение государственных инвестиционных ресурсов через государственные институты развития, многие из которых работают (несмотря на то, что контрольный пакет акций находится в руках государства) по рыночным принципам, позволяет оптимально сочетать бюджетные источники финансирования инвестиций со средствами крупных инвестиционных компаний, коммерческих банков и других частных инвесторов.
Российский банк развития (РБР) должен обеспечить качественный прорыв в сфере производственного инвестирования, важнейшими условиями которого являются наличие достаточного капитала, специальных каналов поддержки ресурсной базы, твердых государственных гарантий, коммерческих основ деятельности, четкая организация инвестирования и жесткий контроль за целевым использованием средств.
Важной проблемой, нуждающейся в продуманном решении, является достаточность капитала банка для работы с крупными проектами и поддержки предприятий реального сектора экономики. Ресурсы РБР могут формироваться не только за счет средств бюджета развития, но и целевых государственных займов, кредитов Банка России, средств иностранных инвесторов и международных финансово-кредитных организаций, предоставленных на условиях, соответствующих стандартам мирового финансового рынка, выпуска долгосрочных облигаций, размещаемых среди коммерческих банков, в том числе и в зачет обязательных резервных требований Банка России. В качестве средства рефинансирования РБР должен использоваться переучет коммерческих векселей в Центральном банке, а денежная эмиссия, полученная за счет рефинансирования, должна направляться на операции учета векселей предприятий реального сектора экономики, необходимые для преодоления кризиса неплатежей и вытеснения из денежного обращения денежных суррогатов.
Проблемы функционирования Российского банка развития связаны также с тем, что он создан как акционерное общество, контролируемое государством; в то же время важнейшим направлением его деятельности должно являться обслуживание государственного сектора экономики. Объединение основного акционера и клиента в одном лице, как правило, означает неэффективное функционирование структуры. Поэтому для реализации той роли, которая возлагается на банк развития, необходимо, чтобы банк нес коммерческую ответственность за свою деятельность. С другой стороны, государство должно обеспечить действенную систему контроля за использованием средств в распоряжении банка. Установление контроля за движением денежных потоков и целевым использованием средств для финансирования конкурентоспособных предприятий реального сектора, перспективных инвестиционных проектов, а также осуществления банкротства неплатежеспособных предприятий позволит повысить степень удовлетворения спроса реального сектора на денежные ресурсы и таким образом увеличить монетизацию экономики при минимизации инфляционных последствий.
Деятельность Российского банка развития должна осуществляться на основе государственных инвестиционных программ, а его активы обеспечиваться государственными гарантиями. С целью повышения эффективности использования государственных инвестиций доминирующей формой их размещения должна стать система распределения инвестиционных ресурсов между различными инвесторами и инвестиционными проектами на конкурсных началах. Это, в свою очередь, обусловливает ключевую роль проектного финансирования в государственном инвестировании, государственной поддержки конкретных инвестиционных проектов, реализация которых сопряжена с достижением необходимого эффекта.
Таким образом, создание Российского банка развития должно явиться важной составляющей целенаправленной политики государства по мобилизации капитала для осуществления инвестиций в реальный сектор экономики. Если удастся обеспечить достаточность ресурсной базы РБР и направленность его деятельности исключительно на достижение заявленных целей, то банк может стать действительным ориентиром для потенциальных инвесторов, как западных, так и российских. Участие РБР в инвестиционных программах поможет потенциальным инвесторам избежать ошибочных решений и уверенно присоединиться к проектам, участие в которых принимает РБР.
Создание системы гарантирования депозитов.
Мировой опыт показывает, что введение системы гарантирования депозитов является необходимой составляющей комплекса мер, направленных на масштабную мобилизацию сбережений населения.
Создание системы гарантирования депозитов является фактором существенного потенциального увеличения ликвидности как отдельных кредитных институтов, так и в целом кредитной системы, надежным средством против внезапного массированного оттока вкладов из банков. Отток частных вкладов, являющихся нередко значительной частью банковских ресурсов, может привести к банкротству даже устойчивых банков, не говоря о кредитных организациях, которые испытывают серьезные финансовые затруднения при неблагоприятной экономической ситуации.
Одна из первых систем страхования вкладов была создана в США в 1933-1934 гг. как результат поиска дополнительных стабилизаторов рыночного хозяйства и усиления его социальной ориентации в условиях преодоления глобального экономического кризиса. В последние десятилетия утверждение системы социально ориентированного рыночного хозяйства, а также стремление найти адекватное решение проблемы страхования постоянно растущих в условиях глобализации экономических отношений банковских рисков приведи к возникновению систем гарантирования частных вкладов во многих странах Европы и Америки. В настоящее время системы страхования депозитов существуют во всех странах ОЭСР, а также в ряде развивающихся стран (Аргентине, Колумбии и др.).
Организационная структура и функции институтов системы страхования депозитов в этих странах характеризуются существенными отличиями. В Великобритании, Канаде и США данные институты представлены государственными независимыми корпорациями, во Франции, Швейцарии — частными банковскими союзами. В Австрии, Великобритании и Нидерландах практикуется выплата частных вкладов в случае банкротства кредитной организации, в Германии — выплата вкладов и санация кредитных институтов, в Канаде — выплата вкладов, управление имуществом банка, кредитование и выдача гарантий.
Ресурсы институтов системы гарантирования депозитов формируются за счет взносов кредитных организаций, кредитов национальных банков и международных финансовых организаций. Взносы кредитных организаций, как правило, включают вступительный и регулярные взносы. При этом величина последних определяется в зависимости от объемов привлеченных средств и колеблется обычно в пределах 0,03-0,3% от суммы обязательств.
Следует отметить, что в России уже существует определенный задел по гарантированию вкладов. Доминирующая доля частных депозитов (в настоящее время около 85% от совокупного объема вкладов банковской системы) приходится на Сберегательный банк РФ. В соответствии со ст. 36 Федерального закона «О банках и банковской деятельности» на Сбербанк распространяются государственные гарантии по вкладам. Поэтому речь идет в основном об оставшихся 14—15% суммы частных вкладов, приходящихся на другие коммерческие банки. Вместе с тем следует более четко определить гарантии государства по вкладам в Сбербанке РФ путем принятия нового закона или дополнения к уже существующим.
В законопроекте «О гарантировании вкладов граждан в банках» предусматриваются обязательный порядок внесения вступительного (0,5% от собственных средств банка) и календарных взносов (до 1% от средней хронологической ежедневных балансовых остатков вкладов за календарный год) для банков, осуществляющих привлечение средств физических лиц во вклады; частичное покрытие вкладов на основе прогрессивной шкалы. Однако, учитывая различную степень устойчивости коммерческих банков, при определении величины регулярных взносов целесообразно было бы исходить из принципа установления взаимосвязи между данной величиной и показателями финансового состояния банка.
В этом плане может быть использован опыт Финляндии, где регулярные взносы состоят из фиксированной части (0,05%) от размера застрахованных вкладов и части, которая зависит от показателя достаточности капитала: чем ниже капитальная позиция банка, тем выше вторая часть взноса (верхний предел составляет 0,25%). Данный подход стимулирует кредитные организации к увеличению собственных средств и уменьшению рисков, что является весьма актуальным в российских условиях.
Эффективность функционирования системы гарантирования депозитов зависит от многих факторов, одним из которых является тесная координация работы институтов по страхованию вкладов со специализированными институтами надзора, реструктуризации банковской системы, внешнего и внутреннего аудита. Такая координация позволяет поддерживать стабильность кредитной системы и отдельных кредитных организаций путем мониторинга состояния и управления всеми стадиями развития банка.
в России системы гарантирования вкладов
Создание в России системы гарантирования вкладов при осуществлении мер по реструктуризации банковской системы и повышению качества надзора, способствуя динамичному развитию банковского сектора, расширению его ресурсной базы, означает одновременно расширение потенциальных возможностей роста инвестиционной активности кредитных институтов. Введение системы, обеспечивающей предоставление твердых гарантий от возможных рисков, позволило бы шире вовлечь в инвестиционный процесс средства населения.
Активное содействие государства формированию механизмов трансформации сбережений в производственные инвестиции должно осуществляться по ряду направлений, предполагающих как повышение привлекательности размещения сбережений в функционирующие финансово-кредитные институты, так и развитие новых институтов. Это требует активных мер государственной политики по формированию инфраструктуры финансового рынка, развитию сети небанковских финансово-кредитных институтов, способных мобилизовать долгосрочные финансовые ресурсы (системы негосударственного пенсионного обеспечения, страховых компаний, паевых инвестиционных фондов, ипотечных институтов и т.д.), повышение эффективности банковской системы по аккумуляции сбережений и инвестированию.
Таким образом, государственная политика должна быть направлена, с одной стороны, на создание равных условий для вложений в различные секторы экономики, обеспечение государственной поддержки и гарантий частных инвестиций, а с другой стороны, на повышение доверия частных инвесторов к обязательствам государства, институтам фондового рынка, банковским структурам. Для предложения конкурентоспособных реальных ставок по банковским депозитам должны не только укрепляться надежность и стабильность финансовых институтов, повышаться стандарты их экономической работы, но и снизиться риски в экономике, появиться новые инвестиционные проекты, возрасти экономическая отдача от инвестиций.
Управление государственной собственностью как фактор роста эффективности инвестиций в государственном секторе экономики
Активизация роли государства в инвестиционной сфере предполагает также достижение качественно более высокого уровня управления государственной собственностью для обеспечения инвестирования в реструктуризацию и развитие государственного сектора. Государственное имущество представлено государственными унитарными предприятиями, пакетами акций различных компаний и федеральной недвижимостью. Так, в федеральной собственности насчитывается около 36 тысяч государственных предприятий и учреждений. Государство участвует в 3896 хозяйственных обществах и товариществах, является акционером в 2500 акционерных обществ, где его доля превышает 25% уставного капитала, кроме того, в 580 акционерных обществах обладает «золотой акцией».
Несмотря на значительные в целом масштабы государственной собственности и наличие прибыльных организаций (по данным официальной статистики, на долю государственных предприятий приходится около трети грузооборота, около 80% пассажирских перевозок, в собственности государства находятся почти все торговые порты), государственная собственность используется крайне неэффективно, что сводит на нет огромные возможности экономического роста и наносит ущерб интересам развития отечественной экономики. Права собственника принимают на себя директорат и промышленный управленческий аппарат, что инициирует иррациональные формы управления, когда руководители акционерных обществ присваивают себе право распоряжаться чужими средствами. Неэффективное управление казенными предприятиями и государственными активами являются причиной невыплаты налогов и источником скрываемых доходов.
Между тем в определенном плане государственный сектор должен занимать ключевые позиции в достижении приоритетов развития экономики, формируя потенциал экономического роста. В связи с этим формирование инвестиционных программ государственных предприятий, в том числе и тех, где государство владеет лишь частью акционерного капитала, должно осуществляться в соответствии с требованиями конкурсности и эффективности. Необходим строгий государственный контроль за целевым использованием инвестируемых средств и движением финансовых потоков.
Следует отметить, что даже в странах с развитой рыночной экономикой управление государственным сектором осуществляется под жестким государственным контролем в интересах развития национальной экономики. Государственный сектор выполняет функции не только поддержки жизнеобеспечивающих и убыточных производств, но и стимулирования отечественного производства.
В ряде случаев с целью концентрации спроса структурообразующих отраслей в рамках внутреннего рынка и усиления их возможностей по оживлению национального производства проводилась национализация предприятий. Вопрос о возможностях и условиях национализации предприятий в российской экономике, в частности при конверсии задолженности по налогам в бюджет в государственную собственность, в последнее время возникает и в российской практике. Представляется, что в определенных условиях временная ренационализация частных предприятий может быть целесообразна, в частности на период проведения реструктуризации под контролем государственных органов.
Однако в целом при осуществлении деятельности государства в реальной сфере (в том числе и инвестиционной) следует исходить из принципа стимулирования, а не вытеснения аналогичных видов деятельности в негосударственном секторе, поскольку государственные предприятия, имеющие государственную поддержку, с одной стороны, более устойчивы, но, с другой стороны, менее эффективны.
Активизация инвестиционной роли государства должна выражаться не только в прямом участии в финансировании эффективных инвестиционных проектов развития наукоемких производств, высоких технологий и жизнеобеспечивающих отраслей. Более важной составляющей инвестиционной поддержки общественного производства в условиях развития рыночных отношений, ориентированной на прогрессивную структурную перестройку, является стимулирование инвестиционной деятельности экономических субъектов, которое предполагает отработку оптимальных форм и методов экономического регулирования, активное содействие развитию механизмов аккумуляции финансовых средств инвесторов и их трансформации в производственные инвестиции.
к рыночной экономике предполагает возрастание
1. Государственная поддержка инвестиционной сферы в условиях перехода к рыночной экономике предполагает возрастание не столько объемов централизованных источников, сколько значения государственных гарантий, страхования и ориентира для частных инвесторов. Бюджетное финансирование инвестиционной деятельности должно строиться на принципах определения приоритетных направлений, разделения текущего и инвестиционного бюджета на нормативной основе, четкого определения источников покрытия дефицита инвестиционного бюджета, контроля за использованием средств текущего и инвестиционного бюджета при усилении роли казначейского метода исполнения бюджета.
2. Важным направлением государственной поддержки частных инвестиций, нацеленной на повышение инвестиционной активности и мобилизацию капитала частных инвесторов по приоритетным направлениям экономического развития, подъем коммерческой, бюджетной и народно-хозяйственной эффективности инвестиционных вложений, является долевое участие государства в инвестиционных проектах, прошедших конкурсный отбор. Новые подходы в области государственной поддержки инвесторов связаны с сертификацией инвестиционных проектов, предоставлением государственных гарантий, образованием бюджета развития. Государственная поддержка приоритетных направлений экономического развития может способствовать стимулированию притока частных инвестиций. Вместе с тем для привлечения капитала частных инвесторов необходимо создание соответствующего благоприятного режима инвестиционно-хозяйственной деятельности.
3. Важную роль в обеспечении благоприятного инвестиционного режима играют денежно-кредитные, налоговые, структурные и иные методы стимулирования инвестиций. Переориентация денежно-кредитной и финансовой политики государства на стимулирование инвестиционной активности требует активных государственных мер по устранению деформаций структуры денежной массы, уменьшению доли наличных денег, дедолларизации денежного обращения, вытеснению суррогатов денежных средств из платежного оборота, нормализации вексельного обращения. Эффективное регулирование объемов и структуры денежной массы при обеспечении целевого регулирования денежных потоков (посредством воздействия на денежные потоки и динамику процентных ставок, деятельности государственных институтов развития, рефинансирования банков через учет векселей нефинансовых предприятий) способствовало бы перетеканию денежной массы со спекулятивных операций в производство. Вместе с тем, поскольку государственное регулирование денежных потоков и процентных ставок является менее эффективным, чем инвестиционная политика негосударственных финансово-кредитных институтов и предприятий реального сектора, государственное регулирование должно быть направлено на создание экономической, институциональной и правовой среды, обеспечивающей рост их инвестиционной активности.
4. Пересмотр прежней системы регулирования в соответствии с новыми приоритетами экономической политики предполагает содействие государства формированию инфраструктуры финансового рынка, развитию сети небанковских финансово-кредитных институтов, способных мобилизовать долгосрочные финансовые ресурсы, реструктурированию банковской системы с учетом задач реализации инвестиционных функций банков в экономике, становлению системы гарантирования депозитов, страхования и стимулирования инвестиций. Решение проблем инвестиционно-финансовых ресурсов требует активных государственных мер по созданию на макро- и микроэкономическом уровне условий, способствующих восстановлению производственного потенциала, формированию рыночного поведения экономических субъектов, обеспечению эффективных механизмов рыночной конкуренции, оздоровлению институтов антимонопольного регулирования и банкротства, повышению инвестиционной привлекательности предприятий, интеграции промышленного и финансового капитала. Усиление государственного регулирования инвестиционной сферы должно базироваться на широком применении нормативных методов регулирования.
5. Активизация инвестиционной политики регионов в условиях формирования рыночных отношений в России была вызвана реализацией курса на децентрализацию инвестиционного процесса, попытками регионов преодолеть несовершенство федеральной инвестиционной политики и инвестиционного законодательства, создать более благоприятный климат, обеспечивающий приток инвестиций в регионы. Помимо положительных последствий активизации инвестиционной политики регионов возник ряд проблем, связанных с углублением межрегиональных противоречий: дифференцированность инвестиционной среды, разнообразие форм и методов стимулирования инвестиций, отсутствие унифицированных схем продвижения проектов. Решение этих проблем предполагает учет при формировании инвестиционной политики макроэкономического и региональных аспектов, согласование интересов федерального центра и регионов, их ориентацию на достижение общих экономических результатов.
Банки
Значительный инвестиционный потенциал концентрируется в учреждениях банковской системы, которые в отличие от многих других посреднических институтов обладают исключительными возможностями использования трансакционных денежных средств и кредитной эмиссии. Аккумулируя временно высвобождающиеся финансовые ресурсы, банки направляют их по каналам кредитной системы прежде всего в ключевые, наиболее динамично развивающиеся секторы и отрасли, способствуя тем самым осуществлению структурной перестройки экономики. Банковская система является важным источником удовлетворения инвестиционного спроса. Несмотря на относительно высокий уровень самофинансирования в странах с развитой рыночной экономикой, внутренние денежные ресурсы не покрывают общей потребности в инвестициях. Особенно очевидным этот разрыв становится при осуществлении крупных структурных сдвигов в хозяйственном организме стран, когда резко возрастает спрос на инвестиции.
Базовой основой банковской системы являются универсальные коммерческие банки, являющиеся многофункциональными учреждениями, оперирующими в различных секторах финансового рынка. Вместе с тем развитие тенденции к специализации банковских услуг привело к выделению специализированных инвестиционных банков. Особенностью деятельности инвестиционных банков является их ориентация на мобилизацию долгосрочного капитала и предоставление его путем выпуска и размещения акций, облигаций, других ценных бумаг, долгосрочного кредитования, а также обслуживание и участие в эмиссионно-учредительской деятельности нефинансовых компаний*.
В современной кредитной системе существуют два вида инвестиционных банков. Банки первого вида осуществляют услуги, связанные исключительно с торговлей и размещением ценных бумаг, банки второго типа — с предоставлением среднесрочных и долгосрочных кредитов.
Инвестиционные банки первого вида получили распространение в Англии, Австралии, Канаде, США. Инвестиционным банкам данного типа, как правило, запрещается принимать вклады населения и фирм, их ресурсы формируются за счет собственной эмиссионной деятельности (выпуска ценных бумаг) и привлечения кредитов других финансово-кредитных институтов. Инвестиционные банки выступают в качестве организаторов первичного и вторичного обращения ценных бумаг третьих лиц, гарантов эмиссии, посредников и кредиторов при осуществлении фондовых операций, активных участников рынка слияний и поглощений, агентов, приобретающих часть неразмещенных компанией ценных бумаг, а также финансовых консультантов по ценным бумагам и другим аспектам деятельности фирм и корпораций.
Инвестиционные банки первого вида функционируют в основном на первичном внебиржевом рынке ценных бумаг, осуществляя посредническую деятельность по размещению ценных бумаг. В качестве основных методов размещения ценных бумаг используются андеррайтинг (покупка всего выпуска ценных бумаг с последующей организацией его размещения на рынке), прямое размещение (при котором банки выступают лишь консультантами продавцов и покупателей ценных бумаг), публичное размещение (когда инвестиционные банки формируют группу для размещения ценных бумаг на рынке), конкурентные торги (где инвестиционные банки являются организаторами аукциона). При реализации крупных эмиссий ценных бумаг инвестиционные банки создают синдикаты и консорциумы. В настоящее время инвестиционные банки первого типа представляют собой мощные и динамично развивающиеся финансово-кредитные институты.
Инвестиционные банки второго вида получили развитие в ряде стран Западной Европы (Италии, Испании, Нидерландах, Норвегии, Португалии, Франции, Швеции) и развивающихся государствах. Основные задачи этих банков состоят в средне- и долгосрочном кредитовании различных секторов и отраслей экономики, реализации специальных целевых проектов в области передовых технологий, а также государственных программ стабилизации экономики и социально-экономического развития. Они занимаются различными операциями на рынке ссудного капитала, аккумулируя сбережения физических и юридических лиц, осуществляют предоставление среднесрочных и долгосрочных кредитов фирмам, вложения в государственные и частные ценные бумаги, другие финансовые услуги.
Следует отметить, что в ряде стран инвестиционные банки выполняют функции, характерные для инвестиционных банков обоих видов. В Англии, Канаде, США инвестиционных банков второго вида не существует, долгосрочное кредитование осуществляют другие типы финансово-кредитных институтов. В некоторых странах (Германия, Финляндия, Швейцария) функции инвестиционных банков выполняют коммерческие банки.
Специфическим инвестиционным институтом являются ипотечные банки. Они осуществляют кредитные операции по привлечению и размещению средств на долгосрочной основе под залог недвижимого имущества — земли и строений. Наряду с основной деятельностью ипотечные банки могут заниматься вложением средств в ценные бумаги, выдачей ссуд под залог ценных бумаг, другими финансовыми услугами. Ресурсы ипотечных банков в существенной степени формируются за счет средств, привлеченных от выпуска ипотечных облигаций, закладных листов. Эти долговые обязательства являются надежными твердопроцентными ценными бумагами, они обеспечены совокупностью ипотечных кредитов, выданных банком.
Частные пенсионные фонды
Представляют собой юридически самостоятельные фирмы, управляемые страховыми компаниями или траст- отделами коммерческих банков. Их ресурсы формируются на основе регулярных взносов работающих и отчислений фирм, образовавших пенсионный фонд, а также доходов по принадлежащим фонду ценным бумагам. Пенсионные фонды вкладывают средства в наиболее доходные виды частных ценных бумаг, государственные облигации, недвижимость. Они являются крупнейшим институциональным владельцем акций, концентрация акционерного контроля в них обычно превышает степень сосредоточения акций одной и той же фирмы у инвестиционных и страховых компаний. Доля вложений в высоколиквидные активы (текущие вклады, казначейские векселя и др.) сравнительно невелика. Пенсионные фонды отличаются устойчивым финансовым положением, продуманной инвестиционной стратегией.
Динамизм спроса и предложения
Западные экономические теории при анализе проблем инвестирования исходят из модели рынка совершенной конкуренции, которому внутренне присущи подвижность и дискретность инвестиционного спроса и предложения.
Различные направления экономической мысли неоднозначно определяют характер причинно-следственных связей в исследуемых экономических процессах. Если отправным пунктом кейнсианской теории является изменчивость инвестиционного спроса, то неоклассическая концепция, а также теория экономики предложения определяющую роль отводят предложению, в том числе инвестиционных ресурсов. Однако, несмотря на различия в подходах к выбору объекта исследования и, соответственно, в трактовке основных рыночных связей и зависимостей, в любом случае в качестве основополагающего условия функционирования инвестиционного рынка, обеспечивающего возможность его сбалансированности и регулирования, рассматривается способность спроса и предложения реагировать на изменившуюся рыночную ситуацию, их динамизм.
Динамизм спроса и предложения выступает как общая закономерность развития инвестиционного рынка в условиях свободной конкуренции. В реальной экономической действительности возможность реализации этой закономерности зависит от степени монополизации рынка; в условиях ограничения конкуренции, когда гибкость элементов рынка в существенной степени утрачивается, она проявляется лишь как тенденция.
Анализ рассматриваемой закономерности предполагает выявление действия механизмов, формирующих и изменяющих равновесие на инвестиционном рынке, факторов, обусловливающих изменчивость инвестиционного спроса и предложения.
Факторы, определяющие формирование инвестиционного спроса
Инвестиционный спрос характеризуется высокой степенью подвижности и формируется под воздействием целого комплекса факторов, среди которых можно условно выделить макро- и микроэкономические факторы.
На макроэкономическом уровне факторами, определяющими инвестиционный спрос, являются: национальный объем производства, величина накоплений, денежных доходов населения, распределение получаемых доходов на потребление и сбережение, ожидаемый темп инфляции, ставка ссудного процента, налоговая политика государства, условия финансового рынка, обменный курс денежной единицы, воздействие иностранных инвесторов, изменение экономической и политической ситуации и др. Рассмотрим основные макроэкономические факторы, влияющие на инвестиционный спрос.
Важным макроэкономическим показателем, воздействующим на инвестиционный спрос, является объем произведенного национального продукта. Его увеличение при прочих равных условиях ведет к возрастанию инвестиционного спроса и наоборот (рис. 2.3, а). В таком же направлении действует изменение величины накопления, денежных доходов населения. Вместе с тем определяющее значение имеют не столько абсолютные размеры этих показателей, сколько относительные: соотношение между накоплением и потреблением в рамках используемого национального продукта, распределение полученного дохода на сбережение и потребление.

в рыночной экономике понимается часть
Сбережения, под которыми в рыночной экономике понимается часть дохода, не используемая для потребления, являются источником инвестиционных ресурсов. Величина реальных ресурсов для сбережений, которыми располагает экономика на каждом конкретном этапе ее развития, в решающей степени зависит от того, какие приоритеты лежат в основе распределения произведенного продукта — текущее потребление или накопление.
В свою очередь изменение нормы сбережений существенно влияет на сдвиги в структуре общественного продукта. При уменьшении нормы сбережений происходит рост потребления и снижение уровня инвестиций, в результате чего выбытие капитала превышает инвестиции. Это вызывает нарушение равновесия в экономике. По мере уменьшения сбережений объемы производства, инвестиций и потребления также снижаются: происходит восстановление равновесия на ином технологическом уровне.
Увеличение нормы сбережения обусловливает другой сценарий экономического развития, характеризующийся падением уровня потребления и увеличением уровня инвестиций. Рост инвестиций через определенный временной лаг приводит к накоплению капитала в производстве, уровень накопления и уровень инвестиций повышаются до тех пор, пока не достигнут оптимального с позиции устойчивости экономики значения. При этом в результате роста сбережений обеспечивается более высокий уровень потребления.
Опыт развитых стран показывает, что те из них, которые при проведении структурной перестройки экономики направляли значительную часть созданного дохода общества на сбережения, канализируя их в инвестиции, достигали высокого уровня среднедушевого дохода. Обнаруживается достаточно тесная положительная зависимость между долей конечного продукта, используемого на инвестиции, и уровнем среднедушевого дохода.
Аналогичное воздействие на динамику инвестиций оказывает распределение доходов населения на сбережение и потребление. Известное положение Дж.М. Кейнса о росте сбережений по мере увеличения получаемого дохода не подтвердилось статистическими исследованиями в этой области.
Рост инвестиций достигается при повышении доли сбережений в получаемых доходах (рис. 2.3, б). Вместе с тем роль сбережений как инвестиционного ресурса во многом зависит от влияния таких факторов, как растущее предпочтение к наличности, развитие системы институциональных сбережений (страхование, социальное страхование), основная часть которых не поступает в распоряжение нуждающихся в капитале предприятий, увеличение значения государства, которое контролирует часть кредита.
Значительное воздействие на инвестиционный спрос оказывает ожидаемый темп инфляции (рис. 2.3, в). В наиболее общем смысле повышение темпов инфляции вызывает обесценение доходов, которые предполагается получить от инвестиций.
Кроме того, инфляция оказывает негативное влияние на объем инвестиций по целому ряду направлений:
через сдерживание движущих сил экономического роста в долгосрочном аспекте,
ограничение процессов накопления и расширения производства,
обесценение производственных фондов во всех функциональных формах,
инфляционное налогообложение прибыли,
перелив денежных средств из сферы производства в сферу обращения,
уменьшение реальных доходов и сбережений, снижение емкости внутреннего рынка и т.д.
а также инфляционных ожиданий препятствует
Поэтому рост темпов инфляции, а также инфляционных ожиданий препятствует активизации инвестиционной деятельности.
В условиях развитой рыночной экономики формирование инвестиционного спроса связано с функционированием финансового рынка, опосредствующего движение инвестиционного капитала, а также доходов от вложенных активов. Аккумулируя сбережения отдельных инвесторов, финансово-кредитная система образует основной канал инвестиционного спроса. Особенно важную роль при этом играют банки, которые могут использовать не только сбережения, но и обращающиеся денежные средства, эмиссию. Конъюнктура фондового и кредитного рынка, определяя условия инвестиционных вложений, воздействует на объем и структуру инвестиций. Доходы от инвестирования, принимающие на финансовом рынке форму дивиденда и процента, воспроизводят потенциальный инвестиционный спрос, который может быть реализован путем реинвестирования.
Существенное влияние на динамику инвестиций оказывает процентная и налоговая политика государства. Регулирование процентных и налоговых ставок является важным рычагом государственного воздействия на инвестиционный спрос. Снижение налогов на прибыль при прочих равных условиях ведет к увеличению доли накоплений предприятий, направляемых на инвестирование.
Ставка ссудного процента определяет цену заемных средств для инвесторов. Повышение процентной ставки усиливает мотивацию к сбережениям и одновременно ограничивает инвестиции, делая их нерентабельными. При снижении ставки ссудного процента инвестирование оказывается более прибыльным, поэтому уменьшение ставки ссудного процента ведет к росту инвестиций и наоборот (рис. 2.3, г).
Однако снижение ставки процента как фактор активизации инвестиций имеет объективные пределы, поскольку на определенном этапе снижения процентной ставки возрастают предпочтения экономических агентов к хранению денег в более ликвидной наличной форме (теория ликвидности Дж.М. Кейнса) и увеличивается отвлечение средств в сферу спекуляций ценными бумагами. В связи с этим возникает проблема определения оптимального в данных условиях уровня процентной ставки, так как чрезмерное повышение или понижение ставки процента наносит ущерб инвестиционной активности. Таким образом, воздействие процентной ставки на инвестиционный спрос в целом неоднозначно. Результаты ряда эмпирических исследований показывают, что зависимость динамики инвестиций от изменения нормы процента не носит четко выраженного характера.
Определение воздействия процентной ставки на динамику инвестиционного спроса будет неполным без выяснения ее соотношения с нормой ожидаемой прибыли. Вместе с тем при принятии инвестиционных решений существенную роль играет не номинальная, а реальная ставка процента, поскольку фактор инфляции искажает действительные ориентиры и без его учета при сопоставлении ставки ссудного процента с нормой ожидаемой чистой прибыли может быть получен неверный результат.
Прибыль играет двойственную роль в инвестиционной деятельности; с одной стороны, она может рассматриваться как источник финансирования инвестиций, а с другой стороны — как цель инвестирования. Исследования, связанные с решением сложных задач математической формализации уровня и динамики инвестиционного спроса, выявлением основных параметров, определяющих инвестиционный спрос, свидетельствуют о существовании определенной зависимости между прибылью и инвестициями.
В зависимости от задач анализа
В зависимости от задач анализа зарубежными исследователями получены различные инвестиционные функции, где одними из ключевых параметров изменения инвестиционного спроса являются чистая прибыль, динамика нормы прибыли или величина ожидаемой прибыли. В наиболее общем виде инвестиционные функции могут быть представлены следующим образом:

где It — чистые инвестиции;
Pst-1 — объем чистой прибыли с временным лагом t - 1;
Рt — объем валовой прибыли;
Кt-1 — накопленный основной капитал на конец периода t - 1;
Nt — налоги и трансферты государству в текущих ценах;
Dt — объем амортизационных отчислений;
it — индекс цен на инвестиционные товары;
Vt — показатель биржевой котировки курса акций;
Itt — инвестиции на возмещение выбытия основного капитала;
It-1 — чистые инвестиции в периоде t — 1;
Vt-1 — показатель биржевой котировки в периоде t — 1.
Инвестиционные функции (2.1) и (2.2) характеризуют зависимость чистых инвестиций от объема инвестиций предшествующего периода, величины накопленного основного капитала и чистой прибыли. В зависимости от целей исследования они могут быть дополнены включением в состав параметров такого показателя, как ставка процента по долгосрочным ссудам банков.
Особое место в инвестиционных функциях (2.1) и (2.2) занимает параметр накопленного в экономике основного капитала, включаемый в инвестиционные уравнения с отрицательной обратной связью. Он отражает процессы накопления капитала в ходе экономического цикла и их связь с динамикой нормы прибыли. В приближенном виде этот механизм выражается в следующем. Рост нормы прибыли обусловливает активизацию инвестиционного спроса и возрастание чистых инвестиций, что ведет к ускорению роста основного капитала. Рост основного капитала через определенный временной лаг начинает оказывать воздействие на норму прибыли в сторону ее понижения, что в свою очередь вызывает сжатие инвестиций и тем самым замедление темпов роста основного капитала. Сокращение основного капитала определяет создание предпосылок для последующего циклического увеличения нормы прибыли в экономике, что ведет к развитию следующего цикла. Таким образом, механизм инвестирования в основной капитал генерирует цикл деловой конъюнктуры и является одним из механизмов положительных обратных связей в рыночной экономике.
отражает модель инвестирования, основанную на
Инвестиционная функция (2.3) отражает модель инвестирования, основанную на величине ожидаемой прибыли. В качестве меры ожидаемой в будущем прибыли используется показатель биржевой котировки курса акций компаний, представляющий собой текущую оценку будущего потока доходов соответствующей компании на основе биржевых показателей ценных бумаг. Сложность построения агрегированного показателя биржевой котировки акций всех частных компаний определяет достаточно узкую область применения данной инвестиционной функции — на уровне отдельных фирм.
Норма ожидаемой прибыли относится к факторам, воздействующим на инвестиционный спрос на микроэкономическом уровне. К ним также следует отнести издержки на осуществление инвестиций, ожидания, изменения в технологии и др.
Норма ожидаемой чистой прибыли имеет особое значение в системе микроэкономических факторов. Это обусловлено тем, что именно прибыль является побудительным мотивом осуществления инвестиций. Инвесторы производят вложения лишь тогда, когда ожидают, что доход, полученный от инвестирования, будет превосходить затраты. Поэтому, чем выше норма ожидаемой чистой прибыли, тем больше инвестиционный спрос (рис. 2.3, д).
При этом эффективное инвестирование будет иметь место лишь в том случае, если норма ожидаемой чистой прибыли превышает реальную ставку процента, иначе привлечение заемных средств теряет экономический смысл. Сопоставление нормы ожидаемой чистой прибыли со ставкой ссудного процента осуществляется предприятиями даже при использовании собственных средств. Прибыль будет инвестирована в собственную фирму, если уровень отдачи от инвестиций окажется выше ставки ссудного процента, в противном случае она будет размещена на рынке капиталов.
Таким образом, процентная ставка является критерием эффективности инвестирования. Эффективность инвестиционного проекта не может опуститься ниже ставки ссудного процента. Являясь основой оценки инвестиционных активов как объектов вложения капитала, процентная ставка выполняет еще одну важную функцию: является средством «актуализации» всех остальных доходов, выступая как метод оценки каждого дохода во времени.
Следующий фактор, воздействующий на инвестиционный спрос, — издержки на осуществление инвестиций. Учет этого фактора производится при исчислении нормы ожидаемой чистой прибыли по каждому инвестиционному проекту. Возрастание затрат вызывает снижение нормы ожидаемой чистой прибыли и наоборот (рис. 2.3, е). При этом, поскольку значительная доля инвестиционных вложений носит долгосрочный характер, во внимание принимается и фактор времени. В целом, чем больше объем издержек на осуществление инвестиций и срок их окупаемости, тем ниже уровень инвестиционного спроса.
На объем инвестиций влияют также ожидания предпринимателей, основанные на прогнозах будущего спроса, объема продаж, рентабельности. Отдача от инвестирования будет зависеть от увеличения этих показателей, поэтому рост оптимистических ожиданий ведет к возрастанию инвестиционного спроса.
Наибольшая отдача связана с инвестициями в инновационную продукцию, обеспечивающими снижение издержек производства, повышение качества продукции и нормы ожидаемой чистой прибыли. Поэтому изменения в технологии являются фактором, стимулирующим инвестиционный спрос.
Таким образом, инвестиционный спрос складывается под воздействием разнородных и разнонаправленных факторов, определяющих его гибкость и динамизм.
Финансовые компании
специализируются на кредитовании продаж потребительских товаров в рассрочку и выдаче потребительских ссуд. Источником ресурсов финансовых компаний являются собственные краткосрочные обязательства, размещаемые на рынке, и кредиты банков.
Фондовая биржа
Выступает как особый, институционально организованный рынок ценных бумаг, функционирующий на основе централизованных предложений о купле-продаже ценных бумаг, выставляемых биржевыми брокерами по поручениям институциональных и индивидуальных инвесторов. В рыночной экономике значительная часть долгосрочных вложений капитала осуществляется посредством фондовой биржи.
Биржевые фондовые операции опосредствуют привлечение денежных ресурсов и их перераспределение между различными секторами и отраслями экономики. Фондовая биржа способствует установлению постоянных и единообразных правил заключения сделок купли-продажи ценных бумаг. Она выступает в качестве торгового, профессионального, нормативного и технологического «ядра» рынка ценных бумаг. В функции фондовой биржи входит обеспечение постоянства, ликвидности и регулирования рынка, учет рыночной конъюнктуры, котировка акций. Динамика курсов ценных бумаг на фондовой бирже отражает направления эффективного вложения капиталов и является индикатором состояния рынка в целом.
Инфраструктура инвестиционного процесса
В соответствии с объективными рыночными закономерностями инвестирование предполагает функционирование развитого финансового рынка. Взаимодействие инвестиционного и финансового рынков является важным условием макроэкономического равновесия в рыночном хозяйстве. Финансовый рынок обеспечивает аккумулирование временно свободных денежных средств одних субъектов рынка и эффективное использование их другими, бесперебойное формирование финансовых ресурсов, их наиболее эффективное инвестирование и целенаправленное использование.
Инвестиционное предложение.
Инвестиционное предложение составляет совокупность объектов инвестирования во всех его формах: вновь создаваемые и реконструируемые основные фонды, оборотные средства, ценные бумаги, научно-техническая продукция, имущественные и интеллектуальные права и др. Объекты инвестиционной деятельности отражают спрос на инвестиционный капитал.
Воплощая инвестиционный спрос и предложение, инвестиционный капитал и объекты инвестиционной деятельности, выступающие в форме инвестиционных товаров, находятся на различных, противостоящих полюсах инвестиционного рынка. В зависимости от исходной позиции анализа инвестиционный рынок можно рассматривать в двух аспектах: как рынок инвестиционного капитала, размещаемого инвесторами, и как рынок инвестиционных товаров, представляющих объекты вложений инвесторов. Данный подход обусловлен рассмотренным выше двойственным характером инвестиций, выступающих, с одной стороны, как ресурсы (инвестиционный капитал), а с другой стороны, как вложения (инвестиционные товары), и отражает специфику инвестиций в рыночных условиях.
Инвестиционные дилеры и брокеры
Представлены профессиональными организациями, ведущими посредническую деятельность на фондовом рынке, или отдельными физическими лицами. Инвестиционный дилер осуществляет покупку ценных бумаг от своего имени и за свой счет с целью их последующего размещения среди инвесторов. Инвестиционный брокер занимается сведением покупателей и продавцов ценных бумаг и осуществлением сделок с ценными бумагами за комиссионное вознаграждение.
Инвестиционные институты
Инвестиционные институты представлены хозяйствующими субъектами (или физическими лицами), которые осуществляют деятельность на рынке ценных бумаг как исключительную, т.е. не допускается ее совмещение с другими видами деятельности. К инвестиционным институтам относят определенные виды специальных финансово-кредитных институтов (инвестиционные банки первого вида, инвестиционные компании и фонды), а также фондовые биржи, инвестиционных брокеров, дилеров, консультантов и др.
Инвестиционные компании и фонды представляют собой разновидность финансово-кредитных институтов, аккумулирующих средства частных инвесторов путем эмиссии собственных ценных бумаг и размещающие их в ценные бумаги других эмитентов. Инвестиционные компании и фонды могут выпускать ценные бумаги, в том числе инвестиционные сертификаты, размещаемые на фондовом рынке. Пределы их выпуска ограничиваются размером покрытия, обеспечиваемого портфелем ценных бумаг компании.
Инвестиционные компании — это объединения (корпорации), осуществляющие операции с ценными бумагами и выполняющие некоторые функции коммерческих банков. Они могут функционировать в виде финансовых групп, холдинговых и финансовых компаний. Инвестиционные фонды учреждаются в форме акционерного общества.
В зависимости от методов формирования ресурсов различают инвестиционные компании (фонды) открытого и закрытого типа. У инвестиционных компаний открытого типа число акций, образующих акционерный капитал, изменяется в зависимости от спроса на эти акции. Компания в любой момент готова продать новые акции или выкупить свои акции у лиц, желающих их продать, что обеспечивает высокую ликвидность вложений вкладчиков. Акции этих компаний не обращаются на вторичном рынке. У инвестиционных компаний закрытого типа величина акционерного капитала является фиксированной. Курс акций определяется складывающимся на вторичном рынке соотношением спроса и предложения.
Важными преимуществами инвестиционных компаний, привлекающими вкладчиков, являются широкие возможности диверсификации портфеля ценных бумаг, квалифицированное управление фондовыми активами, что обеспечивает распределение рисков и повышение ликвидности инвестируемых средств. Мелкие и средние инвесторы, не обладающие значительными свободными денежными ресурсами и, следовательно, возможностями диверсификации своего портфеля ценных бумаг, приобретая акции инвестиционных компаний, получают возможность использовать более сбалансированный набор фондовых ценностей. В последнее время среди акционеров инвестиционных компаний увеличилась доля институциональных инвесторов, прежде всего страховых компаний и пенсионных фондов.
Инвестиционные товары.
Объекты инвестиционных вложений составляют особый вид товаров, представленных элементами капитального имущества, которые в отличие от потребительских товаров используются в различных сферах экономической деятельности с целью получения дохода (эффекта) в перспективе.
Инвестиционные товары, как и инвестиции, характеризуются качественной разнородностью. Они могут существовать в материальной форме (элементы физического капитала), в денежной форме (деньги, целевые денежные вклады, паи, ценные бумаги), а также и в материальной и в денежной форме (основной и оборотный капитал, научно-техническая продукция и т.д.). Их обобщающей характеристикой является способность приносить доход.
Определенные виды инвестиций и инвестиционных товаров в силу их связанности в производительной форме не могут непосредственно обращаться на инвестиционном рынке. В странах с развитой рыночной экономикой они обычно замещаются на рынке долговыми обязательствами или свидетельствами о вложении капитала, дающими право на присвоение дохода (долговыми и долевыми ценными бумагами). Обращаясь на инвестиционных рынках, финансовые инструменты, возникшие на основе реального капитала и являющиеся его представителями, приобретают самостоятельное значение, собственные формы и закономерности функционирования.
Инвестиционный рынок: общие положения
Инвестиционный рынок — сложное динамическое экономическое явление, которое характеризуется такими основными элементами, как инвестиционный спрос и предложение, конкуренция, цена.
Условия осуществления инвестиционного процесса в рыночной экономике приобретают специфические формы, отражающие особенности взаимодействия субъектов инвестирования в системе рыночных отношений:
наличие значительного инвестиционного капитала с диверсифицированной по формам собственности структурой, характеризующейся преобладанием частного инвестиционного капитала по сравнению с государственным;
многообразие субъектов инвестиционной деятельности в аспекте отношений собственности и институциональной организации, разделение функций государства и частных инвесторов в инвестиционном процессе; наличие разветвленной сети финансовых посредников, способствующих реализации инвестиционного спроса и предложения;
наличие развитого много сегментного рынка объектов инвестиционной деятельности, выступающих в форме инвестиционных товаров;
распределение инвестиционного капитала по объектам инвестирования в соответствии с экономическими критериями оценки привлекательности инвестиций через механизм инвестиционного рынка.
Инвестиционный спрос.
Различают потенциальный и реальный инвестиционный спрос. Потенциальный инвестиционный спрос отражает величину аккумулированного экономическими субъектами дохода, который может быть направлен на инвестирование и составляет потенциальный инвестиционный капитал. Реальный инвестиционный спрос характеризует действительную потребность хозяйственных субъектов в инвестировании и представляет собой инвестиционные ресурсы, которые непосредственно предназначены для инвестиционных целей — планируемые или преднамеренные инвестиции.
Контрольные вопросы и задания
Каковы специфические условия осуществления инвестиционного процесса в рыночной экономике?
Что такое инвестиционный рынок? Поясните, почему инвестиционный рынок рассматривают, с одной стороны, как рынок инвестиционного капитала, а с другой — как рынок инвестиционных товаров.
Определите понятия «инвестиционный спрос» и «инвестиционное предложение».
Дайте характеристику основных стадий конъюнктурного цикла инвестиционного рынка.
Пользуясь рис. 2.3, опишите действие основных факторов, воздействующих на инвестиционный спрос.
Каковы особенности формирования инвестиционного предложения?
Охарактеризуйте механизм действия равновесных цен на инвестиционном рынке.
Каковы особенности взаимодействия инвестиционного и финансового рынков?
Какие типы институтов инвестиционной инфраструктуры Вам известны?
В чем суть рыночной модели инвестирования?
Конъюнктура инвестиционного рынка
Конъюнктура инвестиционного рынка — совокупность факторов, определяющих сложившееся соотношение спроса, предложения, уровня цен, конкуренции и объемов реализации на инвестиционном рынке или сегменте инвестиционного рынка.
Циклическое развитие и постоянная изменчивость инвестиционного рынка обусловливают необходимость постоянного изучения текущей конъюнктуры, выявления основных тенденций ее развития и прогнозирование будущей конъюнктуры.
Конъюнктурный цикл инвестиционного рынка включает четыре стадии:
подъем,
конъюнктурный бум,
ослабление и
спад конъюнктуры.
Подъем конъюнктуры инвестиционного рынка происходит, как правило, в связи с общим повышением деловой активности в экономике. Он проявляется в увеличении спроса на объекты инвестирования, росте цен на них, оживлении инвестиционного рынка.
Конъюнктурный бум выражается в резком возрастании объемов реализации на инвестиционном рынке, увеличении предложения и спроса на объекты инвестирования при опережающем росте последнего, соответствующем повышении цен на объекты инвестирования, доходов инвесторов и инвестиционных посредников.
Ослабление конъюнктуры имеет место при снижении инвестиционной активности в результате общеэкономического спада. Данная стадия характеризуется относительно полным удовлетворением спроса на объекты инвестирования при некотором избытке их предложения, стабилизацией, а затем снижением цен на объекты инвестирования, уменьшением доходов инвесторов и инвестиционных посредников.
Спад конъюнктуры на инвестиционном рынке отличается критически низким уровнем инвестиционной активности, резким снижением спроса и предложения на объекты инвестирования при превышении предложения. На стадии конъюнктурного спада цены на инвестиционные объекты существенно снижаются, доходы инвесторов и инвестиционных посредников падают до самых низких значений, инвестиционная деятельность в ряде случаев становится убыточной.
Кредитные союзы
Представляют собой кредитные кооперативы, организуемые группами частных лиц или мелких кредитных организаций. Они представлены двумя основными типами. Кредитные союзы первого типа организуются группой физических лиц, объединяемых по профессиональному или территориальному признаку. Кредитные союзы второго типа создаются в виде добровольных объединений ряда самостоятельных кредитных товариществ. Капитал кредитных союзов формируется путем оплаты паев, периодических взносов членов кредитных союзов, а также выпуска займов. Кредитные союзы осуществляют такие операции, как привлечение вкладов, предоставление ссуд под обеспечение членам союза, учет векселей, торгово-посреднические и комиссионные операции, консультационные и аудиторские услуги.
Кредитные товарищества
Создаются в целях кредитно-расчетного обслуживания своих членов: кооперативов, арендных предприятий, предприятий малого и среднего бизнеса, физических лиц. Капитал кредитных товариществ формируется путем покупки паев и оплаты обязательного вступительного взноса, который при выбытии не возвращается. Основные операции кредитных товариществ включают предоставление ссуд, комиссионные и посреднические операции.
Кредитный и фондовый варианты инвестирования
Мобилизованный финансовыми посредниками инвестиционный капитал может размещаться в различных формах: займов, выпуска акций, покупки облигаций, других ценных бумаг и т.д.
В зависимости от способа трансформации сбережений в инвестиции выделяют два сегмента финансового рынка:
кредитный рынок, где передача денежных средств опосредствуется кредитно-финансовыми институтами, и
фондовый рынок, где перераспределение инвестиционного капитала осуществляется путем выпуска и продажи ценных бумаг.
Первый вариант инвестирования играет заметную роль в странах с развитой экономикой, где доля кредита в финансировании затрат хозяйства в зависимости от соотношения объемов финансирования через фондовый и кредитный рынок колеблется от 25-30% до 50-60% и значительна доля вкладов населения в пассивах банков. Так, в Японии она достигает 70% общих ресурсов банковской системы. Привлекательность данного способа передачи сбережений для их владельцев обусловлена тем, что он обеспечивает высокую ликвидность вложений, их надежность (риск невозврата вложенных средств перекладывается на финансово-кредитные институты) и доступность для широких слоев мелких вкладчиков, что компенсирует менее высокую по сравнению с вложениями в ценные бумаги доходность.
Использование механизма фондового рынка — важной формы мобилизации средств в рыночной экономике — позволяет фирмам аккумулировать значительные объемы средств на длительные или неограниченные (при эмиссии акций) сроки. В США данный источник инвестирования составляет 18% общего объема капитальных вложений корпорации.
Модель инвестирования может быть представлена следующим образом: мобилизация инвестиционных ресурсов — вложение их в кредиты, ценные бумаги производственных, финансовых, государственных и муниципальных органов. Она действует эффективно лишь при реальном воспроизводстве. При этом происходит перераспределение средств между различными секторами экономики исходя из рыночных критериев привлекательности вложений, ориентированных на достижение максимальной прибыльности при допустимом уровне риска. Кроме того, в самих секторах выделяются лидеры, предлагающие наиболее перспективные и качественные товары. В результате между различными подразделениями воспроизводства поддерживается определенное соотношение, отражающее инвестиционные предпочтения экономических субъектов.
Механизм равновесных цен на инвестиционном рынке
Сбалансированность инвестиционного спроса и предложения может быть достигнута лишь в общих масштабах инвестиционного рынка. Их выравнивание происходит в рыночной системе посредством установления равновесных цен. Действие механизма равновесных цен присуще только свободному конкурентному рынку. Этот механизм предполагает изменение цен на инвестиционные товары и капитал на основе балансирования спроса и предложения до тех пор, пока не установится динамическое равновесие на инвестиционном рынке, т.е. не будут достигнуты равновесные цены на инвестиционный капитал и инвестиционные товары и синхронизация решений об их купле и продаже.
Действие механизма равновесных цен на инвестиционном рынке отражает специфику инвестиционных товаров. Последняя, как отмечалось, состоит в способности инвестиционных товаров приносить доход. Стремление к получению наибольшего дохода при меньших затратах лежит в основе решений экономических субъектов об инвестировании. При определенной структуре инвестиционного предложения инвесторы окажут предпочтение тем инвестиционным товарам, которые обеспечат наибольшую норму чистой прибыли на вложенный капитал при минимальном риске вложений. Высокая рыночная цена инвестиционных товаров, обусловленная их доходностью, служит импульсом для направления значительных масс инвестиционного капитала в эти объекты вложения. Перемещение инвестиционного капитала, в свою очередь, приводит к превышению инвестиционного спроса над предложением данных товаров, что при прочих равных условиях инициирует эффект повышения цены и эффект увеличения предложения. При увеличении предложения данных инвестиционных товаров рыночный механизм вызовет снижение их цены. Поэтому произойдет перелив инвестиционного капитала в более доходные сферы инвестиционной деятельности. Рассматриваемый процесс завершится установлением динамического равновесия на инвестиционном рынке.
Таким образом, равновесие в условиях чисто конкурентного рынка предполагает, что принятие решений об инвестировании, вытекающее из сравнения ожидаемого уровня ставки ссудного процента и маржинальной эффективности капитала, ведет к оптимальному распределению планируемых инвестиций в соответствии с перспективой роста рентабельности. Понимаемое таким образом равновесие выступает как идеальная экономическая система, которая характеризуется совокупной пропорциональностью инвестиционных ресурсов и их использования, оптимальной реализацией экономических интересов субъектов инвестиционной деятельности.
В действительности структура инвестиционного рынка далека от идеальной модели. Отсутствие чистой конкуренции ограничивает динамизм инвестиционного спроса и предложения, уменьшает возможности их балансирования, а следовательно, и установления цены на равновесном уровне. Потенциальные участники инвестиционной деятельности не имеют равного доступа к инвестиционному рынку, различаются их возможности получить инвестиционные товары по рыночной цене. Крупные олигополистические инвесторы находятся в более благоприятном положении, чем конкурирующие, так как, контролируя предложение и манипулируя ценами, они могут перекладывать свои затраты на потребителей. Кроме того, вследствие своего высокого рейтинга они могут использовать средства финансового рынка на более выгодных условиях, чем другие фирмы, норма ожидаемой чистой прибыли которых может быть выше.
Отсюда следует, что в реальной экономической практике инвестиционный рынок не выполняет идеально функцию оптимального распределения инвестиций. Это, однако, не исключает необходимости абстрактного моделирования экономических процессов, поскольку именно на данной основе можно выявить существенные связи, закономерности, определить условия равновесия элементов, из которых складывается совокупность экономических явлений согласно закону свободной конкуренции.
Модель Дж. Хикса IS-LM
Равновесие на инвестиционном рынке выступает как частичное макроэкономическое равновесие. Вместе с тем оно является существенным условием более общего экономического равновесия. Так, в известной модели IS—LM (инвестиции — сбережения — ликвидность — деньги), предложенной нобелевским лауреатом Дж. Хиксом, равновесие на инвестиционном рынке означает равновесие и товарных рынков, в связи с чем данная модель получила название модели двойного равновесия товарных и денежных рынков (рис. 2.4).

