В. В. Глухов, С. Б. Коробко, Т. В. Маринина - Экономика знаний
В пособии разработана система организационно-экономических мероприятий по формированию и управлению научными исследованиями. Исследуются проблемы формирования научной политики, взаимодействия науки и государства. Предложена методика оценки экономического эффекта от проведения и реализации целевой программы. Изложены методы проведения экспертизы результатов исследований и разработок. Рассмотрены вопросы правовой охраны и коммерциализации интеллектуальной собственности, современные методы оценки патентов, лицензий, ноу-хау.
Пособие предназначено для специалистов в области инновационного менеджмента, аспирантов и преподавателей вузов. Материал подготовлен в рамках проекта федеральной программы «Интеграция».
Рекомендовано учебно-методическим объединением в качестве учебного пособия для подготовки магистров по направлению «Менеджмент».
Введение
Наука,по существу,рациональная в своихосновах ипо своимметодам, можетосуществлять свои наиболеезначительные завоеваниялишь путем опасныхвнезапныхскачковума, когда проявляется способность, освобожденная оттяжкихоков старогорассуждения: ихназывают воображением,
интуицией, остроумием.
Луи де Бройль
XXI в. — это век науки и высоких технологий, беспрецедентно жесткой международной технологической конкуренции. Большинство стран мира прилагает максимум усилий к укреплению научно-технического потенциала, расширению инвестиций в наукоемкие технологии, участию в международном технологическом обмене, ускорению темпов научно-технического развития.
В развитии научно-технической революции выделяют три этапа. Цель первого этапа (40-50-е гг.) состояла в создании систем вооружения, обеспечении военно-технического превосходства. Целью второго этапа (60-80-е гг.) было обеспечение стабильных темпов экономического роста, повышение глобальной конкурентоспособности ключевых отраслей. Цель третьего, нынешнего этапа заключается в решении социально-экономических задач, которые требуют смещения приоритетов научно-технической политики в сторону информационных услуг, медицины, экологии и других аспектов устойчивого роста и повышения качества жизни.
В современных условиях экономический рост отождествляется только с научно-техническим прогрессом и интеллектуализацией основных факторов производства. На долю новых знаний, воплощаемых в технологиях, оборудовании и организации производства, в развитых странах приходится от 70 до 85% прироста ВВП.
В настоящее время на долю семи высокоразвитых стран приходится 80-90% наукоемкой продукции и весь ее экспорт. «Семерка» обла-
Введение дает 46 из 50 макротехнологий, из них 22 технологии контролируются США, 10 — Германией, 7 — Японией, по 3-5 — Великобританией и Францией и по одной приходится на Швецию, Норвегию, Италию и Швейцарию.
Десять основных научных достижений 2000 г. по данным журнала «Science»:
• расшифровка человеческого генома;
• получение «карты» РНК с очень высоким разрешением;
• находка человеческих черепов возрастом в 1,7 млн лет;
• разработка компьютерных чипов и «органических» лазеров на основе проводящих пластмасс;
• открытие возможности трансформации клеток в клетки других типов;
• обнаружение рек на Марсе и океана на спутнике Юпитера;
• космические программы «Бумеранг» и «Максима», результаты которых показывают, что наша Вселенная «плоская» и что мы пока чего-то не понимаем о самых ранних периодах ее зарождения;
• «свидание» космического корабля NEAR с астероидом Эрос;
• открытие квантового макроэффекта — ток в сверхпроводящей петле, текущий одновременно в обе стороны;
• открытие света, передвигающегося со сверхсветовыми скоростями.
Значимость интеллектуального уровня населения страны подчеркивается введением ООН в начале 90-х гг. индекса человеческого развития, где наряду с продолжительностью жизни и ВВП на душу населения вводится уровень образования населения. Этот композитный индекс вычисляется для 174 стран и рассматривается как важнейшая характеристика благополучия страны.
Технологии и промышленные нововведения, созданные с использованием результатов научно-технической деятельности, являются основой социально-экономического благосостояния и условием обеспечения национальной безопасности государства. Вовлечение результатов научно-технической деятельности в хозяйственный оборот рассматривается в настоящее время как главное направление подъема российской экономики.
Интерес к интеллектуальной собственности прежде всего связан с возможностью получения дополнительного дохода от монопольного использования новых технологий или продажи патентов и лицензий.
2—ISO
Концепция государственной политики по вовлечению в хозяйственный оборот результатов научно-технической деятельности, созданных за счет бюджетных средств, предусматривает проведение работ по стоимостной оценке созданных в организациях за бюджетный счет объектов интеллектуальной собственности. Доведение результатов НИОКР, выполненных в рамках госзаказа, до стадии коммерциализации требует крупных финансовых затрат. В условиях ограниченного бюджетного финансирования это возможно только с привлечением собственных средств организаций, частных инвестиций, средств внебюджетных фондов, заемных средств.
Сложность оценки коммерчески ценных идей, оформленных патентами, свидетельствами, ноу-хау, связана с проблемой правильного выбора вида оцениваемой стоимости и метода ее оценки применительно к конкретной ситуации, а также с трудностями сбора достоверной информации об аналогичных сделках, о будущем доходе от использования интеллектуальной собственности и других факторах, влияющих на оценку.
Математика подобна мясорубке, она может переработать любое мясо, но для того, чтобы получить хорошие котлеты, нужно и хорошее мясо.
Гексли
8.1. Методика UNIDO
Обстоятельства переменчивы, принципы — никогда.
Оноре де Бальзак
Каждый инвестиционный проект описывается потоками доходов и реальных расходов, разность которых формирует денежный поток проекта.
В качестве доходов учитываются поступления от продажи продукции; имущества и запасов, остающихся к концу срока действия проекта; от экономии на производственных расходах.
В качестве расходов принимаются расходы на приобретение объекта инвестиций и сопутствующие инвестиции в сопряженные производства; расходы на транспортировку и установку оборудования; расходы на увеличение оборотных средств, исключая прирост кредиторской задолженности за товарные поставки; производственные расходы на материалы, сырье и энергию, заработную плату; расходы на ремонт и обслуживание оборудования; расходы на социальное страхование, на выплату сборов, пошлин, налогов; на маркетинговую деятельность.
Выбор методов обоснования инвестиционного проекта зависит от того, характеризуется ли проект значительной динамикой доходов и расходов по периодам реализации или проект можно охарактеризовать среднегодовыми показателями затрат и результатов. В первом случае используются динамические методы, во втором — статические.
К динамическим критериям относятся:
• чистая приведенная стоимость;
• внутренняя норма доходности;
• метод модифицированной внутренней нормы доходности;
• метод индекса рентабельности;
• метод динамического срока окупаемости.
Чистая приведенная стоимость NPV (Net Present Value) — разность между дисконтированными к началу проекта будущими денежными потоками и инвестиционными расходами:
Ct
(1 + r)
r’
где I
0 — инвестиционные расходы, осуществляемые в начальный момент времени t == 0; с - денежный поток в ?-Й период; г — расчетный процент (норма доходности, альтернативные издержки капитала) — совпадает с процентной ставкой на совершенном.рынке капиталов, либо формируется на основе средневзвешенной стоимости капитала, либо определяется требованиями инвестора с учетом доходности альтернативных издержек капитала.
Правило выбора по критерию NPV гласит:
• если оценк^ВУ отдельного инвестиционного проекта меньше 0, то его не следует реализовывать;
• при сравнении инвестиционных альтернатив на основе критерия NPV следует выбрать проект, имеющий наивысшую оценку (при условии, что она больше 0).
Вопрос о том, является ли инвестиционный проект выгодным, зависит не только от структуры денежного потока, но и от величины принимаемой в расчет процентной ставки.
Внутренняя норма доходности ЛИ? (Internal Rate of Return) — предельная норма доходности, которую может обеспечить проект, оставаясь выгодным по критерию NPV:
т
npv=-/„+? с, (1+/яяг = о.
1*1
В специальных случаях значение//? Кможнорассчитать непосредственно.
Случай 1. Объект инвестиций характеризуется первоначальными затратами — /
0 и поступлениями в конце периода Т. Величина IRR находится из соотношения:
+c
T{i + IRR)-
J - О,
!RR~\j(c
T/І
а)-1.
Случай 2, В начальный момент инвестируется сумма/
0, а в остальные периоды производятся постоянные платежи величиной с. В этом случае уравнение (**) можно представить в виде:
ч
тія-1)_
с
?
г-1 V
Зная значение (с//
й) и период Т, значение q - (1 + IRR) можно най
(/-1)
/(-!)'
ти по таблицам значений фактора ^
т
Случай 3. Инвестиционный проект определяется: вложением суммы в момент С = О, возрастом этой суммы в конце периода Т и постоянными выплатами в периоды 1, 2, Т суммы с. В этом случае величина внутренней нормы доходности устанавливается соотношением:
г (1 + /ЛЯ)
Т-1 /
0 _
-J.+C—--?- ¦ +-5 -- =0,
1 (1 + IRR)
TIRR (1+ IRR)
7
Или
/л[(
1 + /ЯЙ)Г_і] = сйів-1,
отсюда IRR = (с/І^.
Правило сравнения инвестиционных альтернатив по критерию IRR: если IRR превышает расчетную процентную ставку (например, альтернативные издержки капитала), то проект может быть реализован. Величина превышения указывает на эффективность инвестиционного решения.
Метод сравнения альтернатив по критерию IRR позволяет получить относительную оценку привлекательности инвестиционных проектов. Расчет IRR рассматривается в мировой практике как первый шаг в определении инвестиционных возможностей фирмы.
Важно отметить, что решения о предпочтительности инвестиционной альтернативы по критериям NPV и IRR могут не совпадать друг
с другом, если объекты инвестиций различны по срокам, временной структуре и величине вложений.
Выявленное противоречие в оценках связано с различиями в предпосылках об условиях реинвестирования средств, получаемых в процессе эксплуатации инвестиционных проектов. Действительно, при определении будущей стоимости доходов проекта в рамках оценивания по критерию NPV используется экзогенно устанавливаемая расчетная процентная ставка г. В случае оценивания по критерию IRR это эндогенно установленная процентная ставка IRR.
 |
|
Рис. 8.1. Кривые капитализированной стоимости проектов |
Вопрос о том, всегда ли различные условия реинвестирования привод дят к противоречивым выводам, зависит от взаимоположения кривых капитализированной стоимости инвестиционных альтернатив. Так, на рис. 8.1, а: альтернатива X предпочтительнее при всех допустимых значениях расчетной ставки г. На рис. 8.1, б слева от точки 5 (так наз Ыг ваемой точки Фишера), т. е. когда расчетная ставка меньше, вложения в проект У выгоднее, чем в X, а справа — наоборот.
Модифицированная внутренняя норма доходности MIRR предусматривает нахождение такой внутренней нормы доходности, которая уравновешивает текущую оценку инвестиционных затрат и будущую стоимость денежного потока по проекту, рассчитанную по известной величине расчетной процентной ставки.
Схема расчета. Пусть проект Xпредставлен потоком (-/
п, с,,..., с
г); г — расчетная ставка процента и величина РУ определена формулой:
г
tml
Тогда величина MIRR определяется из соотношения:
г
л^Хсді+г/-
1.
г-1
Г — число периодов (лет) действия проекта.
Если по проекту со стандартной фирмой денежного потока величин MIRR превышает расчетную ставку процента, то проект является выгодным. Оценка по методу MIRR является, очевидно, более обоснованной, чем при применении 7/?/?-оценок, поскольку денежные потоки здесь реинвестируются по обоснованной величине расчетного процента.
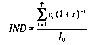
Индекс рентабельности проекта IND определяется через отношение приведенной стоимости будущих доходов от проекта к сумме инвестиционных расходов:

Р? h ‘
Поскольку Р? = NPV + /
п, то индекс рентабельности должен быть больше 1 для того, чтобы проект был приемлемым.
Преимущество применения индекса рентабельности при сравнении альтернатив состоит в том, что он позволяет сопоставить затраты и эффект от них.
> Динамический срок окупаемости — период времени, в течение которого связанный в инвестициях капитал полностью восстанавливается за счет полученных от эксплуатации проекта чистых денежных поступлений. Инвестиционный проект считается выгодным, если сто динамический срок окупаемости ниже заранее установленной величины.
Динамический срок окупаемости (ft) рассчитывается исходя из соотношения:
U
?c
f(l + r)-'=/
0,
Г-1
здесь c
t — компоненты денежного потока, /
0 — инвестиционные расходы.
Пример
Рассмотрим два проекта X и У, описываемых следующими денежными потоками. Проект X: инвестиционные расходы 20 000, денежный поток в 1 год — 12 000, во второй год — 18 000. Проект Y: инвестиционные расходы 15 000, денежный поток в 1 год — 22 000. Расчетная процентная ставка равна 10% (табл. 8.1).
|
Таблица 8.1 Результаты расчетов |
|
|
|
Показатель |
Проект А' |
Проект Y |
|
NPV |
-20000 12000/1,1 + 18000/1,Н=
= 5782 > 0 |
-15000 + 22000/1,1 =
= 5000 > 0 |
|
IRR |
29,5% |
46,7% |
|
MIRR |
Г18Ш+12000х1.1_ %
V 20000 |
22000/15000 - 1 = 46,7% |
|
tt |
Накопленная сумма в 1 год: -20000+ 12000/1,1 = -9090 Накопленная сумма во 2 год:
-20000+ 12000/и + 18000/1,Н-= 5782
а-t -9090 1 6 |
Накопленная сумма в 0 лет: -15000
Накопленная сумма в 1 год: -15000 + 22000/1,1 - 5000
а-0 -1500° -0 75 |
|
5782-(-9090) ’ |
° 5000-(-15000) ’ |
Сравнение по критерию NPVприводит к выбору альтернативы X, а сравнение по критерию IRR (MIRR, tt) — к выбору альтернативы У.
К статическим методам относятся методы сравнения альтернатив, основанные на расчетах средних за определенный период показателей, таких как затраты, прибыль, среднегодовая рентабельность, срок окупаемости вложений.
Статические методы обоснования инвестиционных проектов используются в случаях, когда рассматривается только один период и предполагается, что инвестиционные расходы производятся в начале планового периода, а полезные результаты — в конце его. Также статические методы применяются, когда долгосрочный проект может быть описан среднегодовыми показателями.
В рамках статических методов оценки наибольшее распространение получили следующие критерии сравнения:
• прибыль/затраты;
• средняя рентабельность;
• период окупаемости капитала.
257
Если объем выручки за типичный период не меняется, т. е. не зависит от выбора объекта, то сравниваются затраты по каждому объекту, относящиеся к одному периоду. Альтернатива с меньшими полными затратами объявляется более предпочтительной. Для альтернатив с различной производительностью рассчитываются сначала штучные затраты, если разные объемы продукции могут быть реализованы.
Средние за определенный промежуток времени затраты рассчитываются по формуле:

где /С — текущие затраты (прямые и фиксированные); Г — срок действия проекта; І
0 — амортизация за период; г — расчетная ставка процента; вмененные затраты, которые должны покрываться из
выручки.
Если инвестиционные альтернативы различаются как по затратам, так и по доходам, то рассчитывают среднюю за период прибыль по каждому варианту. Альтернатива с наибольшей средней прибылью объявляется более предпочтительной.
Сравнение альтернатив по критерию средней рентабельности. Инвестиционный проект принимается, если он обеспечивает приемлемый уровень рентабельности. Значение минимально допустимого уровня устанавливается исходя из рентабельно альтернативных инвестиций и прогнозов развития конъюнктуры. Наконец, если имеется несколько взаимоисключающих вариантов инвестирования, рентабельность которых удовлетворяет требованиям, то рекомендуется реализовывать тот проект, среднегодовая оценка рентабельности которого максимальна.
Срок окупаемости капитала. Капиталовложение темлучше, чем быстрее его можно вернуть за счет доходов, остающихся после вычетов текущих затрат. Пусть C
t, f = 1,2, Т — чистые денежные поступления, /
р— начальные капиталовложения. Запланированные чистые поступления складываются начиная с первого периода до тех пор, пока не будет превышена сумма начальных капиталовложений.
Пример
Необходимо сравнить 3 единицы оборудования А, В я С, которые могут использоваться при производстве 10 тыс. штук изделий в год (средняя оценка выпуска). Исходные данные по альтернативам представлены в табл. 8.2, г = 0,1.
17-180
Таблица8.2
Данные для сравнения |
|
|
|
Данные |
А |
В |
С |
|
Затраты приобретения (д. е.) |
80000 |
70000 |
100000 |
|
Срок эксплуатации (лет) |
10 |
7 |
10 |
|
ГI ро изводитель і гасть (шт./год) |
10000 |
10000 |
10000 |
|
Алгоритмизация |
8000 |
10000 |
10000 |
|
Вмененные затраты |
4000 |
3500 |
5000 |
|
Зарплата и отчисления |
25000 |
20000 |
18000 |
|
Материалы |
5000 |
5000 |
5000 |
|
Энергия |
800 |
1000 |
800 |
|
Прочие составляющие прямых затрат |
1200 |
800 |
1000 |
|
Прочие составляющие фиксированных затрат |
1000 |
1500 |
1000 |
|
Всего затрат |
45000 |
41800 |
40800 |
Если цены на изделия по всем позициям одинаковы, то оборудование С является более предпочтительным. Если за счет более высокой обработки предприятие может установить следующие цены: за изделие машины А — 5 д. е./шт., изделия машин В и С — 4,5 д. е./шт., тогда прибыль от использования машины Л выше.
8.2. Методические рекомендации Минэкономики и Министерства финансов России
У ума, как у проселочной дороги, есть своя проторенная колея.
Опоре де Бальзак
Методы оценки эффективности проектов можно классифицировать по ряду признаков.
По виду эффективности различают методы оценки экономической, финансовой (коммерческой) и бюджетной эффективности проектов.
Экономическая эффективность проектов отражает отдачу прямых или косвенных капиталовложений инициатора и инвестора проекта в виде дополнительных (средних за срок полезной жизни проекта) доходов (экономии) всех организаций, предприятий или частных лиц, затрагиваемых проектом (его участников и/или их работников, сту-259
Дентов, аспирантов, населения и пр.), включая экономически неизмеримые социальные последствия.
Прямые капиталовложения предполагают непосредственное расходование ограниченных денежных средств; косвенные капиталовложения — отказ от получения дохода или экономии, которые были бы возможны при сохранении «статус-кво».
Срок полезной жизни проекта — это срок, в течение которого сказываются положительные последствия проекта.
Финансовая (коммерческая) эффективность характеризует отдачу с прямых или косвенных капиталовложений инициатора и инвестора проекта в виде их дополнительных (средних за срок полезной жизни проекта) доходов экономии.
Финансовая (коммерческая) эффективность оценивается для непосредственных участников проекта в отличие от экономической эффективности, где показатели прибыли выявляются по всему кругу затрагиваемых проектом организаций.
Бюджетная эффективность проектов сопоставляет вызываемые проектом дополнительные расходы государственных и местных бюджетов всех уровней с дополнительными доходами, т. е. отражает финансовые последствия осуществления проекта для федерального, регионального и местного бюджетов.
В зависимости от учета фактора времени методы подразделяются на статические, в которых денежные поступления и выплаты, возникающие в разные моменты времени, оцениваются как равноценные, и динамические, в которых денежные поступления и выплаты приводятся с помощью методов дисконтирования к единому моменту времени, обеспечивая их сопоставимость.
Статические методы оценки эффективности инвестиций относятся к простым методам, которые используются для грубой и быстрой оценки привлекательности проектов и рекомендуются для применения на ранних стадиях экспертизы проектов.
По виду обобщающего показателя, выступающего в качестве критерия эффективности проекта, методы делятся на:
• абсолютные, в которых в качестве критерия используются разностные показатели между поступлениями денежных средств от проекта и соответствующими выплатами;
• относительные, в которых обобщающие показатели определяются как отношение стоимостных оценок финансовых результатов проекта к совокупным затратам на их получение;
• временные, в которых оценивается срок окупаемости.
Основные классификационные группы методов и критерии эффективности проектов приведены в табл. 8.3.
Суммарная прибыль при реализации результатов проекта определяется как разность совокупностей стоимостных результатов и затрат на их достижение:
т
п = І<р,-з,),
где Р
( - ожидаемая стоимостная оценка результатов (сумма цен потенциальных лицензий по продаже создаваемых научно-технических акт ивов, образцов, учебных материалов, малых серий изделий и др.), получаемых в результате выполнения проекта в году V, 3
( — текущие затраты при выполнении проекта в течение f-ro интервала времени; Т— число интервалов в течение расчетного периода.
Таблица 8.3
Критерии и методы оценки эффективности проектов |
|
|
|
Методы |
Экономическая
эффективность |
Финансовая эффект вность |
Бюджетная
эффективность |
|
Абсолютные |
• Суммарная прибыль
• Среднегодовая прибыль |
• Суммарный чистый дисконтированный доход |
• Чистый бюджетный дисконтированный доход |
Относитель
ные |
• Рентабельность инвестиций |
• Внутренняя норма доходности |
• Внутренняя бюджетная доходность
• Индекс бюджетной доходности |
|
Временные |
• Срок окупаемости инвестиций |
• Индекс доходности
• Срок окупаемости проекта |
• Срок бюджетной окупаемости проекта |
|
Среднегодовая прибыль определяет величину прибыли в течение года: |

где Т— продолжительность расчетного периода (определяется как временной горизонт анализа).
Рентабельность инвестиций дает возможность установить не только факт прибыльности проекта, но оценить степень этой прибыльности. Показатель определяется как отношение среднегодовой прибыли к вложенным каииталообразующим инвестициям в рамках проекта:
R = --100%,
К
где К — капиталообразующие инвестиции за период Г (рекомендуется принимать на уровне общей финансовой поддержки проекта за вычетом расходов по его организационной подготовке).
Срок окупаемости инвестиций — период времени от момента начала инвестирования проекта до момента, когда прибыль от реализации результатов проекта полностью окупает капиталообразующие инвестиции (когда кумулятивный чистый денежный поток становится равным нулю):

Суммарный чистый дисконтированный доход (чистая текущая стоимость) проекта для его участников за утвержденный срок проекта (как правило, не более 2-3 лет) показывает, насколько вложенные в проект средства позволят получить чистого дохода больше, чем они могли бы обеспечить, будучи на то же время вложены в средние по эффективности и рискам другие проекты капиталовложений.
Суммарный чистый дисконтированный доход рассчитывается как:
№?=Ш^-
а
где д. —дополнительные доходы (экономия) по проекту для его участников в год і;С
( — необходимые для продолжения проекта дополнительные собственные (не за счет целевой государственной поддержки проекта) затраты участников проекта; d — ставка дисконтирования; И
0 — стартовые инвестиции.
Чистые доходы (Д~с,) с проекта оцениваются как сальдо дополнительных поступлений от реализации проекта для его участников и их текущих затрат на проект.
Чистые доходы с проекта по годам его реализации суммируются с приведением их по фактору времени к году начала проекта, когда принимается решение об его утверждении и выделении на проект стартовых инвестиций.
Под стартовыми инвестициями понимается все целевое финансирование проекта в первый год. Дальнейшее его финансирование (включая имеющие характер капиталовложений затраты на приобретение оборудования и пр.) рассматривается как общие текущие затраты на реализацию проекта (платежная часть денежных потоков по проекту).
Чистые доходы по проекту в будущие его годы рассчитываются в реальном выражении, т. е. в ценах стартового года его реализации (очищены от инфляции).
Обеспечение сопоставимости разновременных чистых доходов (денежных потоков) от проекта по фактору времени (расчет их текущей стоимости) осуществляется с использованием операции дисконтирования, где в качестве ставки дисконта (минимально приемлемой для инвестора нормы дохода на вложенный капитал) может служить:
• долговременная (в расчете на срок проекта) средняя реальная (за вычетом индекса инфляции) доходность на фондовом рынке, наблюдавшаяся ранее;
• стабилизировавшаяся реальная доходность на фондовом рынке;
• средняя (в расчете на срок проекта) реальная ожидаемая доходность на фондовом рынке;
• реальная доходность государственных облигаций.
Проект признается финансово эффективным, если показатель чистой текущей стоимости оказывается большим нуля.
Внутренняя норма доходности, сравниваемая с общей нормой дохода d, показывает, насколько проект финансово эффективнее, чем использование тех же средств на другие нужды инвестирования.
Внутренняя норма доходности (г) рассчитывается как ставка дисконта, при которой чистая текущая стоимость равна нулю, т. е. решается уравнение, где неизвестной выступает величина г.
f Д.-с,
hv-rj
-И
с = 0.
Очевидно, чем больше показатель внутренней нормы доходности превышает норму дохода d, тем больший запас эффективности имеет проект.
263
Индекс доходности служит обобщающим показателем сравнительной финансовой эффективности проекта:

Численное значение этого индекса указывает на то, во сколько раз по своей финансовой эффективности проект более (если I >1) или менее (если I< 1) эффективен, чем вложение тех же государственных средств в иные инвестиционные проекты с уровнем эффективности d.
Срок окупаемости проекта определяется как период, начиная с которого первоначальные вложения и другие затраты на проект покрываются его суммарными результатами, а суммарный доход становится неотрицательным.
Если срок окупаемости проекта меньше срока, определенного Минэкономики в 5 лет, то проект эффективен.
Чистый бюджетный дисконтированный доход рассчитывается согласно общей методологии расчетов чистого дисконтированного дохода (здесь — для государства) с обязательным использованием в качестве ставки дисконта средней ожидаемой (за срок проекта) реальной доходности d государственных облигаций, отражающей стоимость обслуживания государственного долга, на сохранение и возможное увеличение которого государству приходится идти, чтобы при неизменности налоговых поступлений искать средства на финансирование подобных проектов.
Чистый бюджетный дисконтированный доход вычисляется по формуле:
Гн (1-«0
где ГД
(— государственные доходы (экономия) в t-и год реализации проекта; Г3
( — государственные затраты по целевому финансированию проекта в t-й год реализации проекта; ИІ\ — часть этих затрат, приходящаяся на год принятия решения о начале финансирования проекта (стартовые государственные инвестиции).
Если этот показатель больше нуля, то проект по критерию бюджетной эффективности эффективен, меньше нуля — неэффективен, при равенстве нулю равнопредпочтителен с любым иным приоритетным расходованием бюджетных средств.
По аналогии с финансовой эффективностью проекта применительно к его бюджетной эффективности могут использоваться показатели внутренней бюджетной доходности, индекса бюджетной доходности и срока бюджетной окупаемости проекта.
На заключительном этапе необходимо сравнить численные величины абсолютных показателей финансовой эффективности проекта для его участников и бюджетной эффективности проекта. Обязательным условием приемлемости проекта по его интегральной для государства эффективности является то, чтобы в сумме величины суммарного чистого дисконтированного дохода и чистого бюджетного дисконтированного дохода давали положительное число. Это требование вызвано тем, что даже при прямых бюджетных потерях проект может оставаться для финансирующего его государства эффективным, если эти потери перевешиваются финансовым выигрышем для принадлежащих государству (или находящихся в поле его социальной ответственности) участников проекта.
Пример
Оценим проект создания совместно вузом и институтом РАН учебно-научного центра в области технологий мониторинга природно-техногенной среды.
Экономическая эффективность проекта рассчитывается следующим образом:
• ожидаемая суммарная цена научно-технической продукции, создание которой становится возможным на основе объединения научно-технических потенциалов института РАН и вуза (главная контрольная цифра для отслеживания фактической эффективности проекта), — 10 млн руб.;
• суммарные затраты на выполнение планируемых для совместного учебно-научного центра научно-исследовательских работ — 6 млн руб.;
• суммарная прибыль при реализации научно-технических результатов проекта: П = 10 - 6 = 4 млн руб.;
• принятая максимальная продолжительность периода действия результата НИР — 5 лет;
• среднегодовая дополнительная прибыль: П
с = 4/5 = 0,8 млн руб.;
• капиталообразующие инвестиции по проекту (суммарное его целевое финансирование по Программе за вычетом расходов по организации совместного центра — транзакционных издержек) — 2,5 млн руб.;
• рентабельность инвестиций — 0,8/2,5 = 0,32 (подлежит сопоставлению со средней эффективностью капиталовложений в экономику, отражаемой, например, среднерыночной доходностью на фондовом рынке);
• период окупаемости (срок возврата) инвестиций по реализации результатов проекта: Г
к = 1/0,32 = 3,16 года, что меньше рекомендуемого Минэкономикой РФ = 5,5 года.
Оценка финансовой эффективности проекта:
• утвержденный срок проекта— 2 года;
• обусловленные интеграцией дополнительные доходы (экономии) по проекту для его участников в годы с номерами t (дополнительные поступления от открытия приема студентов первого и второго высшего образования по имеющей спрос, при условии качественной подготовки специальности, а также в результате притока заказов на осуществление качественного и экономичного экологического мониторинга): через год — 0,7 млн руб.;
• необходимые для продолжения проекта дополнительные собственные затраты участников проекта: через год — 0,2 млн руб.; через два года— 1,6 млн руб.;
• долгосрочная (в расчетена два года) средняя реальная доходность, наблюдавшаяся на фондовом рынке, — 0,25 (25%);
• стартовые инвестиции по проекту — 0,5 млн руб.;
• суммарный для участников проекта чистый дисконтированный доход по проекту: [(0,7 - 0,2)/(1 + 0,25) + (2,8 —1,6)/(1 + 0,25)
2] -0,5 = 0,66 млн руб., т. е. больше нуля, что свидетельствует об эффективности проекта;
• внутренняя норма доходности(г): [(0,7 -0,2)/(1 +г)+(2,8 - 1,6)/ (1 + г)
2]-0,5=0; г = 1,13(113%);
• индекс доходности: (1,13 - 0,25)/0,25 = 3,5; что свидетельствует о том, что вложение государственных средств в данный проект, с точки зрения его участников и министерств образования и науки, в 3,5 раза более эффективно, чем их иное вложение в национальную экономику.
Оценка бюджетной эффективности проекта:
• государственные доходы (экономия) в год от реализации проекта с номером t из-за появления у них дополнительных доходов, возможное сокращение бюджетного финансирования вуза и партнерского института РАН) но годам проекта: через год — 0,5 млн руб.; через
18-180
два года — 1,2 млн руб. (приняты на уровне чистых доходов участников проекта, обусловленных реализацией проекта (см. выше));
• государственные затраты по целевому финансированию проекта в год реализации проекта с номером через год — 0,5 млн руб.; через два года — 2,8 млн руб.;
• стартовые инвестиции по проекту — 0,5 млн руб.;
• средняя ожидаемая (за срок проекта) реальная доходность государственных облигаций — 0,20 (20%);
• бюджетный чистый дисконтированный доход: [(0,5 - 0,5)/( 1 + 0,2)+ + (1,2 - 2,8)/( 1 + 0,2)
2] - 0,5 - - 0,65 млн руб.,т. е. меньше нуля, что означает для бюджета за годы реализации проекта сравнительную (по сравнению с другими приоритетными направлениями расходования бюджетных средств в рамках «бюджета развития») потерю в 0,65 млн руб. Таким образом, с точки зрения бюджетной эффективности проект неэффективен.
Однако все же проект способен дать бюджетным организациям высшего образования и фундаментальной науки больше, чем будет потеряно для бюджета (суммарный чистый дисконтированный доход больше прямых бюджетных потерь: 0,66 > 0,65 млн руб.). Данное обстоятельство служит основанием для общего положительного вывода об эффективности проекта.
8.3. Методика НП «Инновационное агентство»1
Каждый может заблуждаться, но упорствовать в заблуждении может только глупец.
Цицерон
Методические рекомендации по оценке экономической эффективности финансирования проектов коммерциализации результатов НИОКР разработаны НП «Инновационное агентство». Методические рекомендации составлены в соответствии с приказом Миннауки России № 163 от 11 сентября 1998 г. «О мерах по совершенствованию отбора научно-технических проектов, финансируемых из государственного бюджета» и приказом Миннауки России № 200 от 29 октября 1998 г. «Об утверждении Регламента рассмотрения Министерством науки и технологий Российской Федерации проектов, имеющих своей целью
- НП «Инновационное агентство».
267
коммерциализацию результатов научно-исследовательских и опытноконструкторских работ».
Методические рекомендации ориентированы на проведение входной экспертизы для получения предварительных оценок экономической эффективности и потенциальных рисков реализации проектов; на введение объектов промышленной собственности и результатов научно-технических разработок в хозяйственный оборот предприятий.
Методические рекомендации предназначены для владельцев прав на интеллектуальную собственность; организаций, осуществляющих экспертизу и отбор проектов; организаций, осуществляющих венчурное финансирование; изготовителей наукоемкой продукции; менеджеров проектов (табл. 8.4).
Схемы венчурного финансирования, положенные в основу моделирования финансовых потоков:
* прямое кредитование в виде единовременного платежа с условием ежегодного возврата средств равными долями;
• долгосрочное вложение средств в уставной капитал в виде единовременного платежа.
Схема прямого кредитования связана с жесткими требованиями ежегодного возврата средств инвестору и потому уменьшает объем оборотных средств. В результате темпы роста производства продукции/услуг снижаются, что, в свою очередь, уменьшает прибыльность процесса реализации наукоемкой продукции. Данная схема определяет оценку доходов владельца прав на интеллектуальную стоимость снизу (табл. 8.5).
Схема долгосрочного вложения средств предполагает регулярное реинвестирование средств в развитие производства, что обеспечивает его относительно быстрое развитие. В результате ожидаемые доходы владельца дают оценку сверху (табл. 8.6).
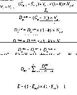
Экономические характеристики проекта, используемые в расчетах:
S — сумма ранее затраченных денежных средств, руб.;
— сумма запрашиваемых денежных средств, руб.;
S — себестоимость продукции/услуг на момент подачи проекта, руб.;
С — отпускная цена продукции/услуг на момент подачи проекта, руб.;
Т — время инновационного цикла, лет;
D — часть дохода, получаемая в я-й год инвестором;
D
fm" — часть дохода, получаемая в и-й год владельцем.
Экономические характеристики условий реализации проекта, используемые в расчетах:
k — ставка налога на прибыль, отн. ед.;
N
prd — доля прибыли, отчисляемая на развитие производства, отн. ед.;
1В‘
Nmm - доля прибыли, отчисляемая на менеджмент проекта, отн. ед.; E
ilt — процентная ставка по кредитам, отн. ед. в год;
Е — • ожидаемый уровень инфляции, отн. ед. в год.
Таблица 8.4
Расчет экономических показателей
С, = Сх(і+?
м)-

Показатель
Отпускная цена единицы нродукции/услугв я-и год
Себестоимость продукции/услуг в я-й год
Объем реализации продукции/ услуг в я-й год
Валовая прибыль в я-й год Чистая прибыль в я-й год
Средства, направляемые па развитие производства в я-й год
Средства, направляемые на менеджмент проекта в я-й год
Доход в n-й год, подлежащий распределению между владельцем и инвестором
Суммарный доход за инновационный цикл, распределяемый между владельцем и инвестором и приведенный к начальному шагу расчета
|
Е— обобщенный дисконтирующий коэффициент, учитывающий инфляционные ожидания инфляции (?.„,) и альтернативную возможность использования денег (ІТ^) |
|
|
R — потенциальный риск реализации проектов |
0,8 ± 0,12 для проектов с незавершенной стадией поисковых исследований |
|
0,67 ± 0,16 для проектов с незавершенной стадией НИР |
|
0,5 ± 0,19 проектов с незавершенной стадией ОКР |
|
0,17 ± 0,08 проектов с незавершенной стадией подготовки производства |
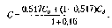
Экономическая эффективность финансирования проекта определяется по знаку и величине коэффициента рентабельности.
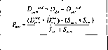
Таблица 8.5
(7'~я+1)х? + Д (Г-я+1)х(1-Д)
РбЮЧ?Т ЭКОН
<^
І>ЛМиС‘
ГЧ|/<^
1^ ^<4yhQI/TMPUr^TM ППЛШ/ТО
|
*=І J_{________(1 + ?..,г) |
 |
Индивидуальная ставка дисконта проекта вп-й год, отн. ед.
Суммарный доход инвестора, приведенный к начальному шагу расчета, руб.
Доход владельца за инновационный цикл, руб.
Коэффициент рентабельности, отн. ед.
гг
Индивидуальная ставка дисконта проекта в Т-йшд, отн. ед.
Р |  |
Т — момент выхода инвестора из бизнеса, определяемый как момент достижения максимального значения стоимости пакета акций
Суммарный доход инвестора. приведенный к начальному шагу расчета, руб.
Доход владельца за инновационный цикл, руб.
Коэффициент рентабельности, отн.ед.
* Группа «В» — проект экономически целесообразен, если D
,rJ > О
0 ) при Е
іп/- 0, E
/ti = On R = 0. ^
* Группа «С»- — проект следует или возможно доработать, если D > 0 ( D > 0 ) при Е. ,= О, Е ,= 0 и R = 0.
* Группа«0*- — данных недостаточно для проведения экономических оценок.
8.4. Метод Мэнсфилда
Никому не повредит то, что он промолчал, но может повредить то, что он сказал.
Древнее латинское изречение
Метод Мэнсфилда предназначен для измерения рентабельности бюджетных затрат на фундаментальные исследования.
Мэнсфилд опросил руководителей 75 крупных американских компаний в семи областях производства (переработка информации, электрооборудование, химическая продукция, инструменты, фармацевтическая продукция, метизы, нефть) относительно доли новой продукции и услуг, поставленных «на лоток» в 1975-1985 гг., которые, по словам этих руководителей, не могли бы быть разработаны, если бы не фундаментальные исследования, проведенные в течение 15 лет после их первого появления в качестве новой идеи.
На основе этой информации Мэнсфилд оценил норму рентабельности фундаментальных исследований, финансируемых государством, в 28%
в год.
8.5. Модель И. Фишера
Ничему не удивляться, ничем не возмущаться,
а стараться понять,
Древнее латинское изречение
Инвестор, обладающий определенной суммой денег 1^ на момент ?
(, должен решить, как ему лучше разделить ее между текущим потреблением и инвестициями в активы, обеспечивающие доходы к моменту Предпочтения инвестора можно охарактеризовать посредством задания семейства кривых безразличия. Каждая кривая состоит из точек плоскости (с , с,), представляющих варианты инвестиционного плана:
Cj — часть средств, направляемых на потребление в момент с
; — денежный доход, полученный инвестором от инвестиций к моменту t,
r Предполагается, что имеющаяся сумма доступных на момент f средств фиксирования и непотребленные средства инвестируются оптимальным образом. Все точки, лежащие на одной кривой безразличия, рассматриваются как равноценные.
Пусть потенциальные возможности вложений упорядочены по убыванию их рентабельности. Возможные альтернативы текущего потребления с, и будущего дохода с
3 представим на графике (рис. 8.2) в плоскости (с
(, с
3), называемом трансформационной кривой.
Исходную задачу теперь можно сформулировать в виде: среди точек кривой трансформации найти ту, для которой оценка функции полезности инвестора является наибольшей.
Оптимальный план инвестиций (и потребления) представляется точкой Р, в которой кривая безразличия касается кривой трансформации.
Точка P характеризуется свойством: в ней одинаковы наклоны кривых безразличия и кривой трансформации. Абсолютная величина наклона кривой трансформации указывает, на сколько денежных единиц увеличится к моменту t
2 доход инвестора, если в момент объем инвестиций возрастет на 1 д. е. и определяет рентабельность предельной д. е. вложений. Наклон кривой безразличия определяется соотношением предельных полезностей
(ди/дс
})/(ди/дс
2).
Кривая трансформации имеет отрицательный наклон, который уменьшается по абсолютной величине с ростом инвестиций. Поэто-

му оптимальный объем инвестирования достигается в том случае, если рентабельность последней инвестированной денежной единицы вложений равна отношению предельных полезностей текущего потребления и будущих доходов. Оптимальная инвестиционная программа включает все объекты инвестиций, лежащие справа от точки Ркасания.
Абсолютная величина наклона кривой безразличия отражает прежде всего временные предпочтения инвестора. Чем больше эта величина, тем больше он склонен к текущему потреблению, соответственно — менее к инвестированию.
Построение кривой трансформации рассмотрим на примере.
Пример
Пусть имеются 4 потенциальных объекта вложений (табл. 8.7) при I - 1050 д. е.
т
Таблица 8.7
Показатели объектов вложения средств |
|
|
Объекты
вложений |
Требуемые на момент г, капиталовложения (д. е.) |
Доходы от вложений на момент f, (д. е.) |
Рентабельность вложений,% |
|
1 |
200 |
200 |
100 |
|
2 |
200 |
50 |
25 |
|
3 |
250 |
50 |
20 |
|
4 |
400 |
20 |
5 |
Если инвестор всю І
т сумму направит на потребление, то с= 0. Если инвестор ограничится вложением средств только в объект А, то сумма потребления составит 850 д. е., а если в объекты А и В — то сумма потребления составит 650 д. е. (табл. 8.8). Возможные варианты текущего и будущего потребления можно охарактеризовать точками на следующем рис. 8.3.
|
Таблица 8,8 Варианты вложения средств |
|
|
|
Варианты вложений |
Средства, направляемые на потребление в момент t |
Доходы от вложений на момент^ (д. е.) |
|
c1 |
c2 |
|
А. все на потребление |
1050 |
0 |
|
Окончание табл. 8.8 |
|
|
|
Варианты вложений |
Средства, направляемые на потребление в момент tl |
Доходы от вложений на момент^ (д. е.) |
|
В. проект 1 |
1050 - 200 = 850 |
200 |
|
С. проекты 1 и 2 |
1050 - (200 +200) = 650 |
200 + 50 = 250 |
|
D. проекты 1, 2 и 3 |
1050-(200 + 200 + 250) = 400 |
200 + 50 + 50 =300 |
|
Е. проекты 1, 2, 3 и 4 |
1050 - (200 + 200 + 250-400) = 0 |
200 + 50 + 50 + 20 = 320 |
Изложенная конструкция не решает, однако, всех проблем выбора инвестиционного плана (программы). Так, два инвестора, имеющих различные временные предпочтения относительно текущего и будущего потребления и обладающих совместным капиталом, будут отстаивать различные варианты инвестиционных программ: И. Фишером было установлено, что конфликты такого рода не возникают при наличии совершенного рынка капиталов, для которого выполняются следующие предпосылки:
1. Любой инвестор обладает возможностью как получить кредит, так и вложить капитал по единой процентной ставке г.
2. Рынок капитала информационно доступен и прозрачен. Инвестор и предприятия исходят при формировании своих планов потребления и проектов инвестиций из одной и той же информации (однородность ожиданий инвесторов).
3. Транзакционные издержки и налоги не учитываются.
 |
|
Рис. 8.3. Кривая ABCDE — кривая трансформации |
Как сказывается существование совершенного рынка капиталов на выборе оптимального инвестиционного плана? Как и ранее, ограничим рассмотрения однопериодным случаем: на совершенном рынке капиталов каждый инвестор может разместить производственную сумму I под г процентов и получить Л(Г) = /(1 + іу д. е. в конце периода. Текущая цена подлежащей получение в момент ?, одной д. е. составляет, следовательно, 1/(1 + г) д. е.
Покажем, последовательно увеличивая объем вложений, что при сделанных предположениях оптимальный объем вложений достигается в том случае, когда рентабельность последней дополнительной единицы вложений составит (1 + г).
Пусть на текущий момент рентабельность предельной единицы вложений больше (1 + ), Тогда инвестору выгодно взять кредит в одну денежную единицу и инвестировать ее. Поскольку поступления от этой единицы больше, чем обязательства по погашению кредита, составляющие (1 + г) д. е., то доход инвестора к моменту Г
2 возрастает, что позволит достичь более высокого уровня полезности. Следовательно, вложения следует наращивать до тех пор, пока их предельная рентабельность больше (1 + r). Оценка масштабов инвестиций зависит, таким образом, только от размеров процентной ставки на рынке капиталов.
Отметим, что при определении оптимального объема вложений пикаю не учитывались специфические свойства функции полезности индивидуального инвестора. Поэтому любой инвестор, имеющий возможности для привлечения средств на совершенном рынке капиталов, будет реализовывать одну и ту же инвестиционную программу. Следовательно, наличие (совершенного) рынка капиталов позволит разрешить возможные конфликты между инвесторами.
Далее, поскольку подграфик кривой трансформации — выпуклое множество с гладкой границей, оптимальный план инвестирования определяется позицией точки Р на рис. 8.4, в которой прямая с наклоном (1 + г) касается кривой трансформации. Эта прямая называется линией рынка.
Будет ли инвестор обязательно выбирать план потребления в сумме ОЕ при доходе в размере |O.D|? Для ответа на этот вопрос необходимо учесть индивидуальные предпочтения инвестора. Для этого построим на плоскости (с,, с
2) карту кривых безразличия. На рис. 8.4 это кривые/, /
2 идр. Кривая/, касается линии рынка. Планы,лежащие на этой кривой, имеют для инвестора большую ценность, чем планы, лежащие на кривой l
2. Отметим, что позиция с на линии рынка являет-
 |
|
Рис. 8.4. Определение оптимальной инвестиционной программы и плана потребления |
ся вполне достижимой, если привлечь финансовые средства для дополнительных вложений.
Инвестор может, уменьшив текущее потребление, разместить дополнительно на рынке капиталов сумму \EF\. В этом случае его доход на момент ?
2 составит \ EF\ х (1 + г) + \ OD \. Полезность этого варианта плана выше, чем любого другого плана, поскольку в этом варианте инвестиции под г процентов обеспечивают большую рентабельность по сравнению с расширением программы за счет дополнительных реальных инвестиций.
Позиция рис. 8.4, соответствующая ситуации, в которой кривая безразличия касается линии рынка справа от точки Р, также вполне достижима. Если сс есть точка касания такой кривой, то инвестор занимает деньги в сумме \ ЕК\, направляет на инвестиции сумму .E7J, на потребление — сумму \ОК и возвращает к моменту ?
2 сумму \ЕК\ х (1 + г) из доходов от инвестиционной программы.
Таким образом, различия в предпочтениях относительно структуры потребления/будущих доходов влияют лишь на финансовую, но не на инвестиционную политику. Этот результат известен как теорема отделимости И. Фишера. Термин «отделимостью означает здесь, что решение о распределении средств осуществляется в 2 этапа. На первом этапе определяется оптимальная инвестиционная программа, а на втором — объем потребления в момент t1 и политика финансирования.
8.6. Модель Блэка-Шоулза
Человек компетентный — это тот, кто заблуждается по правилам.
Поль Валери
Широко используемая в настоящее время для оценки капитальных вложений методология дисконтированного денежного потока имеет недостатки:
1. Оценка ожидаемых денежных потоков ложна, так как требуется большая точность в предсказании изменения цен на выпускаемую продукцию и потребляемые ресурсы на несколько лет вперед. Ошибка велика как в вычислении будущих денежных потоков, так и при определении соответствующей безрисковой ставки процента.
2. Практическое использование принципа DCF крайне затруднено, когда проект включает один или несколько значительных «операционных опционов.. Операционные опционы возникают, когда менеджмент может отложить принятие решения о характере операции до какого-либо момента в будущем, когда будет разрешена какая-нибудь значительная неопределенность. Подобные операционные опционы усложняют расчет ожидаемых денежных потоков, безрисковых процентных ставок из-за сложной структуры рисков.
3. Принцип дисконтированного денежного потока косвенно предполагает, что фирмы держат реальные активы пассивно. При его использовании не учитываются опционы, заложенные в реальных активах. Но финансовый менеджер может активно использовать их, предпринимая действия для нивелирования потерь по проектам или реализовывая потенциальные новые возможности.
Американские ученые С. Мейсон, Р. Мертон и Е. Альтман предположили, что должен быть сформулирован новый принцип оценки капитальных вложений, включающий в себя теорию ценообразования опционов на финансовых рынках ее развитым математическим аппаратом. Для этого необходимо провести аналогию между финансовыми опционами и операционными опционами, другими словами, представить инвестиционный проект как опционный контракт.
Опционный контракт — документ, удостоверяющий право покупки или продажи товара, валюты или ценных бумаг по оговоренной цене. Различают европейский опцион, допускающий покупку или продажу в определенный день, и американский опцион, допускающий покупку
или продажу до определенного дня. Контракт на покупку называется call-опционом, на продажу — put-опционом.
Новый принцип оценки капитальных вложений сейчас находит на Западе все более широкое применение в практике анализа инвестиционных проектов в самых разных отраслях: горнодобывающая промышленность, добыча полезных ископаемых, перерабатывающая промышленность, машиностроение.
Модель Блэка-ШоуM3a(Black-Scholes optionpricingmodel)была разработана в 1973 г. для оценки премии европейских call-опционов на акции. В основу модели положена концепция формирования безрискового портфеля активов, динамика стоимости которых не зависит от динамики курса акций. Рассматривался портфель, состоящий из акций и опциона.
При построении модели учитывался ряд ограничений:
• краткосрочные процентные ставки известны и постоянны в течение срока действия опциона; краткосрочные кредитные и депозитные процентные одинаковы;
• цена акции изменяется случайным образом с дисперсией, пропорциональной квадрату из цены акции, поэтому распределение возможных значений цен акций является логнормальным, дисперсия доходов по акциям постоянна;
• не учитываются операционные расходы на покупку/продажу опциона и акций, а также налоги.
Условие, согласно которому доходность безрискового портфеля, состоящего из акций и опционов, равна безрисковой ставке процента в любой момент времени, описывается с помощью частного дифференциального уравнения, решением которого и является формула Блэка-Шоулза.
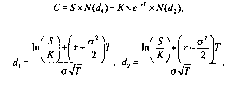
В соответствии с этой формулой стоимость европейского опциона call определяется разностью между ожидаемым взвешенным курсом базового актива и ожидаемой дисконтированной величиной цены использования (издержками) данного опциона:

