Итак, мы закончили с вами изучение гармонических моделей, и теперь, пришла пора, перейти к, изучению гармонических циклов, - логического продолжения теории «ГВТ».
Как уже говорилось, при расчете количества волн полного цикла гармонических моделей, одним из наиболее важных факторов является умение определить совокупное число волн в импульсивной и корректирующей конструкции совместно. При разработке теории «ГВТ», я ставил для себя приоритетной задачей - описание механизма сочетания импульсивных и коррекционных структур между собой.
Задаваясь вопросом, почему все-таки, традиционная волновая теория «по умолчанию» использует восьми волновой цикл, у которой 5-волновая, импульсивная конфигурация, должна обязательно сменяться трех волновой структурой, я убедился, что на практике такое сочетание встречается не всегда, более того, очень часто можно найти совершенно иное сочетание, не вписывающееся в стандартную классификацию. Если рассмотреть в качестве примера, модель «Гартли», имеющую в своем наличии четыре волны, а не восемь, как должно было быть, то можно прийти к выводу, что необходима всеобъемлющая теория подсчета волн в циклах, на базе сочетания гармонических моделей. Иначе, многие конфигурации, просто выпадают из стройной картины волновой теории. С этой целью, я стал, не покладая рук обрабатывать огромное количество графиков, чтобы получить ответ на вопрос: «каким образом сочетаются гармонические модели между собой»? Например, если мы имеем в наличии импульсивную модель xZ(z)x, состоящую из 13 волн, то какие, наиболее вероятные варианты отработки, можно в дальнейшем ожидать? Для решения этой задачи мне пришлось затратить много времени, рассмотреть большое количество классических вариантов волновых структур, которые встречаются в книгах по классическому анализу. И все это время потрачено было не зря, поиски увенчались успехом. Мне удалось получить в конечном итоге, достаточно вразумительные ответы. Но, как я и ожидал, ответы оказались намного сложнее, чем можно было изначально представить. Однако, все по - порядку.
Практические примеры с использованием реальных графических иллюстраций, помогут начинающему трейдеру более основательно вникнуть в суть гармонических волновых конструкций, а также получить практические навыки прогнозирования и подсчета количества волн по описанной ранее методике матричного моделирования. Более того, в процессе проработки данного материала, я пришел к выводу, что существуют устойчивые сочетания импульсивных и коррекционных гармонических моделей, которые чаще других можно встретить на графиках цен. Такие повторяющиеся структуры я назвал гармоническими циклами.
Пожалуй, в качестве одного из самых ярких примеров, гармонических циклов, стоит упомянуть классическое сочетание, пяти и трех волновых конфигураций, образующих вместе восьми волновой цикл. Иначе говоря, гармоническим циклом называется наиболее часто встречаемые сочетания импульсивных и коррекционных гармонических волновых моделей. Как уже говорилось ранее, среди гармонических моделей встречаются и такие сочетания, которые не так часто появляются на графиках цен, но, тем не менее, которые представляют собой весьма интересные объекты для изучения. Такие гармонические модели чаще всего находятся не на горизонтальных, а на диагональных ячейках матрицы. В процессе изучения неправильных гармонических моделей, мы с вами различными цветами выделяли блоки гармонических структур – базовые (нулевые), простые и сложные, а так же неправильные. Именно они (блоки), в дальнейшем послужат нам ориентирами для определения наиболее распространенных гармонических циклов. Что же касаемо совокупного количества волн в циклах, то изначально разобранные мной варианты, в последствии оказались только частично правильными. Так как, сама идея определять «конкретное количество волн в цикле» была неверной, что потом и выяснилось. Ведь общее количество волн может быт любым, из представленного ряда: 2, 4, 6, 8, 10, 12, 14, 16, 18 и т. д., но оно обязательно должно быть четным. Получается, что значение волн в цикле должно быть кратными двойке, а не представлять собой степень числа два, как предполагалось в самом первом варианте. Но даже этот вариант, не дает, какой либо полезной информации, которую можно было использовать в процессе торговли, так как диапазон значений получается слишком уж большим.
Итак, изучение импульсивных моделей закончено. Рассмотрен большой перечень различных конфигураций, и теперь пришла пора познакомиться с коррекционными моделями. Рассматривать этот тип гармонических моделей, мы будем гораздо быстрее, так как их количество, в отличие от импульсивных конструкций, не так велико. Коррекционные модели не имеют такого большого разнообразия конфигураций, в связи с чем, изучение этой группы гораздо проще. Тем не менее, знание данной разновидности гармонических волновых моделей является очень важным, поскольку коррекционные модели помогают трейдерам определять момент входа в рынок, что очень важно для большинства среднесрочных и долгосрочных сделок. Согласно теоретическим выкладкам, количество волн, из которых состоит любая коррекционная модель, определяется по следующей формуле:

где: x – Количество трех волновых вложений,
z - Количество пяти волновых вложений.
Это можно проверить, если рассмотреть любую коррекционную конструкцию, и провести подсчет количества волн. Например, возьмем за основу распространенную модель xXx. Согласно приведенной формуле, получается: S(x) = 3 + 2*2+4*0 = 7, таким образом, формула дает значение в качестве итогового результата семь волн, это полностью соответствует действительности. Значения для других моделей, я предлагаю вам проверить самостоятельно. Теперь, когда мы изучили формулу подсчета волн, которая в дальнейшем нам пригодится для того, чтобы определять вид и название модели, предлагаю рассмотреть схему коррекционных моделей. Как и в предыдущем случае, мы с вами познакомимся с двумя разными таблицами (вспомните, как это делалось на примере импульсивных конфигураций), для того, чтобы можно было максимально разобраться и запомнить особенности и разновидности коррекционных моделей, а так же, понять, каким образом они формируются на ценовых графиках.
Таблица 5 Перечень правильных Х-моделей
Исходя из представленной схемы, можно увидеть, что правильных коррекционных моделей всего четыре типа, одна из которых – формация нулевого уровня, следующая модель – базовая конструкция, а остальные две – те модели, которые представляют собой вариант усложнения паттерна X. Как уже говорилось, согласно приведенному перечню, список корректирующих волновых моделей (правильных формаций) не такой большой, как можно было бы ожидать, или, например, если сравнивать его с импульсивными гармоническими моделями.
Таблица 6 Матрица коррекционных структур
Как мы можем заметить, система образования коррекционных гармонических структур полностью идентична тому методу, с которым мы познакомились в процессе изучения импульсивных конфигураций. Отличия заключаются только в том, что у коррекционных структур отсутствуют внутренние вложения, в остальном, все тоже самое.
Согласно матрице коррекционных структур, самая простая форма коррекции – это модель Х0. Как мы уже выяснили, данная разновидность корректирующих формаций, представляет собой такое образование, у которого внутренние под волны отсутствуют.
Модель состоит из одной, единственной волны, являясь, как бы обезличенной. Я употребил именно термин «обезличенной», для того чтобы показать, что при сравнении моделей X0 и Z0 между собой, внешних различий вы не найдете.
Более того, сразу определить какая из них X0, а какая Z0, также не получится. Конечно, если только не рассматривать соотношение длин волн, и не фиксировать общую картину волновой разметки.
Когда же возникает «пустая» волна X0 на ценовых графиках? Как показывает практика, наиболее часто это происходит после образования моделей типа Z0, Z и гораздо реже Z(x), Z(z). В дальнейшем, при изучении гармонических циклов, мы с вами увидим, что является определяющим в данном случае.
Теперь, в качестве примера, рассмотрим 4-часовой график GBPJPY, где после фазы роста в виде модели Z(x), следует медвежья коррекционная волна нулевой формы X0.
Рисунок 37 Медвежья коррекция Х0 после Z(x)
Аналогичная ситуация просматривалась в тот момент и на 4-х часовом графике золота, единственное исключение – общее направление ценового движения. Если здесь, на графике GBPJPY мы имели бычью модель второго порядка Z(x), то на графике золота наблюдалось падение в виде базовой конструкции Z.
Методики подсчета волн в гармонических циклах
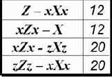
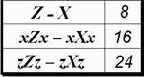
Первый подход, с которого я начал разрабатывать алгоритмы подсчета совокупного количества волн, представлял собой идею использования восьми волнового цикла в качестве основы развития ценовых графиков. Идея простая – берется восьми волновой цикл, и к нему добавляется некоторое количество кратных полуциклов. Как можно заметить, в качестве базы развития здесь используется число два, то есть, получается ряд, состоящий из чисел, образующих степень двойки. ., ., 1, 2, 4, 8, 16 …затем за точку отсчета принимается число 8, к которому прибавляется любое значение из этого ряда, например: 8+ .*8 или 8+ .*8, … или 8*(1+2n); Исходя из целочисленных решений ряда, получаем следующие значения: 8, 9, 10, 12, 16, 24 и т.д.
Рисунок 49 34-волновой вариант развития цены
Эти и другие значения, весьма часто представляют собой общие значения количества волн для полного цикла ценового развития. И как мы увидим в последствии, эта методика довольно близко лежала к истине, но об этом чуть позже. Тем не мене, используя попытки подогнать различные последовательности структур, друг под друга, и не имея при этом единой матрицы, отражающей суть их формирования, мне на тот момент было достаточно сложно сразу объяснить, почему именно при увеличении числовых значений ряда, этот алгоритм оказывается несостоятельным.
Рассмотрим в качестве примера классический 34- волновой вариант, развития цены. Если обратиться к этому «графику» и проанализировать его с точки зрения гармонических волновых моделей, то мы получим, что на бычьей фазе роста, которая является здесь импульсивной составляющей рынка, хорошо просматривается модель zZ(z)z. Согласно формуле подсчета волн, эта гармоническая формация должна состоять из 17 совокупных волн. Таким образом, если полагаться на предложенный в «Методике подсчета волн» первый вариант, то получится, что развитие последующей коррекции должно осуществляться по схеме: 32-17 или 24-17.
Рисунок 50 Гармоническая запись классической, 34-волновой структуры
Но, как видно из рисунка, ни одна из предложенных схем не является тем вариантом, который бы соответствовал действительности, так как полный цикл развития цены, состоит из 28 волн, а коррекция имеет в своем наличии 11 волн. Таким образом, тогда пришлось отбросить эту методику совокупного подсчета волн, как не оправдавшую себя, хотя в последствии мы увидим, что были на тот момент, очень близки к истине.
Второй подход расчета волн в гармонических циклах, был получен чисто эмпирически, и, как показывает практика, лучше всего работает при наличии на графиках простых формаций, когда общее количество волн полного цикла не превышает значения восемь. Например, если на импульсивной фазе цикла формируется пяти или семи - волновая формация (например, модель Z или коррекционная формация xXx в виде импульса), то окончание цикла идет по трех или одно волновому сценарию. Однако, как и в предыдущем случае, для большинства сложных моделей этот метод подсчета оказывается, не применимым, являясь частным случаем предыдущего варианта, поэтому его я также отнес к несостоятельным методам.
Третий подход, представляет собой классический подход определения величины коррекции через импульс и наоборот. Для этих целей в традиционном волновом анализе Эллиотта используется коэффициенты Фибоначчи. Наиболее часто используемый вариант – это применение в расчетах числа φ (Фи) (1.618033989), для определения пропорций соотношения волн между собой. Об этом числе, собственно, как и о ряде чисел Фибоначчи, написано огромное количество различной информации, поэтому я позволю себе напомнить, лишь необходимую в данном случае информацию. Мы помним, что прирост чисел в ряде Фибоначчи происходит согласно этому коэффициенту. Последовательность Фибоначчи - 1, 1, 2, 3, 5, 8, 13, 21, 34, 55, 89 ….если последующее число разделить на предыдущее, то по мере возрастания значений ряда, полученное отношение будет стремиться именно к числу φ (1.618).