Модель IS-LM отражает существенные связи между инвестиционным и денежным рынками. Эта зависимость является важнейшей особенностью инвестиционного рынка. В ее основе лежит использование в качестве основных макроэкономических характеристик инвестиционного и денежного рынка общих для них параметров: процентной ставки и объема общественного производства.
Равновесие на инвестиционном рынке достигается при равенстве инвестиций и сбережений. Объем инвестиций, как отмечалось, определяется различными факторами. Однако при исследовании экономических зависимостей изучаемая связь выделяется путем функционального объединения только нескольких переменных, а не всей их совокупности, которая рассматривается как неизменная.
Из множества макроэкономических факторов, воздействующих на инвестиции, В качестве эндогенных переменных используются объем общественного производства Q и процентная ставка r. Остальные факторы учитывают в качестве экзогенных переменных. При этом формула инвестиций приобретает вид:

где — часть инвестиций, определяемая экзогенными переменными.
Кривая IS выражает такую комбинацию
Кривая IS выражает такую комбинацию национального объема производства и процентной ставки, при которой инвестиции равны сбережениям.
Равновесие на денежном рынке предполагает равенство предложения денег Мs и спроса на деньги Мd. Последний складывается из спроса на деньги со стороны сделок, который находится в прямой зависимости от национального объема производства Q, и спроса на деньги со стороны активов, обратно пропорционального ставке ссудного процента r. Отсюда условия равновесия на денежном рынке предполагают:

Величина d добавлена для учета влияния на Мd.
Кривая LM отражает все соотношения Q и r, при которых устанавливается равновесие на денежном рынке. Совмещение кривых IS и LM выражает условия двойного равновесия рынков, характеризующие оптимальное состояние инвестиционной и финансовой конъюнктуры.
При изменении эндогенных переменных система IS—LM придет в движение, смещение кривых приведет к установлению новых условий равновесия. Поэтому с помощью данной модели можно проанализировать влияние некоторых рыночных факторов, а также государственного вмешательства, которое будет рассмотрено ниже. Вместе с тем следует отметить определенную ограниченность рассматриваемой модели. Она не учитывает, в частности, инфляционного давления вследствие значительной денежной экспансии (поскольку построена исходя из предположения неизменности цен), воздействия внешнего сектора и т.д.
Взаимосвязь изменения конъюнктуры инвестиционного и финансового рынков определяет существенную роль последнего в функционировании инвестиционного рынка. Она отражается, во-первых, в том, что спрос предприятий и фирм на инвестиционные товары в форме основного и оборотного капитала проявляется как спрос на финансовые средства для его приобретения. При этом предложение инвестиционных товаров принимает денежно-кредитную форму. Оно выступает как сбережения домашних хозяйств и фирм, аккумулирующиеся в учреждениях банковской системы и предоставляемых за определенный процент. Отсюда и следующая особенность инвестиционного рынка: для его эффективного функционирования необходима развитая сеть финансовых посредников, осуществляющих связь между продавцами и покупателями инвестиционного капитала.
Доход по различным финансовым активам, в зависимости от того, какую форму капитала — предпринимательскую или ссудную — они представляют, делится на дивиденд и процент. В совокупности они отражают норму доходности произведенных капитальных стоимостей. Соотношение дивиденда и процента показывает структуру инвестиционного спроса, его распределение между фирмами и банковской системой. На финансовом рынке данное соотношение выступает в форме рыночной стоимости (курса) финансовых инструментов.
Опосредствуя движение капитальных стоимостей, финансовые
Опосредствуя движение капитальных стоимостей, финансовые инструменты ускоряют реакцию цен на изменение норм доходности и обеспечивают тем самым быстрый перелив капитала в наиболее прибыльные сферы инвестиционной деятельности. Вследствие динамизма финансовых активов величина их рыночной стоимости выступает в качестве своеобразного индикатора деловой конъюнктуры. Таким образом, на финансовом рынке механизм равновесных цен приобретает более четкие формы проявления.
Существенной особенностью инвестиционного рынка является та роль, которую играет здесь процентная ставка. Как было показано выше, размер процентной ставки обусловливает, во-первых, величину привлекаемых кредитной системой сбережений домашних хозяйств, во-вторых, норму доходности инвестиционных вложений. Через процентную ставку оцениваются даже собственные потенциальные ресурсы фирм: если ожидаемая отдача выше уровня процентной ставки, они будут направлены на инвестирование, в противном случае — размещены на финансовом рынке в форме вкладов в банковской системе, покупки ценных бумаг и т.д.
Таким образом, инвестиционный рынок может эффективно функционировать лишь в условиях развитого финансового рынка, устойчивой и надежной банковской системы. При этом важными условиями взаимодействия инвестиционного и финансового рынков являются рыночное формирование процентной ставки, равные условия инвестирования в отраслевом и региональном аспектах, привлекательность долгосрочных вложений, регулируемый уровень инфляции.
Рыночный механизм сам по себе не может обеспечить эти условия, что обусловливает необходимость государственного воздействия на рыночные стимулы: государственное регулирование должно соответствовать экономическим закономерностям, на основе которых рыночный механизм реагирует на изменение условий, учитывать прогнозы многосторонних последствий мер воздействия, создавать условия для реализации потенциальных возможностей рыночного механизма путем антимонопольных мер.
Небанковские финансово-кредитные институты
К небанковским финансово-кредитным институтам относят ломбарды, кредитные товарищества, кредитные союзы, общества взаимного кредита, страховые общества, пенсионные фонды, финансовые компании и др.
Ломбарды представляют собой кредитные учреждения, выдающие ссуды под залог движимого имущества. Исторически они возникли как частные предприятия ростовщического кредита. В современных условиях во многих странах в формировании капитала и функционировании ломбардов участвует государство. В зависимости от степени участия государства и частного капитала в их деятельности выделяются ломбарды государственные и коммунальные, частные и смешанного типа. Ломбарды специализируются на предоставлении потребительского кредита под обеспечение в виде залога движимого имущества. Практикуются также операции по хранению ценностей клиентов, а также продажа заложенного имущества на комиссионных началах. Данный круг операций определяет специфику организационной структуры ломбардов: кроме филиалов и отделений крупные ломбарды могут иметь сеть складов и магазинов.
К особенностям кредитных операций в ломбардах можно отнести отсутствие кредитного договора с клиентом и залогового обязательства. При выдаче ссуды под залог клиент получает залоговый билет, как правило, на предъявителя, имеющий регистрационный номер в журнале регистрации, где указываются реквизиты заемщика и основные условия сделки. По большинству кредитных сделок предусматривается льготный срок, только по истечении которого заложенное имущество может быть продано.
Общества взаимного кредита
Это вид кредитных организаций, близких по характеру деятельности к коммерческим банкам, обслуживающим мелкий и средний бизнес. Участниками обществ взаимного кредита могут быть физические и юридические лица, формирующие за счет вступительных взносов капитал общества. При приеме в общество взаимного кредита приемный комитет оценивает кредитоспособность поступающего, представленные им гарантии или поручительства, имущественное обеспечение и определяет максимально допустимый размер открываемого ему кредита.
При вступлении член общества взаимного кредита вносит определенный процент открытого ему кредита в качестве оплаты паевого взноса, обязуется нести ответственность по своим долгам, а также операциям общества в размере открытого ему кредита. При выбытии из общества взаимного кредита его участник погашает сумму основного долга, приходящуюся на него часть долгов общества, после чего ему возвращаются вступительный взнос и заложенное имущество.
Особенности формирования инвестиционного предложения
Формирование инвестиционного предложения имеет ряд отличительных особенностей. С одной стороны, как предложение товаров, оно обусловлено такими основными факторами, как цена, а также неценовые составляющие: издержки, совершенствование технологии, налоговая политика, ожидания, уровень конкуренции и др. С другой стороны, инвестиционное предложение выступает как специфическое товарное предложение, поскольку инвестиционные товары отличает способность приносить доход. Это определяет качественную особенность такого фактора, как цена на инвестиционные товары, которая складывается в зависимости от нормы доходности.
Норма доходности лежит в основе цены финансовых инструментов, опосредствующих движение реального капитала. Рыночная цена финансовых активов свидетельствует о степени привлекательности вложений в инвестиционные товары.
Существенное воздействие на инвестиционное предложение оказывает ставка процента по депозитным вкладам в банковскую систему, величина которой определяет сбережения домашних хозяйств. Развитие фондового рынка и рынка ссудных капиталов выступает, таким образом, важным условием стимулирования инвестиционного предложения.
Поскольку при определенном составе инвестиционного предложения инвестиционный спрос ориентирован на более доходные активы, объем и структура инвестиционного предложения воздействуют на объем и структуру инвестиционного спроса. Инвестиционное предложение является основным фактором, определяющим масштабы функционирования инвестиционного рынка, поскольку оно вызывает изменение спроса на инвестиционные товары. Механизм обратной связи не столь выражен; он проявляется лишь в условиях свободного конкурентного рынка.
Понятие инвестиционного рынка
В экономических публикациях встречаются различные подходы к пониманию инвестиционного рынка. В отечественной экономической литературе, где в последние годы термин «инвестиционный рынок» получил широкое распространение, его наиболее часто рассматривают как рынок инвестиционных товаров. Причем одни авторы, отождествляющие понятие «инвестиций» с понятием «капитальные вложения», под инвестиционными товарами подразумевают только определенные разновидности объектов вложений (основной капитал, строительные материалы и строительно-монтажные работы), другие трактуют инвестиционный рынок более широко — как рынок объектов инвестирования во всех его формах. Зарубежные экономисты под инвестиционным рынком, как правило, понимают фондовый рынок, так как доминирующей формой инвестиций в развитом рыночном хозяйстве являются вложения в ценные бумаги.
В наиболее общем виде инвестиционный рынок может рассматриваться как форма взаимодействия субъектов инвестиционной деятельности, воплощающих инвестиционный спрос и инвестиционное предложение. Он характеризуется определенным соотношением спроса, предложения, уровнем цен, конкуренции и объемами реализации.
Посредством инвестиционного рынка в рыночной экономике осуществляется кругооборот инвестиций, преобразование инвестиционных ресурсов (инвестиционный спрос) во вложения, определяющие будущий прирост капитальной стоимости (реализованные инвестиционный спрос и предложение). При этом движение инвестиций происходит по схеме, приведенной на рис. 2.1.

Понятие, виды и роль финансовых посредников в инвестиционном процессе
Согласно положениям теории финансового посредничества основным собственником инвестиционных ресурсов является население, а основным потребителем — предприятия и организации.
При анализе инвестиционной значимости сбережений населения принято выделять организованные и неорганизованные формы сбережений. Под организованными сбережениями понимают сбережения, осуществляемые в виде вкладов в банки и ценные бумаги. Данная форма сбережений представляет собой денежные ресурсы, которые, будучи аккумулированы различными институтами финансового рынка, могут быть сравнительно легко трансформированы в инвестиции. Неорганизованные сбережения — это сбережения в форме наличной валюты, которые остаются на руках у населения. Данная форма сбережений населения представляет собой потенциальный инвестиционный ресурс.
Домашние хозяйства выступают не единственным поставщиком денежных средств на финансовом рынке. Источниками инвестиционного капитала могут быть собственные ресурсы кредитно-финансовых институтов, временно свободные денежные средства предприятий и организаций, средства иностранных инвесторов, государства и др.
Реализация инвестиционного спроса и предложения осуществляется финансовыми посредниками, наделенными широкими возможностями по обслуживанию инвестиционных и финансовых потребностей экономических субъектов. Рыночный механизм мобилизации инвестиционных ресурсов и их эффективного размещения предполагает наличие развитой инфраструктуры инвестиционного процесса, различных институциональных органов инвесторов, соответствующих рыночной экономике.
Экономике развитых стран присуща сложная и многообразная структура институтов, осуществляющих мобилизацию инвестиционных ресурсов с последующим их вложением в предпринимательскую деятельность. Эти институты, выступая финансовыми посредниками, аккумулируют отдельные сбережения домашних хозяйств и фирм в значительные массы инвестиционного капитала, который затем размещается среди потребителей инвестиций (рис. 2.5).

В наиболее общем виде финансовые институты включают следующие типы:
коммерческие банки (универсальные и специализированные),
небанковские кредитно-финансовые институты (финансовые и страховые компании, пенсионные фонды, ломбарды, кредитные союзы и товарищества),
инвестиционные институты (инвестиционные компании и фонды, фондовые биржи, финансовые брокеры, инвестиционные консультанты и пр.).
Общей характеристикой для всех групп институциональных инвесторов является аккумулирование ими временно свободных денежных средств (государства, фирм, населения) с последующим вложением их в экономику.
Вместе с тем каждая из указанных групп обладает собственной спецификой как в осуществлении присущих ей функций, так и в механизме аккумуляции инвестиционных ресурсов и их дальнейшем размещении.
Равновесие на инвестиционном рынке
Функционирование инвестиционного рынка складывается под воздействием множества факторов различного характера и направленности.
Основным фактором, определяющим в конечном счете общее состояние и масштабы инвестиционного рынка, выступает формирование совокупного инвестиционного спроса и предложения.
Рынок инвестиционного капитала.
На рынке инвестиционного капитала осуществляется движение инвестиций. Он характеризуется предложением инвестиционного капитала со стороны инвесторов, выступающих при этом в роли продавцов, и спросом на инвестиции со стороны субъектов инвестиционной деятельности, выступающих в роли покупателей.
Инвестиционный капитал составляют элементы капитальных ценностей, которые могут принимать как материальную, так и денежную форму Несмотря на разнообразие форм инвестиций, как уже отмечалось, все они являются результатом накопления капитала. Обмен инвестиций на рынке инвестиционного капитала производится исходя из ожидаемой отдачи от них в будущем, которая должна превосходить доход.
Рынок инвестиционных товаров.
Рынок инвестиционных товаров предполагает процесс обмена объектов инвестиционной деятельности. На этом рынке инвестиционный спрос представляют инвесторы, выступающие как покупатели инвестиционных товаров, а инвестиционное предложение — производители инвестиционных товаров или другие участники инвестиционной деятельности, являющиеся продавцами объектов вложений для инвесторов.
Страховые общества
Реализуя страховые полисы, принимают от населения сбережения в виде регулярных взносов, которые затем помещаются в государственные и корпоративные ценные бумаги, закладные под жилые строения. Регулярный приток взносов, процентных доходов по облигациям и дивидендов по акциям, принадлежащим страховым компаниям, обеспечивает накопление устойчивых и крупных финансовых резервов.
Страховые общества могут быть организованы в форме акционерного общества или взаимной компании. В последнем случае владельцы страховых полисов являются совладельцами фирмы; накопленные взносы владельца страхового полиса рассматриваются как его пай во взаимной компании.
Структура инвестиционного рынка
Обособление реального и финансового капиталов лежит в основе выделения двух основных форм функционирования инвестиционного рынка: первичного — в форме оборота реального капитала и вторичного — в форме обращения опосредствующих перелив реального капитала финансовых активов. С возрастанием роли научно-технического прогресса в общественном воспроизводстве возникает инновационный сегмент инвестиционного рынка, связанный с вложениями в определенные виды реальных нематериальных активов — научно-техническую продукцию, интеллектуальный потенциал.
Многообразие форм инвестиций и инвестиционных товаров обусловливает сложную структуру инвестиционных рынков, которые могут быть классифицированы по различным критериям. Обобщающим признаком этой классификации является выделение основных объектов инвестирования (рис. 2.2).

Исходя из этого инвестиционный рынок может рассматриваться как совокупность рынков объектов реального и финансового инвестирования. В свою очередь рынок объектов реального инвестирования включает рынок капитальных вложений, недвижимого имущества, прочих объектов реального инвестирования, рынок объектов финансового инвестирования — фондовый рынок, денежный рынок и др.
Инвестиционный процесс выступает как совокупное
1. Инвестиционный процесс выступает как совокупное движение инвестиций различных форм и уровней. В рыночной экономике он осуществляется посредством инвестиционного рынка. Основными характеристиками инвестиционного рынка являются: инвестиционный спрос, инвестиционное предложение, конкуренция, цена. Совокупность факторов, определяющих сложившееся соотношение спроса, предложения, уровня цен, конкуренции и объемов реализации на инвестиционном рынке, называется конъюнктурой инвестиционного рынка. Инвестиционный рынок может рассматриваться, с одной стороны, как рынок инвестиционного капитала, размещаемого инвесторами, а с другой стороны, как рынок инвестиционных товаров, представляющих объекты вложений инвесторов.
2. Инвестиционные рынки имеют сложную и разветвленную структуру. Наиболее общим признаком классификации инвестиционных рынков является объект вложений, в соответствии с которым выделяют рынки объектов реального инвестирования и рынки объектов финансового инвестирования.
3. Функционирование инвестиционного рынка определяется воздействием многих факторов, основным из которых является формирование совокупного инвестиционного спроса и предложения. В условиях свободной конкуренции инвестиционный спрос и предложение характеризуются высокой степенью динамизма. Инвестиционный спрос формируется под воздействием макроэкономических и микроэкономических факторов. К макроэкономическим факторам относятся: объем производства, величина накоплений, денежных доходов населения, распределение получаемых доходов на потребление и сбережение, ожидаемый темп инфляции, ставка ссудного процента, налоговая политика государства, условия финансового рынка, обменный курс денежной единицы, воздействие иностранных инвесторов, изменение экономической и политической ситуации и др. К микроэкономическим — норма ожидаемой прибыли, издержки на осуществление инвестиций, ожидания предпринимателей, изменения в технологии. Формирование инвестиционного предложения определяется не только теми факторами, которые воздействуют на любое товарное предложение, но и таким фактором, как норма доходности, лежащая в основе цены на инвестиционные товары. Балансирование инвестиционного спроса и предложения происходит в рыночной системе посредством установления равновесных цен. Важным условием макроэкономического равновесия в рыночном хозяйстве, как показывает анализ посредством модели Дж. Хикса IS—LM, является взаимодействие инвестиционного и финансового рынков.
4. Рыночный механизм инвестирования предполагает наличие развитой инфраструктуры инвестиционного процесса, представленной институтами, обеспечивающими аккумулирование временно свободных денежных средств и их наиболее эффективное размещение. Основными типами этих институтов являются: коммерческие банки, небанковские кредитно-финансовые институты и инвестиционные институты.
5. Мобилизация инвестиционных ресурсов и их последующее размещение могут осуществляться путем кредитного или фондового варианта инвестирования. При первом варианте передача денежных средств опосредствуется кредитно-финансовыми институтами, при втором — перераспределение инвестиционного капитала осуществляется через эмиссию и размещение ценных бумаг. Перераспределение средств между экономическими секторами происходит исходя из рыночных критериев привлекательности вложений.
Амортизационные отчисления
Следующим по значению собственным источником финансирования инвестиций являются амортизационные отчисления. Эти отчисления образуются на предприятиях в результате переноса стоимости основных производственных фондов на стоимость готовой продукции. Функционируя длительное время, основные производственные фонды постепенно изнашиваются и переносят свою стоимость на готовую продукцию частями. Поскольку основные производственные фонды не требуют возмещения в натуральной форме после каждого воспроизводственного цикла, предприятия осуществляют затраты на их восстановление по истечении нормативного срока службы. Денежные средства, высвобождающиеся в процессе постепенного восстановления стоимости основных производственных фондов, аккумулируются в виде амортизационных отчислений в амортизационном фонде.
Величина амортизационного фонда зависит от объема основных фондов предприятия и используемых методов начисления. В хозяйственной практике применяют метод равномерной (прямолинейной) и ускоренной амортизации.
При линейном методе начисление амортизационных средств производится по единым нормам амортизации, установленным в процентах к первоначальной стоимости основных средств. При отклонении от нормативных условий использования основных средств нормы амортизации могут быть откорректированы с помощью так называемых поправочных коэффициентов.
Расчет величины амортизационных отчислений при линейном методе производится по формуле

где А — величина амортизационных отчислений;
С — первоначальная стоимость основного средства;
Н — норма амортизации, %;
k — поправочный коэффициент.
При использовании метода ускоренной амортизации
При использовании метода ускоренной амортизации в странах с рыночной экономикой начисление ее осуществляется с учетом уменьшающегося остатка балансовой стоимости основных средств или методом суммы чисел.
В первом случае сумма амортизационных отчислений определяется на основе фиксированного процента от остаточной стоимости основных средств. При этом годовые амортизационные отчисления постоянно уменьшаются. Если последовательно соотнести значения годовых амортизационных отчислений к величине первоначальной стоимости основных средств, полученные нормы амортизационных отчислений образуют определенную регрессивную шкалу
Совокупные амортизационные отчисления за весь нормативный период, рассчитанные по методу уменьшающегося остатка, не возмещают полную стоимость основных средств. В связи с этим на практике часто применяется сочетание метода уменьшающегося остатка и линейного метода. Переход к линейному методу во второй половине периода службы основных фондов позволяет достичь полной амортизации первоначальной стоимости основных средств.
При использовании метода суммы чисел годовые значения амортизации также понижаются на протяжении срока службы основных фондов. Однако в отличие от предшествующего метода здесь обеспечивается полное возмещение амортизируемой стоимости. Расчет годовой нормы амортизации производится по формуле

где Нt — годовая норма амортизации в t-м году, %;
Т — нормативный срок службы основных фондов, лет;
t — год, для которого исчисляется норма амортизации.
При ускоренной амортизации в первую половину периода службы основных фондов в амортизационный фонд отчисляется до двух третей их стоимости. Преимуществом этого метода по сравнению с линейным является сокращение потерь вследствие недовозмещения стоимости основных фондов в случае их замены из-за морального износа до окончания установленного срока службы.
Кроме прибыли и амортизационных отчислений источниками финансирования инвестиций выступают: реинвестируемая путем продажи часть основных фондов, иммобилизуемая в инвестиции часть излишних оборотных активов, страховые возмещения убытков, вызванных потерей имущества, другие целевые поступления.
Эмиссия акций.
Средства от эмиссии акций являются одним из наиболее широко используемых для финансирования инвестиций источников, который активно применяется акционерными обществами для привлечения акционерного капитала. Увеличение собственного капитала через выпуск акций возможно при преобразовании фирмы, испытывающей потребность в финансовых ресурсах, в акционерное общество или при выпуске уже функционирующим акционерным обществом новых акций, которые могут размещаться как среди прежних, так и среди новых акционеров.
В последнем случае прежним акционерам предоставляются, как правило, преимущественные права на приобретение новых акций в той пропорции, которая соответствует их доле в уже существующем акционерном капитале, прежде чем новые акции будут предложены сторонним инвесторам. Такая практика позволяет акционерам поддерживать свою долю в капитале на определенном уровне, сохраняя контроль над деятельностью акционерного общества. При недостаточности средств для покупки дополнительных акций у прежних акционеров акции размещаются среди новых владельцев, что объективно уменьшает долю акций, сосредоточенных в руках у имеющихся акционеров, и соответственно степень их участия в капитале акционерного общества.
Следует отметить, что расширение собственного капитала может происходить и другим способом — путем капитализации части нераспределенной прибыли (см. п. 3.1). При этом способе увеличения собственного капитала руководство акционерного общества с согласия собрания акционеров принимает решение не выплачивать определенную долю нераспределенной прибыли держателям обычных акций в виде дивидендов, а инвестировать ее в различные виды деятельности. Оставляя прибыль в распоряжении акционерного общества, акционеры — собственники акций фактически инвестируют ее в ожидании будущего роста рыночной стоимости акций и получения возросшего дохода по ним.
Удержание прибыли является более простым и дешевым способом пополнения акционерного капитала, поскольку в отличие от эмиссии акций оно не связано с издержками на их размещение и сбыт. Вместе с тем следует учитывать, что практика реинвестирования прибыли, затрудняя увеличение текущих дивидендов, может оказать неблагоприятное воздействие на курс акций, поскольку непрерывность дивидендных выплат (желательно с возрастанием их динамики) выступает как важнейший фактор поддержания курса акций. Известно, что рост рыночной стоимости акций определяется повышением дохода по ним, поэтому выплата более высоких дивидендов увеличивает доходы акционеров и облегчает наращивание капитала с помощью продажи дополнительных акций.
При удержании прибыли средства должны быть инвестированы так, чтобы принести высокую норму дохода и компенсировать издержки уплаты дивидендов. Аналогично при продаже новых акций средства, полученные от их реализации, должны быть инвестированы таким образом, чтобы обеспечить доход, достаточный для поддержания того же дивиденда на акцию и того же курса акций, которые существовали при прежнем объеме акционерного капитала.
В целом следует учитывать, что акционирование как метод инвестирования эффективно лишь для конкурентоспособных предприятий. Эмиссия и размещение акций связаны с существенными затратами. Кроме того, существует опасность обесценения предшествующих выпусков акций, утраты контрольного пакета акций, поглощения акционерного общества другой фирмой.
Эмиссия облигаций.
Одним из источников финансирования инвестиционной деятельности может быть эмиссия облигаций, направленная на привлечение временно свободных денежных средств населения и коммерческих структур. Срок облигационного займа, как правило, должен быть не менее продолжительным, чем средний срок осуществления инвестиционного проекта, с тем чтобы погашение обязательств по облигационному долгу происходило после получения отдачи от вложенных средств.
Привлекательность облигаций для потенциальных инвесторов во многом определяется условиями их размещения. Условия облигационного займа включают: сумму и срок займа, число выпущенных облигаций, уровень процентной ставки, условия процентных выплат, дату, формы и порядок погашения, оговорки по вопросам конверсии облигаций, защиты интересов кредиторов и др. Предлагаемые условия должны быть достаточно выгодными для инвесторов и обеспечивать ликвидность облигаций, в ряде случаев — возможность возврата средств по ним до истечения определенного при эмиссии облигаций срока путем купли-продажи на фондовых биржах или через инвестиционные институты внебиржевого рынка.
При выборе источников формирования инвестиционных ресурсов важно учитывать преимущества и недостатки, характерные для различных способов привлечения капитала.
Так, основным преимуществом эмиссии акций как способа мобилизации финансовых ресурсов акционерными обществами является меньшая степень риска по сравнению с использованием заемных средств, что выражается в следующем:
акционерное финансирование дает возможность расширения акционерного капитала на долгосрочной основе. Привлеченные средства выплачиваются их владельцам лишь при ликвидации общества, в то время как заемный капитал подлежит возврату в оговоренный срок;
размещение акций в отличие от кредитных отношений не требует использования залога или гарантий;
акционерное общество может не платить дивиденды по обычным акциям при отсутствии прибыли, а по решению собрания акционеров и при наличии прибыли, в то время как при использовании облигационного финансирования необходимо соблюдать принцип платности;
при финансировании крупных инвестиционных проектов привлечение капитала путем выпуска акций позволяет перенести выплаты средств на тот период, когда проекты будут уже сами генерировать доход.
Следует отметить, что для инвесторов преимущества и недостатки вложения средств в рассмотренные ценные бумаги носят иной характер.
К преимуществам вложений в акции можно отнести возможности:
получения значительных доходов в виде дивидендов и продажи акций по более высокому курсу;
участия в управлении акционерным обществом;
воздействия на деятельность общества (для крупных держателей акций).
риск потери капитала при снижении
В числе недостатков можно назвать:
риск невыплаты дивидендов;
риск потери капитала при снижении курса акций;
невозможность для мелких акционеров воздействовать на проводимую обществом политику;
последнюю очередность возврата капитала при ликвидации общества.
Вложения в облигации, в свою очередь, характеризуются следующими преимуществами:
величина дохода по облигациям гарантирована и заранее известна, в то время как величина дохода по акциям (обычным) носит негарантированный и прогнозный характер;
облигации могут быть досрочно предъявлены к погашению, между тем как акционер не может востребовать средства, вложенные в акции (за исключением льготного периода и случая ликвидации эмитента);
при ликвидации фирмы владельцы облигаций имеют первоочередное по сравнению с держателями акций право на возврат вложенных средств.
К основным недостаткам вложений в облигации можно отнести:
менее высокую, как правило, доходность облигаций по сравнению с акциями;
владение облигациями не предоставляет права на участие в управлении компанией.
Финансовый лизинг
предусматривает выплату в течение периода действия контракта лизинговых платежей, покрывающих полную стоимость амортизации оборудования или большую ее часть, дополнительные издержки и прибыль лизингодателя. Финансовый лизинг требует больших капитальных затрат и осуществляется в сотрудничестве с банками.
В зависимости от особенностей организации отношений между лизингополучателем и лизингодателем различают прямой, косвенный и возвратный лизинг. Прямой лизинг имеет место в том случае, когда изготовитель или владелец имущества сам выступает лизингодателем, а косвенный — когда сдача в аренду ведется через посредников. Сущность возвратного лизинга состоит в том, что предприятие продает лизинговой компании часть своего собственного имущества, а затем берет его в аренду. Таким образом, предприятие, не прибегая к кредиту, получает дополнительные средства от реализации своего имущества, эксплуатация которого не прекращается. Возвратный лизинг является эффективным способом улучшения финансового состояния фирмы.
По способам предоставления выделяют срочный и возобновляемый лизинг. При срочном лизинге договор заключается на определенный срок, а при возобновляемом (ролловерном) — договор лизинга возобновляется по истечении первого срока договора.
В зависимости от объекта аренды различают лизинг движимого и недвижимого имущества. Наиболее распространенной формой является лизинг движимого имущества.
По объему обслуживания выделяют: чистый лизинг, при котором обслуживание передаваемого имущества берет на себя лизингополучатель; лизинг с полным набором услуг, когда полное обслуживание объекта сделки возлагается на лизингодателя; лизинг с частичным набором услуг, при котором на лизингодателя возлагаются лишь отдельные функции по обслуживанию предмета лизинга.
В зависимости от места осуществления лизинговых операций выделяют: внутренний лизинг, когда все субъекты сделки представляют одну страну, и внешний лизинг, когда одна из сторон или все стороны принадлежат разным странам, а также если одна из сторон является совместным предприятием. Внешний лизинг может быть экспортным и импортным. При экспортном лизинге зарубежной страной является лизингополучатель, а при импортном — лизингодатель.
Основные преимущества лизинга как способа мобилизации капитала состоят в следующем:
при лизинге фирма может получить арендуемое имущество и начать его эксплуатацию без отвлечения значительной суммы средств из хозяйственного оборота или мобилизации крупных финансовых ресурсов;
лизинг способствует экономии финансовых ресурсов, так как дает возможность при небольших затратах обновить технику и технологию производства, опробовать оборудование до его полной оплаты, а в случае сезонных работ использовать арендуемое имущество лишь в течение необходимого периода;
процесс получения контракта по лизингу в меньшей степени связан с дополнительными гарантиями, чем получение банковской ссуды, поскольку обеспечением лизинговой сделки является самоарендуемое имущество;
имущество по лизинговому соглашению учитывается по балансу лизингодателя, а лизинговые платежи — как текущие расходы лизингополучателя относятся на издержки производства, что снижает налогооблагаемую прибыль.
Франчайзинг
Франчайзинг представляет собой передачу или продажу фирмой, широко известной на рынке, лицензии на ведение бизнеса под своим товарным знаком другой фирме за определенное вознаграждение.
Лицензия (право) на технологию и товарный знак, предоставляемая за компенсацию, называется франчайз (франшиза); фирма, передающая право на ведение деятельности под своим товарным знаком за вознаграждение, — франчайзор; фирма, получающая это право за вознаграждение и обязующаяся соблюдать требуемые стандарты качества, — франчайзодержатель (франчайзиат).
Особенностью франчайзинга является комбинация ноу-хау франчайзора с капиталом франчайзодержателя. Предприятия, работающие по франчайзу, получили значительное распространение в таких отраслях, как общественное питание, автоуслуги, автопрокат, гостиничное хозяйство.
Франчайзинг как способ мобилизации капитала характеризуется возможностью быстрого поступления денежных средств при незначительном риске. Общая сумма инвестиций, привлекаемых посредством франчайзинга, существенно превышает размеры капиталовложений, мобилизуемых традиционными способами. Источником ресурсов при франчайзинге является капитал франчайзодержателей.
Для инвесторов (франчайзодержателей) преимущества франчайзинга состоят в предоставлении им возможности стать самостоятельными предпринимателями, организовать ведение бизнеса, под признанным товарным знаком, использовать апробированные формы предпринимательства. Обычно франчайзодержатели формируют свой капитал за счет собственных ресурсов, а также банковских кредитов и средств, получаемых от залога имущества. В ряде случаев используются нетрадиционные схемы финансирования, предусматривающие поддержку франчайзора.
К ним относят:
создание компаний, инвестирующих малый бизнес посредством предоставления ссуд или приобретения акций, где франчайзор может выступать гарантом, а его франчайзодержатель получает ссуды при определенных условиях;
создание товариществ с ограниченной ответственностью с участием франчайзора для строительства предприятий, которые будут сданы в аренду франчайзодержателям;
покупка франчайзором земельного участка с последующей его продажей фирме, обустраивающей участок в соответствии с оговоренным планом и сдающей его в аренду франчайзору, который в свою очередь сдает застроенный участок в субаренду франчайзодержателю;
финансирование части капиталовложений;
предоставление возможности приобретения лицензионного бизнеса по более низкой цене;
совместная реклама;
обучение и консультационные услуги.
Как правило, доходы, получаемые франчайзором, включают разовое вознаграждение и долговременные постоянные отчисления франчайзодержателей. Кроме того, доходы франчайзора могут включать: арендную плату франчайзодержателей, использующих недвижимость и оборудование франчайзора; прибыль от сдачи в залог имущества; проценты по кредитам; доход от продажи товаров и услуг, а также покупки и перепродажи предприятий франчайзодержателей.
Государственное финансирование
Государственное финансирование осуществляется чаще всего в рамках государственных программ поддержки предпринимательства на федеральном и региональном уровнях. Выделяют четыре основных вида государственного финансирования инвестиций: дотации и гранты, долевое участие, прямое (целевое) кредитование, предоставление гарантий по кредитам.
При финансировании путем предоставления грантов и дотаций денежные средства обычно выделяются под конкретный проект на безвозмездной основе.
Долевое участие государства предполагает, что оно через свои структуры выступает в качестве долевого вкладчика, остальная часть необходимых инвестиционных вложений осуществляется коммерческими структурами.
Прямые (целевые) кредиты предоставляются, как правило, конкретному предприятию (или под определенный инвестиционный проект) на льготной основе. Вместе с тем государство устанавливает величину процентных ставок, срок и порядок возврата кредита.
При предоставлении гарантий по кредитам предприятие получает кредит от коммерческой структуры, а правительство через определенные институты выступает гарантом возврата данного кредита, выплачивая сумму кредита в случае невыполнения своих обязательств предприятием.
Государственное гарантирование иностранных инвестиций
Важным условием привлечения иностранных инвестиций, способствующим минимизации рисков зарубежных инвесторов, является их государственное гарантирование прав и интересов зарубежных инвесторов, которое может осуществляться:
на основе конституций или специальных нормативных актов;
в рамках двусторонних и многосторонних межгосударственных соглашений о защите и стимулировании иностранных инвестиций;
через участие в Конвенции по урегулированию инвестиционных споров между государствами и гражданами других стран.
В конституциях многих стран содержатся положения о неприкосновенности собственности и о возможности ее экспроприации только в строго определенных случаях (как правило, при нарушении общественных интересов). Конституционно закрепляются права на справедливую компенсацию и способы урегулирования споров при несогласии собственника с фактом, размерами, сроками конфискации. Эти гарантии обычно распространяются и на иностранных собственников. В странах, где приняты специальные законы и кодексы в области инвестиционной деятельности, отмеченные положения конкретизируются в данных нормативных актах.
Межгосударственные соглашения о взаимной защите и поощрении иностранных инвестиций включают в себя, как правило, следующие обязательства: создание благоприятного режима для капитальных вложений при инвестиционной и связанной с ней деятельности иностранных инвесторов; обеспечение защиты иностранной собственности; гарантии в отношении беспрепятственного перевода доходов от иностранных инвестиций и соответствующей компенсации в случае экспроприации иностранной собственности; рассмотрение споров по вопросам иностранных капиталовложений в третейских судах.
Участие в Конвенции по урегулированию инвестиционных споров между государствами и гражданами других стран обеспечивает возможность разрешения споров между принимающей страной и иностранными инвесторами путем арбитража, широко применяемого в международной экономической практике. Вопросы гарантирования иностранных инвестиций содержатся также в ряде других документов, одобренных специальными международными организациями.
В 1985 г. с целью содействия иностранным инвестициям в рамках Международного банка реконструкции и развития (МБРР) было создано Международное агентство по гарантированию инвестиций (МАГИ).
Агентство обеспечивает иностранным инвесторам долгосрочные гарантии на следующие случаи некоммерческих рисков:
введение правительством страны, принимающей капитал, ограничений на обмен и перевод капиталов;
законодательные или административные меры принимающей страны, лишающие иностранного инвестора права на собственность, контроля над инвестициями или значительно снижающие его доходы;
административная и судебная практика принимающей страны, нарушающая права иностранных инвесторов и ведущая к расторжению договоров, заключенных с ее государственными институтами;
вооруженные конфликты и гражданские войны.
МАГИ способствует улучшению инвестиционного режима в принимающих странах и другими способами: путем реализации программ по повышению квалификации кадров правительственных структур, частных фирм, посредством проведения конференций и семинаров, оказания консультативной помощи правительствам стран — членов МАГИ по разработке нормативных документов, направленных на поощрение иностранных инвестиций.
Инвестиционные ресурсы международного финансового рынка
В настоящее время на международном финансовом рынке можно выделить три полюса мирохозяйственных связей: европейский, североамериканский и азиатско-тихоокеанский.
Европейский полюс объединяет индустриально развитые страны, входящие в Европейский союз, а также страны Восточной Европы, Ближнего Востока, традиционно тяготеющие к финансовому рынку Швейцарии. Этот рынок характеризуется годовыми объемами капитала в 9 трлн долл., наличием наиболее дешевых и долгосрочных ресурсов, предоставляемых иностранным инвесторам из расчета 2-4% годовых.
Североамериканский полюс охватывает в основном рынки США и Канады с годовыми объемами капитала в 18 трлн долл. Финансовым центром является США. Рынок отличается существенной долей импортируемых финансовых ресурсов, большим объемом сделок с ценными бумагами с иностранными инвесторами. Для распространения ценных бумаг иностранных эмитентов применяются различные схемы депонирования ценных бумаг в иностранных банках с последующим выпуском в США депозитарных расписок.
Азиатско-тихоокеанский полюс (АТП) мирохозяйственных связей представлен странами Юго-Восточной Азии и Океании. Финансовые ресурсы АТП концентрируются на рынке Японии, годовые объемы капитала превышают 6 трлн долл. Этот рынок в основном базируется на собственных ресурсах и по сравнению с рынком США характеризуется невысокой долей заемного капитала. Крупнейшими импортерами ресурсов рынка Японии являются Китай, страны Океании и Юго-Восточной Азии, а также в последние годы — страны Латинской Америки и Западной Европы. В настоящее время отмечается рост тяготения АТП к европейскому рынку, все большая часть финансово-хозяйственных связей сосредоточивается между Японией и Швейцарией.
Мировой опыт показывает, что инвестиции в производительной форме направляются в основном в те страны, которые характеризуются динамично и эффективно развивающимися рыночными отношениями. Глобальная триада — США, Европейский союз и Япония — концентрирует основную долю общего объема вывоза и ввоза инвестиций. В рамках самой триады идет интенсивное движение капитала, активными участниками которого являются ТНК, которым принадлежит 90% прямых зарубежных инвестиций.
Распределение объемов прямых инвестиций между различными группами стран выглядит следующим образом: около 65% приходится на индустриально развитые страны, более 30% — на развивающиеся страны и менее 5% — на страны Центральной и Восточной Европы (включая Россию).
В настоящее время происходит постепенное изменение основных условий международной экономической деятельности. Суть этих изменений в наиболее общем виде заключается в следующем:
возникают условия для более легкого доступа к иностранным рынкам, факторам производства за рубежом, широкого выбора способов проникновения на иностранные рынки: торговля, прямое инвестирование, соглашения подрядного типа, франчайзинг;
расширение рынков создает благоприятные возможности для экономического роста компаний, но в то же время усиливает конкуренцию в региональном и глобальном масштабах, побуждая фирмы к постоянному поддержанию своей конкурентоспособности;
ТНК получают возможность маневрировать принадлежащими им материальными и нематериальными активами в разных странах, добиваясь их максимально эффективного использования в интересах всей структуры;
изменяется сравнительное значение разных факторов, влияющих на размещение прямых иностранных инвестиций (так, с общим понижением тарифных и нетарифных барьеров роль данного фактора с позиций его влияния на направление инвестиций уменьшается, в то же время возрастает значение таких факторов, как состояние инфраструктуры, различия в общих издержках, административные и налоговые условия для деятельности иностранного капитала).
Возможности привлечения иностранных инвестиций во многом зависят от того, какие условия для деятельности иностранных инвесторов созданы в принимающей стране, насколько благоприятен ее инвестиционный климат.
Инвестиционный климат
Инвестиционный климат — весьма сложное и многомерное понятие. Как правило, под инвестиционным климатом понимают обобщающую характеристику совокупности социальных, экономических, организационных, правовых, политических и иных условий, определяющих привлекательность и целесообразность инвестирования в экономику страны (региона).
Оценка инвестиционного климата предполагает учет:
экономических условий (состояния макроэкономической среды, динамики ВВП, национального дохода, объемов производства промышленной продукции, инфляции, развития высокотехнологичных производств, положения на рынке труда, ситуации в денежно-кредитной, финансовой, бюджетной, налоговой, валютной системах и т.п.);
государственной инвестиционной политики (степени государственной поддержки иностранных инвестиций, возможности национализации иностранного имущества, участия в международных договорах, соблюдения соглашений, преемственности политической власти, устойчивости государственных институтов и эффективности их деятельности и т.д.);
нормативно-правовой базы инвестиционной деятельности (статуса регламентирующих документов и порядка их корректировки, параметров ввода и вывода инвестиций из страны, налогового, валютного и таможенного режима, порядка создания, регистрации, деятельности, отчетности, слияния и ликвидации фирм, мер регулирования и контроля над их деятельностью, урегулирования споров);
информационного, фактологического, статистического материала о состоянии различных факторов, определяющих инвестиционный климат.
Оценка различных составляющих инвестиционного климата позволяет определить уровень инвестиционного риска, целесообразность и привлекательность осуществления вложений. Методики оценки инвестиционного климата весьма разнообразны. Так, в Японии используются описательные характеристики инвестиционного климата без количественных оценок. В США методика оценки инвестиционного климата предполагает определение четырех агрегированных показателей, характеризующих деловую активность, потенциал развития хозяйственной системы, экономическую эффективность инвестиций и основные составляющие налоговой политики. Результаты оценок публикуются в «Ежегодной статистической карте».
Наибольшую известность в настоящее время получили комплексные рейтинги инвестиционной привлекательности, публикуемые ведущими экономическими журналами: «Euromoney», «Fortune», «The Economist». В частности, рейтинг журнала «Euromoney» определяется на основе расчета девяти групп показателей: эффективности экономики, уровня политического риска, состояния задолженности, способности к обслуживанию долга, кредитоспособности, доступности банковского кредитования, доступности долгосрочного ссудного капитала, вероятности возникновения форс-мажорных обстоятельств. Важными ориентирами для иностранных инвесторов являются оценки экспертов Всемирного банка, специальные финансовые или кредитные рейтинги (IBCA, Moody's, Standard & Poor's и др.).
Ипотечный кредит.
Характерными чертами ипотечного кредита являются использование в качестве залога недвижимого имущества и длительный срок ссуды. Ипотечный кредит предоставляется, как правило, банками, специализирующимися на выдаче долгосрочных ссуд под залог недвижимости. К таким банкам относятся ипотечные и земельные банки. В составе их ресурсов важное место занимают средства, формируемые путем выпуска ипотечных облигаций. Система ипотечного кредитования предусматривает механизм накоплений и долгосрочного кредитования под невысокий процент с рассрочкой его выплаты на длительные периоды.
В мировой практике кредитования используются различные виды систем ипотечного кредитования, в частности:
система, включающая элементы ипотеки и оформления кредитов под залог объекта нового строительства с постепенным предоставлением сумм кредита;
система, базирующаяся на оформлении закладной на имеющуюся недвижимость и получения под нее кредита на новое строительство;
система, предусматривающая смешанное финансирование, при которой наряду с банковским кредитом используются дополнительные источники финансирования (жилищные сертификаты, средства граждан, предприятий, муниципалитетов и др.);
система, предполагающая заключение контракта на куплю-продажу имеющейся недвижимости с отсрочкой передачи прав на нее на срок нового строительства.
Важной составляющей ипотечного кредитования является оценка имущества, предлагаемого в качестве обеспечения. В случае неплатежеспособности заемщика погашение задолженности будет происходить за счет стоимости залога, поэтому точность оценки залога при ипотечном кредитовании имеет особое значение. Оценка недвижимости определяется рядом факторов, основными из которых являются: спрос и предложение на недвижимость, полезность объекта, его территориальное расположение, доход от использования объекта.
Оценка недвижимого имущества может производиться методом калькуляции, методом оценки по рыночной стоимости, методом капитализации дохода.
Метод калькуляции предполагает оценку балансовой стоимости или ликвидационной стоимости объекта. В последнем случае определяется восстановительная стоимость за вычетом износа и возможная сумма дохода, которую можно получить при быстрой распродаже имущества.
Метод оценки по рыночной стоимости предполагает сбор и анализ информации о рынке предложений и продаж по аналогичным объектам. Затем осуществляется корректировка цен на основе учета характеристик, по которым сравниваемые объекты различаются. Данный метод называют также методом сравнительного анализа продаж.
Метод капитализации дохода базируется на определении способности объекта приносить доход в будущем. Он предполагает оценку потенциального дохода от использования объекта, возможных потерь и расчет фактических затрат от эксплуатации оцениваемой недвижимости.
Ипотечный кредит способствует развитию и укреплению рыночных отношений. Он позволяет фирмам и компаниям увеличивать объемы финансовых ресурсов для производственного инвестирования на долгосрочной основе.
Источники финансирования инвестиций
Все виды инвестиционной деятельности хозяйствующих субъектов осуществляются за счет формируемых ими инвестиционных ресурсов.
Инвестиционные ресурсы представляют собой все виды финансовых активов, привлекаемых для осуществления вложений в объекты инвестирования. Источники формирования инвестиционных ресурсов в рыночной экономике весьма многообразны. Это обусловливает необходимость определения содержания источников инвестирования и уточнения их классификации.
Контрольные вопросы и задания
Что такое инвестиционные ресурсы?
Назовите основные источники формирования инвестиционных ресурсов фирмы.
От чего зависит структура источников финансирования инвестиций предприятия?
Что входит в состав собственных источников финансирования инвестиций предприятия?
Какие способы мобилизации инвестиционных ресурсов Вам известны? Какие из них относят к инновационным?
Пользуясь табл. 3.1, дайте сравнительную характеристику альтернативных источников внешнего финансирования инвестиций. Какие способы привлечения инвестиций характерны для крупных компаний? Для предприятий малого бизнеса?
Какова роль государственного финансирования инвестиций в рыночной экономике?
Что понимается под иностранными инвестициями? Назовите основные формы иностранных инвестиций.
В чем состоит различие между прямыми и портфельными инвестициями? Какую роль в национальной экономике играют прямые иностранные инвестиции?
Что такое инвестиционный климат? Назовите основные составляющие инвестиционного климата.
Лизинг.
В наиболее общем смысле лизинг (от англ. lease — аренда) рассматривают как комплекс имущественных отношений, возникающих при передаче объекта лизинга (движимого и недвижимого имущества) во временное пользование на основе его приобретения и сдачу в долгосрочную аренду.
Лизинг представляет собой вид предпринимательской деятельности, направленной на инвестирование временно свободных или привлеченных финансовых средств, при котором арендодатель (лизингодатель) по договору финансовой аренды (лизинга) обязуется приобрести в собственность имущество у определенного продавца и предоставить его арендатору (лизингополучателю) за плату во временное пользование для предпринимательских целей.
Особенности лизинговых операций по сравнению с традиционной арендой заключаются в следующем:
объект сделки выбирается лизингополучателем, а не лизингодателем, который приобретает оборудование за свой счет;
срок лизинга, как правило, меньше срока физического износа оборудования;
по окончании действия контракта лизингополучатель может продолжить аренду по льготной ставке или приобрести арендуемое имущество по остаточной стоимости;
в роли лизингодателя обычно выступает кредитно-финансовый институт — лизинговая компания, банк.
По своему экономическому содержанию лизинг относится к производственным инвестициям, в процессе реализации которых лизингополучатель должен возместить лизингодателю инвестиционные затраты, осуществленные в материальной и денежной формах, и выплатить вознаграждение.
Лизинг можно рассматривать как особую форму, имеющую признаки и производственного инвестирования, и кредита. Двойственная природа лизинга заключается в том, что, с одной стороны, он является своеобразной инвестицией капитала, поскольку предполагает вложение средств в материальное имущество с целью получения дохода, а с другой стороны, сохраняет черты кредита (предоставляется на началах платности, срочности, возвратности).
Выступая как разновидность кредита в основной капитал, лизинг вместе с тем отличается от традиционного кредитования. Преимущества лизинга перед кредитованием состоят в более широком комплексе предоставляемых услуг. Этот комплекс, в частности, включает: организацию и кредитование транспортировки, монтаж, техническое обслуживание и страхование объектов лизинга, обеспечение запасными частями, консультационные, координирующие и информационные услуги.
Развитие лизинговых услуг способствует укреплению производственной сферы экономики, создавая условия для ускоренного развития стратегически важных отраслей. Кроме того, как альтернативная форма кредитования лизинг усиливает конкуренцию между банками и лизинговыми компаниями, что стимулирует снижение ставки ссудного процента и приток капиталов в производственный сектор.
Общая характеристика собственных инвестиционных ресурсов фирм
Одной из важнейших форм финансового обеспечения инвестиционной деятельности фирм (компаний) является самофинансирование. Оно основано на использовании собственных финансовых ресурсов, в первую очередь прибыли и амортизационных отчислений.
Прибыль
Ключевую роль в структуре собственных источников финансирования инвестиционной деятельности предприятий играет прибыль. Она выступает как основная форма чистого дохода предприятия, выражающая стоимость прибавочного продукта. После уплаты налогов и других обязательных платежей в распоряжении предприятий остается чистая прибыль, часть которой может направляться на инвестиции. Как правило, часть прибыли, направляемая на инвестиционные цели, аккумулируется в фонде накопления или других фондах аналогичного назначения, создаваемых на предприятии.
Фонд накопления (рис. 3.2) выступает как источник средств хозяйствующего субъекта, используемый для создания нового имущества, приобретения основных фондов, оборотных средств и т.д. Динамика фонда накопления отражает изменение имущественного состояния хозяйствующего субъекта, увеличение его собственных средств.