где С — премия европейского call-опциона; S — цена базового актива (цена акции по рыночным данным); K — цена исполнения; Т — время, оставшееся до момента исполнения опциона; г — безрисковая процентная ставка; 5 — стандартное отклонение цены базового актива; N(d) — функция нормального распределения.
Для определения N(d) можно использовать таблицы для стандартной нормальной кривой или Excel-функцию НОРМСТРАСП^). Она возвращает стандартное нормальное интегральное распределение, которое имеет среднее, равное нулю, и стандартное отклонение, равное единице.
Уравнение плотности стандартного нормального распределения имеет следующий вид:
|
НОРМСТРАСП(^) - |  |
1 |
где d — это значение, для которого строится распределение.
Пример
Требуется оценить call-опцион на акции с ценой исполнения 60 д. е. и остаточным периодом 3 месяца. Безрисковая процентная ставка — 12% годовых. Текущий курс акции — 59 д. е., волатильность курса акции — 20%. Стоимость этого опциона составляет 2,2058 д. е. (табл. 8.9).
Таблица 8.9
Расчет стоимости call-опциона в Excel |
|
|
№
строки |
Столбец А |
Столбец В |
Расчетная формула |
|
1 |
К |
60 |
|
|
2 |
Т |
3 |
|
|
3 |
Г |
12% |
|
|
4 |
$ |
58 |
|
|
5 |
|
20% |
|
|
6 |
rf, |
0,0110 |
- (ІА(В4/В1) + (ВЗ + (В5Л2)/2) х х (В2/12))/(В5 х ((В2/12)Л0,5)) |
|
7 |
4 |
-0,0890 |
- (ЩВ4/В1) + (ВЗ - (В5Л2)/2) х х (В2/12»/(В5 х ((В2/12)"0,5» |
|
8 |
лн> |
0,5044 |
= НОРМСТРАСП(Вб) |
|
9 |
ЛН) |
0,4645 |
- НОРМСТРАСП(В7) |
|
10 |
с |
2,2058 |
=В4 х В8 - В( х В9 х ЕХР(-ВЗ х В2/12) |
279
Если равновесная цена опциона больше рыночной, то инвестор может продать опцион; если меньше, то купить опцион.
Зная, что 1 - N(d) ** N(-d), можно определить стоимость европейского put-опциона;
Р = ~SxN(-d
t) + Ке'
,т х N(-d
2).
Формулы позволяют рассчитывать не только размеры прелшй, но и решать обратную задачу — подбирать цены исполнения или даты истечения контракта. Это дает возможность анализировать итоги торгов, приводя премии по разным видам опционов (call, put) и разным ценам исполнения к «общему знаменателю».
Адаптация модели Блэка-Шоулза к материальным объектам инвестирования (земельные участки, месторождения, здания, сооружения, оборудование, технологии и др.) проявляется в трактовке и методах расчета соответствующих параметров модели.
Если фирма связана с разработкой месторождения, то трактовка параметров модели будет такова: S — текущая стоимость разработанного месторождения; K — затраты на разработку месторождения; T- срок, отведенный на разработку месторождения; s — стандартное отклонение стоимости разработанного месторождения; r - безрисковая проектная ставка; N(d) — функция нормального распределения.
Пример
Предположим, что существует нефтяное месторождение со следующими параметрами:
• объемместорождения до 100 млн баррелей в год;
• текущая стоимость затрат на разработку составляет 11,79 у. е. за один баррель;
• временной разрыв между добычей и разработкой составляет 3 года;
• срок на разработку составляет Ю лет;
• ожидаемое стандартное отклонение 14,2%;
• коэффициент выплаты прибыли (отношение суммы выплачиваемых дивидендов к объему чистой прибыли) составляет 4,1%;
• стоимость разработанного месторождения в настоящее время составляет 12 у. е. за одни баррель.
Используя формулу, с учетом новой трактовки переменных рассчитаем значения цены опциона на разработку месторождения в расчете 1 у. е. затрат на разработку при различных значениях параметров V/D, s, Т. Результаты расчета представлены в табл. 8.10.
Первоначально рассчитывают текущую стоимость разработанного месторождения V = 12/(1 +0,041)= 10,61 у. е.
Далее рассчитывают коэффициент С — V/D, где V— текущая стоимость разработанного месторождения, полученного после ожидавшегося временного разрыва; D — затраты на разработку месторождения. Отсюда С~ 10,61/11,79=0,90.
Теперь определяют стоимость неразработанного месторождения DV, используя рассчитанные значения из табл. 8.10. Для Т= 10 лет, 5= 14,2% имеем DV =0,0524 х 11,79 х 100 000 000 = 61 838 550 у. е.
Таблица 8.10
Зависимость цены опциона от параметров V/D, $, Т |
|
|
|
V/D |
s=14,2% |
|
T= 5 |
10 |
15 |
Опцион с «проигрышем»
0,70 |
0,0065 |
0,0132 |
0,0170 |
|
0,75 |
0,0112 |
0,0196 |
0,0241 |
|
0,80 |
0,0181 |
0,0281 |
0,0331 |
|
0,85 |
0,0276 |
0,0389 |
0,0443 |
|
0,90 |
0,0402 |
0,0524 |
0,0580 |
|
0,95 |
0,0564 |
0,0689 |
0,0746 |
Опцион с «выигрышем»
1,00 |
0,0766 |
0,0889 |
0,0943 |
|
1,05 |
0,1011 |
0,1125 |
0,1175 |
|
1,10 |
0,1304 |
0,1403 |
0,1446 |
|
1,15 |
0,1647 |
0,1724 |
0,1760 |
Смысл полученного результата состоит в том, что право разрабатывать месторождение в будущем в настоящее время имеет положительную стоимость DV= 61 млн у. е.
В основе любого инвестиционного проекта лежат три важных реальных опциона: опцион на продолжение инвестиций, опцион на отказ от проекта и опцион на выжидание (и анализ ситуации), прежде чем инвестировать. Эти опционы позволяют менеджерам увеличивать стоимость бизнеса, расширяя его возможности или уменьшая потери.
Опцион на продолжение инвестиций означает, что проект помимо потоков денежных средств непосредственно от самого проекта порождает опцион call на последующие проекты, т. е. реализация проекта сегодня порождает благоприятные инвестиционные возможности на завтра (а это и есть опционный контракт).
Пример
Пусть разрабатываемый проект характеризуется следующими параметрами:
• решение об инвестировании проекта может быть принято через 2 года;
• объем инвестиций в проект (цена исполнения) составляет 2 млн у. е.;
• приведенная стоимость прогнозируемых денежных потоков составляет 16 млн у. е.;
• будущей стоимости потоков денежных средств от проекта свойственна высокая неопределенность. Поведение этой стоимости подобно поведению цен на акции со стандартным отклонением 70% в год;
• безрисковая ставка составляет 55% годовых.
Потоки денежных средств и финансовый анализ эффективности вложений по принципу дисконтированного денежного потока представлены в табл. 8.11.
|
Таблица в. 11 Потоки финансов |
|
|
|
Финансовые |
Годы |
Параметры
проекта |
0 |
1 |
2 |
3 |
4 |
5 |
Поток
денежных
средств
от реализации
проекта |
- |
12100,59 |
11771,30 |
11800,64 |
11828,14 |
11854,06 |
|
Инвестиции в проект |
38752,2 |
- |
- |
— |
— |
— |
Чистая ириве-
дсиная стоимость проекта |
4078,7 тыс. у. е. |
Для определения возможности инвестирования в последующие проекты определяют стоимость опциона call по формуле Блэка-Шоулза: С= 4285,1 тыс. у. е.
Таким образом, стоимость проекта равна его собственной чистой приведенной стоимости (4078,7) и стоимости связанного с ним опциона call (4285,1), что в итоге дает 8363,8 тыс. у. е.
Если на рынке события развиваются в неблагоприятном направлении, то проект можно отменить, т. е. продать активы проекта по их рыночной цене. В этом случае необходимо оценить опцион на прекращение бизнеса. Для этой оценки Д. Кенсингер модифицировал модель Блэка-Шоулза.
Смысл предложенного им подхода состоит в том, что возможность (опцион) ухода из инвестиционного проекта (сокращение убытков и возмещение части первоначальных инвестиций путем продажи части активов) рассматривается подобно владению страховым полисом, по которому производятся выплаты, если проект обеспечивает результат «ниже номинала». Цена этого полиса определяется как сумма чисто дисконтированной стоимости и стоимости опциона.
Рассмотрим подход к оценке опциона на отказ на примере одного из инвестиционных проектов фирмы — приобретение установки.
Пример
Фирма рассматривает возможность покупки новой установки стоимостью 120 000 у. е. По оценке отдела маркетинга и сбыта, стоимость бизнеса может либо вырасти на 33% с вероятностью 0,6, либо уменьшиться на 25% с вероятностью 0,4. Возможные результаты приобретения показаны на рис. 8.5.
Ожидаемый поток денежных средств по инвестиционному проекту составит 0,6 х 150 000 + 0,4 х 70 000 = 118 000 у. е.
Приведенная стоимость проекта равна 118000/( 1 +0,16)= 101724у. е.
Таким образом, чистая приведенная стоимость составляет:
101 724 - 120 000 = -18 276 у. е.
 |
70000у.е.
150000у.е.
Рис. 8.5. Возможные результаты приобретения установки |
Приведенные расчеты не включают возможность отказа от бизнеса. Так как вероятность неудачного развития событий на рынке достаточно высока, то можно предположить, что лучше заранее продать оборудование стоимостью 120 000 у. е., чем продолжать бизнес, стоимость которого может составить 70 000 у. е.
Для оценки стоимости опциона на отказ необходимо оценить стоимость опциона put для периода в один год на установку с ценой исполнения 120 000 у. е. Имеется следующая информация:
• цена исполнения 120 000 у. е.;
• приведенная стоимость проекта без опциона на отказ 101 724 у. е.;
• время, оставшееся до исполнения опциона, 1 год;
• процентная ставка 16%;
• будущая стоимость проекта при высоком спросе 150 000 у. е.;
• будущая стоимость проекта при низком спросе 70 000 у. е.
Так как в развитии бизнеса предполагается, что возможны два результата, то для определения стоимости опциона на отказ возможно применение биноминальной модели, которую разработали У. Шарп, Д. Кокс, С. Росс и M. Рубинштейн.
Уравнение однопериодной биноминальной модели ценообразования европейских опционных контрактов put на акции, не выплачивающие дивиденды, имеет вид:
r,_pC
№+(\-p)C
d (1 + г) ’
p-(r-d)/(u-d).
Для нашего проекта г = 16%; и = 33%; d - -25%; К - 120 000 у. е.; 5= 101 724.
Подставляя нужные значения в формулы, получаем:
(Ц6-(-0,25)
н 0,33-(-0,25)
стоимость опциона put:

Числитель этой формулы показывает ожидаемую будущую стоимость опциона на отказ от бизнеса.
Внутренняя стоимость опциона put определяется как max (0; К -
S). Эта формула означает, что если бизнес будет успешным, то опцион на отказ Р обесценится. Если же бизнес не будет успешным, то фирма исполнит опцион Р
; (продав оборудование за 120 000 у. е. и сэкономив 50 000 у. е. (120 000 - 70 000».
Таким образом, стоимость опциона put:
с 0,517x0+ (1-0,517}х50000
е
1 + 0,16
У' '
Следовательно, стоимость бизнеса с учетом опциона на отказ возрастает на 20 819 у. е. и составляет 101 724 + 20 819 = 122 543 у. е., а величина скорректированной чистой дисконтированной стоимости дает значение 20 819 - 18 276 = 2543 у. е.
Опционное время для осуществления инвестиций выбрать легко, если нет никакой неопределенности. Для этого вычисляют приведенную стоимость инвестиционного проекта на различные даты инвестирования и выбирают тот период времени, в котором приведенная стоимость имеет максимальное значение. Однако принцип не работает в условиях неопределенности.
Если проект не подпадает под принцип «сейчас или никогда» (необходимо инвестировать проект немедленно или подождать; риски, связанные с его осуществлением высоки; проект имеет положительную чистую приведенную стоимость), то возникает проблема выбора оптимального времени для осуществления инвестиций. Решение начать или отложить осуществление инвестиций равносильно решению исполнить опцион call немедленно или подождать и исполнить его позже.
Для определения времени начала инвестирования проекта могут быть использованы биномиальные модели.
Однопериодная биномиальная модель оценки опционных контрактов call на акции, не выплачивающие дивиденды, описывается выражением:
0 ~ Р)^7У
' (1 + г) ’
p = (r-d)/(u-d)\
С
Ти = шдх[0; (1 + u)S
T^ -К\
С
ТІ - max[0; (l + d)S
T_,-X],
где u — сдвиг цены акции вверх; d — сдвиг цены акции вниз; r — безрисковая процентная ставка (и > r > d). Если r > u, то необходимо продать акции и инвестировать вырученную сумму под безрисковый процент г, если же d > r, то необходимо взять кредит под безрисковый процент г и купить акции.
Двухпериодная биноминальная модель оценки опционных контрактов имеет вид:
^ Р
2ст»* +2p(l-p)C
w +(1~р)
2С
№
" (1 + г)
2 ’
где
С
Тш = шах[0; (1 + uf S
T_
2 - А"];
С
т = гпах[0; (1 + ы)(1+ d)S
7_
2 - А']; С
ш - max[0; (1 + d)S
T_
2 - А].
Многопериодная биноминальная модель оценки опционных контрактов представляется выражением:

Использование биноминальной модели при разбиении временного интервала, оставшегося до исполнения опциона, на 5 периодов дает результаты, приблизительно совпадающие с результатами расчета по формуле Блэка-Щоулза.
МЕТОДЫ ОЦЕНКИ РИСКА ИННОВАЦИОННЫХ ПРОЕКТОВ
Наука, по существу, рациональна в своих основах и по своим методам, может осуществлять свои наиболее значительные завоевания лишь путем опасных внезапных скачков ума, когда проявляется способность, освобожденная от тяжких оков старого рассуждения', их называют воображением,
интуицией, остроумием.
Луи де Бройль
9.1. Оценка риска достижения результата и инфляции
Если надеяться на легкое, то непременно будет много трудностей.
Лао-Цзы
Трудности принятия решений по проектам обусловлены, во-первых, значительной степенью неопределенности будущих условий, в которых будет осуществляться проект, и, во-вторых, возможной противоречивостью сравнительных оценок нескольких проектов, когда по одному из показателей эффективности проектов лучшим будет один проект, а по другому показателю более предпочтительным другой.
Фактор неопределенности будущих условий осуществления проекта приводит к появлению риска для инвесторов и к необходимости принятия мер для его снижения. Противоречивость сравнительной оценки проектов по различным критериям вызывает необходимость дополнительного анализа сравниваемых проектов для окончательного выбора одного из них.
Под неопределенностью понимается неполнота или неточность информации об условиях реализации проекта, в том числе связанных с ними затратами и результатами. Неопределенность, связанная с возможностью возникновения в ходе реализации проекта неблагоприятных ситуаций и последствий, характеризуется понятием риска.
Всю совокупность видов риска можно классифицировать на шесть групп:
1) рыночные риски — непредвиденное изменение конъюнктуры рынка для продукции;
2) экономические риски — ошибки в оценке перспективной потребности в величине и стоимости ресурсов;
3) экологические риски — непредвиденное ужесточение экологических нормативов изменения окружающей среды или недостаточная степень учета затрат на природоохранные мероприятия;
4) технические риски — недостоверная оценка возможностей оборудования, свойств материалов;
5) государственные риски — непредвиденное изменение государственных нормативов коммерческой деятельности (налоги, амортизация);
6) политические риски — непредвиденное ужесточение законодательных условий или изменение экономических условий коммерческой деятельности за рубежом в связи с изменением политических взаимоотношений страны.
Риск в области научно-технических работ может быть нескольких видов:
1) получение отрицательного научного результата;
2) наступление отрицательных экономических или социальных последствий;
3) получение отрицательных экономических последствий.
Первый вид риска вероятен на стадии научных разработок. Причем на разных этапах он неодинаков: допустимость получения предполагаемых результатов на стадии фундаментальных исследований не превышает 5-10%, на стадии прикладных научных разработок — 80-90, па стадии проектно-конструкторских разработок-- 90-95%. Последствия творческих неудач при выполнении фундаментальных теоретических работ не вызывают негативного отношения к отрицательным результатам. Например, в практике американских корпораций считается нормой, если до 80% исследовательских работ заканчиваются неудачей.
Риск отрицательных последствий проявляется в первую очередь в потерях ресурсов: материальных, трудовых, финансовых, временных, экологических. Опыт работы западных венчурных фирм — небольших организаций, делающих бизнес на коммерческом освоении нововведений, показывает что для них инновационный риск воспринимается как объективная и неизбежная реальность. Заранее допускается, что даже при жестком отборе, в ходе которого отвергается почти 80-90% поступающих предложений, 15-30% проектов, получивших финансирование за счет венчурных фондов, могут закончиться неудачей. Вложения в венчурный капитал дают, как правило, более 20-30% прибыли (в два раза выше обычного). Однако только незначительная часть таких фирм получает прибыль.
В зависимости от конкретных причин возникновения экономические, политические и технологические риски делятся на внешние и внутренние.
Экономические внешние риски могут быть страновыми, валютными и рисками стихийных бедствий (форс-мажорных обстоятельств). Страновые риски непосредственно связаны с интернационализацией деятельности предприятий и наличием глобального рынка. Они зависят от политико-экономической стабильности стран-клиентов или стран-контрагентов, импортеров или экспортеров. Основная причина, увеличивающая риск, связана с неправильной оценкой финансовой устойчивости иностранного контрагента.
Валютные риски или риски курсовых потерь связаны с интернационализацией рынка, банковских операций, с созданием транснациональных (совместных) предприятий и банковских учреждений и с диверсификацией их деятельности. Коммерческие валютные риски делятся на риски убытков по конкретным операциям в иностранной валюте и бухгалтерские, возникающие при переоценке активов и пассивов зарубежных филиалов и дочерних фирм в национальную валюту.
Внутренние риски классифицируются следующим образом:
• по отношению к собственности (государственные, совместные, кооперативные, акционерные, частные);
• по размерам мощностей и количеству работающих (крупные, средние, малые);
• по принадлежности к отдельным отраслям (отраслевые);
• по видам банковских услуг (риски активных и пассивных операций).
Отраслевыериски связаны с изменчивостью в деятельности затрагиваемой отрасли по сравнению с другими отраслями. Чем больше непредвиденная изменчивость отрасли, тем больше степень риска.
В зависимости от характера банковских операций, обеспечивающих научно-исследовательские работы, выделяют риски активных и пассивных операций. Они связаны с возможными затруднениями обеспечения платежами со стороны банковских структур.
Технические риски научно-исследовательской деятельности могут быть следующих видов:
• риск сбыта — риск потери вложенных средств в связи с проблемами сбыта продукции;
• риск качества — риск получения результата, не отвечающего требованиям потребителей по качеству. Он может быть связан с дефектами, которые не могли быть предотвращены или выявлены при разработке;
• риск обеспечения производства — риск ненадежного снабжения производства;
• производствен ный риск — риск, связанный с авариями и отказами работы оборудования;
• организационный риск ~ ошибки при обслуживании техники и технологической линии, небрежность отдельных лиц при выполнении работ на всех этапах реализации высоких технологий.
Оценка риска может иметь три вида: допустимый, критический и катастрофический. Допустимый риск соответствует уровню потерь в пределах ожидаемой прибыли. Он не вызывает серьезных изменений в реализации высоких технологий, и участники разработки достаточно спокойно реагируют на его существование. Для критического риска характерна опасность потери всех вложенных средств. В этом случае отсутствует прибыль и появляются убытки, связанные с дополнительными издержками. Катастрофический риск имеет самые серьезные последствия, а именно полная потеря всего имущества, банкротство предприятий, опасность для жизни людей, экологическая катастрофа. Измерение этого риска может быть проведено лишь теоретически, поскольку, например, никакая экологическая катастрофа не может быть возмещена даже полной стоимостью предприятия.
Для учета неопределенности и риска при проведении экономического анализа проекта рекомендуется использовать следующие методы:
• проверка устойчивости;
• корректировка показателей проекта и экономических нормативов; замена их проектных значений на ожидаемые;
• формализованное описание неопределенности.
Первый метод — проверка устойчивости — предусматривает разработку сценариев реализации проекта в наиболее вероятных и наибо-19-180 лее опасных для каких-либо участников условиях. Практически этот метод может быть реализован путем анализа прогноза финансовых показателей проекта при трех возможных вариантах его реализации: пессимистическом, наиболее вероятном и оптимистическом. Кроме того, в качестве показателя, характеризующего степень надежности проекта, используется точка безубыточности.
Оценка эффективности проекта включает в себя как составной элемент оценку рискованности проекта, т. е. возможности для инвестора не получить требуемую прибыль при реализации проекта в результате неблагоприятных событий. Реализация любого инвестиционного проекта — это вероятностный процесс с точки зрения отдачи: проект может принести запланированные доходы, а может и не принести. Количественным фактором, определяющим меру риска, является коэффициент риска, который в общем случае определяет отношение возможных позитивных и негативных исходов при заданном уровне значений агрегированных показателей, характеризующих данный проект.
Общий риск зависит от систематического и несистематического риска. Под систематическим риском понимается вероятностный характер будущих доходов из-за чувствительности динамики дохода на инвестиции но проекту к колебаниям отдачи на инвестиции в экономике в целом. Несистематический риск есть функция характеристик отрасли и отдельного предприятия.
Один из основных способов компенсации риска состоит в варьировании нормы дисконтирования будущих доходов, при этом большая величина дисконта соответствует большему риску.
Для оценки систематической составляющей риска необходимо привлечение экспертов и наличие информации по уже реализованным в отрасли проектам. Такая информация дает возможность количественной оценки степени неопределенности относительно получения финансовых результатов реализации конкретного проекта.
Поскольку фактор риска проявляется во времени, его учет при проведении оценки проектов осуществляется введением некоего поправочного коэффициента («рыночной премии за риск»). Следовательно, учет риска сводится к выбору величины рисковой премии и оценке возможных потерь. В мировой практике введение рисковой надбавки в значение нормы дисконта является наиболее распространенной. Кроме этого, используются занижение прибыли, завышение стоимости затрат, сокращение периода получения прибыли и др. Для повышения надежности применяется сразу несколько методов компенсации риска.
Поскольку при оценке проектов во многих случаях отсутствует точная информация о движении потоков выручки и издержек, то необходимо опираться на прогнозы. Эти прогнозы принимают форму вероятности того, что определенная величина прибыли будет иметь место в рассматриваемом временном интервале t.
Пусть в интервале / некоторая величина прибыли П
(. может иметь место с вероятностью Р. (j = 1...и; п — количество возможных значений прибыли), тогда математическое ожидание прибыли в этом интервале можно найти по формуле:

Пример
Величины прибыли в рассматриваемом году Пт их вероятности характеризуются следующими значениями:
0,1
0,2
0,4
0,2
0,1
8000
9000
10000
11000 12000
Ожидаемая средняя прибыль составит 8000x0,1 +9000x0,2+ 10000x0,4+ 11000x0,2+ 12000x0,1 - 10000.
Это будет наиболее вероятной величиной, однако нужно учесть риск, связанный с такой оценкой прибыли. Считается, что показателем абсолютного риска является среднеквадратическое отклонение ст. Чем больше среднеквадратическое отклонение, тем выше риск. Величина среднеквадратического отклонения ст для прибыли П
( определяется по следующему выражению:

Для рассматриваемого примера величина о равна

8000 -10 000)
г * ОД+(9000 -10 000)
1 ¦ 0,2 +
о(п,)~ н(іОООО-ЮООО)
3 О,4 + (110ОО-1ОООО)
г 0,2+= 1095.
-(12000 —10 000)
г ¦ 0,1
Общая величина риска по проекту определяется как среднеквадратическое отклонение чистой текущей стоимости

Во многих случаях удобнее пользоваться не величиной среднеквадратического отклонения о, а величиной относительного риска, определяемого как отношение среднеквадратического отклонения к ожидаемому значению:
а(ХР?)
NPV |  |
CV(NPV)=
При большой величине риска инвестор может решиться на финансирование проекта, если предполагаемая прибыль будет достаточно велика. Существует определенная зависимость между риском и размером необходимой прибыли (рис. 9.1). Эта зависимость может быть представлена в форме кривой безразличия, показывающей связь между величиной риска а и необходимой прибылью П(о), обычно измеряемой в процентах. При отсутствии риска (а = 0) величина нормы дисконтирования равна Д0, а соответствующая ей величина прибыли равнаП0. Если риск равен а, то, для того чтобы инвестор финансировал проект, величина прибыли должна быть не менее П*, т. е. рыночная премия за риск должна составлять не менее П0 — П*. Соответственно этому норма дисконта увеличивается до некоторого значения R', большего Все проекты на кривой безразличия равноценны для инвестора, так как определенный риск компенсируется соответствующей величиной прироста прибыли.
Среди факторов повышения риска особое место занимает инфляция — повышение общего среднего уровня цен в экономике на данный вид ресурса (продукции).
С учетом ожидаемого темпа инфляции норма дисконтирования определяется следующим образом:
R-R0+J+RJ.
где R0 — норма дисконтирования без учета инфляции (реальная норма дисконтирования);/ — предполагаемый темп инфляции.
 |
|
Рис.9.1. Связь ожидаемого риска и величины желаемой прибыли |
В условиях умеренной инфляции третье слагаемое не учитывается и номинальная норма дисконтирования включает две составляющие: реальную норму дисконтирования и инфляционную составляющую, численно равную ожидаемым темпам инфляции:

В условиях высоких темпов инфляции такой способ дает большие погрешности в расчетах. Более объективный подход — это структурный анализ влияния инфляции на проект.
Суть структурного анализа состоит в том, что объектом анализа влияния инфляции должны выступать отдельные составляющие результатов и затрат. Так, при анализе ожидаемой прибыли требуется оценить, как инфляция повлияет на объемы продаж и цены на реализуемую продукцию. Аналогичные проблемы возникают и при оценке уровня затрат.
витЦ^іуі+Л N' составит:
Пусть в момент t = 0 цена на товар составляла Ц0. При среднегодовых темпах инфляции, равных J, цена в момент времени / соста-При этом в году t выручка от реализации в объеме
 |
|
где — выручка в году t, оцененная по исходной цене. Аналоіично будут изменяться и текущие издержки. |
где И0 — издержки в году t, оцененные по исходной цене.
Прибыль в году t в текущих ценах составит:

В связи с инфляцией увеличивается и норма дисконтирования R. \ Пусть при отсутствии инфляции норма дисконтирования была равнг RB. Тогда с учетом инфляции знаменатель дисконтирующего множи-¦ теля примет вид:

При этом дисконтирующий множитель для года t определяется по выражению:
1 1 1 — — Н---
(1 + Л)'-
Отсюда прибыль года t, приведенная к моменту t = О, определяется выражением:
П - п< _ (вк ~ ии< )0+JY _ в0, -D1 (і+лу (і+аді+Л ~(і+^у'
На основе этого выражения можно сделать следующий вывод. Для получения правильных оценок величины приведенной прибыли необходимо использовать один из двух способов:
1) не учитывать ни в норме дисконтирования, ни в ценах товаров и текущих издержек темп инфляции J;
2) учитывать темп инфляции, одновременно включив его в цены и норму дисконтирования.
9.2. Количественные методы анализа рисков проектов
Следоватьзамыслямивеликого человека естьнаука самая занимательная.
А. С. Пушкин
В мировой практике используются различные количественные методы анализа рисков инвестиционных проектов:
• метод корректировки нормы дисконта;
• метод достоверных эквивалентов;
анализ чувствительности критериев эффективности; метод сценариев;
* анализ вероятностных распределении потоков платежей;
* деревья решений;
* метод Монте-Карло (имитационное моделирование) и др.
Метод корректировки нормы дисконта осуществляет приведение
будущих потоков платежей к настоящему моменту времени по более высокой норме, но не дает информации о степени риска (возможных отклонениях результатов). При этом полученные результаты существенно зависят только от величины надбавки за риск.
Метод достоверных эквивалентов базируется на расчете коэффициентов достоверности, адекватных риску на каждом этапе проекта. При этом невозможно провести анализ вероятностных распределений ключевых параметров.
Анализ чувствительности оценивает влияние отдельных исходных факторов на конечный результат проекта. Главным недостатком данного метода является предпосылка о том, что изменение одного фактора рассматривается изолированно, тогда как на практике все экономические факторы в той или иной степени коррелированны.
Метод сценариев позволяет получать наглядную картину для различных вариантов реализации проектов, а также предоставляет информацию о чувствительности и возможных отклонениях, а применение программных средств (Excel) позволяет значительно повысить эффективность подобного анализа путем практически неограниченного увеличения числа сценариев и введения дополнительных переменных.
Алгоритм сценарного метода:
1. Используя анализ чувствительности, определяются ключевые факторы проекта.
2. Рассматриваются возможные ситуации, обусловленные колебаниями этих факторов, для чего строится «дерево сценариев».
3. Методом экспертных оценок определяются вероятности каждого сценария.
4. По каждому сценарию с учетом его вероятности рассчитывается NPVпроекта ,в результате чего получается массив значений NPV.
5. На основе данных массива рассчитываются критерии риска проекта.
Анализ вероятностных распределений потоков платежей позволяет получить полезную информацию об ожидаемых значениях NPV и чистых поступлений, а также провести анализ их вероятностных распределений. Вместе с тем использование этого метода предполагает, что вероятности для всех вариантов денежных поступлений известны либо могут быть точно определены. В действительности в некоторых случаях распределение вероятностей может быть задано с высокой степенью достоверности на основе анализа прошлого опыта при наличии больших объемов фактических данных. Однако чаще всего такие данные недоступны, поэтому распределения задаются экспертно и несут в себе большую долю субъективизма.
Деревья решений. Ограничением практического использования данного метода является исходная предпосылка о том, что проект должен иметь обозримое или разумное число вариантов развития. Метод полезен в ситуациях, когда решения, принимаемые в каждый момент времени, зависят от принятых ранее решений и, в свою очередь, определяют сценарии дальнейшего развития событий.
Пример
Некая компания собирается инвестировать средства в проект. Инвестиции в данный проект производятся в три этапа. В начальный момент времени t = 0 необходимо потратить $500 на проведение маркетингового исследования рынка. Если в результате исследования будет выяснено, что потенциал рынка достаточно высок, то в момент t = 1 компания инвестирует еще $1000 на разработку и создание опытного образца. Если опытный образец удачен, то в момент времени t = 2 компания начинает строительство нового завода, которое требует затрат в $10 тыс. Вероятность получения благоприятного результата на первом этапе 80%, на втором — 60%, на третьем — 60%.
Если данная стадия будет реализована, то проект будет генерировать притоки наличности в течение четырех лет. Величина этих потоков будет зависеть от рыночного спроса. Вероятность того, что продукт будет хорошо «принят» рынком, составляет 30%, и в этом случае чистые притоки наличности должны составлять около $10 тыс. в год. Вероятность того, что притоки наличности будут составлять около $4 тыс. и 2$ тыс. в год, равна 40 и 30% соответственно.
Очередное решение об инвестировании принимается в конце каждого года. Каждое «разветвление» обозначает точку принятия решения либо очередной этап. Число в скобках, записанное слева от точки принятия решения, представляет собой чистые инвестиции. В интервале с третьего по шестой год (с t = 3 по t = 6) показаны притоки наличности, которые генерируются проектом. Ожидаемые потоки наличности показаны с третьего года по шестой (табл. 9.1).
|
Таблица 9. / Пример количественного |
|
|
|
|
|
t=0 |
= 1 |
t= 2 |
t=3 |
t=4 |
t=5 |
t=6 |
«Совместная
вероятность» |
NPV |
Итого |
|
|
|
|
10000 |
(10000) |
10000 |
10000 |
0,144 |
15250 |
2196 |
|
|
|
(10000) |
4000 |
4000 |
4000 |
4000 |
0,192 |
436 |
84 |
|
(500) |
(1000) |
|
2000 |
2000 |
2000 |
2000 |
0,144 |
(14379) |
(2071) |
|
|
|
Стоп |
0,320 |
(1397) |
(447) |
|
|
Стоп |
0,200 |
(500) |
(100) |
|
|
|
NPV |
(338) |
Совместная вероятность характеризует ожидаемую вероятность получения каждого результата.
Предположим, что ставка дисконта составляет 11,5%. Тогда, умножая полученные значения чистой приведенной стоимости на соответствующие значения совместной вероятности, получим ожидаемую чистую приведенную стоимость инвестиционного проекта.
Поскольку ожидаемая чистая приведенная стоимость проекта получилась отрицательной, то компания должна отвергнуть этот инвестиционный проект.
Имитационное моделирование представляет собой серию численных экспериментов, призванных получить эмпирические оценки степени влияния различных факторов на зависящие от них результаты.
Алгоритм имитационного моделирования:
1. Определяются ключевые факторы проекта в процессе анализа чувствительности и выбираются те, изменения которых приводят к наибольшим отклонениям чистой текущей стоимости.
2. Определяются максимальное и минимальное значения ключевых факторов, и задается характер распределения вероятностей. В общем случае рекомендуется использовать нормальное распределение.
3. На основе выбранного распределения проводится имитация ключевых факторов, с учетом полученных значений рассчитываются значения NPV.
4. На основе полученных в результате имитации данных рассчитываются критерии, количественно характеризующие риск проекта (ма-
20—ISO
тематическое ожидание NPV, дисперсия, среднеквадратическое отклонение и др.).
9.3. Кумулятивная модель ставки дисконта
Ставка дисконта по кумулятивной модели определяется как сумма безрисковой ставки и премии за каждый выявленный фактор риска.
В величине премии за риск учитывается три типа рисков:
• страновой риск;
• риск ненадежности участников проекта;
• риск неполучения предусмотренных проектом доходов («несистематический» риск, относящийся к данному проекту).
Строковойриск проявляется в возможности непрогнозируемых негативных изменений экономического окружения, связанных с изменением государственной инвестиционной, налоговой, таможенной и финансовой политики. Такой риск характерен для всех видов инвестиций и не связан непосредственно с проектом.
Страновой риск учитывается по проектам, осуществляемым за рубежом или с иностранным участием, в расчетах эффективности инвестирования в акции предприятия.
Рейтинги стран мира по уровню странового риска инвестирования публикуются германской фирмой BERI (Business Environment Risk Index), Ассоциацией швейцарских банков, аудиторской корпорацией Emst&Young.
Составление рейтинга стран по уровню риска включает в себя несколько этапов:
• выбор переменных (политическая стабильность, степень экономического роста, степень инфляции, уровень национализации и
др);
• определение веса каждой переменной;
• обработку показателей по Дельфи-методу с использованием экспертной шкалы;
• выведение суммарного индекса (0 — максимальный риск, 100 — минимальный риск).
Премия за страновой риск оценивается экспертно по данным этих рейтингов и, согласно мировой статистике, может составлять до 200% от нормы дисконта, исчисленной с учетом всех остальных факторов.
Агентство «Юниверс» оценивает страновой риск как сумму социально-политического, внутриэкономического и внешнеэкономиче-
СКОГО рисков (табл. 9.2-9.4). Риски оцениваются в баллах іюфакторно: минимальная оценка — 1 балл, максимальная — 10 баллов. Низкий риск — от 1 до 4 баллов, средний — от 4 до 7, высокий — от 7 до 10. Переход от балльных оценок к количественной оценке премии за страновой риск производится экспертно.
Таблица 9.2
Оценка социально-политического риска в России |
|
|
|
Вид риска |
Вес |
Балль
ная
оценка
риска |
Значе
ние |
Угроза стабильности извне
(1 — нет, 10 — чрезвычайно высокая) |
0,03 |
3 |
0,09 |
Стабильность правительства
(1 — без изменений, 10 — под угрозой смены) |
0,1 |
8 |
0,08 |
|
Характеристика официальной оппозиции (1 — конструктивная, 10 — деструктивная) |
0,05 |
3 |
0,15 |
Влияние нелегальной оппозиции
(1 — не существует, 10 — угроза революции) |
0,04 |
6 |
0,24 |
Оценка социальной стабильности
(1 — стабильность, 10 — крайняя напряженность) |
0,1 |
7 |
0,07 |
Отношения работников с управленческим аппаратом
(1 — сотрудничество, 10 — частые забастовки) |
0,04 |
5 |
0,20 |
Оценка уровня безработицы в следующие
12 месяцев
(1 — безработица отсутствует, 10 — превышает
25% от экономически активного населения) |
0,15 |
7 |
1,05 |
|
Равномерность распределения совокупного дохода (1 — равномерное, 10 — резкое расслоение общества) |
0,07 |
7 |
0,49 |
|
Отношение властей к зарубежным инвестициям (1 — стимулирование и гарантии, 10 — жесткие ограничения) |
0,1 |
5 |
0,5 |
|
Риск национализации без полной компенсации (1 — практически отсутствует, 10 — очень высок) |
0,02 |
4 |
0,08 |
|
Отношение местной бюрократии (1 — содействующее и эффективное, 10 — коррумпированное и противостоящее) |
0,12 |
7 |
0,84 |
|
20 |
|
Окончание табл. 9.2 |
|
|
|
Вид риска |
Вес |
Балль
ная
оценка
риска |
Значе
ние |
Вмешательство правительства в экономику
(1 — минимальное, 10 — постоянное и определяющее) |
0,07 |
8 |
0,56 |
|
Государственная собственность в экономике (1 — очень ограниченная, 10 — преобладающая) |
0,07 |
9 |
0,63 |
Вероятность вооруженных конфликтов с соседними странами
(1 — отсутствует, 10 — конфликты неизбежны) |
0,04 |
6 |
0,24 |
|
ИТОГО |
1,00 |
|
6,57 |
Таблица 9.3
Оценка внутриэкономического риска в России |
|
|
|
Вид риска |
Вес |
Балль
ная
оценка
риска |
Значе
ние |
|
Общее состояние экономики в следующие 12 месяцев (1 — очень хорошее, 10 — серьезные проблемы) |
0,1 |
9 |
0,09 |
|
Изменение ВНП в сопоставимых ценах (1 — рост более 10%, 10 — падение более 10%) |
0,05 |
9 |
0,45 |
Ожидаемый рост ВНП в постоянных ценах
по сравнению с прошлым годом
(1 — значительное ускорение, 10 — резкое падение) |
0,05 |
8 |
0,40 |
Рост производства промышленной продукции в следующие 12 месяцев
(1 — рост более 10%, 10 — падение более 10%) |
0,1 |
9 |
0,09 |
|
Рост капиталовложений в следующие 12 месяцев (1 — ростболее 10%, 10 — падение более 10%) |
0,1 |
8 |
0,8 |
Рост потребительского спроса в следующие
12 месяцев
(1 — рост более 10%, 10 — падение более 10%) |
0,04 |
5 |
0,20 |
Текущая инфляция
(1 - более 5%, 10 - более 100%) |
0,05 |
10 |
0,5 |
|
Динамика инфляции в следующие 12 месяцев (1 —существенное замедление, 10 — резкое ускорение) |
0,05 |
7 |
0,35 |
|
Окончание табл. 9.3 |
|
|
|
Вид риска |
Вес |
Балль
ная
оценка
риска |
Значе
ние |
|
Доступ к зарубежному финансированию (1 — доступно, 10 — крайне тяжело получить) |
0,05 |
8 |
0,4 |
Наличие/стоимость рабочей силы
(1 — избыток дешевой рабочей силы, 10 — нехватка
рабочей силы) |
0,05 |
1 |
0,05 |
Квалификация, качество рабочей силы
(1 — высокое, 10 — квалифицированная рабочая
сила практически отсутствует) |
0,05 |
3 |
0,15 |
|
Монетарная политика (1 — мягкая, 10 — жесткая) |
0,05 |
4 |
0,2 |
Фискальная политика
(1 — стимулирующая спрос, 10 — жесткая) |
0,05 |
5 |
0,25 |
Уровень налогообложения
(1 — относительно низкий, 10 — крайне высокий) |
0,05 |
7 |
0,35 |
Динамика уровня налогов
(1 — будут снижаться, 10 — будут повышаться) |
0,05 |
4 |
0,2 |
Развитие нефтегазового комплекса
(1 — рост более 10%, 10 — падение более 10%) |
0,1 |
6 |
0,6 |
|
ИТОГО |
1,00 |
|
6,85 |
Таблица 9.4
Оценка внешнеэкономического риска в России |
|
|
|
Вид риска |
Вес |
Балль
ная
оценка
риска |
Значе
ние |
Общее состояние платежного баланса с долларовой
зоной
(1 — хорошее, 10 — серьезные проблемы) |
0,1 |
7 |
0,07 |
Торговый баланс с долларовой зоной в следующие
12 месяцев
(1 — резко положительный, 10 — резко отрицательный) |
0,1 |
8 |
0,8 |
|
Окончание табл. 9.4 |
|
|
|
Вид риска |
Вес |
Балль
ная
оценка
риска |
Значе
ние |
Рост экспорта в долларовую зону в следующие
12 месяцев
(1 — рост более 10%, 10 — падение более 10%) |
0,05 |
4 |
0,2 |
Рост импорта из долларовой зоны в следующие
12 месяцев
(1 — рост более 10%, 10 — падение более 10%) |
0,05 |
5 |
0,25 |
Общее состояние платежных балансов с рублевой зоной
(1 — хорошее, 10 — серьезные проблемы) |
0,1 |
2 |
0,2 |
Торговый баланс с рублевой зоной в следующие
12 месяцев
(1 — резко положительный, 10 — резко отрицательный) |
0,1 |
2 |
0,2 |
Рост экспорта в рублевую зону в следующие
12 месяцев
(1 — рост более 10%, 10 — падение более 10%) |
0,05 |
6 |
0,3 |
Рост импорта из рублевой зоны в следующие
12 месяцев
(1 — рост более 10%, 10 — падение более 10%) |
0,05 |
3 |
0,15 |
|
Официальные ограничения в движении капитала (1 — свободные перемещения, 10 — перемещения запрещены) |
0,05 |
6 |
0,3 |
|
Динамика ограничений на торговлю с долларовой зоной в следующие 12 месяцев (1 — упрощается, 10 — затрудняется) |
0,05 |
5 |
0,25 |
|
Динамика ограничений на торговлю с рублевой зоной в следующие 12 месяцев (1 — существенно упрощается, 10 — значительно затрудняется) |
0,05 |
6 |
0,3 |
Динамика обменного курса рубля в следующие 12 месяцев
(1 — рост более 20%, 10 — падение более 20%) |
0,1 |
8 |
0,8 |
Изменение мировых цен на нефть
(1 — рост более 20%, 10 — снижение более 20%) |
0,1 |
5 |
0,5 |
|
ИТОГО |
1,00 |
|
5,20 |
Риск ненадежности участников проекта проявляется в возможности непредвиденного прекращения реализации проекта, обусловленного;
• нецелевым расходованием средств, предназначенных для инвестирования в данный проект;
• финансовой неустойчивостью фирмы, реализующей проект;
• недобросовестностью и неплатежеспособностью других участников проекта (например строительных организаций, поставщиков сырья или потребителей продукции).
Размер премии за такой риск определяется каждым конкретным участником проекта с учетом его функций, обязательств перед другими участниками и обязательств других участников перед ним. Обычно эта премия составляет не более 75% от безрисковой нормы дисконта.
Размер премии уменьшается, если участники предоставляют имущественные гарантии выполнения своих обязательств; увеличивается, если данный участник не располагает проверенной информацией о платежеспособности и надежности других участников проекта (будущих покупателей продукции данного участника, других инвесторов и т.д.).
«Несистематический» риск—это риск неполучения предусмотренных проектом доходов. Обусловлен техническими, технологическими и организационными решениями проекта, а также случайными колебаниями объемов производства и цен на продукцию и ресурсы.
Премия за риск определяется с учетом технической и финансовой реализуемости проекта, детальности проработки проектных решений, наличия необходимого научного и опытно-конструкторского задела и представительности маркетинговых исследований.
Вопрос о конкретных значениях премии за «несистематический» риск для различных отраслей промышленности и различных типов инвестиционных проектов пока остается открытым.
В конкретных расчетах обычно обращают внимание прежде всего на новизну используемой техники или технологии и степень изученности каких-либо процессов или явлений (от спроса на продукцию до запасов полезных ископаемых).
Премию за риск рекомендуется определять факторным расчетом, суммируя влияние учитываемых факторов в соответствии с табл. 9.5.
Таблица 9.5
Влияние отдельных факторов на величину премии за риск |
|
|
Факторы и их градации
1. Необходимость проведения НИОКР с заранее Неизвестными результатами силами специализированных научно-исследовательских и/или проектных организаций: |
Прирост премии за риск, % |
продолжительность НИОКР менее 1 года
продолжительность НИОКР свыше 1 года: |
3-6 |
|
а) НИОКР выполняется силами одной специализированной организации |
7-15 |
б) НИОКР имеет комплексный характер и выполняется силами нескольких специализированных организаций
2. Новизна применяемой технологии: |
11-20 |
|
• традиционная технология |
0 |
|
•новая технология,требующая применения ресурсов, имеющихся на свободном рынке |
2-4 |
|
• новая технология, требующая в отличие от существующей применения монополизированных ресурсов |
5-10 |
•новая технология, исключающая в отличие от существующей применение монополизированных ресурсов
3. Неопределенность спроса и цен на производимую продукцию: |
1-3 |
|
•существующую |
0-5 |
|
• новую |
5-10 |
|
4. Нестабильность (цикличность) спроса на продукцию |
0-3 |
|
5. Неопределенность внешней среды при реализации проекта (горно-геологические, климатические и иные природные условия, агрессивность внешней среды и т. п.) |
0-5 |
|
6. Неопределенность процесса освоения применяемой техники или технологии |
0-3 |
Clare]., Hinderlang Т., PritchardR.' предложили устанавливать премию за риск в зависимости от целей инвестирования (табл. 9.6).
'ClareJ., HinderlangТ.,PritchardR. Capital Budgeting. Planning and Control of Capital Expenditures. — Prentice-Hail, 1979.
Таблица 9.6
Премия за риск в зависимости от целей инвестирования |
|
|
|
Группа инвестиций |
Премия за рлек, % |
|
Новые машины, оборудование, транспортные средства и др., которые будут выполнять в основном те же функции, что и старое оборудование, которое заменяется |
0 |
|
Новые машины и оборудование, которые заменяют старое оборудование, но являются технологически более совершенными, требуют более высокой квалификации работников, других производственных подходов и т. и. |
3 |
|
Новые мощности, которые замещают старые мощности, новые заводы на том же или другом месте |
6 |
|
Новые мощности или связанное оборудование, с помощью которых будут производиться или продаваться тс продукты, которые уже производились |
5 |
|
Новые мощности или машины для производства или продажи производственных линий, которые тесно связаны с существующими производственными линиями |
8 |
|
Новые мощности, или машины, или поглощение (приобретение) других фирм для производства или продажи производственных линий, которые не связаны с первоначальной деятельностью компании |
15 |
|
Прикладные НИР, направленные на определенные специфические цели |
10 |
|
Фундаментальные исследования, цели которых могут быть пока точно не определены и результат точно не известен |
20 |
В Методике Правительства РФ от 1997 г. премия за риск при оценке бюджетной эффективности связывается с «технологической» направленностью инвестиций (табл. 9.7). Очевидно, что в величину премии за риск заложены конкретные уровни странового риска и риска ненадежности участников проекта на момент разработки документа.
Таблица 9.7
Премия за риск, связанная с «технологической» направленностью инвестиций |
|
|
|
Величина риска |
Пример цели проекта |
Поправка на риск, % |
|
Низкий |
Вложения при интенсификации производства на базе освоенной техники |
3-5 |
|
Окончание табл. 9.7 |
|
|
|
Величина риска |
Пример цели проекта |
Поправка на риск, % |
|
Средний |
Увеличение объема продаж существующей |
8-10 |
|
|
продукции |
8-10 |
|
Высокий |
Производство и продвижение на рынок нового продукта |
13-15 |
|
Очень высокий |
Вложения в исследования и инновации |
18-20 |
По методике Грибовского С. В. риск npoeicra складывается из систематического и несистематического риска. Систематический риск определяется состоянием рынка в целом, возможными изменениями общеэкономического характера. Несистематический риск связан с деятельностью предприятия и включает экономические, маркетинговые, инвестиционные, технические, социальные и экологические риски. Количественная оценка риска определяется путем их непосредственного ранжирования (табл. 9.8).
Таблица 9.8
Количественная оценка риска |
|
|
|
Тип риска |
Ранг риска |
|
|
1 |
2 |
3 |
4 |
5 |
6 |
7 |
8 |
9 |
10 |
|
Риски, присущие стране в целом |
|
|
|
|
|
|
|
|
|
|
|
Ухудшение социально-политической обстановки |
|
|
|
|
1 |
|
|
|
|
|
|
Рост инфляции |
|
|
|
|
|
1 |
|
|
|
|
|
Проблема неплатежей |
|
|
|
|
|
|
|
1 |
|
|
|
Неисполнение законности |
|
|
|
|
|
|
|
1 |
|
|
|
Несовершенство законодательства |
|
|
|
|
|
|
|
1 |
|
|
|
Валютный риск |
|
|
|
|
|
|
|
|
|
1 |
|
Риски, связанные с деятельностью фирмы |
|
|
|
|
|
|
|
|
|
|
|
Экономические (финансовые) риски |
|
|
|
|
|
|
|
|
|
|
|
Неустойчивость спроса на продукцию |
|
|
|
|
|
|
1 |
|
|
|
|
Обострение конкурентной борьбы |
|
|
|
|
|
|
|
|
|
1 |
|
Потеря ликвидности |
|
|
|
|
1 |
|
|
|
|
|
|
Недостаток оборотных средств |
|
|
|
|
|
|
|
|
1 |
|
|
Продолжение табл. 9.8 |
|
|
|
Тип риска |
Ранг риска |
|
Маркетинговые риски |
|
|
|
|
|
|
|
|
|
|
|
Неправильный выбор рынков сбыта |
|
|
|
1 |
|
|
|
|
|
|
|
Неверное определение стратегии на рынке |
|
|
|
|
1 |
|
|
|
|
|
|
Неточный расчет емкости рынка |
|
|
|
1 |
|
|
|
|
|
|
|
Неправильная ценовая политика |
|
|
|
1 |
|
|
|
|
|
|
|
Инвестиционные риски |
|
|
|
|
|
|
|
|
|
|
|
Некачественная проработка техникоэкономических обоснований |
|
|
|
|
|
|
|
|
1 |
|
|
Увеличение стоимости проекта |
|
|
|
|
|
|
|
|
|
1 |
|
Отсутствие или незначительность дохода от направляемых инвестиций |
|
|
|
|
|
|
|
|
|
1 |
|
Риск неплатежеспособности дебиторов |
|
|
|
|
|
|
|
|
|
|
|
Дефицит или кризис возможностей дебитора для исполнения обязательств |
|
|
|
|
|
|
|
|
|
1 |
|
Необязательность дебитора как стиль взаимодействия с партнерами |
|
|
|
|
|
|
|
|
1 |
|
|
Технические риски |
|
|
|
|
|
|
|
|
|
|
|
Недостатки применяемой технологии, оборудования |
1 |
|
|
|
|
|
|
|
|
|
|
Возможное повышение цен на сырье, электроэнергию и т. п. |
|
|
|
1 |
|
|
|
|
|
|
|
Социальные риски |
|
|
|
|
|
|
|
|
|
|
Недостаток квалифицированной рабочей
СИЛЫ |
|
|
|
|
|
1 |
|
|
|
|
|
Недостаточный уровень зарплаты |
|
|
|
|
1 |
|
|
|
|
|
|
Угроза забастовки |
1 |
|
|
|
|
|
|
|
|
|
|
Отношение местных властей |
1 |
|
|
|
|
|
|
|
|
|
|
Экологические риски |
|
|
|
|
|
|
|
|
|
|
|
Экологически опасное предприятие |
1 |
|
|
|
|
|
|
|
|
|
|
Возможность экологических аварий |
1 |
|
|
|
|
|
|
|
|
|
|
Неустойчивость законодательства в части требований к окружающей среде |
1 |
|
|
|
|
|
|
|
|
|
|
Окончание табл. 9.8 |
|
|
|
Тип риска |
Рангриска |
|
Итоги |
|
|
|
|
|
|
|
|
|
|
|
Количество наблюдений |
6 |
0 |
0 |
4 |
4 |
2 |
1 |
3 |
3 |
5 |
|
Взвешенный итог |
6 |
0 |
0 |
16 |
20 |
12 |
7 |
24 |
27 |
50 |
|
Сумма |
162 |
|
Количество факторов |
28 |
|
Средневзвешенное значение |
6 |
|
Исходя из расчетов, премия за риск принята на уровне 6%. |
9.4. Модель САРМ
Применение модели САРМ базируется на следующей классификации проектных рисков:
* риск непредвиденного прекращения проекта (например, из-за банкротства, неплатежеспособности, бесперспективности объекта) и
• вариационный риск, обусловливающий изменчивость доходности проекта на протяжении периода его реализации.
Вариационный риск подразделяется на систематический и несистематический. Систематический риск связан с общерыночными колебаниями цен на ресурсы и доходности финансовых инструментов, несистематический — отражает изменчивость доходности данного проекта.
В классической модели оценки капитальных активов САРМ (Capital Assets Prices Model) учитывается только вариационный систематический риск. Норма дисконта Е, учитывающая этот риск, рассчитывается по формуле:

где Еа — доходность безрисковых инвестиций; R — доходность среднерыночного портфеля ценных бумаг; 0 — коэффициент, отражающий рискованность данного проекта по сравнению с инвестированием в среднерыночный пакет акций. Обычно 0<{і<2.
Под доходностью ценной бумаги понимается отношение ожидаемого годового дохода по этой бумаге к ее рыночной стоимости. Среднерыночную доходность рассчитывают по ограниченному числу ценных бумаг, например по акциям «голубых фишек».
Коэффициент /Jможет быть определен «по аналогии» или экспертным способом.
Оценка коэффициента *по аналогии» (так называемого исторического бета-коэффициента) выполняется по формуле:
ZK-^p)K-^p)
а=-------т—,
Ж~к)
т
где dm — доходность акций предприятия-аналога на т-ю дату в анализируемом периоде; d — средняя доходность акций предприятия-аналога за период; Rm — среднерыночная доходность на 7М-Ю дату; R — средняя среднерыночная доходность за период.
Пример оценки бета-коэффициента экспертным способом приведен в табл. 9.9. В соответствии с таблицей р = 23/17 = 1,28.
|
|
Всего |
Степень риска |
|
Фактор риска |
|
низкая |
средняя |
высокая |
|
|
|
Класс риска |
|
|
|
1.1 |
1.2 |
1.3 |
2.1 |
2.2 |
2.3 |
3.1 |
3.2 |
3.3 |
|
Соответствующее значение /3 |
|
0 |
0,25 |
0,5 |
0,75 |
1,0 |
1,25 |
1,5 |
1,75 |
2,0 |
|
|
Общеэкономические факторы |
• социально-политический
риск |
|
|
|
|
|
|
|
X |
|
|
|
• внутриэкономический риск |
|
|
|
|
|
|
X |
|
|
|
• внешнеэкономический
риск |
|
|
|
|
|
X |
|
|
|
|
|
|
Отраслевые факторы |
|
• циклический характер |
|
|
|
|
X |
|
|
|
|
|
|
• стадия развития |
|
|
X |
|
|
|
|
|
|
|
|
• конкуренция |
|
|
|
|
|
|
X |
|
|
|
|
• регулирование |
|
|
|
|
|
|
|
X |
|
|
• препятствия к вхождению
в рынок |
|
|
|
|
|
|
X |
|
|
|
|
Окончание табл. 9.9 |
|
|
|
|
Всего |
Степень риска |
|
Фактор риска |
|
низкая |
средняя |
высокая |
|
|
|
Класс риска |
|
|
|
1.1 |
1.2 |
1.3 |
2.1 (2.2 |
2.3 |
3.1 |
3.2 |
3.3 |
|
|
Факторы риска на уровне t |
шрмы |
|
• ликвидность |
|
|
|
|
|
|
|
X |
|
|
|
* стабильность дохода |
|
|
|
|
|
|
X |
|
|
|
|
• финансовый рычаг |
|
|
|
|
|
|
|
X |
|
|
|
• операционный рычаг |
|
|
|
|
|
X |
|
|
|
|
|
• Доля на рынке |
|
|
|
|
|
X |
|
|
|
|
|
• диверсификация клиентуры |
|
|
|
|
|
|
|
|
|
X |
|
• диверсификация продукции |
|
|
|
|
|
|
X |
|
|
|
|
• диверсификация по территории |
|
|
|
|
|
|
|
|
|
X |
|
• технологический уровень |
|
|
|
|
|
X |
|
|
|
|
|
|
Риск несогласованности интересов |
|
Возможность проведения политики в ущерб интересам держателей ценных бумаг фирмы |
|
|
|
|
|
|
|
|
X |
|
|
Итого количество наблюдений |
17 |
0 |
1 |
0 |
1 |
4 |
5 |
4 |
1 |
2 |
|
Расчет средневзвешенного /1 |
23,0 |
0 |
0,25 |
0 |
0,75 |
4 |
6,25 |
6 |
1,75 |
4 |
Модификация модели САРМ предложена Дженсеном:

где — часть рисковой премии, зависящая от рейтинга, репутации фирмы и отражающая невариационный риск, а также квалификацию менеджеров инвестиционного портфеля; S2 — часть рисковой премии, не обусловленная общерыночными тенденциями и отражающая вариационный несистематический риск.
Другая модификация предложена Хамадой:

гдер— ставка налога на прибыль; (і — соотношение заемного и собственного капитала, характеризующего одновременно и финансовую устойчивость фирмы, и связанный с этим финансовый риск; параметр Р аналогичен р но относится к фирмам, не использующим заемных средств:

где
«обычный» бета-коэффициент для предприятия-аналога.
>
9.5. Модель WACC
Ставка дисконта по модели WACC (Weighted Average Cost of Capital — средневзвешенная стоимость капитала) рассчитывается с учетом особенности российской системы налогообложения:

где г. — стоимость собственного капитала — требуемая отдача на обыкновенные акции; г — стоимость заемного капитала (ставка процента позайму),, qc и дл — доли собственного и заемного капитала в общем капитале проекта, у-— ставка налога на прибыль, k — ставка процента, в пределах которого проценты по займу могут вычитаться из налогооблагаемой прибыли.
9.6. Метод скорректированной текущей стоимости
В методе скорректированной текущей стоимости (Adjusted Present Value) меняется не ставка дисконта, а способ определения интегрального эффекта проекта.
Расчет производится в два этапа. Вначале рассчитываются денежные потоки по проекту в условиях, когда его финансирование осуществляется полностью за счет собственных средств. Эти потоки дисконтируются по норме дисконта, которая отвечает отсутствию заемного капитала. Затем рассчитывается изменение денежного потока, обусловленное привлечением заемного капитала, и этот дополнительный поток дисконтируется с использованием процентной ставки по займам (без корректировки на «налоговый зонтик»).
ПРОГРАММНОЕ ОБЕСПЕЧЕНИЕ ОЦЕНКИ ПРОЕКТОВ
10.1. Оценка инвестиционного проекта
Нет ничего более трудного в планировании, более сомнительного в успехе, более опасного в управлении, чем создание нового порядка вещей.
Никколо Макиавелли
Финансовое обоснование проекта обеспечивается соотношением затрат и результатов. Оно оценивается для отдельных интервалов времени, отдельных частей проекта и для процесса разработки и реализации в целом. Различают коммерческую, бюджетную и экономическую эффективность проекта.
Коммерческая эффективность проекта характеризуется потоками денежных средств. Поток денежных инвестиционных средств при обосновании детализируется по следующим элементам: земля, здания, сооружения, машины, оборудование и передаточные устройства, нематериальные активы, оборотный капитал. Поток операционных денежных средств включает: выручку от продажи продукции, внереализационные доходы, элементы переменных и постоянных затрат, амортизацию зданий и оборудования, проценты по кредитам, налоги и сборы. Поток финансовых средств состоит из: собственного капитала, краткосрочных и долгосрочных кредитов, погашения задолженности, выплаты дивидендов. Поток денежных средств характеризуется значением за интервал времени, накопленной суммой с начального момента, изменением по сравнению с предшествующим периодом. Для расчета сальдо накопленных денежных средств необходимо к его значению на предшествующем шаге прибавить поступления и вычесть все расходы. При расчет потоков реальных денег следует различать их от понятий доходов расходов. Например, обесценивание активов уменьшает чистый дс ход, но не влияет на поток реальных денег. Аналогичным образом рас
313
четы по амортизации также не требуют реальных денег. С другой стороны, не все денежные выплаты оказываются расходами. Например, покупка материальных запасов требует оттока реальных денег, но не является расходом.
С целью обеспечения достоверности результатов необходимо производить расчеты с варьированием исходных нормативно-справочных данных: цены продукции, сырья и услуг, нормы запаса и задолженности, проценты за кредит, сроки реализации, инфляция. Пределы варьирования исходных данных определяются экспертным путем. Причинами риска и неопределенности могут быть нестабильность законодательства, неопределенность политической ситуации, неполнота исходных данных, колебания рыночной конъюнктуры, неопределенность природных условий, неопределенность поведения участников проекта. В составе проекта должны быть предусмотрены специальные мероприятия, призванные компенсировать возможный будущий риск. Проверкой достоверности полученных расчетных показателей может быть анализ различных сценариев разработки и реализации проекта. Однако это требует дополнительных затрат. Проект считается эффективным, если при любых рассмотренных ситуациях он остается эффективным. На практике эта ситуация практически нереальна, поэтому расчеты эффективности проекта дополняются определением критических значений наиболее значимых параметров. Эти значения являются границами, превышение которых делает проект неэффекти вны м.
Очевидной эффективностью инвестиционного проекта является положительность потока реальных денег в каждом контролируемом интервале времени. Их отрицательность в любом из интервалов времени свидетельствует о необходимости привлечения дополнительных кредитов, а следовательно, потребует учета дополнительных затрат. Дополнительными оценками проекта оказываются: срок погашения задолженности, доля участников в общем объеме инвестиций, структура потоков реальных денег. Для сравнения различных проектов могут быть использованы показатели: чистый дисконтированный доход (сумма текущих эффектов, приведенная к начальному шагу), индекс доходности (отношение приведенных эффектов к величине капитальных вложений), внутренняя норма доходности. Чистый дисконтированный доход показывает эффективность проекта при заданной норме дисконта. Внутренняя норма доходности иллюстрирует фактическую норму дохода инвестора на вкладываемый капитал.
Бюджетная эффективность проекта характеризует взаимоотношения с бюджетом федерации или местной власти при выполнении проекта. Бюджетный эффект показывает превышение доходов над расходами для конкретного бюджета в конкретные интервалы времени. В состав расходов бюджета включают: прямое финансирование проекта, кредиты банков, выделяемые за счет бюджета, выплаты по государственным ценным бумагам, льготы по налогам, расходы на страхование рисков, различные компенсационные выплаты за счет бюджета. Доходы бюджета складываются из налоговых поступлений от участников проекта, изменения налоговых поступлений от сторонних предприятий, обусловленные выполнением проекта, таможенные пошлины и акцизы, эмиссионный доход от выпуска ценных бумаг под осуществление проекта, плата за пользование ресурсами, погашение кредитов, отчисления во внебюджетные фонды. На основе расходов и дохода бюджета вычисляются срок окупаемости бюджетных затрат, внутренняя норма бюджетной эффективности, степень участия государства в реализации проекта.
Экономическая эффективность проекта рассматривается с позиций всего хозяйства страны, региона. При ее определении в состав результатов проекта включают: конечные производственные результаты, социальные и экологические изменения для участников проекта и затрагиваемых хозяйственных объектов, финансовые результаты, кредиты и займы. Наряду с прямыми результатами проекта необходимо предусмотреть учет косвенных результатов на прилегающей территории, в затрагиваемых сферах хозяйственной деятельности, воздействия на элементы окружающей среды и их перенос на другие территории.
Финансовыми показателями, характеризующими проект, могут быть показатели привлечения заемных средств, деловой активности и прибыльности. Самостоятельность в реализации проекта характеризуется коэффициентом соотношения заемных и собственных средств. Надежность финансирования можно оценить долей долгосрочных займов в их общей величине. Деловая активность проекта характеризуется соотношением результатов и капитала в получаемом объекте. Это может быть соотношение реализации и стоимости активов, себестоимости продукции и стоимости товарных запасов. Прибыльность проекта характеризуется в двух аспектах. С одной стороны, прибыльность имеет место при выполнении проекта, как доход участников. С другой — это прибыль получаемого объекта после завершения проекта. Показателями прибыльности могут быть соотношение валовой прибыли и себестоимости, чистой прибыли и себестоимости, чистой прибыли и вложенного капитала.
Наряду с количественными показателями проекта привлекаются такие оценки, как общественная значимость, влияние на имидж, соответствие целям и возможностям деятельности, экологическая безопасность, конкурентоспособность, социальная стабильность, надежность инвесторов, научно-технический уровень, совершенствование инфраструктуры, комплексность.
В состав документации, обосновывающей эффективность проекта, должны входить: балансовые ведомости, таблицы движения денежных средств, отчет о финансовых результатах, общие капитальные вложения, потребность в оборотных средствах, калькуляция производственных издержек, источники и объемы финансирования, сальдо реальных денег JIO интервалам времени, возврат кредитов, социальные и экологические последствия.
Для расчета показателей инвестиционного проекта на компьютере используется широко известный пакет COMFAR, имеющий международную сертификацию. Он создан в Комитете по промышленному развитию Организации Объединенных Наций. С помощью этого пакета оценка эффективности инвестиционного проекта выполняется на основе имитации потока доходов и расходов в период разработки и реализации. Пакет состоит из трех блоков: ввод данных, расчет, вывод результатов. Пакет позволяет составить хронологический график проекта.
Для качественного анализа проектов применяется пакет PROJECT EXPERT. Он позволяет по формализованным процедурам провести качественный анализ и оценить риски. При качественном анализе проект оценивается по 40 признакам: реальности концепции, надежности, долговечности, привлекательности, общественной значимости, соответствии стандартам, зависимости продукта, подготовленности пользователя, рыночному потенциалу, развитию продукта, готовности рынка, основным потребителям, цене, конкуренции, текущему спросу, распределению, стабильности спроса, рекламе, продвижению товара, сбыту, времени жизни на рынке, исследованиям и разработкам, серийности производства, подготовке производства, оборудованию, сырью, материалам, производственной кооперации, сервисному обслуживанию, патентной защите, производственному персоналу, экологии, соответствию законодательству, безопасности, инвестициям, прибыльности, окупаемости. Экспертные оценки выставляются по пятибалльной шкале с возможностью привлечения нескольких экспертов. Анализ рисков am
выполняется по 11 признакам: исследования и разработки, приобретение и аренда земли, строительство, приобретение и монтаж оборудования, изготовление оснастки, производство, рынок, продукт, система распределения, реклама, сервис. Параметрами оценки риска являются реальность идеи, наличие специалистов, качество управления, финансирование, безопасность, экологичность, взаимодействие с властями, чувствительность к законодательству, готовность среды, приспосабливаемость к среде.
10.2. Системы экспресс-оценки проектов
Прибыль—это награда зауникальный вклад взначимой области.
Питер Ф. Друкер
Компьютерная система оценки коммерциализуемости проектов «Тройка»- относится к системам анализа научно-технических идей на этапе предварительного рассмотрения заявок на проект (паспорт проекта).
В основе системы лежит методика оценки экономической эффективности финансирования проектов, имеющих своей целью коммерциализацию результатов НИОКР (сертифицирована № РОСС .УН02.М00007), и рекомендована Минпромнауки России к использованию при проведении входной экспертизы инновационных проектов.
Программный продукт «Альт-Инвест-Прим» и «Альт-Инвест» (разработчик ИКФ «АЛЬТ» — ) дает пользователю возможность выполнить предварительную оценку коммерческой состоятельности проекта, используя минимум исходной информации.
Результатами работы с помощью «Альт-Инвест-Прим» являются:
• получение базовых форм финансовой оценки проекта;
• расчет коэффициентов, характеризующих финансовую состоятельность проекта;
• определение величины чистой текущей стоимости проекта, внутренней нормы прибыли, срока окупаемости и других показателей эффективности инвестиций;
• анализ чувствительности проекта к изменению основных параметров;
• моделирование поведения проекта при использовании любой схемы финансирования.
10.3. Системы комплексной оценки проектов1
Программный продукт «Project Expert» (разработчик «Про-Инвест Консалтинг» — ) предназначен для проведения комплексной оценки инвестиционных проектов и позволяет осуществлять расчет всего набора показателей эффективности и состоятельности, необходимых для подготовки бизнес-плана инвестиционного проекта.
В основе программных продуктов лежит методика оценки инвестиционных проектов, разработанная Организацией Объединенных Наций по промышленному развитию (UNIDO), а также отечественные «Методические рекомендации по оценке эффективности инвестиционных проектов и их отбору для финансирования», утвержденные Госстроем, Минэкономики, Минфином РФ в 2000 г.
Программные продукты позволяют:
• оформлять формировать бюджет инвестиционного проекта с учетом изменений внешний среды (инфляции, ставки рефинансирования ЦБ РФ);
• оценивать финансовую состоятельность проекта (рассчитывать показатели рентабельности, оборачиваемости и ликвидности);
• оценивать экономическую эффективность инвестиций;
• формировать основные формы финансовой отчетности (отчет о движении денежных средств, отчет о прибыли, балансовый отчет);
• получать результаты расчетов в табличном и графическом виде;
• получать результаты расчетов на русском и английском языках;
• программные продукты предусматривают проведение анализа чувствительности проекта к изменению основных его параметров.
В табл. 10.1 приведен сравнительный анализ двух программ.
Таблица 10.1
Основные отличия программных продуктов |
|
|
|
«АЛЬТ-Инвест» |
«Project Expert» |
|
Доступность алгоритма расчетов для просмотра и изменений |
|
Открытый программный продукт Алгоритм расчета доступен для просмотра; при необходимости возможна его корректировка |
Закрытый программный продукт. Расчетные формулы и принцип задания исходных данных не могут быть изменены пользователем |
|
www.alt.rcom.га сайт фирмы «АЛЬТ». |
|
Окончание табл. 10.1 |
|
|
«АЛЪТ-Инвест»
Защита расчетных формул от изменения может быть установлена/снята по желанию пользователя программного продукта |
«Project Expert» |
Работа с Альт-Инвест» не требует дополнительного ввода пароля
Количество инсталляций (установок) |
Работа возможна только при наличии у пользователя специального пароля — ключа |
Количество инсталляций программного продукта в пределах организации-
пользователя не ограничено |
Осуществляется только одна инсталляция программного продукта на персональный компьютер
пользователя |
|
Организация интерфейса пользователя |
|
|
В программном продукте реализована интегрированная система документации. Принцип интегрированной системы документации предполагает, что при изменении исходных данных проекта
возможно оперативно отслеживать
влияние этого изменения на показатели эффективности и финансовой состоятельности инвестиционного проекта |
«Project Expert» реализован как система последовательных окон. Указанные окна предназначены для ввода исходных данных по проекту либо для отображения итоговых показателей проекта |
|
Специфические возможности программ |
|
|
|
Предусмотрена возможность оценки бюджетной эффективности проекта с точки зрения федеральных и муни- |
Предусмотрена возможность построения сетевого графика
GANTT с описанием этапов |
ципальных органов управления
Предусмотрена возможность учета и оптимизации лизинговых операций |
инвестиционного проекта |
|
Существует версия, позволяющая объединить несколько проектов в группу и оценки интегрированных показателей по группе проектов в целом |
Существует возможность объединения нескольких проектов в группу и просмотра интегрированных показателей эффективности для группы в целом |
|
Необходимость дополнительного программного обеспечения |
|
|
|
Реализован в среде электронных таблиц Microsoft Excel. Для работы с программой требуется наличие соответствующего программного обеспечения |
Работа с программным продуктом не требует дополнительного программного обеспечения, кроме оболочки Windows |
319
Программа COMFAR-EXPERT (Computer Model for Feasibility Analysis and Reporting) разработана в Организации Объединенных Наций но промышленному развитию (UNIDO — ).
Программа использует интересную систему отображения модулей с исходными данными. Это дерево, которое можно раскрывать или сворачивать, показывая только необходимые модули. Диалоги с исходными данными отображаются как узлы этого дерева с белым квадратиком, после заполнения диалога квадратик становится красным. По мере заполнения данных становятся доступны новые ветви дерева. COMFAR — великолепный аналитический инструмент. Его можно рекомендовать для изучения финансового анализа и подготовки проектов, представляемых иностранным инвесторам и не слишком зависящих от налогов.
Программа является своего рода универсальным инструментом для описания и расчета всех основных этапов инвестиционного проектирования.
Инвестиционная деятельность может быть подробно описана благодаря наличию нескольких самостоятельных разделов (например, приобретение земли, строительные работы, производственные машины и ряд других). Программа позволяет использовать несколько способов начисления амортизации.
Описание операционной деятельности состоит из очень подробного описания издержек производства, которые могут быть отнесены на номинальную мощность производства или единицу продукции. Программа продаж рассчитывается по каждому виду продукцию. Причем издержки производства можно рассчитать как для каждого вида продукции, так и в целом по предприятию. Однако часто встречающиеся в практике сложные схемы формирования запасов материальных ресурсов и схем их оплаты, нестандартные схемы продаж произведенной продукции и ряд других ситуаций не могут быть адекватно описаны с учетом принятых в программе допущений. В условиях сложной российской экономики эти отрицательные моменты сильно затрудняют использование этой программы, особенно для текущего планирования.
Финансовая деятельность включает в себя описание акционерного и венчурного капитала, долгосрочных и краткосрочных ссуд, распределение прибыли. Следует отметить, что гибкость описания графика получения и возврата заемных средств значительно уступает отечественным программам.
Экономическое окружение включает описание валют проекта и налогового окружения. Последнее является самым уязвимым местом про-32Q.
граммы для ее использования, так как в отличие от отечественных программ она не позволяет использовать для расчета различные виды налогов, определять для них налогооблагаемую базу и относить на различные виды затрат в соответствии с росси неким законодательством.
Аналитические возможности программы достаточно широки и представлены специальным разделом программы, который включает анализ инвестиционных и операционньгх издержек, финансовой деятельности. Традиционно рассчитываются три основные итоговые формы — планируемый денежный поток, отчет о чистой прибыли и прогнозный баланс. Каждый вид анализа представлен таблицей и набором графиков.
10.4. Система прогноза развития научно-технической и инновационной деятельности
Система информационного обеспечения анализа и прогноза развития научно-технической и инновационной деятельности разработана Центром методологии оценки стоимости имущества и инвестиционного анализа («Прайсмаш»). Данная система предназначается для научно-методического и информационно-аналитического обеспечения формирования государственного инновационного заказа, а также преобразования результатов завершенных НИОКР и технологических работ в инновационную продукцию.
Ядром системы является база данных «НИОКР и инновации». База содержит подробную информацию о новейших отечественных инновационных и технологических проектах, а также проектах НИОКР. По каждому из представленных в базе данных «НИОКР и инновации» научно-исследовательскому, опытно-конструкторскому, технологическому или инновационному проекту имеется:
• краткое описание сущности проекта и области возможного применения;
• состояние его завершенности (НИР, ОКР, КТД, опытный образец и т. д.);
• указание степени новизны продукции (принципиально новая продукция, продукция, более качественная по сравнению с существующей, модифицированная продукция);
• наличие у предлагаемой к производству продукции технико-экономических преимуществ перед выбранным аналогом по основным функциональным, эксплутационным и экологическим характеристикам и/или по цене;
.321
• возможность оформления завершенной НИОКР как интеллектуальной собственности в виде патента на изобретение, на промышленный образец или свидетельства на полезную модель;
• наличие спроса на предлагаемую к производству продукцию на отечественном и зарубежном рынках;
• возможность использования для производства продукции отечественной производственно-технической базы, сырья и комплектующих;
• потребность в инвестициях;
• технико-экономические характеристики проекта;
• производственные и экономические характеристики ожидаемых результатов;
• экологические аспекты реализации проекта и т. д.
Эти параметры позволяют оценить инвестиционную привлекательность соответствующих проектов, дают возможность выбора для приоритетного финансирования наиболее эффективных и перспективных из них. Анализ информации помогает выявить взаимосвязь различных НИОКР и инноваций, позволяющую сформировать предложения о комплексном финансировании этих проектов в рамках соответствующих пакетов и программ.
21-180
МЕЖДУНАРОДНЫЙ ОПЫТ РАЗРАБОТКИ КОМПЛЕКСНЫХ ПРОГРАММ
Исследование и образование почти неотделимы друг от друга и чаще всего страдают от взаимной разобщенности. Исследование питает образование, а преподавание необходимо для того, чтобы факел науки переходил от предыдущего поколения к последующему.
Луи де Бройль
11.1. Цели и задачи комплексных научно-технических программ
Обучение на опыте других — самый простой способ подготовиться к будущему.
Комплексная научно-техническая программа является формой организации исследований и разработок, нацеленных на единый результат и проводимых организациями высшей школы, Академии наук и промышленности по приоритетным научно-техническим направлениям. Программа обеспечивает разработку, выпуск и применение наукоемкой продукции и представляет собой совокупность инновационных научно-технических и образовательных проектов, объединенных общей целью, тематикой, сроками выполнения и механизмом финансирования.
Формируется и поддерживается комплексная программа целеориентированной последовательностью действий организующей системы и участников.
Специфическими чертами программы являются:
• нерегулярность осуществления;
• однократность и комплексность проектов в программе;
• лимитирование сроков отдельных проектов и программы в целом;
• ограниченность финансовых ресурсов;
• специфичность результатов;
• взаимодействие коллективов персонала различных организаций в рамках временной структуры;
• специфический механизм управления.
Разрабатывается и контролируется комплексная программа обычно в рамках специально создаваемой организации (головная организация, генеральный исполнитель, дирекция или Совет программы).
Инновационный научно-технический проект — это научное исследование или разработка, направленные на решение конкретной научно-технической задачи, в результате выполнения которой создается наукоемкая продукция, реализуемая как товар на внутреннем и внешнем рынках. Проект может выполняться в составе программы или самостоятельно.
Самостоятельный проект — это направленное на решение крупной научно-технической задачи научное исследование или разработка, которые могут быть включены в существующие программы. В результате выполнения такого проекта создается наукоемкая продукция, реализуемая как на внутреннем, так и на внешнем рынке.
Однофункциональныепроекты выполняются независимо от других работ и затрагивают одну сферу деятельности (например организация и проведение рекламной кампании, проведение образовательной программы для группы менеджеров и т. п.).
Многофункциональные проекты затрагивают несколько различных областей деятельности, вовлекают специалистов различных профессий (например разработка и организация производства нового продукта).
Исходя из содержания проекты подразделяются на стратегические и оперативные.
Стратегические проекты направлены на реализацию мероприятий, связанных с изменением потенциала организации, корректировкой его целей, переходом в новый сектор деятельности. На стратегическом уровне решаются задачи прогнозирования на перспективу, устанавливаются тенденции изменения финансового, материального и трудового обеспечения. На тактическом уровне задачи конкретизируются на период 1-5 лет.
Оперативные проекты имеют краткосрочный срок реализации и не сопровождаются принципиальными изменениями в деятельности организации.
Группа проектов соединяется в пакет проектов (направление программы), которые представляют собой группу относительно независимых к остальной части программы работ, но имеющих тесную внутреннюю связь. Проекты пакета ориентированы на единые цели, дополняют или обеспечивают друг друга.
Цель программы (самостоятельного проекта) — это использование в условиях рыночной экономики научного потенциала высшей школы и учреждении Академии наук для выполнения фундаментальных, поисковых и прикладных исследований и опытно-конструкторских разработок, направленных на совершенствование и расширение номенклатуры конкурентоспособной наукоемкой продукции.
Задачи программы (самостоятельного проекта):
• подготовка к производству, выпуск и реализация конкурентоспособной наукоемкой продукции;
• развитие научных коллективов, способных вести работы на всех стадиях инновационного цикла — от фундаментальных, поисковых исследований до организации выпуска и тиражирования конкурентоспособной наукоемкой продукции;
• укрепление экономической самостоятельности участников;
• развитие материально-технической базы участников;
• создание дополнительных рабочих мест;
• повышение качества подготовки специалистов;
• подготовка кадров под конкретные новейшие научные результаты;
• создание инфраструктуры поддержки инновационной деятельности вузов, в том числе создание производственных структур; содействие повышению качества учебного процесса вузов.
Планирование проекта — систематическая деятельность по подготовке и принятию скоординированных решений относительно целей, сроков и выделяемых ресурсов.
Планирование программы — это не простое сложение отдельных проектов. Это специальная процедура увязки отдельных проектов, согласования общих и частных целей, распределение сроков и последовательности исполнения проектов, выделение ресурсов по интервалам времени и исполнителям. Одна из процедур планирования программы заключается в «разложении во времени» конечных целей на этапы их последовательного достижения за счет реализации отдельных проектов. Таким образом, получают временную структуру формирования результата программы.
Проектный менеджмент — соединение планирования, контроля и регулирования проекта. Проектный менеджмент включает составление перечня работ и их комплексов, расчет итоговых сроков выполнения, планирование целей, сроков, затрат, доходов и при необходимости оценочных показателей по этапам работ и проекту в целом.
Проектный менеджмент комплексной программы опирается на несколько уровней управления. В его основе лежит линейная структура генеральных исполнителей. Генеральный исполнитель принимает на себя всю ответственность за реализацию проекта и достижение его результатов. На своем уровне генеральный исполнитель взаимодействует с другими генеральными исполнителями, руководит смежными исполнителями и генеральными исполнителями более низкого уровня, подчиняется генеральному исполнителю более высокого уровня. Для наиболее ответственных программ формируется совет по управлению программой.
11.2. Синергетический эффект в комплексных программах
Секрет большого успеха заключается в том, чтобы больше учиться и за счет этого знать и уметь больше, чем требуется.
В целях разработки системы управления процессом интеграции образования и науки следует уточнить понятие «интеграция». Данный термин как понятие теории систем означает состояние связанности отдельных дифференцированных частей в целое. Интеграция науки, промышленности и образования обозначает их органическое соединение с вытекающими отсюда новыми качествами. Фактически интеграция — это не простое сложение, а создание некого механизма взаимодействия с целью достижения более высоких конечных результатов.
По определению физика Ю. Л. Климентовича; «Синергетика — не самостоятельная научная дисциплина, но новое междисциплинарное научное направление; цель синергетики — выявление общих идей, общих методов и общих закономерностей в самых разных областях естествознания, а также социологии и даже лингвистики; более того, в рамках синергетики происходит кооперирование различных специальных дисциплин». По мысли Германа Хакена, автора этого термина, синергетика означает «совместное действие». Вводя термин, Ха-кен хотел подчеркнуть роль кооперативных процессов при образовании структур, изучаемых синергетикой. Упомянутые структуры являются открытыми, поскольку могут обмениваться с окружающей средой энергией, веществом и информацией.
Важным в синергетике является новый принцип формирования целого из частей, новый способ построения сложной структуры из более простых. Целое не равно сумме частей, из которых оно составлено. Целое никоим образом не больше и не меньше его составляющих — оно качественно другое по сравнению с составившими его элементами. Более того, целое влияет на элементы и изменяет их. Имеет место взаимодействие элементарных структур и объединенной структуры, идет трансформация всех составляющих путем их согласования, возникает корреляция между элементами. Это хорошо отражают слова Тейяра де Шардена: «Создавать — значит объединятъ». В синергетике это представление обретает форму принципа «единство через разнообразие». В сложной структуре объединяются структуры разных возрастов, разных стадий развития.
Как объединить такие структуры в одну? Синергетика отвечает следующим образом: нужно установить общий темп их эволюции, топологически правильно объединив их в соответствии с собственными тенденциями организации сложной структуры. При объединении имеет место взаимодействие и трансформация структур, в процессе чего некоторые части отпадают, становятся ненужными. Объединение должно в этом случае приводить к экономии материальных и человеческих ресурсов, затрат и усилий уже на начальной стадии образования новой сложной структуры. За счет объединения сложная структура ускоряет процесс развития по сравнению с простыми структурами и начинает развиваться быстрее.
Следует отметить, что «не любые структуры можно объединять, и нельзя это осуществлять произвольным образом*-. Например, практически нельзя объединять структуры, находящиеся на слишком ранних стадиях развития.
Как правильно управлять сложной структурой с точки зрения синергетики? Главное — нельзя навязывать сложной системе какую-либо форму организации, чуждую ей, неподходящую для нее. Такой способ управления делает все усилия людей, работающих в структуре, бесполезными, тщетными, а иногда и разрушительными, приводящими к катастрофам. Нельзя не учитывать обратного воздействия сложных структур на управляющий орган. Нужно знать принципы самоорганизации сложной системы и следовать им в управлении.
Когда создана новая интегрированная нелинейная система, то по законам синергетики она имеет множество путей развития, т. е. путь ее развития не единствен, не определен, как и пути развития элементарных структур, ее составляющих. Путей развития много, но их число не бесконечно. Иными словами, реализуемы в данной нелинейной системе не обязательно те пути развития, которые выбрал субъект управления. В данном случае знание неких «эволюционных принципов запрета» весьма ценно при выборе способа управления. Здесь главный управленческий принцип совпадает с врачебным принципом: «Не навреди!»
Когда становится понятным весь спектр принципов самоорганизации элементов, можно строить будущую модель организации интегрированной структуры. У каждой элементарной структуры есть собственная цель. Действуя от знания индивидуальных целей, субъект управления получает возможность правильно «подталкивать» элементарную структуру на путь самоорганизации, желательный для всей сложной системы.
Таким образом, синергетический подход к управлению состоит «в ориентации на собственные законы эволюции и самоорганизации сложной системы», а не на проекты внешней деятельности. При этом важна не сила управляющего воздействия, а умение воздействовать на сложную систему в нужное время и в нужном месте, т. е. согласованность воздействия с собственными стремлениями системы (можно говорить о резонансном самоуправлении).
Еще один важный синергетический принцип развития сложных систем — «принцип необходимого разнообразия»: для устойчивого и динамичного развития любой сложной системы необходимо поддерживать разнообразие ее элементарных структур. К сожалению, ответить на вопрос: «Как быстро выйти на разумные формы сложной структуры с желаемыми законами самоорганизации?» сегодня нельзя. Нужны не только теоретические построения, но и эксперимент.
Мы живем не только в нелинейном мире, но и в мире, полном неустойчивости, когда малое возмущение может разрастаться в макроструктуры (есть условия для нелинейной связи). Применительно к обществу это означает, что в моменты неустойчивости каждый отдельный человек может влиять на макросоциальные процессы и структуры. Таким образом, каждый отдельный человек должен осознать огромную ответственность за судьбу всей системы.
Синергетическая закономерность такова: создавая топологически правильную организацию из более простых структур, мы выходим на новый, более высокий уровень иерархических организаций, т. е. делаем шаг в направлении к сверхорганизации, и ускоряем тем самым свое собственное развитие. Целое развивается быстрее составляющих его частей. Практика показывает, что выгоднее развиваться вместе.
Синергетический эффект в рамках программы проявляется через:
• передачу ноу-хау (участники программы, взаимодействуя в рамках конкретных работ, соединяют свои новейшие разработки);
• совместное использование ресурсов (это ведет к экономии затрат, исключает дублирование);
• создание преимущества при согласованности сроков отдельных проектов;
• создание преимуществ за счет выигрыша времени через разделение работ;
• выигрыш в качестве за счет разделения работ согласно наилучшим успехам участников;
• выигрыш за счет наилучших условий привлечения заемного капитала из-за высокого авторитета участников программы;
• рост доверия потребителейконечного результата;
• выигрыш в меньшей сумме затрат за счет масштаба внедрения конечных результатов.
Управление процессом интеграции науки и образования по сути объединяет две системы управления: систему управления наукой и систему управления образованием. Каждая из них в отдельности методически и практически отработана и реально существует. Однако в условиях интеграции они соединяются в единое целое и действуют как единый субъект управления. Для него необходимы механизмы управления с учетом всего многообразия факторов, влияющих на результат, методы и модели целенаправленного воздействия на коллективы интегрированных комплексов.
Интеграция науки и производства позволяет соединить в едином цикле исследования и практическую реализацию, выполняемые как единое действие с определенной последовательностью и содержанием этапов.
Работающие в рамках интегрированного комплекса должны фактически обеспечить разработку результата научных исследований, сопровождающегося параллельной подготовкой квалифицированных кадров, сервисными разработками. Это должно обеспечить сокращение сроков доведения результата до практического внедрения и повышение экономических результатов научной разработки. В рамках программы удается
329
фокусировать ресурсы и усилия на ключевых факторах, определяющих получение конечного эффекта.
Взаимосвязь проектов может быть отображена в графическом виде (сетевая схема программы), через матрицы коэффициентов связи (экспертные, корреляционные, экономические коэффициенты). Взаимосвязь проектов внутри программы накладывает определенные ограничения на сроки их исполнения и последовательность реализации.
Интеграционный проект является совокупностью блоков, каждый из которых может состоять из задач. Связи между задачами и блоками могут задаваться различными функциональными зависимостями или графами логической связи.
11.3. Опыт США
Догмы спокойного прошлого не будут работать в бурном будущем. Раз мы взялись за новое дело, мы должны иначе думать и действовать.
Авраам Линкольн
Американское государство рассматривало заботу о развитии науки, литературы и искусства как одну из своих функций буквально с первых дней обретения независимости. При обсуждении проекта конституции высказывалось немало предложений о создании национальных университетов, семинаров, научных обществ, системы наград, субсидий и т. д. Правда, в саму конституцию 1787 г. вошло лишь одно прямое упоминание о науке: «Конгресс облекается властью... содействовать прогрессу науки и полезных искусств путем закрепления за авторами и изобретателями на ограниченный срок исключительного права на их произведения и изобретения» (статья 1, раздел 8). Но многие из упоминавшихся идей были реализованы помимо конституции.
В 1780 г. по инициативе Дж. Адамса была образована Американская академия искусств и науки, в 1846 П был основан Смитсоновский институт для финансирования фундаментальных исследований, в 1863 г. — Национальная академия наук. Знаменательным событием было принятие конгрессом закона Моррила в 1865 г., согласно которому штаты получали из государственных фондов земельные площади, доходы от которых должны были направляться на финансовую поддержку колледжей и университетов. Высшее образование стало базой будущего стремитель-22—130 ного прогресса. В конце ХІХ^начале XX в. ежегодно увеличивалось число университетов (563 вуза было в 1870 г., 1409 — в 1930 г., 2525 — в 1970 г.). Институционализация американской науки на базе университетов соединила интересы правительства, штатов, бизнеса, ученых. На ранних стадиях развития американская наука не создала большого числа научных результатов мирового уровня. В период 1972-1929 гг. ежегодно появлялось около 10 крупных нововведений, но в последующий период их число удвоилось, и в сумме за последние 150 лет на долю американских исследователей приходится более 50% всех инноваций.
Высокие темпы освоения нововведений в XX в. стали основой экономического роста страны, повышения производительности труда, создания высокого уровня качества жизни.
За 80-е гг. XX в. в составе администрации 11 штатов появились специальные агентства по науке и технике. До этого (с 1963 г.) они существовали только в Нью-Йорке и Северной Каролине. На 1990 г. под разными названиями такие агентства действовали в 13 штатах либо как самостоятельные организации, либо в составе крупных департаментов (чаще всего в департаменте торговли). Годовые бюджеты этих учреждений на 1987 г. в зависимости от возможностей штата варьировались в пределах от примерно 31,5 млн (Северная Каролина) до $36,5 млн (Пенсильвания)
Руководство штатов проводит активную работу по содействию кооперации университетов и промышленных фирм в создании и внедрении технических нововведений. Академический сектор США объявлен основой при формировании и реализации программ экономического роста регионов и страны в целом.
Конец XX в. отмечен резким повышением научно-технического уровня промышленности. На долю промышленности приходилось около 70% совокупного ежегодного объема инвестиций в НИОКР. Среднегодовые темпы прироста промышленных НИОКР в 90-х гг. составили около 6%. Занятость в промышленности научных кадров превысила 70% их численности в стране. Из общего числа инженеров, имеющих докторские степени, 60% работали на предприятиях и только 30% — в вузах.
В составе государственного сектора в США можно выделить две категории научно-исследовательских учреждений. К первой относятся государственные лаборатории и исследовательские центры, входящие в состав правительственных ведомств, т. е. финансируемые этими ведомствами и находящиеся под их административным управлением. Ко второй — так называемые исследовательские центры, финансируемые федеральным правительством. Структура вложения средств в на-учныс исследования наглядно иллюстрирует приоритет государства. На первом месте (65%) идут военные исследования, на втором, с очень большим отрывом (12%) — здравоохранение и медицина, на третьем (19%) — космос. Далее следуют «общие науки» (4%), энергетика (3%) и прочие (7%). Если же брать только расходы на фундаментальную науку, то на первом месте, тоже с большим отрывом, оказываются медицина и здравоохранение (43%), на втором — «общие науки» (23%), на третьем — космос (11%), затем военные исследования (8%), энергетика (6%), сельское хозяйство (4%) и прочие (5%).
В научно-развитых государствах исследовательская система складывается из трех секторов: высшей школы, государственных и независимых бесприбыльных организаций и лабораторий частнопромышленного сектора. В США доминирует университетский сектор. В ФРГ и Франции секторы находятся в состоянии функционального равновесия. В странах Центральной и Восточной Европы преобладает внеуниверситет-ский сектор.
Исторически процесс распределения функций между секторами шел в США иначе, чем в Европе. Если в Европе по мере появления новых потребностей в науке создавались новые специализированные вне-университетские организации, то в США соответствующие функции возлагались на престижные или молодые университеты. Таким образом, значительная часть университетов превратилась в сильные научно-учебные комплексы.
Около 50% фундаментальных исследований в США выполняются силами университетской науки, где сконцентрирована треть всех ученых и инженеров страны, имеющих докторскую степень и занятых в сфере исследовательских работ.
• Во внеуниверситетском секторе можно выделить три категории:
• независимые НИИ, ведущие прикладные исследования;
• федерально -финансируемые исследовательские центры, находящиеся под управлением независимых институтов, промышленности или университетов;
• государственные лаборатории, находящиеся под контролем «своих» ведомств. Как правило, лаборатории выполняют долговременные, рискованные, дорогостоящие проекты, непосредственно связанные с государственными приоритетами и требующие наличия уникальных экспериментальных установок.
Национальная академия наук и Национальная академия инженерных наук существуют в США только как почетные научные сообще-22 ства. Национальный научный фонд — это специализированное ведомство, курирующее фундаментальную науку, распределяет гранды между исполнителями ФИ, но по закону фонд не может иметь собственных исследовательских институтов.
Отношения между исследовательскими организациями устанавливаются в результате действия контрактного механизма. Это относится и к университетам.
Доля институционального финансирования в исследовательском бюджете американских университетов по сравнению с европейскими очень мала. Абсолютно большую часть средств университеты получают на контрактной основе. Федеральные ведомства, официально выступающие как контрагенты университетов, также реализуют значительную часть своих исследовательских бюджетов посредством контрактов с внешними исполнителями.
Удельный вес внешних исполнителей при реализации исследовательского бюджета ведомств разный. Уже в первые годы становления системы были заложены определенные пропорции источников финансирования. Например, в 1977 г. федеральное министерство обороны израсходовало на фундаментальные исследования в целом $274,67 млн, из них в университетах — $ 112,25 млн и в управляемых университетами ФФИЦ — еще $0,57 млн (всего 41%). В том же году федеральное министерство здравоохранения, образования и социального обеспечения затратило на ФИ всего $747,11 млн, из них в университетах — $495,57 млн и в управляемых ими ФФИЦ — $1,68 млн (всего 67%). Эти пропорции сохраняются и поддерживаются в 90-х гг.
В результате масштабного применения контрактной системы отношения между исследовательскими организациями двух секторов складываются не столько в результате раздела сфер влияния между отдельными ведомствами, сколько в соответствии с объективно существующей функциональной специализацией. Традиционно персонал федеральных лабораторий и университетов поддерживает тесные контакты: сотрудники лабораторий преподают в университетах, преподаватели и студенты университетов пользуются оборудованием лабораторий.
Объем инициативных (без заказа) исследований в частнопромышленном секторе невелик, но в США он больше, чем в европейских государствах. Некоторые фирмы располагают научно-исследовательским потенциалом независимого НИИ и могут сотрудничать с университетами в роли «сопроизводителя» знаний.
В США насчитывается более 10 тыс. исследовательских центров разного типа, большинство из которых функционирует на базе университетов.
Промышленно-университетские кооперативные исследовательские центры (КИЦ) объединяют ресурсы промышленности и университетов. Промышленность материально поддерживает университетские исследования и использует их результаты. ННФ обеспечивает для таких центров начальный капитал и общую координацию работ. В работе центра, как правило, участвуют несколько промышленных фирм. Исследования проводятся в областях и направлениях, представляющих интерес для актуального направления промышленности. По истечении пяти лет финансовая помощь со стороны ННФ прекращается и центр переходит на самофинансирование.
Центр создается при университете и подчиняется его администрации. Директор центра назначается из числа профессорско-преподавательского состава университета и выполняет эту работу как часть своей обшей профессорской нагрузки. На тех же основаниях (без дополнительной оплаты) участвуют и другие профессора с разных факультетов, руководящие отдельными темами и проектами. Штатными сотрудниками, зарплата которых оплачивается из бюджета центра, являются три-пять административных работников, выполняющих секретарские функции, и инженеры-исследователи, число которых определяется масштабами проводимых исследований. К работе привлекаются аспиранты и студенты старших курсов.
При центре создаются два консультативно-контрольных органа — Совет из числа профессоров и администраторов университета и Совет представителей фирм-участниц. На совместных или раздельных заседаниях этих советов рассматривается общая программа исследований, отбираются конкретные проекты и оцениваются результаты.
Кроме того, в качестве контрольного органа выступает ННФ. По его поручению в конце каждого года проводится проверка деятельности центра и составляется краткий отчет о ее результатах. В отчете отмечаются ход выполнения отдельных проектов, появление новых, дается оценка проведенным исследованиям. Отчет передается в ННФ по электронной почте, а затем поступает в специальный банк данных.
Финансовые ресурсы центра складываются из нескольких источников. Первым их них является ННФ, который предоставляет университету-инициатору небольшую дотацию на подготовительную работу, продолжающуюся один год. За это время университет (в лице потенциального директора центра) готовит проект программы ИР и ведет переговоры с промышленными фирмами. Если эту задачу удается решить, то НПФ регистрирует центр и на протяжении пяти последующих лет выплачивает ему определенную сумму денег (несколько сотен тысяч долларов).
Вторым по объему финансирования источником являются ежегодные взносы фирм-партнеров. Размер взносов зависит от масштаба фирмы, например от объема сбыта той продукции, с производством которой связаны проводимые центром ИР, или от числа работающих в фирме. Если область исследований не связана с конкретными изделиями, а имеет общий характер (организация труда, менеджмент и т. п.), то все фирмы-участницы платят одинаковый взнос.
Материальная поддержка центра промышленными партнерами не ограничивается уплатой взносов. Они предоставляют центру свои исследовательские мощности, снабжают оборудованием.
Фирма, участвующая в работе центра, подписывает с университетом официальное соглашение, срок действия которого — один год. Если она не удовлетворена результатами сотрудничества, то фирма выходит из состава участников.
Третьим источником средств является сам университет, который может финансировать отдельные проекты из своего бюджета, а четвертым — правительство штата. Центр может стать участником одной или нескольких программ, направленных на модернизацию и интенсификацию региональной экономики, и получить средства по этим каналам.
Обязанности со стороны промышленных партнеров сводятся по существу к финансовой поддержке. Никаких обязательств касательно внедрения получаемых результатов не предусматривается. Со стороны университетов — это высокий уровень исследований.
Все участники центра получают полный доступ к информации о результатах исследовательских работ, выполненных за счет их взносов. Если в ходе исследований появляется возможность получить патент, то его собственником становится университет. Промышленные партнеры имеют преимущественное право на закупку лицензии и пользуются при этом режимом наибольшего благоприятствования. Кроме того, все партнеры имеют право через консультационный совет или путем неформальных личных контактов влиять на выбор тематики.
В существующих ныне 45 КИ Ц работают примерно 500 профессоров университетов, 70 преподавателей, 600 аспирантов и 80 студентов. Со стороны промышленности в деятельности КИЦ участвуют 250 фирм, причем многие являются членами нескольких центров.
Программа Центры инженерных исследований (ЦИИ) была развернута в 1984 г. В 1985 г. уже функционировало 6 ЦИИ, в 1986 г. их стало П, а затем темп роста стабилизировался и оставался на уровне 3-4 центров
в год.
Центры создаются на базе университетов под патронажем ННФ. Функции ЦИИ: объединенными усилиями инженеров разных специальностей из вузовского и промышленного секторов создавать фундамент для развития высоких технологий и способствовать повышению качества профессиональной подготовки инженеров.
ННФ обеспечивает поддержку, если решение проблемы, за которую берется ЦИИ, обещает привести к существенному прорыву в соответствующей области науки и техники; по ходу проекта требуется осуществить значительный объем фундаментальных исследований; в реализацию результатов проекта должны быть вовлечены несколько технологических направлений.
Хотя ЦИИ создаются в интересах промышленности, они концентрируют внимание не на прикладных, а на фундаментальных аспектах изучаемой проблемы и занимаются не столько конструированием отдельных технических образцов, сколько разработкой новых концептуальных основ техники.
Принципиальной разницы между ЦИИ и КИЦ нет, но есть ряд моментов, на которых следует остановиться. Прежде всего сфера деятельности ЦИИ значительно уже, чем у КИЦ, она ограничена областью инжиниринга, т. е. охватывает ИР, результаты которых могут использоваться в обрабатывающей промышленности, строительстве, биотехнологии. Основной упор делается на проблемах, связанных с использованием вычислительной техники, комплексной автоматизации производственных процессов.
Второе отличие — более выгодный, чем в КИЦ, порядок финансирования центров со стороны ННФ. Субсидии больше по объему ($1,5-3 млн в год), и срок их предоставления не так жестко ограничен. Первоначально дотация устанавливается на пять лет. Однако через три года центр может обратиться с просьбой о продлении срока, и если результаты деятельности ции оцениваются позитивно, ННФ продлевает дотации, отсчитывая следующую «пятилетку» с этого момента. Процедуру продления можно повторить через три года.
Третье отличие — для участия в конкурсе университет, претендующий на создание ЦИИ, должен представить ННФ не договоры с промышленными фирмами об их финансовом участии, а лишь письма, подтверждающие актуальность намеченной тематики для промышленности.
Расширение финансовой помощи правительства сопровождается на этапе конкурса претендентов ужесточением требований к значимости ИР и усилением контроля со стороны НПФ за ходом их выполнения.
В документе «Объявленне программы», который ежегодно рассылается ННФ потенциальным участникам конкурса, сформулированы семь основных критериев оценки предложений:
• научная ценность;
• потенциальное воздействие на конкурентоспособность США;
• значение для повышения качества образования;
• участие промышленности и других потенциальных потребителей результатов ИР;
• компетентность руководства и персонала;
• положение центра в университете и штате;
• потенциальное воздействие центра на общий уровень и инфраструктуру инженерных ИР в стране.
Реализация программы создания «Центры науки и технологии» (ЦНТ) начата в 1989 г., но темпы ее развертывания были очень значительными (до 10 новых центров за год).
Задача ЦНТ — форсированное изучение междисциплинарных по своей природе фундаментальных явлений и принципов, которые могут найти широкое технологическое применение.
ЦНТ образуются на базе университетов и ведут исследования прежде всего силами преподавателей, технических сотрудников и студентов. Они рассчитаны на кооперацию с промышленностью, но если проблематика, предложенная ЦНТ, удовлетворяет требованиям междисциплинарности и фундаментальности, то отсутствие у «нарождающегося» центра партнеров из промышленности в течение первых двух лет не рассматривается как непреодолимое препятствие для его поддержки. Предполагается, что результаты исследований позже будут использованы в процессе обучения студентов.
Совместная программа ННФ и Совета по науке и технологии Национальной ассоциации губернаторов штатов по созданию нового типа КИЦ—кооперативныхисследовательских центров штатов, промышленности и университетов объявлена в 1990 г. В 1991 г. было создано 5 «гибридных» центров.
«Гибридный» центр — это промышленный консорциум на базе университета, частично финансируемый за счет взносов участников. Административная структура центра обеспечивает общее руководство со
стороны университета и в то же время обеспечивает прямую и активную роль промышленности в выборе направления и тематики исследований, а также в оценке их эффективности.
Минимальный набор требований к центру предполагает выполнение четырех условий:
1. Наличие «стержневой» исследовательской программы, предусматривающей проведение фундаментальных исследований, потенциально полезных для промышленности. На результаты исследований фирмы — члены центра могут получать лицензии, свободные от лицензионных платежей, но не дающие исключительного права пользования.
2. Наличие «стержневой» программы переноса технологии в промышленность, которая может предусматривать любые шаги, характерные для «доконкурентной» стадии разработки, — экспериментальное доказательство реальности теоретической концепции, создание стендов и прототипов, их испытания и т. д.; организацию внедренческой сети в виде информационно-консультационных пунктов, курсов обучения промышленного персонала.
3. Наличие «нестержневой» программы, по которой будут совершаться конкретные проекты, в которых одна или несколько фирм выступают в качестве спонсоров и получают права собственности на результаты.
4. Привлечение к работе центра малых и средних фирм.
В общем случае предусматривается, что во главе центра должен быть директор из числа профессоров университета. Кроме того, образуются два наблюдательных органа — Университетский комитет по вопросам проводимой центром политики и Консультативный совет из представителей промышленности. Первый должен работать под председательством одного из высших руководителей университета и состоять из руководителей университетских подразделений, сотрудники которых работают в центре. Второй включает в себя по одному полномочному представителю от каждой из фирм, являющихся членами центра. Председателя они избирают из числа своих членов сроком на один год. Совет должен собираться не реже двух раз в год для обсуждения содержания и хода выполнения «стержневой» исследовательской программы. В его заседаниях принимают участие представители ННФ и администрации штата.
ННФ предоставляет свои годовые субсидии в размере $100, 175 и $250 тыс. в зависимости от масштабов и категории центра. Эти деньги можно использовать только на финансирование «стержневой» исследовательской программы. Штат и промышленные фирмы — члены центра должны в совокупности выделить по крайней мере столько же средств, сколько дает ННФ. Из них не менее 70% должны использоваться в рамках «стержневой» исследовательской программы и только 30% — на передачу технологии. «Нестержневые» проекты финансируются сверх этих сумм силами фирм-спонсоров и штата, если тот считает необходимым помогать последним. Но на поддержку таких программ штат может расходовать не более 50% от своих общих взносов в центр. Со стороны ННФ финансирование гарантируется на 4 года, причем если центр хорошо развивается, он может перейти из одной категории в другую, получающую более крупную дотацию. Ежегодно проводится оценка результативности оценщиком из числа профессоров, не участвующим в деятельности центра.
По итогам трех лет работы ННФ и штат будут решать, продлевать ли свою поддержку центра. При положительном решении дотации продолжаются еще на пятьлет, т. е. финансирование может длиться 8 лет. После этого центр должен перейти на самоокупаемость. Если после трех лет наблюдения решено будет не продлевать поддержку, то центр получит еще год для завершения начатых проектов. Дальнейшая его судьба будет в руках его самого и промышленных спонсоров.
Заявки на создание центра сначала рассматриваются на уровне штата, а затем после отсева передаются в ННФ. При их рассмотрении ННФ учитывает помимо своих обычных критериев и такие, как содействие диверсификации региональной экономики, связь с сильными сторонами экономики штата, перспективы внедрения новых разработок в промышленность. При предъявлении заявок требовалось документальное подтверждение финансового участия промышленных фирм, причем их взносы должны были в течение первых трех лет работы центра возрастать не менее чем на 50% от первоначального.
Программа создания Центров передачи технологий (ЦПТ) предусматривает организацию сети региональных (охватывающих несколько штатов) учреждений, задачей которых является помочь малому бизнесу в освоении современных технологий и внедрении новейших типов оборудования в производственные процессы. Ведет эту программу Национальный институт стандартов и технологии (НИСТ).
Процедура ее развертывания практически не отличается от методики, используемой ННФ: объявление программы — сбор заявок — их техническая экспертиза, проводимая одним из комитетов Национального исследовательского совета — посещение сотрудниками НИСТ орга-
П. Международный опыт разработки комплексных программ_339
низаций, заявки которых прошли техническую экспертизу, — отбор «финалистов» — окончательный выбор директором ЫИСТ победителей конкурса.
К участникам конкурса предъявляются следующие требования. Каждый центр должен создаваться на базе какой-либо бесприбыльной организации. Организация-заявитель вносит в бюджет центра в первые три года работы не менее 50% общих расходов, остальное выделяет НИСТ в виде дотаций. На 4-й, 5-й и 6-й год доля основателя увеличивается соответственно до 60, 70 и 80%. Дотации НИСТ пропорционально сокращаются. Общий срок финансовой поддержки со стороны федерального правительства — не более 6 лет. Размеры дотаций, предоставляемых НИСТ, составляют от $1,5-3 млн.
Центр должен заниматься не столько собственными разработками, хотя это и не исключается, сколько передачей готовых технологий, созданных в университетах, в НИСТ или других правительственных исследовательских учреждениях, малым и средним фирмам региона.
Конкретная помощь ЦПТ своим клиентам выражается во внедрении вычислительной техники, контрольно-измерительной аппаратуры, разработке системы технологического контроля качества изделий, использовании систем автоматического проектирования деталей, применении робототехники и другого автоматизированного производственного оборудования.
НИСТ поддерживает постоянный контакт с курируемыми центрами, проводит ежегодную проверку их деятельности.
Программа разработки новых технологий под эгидой министерства торговли реализуется силами отдельных промышленных фирм или их объединений на началах кооперации. Университеты и государственные лаборатории могут принимать участие в этой программе в качестве соисполнителей. Возглавлять каждый конкретный проект должна частная фирма. Речь, таким образом, идет о прямой государственной помощи частному промышленному капиталу в создании технических новшшк.
Победители конкурса могут получить от НИСТ гранд либо заключить с институтом соглашение о кооперации. Отдельная фирма получает гранд в размере не более $2 млн на срок не более 3 лет. Финансируются в первую очередь проекты многоцелевых технологий (за которыми может последовать целое семейство конкретных приложений в различных областях) на тех этапах ИР, когда работы имеют доконкурентный характер (открытие нового явления, выяснение технической возможности и путей реализации и т. п.).
П.4. Опыт Франции
Внести свое в таблицу умножения можно только переврав ее.
Эмиль Кроткий
Исследовательская система Франции сложилась в послевоенные годы, когда новое политическое руководство спешно форсировало развитие национальной науки. Поскольку для французских университетов было характерно, во-первых, преобладание учебной функции над исследовательской, и, во-вторых, косность внутренней структуры и невосприимчивость к новому, было решено в целях экономии времени и сил институционализировать новые направления ИР вне университетского сектора в специально созданных новых структурах. Так сложилась система из двух крупных блоков, развивающихся достаточно самостоятельно и в известной мере конкурирующих за государственные ассигнования.
В рамках университетского сектора ведут исследования университеты и в меньшем объеме — «большие школы».
Внеуниверситетский сектор представлен организациями разного типа. Имеются здесь и десять академий. Пять из них — это объединения заслуженных деятелей науки, культуры, политики. Другие пять занимаются непосредственно исследовательской деятельностью, но выполняют частные, узкоспециализированные функции.
Главным элементом внеуниверситетской исследовательской системы является Национальный центр научных исследований, созданный в 1939 г. Он проводит исследования практически по всему спектру дисциплин и участвует в разработке и реализации государственной научной политики (прогнозирование развития науки, оценка качества исследований, сооружение крупных экспериментальных установок, координация ИРит. д.).
НЦНИ имеет автономный бюджет, достигающий одной трети государственных ассигнований на гражданские ИР без поступлений от регионов, и располагает значительным штатом квалифицированных сотрудников. Именно это ведомство разработало эффективные методы долгосрочного институционального сотрудничества с высшей школой.
Основной организационной единицей НЦНИ является лаборатория. Это сравнительно крупный коллектив, группирующийся вокруг авторитетного исследователя и самостоятельно решающий значимые научные проблемы. Лаборатория имеет фиксированную должностную структуру и довольно сложную систему внутреннего руководства. Кроме лабораторий в составе НЦНИ действуют исследовательские бригады — более мелкие подразделения и исследовательские группы, объединяющие несколько коллективов. Группы и бригады создаются на четырехлетний срок, но после очередной проверки (группы — раз в четыре, бригады — раз в два года) продолжают работу.
Опираясь на эти структуры, НЦНИ на протяжении уже нескольких десятилетий ведет деятельность в трех направлениях: поддержка собственных лабораторий и исследовательских бригад; поддержка ассоциированных лабораторий и исследовательских бригад; поддержка университетских исследований с помощью программ контрактных исследований разного типа (тематических, специальных, кооперативных идр.).
Собственные лаборатории располагаются на территории, принадлежащей Центру, и находятся под руководством его штатных сотрудников.
Ассоциированные лаборатории — это аналог собственных лабораторий по «рабочим» характеристикам, но в отличие от них — это гибридные образования, созданные по соглашению между НЦНИ и другой исследовательской организацией, чаще всего университетом. Они имеют смешанный состав (штатные сотрудники Центра и университета) и финансируются совместно обеими «родительскими» организациями. Ассоциированные лаборатории располагаются на территории университета и находятся под руководством его сотрудников либо ученых «со стороны», но не из НЦНИ. Ассоциированные лаборатории создаются на четырехлетний срок, после чего проходят проверку и, как правило, продолжают деятельность.
Порядок получения статуса ассоциированной лаборатории таков. «Претендент» обращается в НЦНИ с ходатайством. Если эксперты Центра приходят к положительному решению, лаборатория принимается ассоциированным членом НЦНИ, о чем между Центром и базовым университетом заключается договор. НЦНИ предоставляет в распоряжение нового подразделения своих штатных сотрудников и ежегодную субсидию на исследовательские расходы. Базовый университет, в свою очередь, обязуется принять у себя сотрудников Центра, сохранять ассигнование лаборатории на «эквивалентном» уровне и в случае появления изобретений уведомлять о них Национальное агентство по реализации результатов ИР. Субсидии Центра рассматриваются как дополнение к расходам базового вуза (т. е. покрывают только часть издержек по проекту), но удобны тем, что поступают в распоряжение самой лаборатории, президент университета только информируется о факте.
Участвуют в кооперации с университетами и другие государственные исследовательские центры, например Комиссариат по атомной энергии. Кроме того, университеты и внеуниверситетские НИИ часто сотрудничают в рамках более широких кооперативных объединений, организуемых с участием промышленности для разработки и внедрения определенного новшества, так называемых Группах общественного интереса.
11.5. Опыт ФРГ
Очень немногие люди, и притом самые замечательные, способны просто и откровенно сказать: «не зпаю».
Г. Лессинг
Проблемы кооперации между университетским и внеуниверситетским секторами в западных и восточных землях Германии решаются по-разному.
Центральная организация внеуниверситетского сектора и важнейший партнер университетов по исследованиям в Западной Германии — Общество Макса Планка (ОМП) — независимая, самоуправляющаяся организация, объединяющая свыше 50 институтов, ведущих исследования в области естественных, технических, гуманитарных наук.
Назначение ОМП — заполнять «пробелы» в университетской науке. ОМП поддерживает новые, малоизученные области; осуществляет проекты, «не вписывающиеся» в университетские условия, предоставляет возможность наиболее продуктивной части ученых заниматься чистыми исследованиями, освободив их от преподавания и административных обязанностей. Основной принцип ОМП — предельно жесткая качественная селективность и ставка на поддержку индивидуального исследователя, а не института. В рамках широко очерченных приоритетных областей ОМП привлекает к работе исследователей, являющихся на данный момент признанными лидерами науки, предоставляя им свободу действий и ресурсы. Отсюда высокая обновляемомъ состава ведущих исполнителей и приоритетной тематики, мобильность кадров между ОМП и высшей школой и надведомственный характер деятельности.
ш
Некоторый объем неориентированных исследований выполняют и другие институты внеуниверситетского сектора (институты Общества Гельмгольца, Общества Фраунгофера и др.). Традиционная форма сотрудничества между этими организациями и университетами — совместительство, а также участие в подготовке кадров высшей квалификации.
В последнее время развиваются и другие формы сотрудничества — временные объединения исследовательских коллективов разной ведомственной подчиненности по типу «особіях программ» и «программ коллективных исследований».
Особые программы предназначены для поощрения кооперации исследователей, занятых в различных подразделениях одного вуза, ученых нескольких вузов, либо ученых вузов и внеуниверситетских НИИ. Достоинство программы — сочетание централизации и автономии. По сравнению с неформальными объединениями программы — это более жесткая структура. Они получают особый юридический статус. Для реализации программы создается специальная организационная структура: общее собрание членов, правление, спикер. Однако функции этих органов сознательно сведены к минимуму: разработка программы, общее финансовое планирование, организация коллективного использования оборудования, текущее управление. В остальном партнеры действуют независимо друг от друга.
В программах коллективных исследований принимают участие не только организации академической науки, но и промышленность. Управляющее воздействие здесь несколько жестче, хотя и не входит в противоречие с интересами вузов.
Преимущества описанных форм кооперации для непосредственных участников (вузов, НИИ и промышленности) — это возможность объединения ресурсов при решении обоюдоважных проблем без ущемления свободы действий. Обязательства, налагаемые участием в программах на ученых, совместимы с принципами академической свободы и не требуют отказа от привычных методов и стандартов.
Преимущество данных форм с точки зрения государства — это возможность сфокусировать внимание различных субъектов исследования на проблемах государственной важности при приемлемом уровне дополнительных финансовых и организационных издержек, что делает коллективные исследования эффективным инструментом проведения структурной политики.
В Восточной Германии длительное время параллельно развивались два процесса: концентрация исследовательских полномочий и ресурсов Академии наук ГДР и «вымывание» исследований из вузов, задача которых постепенно сводилась только к учебной функции. Результатом этого стало серьезное нарушение функционального равновесия между университетским и внеуниверситетским секторами в пользу последнего.
Договор об объединении Германии предусматривал формирование в масштабах всего государства единой исследовательской системы. С целью решения этой проблемы АН ГДР была упразднена, а перспективные научные сотрудники интегрированы в существующие в ФРГ научные организации различного типа.
В поддержку процесса расширения масштабов и повышения качества исследований в высшей школе были разработаны три программы:
1. Программа интеграции ученых, направленная в первую очередь на трудоустройство ученых из расформированной АН ГДР в вузы Восточной Германии.
2. Рабочие группы ОМПпри университетах, способствующие фун-даментализации исследований и образования в вузах путем инкорпорации в них ведущих теоретиков и экспериментаторов из бывших академических НИИ.
3. Инновационные колледжи, открывающие скромные возможности для интеграции в вузы новых ученых, но эта интеграция может быть использована в интересах радикального структурного обновления.
Ядро концепции программы интеграции ученых — возвращение исследований в вузы, откуда они в прошлом были неправомерно перенесены в АН. Поскольку обеспечить это в результате разовой акции невозможно, было решено провести процесс в два этапа. Первый — период ориентации, в течение которого участники программы завязывают контакты с вузами или внеуниверситетскими организациями {ассоциированными институтами, центрами — самостоятельными по статусу, но тесно связанными с вузами функционально). Второй этап —: собственно интеграция, когда ученый заключает трудовое соглашение с условием гарантированного участия в учебном процессе «родственного» вуза.
Отбор кандидатов производил специально учрежденный Интеграционный комитет, в который вошли 10 авторитетных специалистов. Право участвовать в конкурсе на разработку программы получили как отдельные ученые, так и исследовательские коллективы, ранее с позитивным результатом прошедшие аттестацию Совета по науке. Если!
11 Международный опыт разработки комплексных программ_345
эксперты, руководствуясь исключительно профессиональными критериями, пришли к выводу, что претенденту целесообразно продолжать исследования в вузе, ученый получает право на материальное содержание и средства на исследования на оговоренный срок.
Программа рабочих групп была разработана ОМП с целью инкорпорировать в структуру восточно-германских вузов малые исследовательские группы, на высоком уровне разрабатывающие многообещающие научные направления, и таким образом расширить спектр исследований и обучения в вузе. В течение пяти лет новые коллективы должны «вписаться» в исследовательскую и учебную деятельность базового вуза, после чего будут включены в его штат.
Процедура создания группы включала подготовку институтами ОМП своих предложений, принятие Сенатом на их основе решения об учреждении группы, проведение переговоров с вузами, подписание договора между вузами-реципиентами и ОМП.
В итоге 27 групп были размещены в семи университетах на территории бывшей ГДР. Главными факторами, повлиявшими на выбор местопребывания группы, были местожительство научного руководителя, предложенного институтом ОМП, и готовность одного из местных вузов принять новый коллектив.
Спектр исследований групп тот же, что и в институтах ОМП: естествознание, математика, материаловедение, биология, медицина.
Новые формирования, как правило, невелики по размеру и безотносительно к тематике исследований имеют однотипное строение: компактное институциональное ядро (5-10 сотрудников-исследовате-лей) и «оболочка» — из аспирантов, студентов-дипломников, стажеров и исследователей-стипендиатов разных фондов. В состав наиболее многочисленной группы «Нелинейная динамика» при Потсдамском университете входят 37 человек, в том числе 10 ученых, 14 аспирантов, 3 дипломника, 4 исследователя-стажера из других организаций.
Более чем в половине групп организационный «костяк» образуют бывшие сотрудники АН ГДР. Во главе всех групп стоят исследователи из Восточной Германии. Группы пользуются автономией, но каждая имеет своего «шефа» в лице рекомендовавшего ее института ОМП. По данным 1996 г. в рабочих группах ОМП были заняты более 500 человек (230 из них — на ставках ОМП).
В соответствии с договором группы располагаются в помещении базового университета, но при необходимости ОМП предоставляет средства для расширения и реконструкции площадей, а также для приобретения оборудования. На эти цели ОМП выделило соответственно
31 млн и 30 млн немецких марок. Общие расходы ОМП на 27 групп в период с 1991 по 1996 г. составили около 200 млн марок.
Итоги программы; качество исследований — высокое; достигнут прогресс в решении многих поставленных проблем; к исследованиям, проводимым в группах, привлечены учащиеся на преддипломной и последипломной стадиях обучения; некоторые группы успели включиться в учебный процесс; созданы реальные предпосылки для интеграции институционального ядра групп в штат университетов; руководители всех групп, действующих при университетах, получили приглашения занять должность профессора в базовом университете. Для продолжения работы над начатыми проектами ОМП предоставит в их распоряжение 30 млн нем. марок.
Программа инновационных колледжей предусматривает формирование в восточно-германских университетах новых исследовательских и учебных подразделений — инновационных колледжей, организованных по проблемному, а не по дисциплинарному принципу, объединяющих ученых с разных кафедр одного факультета или с разных факультетов.
Программа одновременно преследует несколько целей: институционализировать в высшей школе междисциплинарные направления исследований и обучения как непосредственно в интересах решения актуальных практических проблем, так и в интересах долговременной структурной перестройки и обновления самой высшей школы; обеспечить целевую поддержку наиболее продуктивным вузовским ученым, развивающим оригинальные исследовательские подходы и способным при надлежащей поддержке добиться лидерства в своей отрасли знания; способствовать стремлению вузов к формированию собственного исследовательского профиля. Таким образом, инновационные колледжи — это немецкий вариант популярных в США, Канаде и Японии элитарных исследовательских групп, определяющих «лицо университета».
Финансирует программу Федеральное министерство образования, исследований и технологии, а курирует — ННИО. Инициатива по созданию новых подразделений принадлежит не внешней организации, а самим вузам, которые подают заявки в ННИО. Эксперты общества их рассматривают с точки зрения характера исследования (спектр исследований не ограничен, но объектом исследования должно быть сложное комплексное явление, изучаемое методами разных наук) и наличия обязательства вуза финансировать колледж из своего бюджета по истечении срока действия программы. Интерес со стороны промышленности приветствуется, но не является обязательным условием для одобрения заявки.
По результатам конкурса был учрежден 21 колледж при Н университетах в восточных землях Германии. Каждый колледж имеет право на поддержку в течение пяти лет. Суммарные ассигнования на программу до 2002 г. со стороны федерального министерства должны составить 140 млн нем. марок. Из этих средств будет оплачена примерно половина (около 400 человек) сотрудников инновационных колледжей.
Программа предполагает возможность пополнения кадрового состава вузов путем учреждения новых профессорских должностей; учреждения постоянной должности «приглашенного» профессора (для зарубежных ученых); привлечения на определенный срок ученых из вне-университетского сектора; привлечения студентов вузов в роли ассистентов и лаборантов.
11.6. Опыт России
Мудрец избегает всякой крайности.
Лао-Цзы
11.6.1. Распределенная система управленческой структуры
В организации, управлении и выполнении программ участвуют три структурные ветви: административная, общественно-научная и поддерживающие (сервисные) структуры.
В административную ветвь входят федеральный орган, обеспечивающий финансирование программы; представитель инвесторов; организация — головной исполнитель программы; головная организация по разделам программы (если таковые имеются); исполнители проектов; дирекция программы и разделов, если таковые создаются.
В общественно-научную ветвь входят комиссия по научным программам и проектам федеральных органов (Минобразования, Миннауки России); головные научно-технические советы (ГНТС) по программам и научные руководители программ; научно-технические советы (комиссии) (НТС или НТК) организаций-исполнителей.
В поддерживающие структуры входят централизованные фонды; фонды поддержки программ (ФІІП); отделения ФПП или фонды поддержки разделов программ; промышленно-коммерческие структуры, создаваемые или привлекаемые для производства, продвижения на рынок и коммерческой реализации наукоемкой продукции, выпускаемой по программам и самостоятельным проектам.
ФПП — это организации, содействующие исполнителям в выполнении проектов, в том числе в продвижении наукоемкой продукции на рынок, и в дополнительном внебюджетном финансировании проектов за счет средств, получаемых путем отчисления исполнителями части средств от реализации произведенной наукоемкой продукции, и других источников.
Каждая из организаций или органов управления реализует ряд функций на различных этапах выполнения программ и самостоятельных проектов.
Федеральный орган (например, Минобразования России) реализует свои функции через специально созданную комиссию по научным программам и проектам и управление, курирующее данную программу или самостоятельный проект.
Функции комиссии по научным программам и проектам:
• определение приоритетных научно-технических направлений, по которым целесообразно организовывать программы и самостоятельные проекты;
• подготовка решений для основного инвестора, определяющих перечень формируемых и ведущихся программ и самостоятельных проектов, их руководителей и головные организации;
• контроль и анализ выполнения программ;
• выработка рекомендаций по совершенствованию механизма формирования, принципов финансирования и выполнения программ и самостоятельных проектов.
Функции управления федерального органа (основного инвестора), курирующего данные программы или самостоятельные проекты:
• подготовка решений по формированию и утверждению программ, подбор, согласование кандидатур и назначение научных руководителей, головных организаций, составов головных научно-технических советов по разделам программы;
• определение сроков формирования и выполнения программ и схем их финансирования;
• утверждений положений по программам, в том числе целей и задач программ, составов ГНТС (НТСР), структур программ, их составов;
• контроль за ходом выполнения программ и самостоятельных проектов;
• определение объемов финансирования программ и самостоятельных проектов и обеспечение их финансирования на всех этапах выполнения;
• утверждение порядка завершения программ и самостоятельных проектов, составов комиссий по приемке работ;
• ведение баз данных по курируемым программам и самостоятельным проектам.
Работу ГНТС возглавляет научный руководитель программы. ГНТС формируется из числа ведущих специалистов промышленности, науки и вузов, федеральных органов образования и науки, других организаций по тематическим направлениям программы. Работает ГНТС, как правило, при головной организации по программе и обеспечивает оперативное управление программой, в том числе:
• утверждает порядок формирования программы, включая порядок проведения экспертизы представляемых проектов, состав экспертных групп и результаты экспертизы;
• готовит и представляет на утверждение в управление федерального органа (основного инвестора) положение ПО программе и состав программы;
• организует информационное и методическое обеспечение программы;
• готовит предложения по объемам финансирования проектов программы в рамках выделенных средств и направляет в управление федерального органа предложения о распределении средств между разделами и основными исполнителями программы;
• не реже одного раза в год рассматривает результаты выполнения проектов, входящих в программу;
• определяет основные цели и задачи фонда поддержки программы — нормативы отчисления в фонд, а также контролирует выполнение взаимных обязательств исполнителей и фонда;
• рассматривает результаты выполнения программы в целом и представляет отчет в соответствующее федеральное ведомство.
При делении программы на разделы ГНТС при сохранении своего руководства и контроля может передать часть своих функций научнотехническим советам по разделам программы, а головная организация по программе — головным организациям по разделам.
Головная организация по программе под руководством ГНТС обеспечивает организационное сопровождение программы, в том числе:
• организует сбор материалов по проектам;
• создает информационную базу по программе;
• организует экспертизу проектов;
• готовит документацию по программе;
• в случае финансирования через головную организацию выступает заказчиком и осуществляет финансирование организаций, выполняющих научно-технические проекты;
• организует оперативный контроль за выполнением проектов;
• организует рекламно-информационную деятельность, проводит семинары, конференции и выставки по тематике программы;
• обеспечивает работу ГНТС;
• взаимодействует с фондом поддержки программы;
• организует мероприятия по завершению программы.
Функции научно-технических советов (комиссий) структур-исполнителей:
• текущий контроль за выполнением проектов;
• научно-техническая приемка работ на промежуточных этапах.
Организации — исполнители программ и самостоятельных проектов — это вузы, научные, научно-производственные, производственные и другие организации (НИИ, КБ, инженерные центры и др.). Функции исполнителя:
• выполнение работ по проектам, финансируемым из средств программы, на высоком уровне;
• координация работ с партнерами по программе;
• учет выделяемых средств и обеспечение правильности их целевого расходования, финансовая отчетность;
• рекламно-информационная деятельность по выпускаемой наукоемкой продукции, услугам;
• перечисление в фонд поддержки программы установленной ГНТС части средств, получаемых от реализации наукоемкой продукции, созданной им ? рамках программы.
Исполнители несут ответственность за достоверность подаваемых сведений и соблюдение обязательств по выполнению проектов.
Работу НТСР возглавляет научный руководитель раздела программы. Научный руководитель раздела программы является членом ГНТС. Руководитель НТСР принимает управленческие решения по руководству разделом программы, в том числе:
.351
• при необходимости создает секции НТ СР и утверждает их решения;
• утверждает методику экспертизы и состав экспертных групп, участвующих в проведении экспертизы представляемых проектов;
• утверждает результаты экспертизы проектов;
• рассматривает и направляет в ГНТС перечень проектов, направляемых на финансирование;
• готовит предложения по объему финансирования проектов, прошедших экспертизу, в рамках финансирования, выделенного по разделу программы;
• не реже одного раза в год рассматривает результаты выполнения работ по проектам;
• рассматривает результаты выполнения раздела программы и докладывает о них ГНТС;
• контролирует выполнение взаимных обязательств исполнителей и фонда.
Под руководством НТСР головная организация по разделу программы:
• организует сбор материалов по проектам;
• создает информационную базу по разделу программы;
• организует экспертизу представленных научно-технических проектов;
• готовит документацию по разделу программы;
• в случае финансирования проектов через головную организацию является заказчиком и осуществляет финансирование организаций, выполняющих проекты, вошедшие в раздел программы;
• организует оперативный контроль за выполнением проектов;
• организует рекламно-информационную деятельность, проводит семинары, конференции и выставки по тематике раздела программы;
• обеспечивает работу НТСР;
• взаимодействует с отделением фонда поддержки программы;
• организует мероприятия по завершению раздела программы.
При создании дирекций программы и дирекций разделов программы
к ним частично или полностью переходят функции головной организации по программе (разделам программы). Дирекция может частично брать на себя функции фонда поддержки программы. Функции дирек-
[іии, ее задачи, полномочия и статус определяются в положении о дирекции, утверждаемом федеральным органом, финансирующим основную часть научно-технической программы.
Основными поддерживающими структурами для инновационных программ и самостоятельных проектов являются фонды поддержки. Основная задача фондов — обеспечить финансовую стабилизацию и укрепление программ и способствовать успешному продвижению на рынок наукоемкой продукции. Основными функциями фондов являются:
• аккумулирование средств для стабилизации финансирования проектов, проведение мероприятий по выполнению программ и проектов и продвижению наукоемкой продукции на отечественный и зарубежный рынки;
• финансирование на возвратной основе перспективных проектов, выполняемых в рамках программ, и самостоятельных проектов;
• поддержка работы молодых талантливых ученых (введение именных стипендий, издание монографий, сборников научных трудов и др.);
• консалтинговые услуги и оказание помощи исполнителям по экономическим, юридическим, патентно-лицензионным и иным вопросам;
• содействие исполнителям в сертификации их продукции;
• организация выставок, семинаров, симпозиумов различного уровня в интересах программ и самостоятельных проектов;
• создание структур для производства и коммерческой реализации наукоемкой продукции;
• приобретение недвижимости, оборудования и т. п. дляпредостав-ления их в аренду исполнителям проектов;
• ведение других видов хозяйственной деятельности для пополнения средств фонда.
Часть функций фондов могут выполнять специально созданные или привлекаемые производственно-коммерческие и иные структуры. Эти структуры могут создаваться с участием фондов и головных организаций.
Фонды взаимодействуют с органами управления программами и самостоятельными проектами в соответствии с положениями о своей деятельности или уставами. Взаимоотношения фондов с исполнителями строятся на договорной основе.
Средства фондов формируются из отчислений исполнителями программ и самостоятельных проектов установленной части полученных от реализации их продукции средств, отчислений части средств другими фондами, добровольных взносов организаций и частных лиц, кредитов, прибыли от собственной деятельности и других поступлений. Отчисления в фонд из госбюджетных средств запрещаются.
Для решения конкретных задач средства нескольких фондов могут аккумулироваться в одном из них или централизованном фонде. Для координации работы фондов при централизованном фонде создается совет директоров фондов.
Наряду с интеграционными программами Минобразования и Академия наук России развивают систему самостоятельных проектов. Механизм управления и финансирования самостоятельных проектов является частным случаем механизма управления и финансирования программ. Он, как правило, не предусматривает создания ГНТС, однако, когда проект выполняется несколькими организациями, возможно назначение одной из них в качестве головной организации и при необходимости создание НТС из специалистов соответствующей предметной области.
Для проведения экспертизы и контроля за выполнением самостоятельных проектов Минобразования и Академия наук России привлекают компетентные научно-технические советы и организации.
В январе 2002 г. была образована Правительственная комиссия по научно-инновационной политике для подготовки предложений по перечню важнейших проектов (программ), на реализацию которых должны быть сконцентрированы государственные ресурсы и другие формы государственной поддержки. Для проведения данной работы Минпромнауки России были разработаны конкретные требования к описанию проектов и система критериев. Была также создана экспертная группа по оценке и отбору проектов, в которую включены руководящие работники министерства и ведущие ученые и специалисты по приоритетным направлениям развития науки и техники.
На предварительном этапе был сформирован исходный массив предложений по проектам — всего 220 предложений, представленных министерствами и ведомствами и отдельными научно-исследовательскими организациями и промышленными предприятиями. На втором этапе, который предусматривает углубленный анализ проектов с точки зрения их экономической эффективности и реальных возможностей производства конечной наукоемкой продукции в соответствии с потребностями внутреннего и внешнего рынков, было отобрано
23—ISO
24 проекта по следующим приоритетным направлениям развития науки, технологий и техники:
1. Информационно-телекоммуникационные технологии и электроника.
2. Новые материалы и химические технологии.
3. Новые транспортные технологии.
4. Производственные технологии.
5. Технологии живых систем.
6. Экология и природопользование.
7. Энергетика и энергосбережение.
Инициаторами этих проектов были институты Российской академии наук, научно-исследовательские и проектно-конструкторские организации отраслевого профиля и промышленные предприятия. Минпромнауки подготовлена развернутая система критериев и показателей, по которым оцениваются предложения по проектам, допущенным до второго тура.
Окончательное решение по перечню важнейших инновационных проектов государственного значения, для представления в Совет безопасности и Правительство Российской Федерации будет приниматься специально созданным экспертным советом министерства. В состав экспертного совета, утверждаемого приказом Минпромнауки, войдут представители предпринимательских структур и ведущие ученые.
11.6.2. Система отбора программ
Комиссия по научным программам и проектам исходит из концепции научно-технической политики России и с учетом предложений вузов и учреждений Академии наук России определяет приоритетные научно-технические направления, по которым целесообразно организовывать программы и самостоятельные проекты.
Дирекция программы на основании предложения комиссии выпускает указание, в котором утверждаются перечень формируемых и ведущихся программ, их руководители и головные организации, и извещает об этом организации.
Организации, претендующие на участие в программе, направляют бизнес-планы своих проектов в головную организацию по программе.
ГНТС с помощью головной организации:
• организует сбор материалов по проектам от предполагаемых исполнителей;
• организует экспертизу представленных проектов;
• на основе результатов экспертизы формирует проект программы;
• оформляет документацию по программе;
• направляет подготовленные документы в федеральный орган, курирующий программу, который готовит проект приказа об утверждении программы.
Если в программе предполагаются разделы, то НТ СР и головные организации по разделам формируют разделы и направляют в ГНТС для обобщения, согласования и последующего представления в дирекцию программы. Предельные объемы финансирования проектов и количество проектов, выполняемых отдельными исполнителями, в томчисле головными организациями, могут отражаться в положении по программе.
Проекты, не вошедшие в программу, включаются в информационную базу данных этой программы или ее разделов и могут быть включены в программу на следующих этапах ее выполнения.
Состав исполнителей программы может корректироваться в ходе ее выполнения.
В случае изменения объема финансирования по программе количество проектов, входящих в состав программы, может быть изменено. В этом случае ГНТС корректирует программу.
11.6.3. Система финансирования программ
ГНТС готовит предложения по объему финансирования программы и представляет их в федеральный орган и другим возможным инвесторам.
Инвестор определяет контрольные цифры по объемам финансирования на планируемый период и доводит их до сведения всех подконтрольных ГНТС.
ГНТС с помощью головных организаций формирует состав программ, оформляет бизнес-план и направляет материалы инвестору.
Организация (организации), финансирующая научно-техническую программу, рассматривает поступившие предложения, издает приказы об утверждении программ и утверждает задание по программе.
Финансирование комплексных научно-технических программ федерального значения может осуществляться:
• непосредственно федеральным органом управления перечислением средств на расчетные счета исполнителей на основании задания на каждый проект, в этом случае головные организации по программам представляют инвестору уточненные банковские реквизиты
23
исполнителей; неотъемлемой частью заданий являются технические задания и планы выпуска и реализации наукоемкой продукции;
• через головные организации или дирекции программ (головные организации или дирекции разделов программ) на основании государственных контрактов или по договорам на выполнение проекта (раздел программы).
При финансировании программ через головные организации они выступают заказчиками наукоемкой продукции, создаваемой в рамках программ, и заключают договоры на выполнение работ по проектам с исполнителями.
Неотъемлемой частью договора на выполнение работ по проекту являются техническое задание, календарный план, протокол согласования (изменения) договорной цены, план выпуска и реализации наукоемкой продукции.
Техническое задание и календарный план на каждый проект согласовываются с председателем гнтс.
Для проведения работ научными коллективами головных организаций оформляются технические задания на проведение госбюджетных работ и планы выпуска и реализации наукоемкой продукции.
ГНТС (НТСР) может установить следующий порядок приемки промежуточных результатов:
1. По окончании I, II и III кварталов руководители проектов составляют односторонние акты о завершении этапов работы, затем руководители проектов отчитываются на научно-технических советах (комиссиях) исполнителей и направляют акты в головные организации по программам.
2. Научные руководители коллективов головных организаций по окончании I, II и III кварталов составляют акты о завершении этапа работы и отчитываются на НТС (НТК) головных организаций.
3. Приемку результатов работ за год ГНТС осуществляют на ежегодных семинарах-выставках на основании докладов руководителей проектов и экспертных оценок результатов работы. По результатам приемки председатели ГНТС утверждают исполнителям проектов акты сдачи-приемки работ по договору, а по работам, выполняемым коллективами головных организаций, — акты сдачи-приемки годовых этапов госбюджетных работ.
Федеральный орган (инвестор) выделяет головным организациям на сопровождение программ (подготовка документации, проведение экспертизы, обеспечение работы ГНТС И т. д.) средства целевым назначением (как правило, не более 5% от объема финансирования всей программы). Задание на эти работы и технические задания головных организаций согласовываются с ГНТС и утверждаются руководством организации-инвестора.
Головные организации ежегодно представляют отчеты о работе по сопровождению программ и акты сдачи-приемки годовых этапов работ, утвержденные председателем ГНТС.
ГНТС на основании ежегодных отчетов исполнителей о работе по проектам направляют инвестору предложения об изменении состава и объема финансирования программ. Руководство организации-инвестора рассматривает предложения ГНТС и у,читывает их при подготовке распоряжений по финансированию программ на следующий календарный период.
11.6.4. Система контроля за выполнением программ
В целях контроля за ходом выполнения программ и самостоятельных проектов, а также всестороннего анализа выполнения программ и обмена опытом работы необходимо организовать и реализовать систему контрольно-аналитических мероприятий. Это необходимо для реального контроля за ситуацией по отдельным проектам, сбора объективной информации о состоянии выполняемой программы, стимулирования координации деятельности исполнителей, своевременности решений по перераспределению ресурсов. В составе контрольных мероприятий можно предложить:
1. Уровень инвестора
• регулярно, не реже одного раза в квартал, проводить заседания под руководством представителей инвестора (в том числе выездные) — комиссии по научным программам и проектам, на которых заслушиваются отчеты научных руководителей программ и самостоятельных проектов. Заседания комиссии могут совмещаться с заседаниями ГНТС программ с приглашением руководителей фондов и других поддерживающих структур;
• периодическое рассмотрение отчета руководителей программ на заседаниях коллегиальных органов управления у инвестора;
• организация выставки с приглашением представителей заинтересованных организаций, в том числе зарубежных, на которых экспонируется наукоемкая продукция, выпускаемая в рамках программ и самостоятельных проектов;
• раз в год сбор и анализ отчетов ГНТС и научных руководителей программ по итогам работы за год и за весь период выполнения программ. Результаты анализа, которые докладываются на заседании комиссии по научным программам и проектам и ложатся в основу решений по дальнейшему финансированию программ и самостоятельных проектов.
2. Уровень ГНТС
• ежегодно проводить заседания ГНТС, на которых заслушивать отчеты научных руководителей проектов (руководителей разделов), заслушивать информацию директоров фондов;
• ежегодно представлять в головные организации от исполнителей аннотированные отчеты по проектам за отчетный период и обновленные бизнес-планы проектов;
• представленные материалы анализируются, проводятся контрольные экспертизы силами независимых экспертов по специально разработанным и утвержденным ГНТС методикам. Результаты экспертизы представляются в виде ранжированных перечней проектов;
• организация головными организациями по программам (разделам программ) отчетных выставок-семинаров, на которых демонстрировать выпускаемая научно-техническая продукция;
• рассмотрение отчетов научных руководителей и с учетом результатов независимой экспертизы выносить решения о продолжении, изменении, прекращении финансирования проектов, о поощрении авторов лучших проектов, об открытии финансирования новых проектов.
ГНТС (НТСР) имеет право затребовать необходимые документы и заслушать отчеты руководителей проектов о текущей работе в течение всего года.
При невыполнении исполнителем своих обязательств перед головной организацией или фондом поддержки программы ГНТС (НТСР) вправе изменить, приостановить или прекратить дальнейшее финансирование этого проекта.
В последнем случае исполнитель возвращает из собственных средств сумму, равную объему финансирования, полученного на выполнение проекта. Средства по решению ГНТС (НТСР) перечисляются головной организации, фонду или другим исполнителям и направляются на решение основных задач программы.
359
ГНТС (НТСР) вправе сделать представление руководителям исполнителя о недостатках в выполнении проектов.
За два месяца до завершения работ по программе головная организация по программе (разделу программы) должна получать от исполнителей итоговые аннотированные отчеты по проектам за весь период работы по программе, включая информацию о реализации наукоемкой продукции, в том числе копии финансовых документов, подтверждающих реализацию. Б этих отчетах отражаются сведения о продукции, реализованной исполнителем за время работы в рамках программы и созданной на средства, выделенные по программе.
ГНТС (НТСР) организует экспертизу результатов работ по проектам, заслушивает отчеты научных руководителей проектов, анализирует представленные документы и на основании полученных материалов осуществляет приемку работ.
Утвержденные председателем ГНТС (НТСР) акты вместе с итоговым отчетом, протоколом заседания представляются инвестору.
ГНТС вместе с итоговыми материалами по программе направляет организации-инвестору (федеральному органу, обеспечивающему финансирование) предложения по составу комиссий по приемке программы (самостоятельного проекта), а также месту и срокам их работы.
В состав комиссий по приемке могут включаться представители исполнителей, организаций — потребителей наукоемкой продукции, федеральных органов, инвесторов.
Инвестор вправе назначить комиссию по приемке как программ в целом, самостоятельных проектов, так и по приемке отдельных проектов, выполненных в рамках программ.
ГНТС совместно с головными организациями готовят для предъявления комиссиям По приемке отчетные материалы по программам и обеспечивают условия, необходимые для работы комиссии.
По окончании работы комиссий их члены подписывают акты о приемке работ по программам и представляют их всем организациям, участвовавшим в финансировании программы.
11.6.5. Порядок заявления, финансирования и выполнения проектов
На включение в комплексные научно-технические программы могут претендовать инновационные проекты, тематика которых совпадает с тематикой данной программы, а срок начала реализации результатов (от даты поступления средств на счет исполнителя до первых отчислений в фонд поддержки программы), как правило, не превышает одного года.
360_П. Международный опыт разработки комплексных програмк
При использовании бюджетных средств иногда вводится дополни тельное ограничение на соотношение средств различных источников Например, «доля исполнителя в общем объеме реализации наукоем кой продукции (в денежном выражении) за период выполнения про екта в рамках программы должна превышать не менее чем в три раз общий объем его бюджетного финансирования». Это ограничение (pop мируется с учетом специфики конкретной программы и степени заин тересоваиности в ее реализации различных финансовых организаций.
Обязательным условием для исполнителей является принятие пра вил использования средств от реализации планируемой программы Эти нормы устанавливаются предварительно и являются обязатель ством, которое принимают на себя исполнители до вхождения в со став исполнителей программы. По согласованию с руководством программы или партнерами по программе денежные отчисления могут быть заменены частично или полностью передачей прав на объекты ] интеллектуальной собственности, созданные при выполнении проекта, а также произведенной наукоемкой продукции или иного имущества.
В случае если инновационный проект не удовлетворяет условиям программы по тематике, срокам выполнения или объемам и механизму финансирования, он не может быть принят в программу.
Заявки на финансирование проектов принимаются от научных организаций, вузов, предприятий и других организаций (НИИ, КБ, инженерных центров и т. п.) в сроки, определенные распоряжением головной организации.
Заявка на финансирование проекта представляется в форме бизнес-плана. Бизнес-план по заявляемому проекту должен содержать максимально полную информацию и обосновывать преимущества данного проекта по следующим основным характеристикам:
• научно-техническому уровню;
• уровню правовой охраны интеллектуальной собственности;
• финансово-экономическим показателям работы;
• взаимосвязью с другими участниками программы;
• уровню производственного обеспечения.
Достоверность сведений, содержащихся в бизнес-плане по заявляемому проекту, гарантируется организацией-претендентом, а реальность достижения целей проекта обосновывается документально.
Решение о финансировании проекта в рамках программы принимается ГНТС программы с учетом результатов экспертизы.
Проекты, не вошедшие в программы, заносятся в информационные базы и могут финансироваться впоследствии. Организации — заявители таких проектов имеют право обновлять информацию бизнес-плана по ним.
При финансировании проекта, включенного в программу, путем перечисления средств на расчетный счет исполнителя оформляется заказ-наряд. Неотъемлемой частью заказ-наряда являются техническое задание и план выпуска и реализации наукоемкой продукции.
При финансировании проекта через головную организацию по программе (разделу программы) или дирекцию программы оформляется государственный контракт или договор на выполнение работ по проекту. Неотъемлемой частью этого государственного контракта или договора являются техническое задание, календарный план, протокол согласования (изменения) договорной цены, план выпуска и реализации наукоемкой продукции.
Техническое задание и календарный план согласовываются с ГНТС (НТСР) программы и подписываются его председателем.
В случае изменения объема финансирования, выделенного на программу, объемы финансирования проектов могут быть изменены. ГНТС (НТСР) программы вправе менять объемы финансирования отдельных проектов в ходе их выполнения. При изменении объема финансирования по проекту обязательства исполнителя перед головной организацией и фондом поддержки программы соответствующим образом корректируются.
При невыполнении исполнителем проекта своих обязательств перед головной организацией или фондом поддержки программы ГНТС (НТСР) вправе изменить или приостановить финансирование проекта на любом этапе его выполнения, вплоть до его исключения из программы. В последнем случае исполнитель возвращает из собственных средств сумму, равную объему финансирования, полученному на выполнение проекта, в соответствии с условиями, оговоренными в договоре между исполнителем и головной организацией. Средства но решению ГНТС (НТСР) перечисляются головной организации, фонду или другим исполнителям и направляются на решение основных задач программы.
Финансирование проектов из средств фонда, в том числе проектов, не вошедших в состав программы, осуществляется на основании договора между фондом и исполнителем, как правило, на возвратной основе.
Решение о финансировании принимает орган управления фонда.
24-180
По окончании I, II и III кварталов года в соответствии с решением ГНТС (НТСР) руководитель проекта оформляет односторонний акт о завершении этапа работы, после чего отчитывается на научно-техническом совете (комиссии) своей организации, которая направляет акт в головную организацию.
Не позднее 1 ноября текущего года исполнитель представляет в головную организацию по программе (разделу программы) аннотированный отчет по проекту. Материалы представляются в виде твердой копии (распечатки на бумаге) и в виде текстового файла на дискете.
Исполнители проектов обязаны принимать участие в ежегодных отчетных семинарах-выставках, проводимых по результатам выполнения проектов. В ходе семинаров-выставок заслушиваются отчеты научных руководителей проектов о результатах работы по проектам за текущий год.
Приемку результатов работы по проекту за год осуществляет научно-технический совет программы (раздела программы) на основании докладов научных руководителей проектов на семинаре-выставке и экспертных оценок результатов работы.
По результатам приемки совет утверждает акты сдачи-приемки работы.
Инвестор и ГНТС (НТСР) имеют право в течение года затребовать необходимые документы и заслушать отчеты научных руководителей проектов о текущей работе.
В случае неблагоприятного прогноза на выполнение проекта его авторы и руководители организации обязаны своевременно уведомить об этом ГНТС программы.
За два месяца до срока завершения работ по программе (проекту) исполнитель проекта должен представить в головную организацию по программе (разделе программы) итоговый аннотированный отчет с информацией о коммерческой реализации наукоемкой продукции и обязательным указанием доли вуза в производстве и реализации продукции.
К отчету прилагаются копии финансовых документов, подтверждающих реализацию продукции.
Исполнитель готовит для предъявления приемной комиссии к установленному ГНТС сроку все отчетные материалы и обеспечивает работу комиссии по приемке.
По результатам работы комиссии по приемке составляется акт о приемке работ по проекту.
Исполнители проектов берут на себя обязательства по отчислению части средств, полученных от реализации продукции, в фонд поддержки программы.
Отчисления производятся на основании договоров между исполнителем и фондом. Денежные отчисления могут быть заменены полностью или частично продукцией или правами в отношении объектов интеллектуальной собственности, созданных при выполнении проекта.
В договор на создание наукоемкой продукции по проекту по инициативе головной организации-заказчика могут быть внесены условия, отражающие обязательства исполнителя по вопросам использования создаваемых в рамках проекта изобретений, ноу'хау, компьютерных программ и иных объектов промышленной собственности и авторского права — объектов интеллектуальной собственности (ОИС), в том числе;
• предоставление фонду поддержки программы или другим структурам на отдельно оговоренных условиях права на поиск как в России, так и за рубежом потенциальных пользователей ОИС как в стране, так и за рубежом;
• гарантии исполнителя, что он предоставит неисключительное право на использование ОИС фонду поддержки программы или третьему лицу, которое будет указано заказчиком. Такое предоставление прав может быть осуществлено только в рамках лицензионного договора, заключаемого с фондом или третьим лицом;
• обязательства исполнителя в случае продажи лицензии на ОИС третьим лицам перечислять в пользу фонда определенную долю от общей суммы предусмотренных такой лицензией платежей;
• иные обязательства исполнителя перед потребителем и фондом по использованию ОИС.
При отсутствии в договоре на выполнение работ по проекту обязательств исполнителя, перечисленных выше, исполнитель приобретает право собственности в отношении ОИС и распоряжается ими в соответствии с действующим законодательством.
24'
УПРАВЛЕНИЕ НАУЧН0-ТЕХНИЧЕСКОЙ ПРОГРАММОЙ
Обдумай стезю для ноги твоей, и все пути твои да будут тверды.
Ветхий Завет
12.1. Организация стратегического планирования в процессе формирования программы
Если надеяться па легкое, то непременно будет много трудностей.
Лао-Цзы
Одной из начальных задач стратегического планирования является определение цели «Программы», ее структурных направлений, а также политики, обеспечивающей достижение формируемых целей.
Важнейшими функциями стратегического планирования являются информационная, аналитическая, прогнозная и технико-экономическая.
Информационное обеспечение (для инвесторов, разработчиков, организаторов) при предварительном рассмотрении программы формируется в виде баз стратегических данных — сжатого описания наиболее существенных условий внешней среды, влияющих на стратегические решения в организации и последующем выполнении программы.
Аналитическая работа ведется по трем направлениям: исследование тенденций развития рынка (науки и техники), оценка научных, образовательных и производственно-технических возможностей привлекаемых организаций, анализ факторов внешней среды. Ее итогом является разнообразная информация и аналитические выводы, позволяющие оценить текущую обстановку, сделать предположения о наиболее вероятных направлениях научно-технического развития буду-
щего и выбрать структуру программы, принципы ее выполнения, требования к участникам программы.
Прогнозирование научно-технического развития экономики страны к сфере формируемой программы обеспечивает получение и анализ альтернативных вариантов развития, а также их количественную оценку с целью сравнения и отбора. Количественные оценки не только способствуют определению перспективности программы и ее структурных направлений, но и дают ориентацию для распределения средств в данной области.
Выбор структуры и основных этапов программы предполагает последовательное решение пяти проблем: формирование перечня возможных путей достижения поставленных целей; выбор критериев оценки разделов и проектов программы; экспертную оценку проектов в соответствии с принятыми критериями; ранжирование элементов программы по их значимости для общего итогового результата.
Планирование научных исследований и разработок опирается на информацию о перспективных потребностях общества, получаемую в ходе специального предварительного исследования. Это могут быть опросы потребителей результатов, экспертные оценки, заключения ведущих ученых в соответствующей области знаний, рекомендации федеральных органов управления экономикой страны. Цель экономического проектирования — установить такие параметры предполагаемых результатов, которые гарантируют потребительский эффект формируемой комплексной научно-технической программы. При этом разрабатывается концепция будущих результатов, производится оценка потребительского спроса и объема продаж по конкретным видам продукции и услуг, составляется прогноз полных затрат и рассчитывается прибыль от реализации продукции за предполагаемый срок ее производства.
Три выше отмеченные функции стратегического планирования (информационная, аналитическая, прогнозная) являются основой для выбора целей и разработки альтернативных вариантов программы в целом.
Процесс целеполагания начинается с формулирования генеральной цели, которая имеет общий характер. Ее стержнем должна быть практическая направленность результатов (создание новых технологий, видов продукции). Генеральная цель дезагрегируется, что приводит к формированию конкретных, количественно заданных подцелей.
На основе матрицы соответствия устанавливается разрыв между выбранными целями и текущими возможностями «Программы». Про-
водится количественная оценка этих различий, и определяются меры для ликвидации выявленных разрывов. Результатом процесса увязки целей и ресурсов программы являются варианты стратегий ее реализации, различающиеся по временным и количественным характеристикам распределения всех типов ресурсов по направлениям, этапам, участникам, отдельным проектам «Программы».
Каждая стратегия проверяется на совместимость целей и ресурсную обеспеченность. В результате проверки стратегии объединяются в три группы; стратегии, которые могут быть осуществлены на имеющейся производственно-ресурсной базе; стратегии, требующие существенных дополнительных усилий в области маркетинга, стратегии, которые представляют интерес, но не могут быть реализованы.
Для обоснования выбора наилучшей стратегии проведения «Программы» привлекаются методы портфельного анализа, экономико-математического моделирования, графические методы, методы прогнозных сценариев и анализа риска.
Технико-жономтеская функция стратегического планирования состоит в разработке системы планов, содержащих все виды планируемых показателей на конец соответствующего периода (рис. 12.1).
Стратегический план
(основные направления План развития
деятельности)
План
исследований
План текущей деятельности (оперативный)
Обес печи вающие планы
План фундаментальны к исследований План прикладных исследований План разработки новых видов продукции План финансирования План управления План изучения рынка
Производственный план План по маркетингу Финансовый план План организации управления
Рис. 12.1. Система планов
367
Стратегический план характеризует основное назначение программы, ее цели и стратегию выполнения. Он определяет ее общие основные направления и содержит небольшое количество обобщающих показателей: масштаб новых результатов, объемы производства и сбыта, капиталовложения, издержки по этапам выполнения программы, затраты по видам исследований и разработок, прибыль.
На основе стратегического плана строится тактический план выполнения программы. Его содержанием является поиск оптимальных альтернативных способов реализации стратегических целей исходя из условий, сложившихся на начальный период выполнения программы. В тактическом плане показатели даются более детально, с указанием средств достижения намеченных целей, путей эффективного использования всех видов ресурсов в производственном процессе, процессов взаимосвязи участников и элементов программы.
Тактическое планирование определяет средства и способы достижения поставленной цели, распределяет во времени ограниченные ресурсы. Элементами тактического плана являются: прогноз финансовых ресурсов, программа капиталовложений, план использования трудовых ресурсов, программа маркетинга, экономический краткосрочный прогноз.
12.2. Выработка стратегических целей программы
Датьнаписанномутрудунесколько вылежаться, быть забытым,чтобы при новом прочтениилегче выступили его недостатки.
И. П. Павлов
Разработка стратегического плана предусматривает формирование целей и задач научно-технической программы, согласованных с направлениями и средствами достижения целей. Кроме того, требуется обеспечение соответствия целей условиям внешней среды и внутренним ограничениям.
В процессе вариантных расчетов производится отбор элементов и оценка вариантов структуры программы, расчет технико-экономических показателей. Это может повлечь за собой необходимость корректировки сформулированных целей.
В процессе анализа возможностей программы по отношению к увеличению объемов выпуска продукции, расширению рынков сбы-
та, секторов предпринимательства намечаются пути разрешения возникающих побочных проблем, связанных с действием отрицательных факторов (повышение цен на сырье, появление на рынке новых продуктов — аналогов других предприятий и т. д.). С учетом предполагаемых возможностей и выявленных проблем формулируются специфические цели программы, конкретизируются подцели по следующим позициям: рост выпуска продукции, темпы обновления производства, финансовое обеспечение научно-технического развития (в том числе технологии производства), эффективность функционирования.
Разработка стратегий, обеспечивающих достижение поставленных целей, производится параллельно с уточнением условий их реализации. Стратегии формулируются в соответствии с принципом адаптации деятельности программы к предстоящим изменениям в окружающей среде.
Исходным пунктом в формулировке стратегии реализации программы являются данные анализа сильных и слабых сторон комплекса исполнителей, противоречий, вероятных и фактических угроз. К сильным сторонам программы можно отнести: наличие значительных целевых финансовых ресурсов, накопленные научно-технические заделы.
В список вероятных угроз необходимо внести выявленные или намечаемые изменения в политике финансирования, а также следующие факторы: политическую нестабильность, межнациональные конфликты, инфляцию. К факторам риска относятся: величина запланированных на перспективу объемов капиталовложений, ставки процента за кредит, налоги, темпы инфляции, изменения цен на сырье и материалы и т. д.
Разработка стратегии начинается с установления приоритетности каждой цели. Здесь используются два подхода. В первом подходе стратегические цели классифицируются по степени обязательности их достижения:
• жизненно необходимые для реализации программы;
• желательные, но не обязательные.
Второй подход предусматривает разработку количественных оценок относительной важности достижения целей программы.
Непосредственно формулировка стратегий руководства программой осуществляется в процессе разработки сценариев. Сценарий образует как бы каркас картины реализации основных разделов и представляет на практике более или менее развернутое описание эволюции процесса функционирования программы от прошлого (настоящего) к будущему.
Ключевым моментом в разработке прогностического сценария является установление значимых факторов, определяющих ход развития программы и применения ее результатов в будущем периоде. В динамике реализации сценария прослеживается процесс достижения целей программы.
Построение сценария возможно двумя способами: статистическим и вероятностным.
В первом случае выявляются основные факторы, определяющие в целом характер реализации программы, строятся динамические ряды этих факторов, рассчитываются тренды и производится их экстраполяция. Результаты расчетов позволяют строить гипотезы о положении участников программы и ее результатов в будущем при условии, что значимых изменений в характере и направлениях деятельности, выделенных в качестве ключевых факторов, не произойдет.
Во втором случае каждый из факторов представлен пессимистической, наиболее вероятной и оптимистической оценками, что увеличивает многообразие возможных состояний будущего. Процесс разработки сценария в этом случае сводится к выбору из множества альтернативных событий только тех из них, которые могут повлиять на успех в достижении сформулированных целей.
12.3. Методы принятия решений
в управлении научно-технической программой
Человек без улыбки на лице не должен открывать магазин. Она ничего не стоит, по создает многое.
Китайская пословица
Системный подход к управлению научно-технической программой заключается в интеграции целевого, стратегического и организационного планирования для совокупности исполнителей посредством реализации стратегии.
Рисунок 12.2 иллюстрирует процесс принятия решений. В верхней части рисунка показана комбинация прогнозов общеэкономической обстановки и анализа возможностей при формировании стратегии, в нижней — выходы для процесса управленческих решений. Обе части связаны воедино стратегией программы.
Научно-техническая политика руководства программы определяется в соответствии с общей стратегией программы, ее долгосрочны-
ми целями, возможностями ресурсного обеспечения и прогнозом эко-^ номической обстановки.
Контроль долгосрочных целей программы предполагает конкретиза-j цию целевых показателей до уровня описания продукции, услуг, рынков, включая количественные оценки в конкретные периоды времені (доля рынка, величина оборота, размер прибыли, научный конкурент-1 ный потенциал).
Результатом сопоставления стратегий с реальным ходом программы1 является формулировка возможных альтернатив следующих по графику элементов программы и корректировка некоторых из них, возможно в системной комбинации, в качестве средств достижения целей.
Прогноз экономической обстановки служит для оценки реальности вырабатываемых целей с учетом будущих внешних экономических состояний. Прогнозируются факторы, подверженные изменениям во времени и способные оказать влияние на успех тех или иных стратегий.
 |
|
Рис.12.2. Процесс принятия решений относительно элементов программы |
Выбор стратегии должен производиться с учетом внутренних возможностей программы, ее сильных и слабых сторон. При наличии мощного научно-технического потенциала стратегию роста следует базировать на выпуске уникальных или новых продуктов. При наличии представительных результатов исследования рынка стратегия ориентируется на увеличение доли рынка или расширение рынка сбыта. Высокий уровень технологии при низких издержках предопределяет стратегию вертикальной интеграции. Широта финансовых возможностей предопределяет стратегию координации или объединения исполнителей.
С другой стороны, варианты стратегий и выполнение долгосрочной научно-технической программы во многом зависит от новых технологий и продуктов, поэтому планирование программы неразрывно связано с прогнозированием и планированием в сфере отдельных проектов.
С целью систематизации применяемых методов обоснования решений необходимо рассмотреть состав задач на стратегическом уровне управления научно-технической программой и концептуальные подходы к их решению (табл. 12.1).
Таблица 12.1
Методы обоснования решений при управлении научно-технической программой |
|
|
|
Функции и задачи управления |
Подходы и методы принятия решений |
|
1. Стратегическое планирование |
1.1. Определение долгосрочных целей
1.2. Разработка стратегии достижения целей |
Итеративная процедура согласования стратегий с целями программы, ее возможностями с учетом прогноза экономической обстановки. Методы научнотехнического и экономического
прогнозирования |
|
1.3. Разработка стратегии |
Выбор одной или комбинации типовых стратегий (наступательной, защитной, лицензионной, промежуточной, приобретений) |
|
1.4. Выделение ресурсов на элементы программы |
Конкурентные сопоставления. Реализация концепции инвестиций в творчество |
|
2. Перспективное тематическое планирование |
|
2.1. Отбор проектов |
Многокритериальный анализ. Методы оптимизации |
|
Окончание табл. 12.1 |
|
|
|
Функции и задачи управления |
Подходы и методы принятия решений |
|
2.2. Распределение ресурсов между направлениями и разделами |
Модель внутрифирменного распределения ресурсов. Методы линейного и динамического программирования. Анализ жизненного цикла продукции |
|
3. Управление программой |
|
3.1. Контроль и оценка проектов |
Финансовые прогнозы. Анализ безубыточности. Методы дисконтирования |
|
3.2. Планирование проектов |
Сетевые методы |
|
3.3. Управление проектами |
Методы представления и анализа управленческой информации (диаграмма затраты—время, эффект—затраты, эффе кт— в ремя, текущие—будущие затраты) |
К числу широко известных методов научно-технического и экономического прогнозирования относят математическое моделирование, экстраполяцию тенденций и экспертные методы.
Бюджет научно-технической программы может определяться на основе затрат в конкурирующих либо аналоговых программах; предшествующего уровня затрат, скорректированного на планируемое расширение; процента от суммы финансирования, выделяемого на научные и технологические разработки в государственном бюджете; по сметам затрат.
Основными факторами, влияющими на формирование портфеля проектов программы, являются: соответствие стратегическим целям программы; учет объема ресурсов, которые могут быть выделены на программу, и их наиболее эффективного применения; учет фактора времени; учет воздействия проектов друг на друга в рамках программы.
При тематическом планировании (отборе проектов из сформированного избыточного портфеля) используются экспертные методы, индексно-балльные методы, методы оптимизации.
Экспертные методы применяются при выборе тематики и исполнителей для фундаментальных исследований.
При использовании индексно-баллъных методов наиболее важные факторы для выбора проектов оцениваются в баллах, после чего оценки суммируются непосредственно или путем умножения на коэффициенты значимости факторов. Сумма баллов рассматривается в качестве показателя ценности проекта.
Формирование комплексного критерия сравнительной ценности проектов осуществляется следующим образом. Разрабатывается система частных показателей для оценки перспективности проекта. Формируется гипотетический набор проектов, в котором показатели варьируются на двух уровнях (наилучшие и наихудшие значения). На базе попарного сравнения полученных вариантов рассчитываются приоритеты проектов. Комплексный критерий перспективности проекта для отбора в план программы определяется суммированием произведений значений показателей и коэффициентов значимости показателей. Далее проекты ранжируются ІЮ перспективности. В план программы включают проекты с наибольшими значениями комплексного критерия до исчерпания объема выделенных ресурсов.
Другой подход состоит в применении формальной классификационной процедуры, позволяющей выделить группы потенциально успешных проектов из общего числа предложений. При этом выделяются три уровня вероятности успеха: высокий, средний и низкий. Формулируется система факторов проектов, влияющих на успех их выполнения с учетом мирового опыта и опыта деятельности руководителя программы. Ранее выполненные работы разделяются на три группы, соответствующие указанным выше, но отражающие градации фактически достигнутого результата выполнения научно-технических разработок. Далее определяются решающие правила в виде логических условий, отражающих уникальные сочетания факторов каждой группы. Для характеристик новой темы (проекта, направления, раздела), предлагаемой в план, проверяется истинность каждого из полученных условий, если условие выполняется, то тема считается отнесенной к конкретной группе. Соответствующий уровень вероятности успеха служит информацией для принятия решения.
ОРГАНИЗАЦИОННЫЕ ОСОБЕННОСТИ ИННОВАЦИОННОГО ПРОЕКТА
Очевидно, что предприниматель — это центральная фигура для успешного научно-технического нововведения как в крупных корпорациях, так и на растущих предприятиях.
Э. Роберте
13.1. Элементы инновационного процесса
Делать не то, что делают другие. Делать не так, как делают другие.
Общеэкономическая оценка инвестиционных проектов предполагает сопоставление слагаемых затрат и результатов. Практическая проблема состоит в том, что отнести к затратам и результатам и как вычислить.
Для оценки экономической предпочтительности проектов могут привлекаться различные показатели.
Методы оценки проектов делят на статические и динамические. В первом случае показатели расходов и доходов за разные интервалы времени приводят к суммарному показателю, во втором — анализируют денежные временные потоки. Основными результатами внедрения нововведений для предприятия оказываются:
• прирост прибыли;
• увеличение объема продаж;
• снижение издержек;
• экономия рабочей силы;
• снижение расхода материалов;
• расширение рынка использования капитала;
• получение преимуществ в конкурентной борьбе.
.375
Привлечение инновационно-инвестиционного механизма для реализации процесса разработки и внедрения нововведений позволяет провести его с большой результативностью за счет:
• профессионализма привлекаемых организаций и специалистов;
• возможности выбора более качественных решений;
• привлечения на предприятия инвестиционного капитала;
• привлечения частного капитала в инвестиции;
• сокращения сроков реализации проектов;
• сокращения расходов на реализацию проектов;
• снижения риска неудачи;
• расширения числа предприятий, вовлекаемых в процесс обновления и развития;
• подъема отечественной промышленности;
• ликвидации организационных барьеров между участниками реализации проекта;
• появления дополнительных рабочих мест;
• вовлечения наукоемких разработок конверсируемого комплекса в гражданское производство;
• безопасность, словом — высокое качество жизни в самом широком смысле.
При рейтинговой оценке регионов как базы для размещения либо зарождения наукоемкого производства, генерирования научных идей, появления научно-технических лидеров можно использовать систему показателей:
1. Наличие квалифицированной рабочей силы (средне-технического персонала, ученых, инженеров, неквалифицированного персонала).
2. Стоимость рабочей силы,
3. Отношение общественности к бизнесу.
4. Стоимость земли и строительства.
5. Стоимость энергии.
6. Стоимость жизни.
7. Налоговый режим в регионе.
8. Регулирующая роль администрации региона.
9. Наличие вузов и исследовательских центров.
10. Наличие учреждений культуры.
11. Наличие хороших средних школ.
12. Климат.
13. Доступ к информационным сетям.
14. Транспортная инфраструктура (транспорт для работников, доставка сырья, отгрузка готовой продукции).
15. Близость к потребителям.
16. Доступность энергии.
17. Доступ к источникам сырья и комплектующим.
18. Наличие свободной территории для развития.
19. Условия водоснабжения.
20. Условия переработки отходов.
Традиционная цепочка работы по внедрению комплексного (крупного) нововведения 10-15 лет. Привлечение инновационно-инвестиционного механизма позволит сжать цикл работ до 3-5 лет, кроме того, привлечение инновационно-инвестиционной сети позволит параллельно вести систему нововведений.
Результативность нововведения зависит от:
1. Качества маркетинга.
2. Времени реализации проекта.
3. Обеспеченности информацией.
4. Обеспеченности знаниями.
5. Объема ранее проведенных капвложений.
6. Оперативности взаимодействия с партнерами.
7. Условий финансовых взаимоотношений с заказчиком.
8. Подготовленности персонала заказчика.
9. Комплексности услуг и работ.
Весь этот набор факторов можно в полной мере учесть только в рамках специального организационного механизма. При рассмотрении взаимоотношения нововведения и предприятия следует выделить пять их вариантов:
1) предприятие — пользователь нововведения;
2) предприятие — создатель нововведения;
3) предприятие — одновременно создатель и пользователь нововведения;
4) предприятие — носитель нововведения;
5) предприятие — само как нововведение.
Предприятие, внедряющее нововведение, может выбрать один из следующих вариантов финансового и организационного обеспечения:
• взаимодействовать с банком, привлекая инвестиции и возлагая остальную работу на свои структуры;
• взаимодействовать с банком и инжиниринговой сетью, привлекая инвестиции и услуги;
• взаимодействие с инновационно-инвестиционной сетью.
Взаимодействие предприятия с банком при внедрении нововведений
потребует возврата кредита и процентной ставки. Банк в этом случае будет иметь задержку возврата средств.
Инвестиции в нововведения для банка — это задержка оборотов капитала, но инвестиции в нововведения — это большая ставка за счет;
• большей суммы прибыли;
• получения доли прибыли в течение ряда лет;
• появления солидного клиента.
Необходимые условия предпочтения для вкладывания капитала банка в инновации — это привлечение инжиниринг-сети для услуг в процессе внедрения нововведений.
Работа с инновационно-инвестиционными центрами для предприятия — это дополнительные орграсходы, но одновременно — это рост прибыли за счет:
• государственных льгот;
• привлечения частного капитала;
• снижения риска;
• ускорения оборота капитала;
• роста эффективности проектов.
Взаимодействие предприятия с инновационно-инвестиционной-тью — это рост прибыли за счет:
• оперативности решений;
• повышения качества решений;
• появления дополнительных заказов;
• ускорения работ;
• роста эффективности проекта;
• снижения суммы расходов на проект.
Для определения плановых расходов в инновационном цикле используют следующие подходы:
1. Расчет по наиболее близкому аналогу, имевшему место ранее.
2. Выделение доли расходов фирмы как нормативной части от суммы прибыли.
3. Планирование расходов на уровне предшествующего периода.
4. Детализированный расчет по элементам работ для конкретных проектов.
В элементах расходов следует разделить расходы на реализацию нововведения и расходы на обеспечение деятельности инновационноинвестиционного механизма.
Создание и деятельность инновационно-инвестиционного механизма требует расходов. Их элементами являются:
1. Начальный фонд инвестиций.
2. Создание капитальных фондов инновационно-инвестиционной сети (помещения, оборудование, материальные активы).
3. Разработка проекта деятельности механизма.
4. Текущие расходы, среди которых особо выделяют:
• обслуживание капитальных фондов;
• обучение персонала;
• оплату труда;
• развитие нематериальных активов;
• поддержку баз данных;
• исследования;
• пропаганду достижений.
Таблица 13.1
Элементы потока финансов |
|
|
|
Источники стартового финансирования |
Источники
эффектообразования |
Способы оплаты
дохода |
|
Вложения предприятий Бюджетное финансирование работ Внебюджетные фонды Федеральные программы |
Ускорение освоения нововведений. Рост качества проектов. Снижение риска. Комплексность работ. Рост объемов производства. Расширение ассортимента продукции и услуг |
Льготы по налогообложению. Возврат прибыли. Оплата услуг |
|
Инновационно-инвестиционный механизм обеспечивает выгоду всем участникам и партнерам при выполнении конкретного проекта. Предприятие, банк, разработчик нововведений и государство, создавая инно- |
вационно-инвестиционную сеть как организацию и механизм, понесут расходы на ее создание, но и будут иметь существенную прибыль от взаимодействия с ней.
Для каждого из участников можно выделить специфические источники образования эффекта:
• для государства — это более высокая прибыль, рост объемов реализации продукции, повышение суммы заработной платы в будущем периоде (все это дает рост суммы собираемых налогов);
• для частного инвестора — это повышение процентов на капитал, снижение риска инвестирования;
• для предприятия, внедряющего нововведение, — это снижение риска, повышение прибыльности и сокращение сроков реализации нововведений;
• для инновационно-инвестиционного механизма — это доля прибыли от применения нововведений.
Финансовые потоки при внедрении нововведений требуют детального анализа, но для И&И-механизма появляется интегральный поток финансов.
Создание инновационно-инвестиционных центров для государства — это дополнительные текущие расходы за счет:
• снижения налоговых сборов;
• вложения стартового капитала.
Однако создание инновационно-инвестиционной сети для государства — это дополнительная будущая прибыль за счет роста экономики.
Развитие производства за счет наращивания стоимости основных фондов является двухсторонним процессом. Инвестиции, с одной стороны, как самостоятельный источник предпринимательской деятельности порождают процесс роста потенциала инвестиционного капитала (кумулятивный эффект), но одновременно возникает рост расходов на реновацию (сдерживающий эффект). Возврат средств от инвестирования зависит от:
• времени реализации проекта;
• эффективности проекта;
• использования ранее произведенных вложений.
Эффективность проекта индивидуальна для его участников. Если,
например, один из партнеров забирает всю прибыль, то для осталь-ш.
ных участников проекта эффективность проекта нулевая. Поэтому одной из проблем экономической оценки нововведения оказывается выбор условий распределения получаемых результатов.
На нововведения часто смотрят как на средство сделать что-либо быстрее или эффективнее. Однако подобными преимуществами не ограничиваются выгоды нововведений. Их результатом часто становятся появления новых областей производства, новых способов деятельности, нарушение монополизма. Например, открытие пластиков создало конкуренцию металлургическому производству и т. п.
13.2. Особенности организации внедрения нововведения
Инновации нЬ случаются; необходимо добиться, чтобы они случились.
Брайан Твисс
Внедрение нововведений обычно требует преодоления инерционности поведения и организационного консерватизма. Быстрое одобрение нововведения, скорее, исключение, так как большинство индивидов и коллективов стремятся сохранить привычное состояние и отвергнуть непривычное. Одна из типовых моделей внедрения нововведений требует создания обстановки, при которой освоение нововведений происходит при отсутствии видимых трудностей для коллектива предприятия.
Процесс принятия решения на предприятии о нововведении практически не поддается типизации. Чаще всего он непредсказуем и итеративен, хотя руководители предприятий постоянно стремятся к систематизации. Успеху инноваций способствуют следующие факторы:
• ориентация на рынок (связь маркетинга и инноваций является залогом будущего успеха);
• соответствие целям организации;
• наличие специальной системы отбора и оценки инноваций;
• координационное управление инновациями;
• благоприятная психологическая обстановка в коллективе;
• творческий характер труда;
• контроль за внедрением;
• потенциальная полезность;
• поддержка из внешних источников;
• наличие признанного лидера.
Инновации сдерживаются следующими факторами:
• коммуникационные трудности;
• риск при вложении средств;
• несоответствие принятым ценностям и ориентирам руководства;
• отсутствие специальных механизмов и служб для поддержки инноваций;
• монотонный режим труда;
• недостаток ресурсов;
• недостаточная проработанность;
• сопротивление новым идеям;
• нехватка опыта;
• отсутствие кооперации с партнерами.
Если воспринимать инфраструктуру как систему, обеспечивающую поддержание упорядоченных взаимоотношений участников инновационно-инвестиционной деятельности, то можно выделить:
• нормативно-правовые условия;
• технологию деятельности;
• информационноеобсспечение;
• техническое обеспечение;
• организационное построение.
Правовые условия регламентируются правилами, процедурами, положениями, законами; технология — стандартами проведения проектов и их элементов; информационное обеспечение — составом баз данных; техническое обеспечение — составом компьютерной и оргтехники; организационное построение — системой нормативных вариантов, инструкций, условий.
Маркетинговые исследования представляют начальный этап изучения предпринимательской идеи. Целью этого этапа является выявление возможностей достижения результата нововведения, его перспективности и конкурентности. При этом следует учесть потребности рынка, возможности фирмы и тенденции научно-технического прогресса.
Финансовые показатели инновационного проекта объединяются в три группы:
• инвестиционные издержки, определяющие капитальные вложения на этапах разработки и внедрения нововведения;
• финансовые результаты, определяющие прирост потока денежных средств от результатов нововведения;
• финансовыетекущие затраты, определяющие прирост потокаде-нежных расходов при внедрении и использовании нововведения (производственно-сбытовые издержки, налоги, платежи за кредиты, выплаты из прибыли и т. д.).
Финансовые расчеты могут проводиться по трем вариантам результатов от нововведения:
• пессимистический (наименее выгодное сочетание будущих ситуаций);
• оптимистический (наиболее выгодное сочетание будущих ситуаций);
• наиболее вероятный (наиболее вероятные последействия).
В качестве возможного методического приема при прогнозировании финансовых показателей нововведения может разрабатываться прогнозный сценарий развития макропоказателей внешней среды и микропоказателей предприятия.
Финансовое обеспечение инновационного процесса может реализовываться по различным схемам. Наиболее распространенными оказываются:
• кредитование из средств финансово-инвестиционных фондов (внебюджетных, коммерческих, иностранных);
• кредитование из средств коммерческих банков;
• финансирование из госбюджетных целевых программ;
• финансирование за счет казначейских обязательств Правительства;
• финансирование за счет средств предприятия— потребителя инноваций;
• финансирование за счет средств инновационно-инвестиционного центра;
• финансирование за счет средств предприятия — потребителя результатов инноваций;
• финансирование за счет выпуска ценных бумаг (акций, облигаций, векселей).
13.3. Программа работ при создании инновационного механизма
Сами по себе идеи ценны, но всякая идея в конце концов — только идея. Задача в том, чтобы реализовать ее практически.
Г. Форд
Для России необходима национальная идея по принципам организации инновационной деятельности. На реализацию этой идеи будут ориентировать комплекс правовых документов, взаимодополняющая деятельность государственных органов, рыночный механизм и государственный протекционизм.
Новая инновационная политика требует:
• обеспеченияинноваторов финансовыми ресурсами;
• создания организаций, обеспечивающих продвижение инноваций (федеральных и региональных программ, инжиниринговых, консалтинговых, инвестиционных фирм, технополисов, технопарков, свободных экономических зон);
• выработки правил координации деятельности субъектов рынка при внедрении инноваций;
• создания единого информационного обеспечивающего комплекса.
При выработке механизма реализации инновационной политики необходимы:
1. Создание организационной структуры поддержки инновационного предпринимательства (на уровне Правительства Российской Федерации, на региональном и отраслевом уровнях).
2. Организация базовых инновационно-инвестиционных центров, обеспечивающих комплексную (финансовую, информационную, кадровую, научную) поддержку инновационной деятельности.
3. Разработка системы экономической поддержки инновационной деятельности (система прямых и косвенных способов) со стороны государства.
4. Создание компьютерных информационных баз по материалам, технологиям, знаниям и облегчение доступа к ним.
5. Создание общенациональных коммуникационных сетей научнотехнической информации.
6. Разработка механизма активного продвижения новых разра6о-|
ТОК.
7. Создание системы, стимулирующей взаимодействия АкадемииІ наук, высшей школы, научно-исследовательских фирм и пред-| Приятии при создании и внедрении инноваций.
8. Организация Федеральной программы создания и развития инфраструктуры поддержки инновационного предпринимательства.
9. Заключение международных договоров об облегченном обмене информацией и знаниями в инновационной деятельности.
10. Разработка программы развития и поддержки региональных технопарков и технополисов, а также отраслевых центров.
11. Разработка закона о поддержке инновационного предпринимательства.
Разработка инновационно-инвестиционного механизма является комплексным проектом, что предопределено его методической и организационной сложностью, а также значительностью последствий применения. В этом комплексном проекте переплетаются очень разнородные работы. Наряду с работой профессионального программиста требуется квалифицированное организационное проектирование, разработка законодательных документов, моделирование потоков финансов. Выполнение проекта затрагивает отдельные малые венчурные фирмы, но одновременно требует взаимодействия с органами власти регионального и федерального уровней.
Этапы выработки инновационно-инвестиционного механизма:
1. Выработка конструктивной идеи.
2. Проведение исследований по выработке принципов построения и последствий использования.
3. Разработка методики экономического анализа и проведение параметрических исследований.
4. Экспертиза.
5. Разработка детализированного проекта.
6. Подготовка учредительных документов.
7. Разработка положений по деятельности элементов механизма.
8. Разработка экономических условий деятельности отдельных элементов и механизма в целом.
9. Анализ результатов и корректировка проекта.
Региональные инновационные программы
Региональная программа — это система мероприятий юридического, экономического, организационного и политического характера, направленных на развитие экономического потенциала и повышения качества жизни населения конкретной территории. Такая территория обычно охватывает одну или несколько соседних административнотерриториальных единиц.
Конкретные цели региональных программ определяются следующим образом:
• создание или совершенствование образовательного потенциала, т. е. организация учебных заведений и разного рода курсов, обеспечивающих подготовку и переподготовку квалифицированных технических специалистов среднего звена, повышение качества обучения в школах, введение в школьные программы специальных курсов профессионального обучения;
• укрепление научного потенциала, создание новых и расширение существующих вузов и других исследовательских центров, укрепление связей с крупными научными центрами страны в других регионах;
• содействие развитию всех форм предпринимательской деятельности, особенно в наукоемких отраслях производства, как путем создания новых фирм, так и путем привлечения предприятий из других областей страны и из-за рубежа;
• создание современной инфраструктуры, обеспечивающей производственную и бытовую сферу услуг, коммуникаций, жилищных условий, экологическую безопасность, словом, высокое качество жизни в самом широком смысле этого понятия.
Организаторами региональных программ могут быть:
• федеральные органы;
• местные органы власти;
• предприятия (промышленные фирмы, банки и иные финансовые учреждения, строительные компании, предприятия сферы услуг);
• вузы;
• научно-исследовательские организации;
• общественные организации.
Местная администрация является ключевым звеном региональных программ. Они и инициаторы, и источники финансовых средств, и организаторы, и контролеры, а иногда и исполнители. Промышленный
25-1Я0
капитал в лице крупных, средних и малых предприятий выступает в первую очередь как основной субъект научно-технического прогресса и развития экономики региона. Крупные промышленные фирмы, а также банки, страховые компании часто выступают и в качестве инвестора региональных программ. Университеты и научные центры являются одним из главных исполнителен региональных программ. Наличие в регионе хотя бы одного крупного исследовательского вуза — важнейшее условие успеха программ, направленных на совершенствование структуры экономики региона. При вузе создается научный или технологический парк, один-два инкубатора малых фирм, курсы, консультативные и информационные службы. Все это необходимые звенья передачи новых технологий в промышленность.
Разнородность условий в регионах России влечет за собой существенное различие в приоритете инноваций. Для северных регионов ведущие экологические проблемы это:
• малые энергетические установки;
• переработка на месте добычи нефти и газа;
• утилизация отработанных масел;
• утилизация промышленных и бытовых отходов;
• хладостойкость конструкций;
• сохранение окружающей среды;
• переработка малоконцентрированного сырья;
• транспортные связи.
Формирование условий восприятия нововведений предусматривает четыре группы мероприятий:
1. Законодательную поддержку (подготовка проекта закона, разработка системы государственных льгот, разработка конструктивных материалов).
2. Общественное информирование (пропаганда, выступление в периодической печати, подготовка научных публикаций, проведение конференций).
3. Рекламирование рынка услуг.
4. Создание типовых элементов механизма и рекламирование.
Система региональных инновационных центров
Этапы формирования сети инновационно-инвестиционных центров — это последовательность комплекса работ:
1. Формирование центральной исполнительной структуры.
2. Разработка проекта начального состава сети.
3. Разработка положений типовых центров (инжиниринговый центр, инвестиционный фонд (банк), инновационно-инвестиционный центр).
4. Подготовка персонала (функционального, системных менеджеров, руководителей проектов).
5. Разработка проектов компьютерной сети.
6. Разработка структуры баз данных.
7. Наполнение баз данных.
8. Разработка структуры баз знаний.
9. Наполнение баз знаний.
10. Выработка организационно-экономического механизма поддержания и развития сети.
Для потока финансов необходима совокупность организационных правил:
• определение источников поступления инвестиционных средств;
• механизм аккумуляции инвестиционных средств;
• процедуры вложения капитала (целевое, программное, проблемно ориентированное);
• механизм контроля за инвестициями и их использованием;
• механизм возвратности вложенных средств;
• правила оплаты труда;
• система государственных льгот.
Совокупность проектов, проводимых в центрах инновационно-инвестиционной сети, разделяется на три группы:
• комплексные проекты развития;
• частные проекты нововведений;
• проекты развития элементов инжиниринг-сети.
Комплексные проекты требуют инжиниринговых услуг по обеспечению системности, координации и профессионализма решений. Примерами таких решений являются;
1. Экополис — проект комплексного развития территории.
2. Агрополис — проект комплексного развития сельскохозяйственного объекта.
3. Освоение шельфа — проект комплексной разработки месторождения.
4. Транспортная система города — проект развития системы транспорта и его инфраструктуры.
5. Система безопасности — комплексный проект обеспечения безопасности людей и объектов в регионе.
6. Порт — комплексный проект по созданию сложного специализированного объекта.
Отдельные проекты требуют инжиниринговых услуг по обеспечению информацией, базой знаний, программными средствами подготовки решений, профессиональными консультантами, инвестициями. Примерами таких проектов являются:
1. Создание технологической линии по изготовлению тары для напитков.
2. Создание оборудования и технологии по утилизации отходов птицефабрик.
3. Создание автоматизированного центра по изготовлению технологической оснастки.
4. Создание оборудования и технологии для электронных платежей.
5. Создание оборудования для производства из дерева индивидуальных высокосложных деталей.
6. Создание оборудования и технологии производства козеина.
7. Создание участка по изготовлению строительных перегородок на основе гипса.
8. Создание оборудования по переработке древесных отходов.
9. Создание оборудования и технологии производства порошковых материалов.
10. Создание компактных энергоустановок.
Обеспечивающие проекты ориентированы на развитие инжиниринг-сети. Это могут быть общесистемные и специализированные элементы:
1. Разработка и создание электронной сети компьютерной связи.
2. Разработка инжиниринга качества.
3. Разработка инжиниринга процесса санации неблагополучных предприятий.
4. Разработка инжиниринга медицинских решений.
5. Организация специализированных учебных центров подготовки разработчиков и пользователей инжиниринговых систем.
6. Разработка географических информационных систем.
7. Разработка инжиниринг-систем отдельных технологий, например:
• металлургия;
• пластическая обработка металлов;
• термическая обработка;
• обработка резанием;
• производство инструмента;
• производство порошка;
• лазерная технология;
• биотехнологии;
• обработка дерева;
• химические технологии и т. д.
8. Разработка структуры баз информации и знаний.
9. Разработка организации процедур инвестирования нововведений. Технологически ориентированный бизнес предполагает две группы товара:
1. Материальный товар:
• патенты;
• производственные технологии (правила);
• промышленный дизайн;
• образцы оборудования;
• модели и образцы;
• чертежи;
• технологические инструкции;
• методы работы;
• базы данных;
• программы.
2. Нематериальный товар:
• консультации;
• обучение;
• маркетинговое исследование;
• экспертиза;
• содействие контактам.
В области технологии выделяются в качестве элементов исследования и разработки системы обеспечения и качества, подбор поставщиков и партнеров, оценка состояния оборудования и запасов. В административной области выделяются управление кредитными потоками, выработка стратегии, определение принципов оплаты труда, управление работами, входящими в проект, контроль цен и расходов.
ЭКОНОМИЧЕСКАЯ ОЦЕНКА НАУЧНО ТЕХНИЧЕСКОЙ ПРОГРАММЫ
Мы, смертные, достигаем бессмертия в остающихся после нас вещах, которыемы создаем сообща.
А Эйнштейн
14.1. «Портфель» проектов
Ученый без трудов—дерево безплодов,
Саади
Понятие портфель используется для характеристики группы нескольких проектов. Принципы объединения могут быть различными. Например, можно объединить проекты однотипные по содержанию, но ориентированные на несколько различных предприятий; проекты одной функциональной или отраслевой области; проекты, близкие по организационно-финансовым условиям; проекты одного предприятия-потребителя или предприятия-разработчика.
В ряде случаев возникает необходимость в формировании «портфеля», в котором упорядочен состав проектов в виде регламентированной очередности или производственно-технологического единства. Для такого портфеля вопрос состава решается на основе оптимизационного расчета.
Примерами оптимизационных задач такого рода оказываются:
• выбрать очередность проектов «портфеля» с учетом заданного уровня начального капитала и потока возврата средств внутри «портфеля»;
* выбрать состав проектов «портфеля», обеспечивающий наибольшую удельную прибыльность при заданной сумме инвестиций.
Ориентация на работу с «портфелем» проектов вытекает из принципа достижения эффекта от синергии, когда целое оказывается более выгодным суммы частей. Объективными причинами составления «портфеля» проектов могут быть:
• органический рост фирмы;
• технологическое единство стадий процесса;
• распределение риска;
• единство партнеров.
«Портфель» проектов позволяет рассматривать эффективность не отдельного проекта, а всей группы как единого комплексного проекта. Отдельный проект характеризуется:
• суммой инвестиций, сроком реализации проекта, годовой прибылью;
• долей прибыли, возвращаемой федеральной программе;
• влиянием на другие проекты «портфеля».
Например, «портфель» проектов позволяет с небольшим стартовым капиталом, повышая последовательно масштаб выполняемых проек-, тов, наращивать капитал.
14.2. Система экономических оценок программы
Когда будешь излагать науку... незабудьпод каждым положением приводить его практические применения, чтобы твоя наука не была бесполезной.
Леонардо да Винчи
Для оценки научно-технической программы недостаточно иметь частные показатели. Сложность объекта требует использования адекватной многоуровневой системы оценок.
Можно выделить:
• частные показатели отдельных проектов;
• статические интегральные показатели по оценке результатов программы;
• ресурсные показатели программы;
• относительные показатели эффективности получения результатов программы;
• показатели общности проектов программы;
• динамику потоков ресурсов программы.
Оценивая программу в целом, можно выделить показатель общности и показатель целостность.
Целостность — это полнота программы, охват всего поля исследования. Целостность можно ценить с двух точек зрения. Во-первых, это целостность цикла «исследования—производство», а во-вторых — это целостность альтернативных вариантов. В первом случае оценивается внутренняя полнота программы, ее независимость от прочих работ. Здесь для количественной оценки можно использовать долю ресурсов, затрачиваемых на программу, по отношению к общей сумме ресурсов, потребных для достижения результата.
ресурсы г-го типа, затрачиваемые на программу
ресурсы i-го типа, требуемые на результат в целом
Вторая оценка характеризует полноту альтернативных вариантов, покрываемых проектами программы. Например, если из четырех альтернативных вариантов конструкции выбраны два в виде частных проектов, то полнота программы равна 50%.
число вариантов, включенных в виде параллельных разработок
общее число имеющихся вариантов
Общность программы можно оценить через степень единства ориентации отдельных проектов. Отдельные проекты, включенные в программу, должны быть нацелены на единые цели и результаты. От этого зависит эффективность программы в целом.
Фактически общность должна показать, насколько ухудшится результат при исключении из программы конкретного проекта. Например, при проведении последовательности проектов исключение любого из них означает крах программы в целом. Это пример 100%-ной связи проектов. Если проекты проводятся как альтернативные с целью, например, рассмотрения альтернативных вариантов конструкции, то их связь нулевая.
Влияние отдельного проекта на прочие, включенные в программу, можно оценить через:
• число проектов, в которых используется результат оцениваемого проекта;
• степень перекрытия результатов;
• степень перекрытия целей.
26—150
Потоки ресурсов программы должны проиллюстрировать динамику процесса вложения и возврата средств. В числе рассматриваемых ресурсов должны быть: затраты труда, материальные дефицитные ресурсы, занятость дефицитного оборудования, финансовые средства. Финансовый поток является интегральной динамической характеристикой. По нему выделяются характерные точки анализа: срок начала возврата, период полного возврата вкладываемых финансовых средств.
14.3. Методика экономической оценки деятельности участников программы
Чтобы па истину обратили внимание, ее иногда переворачивают «вверх ногами».
Г. Честертон
14.3.1. Источники образования эффекта программы
Участие в программе обеспечивает выгоду всем партнерам при выполнении конкретного проекта. Предприятие, банк, разработчик нововведений и государство понесут расходы на создание программы, но и будут иметь существенную прибыль от взаимодействия с ней.
Для каждого из участников можно выделить специфические источники образования эффекта.
Для государства — это более высокая прибыль, рост объемов реализации продукции, повышение суммы зарплаты в будущем периоде. Все это дает рост суммы собираемых налогов.
Для частного инвестора — это повышение процентов на капитал, снижение риска инвестирования.
Для предприятия, внедряющего нововведение, — это снижение риска, повышение прибыльности и сокращение сроков реализации нововведений.
Для программы — это доля прибыли от применения нововведений.
Создание программы для государства — это дополнительные текущие расходы за счет снижения налоговых сборов, вложения стартового капитала, но и дополнительная будущая прибыль за счет роста экономии.
Развитие производства за счет наращивания стоимости основных фондов является двусторонним процессом. Инвестиции, с одной стороны, порождают процесс роста потенциала инвестиционного каиита-395
ла (кумулятивный эффект), но одновременно и возникает рост расходов на реновацию (сдерживающий эффект). Возврат средств от инвестирования зависит от времени реализации проекта (т), эффективности проекта (у), использования ранее произведенных вложений (Л), Зависимость возврата инвестиций С от времени t и объема капиталовложений К (а — новые капиталовложения, Л — предыдущий (незавершенный) объем капиталовложений, г — задержка инвестирования, у— отдача инвестиций):
I 0 при t < г,
}(? - T)tgar при 1>т, tga = уК=у(а +А).