Ниже приведены отношения второго члена к первому, третьего ко второму, четвертого к третьему, и так далее:
1:1 = 1.0000, что меньше фи на 0.6180
2:1 = 2.0000, что больше фи на 0.3820
3:2 = 1.5000, что меньше фи на 0.1180
5:3 = 1.6667, что больше фи на 0.0486
8:5 = 1.6000, что меньше фи на 0.0180
По мере нашего продвижения по последовательности Фибоначчи, каждый новый член будет делить следующий, со все большим и большим приближением к недостижимому числу φ. Колебания соотношений около значения 1.618 на большую или меньшую величину особенно ясно проявляются в волновой теории Эллиотта, где они описываются «Правилом чередования». Следует обратить внимание, что соотношение между собой длины корректирующей (К) и импульсивной волны (И) чаще всего стремится к значению числа φ.
Рисунок 51 Формула соотношения И-К
Стоит также отметить, что число φ играет важную роль не только в определении величины длин импульсивных или корректирующих волн, но также может быть использовано для определения количества волн. Для этого необходимо применить эту же формулу, за единственным исключением того, что в результате исчисления следует брать только целочисленные значения полученных расчетов.
Например, если в результате роста на импульсивной фазе сформировалась пяти волновая модель Z, то чаще всего следует ожидать (5*0,618 = 3.09) трех волновую коррекцию. Для 34-волновой классической формации 21+13 (в нашем случае это 17+11, так как в гармонических волновых моделях не рассматривается разложение волн 2, 4, b на трех волновые зигзаги), мы получаем значение (17*0.618 = 10.506) одиннадцати волновую модель, что действительно соответствует теоретической выкладке. Однако, как и в предыдущих случаях, данная методика не всегда дает правильные ответы, являясь, по-своему, ограниченной. Более того, кроме значения φ (0.618) трейдеры, в биржевой практике, еще активно используют значения 0.382 и 0.500, что так же добавляет дополнительные варианты использования. Таким образом, хоть данная методика и дает неплохие варианты, тем не менее, она не позволяет объяснить многие несовпадения, которые могут возникать. Возьмите хотя бы, в качестве примера, четырех волновой (1+3) цикл, более известный, как модель «Бабочка». Ни одна из рассмотренных ранее методик расчета, не дает вразумительного ответа на вопрос, почему именно четырех волновой цикл, и никакой другой.
Четвертый подход представляет собой заключительный вариант, вобравший в себя элементы предыдущих подходов, и, наконец-то, позволивший объяснить многие несовпадения, найденные в процессе анализа сочетаний импульсивных и коррекционных структур. Этот подход был назван мной – матричный метод, так как он базируется на использовании матрицы гармонических структур. Мы с вами уже знакомились с матрицей гармонических моделей, и теперь она нам понадобится снова. Если говорить о самом методе, то он достаточно прост, так как не требует никаких сложных вычислений. Его результаты намного надежней предыдущих, и практически исключают вариант ошибки или неверной трактовки, не говоря уже о ситуации, когда количество волн в цикле не поддается никаким объяснениям. Таким образом, если говорить простым языком, то суть матричного метода заключается в следующем правиле: импульсивные и коррекционные модели, образующие гармонический цикл, чаще всего будут приходиться, либо на горизонтальные участки матрицы, либо расположены в диагональных ячейках.
Таблица 9 Матрица гармонических структур
По этой причине, все сочетания гармонических моделей делят на два вида – горизонтальные и диагональные циклы. Как показывает практика, прежде всего, необходимо рассматривать горизонтальные циклы, так как они наиболее вероятны, а уже затем, брать во внимание все остальные возможные варианты, то есть диагональные циклы.
Для того чтобы определить совокупное количество волн, а также высчитать наиболее вероятную модель, которая будет завершать гармонический цикл, необходимо:
1. Рассчитать количество волн импульсивной фазы рынка.
2. Определить по матрице и графику название модели.
3. Найти ее место в матрице,
4. Определить название завершающей модели, по принципу горизонтального или диагонального цикла.
Для закрепления материала, давайте разберем пример с классическим 34-волновым вариантом. Мы уже выяснили тот факт, что на фазе импульса в данном случае, хорошо прослеживается 17-волновая модель, имеющее название zZ(z)z. Таким образом, в качестве завершающей модели горизонтального цикла, матрица предсказывает образование одиннадцати волновой структуры zXz. Такой же точно вариант, должен быть в случае импульсивной модели zZz. При этом окончание цикла в виде конструкции zXz, полностью подтверждается теоретическими выкладками гармонического анализа.
Модель «Буратино»
Модель «Буратино» представляет собой относительно новое открытие в области гармонических ценовых формаций, возникающих на рынке и предсказывающих продолжение тренда. Несмотря на свою новизну и пока еще неизвестность, своеобразие этой модели и легкая узнаваемость, должны обеспечить ей в будущем широкую популярность и распространенность среди трейдеров. Как уже говорилось, все дело в ее интересном строении. Дело в том, что внешне эта модель напоминает латинскую букву N, у которой в начале круглый вензель, и в конце круглый вензель. Если внимательно приглядеться, то можно заметить значительное сходство этой фигуры, с рассмотренной нами ранее конструкцией - ножницы.
Рисунок 89 "Буратино"
Модель «Гартли» (Бабочка)
Еще одна, весьма экзотическая ценовая модель, которую мы рассмотрим сейчас, имеет очень красивое название «Бабочка» или модель «Гартли». Связано это с тем, что внешне эта формация напоминает крылья порхающей бабочки. Впервые она была описана H.M. Gartley в далеком 1935 году, а затем была издана в книге «Profits in the Stock Market».
По своей структуре, эта модель напоминает трех волновой «a-b-c» зигзаг, сформированный после импульсивного роста в виде одной сплошной волны (4-волновой цикл). Если рассматривать ее пропорции при соотношениях волн между собой, то здесь чаще всего используются коэффициенты Фибоначчи.
Рисунок 81 Модель "Бабочка"
В некоторых зарубежных публикациях встречаются значения коэффициентов Фибоначчи для точек «B» и «D» (0.618 и 0.786 соответственно). Однако существуют и другие варианты соотношений для этой структуры. Несмотря на значительные расхождения в параметрах и широкие вариации коэффициентов, большинство трейдеров все-таки склоняются к тому, что наиболее надежные развороты, приходятся в область 0.618 для точки «B» и 0.786 для точки «D». В качестве дополнительных критериев проверки подлинности модели, необходимо, чтобы она, кроме всего прочего, еще обладала внутренней гармонической структурой AB=CD, которая бы сходилась в той же самой области 0.786.
Итак, замеряем импульсивную волну X-A, затем откладываем значение коррекции «AB», которое должно соответствовать коэффициенту 0.618. Как только это условие выполнено, осталось убедиться, что колено «ВС» (новая коррекция), удовлетворяет условию и лежит в диапазоне 0.382-0.886. После этого, проецируем от точки «С» волну «АВ», таким образом, чтобы выполнялось условие AB=CD. Находим искомую точку «D» сверяясь с диапазонами 0.786 волны X-A, и диапазоном 1,27-1,618 волны «АВ».
Если все требования выполнились, то можно смело использовать найденную модель для торговли. Если же, формация «не совсем удалась», и некоторые параметры не соответствуют требованиям, то к такой модели лучше относиться настороженно, и не спешить торговать по ней, чтобы не понести возможных убытков.
Рисунок 90 "Ножницы"
У обеих моделей первая половина формирования происходит практически идентично друг другу. Как уже говорилось, на месте формирования «колец», обычно встречаются фигуры продолжения тенденции, такие как, «флаг», «вымпел», «прямоугольник» и т.д.
В данном случае, они здесь являются ничем иным, как разновидностями корректирующих волн. В более редких случаях, в области «колец» можно встретить образование простой формы коррекции (без образования фигур). Как и в случае «ножниц», у модели «Буратино» за точку отсчета (ноль) принято считать начало последней импульсивной волны, после которой формируется коррекционная модель.
Когда коррекция сформирована, ее максимум и минимум выделяется точками «H1» и «L1», а затем используется в качестве ориентиров для построения окружности или, так называемого, первого «кольца». Для себя заметьте, что построение первого кольца должно проводиться таким образом, чтобы точки «H1» и «L1» располагались по краям окружности и соответствовали максимальному и минимальному значению окружности.
После того, как диапазон коррекции определился, а время формирования подошло к концу, дальше должна сформироваться новая импульсивная волна, конечную точку которой будем обозначать цифрой «1». Эта волна, как и предшествующая импульсивная волна «0-L1», отличается «достаточно бурным нравом», и, обычно, формирует новый экстремум после консолидации «L1-H1».
В этой точке (точка «1») как мы знаем, очень часто происходит перелом тенденции, поэтому здесь часто образуются соответствующие свечные модели, а также другие аналогичные проявления смены тенденции.
Как только минимальная точка определена, ждем новую импульсивную волну в противоположном направлении, причем, как и в случае с «ножницами», окончание этого импульса должно обязательно сопровождаться формированием нового внутреннего максимума.
Рисунок 91 AUDCHF, H1
Иначе говоря, точка «2» должна быть обязательно выше максимума первой консолидации, который мы обозначили как «Н1», иначе вся модель будет считаться ложной. (Стоит отметить, что здесь рассматривается вариант медвежьей модели, для бычьих паттернов, всё должно быть в точности, наоборот). Небольшая ремарка: в отличие от предыдущей модели «ножницы», которая чаще всего возникает в области переломных волн «5-а-в-с», формация «Буратино» представляет собой разновидность корректирующей структуры «три икса», отличающейся внушительными размерами, и образуется на месте «4» коррекционной волны.
Именно поэтому, после завершения полной отработки этой модели, очень часто происходит последующий разворот тренда. Хотя такое случается довольно часто, тем не менее, происходит это не всегда. И это нужно помнить, так как модель «Буратино» может встречаться не только на «4» волне, но также и на «2» коррекционной волне.
Рисунок 92 NZDJPY, D
Итак, точка 2 определена, и здесь, как раз то, и заканчиваются все сходства данной модели с паттерном «ножницы», и начинается, формирование модели «Буратино», как таковой.
Рисунок 93 AUDJPY, D
Дополнительной особенностью модели «Буратино» можно считать «наклон» волны 1-2, который призван подтвердить последующее направления движения цены. Если волна «1-2» имеет правый «наклон» – это медвежий признак, если уклон волны, обратный, левый - то это бычий признак. Проверьте на практике эту закономерность, и используйте ее в качестве дополнительного критерия проверки и значимости модели «Буратино». После того, как определились с наклоном «центрального элемента» фигуры, ждем формирования новой волны «2-L2».
Эта волна очень важна, так как именно она является направляющей волной, и способствует тому что, мы убеждаемся в правильности наших выводов. Особенностью ее строения является тот факт, что минимум «L2» оказывается ниже минимума первого кольца «L1», однако, остается в пределах установленного диапазона центральной волны «1-2». Как только формирование волны закончено, нанесена точка окончания импульса, наша задача выявить глубину коррекции. Говоря простым языком, для того, чтобы установить отложенный ордер, необходимо заранее определить точку входа «Н2». Для этого будем использовать имеющуюся у нас окружность, построенную по точкам «H1» и «L1» или, иначе говоря, «первое кольцо».
В процессе поиска и выявления моделей, для себя отметьте, что у бычьей модели наряду с левым наклоном центральной волны, правое кольцо должно быть выше левого. Все, наоборот, для медвежьей модели. У нее дожжен быть правый наклон центральной волны, а левое кольцо должно быть выше правого. Теперь вернемся к процедуре построения второго кольца. Она довольна простая, и не требует больших усилий.
Для этого копируем первую окружность, и накладываем ее таким образом, чтобы:
• точка «L2» находилась возле минимума окружности;
• «площадь прогнозируемой коррекции» умещалась внутри второго «кольца»;
В общем, как можно заметить, все точно так же, как и в рассмотренном нами случае с моделью «ножницы». Поэтому, даже начинающий трейдер, легко справится с поставленной задачей.
Рисунок 94 EURJPY, H4
Итак, медвежья модель найдена, все необходимые условия выполнены, сомнений в том, что перед нами модель «Буратино» нет! Что делать дальше? Начнем все по порядку. Прежде всего, необходимо уставить отложенный ордер, а также попутно определить значения прогнозируемой прибыли, и величину допустимых убытков. Выставлять отложенный ордер можно уже тогда, когда цена только начинает формировать правое кольцо. В таком случае, отложенный ордер лучше всего размещать возле максимальной точки консолидации «Н2», а если быть точнее, то чуть ниже её, чтобы ордер наверняка сработал. После того, как ордер выставлен, необходимо позаботиться о его безопасности, то есть установить стоп-лосс.