Оперативный лизинг
Имеет место при сдаче имущества в аренду на период, значительно меньший, чем срок амортизации (как правило, на срок от 2 до 5 лет). Объектом такого лизинга обычно является оборудование с высокими темпами морального старения, оборудование, требующееся на небольшой срок (сезонные работы или разовое использование); новое, непроверенное оборудование или оборудование, предполагающее специальное техническое обслуживание. При оперативном лизинге расходы лизингодателя, связанные с приобретением и содержанием сдаваемых в аренду предметов, не покрываются арендными платежами в течение одного лизингового контракта. Риск потерь от порчи или утери имущества лежит главным образом на лизингодателе.
Основные элементы лизинговых операций
Включают: объект сделки, субъекты сделки, срок сделки, лизинговые платежи, услуги, предоставляемые по лизингу. Объектом лизинговой сделки может быть любой вид капитальных материальных ценностей: движимое и недвижимое имущество. Субъектами лизинговой сделки в зависимости от вида лизинга могут быть от двух и более сторон. Обязательным участником лизинговой операции является лизингодатель, в качестве которого могут выступать предприятия — производители объектов лизинга, лизинговые фирмы, банки. Другим обязательным участником лизинговой сделки является лизингополучатель — предприятие, нуждающееся в лизинговом имуществе. Кроме того, в сделке обычно участвует предприятие — производитель (но не лизингодатель) ценностей, выступающих объектом лизинга, а также коммерческий банк (не являющийся в данном случае лизингодателем, а лишь финансирующий операции последнего, например, лизинговой фирмы, испытывающей потребность в кредитных ресурсах).
В крупномасштабных лизинговых сделках возможно участие целого ряда субъектов — фирм и финансово-кредитных институтов.
Субъектов лизинговой сделки можно подразделить на прямых и косвенных участников.
К прямым участникам лизинговой сделки относят:
лизинговые фирмы, компании и банки, выступающие как лизингодатели;
производственные (промышленные и сельскохозяйственные), торговые и транспортные предприятия и население (лизингополучатели);
поставщики объектов сделки — производственные (промышленные) и торговые компании.
Косвенными участниками лизинговой сделки являются:
коммерческие и инвестиционные банки, кредитующие лизингодателя и выступающие гарантами сделок;
страховые компании;
брокерские и другие посреднические фирмы.
Лизинговыми называются фирмы, осуществляющие операции, для которых лизинговая деятельность является основной уставной целью. По характеру лизинговой деятельности они подразделяются на специализированные и универсальные.
Специализированные фирмы, как правило, имеют дело с одним видом товара (легковые автомобили, контейнеры) или с товарами одной группы стандартных видов (строительное оборудование, оборудование для текстильных предприятий). Обычно эти компании располагают собственным парком машин или запасом оборудования, сами осуществляют техническое обслуживание и следят за поддержанием его в нормальном эксплуатационном состоянии.
Универсальные лизинговые фирмы передают в аренду самые разнообразные виды машин и оборудования. Они предоставляют арендатору право выбора поставщика необходимого ему оборудования, размещения заказа и приемки объекта сделки. Техническое обслуживание и ремонт предмета аренды осуществляет или поставщик, или сам лизингополучатель. Лизингодатель, таким образом, выполняет фактически функцию учреждения, организующего финансирование сделки.
Лизинговые фирмы в большинстве своем представляют собой дочерние компании или филиалы промышленных и торговых фирм, банков и страховых обществ. Чаще всего лизинговые компании создаются при активном финансовом участии банков. Внедрение банков на рынок лизинговых услуг связано с тем, что лизинг является капиталоемким видом бизнеса, а банки — основными держателями денежных ресурсов. Кроме того, лизинговые услуги по своей экономической природе тесно связаны с банковским кредитованием и являются своеобразной альтернативой последнему Конкуренция на финансовом рынке вынуждает банки расширять лизинговые операции, что дает основание относить банки к первой категории субъектов, осуществляющих лизинговые операции. При этом банки контролируют и независимые лизинговые фирмы, предоставляя им кредиты. Кредитуя лизинговые общества, они косвенно финансируют лизингополучателей в форме товарного кредита.
Ко второй категории фирм, осуществляющих лизинговые операции, относятся промышленные и строительные фирмы, использующие для сдачи в аренду собственную продукцию. К третьей категории фирм, осуществляющих сделки на основе лизинга, можно отнести различные посреднические и торговые фирмы.
Подписание лизингового контракта
С целью получения необходимого оборудования лизингополучатель представляет лизинговой компании заявку на аренду, в которой указываются вид имущества, его характеристики и срок пользования им, поставщик (предприятие-изготовитель). В заявке также содержатся данные, характеризующие производственную и финансовую деятельность лизингополучателя. После анализа представленных сведений лизинговая фирма принимает решение, доводит его до сведения лизингополучателя с приложением общих условий лизингового контракта и одновременно информирует поставщика оборудования о намерении лизинговой компании приобрести оборудование. Лизингополучатель, ознакомившись с общими условиями лизингового соглашения, высылает лизингодателю письмо с подтверждением-обязательством и подписанным экземпляром общих условий контракта, приложив к нему бланк заказа на оборудование. Этот документ составляется фирмой-поставщиком и визируется лизингополучателем.
Приобретение товара.
Получив экземпляр контракта и бланк заказа (могут использоваться договор купли-продажи оборудования, заключаемый поставщиком и лизинговой фирмой, или наряд на поставку), лизингодатель подписывает заказ и высылает его поставщику оборудования. Владельцем лизингового имущества, сохраняющим права собственности и учитывающим его на своем балансе, является лизингодатель, получателем по сделке является лизингополучатель, который не выступает в роли собственника.
Поставка товара.
Поставщик оборудования отгружает его лизингополучателю в соответствии с условиями договора и предварительным предупреждением арендатора о предстоящей поставке.
Приемка товара. Обязанности по приемке оборудования возлагаются на лизингополучателя. Поставщик, как правило, осуществляет монтаж и ввод в эксплуатацию объекта сделки. По окончании работы составляется протокол приемки, свидетельствующий о фактической поставке оборудования, его монтаже и вводе в действие без претензий к поставщику. Протокол приемки подписывается всеми участниками лизинговой операции.
Кредитование банком лизинговой операции (при необходимости). Обычно лизинговая фирма получает кредит у банка, принимавшего активное участие в ее создании.
Оплата поставки.
После подписания протокола приемки лизингодатель оплачивает стоимость объекта сделки поставщику.
Выплата лизинговых платежей. Платежи лизингодателю являются основой возвратности полученного товарного кредита. Они предполагают погашение стоимости взятого в аренду лизингового имущества, оплату процентов, а также некоторые другие расходы.
Возврат кредита с уплатой процентов по нему. Этот этап является необходимым в случае привлечения для финансирования лизинговой сделки банковского кредита.
Выделяют два вида лизинга: оперативный (операционный) и финансовый. В основе различения оперативного и финансового лизинга лежит такой критерий, как окупаемость имущества. В этом плане оперативный лизинг представляет собой лизинг с неполной окупаемостью, а финансовый — лизинг с полной окупаемостью.
Правовое регулирование иностранных инвестиций
Создание благоприятного инвестиционного климата во многом зависит от действующей системы приема капитала. Под системой приема капитала понимают совокупность правовых актов и институтов, регламентирующих государственную политику в части зарубежных вложений.
В странах развитой рыночной экономики по отношению к иностранным инвесторам используется так называемый национальный режим. Данное положение, закрепленное в ряде документов МВФ-МБРР, Международной торговой палаты и ОЭСР, означает, что привлечение иностранных инвестиций и деятельность компаний с иностранным участием регулируется, как правило, национальным законодательством. При этом последнее в основном не содержит различий в регламентации хозяйственной деятельности национальных и зарубежных инвесторов. Иностранные инвесторы могут иметь доступ к местным производственным, трудовым и финансовым ресурсам, создавать предприятия на основе любой организационно-правовой формы деятельности, принятой в данной стране, осуществлять хозяйствование на тех же условиях, что и национальные предприниматели, пользоваться значительными местными льготами.
В частности, разработанные МБРР совместно с МВФ принципы приема прямых иностранных инвестиций включают: национальный режим, недискриминацию иностранных инвесторов, защиту и гарантии. В указанных Принципах содержатся рекомендации беспрепятственного перевода соответствующих валют, недопущения экспроприации иностранных капиталовложений, обращения для разрешения спора между иностранным инвестором и принимающим государством к арбитражу Международного центра по урегулированию инвестиционных споров.
В отличие от развитых стран во многих развивающихся странах сохраняется ряд ограничений, препятствующих движению иностранных инвестиций. Национальные инвестиционные законодательства, направленные на сохранение национального суверенитета и экономической безопасности, устанавливают ограничения на вложения иноинвесторов в определенные отрасли и производства, на вывоз прибыли, определяют предельные размеры доли участия иностранных инвесторов в капитале национальной компании, особый порядок допуска иностранных инвесторов и их регистрации.
Вместе с тем в 90-е годы во многих развивающихся странах происходила определенная либерализация инвестиционного режима. Почти все принятые в последнее время законы в области инвестиционной деятельности предусматривают предоставление иностранным инвесторам, за определенными исключениями, не менее благоприятного режима, чем национальным, гарантии для иностранных инвесторов в отношении беспрепятственного перевода прибылей, а в случае экспроприации иностранной собственности соответствующую компенсацию, возможность разрешения споров между принимающей страной (государством) и иностранными инвесторами путем форм арбитража, широко применяемых в международных экономических отношениях.
На практике в большинстве стран, несмотря на принятые законы, либерализующие инвестиционный режим, все-таки сохраняются различные ограничения для деятельности иностранных инвесторов. Это касается не только процедурных вопросов (требование предварительного разрешения на инвестирование, многоступенчатость и длительность процедуры рассмотрения заявок), но и прямых ограничений на иностранные инвестиции в отдельных отраслях экономики (или даже запретов), лимитирование иностранного капитала в компаниях или возможность его участия в них только совместно с отечественными инвесторами и др.
Характерной чертой современного национального законодательства в области прямых иностранных инвестиций является расширение сферы его распространения на все виды имущественных активов и связанных с ними прав собственности, а также прав на интеллектуальную собственность. Хотя национальные законы касаются преимущественно частных инвестиций, они часто распространяются на инвестиции государственных организаций и инвестиции самого государства.
Привлечение иностранных инвестиций
Интернационализация и глобализация мировых хозяйственных связей закономерно ведет к возрастанию роли иностранных инвестиций как источника финансирования инвестиционной деятельности.
Сущность и виды иностранных инвестиций
Иностранные инвестиции представляют собой капитальные средства, вывезенные из одной страны и вложенные в различные виды предпринимательской деятельности за рубежом с целью извлечения предпринимательской прибыли или процента.
Иностранные инвестиции могут осуществляться в различных формах. При анализе этих форм могут быть использованы общие подходы к классификации инвестиций, предполагающие их выделение по объектам, целям, срокам вложений, формам собственности на инвестиционные ресурсы, рискам и другим признакам (см. п. 1.3). Вместе с тем специфика иностранных инвестиций определяет необходимость уточнения ряда классификационных признаков применительно к данному типу инвестиций.
Так, по формам собственности на инвестиционные ресурсы иностранные инвестиции могут быть государственными, частными и смешанными.
Государственные инвестиции представляют собой средства государственных бюджетов, направляемые за рубеж по решению правительственных или межправительственных организаций. Эти средства могут предоставляться в виде государственных займов, кредитов, грантов, помощи.
Частные (негосударственные) инвестиции — это средства частных инвесторов, вложенные в объекты инвестирования, размещенные вне территориальных пределов данной страны.
Под смешанными иностранными инвестициями понимают вложения, осуществляемые за рубеж совместно государством и частными инвесторами.
В зависимости от характера использования иностранные инвестиции подразделяют на предпринимательские и ссудные.
Предпринимательские инвестиции представляют собой прямые или косвенные вложения в различные виды бизнеса, направленные на получение тех или иных прав на извлечение прибыли в виде дивиденда. Ссудные инвестиции связаны с предоставлением средств на заемной основе с целью получения процента.
Особое значение при анализе иностранных инвестиций имеет выделение прямых, портфельных и прочих инвестиций. Именно в данном разрезе отражается движение иностранных инвестиций в соответствии с методологией Международного валютного фонда в платежных балансах стран.
Прямые иностранные инвестиции выступают как вложения иностранных инвесторов, дающих им право контроля и активного участия в управлении предприятием на территории другого государства.
Согласно классификации ЮНКТАД к прямым иностранным инвестициям относят зарубежные вложения, предполагающие долговременные отношения между партнерами с устойчивым вовлечением в них экономических агентов одной страны (иностранный инвестор или «материнская фирма») с их контролем за хозяйственной организацией, расположенной в принимающей стране.
Соответственно к ним рекомендуется причислять:
приобретение иностранным инвестором пакета акций предприятия, в которое он вкладывает свой капитал, в размере не менее чем 10—20% суммарной стоимости объявленного акционерного капитала;
реинвестирование прибыли от деятельности указанного предприятия в части, соответствующей доле инвестора в акционерном капитале и остающейся в его распоряжении после распределения дивидендов и репатриации части прибыли;
внутрифирменное предоставление кредита или равноценная операция по урегулированию задолженности в отношениях между «материнской» фирмой и ее зарубежным филиалом.
К разряду портфельных инвестиций относят
К разряду портфельных инвестиций относят вложения иностранных инвесторов, осуществляемые с целью получения не права контроля за объектом вложения, а определенного дохода.
В соответствии с положениями ЮНКТАД портфельные инвестиции, в отличие от прямых, представляют собой вложения в покупку акций, не дающих право вкладчикам влиять на деятельность предприятия и составляющих менее 10% общего объема акционерного капитала. К ним также относят вложения зарубежных инвесторов в облигации, векселя, другие долговые обязательства, государственные и муниципальные ценные бумаги. В большинстве случаев такие инвестиции производятся на рынке свободно обращающихся ценных бумаг.
Под прочими инвестициями понимаются вклады в банки, товарные кредиты и т.п.
Количественные границы между прямыми и портфельными инвестициями довольно условны. Обычно предполагается, что вложения на уровне 10—20% и выше акционерного (уставного) капитала предприятия являются прямыми, менее 10—20% — портфельными. Однако так как цели, преследуемые прямыми и портфельными инвесторами, различаются, такое деление представляется вполне целесообразным. Выделение прочих инвестиций связано со спецификой вложений.
В международной статистике доля иностранного участия в акционерном капитале, обеспечивающая контроль над предприятием, принимается равной 25%. Вместе с тем по различным странам она существенно варьируется (в США — 10%, Германии, Великобритании — 20%, Канаде — 50%). По определению Организации экономического сотрудничества и развития (ОЭСР) к прямым инвестициям относят вложения на уровне 10% и выше обычных акций, дающих контроль над соответствующим количеством голосов, или так называемым эффективным голосом в управлении предприятием.
Приоритетное значение среди рассмотренных форм иностранных инвестиций имеют прямые инвестиции, поскольку они оказывают существенное воздействие на национальные экономики и международный бизнес в целом.
Роль прямых иностранных инвестиций заключается:
в способности активизировать инвестиционные процессы в силу присущего инвестициям мультипликативного эффекта;
в содействии общей социально-экономической стабильности, стимулировании производственных вложений в материальную базу (в отличие от спекулятивных и нестабильных портфельных инвестиций, которые могут быть внезапно выведены с негативными последствиями для национальной экономики);
в сочетании переноса практических навыков и квалифицированного менеджмента со взаимовыгодным обменом ноу-хау, облегчающим выход на международные рынки;
в активизации конкуренции и стимулировании развития среднего и малого бизнеса;
в способности при правильных организации, стимулировании и размещении ускорить развитие отраслей и регионов;
в содействии росту занятости и повышению уровня доходов населения, расширению налоговой базы;
в стимулировании развития производства экспортной продукции с высокой долей добавленной стоимости, инновационных товаров и производственных технологий, управления качеством, ориентации на потребителя.
Возрастание роли прямых иностранных инвестиций в современной экономике во многом связано с деятельностью транснациональных корпораций (ТНК) и расширением масштабов международного производства.
Привлечение капитала через кредитный рынок
Доля долгосрочного заемного капитала в инвестиционно-финансовых ресурсах фирм и корпораций развитых стран составляет от 25 до 60%. Среди заемных источников финансирования инвестиционной деятельности главную роль играют кредиты банков. Привлечение кредитов банка зачастую рассматривается как лучший метод внешнего финансирования инвестиций, если предприятие не может удовлетворить свои потребности за счет собственных средств и эмиссии ценных бумаг.
Экономический интерес в использовании кредита связан с эффектом финансового рычага. Известно, что предприятия, использующие только собственные средства, ограничивают их рентабельность величиной, равной примерно двум третям экономической рентабельности. Предприятие, использующее заемные средства, может увеличить рентабельность собственных средств в зависимости от соотношения собственных и заемных средств в пассиве баланса и стоимости заемных средств.
Инвестиционный кредит выступает как разновидность банковского кредита (как правило, долгосрочного), направленного на инвестиционные цели. Кредит выдается при соблюдении основных принципов кредитования: возвратности, срочности, платности, обеспеченности, целевого использования.
Получение долгосрочной банковской ссуды имеет ряд преимуществ перед выпуском облигаций, к ним, в частности, можно отнести:
более гибкую схему финансирования, так как условия предоставления кредита при получении банковской ссуды могут динамично изменяться в соответствии с потребностями заемщика;
возможность выигрыша на разнице процентных ставок;
отсутствие затрат, связанных с регистрацией и размещением ценных бумаг.
Кредитный метод инвестирования предполагает наличие взаимосвязи между фактической окупаемостью вложений и возвратом кредита в сроки, определенные договором. Кредит позволяет сразу начать осуществление инвестиционного проекта, так как, по существу, означает перенос оплаты основной суммы долга на определенный срок. Источником возврата инвестиционных кредитов и уплаты процентов по ним должна выступать дополнительная прибыль от кредитуемого мероприятия.
Основой кредитных отношений банка с заемщиками при выдаче банковских ссуд является кредитный договор, который регламентирует конкретные условия и порядок предоставления кредита. Как правило, оформление инвестиционных кредитов сопровождается предоставлением технико-экономического обоснования или бизнес-плана. Для получения долгосрочного кредита заемщик должен указать целевое назначение кредита, привести расчеты предполагаемых затрат (смету расходов), ожидаемых доходов клиента от реализации кредитуемого мероприятия, эффективности ссуды и реальных сроков ее окупаемости, предоставить гарантии возврата кредита. В пакете документов должны быть ссылки на договоры, контракты с поставщиками с указанием объемов, стоимости, сроков поставок, а также договоры с покупателями или заявки от покупателей с указанием объемов стоимости и сроков поставок.
На основе изучения представленных документов, а также собственной информации о заемщике банк осуществляет анализ его кредитоспособности и платежеспособности, форм обеспечения возвратности кредита и при получении положительных результатов заключает с заемщиком кредитное соглашение (договор). В кредитном договоре отражаются: цель получения ссуды, вид кредита, его срок и размеры, величина процентной ставки, вид обеспечения кредита, порядок предоставления и погашения кредита, права, обязанности и ответственность банка и заемщика, дополнительные условия по соглашению кредитора и заемщика.
Количественные границы кредита определяются, с одной стороны, заинтересованностью заемщика в использовании кредита, а с другой — наличием возможности у заемщика погасить ссуду и проценты по ней в обусловленные сроки. Процентные ставки по долгосрочным кредитам могут быть фиксированными и плавающими. Фиксированная ставка остается неизменной в течение всего периода ссуды, а плавающая периодически пересматривается в зависимости от условий рынка, изменения официального индекса инфляции и других обстоятельств. Как правило, по мелким ссудам процентная ставка устанавливается на весь срок договора, по крупным ссудам применяется плавающая ставка процента.
При определении процентной ставки по
При определении процентной ставки по долгосрочным кредитам учитывается целый ряд факторов: средневзвешенная стоимость привлечения ресурсов, степень риска, срок погашения ссуды, расходы по оформлению ссуды и контролю за ее погашением (анализ кредитоспособности, периодическая проверка залога и др.), средний уровень процентных ставок на рынке кредитных ресурсов, характер отношений между банком и заемщиком, норма прибыли, которая может быть получена при инвестировании в альтернативные активы.
Формы предоставления инвестиционного кредита могут быть различными. Наиболее часто используются: срочные ссуды и возобновляемые ссуды, конвертируемые в срочные, кредитные линии.
Срочные ссуды представляют собой ссуды, выдаваемые под определенную целевую потребность в средствах на конкретный срок.
Возобновляемые ссуды, конвертируемые в срочные, предполагают автоматическое предоставление и погашение кредита в рамках определенного лимита и периода времени (2—3 года) с последующим переоформлением в срочные ссуды.
Кредитная линия открывается, как правило, надежным заемщикам. При выдаче кредита путем открытия кредитной линии заемщик получает право в течение срока ее действия пользоваться предоставляемыми банком средствами в рамках установленного лимита. Кредитная линия может быть невозобновляемой или возобновляемой. При оформлении инвестиционного кредита часто используется целевая (рамочная) кредитная линия, предполагающая предоставление средств на реализацию определенного проекта.
Важным условием выдачи кредита является его обеспечение. Основными видами обеспечения, применяемыми в банковской практике, выступают: залог, поручительство, гарантия, страхование кредитного риска. Особое место среди залоговых форм финансирования занимают долгосрочные ссуды, выдаваемые под залог недвижимости — ипотечный кредит.
Привлечение капитала через рынок ценных бумаг
Привлечение капитала через рынок ценных бумаг играет важную роль в рыночной экономике. Средства, полученные в результате эмиссии и размещения ценных бумаг, являются одним из основных источников финансирования инвестиций.
Ценные бумаги, обращающиеся на финансовом рынке, по экономическому содержанию подразделяются на два основных вида:
долевые, представляющие собой непосредственную долю их владельца (держателя) в реальной собственности и делающие его совладельцем последней (обычные и привилегированные акции акционерных обществ);
долговые, которые характеризуются обычно твердо фиксированной процентной ставкой и обязательством эмитента выплатить сумму долгам определенный срок (классическим примером долговых ценных бумаг являются облигации).
В соответствии с критерием такого разделения финансовые средства, полученные в результате эмиссии ценных бумаг, выступают как привлеченные (по долевым ценным бумагам) и заемные (по долговым обязательствам).
Прочие способы мобилизации инвестиционных ресурсов
Источники внешнего финансирования инвестиционной деятельности в рыночной экономике характеризуются значительным многообразием. С развитием финансовых рынков модифицируются традиционные и возникают новые способы мобилизации капитала. Рассмотрим некоторые способы внешнего финансирования инвестиций, имеющие распространение в современных условиях.
Дополнительные взносы (паи). Важным источником мобилизации инвестиционного капитала для предприятий, имеющих иные, чем акционерные общества, организационно-правовые формы, является расширение уставного фонда за счет дополнительных взносов (паев) внутренних и сторонних инвесторов. Этот источник по своему характеру может быть классифицирован как привлеченные средства; к этим средствам относят также инвестиционные взносы. Инвестиционный взнос представляет собой вложение денежных средств в развитие предприятия. При этом инвестор может иметь право на получение дохода в виде процента в размере и в сроки, определенные договором или положением об инвестиционном взносе.
Способы мобилизации инвестиционных ресурсов
Наряду с рассмотренными выше собственными инвестиционно-финансовыми ресурсами фирмы источниками финансирования инвестиционной деятельности могут служить привлеченные и заемные средства.
Привлеченные и заемные средства
К привлеченным относят средства, предоставленные на постоянной основе, по которым может осуществляться выплата владельцам этих средств дохода (в виде дивиденда, процента) и которые могут практически не возвращаться владельцам. В их числе можно назвать: средства от эмиссии акций, дополнительные взносы (паи) в уставный капитал, а также целевое государственное финансирование на безвозмездной или долевой основе.
Под заемными понимаются денежные ресурсы, полученные в ссуду на определенный срок и подлежащие возврату с уплатой процента. Заемные средства включают: средства, полученные от выпуска облигаций, других долговых обязательств, а также кредиты банков, других финансово-кредитных институтов, государства.
Мобилизация привлеченных и заемных средств осуществляется различными способами, основными из которых являются: привлечение капитала через рынок ценных бумаг, рынок кредитных ресурсов, государственное финансирование.
Срок сделки (период лизинга)
это срок действия лизингового контракта. При его определении учитывают срок службы имущества, амортизационный период, циклы появления более производительного или более дешевого аналога объекта сделки, темпы инфляции, рыночную конъюнктуру.
При определении стоимости лизинговых операций учитывается совокупность рисков, которые связаны с большой стоимостью арендуемого имущества, длительностью срока договора и другими факторами. Лизинговые платежи включают: амортизационные отчисления; плату за ресурсы, привлекаемые лизингодателем для осуществления сделки; лизинговую маржу, включающую доход лизинговой фирмы, рисковую премию и плату за дополнительные услуги лизингодателя. В составе услуг, предоставляемых по лизингу, выделяют: технические (транспортировка, монтаж, наладка и ремонт оборудования), консультативные и прочие услуги.
В наиболее общем виде суть лизинговой сделки состоит в следующем. Лизингополучатель, у которого нет свободных финансовых средств, обращается в лизинговую компанию с деловым предложением о заключении лизинговой сделки, согласно которой лизингополучатель выбирает продавца, располагающего требуемым имуществом, а лизингодатель приобретает его в собственность и передает лизингополучателю во временное владение и пользование за оговоренную в договоре плату. По окончании срока лизингового договора в зависимости от его условий лизингополучатель может: купить объект сделки, но по остаточной стоимости; заключить новый договор; вернуть объект сделки лизинговой компании.
Организация лизинговых операций существенно различается в зависимости от вида лизинга, участвующих субъектов, специфики национального законодательства. Рассмотрим наиболее распространенный способ осуществления лизинговых сделок (рис. 3.3).

Анализ структуры источников финансирования инвестиций
Анализ структуры источников финансирования инвестиций на уровне фирм в странах с развитой рыночной экономикой свидетельствует о том, что доля внутренних источников в общем объеме финансирования инвестиционных затрат в различных странах существенно колеблется в зависимости от многих объективных и субъективных факторов.
В экономической литературе содержатся различные оценки соотношения между внутренними и внешними источниками финансирования инвестиций в западных странах. Ряд экономистов считает, что в послевоенный период в развитых странах наблюдается формирование двух типов соотношений между внутренними и внешними источниками финансирования инвестиций нефинансовых корпораций; один из них, характеризующийся высокой долей собственных средств в общем объеме финансирования, имеет место в США и Великобритании, другой, отличающийся высоким удельным весом привлеченных и заемных средств, — в ФРГ и Японии.
Как правило, структура источников финансирования инвестиций изменяется в зависимости от фазы делового цикла: доля внутренних источников снижается в периоды оживления и подъема, когда повышается инвестиционная активность, и растет в периоды экономического спада, что связано с сокращением масштабов инвестирования, сокращением предложения денег, удорожанием кредита. Краткая характеристика различных внешних источников финансирования инвестиционной деятельности рыночных субъектов приведена в табл. 3.1.
Таблица 3.1. Краткая характеристика некоторых источников внешнего финансирования инвестиций
|
Источник финансирования |
Сроки |
Обеспечение |
Требования |
Преимущества |
Недостатки |
Субъект |
|
Открытое размещение акций |
Длительный срок |
Доля в капитале компании |
Установившаяся тенденция роста объема продаж/ прибыли. Высокий потенциал роста. Надежность эмитента |
Получение значительного капитала. Расширение капитальной базы компании. Обеспечение ликвидности активов. Создание привлекательных стимулов инвестирования в акции. Повышение реализуемости акций. Повышение стоимости акций. Отсутствие необходимости выплаты долгов. Не требуется дополнительное обеспечение (гарантии) |
Требуются значительные затраты на эмиссию и размещение ценных бумаг. Регламентация порядка эмиссии со стороны органов управления рынком ценных бумаг. Разводнение акционерного капитала. Давление акционеров, направленное на обеспечение роста прибылей |
Инвестиционные банки. Другие кредитные институты. Открытый рынок |
|
Облигации корпораций |
5-30 лет |
Необеспеченные или обеспеченные |
Требуется предоставление отчета о продажах/прибыли, наличие прогнозируемого денежного потока |
Процентная ставка, как правило, фиксирована. Процент вычитается из налогооблагаемой прибыли. Меньший размер платежей в погашение. Могут восприниматься как дополнительный собственный капитал |
Могут использоваться в основном крупными компаниями. Требуются значительные затраты на эмиссию и размещение ценных бумаг. Регламентация порядка эмиссии со стороны органов управления рынком ценных бумаг. Сложность размещения в кризисной ситуации. Процентная ставка может быть высокой |
Инвестиционные банки. Другие кредитные институты. Открытый рынок |
о продажах/ прибыли, наличие прогнозируемого
|
Кредитная линия банков |
1-3 года |
То же |
Требуется дополнительное обеспечение (гарантии), предоставление отчета о продажах/ прибыли, наличие прогнозируемого денежного потока |
Предоставляются дополнительные услуги. Процент прогнозируем. Гибкая схема заимствования и погашения долга |
Может потребоваться дополнительное обеспечение. Предоставление кредита ограничивается установленным лимитом. Возможны высокие процентные ставки |
Коммерческие банки, другие кредитные институты |
|
Возобновляемые ссуды Конвертируемые в срочные |
2-3 года 5-7 лет |
То же |
То же |
Предоставляются дополнительные услуги. Гибкая схема заимствования и погашения долга. Возможность отсрочки выплаты до поступления достаточного по величине денежного потока. Обеспечиваются долговременные обязательства по финансированию. Возможность возобновления ссуды при эффективных результатах деятельности |
Может потребоваться дополнительное обеспечение. Сложность получения в кризисные периоды. Предоставление ссуды ограничивается установленным лимитом. Возможны высокие процентные ставки. При плавающей процентной ставке величина процентов труднопредсказуема |
То же |
Предоставляются дополнительные услуги. Процент вычитается
|
Срочная ссуда |
3-7 лет |
Необеспеченная или обеспеченная |
То же |
Предоставляются дополнительные услуги. Процент вычитается из суммы налогооблагаемой прибыли. Ставка может быть фиксированной. Обеспечиваются долговременные обязательства по финансированию. Возможность постепенного погашения |
Может потребоваться дополнительное обеспечение. Сложность получения в кризисной ситуации. Возможны высокие процентные ставки. Процентная ставка может быть высокой |
То же |
|
Ипотечное обязательство |
7-30 лет |
Недвижимость |
То же |
Предоставляются дополнительные услуги. Процент вычитается из суммы налогооблагаемой прибыли. Возможность установления фиксированной процентной ставки. Меньшие размеры платежей в погашение за более длительный период |
Требуется дополнительное обеспечение |
Коммерческие банки, другие кредитные институты. Физические лица. Открытый рынок |
Предоставляется компаниям, соответствующим определенным стандартам.
|
Государственное финансирование |
Длительный срок |
Государственные гарантии |
Предоставляется компаниям, соответствующим определенным стандартам. Требуется достаточное дополнительное обеспечение. Средства должны использоваться строго по целевому назначению |
Более низкие суммы платежей в погашение при более длительных периодах. Процент вычитается из суммы налогооблагаемой прибыли. Возможно предоставление дополнительных услуг |
Суммы выделяемых средств ограничены. Требуется дополнительное обеспечение. Предоставление кредита оговаривается определенными условиями. Полученные средства должны расходоваться по целевому назначению |
Государственные институты развития. Органы государственного управления |
|
Лизинг |
Ограничение сроком службы лизингового имущества |
Обеспечивается арендуемым имуществом |
Требуется наличие предсказуемого денежного потока |
Предоставляются дополнительные услуги. Удобная схема финансирования. Процентная ставка может быть фиксированной или плавающей. Процент вычитается из суммы налогооблагаемой прибыли. Меньший размер платежей в погашение при более длительном сроке лизинга. Может не требоваться дополнительное обеспечение |
Необходимо дополнительное обеспечение. Процентная ставка может быть высокой. В конце срока аренды могут потребоваться дополнительные платежи |
Коммерческие банки. Лизинговые компании |
Предоставляется венчурным предприятиям на различных
|
Венчурный капитал |
3-7 лет |
Собственный капитал компании |
Предоставляется венчурным предприятиям на различных этапах их развития. Финансируемые компании должны обладать большим рыночным потенциалом или уже достичь устойчивого положения и характеризоваться быстрым ростом |
Повышение устойчивости собственного капитала. Позволяет компании достичь достаточного уровня зрелости для обеспечения возможности финансирования другими способами, в частности путем продажи акций на фондовом рынке. Отсутствие расходов на выплату долга и процентов, дополнительных потребностей в ликвидности. Возможность использования опыта венчурных инвесторов в сфере менеджмента и финансов |
Сложность получения: процесс привлечения венчурного капитала требует больших затрат времени и сопряжен с трудностями. Разводнение акционерного капитала. Высокий риск, отсутствие гарантированного успеха. Ожидание высоких доходов со стороны венчурных инвесторов. Экономический контроль над компанией может быть передан венчурным инвесторам |
Физические лица. Государственные и частные фонды венчурного капитала. Специализированные инвестиционные компании и банки |
|
Ограниченные партнерства |
Длительный срок |
Не имеется |
Значительные затраты, связанные с использованием особых технологий или производством перспективного продукта. Длительный цикл |
Налоговые льготы. Гибкая схема финансирования. Сохранение контроля за производством |
Высокий риск потери исключительных прав на технологию, налоговых преимуществ. Уязвимость по отношению к изменениям в налоговом законодательстве. Необходимость обоснованного долгосрочного планирования |
Инвестиционные банки. Члены консорциумов. Корпоративные партнеры. Физические лица |
|
Франчайзинг |
Длительный срок |
Нет |
Фирма- франчайзор должна иметь высокий имидж на рынке. Производимый продукт должен иметь ярко выраженные характеристики и высокое качество. Фирма-франчайзодержатель должна обеспечить требуемые стандарты качества, быстрое распространение продукта |
Немедленное поступление денежных средств, не связанное с образованием задолженности. Ограниченные потребности в капитале. Отсутствует разводнение акционерного капитала. Низкая степень риска. Возможность быстрого расширения. Распределение производственных расходов. Обеспечение постоянных поступлений |
Наличие затрат, связанных с предоставлением франчайза. Трудности юридического оформления предоставления франчайза. Необходимость деления прибыли с франчайзодержателями |
Франчайзодер-жатели |
Структура источников финансирования инвестиций предприятия
При анализе структуры источников формирования инвестиций на микроэкономическом уровне (предприятия, фирмы, корпорации) все источники финансирования инвестиций делят на три основные группы: собственные, привлеченные и заемные (рис. 3.1). При этом собственные средства предприятия выступают как внутренние, а привлеченные и заемные средства — как внешние источники финансирования инвестиций.

Венчурное инвестирование.
Понятие «венчурный капитал» (от англ. venture — риск) означает рисковые инвестиции. Венчурный капитал представляет собой инвестиции в новые сферы деятельности, связанные с большим риском. Финансируются обычно компании, работающие в области высоких технологий.
Венчурные инвесторы (физические лица и специализированные инвестиционные компании) вкладывают свои средства в расчете на получение значительной прибыли. Предварительно они с помощью экспертов детально анализируют как инвестиционный проект, так и деятельность предлагающей его компании, финансовое состояние, кредитную историю, качество менеджмента, специфику интеллектуальной собственности. Особое внимание уделяется степени инновационности проекта, которая во многом предопределяет потенциал быстрого роста компании.
Венчурные инвестиции осуществляются в форме приобретения части акций венчурных предприятий, еще не котирующихся на биржах, а также предоставления ссуды или в других формах. Существуют механизмы венчурного финансирования, сочетающие различные виды капитала: акционерный, ссудный, предпринимательский. Однако в основном венчурный капитал имеет форму акционерного капитала.
К венчурным обычно относят небольшие предприятия, деятельность которых связана с большой степенью риска продвижения их продукции на рынке. Это предприятия, разрабатывающие новые виды продуктов или услуг, которые еще неизвестны потребителю, но имеют большой рыночный потенциал. В своем развитии венчурное предприятие проходит ряд этапов, каждый из которых характеризуется различными возможностями и источниками финансирования.
На первом этапе развития венчурного предприятия, когда создается прототип продукта, требуются незначительные финансовые средства; вместе с тем отсутствует и спрос на данный продукт. Как правило, источником финансирования на этом этапе выступают собственные средства инициаторов проекта, а также правительственные гранты, взносы отдельных инвесторов.
Второй (стартовый) этап, на котором происходит организация нового производства, характеризуется достаточно высокой потребностью в финансовых средствах, в то время как отдачи от вложенных средств практически еще нет. Основная часть издержек здесь связана не столько с разработкой технологии производства продукта, сколько с коммерческой его составляющей (формирование маркетинговой стратегии, прогнозирование рынка и др.). Именно этот этап образно называют «долиной смерти», поскольку из-за отсутствия финансовых средств и неэффективного менеджмента 70-80% проектов прекращают свое существование. Крупные компании, как правило, не участвуют в инвестировании венчурного предприятия в данный период его развития; основными инвесторами выступают физические лица, так называемые ангелы или бизнес- агенты, вкладывающие личный капитал в осуществление рисковых проектов.
Третий этап является этапом раннего роста, когда начинается производство продукта и происходит его рыночная оценка. Обеспечивается определенная рентабельность, однако прирост капитала не является значительным. На этом этапе венчурное предприятие начинает представлять интерес для крупных корпораций, банков, других институциональных инвесторов. Для венчурного финансирования создаются фирмы венчурного капитала в форме фондов, трастов, ограниченных партнерств и др. Венчурные фонды обычно образуются путем продажи успешно работающего венчурного предприятия и создания фонда на определенный срок функционирования с определенным направлением и объемом инвестирования. При создании фонда в виде партнерства фирма-организатор выступает как главный партнер; она вносит незначительную часть капитала, привлекая средства других инвесторов, но полностью отвечает за управление фондом. Значительную долю (до 50%) ресурсов венчурных фондов составляют паевые взносы институциональных инвесторов — пенсионных и страховых фондов. После сбора целевой суммы фирма венчурного капитала закрывает подписку на фонд и переходит к его инвестированию. Разместив один фонд, фирма обычно переходит к организации подписки на следующий фонд. Фирма может управлять несколькими фондами, находящимися на различных стадиях развития, что способствует распределению и минимизации риска.
На завершающем этапе развития венчурного предприятия финансирование его деятельности осуществляется путем продажи данного предприятия: выкупа акций предприятия его руководством, выкупа акций руководством и персоналом предприятия, выкупа акций другими менеджерами, выкупа акций инвесторами. В результате на основе выкупа существующей компании создается новая независимая фирма.
В случае успешного развития новых
В случае успешного развития новых технологий и широкого распространения производимой продукции венчурные предприятия могут достигать высокого уровня рентабельности производства. При средней ставке доходности по государственным казначейским обязательствам в 6% венчурные инвесторы вкладывают свои средства, рассчитывая на годовую рентабельность, равную 20—25%.
Таким образом, исходя из характера венчурного предпринимательства, венчурный капитал является рисковым и вознаграждается за счет высокой рентабельности производства, в которое он инвестируется. Венчурный капитал имеет ряд и других особенностей. К ним можно отнести, в частности, ориентацию инвесторов на прирост капитала, а не на дивиденды на вложенный капитал. Поскольку венчурное предприятие начинает размещать свои акции на фондовом рынке через 3—7 лет после инвестирования, венчурный капитал имеет длительный срок ожидания рыночной реализации и величина его прироста выявляется лишь при выходе предприятия на фондовый рынок. Соответственно и учредительская прибыль, являющаяся основной формой дохода на венчурный капитал, реализуется инвесторами после того, как акции венчурного предприятия начнут котироваться на фондовом рынке.
Для венчурного капитала характерно распределение риска между инвесторами и инициаторами проекта. С целью минимизации риска венчурные инвесторы распределяют свои средства между несколькими проектами, в то же время один проект может финансироваться рядом инвесторов. Венчурные инвесторы, как правило, стремятся непосредственно участвовать в управлении предприятием, принятии стратегических решений, так как они непосредственно заинтересованы в эффективном использовании вложенных средств. Инвесторы контролируют финансовое состояние компании, активно содействуют развитию ее деятельности, используя свои деловые контакты и опыт в области менеджмента и финансов.
Привлекательность вложений капитала в венчурные предприятия обусловлена следующими обстоятельствами:
приобретение пакета акций компании с вероятно высокой рентабельностью;
обеспечение значительного прироста капитала (от 15 до 80% годовых);
наличие налоговых льгот, в частности, льгот по подоходному налогу для физических лиц, льгот по налогу на прирост капитала для всех типов инвесторов.
В последнее время объемы венчурного финансирования в индустриальных странах динамично растут. Венчурный капитал приобретает решающую роль в развитии экономики. Это связано с тем, что именно благодаря венчурным предприятиям удалось реализовать значительное количество разработок в новейших областях промышленности, обеспечить быстрое перевооружение и реструктуризацию производства на современной научно-технической основе.
Внутренние и внешние источники финансирования инвестиций на макро- и микроэкономическом уровнях
В экономической литературе при анализе источников финансирования инвестиций выделяют внутренние и внешние источники инвестирования. При этом к внутренним источникам инвестирования, как правило, относят национальные источники, в том числе собственные средства предприятий, ресурсы финансового рынка, сбережения населения, бюджетные инвестиционные ассигнования; к внешним источникам — иностранные инвестиции, кредиты и займы.
Эта классификация отражает структуру внутренних и внешних источников с позиций их формирования и использования на уровне национальной экономики в целом. Но ее нельзя использовать для анализа процессов инвестирования на микроэкономическом уровне.
С позиций предприятия (фирмы) бюджетные инвестиции, средства кредитных организаций, страховых компаний, негосударственных пенсионных и инвестиционных фондов и других институциональных инвесторов являются не внутренними, а внешними источниками. К внешним для предприятия источникам относятся и сбережения населения, которые могут быть привлечены на цели инвестирования путем продажи акций, размещения облигаций, других ценных бумаг, а также при посредстве банков в виде банковских кредитов.
При 'классификации источников инвестирования необходимо также учитывать специфику различных организационно-правовых форм, например, частных, коллективных, совместных предприятий. Так, для предприятий, находящихся в частной или коллективной собственности, внутренними источниками могут выступать личные накопления собственников предприятий. Для предприятий, находящихся в совместной с зарубежными фирмами собственности, инвестиции иностранных совладельцев также следует рассматривать как внутренний для данного предприятия источник.
Таким образом, следует различать внутренние и внешние источники финансирования инвестиций на макроэкономическом и микроэкономическом уровнях. На макроэкономическом уровне к внутренним источникам финансирования инвестиций можно отнести: государственное бюджетное финансирование, сбережения населения, накопления предприятий, коммерческих банков, инвестиционных фондов и компаний, негосударственных пенсионных фондов, страховых фирм и т.д. К внешним — иностранные инвестиции, кредиты и займы. На микроэкономическом уровне внутренними источниками инвестирования являются: прибыль, амортизация, инвестиции собственников предприятия; внешними — государственное финансирование, инвестиционные кредиты, средства, привлекаемые путем размещения собственных ценных бумаг.
Инвестиционная деятельность хозяйствующих субъектов осуществляется
1. Инвестиционная деятельность хозяйствующих субъектов осуществляется посредством формируемых ими инвестиционных ресурсов. В рыночной экономике источники формирования инвестиционных ресурсов весьма многообразны. При их анализе следует различать внутренние и внешние источники финансирования инвестиций на макро- и микроэкономическом уровнях. На макроэкономическом уровне к внутренним источникам финансирования инвестиций относят все источники, связанные с национальными сбережениями, а к внешним — иностранные источники. На микроэкономическом уровне внутренними источниками инвестирования выступают собственные средства предприятий (прибыль, амортизация, инвестиции собственников предприятия), а внешними — привлеченные и заемные средства (государственное финансирование, инвестиционные кредиты, средства, привлекаемые путем размещения собственных ценных бумаг, и др.).
2. Важным источником финансирования инвестиционной деятельности фирмы являются собственные средства: часть чистой прибыли, оставшейся после уплаты налогов и других обязательных платежей; амортизация, а также реинвестируемая путем продажи часть основных фондов, иммобилизуемая в инвестиции часть излишних оборотных активов; страховые возмещения убытков, вызванных потерей имущества; другие целевые поступления.
3. Амортизационные отчисления образуются в результате переноса стоимости основных производственных фондов на стоимость готовой продукции. Величина амортизационного фонда зависит от объема основных фондов предприятия и используемых методов начисления (линейного метода или метода ускоренной амортизации).
4. Источниками финансирования инвестиционной деятельности могут служить привлеченные и заемные средства. Привлеченные средства — это средства, предоставленные на постоянной основе, по которым может осуществляться выплата владельцам этих средств дохода. Заемные средства представляют собой денежные ресурсы, полученные в ссуду на определенный срок и подлежащие возврату с уплатой процента. Мобилизация привлеченных и заемных средств осуществляется различными способами, основными из которых являются: привлечение капитала через рынок ценных бумаг, рынок кредитных ресурсов, государственное финансирование. С развитием финансовых рынков возникают новые способы мобилизации капитала, среди которых можно назвать лизинг, венчурное инвестирование, франчайзинг.
5. С развитием процессов интернационализации хозяйственных связей возрастает роль иностранных инвестиций как источника финансирования инвестиционной деятельности. Иностранные инвестиции могут осуществляться в различных формах. При классификации форм иностранных инвестиций особое значение имеет выделение прямых, портфельных и прочих инвестиций. Считается, что вложения на уровне 10-20% и выше акционерного капитала предприятия являются прямыми, менее 10—20% — портфельными инвестициями.
6. Возможность привлечения иностранных инвестиций во многом зависит от состояния инвестиционного климата. Инвестиционный климат — это обобщающая характеристика комплекса социальных, экономических, организационных, правовых, политических и иных условий, определяющих привлекательность и целесообразность инвестирования в экономику страны. Методики оценки инвестиционного климата разнообразны: описательные характеристики, расчеты экономических показателей, комплексные рейтинги инвестиционной привлекательности.
7. Важными условиями, способствующими привлечению иностранного капитала, являются правовое регулирование и государственное гарантирование иностранных инвестиций. В странах с развитой рыночной экономикой по отношению к иностранным инвесторам используется национальный режим, в соответствии с которым деятельность компаний с иностранным участием регулируется национальным законодательством, не содержащим различий в регламентации хозяйственной деятельности национальных и зарубежных инвесторов. Государственное гарантирование прав и интересов зарубежных инвесторов может осуществляться: на основе конституций или специальных нормативных актов; в рамках межгосударственных соглашений о защите и стимулировании иностранных инвестиций; через участие в Конвенции по урегулированию инвестиционных споров между государствами и гражданами других стран.
в смежных секторах экономики
Таблица 4.8. Рост инвестиций в нефтедобывающей отрасли и динамика производства в смежных секторах экономики (темпы изменения к соответствующему периоду предыдущего года), %, по крупным и средним предприятиям

Благоприятная ценовая конъюнктура на мировых рынках энергоносителей
Благоприятная ценовая конъюнктура на мировых рынках энергоносителей обусловила многократный рост доходов от их экспорта, в первую очередь нефти и нефтепродуктов. Если в 1998 г. прибыль нефтяной промышленности составляла 2 млрд долл., то в 1999 г. она достигла 7, а в первом полугодии 2000 г. уже 5,8 млрд долл.
Приток валютной выручки в Россию (преимущественно нефтедолларов) существенно увеличился. Отечественный нефтегазовый комплекс выступил в качестве пускового импульса кризисной экономики, ее первоначального источника сбережений и накоплений, основного доходообразующего сектора. Доля нефтегазового комплекса в совокупной прибыли экономики страны возросла с 11,5% в 1998 г. до 21% в 1999 г. и 27% в первом полугодии 2000 г.
Увеличение доходов экспортеров способствовало расширению их инвестиционной деятельности. Нефтяная промышленность, доля которой в совокупном объеме национальных инвестиций выросла с 8,4% в 1998 г. до 17% в 2000 г., стала самой динамично инвестирующей отраслью добывающего сектора. В 2000 г. предприятия нефтедобычи увеличили инвестиции в 1,9 раза, а предприятия нефтепереработки — в 1,8 раза (табл. 4.7).
Таблица 4.7. Динамика инвестиций в добывающей промышленности (темпы изменения к соответствующему периоду прошлого года), %, по крупным и средним предприятиям

Инвестиции экспортных отраслей добывающей промышленности вызвали масштабный мультипликативный эффект в экономике, выразившийся в наращивании внутреннего инвестиционного спроса и росте хозяйственного оживления. Поскольку обновление производственного аппарата добывающих отраслей обеспечивается преимущественно за счет отечественного производства, а не экспорта, стартовые инвестиции дали мощный толчок для инвестиционного и экономического подъема отраслям смежных секторов по всей цепочке межотраслевых взаимодействий — в металлургии, машиностроении и т.д. (табл. 4.8).
Следует также отметить, что эффективное
Следует также отметить, что эффективное использование показателя денежной массы в обращении как основного объекта рыночного регулирования достигается, как было показано ранее, при сформировавшемся рынке, развитой рыночной инфраструктуре, конкуренции, сбалансированном общественном воспроизводстве. Реальная ситуация в российской экономике кардинально отличалась от совокупности условий, предполагаемых монетаристской концепцией. Она характеризовалась значительными структурными диспропорциями, высоким уровнем монополизации, затрудняющим трансформацию экономики в конкурентно-рыночную структуру, незавершенностью приватизационных процессов, оттоком материальных и валютных средств за рубеж, экономической и социально-политической нестабильностью.
В результате использования антиинфляционных мер, преимущественно направленных против инфляции спроса, в российской экономике, где преобладали факторы инфляции издержек, сложился такой механизм замедления инфляционных процессов, когда снижение темпов роста цен достигается за счет инвестиционного спада. Это связано с тем, что возможности дезинфляции преимущественно методами денежно-кредитной рестрикции имеют свои пределы. Последние обусловлены реальными возможностями ограничения совокупного спроса, превышение которых ведет к блокированию инвестиционного процесса.
Нельзя не учитывать и того, что причины инфляции не были устранены. Открытая инфляция была переведена в иные формы, выразившиеся, в частности, в нарастании неплатежей, девальвации рубля, внутреннего и внешнего государственного долга, кредитов, полученных под гарантии Правительства РФ, и т.д.
Как показывает опыт стран, столкнувшихся с решением этой проблемы, и отечественный опыт последних лет, уровень инфляции выступает лишь одним из целостной системы взаимосвязанных показателей, характеризующих степень и комплексность финансовой стабилизации, в числе которых: состояние и структура денежной массы, соответствие денежных и материальных потоков, качество платежно-расчетной системы, устойчивость национальной валюты, состояние финансов на различных уровнях экономики, сбалансированность бюджета, размеры внутреннего и внешнего долга, эффективность налогообложения и др. В этих сферах позитивные сдвиги не были достигнуты. Напротив, происходило наращивание реального кризисного потенциала в различных формах.
Сжатие денежной массы (с 51,8% в 1991 г. до 13,0% в 1998 г.) определило вытеснение рубля из платежного оборота различными денежными суррогатами, ускоренный рост неплатежей и бартерных расчетов. Действенность денежно-кредитной политики существенно уменьшилась тем, что основная масса платежных средств в России (свыше 70%) существовала в форме, не поддающейся непосредственному воздействию инструментов денежно-кредитного регулирования (наличная национальная и иностранная валюты, денежные суррогаты и др.). Вытеснение реальных денег из обращения, национальной валюты из формы сбережений практически лишало экономику возможностей привлечения необходимых ресурсов.
Роль денег и сфера их действия существенно уменьшились. По существу, сложились два сегмента: в одном из них (бюджетные платежи, экспортно-импортные сделки, финансовый рынок, розничная торговля) функционировали в основном действительные деньги, в другой (реальный сектор) — преобладало использование денежных суррогатов и бартерных операций.
Искажение стоимостных показателей и оценок делало невозможным выявление действительных рыночных цен, а следовательно, реальных издержек, прибыли, базы налогообложения. Разработка бюджетной, налоговой, амортизационной политики велась без опоры на расчеты объема денежной массы. Характерной особенностью финансовой политики стала глубокая диспропорция денежной массы по секторам экономики. Российская экономика все в большей степени становилась долговой. Использование ГКО-ОФЗ в качестве источника финансирования дефицита бюджета без учета реальных возможностей обслуживания государственного долга обусловило формирование механизма оттока финансовых потоков из реального сектора экономики.
в основном на короткие сроки
Размещая государственные ценные бумаги в основном на короткие сроки и устанавливая по ним беспрецедентно высокие процентные ставки, государство руководствовалось краткосрочными целями в ущерб целям стратегического характера. Высокая стоимость обслуживания государственного долга, сдерживая снижение процентных ставок, препятствовала активизации инвестиционной деятельности, развитию производства, а следовательно, вела к подрыву доходной базы бюджета. Рост государственного долга, использование все большей части доходов от очередных эмиссий ГКО-ОФЗ для покрытия расходов по обслуживанию прежних выпусков означали усиление нагрузки на бюджет.
По оценкам, прирост доходности ГКО всего на 1% обходился федеральному бюджету в 600 млн долл. С 1993 по 1998 г. за счет размещения государственных ценных бумаг было получено 32 млрд руб. реальных денег, в то время как на выплату процентов по ним и погашение тиражей израсходовано 450 млрд руб., так что цена одного привлеченного с рынка рубля составила свыше 12 руб. С апреля 1998 г. ГКО полностью перестали выполнять роль инструмента покрытия дефицита бюджета, превратившись в средство перетока бюджетных средств к держателям этих ценных бумаг. Основными покупателями и держателями ГКО-ОФЗ являлись Банк России и группа уполномоченных коммерческих банков, значительная часть вложений коммерческих банков в государственные обязательства рефинансировалась ЦБ РФ под залог тех же ценных бумаг путем предоставления кредитных ресурсов, т.е. посредством денежной эмиссии, не обеспеченной производством товаров и услуг.
В результате в российской экономике создавалась такая модель функционирования, при которой кредитные ресурсы (денежные средства предприятий, населения на счетах в банках, эмиссионные ресурсы ЦБ РФ) направлялись преимущественно на операции с государственными ценными бумагами. При этом постоянное воспроизведение этой модели сдерживало формирование предпосылок экономического роста по целому ряду направлений: возрастание стоимости обслуживания государственного долга и дальнейший рост дефицита бюджета, сокращение платежных средств в реальном секторе, вытеснение инвестиционного спроса реального сектора государственным.
Неэффективное использование иностранных валютных ресурсов, их краткосрочный характер усугубили сложности погашения внешних долгов. Искусственная поддержка валютного курса рубля с помощью различных режимов валютного коридора вела к наращиванию его инфляционного потенциала.
Кризис финансовой системы, отчетливо проявившийся в обострении ситуации на фондовом рынке с октября 1997 г., крахе рынка государственных ценных бумаг, объявлении в августе 1998 г. чрезвычайных мер, предусматривающих изменение валютной политики путем введения плавающего курса рубля, мораторий на погашение задолженности перед иностранными кредиторами, реструктуризацию задолженности по ГКО, и последующие события (инфляционный взлет цен, коллапс банковской системы, паника среди вкладчиков и т.д.) явились свидетельством того, что обеспечить финансовую стабилизацию лишь за счет воздействия на сферу обращения путем регулирования денежных агрегатов, валютного курса, финансовых рынков, расширения внутренних и внешних заимствований не удалось.
Провал курса на финансовую стабилизацию произошел не в результате воздействия мирового финансового кризиса. Последний лишь способствовал ухудшению финансовой ситуации, действительные же причины его связаны с кризисом модели экономического развития и определяются комплексом экономических условий, среди которых: глубокий упадок национального производства, расстройство сферы государственных финансов, налоговой системы, денежного обращения.
Следствием проводимой денежно-кредитной и бюджетной политики явилось решение о реструктуризации внутреннего и внешнего долга, выраженного в государственных ценных бумагах, что привело к резкому ухудшению возможностей инвестиционной деятельности вследствие замораживания значительной части денежных средств различных слоев инвесторов, сужения ресурсной базы кредитной системы, падения доверия к государству и его институтам.
Уроки кризиса показали необходимость корректировки курса экономических реформ, повышения роли государства в обеспечении роста эффективности производства, оздоровления государственных финансов, денежно-кредитной системы, восстановления рыночных механизмов реального сектора экономики, снижения налогового бремени, поощрения инвестиционной и инновационной активности.
Решение этих задач потребовало использования действенных механизмов мобилизации финансовых ресурсов, корректировки финансовой политики, отражающей изменение характера экономических процессов под воздействием факторов, сформировавшихся в посткризисный период.
Экономическая политика государства и инвестиционный спад
Международный опыт показывает, что макроэкономические задачи государственного регулирования могут содержать значительные внутренние противоречия. Так, стабилизация цен в рамках антиинфляционных программ вызывает, как правило, уменьшение темпов экономического роста и спад инвестиционной активности, а решение проблемы инвестиций генерирует инфляционные процессы.
Экономическое регулирование должно носить многоцелевой характер, что предполагает сочетание в рамках комплекса осуществляемых государством разноплановых мер, направленных на достижение взаимно противоречащих друг другу целей, динамическую сбалансированность мероприятий, прогнозирование результатов и своевременное корректирующее воздействие с целью нейтрализации негативных последствий.
Между тем проводимая в ходе рыночных преобразований в России экономическая политика была ориентирована преимущественно на одну цель — стабилизацию цен. Следствием ее осуществления явились: экономический спад, пятикратное снижение объема инвестиций, ухудшение состояния производственного потенциала, возрастной структуры основных производственных фондов, усиление деформации производства, денежной массы, платежной системы, существование секторов экономики с резко различающимися уровнями доходности, нерешенность вопросов формирования доходной базы бюджета, накопление социальных проблем и т.д.
В основу политики экономического реформирования была положена монетаристская концепция экономического регулирования. В условиях высокой инфляции, сковывавшей механизмы рыночного саморегулирования, в качестве приоритетных конечных целей макроэкономического воздействия рассматривалось снижение темпов инфляции, в то время как инвестиции и производство принимались за вторичные, производные процессы, автоматически возобновляемые при создании благоприятной финансовой среды.
Такой подход определил выбор соответствующих приоритетов и в системе промежуточных целей, устанавливающих ориентиры в денежно-кредитной сфере: установление предельных темпов прироста денежной массы (агрегата М2) и предельных границ девальвации рубля по отношению к доллару (с 1995 г). С января по июль 1998 г. главным целевым ориентиром денежно-кредитной политики стал валютный курс, а динамика других характеристик денежной сферы (денежная масса и процентные ставки) формировалась исходя из задачи поддержания заданной динамики валютного курса.
Антиинфляционная политика дала определенные результаты, выразившиеся в постепенном уменьшении темпов инфляции. Согласно данным официальной статистики, среднемесячные темпы инфляции составили, %: в 1992 г. 31, в 1993 г. 21, в 1994 г. 10, в 1995 г. 7,5, в 1996 г. 1,9, в 1997 г. 0,9.
Однако на этой основе инвестиционный кризис преодолеть не удалось. Представления о самоактивизации инвестиционной деятельности как реакции на снижение темпов роста цен, уровня процентных ставок, доходности государственных ценных бумаг не оправдались. Более того, они оказались ошибочными и опасными, если учитывать весь комплекс негативных последствий и сложность задач по их нейтрализации. Если в недалеком прошлом многие экономисты полагали, что дезинфляция даст мощный импульс к оживлению в инвестиционной сфере, то впоследствии стало ясно, что снижение темпов инфляции не является необходимым и достаточным условием усиления инвестиционной деятельности, прежде всего в сфере материального производства.
Достижение низкой инфляции и устойчивости денежной единицы бесспорно является необходимой мерой стабилизации экономики, но в целом в основе оздоровления рыночных отношений должно лежать стимулирование производства, что предполагает учет при определении конечных целей взаимосвязанного комплекса экономических параметров, включающего объем произведенного продукта, инвестиций, занятости и т.д.
Инфляция и инвестиционный процесс
Важным фактором, воздействующим на инвестиционный процесс в российской экономике, являлась инфляция. В этом процессе переплелись структурные, институциональные и денежные факторы, характерные для инфляции издержек и инфляции спроса. Воздействие инфляции на инвестиционный процесс за исследуемый период существенно менялось.
В 1988-1991 гг. динамику и интенсивность инвестиционного процесса во многом определяла инфляция спроса. Однако превышение платежеспособного спроса над объемом товаров и услуг, характерное для этих лет, быстро исчерпало себя ввиду общего цепного повышения цен в результате их либерализации в условиях дефицитности рынков. Переход инфляции из подавленной формы в открытую резко усилил влияние факторов, формирующих инфляцию издержек. Жесткие меры по ограничению совокупного спроса, предпринимаемые с 1992 г., способствовали дальнейшему усилению влияния этих факторов. Стремление производителей компенсировать недостаток финансовых ресурсов повышением цен вызвало, в свою очередь, сокращение спроса на продукцию, падение объемов производственной деятельности и инвестиций. Сокращение физического объема реализованной продукции было существенно перекрыто ростом цен на продукцию и услуги, денежным фактором; предложение в денежном выражении превысило платежеспособный спрос.
В этих условиях за короткий период обесценились производственные фонды и накопления предприятий, произошло резкое уменьшение реальной стоимости сбережений населения (так, сбережения населения в системе Сбербанка, составлявшие около 596 млрд руб., одномоментно обесценились на 95%). Это, в свою очередь, отрицательно повлияло на инвестиции и развитие рынков ссудных капиталов и ценных бумаг.
Инвестиционный кризис в российской экономике
Важнейшей составляющей системного кризиса российской экономики в период рыночных преобразований явился глубокий инвестиционный кризис. Его основные проявления: существенный спад объемов инвестиций, сокращение совокупного инвестиционного потенциала, негативные сдвиги в функциональной, отраслевой и региональной структуре инвестиций, снижение эффективности использования инвестиций, спекулятивный характер формирующихся финансовых рынков.
Контрольные вопросы и задания
Назовите основные факторы, обусловившие инвестиционный кризис в российской экономике. Каковы основные проявления инвестиционного кризиса?
Чем вызвана тенденция изменения структуры инвестиций в основной капитал в сторону уменьшения доли производственных вложений? Как Вы оцениваете эту тенденцию — как позитивную или как негативную?
Как воздействуют структурные деформации денежной массы на инвестиционный процесс?
Назовите периоды в рамках переходного этапа развития российской экономики, когда реальная ставка процента смещалась в область отрицательных значений. Как влияет отрицательная ставка процента на уровень инвестиционной активности?
Почему предпочтения населения к хранению сбережений в форме наличной валюты (преимущественно иностранной) относят к факторам, дестимулирующим инвестиционный процесс?
Почему экономическая политика, направленная на финансовую стабилизацию, не привела к росту инвестиционной активности?
Охарактеризуйте воздействие посткризисных факторов на инвестиционный процесс.
Почему снижение курса рубля ведет к относительному повышению конкурентоспособности производства отечественных товаров? Как укрепление национальной валюты может сказаться на потенциале импортозамещения?
Проанализируйте данные табл. 4.11. О чем свидетельствует динамика нормы валового сбережения, нормы валового накопления основного капитала и их соотношения? Поясните суть проблемы недоиспользования имеющегося потенциала сбережений в российской экономике.
С чем связан неустойчивый характер инвестиционного оживления?
Кризис неплатежей и состояние финансов предприятий
Негативные тенденции, сложившиеся в денежно-кредитной сфере, нашли свое концентрированное проявление в деформации платежной системы. Системный платежный кризис, возникший в результате сокращения производства, инфляционных процессов, проведения политики ограничения роста денежной массы, в свою очередь, вел к сокращению производственного потенциала, спаду инвестиционной активности, сужению объема внутреннего рынка. Размеры задолженности постоянно возрастали (табл. 4.5).
Таблица 4.5. Кредиторская и дебиторская задолженность (в числителе — в млрд руб., в знаменателе — в % к ВВП)

В условиях дефицита денежных ресурсов предприятия активно использовали необеспеченные долговые обязательства различного рода. Соответственно увеличивались объемы средств, оцениваемых по экономическому содержанию как денежные суррогаты, а также распространенность бартерных сделок. По сведениям Межведомственной балансовой комиссии, на различные формы неденежных расчетов приходилось более 70% операций в российской экономике.
Как отмечает ряд исследователей, уровень
Как отмечает ряд исследователей, уровень цен при осуществлении бартерных сделок, проведении зачетов, применении денежных суррогатов определялся не по рыночным правилам и был выше, чем при оплате реальными деньгами. Данные процессы создавали условия для развития различных посреднических структур криминального и полукриминального характера, которые заинтересованы в сохранении подобных форм хозяйственных связей, поскольку последние служат источником получения высоких доходов.
В результате кризиса платежно-расчетных отношений происходило разрастание небанковского платежного оборота, обслуживающего теневую экономику. Его объем, по экспертным оценкам, вдвое превышал оборот, официально контролируемый государством. Указанные тенденции вели к сокращению поля деятельности банковской системы, сужению ее инвестиционных возможностей.
Рост неплатежей привел к тому, что финансы предприятий стали формироваться в основном за счет кредиторской задолженности. В 1998 г. на долю кредиторской задолженности приходилось 90,8% всех источников оборотных средств, на задолженность по полученным краткосрочным кредитам банков и займам 6,9%. Таким образом, оборотные средства были сформированы в основном за счет долгов и только на 2,3% за счет собственных средств предприятий и организаций.
В условиях деформации платежной системы, ухудшения финансового положения предприятий сокращались возможности инвестирования за счет собственных источников хозяйствующих субъектов: амортизации и прибыли, снижалась действенность используемых для стимулирования накоплений методов амортизационно-налоговой политики.
Отток инвестиций из реального сектора экономики оказал негативное влияние на состояние основных фондов производственных предприятий, конкурентоспособность производимых товаров. Изношенность оборудования привела к резкому увеличению числа аварий, возросли расходы на ремонт и эксплуатацию оборудования, снизились возможности использования наукоемких технологий и структурно-технологических преобразований производства.
Мотивы инвестиционного оживления в рамках кризисного цикла
Помимо благоприятных факторов, способствующих быстрому развитию экспортно-ориентированных отраслей добывающего комплекса и отраслей обрабатывающей промышленности (девальвационный эффект и импортозамещение), в экономике России возникли объективные стимулы инвестиционного оживления, связанные с традиционными мотивациями частных инвесторов в рамках кризисного цикла.
В соответствии с принципами экономии производственных издержек хозяйственное оживление на первых порах опиралось на вовлечение в хозяйственный оборот имеющихся незагруженных мощностей. Степень загрузки производственных мощностей увеличилась с 51% в 1998 г. до 65% в первом полугодии 2000 г. Однако рост загрузки производственных мощностей имел свои объективные пределы, продиктованные в первую очередь высоким физическим и моральным износом оборудования: производимая на нем устаревшая продукция по мере насыщения внутреннего спроса становилась невостребованной рынком. Исчерпание возможностей использования дозагрузки мощностей усилило мотивацию предприятий к обновлению своего производственного аппарата.
Расширение и модернизация производства сочетались с ускоренным выбытием изношенных и неперспективных с позиций рыночной конъюнктуры производственных мощностей, которые предприятиям было невыгодно оставлять на балансе из-за определенных издержек их хранения. В среднем за год выбывало 11% имеющегося потенциала мощностей крупных и средних предприятий. Все это свидетельствует о постепенном исчерпании некапиталоемких методов экономии на производственных издержках и формировании предпосылок инвестиционного подъема.
Рассмотренные изменения отразились на технологической структуре инвестиций. Процессы модернизации и реконструкции устаревших мощностей обусловили преимущественное направление инвестиций на закупку машин, технологического оборудования, производственное строительство (табл. 4.10).
Получение российскими предприятиями ценовых преимуществ в условиях девальвации рубля способствовало замещению импортного оборудования продукцией отечественного машиностроения. Вместе с тем предприятия стремятся использовать наименее капиталоемкие способы модернизации производства, которые позволяют вовлечь в хозяйственный оборот изношенные и недогруженные мощности.
Таблица 4.10. Технологическая структура инвестиций в 1997—2000 гг., % к инвестициям в основной капитал