Любой участник должен оценивать собственный эффект от участия в программе.
Экономическая оценка решений участников программы требует конкретизации трех условий: выбора сравнительных вариантов; определения объекта, где проявляется результат (образуется прибыль); условий сопоставимости вариантов.
Для первого возможны следующие альтернативы: банковская и инновационная структура, действующие независимо; функционирование производства без механизма, обеспечивающего инновационную деятельность; деятельность банковской структуры при отсутствии инновационной структуры.
Для второго возможны следующие варианты объекта проявления результатов: производство, где изменяется сумма затрат и доходов; банк, где меняется прибыль; инновационная структура, где меняется сумма затрат и доходов; хозяйство страны, где изменяются структура расходов и сумма дохода.
Для третьего принимаемые варианты могут быть: состав и количество используемых ресурсов одинаковы или различны по вариантам; законодательные ограничения одинаковы или различны по вариантам. 26'
Выбор условий оценки деятельности программы базируется на масштабах ее деятельности и источнике затрат по образованию. Если оценивается целесообразность вложения средств со стороны конкретного банка, то условия оценки будут хозрасчетными при отвлечении ресурсов банка из другой сферы деятельности. Если оценивается целесообразность вложения средств со стороны федерального бюджета, то необходим народнохозяйствен ный подход и учет последствий в масштабах страны.
14.3.2. Оценка вовлечения банка
Альтернативой для сравнения является деятельность банка в другой сфере. Условия сопоставимости по законодательной поддержке одинаковы.
Капитал банка К может быть вложен в образование программы и затем суммы D(t) ПО годам в инновационные проекты и d(t) на поддержание механизма программы.
Если эта сумма идет на прежнюю деятельность банка, то с учетом средней ставки на капитал j имеем альтернативный доход
Г
г-і
При вложении средств в программу будет иметь
Г+Л т
f=1
где Г— период сравнения (15-20 лет); у — средний удельный доход от кредитов банка; b — удельный доход от вложения в инновации; А — период возврата процентов за кредит в инвестиции (табл. 14.1).
Таблица 14.1
|
|
|
k |
d( 1) |
d(2) |
d{ 3) |
0(1) |
0(2) |
|
|
|
|
|
|
|
|
10 |
2 |
2 |
2 |
10 |
10 |
|
2 |
1 |
1 |
1 |
10 |
10 |
|
2 |
1 |
1 |
1 |
10 |
10 |
|
2 |
1 |
1 |
1 |
10 |
10 |
|
2 |
1 |
1 |
1 |
10 |
10 |
|
2 |
1 |
1 |
1 |
10 |
10 |
10
10
10
10
10
10 |
1
1
1 |
|
|
Д |
T |
b |
|
|
|
|
|
|
|
|
|
2 |
3 |
2 |
8,1 |
-7,0 |
|
2 |
3 |
2 |
6 |
5.4 |
|
2 |
3 |
3 |
6 |
13 |
|
2 |
3 |
3 |
21,25 |
-7 |
|
2 |
3 |
4 |
21,25 |
-5 |
|
2 |
3 |
5 |
21,25 |
0,5 |
Ппимяп
0,2
0,2
0,2
Альтернативой для сравнения является деятельность банка в другой сфере, где нет государственной поддержки для инвестиций в инновации. Оценка дохода здесь такая же, как и в варианте 1:

При вложении средств в программу будем иметь
г+л т
ф, = ? Щ - джі - у)-1 -k - ?( Л(0(1 - О,) + rf(0(l - a* )K1 + гГ+1
С+Д r=t
Здесь в отличие от первого варианта учитываются два вида льгот. Коэффициент at учитывает появление дополнительного капитала за счет уменьшения налогов госбюджетного финансирования («г), появления частных (целевых) вложений в банк (ct ), сокращения суммы резервов банка (он ):

Коэффициент а2 учитывает снижение расходов на поддержание функционирования механизма программы за счет льгот на налоги и отчисления (табл. 14,2).
Таблица 14,2 Ппимрп (пяпамашичсюкий течет!
0,5
0,5
8,1
0,2
10
9,9
10
10
8,1
10
0,2
10
10
0,5
5,9
21,25
10
0,5
10
10
0,5
21,25
10
10,2
0,5
10
10
14.3.3. Оценка предприятия, внедряющего нововведение
Альтернативными вариантоми при сравнении будут: 1) организовать проект самим или через отдельную проектную фирму; 2) обратиться и заказать организацию проекта через дирекцию программы.
Для варианта 1 сумма расходов составит:
т
Я = 1+уГ"1.
{•1
где Т— период разработки и внедрения; Z? (f) — расходы по годам.
Для варианта 2 период разработок и внедрения сокращается в к раз, а расходы изменяются в S раз, поэтому сумма расходов составит:
кт т
^ = ЁА(05(1+х)-‘и- ? (0(1-/Ж1+гГ.
г=.| і =*Г+-і
Здесь Щ) — прибыль от внедрения; / — доля прибыли, отдаваемая в программу (табл. 14.3).