Методика выставления стоп-лосса в данном случае аналогичная тому принципу, который мы уже рассматривали на примере модели «ножницы». Правило следующее: устанавливать уровень фиксации убытков рекомендуется за пределами диапазона первого кольца, в нашем случае это значение будет располагаться чуть выше точки «Н1». Там, наиболее безопасная область, но если цена все-таки доберется туда, то, скорее всего, фигура окажется «сломленной».
Рисунок 95 Отработка сигнала EURJPY, h4
Как только убытки ограничены, следующий этап - планирование прибыли. Для этого будем использовать самый первый импульс, начало которого (точка ноль), мы, когда-то, рассматривали в качестве начала отсчета по данной модели. Для этого, измерим отрезок «0-L1» (отрезок от точки «0» до первой точки левого кольца), а затем, спроецируем полученную величину от последней точки правого кольца.
В нашем случае эта точка «Н2», которая является максимумом консолидации. Полученное значение и будет являться тем ценовым ориентиром, который в последствие мы и будем использовать в качестве нашего ценового мерила прибыли. Таким образом, в качестве заключения хотелось бы отметить, что гармоническая модель «Буратино», наряду с формацией «ножницы», представляет собой весьма интересные ценовые образования, знания которых, не только расширит ваш торговый арсенал специалиста, но и позволит Вам получать дополнительный доход, тем самым, повышая свой торговый потенциал трейдера.
Модель Х
Х-модель или X-зигзаг наиболее распространенный тип корректирующей формации, обычно возникающий после пяти волнового роста. Эта разновидность ценовых моделей относится к так называемым базовым конструкциям, и образует целое семейство, сложных гармонических формаций. Не даром, традиционная волновая теория Эллиотта, весьма популярная на сегодняшний день, утверждает, что коррекция не может состоять из пяти волн. Умение находить и распознавать эту конструкцию в тот момент, когда рынок подвержен сильному движению и находится в состоянии мощного тренда, обеспечит вас необходимым преимуществом ювелирного входа, дав возможность без особых усилий получать выгодную цену для открытия позиций.
Рисунок 38 Базовая конструкция X
Отмечу также, что общеизвестная модель «Бабочка» (Гартли), которую мы рассмотрим в приложении, является ничем иным, как обычным зигзагом, сформированным после импульсивной конструкции Z0.
Единственное исключение, о котором стоит упомянуть отдельно, - это строгие размеры «Гартли». В нашем случае, они играют менее важную, второстепенную роль, так как главное, что нас будет интересовать, это структура модели, плюс совокупное количество волн в самой конструкции.
Ответ на вопрос, почему в модели «Бабочка» общее количество волн равно четырем, а не восьми, как должно быть согласно классическим канонам традиционной волновой теории, мы узнаем с вами позже, изучая теорию гармонических циклов.
Рисунок 39 Модель «Бабочка» (Гартли)
Итак, мы с вами уже говорили о том, что классические восьми волновые структуры на ценовых графиках валютных пар появляются не так уж часто. В большинстве случаев попадаются сложные модели, в основе которых лежат, так называемые, центральные сетапы (ядра), и только одной из них является Z модель.
Рисунок 40 Классическая 8-волновая структура
Выше приведен пример подобной ситуации, где после импульсивной структуры Z, сформирован X-зигзаг. Обратите внимание, что общая структура напоминает рассмотренную ранее модель «Бабочка» с различиями в начальном импульсивном движении.
Модель «Ножницы»
Продолжая рассматривать модель, мне хотелось бы представить читателю новую графическую модель, обнаруженную мной сравнительно недавно, но уже завоевавшую доверие у меня и у моих знакомых трейдеров. За последние несколько месяцев, мне посчастливилось много раз наблюдать формирование и отработку этой ценовой конфигурации в реальном времени. В конечном итоге, это положительно сказалось на ее «репутации» в моем сознании. Хотя, стоит заметить, что кому-то данная модель покажется знакомой, и, уловив некие сходные черты, она напомнит ему хорошо известную, разворотную фигуру «голова и плечи». Соглашусь, что некие схожие черты присутствуют, однако, разобравшись более подробно, вы увидите, что по своей сути, «ножницы», все же отличаются от модели «голова и плечи», и имеют несколько своих особенностей.
Рисунок 83 Медвежьи "ножницы"
Именно об этих особенностях и пойдет речь дальше. Но, прежде чем мы продолжим, хотелось бы отметить, что здесь рассматриваются аспекты, связанные с определением и построением бычьей модели «ножницы». В случае медвежьей модели, следует использовать всё в точности наоборот. Итак, начнем.
Что же представляют собой «ножницы», и почему все-таки я выбрал такое странное название? Открою секрет, - все дело в форме модели. Вспомните детскую загадку про ножницы – «два кольца, два конца и посередине гвоздик», а затем взгляните на рисунок, и вам станет все ясно.
Рисунок 84 (GBP/USD, H1)
Досконально рассматривая графики можно заметить, что на месте «колец» обычно формируются фигуры продолжения тенденции, такие как, «флаг», «вымпел», «прямоугольник», «треугольники», - которые являются ничем иным как разновидностями корректирующих волн. В более редких случаях, в местах «колец» можно встретить образование простой формы коррекции (без образования фигур), что не нарушает структуру «ножниц», но делает саму модель более похожей на классическую формацию «голова и плечи». Теперь давайте рассмотрим обозначение модели «ножницы». Начало формирования (точку отсчета) будем обозначать цифрой ноль «0» (ценовое значение этой точки впоследствии будет использоваться для определения величины отработки). После того, как начало определено, следующим этапом идет выделение точек «H1» и «L1», которые являются значениями максимума и минимума текущей коррекционной волны, а также будут использоваться нами в последствие в качестве ориентиров для построения окружности или, так называемого, первого «кольца». Построение должно проводиться таким образом, чтобы точки «H1» и «L1» находились по краям окружности. Для этого используем в программе MеtаTrader4 закладку «Вставка», затем выбираем «Фигуры», и далее «Эллипс». После того, как построение первого кольца закончено, переходим к процедуре выделения «острия ножниц». Минимальную точку «острия» будем обозначать цифрой «1». (Отмечу, что если модель определена правильно, точка «1» будет соответствовать окончанию пятой волны по классической теории волн Эллиота.)
Более того, весьма часто особенностью этой волны является свойство, называемое «неудавшийся размах», а именно, - … динамичное развитие волны внезапно прерывается, а затем сменяется на бурное движение в противоположном направлении. Здесь же, в момент перелома, могут формироваться и такие свечные модели как, например, бычье/медвежье поглощение, завеса/просвет из темных облаков, появление которых, служит дополнительным подтверждением разворота, и, соответственно, правильности наших выводов.
Рис. 85 Ножницы на недельном графике нефти _QM
Рисунок 86 (GOLD, H1)
Как только минимальная точка определена («острие ножниц»), ждем новую импульсивную волну в противоположном направлении. Именно ее окончание (точка H2), будет сигнализировать нам о необходимости установки отложенного ордера. Единственное, что нужно помнить - точка «H2», соответствующая окончанию этой волны, должна обязательно быть выше точки «H1». Это одно из главнейших условий! Если данное условие не выполняется, то модель считается ложной. После того, как точка окончания нового импульса (точка H2) нанесена на график, наша задача выявить глубину коррекции. Говоря простым языком, для того, чтобы установить отложенный ордер, необходимо заранее определить точку входа (точку L1). Для этого будем использовать имеющуюся у нас окружность, построенную по точкам «H1» и «L1» или, иначе говоря, «первое кольцо». Процедура построения второго «кольца» довольна простая, и не требует больших усилий. Для этого копируем первую окружность, и накладываем ее таким образом, чтобы:
- точка «H2» находилась возле максимума окружности;
- «площадь прогнозируемой коррекции» умещалась внутри второго «кольца»;
В общем, выстраиваем ее так, чтобы получилось второе «кольцо» ножниц, а корректирующая волна находилась полностью внутри круга. После того, как второе «кольцо» построено, выделяем точку, находящуюся вблизи минимума окружности, и обозначаем ее, как «L2».
Итак, дело сделано. Ценовой уровень, соответствующий данной точке определен, и в дальнейшем будет использован нами в качестве ориентира для установки отложенного ордера на покупку.
Рисунок 87 (USD/JPY, H4)
Теперь остается только определить величину тэйк-профита и стоп-лосса для нашего ордера. Проблем в данном случае нет, так как «ножницы», позволяют определять не только направление сигнала и момент входа, но также дают и ориентиры для установки приказов на фиксацию прибыли и убытка. Собственно, как и полагается всем моделям разворота тенденции. Для этих целей следует использовать следующие правила:
1. В качестве правила определения прибыли необходимо замерить расстояние от точки «0» до точки «L1», а затем спроецировать его от точки «L2» (цена открытия ордера). Полученное значение будет соответствовать точке окончания модели (точка 2).
2. Альтернативным способом измерения величины отработки может служить линия, проведенная через точку «0» параллельно отрезку, соединяющему точки «L1» и «L2». Именно эта линия очень часто выступает в качестве верхнего предела, ограничивающего рост цены, и поэтому, может быть использована как целевой уровень фиксации прибыли.
3. В качестве ориентира для установки стоп-лосса, я рекомендую использовать значение точки «L1» – минимум первого «кольца». Хотя многие трейдеры, возможно, предпочтут более короткие стоп-лоссы, ну что ж, им решать, где должны находиться ордера фиксации убытков.
Рисунок 88 (EUR/JPY, H4)
И напоследок добавлю, что «ножницы», в качестве модели разворота тенденции, хорошо рассматривать после затяжных ценовых движений, одним словом в потенциальных местах перелома тренда. Если же вы пытаетесь торговать по данной модели во время боковых течений, ваша статистика может быть омрачена большим количеством убыточных сделок, и как следствие, снижением качества торговли.
Более того, старайтесь использовать только «четкие, пропорциональные и красивые» модели, то есть те модели, которые «легко узнаются». Статистика положительных торгов по ним гораздо лучше, чем та же статистика по «моделям с натяжкой». Как показывает практика, это присуще абсолютно всем ценовым моделям.
Модель «Три движения»
Теперь пришла пора рассмотреть модель «Три движения» (иногда ее еще называют «Три шага»), которая довольно часто встречается на просторах сети Интернет, но почему-то, не входит в стандартный курс обучения техническому анализу. Графически, это достаточно простая модель. Как в плане визуального восприятия, так и в плане теоретической основы. Поэтому, она представляет собой вполне реальную ценовую формацию для практического применения в торговле.
Строгая интерпретация этой модели связана с тем, что мы имеем три волны равной величины с определенным и равным восстановлением и расширением Фибоначчи для каждой волны. Трейдеры, знакомые с анализом волн Эллиотта, глядя на эту модель, увидят некоторую аналогию с пяти волновой моделью, в которой первая и пятая волны будут равной длины. С точки зрения гармонического волнового анализа, перед нами представлена завершающаяся базовая конструкция Z, имеющая название «Три движения».
Посмотрите, как выглядит эта модель на схеме.
Рисунок 82 Бычья и медвежья модель "Три движения"
Как и многие другие модели, она дает возможность прогнозировать будущее ценовое движение, а так же помогает определить момент разворота. Стоит обратить внимание, что, в случаях, когда волна «3» заканчивается на сильном уровне поддержке или сопротивления, надежность полученного сигнала значительно возрастает.