В качестве одного из широко применяемых в последнее время направлений инвестирования выступает капитальный ремонт. Анализ показывает, что доля расходов предприятий, связанных с капитальным ремонтом изношенной техники, в объеме производственных инвестиций постоянно увеличивается: 15% — в 1997 г., 17% — в 1998 г., 18% — в 1999 г. Другое направление связано с вложением средств в бывшие в употреблении, но еще работоспособные машины и оборудование. Данные предпочтения инвесторов обусловлены сохраняющимся дефицитом инвестиционно-финансовых ресурсов предприятий, реструктурированием устаревших производств, перепрофилированием незагруженных мощностей, приемлемостью (в отличие от импортируемого оборудования) ценовых параметров.
Сложившаяся динамика ставок на кредитном
Сложившаяся динамика ставок на кредитном рынке была ориентирована на доходность остальных сегментов финансового рынка, среди которых важнейшее место до финансового кризиса занимал рынок государственных ценных бумаг. Развитие этого рынка в значительной степени определялось состоянием государственных финансов, дефицита госбюджета. Осуществленный в России переход от финансирования дефицита бюджета за счет прямой эмиссии и банковского кредитования к привлечению кредитных ресурсов путем размещения на рынке государственных ценных бумаг признан во всем мире наименее инфляционным способом покрытия государственных расходов, что обусловливает его широкое применение в финансовой практике цивилизованных государств.
Однако в отличие от России доходность казначейских обязательств в странах с развитой рыночной экономикой является низкой, что соответствует известному положению, в соответствии с которым государственные ценные бумаги как высоколиквидные и надежные инвестиционные активы являются малодоходными. С учетом международных стандартов доходности малорискованных государственных ценных бумаг, а также того, что на российском финансовом рынке практически отсутствовали иные надежные и высоколиквидные инструменты, уровень доходности государственных обязательств должен был быть значительно ниже.
Между тем в российских условиях размещение средств в государственные ценные бумаги (прежде всего — ГКО и ОФЗ) выступало как предпочтительный способ вложения средств не только с точки зрения ликвидности и надежности, но и доходности. Уровень доходности ГКО—ОФЗ колебался от 30 до 300% в текущем выражении, что значительно превышало аналогичные показатели не только в развитых, но и в развивающихся странах и странах с переходной экономикой. Рынок государственных ценных бумаг привлекал значительную часть ресурсов кредитного рынка, уменьшая возможности кредитования реального сектора.
Широкий доступ нерезидентов на рынок государственных ценных бумаг с 1996 г. привел к усилению внешней зависимости российской экономики, связанной с возрастанием рисков внезапного обратного отлива средств и неустойчивости курса рубля. Если в сентябре — октябре 1997 г. у иностранных инвесторов было сосредоточено около 30% портфеля ГКО-ОФЗ, то к концу 1997 г. под воздействием мирового фондового кризиса эта доля сократилась до 20%.
Российский рынок корпоративных ценных бумаг характеризовался еще большей степенью зависимости от поведения иностранных держателей, доля вложений которых в российские акции по различным оценкам доходила в отдельные периоды до 70—95% от общего объема.
Как и на финансовом рынке в целом, на российском рынке корпоративных бумаг преобладали краткосрочные спекулятивные вложения. В соответствии с методикой Standard & Poor's кредитный рейтинг России еще до снижения в результате финансового кризиса и известных событий 17 августа 1998 г. был невысоким и принадлежал к категории, обозначенной ВВ, что означает принадлежность российских ценных бумаг к категории спекулятивных активов. Будучи преимущественно спекулятивным, рынок корпоративных ценных бумаг не выполнял своей роли в системе общественного воспроизводства капитала, практически не был связан с реальным сектором экономики.
Уязвимость фондового рынка подтвердилась его чувствительностью к мировой и внутриполитической конъюнктуре. В результате кризиса с октября 1997 г. по август 1998 г. курсы акций российских предприятий упали в 5—6 раз, доходность ГКО возросла до 200%, что способствовало значительному увеличению государственного долга и привело к фактической невозможности его оплаты и девальвации рубля.
Нарушение процессов формирования общественного капитала, обособленность реального и финансового секторов экономики
Негативные процессы, отражавшие состояние реального экономического сектора, оказывали соответствующее воздействие на развитие финансовой сферы. Вместе с тем финансовый сектор в российской экономике функционировал достаточно автономно. Длительное время, развиваясь в более благоприятных обстоятельствах вследствие более высокой доходности операций на финансовом рынке по сравнению с реальным сектором, финансовый сектор российской экономики привлекал значительную массу финансовых ресурсов и определял специфику протекания инвестиционного процесса.
Ориентиром для рыночных процентных ставок служила величина ставки рефинансирования, которая в условиях жесткого курса денежно-кредитной политики с 1991 по 1995 г. имела тенденцию к росту. Если в мае 1991 г. ставка рефинансирования (в номинальном выражении) составляла 6%, то в декабре 1995 г. — 160%, причем ее максимальный уровень в течение этого периода достигал 220%. Наиболее существенное снижение ставки рефинансирования (до 21%) имело место в октябре 1997 г., однако в 1997-1998 гг. в условиях финансового кризиса ставка рефинансирования была резко повышена.
До мая 1998 г. динамика ставки рефинансирования оказывала существенное воздействие на ставки межбанковского рынка и банковского кредитования. Постепенное снижение ставок по банковским кредитам (их среднегодовая величина составила в 1995 г. 320,3%, в 1996 г. 146,8%, в 1997 г. 42,0%) привело к созданию благоприятных условий для привлечения средств финансового рынка в производство. Вместе с тем темпы снижения процентных ставок отставали от темпов сокращения инфляции. Так, в 1997 г., когда уровень ставок кредитования был наиболее низким, разница между годовой нормой рентабельности в среднем по промышленности и ценой привлечения заемных средств составляла 24 процентных пункта. В этой ситуации для большинства производителей кредиты оставались недоступными. Заемные средства могли быть использованы или в производстве высокорентабельных видов продукции, или при сохранении системы кредиторской задолженности.
По расчетам Министерства экономики РФ, показатели рентабельности в сфере материального производства (без учета убыточных предприятий и организаций) свидетельствуют о том, что кредиты под 20% годовых могут быть доступны лишь для узкого круга отраслей, обеспечивающих 1,8% совокупного выпуска продукции (химико-фармацевтическая и парфюмерно-косметическая отрасли, связь), под 16% годовых — для обеспечивающих 3,9% совокупного выпуска (помимо указанных — никель-кобальтовая отрасль, оборонная промышленность и ряд других отраслей), под 14% — для отраслей, обеспечивающих 11,2% совокупного выпуска (этот круг дополнительно включает трубопроводный транспорт общего пользования и др.).
Уровень реальных процентных ставок, превышающий ожидаемую норму прибыли, делает инвестиции экономически нецелесообразным вложением средств и способствует оттоку ресурсов на финансовые рынки. Вместе с тем кардинальное снижение процентных ставок является необходимым, но недостаточным условием роста инвестирования и лишь теоретически означает готовность экономики к масштабным инвестициям, поскольку при отставании структурных и институциональных изменений на микроэкономическом уровне, сложившемся уровне финансовой дисциплины, падении платежеспособности предприятий, высоких инвестиционных и кредитных рисках связь между финансовым и реальным секторами не может быть эффективной.
Основные факторы, вызвавшие инвестиционный кризис
Инвестиционный кризис был обусловлен целым комплексом факторов.
Основные причины снижения инвестиционной активности в российской экономике следующие:
длительный экономический спад;
уменьшение валовых национальных сбережений;
инфляционные процессы и снижение устойчивости национальной валюты;
структурные деформации денежной массы;
сокращение инвестиционных расходов бюджета при некомпенсированном росте финансирования инвестиций из собственных и привлеченных средств предприятий;
обострение кризиса бюджетной системы;
рост неплатежей;
неустойчивое финансовое положение предприятий;
нарушение процессов формирования общественного капитала, соотношения между системой процентных ставок и уровнем рентабельности реального сектора экономики;
предпочтения в получении доходов на финансовом рынке, незначительный приток иностранных инвестиций;
ошибочность экономической политики государства, опирающейся на либерально-монетаристскую модель рыночных преобразований, отсутствие государственной инвестиционной стратегий;
несовершенство законодательства;
медленный темп институциональных реформ и др.
Основные проблемы новой инвестиционной ситуации
Реализация сформировавшихся предпосылок инвестиционного подъема — сложная и многоплановая задача. Новая инвестиционная ситуация характеризуется, с одной стороны, наличием рассмотренных выше позитивных тенденций, а с другой стороны, неустойчивостью вследствие сохранения целого ряда накопившихся в российской экономике проблем.
Нельзя не заметить, что высокие значения прироста инвестиций во многом связаны с их беспрецедентно низким базисным уровнем. Наблюдаемое увеличение объема инвестиций в реальные активы недостаточно для решения инвестиционных проблем российской экономики. Несмотря на некоторое улучшение ряда макроэкономических финансовых индикаторов, восстановление их значений в реальном выражении к уровню 1990 г. не достигнуто.
Инвестиционное оживление характеризуется крайней нестабильностью и неравномерностью, так как связано в основном с благоприятной конъюнктурой на мировых рынках энергоносителей.
Постепенное исчерпание девальвационного эффекта по мере укрепления рубля может подорвать финансовую основу инвестиционного подъема. Рост валютной выручки от экспорта оказывает сильное давление на рубль в сторону его укрепления. Укрепление рубля, в свою очередь, ведет к ухудшению положения экспортеров (объем валютной выручки которых тем значительнее, чем ниже курс национальной валюты) и быстрому исчерпанию потенциала импортозамещения.
Чтобы не допустить резкого изменения обменного курса рубля, Центральный банк регулирует денежную массу через абсорбирование («связывание») излишней ликвидности путем проведения операций на финансовом рынке при сохраняющемся дефиците инвестиционно-финасовых ресурсов в реальном секторе экономике. Рост денежной массы в реальном выражении без существенного роста инвестиций в реальные активы может привести к всплеску инфляции.
Между тем на фоне избытка инвестиционных ресурсов в одних отраслях (преимущественно экспортно-ориентированных), в других сохраняется дефицит инвестиционных ресурсов. Закрепляется сырьевая направленность экономики, что существенно ограничивает возможности долгосрочного и устойчивого роста.
Главным препятствием на пути долговременного инвестиционного подъема и экономической стабилизации выступает нерешенность фундаментальных для российской экономики проблем, в числе которых: структурные деформации экономики, низкая конкурентоспособность отечественных товаров, изношенность основных производственных фондов, неустойчивое финансовое состояние значительной части предприятий, низкая степень восприимчивости реального сектора к инвестициям, отсутствие эффективного механизма трансформации в сбережения.
Отечественная экономика оказалась не в состоянии использовать возросшие ресурсы национальных сбережений. Об этом свидетельствуют данные табл. 4.11, согласно которым показатель отношения сбережений к накоплениям, иллюстрирующий масштабы использования потенциала сбережений на нужды инвестирования, опустился До значений начала девяностых годов. Величина разрыва между валовыми сбережениями и инвестициями в основной капитал остается достаточно высокой — 17% ВВП.
В числе основных причин недоиспользования возросшего потенциала национальных валовых сбережений недостаточная восприимчивость реального сектора экономики к инвестициям (прежде всего из-за отсутствия эффективных инвестиционных проектов), сохраняющаяся обособленность финансового и реального секторов экономики, несформированность механизмов межотраслевого перелива капиталов и эффективной трансформации сбережений в производственные инвестиции.
Ниже приведены данные об отраслевой
Ниже приведены данные об отраслевой структуре инвестиций в 1998 и 2000 гг., %:

Приведенные данные свидетельствуют о том, что основными сферами инвестиционного подъема, сосредоточившими практически половину совокупных капиталовложений, явились нефтяной (16,9%) и инфраструктурный (21,1%) секторы. Они опередили по масштабам инвестирования традиционного лидера в области реализации инвестиционных программ — сектор жилищно-коммунального строительства (16,0%).
Среди динамично инвестирующих в последнее время отраслей добывающего комплекса можно отметить черную и цветную металлургию. Между тем в ряде секторов топливной промышленности (сланцевая, торфяная и угольная отрасли) продолжается инвестиционный спад.
Из числа отраслей обрабатывающей промышленности к активно инвестирующим относятся секторы, сопряженные с экспортно-ориентированными отраслями и производящие для них производственно-техническую продукцию.
Более сложной является ситуация в легкой и пищевой промышленности, работающих на удовлетворение конечного спроса населения. В легкой промышленности имеет место незначительный рост инвестиций. В пищевой промышленности инвестиционное оживление 1997-1999 гг. вновь сменилось спадом: в первом полугодии 2000 г. инвестиции в модернизацию и расширение производства сократились на 42,4% по сравнению с соответствующим периодом предыдущего года.
Уменьшились объемы инвестирования в мясной, мукомольной, крупяной, рыбной промышленности, микробиологической отрасли. В качестве основных причин низкой инвестиционной активности в этих отраслях можно назвать: низкие темы роста потребительского спроса, значительное ухудшение состояния производственного потенциала в условиях глубокого инвестиционного спада, ориентированность на импортные поставки ресурсов, постепенное исчерпание девальвационного эффекта и соответствующее ухудшение конкурентоспособности производимой продукции.
Высокие темпы прироста инвестиций демонстрирует инфраструктурный комплекс (транспорт и связь), где наиболее динамично инвестирующими секторами являются железнодорожный, магистральный трубопроводный и морской транспорт, дорожное хозяйство. Устойчивый инвестиционный рост наблюдается в сфере жилищного строительства.
Постдевальвационное экономическое развитие и импортозамещение
Активизация инвестиционной деятельности была во многом связана с так называемым девальвационным эффектом. Резкое снижение курса рубля обусловило повышение конкурентных параметров отечественного производства и замену импортной продукции национальными товарами (импортозамещение).
В условиях оживления внутреннего спроса многие производства отечественной обрабатывающей промышленности получили возможность увеличить не только выпуск продукции, но и объемы инвестиций в основной капитал. К отраслям, существенно повысившим объемы инвестирования в основной капитал в 1999—2000 гг., в частности можно отнести ряд секторов машиностроительного комплекса, деревообрабатывающую и целлюлозно-бумажную промышленность (табл. 4.9).
Таблица 4.9. Динамика инвестиций в обрабатывающей промышленности (темпы изменения к соответствующему периоду прошлого года), %, по крупным и средним предприятиям

Рост объемов подрядных работ в строительстве привел также к стимулированию спроса на связанные с этим сектором виды продукции в отраслях машиностроения, промышленности строительных материалов. Следует отметить, что рассмотренные тенденции обусловили существенные сдвиги в отраслевой структуре инвестиций.
Предпосылки инвестиционного подъема и проблемы их реализации
В 1999-2000 гг. после длительного и глубокого спада в российской экономике сложились предпосылки экономического и инвестиционного подъема. Основные макроэкономические индикаторы развития российской экономики существенно улучшились (табл. 4.6).
Оживление в инвестиционной сфере наметилось уже с конца 1998 г. Начиная с 1999 г. темпы роста инвестиций в основной капитал стали существенно превышать темпы роста ВВП. В 1999 г. рост инвестиций в основной капитал составил 4,5%, в то время как ВВП увеличился на 3,2%. В 2000 г. опережение приобрело еще более ярко выраженный характер, прирост темпов инвестиций в реальные активы, как это видно из данных таблицы 4.6, был весьма значителен.
Таблица 4.6. Темпы изменения макроэкономических индикаторов развития российской экономики в 1998-2000 гг., % к соответствующему периоду предыдущего года

В основе инвестиционного оживления лежала благоприятная макроэкономическая конъюнктура.
К факторам, определившим улучшение экономических
К факторам, определившим улучшение экономических условий в 1999—2000 гг., можно, в частности, отнести:
рост рентабельности российского экспорта за счет благоприятной конъюнктуры на мировых сырьевых рынках и снижения рублевых издержек;
получение ценовых преимуществ импортозамещающими отраслями отечественной экономики;
снижение инфляции и благоприятные изменения процентных ставок на кредитном рынке;
рост денежного предложения и некоторое вытеснение неденежных форм расчетов из хозяйственного оборота;
улучшение финансового состояния предприятий;
перелом негативной тенденции сокращения реальных доходов населения, рост совокупного спроса;
увеличение налоговых поступлений в бюджет.
Вместе с тем наметившиеся в экономике позитивные тенденции не приобрели устойчивого характера. Анализ данных за 2000 г. (см. табл. 4.6) показывает, что во второй половине 2000 г. появились признаки замедления экономической активности, что свидетельствует о том, что потенциал благоприятного воздействия посткризисных факторов близок к исчерпанию. В связи с этим следует подробнее рассмотреть основные предпосылки инвестиционного подъема и выявить условия их реализации.
Рост денежного предложения
Наметившаяся в 1999 г. тенденция увеличения спроса на деньги при дальнейшем снижении среднемесячных темпов инфляции в 2000 г. в условиях ускорения роста экономики усилилась. Продолжился процесс восстановления объема денежной массы в обращении после кризиса 1998 г.
Значительное улучшение конъюнктуры на мировых рынках сырьевых товаров, сохранение «ценовой» конкурентоспособности российских товаров, стимулируя развитие экспортно-ориентированных и импортозамещающих производств, обусловили значительный приток валютной выручки, расширение платежеспособного спроса на продукцию сопряженных производств и постепенное насыщение экономики платежными средствами. Только за первые семь месяцев 2000 г. объем денежных средств крупных и средних предприятий топливной, нефтедобывающей, нефтеперерабатывающей промышленности, электроэнергетики, черной металлургии, промышленности строительных материалов, микробиологической, лесной, деревообрабатывающей, целлюлозно-бумажной промышленности и связи увеличился на 40-85%.
За январь — сентябрь 2000 г. денежная масса (агрегат М 2) увеличилась на 44,8% в номинальном и на 23,4% в реальном выражении, составив на 1 октября 2000 г. 992,4 млрд руб. В структуре денежной массы произошли прогрессивные сдвиги, выразившиеся в опережающем росте доли банковских депозитов юридических и физических лиц по сравнению с динамикой наличных денег в обращении.
Увеличение денежного предложения содействовало положительной хозяйственной динамике, улучшению финансового положения предприятий, вытеснению неденежных форм расчетов, повышению реальных доходов населения.
Рост сбережений и накоплений
Благоприятная внешнеэкономическая конъюнктура, рост внутреннего спроса, увеличение денежного предложения создали предпосылки для улучшения финансового положения российских предприятий и активизации их инвестиционной деятельности. Доля убыточных предприятий и организаций снизилась с 41,3% в 1999 г. до 39,4% в 2000 г. от их общего числа. Рост прибыли предприятий явился основным источником увеличения сбережений и накоплений в экономике.
В 1999 г. произошел перелом негативной тенденции сокращения реальных доходов населения. Увеличение реальных денежных доходов населения, сокращение их доли, расходуемой на покупку иностранной валюты, создали благоприятные условия для роста организованных сбережений. В структуре расходов населения постепенно стала возрастать доля средств, используемых на увеличение вкладов в банках и покупку ценных бумаг.
Положительные тенденции в сфере сбережений и накоплений выразились в росте нормы валовых национальных сбережений и увеличении совокупного инвестиционного потенциала. Норма валовых национальных сбережений возросла в 1999 г. до 26% ВВП, а в 2000 г. до 32%. Ресурсы валовых национальных сбережений за 1999 г. и первое полугодие 2000 г. увеличились в 2,45 раза, валовое накопление основного капитала — в 1,16 раза (табл. 4.11).
Таким образом, анализ факторов, воздействующих на инвестиционную деятельность в российской экономике, свидетельствует о том, что к настоящему времени в инвестиционной сфере сформировались позитивные тенденции. На основе оценки ряда количественных параметров можно сделать вывод о переходе к поступательной стадии развития в рамках инвестиционного конъюнктурного цикла. По многим признакам (увеличение инвестиционного спроса и предложения при опережающем росте инвестиционного спроса, резкое возрастание объемов инвестирования, более высокие темпы роста инвестиций в основной капитал по сравнению с динамикой хозяйственного оживления) эта ступень соответствует стадии инвестиционного бума. Однако об инвестиционном буме говорить явно преждевременно, ситуация в инвестиционной сфере весьма противоречива;
Таблица 4.11. Динамика валовых сбережений и накоплений в российской экономике в 1992-2000 гг.

Снижение инфляции и благоприятные изменения процентных ставок на кредитном рынке
К факторам, способствующим активизации инвестирования, можно отнести снижение уровня инфляции и новые тенденции на рынке кредитного капитала. Согласно данным официальной статистики, инфляция снизилась с 84,4% в 1998 г. до 36,5% в 1999 г. В 2000 г. инфляция составила 20,2%. Поскольку высокая инфляция, как уже отмечалось, блокирует инвестиционную активность по целому ряду направлений, снижение уровня инфляции является важным условием инвестиционного подъема.
Кроме того, инфляционные процессы воздействуют на динамику инвестирования через формирование процентных ставок кредитного рынка. Известно, что при принятии инвестиционных решений следует учитывать не номинальную, а реальную ставку процента, скорректированную на фактор инфляции. С одной стороны, уровень реальной ставки процента определяет предпочтительность инвестиций в реальные активы по сравнению, например, с вложением средств в финансовые инструменты. С другой стороны, процентная ставка выступает как цена заемных средств для инвесторов; путем сопоставления реальной ставки процента с нормой прибыли инвестор выясняет возможности финансирования своей инвестиционной деятельности за счет банковского кредитования. В связи с этим сохранение низкого уровня инфляции, постдевальвационное насыщение рынков кредитными ресурсами, снижение реальных процентных ставок являются факторами, благоприятно воздействующими на динамику инвестиций.
Однако снижение ставки процента как фактор активизации инвестиций имеет свои объективные пределы. Так, смещение реальной процентной ставки в область отрицательных значений (индекс инфляции превышает уровень номинальной процентной ставки) сопряжено с ростом кредитных рисков, потерей направляемого в производство капитала. Поэтому важно определить оптимальный в данных условиях уровень процентной ставки.
Расчеты показывают, что верхняя граница допустимого коридора значений реальной процентной ставки не должна превышать 15% годовых. В предшествующие годы динамика процентной ставки не способствовала активизации инвестирования. Так, в 1997 г. реальная ставка процента составляла плюс 24%, в 1998 г. — минус 18%. В последнее время уровень реальной процентной ставки находится в рамках допустимых, не угнетающих инвестиции значений, — плюс 4% в 2000 г.
Структурные деформации денежной массы
Важным фактором, оказавшим дестимулирующее воздействие на инвестиционный процесс, выступила существенная деформация денежной массы: по формам денег и денежным агрегатам, функциональной структуре, отражающей соотношение средств в обращении и сбережении, размещению денежных средств в региональном разрезе.
Доля наличных денег, обслуживающих денежный оборот М 0, в совокупной денежной массе (100%) была недопустимо высокой, % к итогу:

В ситуации экономической нестабильности наличные деньги практически исключались из сбережений, а следовательно, уменьшали потенциальные ресурсы банковской системы, общий инвестиционный потенциал. При условиях, определяющих завышенную ценность наличных денег по сравнению с безналичными (возможность ухода от налогообложения, высокая ликвидность и скорость оборота относительно других форм активов, защита от непредсказуемых мер воздействия со стороны государства, банков и др.), снизилась привлекательность безналичных расчетов, что также вело к сокращению ресурсов банковской системы. К отрицательным последствиям можно отнести и уменьшение регулирующих возможностей ЦБ РФ, его способности осуществлять контроль за межрегиональной миграцией денежных средств, состоянием платежно-расчетной системы.
Ухудшение функциональной структуры денежной массы заключалось в сокращении объемов сбережений в национальной валюте, сдвиге в сторону краткосрочных средств. Депозитные рублевые компоненты, по своему функциональному назначению формирующие накопления, на практике вовлекались в текущий оборот и теряли потенциал инвестиционного ресурса. Углубление деформации денежной системы было связано с высоким уровнем использования иностранной валюты в качестве средства обращения, платежа и особенно накопления (табл. 4.3 и 4.4).
Наличная валюта
Таблица 4.3. Наличная валюта в России (1994—1998 гг.)

и вывоз наличной иностранной валюты,
Таблица 4.4. Ввоз и вывоз наличной иностранной валюты, млрд долл.

Наметилась устойчивая тенденция к росту объемов наличной иностранной валюты, аккумулированной у населения. Об этом свидетельствовала, в частности, динамика агрегированного показателя сальдо операций физических лиц с наличной иностранной валютой* (рис. 4.2).
Рассчитывается как разность между объемами
Рассчитывается как разность между объемами наличной валюты, проданной физическим лицам через обменные пункты и выданной им с их валютных счетов, и объемами наличной иностранной валюты, купленной у физических лиц в обменных пунктах и зачисленной на их валютные счета.

Склонность физических, а также юридических лиц к валютным сбережениям в целом оказывала негативное воздействие на инвестиционный процесс, так как валютные сбережения являлись на российском рынке специфическим альтернативным объектом инвестиций. В связи с этим трансформация рублевых доходов в наличную валюту уменьшала количество инвестиционных ресурсов, которые могли быть использованы реальным сектором для реструктуризации и налаживания производства, вела к сокращению возможностей инвестирования в другие активы, способствовала включению в текущий оборот дополнительной денежной массы, сокращению ресурсов долгосрочного характера.
1997 гг. при продолжающемся спаде
Замедление этого процесса в 1994- 1997 гг. при продолжающемся спаде инвестиций явилось свидетельством нарастания разрыва между величиной потенциальных и реальных инвестиционных ресурсов. В 1998 г. валовые сбережения существенно снизились, что ограничило воспроизводственные возможности российской экономики (рис. 4.1).

Для характеристики изменений величины реальных инвестиционных ресурсов, направленных в производство, использован показатель инвестиций в основной капитал как наиболее общий индикатор инвестиционной деятельности, отражаемый статистикой в рассматриваемом периоде.
Величина разрыва между валовыми сбережениями
Величина разрыва между валовыми сбережениями и инвестициями в основной капитал, характеризующая неиспользуемый инвестиционный потенциал, достигла почти 20% ВВП.
В общей структуре валовых сбережений достаточно высока доля сбережений домашних хозяйств, которая возросла к 1997 г. до 50% по сравнению с 14% в 1992 г. В 1998 г. прирост сбережений в секторе домашних хозяйств снизился, что явилось следствием потрясений на финансовых рынках, девальвации рубля, роста инфляции и значительного сокращения реальных доходов населения.
По данным Госкомстата России, в целом в 1998 г. реальные денежные доходы населения снизились по сравнению с 1997 г. на 16,3% (в 1997 г. они увеличились на 2,8%).
Падение реальных доходов отразилось и на структуре их использования, % к итогу:

Анализ структуры использования денежных доходов населения показывает, что наметившаяся тенденция возрастания доли прироста сбережений в денежных доходах в 1998 г. была прервана. В результате значительного роста доли расходов на потребление в 1998 г. наблюдался самый низкий показатель доли прироста сбережений с 1992 г.
Уменьшение валовых национальных сбережений как фактор инвестиционного спада
Снижение инвестиций обусловлено также тенденциями в структуре валового располагаемого дохода. Валовой национальный располагаемый доход представляет собой сумму доходов, которыми располагают все институциональные единицы экономики для конечного потребления и сбережения. Разница между валовым располагаемым доходом и расходами на конечное потребление составляет величину валовых сбережений.
Анализ тенденций в этой сфере в 1992—1998 гг. (табл. 4.2) показывает, что в структуре валового располагаемого дохода наблюдалось значительное сокращение доли сбережений при росте расходов на конечное потребление.
Таблица 4.2. Структура валового располагаемого дохода в 1992—1998 гг., %

Воздействие экономического спада на динамику инвестиций
Объем произведенного общественного продукта, как отмечалось, является важным макроэкономическим фактором, находящимся в прямой и обратной зависимости с фактором инвестиций. Рост произведенного продукта, зависящий от инвестиционной активности, в свою очередь, предопределяет реальные возможности страны в инвестировании на каждом конкретном этапе развития. Чем выше темпы прироста валового внутреннего продукта (ВВП), тем больше возможностей для расширенного воспроизводства инвестиционных ресурсов, и наоборот. В связи с этим глубокий и длительный экономический спад выступает важнейшим антиинвестиционным фактором.
Схематично воздействие экономического спада на динамику инвестиций в российской экономике можно представить следующим образом. Спад производства ведет к падению масштабов накопления, что в свою очередь обусловливает сокращение финансовой базы инвестиций и уменьшение их объема. Снижение объема инвестиций вызывает снижение капиталовооруженности, что при низком уровне эффективности использования инвестиций приводит к уменьшению объема произведенного продукта — порочный круг замыкается

где Q1, Q1, Q2 — объем произведенного продукта соответственно в предшествующем, данном и последующем периодах;
N0 и N1 — масштабы накопления соответственно в предшествующем и данном периодах;
Кв0 и Кв1 — уровень капиталовооруженности соответственно в предшествующем и данном периодах;
Э0 и Э1 — уровень эффективности использования инвестиций соответственно в предшествующем и данном периодах.
Далее следует новый виток описанной зависимости, процесс генерируется, образуя модель суженного воспроизводства. При этом падение объемов инвестиций и крайне низкая эффективность их использования затрудняют проведение структурной перестройки экономики, а следовательно, и выход из сложившегося порочного круга.
За период с 1990 по 1998 г. ВВП уменьшился практически наполовину. Спад во многих отраслях, прежде всего инвестиционной сферы, приблизился к предельному уровню их функционирования, дальнейшее снижение которого связано практически с полным прекращением производства отдельных видов продукции. В условиях резкого сокращения емкости внутреннего рынка значительно возросла роль внешнего рынка, усилилась зависимость национальной экономики от конъюнктуры на внешних рынках.
С 1995 г. при временном расширении объемов сбыта продукции экспортно-ориентированных отраслей (сырьевые, топливно-энергетические, металлургия в области производства легких, цветных и редких металлов) наметилась тенденция к замедлению темпов общеэкономического спада. В 1996 г. индекс ВВП по официальным данным составил 98% от уровня 1995 г., а в 1997 г. — 100,8% от уровня 1996 г. Однако глубинные причины экономического спада не были устранены.
Кризисные события августа — сентября 1998 г. привели к резкому ухудшению социально-экономической ситуации. Темпы экономического спада увеличились, ВВП за 1998 г. снизился на 4,6%. В российской экономике возникли новые серьезные проблемы, связанные с уменьшением возможностей для перехода к экономическому росту, необходимостью изыскания дополнительных средств для погашения возрастающих обязательств по внешним и внутренним долгам, оздоровления финансовых рынков и банковской системы.
в основной капитал. За январь
Усилилась тенденция снижения инвестиций в основной капитал. За январь — октябрь 1998 г. инвестиции в основной капитал сократились на 5,1% и составили 12,1% от ВВП (по сравнению с 38,7% в 1990 г.). С сентября 1998 г. наблюдалось ускорение спада инвестиционной деятельности, инициированное финансовым кризисом в стране; в итоге в целом за год инвестиции в основной капитал уменьшились на 7%. При этом доля инвестиций в основной капитал в ВВП уменьшилась с 0,39% в 1990 г. до 0,13% в 1998 г.
Кризис инвестиций явился отражением общего кризиса экономики, однако спад в инвестиционной сфере оказался глубже, чем падение валового внутреннего продукта, о чем свидетельствуют данные табл. 4.1.
Таблица 4.1. Динамика валового внутреннего продукта и инвестиций в 1991-1998 гг., % к 1990 г. в сопоставимых ценах

В условиях опережающих темпов падения
В условиях опережающих темпов падения инвестиций по сравнению с темпами спада ВВП произошло уменьшение нормы накопления с 39% в 1991 г. до примерно 17% в 1998 г. Данные табл. 4.1 показывают, что при общем снижении объемов инвестиций имело место изменение их структуры, выражающееся в уменьшении доли производственных вложений.
Тенденция роста доли вложений в непроизводственную сферу по внешним признакам совпадает с одной из закономерностей инвестиционного процесса в экономически развитых странах. Однако в российской экономике она не может расцениваться как прогрессивное явление, поскольку, во-первых, сопряжена с сокращением реальных объемов инвестирования в непроизводственную сферу, а во-вторых, вызвана не повышением эффективности использования производственных вложений, а оттоком ресурсов из сферы производства в условиях инфляции, более низкой по сравнению с другими секторами экономики доходностью производственного сектора. Это ведет к утрате технологического потенциала, имеющего важное значение для дальнейшего функционирования экономики, возрастающему старению основного капитала, потере восприимчивости к инновациям.
Отраслевая структура инвестиций во многом способствовала стабильности национальной структуры экономики, характеризующейся преобладанием добывающих отраслей. Сырьевые и топливно-энергетические отрасли, располагающие примерно 1/5 производственных мощностей и 1/10 рабочей силы, концентрировали свыше 40% инвестиций в основной капитал, в то время как на обрабатывающие отрасли промышленности приходилось лишь около 20% их совокупного объема. Как следствие, происходило углубление структурных деформаций в промышленности: доля сырьевого и топливно-энергетического комплекса в 1998 г. достигла более половины от общего объема товарооборота, а доля обрабатывающей промышленности уменьшилась до уровня, характерного для слаборазвитых стран.
Негативные сдвиги имели место и в функциональной структуре инвестиций. Сокращение доли чистых инвестиций в накоплении привело к тому, что их доля в ВВП составила менее 1,2%, тогда как в странах с развитой экономикой 8-10%. При сохранении этой тенденции возникает проблема обеспечения ресурсов для простого воспроизводства.
в период перехода российской экономики
1. Специфика инвестиционного процесса в период перехода российской экономики к рыночным отношениям объективно предопределена влиянием факторов, существенно модифицирующих реализацию общих закономерностей инвестиционного процесса. Глубокий экономический кризис, охвативший в условиях переходного периода все сферы хозяйства, включая инвестиционную, активизировал факторы, блокирующие инвестиции. Существенную роль в развертывании инвестиционного кризиса 90-х годов сыграла политика экономического реформирования, в основу которой была положена упрощенно истолкованная монетаристская концепция без учета конкретных условий российской экономики.
2. Основные проявления инвестиционного кризиса: глубокий спад объемов инвестиций, сокращение совокупного инвестиционного потенциала, негативные сдвиги в функциональной, отраслевой и региональной структуре инвестиций, снижение эффективности использования инвестиций, спекулятивный характер формирующихся финансовых рынков.
3. После длительной и глубокой рецессии в 1999—2000 гг. в российской экономике под воздействием ряда благоприятных макроэкономических факторов сложились предпосылки экономического и инвестиционного подъема. К основным посткризисным факторам, определившим улучшение экономических условий, можно отнести: благоприятную ценовую конъюнктуру на мировых рынках энергоносителей, получение ценовых преимуществ импортозамещающими отраслями отечественной экономики, снижение инфляции и процентных ставок кредитного рынка, рост денежного предложения, валовых национальных сбережений.
4. Инвестиционное оживление характеризуется нестабильным характером, поскольку потенциал благоприятного воздействия посткризисных факторов в значительной степени исчерпан. Во второй половине 2000 г. активность в инвестиционной сфере начала замедляться.
5. Неустойчивость наметившихся позитивных сдвигов в инвестиционной сфере связана с тем, что фундаментальные причины экономической нестабильности не устранены. В числе этих причин: структурные перекосы в экономике, низкая конкурентоспособность отечественных товаров, высокая степень износа активной части основных фондов, нестабильное финансовое состояние предприятий, низкий уровень платежеспособного инвестиционного спроса, неэффективность механизма капитализации сбережений,
Динамика иностранных инвестиций
До кризисных событий августа 1998 г. объем иностранных инвестиций в российской экономике (в отличие от внутренних) в целом устойчиво рос, однако увеличение происходило в основном за счет так называемых прочих инвестиций (табл. 5.5). Доля прочих инвестиций в общем объеме иностранных инвестиций выросла с 31,8% в 1995 г. до 59,6% в 1997 г. Доля прямых инвестиций за этот период сократилась с 67,1 до 37,1 %. Под воздействием мирового финансового кризиса и ухудшения ситуации на российских финансовых рынках с ноября 1997 г. по март 1998 г. из России было выведено свыше двух третей иностранных инвестиций. Только в I квартале 1998 г. прямые инвестиции уменьшились на 14,9%, а портфельные на 90% по сравнению с тем же периодом 1997 г. В 1998 г. прямые зарубежные инвестиции в Россию составили 3,4 млрд долл., что в 1,6 раза ниже уровня 1997 г.
Следует отметить, что хотя в результате кризисных событий произошел массовый отток иностранных инвестиций, в большей степени это коснулось спекулятивных капиталов, оседавших ранее на финансовом рынке. В то же время иностранные инвесторы, рассматривающие российский рынок как емкий, перспективный, но достаточно рискованный, занимают осторожную позицию и в отношении прямых инвестиций.
Таблица 5.5. Иностранные инвестиции в экономику России в 1991—1999 гг.

Объем продукции, производимой на предприятиях
Объем продукции, производимой на предприятиях с иностранными инвестициями, в 1999 г. составлял около 4,9% ВВП (рис. 5.3).

В первом полугодии 2000 г. структура иностранных инвестиций ухудшилась. По сравнению с первым полугодием 1999 г. доля прямых иностранных инвестиций сократилась с 56,9 до 37,4%, доля портфельных инвестиций увеличилась с 0,2 до 1,1%, доля прочих инвестиций возросла с 42,9 до 61,5%. В целом динамика инвестиций в девяностые годы характеризовалась быстрым ростом прочих инвестиций и более низкими темпами роста прямых инвестиций, что привело к повышению доли прочих иностранных инвестиций и сокращению прямых инвестиций, и тем самым к ухудшению общей структуры иностранных инвестиций.
и региональная структура иностранных инвестиций
Отраслевая и региональная структура иностранных инвестиций также неблагоприятна. Анализ отраслевой структуры иностранных инвестиций показывает, что их приток осуществляется преимущественно в отрасли и секторы экономики с наиболее быстрым оборотом капитала, а также в топливно-энергетические и сырьевые отрасли, что означает закрепление неэффективной структуры российской экономики.
Об этом свидетельствуют приведенные ниже данные, % от годового объема иностранных инвестиций:

Изменение отраслевой структуры инвестиций характеризуется ростом доли промышленности, в том числе топливной и пищевой, уменьшением доли машиностроения и металлообработки, химической и нефтехимической промышленности, лесной, деревообрабатывающей, целлюлозно-бумажной промышленности. Растет доля торговли и общественного питания. Уменьшается доля финансовой, банковской, страховой деятельности, общей коммерческой деятельности по обеспечению рынка и строительства.
В результате снижения инвестиционного рейтинга страны, развития процессов импортозамещения изменилась отраслевая структуpa прямых иностранных инвестиций. В общем объеме прямых инвестиций увеличилась доля инвестиций в топливную промышленность, транспорт и снизилась доля инвестиций в машиностроение и металлообработку, а также пищевую промышленность.
Анализ региональной структуры иностранных инвестиций свидетельствует о неравномерном распределении средств: предпочтения иностранных инвесторов связаны с вложениями ресурсов в крупные центры с развитой инфраструктурой рынка и сравнительно высокой платежеспособностью населения, а также в сырьевые регионы (табл. 5.6).
Наиболее привлекательными для иностранных инвесторов
Таблица 5.6. Региональная структура иностранных инвестиций

Наиболее привлекательными для иностранных инвесторов являются такие регионы, как: Москва, Сахалинская область, Тюменская область, Республика Татарстан, Московская область, Санкт-Петербург, Краснодарский край, Республика Коми, Нижегородская и Иркутская области.
Накопленные иностранные инвестиции в российскую экономику по состоянию на конец 1999 г. оцениваются всего в 29,2 млрд долл., в том числе прямые инвестиции — 12,8, портфельные 309, прочие инвестиции 16,2 млрд долл.
Сегодня объемы иностранных инвестиций в России достигают лишь около 1% от общемировых, а прямых инвестиций — менее 0,5%. Средний размер всех иностранных инвестиций на душу населения за последние пять лет составил около 60 долл., прямых инвестиций 20 долл. (для сравнения: в Венгрии последний показатель равен 200 долл.). Доля прямых инвестиций в ВВП составляет всего 1%, в то время как в большинстве стран Восточной Европы 4—6%. Это значительно меньше действительных потребностей страны в зарубежных инвестициях. Экономический потенциал России, по экспертным оценкам, позволяет аккумулировать ежегодно около 30 млрд долл. иностранных инвестиций, в том числе 10 млрд долл. прямых зарубежных инвестиций.
в основной капитал по источникам
Таблица 5.2. Структура инвестиций в основной капитал по источникам финансирования, % к итогу

Факторы изменения структуры источников финансирования инвестиций с развитием рыночных отношений
Ведущим направлением изменения структуры источников финансирования инвестиций при переходе к рынку является снижение доли бюджетных ассигнований и увеличение доли собственных средств предприятий, частных инвестиций и заемных средств.
Объективные сдвиги в структуре источников инвестиционных вложений при переходе к рыночной модели инвестирования связаны с разделением функций государства и предприятия в инвестиционном процессе, развитием инвестиционного рынка и институциональных структур, функциональным назначением которых является аккумуляция инвестиционных ресурсов с последующим их вложением в предпринимательскую деятельность.
С развитием рыночных отношений источники финансирования инвестиций становятся все более многообразными. В условиях децентрализации инвестиционной деятельности модифицируются внутренние (собственные) источники инвестиций: помимо традиционных источников используются личные накопления собственников, средства иностранных совладельцев (для совместных предприятий). В качестве внешних (привлеченных и заемных) источников выступают кредиты банков и других финансовых институтов, эмиссия и размещение акций, облигаций, других ценных бумаг, средства бюджетов различного уровня и др.
Современное состояние инвестиционной деятельности в российской экономике характеризуется уменьшением роли государства как непосредственного инвестора и развитием частных инвесторов, появлением новых институциональных структур, формированием инвестиционной инфраструктуры: коммерческих банков, специализированных кредитно-финансовых инвестиционных институтов. Эти процессы постепенно модифицируют структуру инвестиционного капитала по формам собственности и источникам- финансирования (табл. 5.1 и 5.2).
Таблица 5.1. Структура инвестиций в основной капитал по формам собственности, % к итогу


Государственные инвестиции
Активизация государственного участия в инвестиционной деятельности является важнейшим фактором преодоления инвестиционного спада. Усиление вмешательства государства в развитие экономики в условиях кризиса характерно и для стран со сформировавшимся рыночным механизмом. В России, где рыночная инфраструктура еще не может работать по законам саморегуляции, необходимость вмешательства государства в инвестиционный процесс является еще более актуальной. Однако способы участия государства в инвестиционной деятельности могут быть различными.
В рыночной экономике роль государства как непосредственного инвестора сохраняется для базовых жизнеобеспечивающих производств и социальной сферы, непривлекательных для частного капитала, а также отраслей, имеющих важное государственное значение. Так, в настоящее время особой поддержкой государства пользуются отрасли нематериального производства, способствующие повышению наукоемкости и конкурентоспособности товаров. В ряде западных стран через бюджет перераспределяется от 30 до 50% ВВП. Вместе с тем значение государственного инвестирования возрастает не столько с точки зрения объема централизованных источников, сколько с позиций государственных гарантий, страхования и ориентира для частных инвесторов.
В российской экономике необходимость активизации инвестиционной роли государства усиливается в связи с тем, что частный капитал вследствие объективных экономических обстоятельств не направляется в производственную сферу (за исключением ряда отраслей) и ее инвестирование осуществляется почти целиком за счет собственных источников.
При этом масштабы перераспределения средств через федеральный бюджет постоянно уменьшаются: в 1996 г. через федеральный бюджет перераспределялось 14,88% ВВП, в 1997 г. 14,51, в 1998 г. 12,97. Снижается доля бюджетных инвестиций в структуре инвестиций в основной капитал по источникам финансирования: в 1997 г. она составляла 20,7, в 1998 г. 19,2, в 1999 г. 17,4%.
Анализ возможностей использования централизованных инвестиций как фактора экономического роста показывает, что фактически их роль в экономическом подъеме была крайне незначительной. Так, в 1999 г. основная часть инвестиций из федерального бюджета была направлена на строительство объектов управления, в том числе государственного управления (43% всех инвестиций федерального бюджета и 64% всех инвестиций региональных бюджетов).
В сложившейся экономической ситуации, характеризующейся крайней ограниченностью бюджетных средств и неэффективностью их использования, наращивание централизованных инвестиций может и не привести к положительным результатам. Необходимым условием повышения действенности этого источника является реорганизация существующей финансовой системы. Нельзя не учитывать того, что увеличение масштабов централизованных инвестиций может не решить проблему роста эффективности инвестирования.
По опыту функционирования административно-командной экономики известно, что в условиях чрезмерной централизации инвестиционных ресурсов инвестирование осуществляется не на основе экономического критерия доходности вложенных средств, а посредством административно-распределительных рычагов, что приводит к распылению государственных средств, использованию их не по назначению, росту незавершенного строительства, деформациям в воспроизводственной структуре экономики. В связи с этим использование такого источника, как централизованные инвестиции, должно сопровождаться перестройкой бюджетной системы на основе разделения инвестиционных и текущих расходов, усилением контроля за целевым использованием бюджетных средств, в частности через казначейскую систему, разработкой новых механизмов, позволяющих повысить эффективность централизованных инвестиций.
Проведение активной государственной политики предполагает ее направленность на оживление инвестиционных механизмов деятельности предприятий, поддержку конкурентоспособных отечественных производств, в первую очередь высокотехнологичных, способных сформировать конкурентные преимущества на мировом рынке на основе системы государственных заказов, гарантий и программ, формирование рынка эффективных инновационных и инвестиционных проектов, их совместное финансирование.
Вместе с тем в основе активизации участия государства в инвестиционном процессе при формировании рыночной модели инвестирования лежит усиление экономического регулирования инвестиционной деятельности, содействие развитию инвестиционной инфраструктуры, создание институционально-правовой и экономической среды, стимулирующей рост частных инвестиций. Привлечение средств частных инвесторов как инвестиционного источника является на современном этапе экономического развития важнейшей задачей. Анализ показывает наличие достаточно больших объемов ресурсов, не используемых для инвестирования производственной сферы.
Изменение структуры источников финансирования инвестиций при переходе к рынку
Из анализа закономерностей инвестиционного процесса в рыночной экономике (I раздел) следует, что основными условиями осуществления инвестиционной деятельности при переходе к ее рыночной модели являются:
наращивание инвестиционного капитала, диверсифицированного по формам и видам источников, с преобладанием частного инвестиционного капитала над государственным;
рост многообразия субъектов и объектов инвестирования;
развитие инвестиционного рынка и его институтов, обеспечивающих реализацию инвестиционного спроса и предложения, мобилизацию свободных денежных средств и их последующее инвестирование.
Контрольные вопросы и задания
Чем обусловлено изменение структуры источников финансирования инвестиций при переходе к рынку?
Пользуясь данными табл. 5.1 и 5.2, покажите, как изменилась структура инвестиционного капитала по формам собственности и источникам финансирования в российской экономике с развитием рыночных отношений.
Назовите меры амортизационной политики, направленные на стимулирование частных инвестиций.
Какие факторы способствовали повышению роли прибыли как источника финансирования инвестиций в 1999—2000 гг.?
Как изменяется роль государственного инвестирования с развитием рыночных отношений?
Какова роль сбережений населения в инвестиционном процессе?
Дайте характеристику основных способов привлечения иностранных инвестиций.
Каковы особенности использования концессионной системы на основе соглашений о разделе продукции?
Какие факторы влияют на состояние инвестиционного климата в России?
Охарактеризуйте комплекс мер, направленных на привлечение иностранных инвестиций в реальный сектор российской экономики.
Определение иностранных инвестиций в российском законодательстве
Иностранные инвестиции в российском законодательстве определяются как вложения иностранного капитала в объект предпринимательской деятельности на территории Российской Федерации в виде объектов гражданских прав, принадлежащих иностранному инвестору, если такие объекты гражданских прав не изъяты из оборота или не ограничены в обороте в Российской Федерации в соответствии с федеральными законами, в том числе денег, ценных бумаг (в иностранной валюте и валюте Российской Федерации), иного имущества, имущественных прав, имеющих денежную оценку, исключительных прав на результаты интеллектуальной деятельности (интеллектуальную собственность), а также услуг и информации.
К прямым инвестициям относят вложения в приобретение не менее 10% доли, долей (вклада) в уставном (складочном) капитале коммерческой организации, созданной или вновь создаваемой на территории Российской Федерации в форме хозяйственного товарищества или общества в соответствии с гражданским законодательством РФ; вложение капитала в основные фонды филиала иностранного юридического лица, создаваемого на территории Российской Федерации; осуществление на территории РФ иностранным инвестором как арендодателем финансовой аренды (лизинга) таможенной стоимостью не менее 1 млн руб.
Особенности изменения структуры инвестиционного капитала в российской экономике
Изменение структуры инвестиционного капитала и статуса субъектов инвестирования, соответствующее по внешним признакам условиям рыночной экономики, не привело к ожидаемым результатам — масштабной активизации их инвестиционной деятельности. Свертывание участия государства в реализации инвестиций явилось следствием не только смены инвестиционных режимов, связанной с переходом к рынку, но и резким сокращением государственных доходов в условиях экономического спада.
Масштабы и темпы сокращения инвестиций за счет федерального и региональных бюджетов, фонда государственной поддержки приоритетных отраслей обусловили перенос центра тяжести в государственной инвестиционной политике на частные структуры: предприятия, банки, население. Однако, несмотря на количественный рост и диверсификацию субъектов инвестиционной деятельности в частном секторе, их роль в инвестиционном процессе оказалась недостаточной для того, чтобы заполнить вакуум, образовавшийся вследствие ухода государства из экономики в инвестиционной сфере.
По мере изменения структуры собственности государственные источники инвестиционных ресурсов должны были замещаться все более многообразными частными источниками, что должно было привести к развертыванию масштабной децентрализации инвестиционной деятельности, росту масштабов и эффективности инвестирования.
В действительности децентрализация инвестиционной деятельности, выразившаяся в увеличении доли негосударственных источников инвестирования (в основном вследствие сокращения числа государственных предприятий в результате их приватизации) и существенном сжатии централизованных инвестиционных ресурсов, сопровождалась резким свертыванием инвестиционной деятельности, снижением совокупного инвестиционного потенциала при оттоке капитала из материального производства в сферу торговых и финансовых услуг.
В ходе экономического реформирования наиболее сложными оказались вопросы создания институтов стратегических инвесторов, реальных квалифицированных частных собственников, способных обеспечить мобилизацию инвестиционных ресурсов и действенного механизма перераспределения сбережений частных инвесторов, обеспечения условий для мобилизации свободных денежных средств и их последующего инвестирования.
Структура источников финансирования инвестиций в российской экономике отличается существенными особенностями. Это обусловлено тем, что переход к рыночной модели инвестирования с характерным для нее изменением соотношения между внутренними и внешними источниками финансирования инвестиций осуществляется в условиях системного экономического кризиса, когда значительная часть предприятий, с одной стороны, не может использовать ресурсы рынка ссудных капиталов и фондового рынка, с другой стороны, не обладает собственными источниками для финансирования инвестиционной деятельности.
Модифицирована и зависимость структуры источников финансирования инвестиций от фазы делового цикла. Если в рыночной экономике в соответствии с объективными закономерностями доля внутренних источников снижается в периоды оживления и подъема, когда повышается инвестиционная активность, и растет в периоды экономического спада в условиях сокращения масштабов инвестирования и уменьшения предложения денег, в российских условиях, где основным источником инвестиционного оживления являются внутренние источники предприятий, хозяйственное оживление сопровождалось увеличением доли собственных средств в общем объеме источников финансирования инвестиций. Так, в 1999 г. в целом по промышленности за счет собственных ресурсов предприятия профинансировали 72% всех инвестиций в основной капитал, за счет бюджетных средств 4,7% и 23,3% за счет прочих источников.
Прочие ресурсы
Средства предприятий и организаций. При неразвитости института финансового посредничества российские предприятия обращаются к таким формам инвестиционного финансирования, как взаимное кредитование и займы у других предприятий и организаций. С улучшением финансового состояния предприятий роль этого источника финансирования инвестиций увеличилась, достигнув в 2000 г. 10% от общей суммы инвестиционных расходов в экономике.
Иностранные инвестиции. Иностранные инвестиции в российскую экономику пока не играют существенной роли в финансировании реального сектора экономики. В 1999 г. они составляли менее 5% от общего объема инвестиций за счет всех источников финансирования производственной сферы.
В сложившейся ситуации целесообразно делать упор на создание необходимых условий и разработки системы действенных мер для активизации внутренних инвестиций, не отказываясь от использования эффективных механизмов мобилизации иностранных инвестиций. Более подробно проблемы привлечения иностранных инвестиций в российскую экономику изложены ниже.
Ресурсы кредитной системы
В период рыночных реформ различные финансово-кредитные институты накопили значительный финансовый потенциал, доминирующая часть которого приходилась на долю коммерческих банков. На 1 августа 1998 г. собственные средства кредитных организаций (включая Сбербанк РФ и Внешэкономбанк) составляли 159,9 млрд руб., суммарные активы 760,5 млрд руб. Однако банки, ориентируясь в значительной степени на осуществление операций на финансовых рынках, прежде всего на рынке государственных ценных бумаг, не осуществляли эффективного перераспределения доступных им ресурсов.
Повышенная зависимость банков от ситуации на финансовых рынках и ограниченность сфер применения банковского капитала в реальном секторе экономики оказали в период кризиса разрушительное воздействие на финансовое состояние значительной части банков. Совокупный капитал банковской системы (без учета Сбербанка России) за период с августа 1998 г. по август 1999 г. сократился более чем наполовину, существенно уменьшились масштабы банковской деятельности. Вместе с тем кризисные события отчетливо показали опасность дистанцирования банков от производственной сферы и необходимость переориентации их инвестиционной политики в направлении поиска приемлемых с точки зрения прибыльности и риска сфер вложений капитала в реальный сектор.
Благоприятные макроэкономические условия 1999—2000 гг. способствовали восстановлению банковской системы, рекапитализации банков. Совокупный капитал банков, начавший расти с марта 1999 г., составил по состоянию на 1 октября 2000 г. 243,1 млрд руб., превысив в номинальном выражении предкризисный уровень. Вместе с тем результаты достигнутого укрепления банков нельзя переоценивать. Несмотря на отмеченный выше номинальный рост капитала банковской системы, в реальном выражении он пока не достиг уровня августа 1998 г. Ресурсы банковской системы по-прежнему не играют существенной роли в инвестировании производства. При наличии свободных остатков средств на счетах, составляющих 60-80 млрд руб., банки практически не предоставляют инвестиционных ресурсов реальному сектору. В 1999 г. доля банковских кредитов в общем объеме источников финансирования производственной сферы составляла 4,3%, а в 2000 г. 4,0%.
Активизация инвестиционной деятельности коммерческих банков и других финансовых посредников (пенсионных фондов, инвестиционных компаний и фондов, страховых обществ и других финансово-кредитных институтов, играющих важную роль в трансформации сбережений в инвестиции в рыночной экономике) предполагает разработку и реализацию комплексной системы мер по созданию благоприятных условий, льгот и гарантий.
Проблемы использования прибыли для инвестирования
Проблемы использования прибыли для инвестирования во многом были связаны с воздействием налоговой политики. Известно, что основным экономическим пороком сложившейся системы налогообложения явилось непомерное налоговое бремя для экономических субъектов. Начиная с 1994 г. на основании Указа Президента РФ от 23 декабря 1993 г. № 2270 региональные органы власти стали самостоятельно вводить огромное количество дополнительных налогов на остающуюся у предприятий после уплаты налога на прибыль ее часть. Если учесть, что реальная ставка налога на прибыль, исчисленная по международным стандартам, значительно выше официальной ставки (соответственно, 64 и 35% для предприятий), то в результате суммарное изъятие прибыли достигало 80% и выше от ее общей массы.
В структуре расходов средств предприятий устойчиво лидирующее положение стали занимать платежи в бюджет. Если в 1991 г. в структуре расходов предприятий наибольшую долю составляли затраты на развитие производства, то с 1996 г. — налоговые платежи. Высокое налоговое бремя не позволяло предприятиям рассматривать оставшуюся часть прибыли как основной источник инвестиций.
Трудности использования прибыли на нужды инвестирования заключались не только в недостаточности ее массы. Происходящее вследствие разрастания неплатежей и бартерных сделок резкое сокращение в выручке от продаж денежной составляющей прибыли практически исключало саму возможность ее использования для инвестирования.
Так, данные Межведомственной балансовой комиссии свидетельствовали о том, что в общей массе прибыли, полученной крупнейшими предприятиями страны, ее денежная часть составляла 27%, что делало невыполнимой задачей использование прибыли как источника инвестирования после уплаты налогов. Совокупные денежные обязательства реального сектора по выплате заработной платы и налогов составляли около 125% выручки, полученной в денежной форме, в том числе на обязательства по налоговым платежам приходилось 88%.
Ухудшение платежной дисциплины являлось для узкого круга предприятий (крупнейшие предприятия нефтегазовой, автомобильной и металлургической промышленности, имевшие основную задолженность по оплате труда и налоговым платежам в бюджет) средством решения проблем их развития и реорганизации, а для большинства предприятий — средством выживания.
В этих условиях доля предприятий, ведущих разработку и внедрение технологических инноваций в промышленности, составляла не более 5% от общего числа. Затраты на инновации не превышали 3% от общего объема инвестиций в объекты производственного назначения. Доля инновационно-активных предприятий колебалась в пределах 0,1-3,5% по отдельным отраслям.
Спад инвестиционной деятельности закономерно привел к ухудшению состояния производственного аппарата предприятий реального сектора экономики. Почти две трети производственного оборудования имели возраст более 15 лет, износ основных фондов превысил 50%, коэффициент обновления оборудования в промышленности снизился с 6% в 1990 г. до 0,7% в 1998 г.
Роль прибыли как источника финансирования инвестиций в условиях экономического спада
Спад производства, кризис неплатежей, рост издержек производства обусловили резкое снижение массы прибыли и масштабов ее использования для инвестирования. В 1992-1995 гг. увеличение прибыли в народном хозяйстве было обусловлено ростом цен; в реальном выражении она существенно сократилась. По данным Центра экономической конъюнктуры, соотношение прибыли к ВВП составляло в 1992 г. 32%, а в 1996 г. 3,6%.
Доля прибыли, направляемая на инвестиции, также имела устойчивую тенденцию к снижению: в 1992 г. 9,3%, в 1996 г. 2,6%. С 1996 г. впервые с начала реформ стала сокращаться номинальная совокупная масса прибыли в основных отраслях материального производства. Это было обусловлено экономическим спадом, высокими спросовыми ограничениями, диспаритетом цен конечных и промежуточных продуктов, нарастанием неплатежей и другими факторами.
К началу 1998 г. по сравнению с 1992 г. выпуск продукции в машиностроении сократился на 60%; рынком были востребованы лишь 0,6% станков с ЧПУ, 6,6% тракторов, 3,7% зерноуборочных комбайнов; инфляционные доходы упали до 1—2% к добавленной стоимости по сравнению с 30-31% в 1992 г. Сжатие прибыли определялось и возрастанием издержек производства, в том числе затрат на заработную плату, отражающим снижение коэффициента использования производственных мощностей, неэффективное использование трудовых ресурсов. В течение 1998 г. финансовое положение предприятий существенно ухудшилось.
По итогам 1998 г. отрицательный финансовый результат деятельности российских предприятий составлял 34,6 млрд руб. Доля финансово благополучных предприятий составила всего 19% от их общего числа. Большая часть предприятий почти полностью утратила оборотные средства, свыше трети предприятий не осуществляло хозяйственную деятельность, росло число убыточных предприятий и организаций (рис. 5.1).