14.3.4. Оценка обеспечивающей структуры в образовании механизма программы
При сопоставимых проектах проектная организация добьется результата, если не будет в составе программы, за больший интервал времени и при больших расходах суммы инвестиций. Произойдет это за счет необходимости участия в конкурсе инвестиционных предложений и отсутствия взаимного доверия между банком и проектной организацией. Расходы по индивидуальной работе проектной организации окажутся
т
=?вд(і+:кГ+!,
т = і
где у — проценты за кредит; л,<о — требуемые инвестиции по годам.
Расходы обеспечивающей компании при деятельности в структуре программы составят
kj г
^Xwo+rfwxi+err"'- ? (о/а+хг,
*=1 г=*Г+1
где d(t) — дополнительные расходы на программу по сравнению с инжиниринг-сетью; е — снижение процентов за кредит в программе;
I!{t) — прибыль от внедрения нововведения; у — доля прибыли, передаваемая в программу (табл. 14.4).
Таблица 14.4 Пример (параметрический расчет)
18,75
30,5
01
0,5
20
20
10
0,1
15,6
0,5
0,2
31
30
30
10
14,1
0,5
0,5
0,1
0,2
20
20
31
10
14.3.5. Оценка вложений со стороны бюджета
Бюджет, вкладывая капитал K(t) в создание программы, сокращает вложения в другие сферы экономики. Примем в качестве альтернативного варианта использования средств вложение напрямую в проекты внедрения нововведений. В случае отсутствия программы будем иметь доход
г
Ф -- ?(Д (0+4(0X1 +уГ" + ПіШт5
1=1
где с/, — расходы в распределенную структуру; 0,(0— инвестиции в проекты; Л, — годовая прибыль от комплекса проектов;/ — налоговая ставка для отчислений в бюджет; pt — вероятность успеха работ; т ~ нормативный (принятый) срок окупаемости вложений.
При наличии программы доход окажется
т
Ф, = ?( А(0+4(0+Х(0)(1+уГ 1 + п2<рр2 rn,
i=[
где р2 — вероятность успеха работ (р, > р,); К— коэффициент сокращения срока внедрения; 4,(0 — расходы на поддержание механизма программы; K{t) — расходы на создание программы; D./t)— инвестиции в проекты; П2 ~ годовая прибыль от внедрения проектов, созданных при участии механизма программы; у — кредитная ставка.
Вовлечение частного капитала вслед за гарантиями государства принесет доход за счет увеличения суммы инвестиций от IXI) до D(t)+atD(t), где д, — коэффициент частных инвестиций.
Прибыль от нововведения вычисляется через норму прибыли
П(?) - Щі - В)Ь,
где b — норма прибыли; D — инвестиционная задержка для отдачи капитала.
14.3.6. Оценка целесообразности вложений инвестора в техническое нововведение
Рассмотрим оценку целесообразности вложения средств в новую технику и технологии, не детализируя вид инвестора. Это может быть государство, частный капитал, банковские инвестиции.
Вложения в нововведения характеризуются временем реализации А и отдачей от вложений в виде роста реализации, снижения себестоимости, предотвращения потерь, компенсацией роста затрат и т. п. — П(І). Инвестор, вкладывая свой капитал, претендует на часть этого выигрыша — ф. Вложив сегодня капитал в размере D, вы получите через Д лет отдачу в размере фП.
Если рассмотреть один проект, то оценка вложений в него составит
Соответственно сумма дохода будет
n=^(t)LXt-A)(i + Yr
Записанные правила расчета предполагают приведение потока финансов к моменту принятия решения (начальному моменту). Коэффициент приведения обозначен через у.
Сравнение К и /является основой для выработки решения о целесообразности инвестиций в нововведение:
S = К - Пр,
Здесь S — доход инвестора; р — вероятность успеха.
Таким образом, инвестор готов пойти на вложение, если выполнится условие: [s/k — у).
Оценивая правила расчета, выделим в составе используемой информации:
• параметры условий^, л, Ф( f);
• потребные вложения/?(?);
• поток прибылиЯ(0;
• период анализа!;
• рис^ероприятия р.
14.3.7. Оценка вторичного экономического эффекта для инвестиционного банка
Банк, идущий на поддержку предприятия, связывает капитал в недвижимости. Прямая оценка отдачи приведет к отрицательному результату. Но предприятие — это комплексный клиент банка.
Этого клиента можно создать, и он может дать:
• заработок на расчетном обслуживании;
• заработок на создаваемых страховых фондах;
• заработок на привлечении вложений работающих;
• заработок на текущем кредитовании предприятия;
• заработок на посредничестве при расчетах с заказчиками;
• заработок на пенсионном обслуживании работающих.
Одновременно инвестиционный банк может получить государственную поддержку через налоговые льготы, бюджетные вложения, получение престижности.
Каждый из этих факторов будет проявляться через рост потоков капитала в банк.
В основе количественной оценки отмеченных выше факторов лежат экспертные оценки.
14.4. Оценка воздействия программы на научнотехническое развитие промышленности
Выразиложнуюмысльясно, и она самасебя опровергнет.
Л. Вовенарг
Воздействие комплексной научной программы на научно-техническое развитие экономики страны проявляется многофакторным образом. Следует выделить прямое влияние через внедренные результаты, косвенное влияниечерез:
• создание условий для развития других областей знаний, технологий, производства;
• создание техники и технологий универсального применения;
• повышение квалификации исследовательского, проектного и промышленного персонала, вовлеченного в выполнение научной программы;
• обучение студентов и стажеров, привлеченных к участию в выполнении программы.
В полном объеме последствия выполнения комплексных научных программ оценить обычно не удается. Объясняется это объективной реальностью научно-технического прогресса. Трудно предвидеть последствия нового. Создавая новые материалы, новые виды техники и новые технологические процессы, нет возможности назвать все области их применения, так как сами эти разработки приоткрывают новые области и дают новые знания, которых ранее не существовало. Сам процесс распространения новых результатов оказывается во многом неопределенным и зависящим от интенсивности информационных сведений о новых результатах.
С повышением интеллектуального уровня программы (уровня фундаментальности разработок) возрастает уровень неопределенности в оценке ее полного влияния на научно-техническое развитие промышленности и затрудняется определение полного состава потребителей ее результатов (за исключением прямых заказчиков). Фактически можно говорить о нескольких зонах результатов: ближайшая зона — прямые результаты у заказчиков программы, вторая зона — дублирование результатов на предприятиях-аналогах, третья зона использование результатов в других имеющихся производствах, четвертая зона — появление принципиальных изменений в производстве под воздействием новых результатов, пятая зона — генерирование новых научных разработок (новых программ) под воздействием результатов выполняемой научной программы.
При наличии прямых заказчиков из сферы промышленного производства оценка воздействия программы осуществляется по приросту суммарной прибыли, снижению расходов, сохранению прибыли в будущем (предотвращение спада), расширению сферы предпринимательской деятельности (масштабов, ассортимента) в сфере промышленного производства и осуществляется на основе классического бизнес-плана с соответствующей его доработкой.
Отсутствие прямых заказчиков из сферы промышленного производства не позволяет дать точной количественной оценки воздействия и переводит программу в разряд рисковой (венчурной).
Вторичные зоны воздействия программы могут оцениваться только с использованием вероятностных оценок.
Обновление производства, в ходе которого материализуются новые знания и научно-технические достижения, реализуется в одной из следующих форм:
• повышение технического и организационного уровня действующего производства и качества продукции за счет внедрения новых техники, технологий, прогрессивных методов организации производства, труда и управления, современной конструкторскотехнологической проработки выпускаемых изделий;
• освоение производства новых модификаций ранее освоенных базовых образцов изделий, каждый из которых определяет облик поколения продукции;
• освоение производства новых базовых образцов, знаменующее смену поколений выпускаемой продукции.
Научно-технический прогресс в любой из указанных форм характеризуется ростом эффективности и сопровождается повышением конкурентоспособности изготовленных изделий. В условиях рынка основной фактор сохранения конкурентоспособности производителя — ускорение сменяемости поколений продукции.
Характер изменения свойств выпускаемой продукции в зависимости от реализуемой формы обновления производства представлен в табл. 14.5. Классификация работ, обеспечивающих эти изменения, представлена в табл. 14.6.
На основе сочетания временного, функционального и структурного аспектов программы складываются потенциальные возможности оценки ее воздействия на развитие экономики страны.
Воздействия программы на научно-техническое развитие промышленности может оцениваться различными показателями. Имеется несколько типовых показателей.
Ценность программы поОлъсену выявляется путем сравнения ожидаемых будущих продаж с ожидаемыми расходами на исследования:

где / — показатель будущих результатов, Р — вероятность успеха, С — ожидаемые расходы на исследования, а — рентабельность продаж (отношение прибыли и оборота), S — ожидаемая сумма продаж.
|
|
Как изменяются |
|
Форма |
физические |
конструк- |
конструктор- |
элементная база |
|
обновления |
принципы |
торские |
ские материалы |
|
|
произвол- |
|
решения |
|
|
|
ства |
|
|
|
|
|
Повышение |
Не изменяются |
Допускают- |
Допускается |
Допускается |
|
технико- |
|
ся измене- |
замена ранее |
частичная заме- |
|
экономичс- |
|
ния в |
выбранных по |
на ранее вы- |
|
с* кого уровня |
|
порядке |
мере выявления |
йранншЧ по мере |
|
производства |
|
устранения |
их непригодно- |
выявления ее |
|
и качества |
|
выявленных |
сти, нетехноло- |
несоответствия |
|
выпускаемой |
|
Дефектов |
гичности |
выдвигаемым |
|
продукции |
|
конструкции |
|
требованиям |
|
Смена |
Могут ИСПОЛЬЗО- |
Широкое |
Широкое |
Локальные |
|
образцов |
зоваться новые |
применение |
применение |
последователь- |
|
выпускаемой |
физические прин- |
новых кон- |
новых конст- |
ные изменения |
|
продукции |
ципы, меняющие |
структор- |
рукционных |
в целях |
|
|
принцип действия |
ских реше- |
материалов в |
улучшения |
|
|
комплектующих |
ний,улуч- |
целях улучше- |
характеристик |
|
|
изделий, широкое |
шающих |
ния характери- |
базового |
|
|
применение |
характери- |
стик базового |
образца и |
|
|
новых конструк- |
стики базо- |
образца |
продления его |
|
|
торских решений, |
вого образ- |
|
срока жизни |
|
|
улучшающих |
ца, но не |
|
|
|
|
характеристики |
меняющих |
|
|
|
|
базового образца, |
принци- |
|
|
|
|
но оставляющих |
пиальной |
|
|
|
|
неизменным его |
основы его |
|
|
|
|
принцип действия |
конструкции |
|
|
|
Смена |
Широкое |
Разрабаты- |
Широкое |
|
|
поколений |
применение |
вается |
применение |
Принципиально |
|
выпускаемой |
новых физиче- |
система |
новых конст- |
новая |
|
продукции |
ских принципов, |
конструк- |
рукционных |
|
|
|
возможно |
торских |
материалов в |
|
|
|
изменение |
решений, |
обеспечение |
|
|
|
принципа |
приводящих |
применения |
|
|
|
действия изделия |
к созданию |
новых физиче- |
|
|
|
|
базового |
ских принци- |
|
|
|
|
образца |
пов и реализа- |
|
|
|
|
нового |
ции новых |
|
|
|
|
поколения |
конструктор- |
|
|
|
|
продукции |
ских решений |
|
Таблица 14.5
Изменение свойств продукции промышленного производства при различных формах обновления производства |
|
|
технология
изготовителя |
парк технологического оборудования |
организация
производства |
потребительские свойства |
|
Необходимые |
Замена изношенно- |
Совершенствование |
Меняются |
|
изменения, |
го оборудования, |
специализации и |
эволюционно |
|
обусловленные |
частичные измене- |
кооперирования в |
в области, близ- |
|
текущими |
ния, обусловленные |
целях улучшения его |
кой к значени- |
|
изменениями |
изменениями кон- |
технико-экономиче- |
ям, заданным |
|
конструкции, материалов элементной базы |
струкции, материалов, элементной базы, технологии |
ских показателей |
техническим
условиями на образец |
|
Широкое внедре- |
Обновление в связи |
Пересмотр орптроекта |
Улучшаются |
|
ние новой |
с внедрением новой |
действующего |
скачкообразно |
|
технологии в |
технологии и |
предприятия и |
в пределах |
|
целях освоения |
необходимостью |
создание по мере |
возможностей, |
|
новой продукции |
повышения |
необходимости новых |
представляемых |
|
и улучшения |
технико-экономи- |
специализированных |
принципом |
|
технико-экономи- |
ческого уровня |
производств в целях |
действия |
|
ческого уровня |
производства, а |
обеспечения наличия |
базового |
производства, а
также в целях
освоения технологического оборудования новых поколений |
также в целях
освоения технологического оборудования новых
поколений |
мощностей под выпуск ранее не выпускаемой продукции |
образца |
|
Разработка и |
Широкое внедрение |
Создание по вновь |
Переход на |
|
внедрение |
технологического |
разработанному |
качественно |
|
сбалансированной |
оборудования |
оргпроекту производ- |
новый уровень |
|
системы новых |
новых поколений |
ства по изготовлению |
за счет приобре- |
|
технологических |
взамен устарев- |
продукции нового |
тения новых |
|
процессов, |
шего, широкое при- |
поколения на основе |
свойств наряду |
|
обеспечивающих |
менение ранее не |
комплексного |
с резким |
|
изготовление и |
использованного |
технического перево- |
улучшением |
|
заданные технико- |
оборудования в |
оружения, реконструк- |
традиционных |
экономические
показатели |
связи с изменениями конструкции
материалов, элементной базы,
технологии |
ции и расширения действующего производства, а также нового строительства |
характеристик |
Таблица 14.6
Классификация работ, обеспечивающих изменение свойств продукции промышленного производства |
|
|
Форма
обновления
производства |
Научная и экспериментальная основа конструкторских и технологических решений |
Конструкция |
Технология
изготовления |
Производство |
Повышение
технико-эконо
мического
уровня производства и качества выпускаемой продукции |
Выработка и экспериментальная проверка рекомендаций по повышению техникоэкономического уровня производства и качества выпускаемой продукции |
Доводка конструкции выпускаемых изделий по результатам ее эксплуатации, авторский надзор за производством разработанных изделий |
Отработка проектной технологии, выработка технологических решений, проектирование и изготовление
технологического
оборудования по заданиям предприятий. Разработка и пробное внедрение типовых решений в обеспечение экономии трудовых, материальных и топливно-энергетических ресурсов |
Отработка конструкторской и технологической документации. Разработка и внедрение организа-циопно-техническихме-роприятий, обеспечивающих техническое перевооружение и реконструкцию производства в соответствии с требованиями проектной технологии и в целях улучшения технико-экономических показателей производства |
Смена образцов
выпускаемой
продукции |
Выработка, экспериментальная проверка и ком-плексирование решений по модификации базовых образцов на основе локального |
Выработка новых конструкторских решений, расширяющих возможности и улучшающих характери- |
Разработка типовых комплексных решений по сбалансированному внедрению новой техники и технологии под
освоение новых изде- |
|
|
|
использования новых
достижений прикладной и фундаментальной науки |
стики базового образца, ликвидирующих его слабые места за счет применения новых конструкционных материалов, частичных изменений элементной базы, локального использования ПО’ вых физических принципов |
лий (в т. ч. новых образцов специального технологического обо-зудования). Разработка и изготовление (передача в производство) новых образцов специального технологического оборудования в обеспечение освоения новых изделий. Выполнение проект-пых, монтажных и пуско-наладочных работ по комплексному техлеревооружению и реконструкции действующих производств |
|
|
Смена поколений выпускаемой продукции |
Проведение прикладных комплексных
исследований по определению, оценке реализуемости и выполнению требований к базовым образцам новых поколений продукции |
Разработка базового образца нового поколения продукции |
Разработка проектной
технологии производства базового образца |
Обеспечение (за счет техперевооружения, реконструкции и расширения производства, нового строительства) наличия мощностей и подготовка производства под
проектную технологию изготовления базового образца нового поколения шюд?кции |
Вероятностная оценка ценности программы позволяет учесть ряд вероятностных факторов:
^хР2хРэ х(іхЕ-С)
К ’
где Р, — риск достижения положительных результатов, связанный с научно-технической реализацией; Рг — риск, связанный с технологической реализацией разработок на предприятии; Р3 — риск, обусловленный рынком (востребованностью результатов при реализации); Е — ожидаемая сумма прибыли, дисконтированная по і; С — капитальные затраты, необходимые для коммерческого распространения результатов разработки.
Одна из модификаций вероятностной оценки программы введена Кифером. Она учитывает следующие факторы: вероятность получения предполагаемого технического результата (Рг); вероятность получения предполагаемого коммерческого результата (к>; ожидаемый общий доход — G; общие затраты на программу — К. На базе этих факторов формируется оценка Кифера:
К '
Динамический показатель оценки ценности строится с учетом предполагаемого срока существования (применения) результата разработки:
„ _wWr
1 с '
где Rt — вероятность достижения научного успеха; — вероятность достижения коммерческого успеха; V — расчетный объем продаж, ед.; е — прибыль на единицу продукции; Т— длительность существования продукта (квадратный корень из числа лет); С — расчетная стоимость темы. Здесь введено предположение, что средняя расчетная сумма прибыли формируется за число лет, равное квадратному корню из общего срока использования результатов.
Динамический показатель прибыльности предусматривает детализацию состава учитываемых составляющих по затратам за счет выделения издержек, связанных с освоением производства и продвижением товара на рынок:
Сі + С; + Сэ
где і?, — вероятность достижения научного успеха; — вероятность достижения коммерческого успеха; V— годовой объем продаж ед.; Ц — цена единицы продукции; Г— период устойчивого сбыта, лет; С, — стоимость исследований и разработок; С., — издержки производственно-технического освоения; С3 — издержки на продвижение товара на рынок.
Показатель интегральной сравнительной ценности включает раздельные оценки вероятности коммерческого успеха в зависимости от качеств нового продукта и от прочих экономических факторов:
л _ ^
"з- ? -
где^ — вероятность достижения научного успеха; й2 — вероятность достижения предполагаемых показателей качества результата; — вероятность достижения предполагаемых экономических результатов; Д — чистый доход за период существования продукта; к — коэффициент оценки будущих доходов (дисконтирование суммы доходов по периодам времени); К — необходимые капиталовложения; С — расчетная стоимость исследований, разработок и процесса освоения (программы).
По данным английского журнала «Economist» (1991, Apr. 13), только 5% от общего объема расходов на НИОКР приводят в конечном итоге к появлению новой, пользующейся успехом продукции.
ПРОГНОЗИРОВАНИЕ ТЕНДЕНЦИИ НАУЧНО-ТЕХНИЧЕСКОГО РАЗВИТИЯ
Объясню, как смогу, но не буду говорить ничего окончательного и определенного, подобно оракулу Аполлона, а, будучи всего лишь слабым смертным, укажу только правдоподобные предположения.
Цицерон
Научно-технические прогнозы разрабатываются с целью определения возможных путей будущего развития науки и техники.
Главная задача комплексного научно-технического прогноза, охватывающего экономику отрасли, региона и страны в целом, — это определение возможной последовательности и масштабов распространения нововведений по отраслям. В его основе лежат частные научно-технические прогнозы, охватывающие отдельные техпроцессы и методы производства конкретных видов продукции.
Каждый техпроцесс характеризуется набором технических параметров. Технический прогресс выражается в улучшении соответствующих параметров, которое может иметь эволюционный характер в рамках дан: ной технологии, а может означать качественные сдвиги, переход к принципиально новым решениям. В последнем случае осуществляется переход к новому поколению машин.
Прогноз технических параметров, возможностей их эволюционного или скачкообразного улучшения является основным в частных научно-технических прогнозах, которые могут разрабатываться различными методами: экспертным, статистическим, сценарным.
15.1. Экспертное прогнозирование
Лучше думать перед тем, как действовать, чем после.
Демокрит
Процедура экспертного прогнозирования тенденций научно-технического развития включает четыре этапа: формирование перечня собы-тий, уточнение дат свершения событий, анализ причин наступления событий, составление окончательного прогноза.
На первом этапе эксперты в письменной форме называют новшества, изобретения и научные открытия, которые, по их мнению, должны быть сделаны за прогнозируемый период. При этом требуется доказать наличие потребности в них и определить условия их осуществления. Специальная комиссия анализирует ответы (одинаковые события объединяет, второстепенные исключает) и составляет отчет.
На втором этапе отчет вместе с новыми анкетами направляют экспертам, в задачу которых входит ранжирование условий по степени важности; внесение при необходимости поправок в первые прогнозы; определение значений прогнозируемых параметров новшеств, изобретений и научных открытий и года их реализации (в том числе «никогда», «позже прогнозного периода»). Специальная комиссия выявляет усредненные оценки значений прогнозируемых параметров и согласованность мнений экспертов. Величина разброса ответов характеризуется величиной интервала между квартилями. Пункты, по которым достигнуто согласие, исключаются из дальнейшего рассмотрения.
На третьем этапе экспертам направляют отчет с результатами второго этапа и новую анкету. Эксперты должны изложить принципы согласия с мнением большинства или несогласия с развернутой аргументацией своих оценок.
На четвертом этапе эксперты знакомятся с результатами третьего этапа и принимают окончательные решения с учетом самых последних событий. Организаторы экспертного оценивания делают критический обзор всей работы и подготавливают окончательный вариант прогноза.
Сходимость ответов экспертов к медиане иллюстрирует рис. 15.1. Эксперт Б был единственным, кто прогнозировал данное событие в первом туре опроса. К концу эксперимента большинство экспертов согласились с его первоначальной датой наступления события.
В качестве основных направлений инновационной деятельности в реальном секторе экономики могут быть названы следующие рекомендации экспертов.
В топливно-сырьевом комплексе — разработка и внедрение современных методов поиска и мониторинга запасов стратегических и дефицитных видов минерального сырья, повышение уровня их извлечения из недр и переработки, а также создание высоконадежных и экологически безопасных систем транспортировки, в том числе:
• в нефтегазовом комплексе — повышение эффективности выполнения геологоразведочных работ, увеличение объема извлечения
 |
|
Рис. 15.1. Сходимость ответов экспертов |
нефти (на месторождениях с трудно извлекаемыми запасами и с остаточными запасами нефти в обводненных зонах), строительствр скважин в шельфовой зоне и в мерзлых породах, углубление перер работки газа и конденсата с получением моторного топлива и целевых химических продуктов, а также создание высоконадежных, экологически безопасных и низкоэнергоемких систем транспортировки. Широкое внедрение новой наукоемкой техники и прогрессивных высоких технологий позволит увеличить производительность скважин не менее чем на 30% и повысить коэффициент отдачи при разработке месторождений с маломощными коллекторами с низкой или неравномерной проницаемостью; в нефтеперерабатывающей промышленности — создание катализаторов нового поколения, разработка и использование высокооктановых и кислородсодержащих добавок, а также повышение экологической безопасности и уменьшение энергоемкости. При обеспечении ввода 20-25 млн т мощностей глубина переработки нефти уже к 2005 г. может увеличиться до 73-76%; в угольной промышленности — улучшение потребительских свойств угольной продукции и создание новых систем глубокой переработки сырья, обогащение и брикетирование углей, повышение эффективности открытого способа разработки угольных месторождений при бестранспортной технологии с использованием взрывоэкскавационного перемещения вскрышных пород и новых модификаций драглайнов, повышение эффективности и безопасности подземных работ, использование новых автоматизированных комплексов и специализированных микропроцессорных контрольных сетей.
ш
В электроэнергетике — создание и использование парогазовых установок или газотурбинных надстроек паросиловых блоков (для электростанций), развитие высокоэффективных паросиловых энергоблоков (с применением новых поколений технологий для сжигания топлива), повышение эффективности систем дальнего транспорта электроэнергии; развитие малой и нетрадиционной энергетики, а также решение проблем захоронения и утилизации отходов АЭС, получение экологически чистого высококачественного энергоносителя из низкосортных топлив, разработка экономически эффективных энергоустановок, использующих возобновляемые источники энергии. При широком внедрении высоких технологий в электроэнергетике и теплоснабжении потребление топлива может сократиться на 10-12%, а вредные выбросы снизятся на 30-40%.
В транспортном комплексе — обновление и дальнейшее развитие парка транспортных средств, модернизация инфраструктуры, применение прогрессивных технологий и повышение технического уровня железнодорожного подвижного состава, морских, речных и воздушных судов, автотранспортных средств.
В металлургическом комплексе — создание сквозных технологических циклов производства, обеспечивающих максимальное ресурсо-и энергосбережение на всех стадиях производства, расширение сортамента и повышение качества металлопродукции. В результате увели-чЬния доли технологий мирового уровня удельные затраты топливноэнергетических ресурсов сократятся в горнорудной промышленности на 5-7%, в металлургическом комплексе — на 14-15% (в том числе в наиболее энергоемком производстве алюминия — на 20%), издержки производства (в целом по металлургии) — на 10-15%. При совершенствовании технологической базы предприятий улучшится состояние окружающей среды в районах их действия, а вредные выбросы в атмосферу сократятся в 2-2,5 раза.
В химической и нефтехимической промышленности — внедрение материале- и энергосберегающих технологий производства широкого спектра синтетических и композиционных материалов, в том числе новых поколений технологий получения экологически чистых базовых полимеров, химических волокон, синтетических каучуков, удобрений и ресурсосберегающих малотоннажных химических производств на базе автоматизированных блочно-модульных систем, а также катализаторов и мембран новых поколений. В результате реализации инновационной политики к 2005 г. удельный вес прогрессивных технологий может составить почти 50%, объем промышленной продукции, выпускаемой по ресурсосберегающим технологиям, повысится на 15-18%, а доля новых видов продукции увеличится на 10-12%.
В микробиологической (биотехнологической) промышленности — создание технологических процессов, обеспечивающих снижение энерго- и материалоемкости производств, биотехнологических процессов производства и переработки сельскохозяйственного сырья, повышение глубины переработки сельскохозяйственных продуктов животного и растительного происхождения, создание на основе критических технологий (технологий живых систем) новых конкурентоспособных продуктов, включая:
• белковые, гормональные и ферментные полисахариды, моно- и поликлональные антитела, биотехнологическую продукцию медицинского, сельскохозяйственного и промышленного назначения;
• новые биологически активные соединения с улучшенными характеристиками, не имеющие аналогов в природе (биокатализаторы, модифицированные микроорганизмы для интенсификации промышленных процессов, регуляторы роста растений, биоудобрения);
• белковые препараты и композиты с заданными функциональными свойствами, позволяющие решать стратегически важные задачи улучшения состояния здоровья населения, сохранения генофонда и повышения качества жизни;
• биологические средства питания и защиты растений, применяемые в различных отраслях сельского хозяйства (растениеводство, животноводство, земледелие). В результате к 2005 г. удельный вес инновационной продукции увеличится на 15-20%.
В агропромышленном комплексе стратегическими целями развития являются:
• формирование эффективного конкурентоспособного агропромышленного производства на основе внедрения достижений в области микробиологии и генетики, обеспечивающего продовольственную безопасность и независимость стран, наращивание экспорта отдельных видов сельскохозяйственной продукции и продовольствия;
• производство экологически чистых продуктов питания и создание экологически безопасных условий для населения, животного и растительного мира, сохранение природнвк ресурсов для аграрного производства.
.415
Приоритетными направлениями в инновационной политике в агропромышленном производстве станут;
• подготовка и реализация комплексных мер по воспроизводству плодородия почв;
• повышение культуры земледелия на основе комплексного применения достижений научно-технического прогресса;
• применение современных технологий при возделывании сельскохозяйственных культур (минимальная обработка почвы, совмещение технологических операций за проход посевных и уборочных агрегатов, применение высокоурожайных сортов семян, эффективных удобрений и гербицидов) с учетом ведения земледелия в нестабильных климатических условиях;
• создание и освоение систем промышленного семеноводства основных сельскохозяйственных культур, зональных механизированных комплексов по производству, переработке и хранению продовольственного зерна, высокобелковых кормов, других видов сельскохо-
1 зяйственной продукции;
• • подъем быстроокупаемых и ускоренно развивающихся отраслей,
в том числе птицеводства и свиноводства, создание на основе применения новых достижений генетики и селекции поголовья коров;
• использование возобновляемых источников энергии для сельского хозяйства, в том числе для дизельных двигателей, нетрадиционных видов моторного топлива для дизельных двигателей, нетра-
• диционных видов энергии.
В машиностроительном комплексе — производство конкурентоспособной по цене и качеству машиностроительной продукции, обеспечивающей реализацию ресурсо- и энергосберегающих технологий вютраслях реального сектора экономики, обеспечение технологического перевооружения и автоматизации машиностроительных производств, применение прогрессивных методов высокоточной обработки консгрукционных материалов и повышение качества поверхностей деталей и металлоконструкций, механизацию и автоматизацию сборочных процессов, развитие современных методов контроля и диагностики деталей и узлов в процессе изготовления и эксплуатации. Удельный вес продукции машиностроения, полученной с применением высоких технологий, к 2005 г. прогнозируется в размере 42%, в том числе в автомобилестроении — 54%, станкостроении — 44%. Доля высокотехнологичного оборудования в общем объеме активной части основных фондов и степень их загрузки увеличатся в 2005 г. до 55 и 78%.
В лесозаготовительной, деревообрабатывающей, целлюлознобумажной и лесохимической промышленности—опережающее развитие перерабатывающих производств (механической, химико-механической, химической переработки древесины) в районах основных лесозаготовок, исключение излишней транспортировки древесины, максимальное использование собственных источников энергии и вторичных ресурсов. Реализация инновационной политики позволит увеличить к 2005 г. долю высокотехнологичного оборудования в лесозаготовительной промышленности до 15%, в целлюлозно-бумажной промышленности — до 55%. При этом возрастет удельный вес продукции, получаемой с применением высокотехнологичных производств в общем объеме выпуска, например заготовки древесины до 15%, фанеры клееной большеформатной — до 40, целлюлозы и целлюлозных полуфабрикатов до 60, специальный видов бумажный материалов — до 10%.
В легкой промышленности — создание технологий, обеспечивающих эффективное использование сырьевых ресурсов (льна, шерсти, хлопка, кожевенного и мехового сырья), производство конкурентоспособных по цене и качеству материалов и изделий (тканей, натуральных и искусственных кож, одежды, обуви, кожгалантерейных и меховых изделий), широкое освоение автоматизированных систем управления технологическими процессами и автоматизированных методов проектирования и дизайна конкурентоспособной продукции. Освоение прогрессивный технологических процессов и высокотехнологичного оборудования позволит увеличить удельный вес производства обуви, выпускаемой по высоким технологиям, к 2002 г. до 35%, трикотажных костюмов — до 20, хлопчатобумажных изделий — до 50, хлопчатобумажных тканей — до 40, шерстяных тканей — до 15, шелковых тканей — до 45 %.
В производстве потребительских товаров — создание и развитие технологий по выпуску импортозамещающих компонентов и материалов. Это позволит обеспечить восстановление полного цикла производства конкурентоспособных отечественных цветных телевизоров, автоматических стиральных машин и других видов сложной бытовой техники. По группе социально значимых товаров инновационные процессы будут направлены на внедрение новых технологий, обеспечивающих повышение качества и безопасности товаров, а также создание их потребительского разнообразия. Прогнозируется доведение уровня продаж на внутреннем рынке товаров длительного пользования национального происхождения до 40-50%, социально значимых товаров — до 80-85%.
.417
В медицинской промышленности — разработка и внедрение оригинальных и воспроизводимых лекарственных средств на основе прогрессивных технологии. В общем объеме выпуска лекарственных препаратов доля производства лекарственных средств, выпускаемых с применением высоких технологий, удовлетворяющих требованиям международных стандартов GMP, может составить в 2005 г. 70%, а доля высокотехнологичного оборудования для производства высокоэффективных лекарственных средств в общем объеме активной части основных фондов фармацевтических предприятий — 30%. В общем объеме производства медицинской техники удельный вес инновационной продукции, выпускаемой с применением высоких технологий, в 2005 г. может составить 45%.
В сфере малого предпринимательства инновационная деятельность будет направлена на активизацию использования возможностей малого предпринимательства в ускорении процессов реструктуризации отраслей и реформирования предприятий в тех отраслях, где идет процесс развития кооперационного взаимодействия крупного производства с малыми предприятиями.
15.2. Статистическое прогнозирование
Того, кто не задумывается о далеких трудностях, непременно поджидают близкие неприятности.
Конфуций
Процедура статистического прогнозирования включает следующие этапы: выбор типа функции (прямая, экспоненциальная или 5-образная); расчет параметров уравнения по методу наименьших квадратов; экстраполяция тенденций.
Прямые у =• уа + at предпочтительнее для описания функциональных характеристик, равномерно развивающихся во времени.
Экспоненциальные кривые у - уйе^ хорошо описывают лавинообразный рост, когда прирост зависит в основном от достигнутого уровня. Если вместе с ростом достигнутого уровня возрастает воздействие ограничивающего фактора, то хорошее описание этого процесса можно получить с ітомощЬЮ модифицированной экспоненты y-L-iL-y^
Если ограничивающий фактор начинает влиять только после некоторого момента (точки перегиба), то наилучшее приближение дают S-образные кривые (Перла, Гомперца и Айзенсона).
27—ISO
Кривая Перла (рис. 15.2) описывается уравнением
 |
|
Рис. 15.2. Кривая Перла |
и имеет вид:
Здесь L — верхний предел переменной у, определенный для конкретного технологического решения физическими ограничениями; парамелр а определяет место кривой на временной оси; параметр b — крутизну срединной части. Переменная у изменяется от 0 при t = -« до L при t = +» Кривая симметрична относительно точки перегиба. Параметры я и 6 определяются по методу наименьших квадратов из выражения: где F=lna - bt. Значений,тносящиеся ко временйцолучают из имеющихся данных о прошлом развитии.
Кривая Гомперца (рис. 15.3) имеет вид:
 |
|
Рис. 15.3, Кривая Гомперца |

Как и кривая Перла, кривая Гомперца простирается от нуля при t ¦='-«¦ до верхнего предела L при t = +«, Кривая несимметрична. Точка перегиба приходится на Г =• (Inb)/k и у = L/e, Параметры k иЪопределяются по методу наименьших квадратов из выражения:
Л' 2
i=i
где Т=1п6 + kt. Значениям,тносящиеся ко времени t., получают из имеющихся данных о прошлом развитии.
Модель Айзе неона предполагает, что значение функциональной технологической характеристики пропорционально состоянию знания (информации). При этом приращение информации во времени зависит от числа исследователей и распознанного верхнего предела роста. Предполагается, что фактор коммуникации между учеными зависит исключительно от количества ученых.
Без распознанного предела и коммуникационных факторов состояние знания может быть выражено как:
/eSVr_l),
с
где / — информация (состояние знания), q — средний коэффициент продуктивности одного исследователя в единицу времени, Na — число исследователей, занятых в момент времени t = О, с — постоянный коэффициент (угловой коэффициент прямой на логарифмическом графике), Т — оцениваемый временной интервал.
Для приближения к верхнему пределу I вводится корректирующий фактор (1 — I/L):
ді „? *L~l
ГГ4** —’
что приводит к 5-образной кривой для состояния знания:
І~Щ-е cL ).
Фактор коммуникации между учеными основан на допущении, что каждая связь между N исследователями — при максимальном числе связей N(N — 1)/2 — вызывает столь же продуктивный вклад, как и вклад каждого ученого в отдельности. Тогда уравнение приобретает вид:
дІ
dt
-2^Уа-
Интегрирование в пределах от t = О до t = Г дает:
1).
4с
Приращение информации и состояние знания растут по экспоненциальному закону, но с удвоенным показателем при е.
Кривая роста функциональных характеристик устройства в конечном счете стремится к некоторому верхнему пределу. Однако на этом развитие не заканчивается. Та же функция может выполняться другим механизмом, который достигает более высокого уровня функциональных характеристик.
Таким образом, при подходе, который ограничивается прогнозированием развития одного технологического решения, невозможно выйти за пределы, присущие данному устройству, и потому недооценивается будущий рост.
Прогноз конкретных технических областей (уровня функциональных характеристик, достигаемых серией нововведений) осуществляется экстраполяцией по огибающей кривой, которая принимает форму 5-образной кривой, описанной вокруг «малых» S-образных кривых.
Более глубокое изучение технологий еще на ранней стадии их развития может привести к раннему распознаванию перспективной технологии.
Рисунок 15.4 иллюстрирует как возможные выгоды, так и возникающие опасности. Компания, использующая технологию Г,, может получить значительные преимущества, если своевременно распознает и начнет разрабатывать технологию Т2 задолго до того, как возможности Г, начнут сходить на нет. С другой стороны, прямое сравнение тенденций Г, иТ2 в момент f, может привести к ложным долгосрочным выводам, если оно будет производиться без учета огибающей кривой.
 |
|
Рис. 15.4. Прогноз технических областей |
15.3. Сценарное прогнозирование
Каждый великий успех науки имеет своим истоком великую дерзость воображения.
Д.Дьюи
Сценарное прогнозирование используется с целью выявления общего результата влияния отдельных прогнозов. Сценарий объединяет отдельные прогнозы в единое целое, показывает совместное воздействие отдельных прогнозов и позволяет проверить внутреннюю согласованность прогнозов.
Процедура сценарного прогнозирования включает следующие шаги: попарное сравнение прогнозов, заполнение матрицы взаимодействия событий, моделирование ситуации, составление окончательного прогноза.
Таблица 15.1
Матрица взаимодействия событий (пример) |
|
|
|
Год |
Вероят
ность |
Собы
тие |
С, |
с2 |
|
с4 |
|
2000 |
80% |
С, |
- |
Способствует, 30%, сразу |
Ускоряет,
5 лет, сразу |
Ускоряет,
8 лет, сразу |
|
2007 |
50% |
С2 |
Уменьшает, 10%, сразу |
|
Способствует, 20%, сразу |
Способ
ствует,
5%, сразу |
|
Окончание табл. 15.1 |
|
|
|
Год |
Вероят
ность |
Собы
тие |
С, |
с2 |
|
|
|
|
|
|
|
|
|
|
|
2010 |
30% |
|
Замедляет,
5 лет, сразу |
Замедляет,
5 лет, сразу |
|
Способствует, 10%, сразу |
|
2015 |
40% |
С, |
Замедляет,
5 лет, сразу |
Не оказывает
влияния |
Уменьшает, 5%, сразу |
|
В табл. 15.1 анализируются действия четырех событий — С? СгСу С4, которые произойдут в соответствующие годы с заданной вероятностью. Элементы матрицы отражают характер, силу и запаздывание воздействия одного события на другое. Над диагональю показаны результаты воздействия наступившего события (указанного в строке); под диагональю — взаимодействие в случае, если раннего события (указанного в столбце) не было.
Если событие С, произошло, тогда вероятность наступления события Сг увеличивается на 30% и это воздействие сказывается немедленно. Если Сх не произошло, то вероятность события С2 понижается на 10% без запаздывания. Реализация С, сразу ускоряет появление событий С3 на 5 лет и С4 на 8 лет, в противном случае замедляет их наступление на 5 лет.
После заполнения и проверки матрицы можно составлять объединенный прогноз (сценарий). Один из способов его создания заключается в «проигрывании» ситуации появления или непоявления отдельных событий исходя из их вероятности. Если событие «происходит», то нужно сделать соответствующие записи в наддиагональных клетках матрицы, скорректировав вероятности и даты последующих событий, и т. д.
В итоге получается полный набор прогнозов, внутренне взаимосвязанных и описывающих один из возможных вариантов будущего.
Рассмотрим вариант сценария, в котором события С2 и С4 происходят, а события иС3 не происходят. Вследствие ненаступления события С, вероятность С2 уменьшается до 50 — 10 = 40%, событие О, откладывается до 2010 + 5=2015 г., а событие С4 - до 2015 + 5 = 2020 г. При наступлении события С2 вероятность С3 увеличивается до 30 + 20 - 50%, вероятность С4~ до 40 + 5 = 45%, даты обоих событий остаются прежними (2015 и 2020 гг.). Под воздействием ненаступления события С„ вероятность С.
уменьшается до 45 — 5 = 40%, датой его остается 2020 г. Событие С совершается.
Всего в матрице содержится 16 различных сценариев. Проигрывая ситуацию много раз, можно получить оценку вероятности каждого сценария (разделив число появления данного сценария на общее число вариантов) и пересмотреть оценки вероятности каждого события (разделив число наступления данного события в сценарии на общее число вариантов), а также выделить критические события, наличие или отсутствие которых существенно влияет на результат.
Разновидностью развития частных сценариев является их согласование — формирование набора сценариев в шести областях; демографии, психологии, социологии, технологии, политике и экономике, согласованных путем итерации.
15.4. Программно-целевое прогнозирование
Мало просто хотеть — добивайся, стремись.
Овидий
Программно-целевое прогнозирование — это прогнозирование от конечной цели. Алгоритм программно-целевого прогнозирования включает четыре взаимосвязанных этапа; прогноз, формирование программ, планирование и реализацию программ.
Перейдем к описанию каждого из этапов.
Прогноз. Прогноз эволюции экономики — это не план. Здесь мы имеем дело с достаточно высоким уровнем агрегирования. Это значительно упрощает анализ и структуру используемых моделей. Если план — некоторая единственная траектория, то прогноз — это изучение возможностей. Следовательно, прогноз — некоторый пучок траекторий. Задача состоит в построении множества достижимости. Отсюда прогноз — это документ, фиксирующий возможную степень достижения тех или иных целей в зависимости от способа действий. Задачи этого этапа можно разделить на два класса: анализ внешней информации и изучение возможностей экономического организма.
Анализ внешней информации включает изучение тенденций развития международных отношений, международной торговли и рынка, перспектив технического прогресса, структуры и перспективы развития или истощения запасов полезных ископаемых, эволюции биосферы, перспектив развития отдельных регионов и т. д. Информация обо всех этих факторах необходима для формирования целей, а затем возможных вариантов целевой программы. Весьма важным элементом прогностической деятельности должно быть изучение реальных возможностей воздействия на эволюцию прогнозируемых факторов и управления ими.
Другая группа вопросов связана с изучением возможностей экономического организма.
Обозначим через /|Г/.,,..., /л характеристики конечного продукта. Это могут быть объемы производства в определенные годы, общие интегральные характеристики или объемы мощностей, производящих продукт. Нас будут интересовать максимально возможные значения этих критериев. Заметим сразу, что нельзя делать прогноз только по одному критерию без учета значения других. Поэтому прогноз должен включать в себя решение серии оптимизационных задач.
Прогноз будет успешным, если в пространстве критериев удастся построить некую область (рис. 15.5). Каждая точка Р может быть реализована при соответствующем выборе управлений (структуре инвестиций, маневре запасами, структуре выпуска и потребления и т. д.). Эту область можно назвать множеством экономических возможностей. Если обсуждаемая программа обладает характеристиками (в терминах критериев It, І? /я), которые определяют точку в этом множестве, то экономические возможности страны допускают ее реализацию.
Этому множеству в пространстве критериев соответствует множество в пространстве альтернативных вариантов целевых программ, которые можно назвать множеством возможных альтернатив.
Дальнейшие процедуры прогноза имеют целью предельно сузить это множество. Изучая другие, теперь уже не экономические критерии, мы должны отсечь все те альтернативы, которые им не удовлетворяют.

Рие. 15.5. Пространство критериев
Выделить этап прогноза, сделать его совершенно независимым от этапа выбора программы нельзя. Структура критериев и состав информации, которые этап прогноза должен подготовить, существенным образом зависят от характера программы.
Формирование программ. Все программы для своей реализации требуют ресурсов, отсюда возникает проблема распределения ресурсов по программам.
Важно изучение внутренних связей между программами. Выполнение одной из программ может содействовать реализации других программ, и наоборот.
Для решения подобных задач нужно прежде всего описание программы. По существу, программа представляет собой некоторую последовательность работ, выполнение которых необходимо производить в определенном порядке. Для этой цели удобно использовать теорию графов, которая позволяет наглядно представить процесс реализации программ во времени.
Можно говорить о том, что вариант целевой программы сформирован, если имеется перечень составляющих ее проектов и дано описание программы с временными оценками ее выполнения и требуемых ресурсов. Если мы имеем описание целевой программы, это значит, что мы знаем необходимое количество конечного продукта, который должен быть произведен. Следовательно, можем ответить на вопрос о ее реализуемости, проверить, принадлежит ли она множеству допустимых альтернатив. Если целевая программа не удовлетворяет этим требованиям, то ее следует пересмотреть. Целевая программа должна быть изменена так, чтобы общий объем необходимого ресурса был уменьшен или по-иному распределен во времени.
Предположим теперь обратное. Пусть изучаемый вариант целевой программы принадлежит этому множеству. И здесь возникает одна из важнейших задач математического обеспечения программного метода — задача о директивном сроке. Этим термином будем называть минимальное время, в течение которого предлагаемая альтернатива может быть полностью реализована. Для решения этой задачи целесообразно использовать более детализированные многоотраслевые математические модели.
Могут возникнуть две ситуации.
1. Предположим, что сформированная целевая программа, отвечающая главным целям, требует очень большого директивного срока, что нежелательно. Но в то же время, поскольку выполнение всех подпрограмм питается из одного источника, ресурсы страны не по-
28—180
360ЛЯЮТ выполнить программу в целом быстрее директивного срока. Значит, единственный выход — сокращение целевой программы.
2. Программа может быть реализована за срок, меньший, чем это предполагалось заранее, и допустимо ее расширение. Требование реалистичности программы неизбежно требует серии итераций, которые могут быть реализованы с помощью динамических моделей специального вида.
Содержание итераций, в результате которых вырабатывается целевая программа, можно пояснить следующим образом. Эксперты по отдельным проектам (ответственные за проекты) предлагают проекты и расчет ресурсов, необходимых для их выполнения. Далее решаются задачи грубой оценки объема требуемых ресурсов и задача о директивном сроке, а затем другие эксперты (ответственные за программу) принимают решения о сокращении или расширении отдельных проектов (возможно, и о замене исходного списка проектов). После этого происходит новый расчет директивного срока и т. д.
В результате процедур формирования программы будет выработана система показателей'.
Планирование. План является дальнейшим развитием и конкретизацией программы. В процессе планирования могут быть вскрыты новые резервы или обнаружены узкие места, поэтому плановый срок будет отличаться от директивного.
На этапе формирования целевой программы происходит сравнение и сопоставление многих альтернатив, но в агрегированной форме. Этап планирования — это анализ и детальная разработка уже утвержденной целевой программы.
В процессе формирования программы определяются необходимые количества конечного продукта х.(Т) . На их основе должен быть построен критерий
I ~ тш г = 1, п,
' х,(Г) ^ ’
где Т — конечный срок планирования. Задача оптимального планирования будет состоять в таком выборе управляющих воздействий, которые доставляют этому критерию максимальное значение.
Такой критерий дает возможность обеспечить наилучшее выполнение всех программ, если не существует предпочтительных, но может быть легко модифицирован, если программы ранжированы.
Реализация программы — завершающий этап.
15.5. Методы выявления тенденций развития науки и техники на базе анализа массивов документов
Прежде чем станешь писать, научись же порядочно мыслить.
Гораций
Общая последовательность подготовки исходной информации для принятия решений по формированию научно-технической политики состоит из нескольких блоков.
Первый блок — разработка морфологической классификации предметной области. Такая классификация представляет собой формализованную таблицу, в которой технологическая цепочка производства разбита на. элементы (операция, принцип действия, используемые материалы и т. д.). Для каждого элемента формируется перечень возможных альтернативных способов осуществления. Морфологическая классификация представляет собой таблицу, в которой возможны любые сочетания между вариантами аспектов деления.
Второй блок — разработка рубрикатора предметной области, например в терминах Международной классификации изобретений. Рубрикатор представляет собой набор рубрик, по которым из разных источников производится отбор документов по интересующей проблематике.
Соответственно третий, четвертый и пятый блоки — информационный поиск исходной информации; анализ полученных результатов; определение рекомендаций по формированию научно-технической политики.
Проведенные исследования позволяют выявить моменты развития и смены поколений техники, определить намечающиеся тенденции, прогнозировать дальнейшие изменения в технике и технологиях.
Существующий методический аппарат выявления мировых и отечественных тенденций развития науки и техники на базе анализа массивов документов можно свести к следующим пяти методам.
Метод структурыіо-морфологического анализа предназначен для выявления внутреннего состава предметной области, фиксации появления принципиально новых разработок (идей, технических решений и т. п.), что позволяет обоснованно формировать стратегию научнотехнической политики на подотраслевом уровне.
Специфика метода определения характеристик публикационной активности связана с тем, что поток документов ведет себя как система, подчиняясь циклическому развитию; отслеживая эти циклы, мож-28* но определить, на каком этапе жизненного цикла находится предметная область в той или иной стране. Это дает возможность предлагать корректные рекомендации по формированию научно-технологической политики на отраслевом уровне.
Метод патиентов-аналогов базируется на выявлении групп патентных документов с семейством патентов-аналогов большой мощности. Его сущность исходит из того, что фирмы патентуют за рубежом только те идеи, которые имеют практическую значимость. Поэтому, выявляя направления, в которых мощность патиентов-аналогов растет быстрее, удается тем самым устанавливать направленность деятельности ведущих фирм в развитии производственного потенциала.
Метод терминологического и лексического анализа базируется на предположении о том, что при использовании исследователями идей из других областей знаний происходит смена терминологического аппарата. Это связано с крупными структурными сдвигами, которые первоначально не отслеживаются никакими другими методами. Поэтому метод терминологического анализа позволяет выявить зарождение принципиальных инноваций на ранних этапах и спрогнозировать направленность ожидаемых изменений. Лексический анализ текстов аналогичен терминологическому анализу; различие лишь в том, что рассматриваются не конкретные термины, а словосочетания (лексические единицы).
Метод показателей основывается на том, что каждая техническая система описывается набором показателей, которые в меру научнотехнического прогресса совершенствуются, что отражается в документах. Изучая динамические характеристики показателей технических систем, можно получить четкое представление о тенденциях, имеющихся в мировой и отечественной практике и научных изысканиях.
ОПТИМИЗАЦИОННЫЕ МОДЕЛИ ПРОГРАММЫ
Оптимальное решение является наилучшим только в рамках использования данной модели. Не следует считать, что это действительно самое лучшее решение анализируемой задачи.
X. Таха
Процесс планирования, предполагающий рациональный подход, может бытъ полезным, даже если планы в действительности оказываются неадекватными.
Дональд Шон
16.1. Оптимизация сетевой схемы программы
При научных занятиях метод и направление — вот главное. Не отыскав верного метода и не найдя направления, растеряешь множество времени
и сам растеряешься.
Н. И. Пирогов
Сетевая схема программы отображает взаимосвязь проектов.
Сетевая схема состоит из дуг и узлов. Дуге соответствует выполняемая работа (обозначается стрелкой); узлу — событие, т. е. состояние перед работой (обозначается кружком).
Исходные данные, необходимые для составления сети, представляют в форме таблицы, которая включает последовательность работ и продолжительность выполнения каждой работы (табл. 16.1).
На рис. 16.1 сети числа над дугами показывают продолжительность каждой работы, события обозначаются порядковыми номерами.