Согласно схеме видно, что концепция структуры достаточно проста и имеет некоторое сходство с обычной моделью «Гартли», приведенной ранее. Движение цены восстанавливается, и, если вы замечаете, что восстановление близко к стандартному уровню Фибоначчи в 61,8%, то вы имеете начало модели. Далее, обратите внимание, что каждая из импульсивных волн является расширением Фибоначчи от предыдущей волны, и чаще всего представляет собой значение 1,618, величины предыдущего импульса. Вы можете убедиться в этом самостоятельно, если проведете соответствующие вычисления. Хотя нужно отметить, что иногда встречаются совершенно другие значения, используемые для расчетов. Например, при определении величины восстановления используются коэффициенты 0,500 или даже 0,786, а при определении точки расширения, можно встретить значение 1,27. Основное правило, которым я руководствуюсь в подобных случаях – симметрия модели.
Симметричность модели подразумевает пропорциональность ее размеров, и, соответственно, одинаковые параметры для всей конструкции. Однако подобные совершенство и симметрия не очень часто присутствуют на рынках, и мы должны уметь обходится некоторыми не совсем идеальными версиями этой модели. В связи с этим, некоторые авторы считают, что лучше всего использовать диапазоны значений, для определения элементов всей конструкции. Когда вы находите совершенную модель «Три движения», есть высокая вероятность, что вы можете заключить сделку, основанную на проектируемой цели в 61,8%. Обычно сигнал наступает, как только волна «3» сформировалась. В этом случае можно открывать позицию, для взятия ожидаемого восстановления в 61,8% от последнего движения вниз, которое и сформировало волну «3». Как и в предыдущих случаях в моей практике встречалось несколько примеров того, что окончательное движение фактически давало прибыль от восстановления в 78,6%. Поэтому лучше пользоваться диапазоном целей: 0,5 - 0,618 - 0,786. Если же вы хотите быть полностью консервативным в использовании этой модели, то вам, вероятно, придется ждать некоторое время, чтобы найти совершенную установку для входа в рынок. Однако, если вы не против некоторых допущений в своем взгляде на признание моделей, то вы можете весьма часто извлекать выгоду из этой модели, так как ее основой является весьма частая гармоническая конструкция Z.
Модель xXx
Коррекционная конструкция xXx, на мой взгляд, одна из самых часто встречаемых и интересных гармонических волновых моделей. Она представляет собой семи волновую конфигурацию, состоящую из центральной базовой конструкции Х, у которой в начале и конце, расположены точно такие же, симметричные X – вложения. Эта модель достаточно проста в идентификации, причем частным случаем ее, является модель «Буратино», с которой мы познакомимся в самом конце книги. Наверняка, многим трейдерам эта модель знакома по классической волновой теории Эллиотта, где она имеет красивое название «двойной зигзаг», и относится к довольно сложным образованиям.
Рисунок 41 Модель xXx
Встретить «двойной зигзаг» можно не так уж часто на графиках цены, до тех пор, пока человек не познакомится с гармоническим волновым анализом.
В этом случае я сужу по себе, ведь именно после разработки и освоения теории «ГВТ» на практике, модели «двойной зигзаг» или xXx «по-нашему», стали появляться на графиках, как грибы после дождя.
Рисунок 42 Медвежья модель хХх на графике золота
Более того, никаких сомнений в том, что передо мной именно формация xXx, так же не возникает. Поэтому, моя рекомендация: используйте полученные навыки, ищите и находите модели на графиках, зарабатывая при этом деньги! При анализе графиков, обратите внимание, что формирование данной формации, практически всегда обусловлено фазой коррекции, хотя иногда, она может встречаться в местах импульсивных образований.
Мы с вами уже рассматривали подобные варианты подмены коррекционных моделей импульсивными (в случаях тройки волн «a-b-c»), однако обратного случая встречать пока нам еще не приходилось.
Рисунок 43 Модель xXx на стадии импульса (_QM,monthly)
На представленном недельном графике нефти (марки «light»), хорошо просматривается центральное образование в виде базового Z - сетапа, внутри которого можно, легко обнаружить уже знакомую нам модель xXx.
Рис. 44 Модели xXx на недельных графиках кросс-курсов японской Йены
Одно только «но», - эта модель имеет импульсивную природу происхождения, а не корректирующую, как должно было быть. Точно такие же образования можно увидеть на недельных графиках кросс-курсов японской Йены.
Давайте попробуем разобраться с таким, казалось бы, несовпадением. В случае подмены коррекционной волны импульсивной, мы пришли к выводу о том, что такая ситуация, чаще всего встречается на месте волны «А».
Ведь вспомните, даже согласно классическим канонам теории волн, эта волна может состоять, как из трех, так и из пяти волн меньшего порядка, а разбиение ее на пять меньших волн, выступает в качестве дополнительного сигнала, подтверждающего продолжение коррекции.
Если же ситуация полностью противоположная, то есть, происходит подмена импульса на коррекцию, это может говорить о том, что рынок обладает настолько мощным потенциалом к движению, что даже коррекционная волна начинает развиваться не против тенденции, как должно быть, а, наоборот, по направлению действующего тренда.
Подобную ситуацию, можно встретить у формации, имеющей название «бегущая коррекция», разобранную нами ранее. Все это выступает в качестве аргумента в пользу продолжения действующей тенденции.
Модель xZx
Одной из первых, гармонических волновых моделей, которую стоит внимательно изучить, является симметричная структура xZx. Ее особенность в том, что в качестве ядра у нее расположена базовая конструкция Z. Более того, эту девяти волновую формацию можно причислить к классу вырожденных разновидностей модели Z(x), или даже более сложной вариации xZ(x)x, ввиду отсутствия у нее внутреннего вложения в её центре (ядре).
Рисунок 28 Модель xZx
Сама по себе, эта модель представляет собой достаточно простое образование, и весьма часто встречается на графиках цен. Термин «вырожденная разновидность Z(x)» я специально употребил для того, чтобы обозначить родственность этих двух моделей между собой. Иногда, ситуация на рынке складывается таким образом, что на одних парах в качестве ядра формируется конструкция Z(x), а на других парах, в то же самое время можно наблюдать образование центрального Z-сетапа.
Подобная рыночная ситуация наблюдалась в конце апреля 2007 года, когда на дневных графиках GBP/JPY и CHF/JPY четко прослеживалась центральная структура Z(x), в то время как на парах EUR/JPY, CAD/JPY, AUD/JPY, NZD/JPY можно было с уверенностью сказать, что просматривается «пустой», центральный Z - сетап.
Рисунок 29 Незаконченные модели xZx
Обратите внимание, что модель xZx, сформированная на 4-х часовом графике британского фунта к американскому доллару, с одной стороны, предсказывает скорое начало роста, а с другой стороны, хорошо видно,
что текущая гармоническая конструкция xZx является коррекцией, которой, как мы знаем, она не является. О чем это может свидетельствовать, когда импульсивные модели, образуются на местах коррекционных формаций?
Рисунок 30 Модель xZx
Ответ прост. Скорее всего, подобные случаи возникают в ситуации, когда завершена не вся, а только первая часть общей коррекции. В качестве примера, можно привести волну «a» из классической тройки волн a-b-c. Когда, казалось бы, по завершению волны «а», коррекция уже позади, вдруг появляется волна «c», и «на глазах у изумленной публики» движение продолжается уже с новой силой. Вероятней всего, именно в подобных случаях происходит подмена корректирующих гармонических конструкций на импульсивные конфигурации.
Модель xZ(x)x
Продолжая рассматривать особенности формирования импульсивных гармонических моделей, пришла пора, перейти к следующей, распространенной модели - одиннадцати волновой формации xZ(x)x.
Она представляет собой последовательное чередование X - вложений, с базовой конструкцией Z в основании. Сама модель является достаточно сложной, в основном формируясь во время затяжных трендов, что способствует ее дополнительному растяжению.
Отмечу так же, что в классической волновой теории модель xZ(x)x имеет название «тройной зигзаг» (кроме тройного зигзага, выделяют еще двойной зигзаг и обычный зигзаг), который, как известно, относят к коррекционным моделям. Отличие заключается в том, что в нашем случае «тройной зигзаг» - xZ(x)x будет являться импульсивной моделью, так как в его основании лежит базовая конструкция Z.
Рисунок 31 Сложная модель xZ(x)x
Итак, мы с вами рассмотрели закономерности, лежащие в основе формирования сложных гармонических волновых моделей, и определили последовательность возникновения конструкций на базе центральных Z - сетапов.
Рисунок 32 Модель xZ(x)x на ценовом графике
Как уже говорилось ранее, рассматриваемая нами правильная конструкция xZ(x)x является усложнением часто встречаемого центрального сетапа Z(x), с которым мы подробно познакомились в предыдущих блоках материала. Поэтому, остается лишь добавить, что модификация центральных сетапов все чаще и чаще встречается на графиках валютных пар. В особенности, это утверждение верно, по отношению к моделям, образованным на базе сетапа Z(x).
Модель xZ(z)x
Следующей разновидностью сложных гармонических моделей, внешними вложениями которой выступают X-модели, является тринадцати волновая модель xZ(z)x. От предыдущей конструкции, ее отличает только форма ядра, у которой, вместо «иксового» вложения в центре, находится базовая конструкция Z, или, проще говоря, ядро, образованное моделью Z(z).
В процессе описания и поиска гармонических структур, я успел убедиться в том, что сложные волновые модели, образованные центральным сетапом Z(z), гораздо реже встречаются на графиках, нежели структуры с ядром Z или Z(x). И тому есть простое объяснение.
Эти модели очень сложные и имеют в своем составе много волн, соответственно, выделить сразу их не так просто, в сравнении с простыми структурами, которые очень часто попадаются «на глаза», и к тому же, еще легко запоминаются.
В качестве графической иллюстрации модели xZ(z)x, предлагаю рассмотреть реальную рыночную ситуацию дневного графика золота, которая, к тому же, на тот момент интересовала большое количество моих знакомых.
Рисунок 33 Сложная модель xZ(z)x
Хорошо видно, что, начиная с середины апреля 2007 года, золото стабильно падало, войдя в нисходящий канал высотой примерно в 20 долларов. Многие мои знакомые тогда держали длинные позиции по золоту, и поэтому, с началом нисходящего движения, им пришлось частично захеджировать свои позиции, чтобы хоть как-то ограничить потери. В связи с этим, мне часто задавали стандартный вопрос: «Когда же, наконец, золото закончит падение, чтобы можно было снова раскрыть покупки»?
Проанализировав ситуацию на рынке, я обратил внимание на то, что типичный нисходящий канал, сформированный на графике золота, представляет собой сложную гармоническую структуру xZ(z)x.
К этому времени, цена уже подошла к верхней границе канала, начиная тестировать его на прочность. Хотя пессимистичные настроения моих знакомых становились все сильней и сильней, я решил подбодрить их простым советом, так как четко представлял последующее развитие событий. «Ждите пробития нисходящего канала», - сказал я им, «и на этом сигнале смело добавляйте длинных позиций» - такова была моя
рекомендация.
Рисунок 34 Модель xZ(z)x на дневном графике золота
Как мы сейчас видим, простой технический сигнал оправдался на все сто процентов, дав возможность серьезно сократить убыток, и вывести совокупную позицию в сторону положительного результата. Мои знакомые до сих пор пребывают в восторге от такого развития событий, однако, для них так и осталось секретом, что мой прогноз был подкреплен анализом гармонических волновых моделей. Именно сочетание этого вида анализа с классическим техническим анализом, позволило мне сделать довольно точный прогноз развития событий, и зарекомендовать себя в качестве хорошего аналитика. Обратите внимание, что рассматриваемая нами ситуация по золоту, очень напоминает ситуацию, отраженную на графике фунта (рисунок 29). А именно, казалось бы, коррекционная формация, но, тем не менее, имеет в своей основе, импульсивное ядро Z(z). Как мы уже знаем, такая подмена коррекционных структур импульсивными моделями, очень часто означает образование крупных конфигураций «a-b-c», предсказывая в последствии еще одну волну падения (волну «с»). Поэтому, есть большой шанс того, что после роста, золото снова прилично упадет в цене. Таким образом, мы с вами изучили сложные гармонические образования, внешними вложениями которых является трех волновой зигзаг X. Соответственно, не рассмотренными у нас остались только правильные импульсивные модели zZz, zZ(x)z, zZ(z)z, то есть те модели, внешние вложения которых, образованы базовой конструкцией Z.