Сопоставление динамики прибыли и цен свидетельствовало о стремлении предприятий занизить отчетные показатели прибыли с целью уклонения от уплаты налогов и использования большей доли валового дохода на текущее потребление. Российские предприятия, чье хозяйственное поведение отличается от поведения обычных субъектов рыночной экономики, были заинтересованы не в максимизации прибыли, а в максимальном повышении цен и присвоении всех инфляционных доходов, получении высоких личных доходов, прежде всего руководства предприятий. Это привело к снижению мотивации к инвестированию, использованию прибыли и амортизации в значительной части не на инвестиции, а на текущее потребление.
Сбережения населения
Одним из важнейших ресурсов являются сбережения населения, которые участвуют в основном в формировании лишь потенциального, а не реального инвестиционного спроса вследствие действия таких факторов, как деформация структуры сбережений, предпочтения к сбережениям в форме иностранной валюты, недоверие к государству, кредитным и фондовым институтам.
В результате усиления дифференциации доходов возросла средняя норма сбережений денежных средств населения, так как соотношение между сбережениями и доходами в группах с высокими доходами в целом выше, чем с низкими и средними; при этом существенно деформировалась структура сбережений по социально-экономическим группам. Получатели низких доходов, составляющие около трети всего населения, имеют сбережения в размере 2,8% от их общей суммы, в то время как получатели высоких доходов, составляющие 5% населения, 77%.
Учет того, что основная масса сбережений концентрируется у получателей высоких доходов, имеет существенное значение для рассмотрения возможности перевода сбережений в реальные производственные инвестиции. Являясь главными субъектами сбережений, получатели высоких доходов направляют накопленные средства не в реальный сектор, характеризующийся возрастанием рисков кредитования, а в сферу обращения (посреднические, фондовые, валютные операции, внешнеторговые сделки и др.), на зарубежные банковские счета, покупку недвижимости за границей.
Анализ структуры сбережений по их формам в 1992-1998 гг. (табл. 5.4) показывает, что в этот период при сокращении доли организованных сбережений (во вкладах и ценных бумагах) значительно увеличилась доля вложений в наличную иностранную валюту, привлекательность которой с позиций объединенного критерия надежность - ликвидность являлась достаточно высокой.
После августа 1998 г. размеры организованных сбережений снизились более чем на 15 млрд руб., прирост сбережений стал отрицательным. На 1 сентября 1998 г. объем вкладов населения составлял 182,6 млрд руб., в том числе рублевых депозитов 136,5, депозитов в иностранной валюте 5,8 млрд долл. В сентябре объем вкладов в рублях снизился на 8,2%, в иностранной валюте — на 23,6%. Более чем трехкратная девальвация рубля привела к существенному обесценению сбережений. Валютная оценка всех вкладов на 1 октября 1998 г. составила 11,5 млрд долл. по сравнению с 31,2 млрд долл. на 1 августа 1998 г. По состоянию на начало 1999 г. потери вкладчиков коммерческих банков и владельцев ценных бумаг оценивались в 18-19 млрд долл.
Таблица 5.4. Структура прироста сбережений населения, % к итогу

несмотря на улучшение финансовых результатов
В 1999 г., несмотря на улучшение финансовых результатов функционирования экономики, не удалось остановить падение реальных доходов населения. Их уровень на протяжении 1999 г. оставался ниже показателей предыдущего года и в целом за год снизился на 16,3%. Это негативно сказалось на динамике прироста сбережений населения. В январе - сентябре 2000 г. реальные денежные доходы населения увеличились по сравнению с соответствующим периодом предыдущего года на 9%, в то же время они составили всего 87% от уровня января - сентября 1998 г.
Перелом негативной тенденции сокращения реальных доходов населения способствовал росту сбережений, в основном в рублевой форме. В структуре прироста сбережений постепенно возрастает доля средств, используемых на увеличение вкладов в банках и покупку ценных бумаг. За девять месяцев 2000 г. остатки вкладов физических лиц в банках увеличились на 31,7%, что дает основания говорить о наметившихся признаках восстановления доверия населения к банковской системе. Позитивной тенденцией является сокращение сальдо операций населения на рынке наличной иностранной валюты. Доля покупки валюты в структуре использования доходов населения составила 6,9%, что является самым низким значением этого показателя за период с 1992 г. Однако большей частью накопленные средства населения остаются вне инвестиционной сферы, хотя при создании определенных условий они могли бы составить весомый инвестиционный ресурс.
Собственные средства предприятий
Собственные ресурсы предприятий (прибыль и амортизационные отчисления) выступают в качестве основного источника финансирования инвестиций. Реализация их роли как источника инвестиционных ресурсов в течение периода экономического реформирования определялась воздействием ряда факторов.
В 1992-1998 гг. при неблагоприятных тенденциях, сложившихся в инвестиционной сфере, в условиях неблагоприятных внешних и внутренних спросовых ограничений и ухудшения финансового положения предприятий возможности изыскания ресурсов инвестирования на микроуровне были весьма ограниченны.
в финансировании инвестиций за счет
Доля прибыли в финансировании инвестиций за счет собственных средств предприятий в течение рассматриваемого периода увеличилась в 2,5 раза и достигла почти 50%.
Повышению роли прибыли как источника финансирования инвестиций способствовало введение Налогового кодекса РФ, направленного на создание новой налоговой системы. Предусмотренные в нем снижение ставок налога на прибыль, возможность получения инвестиционного налогового кредита оказали стимулирующее воздействие на инвестиционную активность.
В условиях некоторого улучшения финансового положения и платежного оборота предприятий возникли и другие новые тенденции финансирования инвестиций в основной капитал.
Если ранее предприятия компенсировали нехватку оборотных средств за счет инвестиционных ресурсов (амортизационных отчислений и прибыли), то в новой финансовой ситуации отмечается противоположное явление: предприятия используют для инвестирования часть оборотного капитала, пополняя его нехватку за счет привлечения краткосрочных банковских кредитов.
Увеличились возможности использования амортизационных отчислений как инвестиционного ресурса. Этому способствовали возрастание объемов амортизационных отчислений, уменьшение нецелевого использования амортизации в результате заметной нормализации платежного оборота (сокращение дебиторской задолженности, вытеснение неплатежей и бартера).
В целом анализ собственного финансового потенциала инвестирования реального сектора свидетельствует о том, что в постдевальвационный период произошел заметный рост инвестиционных ресурсов предприятий. Однако совокупный объем собственных источников финансирования инвестиций в производственной сфере является недостаточным для устойчивого инвестиционного развития. Так, даже с учетом положительных тенденций в сфере накопления масса прибыли в реальном выражении не достигла дореформенных значений, соотношение прибыли к ВВП составило в первом полугодии 2000 г. 16%, что в два раза ниже, чем в 1992 г. Значительная часть предприятий по-прежнему не имеет внутренних возможностей формирования финансового потенциала инвестиционного оживления. В связи с этим возникает необходимость выявления возможностей и условий привлечения внешних источников финансирования инвестиций.
Собственные средства предприятий как основной источник инвестиционного подъема 1999-2000 гг.
Экономическое оживление 1999—2000 гг., опиравшееся на благоприятную внешнеэкономическую конъюнктуру, рост внутреннего спроса, увеличение денежного предложения, обусловили формирование ряда предпосылок оздоровления финансового состояния российских предприятий. Начала снижаться доля убыточных предприятий и организаций в их общем числе (рис. 5.1).
Заметное улучшение финансового положения предприятий реального сектора привело к ослаблению процессов нехватки оборотного капитала, росту прибыли и увеличению масштабов ее использования для инвестирования.
По данным Госкомстата России, общий объем прибыли в экономике в 1999 г. вырос до 729,2 млрд руб. по сравнению с 239,7 в 1998 г., т.е. почти втрое. Одновременно снизилось давление убытков на финансовое состояние предприятий. За январь - август 2000 г. прибыль (за вычетом убытков), полученная крупными и средними предприятиями, составила в действующих ценах 673,6 млрд руб., что в два раза больше, чем в соответствующем периоде предыдущего года. Расчеты денежными средствами по отношению к объему оплаченной продукции составили в августе 2000 г. 69,8% против 46,6% в декабре 1999 г. при снижении доли расчетов векселями, взаимными зачетами, требованиями, бартером.
Улучшилась структура задолженности предприятий. На 1 сентября 1999 г. просроченная дебиторская задолженность составляла 40,5% от общего объема дебиторской задолженности, а на 1 сентября 1999 г. 47,0%. Вместе с тем задолженность по обязательствам, хотя и в меньшей степени, продолжала оставаться основным источником финансирования текущей хозяйственной деятельности. В январе — августе 2000 г. на долю кредиторской задолженности приходилось 75,7% всех источников формирования оборотных активов (в соответствующем периоде 1999 г. — 84,3%).
Несмотря на некоторое улучшение, финансовое положение предприятий продолжает оставаться сложным. Об этом свидетельствуют высокий уровень неплатежей, недостаточная обеспеченность предприятий собственными ресурсами, низкая платежеспособность предприятий. Тем не менее новое финансовое состояние предприятий позволило им несколько улучшить ситуацию не только с расчетами, но и переориентировать свои финансовые ресурсы на инвестиционные цели. За 1999-2000 гг. масштабы прибыли, направляемой на инвестирование, увеличились в 4,7 раза (табл. 5.3).
Таблица 5.3. Прибыль предприятий как источник финансирования инвестиций в основной капитал в 1999—2000 гг.

Важной составляющей этого комплекса мер
Важной составляющей этого комплекса мер является принятие в июле 1999 г. Федерального закона «Об иностранных инвестициях в Российской Федерации». Закон направлен на создание благоприятного инвестиционного климата для иностранных инвесторов, обеспечение стабильности условий их деятельности, соблюдение соответствия правового режима иностранных инвестиций нормам международного права и международной практике инвестиционного сотрудничества.
Закон устанавливает национальный режим для деятельности иностранных инвесторов, основные гарантии обеспечения прав инвесторов на инвестиции и получаемые от них доходы и прибыль, предусматривает полную и безусловную защиту прав и интересов деятельности иностранных инвесторов на территории Российской Федерации. В законе определены условия осуществления инвестиционной деятельности, в отношении которых может быть применен специальный законодательный режим. Они связаны с участием иностранных инвесторов в приоритетных инвестиционных проектах. Установлены гарантии от неблагоприятного изменения для иностранного инвестора законодательства Российской Федерации, которое распространяется на коммерческие организации с долей иностранных инвестиций в уставном капитале выше 25%.
Важную роль в расширении инвестиционного сотрудничества должно сыграть предоставление иностранным инвесторам правовых гарантий защиты их капиталовложений путем разработки и заключения межгосударственных соглашений о поощрении и взаимной защите капиталовложений. Данные соглашения предоставляют иностранным инвесторам режим наибольшего благоприятствования или национальный режим, гарантии инвестиционной деятельности, защиту прав и интересов, а также возмещение убытков.
Вступили в действие законы, регламентирующие соглашения о разделе продукции: Федеральный закон «О соглашениях о разделе продукции» от 30 декабря 1995 г., Федеральный закон «О внесении изменений и дополнений в Федеральный закон «О соглашениях о разделе продукции» от 7 января 1999 г. № 19-ФЗ и «О внесении в законодательные акты Российской Федерации изменений и дополнений, вытекающих из Федерального закона «О соглашениях о разделе продукции» от 10 февраля 1999 г. № 32-ФЗ. Принят ряд законов «Об участках недр, право пользования которыми может быть предоставлено на условиях раздела продукции». В настоящее время на их основе могут разрабатываться 25 месторождений и участков недр.
Однако, несмотря на ряд принятых мер, инвестиционный климат пока остается неблагоприятным, что определяет незначительность притока иностранных инвестиций в российскую экономику. В этих условиях становится актуальной необходимость наиболее полного использования внутреннего инвестиционного потенциала, создания эффективного механизма трансформации сбережений в инвестиции. Анализ данной проблемы предполагает изучение особенностей становления рыночных механизмов инвестирования в российской экономике.
Состояние инвестиционного климата и меры по его улучшению
Состояние инвестиционной сферы экономики страны свидетельствует о том, что инвестиционная деятельность сегодня является недостаточно привлекательной для потенциальных инвесторов.
В основе этого лежит ряд причин, ухудшающих инвестиционный климат в России, в том числе:
политическая нестабильность;
неотработанные, противоречивые и постоянно меняющиеся законодательная база и налоговая система;
высокий уровень инвестиционных и кредитных рисков;
отсутствие механизмов защиты инвестиций, раздела продукции;
несовершенная банковская система (недостаток на внутренних рынках денежных ресурсов, их краткосрочная структура, неотлаженность платежей и расчетов, отсутствие практического опыта и квалификации банковских работников для оценки и принятия инвестиционных и кредитных рисков и др.);
низкий уровень инфраструктуры (аудит, страхование, консалтинг, оценка, правовая поддержка, телекоммуникации, транспортный и гостиничный сервис, обеспечение личной безопасности);
несовершенство фондового рынка в отношении регистрации прав акционеров, депозитарного обслуживания, информационной прозрачности рынка, низкая ликвидность фондовых ценностей;
плохой менеджмент на предприятиях;
необязательность выполнения достигнутых договоренностей;
усложненность процедур согласования инвестиционных проектов;
несоответствие системы учета международной практике стандартов бухгалтерского и финансового учета и отчетности и др.
На состояние инвестиционного климата негативно влияют такие факторы, как наличие значительного внешнего и внутреннего долга, высокие инвестиционные риски, низкий кредитный рейтинг. Так, в соответствии с данными компании Morgan Stanley, разработавшей в 1999 г. индекс инвестиционной привлекательности по развивающимся рынкам, инвестиционная привлекательность России оценена в 3%, в то время как, например, аналогичный показатель по Бразилии составил 12%.
Недостаточная привлекательность инвестиций в российскую экономику обусловливает значительные масштабы оттока российского капитала за рубеж. По мнению западных экспертов, это отражает наличие в российской экономике определенного избытка собственного инвестиционного капитала, который при известных условиях может быть вложен в ее развитие, а также отсутствие механизма трансформации сбережений в инвестиции.
В сложившихся условиях привлечение иностранных инвестиций в реальный сектор российской экономики предполагает разработку комплекса мер, направленных на улучшение инвестиционного климата, стабилизацию правовой среды, обеспечение гарантий и страхования инвестиционной деятельности, совершенствование системы стимулирования и налоговых льгот с целью капитализации прибыли и реинвестирования доходов от иностранного капитала.
Способы мобилизации иностранных инвестиций
Привлечение иностранных инвестиций может осуществляться российскими предприятиями (предприятия, принимающие инвестиции, называют реципиентами) различными способами. Основными из них являются: кредиты иностранных банков, коммерческие кредиты под государственные гарантии, связанные кредиты (экспортное финансирование), эмиссия и размещение акций через программы АДР, использование концессионной системы.
Банковский кредит выступает в форме предоставления в долг денежной суммы (ссуды). При этом оговариваются срок возврата кредита, обязательность возврата и размер процентов по кредиту. Данный вид кредита доступен, как правило, особым категориям заемщиков. В частности, он может быть предоставлен банком, участвующим в финансовом обеспечении приоритетной международной инвестиционной программы.
Получение кредита от коммерческой структуры осуществляется обычно под предоставление правительственных гарантий. Правительство через аффилированные организации (министерства, специально созданные фонды) выступает гарантом предприятия и выплачивает сумму кредита коммерческой структуре в случае невозврата.
Экспортное финансирование (или связанные кредиты) используется предприятиями — инициаторами инвестиционных проектов с целью привлечения заинтересованных в экспорте своей продукции иностранных производителей соответствующего технологического оборудования. Такие инвестиционные проекты могут реализовываться в рамках межгосударственных кредитных линий (российско-французская, российско-германская «Гермес», российско-швейцарская и др.), которые позволяют преодолеть несоответствия между правовыми и экономическими нормами стран Запада и России.
По данной схеме российское предприятие подбирает поставщика требуемого технологического оборудования в стране, определенной в соответствии с требованиями кредитной линии, и подписывает с ним рамочное соглашение. Требования к российской стороне включают предоставление бизнес-плана, составленного в соответствии с международными стандартами, финансовой гарантии региональной администрации, письма Правительства РФ. В схеме участвуют также западный банк, финансирующий своего производителя технологического оборудования; уполномоченная страховая компания, страхующая кредит (для российско-германской кредитной линии — «Гермес»); российский уполномоченный банк, через который осуществляется рефинансирование проекта.
Сложности применения описанного метода финансирования связаны со сравнительно высокой процентной ставкой кредита, значительными издержками при страховании и обслуживании рефинансирования уполномоченным банком, в результате чего общая процентная ставка может составлять 25-30%. Кроме того, непростой задачей (в частности, для отдаленных от центра регионов) является получение письма Правительства РФ.
Эмиссия и размещение акций среди иностранных инвесторов предполагают, как правило, приобретение иностранным инвестором доли акционерного капитала предприятия. Продавая часть своих акций инвестору, предприятие тем самым продает ему часть своей собственности. При этом инвестор получает право участвовать в определении основных направлений деловой политики предприятия.
Одним из способов привлечения прямых зарубежных инвестиций для эффективно работающих российских предприятий является выпуск и размещение среди потенциальных стратегических инвесторов глобальных депозитарных расписок (GDR) и американских депозитарных расписок (ADR) на акции российского эмитента. Выпуск депозитарных расписок на эмиссию акций эмитента позволяет реальным зарубежным инвесторам получить контрольный пакет акций объекта инвестирования и одновременно минимизировать риски, связанные с обращением принадлежащих им ценных бумаг, которые будут регламентированы не только национальными, но и международными нормами права.
Перспективным механизмом привлечения иностранных инвестиций является использование концессионной системы в рамках развития компенсационных соглашений, договоров о разделе продукции, схем проектного финансирования и др. Эффективное применение концессионной системы, обеспечивающей оптимальное распределение доходов и рисков между участниками инвестирования (рис. 5.2), может существенно увеличить приток инвестиций в реальный сектор российской экономики.
в действие ряда федеральных законов,
Возможности развития концессионной системы в настоящее время связаны с введением в действие ряда федеральных законов, регулирующих соглашения о разделе продукции.