Рис. 16.1. Сетевая схема программы
Г,
Событие
Начало работ Оборудование получено
Технология разработана, оборудование отлажено Персонал обучен, производство запушено
Работа обозначается двумя индексами i —j, где і — номер события, после которого начинается работа,;' — номер события, которым заканчивается работа (см. также табл. 16.2).
Последовательность работ, в которой конец предыдущей работы совпадает по времени с началом последующей, называется путем (табл. 16.3).
|
Таблица 16.3 Описание путей |
|
|
|
Путь |
Последовательность работ |
Продолжительность работ |
|
1 |
1-2-4 |
1+3 = 4 |
|
2 |
1-2-3-4 |
1 +4 + 6=11 |
|
3 |
1-3-4 |
2 + 6 = 8 |
Путь наибольшей продолжительности называют критическим (второй). Увеличение продолжительности работ критического пути приводит к более позднему наступлению конечного события. Работы, не лежащие на критическом пути, могут быть позже начаты или позже окончены, или иметь большую продолжительность без изменения срока окончания всех работ.
Величину, на которую можно увеличить продолжительность выполнения такой работы без увеличения времени наступления конечного события, называют резервом.
В нашем примере время наступления каждого события может быть найдено по зависимостям
Г,-0;
Тг=Т^іп-0+1 = 1.
Так как третье событие может наступить после выполнения работ 2-3 и 1-3, запишем:
значит, Т j = 5.
>7;+f,, =0 + 2 = 2, В. 5. Т3 > 2 Тг >Тг+і2Ъ = 1 + 4 = 5, B,5.Z,>5j
Аналогично найдем время наступления последнего события:
значит, Г4 = И.
Г4>Г2+ГМ = І + 3 = 4, В. 5. Г4 > 4 Г4>Г1 + ^5 + 6 = и В. 5. 7; >11
Окончательно время наступления событий будут равны Г, = 0;Т2 = 1; Тг5; Т= И (рис. 16.2).
Из рис, 16.2 видно, что резерв работы 1-3, который будем обозначать DIV равен 5 — 2 = 3. Значит, работа 1-3 может быть начата не в начальный момент времени, а спустя 3 ед. времени или продолжаться на 3 ед. больше, чем первоначально предполагалось, т. е. может длить-

ся 2 + 3 = 5 ед. без увеличения момента наступления конечного события «4».
Аналогично D2i = Т4~-(Тг + i2j) = П — (1 + 3) = 7,т. е. продолжительность работы 2-4 может быть увеличена на 7 ед. Очевидно, что для работ критического пути резерв времени равен 0, т. е. D[2 = Dв = Dм = 0. Для третьего события можно записать
?Г. + '» + В»-
Отсюда(Г3— Г,) -Di3-tl3.
Выражение (Г2 — 7^) записано в скобках, чтобы было наглядно видно, что это интервал времени между двумя последовательными событиями. И этот интервал за вычетом резерва Dl3 равен продолжительности работы 1-3. В этой зависимости нам задана продолжительность работы t - 2 (правая часть уравнения), остальные величины — искомые переменные. Если их обозначить:
Т « ? ¦ Л — ? ' 7' -^ у • г ¦
*3 У 13 13’ 1 ¦*1’ 13 и13'
то можно записать:
и получить линейное уравнение с тремя неизвестными.
Если записать аналогичные зависимости для всех событий и работ, входящих в нашу сеть, то получим систему:
(Гг-Г,)-Л12=^;
(Га Д[3 =^1Э'
03 ~ Т_^2 > ^гз 0<-Т2)~ Д«=?и;
(^4“?з)“Д34 -[М-
Эта система описывает топологию (структуру) нашей сети. Следовательно, сеть может быть представлена не только графически, но и в виде аналитических уравнений, которые можно ввести в ПЭВМ.
Если вместо t. подставить их известные (заданные) значения, получим;
(Т2 7]) Д12 = (;
(Г3-7^)-Д|3=2;
Ъ-Т2)~ Д24=3;
(Г4-Г3)-Д^6.
Эта система структуры сети содержит пять линейных уравнений с девятью неизвестными. Значит, она имеет бесчисленное множество решений. Чтобы ее решить, надо добавить граничные условия и ЦФ.
При этом возможны две постановки задач оптимизации.
Первая постановка: задаемся временем начала работ, т. е. значением Т. например ^=0, и стремимся закончить комплекс работ как можно раньше:
JA =тл ->min;
[т;=о.
Вторая постановка: задан срок завершения всех работ, например Г, - 15, и нас интересует как можно позже начать работы, но чтобы непременно уложиться в срок:
(Х, =7} шах;
[Ъ= 15.
Обе постановки — это задачи линейного программирования, которые можно решить (табл. 16.4).
 |
|
на +4 больше, чем в 1-й постановке |
Из таблицы видно, что резерв не зависит от постановки задачи. Времена окончания работ в первой постановке и начала работ во второй постановке определяются заданными граничными условиями.
Теперь перейдем к определению критического пути и других параметров сети, заданной в общей постановке.
В общем виде топология сети запишется:

Если обозначить S — число событий, R — число работ, то система, описывающая сеть, будет включать п переменных, где п = + R, так
как каждому і-му событию соответствует неизвестная Т(, а каждой работе — неизвестная Д^ А число ограничений m - R, т. е. каждой работе соответствует ограничение.
Поэтому в начальных сетях одна строка (.) превращается в систему линейных уравнений, содержащую сотни, а может быть, и тысячи неизвестных и ограничений.
Тогда общие постановки запишутся:
IА min;
\Т >Т
— Нил*
1^ = Т{ —»max; Т >Т .
П — ПІ1Л
где Тіші,Тпііп — заданные плановые сроки начала и окончания работ сети.
Например, для графика (рис. 16.3) из 11 событий и 20 работ (всего лишь) первая постановка при У = 0 будет иметь вид:
 |
|
Рис. 16.3 |
16. Оптимизационные модели программы
\ц =Г11 —> шіп;
\(ТгТг)-А^^ (i = 1..10;j = 2..11);
[Т,=0.
В результате решения задачи определяют критический путь, сроки начала работ и событий, резервы работ, приведенные под стрелками.
16.2. Распределение ресурсов между потреблением и накоплением
Ключом ко всякойнаукеявляется вопросительный знак.
Оноре де Бальзак
Два традиционных направления вложения доходов — это текущее потребление и наращивание капитала. Такая ситуация возникает для отдельного человека, предприятия, государства в целом. Текущее потребление обеспечивает приобретение ресурсов, товаров, продуктов для использования в настоящем периоде. За счет этого сохраняются жизнедеятельность и условия существования. Наращивание капитала не является самоцелью. Капитал необходим как инструмент повышения будущих доходов. Если сегодня часть дохода вложена в капитал, то потребитель вправе рассчитывать завтра на получение дополнительных благ либо снижение затрат на их получение.
В простейшем виде задача управления доходами формулируется как определение х(() — текущее потребление в год t иу(г) — вложение в капитал в год t. Потребности в период С обозначим через X(t).
Разница X(t) — x(t) — это неудовлетворенная потребность. Вкладывая средства в у(р), потребитель тем самым повышает текущее неудовлетворение.
Вложения в капитал y(t) характеризуются потоком доходов в будущем. Этот поток может быть различным. Отдача может проявиться через разовую выплату через некоторый период задержки, в виде постоянной отдачи на несколько последующих периодов, как достаточно сложная функция прироста доходов в будущем.
Для иллюстрации значимости текущего потребления и вложений в капитал рассмотрим отдачу в виде:
Р(0 = ~ А), где у — прирост дохода с единицы средств капитала;
Д — задержка, вызванная освоением капитала. Состояние потребителя в период С будет характеризоваться оценкой:
Общая оценка, охватывающая длительный интервал времени, будет:
г
У = 5>(гХВД-*(0-Гу<г-д)),
;=І
где (О — значимость единицы неудовлетворенной потребности в период t.
В оценку входят три параметра: а, у И Д. От их значений зависит стратегия управления доходами. Чем меньше значение у, больше Д и значительнее падение о(0 во времени, тем более предпочтительным будет превращение дохода в текущее потребление.
Обобщение ситуации, связанной с управлением доходами, происходит за счет учета инфляции денежной массы, разнообразия видов капитала, изменения структуры потребления во времени. Усложнение оценки приводит к следующему ее виду:
т -
j=(m - m - - д»/(о.
t=1 д=і
ЗдесьДО — изменение ценности денежных средств во времени, №— отдача капитала, сформированного Д лет назад.
Если учесть структуру капитала, то оценка становится более сложной:
j - ІУо v f>; (дм* - may
Параметры а, Ди/ объективно сдерживают вложения в капитал, но параметр у стимулирует наращивание капитала. Изымая единицу дохода от текущего потребления, потребитель рассчитывает на существенный выигрыш в будущем:
сс(0<'Ег0 + г)/0+т)
Г=1
Это условие предпочтения вариантов для вкладывания единицы дохода в год t.
Рассматривая проблему определения x(t) и y(t) как стратегию управления доходами, необходимо учитывать, что сумма дохода в год t является следствием сложения труда и накопленного ранее капитала:
x(t) + y(t) = f(T,K).
Накопленный капитал К равен
к = 5>(г-Д)я(Д),
где л(Д)- потеря (износ) капитала за время Д.
В качестве производственной функции f(T, К) можно принять один из многих вариантов, приводимых в литературе и наиболее подходящий к статистике рассматриваемого объекта.
16.3. Распределение ресурсов между элементами процесса
Не так благотворна истина, как зловредна ее видимость.
Ф. Ларошфуко
Практически любая трудовая деятельность распределяется на основные и вспомогательные операции. Например, для работающего на станке управление станком — это основная операция, а доставка заготовки — вспомогательная. Подготовка чертежа — основная конструкторская операция, а размножение чертежей — вспомогательная. Непосредственный результат труда Р появляется после основной операции, но производительность общественного труда зависит от суммы трудовых усилий в основных Tt и вспомогательных операциях 7^:
Р
я =-
ч j •
Іг
Можно организовать высокопроизводительный труд на основной операции, но иметь низкую общую производительность за счет плохой организации вспомогательного труда.
Проектируя и организуя процесс труда, часто внимание уделяют только основным операциям. За счет наращивания мощности, автоматизации процесса, установки систем контроля достигают уменьшения Т{. Чем больше вложено капитала в оборудование, тем меньше оказываются затраты труда:

Для вспомогательных операций ситуация аналогична:

При лимите общей суммы ресурсов, вкладываемых в процесс, возникает проблема определения/f ( и Кг

Оценкой вариантов решения этой проблемы может быть один из показателей результата труда. Если принять в качестве оценки производительность, то оценка будет иметь вид:

где Р — результат труда.
Отличительной особенностью функций ft и /2 является существенно различная чувствительность к изменению К. Во многих случаях сумма дополнительных капитальных вложений, требуемая для снижения на единицу Ту уменьшается в несколько раз при таком же уменьшении Т2. Аналогичным образом повышение производительности труда обеспечивается не только наращиванием дорогостоящих производственных мощностей, но в десятки и сотни раз меньшими вложениями в обеспечивающие операции. Однако проблема не в том, что подобная ситуация неизвестна, а в том, что сумма потребных капитальных ресурсов лимитирована.
При совокупности обеспечивающих работ появляется экономическая проблема распределения капитала:
і г
к> О,
I 3
Здесь Ку> — вложение капитала в і-ю основную работу; Kf?}—вложение капитала в і-ю обеспечивающую работу; К— общий ресурс средств; /. — правило расчета потребных текущих ресурсов в зависимости от капитал ообеспеченности.
Рассмотренная схема распределения капитальных вложений предполагала образование текущих расходов как арифметической суммы по всему комплексу операций. На практике это наиболее простой вариант.
Рассмотрим, например, распределение капитальных вложений между основной операцией, имеющей длительность Tt = аК{, и вспомогательной операцией, имеющей длительность Т2 = ЬКГ Оценка вариантов
значений и К2 имеет вид:
J = P/(aKl+b(Ki-Kt)).
Максимум этой функции будет при *= К.
Если затраты труда характеризуются зависимостями типа
7J и Г2 - bk^,
то
Распределение капитальных вложений осуществляется на основе пропорций значений коэффициентов а и Ь.
При более сложном виде функций Г[(.К’|) и Т.^К^) решение может быть получено только в числовом виде. Например, если эти функции будут иметь вид:

то значение К. можно найти как решение уравнения:
Р-І
шК“~1 =Р(К-К1у
В общем случае эффективность деятельности изменяется за счет результата труда:
Р = <р(К?%т)
и расходуемых ресурсов
поэтому оценка распределения капитальных вложений между стадиями общего процесса имеет вид

16.4. Распределение ресурсов между прямыми инвестициями и развитием инфраструктуры
Пределы науки походят на горизонт: чем ближе подходят к ним, тем более они отодвигаются.
П. Буаст
Анализируя доходность инвестиционного проекта, целесообразно сравнивать две альтернативные ситуации:
1. Производство существует без инвестиционной поддержки.
2. Производство развивается через инвестиционные проекты.
Без инвестиционной поддержки производство будет «падать». Эффект от вложения средств зависит от размера инвестиций в производство (оборудование, строительство, закупка технологий) и в исследования. Без второй составляющей результат может оказаться вообще отрицательным. Исследовательскую часть работы должна выполнять инфраструктура инновационной деятельности, но ее следует заранее создать. Таким образом, инвестиционная поддержка всегда ставит проблему о направлении вложения средств.
Интеграционными показателями производственного процесса являются:
• количество продукции — V(t);
• затраты на единицу продукции — C{t);
• потребляемая емкость -ту
Индексом «О» будем обозначать фактические, а индексом « 1» — желаемые значения показателей.
Изменение показателей происходит под влиянием
лучших факторов, учитывающих сложившиеся статистические тенденции и проводимые нововведенческие мероприятия:
где т— статистическое влияние по объемам производства, Т— период статистического влияния капитальных вложений.
Для иллюстрации механизма влияния инновационной деятельности рассмотрим сначала простую модель (производственную функцию):
П(' + 1> = Ше-°+Ж/Ж0,
где е'в — годовое снижение производства; k(t) — дополнительные вложения в развитие производства в предшествующем году; Д/) — эффективность вложений, зависящая от объема работы обеспечивающей сферы инноваций.
Чтобы достичь требуемого объема производства Vt(t+i), необходимо выполнение условия

Если сумма задана как f+k=F, то функциональное условие для определения значения / будет иметь вид

Решение этого уравнения /p(f) даст необходимый объем работы в сфере, обеспечивающей инновации. Отсюда показатели этой сферы:
• численность работающих N -а/й (?);
• стоимость фондов Ф = bfa (t).
Здесь a — производительность труда, Ь ~ фондоотдача в сфере обеспечения инновационной деятельности.
Согласно построенной модели, получаем возможность определить значения N, Ф и К, если заданы фактический и требуемый объемы производства — Vv Е,, нормативные показатели а, а, b и функция Ді).
Если принять линейную модель всех зависимостей без учета запаздывания расчета, то получим
т=/ш
m+0(t)+r(t)=F.
Максимум соответствует максимуму т

Отсюда /) = *7(2(1+ &)).
Если производительность обеспечивающей сферы принять 1 руб./руб., то распределение капитала будет в соотношении 1/4 — в работу инфраструктуры инноваций,
1/4 — в развитие инфраструктуры инноваций,
1/2 — в реализацию инноваций.
Теперь перейдем к обобщенной модели. Требуется обеспечить минимум
7 = Ел^(О-^СО)+Л(Сі(О'-с;(г))+л(Д1(0)-Д0(О):
і
г і
гдеД — коэффициент значимости і-й оценки, e(t) — коэффициент приведения во времени.
Функции изменяются под воздействием Kt) и At):
ef1 (?) = е-Л) х exp (-а) + Д(/Ж?).
Лимит вложений определяется условиями

Совокупность нововведений должна удовлетворять условию
I
г=0
где b — фондоотдача в обеспечивающей инфраструктуре.
Таким образом, динамическая оптимизационная задача состоит в образовании /(?), Ф(?) и k(t), обеспечивающих максимальное приближение фактической траектории развития к заданной е.^(?).
При полном использовании ресурсов обеспечивающей инфраструктуры
г
/)=іл?ф(г).
Решение задачи можно осуществить на основе имитационной модели путем подбора функций Ф(?) и й(?)и визуального наблюдения за соответствующими изменениями функций e^\t). Процедура исследований будет включать следующие этапы:
I 1. Задание Ф(0 И k(t).
2. Проверку условия ^)(0 + 1/^^Ф(І') + ^(0,
т=0
3. Корректировку (при необходимости) Ф(() и k(t).
4. Расчет «<0)(0-
5. Визуальное сравнение еФ(?) и е.(0>(?).
Переход (при необходимости) к п. 1.
16.5. Распределение ресурсов программы по направлениям
Многознание не научает быть умным...
Гераклит
Процедура распределения ресурсов программы по направлениям основывается на предположении, что программа сформирована, т. е. задан перечень научно-технических целей, которых мы хотим достигнуть. Далее вступает в действие механизм экспертных оценок.
Процедура распределения ресурсов программы по направлениям основывается на предположении, что программа сформирована, т. е. задан перечень научно-технических целей, которых мы хотим достигнуть. Далее вступает в действие механизм экспертных оценок.
Эксперты устанавливают коэффициенты значимости целей программы, т. е. определяют вектор л. = ,л2 ^ лл J, компоненты которого по
ложительные числа и их сумма равна 1,
Эксперты назначают перечень опытно-конструкторских разработок и строят матрицу их значимости А0 = {а11.}, элементы которой положительные числа, показывающие значимость і-й конструкторской разработки для^'-й научно-технической цели, причем + ... +
Таблица 16.5
Матрица значимости |
|
|
|
Работа |
Цель |
|
|
1 |
2 |
,,, |
п |
|
1 |
(2° u 11 |
U |
|
.._Ги ___ |
|
2 |
л°
__І!_ |
fln
_1м_ |
|
|
|
Окончание табл. 16.5 |
|
|
|
Работа |
Цель |
|
|
1 |
2 |
|
п |
|
|
|
|
|
|
|
m |
|
а”
ЛК |
|
а° -
пгЯ |
Итоговые коэффициенты значимости опытно-конструкторских работ вычисляются по формуле:
/=1
Следующий этап — определение перечня прикладных работ и составление матрицы их значимости А". Итоговые коэффициенты значимости каждой из работ определяются следующим образом:

На последнем этапе эксперты перечисляют возможные направления фундаментальных исследований и составляют матрицу их значимости Нф. Итоговые коэффициенты значимости фундаментальных исследований определяются:
h
j=i
Распределение средств, выделенных на фундаментальные исследования, осуществляется пропорционально весам компонент вектора ІО1'.
Пример
Требуется распределить по направлениям программы 1000 руб.
В результате проведенной экспертизы установлен вектор значимости целей программы К11” (0,2; 0,3; 0,5), перечень необходимых опытно-конструкторских работ, прикладных и фундаментальных исследований, а также матрицы их значимости (табл. 16.5-16.8).
Таблица 16.6
Матрица значимости |
|
|
|
ОКР |
Цели |
к° |
|
|
1 |
2 |
3 |
|
|
1 |
0,4 |
0,6 |
0 |
0,4x0,2 + 0,6 х 0,3- 0,26 |
|
2 |
0 |
0.5 |
0.5 |
0,5x0,3 + 0,5x0,5=0,40 |
Таблица 16.7
Матрица значимости |
|
|
Прикладные
Исследования |
ОКР |
*1 |
|
1 |
2 |
|
|
1 |
1 |
0 |
1 х 0,26 = 0,26 |
|
2 |
0,2 |
0,8 |
0.2 х0,26+0,8х 0,4 = 0,37 |
|
3 |
0 |
і |
1x0,40 = 0,40 |
|
А? |
|
|
Фундаментальные
исследования |
Прикладные
исследования |
|
|
|
|
1 |
2 |
3 |
|
1 |
0,3 |
0 |
0,7 |
0,3x0,26 + 0,7 х 0,4=0,36 |
|
2 |
0 |
0,5 |
0,5 |
0,5 х 0,37 + 0,5 х 0,4 = 039 |
|
3 |
0 |
0 |
1 |
1 х 0,40 = 0,40 |
Итоговое распределение средств по фундаментальным исследованиям:
1000 х 0,36 / (0,36 + 0,39 + 0,4) = 313 руб. (первое направление); 1000 х 0,39 / (0,36 + 0,39 + 0,4) =339 руб. (второе направление); 1000 х 0,40 / (0,36 + 0,39 + 0,4) = 348 руб. (третье направление).
16.6. Деление риска
Откладывая дела на завтра, ты однажды упустишь золотую возможность, но в конечном итоге у тебя будет больше денег и меньше огорчений.
Формами управления риска являются активная (агрессивная), адаптивная (приспособленческая), консервативная (пассивная). Основными способами снижения риска могут быть повышение уровня информированности, лимитирование финансовых расходов, страхование, диверсификация.
«Делениериска» — это управленческие действия, направленные на сокращение неблагоприятного будущего риска. Наиболее явное выражение этих действий связано с решениями по управлению финансами. Рассмотрим это на числовых примерах. Пусть имеется возможность вложить некую сумму капитала через приобретение акций двух предприятий. У них одинаковые дивиденды 2 руб. на руб. в год, но и одинаковый риск возможной неудачи. Получения нулевых доходов. Как распорядиться своими средствами?
Вариант 1. Вложить средства в первое предприятие.
Средний доход в этом случае равен 2 х 0,5 + 0 х 0,5 = 1 руб./руб. в год. Вероятность потери средств равняется 0,5.
Вариант 2. Вложить средства во второе предприятие.
Средний доход в этом случае равен 2x0,5 + 0x0,5 = 1 руб./руб. в год. Вариант 3. Поделить средства между предприятиями.
Средний доход в этом случае равен 2 (0,5 х 0,5) + 1 (0,5 х 0,5) + 1 х х (0,5 х 0,5) + 0 х (0,5 х 0,5) = 1 руб./руб. в год.
Вероятность потери средств равняется (оба предприятия не будут иметь прибыли) 0,5 х 0,5 = 0,25.
В последнем варианте в два раза уменьшился риск полной потери средств, а средний доход оказывается одинаковым во всех вариантах.
В рассмотренном примере управление средствами фактически не влияло на средний будущий доход, поэтому, выбирая распределение средств, можно использовать в качестве оценки минимум риска потери средств.
16.6.1. Математическое описание модели деления риска
Рассмотрим распределение средств между двумя предприятиями. Каждое из них характеризуется средним доходом и дисперсией отклонения от среднего дохода. Получаемая сумма дохода равняется

где а — доля средств, вкладываемых в первое предприятие, В — доход на капитал, вложенный в первое и второе предприятие соответственно. Величина Мявляется случайной, и для нее вычисляются математическое ожидание т и дисперсия D.
Математическое ожидание вычисляется по формуле

Формула вычисления дисперсии включает три слагаемых
D = a2Dl + (1 - afD2 + 2а{\- а)/?йШ2 ,
где D1nD2 — дисперсия дохода по первому и второму предприятиям,/— коэффициент корреляции между доходами рассматриваемых предприятий.
Вариант 1. При ml = m2 и полной независимости предприятий (/- 0) получим следующее правило деления средств между предприятиями:
a = D2/{Di +D2).
При существенно преобладающей дисперсии по второму предприятию, предпочтительным оказывается вложение средств только в первое предприятие. При значении D2, близком к нулю, предпочтение должно отдаваться второму предприятию.
Вариант 2. При ml = m2 и прямой предпринимательской зависимости между предприятиями (/=1) получается, что итоговая сумма дохода не зависит от значения а, и минимальная дисперсия итогового доходабудетдостигнутапри:
а = 1, если Х>1 < D2, а - 0, если/)І > D2.
. Вариант3. При ml = min обратной зависимости предприятий(/“-1) средняя сумма дохода не зависит от значения коэффициента а, а дисперсия будет минимальна при
а=4т/(-Ш+4М).
Комплексная оценка вариантов распределения средств имеет вид rm— D, где коэффициент г характеризует значимость для владельца средств дохода по отношению к риску. Для владельца значительных средств вложение небольшой суммы осуществляется, как правило, при большом значении коэффициента г. Инвестор готов вкладывать средства в мероприятия с большим возможным доходом, не обращая внимания на возможный риск. Соответственно инвестор с малыми средствами при вложении всех своих средств будет крайне осторожен и значение коэффициента г небольшим. В этом случае большое значение имеет прежде всего риск, а не ожидаемый доход.
Интегральная оценка имеет вид