Модель Z
Первый сетап, который мы рассмотрим, - будет базовая конструкция Z. Исходя из предыдущего материала, мы знаем, что модель Z представляет собой пяти волновую модель, которая лежит в основе огромного количества импульсивных волновых образований, имеющих сложную конструкцию.
Рисунок 14 Z-модель
Эта модель, одна из центральных структур волнового анализа. Так же мы знаем, что эта пяти волновая формация, с точки зрения «матрицы импульсивных структур», является ничем иным, как обычным Z - сетапом с нулевыми (пустыми) вложениями в начале, середине и конце формации.
Рисунок 15 Центральный Z - сетап
Тем не менее, на графиках цен, не так уж часто встречаются «чистые» Z-модели без каких либо дополнительных вложений. Как уже упоминалось, центральный элемент этого паттерна, напоминает одну из букв латинского алфавита, а именно "Z" или "S", лежащую на боку. Это определение поможет вам в самом начале практического пути, освоить поиск данной конструкции на графиках цен. Естественно, сначала это лучше проводить на исторических графиках, для того чтобы освоить методику процесса, и лишь затем, переходить к работе в режиме on-line.
Возвращаясь к модели, отмечу, что в процессе торговли, я замечал различные варианты этой формации, в том числе случаи, где центральная структура может иметь различные формы: растянутую или, наоборот, сжатую. В постулатах теории «ГВТ» я упоминал этот факт, что во время различных экономических циклов могут происходить удлинения, либо сжатия гармонических структур, приводя к асимметрии и непропорциональности развития всей модели в целом.

Рисунок 16 Сжатая и растянутая Z – модели
Такой фактор усложняет как саму модель, так и снижает качество прогнозирования с помощью гармонического волнового анализа. Давайте рассмотрим эти особенности. Сжатая модель Z очень часто может быть определена как обычный Х-зигзаг, так как она, по своим размерам и параметрам, очень часто схожа с этой моделью. Иной раз, кажется, что перед тобой обычная техническая фигура продолжения тренда, которая может быть флажком, прямоугольником и т.д.
Рисунок 17 Бегущая коррекция
Однако если взглянуть внимательно на саму фигуру, которую, я обычно выделяю эллипсом или кружком, то можно заметить ее разбиение на две, а не на одну, как должно быть, внутреннюю коррекционную волну.
Рисунок 18 Z или X
Дело усложняется еще и тем, что встречается такая ситуация весьма часто на графиках, и порой, даже не знаешь, как трактовать подобный случай. Настолько пяти волновая формация напоминает трех волновой зигзаг. Поэтому, я решил обратиться за «советом» к классической волновой теории Эллиотта, чтобы узнать, что она скажет на счет подобного случая. Оказалось, что все-таки существует, ценовая конструкция, называемая «бегущей коррекцией» (из области плоских волн или «flats»), структура которой, очень близка по форме и содержанию к тому, что мы видим на графиках. Обратите внимание на представленный схематический рисунок (17), который одновременно может являться и сжатой моделью Z, и, тем не менее, вполне представлять собой «бегущую коррекцию». Скорее всего, именно по этой причине, волны центрального паттерна (Z) расположены так близко друг к другу.
Что же касается растянутой Z – модели, то она очень часто выступает в качестве базы для формирования дальнейшего ценового вложения. Именно у растянутых Z-моделей имеется максимальная вероятность, формирования как внутреннего, так и внешних вложений. Как бы странно это не звучало, но с технической и волновой точек зрения – это действительно так. Поэтому, в процессе отслеживания гармонических моделей, обязательно обращайте внимание на то, насколько удлиненными оказываются импульсивные волны. Ведь именно они являются теми местами, где в последствии должны формироваться вложения. Эта информация поможет вам определить, насколько много существует желающих присоединиться к действующему тренду.
Посудите сами, если модель имеет скромные размеры, то, согласно традиционному техническому анализу, она имеет небольшой потенциал для своего дальнейшего развития. Но чем больше желающих присоединиться, тем дольше время, которое просуществует действующий тренд.
Рисунок 19 Сжатые и растянутые Z-модели
Во время формирования сложных моделей возможно образование нескольких сценариев развития событий. Сложная модель может выстраиваться по принципу вогнутости, либо по принципу выпуклости, либо вообще формироваться в параллельном канале. На практике замечено, что большинство коррекционных моделей развивается в конструкции с выпуклой структурой, в то время как, импульсивные Z - сетапы, преимущественно образуются в форме вогнутой модели.
Таким образом, в зависимости от того, по какому из сценариев происходит развитие сетапа, возникает возможность строить предпосылки о принадлежности формации к той или иной группе моделей, а так же прогнозировать дальнейшее поведение цены.
Рис. 20 Разновидности образования сложных моделей
Как уже говорилось, иногда формирование структуры происходит по третьему, более редкому варианту – в виде параллельного канала. В этом случае порядок моделей исчезает, вложения обезличиваются, и многие, уже знакомые нам конструкции, становятся трудноразличимыми и не поддающимися идентификации. На самом деле, это не совсем так, хотя трудности, конечно, и существуют, но, тем не менее, проблему можно решить, если воспользоваться методикой подсчета волн, проведя эквивалентные преобразования. Но об этом позже.
Модель zXz
Следующая по очереди, разновидность сложных корректирующих формаций, считается пропорциональная, симметричная модель zXz. Она состоит из одиннадцати волн, и относится к сложным гармоническим моделям.
Рисунок 45 Модель zXz
Ее не так просто найти на графиках цены, так как она состоит из большого количества внутренних волн. Модель zXz выглядит следующим образом: в центре конфигурации располагается X-модель, по краям которой, образованы вложения в виде базовой конструкции Z.
Сама по себе структура очень напоминает предыдущую модель xXx, только вместо внешних вложений здесь, сформированы Z -модели. Ниже представлен 4-часовой график британского фунта к доллару (GBPUSD, h4) с классическим примером образования модели zXz.
Обратите внимание, как сочетается образование данной формации с гармоническим развитием и формированием соответствующих «орбит», в уже знакомой нам последовательности: центр – ядро – внешние вложения.
Как можно заметить, вся сформированная конструкция имеет симметричный вид относительно центра 2.0150.
Рисунок 46 Модель zXz на графике GBPUSD, h4
Обратите внимание, что модель zXz, представляет собой самую сложную форму образования корректирующих формаций. Конечно, не стоит забывать, что иногда импульсивные модели могут заменять собой коррекционные формации, но эти случаи не так часто встречаются, и, скорее всего, представляют собой исключения из правил, нежели сами правила.
Модель zZz
Пришло время, перейти к изучению более сложных гармонических моделей, которые не так уж просто обнаружить начинающим трейдерам. Тринадцати волновые модели, в том числе и конфигурацию zZz – я встречал очень редко. Скажем так, для того, чтобы поместить в этом разделе графическую иллюстрацию в качестве примера, мне пришлось длительное время «рыскать» по графикам валютных пар, и в конечном итоге, мне это удалось.
Рисунок 35 Модель zZz
Я нашел прекрасный экземпляр сложной гармонической структуры zZz, изображенный далее на рисунке. Обратите внимание, как достаточно симметрично и пропорционально происходит развитие данной конструкции.
Весь медвежий участок цены, на 4-х часовом графике британского фунта по отношению к доллару (GBPUSD), являет собой данную сложную модель.
Рисунок 36 Медвежья модель zZz на графике британского фунта
В центре формации прослеживается четкий сетап (ядро), образованный базовой конструкцией Z, а по краям, на периферии, можно обнаружить точно такие же, отчетливые, пяти волновые Z - вложения. Единственное, что мне бросилось в глаза, это различия в размерах внешних вложений. В самом конце, перед ценовым разворотом, вложение гораздо больше в размерах, нежели в самом начале, хотя и расположены они на одних и тех же «орбитах». Частично, этот факт может быть объяснен повышенной «нервозностью» рынка, перед предстоящим разворотом.
Модель Z(x)
Вторая по счету, разновидность гармонических сетапов, представляет собой модель Z(x). Запись данной гармонической структуры показывает, что в основе ее конструкции лежит обычная пяти волновая Z формация, c внутренним вложением в виде x - зигзага.
Рисунок 21 Сетап Z(x)
Еще одной ее особенностью, является тот факт, что эта конструкция достаточно часто встречается на графиках цен, и представляет собой, по сути, полную противоположность коррекционной формации xXx.
Рисунок 22 Вогнутый сетап Z(x)
(Так как количество волн у них совпадает, а разница лишь в том, что одна модель имеет вогнутую форму, а другая модель – выпуклую форму). Посмотрите на рисунок, где на дневном графике GBPJPY сформировалось ядро Z(x) в виде вогнутой модели развития. Такой факт развития рыночной ситуации позволяет сделать вывод о том, что цена, скорее всего, и дальше будет продолжать свое восходящее движение.
Тем не менее, стоит отметить, что в чистом виде модель Z(x) встречается, не так часто, как хотелось бы, и в основном, перерастает в более сложную формацию xZ(x)x, которая представляет собой вариант удлинения импульсивной конструкции Z(x).
Характерным примером этого случая, является апрельская ситуация 2007 года, когда на дневных графиках GBP/JPY, CHF/JPY была сформирована соответствующая модель, предсказывающая среднесрочный рост этих активов, который в дальнейшем полностью подтвердился.
Рисунок 23 Модель xZ(x)x на GBP/JPY, D
Модель Z(z)
Последняя, самая редкая разновидность сетапов, которую мне удалось несколько раз встречать на графиках цен, представляет собой симметричную, девяти волновую конструкцию Z(z). Если приглядеться внимательней, то эта формация будет напоминать собой подобие «картинки с бесконечностью»… Z, у которой внутри расположена меньшая z, и так далее, до бесконечности, как в сторону уменьшения порядка волн, так и, наоборот, в сторону увеличения. Это и есть, один из примеров фрактальности финансовых рынков. Другой особенностью формирования данной модели, является тот факт, что сама по себе, она встречается достаточно редко.
Рисунок 24 Пример сетап Z(z)
Если, например, модели xXx или xZx встречаются практически повсеместно, то эту формацию мне с трудом удалось отыскать на графиках цен. Более того, как и в случае с предыдущим сетапом Z(x), нашел я ее, даже не в «чистом виде», а в виде центрального сетапа более сложного, неправильного образования – zZ(z)x на 4-х часовом графике EUR/GBP.
Рисунок 25 Модель Z(z) на EUR/GBP, 4h
Ранее, я уже упоминал о возможности эквивалентного преобразования гармонических моделей, в случае их неоднозначной интерпретации.
Так, например, все модели третьего и более высоких порядков, практически всегда можно преобразовать в модели второго порядка, описание которых у нас уже имеется. Как-то, мы с вами рассматривали модель третьего порядка xXXXx, так вот, если провести ее преобразование, то данная формация легко может быть трансформирована в модель второго порядка - zXz. Главное условие здесь, чтобы совпадало совокупное количество волн, ну и, конечно же, структура ядра.
Продолжая рассматривать тематику преобразования гармонических моделей, стоит упомянуть и о частой формации ZZ, которая по количеству волн напоминает рассмотренную нами модель Z(z).
Рисунок 26 Модель ZZ
По структуре, отличие только в расположении последней волны. Последняя Z - модель, оказывается как бы вывернутой, наизнанку. Исходя из этого, можно получить следующие равенства: ZZ = Z(z) = Z(x)x.
Рисунок 27 Модель ZZ на недельном графике GBPUSD
Если с конструкцией ZZ все понятно (они образуются в условиях параллельных каналов), то неправильная конфигурация Z(x)x наводит на некоторые размышления. Хотя на самом деле, все объясняется довольно просто, и никаких сомнений быть не может.
Ответ прост, модель Z(x)x – это несимметричная, а соответственно и не правильная модель. Теория «ГВТ» базируется на утверждении о том, что все гармонические образования должны быть симметричными и пропорциональными, а значит, возникает необходимость преобразовать формацию к соответствующему, правильному типу структур.
Согласно количеству волн, и форме сетапа, наиболее подходящим вариантом получается модель Z(z). Таким образом, мы с вами изучили информацию о том, как формируются гармонические сетапы, представляющие собой ядра волновых формаций, и теперь пришла пора двигаться дальше, для того, чтобы изучить особенности формирования импульсивных волновых моделей.