Внешние источники финансирования инвестиций
Недостаток инвестиционных ресурсов в российской экономике усугубляется недоиспользованием на цели инвестирования накопленного потенциала вследствие того, что механизм трансформации сбережений в инвестиции пока не сформирован. Отсутствие эффективных механизмов капитализации сбережений существенно уменьшает возможности инвестиционного роста.
При исследовании возможностей привлечения внешних ресурсов инвестирования применительно к условиям российской экономики в качестве приоритетных направлений могут быть рассмотрены:
мобилизация отечественных источников финансирования инвестиций:
— наращивание централизованных инвестиций;
— активизация частных инвесторов (населения, коммерческих банков, инвестиционных фондов и компаний и др.);
привлечение иностранных инвестиций.
Рассмотрим возможности мобилизации национальных источников финансирования инвестиционной деятельности.
Другим аспектом рассматриваемой проблемы явилось
Другим аспектом рассматриваемой проблемы явилось нецелевое использование амортизационных отчислений. Его причины связаны с ухудшением финансового положения предприятий, вследствие чего амортизационные отчисления в значительной части направлялись на текущие нужды (пополнение оборотных средств, выплату заработной платы, осуществление платежей), с уменьшением инвестиционной активности предприятий, нарастанием массы незагруженного основного капитала, требующего крупных затрат на текущее обслуживание, содержание на балансе, консервацию и замену устаревших фондов.
По оценкам лишь 20—30% амортизационных отчислений направлялись на инвестиционные цели, в то время как большая часть покрывала нехватку оборотных средств. В российском хозяйственном законодательстве практически отсутствовали нормы, регулирующие адресное использование амортизационных ресурсов. Постановление Правительства РФ № 1672 «О мерах по совершенствованию порядка и методов определения амортизационных отчислений» отменило налогообложение нецелевого использования ускоренной амортизации.
Следует отметить, что использование ускоренной амортизации в зарубежной практике является одним из важнейших составляющих механизма государственного стимулирования частных инвестиций. При сокращении полезных сроков использования амортизируемого капитала происходит завышение норм амортизации на его полное восстановление. Поскольку сумма дохода,' перечисляемая в амортизационный фонд, исключается из налогооблагаемой базы, рост амортизационных отчислений ведет к соответствующему снижению балансовой прибыли, служащей базой налогообложения, и росту прибыли, реально остающейся в распоряжении предприятия.
Однако механическое перенесение подхода, показавшего свою эффективность в странах со стабильной экономикой, на российскую почву не принесло ожидаемых результатов. Ориентация на завышение амортизационных отчислений при отсутствии запретов на ее нецелевое использование в условиях глубокого кризиса бюджетно-налоговой, платежной системы, разрушения финансов предприятий не обеспечила рост объемов инвестирования.
Рассмотренные проблемы свидетельствовали о том, что при разрушении финансовой системы предприятий возможности осуществления ими масштабных инвестиций за счет собственных средств были крайне незначительны.
Возрастание роли собственных ресурсов предприятий в финансировании инвестиций требовало формирования соответствующих предпосылок, основными из которых являются:
оздоровление денежного обращения;
существенное улучшение финансового состояния и финансовой дисциплины предприятий;
пополнение оборотных средств предприятий;
совершенствование налоговой политики, ее приоритетная ориентация на обеспечение стабильности и предсказуемости фискальных условий для деятельности экономических агентов, дифференциация принципов их налогообложения с целью стимулирования процесса сбережений и накоплений;
рационализация финансовых потоков и притока вложений капитала в реальный сектор;
создание условий, при которых предприятия будут функционировать как рыночные субъекты.
Возможности использования амортизационных отчислений как источника инвестирования
При дефиците собственных ресурсов предприятий, нехватке оборотных средств, кризисе неплатежей существенно снизились возможности использования амортизационных отчислений как источника инвестирования.
Обесценение амортизационных фондов предприятий, происшедшее в результате либерализации цен, последующий кризис сбыта товаров вызвали резкое падение доли амортизационных отчислений в структуре затрат на производство продукции. В целом по промышленности России доля амортизации в структуре затрат в 1993 г. составила 0,9% по сравнению с 12,2% в 1989 г.
На долю амортизационных отчислений приходилось 7% объема капитальных вложений (для сравнения: в промышленности США амортизационные отчисления составляют 60—70% от объема капитальных вложений и являются главным внутренним источником финансирования инвестиций). Последующие меры по переоценке основного капитала, индексации амортизации, введению новых норм амортизации с начала 1997 г. привели к возрастанию объемов амортизационных средств (до 15,2% ВВП в 1997 г.).
С принятием постановления Правительства РФ № 1672 «О мерах по совершенствованию порядка и методов определения амортизационных отчислений», введением в действие общей части Налогового кодекса РФ, где определяется порядок начисления амортизации для целей налогообложения, предприятия получили большие права в области использования различных методов начисления амортизации, что могло бы существенно увеличить объем внутренних источников финансирования инвестиций.
Вместе с тем изменение системы амортизации, предусмотренное этими нормативно-правовыми документами, имело и негативные последствия. Реализация новой амортизационной политики была сопряжена с возможностью роста финансовых диспропорций на микроэкономическом уровне и усиления нецелевого характера использования возросших амортизационных отчислений.
В результате многократных переоценок основного капитала стоимость последнего существенно увеличилась. При крайне низком техническом уровне основного капитала и снижении коэффициента загрузки производственных мощностей (в 1998 г. до 40-70% в различных отраслях реального сектора) основной капитал оказался переоцененным по отношению к создаваемой продукции.
Это привело к перекосам в структуре производственных затрат, занижению реальной прибыльности функционирующего производства, искажению действительных характеристик инвестиционной привлекательности предприятий, уменьшению доходов бюджета в результате соответствующего сокращения налога на прибыль и росту экономически необоснованной нагрузки на финансы предприятий в виде налога на имущественные активы, не используемые в хозяйственной деятельности.
Увеличение амортизационных отчислений обусловило повышение цен, особенно на продукцию монопольных производителей, и, следовательно, рост инфляции издержек, а при высоких спросовых ограничениях и усилении контроля за ценами предприятий монополистов — снижение прибыли.
к рыночной модели инвестирования связан
1. Переход к рыночной модели инвестирования связан с разделением функций государства и предприятия в инвестиционном процессе, диверсификацией инвестиционного капитала по формам и видам источников, с преобладанием частного инвестиционного капитала над государственным, ростом многообразия субъектов и объектов инвестирования, развитием инвестиционного рынка и институтов инвестиционной инфраструктуры. Эти процессы обусловливают сдвиги в структуре источников финансирования инвестиций в сторону снижения доли бюджетных ассигнований и увеличения доли собственных средств предприятий, частных инвестиций и заемных средств.
2. Особенности изменения структуры инвестиционного капитала в российской экономике обусловлены тем, что переход к рыночной модели инвестирования осуществлялся в условиях экономического кризиса. Сокращение доли бюджетных инвестиций явилось следствием не только смены инвестиционных режимов, но и резким сокращением государственных доходов в условиях экономического спада. Ухудшение финансового положения предприятий препятствовало осуществлению инвестиций как за счет собственных источников, так и посредством привлечения ресурсов финансового рынка. При росте количества и многообразия субъектов инвестиционной деятельности в частном секторе их место и роль в инвестиционном процессе оказались недостаточными, чтобы компенсировать уход государства из инвестиционной сферы и обеспечить масштабные инвестиции.
3. Основным источником финансирования инвестиций выступают собственные ресурсы предприятий (прибыль и амортизационные отчисления). В 1992—1998 гг. при неблагоприятных внешних и внутренних спросовых ограничениях и ухудшении финансового положения предприятий возможности финансирования инвестиций за счет собственных источников были весьма ограниченны. Использование прибыли на цели инвестирования осложнялось резким снижением ее массы и сокращением ее денежной составляющей вследствие разрастания неплатежей и бартерных сделок. При дефиците собственных ресурсов предприятий, нехватке оборотных средств амортизационные отчисления в значительной части направлялись не по целевому назначению, а на текущие нужды.
4. В условиях экономического оживления 1999—2000 гг. возник ряд предпосылок оздоровления финансового состояния российских предприятий. Это привело к ослаблению нехватки оборотного капитала, возрастанию объемов амортизационных отчислений, увеличению прибыли и масштабов ее использования для инвестирования. Собственные средства предприятий выступили основным источником инвестиционного подъема. Однако, несмотря на заметный рост инвестиционных ресурсов предприятий, их совокупный объем недостаточен для устойчивого инвестиционного развития.
5. В качестве внешних ресурсов инвестирования предприятий могут рассматриваться: национальные источники финансирования инвестиций (государственные инвестиции, инвестиции частных инвесторов) и иностранный капитал. Анализ возможностей их мобилизации свидетельствует о том, что в сложившейся в настоящее время ситуации целесообразно делать упор на создание необходимых условий и разработку системы действенных мер для активизации внутренних инвестиций, не отказываясь от использования эффективных механизмов мобилизации иностранных инвестиций.
6. К основным способам привлечения иностранных инвестиций российскими предприятиями относятся: кредиты иностранных банков, коммерческие кредиты под государственные гарантии, связанные кредиты (экспортное финансирование), эмиссия и размещение акций через программы АDR и GDR, использование концессионной системы.
7. Общий объем накопленных иностранных инвестиций в российской экономике значительно меньше действительных потребностей страны. Несмотря на принимаемые меры, инвестиционный климат остается пока неблагоприятным, что определяет незначительность притока иностранных инвестиций.
Характеристика третьего этапа развития
Основными признаками третьего этапа развития (с 1995 г. до финансового кризиса 1997—1998 гг.) явились: появление новых законодательных актов, определяющих сдвиги в развитии рыночных отношений и соответствующих новому периоду развития (Закон о банках и банковской деятельности, Закон о Банке России, Закон об акционерных обществах, Закон о рынке ценных бумаг, Гражданский кодекс Российской Федерации, Закон о простом и переводном векселе, Закон о защите прав инвесторов на рынке ценных бумаг, Закон о негосударственных пенсионных фондах и др.); создание единого регулирующего органа — Федеральной комиссии по рынку ценных бумаг, Национальной ассоциации участников фондового рынка, саморегулируемых организаций; развитие инфраструктуры фондового рынка; выход на мировые финансовые рынки (получение кредитного рейтинга агентств Moody's, Standard & Poor's, IBCA, публикация индекса IFC (Global Russia), размещение ценных бумаг на внешних рынках и др.); дальнейшее развитие кредитно-финансовых институтов, сопровождающееся рядом кризисных явлений и банкротств.
Данный этап характеризовался завершением в основном количественного роста банковской системы за счет: сокращения числа вновь возникающих банков и прекращения деятельности ряда финансово нестабильных банков при ужесточении критериев регулирования и лицензирования банковской деятельности, консолидации банковского капитала путем слияния банков; преобразования мелких банков в филиалы крупных; концентрации активов банковской системы в крупнейших банках; появления транснациональных банковских и финансово-промышленных образований.
Российские банки стали занимать более прочные позиции на отечественном рынке корпоративных ценных бумаг, вытесняя мелкие инвестиционные институты. Одним из существенных признаков рассматриваемого этапа явилась заметная активизация процесса выхода банков на мировой рынок синдицированных кредитов. Данный период характеризовался ускорением формирования системы институтов коллективного инвестирования: траст-фондов, пенсионных фондов, страховых компаний и т.д. Количество страховых компаний возросло к 1996 г. до трех тысяч. В качестве учредителей страховых компаний стали выступать не только финансовые институты, но и нефинансовые предприятия и ФПГ.
Начиная с 1996 г. количество зарегистрированных страховых компаний начало сокращаться. По данным Департамента страхового надзора Министерства финансов РФ, на начало 1998 г. в Государственном реестре было зарегистрировано 1920 страховых компаний.
Сокращение числа страховых компаний, увеличение случаев отзыва лицензий на право заниматься страховой деятельностью за серьезные нарушения в работе были связаны с процессом банкротств ряда страховых организаций, невыполнением обязательств перед клиентами, заключением договоров по страхованию финансовых рисков с потерпевшими крушение финансовыми пирамидами. Кризисные явления на рынке страховых услуг были обусловлены также утратой прежних позиций в экономике: спрос на страховые услуги в современной России снизился приблизительно в три раза по сравнению с аналогичным показателем до реформы.
Совокупные инвестиционные возможности страховых компаний, как свидетельствуют статистические данные, были крайне низкими. Так, сумма поступлений страховых взносов в 1996 г. (в действовавших ценах) составляла 27,4 трлн руб., величина страховых резервов по состоянию на начало 1997 г. 8-9 трлн руб., величина собственного капитала 2,5-3 трлн руб. В целом совокупный инвестиционный потенциал страховых организаций на начало 1997 г. оценивался в 11-12 трлн руб., что эквивалентно среднему капиталу одной американской компании.
Финансовые возможности и масштабы операций отечественных и западных страховых компаний существенно различались. Если в развитых странах доля страховых взносов в величине ВВП в 1997 г. составляла 8-12%, то в России — около 1%. Средний размер страховой премии на 1 человека в год в Японии был равен 4500 долл., в Швейцарии 3000, в США 2000, в то время как в нашей стране этот показатель составлял (по состоянию на 1 апреля 1997 г.) 40 долл.
На начало 1998 г. уставный
На начало 1998 г. уставный капитал в размере 1 млн деноминированных рублей имели около 27% от общего числа страховых компаний. По оценкам специалистов Центрального экономического агентства, от одной трети до половины страховых организаций не обладали средствами для наращивания собственного капитала.
В условиях низкой финансовой мощности отечественных страховщиков и отсутствия у них возможностей принимать на себя обязательства по крупным рискам значительные суммы страховых взносов направлялись в зарубежные страховые компании, формируя один из каналов оттока капитала с российского финансового рынка и инвестиционной сферы. Неразвитость добровольного страхования не позволила страховым компаниям привлечь средства, аккумулируемые у физических лиц, и стать ведущим институциональным инвестором.
В рассматриваемый период высокими темпами развивались негосударственные пенсионные фонды (НПФ). В соответствии с Указом Президента РФ от 16 сентября 1992 г. № 1077 «О негосударственных пенсионных фондах» НПФ могли учреждаться предприятиями, учреждениями, банками и другими организациями на правах юридических лиц. Деятельность НПФ, направленная на социальные цели, представляла собой исключительный вид деятельности, связанный с целевым сбором, учетом и аккумулированием пенсионных взносов, передачей активов управляющим компаниям, распределением полученного инвестиционного дохода и пенсионными выплатами участникам фонда. НПФ и их органы не имели права заниматься коммерческой деятельностью. Управление их активами осуществлялось специализированными компаниями. При отсутствии лицензирования количество НПФ к 1995 г. достигло полутора тысяч. Между тем к 1997 г. лишь 300 фондов получили лицензии инспекции НПФ при Министерстве труда и социального развития.
НПФ включали в себя две группы: открытые и корпоративные. Крупные корпоративные фонды, учрежденные ОНЭКСИМбанком, ЛУКойлом, Газпромом, банком «Менатеп», «Норильским никелем», стали играть заметную роль в инвестициях ФПГ. Однако в целом позиции НПФ на российском финансовом рынке были незначительны. В 1997 г. российские негосударственные пенсионные фонды аккумулировали, по различным оценкам, от 6,5 до 10 трлн неденоминированных рублей (для сравнения: активы банков на 1 января 1997 г. составляли 510 трлн руб.). Их роль в финансово-кредитной системе была несопоставима с той, которую играют негосударственные пенсионные фонды развитых стран, являющиеся крупнейшими инвесторами. Так, по данным Ситибанка, в структуре финансового рынка США негосударственные пенсионные фонды занимают 26%, в то время как на взаимные фонды, брокерские фирмы и банки приходится 16%.
Российские пенсионные фонды в основном не занимались производственными инвестициями, вкладывая свои средства в коммерческие банки или покупку государственных долговых обязательств. В соответствии с инвестиционными нормативами, установленными инспекцией Министерства труда и социального развития, половина средств фондов должна была направляться в государственные ценные бумаги, около трети — в муниципальные ценные бумаги, до 5% — в недвижимость.
Инвестиционные фонды в рассматриваемый период были представлены в России тремя типами: чековые инвестиционные фонды, созданные в период ваучерной приватизации, инвестиционные фонды, созданные в период послечековой приватизации в форме открытого акционерного общества (активами которых управляют управляющие компании), паевые инвестиционные фонды без образования юридического лица.
На 1 декабря 1996 г. из 600 фондов из реестра было исключено 140 фондов, 90 из них ликвидированы путем присоединения, 50 преобразовались в другие структуры. В конце 1997 г. действовало около 400 чековых и инвестиционных фондов, их совокупные активы составляли 1,5 млрд долл. Инвестиционные фонды стали играть заметную роль в структуре российского рынка ценных бумаг, опосредствуя около 30% его оборота.
Пути дальнейшего развития чековых инвестиционных фондов были определены Указом Президента РФ от 23 февраля 1998 г. № 143 «О дальнейшем развитии деятельности инвестиционных фондов», в соответствии с которым чековые инвестиционные фонды по своему выбору могли преобразоваться в открытые акционерные общества, акционерные инвестиционные фонды или паевые инвестиционные фонды. С июня 1998 г. начали действовать нормативные документы ФКЦБ, регламентирующие эти преобразования.
Данный этап характеризовался также появлением
Данный этап характеризовался также появлением новых форм институционального инвестирования, в частности таких перспективных инвестиционных институтов, как паевые инвестиционные фонды (ПИФы). Паевые инвестиционные фонды рассматриваются как одна из наиболее динамичных и эффективных форм привлечения сбережений населения.
По российскому законодательству, ПИФы — это имущественные комплексы без создания юридического лица. Управление ими передается инвесторами юридическому лицу — управляющей компании. При этом в соответствии с Гражданским кодексом РФ (ст. 209) право собственности на имущественный комплекс не переходит к доверительному управляющему, а остается за инвесторами — владельцами инвестиционных паев. Каждый инвестиционный пай предоставляет своему владельцу одинаковый объем прав. Являясь собственниками имущества, инвесторы несут риск потери, если стоимость инвестиционного пая уменьшается, или получают доход при ее возрастании. Образование паевого инвестиционного фонда осуществляется посредством приобретения инвесторами инвестиционных паев, выпущенных управляющей компанией ПИФа. В отличие от других ценных бумаг инвестиционный пай не имеет номинальной стоимости. После первичного размещения стоимость инвестиционного пая определяется в зависимости от размера капитала фонда.
В России создавались ПИФы двух видов — открытые и интервальные, различающиеся по степени ликвидности паев. Открытые фонды давали инвесторам право ежедневных сделок по купле и продаже, а интервальные — в установленные сроки, но не реже одного раза в год. Ограничения ликвидности в интервальных фондах компенсировались более широкими по сравнению с открытыми фондами инвестиционными возможностями. Так, активы открытого паевого фонда могли составлять денежные средства, в том числе на банковских счетах и во вкладах, ценные бумаги, имеющие признанную котировку (государственные и корпоративные), в то время как интервальные паевые фонды могли размещать свои средства не только в перечисленные выше активы, но и ценные бумаги, не имеющие признанной котировки, недвижимость и имущественные права на недвижимость.
В 1997 г. в России было зарегистрировано 18 паевых фондов, из них 16 являлись действующими. Совокупная стоимость активов всех российских ПИФов составляла 206,7 млрд неденоминированных рублей. Основная часть пайщиков (70%) была представлена не частными лицами, а институциональными инвесторами. С 1997 по 1998 г. количество паевых инвестиционных фондов увеличилось до 23, суммарная стоимость чистых активов возросла в восемь раз. Вместе с тем, несмотря на определенный прогресс, российские паевые инвестиционные фонды заметно уступали зарубежным по количеству предоставляемых услуг и доходности. Так, фонды США, характеризующиеся высоким уровнем специализации, предлагают своим клиентам до 10 тыс. продуктов и обеспечивают доходность в 2-3 раза большую, чем банковские депозиты.
Российские паевые фонды размещали свои ресурсы в основном в три актива: государственные ценные бумаги, корпоративные ценные бумаги и валюту. Уровень доходности, превышающий доходность по банковским депозитам, предлагали лишь фонды, специализирующиеся на акциях.
Новой формой институционального инвестирования явились Объединенные фонды банковского управления (ОФБУ), основы создания которых были заложены в июле 1997 г. инструкцией ЦБ РФ «О порядке осуществления операций доверительного управления и бухгалтерском учете этих операций кредитными организациями Российской федерации».
Благодаря использованию механизма доверительного управления, банковского опыта работы на финансовом рынке и формированию инвестиционного портфеля ОФБУ выступили серьезными конкурентами паевых инвестиционных фондов. Основными объектами их вложений явились государственные, муниципальные и корпоративные ценные бумаги, долговые обязательства российских и иностранных эмитентов.
Важнейшее отличие ОФБУ от паевых инвестиционных фондов заключалось в том, что если в качестве управляющего инвестициями в ПИФе выступала управляющая компания, то применительно к ОФБУ эту роль выполнял банк. Кредитная организация могла создавать несколько ОФБУ (по видам учредителей доверительного управления, по видам управляемого имущества и т.д.). При этом банк должен был соответствовать ряду требований: иметь собственный капитал не менее 100 млн руб., валютную лицензию, в течение последнего года работать без убытков и соблюдать нормативы отчислений в фонды обязательного резервирования. ОФБУ были ориентированы как на крупных корпоративных клиентов, так и на физических лиц. Наиболее доступным для частных вкладчиков видом этих структур являлись фонды банковского управления с неустановленным минимальным пределом вложений.
С осени 1997 г. институты
С осени 1997 г. институты финансово-кредитной системы стали испытывать нарастание негативного воздействия ряда внутренних и внешних факторов. В условиях снижения доходности государственных ценных бумаг, обострения ситуации на мировых финансовых рынках, выразившиеся в оттоке международного капитала из стран с развивающимися рынками и последующем падении курсов корпоративных ценных бумаг, произошло существенное ухудшение условий деятельности финансово-кредитных структур всех видов.
Первый этап финансового кризиса (октябрь - ноябрь 1997 г.) не оказал существенного воздействия на финансовую устойчивость банков. Однако следующий виток кризиса обусловил существенное ухудшение показателей финансовой устойчивости. Так, доля активов проблемных банков в суммарных активах действующих кредитных организаций возросла с 6,8% на 1 января 1998 г. до 16,7% на 1 июня 1998 г. Доля активов банков без признаков финансовых затруднений, напротив, уменьшилась в этот же период с 32,4% до 9,2%.
Наиболее чувствительными к развивающемуся кризису оказались небанковские финансово-кредитные институты. Необходимо подчеркнуть, что если банки могли самостоятельно определять свои инвестиционные предпочтения, следуя определенной ими инвестиционной политике, то такие организации, как негосударственные пенсионные фонды и страховые компании, должны были следовать нормативным документам, предписывающим им с целью защиты интересов клиентов иметь резервы в надежных банках и вкладывать средства исключительно в высоконадежные финансовые инструменты, прежде всего в ГКО-ОФЗ и другие государственные ценные бумаги.
Существенные финансовые трудности в период кризиса стали испытывать паевые инвестиционные фонды — стоимость паев снизилась до уровня, существовавшего год назад. В 1997 г. доходность фондов государственных облигаций колебалась от 7 до 17%, а фонды корпоративных облигаций были убыточны. Соответственно наибольшее снижение стоимости паев и чистых активов наблюдалось среди фондов, специализирующихся на работе с корпоративными ценными бумагами. В первой половине 1998 г. финансовые показатели ПИФов продолжали ухудшаться. Так, в мае стоимость пая по открытому паевому фонду корпоративных ценных бумаг снизилась на 45%, фонду «Добрыня Никитич» (управляющая компания «Тройка — Диалог») — на 51%.
События августовского кризиса 1998 г., приведшие к практически полной остановке финансовых рынков, вызвали резкое изменение условий деятельности финансово-кредитных институтов. Кризис нанес сокрушительный удар по системе коллективного инвестирования. Активы негосударственных пенсионных фондов, страховых компаний были практически заморожены, а сами организации были лишены возможности зарабатывать средства для своего существования. Так, НПФ, имеющие право в соответствии с законом тратить на свои расходы не более 15% дохода, начисленного на инвестированные ими накопления участников, лишились средств, необходимых для функционирования и выплаты пенсий.
Решение о реструктуризации ГКО, вложения в которые имели значительную долю в совокупных активах институциональных инвесторов, имело неоднозначные последствия для различных институтов: если, например, интересы страховых организаций, выделенных в особую группу, были относительно учтены, то негосударственные пенсионные фонды не вошли в состав организаций, расчеты с которыми будут производиться в приоритетном порядке, что поставило под сомнение само существование системы НПФ.
Серьезные убытки в результате обвала рынка ценных бумаг понесли инвестиционные фонды. Ухудшение возможностей функционирования институциональных инвесторов явилось также следствием роста убыточности нефинансовых предприятий и организаций, тенденции к снижению реальных денежных доходов и сбережений населения, отсутствия на финансовом рынке надежных фондовых инструментов.
Существенно сузился страховой рынок России. Сумма страховых взносов в 1998 г. в реальном исчислении уменьшилась на 37,6%. Сократилось число страховых компаний, их совокупный уставный капитал на конец 1998 г. составил всего 6 млрд руб. Во многом это было связано с необходимостью увеличения минимального размера уставного капитала для вновь создаваемых и действующих страховых организаций.
Сокращение возможностей прибыльного вложения средств
Сокращение возможностей прибыльного вложения средств повлияло на финансовое положение ОФБУ. Привлекательность участия в ОФБУ определяется перспективой получения более высокой прибыли, чем по банковским депозитам, но при этом возрастает риск потери сбережений. В отличие от депозитного договора, в котором банк обязуется возвратить принятые от вкладчика денежные суммы с начисленными процентами, при вложении средств в ОФБУ риск потери средств, в случае ухудшения ситуации на рынке или неэффективного управления, ложится на инвестора. Вместе с тем известно, что в условиях финансового кризиса банки практически лишились возможности прибыльно вкладывать средства. Кроме того, многие кредитные организации, являющиеся доверительными управляющими ОФБУ, стали испытывать серьезные финансовые трудности.
Однако ОФБУ сохранили свои позиции на рынке коллективного инвестирования вследствие определенных преимуществ перед другими институциональными инвесторами, например ПИФами. В числе данных преимуществ можно отметить, в частности, большее разнообразие объектов инвестирования и меньшую регламентацию деятельности, относительно низкую долю средств, инвестированных в государственные ценные бумаги (так как ОФБУ были ориентированы на достижение прибыльности, превышающей доходность ценных бумаг), значительные вложения в ликвидные акции. В результате, если на 1 февраля 1998 г. число ОФБУ составляло 74, а сумма активов, находящихся в их управлении, 422,8 млн руб., то на 1 декабря 1998 г. их число достигло 131, а сумма активов в управлении 5,3 млрд руб.
В банковской сфере наиболее значительные финансовые трудности испытали крупнейшие банки, что было связано с их ориентацией на операции с государственными ценными бумагами, валютные сделки, привлечение средств населения и ресурсов с международного рынка капиталов. Вместе с тем и в условиях финансового кризиса сохранилось достаточно много коммерческих банков, которые не вошли в категорию проблемных. Так, свою устойчивость и способность к осуществлению нормальной банковской работы показал целый ряд средних банков, избравших основным направлением деятельности качественное обслуживание традиционной клиентуры, кредитование предприятий реального сектора под высоколиквидные залоги, работу с эффективными инвестиционными проектами.
Инвестиционная инфраструктура в условиях развития рыночных отношений
На сегодняшний день в России в той или иной степени сложились основные виды институтов инвестиционной инфраструктуры. Процесс их становления сопряжен с общими институциональными преобразованиями в ходе экономических реформ. Исходя из этого, несмотря на различный характер развития финансовых институтов, в их становлении можно выделить определенные этапы.
Начальный этап становления инвестиционной инфраструктуры
Содержанием первого этапа (1989-1991 гг.) явилось создание финансовых институтов рыночного типа, в основном коммерческих банков и фондовых бирж. Самостоятельные банки, не зависящие от государственных структур, образовывались как путем организации новых банков (кооперативных, коммерческих), так и посредством преобразования действующих государственных специализированных банков, за счет которых в основном происходил рост числа банков и их капиталов. Инвестиционные институты были представлены преимущественно фондовыми биржами. Создание новых финансовых институтов было закреплено в ряде правовых актов рыночной направленности: законах о Банке России, о банковской деятельности, о государственных, корпоративных и частных предприятиях, о банкротстве институтов, выпуске и обращении ценных бумаг и др.
Инвестиционное предложение
В 1992—1998 гг. состояние инвестиционного предложения было обусловлено, с одной стороны, сокращением производства инвестиционных товаров в реальном секторе, с другой стороны, несформированностью вторичных инвестиционных рынков как сфер обращения финансовых активов, опосредствующих перелив реальных капиталов. Спад производства инвестиционных товаров, в свою очередь, был связан со сжатием спроса на внутреннем рынке в процессе адаптации производства к рынкам сбыта в годы радикальной экономической реформы, сокращением внутренних инвестиционных источников и возможностей привлечения внешних источников. Инвестирование осуществлялось главным образом в наличную иностранную валюту, оборотный капитал для проведения торгово-посреднических сделок.
В новой экономической ситуации, обусловившей возрастание спроса на отечественные инвестиционные товары, произошел существенный рост масштабов инвестиционного предложения. Быстрое развитие экспортно-ориентированных отраслей топливно-сырьевого сектора экономики стимулировало развитие связанных с ними производств в металлургии, машиностроении, отраслях конструкционных материалов. Возросший спрос на производственно-техническую продукцию стимулировал рост производства ряда секторов обрабатывающей промышленности.
Между тем масштабы инвестиционного предложения в условиях экономического подъема могли бы быть гораздо выше, если бы не ряд ограничивающих факторов. На российском рынке по-прежнему ощущается дефицит высокоэффективных инвестиционных проектов, доступных для вложения свободного капитала, что отражает неготовность реального сектора экономики в ряде случаев к восприятию инвестиций. В экономике не произошло существенных структурных сдвигов прогрессивной направленности, сохраняется высокая степень дифференциации в развитии различных экономических секторов. Отсутствуют эффективные финансовые инструменты, представляющие реальный капитал на рынках инвестиций.
Масштабы инвестиционного предложения ограничиваются такими факторами, как разрыв между совокупным инвестиционным потенциалом и ресурсами, привлеченными кредитно-финансовыми институтами и фондовым рынком, недоиспользование значительной части аккумулированных ресурсов для производственного инвестирования.
Контрольные вопросы и задания
Почему модель инвестиционной деятельности в условиях административно-командной системы характеризовалась неэффективностью?
В чем состоит необходимость формирования принципиально нового механизма инвестирования, адекватного рыночной экономике?
Назовите основные факторы, воздействующие на инвестиционный спрос в период перехода к рынку.
Какие факторы ограничивают масштабы инвестиционного предложения в современных условиях?
В чем состоят отличия модели инвестирования, сложившейся в российской экономике, от рыночных аналогов?
Дайте оценку эффективности фондового и кредитного варианта инвестирования в российской экономике.
Что такое паевые инвестиционные фонды? Какова их роль в привлечении сбережений населения?
Каковы позиции негосударственных пенсионных фондов на российском финансовом рынке?
Дайте характеристику страховых компаний как институциональных инвесторов.
Почему российская банковская система в современных условиях должна занимать ведущее место в решении проблем повышения эффективности финансового посредничества?
Модель инвестирования в российской экономике
В отличие от развитой рыночной экономики, где инвестирование осуществляется посредством институтов финансового рынка, обеспечивающих аккумулирование финансовых ресурсов и их эффективную капитализацию, в российской экономике сложилась иная, деформированная модель инвестирования.
Сбережения населения, являющиеся в рыночной экономике важнейшим инвестиционным ресурсом, в российских условиях практически не вовлечены в инвестиционный процесс. Анализ структуры прироста сбережений населения в 1992-2000 гг. свидетельствует о высоких предпочтениях российского населения к хранению сбережений в наиболее ликвидной и надежной форме (наличной валюте, преимущественно — иностранной) и низком уровне организованных сбережений. Лишь десятая доля прироста сбережений поступает на финансовый рынок посредством покупки ценных бумаг и вкладов в банки. Однако и эта часть в основном не трансформируется в производственные инвестиции.
Использование механизма фондового рынка для направления средств населения в инвестиции не играет заметной роли в российской экономике.
Такая ситуация обусловлена следующими обстоятельствами:
финансовое состояние предприятий не позволяет обеспечить требуемый уровень доходности для мелких частных инвесторов;
привлечение средств мелких инвесторов затруднительно и для самих предприятий, поскольку оно связано со значительными затратами на выплату дивидендов, проведением рекламной кампании и т.д.;
сегмент вторичного рынка ценных бумаг, ориентированный на средства мелких инвесторов, не сформирован, вследствие этого вложения в ценные бумаги предприятий неликвидны.
Ресурсы населения занимают незначительное место в общем объеме средств, мобилизованных рынком ценных бумаг, который ориентирован преимущественно на привлечение средств фирм и институциональных инвесторов. Общее состояние фондового рынка свидетельствует о его незначительной роли в финансовом посредничестве.
Одним из важнейших показателей инвестиционной активности в странах развитой рыночной экономики выступает капитализация фондового рынка, которая определяется как стоимость всех обращающихся на нем ценных бумаг в соответствии с их рыночной оценкой.
В России до осеннего кризиса 1997 г. наблюдался достаточно интенсивный рост рынка корпоративных ценных бумаг. Суммарная капитализация обращающихся на рынке акций отечественных компаний за 1996 г. выросла в два раза, за 1997 г. — в три раза и составила почти 400 трлн неденоминированных рублей, или около 13% ВВП, превысив капитализацию рынка государственных обязательств. В целом 97% от общей капитализации рынка приходилось на акции компаний трех отраслей: топливно-энергетической (51%), энергетики (38%), телекоммуникационной (8%). Ряд крупнейших предприятий привлекал прямые зарубежные инвестиции путем выпуска и размещения на мировых финансовых рынках еврозаймов, американских депозитарных расписок (ADR) и глобальных депозитарных расписок (GDR). Однако большинство российских предприятий не было представлено на рынке ценных бумаг. В условиях спада деловой активности, ухудшения финансового положения предприятий возможности привлечения ими денежных средств путем выпуска акций существенно снизились, акции неперспективных предприятий имели низкий рейтинг иди вообще не получали рыночной оценки, так как сделки по ним не совершались.
Рост капитализации российского фондового рынка был во многом обусловлен массированным притоком средств зарубежных инвесторов, осуществлявших краткосрочные спекулятивные вложения. Спекулятивный характер рынка корпоративных ценных бумаг, усиление его зависимости от зарубежных инвесторов обусловили высокую степень неустойчивости рынка, его уязвимость при изменениях конъюнктуры на мировых финансовых рынках.
В этих условиях ухудшение ситуации
В этих условиях ухудшение ситуации на финансовых рынках стран Юго-Восточной Азии послужило толчком для развертывания кризиса на российском фондовом рынке. На состояние рынка оказали воздействие и другие факторы: падение мировых цен на продукцию отечественных предприятий-экспортеров, недостаточные юридические гарантии обеспечения прав акционеров, неразвитость инфраструктуры рынка и др. С осени 1997 г. и до начала 1999 г. ситуацию на рынке корпоративных ценных бумаг можно было охарактеризовать как постоянно ухудшающуюся: на основных торговых площадках (РТС и ММВБ) наблюдалась устойчивая тенденция снижения курса акций и сокращения оборотов торгов. Капитализация рынка ценных бумаг резко уменьшилась.
В 1999-2000 гг. положение на рынке корпоративнцх ценных бумаг несколько стабилизировалось, о чем свидетельствуют динамика индекса РТС и оборотов в российской торговой системе, рост котировок акций российских предприятий, появление корпоративных облигаций, выпускаемых крупнейшими компаниями (ЛУКойлом, Газпромом, РАО ЕЭС и др.).
Между тем фондовый рынок по-прежнему остается оторванным от реального сектора экономики. В 1998 г. доля средств, привлеченных предприятиями в финансирование инвестиций в основной капитал за счет размещения акций, составляла 2,3% от общего объема источников финансирования, в 1999-2000 гг. она не превышала 1%. Рынок ценных бумаг не сыграл сколько-нибудь заметной роли в обеспечении финансовой поддержки экономического роста.
В целом можно констатировать, что фондовый вариант привлечения ресурсов в производство в российской экономике практически не реализуется. Обращение ценных бумаг по существу не связано с воспроизводственным процессом. Рынок ценных бумаг пока не является эффективным механизмом перераспределения сбережений в инвестиции.
Более значимую роль в привлечении временно свободных денежных средств, в том числе средств населения, играют институты кредитной системы, главным образом банки, аккумулирующие, по оценкам, 80—90% организованных сбережений.
Основной прирост вкладов локализован в Сбербанке РФ. В предкризисный период в нем было сосредоточено 77% от общей суммы вкладов, в настоящее время — более 80%. Это связано с наличием у Сбербанка неоспоримых преимуществ перед другими банками: государственных гарантий по депозитам, высокого рейтинга, развитой сети филиалов.
Монополия Сбербанка на рынке частных вкладов значительно ослабляет конкурентные возможности прочих банков в данном секторе. Существуют, однако, и другие факторы, ограничивающие привлечение средств населения коммерческими банками. Для вкладчиков — это недоверие к частным финансовым институтам, отсутствие законодательного механизма защиты вкладов, депозитная политика банков, не стимулирующая увеличение вкладов путем установления системы гибких депозитных ставок. Для банков — меньшая привлекательность данного ресурса по сравнению с другими источниками, обусловленная тем, что средства населения являются дорогим, в основном краткосрочным и неустойчивым денежным ресурсом, чувствительным к рискам и подверженным колебаниям в зависимости от изменений не только реальной экономической конъюнктуры, но и других обстоятельств.
Кризисные события 1998 г. вызвали существенное изменение ситуации на рынке частных вкладов, выразившееся в резком падении доверия к кредитным институтам, перераспределении вкладов между Сбербанком и другими банками в результате перевода в Сбербанк значительной части рублевых и валютных вкладов, значительном оттоке средств из банковской системы. Системный банковский кризис привел к значительному уменьшению ресурсных возможностей банковской системы.
Начиная с 1999 г. ресурсная база банков стала увеличиваться. Наряду с другими составляющими банковских ресурсов увеличились и вклады населения. Однако их предкризисные размеры не были достигнуты. Так, на 1 октября 2000 г. вклады населения в банках в реальном исчислении составили 67,8% от предкризисного уровня.
Следует отметить, что, несмотря на разнонаправленную динамику ресурсного потенциала банков на протяжении периода рыночного реформирования, он являлся и является явно недостаточным для обслуживания инвестиционных потребностей реального сектора. Кроме того, даже имеющиеся банковские ресурсы не направляются на финансирование производственных инвестиций.
Долгосрочные инвестиции банков в производство характеризуются крайне низкими значениями: в общем объеме активов доля долгосрочных кредитов колеблется в пределах 3-4%, вложений в паи и акции 4-8%. В основной массе мобилизованные банками ресурсы не покидают сферу обращения, хотя основные причины обособленности банковского и реального секторов и схемы движения банковских средств на протяжении периода рыночного реформирования различны.
До кризиса августа 1998 г.
До кризиса августа 1998 г. основной причиной относительной обособленности банковского сектора являлось наличие существенных различий в привлекательности вложения средств в финансовые инструменты и реальные активы. В 1995—1998 гг. наиболее привлекательным с точки зрения доходности, надежности и сроков окупаемости финансовым инструментом выступали государственные ценные бумаги.
Мобилизуя средства физических и юридических лиц, банки вкладывали их значительную часть в ГКО-ОФЗ. Так, Сбербанк, аккумулирующий основную долю вкладов населения, являлся крупнейшим кредитором государства. Государственные ценные бумаги составляли в 1997 г. около 60% всех активов банка (в то время как кредиты экономики — всего 18%) и обеспечивали 67% его валовых доходов. Если в 1997 г. в Сбербанке было размещено 43,3% от общего объема государственных ценных бумаг, то в остальных банках 24,4%. Таким образом, значительная масса привлеченных средств, замыкаясь на финансировании дефицита государственного бюджета (а с 1997 г. — на покрытии выпущенных обязательств), отвлекалась от производительного использования.
Использование денежных средств в финансовом секторе с точки зрения рискованности, доходности и сроков окупаемости являлось формально оправданным (хотя крах рынка государственных ценных бумаг в 1998 г. показал его рискованность и ненадежность), что определяло относительную замкнутость и самовоспроизводство как финансового, так и реального секторов.
Нарушения в процессе воспроизводства общественного капитала усугубляли разбалансированность между инвестиционным спросом и предложением. Связи и зависимости между финансовым и инвестиционным рынками деформировались, инвестиционный рынок не реагировал на такие импульсы денежного рынка, как изменение денежной массы, процентной ставки.
Наличие существенных различий в условиях экономического функционирования реального и финансового секторов вело к формированию противоположной направленности денежных потоков, оттоку капитала из производственного сектора в финансовый, что, сокращая инвестиционно-финансовые ресурсы производства, обусловливало неустойчивость финансового сектора, разрастание которого не имело стабильной воспроизводственной основы.
Накопление внутренних экономических противоречий, ускорившееся под воздействием ухудшения конъюнктуры на мировых финансовых рынках, прямые ошибки в проведении денежно-кредитной, бюджетной политики и формировании государственного долга не могли не привести к системному экономическому кризису, коллапсу финансового сектора, ограничению возможностей рыночного инвестирования экономики.
Между тем потрясения на финансовых рынках в значительной степени не коснулись реального сектора экономики, о чем свидетельствует несинхронность развития финансового кризиса и экономического спада. Сложившаяся обособленность реального сектора от финансового, характерные для него доминирование неденежных форм расчетов и низкие объемы банковского кредитования в данной ситуации выступили в качестве защитного барьера. Практически полная остановка финансовых рынков не вызвала столь же негативных процессов в реальной экономике.
После восстановления финансового рынка и его банковского сектора в 1999—2000 гг., несмотря на уроки финансового кризиса, кардинального изменения характера связи банков с производством не произошло. При возрастании объемов привлекаемых средств физических и юридических лиц степень их трансформации в производственные инвестиции осталась прежней.
В настоящее время на финансовом рынке отсутствуют высокодоходные финансовые инструменты, способные выступить альтернативным объектом инвестирования. Сократился ранее высокий разрыв между процентными ставками кредитного рынка и уровнем рентабельности производства.
в настоящее время активизации банковского
Основными факторами, препятствующими в настоящее время активизации банковского финансирования производственных инвестиций, выступают сохранение высоких кредитных и инвестиционных рисков в реальном секторе экономики, отсутствие действенных механизмов стимулирования банковских инвестиций, законодательная неурегулированность инвестиционной деятельности. В данных условиях финансовый рынок как механизм перераспределения сбережений в инвестиции характеризуется крайне низкой эффективностью.
Обособленность реального и финансового секторов препятствует становлению механизма равновесных цен на инвестиционные товары. Как известно, свободное ценообразование на инвестиционные товары требует конкуренции на инвестиционных рынках, что является необходимым условием эффективности рыночной экономики. В российской экономике, характеризующейся неэластичной структурой, высокой степенью монополизации, несформированностью инвестиционного рынка, возможности развития конкуренции ограниченны. Самостоятельное функционирование различных секторов экономики обусловило возникновение иррациональных форм конкуренции, проявляющихся в соперничестве между реальным и финансовым секторами экономики за привлечение инвестиционных ресурсов.
При обособленности данных экономических секторов, отсутствии возможностей для перелива инвестиционного капитала действие механизма равновесных цен на инвестиционные товары проявляется лишь в тенденции, замыкаясь в границах отдельных сегментов. Так, в рамках сегмента объектов финансового инвестирования равновесная функция цены реализуется в сближении уровня доходности различных финансовых инструментов.
Деформация инвестиционного рынка выражается в разбалансированности спроса и предложения в сторону превышения спроса на инвестиционные ресурсы. Процессы, протекающие на стороне инвестиционного спроса и инвестиционного предложения, обосабливаются, приобретают самостоятельную роль. Неразвитость инвестиционных рынков сдерживает процесс трансформации сбережений в инвестиции, имеющий принципиальное значение для российской экономики.
Задача повышения эффективности трансформации внутренних сбережений в инвестиции определяет необходимость создания развитого финансового сектора, способного мобилизовать и предоставить экономики инвестиционные ресурсы для ее стабильного функционирования и экономического роста. Для решения этих задач необходимо сформировать условия, повышающие эффективность использования финансовых ресурсов, усиливающие роль финансового посредничества в процессе трансформации капитализации сбережений.
Начальный этап становления нового инвестиционного механизма
Начальный этап становления нового инвестиционного механизма, носящий в основном стихийный характер, относится к концу 80-х годов, когда преобразования, связанные с введением элементов рынка, увеличением прав государственных предприятий по использованию собственных средств на инвестирование, началом институциональных изменений, созданием негосударственных структур (арендных предприятий, кооперативов, товариществ, акционерных обществ, бирж, коммерческих банков), привели к возникновению децентрализованных форм инвестиционной деятельности.
При нехватке государственных централизованных ресурсов постепенно стала усиливаться тенденция увеличения доли средств предприятий в общих объемах финансирования. Только за 1987—1990 гг. доля собственных источников инвестирования в их общем объеме повысилась с 18 до 58%. Это, однако, способствовало не возрастанию, а уменьшению инвестиционных возможностей предприятий, оттоку средств в потребительский сектор.
Увеличение прибыли, остающейся в распоряжении предприятий, распределяемой по фондам экономического стимулирования, сопровождалось направлением значительной части средств на оплату труда и материальное поощрение работников.
Объемы амортизации при низких нормах амортизационных отчислений, устанавливаемых по фактическим, а не нормативным срокам службы оборудования (которые составляли, соответственно, 25-26 и 10-12 лет), были недостаточными для развития и совершенствования технической базы производства. Коэффициент износа основных производственных фондов в промышленности возрос с 36% в 1980 г. до 46% в 1990 г.
При сохранении монополизма министерств и ведомств в распределении материально-технических ресурсов, неразвитости оптовой торговли и прямых связей между предприятиями одновременно с ростом дефицита ресурсов увеличивались свободные средства предприятий на банковских счетах. В условиях перенакопления капитала усиливался физический и моральный износ производственного аппарата.
Расширение хозяйственной самостоятельности предприятий, создание на их базе товариществ, кооперативов, различных посреднических структур, переход капитала из государственной в частную и коллективную собственность положили начало оттоку инвестиционных ресурсов из производственной сферы в сферу нематериального производства, торговых и финансовых услуг, характеризовавшихся более быстрыми сроками окупаемости и высокой доходностью. Развитие инфляционных процессов усилило переток инвестиционного спроса в потребительский. Предприятия, повышая цены и заработную плату, стремились к максимальному присвоению инфляционных доходов, использованию их большей части на текущие нужды потребления.
Нарастание противоречий между величиной денежных накоплений и объемом инвестирования, затратами инвестиционных средств и их отдачей привели к формированию устойчивой тенденции снижения эффективности инвестирования. Если в 1980 г. коэффициент, характеризующий долю введенных основных фондов в общем объеме капитальных вложений, составлял 0,98, то в 1985 г. он снизился до 0,95, а в 1990 г. — до 0,84. Прирост промышленной продукции на 1 руб. капитальных вложений сократился с 58 коп. в 1976-1980 гг. до 44 коп. в 1986—1990 гг.
Накопление негативных тенденций в инвестиционной сфере свидетельствовало об исчерпании возможностей административно-командного механизма инвестирования.
Особенности формирования рыночного механизма инвестирования в российской экономике
Переход к рынку обусловил необходимость формирования принципиально нового механизма инвестирования, адекватного рыночной экономике. Это связано с существенным изменением инвестиционного статуса государства и негосударственных структур, разделением их функций в инвестиционном процессе, сокращением доли централизованных инвестиций в их общем объеме, изменением структуры инвестиций по формам собственности в связи с развитием приватизации, ростом количества объектов инвестирования, изменением состава и соотношения внутренних и внешних источников инвестирования, способа распределения инвестиций в результате перехода от централизованного распределения к рыночному механизму соответствия спроса и предложения, к иному критерию эффективности инвестирования — доходности операций.
Экономическая реформа, вскрыв инвестиционный кризис, вызвала резкое увеличение его масштабов. Административные рычаги управления инвестиционной деятельностью, позволявшие путем централизации инвестиционных ресурсов и их перераспределения от эффективных к неэффективным производителям сдерживать проявление деструктивных факторов, были утрачены, в то время как рыночные механизмы инвестирования еще не сформировались. В ходе экономических реформ не удалось создать эффективных собственников с нормальным рыночным поведением, действенный механизм перераспределения сбережений частных инвесторов, обеспечить условия для мобилизации свободных денежных средств и их последующего инвестирования.
В настоящее время инвестиционный рынок России находится в процессе формирования. Это накладывает отпечаток на его современную конъюнктуру, состояние спроса, предложения, цен и уровня конкуренции. При этом степень и характер воздействия факторов, определяющих динамику инвестиционного рынка, постоянно изменяются.
Особенности второго этапа становления инвестиционной инфраструктуры
Второй этап (1992—1994 гг.) носил более сложный и противоречивый характер. Это выразилось в том, что стремительное развитие всех типов финансовых институтов осуществлялось в условиях быстрого экономического спада и высокой инфляции. Инфляционный фактор, вызывая отток денежных ресурсов общества в финансовую сферу, оказывал существенное активизирующее воздействие на образование финансовых институтов. Другим стимулирующим фактором послужило появление ряда ценных бумаг, выпускаемых государством и коммерческими структурами.
Число зарегистрированных коммерческих банков возросло к концу 1994 г. до 2517. Из них около трети были организованы на базе специализированных банков, а свыше 60% образованы вновь. Число официально признанных бирж достигло 70, что составляло почти половину их мирового количества. Быстро развивалась сеть других финансовых институтов: было зарегистрировано около 600 инвестиционных фондов, более 100 негосударственных пенсионных фондов, около тысячи страховых компаний, более тысячи небанковских инвестиционных институтов, имеющих лицензии финансового брокера, инвестиционного банка и инвестиционного консультанта.
Между тем банки многократно превосходили небанковские инвестиционные институты по объему капиталов, активов и финансовых операций. Ряд небанковских финансовых компаний являлись дочерними предприятиями банков. В 1993 г. многие банки приступили к созданию сетей филиалов, специализирующихся на операциях с ценными бумагами. Крушение финансовых пирамид в 1993—1994 гг. привело к появлению более 40 миллионов обманутых вкладчиков и акционеров, что сильно подорвало доверие населения к финансовым компаниям и инвестиционным институтам, а также к ценным бумагам. Преимущественной формой мелкого частного инвестирования выступили банковские вклады и скупка наличной иностранной валюты.
Предпосылки перехода к рыночному механизму инвестирования
Особенностями административно-командной системы управления экономикой являлись ее моносекторная структура, характеризовавшаяся господством государственной формы собственности и сектора производства товаров, односторонний характер инвестиционных потоков, соответствующая директивной системе управления централизованная одноуровневая банковская система.
Состояние инвестиционного спроса
Кризисное падение инвестиционной активности в переходный период к рынку в существенной мере проявилось в снижении спроса на инвестиционные товары реального сектора экономики (преимущественно основной капитал, научно-техническую продукцию и др.), что было обусловлено перетоком инвестиционного спроса в потребительский сектор, сосредоточении инвестиционного капитала в финансовом, банковском, торговом секторах. Одним из основных факторов, препятствующих переливу инвестиционного капитала из финансовой в производственную сферу, являлись высокие процентные ставки банковского кредитования, которые, будучи ориентированы на уровень доходности других финансовых инструментов, превышали рентабельность в реальном секторе. Другими факторами, деструктивно влияющими на инвестиционный спрос, являлись: общая экономическая нестабильность в условиях финансового кризиса, ухудшение финансового положения предприятий, рост взаимных неплатежей, высокие кредитные риски, несоответствие между высококонцентрированным промышленным сектором и преобладанием мелких банков, отсутствие стратегических инвесторов вследствие размытости структуры акционерного капитала, неэффективная для отечественных производителей таможенная политика, высокие цены на продукцию естественных монополий и услуги транспорта, жесткое налоговое бремя, переплетение финансового риска с политическим.
В 1999—2000 гг. после длительной и глубокой экономической рецессии активизировались макроэкономические факторы, благоприятно воздействующие на инвестиционный спрос.
К ним относятся:
благоприятная экономическая конъюнктура на мировых рынках сырьевых товаров, определившая рост рентабельности российского экспорта;
повышение конкурентных параметров отечественного производства и замещение импортной продукции национальными товарами в результате резкого снижения курса рубля;
развитие экспортно-ориентированных отраслей, рост доходов которых вызвал возрастание их инвестиционного спроса и соответствующее стимулирование сопряженных производств в других отраслях экономики;
постепенное исчерпание возможностей использования дозагрузки мощностей и усиление мотивации предприятий к обновлению своего производственного аппарата;
снижение уровня инфляции и процентных ставок;
увеличение денежного предложения и некоторое вытеснение неденежных форм расчетов;
улучшение финансового положения предприятий; увеличение потенциала ресурсов валовых национальных сбережений вследствие роста прибыли в экономике, повышения реальных доходов населения и его склонности к сбережениям.
Если ранее инвестиционный рынок характеризовался практически неограниченным, однако не подкрепленным финансовыми ресурсами спросом на инвестиционный капитал и весьма ограниченным его предложением, то в период быстрого хозяйственного оживления ситуация изменилась. Произошло увеличение как потенциального, так и реального инвестиционного спроса. Укрепился совокупный инвестиционный потенциал и возросли масштабы валового накопления основного капитала, отражающего реализованную потребность хозяйственных субъектов в инвестировании.
Специфика инвестиционной деятельности в условиях административно-командной системы управления
Известно, что в рыночной экономике функция формирования и распределения инвестиционных ресурсов действует автоматически, исходя из экономических критериев выбора объекта инвестирования, ориентированных на доходность вложений. В административно-командной системе, где государство является монопольным инвестором, внутриотраслевое, межотраслевое и межтерриториальное распределение инвестиционных ресурсов осуществлялось государственными органами посредством административных рычагов регулирования.
Замена экономических критериев административными методами определения потребностей хозяйствующих субъектов вела к искажению целевых установок инвесторов различных уровней. Таким образом, предпосылки деформаций в инвестиционной сфере возникли в условиях прежней системы управления экономикой.
Административные рычаги регулирования не стимулировали предприятия к формированию накоплений. Механизм безвозмездных изъятий накоплений предприятий параллельно предполагал существенные ограничения их возможностей распоряжаться собственными средствами. Это способствовало экстенсивному развитию народного хозяйства, воспроизводству устаревшей материально-технической базы. Попытки расширить права и инициативу предприятий в области инвестиционной деятельности, предпринятые в процессе экономических реформ конца 60-х годов, не принесли. ощутимых результатов.
Восстановительный период и его специфика
Задачи преодоления кризиса и восстановления финансового сектора определяют специфику следующего этапа (начиная с конца 1998 г. по настоящее время) как восстановительного периода.
Его характерными чертами являются: относительно небольшие объемы операций на финансовом рынке; изменение основных факторов, определяющих доходность финансовых инструментов и механизма взаимосвязи между реальным и финансовым секторами; реструктуризация банковской системы на основе дальнейшей консолидации банковского капитала, расширения практики банкротства кредитных организаций, укрепления региональной банковской инфраструктуры, становления новых организационных форм банковских объединений.
Институциональная структура современной российской финансово-кредитной системы по-прежнему отличается преобладанием банков. Банки сохранили доминирующие позиции относительно небанковских институтов и являются наиболее влиятельной силой финансового сектора. Пройдя этап становления, небанковские финансовые институты стали играть заметную роль в экономической жизни страны, однако они существенно уступают банкам по объемам активов, привлечения сбережений и финансовых операций.
Если в странах с развитой рыночной экономикой доля банков составляет около половины всех активов финансово-кредитной системы (банковских и небанковских институтов), то в российской экономике 90% совокупных активов приходится на коммерческие банки. Анализ распределения финансовых сбережений между различными видами финансовых институтов также свидетельствует о том, что российская финансово-кредитная система характеризуется ярко выраженным превосходством банков над небанковскими институтами не только по сравнению с развитыми рынками, но и относительно развивающихся рынков. Таким образом, в обозримом будущем банковская система будет оставаться основной частью российского финансового сектора, несмотря на развитие других типов финансовых институтов.
Возможности функционирования небанковских инвестиционных институтов как активных участников финансового рынка связаны .с достижением рынком определенной ступени организации. Лишь в перспективе они смогут стать крупнейшими институциональными инвесторами и занять то место, которое занимают сегодня инвестиционные институты в странах с развитой рыночной экономикой.
С учетом относительной неразвитости сети небанковских институтов банковская система должна занимать ведущие позиции в решении проблем формирования инфраструктуры финансового рынка, повышении эффективности финансового посредничества и всей системы распределения ресурсов в экономике. Переориентация деятельности банков на производственные инвестиции в реальный сектор экономики происходит крайне медленно. Российская банковская система сегодня не выполняет функции по обеспечению отечественного производства финансовыми средствами. Важность решения этих задач определяет необходимость изучения проблем участия банков в инвестиционном процессе.
командной системы управления экономикой следующие:
1. Особенности инвестиционной деятельности в условиях административно- командной системы управления экономикой следующие: монополизация государством инвестиционных функций, односторонний характер инвестиционных потоков, распределение инвестиционных ресурсов посредством административных рычагов регулирования. Использование административных методов вместо экономических критериев, отсутствие стимулов к формированию накоплений определяли низкую эффективность инвестиционной деятельности.
2. Начальный этап становления нового инвестиционного механизма связан с введением элементов рынка в конце 80-х годов, когда при сохранении монополизма министерств и ведомств на распределение инвестиционных ресурсов возникли децентрализованные формы инвестиционной деятельности. Меры по увеличению прав государственных предприятий в использовании собственных средств на инвестирование, осуществлению институциональных изменений, созданию негосударственных структур при незыблемости основ прежней системы хозяйствования не могли привести к улучшению инвестиционной ситуации, что свидетельствовало об исчерпании возможностей модели инвестирования в условиях административно-командной системы.
3. Переход к рынку обусловил необходимость изменения механизма реализации инвестиционной деятельности, замены централизованного распределения инвестиционных ресурсов рыночными формами инвестирования. Решение проблем аккумуляции инвестиционных ресурсов, трансформации накоплений в инвестиции, повышения эффективности их использования связано с формированием инвестиционного рынка. На этот процесс влияют различные факторы, степень и характер воздействия которых постоянно изменяются. Если в период рецессии инвестиционный рынок характеризовался не подкрепленным финансовыми ресурсами спросом на инвестиционный капитал и весьма ограниченным его предложением, то в период быстрого хозяйственного оживления произошло увеличение как инвестиционного спроса, так и инвестиционного предложения.
4. В процессе становления рыночных отношений в российской экономике развиваются рыночные элементы и в инвестиционной сфере. Вместе с тем сравнительный анализ механизма инвестирования в странах с развитым рынком и в российской экономике показывает, что модель инвестирования в российских условиях характеризуется существенными изменениями. Это выражается в том, что сбережения населения, являющиеся в рыночной экономике важнейшим инвестиционным ресурсом, в нашей стране практически не вовлечены в инвестиционный процесс; финансовый рынок как механизм перераспределения сбережений в инвестиции отличается крайне низкой эффективностью; связи и зависимости между финансовым и инвестиционным рынком разбалансированы вследствие нарушений в процессе воспроизводства общественного капитала.
5. Задачи повышения трансформации внутренних сбережений в инвестиции определяют необходимость восстановления и укрепления финансового сектора, развития инвестиционной инфраструктуры. Первый этап развития институтов инвестиционной инфраструктуры (1989—1991 гг.) характеризуется созданием финансовых институтов, в основном коммерческих банков и фондовых бирж; второй этап (1992—1994 гг.) — стремительным развитием финансовых институтов в условиях высокой инфляции и оттока денежных ресурсов общества в финансовую сферу; третий этап (с 1995 г. до финансового кризиса 1997—1998 гг.) — завершением экстенсивного этапа развития банковского сектора и ускорением формирования системы институтов коллективного инвестирования; современный этап — восстановлением операций на финансовом рынке, изменением основных факторов, определяющих доходность финансовых инструментов и механизма взаимосвязи между реальным и финансовым секторами, реструктуризацией кредитных организаций.
Анализ, оценка и мониторинг инвестиционной политики
Анализ и оценку разработанной инвестиционной политики осуществляют по следующим критериям:
соответствие инвестиционной политики общей экономической политике банка по целям, направлениям и срокам реализации;
внутренняя и внешняя сбалансированность инвестиционной политики;
степень реализации инвестиционной политики;
эффективность инвестиционной политики.
Изменение условий осуществления инвестиционной деятельности требует проведения постоянного мониторинга для успешного осуществления разработанной инвестиционной политики. Инвестиционная программа на момент составления не может охватить весь комплекс изменений внешних и внутренних факторов в перспективе. Поэтому гибкость и динамичность инвестиционной программы может быть достигнута путем текущей корректировки управления инвестициями, что предполагает объективную оценку эффективности отдельных вложений в краткосрочном периоде, определение возможностей выхода из инвестиционных проектов, реинвестирования капитала при наступлении неблагоприятной ситуации.
Факторы, определяющие инвестиционную политику банков
К макроэкономическим факторам, влияющим на инвестиционную политику коммерческого банка, можно отнести:
экономическую и политическую ситуацию в стране;
состояние инвестиционного и финансового рынка;
комплекс законодательных и нормативных основ банковской деятельности;
политику налогообложения;
структуру и стабильность банковской системы и др.
Анализ и учет данных факторов в процессе формирования инвестиционной политики предполагает сбор и обработку исходной информации.
Аналитическая информация для оценки возможностей инвестирования представлена следующими блоками:
макроэкономическая ситуация и инвестиционный климат;
основные показатели, характеризующие макроэкономическое развитие инвестиционного рынка в целом;
основные показатели развития отдельных сегментов инвестиционного рынка;
показатели инвестиционной привлекательности отраслей экономики;
показатели инвестиционной привлекательности регионов;
данные о динамике отдельных инвестиционных инструментов;
данные о деятельности отдельных хозяйствующих субъектов;
законодательные и нормативные акты, определяющие режим инвестиционной деятельности банков;
положения о налогообложении различных видов банковской деятельности.
Результаты оценки рассматриваемых показателей служат важным ориентиром при принятии инвестиционных решений. Качество исходной информации во многом определяет уровень инвестиционного анализа.
Основные микроэкономические факторы, воздействующие на формирование инвестиционной политики, включают:
объем и структуру ресурсной базы, определяющие масштабы и виды инвестиционной деятельности;
общую мотивацию деятельности банка, характер и значимость стратегических целей, обусловливающих выбор инвестиционной политики;
стадии жизненного цикла банка;
размеры, организационное строение и функциональную структуру банка;
качество инвестиционных вложений, определяемое с учетом альтернативности доходности, ликвидности и риска;
доходность сопоставимых активов;
масштабы затрат на формирование и управление инвестиционным портфелем.
Разработка инвестиционной политики предполагает не
Разработка инвестиционной политики предполагает не только выбор направлений инвестирования, но и учет ряда ограничений, связанных с необходимостью обеспечения сбалансированности инвестиционных вложений коммерческого банка. Цели и ограничения устанавливаются законодательными и нормативными актами органов денежно-кредитного регулирования, а также органами управления банков.
Центральный банк Российской Федерации регламентирует инвестиционную деятельность коммерческих банков, определяя приоритетные объекты инвестирования и ограничивая риски путем установления ряда экономических нормативов (использования ресурсов банка для приобретения акций, выдачи кредитов, резервирования под обесценение ценных бумаг, невозврат ссуд), дифференцированных оценок риска по вложениям в различные виды активов.
Организация инвестиционной политики в банке предполагает разработку внутренних инструктивных документов, фиксирующих основные принципы и положения инвестиционной политики. Опыт банковской практики свидетельствует о целесообразности формулирования инвестиционной политики в виде инвестиционной программы. Отражая цели инвестирования, инвестиционная программа определяет основные направления вложений и источники их финансирования, механизм принятия и реализации инвестиционных решений, важнейшие характеристики инвестиционных активов: доходность, ликвидность и риск, их соотношение при формировании оптимальной структуры инвестиционных вложений.
Учитываемые при составлении инвестиционной программы ограничения связаны со следующими обстоятельствами. Поскольку этому виду деятельности присущи значительные риски, для принятия инвестиционных решений необходимо определить риск утраты инвестиционного капитала путем сравнительного анализа приемлемого для инвестора уровня риска и среднего уровня риска, свойственного данным активам, а также возможности его элиминирования за счет диверсификации активов или осуществления альтернативных инвестиций. Альтернативные инвестиции можно определить как вложения в активы, поведение которых при наступлении конкретной ситуации является диаметрально противоположным.
Вместе с тем, поскольку общая цель инвестирования заключается в получении дохода, важно обеспечить не только сохранность основной суммы инвестиций, но определенный стабильный доход в виде текущих денежных выплат или приращения рыночной стоимости активов. Поэтому наряду с выявлением степени риска утраты капитала следует определить границы приемлемого риска доходов от инвестиционных вложений.
Взаимосвязь инвестиционных вложений и источников их финансирования обусловливает зависимость доходов от инвестирования и издержек мобилизации инвестиционного капитала. Поэтому границей допустимого риска выступает средневзвешенная стоимость привлечения инвестиционных ресурсов. Установив в процессе разработки основных направлений инвестирования предпочтительные формы дохода, инвестор определяет долю каждой формы в совокупном доходе от инвестиционных вложений.
Как отмечалось, управление инвестиционной деятельностью предусматривает анализ структуры активов для приведения их в соответствие со структурой инвестиционных ресурсов и обеспечения необходимого уровня ликвидности. Ликвидность инвестиционных активов должна быть сопряжена с характером пассивов, являющихся источником их финансирования.
По степени ликвидности в составе инвестиционных вложений можно выделить: наиболее ликвидные активы, ликвидные активы и малоликвидные активы. При выявлении изменений ликвидности различных групп инвестиционных активов, нарушении установленных требований ликвидности и возрастании риска необходимо пересмотреть состав инвестиционных вложений портфеля и предпринять их реструктуризацию.
Финансовые инвестиции
Финансовые инвестиции банков включают вложения в ценные бумаги, срочные депозиты в других банках, инвестиционные кредиты, паи и долевые участия. По мере развития фондового рынка все большее значение приобретают вложения в ценные бумаги: долговые обязательства (векселя, депозитные сертификаты, государственные и муниципальные ценные бумаги, прочие виды обязательств, эмитируемые юридическими лицами), долевые ценные бумаги (акции), производные ценные бумаги (деривативы). Вложения в ценные бумаги могут производиться за счет средств банка (собственные инвестиционные операции), а также за счет средств и по поручению клиента (клиентские инвестиционные операции). Банк может осуществлять вложения в виде срочных депозитов в другие банки. Депозитные операции используются Центральным банком для связывания излишней ликвидности.
Инвестиционный кредит выступает как форма предоставления долгосрочной ссуды на условиях платности, срочности и возвратности, при которой банк имеет право на возврат основной суммы долга и процентных платежей, но не приобретает права по совместной хозяйственной деятельности. Вместе с тем этот вид кредитования имеет определенные отличия от других кредитных сделок, в числе которых специфика целевого назначения кредита, более длительный срок предоставления и высокая степень риска. Для уменьшения инвестиционных рисков российские банки, осуществляющие инвестиционное кредитование, предъявляют заемщикам ряд дополнительных условий.
Наиболее распространенными условиями являются следующие:
приобретение контрольного пакета акций предприятия;
обеспечение финансовыми гарантиями правительства, надежных банков;
обеспечение высоколиквидным залогом;
долевое участие.
Поскольку инвестиционный кредит выдается на длительные сроки, при оценке инвестиционных рисков в ходе рассмотрения кредитной заявки или инвестиционного проекта важное значение имеет не только анализ текущей кредитоспособности заемщика и его кредитная история, но и учет динамики финансового состояния предприятия.
Вложения в доли, паи и акции в отличие от инвестиционного кредитования представляют собой такую форму участия банков в хозяйственной деятельности, при которой банки выступают как совладельцы уставного капитала предприятий и организаций и учредители (соучредители) компаний финансового и нефинансового характера.
и организаций включают два основных
Инвестиции в создание и развитие предприятий и организаций включают два основных вида: вложения в хозяйственную деятельность других предприятий и вложения в собственную деятельность банка. Вложения банка в хозяйственную деятельность сторонних предприятий и организаций осуществляются посредством участия в их капитальных затратах, формировании или расширении уставного капитала. При участии в уставном капитале путем покупки акций, паев, долей коммерческие банки становятся совладельцами уставного капитала и приобретают все права, которыми в соответствии с законодательством обладают акционеры и участники предприятия. Вложения в создание и развитие сторонних предприятий также имеют место при учредительской деятельности банка, когда последний является учредителем (соучредителем) финансовых и нефинансовых компаний и их объединений.
Учреждаемые коммерческими банками организации относятся преимущественно к финансовой сфере (инвестиционные фонды и компании, брокерские фирмы, инвестиционные консультанты, лизинговые и факторинговые фирмы, депозитарные и клиринговые институты, страховые фирмы, негосударственные пенсионные фонды, холдинги, финансовые группы и т.д.) или сфере услуг (финансовое консультирование, информация и пр.).
Участие банков в хозяйственной деятельности предприятий и организаций обусловлено различными мотивами:
установление финансового контроля над инвестициями;
диверсификация рисков и повышение прибыльности банковского бизнеса;
расширение зоны влияния, видов услуг, предоставляемых клиентам с целью упрочения положения банка на различных рынках;
расширение ресурсной и клиентской базы посредством создания сети дочерних финансовых институтов;
увеличение денежных потоков в распоряжении банка через каналы дочерних и зависимых организаций;
выделение в качестве самостоятельных тех структурных подразделений, которые достигли значительных масштабов и получили самостоятельное значение при сохранении банковского контроля над ними;
обход законодательного запрета на ведение банками непрофильных операций (в сфере производства, торговли материальными ценностями и страхования).
Инвестиции в создание и развитие сторонних предприятий и организаций могут носить производственный и непроизводственный характер.
Формулирование целей инвестиционной деятельности
Основная цель инвестиционной деятельности банка может быть сформулирована как увеличение дохода от инвестиционной деятельности при допустимом уровне риска инвестиционных вложений.
Помимо общей цели, разработка инвестиционной политики в соответствии с избранной банком стратегией экономического развития предусматривает учет и специфических целей, в качестве которых выступают:
обеспечение сохранности банковских ресурсов;
расширение ресурсной базы;
диверсификация вложений, осуществление которой уменьшает общий риск банковской деятельности и ведет к росту финансовой устойчивости банка;
поддержание ликвидности;
минимизация доли не приносящих дохода активов (наличные деньги, средства на корреспондентских счетах в Центральном банке) за счет замещения их части краткосрочными инвестициями, имеющими сопоставимую с денежными средствами степень ликвидности, но приносящими при этом некоторый доход;
расширение сферы влияния банка посредством проникновения на новые рынки;
увеличение круга клиентов и усиление воздействия на их деятельность путем участия в инвестиционных проектах, в создании и развитии предприятий, приобретении ценных бумаг, паев, долей участия в уставных капиталах предприятий;
получение дополнительного эффекта при приобретении акций финансовых институтов, покупке филиалов, учреждение дочерних финансовых институтов в результате увеличения капитала и активов, соответствующего расширения масштабов операций, мобильного перераспределения имеющихся ресурсов, диверсификации средств, выхода на новые рынки, экономии текущих затрат.
Формы инвестиционной деятельности коммерческих банков
Классификация форм инвестиционной деятельности коммерческих банков в экономической литературе и банковской практике осуществляется на основе общих критериев систематизации форм и видов инвестиций*; вместе с тем она имеет некоторые особенности вследствие специфики банковской деятельности.
Классификация форм инвестиционной деятельности коммерческих банков
В соответствии с объектом вложения средств можно выделить вложения в реальные экономические активы (реальные инвестиции) и вложения в финансовые активы (финансовые инвестиции). Приумножая деньги могут быть также дифференцированы и по более частным объектам инвестирования: вложения в инвестиционные кредиты, срочные депозиты, паи и долевые участия, в ценные бумаги, недвижимость, драгоценные металлы и камни, предметы коллекционирования, имущественные и интеллектуальные права и др.
В зависимости от цели вложений банковские инвестиции могут быть прямыми, направленными на обеспечение непосредственного управления объектом инвестирования, и портфельные, не преследующие цели прямого управления инвестиционным объектом, а осуществляемые в расчете на получение дохода в виде потока процентов и дивидендов или вследствие возрастания рыночной стоимости активов.
По назначению вложений можно выделить инвестиции в создание и развитие предприятий и организаций и инвестиции, не связанные с участием банков в хозяйственной деятельности.
По источникам средств для инвестирования различают собственные инвестиции банка, совершаемые за его собственный счет, и клиентские, осуществляемые банком за счет и по поручению своих клиентов.
По срокам вложений инвестиции могут быть краткосрочными (до одного года), среднесрочными (до трех лет) и долгосрочными (свыше трех лет).
Инвестиции коммерческих банков классифицируют также по видам рисков, регионам, отраслям и другим признакам.
Индикаторы инвестиционной деятельности банков
В качестве индикаторов инвестиционной деятельности банков могут быть использованы следующие показатели:
объем инвестиционных ресурсов коммерческих банков;
индекс реальной стоимости инвестиционных ресурсов;
объем банковских инвестиций;
доля инвестиционных вложений в суммарных активах банков;
структурные показатели банковских инвестиций по объектам их приложения;
показатели эффективности инвестиционной деятельности банков, в частности, прирост активов в расчете на объем инвестиций, прирост прибыли в расчете на объем инвестиций;
показатели альтернативной доходности инвестирования в производственный сектор по сравнению с вложением капитала в доходные финансовые активы.
Инвестиции в собственную деятельность банка
Инвестиции в собственную деятельность банка включают вложения в развитие его материально-технической базы и совершенствование организационного уровня. Направления этих вложений зависят от того, какие задачи банк предполагает осуществить с их помощью.
В зависимости от направления инвестирования можно выделить:
инвестиции, обеспечивающие повышение эффективности банковской деятельности. Они направлены на создание условий для снижения банковских издержек за счет улучшения технического оснащения, совершенствования организации банковской деятельности, условий труда, обучения персонала, осуществления исследований и разработок;
инвестиции, ориентированные на расширение и диверсификацию банковских услуг. Такие инвестиции предполагают расширение ресурсной и клиентской базы, увеличение круга банковских операций, создание новых подразделений, способных обеспечить производство новых видов банковских услуг;
инвестиции, связанные с необходимостью соблюдения требований органов государственного регулирования. Данные вложения осуществляются при необходимости удовлетворить требования регулирующих органов в части создания определенных условий банковской деятельности.
Эффективность от инвестиций в развитие банка достигается в том случае, если в результате произведенных затрат обеспечивается улучшение его финансового состояния, переход в более высокую рейтинговую категорию. Определение объема и структуры инвестиций в собственную деятельность, осуществляемое в процессе разработки плана капиталовложений банка, должно базироваться на точных технико-экономических расчетах. Превышение необходимого объема инвестиций может привести к несбалансированности ликвидности, снижению доходной базы банка и падению эффективности банковской деятельности.
Инвестиционная политика банков и факторы, ее определяющие
Экономические интересы банков, вытекающие из сущности этих институтов как коммерческих структур, состоят в обеспечении прибыльности банковских операций при соблюдении их ликвидности и надежности. Банки работают в основном не на собственных, а на привлеченных и заемных ресурсах, поэтому они не могут рисковать средствами своих клиентов, вкладывая их в крупные инвестиционные проекты, если это не обеспечено соответствующими гарантиями.
В связи с этим при выработке своей инвестиционной политики коммерческие банки всегда должны исходить из реальных оценок риска, экономической эффективности, финансовой привлекательности инвестиционных проектов, оптимального сочетания кратко-, средне- и долгосрочных вложений. Вместе с тем существующая система инвестирования является не только внутренним делом самого банка. В соответствии с базисными принципами регулирования банковской деятельности неотъемлемой частью любой системы надзора является независимая проверка политики, оперативной деятельности банка и применяемых в нем процедур, связанных с выдачей кредитов и инвестированием капиталов, а также текущего управления кредитным и инвестиционным портфелями.
Следовательно, коммерческие банки должны четко отработать и формально закрепить важнейшие мероприятия, связанные с организацией и управлением инвестиционной деятельностью. По существу речь идет о разработке и реализации обоснованной инвестиционной политики.
Контрольные вопросы и задания
Дайте характеристику основных направлений участия коммерческих банков в инвестиционном процессе.
Что понимают под инвестиционной деятельностью коммерческих банков? В чем состоит двойственный характер инвестиционной деятельности банков?
Какие показатели оценки инвестиционной деятельности банков Вам известны?
Охарактеризуйте основные формы банковских инвестиций.
В чем суть инвестиционного кредитования? Какими способами коммерческие банки могут участвовать в финансировании инвестиционного проекта?
Почему необходимы законодательные и нормативные ограничения на участие банков в хозяйственной деятельности?
Пользуясь табл. 7.1, рассмотрите инвестиционные качества основных объектов банковского инвестирования.
Каково содержание основных этапов разработки инвестиционной политики?
Как различаются банковские ресурсы по степени стабильности?
Какие макро- и микроэкономические факторы должен учитывать банк при разработке и реализации инвестиционной политики?
Магический треугольник инвестиционных качеств
Важнейшей характеристикой форм и видов банковских инвестиций является их оценка с позиций объединенного критерия вложения средств, так называемого магического треугольника «доходность — риск — ликвидность», который отражает противоречивость целей инвестирования и требований, предъявляемых к инвестиционным ценностям.
Существуют устойчивые зависимости между доходностью, ликвидностью и риском как инвестиционными качествами объектов вложений, проявляющиеся усреднение на значительном массиве данных. Они выражаются в том, что, как правило, по мере увеличения доходности снижается ликвидность и возрастает риск вложений. На этой основе исследователи составляют шкалы изменения инвестиционных качеств различных активов, матрицы, представляющие группировки активов по перспективам увеличения или колебания их стоимости, срокам, ликвидности и т.д. Характеристика объектов инвестиционных вложений коммерческих банков с точки зрения соответствия основным инвестиционным качествам приведена в табл. 7.1.
Данные оценки свидетельствуют о том, что в принципе нет инвестиционных ценностей, отвечающих одновременно всем составляющим критериям. Вместе с тем на практике могут возникать парадоксальные варианты соединений в каком-либо инвестиционном объекте всех инвестиционных качеств. Ярким примером этого служат ГКО, которые на протяжении значительного времени (1994-1996 гг.) характеризовались не только высокой ликвидностью и минимальным риском, но и существенной доходностью.
Таблица 7.1. Характеристика инвестиционных качеств объектов банковского инвестирования

Следует отметить, что оценки, приведенные в табл. 7.1, носят усредненный характер. Так, доходность облигаций может вообще оказаться отрицательной, если они будут проданы до истечения срока погашения в период увеличения процентных ставок. Доход от акций в виде дивиденда может отсутствовать или быть незначительным. Однако, если учесть возможность повышения прибыли в результате роста курса акций, оценка в данном случае становится более высокой. Вместе с тем понижение курса акций может привести к уменьшению дохода вплоть до появления убытков.
и долевые участия может быть
Доходность вложений в паи и долевые участия может быть различной в зависимости от характеристик инвестиционного объекта и целей вложения. Вложения в драгоценные металлы и камни не обеспечивают текущего дохода, а величина стоимости этих активов подвержена колебаниям.
Инвестиции в недвижимость могут явиться источником стабильного дохода, если они осуществляются с целью последующей сдачи ее в аренду. Кроме того, стоимость земельных участков может резко увеличиться, если в их приобретении будут заинтересованы организации, ведущие крупномасштабное строительство в этом районе, планирующие присоединить данные участки к своей территории и т.д.
Риск вложений связан с характером самого объекта инвестиций, репутацией гаранта и эмитента, законодательными нормами. Тем не менее при вложении средств в акции, паи, долевые участия нельзя полностью исключить риск их потери в результате банкротства предприятия.
Градация по степени ликвидности обусловлена наличием постоянной возможности изъять средства. Она сопряжена с риском потерь из-за колебаний стоимости или курса активов, отсюда вытекает условно-положительная оценка применительно к облигациям, акциям, паям и долевым участиям. Драгоценные металлы и камни считаются недоходным активом, однако в период кризисов их стоимость характеризуется тенденцией к возрастанию. Срочная продажа объектов недвижимости, как правило, связана со значительной скидкой с цены.
Выбор оптимальных форм инвестирования коммерческих банков с учетом различных факторов, воздействующих на инвестиционную деятельность, предполагает разработку и реализацию инвестиционной политики.
Предпосылкой формирования инвестиционной политики служит
Предпосылкой формирования инвестиционной политики служит общая деловая политика развития банка, основные цели которой являются приоритетными при разработке стратегических целей инвестиционной деятельности. Представляя собой важный составной элемент общей экономической политики, инвестиционная политика выступает фактором обеспечения эффективного развития банка. Процесс формирования инвестиционной политики банка в наиболее общем виде представлен на рис. 7.1.

Магический треугольник инвестиционных качеств
Инвестиционная политика коммерческих банков предполагает формирование системы целевых ориентиров инвестиционной деятельности, выбор наиболее эффективных способов их достижения. В организационном аспекте она выступает как комплекс мероприятий по организации и управлению инвестиционной деятельностью, направленных на обеспечение оптимальных объемов и структуры инвестиционных активов, рост их прибыльности при допустимом уровне риска. Важнейшими взаимосвязанными элементами инвестиционной политики являются стратегические и тактические процессы управления инвестиционной деятельностью банка.
Под инвестиционной стратегией понимают определение долгосрочных целей инвестиционной деятельности и путей их достижения. Ее последующая детализация осуществляется в ходе тактического управления инвестиционными активами, включающего выработку оперативных целей краткосрочных периодов и средств их реализации. Разработка инвестиционной стратегии является, таким образом, исходным пунктом процесса управления инвестиционной деятельностью.
Формирование инвестиционной тактики происходит в рамках заданных направлений инвестиционной стратегии и ориентировано на их выполнение в текущем периоде. Оно предусматривает определение объема и состава конкретных инвестиционных вложений, разработку мероприятий по их осуществлению, а в необходимых случаях — составление моделей принятия управленческих решений по выходу из инвестиционного проекта и конкретных механизмов реализации этих решений.
Разработка инвестиционной политики банка является достаточно сложным процессом, что обусловлено следующими обстоятельствами. Прежде всего, вследствие продолжительности инвестиционной деятельности, она должна осуществляться на основе тщательного перспективного анализа, прогнозирования внешних условий (состояния макроэкономической среды и инвестиционного климата, конъюнктуры инвестиционного рынка и его отдельных сегментов, особенностей налогообложения и государственного регулирования банковской деятельности) и внутренних условий (объема и структуры ресурсной базы банка, этапа его жизненного цикла, целей и задач развития, относительной доходности различных активов с учетом факторов риска и ликвидности и др.), вероятностный характер которых затрудняет формирование инвестиционной политики.
Кроме того, определение основных направлений инвестиционной деятельности связано с масштабными проблемами исследования и оценки альтернативных вариантов инвестиционных решений, разработки оптимальной, с позиций прибыльности, ликвидности и риска модели инвестиционного развития. Существенно усложняет выработку инвестиционной политики изменчивость внешней среды деятельности банков, определяющей необходимость периодической корректировки инвестиционной политики, учета прогнозируемых изменений и выработки системы оперативного реагирования. Поэтому формирование инвестиционной политики банков сопряжено с существенными трудностями даже в условиях устойчиво развивающейся экономики.
Микроэкономический и макроэкономический аспекты инвестиционной деятельности банков
Приумножая деньги имеют собственное экономическое содержание. Инвестиционную деятельность банка в микроэкономическом аспекте — с точки зрения банка как экономического субъекта — можно рассматривать как деятельность, в процессе которой банк выступает в качестве инвестора, вкладывая свои ресурсы на срок в создание или приобретение реальных активов и покупку финансовых активов с целью извлечения прямых и косвенных доходов.
Вместе с тем инвестиционная деятельность банков имеет и иной аспект, связанный с осуществлением их макроэкономической роли как финансовых посредников. В этом качестве банки способствуют реализации инвестиционного спроса хозяйствующих субъектов, выступающего в условиях рыночной экономики в денежно-кредитной форме, трансформации сбережений и накоплений в инвестиции. Поэтому в макроэкономическом аспекте инвестиционная деятельность банков понимается как деятельность, направленная на удовлетворение инвестиционных потребностей экономики.
Таким образом, инвестиционная деятельность банков имеет двойственную природу. Инвестиционная деятельность, рассматриваемая с точки зрения экономического субъекта (банка), нацелена на увеличение доходов банка. Эффект инвестиционной деятельности в макроэкономическом аспекте заключается в достижении прироста общественного капитала.
Инвестиционная деятельность банков с позиций развития экономики включает те вложения, которые способствуют получению дохода не только на уровне банка, но и общества в целом (в отличие от тех форм инвестиционной деятельности, которые, обеспечивая увеличение дохода конкретного банка, сопряжены с перераспределением общественного дохода). Следовательно, критерием отнесения к инвестиционной деятельности с точки зрения макроэкономики является производительная направленность вложений банка.
Производственные инвестиции банков выступают как вложения в создание и развитие предприятий и организаций путем участия банка в капитальных затратах хозяйствующих субъектов в форме приобретения долей, паев, акций, других ценных бумаг предприятий, размещаемых на первичном рынке, инвестиционного кредитования, финансирования инвестиционных проектов (проектное финансирование). Оба аспекта инвестиционной деятельности коммерческих банков тесно связаны друг с другом. В основе этой взаимосвязи лежит развитие рынка приватизационных объектов и рынка ценных бумаг, инструменты которого прямо или косвенно формируют предпосылки осуществления инвестиционного процесса.
В ходе инвестиционной деятельности в микроэкономическом аспекте коммерческие банки участвуют в размещении ценных бумаг приватизируемых предприятий, осуществляют вложения в уставный капитал в форме приобретения акций, паев, долей в ценные бумаги предприятий, размещаемые на первичном рынке, ведут учредительскую деятельность. Таким образом, собственно инвестиционная деятельность является важной составляющей инвестиционных процессов в экономике.
В то же время в реальных условиях российской экономики, где рынок ценных бумаг отличается доминированием спекулятивных вложений, неустойчивостью и не играет сколько-нибудь существенной роли в решении проблем инвестирования экономики, в течение достаточно продолжительного периода сохранится приоритетная значимость кредитных форм удовлетворения инвестиционного спроса. Поэтому при изучении участия банков в инвестиционном процессе следует учитывать двойственный характер инвестиционной деятельности банков.
Несмотря на постоянное движение средств
Несмотря на постоянное движение средств на отдельных счетах, в общей их совокупности можно выделить некий стабильный, неснижаемый остаток. Коэффициент трансформации, характеризующий границы трансформации бессрочных ресурсов в срочные, по расчетам составляет 10—40% от суммы величины остатков на счетах до востребования.
Рост возможностей по привлечению средств в депозиты связан также с использованием депозитных и сберегательных сертификатов, других финансовых инструментов, появившихся на российском рынке. Увеличение объемов их выпуска, срока обращения нивелирует колебания депозитов, способствует расширению ресурсной базы инвестиций банков. Стратегия поддержания устойчивости депозитов является важнейшей составляющей общей стратегии коммерческих банков.
В качестве источников финансирования инвестиций могут использоваться и ресурсы, формируемые за счет привлечения займов. К ним относят кредиты Центрального банка, межбанковские ссуды, средства, полученные в результате эмиссии долговых обязательств (облигаций, векселей). Заемные источники используются для финансирования инвестиций банками, проводящими активную политику. Для расширения возможностей финансирования инвестиционных активов, поддержания ликвидности они часто прибегают к обширным займам денежных средств на финансовом рынке. При этом важнейшим условием использования заемных средств является сопоставление издержек их привлечения с предполагаемыми доходами от инвестиционной деятельности.
На основе анализа специфики движения различных видов банковских ресурсов исходя из степени стабильности можно выделить следующие три группы:
наиболее стабильные (собственные средства банков и долгосрочные обязательства);
стабильные (срочные и сберегательные депозиты, займы у других банков, неснижаемый остаток депозитов до востребования);
нестабильные (подверженные колебаниям остатки депозитов до востребования).
Чем больше доля стабильной и дешевой части банковских ресурсов, тем при прочих равных условиях выше прибыльность и устойчивость коммерческого банка. Любые сдвиги в структуре активов и пассивов воздействуют на доходность и степень риска банковских операций. В основе этих сдвигов лежат изменения кредитной и инвестиционной политики банка, которые, в свою очередь, определяются целым рядом макроэкономических и микроэкономических факторов.
Определение источников финансирования инвестиций
Все формы и виды инвестиционной деятельности банков осуществляются за счет формируемых ими ресурсов. Политика формирования инвестиционных ресурсов призвана обеспечить осуществление инвестиционной деятельности в заданных масштабах и направлениях, эффективное использование собственных и привлеченных средств, вложенных в инвестиционные активы.
Разработка основных направлений инвестирования сопряжена с проведением одновременной работы по определению источников их финансирования. Прогнозирование потребности в общем объеме инвестиционных ресурсов производится на основе сопоставления объемов, предусмотренных при формировании основных направлений инвестиционной деятельности, и долей, приходящихся на инвестиционные активы при распределении эффективного потенциала банков между различными группами активов, с учетом предстоящих потоков денежных средств в виде платежей и поступлений, оценки возможностей привлечений средств на финансовом рынке в рамках обшей финансовой стратегии банка.
При этом требуется обеспечение соответствия не только общих объемов инвестиций и источников их финансирования, но и ряда структурных показателей. Такие важные характеристики инвестирования, как доходность и риск, в немалой степени зависят от вида используемых для финансирования инвестиций банковских ресурсов, различающихся по стоимости привлечения, степени риска их изъятия и др.
Важным элементом инвестиционной политики является анализ структуры пассивов, выбор оптимального соотношения между собственным капиталом банка и его долговыми обязательствами, определение структуры долговых обязательств по срокам погашения, рискам изменения стоимости, прогнозирование альтернативных форм мобилизации инвестиционных ресурсов. Такая стратегия формирования инвестиционных ресурсов дает возможность сопоставить структурные показатели источников финансирования инвестиций с характеристикой рассматриваемых объектов инвестирования, сгруппированных по срокам, ликвидности и перспективам увеличения.
Принятие инвестиционных решений банка должно быть ориентировано на достижение оптимального соотношения между объемом и структурой вложений и их ресурсным обеспечением с позиций максимальной доходности и минимального риска, что является целевой функцией инвестиционной политики банка. Это предполагает прогнозирование направлений инвестирования в предстоящем периоде на основе прогнозируемых изменений объема и структуры инвестиционных вложений и источников их финансирования.
Таким образом, управление инвестиционной деятельностью должно охватывать как формирование основных направлений инвестирования, так и определение необходимого ресурсного обеспечения.
При формировании источников финансирования конкретных видов инвестиционных вложений необходим учет специфики различных видов банковских ресурсов, позволяющий осуществить их анализ по степени стабильности, издержкам привлечения и другим критериям.
Наиболее надежным и устойчивым источником финансирования инвестиций являются собственные средства (капитал) коммерческого банка. Собственные средства банка вследствие существенной специфики банковского дела по сравнению с другими сферами коммерческой деятельности занимают небольшую долю в общем объеме банковских ресурсов.
Основными источниками финансирования активных операций, составляющими наибольшую долю в структуре банковских пассивов, являются депозитные средства (срочные и до востребования). Депозиты до востребования в отличие от срочных вкладов, выступая более дешевым источником ресурсов для банка, вместе с тем составляют группу пассивов, характеризующихся повышенной степенью риска изъятия.
Значительная часть привлеченных российскими банками средств носит бессрочный или краткосрочный характер. Это обстоятельство лежит в основе негативной оценки многими экономистами инвестиционного потенциала российских банков. Однако и при сложившейся структуре ресурсной базы имеются определенные возможности использования части краткосрочных средств для финансирования средне- и долгосрочных инвестиций без нарушения ликвидности.
Производственные инвестиции
Производственные инвестиции, выступающие как форма участия банков в капитальных затратах хозяйствующих субъектов, осуществляются путем предоставления инвестиционных кредитов и различных способов участия в финансировании инвестиционных проектов. Коммерческие банки могут участвовать в финансировании инвестиционного проекта путем предоставления кредита, акционирования, формирования и расширения уставного капитала, лизинга или различных сочетаний этих способов.
Инвестируя средства в инвестиционный проект, банк получает не только прибыль, но и возможность участия в управлении создаваемым или реконструируемым предприятием, которая основана на приобретении им права долевой собственности на имущество предприятия, оформленное паем или пакетом акций, а также использование «забалансовых» форм, например договора об участии в управлении. Непосредственный доступ к инвестиционному проекту усиливает заинтересованность банка в выборе общей стратегии, обусловливает укрепление сотрудничества и всесторонней помощи в реализации проекта.
Российские коммерческие банки зачастую осуществляют вложения в создание и развитие предприятий и организаций, рассчитывая не на дивиденды и проценты, а на побочный экономический результат: закрепление на рынках, привлечение дополнительных клиентов и т.д. Одним из условий инвестирования, как отмечалось выше, выступает требование получения контроля над предприятием.
Между тем развитие инвестиционных отношений банков с производственными предприятиями преимущественно на этой основе может иметь сугубо негативные последствия. Чрезмерное сосредоточение собственности нефинансовых предприятий у банков связано с возрастанием банковских рисков, уменьшением надежности и устойчивости банковской системы. В связи с этим существующие законодательные и нормативные акты содержат ряд ограничений на участие банков в хозяйственной деятельности.
Среди них следует отметить прежде всего:
законодательный запрет заниматься производственной, торговой и страховой деятельностью;
ограничение участия банков в капитале других предприятий и организаций 25% собственных средств;
ограничение вложений в приобретение долей (акций) одного юридического лица 10% капитала банка;
различные ограничения кредитных рисков;
прочие ограничения, устанавливаемые для всех хозяйствующих субъектов (антимонопольные правила, нормативы, регламентирующие участие в финансово-промышленных группах).
Разработка основных направлений инвестиционной политики
Определение оптимальных способов реализации стратегических целей инвестиционной деятельности предполагает выработку основных направлений инвестиционной политики и установление принципов формирования источников финансирования инвестиций.
В соответствии с этими критериями можно выделить следующие направления инвестиционной политики:
инвестирование с целью получения дохода в виде процентов, дивидендов, выплат из прибыли;
инвестирование с целью получения дохода в виде приращения капитала в результате роста рыночной стоимости инвестиционных активов;
инвестирование с целью получения дохода, составляющими которого выступают как текущие доходы, так и приращение капитала.
Ориентация на одно из указанных направлений является ключевым звеном формирования инвестиционной политики, определяющим состав объектов инвестирования, источник получения дохода, уровень приемлемого риска и подходы к анализу инвестиций.
При выборе первого направления инвестиционной политики определяющее значение придается стабильности дохода. Отражая традиционные подходы к инвестированию, данное направление лежит в основе консервативной инвестиционной политики. Оно предусматривает вложение средств в активы с фиксированной доходностью в течение длительного периода времени при минимальном риске, высокой надежности и ликвидности инвестиций. Основной целью инвестиционного анализа является выявление степени надежности вложений, гарантированности доходов, уровня рисков и возможностей их хеджирования. Особое внимание уделяется ретроспективным и текущим аспектам анализа, сбору и обработке информации, характеризующей движение процентных ставок, доходность ценных бумаг, рейтинги компаний — эмитентов ценных бумаг.
При ориентации инвестиционной политики на приращение капитала на первый план выдвигается стабильность увеличения рыночной стоимости инвестиционных активов, а их доходность рассматривается лишь как один из факторов, определяющих стоимость активов. Политика, направленная на рост капитала, связана с вложениями средств в инвестиционные объекты, которые характеризуются повышенной степенью риска, обусловленной возможностью обесценения их стоимости. Рост рыночной стоимости объектов инвестирования может происходить как в результате улучшения их инвестиционных качеств, так и кратковременных колебаний рыночной конъюнктуры. При этом возрастает роль спекулятивной составляющей.
Особенности данного типа инвестиционной политики определяют усиление роли перспективных аспектов анализа по сравнению с ретроспективным и текущим анализом при принятии инвестиционных решений. Выбор рассматриваемого направления в качестве приоритетного характерен для агрессивной инвестиционной политики, целью которой является достижение высокой эффективности каждой инвестиционной операции, максимизации дохода в виде разницы между ценой приобретения актива и его последующей стоимостью при ограниченном периоде инвестирования.
В практике банковской деятельности оба направления инвестиционной политики могут сочетаться в различных формах, позволяющих, как правило, усилить преимущества и сгладить недостатки. Вариантом такой комбинации выступает умеренная инвестиционная политика, при которой предпочтение оказывается достаточной величине дохода в виде как текущих выплат, так и приращения капитала при не ограниченном жесткими рамками периоде инвестирования и умеренном риске.
Реальные инвестиции банков
Поскольку коммерческие банки не ведут деятельность в сфере производства, реальные инвестиции банков могут осуществляться в виде вложений в недвижимость, драгоценные металлы, предметы коллекционирования, имущественные и интеллектуальные права, имеющие рыночное хождение, а также создание и развитие собственной материально-технической базы.
Вложения в недвижимость могут приносить доход в виде прироста рыночной стоимости и арендной платы. Однако осуществление вложений в недвижимость предполагает наличие достаточных долгосрочных источников финансирования инвестиций и является целесообразным, как правило, для крупных банков.
Рынок недвижимости включает три основных сегмента: жилые здания, объекты хозяйственного назначения и земельные участки. Деятельность на каждом из них требует специальных знаний при покупке и управлении, что означает необходимость наличия в штате банка профессионально подготовленных работников соответствующей квалификации. Кроме того, для этой формы вложений характерна низкая степень ликвидности. Поэтому принятие инвестиционных решений должно быть связано с учетом всех указанных факторов, опираться на всестороннюю информацию и взвешенные оценки. Критериями при выборе объекта инвестирования в сфере недвижимости служат назначение объекта, местоположение, размер объекта, покупка или строительство, замена путем продажи.
Вложения в драгоценные металлы, камни и предметы коллекционирования могут производиться банками по различным мотивам (в расчете на возрастание рыночной стоимости, на способность данных активов сохранять свою стоимость с течением времени, а следовательно, служить страховым резервом, по престижным соображениям и др.).
Как правило, инвестирование в драгоценные металлы, камни и коллекции не направлено на извлечение прибыли в ближайшем будущем и осуществляется банками, обладающими достаточной ресурсной базой или проводящими политику вложений в недооцененные активы, а также иные рисковые активы с неопределенной рыночной оценкой в расчете на получение в перспективе высоких доходов. Такие банки являются владельцами крупных художественных коллекций, не уступающих музейным. Вложения денежных средств в драгоценные металлы, камни и предметы коллекционирования являются более ликвидным видом инвестиций, чем вложения в недвижимость, что определяет возможность их относительно быстрой реализации при наступлении форс-мажорных обстоятельств.
Реальные инвестиции, как правило, составляют незначительную долю в общем объеме банковских инвестиций. Более характерными для банков как финансово-кредитных институтов являются финансовые инвестиции.
Трактовка инвестиционной деятельности банков в экономической литературе
В экономической литературе инвестиционная деятельность банков рассматривается в основном в микроэкономическом аспекте с позиций изучения инвестиционных операций самого банка.
В зарубежной литературе термином «инвестиции» обозначают, как правило, средства, вложенные в ценные бумаги на относительно продолжительный период времени. Это является теоретическим отражением реально существующих экономических отношений, поскольку механизмы инвестирования в рыночной экономике непосредственно связаны с рынком ценных бумаг.
Инвестиционная деятельность банков рассматривается как бизнес по оказанию двух типов услуг:
увеличение наличности путем выпуска или размещения ценных бумаг на их первичном рынке;
соединение покупателей и продавцов существующих ценных бумаг на вторичном рынке при выполнении функций брокеров и/или дилеров.
В советской экономической литературе под инвестиционной деятельностью банков понимали мобилизацию и предоставление заемщикам долгосрочного ссудного капитала. Такая трактовка была обусловлена существовавшими особенностями организации банковского дела, спецификой объектов и субъектов инвестирования, поскольку основной формой инвестиционной деятельности банков в дореформенный период выступало долгосрочное кредитование. Инвестиционная деятельность в узком смысле слова, предполагающая функционирование рынка ценных бумаг, не могла существовать по вполне понятным причинам.
С переходом к рыночным отношениям и становлением фондового рынка трактовка банковских инвестиций как долгосрочных вложений в ценные бумаги находит отражение и в отечественной экономической литературе. В.М. Усоскин, в частности, отмечает, что к банковским инвестициям принято относить ценные бумаги со сроком до момента погашения свыше одного года.
Инвестиции понимаются и как все направления размещения ресурсов коммерческого банка, и как операции по размещению денежных средств на срок в целях получения дохода. В первом случае к инвестициям относят весь комплекс активных операций коммерческого банка, во втором — его срочную составляющую.
в инвестиционном процессе определяется взаимообусловленностью
1. Необходимость активизации участия банков в инвестиционном процессе определяется взаимообусловленностью эффективного развития банковской системы и экономики в целом. В наиболее общем виде основные направления участия банков в инвестиционном процессе включают мобилизацию банками средств на инвестиционные цели, предоставление кредитов инвестиционного характера, вложения средств в ценные бумаги, паи, долевые участия.
2. Инвестиционная деятельность банка имеет двойственную природу. С позиций экономического субъекта (банка) она рассматривается как деятельность по вложению ресурсов банка на срок в создание или приобретение реальных активов и покупку финансовых активов с целью извлечения прямых и косвенных доходов, осуществляемую по инициативе банка. В макроэкономическом аспекте, связанном с реализацией роли банков как финансовых посредников, инвестиционная деятельность банков понимается как деятельность, направленная на удовлетворение инвестиционных потребностей экономики.
3. Классификация форм инвестиционной деятельности коммерческих банков может осуществляться по ряду критериев, в частности, по объекту вложений, цели инвестирования, назначению вложений, источникам средств для инвестирования, срокам, рискам и т.д. Специфика банковской деятельности определяет некоторые особенности банковских инвестиций. Для банков как финансово-кредитных институтов более характерными являются не реальные, а финансовые инвестиции. Финансовые инвестиции банков включают вложения в ценные бумаги, срочные депозиты в других банках, инвестиционные кредиты, паи и долевое участие. Особое значение для финансирования инвестиционной деятельности предприятий реального сектора экономики имеют производственные инвестиции банков. Они выступают в форме участия банков в капитальных затратах хозяйствующих субъектов и осуществляются путем предоставления инвестиционных кредитов и различных способов финансирования инвестиционных проектов.
4. Основной характеристикой форм и видов банковских инвестиций является их оценка с позиций так называемого магического треугольника доходность — риск — ликвидность, который отражает противоречивость этих инвестиционных качеств и означает, что в принципе нет инвестиционных ценностей, отвечающих одновременно всем составляющим критериям.
5. Инвестиционная политика коммерческих банков связана с формированием системы целевых ориентиров инвестиционной деятельности и выбором наиболее эффективных способов их достижения. Основными элементами инвестиционной политики являются стратегия и тактика управления инвестиционной деятельностью банка. Процесс разработки инвестиционной политики предполагает формулирование стратегических целей, разработку основных направлений инвестиционной политики, определение источников финансирования инвестиций, детализацию инвестиционной стратегии, анализ, оценку и мониторинг разработанной инвестиционной политики, корректировку инвестиционной политики.
Формирование ориентации банков на спекулятивные операции
Механизм компенсации растущих банковских рисков, не имевших внутренних источников покрытия при сжатии ресурсной базы, предполагал использование таких форм, как малорисковые и высокоприбыльные вложения банковских средств. Такими формами в разное время выступали валютные операции, межбанковские кредиты, вложения в государственные долговые обязательства. Нарушение этого механизма всякий раз вызывало серьезные потрясения банковской системы. Примерами могут служить крах валютного рынка (октябрь 1994 г.), межбанковского рынка (август 1995 г.), рынка государственных ценных бумаг (август 1998 г.).
До введения Банком России валютного коридора в 1995 г. наиболее привлекательным видом вложения активов для банков являлись операции на валютном рынке. В ряде случаев более 50% активов и пассивов банков были номинированы в иностранной валюте.
С развитием рынка государственных ценных бумаг доминирующей формой вложений стало размещение средств в ГКО-ОФЗ. В 1995 г. доходность рынка ГКО составляла 168%, а с учетом налоговых льгот 270%. Несмотря на ограничение объемов эмиссии, выпуск ряда налогооблагаемых серий и снижение средней доходности ГКО до 86% в 1996 г. и 22% в 1997 г., доходность этих ценных бумаг по-прежнему превышала доходность других финансовых инструментов и вложений в реальный сектор.
Вложения в государственные долговые обязательства занимали наибольшую долю в портфеле ценных бумаг банков (табл. 8.4).
Основная часть государственных долговых обязательств в банковском секторе (75-80%) приходилась на долю Центрального банка РФ и Сбербанка России (табл. 8.5). Среди прочих банков 68,5% от общего объема вложений в ГДО концентрировалось в пяти наиболее крупных по величине активов банках. Эти банки оказались наиболее уязвимыми в условиях финансового кризиса.
Таблица 8.4. Структура портфеля ценных бумаг банков в 1996-1997 гг., %

Снижение доходности спекулятивных операций на
Таблица 8.5. Структура размещения ГДО в банковской сфере в 1996—1997 гг., %

Снижение доходности спекулятивных операций на финансовом рынке в 1996—1997 гг. не привело к автоматическому притоку банковских ресурсов в производственную сферу
Практика работы банков в период рыночного реформирования экономики подтверждает, что при наличии альтернативных направлений вложения средств в финансовые инструменты банки экономически не заинтересованы вкладывать средства в производственные инвестиции, характеризующиеся меньшей доходностью, длительными сроками окупаемости и высокими рисками.
с действием рыночных механизмов конкуренции
Ускорился процесс ухода с финансового рынка мелких и средних банков (табл. 8.2), что связано как с действием рыночных механизмов конкуренции и концентрации, так и с настойчиво проводимой Банком России политикой на укрупнение банков и наращивание ими собственного капитала.
На начальном этапе развития банковской системы (1988-1993 гг.) лидирующие позиции в списке крупнейших банков занимали банки, образованные на базе филиалов и отделений бывших специализированных банков. В последующие годы (1994-1995 гг.) их место стало постепенно переходить к вновь образованным банкам. Одновременно из числа крупнейших выбывали региональные банки.
Таблица 8.2. Группировка действующих кредитных организаций по величине зарегистрированного уставного капитала

Начиная с конца 1995 г. процесс формирования банков-лидеров начал определяться не только фактором инфляционного накопления финансового потенциала, но и уровнем банковского менеджмента и захватом рыночной ниши. В период, последовавший за снижением темпов инфляции, возможности масштабного роста депозитной базы получили банки, ранее других начавшие региональную экспансию и создавшие разветвленную филиальную сеть.
Следует отметить, что территориальное распределение банков в России отражало сложившуюся в экономике ситуацию, когда доминирующая часть финансовых ресурсов (примерно 80%) обращалась в Московском регионе. Это определило ряд существенных особенностей в функционировании банковской системы в территориальном разрезе.
и Московской области располагались 44%
Во-первых, в Москве и Московской области располагались 44% коммерческих банков России, в то время как региональная сеть была достаточно разреженной. Примерно по 7% от общего числа банков находилось в каждом из трех крупнейших экономических регионов: Западно-Сибирском, Уральском и Поволжском. На остальные шесть приходилось от 2 до 4,5% их общего количества. Исключением являлся Северо-Кавказский регион, где сосредоточилось более 11% всех банков.
Во-вторых, в Московском регионе находились наиболее крупные кредитные организации России. По состоянию на 1 января 1997 г. в число 40 крупнейших кредитных организаций не входил ни один банк семи экономических регионов, на 1 июля 1997 г. — восьми регионов, на 1 января 1998 г. — девяти регионов.
В-третьих, в регионах количество филиалов иногородних (в основном московских банков) существенно превосходило число местных банков. При сокращении числа региональных банков происходило укрепление в регионах позиций крупных банков федерального значения. Соотношение филиалов банков других регионов и местных банков и их филиалов составляло менее 40% только в Московском регионе.
Процессы концентрации банковского капитала привели к институциональным сдвигам в банковской системе. С января 1997 г. по январь 1998 г. количество кредитных институтов с объявленным уставным капиталом до 500 тыс. руб. сократилось в два раза, с уставным капиталом от 500 тыс. руб. до 5 млн руб. — в полтора раза. Параллельно росло число крупных и крупнейших банков: число кредитных организаций с объявленным уставным капиталом свыше 20 млн руб. увеличилось в полтора раза.
В основном быстрый количественный рост банков достигался за счет использования ими возможностей бесплатного привлечения бюджетных ресурсов, средств финансово-промышленных групп, иностранных синдицированных кредитов, ориентации на работу с крупнейшими корпоративными клиентами и вложения значительной части активов в государственные обязательства.
Данная стратегия, длительное время определявшая благоприятные финансовые результаты, возрастание капиталов и активов, в условиях нарастания кризисных событий 1998 г. оказала разрушительное воздействие на их финансовое состояние. Наибольшие потери понесли крупнейшие банки, активно пользовавшиеся своими возможностями на этапе расширения.
Общая характеристика становления российской банковской системы
На начальном этапе формирования российской банковской системы наблюдался быстрый количественный рост банковских организаций. В 1988—1991 гг. рост числа банков осуществлялся в основном за счет раздробления бывших государственных специализированных банков, а увеличение их капитала — путем перелива бюджетных средств. В 1992—1994 гг., в период высокой инфляции и неконтролируемой девальвации, банковский сектор активно расширялся за счет инфляционного перераспределения национальных ресурсов (в первую очередь, ресурсов реального сектора) в свою пользу. Об этом свидетельствует динамика показателей доли доходов банков в ВВП, а также темпа инфляции.
В 1991 г. доля доходов банков в ВВП составляла 2,2%, в 1994 г. она выросла до 7,4%, а к 1996 г. снизилась до 6,4%. Падение доходности банковских операций в условиях снижения темпов инфляции привело к существенному ухудшению финансового положения многих банков. На 1 января 1996 г. 16% коммерческих банков утратили основной капитал, более 30% банков были убыточны.
Процесс создания новых банков замедлился, в то же время увеличились масштабы и темпы ликвидации неэффективных банковских организаций. Это свидетельствовало о завершении в основном экстенсивного этапа становления банковской инфраструктуры и перехода к новой ступени развития. Пик количественного роста банков пришелся на 1996 г., когда общая численность зарегистрированных банков достигла 2598, из них 2273 являлись действующими (табл. 8.1).
Таблица 8.1. Основные показатели развития банковской сети

Основные этапы реструктуризации российской банковской системы
Объективная необходимость в реструктуризации банковской системы возникла еще в середине 90-х годов, что нашло свое отражение, в частности, в рекомендациях экспертов международных финансовых организаций, представленных правительству страны в 1995 г. Однако решение о проведении реструктуризации было принято лишь осенью 1998 г. в условиях острейшей фазы финансового кризиса, когда Правительство РФ и Банк России издали совместный документ «О мерах по реструктуризации банковской системы Российской Федерации».
Процесс реструктуризации российской банковской системы включал:
1) неотложные меры по восстановлению ликвидности и платежеспособности банковской системы;
2) среднесрочные меры по восстановлению способности банковской системы оказывать базовый комплекс услуг, по совершенствованию банковского надзора и менеджмента;
3) стратегические меры, направленные на полное восстановление ликвидности банковской системы, рост капитальной и ресурсной базы, создание стимулов для эффективного взаимодействия с реальным сектором экономики.
В порядке проведения неотложных мер по восстановлению ликвидности кредитных организаций и предотвращению коллапса платежной системы был использован комплекс средств, включавших:
1) передачу в Сбербанк РФ вкладов населения из шести крупнейших коммерческих банков, из банков, в которых частные вклады превышали 300 млн руб., а также из других банков по их ходатайству и согласованию с администрациями субъектов Федерации;
2) корректировку политики обязательных резервных требований, изменение нормативов обязательных резервов, депонируемых в Банке России;
С 24 августа 1998 г. нормативы обязательных резервных требований были снижены с 11 до 10%. С 1 сентября 1998 г. были введены новые нормативы обязательного резервирования в зависимости от доли вложений кредитных организаций в государственные обязательства в работающих активах: при доле в 40% и более величина норматива составляла 5%, при доле 20—40% она составляла 7,5% (для Сбербанка был установлен норматив 5%). Кредитные организации также получили право внеочередного регулирования обязательных резервов. С 1 декабря 1998 г. для всех кредитных организаций был установлен единый норматив обязательного резервирования по привлеченным средствам в рублях и иностранной валюте в размере 5%. С 19 марта 1999 г. величина норматива обязательного резервирования по привлеченным средствам в иностранной валюте была увеличена до 7%.
3) проведение многостороннего клиринга межбанковских расчетов с внеочередным регулированием обязательных резервов и использованием части этих резервов для покрытия недостатка средств у банков;
4) неприменение санкций за нарушения экономических нормативов вследствие снижения капитала, если причиной снижения явился кризис на финансовых рынках;
5) предоставление стабилизационных кредитов крупнейшим банкам, ряду региональных банков и отдельным социально значимым банкам;
6) выпуск облигаций Банка России, которые могли использоваться для обеспечения кредитов ЦБ РФ;
7) корректировку учетной политики Банка России.
Проведение этих мер позволило ослабить напряженность ситуации в банковском секторе, повысить ликвидность и платежеспособность кредитных организаций и перейти к осуществлению среднесрочных задач первого этапа реструктуризации банковской системы.
Основные направления инвестиционной деятельности российских банков
Проведенный анализ показал, что финансовые ресурсы банковской системы России недостаточны для эффективной поддержки реального сектора, удовлетворения потребностей экономики, в частности промышленности, которая в отличие от банковской системы, характеризующейся преобладанием мелких и средних банков, является высококонцентрированной. Вместе с тем проблема заключается в том, что в сложившейся ситуации банки не осуществляют эффективного перераспределения даже доступного им инвестиционного потенциала.
Проблемы взаимодействия банков с реальным сектором экономики
О незначительном месте банков в экономике России по сравнению с аналогичными показателями других стран говорят следующие данные: отношение суммарных чистых активов к ВВП составляет около 28%, в то время как в Бразилии, Мексике, США — более 50%, Франции и Германии 150-200%. Следует отметить, что на начальном этапе рыночного реформирования доля совокупных чистых активов российских банков была значительно выше и достигала 80% ВВП. Существенное снижение этого показателя в ходе рыночного реформирования экономики во многом обусловлено тем, что становление банковской системы происходило в отрыве от реального сектора.
В результате роста диспропорций между развитием реального и финансового секторов экономики формировались предпосылки не вовлечения, а, напротив, вытеснения банковского капитала из реальной сферы. В течение продолжительного времени российские банки учитывали при выработке своей инвестиционной политики фактор инфляции через установление определенных соотношений своих пассивов и активов, процентных ставок и ориентировались в основном на краткосрочные вложения, которым в условиях высокой инфляции присущи повышенная оборачиваемость и высокая норма прибыли. Данная ориентация не изменилась и при снижении темпов инфляции, что объяснялось сохранением более высокой доходности и меньших рисков финансовых инструментов по сравнению с реальными инвестиционными проектами.
Сложившаяся зависимость банков от рынка коротких денег при ухудшении финансового положения предприятий и организаций реального сектора экономики вела к накоплению кризисного потенциала. При этом сформировалась взаимосвязь между кризисными процессами в реальном и банковском секторах экономики. Ухудшение финансового положения нефинансовых предприятий и соответствующее сжатие средств на их банковских счетах вело к уменьшению ресурсной базы коммерческих банков и их инвестиций в производство; при снижении объема банковских инвестиций и кредитов происходило дальнейшее падение платежеспособности предприятий, что вызывало рост инвестиционных и кредитных рисков.
В свою очередь, рост рисков являлся важнейшим фактором, дестимулирующим инвестиционную деятельность банков, поскольку при возрастании рисков усиливалось противоречие между активизацией инвестирования и задачей сохранения финансовой устойчивости банков и возрастал разрыв между процентными ставками (при увеличении премии за риск, включаемой в процентную ставку) и рентабельностью производства.
В результате ликвидность банковской системы во многом обеспечивалась за счет ухудшения положения предприятий. При высоких процентных ставках и низкой рентабельности предприятий происходило перераспределение финансовых потоков от предприятий к коммерческим банкам. Однако, поскольку ухудшение положения предприятий одновременно вело и к сокращению ресурсной базы банков, ликвидность банков в этих условиях не имела прочной основы.
Процесс восстановления российской банковской системы
Важнейшей задачей последующего периода явилось преодоление наиболее острых форм банковского кризиса. Процесс восстановления банковской системы проходил в сложных и противоречивых условиях. С одной стороны, объявление дефолта в августе 1998 г. привело к подрыву доверия к государству, его экономической политике, снижению кредитного рейтинга страны, что усложнило формирование долгосрочных инвестиционных ресурсов. С другой стороны, благоприятная внешняя конъюнктура на мировых сырьевых рынках, рост конкурентоспособности национальной промышленности вследствие девальвации рубля обусловили улучшение финансовых результатов функционирования экономики.
Благоприятные макроэкономические условия, действия Банка России и Правительства РФ, направленные на реструктуризацию банковской системы, позволили улучшить положение в банковской сфере. В марте 1999 г. в состоянии банковской системы наметился перелом, характеризующий начало перехода от неустойчивого положения к относительной стабилизации.
Собственный капитал действующих российских банков увеличился за 1999 г. в полтора раза и составил 145 млрд руб. Величина иностранного капитала в банковском бизнесе увеличилась более чем в два раза, доля нерезидентов в объявленном уставном капитале действующих кредитных организаций возросла с 6,4 до 14,0%. Более чем в полтора раза выросли суммарные активы банков (табл. 8.3).
Таблица 8.3. Некоторые показатели деятельности коммерческих банков, млрд руб.

В 2000 г. ресурсная база
В 2000 г. ресурсная база банков продолжала увеличиваться. За девять месяцев 2000 г. совокупный капитал действующих банков вырос на 74,9 млрд руб., или на 44,5%, и составил 243,1 млрд руб. Все большую роль в ресурсной базе играют средства предприятий и организаций, доля которых в совокупных пассивах банковской системы возросла с 18,9% на 1 января 2000 г. до 20,3% на 1 октября 2000 г. Увеличились вклады населения в банки: прирост вкладов в рублях составил 38,1%, в валюте 31,9%. Прибыль банковского сектора достигла 22,4 млрд руб. Количество прибыльных банков на 1 октября 2000 г. составило 91,7% от числа действующих кредитных организаций.
Банки постепенно адаптировались к новым экономическим условиям. Однако, несмотря на довольно быстрое развитие в последний период, банковская система пока еще не достигла предкризисного уровня по значениям основных показателей в реальном исчислении — активов, капитала, депозитов.
Большое количество банков (около 20% от общего числа) относится к проблемным и имеет отрицательное значение капитала (52 млрд руб.). Между тем в этих банках сосредоточено около 40—45% банковских активов. Отозваны лицензии у 145 банков, в том числе у третьей части крупнейших банков. Количество действующих кредитных организаций резко сократилось и составляет 1333. Закрыто 578 филиалов (большей частью в связи с отзывом лицензий у крупнейших московских банков, имевших разветвленную филиальную сеть).
Банковская система России по-прежнему представлена в основном небольшими банками с уставным капиталом до 5 млн евро; их доля составляет около 85% от общего числа.
Крупные и крупнейшие по российским критериям банки значительно уступают по размерам капитала и активов ведущим западным банкам. Даже в период достижения максимальных значений своего финансового потенциала (конец 1997 г. — начало 1998 г.) российская банковская система обладала меньшими по величине капиталом и активами, чем один из крупнейших мировых банков. Так, суммарные активы российских банков (120 млрд долл. на начало 1998 г.) были сопоставимы с активами 70-го банка из тысячи крупнейших по величине активов банков мира по рейтингу журнала «The Banker», а к концу 1998 г., сократившись в результате девальвации до менее чем 50 млрд долл., снизились до уровня 150-го банка этого рейтинга.
Активы среднего российского банка на начало 1998 г. составляли 76 млн долл., а на конец 1998 г. 35 млн долл. (для сравнения: в Японии аналогичный показатель был равен 4,4 млрд долл., в Великобритании 4 млрд долл.). Такие величины недостаточны не только по мировым, но и по российским меркам, они значительно меньше годового объема реализации любой из 200 крупнейших российских компаний.
Совокупный капитал российских банков в этот период составлял 30 млрд руб., т.е. меньше того, чем располагает каждый из 20 ведущих банков мира по рейтингу журнала «The Banker». В настоящее время совокупный капитал всех российских банков составляет всего 6 млрд долл. В соответствии с мировой практикой банковский капитал, достаточный для обслуживания воспроизводственного процесса, должен быть не ниже 6% от объема ВВП. В России же он составляет около 4%, что ниже аналогичных показателей не только развитых стран, но и стран с переходной экономикой (в Германии капитал банков составляет 14,5% от ВВП, во Франции 15,4%, в Чехии 21,3%).
В настоящее время проблемы капитализации
В настоящее время проблемы капитализации банковской системы проявляются также в том, что темпы наращивания капитальной базы отстают от темпа роста банковских активов. Так, если суммарные активы банковской системы в реальном выражении на 1 октября 2000 г. составляли 87,5% от докризисного уровня, то совокупный капитал 73,9%. При крайне низком уровне капитализации сегодняшняя банковская система по-прежнему характеризуется краткосрочной структурой пассивов. Долгосрочные (свыше одного года) привлеченные ресурсы составляют всего 124 млрд руб., или 6% от общей величины привлеченных средств. Восстановление и наращивание ресурсной базы банковского сектора являются важнейшими предпосылками активизации участия банков в инвестиционном процессе.
Банкротство многих крупных банков в результате финансового кризиса сформировало мнение о том, что мелкие кредитные организации являются более устойчивыми и эффективными. Однако в кризисном состоянии находились не крупные, а плохо управляемые банки, поэтому реформирование банковской системы должно исходить не столько из количественных, сколько из качественных индикаторов банковской деятельности.
В этом плане делать упор на преимущественное развитие средних и мелких банков как стратегическую линию развития банковской системы нецелесообразно как с позиций тех задач, которые должны выполнять банки по созданию условий устойчивого роста национальной экономики, так и в аспекте достижения сопоставимости с мощными финансовыми структурами, образовавшимися в мировом сообществе как результат процессов консолидации банковского капитала.
Масштабы и структура накопленного банками финансового потенциала имеют принципиально важное значение для активизации их участия в инвестиционном процессе. Как известно, долгосрочные инвестиции сопряжены с высоким риском и значительным объемом вложений, что предполагает наличие масштабной ресурсной базы, достаточной для масштабного инвестирования и диверсификации рисков, поэтому в мировой практике этот вид деятельности, как правило, осуществляют крупные банки.
Крупные банки, имеющие доступ к сравнительно более долгосрочным ресурсам, обслуживающие надежных клиентов-заемщиков, приобретают дополнительные преимущества, состоящие в возможности предоставления кредитов на более длительные сроки с меньшими рисками. Еще одно преимущество крупных банков реализуется путем их участия в финансово-промышленных группах, где банки могут напрямую контролировать управленческие риски, а следовательно, минимизировать просроченные кредиты и долги, возникающие, как правило, в результате неэффективного и нелояльного менеджмента.
Как и в большинстве зарубежных государств, в России правила ведения банковского дела предполагают установление ограничений инвестиционных и кредитных рисков. Так, в соответствии с инструктивными актами (Инструкция № 1 ЦБ РФ «О порядке регулирования деятельности кредитных организаций») нормативы, регулирующие финансирование инвестиционных проектов посредством кредитования (И 6) и инвестирования (Н 12), ограничивают размеры вложений суммой, не превышающей 25% капитала банка. Таким образом, возможности осуществления инвестиционных проектов во многом определяются достаточностью банковского капитала.
Восстановление и наращивание инвестиционного потенциала коммерческих банков является одним из важнейших условий активизации их участия в инвестиционном процессе.
Состояние такой формы инвестиционной деятельности
Состояние такой формы инвестиционной деятельности коммерческих банков, как вложения в ценные бумаги и паи предприятий, характеризовалось следующими данными. На 1 июня 1998 г. вложения в акции и паи предприятий и организаций-резидентов (кроме банков) составили 10 371 млн руб., или 1,4% суммарных активов коммерческих банков. Из общей суммы вложений 50,9% приходилось на долю двадцати крупнейших по величине активов банков (табл. 8.7).
Таблица 8.7. Распределение объемов вложений в акции и паи предприятий и организаций-нерезидентов (кроме банков) по группам кредитных организаций, ранжированных по величине активов (по убыванию) по состоянию на 1 июня 1998 г.

Это объясняется тем, что крупнейшие банки, завершив первоначальное накопление капитала, стали осуществлять расширение сфер своей деятельности в промышленном секторе, где, несмотря на общий неблагоприятный фон, существовали отдельные перспективные предприятия. Наиболее агрессивную политику в области приобретения акций промышленных предприятий вели такие банки, как «Менатеп», «Инкомбанк», «Мост-банк», «Российский кредит» и др. Так, банк «Российский кредит» приобрел контрольные пакеты акций более чем 40 крупнейших предприятий базовых отраслей промышленности, для управления которыми был создан холдинг.
Большинство банков осуществляли операции по
Большинство банков осуществляли операции по скупке акций через сеть околобанковских структур. При этом банки стремились вложить средства в определенные отрасли, как правило, металлургическую, нефтегазовую, нефтеперерабатывающую, химическую, связь. Пересечение интересов часто приводило к обострению конкурентной борьбы, банковским войнам. Скупая недооцененные акции перспективных предприятий, имеющих, как правило, низкую рыночную стоимость, банки рассчитывали на возрастание стоимости в будущем, а не на получение быстрых дивидендов. Неликвидность этих вложений в условиях финансового кризиса явилась одним из факторов, осложнивших положение крупнейших банков.
Обострение банковского кризиса в 1998 г. было спровоцировано не только предельно неблагоприятными макроэкономическими обстоятельствами, исключительно важную роль сыграли внутренние факторы, связанные с особенностями деятельности самих банков и низким качеством управления. В их числе — ориентация на спекулятивные источники дохода, высокая доля операций с ГКО и другими финансовыми инструментами, обеспечивающими быстрое получение прибыли; существенная зависимость от состояния бюджета; значительный объем невозвращенных кредитов; зависимость от крупных акционеров, являющихся одновременно клиентами банков и участниками их финансово-промышленных групп; возросшие риски привлечения средств, связанные с высокой долей иностранных кредитов и средств населения; высокие операционные издержки.
Качество управления в банковском бизнесе предполагает в первую очередь квалифицированное управление рисками, диверсификацию вложений и применение других правил, выработанных мировой банковской практикой. К этим правилам относится, в частности, соблюдение предельных размеров риска на одного заемщика, осторожное отношение к операциям с повышенной доходностью, проведение анализа и постоянного мониторинга изменяющейся конъюнктуры.
Кризис обнаружил неспособность многих банков решить проблемы прибыльного и безопасного вложения средств в условиях снижения инфляционных доходов, низкий уровень профессионализма, отсутствие продуманной инвестиционной политики. Он вскрыл противоречия функционирования банковской системы: несоответствие между источниками банковских ресурсов и их использованием, перекосы валютных компонентов активов и пассивов, противоречия между банковскими рисками и внутренними источниками их покрытия. Кризисные события отчетливо показали, что ликвидность отдельных банков и банковской системы в целом, не имеющая прочной воспроизводственной основы, не может поддерживаться только за счет операций на финансовом рынке.
Производственные инвестиции банков в докризисный период
Ограниченность статистической базы и несопоставимость публикуемых данных не позволяют дать точные оценки масштабов участия банков в инвестиционном процессе. Официальные источники не содержат информации о предоставлении банками инвестиционных кредитов. Статистические данные о долгосрочных банковских кредитах, к которым банковская статистика относила остатки по ссудам, предоставленным банковской системой экономике на срок более одного года, перестали публиковаться с 1998 г.
За 1994—1997 гг. долгосрочные кредиты коммерческих банков возросли в текущей оценке с 799,4 до 1205,9 млрд руб. Однако в реальном исчислении объем предоставленных экономике долгосрочных банковских кредитов не увеличился. Доля долгосрочных кредитных вложений в суммарных активах коммерческих банков характеризовалась низкими значениями (табл. 8.6).
Таблица 8.6. Доля долгосрочных кредитов банков в совокупных кредитных вложениях и в суммарных активах банков, %

Финансовый кризис вызвал резкое снижение кредитной активности банковского сектора. Сокращение объемов кредитования было вызвано как возрастанием кредитных рисков, так и оттоком ресурсов из банковской системы, прежде всего отзывом вкладов населения и прекращением кредитования российских банков иностранными партнерами. Значительно сократились сроки предоставления кредитов. Практически перестали выдаваться кредиты сроком на один год и более, а предоставление кредитов на срок свыше трех месяцев стало редким случаем.
Рост кредитных рисков выразился в существенном ухудшении качества кредитного портфеля: доля просроченных ссуд в период с 1 августа по 1 октября 1998 г. выросла с 5,5 до 10,9% по рублевым и с 5 до 6,5% по валютным кредитам. Доля стандартных ссуд в общем объеме кредитной задолженности сократилась с 89,3 до 76,6%.
Учет повышенных рисков в процентной ставке в свою очередь обусловил ее высокий уровень, не соответствующий сузившемуся платежеспособному спросу большинства нефинансовых предприятий. В номинальном выражении проценты по ссудам возросли с 40% в июне 1998 г. до 100-120% на начало 1999 г., в то время как уровень рентабельности предприятий даже при возросших темпах роста отпускных цен (6—7% в промышленности) не позволял им рассчитывать на получение и возврат таких кредитов.
Содержание первого этапа реструктуризации банковской системы
Принятый подход к реструктуризации банков предполагал выделение четырех групп кредитных организаций, для каждой из которых предусматривалась особая стратегия поведения и степень участия государства. Так, к первой группе были отнесены стабильно работающие банки, не испытывавшие значительных затруднений в управлении текущей ликвидностью и способные работать без государственной поддержки, ко второй — региональные банки, которые должны были стать «опорными» в будущей региональной банковской системе при поддержке государства, третьей — отдельные не имевшие возможности самостоятельно продолжать банковские операции крупные банки, которые нецелесообразно ликвидировать вследствие слишком высоких социальных и экономических издержек, четвертой — банки, испытывавшие существенный дефицит ликвидности или собственных средств, или проблемные банки.
По оценкам Банка России, из 1473 действующих на тот период банков 1032 (70%) являлись финансово стабильными, способными работать без государственной поддержки; 441 банк (30%) относился к проблемным, характеризовавшимся значительным дефицитом ликвидных средств и капитала, не способным выйти самостоятельно из кризиса. Ряду проблемных банков, в составе которых было 18 крупнейших банков, планировалось оказать государственную поддержку, учитывая их экономическую и социальную значимость (на данную группу банков приходилось почти 50% активов и 45% вкладов населения без Сбербанка РФ).
Важная роль в процессе реструктуризации отводилась Центральному банку РФ и специально созданному институту — Агентству по реструктуризации кредитных организаций (АР КО).
Задачи Центрального банка состояли в разработке проекта Концепции развития банковской системы, активизации работы по восстановлению банковского сектора, обеспечению расчетов и стимулированию рекапитализации банков. Банк осуществлял контроль за реализацией кредитными организациями планов финансового оздоровления, поддерживал ликвидность платежеспособных банков посредством денежно-кредитных инструментов, отзывал лицензии у нежизнеспособных банков.
На АРКО возлагались основные функции по реструктуризации кредитных организаций: управление государственными средствами, выделенными на данные цели, кредитование коммерческих банков, в том числе и под залог их акций, управление активами кредитных организаций, участие в процедурах банкротства.
Меры первого этапа реструктуризации банковской системы, предпринятые в 1999 г. исполнительной, законодательной властью и Банком России, позволили сохранить жизнеспособное ядро банков, восстановить основные операции на рынке банковских услуг. Принятие федеральных законов «О реструктуризации кредитных организаций» и «О несостоятельности (банкротстве) кредитных организаций» способствовало формированию правовой среды, реструктуризации банковской системы и активизации деятельности Банка России по ликвидации банков с неудовлетворительным финансовым состоянием и не имевших перспектив развития.
К итогам первого этапа реструктуризации можно отнести: уменьшение количества проблемных банков, рост рекапитализации банков, восстановление масштабов банковской деятельности и доверия к банковской системе со стороны клиентов, вкладчиков, кредиторов. Увеличилось присутствие иностранного капитала в банковском бизнесе, доля нерезидентов в совокупном уставном капитале действующих кредитных организаций возросла с 4% в 1998 г. до 14% в 2000 г. Однако достижение позитивных результатов по ряду направлений не означает, что удалось добиться полного преодоления последствий банковского кризиса и оздоровления банковской системы.
Воздействие финансового кризиса 1998 г (2)
Ухудшение финансового состояния предприятий реального сектора экономики, рост неплатежей, «бартеризация» хозяйственных связей и замещение реальных денег суррогатами привели к сокращению в структуре денежной массы доли безналичных средств нефинансовых предприятий (остатков на текущих и расчетных счетах, счетах по капитальным вложениям, срочных депозитов). Если в 1996 г. средства на текущих и расчетных счетах предприятий, учреждений и организаций в номинальном выражении еще росли, то в 1997 г. динамика этого показателя характеризовалась снижением темпов прироста даже в номинальном исчислении. С учетом инфляции остатки на текущих и расчетных счетах уменьшились по сравнению с предшествующим годом вдвое, счетах по капитальным вложениям — в пять раз, вклады и депозиты предприятий, организаций и кооперативов сократились в семь раз.
Тенденция понижательной динамики данных показателей продолжалась и в 1998 г. Кроме того, в этот период начался масштабный переход клиентов на обслуживание из одних банков в другие, обусловленный утратой доверия клиентов к части банков, утративших платежеспособность. Резкое снижение доверия произошло и внутри банковского сообщества, что привело к остановке операций на рынке межбанковских кредитов и невозможности рационального перераспределения ресурсов в финансовом секторе экономики. За август — сентябрь 1998 г. объем средств, привлеченных с межбанковского рынка, сократился в рублях на 8,2 млрд руб., или на 52,5%, в валюте — на 2,6 млрд долл., или на 19,9%.
В условиях финансового кризиса прервалась тенденция возрастания темпов прироста вкладов населения в банках, характерная для последних лет. За август - сентябрь 1998 г. при девальвации рубля и росте недоверия к кредитным институтам вклады населения в коммерческих банках (без учета Сбербанка России) сократились в рублях на 11,1 млрд руб., или на 33,5%, в валюте — на 1,1 млрд долл., или на 28,7%. В условиях падения платежеспособности коммерческих банков часть их обязательств по вкладам населения была переведена в Сбербанк РФ.
Сбербанк РФ значительно усилил свои позиции на рынке частных депозитов. Начиная с октября 1998 г. объем депозитов физических лиц не только не сокращался, а напротив, увеличивался приблизительно на 3 млрд руб. в месяц. Доля Сбербанка в общем объеме вкладов, привлеченных банковской системой, достигла 85%. В результате принятых мер ситуация на рынке банковских вкладов начала улучшаться. Однако в целом вложения населения в банковские вклады, которые могли бы сформировать долгосрочные инвестиционные ресурсы, существенно сократились.
Кризисные события привели к существенному усилению краткосрочного характера привлеченных средств. На конец 1998 г. в структуре депозитов клиентов доля депозитов на срок от одного года до трех лет и более не превышала 12%, в составе долговых обязательств (депозитные и сберегательные сертификаты, облигации) только 18,9% ценных бумаг эмитировалось банками на такой же срок. В ресурсной базе возросла доля инструментов денежного рынка, имеющих преимущественно краткосрочный характер. Так, доля средств в рублях и иностранной валюте, привлеченных коммерческими банками посредством выпуска векселей и обращения банковских акцептов на срок свыше одного года, составляла лишь около 8% от их общей суммы.
Рассматриваемый период характеризовался ростом иностранных пассивов и их удельного веса в совокупных ресурсах крупнейших российских банков. На долю иностранных банков приходилось около трех четвертей от общего объема привлеченных российскими банками кредитов, в то время как в восточноевропейских и латиноамериканских странах она составляла не более трети.
Если в 1996 г. зарубежные активы российских банков на 500 млн долл. превосходили пассивы, сформированные за счет средств иностранных резидентов, то к концу 1997 г. суммарные обязательства кредитных институтов вне России почти на 6 млрд долл. превысили их зарубежные активы. При этом выросли как страновые риски, связанные с увеличением чувствительности российской банковской системы к колебаниям конъюнктуры на международных финансовых рынках, так и международные кредитные риски, обусловленные краткосрочным характером большей части привлеченных средств.
Воздействие финансового кризиса 1998 г (3)
В условиях обострения мирового финансового кризиса и оттока капиталов с развивающихся рынков необходимость расчетов по ранее взятым валютным кредитам обусловила нарастание напряженности в банковской сфере. Повышенная степень внешней зависимости была связана также со сложившейся системой хеджирования российскими банками валютных рисков нерезидентов, вложивших средства в государственные ценные бумаги. На 1 августа 1998 г. совокупный объем обязательств банков по срочным контрактам в иностранной валюте составил 87,9 млрд руб., или 86% от их суммарного капитала. При резком снижении валютного курса рубля выполнение обязательств банковским сектором без реструктуризации долгов перед иностранными кредиторами стало невозможным. В результате свертывания западных кредитных линий и потери ликвидных активов в иностранной валюте произошло существенное ухудшение положения ряда российских банков.
В создавшейся ситуации осложнилось также привлечение иностранных инвесторов к участию в капитале отечественных кредитных организаций. По состоянию на 1 января 1998 г. средства иностранных инвесторов участвовали в капитале 145 кредитных организаций, объем иностранных инвестиций в капитал российских банков составлял 4,13% от совокупного уставного капитала всей банковской системы (при лимите привлечения иностранного капитала 12%). Кредитные организации с участием иностранного капитала оказывали все большее влияние на российскую банковскую систему. Собственные средства банков с участием иностранного капитала достигли 27,7% от совокупного банковского капитала, активы — 38,8%. При этом основной прирост (30%) активов кредитных организаций с участием нерезидентов произошел до кризиса финансовых рынков.
Серьезное ухудшение финансового положения российских банков обусловило сокращение совокупного капитала банковской системы в 1998 г. За август — декабрь 1998 г. суммарный капитал банков (без Сбербанка) сократился на 31 млрд руб., или на 30%. Снижение объемов капитальной базы сопровождалось некоторым уменьшением ее доли в структуре баланса.
В результате кризиса 1998 г. многие банки столкнулись со значительными убытками. Помимо прямых убытков банковская система понесла потери, связанные с вынужденной ликвидацией активов для удовлетворения ажиотажного спроса на денежную наличность, недополучением доходов от государственных ценных бумаг, сужением возможностей использования государственных ценных бумаг в качестве залога, замораживанием части зарубежных активов. По оценкам Ассоциации российских банков, потери банков были вызваны в основном следующими причинами: невозврат кредитов (34% суммарного объема потерь), невыполнение форвардных контрактов с иностранными банками (28%), потери на рынке государственных ценных бумаг (13%). За август — декабрь 1998 г. убытки банковской системы (без Сбербанка РФ) составили около 35 млрд руб.
Таким образом, кризисные события привели к резкому сокращению инвестиционных возможностей российских коммерческих банков. При этом уменьшение объемов инвестиционного потенциала сопровождалось ухудшением его структуры за счет опережающих темпов снижения капитальной базы и срочных депозитов.
Банковский кризис выявил основные недостатки ресурсной базы, накопившиеся в ходе формирования банковской системы:
крайне низкие размеры собственных капиталов большинства российских банков;
высокая централизация банковского капитала в центральных регионах и неразвитость региональной банковской сети;
низкое качество пассивов, их краткосрочный характер, несбалансированность структуры пассивов и активов.
Воздействие финансового кризиса 1998 г. на банковскую систему и состояние ее ресурсной базы
Финансовый кризис вызвал резкое ухудшение ликвидности и платежеспособности значительной части банков. Доля финансово стабильных банков в общем количестве действующих кредитных организаций резко снизилась с 66% на 1 января 1998 г. до 56,2% на 1 сентября 1998 г., а доля активов финансово стабильных банков в совокупных активах действующих кредитных организаций уменьшилась с 68,3% на 1 января 1998 г. до 29,1% на 1 сентября 1998 г.
Доля финансово неустойчивых банков (банков, испытывающих серьезные финансовые трудности или находящихся в критическом финансовом положении), напротив, существенно повысилась с 37% на 1 августа 1998 г. до 42% на 1 октября 1998 г., а доля активов, приходящаяся на эту группу банков, возросла с 16,4 до 70,9% от суммарных активов банковского сектора.
Финансовую устойчивость сохранили те банки, у которых доля вложений в производство была относительно выше и соответственно меньше в спекулятивные операции. В основном этими банками оказались средние и мелкие региональные банки, банки, ориентировавшиеся на постепенное привлечение клиентуры и небыстрый, эволюционный, качественный рост. Вместе с тем доля мелких и средних банков в совокупных активах банковской системы являлась незначительной; вследствие небольшой финансовой мощности они объективно не могли осуществлять масштабной инвестиционной деятельности, хотя у многих средних и малых банков показатели достаточности капитала оказались лучше, чем у крупных.
Развертывание финансового кризиса ускорило процессы слияния и поглощения в банковском секторе, направленные на восстановление финансовой устойчивости. Процессы концентрации и централизации охватили не только мелкие и средние, но также крупные и крупнейшие банки. В результате доля активов 200 крупнейших банков в совокупных активах банковской системы достигла 90,0%, 20 крупнейших банков — 64,6%, а первых пяти банков — 42,6%. При этом около одной трети общей суммы банковских активов приходилось на один банк — Сбербанк РФ.
В результате кризисных событий большинство банков столкнулось с обострением проблемы формирования ресурсной базы по различным направлениям:
стагнация средств предприятий и организаций на расчетных и текущих счетах в национальной и иностранной валюте, срочных депозитов предприятий и организаций;
сокращение прироста организованных сбережений и отток вкладов населения;
утрата возможностей привлечения кредитов от зарубежных кредитных институтов и финансовых компаний;
остановка межбанковского денежного рынка;
снижение уровня банковского капитала.
в инвестиционном процессе во многом
1. Проблемы участия российских банков в инвестиционном процессе во многом связаны со спецификой становления банковской системы, которое проходило в отрыве от реального сектора экономики. Особенностями становления российской банковской системы явились краткие сроки создания и инфляционная основа накопления финансового потенциала. В период, последовавший за снижением темпов инфляции, процесс развития банков начал определяться также уровнем банковского менеджмента, захватом рыночной ниши.
2. Действие рыночных механизмов конкуренции, политика Банка России, направленная на укрупнение банков и наращивание капитала, привели к институциональным сдвигам в банковской системе, концентрации и централизации банковского капитала. Между тем российские банки значительно уступают по размерам капитала и активов зарубежным. Ресурсная база характеризуется крайне низкими размерами собственных капиталов большинства российских банков, высокой централизацией банковского капитала в центральных регионах и неразвитостью региональной банковской сети, низким качеством пассивов, их краткосрочным характером, несбалансированностью структуры пассивов и активов. Восстановление и наращивание ресурсной базы банковского сектора являются важнейшими предпосылками активизации участия банков в инвестиционном процессе.
3. При недостаточной ресурсной базе в качестве механизма компенсации растущих банковских рисков, не имевших внутренних источников покрытия, выступало использование малорисковых и высокоприбыльных вложений банковских средств (валютные операции, межбанковские кредиты, вложения в государственные ценные бумаги). Формировалась ориентация банков на спекулятивные операции. При наличии альтернативных направлений вложения средств в финансовые инструменты банки экономически не заинтересованы осуществлять вложения в производственные инвестиции, характеризующиеся меньшей доходностью, длительными сроками окупаемости и высокими рисками.
4. В новой экономической ситуации возможности банков быстро зарабатывать деньги посредством финансовых спекуляций существенно уменьшились. Однако, несмотря на некоторые положительные сдвиги, наметившиеся в деятельности банков, их переориентация на усиление взаимосвязи с производством идет крайне медленно. Основными факторами, препятствующими активизации банковского инвестирования производства, являются: высокий уровень риска вложений в реальный сектор экономики; краткосрочный характер сложившейся ресурсной базы банков; несформированность рынка эффективных инвестиционных проектов.
5. Действительные возможности развития инвестиционной деятельности во многом зависят от эффективной реструктуризации банковской системы, базирующейся на развитии взаимодействия с реальным сектором экономики. Под реструктуризацией банковской системы следует понимать регулируемый государством процесс эффективных структурных сдвигов в банковской сфере, направленный на формирование динамично развивающейся и адекватной потребностям народного хозяйства банковской системы. Кардинальная трансформация характера связи банков с производством является важнейшим условием не только оздоровления экономики, но и укрепления самого банковского сектора.
в российских условиях вследствие ряда
Традиционные кредитные риски повышаются в российских условиях вследствие ряда экономических и правовых особенностей.
Среди этих особенностей, во-первых, общее состояние российской экономики, которое, несмотря на некоторое улучшение, характеризуется финансовой неустойчивостью значительной части предприятий, использованием неденежных форм расчетов, бартера, неквалифицированным менеджментом и т.д.
Во-вторых, несовершенство юридической защиты интересов банка как кредитора, присущее действующей системе оформления залогов, прав банка на имущество клиентов. В этих обстоятельствах происходит значительная концентрация кредитных рисков у ограниченного числа заемщиков (доля крупных кредитных рисков в активах банковского сектора составляет 30%).
Следующий фактор риска — несоответствие краткосрочных пассивов российских банков потребностям в инвестициях, вследствие чего инвестиционное кредитование несет угрозу ликвидности банка. Расчет соотношения привлеченных и размещенных банками средств свидетельствует о том, что наиболее уравновешенными с позиций ресурсной обеспеченности являются краткосрочные вложения. По мере увеличения сроков вложений разрыв между объемами вложений и источниками их финансирования возрастает до пяти раз по средствам, вложенным на срок свыше трех лет.
Соотношение размещенных и привлеченных банковских средств по критерию срочности приведено ниже, %:

На протяжении 2000 г. дисбаланс
На протяжении 2000 г. дисбаланс структуры активов и обязательств по срочности не уменьшился. Средневзвешенная величина размещенных средств по отношению к привлеченным в 1998 г. составила 69,6%, в 1999 г. 126,1%. Объем требований свыше одного года превышает объем собственных и привлеченных на срок свыше одного года средств почти на 180 млрд руб., или 9% от суммарных активов.
Если краткосрочным кредитованием в той или иной степени занимаются многие коммерческие банки, то предоставление инвестиционных кредитов и финансирование инвестиционных проектов являются сферой деятельности определенных категорий банков, которые вследствие своей специфики обладают возможностями уменьшения инвестиционных рисков.
К этим категориям банков можно, в частности, отнести:
1) банки, входящие в ФПГ. Участие банков в ФПГ, особенно скрепленное отношениями собственности, позволяет им производить долгосрочные вложения, устанавливать более низкие ставки процента, так как в данном случае интерес банка перекрывается интересами объединения в целом, контролировать риски невозврата кредита;
2) корпоративные банки, сформировавшиеся на отраслевой основе и обслуживающие соответствующие производства. Участвуя в государственных программах поддержки или развития своих отраслей, эти банки распоряжаются выделенными бюджетными средствами, являющимися более дешевыми, чем прочие мобилизуемые ресурсы;
3) банки, участвующие в проектах международных институтов (Мировой банк, ЕБРР и т.д.), процентная политика которых регламентируется соответствующими соглашениями;
4) крупные банки, сформировавшие надежную клиентскую базу, осуществляющие производственные инвестиции при условии получения пакета акций, обеспечивающего контроль за эффективностью использования выделенных средств, а также расширение зоны влияния.
Другие категории банков, не располагающие достаточными ресурсами для осуществления крупномасштабной инвестиционной деятельности, могут предоставлять, как правило, лишь краткосрочные кредиты на формирование оборотных средств. Они экономически не заинтересованы в выдаче долгосрочных кредитов, так как вынуждены учитывать не только повышенные риски долгосрочных вложений, но и значительные издержки, связанные с осуществлением реальных инвестиционных проектов.
В современных условиях инвестиционная инфраструктура, как отмечалось, характеризуется недостаточной развитостью. Фактически банки являются ее единственным относительно сложившимся инвестиционным институтом. Многие элементы инвестиционной инфраструктуры находятся в стадии становления (инвестиционные венчурные фонды, маркетинговые, кредитные и рейтинговые центры, фирмы по подготовке, планированию и оценке инвестиционных проектов).
По существу, не сформирован и рынок инвестиционных проектов. Предлагаемые инвестиционные проекты характеризуются недостаточной проработанностью. Банки вынуждены самостоятельно заниматься всем комплексом работ, сопряженных с проектным финансированием.
Небольшие банки не имеют, как
Небольшие банки не имеют, как правило, специализированных подразделений, так как их организационная структура строится по функциональному признаку исходя из традиционного состава банковских операций. Кредитные службы не обладают достаточным опытом и методическим обеспечением для осуществления анализа современных инвестиционных проектов. Все эти факторы обусловливают высокий уровень издержек, связанных с подготовкой и осуществлением инвестиционных проектов.
В условиях повышенных рисков усиливается необходимость совершенствования деятельности банков по рациональному выбору точек приложения инвестиций, поиску инвестиционных проектов, способных принести реальную отдачу, конкретных финансовых партнеров, и профессиональной работы с ними.
Между тем, по имеющимся оценкам, менее 15% банков занимаются маркетинговыми исследованиями, лишь 60% банков требуют представить бизнес-планы по использованию инвестиционных проектов, неудовлетворителен анализ кредитоспособности заемщика и обеспеченности кредитов. Так, около 15% выданных кредитов не имеют обеспечения, более половины залогов составляет имущество, контроль за сохранностью которого существенно затруднен (товары в обороте и сырьевые запасы); залог в виде товаров под контролем банка составляет всего 1%; гарантии погашения имеют лишь 0,5% кредитов.
Практика работы банков, имеющих длительные и эффективные связи с предприятиями реального сектора, подтверждает, что для полноценного сотрудничества весьма важно уметь правильно оценить эффективность инвестиционного проекта, платежеспособность заемщика, оказывать услуги финансового менеджмента, участвовать в составлении бизнес-планов. Это способствует снижению кредитных и инвестиционных рисков и одновременно содействует организации лучшего управления инвестиционными проектами, т.е. соответствует интересам как банка, так и предприятия.
Ограниченность и непрозрачность финансовой информации о состоянии предприятий определяет важность разработки мер по созданию Банком России системы кредитного бюро, аккумулирующего и распространяющего информацию о финансовом состоянии банковских заемщиков и их кредитной истории.
Существенную роль в повышении эффективности действующей системы направления кредитных ресурсов в производство играет процентная политика коммерческих банков, которая должная быть построена таким образом, чтобы предоставление инвестиционных кредитов было выгодным и банку, и заемщику. Важными и перспективными направлениями кредитования, нуждающимися в развитии, являются синдицированные и ипотечные кредиты в производственной сфере.
Весьма ограниченным остается использование банками такого кредитного инструмента финансирования инвестиций, как лизинг. Между тем лизинг мог бы стать одним из важнейших инструментов мобилизации инвестиционных ресурсов и активизации инвестиционной деятельности, выступить в качестве средства укрепления связей банковского капитала с производством в условиях, когда ограниченность ликвидных средств у предприятий препятствует масштабному развитию производства, а банки сталкиваются с необходимостью диверсификации рисков и сфер вложений для повышения своей надежности. Для банков лизинговые операции могли бы явиться привлекательной формой размещения активов. При этом банк может выступать в роли как непосредственного лизингодателя, так и стороны, финансирующей лизинговую сделку.
В настоящее время лизинговые операции совершаются лишь некоторыми, в основном крупными, банками. При крупных банках функционирует значительная часть существующих сегодня специализированных лизинговых компаний. Несмотря на определенный рост лизинговых операций, доля лизинга в совокупных инвестициях банков составляет менее 1%.
Незначительны масштабы и такой формы инвестиционной деятельности коммерческих банков, как вложения в ценные бумаги и паи предприятий. Доля вложений банков в ценные бумаги предприятий в общем объеме активов не превышает 5%.
прочие акции) высокую долю составляют
В структуре вложений банков в акции нефинансовых предприятий и организаций ( прочие акции) высокую долю составляют спекулятивные вложения. Вместе с тем в последние годы наблюдается снижение доли спекулятивных вложений и соответствующее повышение доли акций, приобретенных для инвестирования.
При вложении средств в акции кредитных организаций (как резидентов, так и нерезидентов) банки в основном преследуют цели инвестирования. Доля акций, приобретенных для инвестирования, в общих вложениях колеблется от 85 до 90%. Растет участие банков в дочерних и зависимых обществах. Это отражает в первую очередь рост банковских инвестиций в развитие собственно финансового бизнеса, усиление тенденции к интеграции финансовых структур. Данная тенденция прослеживается в процессах слияния и поглощения кредитных институтов, присоединения мелких и средних банков к более крупным в качестве филиалов, росте взаимного участия банков в капиталах друг друга, заключении картельных соглашений, создании банковских консорциумов и холдингов.
Необходимость обеспечения устойчивости и объединения усилий в сложной экономической ситуации явилась важным, но не единственным обстоятельством усиления взаимодействия финансовых структур. Решение проблем перспективного размещения активов при сокращении возможностей использования спекулятивных финансовых инструментов определяет выбор надежных и максимально контролируемых способов вложения, в качестве которых и выступает инвестирование в финансовый бизнес. Вместе с тем интеграция финансовых структур представляет собой одну из важнейших предпосылок осуществления инвестиций в реальный сектор экономики, поскольку на базе маломощных банков обеспечить масштабное инвестирование производства не удастся даже при создании максимально благоприятных условий.
Следует отметить, что в отечественной практике, по существу, отсутствуют механизмы, стимулирующие развитие производственных инвестиций коммерческих банков. В России не используются такие общепринятые по мировым меркам инструменты, как льготный порядок резервирования привлеченных средств, особые условия рефинансирования коммерческих банков под реальные инвестиционные проекты. При несформированности экономических условий, позволяющих привлечь к участию в инвестиционном процессе основную массу коммерческих банков, лишь отдельные банки осуществляют производственные инвестиции, совокупные объемы которых несопоставимы не только с потребностями экономики, но и наличным инвестиционным потенциалом банковской системы.
Важное значение в повышении инвестиционной активности банковской системы имеет создание системы стимулирования и страхования инвестиций. Одним из условий предоставления банками долгосрочных займов на инвестиционные проекты при высоких кредитных и инвестиционных рисках производственной сферы является наличие государственных гарантий. К числу мер, способствующих возрастанию производственных инвестиций коммерческих банков, можно также отнести дифференциацию экономических нормативов в зависимости от доли их инвестиций в реальный сектор экономики и льготное налогообложение.
Пересмотр прежней системы регулирования в соответствии с заявленными приоритетами экономической политики предполагает изменение форм и методов воздействия на банковский сектор, реструктурирование банковской системы с учетом задач реализации инвестиционных функций банков в экономике. Реструктурированная банковская система должна отвечать требованиям высокой надежности, управляемости и инвестиционной направленности, гарантировать необходимый уровень предложения кредитных ресурсов по доступным для производственной сферы процентным ставкам.
Важнейшими предпосылками активизации банковского инвестирования экономики является создание долгосрочной ресурсной базы банковского сектора и формирование условий для его эффективной деятельности по обслуживанию потребностей производства, что связано с осуществлением комплекса мер по реструктуризации банковской системы России.
Задачи активизации инвестиционной деятельности банков
Кардинальная трансформация характера связи банков с производством является важнейшим условием не только оздоровления экономики, но и укрепления самого банковского сектора. Поэтому стратегическим направлением перестройки деятельности банковской системы должно стать эффективное взаимодействие с реальным сектором экономики.
В новой ситуации существенно уменьшились возможности быстрого зарабатывания денег посредством финансовых спекуляций. Отсутствие высокодоходных ликвидных инструментов, сужение выбора возможных путей финансовых спекуляций так или иначе побуждают банки искать возможности эффективного размещения своих средств. В то же время снижение процентных ставок по банковским кредитам при росте среднеотраслевой рентабельности общественного производства способствует повышению их доступности для реального сектора экономики.
Однако, несмотря на некоторые положительные сдвиги, наметившиеся в деятельности банков в 1999—2000 гг., их переориентация на усиление взаимосвязи с производством идет крайне медленно. Темпы роста кредитов, предоставляемых банками экономике, в два раза отстают от темпов инфляции. В реальном исчислении совокупные кредиты достигли лишь 75% соответствующих предкризисных параметров. Общий объем кредитов банков экономике составляет 9—10% ВВП, в то время как в ряде стран переходной экономики он достигает 90%, а в развитых странах 115%.
При наличии у банковской системы значительных свободных средств (среднедневные остатки на корреспондентских счетах коммерческих банков составляют около 60—80 млрд руб.) существенного расширения присутствия банков в реальном секторе экономики не происходит. Если до кризиса 1998 г. банки вкладывали значительную часть своих средств в государственные ценные бумаги, то сейчас, при отсутствии на финансовом рынке высокодоходных финансовых инструментов, они размещают их в депозиты в Банке России. Так, за девять месяцев 2000 г. депозиты банков, размещенные в Банке России, выросли в 21 раз и составили 79,1 млрд руб. на 1 октября 2000 г. Статистические данные свидетельствуют о том, что объемы производственных инвестиций банков крайне незначительны.
Основная часть кредитных вложений банков в экономику приходится на краткосрочные кредиты. Доля долгосрочных кредитов в общем объеме кредитных вложений остается крайне низкой. Доля долгосрочных кредитных вложений в суммарных активах коммерческих банков не превышает 1—2%.
Объемы банковского кредитования инвестиций в основной капитал в 1999 г. составили 24 млрд руб., или 4,3% от общего размера инвестиционных вложений. В 2000 г. масштабы участия банков в инвестировании несколько возросли (26 млрд руб.), хотя их доля в общем объеме источников финансирования в основной капитал уменьшилась (4,0%).
Основными факторами, препятствующими активизации банковского инвестирования производства, являются:
высокий уровень риска вложений в реальный сектор экономики;
краткосрочный характер сложившейся ресурсной базы банков;
несформированность рынка эффективных инвестиционных проектов.
создание Агентства по реструктурированию банков,
Так, создание Агентства по реструктурированию банков, аналоги которого существовали в различных странах (США, Японии, Бразилии и др.), как раз призвано содействовать процессу слияния банков, в том числе за счет покупки Центральным банком части долгов проблемных банков, и оздоровлению кредитных организаций путем проведения работы с проблемными активами и пассивами санируемой организации. Финансовые ресурсы АРКО первоначально составляли всего 10 млрд руб., что позволяло осуществить санацию лишь части банков. По состоянию на 1 августа 2000 г. АРКО осуществлялись мероприятия по реструктуризации 19 кредитных организаций; из них 15 перешли под управление АРКО.
При отсутствии в бюджете достаточных средств для реструктуризации банков основное значение придается созданию макроэкономических условий, благоприятствующих капитализации и расширению ресурсной базы банков, формированию законодательно-правовых основ банковской деятельности, совершенствованию банковского надзора. Важными принципами проведения реструктуризации банковской системы является индивидуальный подход к конкретному банку, осуществление государственной поддержки при условии разработки и реализации плана реструктуризации банка, ориентация на увеличение капитальной и ресурсной базы путем привлечения средств отечественных и зарубежных инвесторов.
Восстановление и наращивание инвестиционного потенциала коммерческих банков в рамках комплекса мер по реструктуризации банковской системы России предполагает усиление роли государства в формировании долгосрочной ресурсной базы банковской системы, соответствующей потребностям инвестирования реального сектора, восстановление доверия к банкам со стороны частных вкладчиков, клиентов, отечественных и иностранных кредиторов. В основу усиления государственной поддержки реструктуризации банковской системы должен быть положен разумный компромисс между необходимостью развития банковской сферы и возможностями федерального бюджета.
Особенно актуальным является принятие пакета законов, необходимого для реализации этих мер, в частности федеральных законов «О гарантировании вкладов граждан в банках», «О банковских холдингах», «О государственном архиве кредитных историй», а также оперативная корректировка действующего законодательства, внесение изменений и дополнений в федеральные законы «О несостоятельности (банкротстве) кредитных организаций», «О реструктуризации кредитных организаций», «О Центральном банке Российской Федерации (Банке России)», «О банках и банковской деятельности».
Поскольку банковская система представлена в основном небольшими банками, масштабное инвестирование реального сектора может быть осуществлено на основе банковских объединений или создания временных альянсов. Наиболее перспективными формами являются: реорганизация системы региональных банков на основе выделения опорных банков с развитой филиальной сетью; формирование смешанных пулов российских и иностранных банков; интеграция банковского капитала с промышленным в форме финансово-промышленных групп.
Вместе с тем в сложившихся условиях становится весьма актуальной необходимость развития системы специализированных инвестиционных банков, в том числе с государственным участием. В большинстве стран с переходной экономикой доля участия государства является довольно весомой, %: в Китае 99, Индии 88, Индонезии 85, Тайване 77, Бразилии 48, Польше 46, Аргентине 36, Венесуэле 30, Мексике 28.
Без опоры на крупные банки с государственным участием вряд ли возможно решение задач аккумулирования достаточных финансовых ресурсов, их перераспределение между секторами экономики, удовлетворение спроса крупных предприятий на инвестиционные ресурсы, привлечение иностранного инвестиционного капитала. Участие государства в банковском секторе соответствует переходному этапу развития России. При этом следует учитывать, что при создании определенных условий государство должно уменьшать свое присутствие в банковском секторе. Это подтверждается и мировой практикой. Так, значительно сокращено участие государства в коммерческом банковском секторе в Германии (хотя оно продолжает оставаться значительным), во Франции, Италии, других западноевропейских странах.
в российской экономике финансовые институты
Действующие в российской экономике финансовые институты с государственным участием (Российская финансовая корпорация, Всероссийский банк развития регионов, Росэксимбанк и др.) пока отличаются низкой эффективностью. Отозвана лицензия у Российского банка реконструкции и развития. Созданный в июле 1999 г. Российский банк развития (РБР) пока не играет существенной роли в финансировании инвестиционной деятельности в реальном секторе экономики.
Однако при условии ориентации деятельности на осуществление инвестиций в производство, государственную поддержку высокотехнологичных производств, реструктуризацию предприятий, представивших обоснованные планы стратегического развития, обслуживание целевых государственных займов, привлечение сбережений населения под государственные гарантии государственные банки развития могут существенно изменить ситуацию во взаимоотношениях банковского и реального секторов экономики.
При этом банки с государственным участием, как и кредитные организации других форм собственности, должны работать на рыночных принципах, оценивая риски своей деятельности и отвечая по своим обязательствам.
Действительные возможности развития инвестиционной деятельности в сложившихся условиях во многом зависят от эффективной реструктуризации банковской системы. Серьезные изменения в роли и значимости не только отдельных крупных или мелких, но целых групп банков, происшедшие под воздействием финансового кризиса, ориентируют многие из них на поиск более рациональных форм взаимодействия с отечественной промышленностью, другими сферами деятельности национальной экономики. В связи с этим весьма полезным может оказаться изучение богатого опыта, накопленного в этой области в мировой практике, и возможностей его использования в российской экономике.
Задачи современного этапа реструктуризации банковской системы
Задачи второго этапа реструктуризации состоят в обеспечении устойчивого роста капитальной базы и реальных объемов банковских операций, выведении с рынка банковских услуг нежизнеспособных кредитных организаций и усилении взаимосвязи банков с реальным сектором экономики. Эффективность реструктуризации банковской системы будет зависеть от того, насколько удастся обеспечить развитие взаимосвязей банковского и реального секторов экономики, использовать новые способы и формы участия государства в кредитной поддержке экономики через банковскую систему. Без учета связи с реальным сектором могут быть воспроизведены пороки прежней системы с ее ориентированностью на спекулятивные операции.
Поэтому реструктуризацию банковской системы следует рассматривать не как комплекс технических мер по восстановлению работоспособности кредитных организаций, а как регулируемый государством процесс эффективных структурных сдвигов в банковской сфере, сопровождающийся соответствующими изменениями в государственной финансовой политике и направленный на формирование динамично развивающейся и адекватной потребностям народного хозяйства банковской системы.
Как показывает международная практика, реструктуризация банковской системы является длительным, трудоемким и дорогостоящим процессом. Мировой опыт свидетельствует также о много вариантности путей реформирования банковских систем. Поэтому одним из основных принципов реструктуризации является выбор таких способов ее проведения, которые обеспечили бы минимизацию затрат.
В числе вариантов восстановления банковской системы, как правило, рассматриваются: самостоятельный выход банков из кризиса посредством консолидации банков различных классов, усиление государственной поддержки банковской системы, расширение участия иностранного капитала в банковском секторе и увеличение квоты иностранного капитала в уставном капитале российских банков, устанавливаемой Банком России.
Следует отметить, что при всей желательности варианта реформирования банков путем наращивания их собственных усилий, с учетом глубины системного банковского кризиса он недостаточно реалистичен. Если восстановление капитала банковской системы будет осуществляться только собственными усилиями банков (за счет зарабатываемой прибыли), это потребует как минимум пять лет, что вряд ли отвечает потребностям национальной экономики.
Осуществление широкой государственной поддержки банковской системы требует значительных средств. Страны, проводившие реструктуризацию банковской системы, несли крупные затраты: США 3—5% ВВП, Испания, Венгрия — около 1%, Чили — более 30%. Реализация государственной программы по реформированию банковского сектора в Южной Корее оценена в 1,7 млрд долл.
Масштабное привлечение средств западных инвесторов сопряжено с созданием мощной конкуренции отечественным банкам, и так ослабленным финансовым кризисом, поскольку зарубежные кредитные организации обладают большим опытом, имеют лучшую репутацию и предлагают более широкий спектр услуг. В связи с этим наиболее приемлемым способом реструктуризации банковской системы представляется использование не отдельно взятого варианта из числа рассмотренных, а их определенная комбинация, включающая адресную селективную государственную поддержку и создание условий для деятельности жизнеспособных банков, привлечения внешних инвесторов, расширения капитальной и ресурсной базы. При этом консолидация банковского капитала, которая, по оценкам специалистов, осуществляется очень медленно, может быть ускорена при стимулирующем воздействии государства.
Банки развития и их роль в экономике
Наличие банков, которые функционируют в сферах деятельности, имеющих актуальное значение для национальной экономики, при поддержке государства, характерно для многих стран. Одной из тенденций современной мировой практики является расширение деятельности банков развития. В соответствии с концепцией, разработанной «World Bank», такие институты должны стать катализаторами, призванными стимулировать финансирование важных экономических программ и проектов (табл. 9.2).
Таблица 9.2. Крупнейшие банки развития

Банки развития различаются по направлениям
Банки развития различаются по направлениям и масштабам деятельности, формам собственности, организационно-правовым формам и другим характеристикам. Они представлены как относительно небольшими, так и крупнейшими финансовыми институтами, лидирующими в рейтинге банков развития мира. В мировой практике получили распространение как частные, так и государственные банки развития.
Так, в Германии банки развития, как кредитные институты с особыми задачами, представляют собой частные и государственные финансово-кредитные организации, выполняющие ряд функций по стимулированию определенных сфер национальной экономики. Частным банком является, к примеру, «Industriekreditbank AG — Deutsche Industriebank», занимающийся выдачей долгосрочных кредитов предприятиям, финансовое состояние которых не позволяет привлекать средства за счет эмиссии акций, государственным — «Kreditanstalt fur Wiederaufbau» (Банк восстановления), деятельность которого связана с поддержкой кризисных отраслей экономики и кредитованием экспорта.
В Нидерландах многие из специализированных банков являются государственными или функционируют на основе государственных гарантий. К таким банкам, в частности, относятся Национальный инвестиционный банк («De Nationale Investeringsbank NV»), осуществляющий вложения капитала в менее развитых регионах и предоставление кредитной поддержки компаниям, испытывающим финансовые трудности, и Нидерландская компания страхования кредитов («Nederlandse Credietverzekering Maatschappij NV»), производящая в особых случаях страхование политических рисков. Во Франции на долю государственных кредитных институтов приходится более половины долгосрочных кредитов.
Периоды экономических кризисов характеризуются усилением роли государства в инвестиционных процессах, в том числе и путем роста присутствия в кредитных институтах. В качестве одного из примеров можно привести деятельность созданного в 1930 г. в Италии Института реконструкции развития (ИРИ). Совмещая черты холдинга и банка, ИРИ действовал на основе системы государственного акционерного участия: на средства, полученные от эмиссии облигационных займов, из бюджета, от различных государственных и смешанных финансовых учреждений ИРИ осуществлял покупку крупных, в том числе и контрольных, пакетов акций проблемных банков и промышленных компаний. При необходимости ИРИ приобретал дополнительные пакеты акций и финансировал банки и компании, становившиеся его дочерними предприятиями, или осуществлял ликвидацию структур с безнадежным финансовым положением.
В послевоенные десятилетия был создан ряд аналогичных ИРИ государственных институтов: ЭФИМ, ЭНИ, ДЖЕПИ с участием государственного банка «Institute Mobilliare Italiano» (ИМИ). В настоящее время, когда в условиях определенной экономической стабилизации государственная поддержка потеряла свою значимость, правительство Италии приступило к процессу постепенной приватизации промышленно-финансовых комплексов.
Традиционно значительной является роль государства в поддержке национального, в том числе и банковского, бизнеса в Японии. В отличие от западной модели, ориентированной на вмешательство государства в экономику в случае сбоев рыночного механизма, японская модель носит превентивный характер.
Весьма поучительным является японский опыт восстановления экономики на основе схемы приоритетных производств, в соответствии с которой капитал через Государственную финансовую корпорацию восстановления концентрированно направлялся в базовые отрасли промышленности.
В последующий период, при достижении
В последующий период, при достижении стабильности экономического развития, для финансового обеспечения инвестиционного спроса были восстановлены банки долгосрочного кредитования, учреждены траст-банки и ряд дополняющих их функции государственных финансовых институтов: «Японский банк развития», «Экспортно-импортный банк Японии», которые предоставляли средства со счетов бюро доверительных фондов Министерства финансов (рис. 9.1).

Использовались также определенные виды финансового регулирования: регулирование процента, сфер деятельности, разделение внутреннего и внешнего рынка (валютный контроль при операциях с капиталом и др.).
вызвавшего ухудшение положения японской экономики
В условиях мирового валютно-финансового кризиса 1997—1998 гг., вызвавшего ухудшение положения японской экономики и падение ликвидности банков, для обеспечения экономического подъема и реформирования финансового сектора правительством страны была принята схема банков-мостов, согласно которой убыточные банки должны перейти под временное государственное управление с последующей продажей, а часть тех операций, которые приносят доход, передана государственным банкам-мостам. Государственные банки-мосты создавались в рамках корпорации «Хейсей файнэншл ресторейшн». Корпорация «Страхование депозитов» финансировала эти учреждения необходимыми средствами для оздоровления кредитных операций убыточных банков и покрытия возможных рисков. Для решения проблем 19 крупнейших банков, основной из которых являлся рост безнадежных долгов и, как следствие, ослабление капитальной базы, были использованы государственные средства для стимулирования слияний этих банков, играющих значительную роль в финансировании стратегически важных секторов экономики.
Несомненный интерес представляют процессы государственного участия в становлении механизмов мобилизации инвестиционного капитала в новых индустриальных странах, в частности в Республике Корея, где формирование банковской системы было подчинено потребностям обеспечения экономического роста. С целью финансирования проектов экономического развития в промышленном и аграрном секторах экономики был учрежден «Корейский банк развития», являющийся государственным кредитным институтом, на базе Федерации финансовых ассоциаций образован «Сельскохозяйственный банк Кореи».
Позже была сформирована целая система специализированных банков для оказания финансовой поддержки как стратегическим, так и менее важным отраслям, созданы «Корейский банк долгосрочного кредитования», «Экспортно-импортный банк Кореи», торговые и банковские корпорации, обеспечивающие предоставление нефинансовым предприятиям средне- и долгосрочных кредитов и мобилизацию иностранного капитала. В результате принятия ряда мер, направленных на привлечение средств на организованный фондовый рынок, была учреждена сеть небанковских инвестиционно-финансовых и взаимно-сберегательных компаний.
Таким образом, становление разветвленной и гибкой кредитно-банковской системы, создавшее необходимые предпосылки для достижения высокого уровня инвестиций, восприятия индустриальных и технологических нововведений, происходило при непосредственном участии и контроле со стороны государства.
Эти и другие примеры убедительно свидетельствуют о том, что решение стратегических задач национальной экономики путем активизации инвестиционной деятельности кредитных институтов требует действенного государственного участия. Степень этого участия во многом определяется сформированностью рыночных механизмов, формы и методы — особенностями конкретной экономической ситуации. Эффективность тесного взаимодействия государства, банков, нефинансовых предприятий, необходимого для достижения общих национальных интересов, особенно важна на этапах выхода из экономического кризиса.
Этапы проектного цикла в банке
Работа банка по реализации проекта в наиболее общем виде включает следующие этапы:
предварительный отбор проектов,
оценка проектных предложений,
ведение переговоров,
принятие проекта к финансированию,
контроль за реализацией проекта,
ретроспективный анализ.
Отбор проектных предложений осуществляется исходя из их соответствия определенным критериям. Предварительно оценивается общая информация о проекте, включающая сведения о типе инвестиционного проекта, его отраслевой и региональной принадлежности, объемах запрашиваемого финансирования, степени проработанности проекта, наличии и качестве гарантий и т.д.
После отсеивания проектов, не соответствующих предъявляемым критериям, отобранные проекты рассматриваются более подробно. Прорабатываются такие конкретные характеристики проекта, как его перспективность, проектные риски, финансовое состояние заемщика и др.
Обычно банки не занимаются разработкой проекта. Они могут оказывать содействие в подготовке пакета документов. Однако в тех случаях, когда банки участвуют в капитале проектной компании или осуществляют финансовое консультирование при выполнении ими функций консалтинговой компании, они могут брать на себя и разработку проекта.
Ключевым этапом прохождения проекта является оценка его инвестиционных качеств на основе комплексного анализа технико-экономического обоснования, бизнес-плана и другой проектной документации. На этом этапе осуществляются выявление проектных рисков, разработка мер по их диверсификации и снижению, выбор схемы и условий финансирования, оценка эффективности инвестиционного проекта и управления его реализацией. По результатам оценки принимается решение о целесообразности ведения переговоров.
Предметом переговоров банка с заемщиком выступает соглашение о реализации инвестиционного проекта и кредитный договор. Финансовые условия кредитного договора, как правило, предполагают предоставление заемщику льготного периода на выплату задолженности, так как при проектном финансировании погашение задолженности осуществляется за счет доходов, генерируемых проектом.
Схема погашения долга может предусматривать аннуитетные платежи, погашение равными долями основного долга с процентами на остаток непогашенной задолженности, единовременное погашение основной суммы долга, погашение задолженности в виде фиксированного процента за определенные промежутки времени в виде заданного процента от чистой проектной выручки за определенный срок, выплату заемщиком только ссудного процента с конверсией основной суммы долга в акции по окончании кредитного соглашения. Два последних варианта (в отличие от предшествующих) означают использование также инвестиционного метода финансирования, предполагающего участие банка в прибылях. В соглашении о реализации проекта также оговаривается комиссионное вознаграждение банка, связанное с его участием в подготовке и реализации проекта.
Необходимость контроля банка за реализацией инвестиционного проекта обусловлена тем, что при проектном финансировании банк несет значительные проектные риски и, следовательно, не может не вмешиваться в процесс расходования выделенных средств, в ход реализации проекта. Уровень рисков банка зависит от принятой схемы проектного финансирования, в соответствии с которой банк прямо или косвенно участвует в управлении проектом.
При проектном финансировании с полным регрессом на заемщика банк не принимает на себя риски, связанные с проектом, ограничивая свое участие предоставлением средств против определенных гарантий.
При проектном финансировании с ограниченным регрессом или без регресса на заемщика (когда кредитор частично или полностью берет на себя проектные риски) банк, вмешиваясь в ход реализации проекта, косвенно участвует в управлении им. Если при использовании этих схем банк к тому же осуществляет вложения в капитал проектной компании, то имеет место не только контроль за реализацией проекта, но и прямое участие в его управлении.
Зарубежные банки, специализирующиеся на финансировании инвестиционных проектов, по завершении проекта, как правило, осуществляют ретроспективный анализ, позволяющий обобщить полученные результаты, определить эффективность реализации инвестиционного проекта.
Ведущие инвестиционные банки мира на
Таблица 9.1. Ведущие инвестиционные банки мира на рынке инвестиционно-банковских услуг

С существенным отрывом от лидеров в первую десятку входят «Credit Suisse First Boston» (подразделение швейцарской банковской группы «Credit Suisse»), американский коммерческий банк «J.P. Morgan», активно проникающий в последнее время на рынок инвестиционных банковских услуг, американский инвестиционный банк «Leman Brothers», «Warburg Dillon Read» — подразделение крупного швейцарского банка «United Bank of Switzerland», «Deutsche Securities» — инвестиционное подразделение крупнейшего банка Германии «Deutsche Bank», «Chase Securities» — подразделение крупного американского банка «Chase Manhattan».
Формирование глобальной олигополии означает, что менее значимые инвестиционные банки (банки второго и третьего эшелона) могут выжить в конкурентной борьбе, только заняв прочное положение в отдельных специфических нишах. Развитие и трансформация инвестиционных банков, диверсификация их деятельности ведут к тому, что инвестиционные банки все в большей степени вторгаются в традиционную сферу бизнеса коммерческих банков.
В то же время коммерческие банки в условиях ужесточения конкуренции могут рассчитывать на позитивные долгосрочные результаты, как правило, в том случае, если они способны оказывать услуги не только в области корпоративного кредитования, но и на рынках капитала (по размещению эмиссий акций, выпуску корпоративных облигаций и т.д.), т.е. заниматься собственно инвестиционной деятельностью.
Таким образом, совмещение крупнейшими мировыми
Таким образом, совмещение крупнейшими мировыми банками деятельности инвестиционных и коммерческих банков становится ведущей тенденцией в мировой банковской практике. В свою очередь, это можно рассматривать как часть более широкого процесса формирования диверсифицированных финансово-банковских групп с развернутым комплексом функций (корпоративное кредитование, инвестиционная деятельность, розничное банковское обслуживание, страхование), которыми будет в перспективе представлен рынок банковских услуг. Уже сегодня такими институтами являются крупнейшие мировые финансовые холдинги «Deutsche Bank», «City-group», «Credit Suisse Group», «HSBC Holdings», «Lloyds», «UBS» и др.
Если с учетом изложенного рассматривать историю становления инвестиционных банков в России, где развивающийся на фоне сложных кризисных явлений рынок ценных бумаг не достиг такой ступени развития и не играет существенной роли в мобилизации и перераспределении капиталов, то становится очевидным, что в этих условиях банки, созданные первоначально как специализированные инвестиционные банки (Восточно-европейский инвестиционный банк, инвестиционный банк «Восток-Запад», Международный инвестиционный банк, Межрегионинвестбанк и др.), были вынуждены практически перейти к диверсификации своей деятельности, осуществлению всех видов банковских операций, характерных для универсальных банков. Проявление общей тенденции к универсализации применительно к российской экономике связано также с тем, что универсальные банки имеют более широкие возможности развития в условиях нестабильности экономической ситуации.
Стереотип деятельности инвестиционных банков зарубежных стран со сложившимся, устоявшимся финансовым рынком не может быть механически перенесен на условия развивающихся рынков, однако изучение опыта мировой практики в области создания и деятельности инвестиционных банков позволяет выделить апробированные формы и методы, которые могут быть использованы в России.
Организация инвестиционных банков, имеющих особое значение для российской экономики, столь нуждающейся в долгосрочных инвестициях, в рамках формирующейся универсальной модели скорее всего может быть осуществлена путем создания инвестиционных институтов как дочерних организаций крупных универсальных банков или формирования специализированных инвестиционных банков, действующих на основе системы государственных гарантий и льгот.
Формирование инвестиционных банков нового типа
Основными направлениями деятельности инвестиционных (деловых) банков являются: операции с ценными бумагами, предоставление долгосрочных кредитов, финансирование инвестиционных проектов, участие в капитале финансовых и нефинансовых предприятий, реструктуризация бизнеса посредством слияний и поглощений, сделки с недвижимостью, консалтинговые и депозитарно-кастодиальные услуги.
Состав и структура этих операций могут различаться в зависимости от специализации инвестиционных банков и особенностей построения кредитной системы страны, что находит в определенной степени отражение в структуре их балансов. Так, более четверти активов американских инвестиционных банков приходится на ценные бумаги («Drecksell» 34,1%, «Solomon Brothers» 33,1%, «Merril Lynch» 26,3%), в то время как в активах английских деловых банков доля кредитов существенно выше, чем ценных бумаг («Montegue» — соответственно 41,8 и 8,3%, «Rotshild» - 21.4 и 0,3%, «Lazard Brothers» - 19,2 и 0,2%).
Начиная с 80-х годов инвестиционный банковский бизнес в странах с развитой рыночной экономикой характеризовался ускоренными темпами развития, чему способствовали подъем на финансовых рынках, активизация процессов приватизации в развитых и развивающихся странах, бум корпоративных слияний и поглощений, возникший в результате объективной тенденции концентрации капитала, растущий спрос на услуги управления активами и ряд других факторов.
Вместе с тем в течение последнего десятилетия инвестиционные банки стали испытывать серьезные трудности. Обострение конкуренции в сфере инвестиционной деятельности привело к существенному снижению показателей относительной прибыльности. Поскольку при снижении нормы прибыли экономически целесообразным становится осуществление только масштабной деятельности, усложнение условий функционирования инвестиционных банков повлекло за собой рост концентрации банковского капитала, укрупнение банков и их качественную трансформацию.
По мнению аналитиков рынка инвестиционных услуг, сформировались инвестиционные банки нового типа. Их отличительными чертами являются: глобальный характер деятельности и наличие большого свободного капитала, позволяющие совершать масштабные сделки в различных регионах мира; полный набор диверсифицированных и комплексных услуг, что обеспечивает стабильные потоки доходов и рост эффективности операций; создание собственного бизнеса по управлению активами (путем образования или приобретения пенсионных и инвестиционных фондов), осуществлению розничных операций с мелкими и средними клиентами через развитие мощных брокерских сетей; слияние со страховым бизнесом.
При этом основными тенденциями развития рынка инвестиционных услуг становится концентрация капитала и власти в инвестиционно-банковской сфере, формирование глобальной олигополии, стирание граней между коммерческими и инвестиционными банками. Так, по итогам 1998 г. практически весь рынок (97%) оказался поделенным между двадцатью ведущими инвестиционными банками; 77% рынка пришлось на первые десять банков, доля которых в 1990 г. была в два раза меньше.
Рейтинг глобальных инвестиционных банков мира возглавляет четверка крупнейших банков: «Goldman Sacks», имеющий отделения в 38 странах мира, «Merrill Lynch» (750 офисов в 45 странах), «Salomon Smith Barney» (образовавшийся в результате покупки финансовой группой «Travelers Group» инвестиционного банка «Sоlomon Brothers» и объединения его с брокерским подразделением фирмы «Smith Barney»), «Morgan Stanley Dean Witter» (также возникший в результате слияния инвестиционного банка «Morgan Stanley» и диверсифицированной финансовой компании «Dean Witter Discovery») (табл. 9.1).
Инвестиционные банки и банки развития
Анализ банковских систем различных стран свидетельствует о том, что параллельно с развитием универсализации усиливается тенденция к специализации деятельности коммерческих банков. В странах с развитой рыночной экономикой, в том числе и тех, которые имеют универсальную структуру кредитной системы, важное место (несмотря на некоторое снижение их числа) занимают специализированные банки. Из них наибольший интерес представляют инвестиционные банки и кредитные институты с особыми задачами, связанными с реализацией национальных интересов.
Модели кредитно-банковских систем
Различие основных моделей построения кредитно-банковских систем, как показывает изучение опыта международной практики, определяет особенности форм взаимосвязи промышленного и финансового капитала. При использовании американской модели удовлетворение потребностей промышленных компаний в капитале происходит преимущественно путем размещения ценных бумаг на финансовом рынке. Долгосрочные кредиты коммерческих банков играют менее важную роль в финансировании промышленных компаний. Участие коммерческих банков в собственности промышленных корпораций законодательно ограничено.
Для германской модели характерно преобладание кредитного метода, при этом основным способом, обеспечивающим эффективное использование кредитных средств, является установление банками непосредственного контроля над заемщиками путем значительного участия в собственности.
Значительное долевое участие коммерческих банков в капитале промышленных корпораций имеет преимущества как для банков, так и для предприятий: для банков — это возможность обеспечения контроля за долгосрочной финансовой устойчивостью заемщика, для предприятий — уменьшение потребности в собственном капитале и сокращение общей стоимости финансирования производства.
Существенное влияние банков на деятельность предприятий в Германии определяет относительную вялость рынка ценных бумаг по сравнению с другими странами. Владея ценными бумагами, банки в значительной степени контролируют рынок, что практически исключает открытую продажу ценных бумаг.
Складывающаяся в российской экономике модель взаимоотношений промышленного и банковского секторов не совпадает со сложившимися в мировой практике типами. Вместе с тем в ходе формирования банковской системы обнаруживаются признаки определенной близости к германской модели универсального коммерческого банка, при которой банк, являясь основным кредитором реального сектора, имеет возможность владеть крупными пакетами акций нефинансовых предприятий. Такой механизм наиболее полно реализуется в рамках финансово-промышленных групп, где банки играют ведущую роль в регулировании финансовых потоков и инвестиционных программ. Однако в целом взаимосвязь банков с производством характеризуется слабостью банковского контроля за использованием кредитов вследствие особенностей учредительства многих банков, повышенных кредитных рисков и несовершенства менеджмента, что отличает их от германской системы.
Определенное сходство с германской моделью проявляется в ведущей роли банков в механизме инвестирования. В России, где на финансовом рынке работают три типа институтов: коммерческие банки, которые стремятся диверсифицировать операции и расширить спектр предлагаемых услуг, специализированные банки, которые ориентируются на инвестиционный бизнес, и небанковские институты, более 70% инвестиций приходится на коммерческие банки.
Вместе с тем универсальный характер российских коммерческих банков во многом носит вынужденный характер, что обусловлено неразвитостью рынка ценных бумаг и сети небанковских институтов. Универсальная модель связана с повышенной рискованностью деятельности коммерческого банка, резко возрастающей в кризисных условиях, поскольку риски банка по инвестиционным вложениям не отделены от рисков по депозитно-кредитным и расчетным операциям. В то же время банк в существенной степени зависит от положения дел у крупнейших клиентов, в оборот которых втянуты (через участие в акционерном капитале и облигационных займах) значительные средства.
Таким образом, осуществление инвестиций в ценные бумаги в непосредственной связи с основной банковской деятельностью при отсутствии механизма контроля над рисками чревато угрозой утраты ликвидности банка. Этот фактор сыграл важную роль в ухудшении ликвидности банковской системы в кризисных событиях 1997-1998 гг.
Опыт деятельности немецких универсальных банков показывает, что при контроле над рисками участие в капитале нефинансовых компаний позволяет оказывать значительную финансовую поддержку предприятиям различных отраслей. Так, «Deutsche Bank», являющийся ярким примером тесного взаимодействия банка с промышленностью, участвует в 400 промышленных и коммерческих компаниях химической, сталелитейной, электротехнической, металлургической, строительной, пищевой промышленности, автомобилестроении и других подотраслях машиностроительного комплекса, торговли, транспорта, сферы бытовых услуг.
Модели кредитно-банковских систем и инвестиционная деятельность банков
Мировой практике известны две основные модели построения кредитно-банковских систем:
сегментированная (американская) и
универсальная (германская).
Основные отличия данных моделей заключаются в степени универсализации и специализации кредитных институтов, формах и источниках финансирования реального сектора, уровнях диверсификации инвестиционных портфелей банков и предприятий.
В их основе лежит специфика организации распределения финансовых рисков. В американской модели риски в максимальной степени разделены на коммерческие и инвестиционные и диверсифицированы посредством ряда уровней страхования: система финансирования предприятий через выпуск ценных бумаг и механизм фондового рынка, кредитование специализированных инвестиционных банковских и небанковских институтов. В германской модели контроль рисков обеспечивается универсальными коммерческими банками, являющимися одновременно основными кредиторами реального сектора и главными субъектами финансового рынка.
Понятие проектного финансирования
Под проектным финансированием в международной практике понимается финансирование инвестиционных проектов, характеризующееся особым способом обеспечения возвратности вложений, в основе которого лежат инвестиционные качества самого проекта, те доходы, которые получит создаваемое или реструктурируемое предприятие в будущем. Специфический механизм проектного финансирования включает анализ технических и экономических характеристик инвестиционного проекта и оценку связанных с ним рисков, а базой возврата вложенных средств являются доходы проекта, остающиеся после покрытия всех издержек.
Особенностью этой формы финансирования является также возможность совмещения различных видов капитала: банковского, коммерческого, государственного, международного. В отличие от традиционной кредитной сделки может быть осуществлено рассредоточение риска между участниками инвестиционного проекта.
Первоначально финансированием инвестиционных проектов занимались крупнейшие американские и канадские банки. В настоящее время эта сфера деятельности освоена банками всех развитых стран, при этом лидерствующие позиции принадлежат банкам Великобритании, Германии, Нидерландов, Франции и Японии. Активно участвуют в финансировании инвестиционных проектов международные финансовые институты, в частности МБРР и ЕБРР.
Проектное финансирование характеризуется широким составом кредиторов, что обусловливает возможность организации консорциумов, интересы которых представляют, как правило, наиболее крупные кредитные институты — банки-агенты. В качестве источников финансирования могут привлекаться средства международных финансовых рынков, специализированных агентств экспортных кредитов, финансовых, инвестиционных, лизинговых и страховых компаний, долгосрочные кредиты Международного банка реконструкции и развития (МБРР), Международной финансовой корпорации (МФК), Европейского банка реконструкции и развития (ЕБРР).
Крупные банки, занимающиеся финансированием инвестиционных проектов, имеют специализированные подразделения для организации, контроля и анализа реализации проектов (МБРР, ЕБРР, «Дойче Банк», «Дрезднер Банк», «Креди Лионе», «Нэшнл Вестминстер Банк», «Индустриальный Банк Японии», «Юнион Банк Швейцарии» и др.).
Схемы проектного финансирования
Среди используемых зарубежными банками моделей проектного финансирования можно выделить схемы, которые могут быть применены в российской практике. Одной из них является схема финансирования под будущие поставки продукции, которая часто используется при осуществлении нефтяных, газовых и других сырьевых проектов. Ее можно отнести к формам финансирования с ограниченным регрессом на заемщика, подкрепляемым контрактами, в которых предусматриваются безусловные обязательства покупателя типа «брать и платить» («take and pay») и «брать или платить» («take or pay») с третьими кредитоспособными сторонами.
Данная схема предполагает участие как минимум трех сторон: кредиторов (банковский консорциум), проектной компании (специальной компании, занимающейся непосредственной реализацией инвестиционного проекта), посреднической компании, являющейся покупателем продукции. Посредническая компания может учреждаться кредиторами.
Механизм действия рассматриваемой схемы следующий. Банковский консорциум, осуществляющий финансирование проекта, предоставляет кредит посреднической компании, которая в свою очередь передает денежные средства проектной компании в форме аванса за будущую поставку последней определенного количества продукции по фиксированной цене, достаточной для погашения долга. Погашение кредитов увязывается с движением денежных потоков от реализации поставляемой продукции.
Рассмотренная схема могла бы использоваться в нашей стране, обладающей значительным топливно-сырьевым потенциалом. Вместе с тем вследствие ряда обстоятельств (высоких политических и экономических рисков, отсутствия гарантий по форс-мажорным обстоятельствам, недостаточной практики создания временных объединений у российских коммерческих банков, неотлаженности механизмов цивилизованного решения долговых проблем) применение данной схемы, скорее всего, возможно для предприятий и банков, взаимодействующих в составе финансово-промышленных групп, крупных экспортно-ориентированных предприятий топливно-энергетических и сырьевых отраслей.
К формам проектного финансирования, которые могли бы успешно использоваться в российских условиях, можно отнести схемы «строить — эксплуатировать — передавать» («build — operate — transfer» — ВОТ) и «строить — владеть — эксплуатировать — передавать («built — own — operate — transfer» — BOOT) с привлечением иностранных инвестиций при сочетании финансирования с ограниченным регрессом с финансированием под правительственную гарантию.
В соответствии со схемой ВОТ на основе получения от государственных органов концессии группа учредителей создает специальную компанию, в обязанности которой входят финансирование и организация строительства объекта. После завершения работ эта компания получает право эксплуатации или владения объектом. Государство может содействовать реализации инвестиционного проекта путем заключения контракта на покупку объекта по фиксированной цене или опционной сделки, предоставления гарантий банку, кредитующему проект.
Организация финансирования инвестиционного проекта на условиях BOOT несколько отличается от рассмотренной схемы, так как предполагает получение специальной компанией от государства лицензии на основе франчайзинга. Кроме того, здесь имеет место кредитование непосредственно специальной компании под гарантии правительства.
При использовании схем ВОТ и BOOT происходит распределение проектных рисков между участниками (специальной компанией-подрядчиком, кредитором-банком или их группой и государством), закрепляемое в концессионном договоре или франчайзинг-соглашении, обеспечивается взаимная заинтересованность участников проекта в его своевременном и эффективном осуществлении.
Привлекательность этих схем для государства
Привлекательность этих схем для государства обусловлена целым рядом обстоятельств:
государство, играя важную роль в реализации проекта, не несет при этом расходов, что сводит к минимуму влияние на его бюджет;
через определенное время, определяемое периодом концессии или франчайзинг-соглашения, государство получает в собственность работающий объект;
использование механизма конкурсного отбора, переключение финансирования на частный сектор вследствие его более высокой эффективности позволяет добиться больших результатов;
стимулирование притока высоких технологий, иностранных инвестиций, достигаемое посредством использования этих схем, позволяет решить национально значимые экономические и социальные проблемы.
Использование рассмотренных схем проектного финансирования в России может осуществляться на основе реализации соглашений о разделе продукции, в соответствии с которыми инвесторам предоставляются на возмездной основе и на определенный срок исключительные права на поиск, разведку, добычу минерального сырья и на ведение связанных с этим работ, а инвестор осуществляет проведение указанных работ за свой счет и на свой риск. При этом соглашение определяет условия и порядок раздела произведенной продукции между государством и инвестором.
С учетом важности координации инвестиционной деятельности в России создан Федеральный центр проектного финансирования, целью которого является эффективное содействие привлечению финансовых средств, в том числе внешнего финансирования, и обеспечение реализации инвестиционных проектов, имеющих приоритетный для национальной экономики характер. Вместе с тем существующее законодательство осложняет полноценное осуществление проектов. В частности, не отрегулированы правовые основы проектного финансирования в различных секторах рынка: предоставление концессий и гарантий, страхование, консорциальное право, фондовый рынок, трастовые, лизинговые операции и др.
Развитию проектного финансирования в стране препятствуют неблагоприятный инвестиционный климат, недостаточность ресурсов для широкомасштабного финансирования капиталоемких проектов, низкая квалификация участников проектного финансирования и другие факторы, усугубляющие проектные риски. В сложившихся условиях решение проблемы требует комплексного подхода, учитывающего интересы различных сторон.
Важными составляющими такого подхода являются усиление роли государственных гарантий страхования проектных рисков, включая предоставление гарантий банкам, принимающим участие в финансировании инвестиционных проектов и программ, входящих в систему государственных приоритетов, налоговое стимулирование механизмов инвестирования, развитие межбанковского сотрудничества в области совместного кредитования инвестиционных проектов.
Существенное значение для развития проектного финансирования имеет изучение возможностей адаптации опыта мировой практики к российским условиям, в том числе в области разработки методических подходов, обеспечивающих повышение эффективности инвестирования. Следует отметить, что решение проблемы повышения эффективности инвестирования (независимо от конкретной формы инвестиций) тесно связано с анализом возможностей инвестора по мобилизации собственных и заемных источников, инвестиционной привлекательности внешней среды, выбора объектов инвестирования с целью определения приемлемого уровня риска при достижении требуемой доходности. Эти вопросы, в свою очередь, определяют необходимость изучения вопросов экономической оценки инвестиционной деятельности.
Участие банков в проектном финансировании
Российская экономика нуждается не только в совершенствовании имеющихся форм инвестиционной деятельности, но и в использовании новых схем взаимоотношений между участниками инвестиционного процесса.
Принципиальное значение приобретает проведение банками более активной инвестиционной политики и участие в реализации высокоэффективных инвестиционных проектов. Весьма важным в этом отношении представляется анализ участия банков развитых стран в проектном финансировании.
Возникновение и развитие моделей кредитно-банковских систем
В связи с анализом причин финансового кризиса и поиском путей дальнейшего развития российской банковской системы некоторые экономисты считают необходимым осуществить переход к американской модели, позволяющей разграничить коммерческие и инвестиционные риски. Поэтому целесообразно более подробно рассмотреть тенденции формирования моделей организации кредитных систем в странах рыночной экономики.
Разграничение сфер деятельности между различными кредитными институтами было введено в ряде стран после мирового экономического кризиса 1929-1933 гг. Так, в Италии до кризиса банки в расчете на сохранение благополучной конъюнктуры предоставляли средне- и долгосрочные кредиты на основе краткосрочных сберегательных вкладов. В условиях экономического кризиса, когда при сокращении сбыта и падении цен предприятия прекратили погашение кредитов, а вкладчики начали изъятие своих сбережений, это привело к ухудшению ликвидности банков и последующей цепочке крупнейших банкротств. Согласно банковскому закону 1936 г. была предпринята специализация банков: определены банки, которые занимаются только краткосрочным или только средне- и долгосрочным кредитованием.
В США универсальные банки в соответствии с банковским законом от 1933 г. (акт Гласса—Стиголла) были разделены на коммерческие и инвестиционные. Коммерческим банкам, сосредоточившим свою деятельность на традиционных банковских операциях, запрещались операции с ценными бумагами, за исключением государственных федеральных или муниципальных ценных бумаг, служивших регулятором для компенсации цикличных конъюнктурных колебаний с кредитами и средством смягчения кассовых разрывов в бюджетах. Инвестиционные банки осуществляли долгосрочные вложения в развитие промышленности, операции с ценными бумагами за свой счет и за счет средств клиента. Подобное разграничение операций с ценными бумагами легло в основу построения и японской банковской системы, восстановление которой после Второй мировой войны производилось по американскому образцу с высоким уровнем специализации.
Традиционно высокой степенью специализации характеризуются банки Великобритании, включающие депозитные (коммерческие) и деловые (торговые) банки. Несмотря на отсутствие прямых законодательных ограничений, депозитные банки, как и коммерческие банки в США, не имели непосредственного доступа на фондовый рынок и были ориентированы на краткосрочные депозитно-кредитные операции и осуществление расчетов. Это функциональное разделение было вызвано также реакцией на большое число банковских банкротств в период кризиса 1929—1933 гг., которые, как и в Италии, явились результатом предоставления депозитными банками средне- и долгосрочных кредитов на основе краткосрочных пассивов.
Прибыли банков, специализирующихся на отдельных операциях, могут быть достаточно велики, что делает необязательной деятельность в других сферах. Вместе с тем последние десятилетия характеризуются отчетливой тенденцией к универсализации банковских операций. Усиление конкуренции между кредитными институтами и возникновение принципиально новых возможностей в условиях развития мощного финансового рынка привели многие банки к необходимости поиска иных способов повышения доходности своих операций.
Одним из путей решений проблемы явилось резкое увеличение числа осуществляемых банками операций, развитие форм инвестиционной деятельности. Тенденция к универсализации привела к развитию нетипичных ранее для коммерческих банков услуг: финансирование инвестиционных проектов, лизинг, управление портфелем инвестиций клиентов, консультационные услуги и др. Развитие этих услуг происходит как в результате либерализации банковского законодательства, так и вследствие различных методов обхода банками существующих законов. Тенденция к универсализации характерна для кредитных систем всех развитых стран; вместе с тем в каждой из них она имеет определенные особенности. Наиболее ярко она представлена в Германии, где коммерческие банки на протяжении долгих лет осуществляют самые разнообразные виды операций, включая предоставление долгосрочных кредитов и вложение средств в собственный капитал предприятий.
Универсальный принцип лежит в основе организации банковских систем Австрии, Бельгии, Люксембурга, Нидерландов, Норвегии, Швейцарии, Швеции. По этому типу строятся банковские системы и «новых индустриальных стран», где универсализация банковской деятельности рассматривается как способ усиления позиций национальных банков, повышения их способности к эффективной мобилизации сбережений населения и средств коммерческих структур и направления их в инвестиции.
В ряде стран развитие, универсализации банковской деятельности усилилось под воздействием изменений в законодательных актах. Так, в Японии в соответствии с банковским законом 1983 г. банки получили определенный доступ к операциям с ценными бумагами; тем самым начался процесс движения японской банковской системы к универсальному типу. Новая реформа банковской системы, отменившая с 1 апреля 1998 г. большинство ограничений на валютные операции и банковские сделки, связанные с ввозом и вывозом капитала, предполагает в течение трех ближайших лет: устранение барьеров, мешающих конкуренции между банками и брокерскими компаниями; снятие многих запретов, препятствующих банкам вводить новые финансовые продукты; обеспечение банкам свободного доступа на рынок фондов коллективного инвестирования; увеличение операций по управлению активами небанковских институтов, в частности пенсионных фондов.
Выделяют два типа организации кредитных
1. Выделяют два типа организации кредитных систем: универсальную (американскую) и сегментированную (германскую). Их отличия состоят в степени универсализации и специализации кредитных институтов, формах и источниках финансирования реального сектора, уровнях диверсификации инвестиционных портфелей банков и предприятий, организации распределения финансовых рисков. Формирующаяся в российской экономике модель банковской системы не совпадает со сложившимися в мировой практике типами. Вместе с тем она характеризуется определенной близостью к германской модели универсального коммерческого банка, при которой банк, являясь основным кредитором реального сектора, имеет возможность владеть крупными пакетами акций нефинансовых предприятий.
2. Задачи масштабной мобилизации финансовых ресурсов в период структурной перестройки экономики обусловили существенные сдвиги в кредитно-банковских системах развитых стран, выразившиеся в усилении концентрации и централизации кредитных институтов, росте групп крупнейших банков, процессах универсализации банков, либерализации банковского законодательства и др. Обозначились тенденции сглаживания различий в структурной организации кредитных систем, сложившихся в различных странах.
3. Параллельное развитие процессов универсализации и специализации деятельности банков привело к формированию инвестиционных банков нового типа, отличительными чертами которых являются: глобальный характер деятельности, наличие значительного свободного капитала, полный набор диверсифицированных и комплексных услуг, создание собственного бизнеса по управлению активами, осуществлению розничных операций с мелкими и средними клиентами через развитие мощных брокерских сетей, слияние со страховым бизнесом. При этом основными характеристиками рынка инвестиционных услуг становятся концентрация капитала и власти в инвестиционно-банковской сфере, стирание граней между коммерческими и инвестиционными банками.
4. Важное значение для национальной экономики имеют банки развития, деятельность которых призвана стимулировать финансирование важнейших экономических программ. Банки развития различаются по направлениям и масштабам деятельности, организационно-правовым формам, формам собственности и другим характеристикам. Многие из этих банков являются государственными или функционируют на основе государственных гарантий. Опыт ряда стран убедительно свидетельствует о том, что решение стратегических задач национальной экономики путем активизации инвестиционной деятельности кредитных институтов предполагает государственное участие, степень, формы и методы которого определяются особенностями конкретной экономической ситуации.
5. Под проектным финансированием понимают финансирование инвестиционных проектов, характеризующееся особым способом обеспечения возвратности вложений, в основе которого лежат доходы, генерируемые самим инвестиционным проектом. Особенностью этой формы является также детальный анализ технических и экономических характеристик инвестиционного проекта и оценка связанных с ним рисков, которые могут быть рассредоточены между участниками проекта. Уровень рисков банка зависит от принятой схемы проектного финансирования, в соответствии с которой банк участвует в управлении проектом. Среди моделей проектного финансирования в российской практике могут быть применены: схема финансирования под будущие поставки продукции, схемы «строить — эксплуатировать — передавать» («build — operate — transfer» — ВОТ) и «строить — владеть — эксплуатировать — передавать» («built — own — operate — transfer» — BOOT) с привлечением иностранных инвестиций при сочетании финансирования с ограниченным регрессом с финансированием под правительственную гарантию.
Инвестиции: Анализ - Инвестирование - Инвестиционные фонды
- Инвестиции
- Анализ инвестиций
- Инвестиционные ресурсы
- Классификация инвестиций
- Инвестиции в России
- Биржевые инвестиции
- Инвестирование
- Классификация инвесторов
- Инвестирование в ресурсы
- Инвестирование в России
- Торговые системы для инвестирования
- Инвестиционные фонды
- Публичные инвестиционные фонды
- Специальные инвестиционные фонды
- Российские инвестиционные фонды