Этот материал будет особенно важным для тех людей, кто еще не успел до конца освоить методику выявления и обозначения гармонических структур, но тем не мене, весьма заинтересован в приобретении этих навыков.
Неправильные циклы
Неправильные циклы настолько же частое явление, как и правильные циклы.
Рисунок 68 Неправильные циклы
Ранее, мы с вами рассматривали матрицу гармонических циклов, в которой указывались сочетания импульсивных и корректирующих гармонических структур, образующих неправильные циклы. Как показывает практика, неправильные циклы чередуются с правильными циклами, более того, если любую неправильную модель можно привести к эквивалентной правильной фигуре, то с циклами можно проделывать ту же самую процедуру. Следующая ситуация, которую мы постараемся разобрать, призвана подтвердить мои слова.
Перед нами 4-х часовой график пары доллар/японская Йена (USDJPY). Как можно заметить, начиная с июля 2006 года, цена выстраивала сложную модель, общим количеством волн, равным одиннадцати, либо тринадцати. В связи с такой неоднозначной интерпретацией количества волн, сразу определить название модели не получается. Если говорить точнее, то проблемы, возникли в интерпретации формы первого вложения, которое с одной стороны является ни чем иным, как z - вложением, но с другой стороны, может быть расценено, как x – модель. Как же быть, если ситуация такая неопределенная?
Как и в предыдущих случаях, попробуем рассмотреть все возможные варианты, а затем уже, отбросить наиболее неподходящие. Для этой цели, еще раз просчитаем количество волн, и определим по матрице гармонических структур, какие конфигурации больше всего подходят. Итак, получаем следующие варианты:
Таблица 15 Варианты модели
Теперь сверимся с графиком, и отбросим лишние варианты. Для этого достаточно определить, что графическая структура имеет вид ?Zz. Соответственно, из всех перечисленных вариантов, остается только две альтернативы: zZz и xZz. По правилу гармонических циклов эти модели прогнозируют коррекционные структуры zXz и xXz. Если обратиться к графику, то можно заметить, что корректирующая структура очень сильно напоминает модель xXz, которую мы и получили в процессе прогноза по матричному моделированию. Таким образом, наш прогноз полностью оправдался, а так же исполнились ожидания того, как именно должна выглядеть структура, завершающая цикл. Это, в свою очередь, еще раз подтверждает правильность выводов гармонического волнового анализа, а так же того, что все неправильные циклы, можно привести к правильному виду.
Неправильные модели
Наряду с большим количеством «красивых», то есть симметричных, пропорциональных, а именно, правильных гармонических моделей, иногда на ценовых графиках можно встретить и неправильные модели.
Позволю себе напомнить, что под неправильными моделями теория «ГВТ» выделяет следующие разновидности гармонических структур:
1. Модели, образованные в параллельном канале, когда происходит обезличивание общей структуры.
2. Несимметричные по размерам и структуре, а так же непропорциональные гармонические образования, - в общем, те ценовые конфигурации, у которых не выполняется третий постулат теории «ГВТ».
Как показывает практика, встретить такие модели на графиках валютных пар, можно не так часто, тем не менее, иногда они все-таки встречаются, вводя в заблуждение своей неправильной структурой большинство трейдеров и аналитиков. Как уже говорилось, хоть и неправильные структуры представляют собой отдельную группу гармонических образований, большинство из них можно привести к «нормальному» виду, посредством эквивалентного приведения, если пренебречь размером (порядком) вложений, и сосчитать общее количество волн.
Рисунок 47 Неправильная модель xX
На представленном рисунке отмечена неправильная модель xX, которая имеет несимметричную структуру, и, соответственно, неправильный вид. Согласно правилам эквивалентного перевода моделей, если пренебречь порядком волн, то неправильную формацию xX можно перевести в правильную модель Z. Посчитайте совокупное количество волн, и убедитесь, что это действительно так. Продолжая изучать тематику гармонических моделей, далее рассмотрим гармоническую модель ZZ, образованную в параллельном канале. Мы уже встречались с вариантом приведения фармации ZZ к модели Z(z), ставя между ними знак эквивалентности, при отождествлении неправильных моделей с правильными.
Рисунок 48 ZZ - модель
Тем не менее, рынок демонстрирует значительно больше разновидностей, которые не относятся к правильным образованиям. Теоретически, всех их можно просчитать и записать в виде, по истине огромной матрицы гармонических структур. Однако необходимости в этом нет, так как большинство из них встречается очень редко, и представляют собой различные «искажения» уже существующих, правильных формаций. Убедимся в этом на примере, самостоятельно. Для этого внимательно изучим общую матрицу структур, где мелкими красными буквами (о, x, z, xz) выделены внешние вложения (слева по вертикали), и внутренние вложения (справа вверху). Как видно из матрицы, изученные нами сетапы, представляют собой простые и сложные базовые конструкции с нулевыми внешними вложениями. Как правило, они выделяются на фоне гармонической волновой модели, своими крупными размерами, и всегда образуются возле центра конструкции.
Таблица 7 Общая матрица гармонических моделей
Далее, различными цветовыми областями обозначены группы гармонических моделей. Зеленым цветом – в верхнем левом углу матрицы, выделена, так называемая базовая (нулевая) группа. В нее входят простые модели нулевого и первого уровня (базовые конструкции). Синим цветом - выделены простые и сложные волновые образования, имеющие правильную форму, и чаще всего, встречающиеся на графиках цен, поэтому именно эти модели представляют наибольшую практическую ценность. А уже красным цветом, (нижняя строка и два последних столбца) записаны неправильные модели, или формации образованные в параллельном канале.
Их основным минусом является большое количество волн, отсутствие симметрии и пропорциональности, в связи с чем, они распознаются с большим трудом и не являются такими значимыми. Посмотрите, в чем заключаются отличия, и как выглядит их структура в «нормированном» виде.
Таблица 8 Структура гармонических моделей
Обозначения формаций
Исходя из ранее приведенных теоретических выкладок, мы получили две разновидности базовых моделей: X и Z. Как было сказано ранее - это простые конструкции первого порядка, без каких либо дополнительных вложений.
Рисунок 8 Разметка структур на графике золота с примером модели 3-порядка
И хотя, этот тип волновых конструкций встречается относительно редко, тем не менее, они является центральными моделями классической волновой теории Эллиотта. Ранее мы говорили о том, что в качестве объекта анализа, классификации и изучения из всей совокупности гармонических моделей, нами будут рассмотрены только те формации, иерархичность которых, не превышает второго уровня. Связано это с тем, что их идентификация относительно проста, и многие из них достаточно часто встречаются на графиках цен.
Соответственно, для их поиска и обозначения, мною была разработана определенная система записи и маркировки моделей на графиках цены.
Для того, чтобы определить какая именно разновидность гармонической волновой модели сформирована на графике, необходимо указать следующую информацию:
1. Вид базовой модели в основании ядра (сетапа).
2. Тип и место вложений.
3. Бычья или медвежья модель.
Как можно заметить, в основе идентификации и записи гармонической модели лежит определение базовой конструкции в основании ядра (сетапа). Соответственно, особой актуальностью будет обладать поиск центра всей гармонической структуры.
Ведь именно по нему в дальнейшем можно определить разновидность ядра, отмерить длину волны, и подсчитать конечную отработку. Давайте рассмотрим более подробно указанные выше пункты. Под пунктом один – «Вид базовой модели в основании ядра», подразумевается, какая модель лежит в основе формации. Как уже говорилось ранее, это может быть либо X, либо Z, поэтому обозначение сетапа записывается большой буквой.
Второй пункт – «Тип и место вложений» учитывает информацию о том, каким образом вложения меньшего порядка присутствуют в модели, и где они расположены – в начале, середине, либо конце гармонической конструкции. Здесь необходимо помнить, что расположение вложений для моделей X и Z различаются. У базовой модели X, вложения могут быть только в начале и конце, а у формации Z, кроме начала, и конца, вложения могут встречаться еще и в середине.
При обозначении, вложение, которое попадет в середину, заключается в скобках, и записывается сразу после буквы Z. Другие вложения, которые расположены в начале и конце, обычно, обозначаются одинаково, как у X, так и у Z моделей, буквами меньшего размера, и располагаются до и после заглавной буквы базовой конструкции.
Рисунок 9 Обозначение модели xZx
Рассмотрим пример обозначения гармонической модели, на недельном графике EURUSD. Легко можно заметить, что в основе этой конструкции лежит пяти волновая базовая конструкция Z без внутреннего вложения. В начале и конце структуры просматриваются вложения в виде Х-моделей, соответственно, обозначение модели будет следующим: xZx. Эта запись обозначает правильную, симметричную модель Z с соответствующими вложениями X - зигзагов в начале и конце формации.
В качестве другого примера, предлагаю рассмотреть методику обозначения и записи распространенной коррекционной формации xXx на часовом графике EURJPY. Как и в предыдущем случае, в центре этой формации, в качестве сетапа находится Х модель. Она имеет вложения на местах импульсивных волн (в начале и в конце) - точно такие же, трех волновые зигзаги «х».
Рисунок 10 Обозначение модели xXx
Таким образом, запись этой формации будет иметь следующий вид: базовая конструкция X (большой буквой), у которой, в начале «х», и в конце, тоже «х», получаем - хХх. Как видим, все достаточно просто, и никаких особых сложностей возникать не должно. Итак, мы с вами рассмотрели некоторые примеры распознавания и обозначения гармонических моделей на графиках цены, и вот, наконец-то, пришла пора для более детального изучения всех особенностей построения гармонических моделей. В процессе изучения теории «ГВТ», мы с вами так же познакомимся еще с одним важным понятием - гармонический волновой цикл. (Гармонический волновой цикл - это наиболее часто встречаемые сочетания импульсивных и корректирующих волновых моделей, после чего, обычно происходит смена ценового движения). Однако, прежде чем продолжать изучение теории гармонического волнового трейдинга, отмечу, что предварительное описание некоторых гармонических конструкций можно найти в 152 выпуске электронного журнала «Forex Magazine»
Описание гармонических образований
Изучение моделей лучше проводить таким образом, чтобы было понятно, о чем идет речь, при рассмотрении особенностей тех или иных типов гармонических структур. В связи с этим, распределим все модели на два типа: - импульсивные модели, и корректирующие модели.
Таблица 1 Типы гармонических моделей
К импульсивным моделям будем относить такие гармонические структуры, у которых в основе ядра находится базовая конструкция Z, в то время как у корректирующих моделей, в основе сетапа должен находиться Х-зигзаг.
В процессе описания конструкций, я старался рассматривать такие примеры волновых моделей, которые непосредственно встречаются на ценовых графиках, а не просто являются теоретическими выводами «ГВТ». И тем не мене, разрабатывая теорию, однажды я все-таки столкнулся с тем фактом, что некоторые, найденные мною ценовые конфигурации, не попадают под стандартную классификацию гармонических моделей, приведенную мной ранее. Этот факт немного смутил меня, так что я решил разобраться с этим, как мне показалось, недоразумением.
Вот, что мне тогда попалось на глаза: если, например, после формирования некоторого участка импульсивного движения, коррекция представляла собой всего лишь одну, единственную волну, то ее классификация с точки зрения теории «ГВТ», становилась затруднительной. Если не сказать большего, что теория «ГВТ» не имела в своем потенциале гармонических конструкций, состоящих из одной только «голой волны, - волны без каких либо дополнительных вложений». Но на практике ведь, как мы видим, такие волновые конструкции довольно часто встречаются! ,
В качестве примера давайте рассмотрим 4-х часовой график золота, где по мере окончания своего формирования, бычья формация xXx, с которой мы уже знакомы, переходит в медвежью коррекцию, состоящую из единственной волны. Как уже писалось ранее, такая разновидность коррекционной структуры не имеет четкого определения в стандартной классификации гармонических волновых моделей.
Рисунок 12 Необычная коррекция
Мне показалось, что подобные рыночные формации вносят элемент неопределенности в процесс идентификации волновых моделей, поэтому я решил более подробно провести классификацию моделей, и попутно, еще раз заглянуть в классическую волновую теорию Эллиотта. Вот что у меня получилось.
Действительно, если обратиться к классике, то, согласно ее постулатам, полный цикл движения цены, должен всегда состоять из импульсивной фазы (например, роста) и фазы коррекции (падения), которые в свою очередь всегда будут разбиваться на 5 и 3 волны соответственно. При этом фаза импульса в размерах должна превышать фазу коррекции.
Все эти правила теория «ГВТ» принимает безоговорочно, однако в нашем случае, речь идет об ином порядке волн. Здесь рассматривается ситуация, когда основное движение цены - и импульс, и коррекция, не разбивается на несколько волн меньшего порядка, а представляет собой простую связку импульс-коррекция. В связи с этим, получается, что волны не всегда могут разбиваться на пять и три волны меньшего порядка. Иногда, на рынке возникает такая ситуация, когда волны имеют простую структуру, оставаясь «пустыми», как это и было в нашем случае с золотом. В этот момент, они образуют в совокупности всего лишь две волны: импульс – коррекция.
Теперь, для наглядности, давайте рассмотрим рисунок, где полный цикл движения цены изображен в виде связки импульс-коррекция, а так же, представлен с учетом разбиения на пяти и трех волновые структуры.
Рисунок 13 Полный цикл движения цены
Соответственно, ответом на вопрос – почему же изначально такая формация не попадала в традиционную классификацию гармонических волновых моделей, является тот факт, что порядок такой формации ниже порядка базовых конструкций.
Если порядок базовых конструкций Z и X, взять за единицу, то порядок «таинственных» моделей будет равен нулю, а значит, было бы логично обозначить их, как Z0 и X0. Таким образом, для уточнения классификации моделей я решил подкорректировать таблицу, где была бы приведена уже общая классификация гармонических волновых моделей с учетом выявленных дополнений, с указанием порядка волн, количества волн в моделях, а так же специфики их обозначений.
Таблица 2 Таблица моделей разных порядков
Исходя из представленной таблицы, хорошо видно, что простые формы ценовых движений, о которых шла речь ранее, являются моделями нулевого порядка (X0 или Z0), отождествляя собой простое разделение цены на «импульс-коррекцию».
Следующий порядок – базовые конструкции, которые как мы знаем, состоят из 3 и 5 волн соответственно. Относительно подробно мы с вами рассматривали их в предыдущей части книги. Ну, и, наконец, модели второго порядка. Как известно, это самые сложные образования из всех перечисленных ранее. Однако ценность их заключается в том, что они весьма часто встречаются на графиках цен, и позволяют благополучно отслеживать, направление движения рынка, прогнозировать моменты входа и выхода из позиций.
Сочетая в себе оптимальное соотношение сложности распознавания с умеренным субъективизмом, практическую ценность этих моделей сложно недооценивать, так как они гораздо легче воспринимаются и запоминаются в процессе обучения, нежели классические волновые модели. Проверено на практике.
Первый постулат: рынок представляет собой одну из базовых конструкций
Как уже упоминалось ранее, при рассмотрении гармонических моделей, я выделил две основные базовые конструкции: трех волновые и пяти волновые модели, которые в любой момент времени могут формировать рыночную структуру.
Иначе говоря, рынок всегда находится, либо в состоянии импульсивного движения, тогда будет сформирована пяти волновая базовая конструкция, либо в состоянии коррекционного движения, тогда должна появиться трех волновая базовая модель. Правда иногда, бывает и наоборот. Но это уже, скорей исключение из правил, нежели само правило. Кроме того, в зависимости от фазы экономического цикла, ценовые модели могут или сжиматься, или растягиваться, но, тем не менее, общая структура их, должна сохраняться неизменной.
Рисунок 1 Базовые конструкции
Как видите, первый постулат полностью выполнен в духе традиционного волнового анализа, а описанные конструкции представляют собой классические составляющие любого финансового рынка. В связи с этим, давайте рассмотрим их более подробно.
Первая базовая конструкция называется - модель «X». Связано это с особенностями строения этой формации. Как вы уже заметили, она представляет собой традиционный зигзаг, (a-b-c тройка), который чаще всего, появляется во время коррекционного движения цены.
Рисунок 2 Х - модель
Эта конфигурация встречается у четырех волновой модели «Гартли» «Бабочка», и представляет собой окончание структуры «a-b-c.»
Следующая базовая конструкция представляет собой классическую пяти волновую модель, которую я назвал, модель «Z». Такое название далеко не случайно, так как связано непосредственно с формой конструкции. Подробное описание центральной структуры "Z" мы рассмотрим далее в приложении, в материале по паттерну 5.0.
Рисунок 2 "Z" модель
Ну а пока, вернемся к самой модели «Z». Для более упрощенного восприятия фигуры на графиках цен, прежде всего, стоит искать центральный элемент паттерна, который должен напоминать одну из букв латинского алфавита, а именно "Z" или "S", лежащую на боку.
Рисунок 3 Центральный элемент Z-модели
Так как указанные мной модели не являются, каким либо новшеством, то подробную информацию по ним можно найти практически в любой книге по волновому анализу. Однако, упоминания о том, что данные конструкции являются базовыми моделями, естественно там вы не найдете, так как это относится только к гармоническому анализу.
Итак, мы разобрали с вами первый постулат теории «ГВТ», и убедились в том, что он полностью соответствует всем выкладкам традиционной волновой теории. Пришла пора перейдем к следующему постулату.
Постулаты теории «ГВТ»
Начнем с того, что правила формирования гармонических волновых формаций, по сути своей, практически ничем не отличается от, привычных для нас, классических волновых моделей. И действительно это должно быть так, ведь работа происходит с одними и теми же волнами. Единственное важное отличие теории «ГВТ» от классических волновых теорий – это симметричность и пропорциональность построения ценовых моделей, да и это не всегда выступает в качестве различий. Однако всему свое время, вернемся к постулатам. Основные постулаты теории «ГВТ» следующие:
1. Рынок представляет собой одну из базовых конструкций.
2. Базовые модели могут включать вложения в виде базовых конструкций.
3. Гармоничность моделей подразумевает их завершенность, пропорциональность и симметричность.
Давайте рассмотрим подробно каждый пункт, и сравним его с классической волновой теорией.
Практические примеры определения циклов
Итак, подошло к концу время изучать теорию, которая многим, возможно, и показалась немного сложной. Действительно, пора попрактиковаться. Давайте приступим к поиску гармонических циклов на конкретных ценовых графиках. Но прежде, чем мы это сделаем, небольшая ремарка.
В процессе написания книги, я не ставил своей целью полностью изложить материал по всем существующим циклам, поэтому старался привести в качестве примеров, только наиболее частые комбинации гармонических моделей, образующих циклы. Не удивляйтесь, если в последствии вы обнаружите, что некоторые группы циклов содержат не все комбинации, попробуйте самостоятельно отыскать недостающие варианты на графиках. Итак, давайте, продолжим поиск циклов, и уже по традиции, начнем с самых простейших формирований, найти которые не составит труда даже начинающему трейдеру.
Приложение
Как уже говорилось, идея данной книги, и в частности теория «ГВТ», зародилась у меня достаточно давно, после прочтения серии работ, посвященных гармоническим моделям. До этого момента, торгуя на различных финансовых рынках около пяти лет, я ничего подобного не встречал, поэтому, как только познакомился с ними, сразу же заинтересовался их новизной и актуальностью. Стоит отметить, что сами по себе статьи, с описанием моделей, носили чисто ознакомительный, публицистический характер, и не содержали рекомендации к открытию или закрытию позиций.
Это были работы по таким гармоническим моделям, как - «паттерн 5-0», модель «Гартли» и «Три движения». В последствии я дополнил список этих фигур, разработав еще две - «Ножницы» и «Буратино». Шло время, основываясь на своем торговом опыте, я постепенно начинал разрабатывать методику анализа рынка, в дальнейшем получившую название – гармонический волновой трейдинг (ГВТ). Со временем методика стала приобретать законченный вид, претендуя на теорию, позволяющей понять, как формируются рыночные волновые конструкции.
Если говорить откровенно, то умение распознавать на графиках волны, что было положено в основу теории «ГВТ», возникло благодаря ценовым фигурам, так как именно они помогли мне освоить классическую теорию Эллиотта, когда я еще был начинающим трейдером.
Простой цикл xZx – xXx
Простой цикл xZx – xXx весьма частое явление для большинства ценовых графиков. Он состоит из шестнадцати волн, заканчиваясь известной семи волновой моделью «три икса».
Рисунок 58 Схема цикла xZx – xXx
В качестве примера рассмотрим дневной график японской Йены. Здесь, начиная с мая по ноябрь 2006 года, цена выстраивала четкие гармонические циклы, заметить которые можно было не только, когда они уже сформировались, но и в процессе их создания.
По началу, можно было зафиксировать чередование моделей невысокого порядка (Z - X; X0 - Z), после чего произошло повышение порядка моделей, и цена начала формировать уже более сложный цикл xZx – xXx (9-волновая импульсивная структура xZx перестроилась в 7-волновую коррекционную модель xXx).
Кроме самого цикла, обратите внимание, на чередование простых и сложных циклов. Как всегда, малое количество волн сменяется большим числом волн, и наоборот.
Рисунок 59 Чередование простых и сложных циклов
Такое чередование простых циклов со сложными образованиями, как уже говорилось, не редкость для финансовых рынков. В этом заключается суть и естественность ценовых графиков, а так же проявляется фундаментальное правило чередования, столь необходимое и частое на финансовых рынках. Также стоит отметить, что по завершению коррекционной модели xXx, происходит окончание цикла, предсказывая начало новой бычьей волны. Именно такое резкое повышение цены в направление предшествующего импульса мы и наблюдаем после завершения коррекции.
Простые циклы
Следующей разновидностью гармонических циклов, считаются, так называемые, простые циклы. Они образованы моделями второго и третьего столбца матрицы, а именно, базовыми конструкциями X и Z. Простые циклы имеют в своей основе количество волн, начиная с 8, и заканчивая 24. Как уже говорилось, чаще всего, такие модели лежат на одних строках матрицы, хотя иногда, попадаются варианты «диагональных» сочетаний. Диагональные циклы мы рассмотри позже. Пример сочетания моделей, образующих простые циклы представлен ниже:
Таблица 11 Простые циклы
Исходя из полученной информации, видно, что наиболее распространенным вариантом сочетания гармонических структур, являются случаи 8, 16 и 24 волнового сочетания гармонических конфигураций, именно они чаще других встречаются на графиках цен.
Как показывает практика, простые циклы представляют собой наиболее встречаемые сочетания гармонических моделей. Поэтому, знание простых циклов обеспечит вам вход в рынок по выгодной цене, зачастую после того, как коррекция уже завершена. Особенно важны эти знания при торговле по тренду, когда импульсивные волны имеют свойство растягиваться. В этот момент, прибыль от сделок может достигать максимальных значений, так как именно в это время начинает работать правило: «позволяй доходам течь, и фиксируй незначительные убытки». Напомню, что, к простым циклам относятся сочетания: Z - X, xZx - xXx, zZz – zXz.
Сетапы гармонических моделей
Уже неоднократно говорилось, что сетапы гармонических моделей, представляют собой одну из базовых конструкций, лежащей в основе гармонической структуры, с возможными вложениями внутри. В этом разделе, мы с вами будем уделять внимание преимущественно базовой конструкции Z, и ее производным, которыми, как мы помним, являются конфигурации – Z(x), и Z(z).
Необходимо научиться находить и выделять ядра гармонических моделей, прежде всего для того, чтобы в дальнейшем с помощью них, можно было быстро определить название всей модели, или, в случае субъективной интерпретации, постараться выделить ее среди всех возможных вариантов. Для этого, стоит отметить особенность всех сетапов – это их большие размеры. Они гораздо больше внешних вложений, и могут занимать до трети всей конструкции.
Сложные циклы
Более сложными вариантами циклов, является сочетание коррекционных моделей с центральными сетапами Z(x), Z(z) и их производными. Принцип формирования циклов прежний - горизонтальный, за единственным исключением того, что импульсивные модели находятся в крайней правой части матрицы. Совокупное количество волн в них, находится в диапазоне от 10 до 28, исключая значения 14, 16, 22, 24, - относящиеся к сложным диагональным циклам.
Таблица 12 Сложные циклы
В отличие от предыдущих случаев, общее количество полученных комбинаций здесь, значительно больше предшествующих вариантов. Как можно догадаться, встречается они реже, так как образованные модели по своей структуре очень сложные и содержат огромное число волн, затрудняя их идентификацию. Это, в свою очередь, влияет на трудоемкость поиска, и снижает качество, как самих моделей, так и образованных, на их базе циклов. Тем не менее, многие из них можно найти на графиках цен, когда рынок образует сложную конфигурацию, при этом волны становятся удлиненными, а их количество сильно возрастает. Поэтому, знание этих комбинаций поможет в период неопределенности, зафиксировать окончание гармонического цикла развития цены, и, возможно, предугадать кризис.
Сложные циклы Цикл Z(z) – X
Следующая разновидность циклов относится к сложным образованиям, и представляет собой сетап Z(z), заканчивающийся трех волновым зигзагом Х. Отмечу, что очень часто гармонический сетап Z(z), выступает в качестве разрозненных блоков Z, представая в виде неправильной модели ZZ.

Рисунок 60 Схема цикла Z(z) - X
Удостовериться в этом можно на представленном графике японской Йены. Здесь сформирована девяти волновая гармоническая формация, которую можно определить как модель ZZ. Как мы помним, эта модель относится к разновидностям формаций, образованных, в параллельном канале, поэтому согласно правилу эквивалентности моделей, гармоническая волновая формация ZZ может быть приведена к виду Z(z).
Напомню, что основным правилом, здесь выступает количество волн и основная базовая конструкция в ядре модели. Соответственно, как только преобразования проведены, осталось посмотреть по матрице, какая именно гармоническая модель должна быть на месте коррекции. Не трудно заметить, что искомая нами модель образует цикл Z(z) – X. Этот цикл, в конечном итоге, и встречается нам на графике цены.
Предположение подтверждается, когда после завершения модели ZZ в декабре 2005 года, начинает формироваться первая медвежья импульсивная волна, предсказывающая последующее снижение курсовой стоимости доллара к японской Йене. И на конец, прорыв медвежьего флага вниз, завершает цикл, предсказывая скорый, рост, который мы можем обнаружить уже в январе 2006 года.

Рисунок 61 Цикл Z(z) – X
Сочетание волн и фигур
Каждый спекулянт, более или менее ориентирующийся в биржевой торговле, должен разбираться в ценовых фигурах. Он должен уметь находить их на графиках цен, сначала на истории, а уж затем в процессе их формирования. Это, в свою очередь, обычно поднимает качество торговли трейдера, и соответствующим образом отражается на его доходе. Совсем по-другому дело обстоит с волнами, если быть точнее, - с попыткой их выделить на графиках цен. Что и говорить, дело это занятие весьма и весьма субъективное. Сами методы достаточно сложны, что в результате приводит к тому, что полученные в процессе анализа выводы многим кажутся недостаточно аргументированными, чтобы изменить чье-то закоренелое мнение по поводу конкретной рыночной ситуации. И в этом заключается основная проблема. Часто бывает так, что один аналитик определяет одну волну, другой аналитик - совершенно другую. Тем более что об этом мы уже ни раз говорили.
Рисунок 69 Разбиение на Импульс-Коррекцию
И кто из них прав, становится понятным только на исторических данных. Теория «ГВТ» максимально упрощает классическую теорию волн, за счет ее систематизации, и отчасти, этому помогают ценовые модели. Основная идея - использования ценовых фигур продолжения тренда в качестве корректирующих волн, в то время как импульсивными волнами будут считаться «ручки» фигуры. Например, если на графике сформирован «флаг» или другая фигура продолжения тренда, то его полотнище будет являться корректирующей волной, а ручки будут рассматриваться в качестве импульсивных волн.
В качестве примера такой ситуации представлен часовой график британского фунта GBPUSD. Практически в самом центре графика выделена классическая модель «флаг», а также приведена «двоичная» волновая разметка простейших волн «импульс-коррекция» (И-К). Идентификация таких конструкций, с соответствующим выделением волн, необходима для проведения комплексного гармонического анализа, и, выявления значимых гармонических циклов.
Третий постулат: гармоничность моделей подразумевает их завершенность, пропорции-ональность и симметричность
Для того чтобы не запутаться при разметке и обозначении ценовых моделей на графиках цен, мне пришлось ввести условие завершенности моделей. Этот правило объясняется очень просто, подразумевая тот факт, что модель не может сформироваться на половину или на треть, а должна обязательно закончить свое формирование полностью.
Непосредственным подтверждением этого постулата является условие фрактальности финансовых рынков, которое говорит о том, что вложениями являются те же самые базовые конструкции, но меньшего или большего порядков (мы в дальнейшем будем рассматривать вложения только меньшего порядка). Даже если обратиться к классическому волновому анализу, можно получить подтверждение этому исходя из утверждения о восьми волновой структуре рынка, именно восьми волновой структуре, а никакой другой. Разве не это условие о завершенности структуры?
Пропорциональность и симметричность полученных гармонических волновых моделей является прямым следствием термина «гармоничные». В гармоническом волновом анализе считается, что модели должны развиваться симметрично и пропорционально относительно центра формации. Вокруг центра на равноудаленном расстоянии от него образуется «сетап» или ядро модели, которое является определяющим элементом при идентификации моделей. Именно разновидность «сетапа» связывает сложную модель с базовой конструкцией, лежащей в основе формации.
Рис. 6 Формирования гармонической модели с ядром Z(x)
Второй постулат: базовые модели могут включать вложения
Этот постулат отвечает за широкий спектр ценовых моделей, встречающихся на графиках, и так же, базируется на идеях фрактальности рынка. По-сути, если бы не принцип фрактальности вложений, рынок не имел бы столь огромного количества графических проявлений в виде разнообразных фигур и моделей. Идея фрактальности финансовых рынков не нова, и, появляется в работах у многих как зарубежных, так и отечественных авторов. Более того, необходимо сказать, что традиционный волновой анализ в своей основе тоже использует идею фрактальности финансовых рынков. Одна только идея восьми волнового строения рынка уже подразумевает фрактальность.
Теория волнового гармонического трейдинга подтверждает идею фрактальности рынков, и основывается на том, что текущая волновая структура рынка всегда представляет собой одну из базовых моделей, которая может иметь сложную форму за счет дополнительных вложений в виде точно таких же базовых конструкций, но только меньшего или большего размеров. Получается некая картинка с бесконечностью.…мишка, который держит в руках маленькую картинку с точно таким же мишкой, у которого в руках такая же картинка с мишкой, и так до бесконечности…
Однако на рынке, в отличие от нашего мишки, рассматривается, не одна, а две разновидности базовых моделей, которые могут включать вложения в виде тех же самых моделей. В качестве места вложения, которые чаще всего встречаются у гармонических волновых формаций, принято считать начало, середину и конец конструкции, а именно - импульсивные волны, расположенные в этих местах. На рисунке 5, синим цветом, выделены области импульсивных волн, где могут появляться вложения, в случаях усложнения гармонических формаций.

Рисунок 4 Места вложений у базовых конструкций
Хорошо видно, что для конструкции X, вложения могут возникать в начале и конце конструкции. В то время как у базовой конструкции Z, больше областей, где могут формироваться вложения, так как эта модель имеет три импульсивных волны, расположенных в начале, середине и конце формации.

Рисунок 5 Базовые конструкции с учетом вложений
Не стоит переживать, если что-то осталось непонятным. Более подробно методику обозначений гармонических волновых моделей и особенности формирования некоторых конструкций мы рассмотрим позже.
Выводы
Завершая раздел гармонических циклов, стоит сказать, что умение находить, как сами модели, так и встречаемые их сочетания, позволит вам значительно повысить качество анализа, и трейдинга в целом. Однако не нужно полагаться только на знание и опыт в данной области волнового анализа. Пытайтесь по возможности многогранно подходить к работе на финансовых рынках. Используйте свечной анализ, изучайте графики на предмет классических моделей и фигур, ищите ценовые области поддержки и сопротивления, не забывая при этом о компьютерных индикаторах, торговля без которых на текущий момент была бы немыслима. Чем более широкий спектр подходов вы будете использовать, тем меньше будет вероятность того, что однажды вы допустите роковую ошибку.
Опираться только на гармонический волновой анализ не стоит, хотя бы по той причине, что, как и любой другой инструмент технического анализа, теория «ГВТ» обладает одним существенным недостатком, а именно, субъективной интерпретацией рыночных условий.
К сожалению, такая неоднозначность, присуща работе на финансовых рынках в целом, и является тем рубежом, который отделяет успешных трейдеров от неуспешных игроков.
На этом я заканчиваю изложение материала по гармоническому волновому анализу, разработкой которого я занимался в течение двух лет. Полученные мной результаты, явились для меня огромным достижением. Я действительно смог убедиться на практике, что рынок представляет собой определенные гармонические волновые структуры, знание которых позволяет прогнозировать его дальнейшее поведение, и на этом зарабатывать деньги. Тем не менее, было бы неправильным не упомянуть тот факт, что основой для разработки теории «ГВТ» послужили несколько моделей, в названии которых и содержался термин «гармонические модели». Подробно изучив их, я со временем обнаружил и описал еще несколько разновидностей подобных моделей, которые, в итоге, заложили основу для написания целой теории гармонического трейдинга. В связи этим, с моей стороны, было бы упущением не привести эти замечательные модели, с которыми мы и познакомимся в следующей главе.
Заключение
Наконец, дорогой читатель, мы подошли к завершающему этапу своего повествования. Надеюсь, что тот материал, с которым вы познакомились в процессе чтения этой книги, будет в дальнейшем весьма полезен вам, так что вы сможете в полной мере реализовать полученные навыки и закрепить эти знания на практике. Сразу оговорюсь, что многие модели, и циклы в том числе, к сожалению, остались нерассмотренными в книге, ввиду своей сложности. Хотя возможно, для кого-то они представляли особый интерес, тем не менее, он не нашел их в книге. В этом плане, появляется реальная возможность поучаствовать в создании теории гармонического волнового анализа. Попробуйте самостоятельно найти эти модели на графиках, используя весь свой потенциал, все те знания, которые были получены в процессе изучения материала.
Стоит так же отметить, что за последние полгода, я включил теорию «ГВТ» в базовый курс подготовки начинающих трейдеров, а так же провел несколько семинаров повышения квалификации, куда были включены тематические занятия по ГВТ. Результаты меня просто поразили- то, насколько быстро, ученики вникают в суть, «хватая на лету» базовые основы теории, и столь же быстро учатся распознавать гармонические волновые модели на ценовых графиках. Конечно, не все так быстро, как может показаться, ведь у каждого человека различные способности. Кто-то быстрее усваивает материал, кому-то, необходимо некоторое время. Однако, как показывает практика за последние шесть месяцев, в течение которых я читаю курс «Гармонический волновой трейдинг», люди гораздо охотней воспринимают гармонические модели, нежели классический волновой анализ Эллиотта. В процессе написания книги я старался привести наиболее интересные графические ситуации, характеризующие различные модели и циклы. Давая различные комментарии техническим аспектам, и событиям, происходящим в тот момент на графиках, у многих могло сложиться впечатление, что по историческим графикам делать это достаточно просто.
Ведь строить прогнозы, когда на руках уже имеется «продолжение», и можно с легкостью убедиться в том, что будет дальше очень, и очень просто. Действительно, с этим трудно не согласиться. Однако нужно помнить, что без этого шага невозможно освоить методику прогнозирования, и перейти к работе с графиками в режиме реального времени. Пока вы не будете уверены в том, что ваша «технология заработка» успешно функционирует, не стоит торопиться переходить к работе с реальными деньгами. Если это только, не такие большие деньги, потеряв которые вы не будете сильно расстроены.