Вариант 4. Если рассмотреть независимые направления вложения средств (J “ 0), условием достижения минимума оценки / является
а - (
Вариант 5. В общем случае деления средств между двумя направлениями деятельности получим следующее предпочтительное значение доли средств, приходящихся на первое направление:
а = (2D2- 2 fslDW2 - r(mi - m2))/(2DI+ 2D2-4fjDlD2-
По аналогичной методике можно построить правила деления между тремя и более направлениями вложения средств.
ОЦЕНКА МЕЖДУНАРОДНЫХ НАУЧНЫХ ПРОГРАММ
Как из копеек составляются рубли, так из крупинок прочитанного составляется знание.
В. И. Даль
17.1. Организационные формы и механизмы поддержки научных международных программ
Всякий раз, когда врат имеют возможность напасть на инноватора, они делают это с искренней страстью, в то время как сторонники защищают его лениво и осторожно, так как инноватор и его последователи всегда весьма уязвимы.
Никколо Макиавелли
Специфика оценки международных научных программ связана с необходимостью учета:
• расхождений в методических подходах к оценке результата в странах — участниках программы;
• различий в ценах на используемые ресурсы (материалы, трудовые затраты, оборудование);
• сопоставления валют стран — участниц проекта;
• разделения мест проведения разработок и мест реализации результатов;
• долевого участия разработчиков в полученном результате (выработке формы и масштаба получения результата).
450.
Органы государственной власти Российской Федерации создают необходимые условия для международного научного и научно-технического сотрудничества организациям и отдельным ученым.
Субъект научной и (или) научно-технической деятельности вправе вступать в международные научные и научно-технические организации и объединения, участвовать в международных научных и научнотехнических программах и проектах, научных и научно-технических программах и проектах иностранных государств, заключать договоры (контракты) и иные соглашения с иностранными юридическими лицами на работу как в Российской Федерации, так и за пределами территории Российской Федерации в порядке, установленном законодательством Российской Федерации.
На территории Российской Федерации в установленном порядке могут создаваться научные организации и научные центры с участием иностранных граждан, лиц без гражданства и иностранных юридических лиц.
Российская Федерация поддерживает научное и научно-техническое сотрудничество с иностранными государствами на основе соответствующих международных договоров Российской Федерации, международных научных и научно-технических программ и проектов, а также содействует расширению научно-технического сотрудничества научных работников и научных и иных организаций.
Органы государственной власти Российской Федерации, учитывая наличие высокоинтегрированного научно-технического потенциала Содружества Независимых Государств и других государств — бывших республик СССР, сложившиеся научно-технические связи, содействуют развитию научно-технического сотрудничества на основе многосторонних и двусторонних договоров с ними. Органы государственной власти Российской Федерации осуществляют контроль за передачей научных и научно-технических результатов, а также научной и научно-технической продукции за пределы территории Российской Федерации в порядке, устанавливаемом законодательством Российской Федерации.
В странах с развитой рыночной экономикой государство финансирует практически все фундаментальные исследования и большую часть прикладных исследований. Оценки экспертов показывают, что рентабельность государственных затрат на фундаментальные исследования чрезвычайно высока. Даже если не учитывать их косвенные последствия, государственные вложения в фундаментальную науку имеют огромный социальный эффект.
При выделении государственных субсидий соответствующие органы определяют приоритеты в зависимости от экономических требований инновационного потенциала научных исследований и степени новизны знания и информации.
Опыт развитых стран показывает, что отличительная особенность реализации инновационной политики от осуществления научно-технической политики заключается прежде всего в ресурсах, которые необходимо направлять на эти цели. Если в среднем затраты на фундаментальные исследования принять за единицу, то затраты на прикладные научно-исследовательские и опытно-конструкторские работы превышают их в 10 раз. Стратегической линией стран — членов Европейского союза (ЕС) в области инновационной деятельности является концентрация финансовых ресурсов на ключевых направлениях, включающих:
• создание единой для всех стран — членов ЕС базы данных, аккумулирующей и регламентирующей комплекс минимально необходимых процедур и формальностей для создания предприятий;
• поддержку малых и средних предприятий в целях правовой защиты от незаконного копирования разработанных технологий или выпускаемой продукции;
• создание механизма финансовой поддержки малых и средних предприятий, оказание им помощи в подготовке, регистрации и поддержании патентов, учитывая опыт работы национальных и европейских патентных бюро;
• совершенствование системы финансирования инновационной деятельности предприятий;
• введение более совершенного налогового механизма, дающего определенные льготы предприятиям, разрабатывающим и выпускающим различную инновационную продукцию;
• создание на предприятиях и в компаниях условий, стимулирующих повышение образовательного уровня работников.
Производственно-технологический сектор мировой экономики и промышленность, особенно в сфере высоких технологий, становятся по своему содержанию глобальными. Разработка высоких технологий, производство на их основе высокотехнологичной продукции (товаров, услуг), выход с ней на мировые рынки, расширение международной интеграции в этой области стали для большинства промышленно развитых стран Западной Европы, США, Японии и стран Юго-Восточной Азии важнейшей стратегической моделью и «локомотивом» экономического роста.
Наиболее актуальная тематика представлена разработками в области информационных технологий и защиты окружающей среды. Важнейшее место отведено исследованиям в области живой материи, включая медицинскую тематику, и технологиям разработки альтернативных источников энергии и энергосбережения. Тематика, получившая ранг наибольшей приоритетности, в последнее время связана с решением следующих проблем: искусственного интеллекта, сверхпроводимости, нанотехнологий и микромашин, использования солнечной энергии, глубокой переработки отходов.
В области новых материалов основные направления исследований охватывают: управление атомно-молекулярным механизмом в целях получения заданной структуры материалов и веществ; изучение возможностей активного использования свойств живой материи для создания высокофункциональных материалов и процессов их получения; разработку материалов, «дружелюбных» к окружающей среде.
Прогресс в технологиях переработки информации, системах телекоммуникаций и финансовых технологиях влечет за собой формирование единого мирового рынка товаров, капитала и труда. Положение страны в геополитической конкуренции в XXI в. будут определять образование и здоровье населения, развитие науки, возможности информационной среды, развитие ключевых производственно-технологических систем новейшего технологического уклада, способность хозяйственного механизма генерировать высокую инновационную активность, состояние системы образования и здравоохранения.
Научно-техническая политика Европейского Союза предусматривает:
• постепенное увеличение материальных ресурсов Союза, выделяемых на научные исследования, до 3 % ВВП;
• координацию деятельности национальных организаций, отвечающих за политику в области научных исследований, с целью более тесного взаимодействия в рамках программ, поддерживаемых государством, национальными академиями наук и крупными компаниями;
• выработку действенных механизмов передачи результатов научных исследований из университетов в компании и распространения среди компаний, а также из оборонного сектора в гражданский сектор и в конечном счете обеспечение конверсии выдающихся научных достижений в промышленные и коммерческие достижения;
• определение рамок взаимодействия разных компаний, способных обеспечить в ходе выполнения совместных проектов научных исследований стратегическое сотрудничество;
17, Оценка международных научных программ_453
• поддержку малых предприятий, разрабатывающих или внедряющих перспективные технологии;
• создание адекватных учебных пособий и инструкций, способствующих внедрению информационных и коммуникационных технологий и удовлетворению спроса на высококвалифицированные кадры в промышленности;
• выработку национальных стратегий, имеющих целью повышение качества образования и его результатов;
• формирование сектора открытых высших учебных заведений в странах Европейского Союза с более широкими возможностями признания профессиональной квалификации.
В то же время, как отмечалось в Декларации Всемирной конференции по науке (Будапешт, 1999 г.), необходимы новые механизмы финансирования науки. В большинстве промышленно развитых стран частные инвестиции в научно-технические исследования превышают финансовые ассигнования со стороны государственного сектора, а ряд государственных учреждений уже приватизирован или приватизируется. Организации, предоставляющие гранты, склонны отдавать предпочтение исследованиям, нацеленным на решение ближайших задач, а при оценке результатов все больше учитываются прикладные технологические аспекты и патенты, а не приобретение базовых знаний. С другой стороны, в большинстве развивающихся стран преобладающая часть научных исследований финансируется государством. Научная система слабо связана с производственной системой, а местная промышленность не использует возможности, предоставляемые наукой. В результате этого наука и техника в недостаточной степени содействуют созданию национального богатства в этих странах.
Во многих странах научные исследования, финансируемые частным сектором, стали решающим фактором социально-экономического развития, однако это не может избавить от необходимости проведения исследований, финансируемых государством. Оба эти сектора должны работать на основе тесного взаимодействия и взаимодополнения в деле финансирования научных исследований в долгосрочных целях.
В настоящее время широко признается, что ни одна страна не может обеспечить подлинного развития без соответствующих высших учебных и исследовательских учреждений, создающих критическую массу квалифицированных научных работников. Признается также, что деятельность на национальном уровне должна быть направлена на укрепление связей между высшими учебными заведениями и иссле-454
довательскими учреждениями с учетом того, что в деле созидания знаний образование и научные исследования тесно связаны друг с другом.
Одним из путей решения данной проблемы представляется создание совместных научно-учебных (учебно-научных) центров по конкретным направлениям фундаментальной науки. В последние годы в России разработана система мер по интеграции фундаментальной науки и высшего образования; выполняется Федеральная целевая программа ^Государственная поддержка интеграции высшего образования и фундаментальной науки»; созданы совместно с институтами РАН и уже функционируют более 157 научно-учебных комплексов.
Развитие любого общества, любого государства, как правило, невозможно без развития науки и технологий. Именно поэтому научные исследования, как фундаментальные, так и прикладные, относятся к сфере общественных (публичных) интересов. И именно поэтому государство использует часть валового национального продукта, а в конечном итоге — часть средств, внесенных в государственный бюджет налогоплательщиками, на осуществление научных исследований. При этом, по мнению экспертов, государству для реализации данной задачи совершенно не обязательно иметь собственные научно-исследовательские учреждения по всем возможным направлениям развития науки и технологий.
В странах Западной Европы, в США и некоторых других экономически развитых странах это было осознано уже сравнительно давно, в связи с чем в последние десятилетия практически не создавались государственные научно-исследовательские учреждения, а имевшиеся в значительной мере были трансформированы в учреждения частно-правовой формы организации. Проблема реализации государственной политики по развитию науки и технологий решается иными методами, с активным привлечением частных научных организаций. Решение было найдено через механизм формирования и размещения государственного заказа, который был создан, к примеру, в Западной Европе уже в начале нынешнего века и с тех пор постоянно совершенствуется с учетом изменяющихся социально-политических и экономических условий жизни общества.
Государственная научно-техническая политика развитых стран преследует следующие цели в осуществлении программ научных исследований, поддерживаемых правительствами:
1. Совершенствование и интенсификацию научной деятельности на стратегическом уровне с учетом того, что в перспективе возможно сближение и даже слияние фундаментальных и прикладных исследований.
455
2. Помощь в проведении научных и инновационных исследований в контексте совершенствования продукции, производственных и организационных процессов на основе более тесного сотрудничества университетов с промышленностью и коммерческими структурами в комплексных технологических инновационных программах и передачи результатов научных исследований.
3. Инвестиции в развитие кадрового потенциала с целью быстрого внедрения новых технологий посредством развития различных форм непрерывного образования.
Кроме того, в ряде стран непосредственную поддержку получают конкурсные исследования за счет долевого участия в финансировании исследований, проводимых или отдельными компаниями, или совместно несколькими компаниями, университетами или исследовательскими центрами (институтами).
Анализ ситуации в различных странах позволяет выделить три доминирующие модели взаимоотношений научных исследований и экономики.
Американская модель предусматривает стимулирование науки, включая фундаментальные исследования, а стадия технологических разработок реализуется в условиях конкурентного свободного рынка. В соответствии с этой моделью существует линейная цепочка: фундаментальные иссл едоваі гая—прикладные исследования—разработка—экономика. Одним из исходных положений этой модели является начало инновационного процесса на этапе фундаментальных исследований.
Японская модель, предусматривающая технологическое развитие путем беспрецедентно высокоэффективной ассимиляции (доработки и использования) оригинальных запатентованных изобретений (эта модель в большей степени ориентирована на инновацию и конкуренцию, чем на фундаментальные исследования).
Смешанные модели, распространенные в европейских странах.
В США фундаментальные исследования проводятся в университетах под руководством высококвалифицированных профессоров. Однако исследования общенационального значения или те, которые требуют инфраструктуры, недоступной отдельным университетам (например, в области космоса, атомной энергии, здравоохранения), выполняются в общенациональных лабораториях (Ок-Ридж, Саванна-Ривер, Национальный институт здоровья и др.). Некоторые национальные лаборатории действуют в рамках университетских кампусов и управляются университетами по контракту с правительственными организациями.
В западноевропейских странах существуют исследовательские институты, контролируемые правительством (Национальный центр научных исследований во Франции и Италии), или научные организации (Общество Макса Планка в Германии). Большое значение в этих странах также имеют исследования, проводимые университетами.
С точки зрения организации исследовательской деятельности вузы испытывают необходимость создания межфакультетских и межвузовских исследовательских центров. Две трети всех научных результатов в Германии получают именно в университетах. Остальная же их часть приходится на исследования, проводимые непосредственно на предприятиях. Таким образом, очень важно создать условия для сотрудничества представителей различных секторов науки и повысить их мобильность.
В Швеции в середине 90-х гг. стали создаваться центры (Competence Centers) в рамках национальной программы Шведского национального совета по промышленному и техническому развитию, ориентированной на поддержку исследований с участием промышленности и университетов. Деятельность новых центров позволила сделать важный вывод о возможности передачи знаний не только из университета в промышленность, но и наоборот — из промышленности в университет.
В Чехии организация научных исследований гарантирует минимум вмешательства государства в деятельность научного сообщества. Выделяют четыре типа организации и финансирования научных исследований в республике:
1. Фундаментальные научные исследования в университетах.
2. Фундаментальные исследования в институтах, не связанные с университетами и ориентированные на междисциплинарные и специальные проекты.
3. Прикладные исследования, ориентированные на решение стратегических задач, которые проводятся в основном в институтах при министерствах и финансируются министерствами.
4. Прикладные исследования, финансируемые частным сектором при выборочной поддержке государства.
В ряде стран Центральной Европы в последние годы были созданы новые учреждения, одна из задач которых — субсидирование исследований на конкурсной основе. В этих странах была учреждена система двойного финансирования. Оклады штатных сотрудников в исследовательских учреждениях и текущие расходы на аренду и содержание помещения заложены в государственный бюджет в виде отдельной статьи, дополнительное финансирование в форме грантов за исследовательскую работу позволяет осуществлять научные проекты на конкурсной и экспертной основе.
Кроме того, в некоторых странах созданы независимые исследовательские институты, расположенные на территории университетов, но не входящие в их ведение. Так, в Национальном автономном университете Мексики химический факультет осуществляет подготовку всех студентов и частично аспирантов, имеет собственные исследовательские программы. Одновременно университет содержит хорошо оснащенный Институт химии, в котором ведется работа с аспирантами (преимущественно с соискателями степеней магистра и доктора философии). Исследовательские программы института, который является элитным заведением со своими правами, отличаются от программ химического факультета.
В последнее десятилетие общей тенденцией в европейских странах было повышение роли конкуренции при выделении средств на исследования и разработки (ИР). В Договоре о создании Европейского экономического сообщества предусмотрено, что помощь, предоставляемая государством, не должна приводить к нарушению или к угрозе нарушения принципа конкуренции. Министры Европейского сообщества подписали обязательное для всех стран — членов Сообщества рамочное соглашение о государственной помощи в области исследований и разработок. В рамках этого соглашения научно-исследовательские учреждения пользуется особыми привилегиями.
Основные направления развития принципа конкуренции в европейских странах в отношении исследовательских проектов таковы:
1. Развитие основополагающего принципа «клиент-подрядчик» . Это значит, что государственная структура, осуществляющая какой-либо проект, должна относиться к себе как к клиенту даже тогда, когда работа выполняется входящей в нее организацией. На практике это означает, что «своим» организациям приходится все в большей мере конкурировать с «чужими», в том числе и с некоммерческими частными фирмами, в торгах за проекты, финансируемые «материнской структурой».
2. Рыночная проверка на эффективность. Клиент — государственная структура не просто пассивно реагирует на поступившие предложения, а доказывает, что хорошо разбирается в вопросе, изучая рынок и определяя лучшее практическое решение и подрядчика, способного оптимально использовать это решение. Клиент должен быть уверен, что победила лучшая заявка, даже если названная в ней цена не является самой низкой.
30-180
3. Оценка независимого специалиста в данной области. Этот испытанный метод фундаментальной науки распространяется и на сложные научно-исследовательские работы с тем, чтобы клиент из государственного сектора знал, «за что платит деньги».
4. Расширение конкурентных процедур. Британские советы по финансированию научных исследований используют конкурсный подход не только в отношении отдельных проектов и программ, но и при создании исследовательских центров, когда обязательства по финансированию могут продолжаться и 5-10 лет. Они также приветствуют участие своих собственных подразделений в соревновании за увеличение «доли в общем пироге». Когда советы или государственные структуры финансируют научно-исследовательские учреждения на постоянной основе, предварительный анализ потенциала последних «становится для них строгим экзаменом на их ценность для финансирующей организации и тех, кто пользуется результатами их исследований и услугами подготовленных ими специалистов». Если учреждение не выдерживает проверки, его закрывают.
В Голландии, например, применяется «конкурс красоты»: частным фирмам предлагается вступить в партнерство с научно-исследовательскими учреждениями при разработке предложений по созданию ведущих технологических институтов (ВТИ) в ключевых областях научнотехнического прогресса, частично финансируемых государством.
По мнению экспертов, укрепление конкурентной составляющей при размещении государственных контрактов на проведение научно-исследовательских работ привело к значительному повышению эффективности государственного финансирования этой области.
В Белой книге по вопросам науки, техники и технологии от 1994 г. Европейская комиссия подчеркивает, что инвестиции в образование, научные исследования, содействие изобретениям должны одинаково позитивно оцениваться и рассматриваться как обычные инвестиции. Научно-исследовательскую деятельность нужно активизировать и придать ей более целенаправленный характер. Одновременно необходимо повышать эффективность практического применения этой деятельности. Среди возможных конкретных мер, направленных на достижение этих целей, называются налоговые льготы для инвестиций в научноисследовательскую деятельность и техническое развитие (НИТР), помощь компаниям, занимающимся высокими технологиями, а также запуск крупных проектов в области НИТР. В условиях активного участия частного сектора в решении научно-исследовательских задач и пере-
459
ориентирования государственной помощи с прямых методов на косвенные становится возможным ввести налоговые субсидии для научно-исследовательской деятельности, которые могли бы дать предприятиям стимул для увеличения инвестиций, в том числе и долгосрочных, в научные разработки.
В Зеленой книге по инновациям высказаны принципиальные соображения, касающиеся методов содействия. Большое значение придается направлениям деятельности, нацеленным на развитие новаторства в Европе.
На национальном уровне такой вид деятельности делает необходимым увеличение доли нематериальных инвестиций (НИОКР, соответ-ствие требованиям и дальнейшее обучение) и новаций в государственных расходах. При этом предпочтение отдается косвенным методам.
Обозначен целый ряд мер по совершенствованию финансирования новаторской деятельности. Здесь имеется в виду, что на национальном уровне осуществляется разработка механизмов страхования рисков, связанных с новациями, а также предусматриваются совместные гарантии от таких рисков, в частности для высоко технологичных предприятий. Предусматривается также апробирование методов финансирования новаторской деятельности.
В целях повышения эффективности мероприятий по содействию науке во многих странах все более активно используется процесс оценки программ содействия. Опыт различных европейских стран подтверждает, что если оценка имеет надежную методологическую базу и проводится профессионально, то, выявляя потенциальный эффект научнотехнической политики, она оказывает информационную поддержку планированию политики, принятию решений и процессам оценки.
Современные информационные системы и базы данных позволяют быстро и целенаправленно находить требуемую информацию в области содействия научным исследованиям и разработкам. В рамках общеевропейского содействия научным исследованиям осуществляется различная деятельность, которая способствует использованию результатов научных исследований, проведенных в ходе реализации проектов ЕС, и поиску партнеров для сотрудничества. Такую деятельность проводят:
1. Центры оценки. В Европе действуют 27 таких центров, из них 4 —
в ФРГ.
2. CORDIS — Информационная служба Сообщества для научных исследований и разработок. Информационная служба CORDIS предоставляет информацию, касающуюся всей деятельности в области научных исследований и разработок в Европейском Союзе. Эта
30'
информация находится в базах данных, содержащих более чем 118 тыс. документов, часть которых обновляется ежедневно. Кроме того, в базах данных содержится информация о 260 программах ЕС, 21 тыс. проектов, которым оказывается содействие со стороны ЕС, 10 тыс. результатов НИОКР и 12 тыс. партнеров в области НИОКР. Следует, однако, отметить, что в 1994 г. во всем ЕС насчитывалось немногим более 8 тыс. зарегистрированных пользователей.
3. CIS. Информационная служба Сообщества — новая услуга по предоставлению доступа в режиме «он-лайн» к базе данных, содержащей информацию об инновационной деятельности как минимум 25 тыс. европейских компаний. Действуя под лозунгом «Новые технологии и инновации — решающий фактор роста конкурентности и занятости», CIS впервые собрала данные об инновационной деятельности в масштабе всего ЕС.
В последние годы работы по оценке программ стали более активно проводиться и в других странах, что способствовало дальнейшему развитию ее методологии. При этом выяснилось, что между состоянием бюджета политико-административной системы и методами оценки существует тесная взаимосвязь: в странах, где ощущается нехватка бюджетных средств, например в Великобритании, разработаны особенно четкие и жесткие методы. Кроме того, вмешательство Комиссии Европейского Союза в вопросы технической политики, объем и масштабы которого значительно возросли, в последние годы все чаще ставится в зависимость от мероприятий по оценке. Причина заключается в том, что эти мероприятия все чаще критикуются за явную неэффективность.
В европейских странах при наличии общих подходов к условиям финансирования научных исследований имеются определенные отличия.
В Великобритании университетским институтам через научные советы ежегодно выделяется около 600 млн фунтов стерлингов в форме субсидий на проведение научно-исследовательских работ. В большинстве случаев любая интеллектуальная собственность, созданная в результате проведения таких работ, принадлежит университету, который вправе охранять и использовать эту собственность по своему усмотрению. Научно-исследовательские подразделения стимулируют к охране и использованию прав интеллектуальной собственности (IPR), которые возникают, например, при патентовании путем заключения лицензионного соглашения с какой-либо существующей компанией или путем создания новой компании. В большинстве случаев ни научный совет, ни правительство не стремятся получить какую-либо компенса-
17. Оценка международных научных программ_461.
цию, если использование результатов научных исследований не принесет доход получателю субсидии.
В соответствии с правовыми нормами законодательства Великобритании, применимыми к определенным научно-исследовательским программам, передача прав интеллектуальной собственности должна быть согласована до начала осуществления какого-либо проекта. Между партнерами но научно-исследовательскому проекту права собственности обычно должны регулироваться таким образом, что IPR передаются партнеру или партнерам в промышленности с соответствующей компенсацией основным партнерам по данному проекту. От каждого партнера требуется навести справки относительно доступности прав интеллектуальной собственности, необходимых для осуществления проекта. В заявке на предоставление субсидии партнеры должны четко указать, в какой степени успех проекта зависит от IPR, а также о доступности IPR, владельцами которого партнеры не являются. На весь срок работы над научным проектом партнеры, являющиеся владельцами IPR, должны обеспечивать остальным партнерам возможность пользоваться этими IPR для более эффективного выполнения работ по проекту.
В Великобритании право на любую интеллектуальную собственность, возникающее в результате работы над субсидируемым проектом, обычно предоставляется производственным компаниям, являющимся партнерами по научному проекту, или передаются им. Производственные компании-партнеры за свой счет обеспечивают любую охрану результатов научных исследований в необходимом, по их мнению, объеме. Основные партнеры по научным исследованиям вправе использовать полученные ими результаты для проведения дальнейших исследований. Производственные компании — партнеры по проекту должны обеспечить как можно более эффективное использование результатов научных исследований, вследствие чего они имеют право на свободный доступ к лицензии на использование результатов, полученных основным партнерами по научным исследованиям, а также к лицензии на пользование предпосылками к созданию изобретений, имеющихся в распоряжении других партнеров по проекту в объеме, необходимом для обеспечения эффективного использования своих собственных результатов.
Участники любой программы научных исследований, осуществляемой в Великобритании, не имеют права на использование в своих интересах результатов проекта вне стран, которые в период промышленной эксплуатации результатов проекта образуют Европейскую экономическую зону (ЕЕА), за исключением тех случаев, когда на использование этих результатов вне ЕЕА получено предварительно письменное согласие субсидирующей организации.
В Германии финансирование исследований основывается на стимулировании инновационного процесса и укреплении экономики. Один из принципов заключается в том, что получатель субсидии имеет право сам использовать результаты, полученные им во время работы над финансируемым проектом, в своих интересах. Право владельца на всю полученную прибыль ограничено до тех пор, пока не будут возмещены затраты по государственному финансированию с учетом существующего принципа субституции любого долга в случае получения прибыли от результатов выполнения финансируемых проектов.
По этой причине в Германии получатель государственной субсидии, извлекающий финансовую выгоду из результатов выполнения проекта, субсидируемого государством, должен допустить организацию, финансирующую проект, к участию в пользовании полученными финансовыми выгодами. Это ограничивает юридический статус получателя субсидии в пользу государства, заинтересованного в получении своей доли прибыли от результатов выполнения проекта, финансируемого государством.
Финансирование означает стимулирование учреждения в целом, т. е. финансирование персонала учреждения, его недвижимости, инфраструктуры и оборудования. Такое финансирование не зависит от отдельных проектов и предоставляется на временной основе и как минимум на определенный период. Финансирование проекта заключается в целевом финансировании одного исследовательского проекта, осуществляемого в одном или нескольких местах. Содержание проекта, сроки его исполнения и объем финансирования должны быть точно определены, а также выполнены все условия, обеспечивающие целесообразность финансирования проекта. Получателями могут быть как государственные исследовательские учреждения, так и промышленные предприятия, а также университеты. Положения, определяющие законность пользования правом интеллектуальной собственности, излагаются в особых условиях финансирования.
В Германии права на пользование результатами исследований должны передаваться финансирующей организации для удовлетворения общественных потребностей с тем, чтобы результаты, полученные в ходе выполнения проекта, субсидируемого государством, находились в распоряжении государства. Если объем государственного субсидирования превышает 50% от общего объема финансирования проекта, то право пользования должно быть расширено до прав промышлен-
17. Оценка международных научных программ_463
ной собственности и других прав. Обязательство передавать права третьей стороне ограничивает юридический статус получателя субсидии. В этом случае он уже не является неограниченным владельцем полученных им самим результатов. Большинство заинтересованных хозяйствующих субъектов требуют, чтобы исключительное право пользования результатами исследований и разработок оставалось за получателем государственных субсидий. Существуют четко оговоренные условия участия в прибыли от результатов выполнения субсидируемого проекта. Это прежде всего означает участие в доходах от предоставления лицензий и прав пользования.
В Германии после широкого обсуждения вопроса, смысл которого заключается в том, что для стимулирования инновационного процесса было бы лучше, если бы получатель субсидии оставлял за собой право использования в собственных интересах результатов исследований и разработок, а лицензии на их использование в государственных интересах предоставлялись только в порядке исключения, было решено, что в будущем финансирование научных разработок будет основываться на следующих принципах:
1. Получатель субсидии должен довести исследования до инновационных результатов.
2. Научные учреждения должны систематически разрабатывать реалистичные концепции передачи новых технологий.
3. Получатель субсидии обязан защитить результаты своей работы правами интеллектуальной собственности.
4. Получатель субсидии оставляет себе доходы от использования разработок и использует эти доходы для разработки дальнейших инноваций.
5. Если результаты научных разработок планируется использовать вне ЕС, при составлении плана эксплуатации результатов необходимо внести соответствующую оговорку.
6. Использование результатов за границами ЕС должно быть предварительно одобрено. Если такое одобрение не получено, субсидия должна быть возмещена субсидирующей организации в полном объеме.
7. Если результаты научных разработок не эксплуатируются, исключительное право на их использование теряет силу через два года.
В Италии государственным учреждением, отвечающим главным образом за решение научно-исследовательских проблем, является Министерство по делам университетов, научных исследований и разработок новых технологий (MURST).
Объектом льготного финансирования становится такая деятельность подателя заявки на финансирование, которую тот намеревается осуществить в своих технических подразделениях для достижения заявленных целей. Как правило, в эту деятельность входит проектирование, изготовление промышленного образца и его испытание на собственной исследовательской базе либо с привлечением иных технических средств для выполнения специальных задач или для проведения экспертизы.
В соответствии с существующими положениями законодательства Италии относительно интеллектуальной собственности любое право на интеллектуальную собственность, возникающее в результате осуществления субсидируемого научного проекта, принадлежит компании, которая является нанимателем исследователя. Только в случае финансирования национальных научно-исследовательских программ государство требует передачи ему всех правовых титулов и вещных прав на результаты исследований, полученных в рамках данной программы. Цель таких программ заключается в активизации исследовательских работ, выполнение которых предположительно приведет к созданию новейших технологий, имеющих стратегическое значение, которые можно внедрить в производство в среднесрочной перспективе. Осуществление таких программ связано с высокой степенью риска с точки зрения науки, технологии и бизнеса.
Во Франции сформирована инфраструктура научно-исследовательских институтов по типу той, что создана в Германии Обществом Макса Планка. Для налаживания связей между государственными исследовательскими организациями и фирмами, которые готовы взять на себя продвижение новых изделий на рынок, французским правительством было создано Национальное агентство для оценки научно-исследовательских проектов (ANVAR), представляющее собой классический тип агентства по передаче технологий из государственных и университетских научно-исследовательских лабораторий в промышленное производство. Так, например, агентство ANVAR распоряжается портфелем патентов (ежегодно в нем насчитывается в среднем 1000— 1200 заявок как отечественных, так и зарубежных) и осуществляет поиск производственных партнеров для CNRS и университетских лабораторий.
В 90-х гг. большая часть европейских университетов столкнулась с двумя противоречивыми тенденциями: растущим спросом на их услу-.465
ги со стороны общества и неизменностью, а норой даже сокращением объемов средств, которые поступали в их распоряжение.
Рост спроса был обусловлен главным образом за счет увеличения числа желающих учиться в университете, включая последипломную подготовку с учетом менявшихся требований на рынке труда; расширения числа новых курсов и развития непрерывного образования; необходимости поддерживать на высоком уровне научные исследования. Требовалось также обновлять дорогостоящую базу НИР.
В этих условиях университеты должны были научиться быстрее и лучше адаптироваться к ожиданиям общества; лучше определять сферу оказываемых ими услуг, координируя свою деятельность с другими университетами или учреждениями высшего образования; им необходимо также не только повысить эффективность своей деятельности, но и, наконец, добиться большей ее «прозрачности». Они должны пойти на реструктуризацию и улучшить свой менеджмент. Что же касается доходных статей, то тут им предстоит поиск дополнительных или новых источников финансирования. Ниже приводятся рекомендации, которые были разработаны экспертами КРЕ, касающиеся путей и способов привлечения дополнительных средств на научные и учебные цели.
По мнению членов рабочей группы, участвовавших в подготовке рекомендаций КРЕ, для большинства университетов задача улучшения их финансового положения связана с основными пятью направлениями работы. В зависимости от специфики деятельности того или иного университета некоторые из этих направлений заслуживают большего внимания по сравнению с другими; найти их оптимальную комбинацию и активно ее реализовывать — задача самого университета.
Как отмечается в рекомендациях, университеты должны сконцентрировать свое внимание на следующем:
1) диверсифицировать систему своих услуг, чтобы своевременно реагировать на спрос, появляющийся со стороны новых групп в областях последипломного обучения и непрерывного образования, обеспечивать более высокий уровень прикладных исследований;
2) лучше использовать материальную базу и оборудование;
3) инвестировать средства в новые технологии для исследовательских и учебных целей, чтобы снизить издержки и одновременно повысить качество работы;
4) вводить более гибкий менеджмент в управление человеческими ресурсами, обеспечивая таким образом возможность более быстрой адаптации к происходящим переменам;
5) поощрять предпринимательский дух, с тем чтобы каждый сотрудник был мотивирован на поиск дополнительных источников финансирования;
6) вести совместно с другими университетами поиск путей создания новых проектов, которые позволят повысить качество обучения и гарантируют лучшее разделение труда, основанное на учете сильных сторон взаимодействующих учреждений;
7) совершенствовать университетские структуры и процессы принятия решений таким образом, чтобы учебное заведение могло перейти от традиционной (реактивной) модели менеджмента к модели упреждающей (проактивной).
Первое направление — выделение актуальности и необходимости развития высшего образования и исследовательской работы. Университеты должны быть глубоко убеждены в той чрезвычайно важной социальной роли, которую они играют в передаче и получении нового знания, анализе положения дел в обществе, а значит, должны вести постоянную борьбу за увеличение средств, расходуемых на образование.
Кроме того, следует стремиться к тому, чтобы деятельность университетов была как можно более прозрачной, университеты сами должны просить об оценке их работы независимыми от контролирующих их деятельность организаций органами. Тем самым они подчеркнут, что в долгосрочной перспективе их образовательная политика окажется более плодотворной, даже если средства, которые поступают в их распоряжение, останутся теми же или сократятся, в то время как численность студентов и объем услуг вырастут.
Такое воздействие на общественное мнение и правительство должно быть скоординировано между всеми университетами страны, и его нужно оказывать во все более увеличивающемся масштабе.
Второе направление — внесение изменений в способы представления финансовых требований университетов органам, от которых зависят объемы финансирования.
Нужно действовать таким образом, чтобы вызвать в среде тех, кто представляет интересы власти и влияет на саму постановку вопросов финансирования, заинтересованность в проблемах, с которыми сталкивается университет. Основная задача сводится к тому, чтобы дать органам, ответственным за финансирование, почувствовать свою полную ответственность за общее дело.
Одним из таких средств может стать заключение формального или неформального соглашения между университетом (или группой университетов) и правительством. Переговоры открывают не-
467
ред университетом возможность в полной мере обрисовать свои проблемы и представить предлагаемые решения, а перед наблюдательным органом — возможность представить свои трудности и предложения.
Третье направление ~ привлечение финансовой поддержки со стороны различных общественных организаций. В конкретных странах в зависимости от их политического устройства возможны различные ситуации. Поскольку влиятельные учебные заведения отвечают прямым интересам государства, оно наряду с регионами, как правило, готово оказывать им дополнительную финансовую поддержку. Во Франции некоторые регионы, чтобы повысить качество деятельности университетов, оказывают финансовую помощь учебным заведениям, размещенным на их территории, дополняя своими ресурсами финансирование со стороны государства. И наоборот, в Швейцарии центральное правительство и неуниверситетские кантоны помогают финансировать восемь кантональных университетов, причем в некоторых случаях такая помощь оказывается решающей. Однако университеты должны доказывать региональным и местным властям, насколько выгодно иметь на своей территории хороший университет. Результаты исследований свидетельствуют, что в число преимуществ можно включить следующие:
• университеты не только позволяют молодежи учиться по месту жительства, но и привлекают студентов из других регионов, которые могут после учебы остаться работать на предприятиях данной области;
• университеты выступают как центры технологий и знаний, которые при правильном использовании могут представлять ценность для местной экономики и культурной жизни в целом;
• наличие университета, возможность использования егоисследова-тельского потенциала может сделать область более привлекательной для промышленности;
• с точки зрения экономики региона педагогический персонал и другие университетские служащие выступают в роли неплохих потребителей и хороших налогоплательщиков.
Четвертое направление — предоставление оплаты за обучение студентов (взносы). Плата за обучение — традиционный источник дохода, вместе с тем только небольшую часть университетских издержек можно возложить на студентов. Учебу студентов следует рассматривать в более широком контексте, поскольку она приносит пользу обществу в целом; в связи с этим несправедливо возлагать все расходы, связанные с обучением, только на студентов.
По мнению экспертов, любое увеличение размеров взносов должно сопровождаться ростом финансовой помощи в виде грантов, стипендий или ссуд. Поскольку финансовая помощь студентам обычно предоставляется специальными государственным службами (или благо -творительными обществами), вдвойне важно, чтобы все участники этого процесса проводили совместную политику.
Университеты, которые должны покрывать большую часть своих издержек без помощи государства, демонстрируют тенденцию к ограничению сферы своей деятельности теми областями, в которых спрос достаточно высок. Практически они мало или даже совсем не ведут фундаментальные исследования. Кроме того, уделяют мало внимания и вопросам доступности обучения.
Пятое направление — привлечение частного сектора и заинтересованных граждан.
Все университеты, в первую очередь финансируемые главным образом за счет средств государства, должны прилагать усилия к тому, чтобы привлечь частный сектор и тех, кто заинтересован в их деятельности. Финансирование за счет средств частного сектора или других лиц можно получать главным образом в виде прямой помощи (без всяких обязательств), через продажу услуг и развитие духа корпоративности в среде студентов.
Университеты могут получить от компаний или граждан прямую помощь без всяких условий в виде пожертвований или низкопроцентных ссуд, что позволит им развивать свою инфраструктуру или расширять учебные возможности, например за счет создания кафедр, финансируемых частными компаниями. Университеты могут также создать обеспеченные доходами фонды, поддерживающие различные виды университетской деятельности. Для их создания необходима поддержка от компаний или конкретных людей, желающих участвовать в отборе проектов, подлежащих реализации.
Организованная кампания по сбору средств, направленная на определенную, хорошо ориентированную, публику (благодаря которой привлекательные проекты могут быть реализованы), необходима, чтобы успешно реализовать саму эту стратегию. При реализации данной линии очень важен и профессиональный менеджмент в сфере деятельности фондов.
Университеты могут выступить с предложением разработки тех или иных изделий или аппаратуры в рамках прикладных исследовательских контрактов, проведения сложной аналитической работы или оказания специализированных экспертных услуг. В этом случае они как бы выво-
17. Оценка международных научных программ_469
дят на рынок свои материальные и кадровые ресурсы. Финансовый эффект будет зависеть от цены, по которой они смогут реализовывать свои услуги и выполненные работы. Несмотря на то что исследовательские контракты не обеспечивают больших поступлений, они позволяют приобретать и лучше использовать существующее оборудование, дополнительно финансировать исследователей, а значит, увеличивать потенциал своих подразделений. Обеспечение непрерывного образования по запросам предприятий или организаций проводится на тех же условиях.
Подобная деятельность повышает роль менеджмента, поскольку возникает необходимость разработки и обеспечения динамичной стратегии продажи продуктов академической деятельности, которая может включать такие направления, как взимание арендной платы за предоставление учебных площадей или размещение на них оборудования, создание сервисных компаний для местного сообщества. Самое большое число примеров коммерчески оправданных начинаний, управляемых и приносящих пользу университету, можно найти в Соединенных Штатах и Японии: разработка и производство сложных приборов, химических элементов, продуктов для дистанционного обучения; управление больницами; создание научных парков и т. д. и т. п.
Американские учебные заведения привлекают к работе студентов на условиях частичной занятости, что позволяет им не только экономить деньги, но и укреплять чувство общности. Но наиболее важным в данном случае является формирование положительного образа учебного заведения, поддержание связей с выпускниками, среди которых обязательно найдутся те, кто захочет материально содействовать созданию фондов или реализации того или иного проекта.
Успехи некоторых европейских университетов в деле организации фондов или продажи услуг в какой-то мере объясняются тем, что эта практика пока получила развитие лишь в немногих учебных заведениях. Емкость рынка и спонсоров ограничена, и состояние насыщения будет достигнуто быстро, если все большая часть университетов пойдет таким путем. Вместе с тем очевидно, что получить пожертвования проще, если в итоге спонсор может извлечь пользу в виде сокращения налогов. Фактически же основным барьером на пути европейских университетов к фондовой и предпринимательской деятельности является то, что подобного рода практика для этого региона нетрадиционна.
Решение вопросов финансирования — это непрерывные усилия по поиску потенциальных партнеров и их убеждению. Не стоит забывать: все организации без исключения борются за то, чтобы решать достаточно сложные задачи с помощью все более ограниченных средств.
17.2. Фандрайзинг в финансировании научных программ
Движенья нет, сказалмудрецбрадатый.
Другой смолчал и стал преднимходить.
Сильнее бы немогон возразить;
Хвалили все ответзамысловатый.
Но, господа, забавный случай сей Другой пример на памятьмнеприводит:
Ведь каждый деньпред нами солнцеходит, Однако ж правупрямый Галилей.
А С. Пушкин
В современных условиях в различных странах сложился широкий спектр форм и механизмов содействия в сфере науки и образования. Наряду с государственными структурами важная роль в этой деятельности принадлежит международным и неправительственным институтам, частным фондам и некоммерческим организациям. В этой связи работа с данными структурами по привлечению средств на научные и образовательные цели (фандрайзинг) представляет собой необходимое звено в системе организации и финансирования в области науки и образования. Во многих странах, включая Россию, гранты спонсоров стали существенным дополнительным источником развития научных и образовательных учреждений.
Фандрайзинг в области науки и образования — это система мер, направленная на привлечение средств для развития науки и образования в целом и реализации отдельных исследовательских и образовательных проектов.
В рамках системы фандрайзинга существует понятие «спонсорство», означающее более узкий круг мероприятий, проводимых для привлечения средств из коммерческого сектора (бизнеса). Система фандрайзинга предполагает наличие и использование нескольких источников, в их числе — государственные программы, благотворительность и меценатство, спонсорство, гранты общественных организаций и благотворительных фондов. Работа со спонсорами может быть представлена в виде пирамиды, состоящей из трех слоев (рис. 17.1).
«Потенциальные» — это те, о ком вы уже знаете, а они о вас еще нет, но предположительно они могут заинтересоваться вами и понятно, почему. Так же предположительно понятно, почему они могут дать вам грант.
471
«Заинтересованные» — это те, кто о вас уже знает, как-то вами уже заинтересован, может быть, даже уже разок что-то дал в прошлом и помнит о вас.
«Постоянные» — те, кто работает с вами давно и на первый взгляд надежно. Однако и это относительная категория, они тоже не даны вам в пожизненное пользование, у mix тоже есть свой «donor life», рано или поздно они уйдут или переместятся вниз.
Спонсоры перемещаются по пирамиде вверх, если с ними грамотно работать. Часть уходит «с верхушки», но на их место могут прийти спонсоры со второй ступени, для этого нижняя и средняя ступени должны быть постоянно пополняемы. Пропорции всегда бывают примерно одинаковы: на трех «постоянных» спонсоров должно приходиться примерно десять «заинтересованных» и примерно тридцать потенциальных.
Серьезного внимания требует работа с зарубежными фондами, коммерческими спонсорами и иными благотворителями, активно поддерживающими образование и науку в своих странах и по всему миру. Ниже представлены основные виды фондов, осуществляющих поддержку в области науки и образования.
Распространенной формой финансирования социальной сферы, в том числе учреждений науки и образования, являются так называемые фонды корпораций: коммерческие компании вкладывают деньги, как правило, через фонды, которые рассматривают финансируемые проекты как источник получения прямой прибыли за счет понижения ставки налогообложения. Особенно широко этот опыт распространен в США: большинство корпораций жертвуют средства на благотворительность именно потому, что имеют от этого прямую выгоду. Отсюда и проблема для российского фандрайзинга; российским университетам, другим образовательным и исследовательским учреждениям, обращающимся за
 |
|
Рис. 17.1. Пирамида спонсоров |
спонсорской поддержкой, практически невозможно получить финансирование из фондов американских корпораций: как только корпорация жертвует средства на организацию, находящуюся за пределами США, система льготного налогообложения перестает действовать.
Если и когда аналогичная система установления ставок налогообложения коснется российских корпораций, можно будет ожидать серьезного притока средств в социальную сферу, включая научные и образовательные проекты.
Наряду с фондами корпораций существует понятие корпоративной филантропии. Корпоративная филантропия ориентирована на получение косвенных выгод, осуществление не благотворительных взносов, а инвестиции средств, как правило, предусматривает обмен типа «то на это». Образование в США рассматривается как способ обеспечения качества жизни и поэтому является важным фактором для корпоративной филантропии.
Основная отличительная особенность фондов корпораций от корпоративной филантропии заключается в том, что фонды корпораций обязаны следовать федеральным правилам субсидирования, так же как им следуют все фонды в США — общественные, частные, специальные. В частности, фонды должны публиковать списки поддерживаемых ими организаций, а также информацию об объеме средств, выделенных на эти цели, тогда как корпоративные филантропические программы не предполагают подобной отчетности.
Новую и быстроразвивающуюся область потенциального донорства представляет опыт общественных фондов. Основная идея общественных фондов — предоставление адресной финансовой поддержки проектам, которые непосредственно представляют интерес того локального региона, для поддержки которого данный фонд и был образован.
Основу финансовых средств общественных фондов составляют дарения, пожертвования граждан того или иного региона, которые таким образом влияют на развитие науки и образования. Доноры имеют право на ограничение использования своего вклада конкретными направлениями и сферами деятельности. Поскольку деньги донора могут быть использованы постатейно в соответствии с интересами вкладчика и его основными целями, характерной чертой общественных фондов является их ориентация на локальные интересы и проекты. Иногда, если цели организации совпадают с локальными нуждами, общественный фонд может покрыть даже дефицит бюджета предыдущего года определенной организации, чтобы она продолжала функционировать и служить определенной целевой группе.
17. Оценка международных научных программ_473
При обращении в общественный фонд используется иной принцип фандрайзинга, нежели вычитание сумм пожертвований из общего объема прибыли, отображенной в декларации, — наличные вклады или корпоративные ходатайства, используемые для привлечения средств. Многие общественные фонды в своей практике соединяют прямые финансовые выгоды для доноров с так называемыми косвенными — возможностью влиять на развитие своей страны, региона или конкретного муниципалитета. Специалисты считают, что идея «личного вклада» очень популярна на Западе, где сильно развито чувство патриотизма и желание оставить «свой след» в истории государства и своего региона.
Существенным элементом в системе фандрайзинга являются фонды глобальных национальных интересов. Среди них известные фонды Рокфеллера и Форда. Характерной чертой деятельности таких фондов является обширная область интересов и поддержка проектов, имеющих влияние на глобальное развитие. Они предпочитают вкладывать деньги в созидающие, инновационные, моделирующие проекты. Как правило, они не финансируют бюджетные дефициты, текущие расходы и иные необходимые, но не имеющие международного резонанса расходы организаций.
Также существуютмировь/е фонды глобальныхинициатив, например Институт «Открытое общество» (Фонд Сороса). Основной их характеристикой является масштабность работы и сфер деятельности. Система таких фондов позволяет оперировать более высокими технологиями в области образования и науки, их роль заключается не только в привлечении средств из различных источников, аккумулировании и дальнейшем их распределении на конкурсной основе, но и обеспечении информационной, консалтинговой и юридической поддержки.
В настоящее время сложилась развитая сеть европейских компаний подобного рода, обеспечивающих доступ к мировым ресурсам для всех стран — участниц Совета Европы. Таким образом, идея «открытого общества», доминирующая в настоящее время в мировом общественном сознании, позволяет и российским организациям выходить на качественно новый уровень взаимодействия и сотрудничества. Так, благодаря грантам программ Совета Европы Темпус и Тасис за последние годы десятки российских вузов смогли осуществить перспективные проекты по совершенствованию своей структуры, организационному и методическому развитию.
В современном мире действует система организаций, которые имеют благотворительные программы в социальной сфере. Форма помощи таких организаций обычно имеет различные виды грантов — безвозмездная финансовая или материальная поддержка. Как правило, эти организации сами финансируются различными структурами и называются фондами.
Преимущество благотворительных фондов перед остальными элементами системы фандрайзинга состоит в обеспечении целого комплекса услуг, стимулирующих жизнедеятельность организаций науки и образования. Такие фонды, как правило, ориентированы на поддержку инноваций в области науки и образования.
На практике научным и образовательным учреждениям приходится иметь дело с фондами различных типов:
• государственными;
• «посредническими»;
• частными: независимыми, ассоциированными;
• прямого действия;
• региональными, местными.
Государственные фонды — государственные учреждения, финансируемые из бюджета своего государства. Например, в США это US AID (Агентство по международному развитию США), USIA (Информационное агентство США), Национальный институт здоровья США
и др.
В нашей стране примерами могут служить РФФИ (Российский фонд фундаментальных исследований), РГНФ (Российский государственный научный фонд).
Одним из недостатков деятельности подобных фондов является то, что они весьма бюрократичны и требовательны по отношению к соискателю. Все их благотворительные программы имеют узкую направленность и ограничивают круг грантогюлучателей, а требования к оформлению заявок и к отчетности по грантам наиболее строги. Как правило, они финансируют программы, не выходящие за пределы своей страны, и не оплачивают работу иностранных граждан. Правда, иногда они предоставляют гранты иностранцам, как правило, действуя через посредников.
«Посреднические» фонды — общественные организации, финансируемые государственными или частными фондами, которые распределяют финансы по заявителям, удовлетворяющим требованиям фонда или программы.
Примером таких фондов может быть Eurasia Fund (фонд «Евразия»), имеющий представительства в различных регионах России и непосредственно управляемый из головного офиса в США (основная
17. Оценка международных научных программ_475
программа) или посольства США в Москве (программа «Современное общество»).
К этому типу доноров также можно отнести:
• World Bank (Всемирный банк);
• World Learning (Всемирное обучение);
• IREX — International Research and Exchange Board (АЙРЕКС);
• программу ТАСИС (Европейский Союз);
• программу малых грантов «Гражданское общество», финансируемую Фондом Форда;
• программу малых грантов Фонда «За гражданское общество»;
• программу малых грантов при посольстве Королевства Нидерландов;
• НФ ПК (Национальный фонд подготовки кадров);
• МОНФ (Московский общественный научный фонд)
• и ряд других.
Альтернативой государственным или «посредническим» фондам (донорам) являются фонды частные, которые, в свою очередь, бывают независимыми и ассоциированными. Частные фонды — это негосударственные некоммерческие организации, получающие средства от граждан (в виде пожертвований) или коммерческих организаций. Обычно эти фонды отличаются меньшей бюрократичностью, менее жесткими требованиями к оформлению заявок, максимально упрощенной отчетностью по сравнению с государственными и «посредническими» фондами. Хотя ряд частных фондов достаточно требовательны к процедурам оформления заявок и формам отчетности.
Независимые фонды, как правило, организуются частными лицами (группой лиц), семьей. Например, такие фонды, как Фонд Сороса, Фонд Мак-Артуров, Фонд Чарльза Стюарта Мотта, Фонд Форда, Фонд Конрада Аденауэра (КАС), Корпорация Карнеги и др. Такие фонды обычно существуют на дивиденды с вложенного капитала и, как правило, имеют четко зафиксированные приоритетные направления, программы, критерии отбора заявок. Фонды формируют экспертные и исполнительные советы, рассматривающие заявки и принимающие решения о финансировании.
Ассоциированные фонды, как правило, финансируются из средств компаний (коммерческих организаций, банков), с которой они ассоциированы. Например, такие фонды, как Xerox Foundation, Apple, Hewlett-Packard, Дженерал Электрик (GE Fund), Merk Company Foundation (Фонд фирмы «Мерк»), Volkswagen-Stiftung (Фонд «Фольксвагена»). Обычно ассоциированные фонды предоставляют гранты в областях деятельности близких или совпадающих со сферой деятельности компании.
В нашей стране примерами частных фондов могут быть Фонд защиты интересов среднего класса (ФЗИСК) и Фонд «Резервы России».
Существуют фонды, созданные специально для поддержки каких-либо проектов — фонды прямого действия, использующие свои ресурсы для поддержки собственных исследований или непосредственного предоставления услуг. Региональные и местные фонды создаются жителями конкретного региона, города для поддержания и удовлетворения региональных потребностей. Соответственно ориентированы они на местные потребности, поэтому поддержку получают организации, оказывающие реальное влияние на региональную экономику и политику.
Важно различать фонды и организации-посредники. Первые имеют собственные финансовые ресурсы и выдают их в виде грантов, например Институт «Открытое общество», Фонд «Евразия», Фонд Форда и др. Вторые же не имеют собственных средств, а лишь оказывают содействие в распределении «чужих» денег: информируют общественность, помогают в оформлении заявок, контролируют расход средств и предоставляют донору отчет. Примерами таких организаций могут быть Программа Фулбрайта в распределении средств USІА, деятельность ISAR (бывший Институт советско-американских отношений) в распределении средств US AID, фонд IREX и др. К числу организаций, которые могут выступать посредниками в предоставлении информации, оказании консультационных услуг и прочего, можно отнести следующие.
Информация о фондах и донорских организациях имеется в Министерстве культуры, Министерстве образования, Министерстве иностранных дел, Министерстве здравоохранения. Фонды, действующие в России, как правило, регистрируются в этих министерствах. Эта информация доступна и не является конфиденциальной.
В представительствах, консульствах и посольствах иностранных государств в России также имеется обширная и достаточно полная информация о фондах и различных донорах, их приоритетах, проектах, программах и грантах. В них часто имеются библиотеки, культурные центры, читальные залы и помещения для работы научно-исследовательского характера.
В Москве в рамках Европейской программы взаимодействия действует Charities Aid Foundation (CAF), предоставляющий различный
17. Оценка международных научных программ_477
спектр услуг для некоммерческих организаций: библиотеку, в том числе и по фондам; семинары и консультации по юридическим вопросам, фандрайзинту, связям с общественностью для некоммерческих организаций; раздачу методической литературы по вопросам деятельности некоммерческих организаций.
Источником информации о фондах и программах финансирования являются международные правительственные организации: ООН, Европейский Союз, Совет Европы, ЮНЕСКО, US AID, USIA идр., ряд из которых имеют представительства в России.
В библиотеках США, Великобритании, Франции и Германии имеется компьютерная система поиска и информации о потенциальных донорах по всему миру. Для поиска используются следующие ключевые слова: Фонды, Филантропия, Образование, Финансирование, Сбор средств, Гранты, Финансовая помощь и т. д. Многие библиотеки являются консультационными центрами по фандрайзингу.
Наиболее мощные информационные ресурсы для фандрайзинга сосредоточены в Internet. Практически каждый фонд имеет web-страницу, включающую полный комплект необходимых документов, рекомендаций и информации о фонде, возможностях и способах сотрудничества с ним.
В России активно действует порядка десяти крупных общественных и частных фондов, предоставляющих помощь учреждениям и проектам в области науки и образования. К наиболее известным из них можно отнести Институт «Открытое общество», Фонд Форда, Фонд Мак-Артуров, Британский Совет и ряд др. К этой работе сравнительно недавно подключились Фонд Спенсера, Фонд Чарльза Стюарта Мотта, Корпорация Карнеги. Ниже дается краткое описание деятельности ряда фондов.
Московское представительство Фонда Форда создано для работы на территории Российской Федерации. Заявки принимаются от юридических лиц, как государственных, так и негосударственных, вне зависимости от организационно-правовой формы. Ежегодно Московское представительство Фонда Форда выделяет сравнительно небольшое число грантов (около 20 по каждой программе) и нередко поддерживает одну организацию на протяжении нескольких лет. Фонд Форда не устанавливает ограничений для поступающих на рассмотрение заявок, поэтому сроки и сумма фанта зависят от длительности и стоимости конкретного проекта.
Последние пять лет Фонд Форда способствует развитию общественных наук, поддерживает создание и развитие независимых институтов, способных влиять на качество высшего образования и исследовательской деятельности в России. В частности, Фонд финансировал проект Московского общественного научного фонда по проведению конкурса «Российские общественные науки: новая перспектива», поддержал создание Европейского университета в Санкт-Петербурге — послевузовского учебного заведения нового типа.
В настоящее время особое внимание уделяется инициативам, направленным на институциональное совершенствование высшей школы и исследовательской деятельности в России; установление связей между исследовательской деятельностью и преподаванием; развитие профессиональных сообществ в области социальных и гуманитарных наук. Предпочтение отдается проектам, содействующим развитию общественных наук и высшего образования в российских регионах, и межрегиональным проектам.
Приоритетными направлениями деятельности Фонда в области образования являются:
1. Выработка стратегии поддержки и развития системы высшего образования. Основная цель этого направления — способствовать:
•выявлению и решению насущных проблем в области финансирования и управления высшими учебными заведениями;
• нахождению путей долговременного эффективного сотрудничества всех сторон, заинтересованных в развитии высшего образования, включая государственный и частный секторы, федеральные, региональные и местные структуры управления;
• вовлечению граждан, общественности на местах, неправительственных организаций в процесс решения социально значимых вопросов, связанных с поддержкой и развитием системы высшего образования.
2. Расширение доступа к высшему образованию. Фонд Форда содействует созданию равных возможностей в получении высшего образования. Предпочтение отдается проектам, которые обеспечат социально уязвимым группам российской молодежи реальные возможности обучения в высших учебных заведениях.
3. Поддержка инноваций в учебных планах и методиках преподавания в области общественных наук, новейшей истории, тендерных исследований. Основная задача на данном этапе состоит в том, чтобы обеспечить:
• более тесное взаимодействие преподавательской и научной деятельности;
479
• открытость и доступность информации в области социальных наук;
• повсеместное распространение опыта современных эффективных моделей и технологий преподавания в социальных и гуманитарных науках.
Московский общественный научный фонд (МОНФ) — независимый общественный фонд, учрежденный группой физических лиц, поддерживает научные исследования и высшего образования в области гуманитарных и социальных наук в России и СНГ.
Основные направления деятельности МОНФ:
• поддержка и организация научных исследований в области экономики, политологии, права, социологии и отечественной истории;
• организация научных семинаров, конференций, круглых столов по актуальным проблемам современной России;
• разработка и организация научно-образовательных программ, нацеленных на возрождение лучших традиций российской науки, культуры и образования;
• создание и обновление баз данных по исследователям, преподавателям, учебным и научным центрам России и СНГ в области общественных наук;
• содействие внедрению современных технологий в исследовательскую работу и высшее образование в сфере гуманитарных и социальных наук;
• содействие институциональному развитию научных и образовательных институтов в России;
• поддержка межрегионального и международного научного сотрудничества;
МОНФ осуществляет свою деятельность за счет целевого финансирования. Деятельность фонда финансируется крупнейшими международными спонсорами, такими как Фонд Форда, Институт «Открытое общество», Фонд Мак-Артуров, Агентство США по международному развитию, фонд «Евразия», Канадское агентство по международному развитию, Вестминстерский фонд в поддержку демократии (Великобритания), Национальный фонд в поддержку демократии (США), и рядом других организаций.
Для осуществления своей деятельности МОНФ создал несколько центров и программ, которые поддерживают проекты в различных областях науки и образования. В их числе:
480.
Центр академических и образовательныхпрограмм созданвМОНФ в 1996 г. на базе программы «Российские общественные науки: новая перспектива», существующей с 1993 г. Центр призван содействовать становлению нового поколения исследователей в социальных и гуманитарных науках в России, поддерживать межрегиональное и международное научное сотрудничество. Основными видами деятельности центра являются:
• организация и проведение конкурсов исследовательских грантов в различных областях гуманитарных и социальных наук;
• создание и поддержка баз данных по исследователям иисследо-вательским центрам;
• проведение различного рода научных и научно-образовательных мероприятий;
• издательская деятельность.
Основная цель программы «Российские общественные науки: новая перспектива» — поддержка молодого поколения исследователей-гу-манитариев, ведущих работу над проблемами, имеющими особое значение для понимания современных общественных процессов в России и СНГ. Особое внимание уделяется поддержке формирования нового научного сообщества на территории бывшего СССР, содействию образованию новых межрегиональных связей как на индивидуальном, так и на институциональном уровне.
За время существования программы было проведено пять конкурсов научньгх проектов для молодых историков, политологов, социологов и экономистов. В каждом конкурсе принимало участие от 550 до 850 исследователей, представляющих различные регионы России и страны СНГ. Относительно небольшая сумма гранта (S2000 на период от 9 до 12 месяцев) сделала конкурс особенно привлекательным для молодых ученых, в том числе аспирантов, однако в конкурсах принимали участие и доктора наук, и исследователи, готовящиеся к защите докторской диссертации.
Программа также включает такие компоненты, как конкурс межрегиональных научных семинаров для слушателей Методологического университета, проводимого Центром конвертируемого образования МОНФ, создание и развитие базы данных по молодым специалистам в различных областях гуманитарного знания, программу публикаций и ряд других направлений. В 1993-1999 гг. помимо конкурсов научных проектов было организовано 7 конкурсов межрегиональных семинаров, издано и подготовлено к печати 16 сборников работ грантополу-
ш
чателеи программы, 6 сборников работ межрегиональных исследовательских коллективов, получивших гранты на проведение семинаров, 4 монографии победителей конкурса. В конце 1999 г. организована крупная международная конференция, суммировавшая итоги деятельности программы за шесть лет.
Центр конвертируемого образования был создан в МОНФ в 1996 г. на базе существовавшей программы летних и зимних школ для молодых исследователей-гуманитариев. Цели Центра конвертируемого образования:
" содействие в подготовке нового поколения вузовских преподавателей и исследователей;
• оказание помощи в освоении современных методик преподавания общественных наук;
• стимулирование разработки нового поколения учебных программ и учебных пособий;
• содействие формированию горизонтальных связей между научными и образовательными центрами регионов России и стран СНГ;
• накопление и распространение информации об исследовательских разработках, научных сотрудниках и преподавателях, работающих в сфере общественных наук;
• поддержка межрегиональных творческих коллективов.
Основные проекты Центра конвертируемого образования:
• методологический университет конвертируемого образования (МУКО), предусматривающий проведение ежегодно двух сессий (зимой и летом);
• организация и проведение межрегиональных семинаров для преподавателей безопасности и международных отношений;
• составление базы данных «Международные исследования в России и СНГ» и подготовка расширенного издания соответствующего справочника;
• проведение конкурсов учебных программ и пособий;
• издательская деятельность.
Деятельность Центра конвертируемого образования осуществляется при финансовой поддержке Фонда Джона Д. и Кэтрин Т. Мак-Артуров, Института «Открытое общество * —Россия, Программы поддержки высшего образования (Higher Education Support Program), Института «Открытое общество» (Будапешт, Венгрия).
31-180
482
Британский совет (British Council) является известным в России центром образовательных программ. Кроме предоставления стипендий желающим получить образование в Великобритании Британский совет в последние годы занимается отдельными образовательными проектами внутри России. Среди них Проект профессионального образования и подготовки на основе компетенций. Этот проект осуществляется при поддержке Министерства образования РФ, Омского областного управления образования, Департамента образования и науки администрации Нижегородской области и Шотландского квалификационного управления.
Цель проекта — разработать новые подходы к организации содержания профессионального образования, используя модульную структуру и адаптируя опыт шотландских коллег к российским условиям. Результаты проекта были представлены в регионах Сибири и в Нижнем Новгороде, где эксперты из Шотландского квалификационного управления и Омска вместе осуществляли обучение местных специалистов в области профессионального образования.
Существенную помощь российскому образованию, а также развитию науки в высших учебных заведениях оказывает программа Европейского Союза Темпус (Транс-Европейская схема сотрудничества в области высшего образования). Программа Темпус направлена на стимулирование сотрудничества со странами-партнерами в Центральной и Восточной Европе, а также СНГ, включая Россию. Темпус является программой типа «снизу вверх», отвечающей индивидуальным потребностям отдельных учреждений и стран-партнеров. Проекты составляются университетами стран-партнеров в сотрудничестве с их партнерами из стран Европейского Союза. Темпус предоставляет поддержку проектам, целью которых является реструктуризация и разработка учебных планов и материалов, развитие технических средств обучения, а также/или совершенствование административного управления университетов и высших учебных заведений.
Несколько лет назад Институт «Открытоеобщество» (ИОО) начал реализацию мегапроекта «Образование», в рамках которого ведущее место занимает «Программа поддержки кафедр». Мегапроект и Программа поддержки кафедр (ППК) рассчитаны на период 19982003 гг. Обшей целью мегапроекта, и в частности ППК, является поддержка развития высшего гуманитарного образования в российских провинциальных университетах. При этом приоритетной аудиторией являются первичные академические коллективы университетов (как правило, кафедры или группы кафедр), которые реализуют проекты соб-
483
ственного перспективного развития совместно с ведущими российскими университетами и научно-исследовательскими институтами. В рамках данной программы предполагается решение ряда конкретных задач:
• повышение качества преподавания и общего уровня квалификации профессорско-преподавательского состава (преимущественно молодых кадров) провинциальных университетов;
• преодоление разрыва между преподавательской и исследовательской деятельностью в сфере гуманитарных и общественных наук;
• облегчение доступа российских ученых и преподавателей к современным российским и международным информационным и академическим ресурсам;
• содействие укреплению внутри региональных связей между исследователями и другими образовательными учреждениями, местными негосударственными организациями, органами регионального управления и т. п.;
• создание системы взаимодействия ученых и исследователей в университетах Российской Федерации.
Проект реализуется на базе 33 университетов России, где при поддержке ИОО были созданы «Университетские центры Интернет».
Основными участниками ППК являются следующие группы заинтересованных сторон:
• кафедры общественных и гуманитарных наук университетов — реципиенты;
• академические ресурсные центры — базовые консультанты поддерживаемых кафедр, основные поставщики академических и информационных услуг в рамках Мегапроекта. Институт «Открытое общество» — инициатор, организатор и основной донор проекта.
Реализация Мегапроекта (модуль ППК) предполагает организацию национальных и региональных схем академической кооперации, продуктивной целью которых было бы развитие академической инфраструктуры кафедр и факультетов гуманитарных наук в российских вузах и обеспечение дальнейшего устойчивого развития этой инфраструктуры.
Международная деятельность Института «Открытое Общество» в области высшего образования в основном сосредоточена на реализации на территории России международных академических, научно-исследовательских и учебно-методических проектов Центрально-Европейского университета (ЦЕУ) и программы HESP (Международная программа поддержки высшего образования) и определяется как общими задачами ИОО по формированию открытого общества через об-31* новление гуманитарного образования, так и целями и задачами мегапроекта ИОО «Развитие образования в России».
Академические программы Центрально-Европейского университета (ЦЕУуСЕи academic programs предусматривают последипломное обучение на 8 факультетах по 23 магистерским и докторским программам. Всего в ЦЕУ в 1999/2000 учебном году обучалось около 710 студентов из 39 стран Центральной и Восточной Европы и бывшего Советского Союза, Западной Европы, Северной Америки и Азии.
Летний университет/Summer University (SUN). Этот проект действует с 1996 г. и предусматривает обучение аспирантов, молодых преподавателей и сотрудников администрации вузов России и других стран Центральной и Восточной Европы на двух- и трехнедельных учебных курсах по актуальным направлениям социальных наук и администрирования в сфере высшего образования.
Junior and Senior Fellowships — гранты для преподавателей и ученых на проведение исследований в ЦЕУ на срок до 6 месяцев. Результатом такой стажировки должна стать публикация по одной из общественных или гуманитарных дисциплин или завершенное исследование, имеющее практическую значимость для решения актуальных современных проблем. Во время пребывания в ЦЕУ стажеры должны прочесть одну лекцию на принимающем факультете и одну публичную лекцию для широкой аудитории ЦЕУ.
МА Development Fellowships. Проект предусматривает организацию месячных стажировок специалистов для создания или совершенствования уже читаемых последипломных учебных курсов. Во время пребывания в ЦЕУ стажеры имеют возможность пользоваться фондами библиотеки ЦЕУ и собранием учебных материалов, а также познакомиться с педагогическими подходами к последипломному обучению в Университете и воспользоваться академической экспертизой для подготовки учебного плана. Грант на стажировку предусматривает оплату расходов на проезд в ЦЕУ и обратно (по минимальному тарифу), проживание во время пребывания в ЦЕУ и месячное содержание.
Помимо проектов, непосредственно связанных с ЦЕУ, в России действуют следующие сетевые проекты, финансируемые Институтом «Открытое o6iyecTBO»(OSI-HESP):
International OSIPolicy Fellowships (IPF) — конкурс на получение стипендий для граждан стран Центральной и Восточной Европы, бывшего Советского Союза и Монголии. Целью конкурса является поддержка новаторских, практически ориентированных исследований и пилотных проектов.
Программа поддержки научно-исследовательских проектов (Research Support Scheme/RSS) предоставляет гранты коллективам и отдельным ученым для проведения исследований по проблемам региона в области гуманитарных и социальных наук. В 1999 г. в рамках этой программы российские ученые получили 185 грантов, что на 36% больше, чем в предыдущем году.
Soros Supp lem en tary Gran ts Program (SSGP)-- для студентов и аспирантов, обучающихся в одной из стран Центральной и Восточной Европы, бывшего Советского Союза и Монголии.
Одной из основных задач развития международной научной деятельности в сфере образования и науки является переход от поддержки небольших индивидуальных грантов и программ к созданию условий для развития вузовского сектора науки на основе привлечения российских и зарубежных материальных ресурсов, а также внедрения результатов совместной деятельности на внутреннем и международном рынках наукоемкой продукции, интеграции российского вузовского сектора науки с европейскими и двусторонними научно-техническими программами. Необходимо продолжить деятельность по расширению участия ученых российских вузов в международных проектах, финансируемых Комиссией ЕС, в том числе TACIS, INTAS и т. п., а также в международных фондах, поддерживающих науку и образование.
В соответствии с российским законодательством гранты определяются как денежные и иные средства, передаваемые безвозмездно и безвозвратно гражданами и юридическими лицами, а также международными организациями, получившими право на предоставление грантов на территории Российской Федерации в установленном Правительством Российской Федерации порядке, на проведение конкретных научных иследований на условиях, предусмотренных грантодате-лями.
В российском законодательстве также содержится определение технической помощи как вида гранта, предоставляемого в целях оказания поддержки при проведении экономической и социальной реформ; проведении исследований, обучении, обмене специалистами, аспирантами и студентами; передаче опыта и технологий, поставках оборудования и других материально-технических средств по проектам и программам, которые зарегистрированы в порядке, установленном Правительством Российской Федерации. (Указанный порядок предусмотрен в Постановлении Правительства РФ «Об утверждении порядка регистрации проектов и программ технической помощи (содействия), выдачи удостоверений, подтверждающих принадлежность средств, товаров, работ и услуг к технической помощи (содействию), а также осуществления контроля за ее целевым использованием» от 17 сентября 1999 г. № 1046.)
Техническая помощь (содействие) означает средства, товары, предоставляемые Российской Федерации, субъектам Российской Федерации, органам государственной власти и органам местного самоуправления, юридическим и физическим лицам, а также выполняемые для них работы и оказываемые им услуги в качестве гуманитарной или технической помощи (содействия) на безвозмездной основе иностранными государствами, их федеративными или муниципальными правительствами, международными и иностранными учреждениями или некоммерческими организациями, на которые имеются документы, подтверждающие принадлежность указанных средств, товаров, работ и услуг к гуманитарной или технической помощи.
Самым важным и неотъемлемым признаком фантов и технической помощи является безвозмездность, т. е. отсутствие обязательств грантополучателя или получателя технической помощи предоставить гран-тодателю или донору технической помощи права на созданные результаты, вещь (например, образцы изделий) или выполнить иные обязанности. Обладателем прав на созданные результаты с вытекающими правомочиями по использованию результатов работ и их распоряжению (включая право предоставлять лицензии третьим лицам, в том числе грантодателю или донору технической помощи) будет исполнитель НИР или ОКР (т.е. грантополучатель или получатель технической помощи). Грантополучатель или получатель технической помощи также получает налоговые и таможенные преференции, и этот факт должен быть отражен в договоре на предоставление гранта или технической помощи.
Общие положения соглашения о фанте, например положения о содержании работ, сроках выполнения, смете и иных условиях, очень похожи на положения договоров на выполнение научных исследований и разработок.
Российское законодательство предоставляет некоторые налоговые и таможенные преференции применительно к научным исследованиям и разработкам, выполняемым на основе предоставления фантов для выполнения научно-исследовательских, опытно-конструкторских и технологических работ.
В частности, не подлежат налогообложению {подоходный налог с физических лиц) суммы, полученные физическими лицами в виде грантов, предоставленных для поддержки науки в Российской Федерации международными и иностранными учреждениями, а также международными и иностранными некоммерческими и благотворительными организациями (фондами), зарегистрированными в установленном порядке и входящими в перечни, утверждаемые федеральными органами исполнительной власти, отвечающими за науку и техническую политику в Российской Федерации.
Не подлежат налогообложению (налог на прибыль):
1) средства, полученные в качестве гранта и подтвержденные соответствующим удостоверением;
2) средства, полученные от иностранных организаций в порядке безвозмездной помощи российской науке;
3) стоимость машин и оборудования, опытных образцов, макетов, других изделий, переданных для испытаний и экспериментов или безвозмездно предоставленных заказчиком научной организации в процессе выполнения договора на создание научно-технической продукции в соответствии с условиями договора.
Не подлежат налогообложению {налог па добавленную стоимость) товары (за исключением подакцизных), ввозимые в качестве безвозмездной помощи (содействия), а также в соответствии с договорами с иностранными организациями и фирмами о проведении совместных научных работ.
Освобождаются от таможенных пошлин товары;
• ввозимые в Российскую Федерацию в качестве безвозмездной помощи;
• ввозимые или вывозимые из Российской Федерации в благотворительных целях по линии государств, международных организаций, правительств (в том числе в целях оказания технической
помощи).
Налоговые и таможенные преференции, связанные с предоставлением безвозмездной помощи, могут реализовываться только при наличии удостоверения — документа, подтверждающего принадлежность средств, товаров, работ, услуг к безвозмездной, в частности технической, помощи. В случае предоставления такой технической помощи для получения удостоверения необходимо наличие проекта или программы такой помощи, зарегистрированных соответствующим органом Российской Федерации.
Регистрация проектов и программ технической помощи осуществляется по представлению получателем или донором технической помощи заявления об их регистрации в Комиссию но вопросам международной технической помощи при Правительстве Российской Федерации.
В заявлении должны быть отражены:
• цели оказываемой технической помощи;
• формы технической помощи (передача средств, товаров, оказание услуг, выполнение работ);
• объемы;
• идентификация оборудования, материалов.
К заявлению прилагается копия документа (договора, соглашения, меморандума, протокола или другого письменного обязательства), на основании которого разработан проект или программа технической
помощи.
После получения заявления Комиссия проводит экспертизу всех относящихся к делу документов и принимает решение об одобрении регистрации. В случае положительного решения данные о регистрации проектов и программ технической помощи вводятся в информационную систему Комиссии, а также в единый реестр проектов и программ технической помощи.
Для получения удостоверения в Комиссию должны быть представлены следующие документы:
• заявление на имя самоуправления, органа исполнительной власти субъекта Российской Федерации, на территории которого расположен получатель технической помощи, или соответствующего председателя Комиссии с указанием:
• донора технической помощи;
• формы и типа помощи, включая объем помощи, ее стоимость, номенклатуру, цели поставки, получателя;
• регистрационного номера и наименования проекта или программы технической помощи в едином реестре проектов и программ технической помощи;
• обязательство органа местного федерального органа исполнительной власти по контролю за ее целевым использованием;
• копия договора, соглашения, меморандума, протокола или другого письменного обязательства, в соответствии с которым осуществляется техническая помощь;
• подтверждение государственного органа страны-донора, международной организации-донора (ее руководства) или их представительств в Российской Федерации (посольства, консульства,
.489
миссии) о том, что предоставление средств, товаров и услуг осуществляется в рамках безвозмездной технической помощи;
• копии учредительного документа и свидетельства о государственной регистрации получателя технической помощи, заверенные в установленном порядке;
• спецификация на поставку средств и товаров в двух экземплярах, заверенная на каждой странице получателем технической помощи.
Все документы представляются на русском языке. Если оригинал документа составлен на иностранном языке, представляется его заверенный перевод. После получения указанных документов Комиссия проводит экспертизу представленных документов и принимает решение о выдаче удостоверения.
При подготовке и заключении договоров на исследования и разработки необходимо иметь в виду положения о недействительности договоров, предусмотренные законодательством Российской Федерации.
В частности, договор может быть недействительным в силу признания его таковым судом (оспоримый договор) либо независимо от такого признания (ничтожный договор).
17.3. Трансферт научно-технических результатов
Обучай только того, кто способен, узнав про один угол квадрата, представить себе остальные три.
Конфуций
В последние 10-15 лет желание научных учреждений разных стран самостоятельно передавать результаты своей работы в промышленность непрерывно возрастает. Этот процесс вызван уменьшением правительственной поддержки науки в большинстве стран мира. Такой же процесс происходит и в России.
Трансферт технологий — это управляемый процесс от распространения технологий от одной стороны до принятия ее другой стороной, например от разработчика к пользователю, от продавца к покупателю, от одного подразделения учреждения к другому подразделению и т. д. Передача технологий — не единовременный акт, а растянутый во времени процесс, включающий четыре стадии:
• осознание (какова технология? имеет ли потенциальное применение?);
• изучение (каковы аргументы за и против технологии? каковы альтернативы?);
• развитие (какие модификации необходимы? каково соотношение ожидаемых затрат и результатов?);
• эксплуатация (каково соотношение реальных затрат и результатов?).
Всякий процесс передачи технологии подразумевает участие четырех участников; источника технологии, получателя технологии, финансирующей организации и консультанта, обеспечивающего взаимодействие между источником, получателем и финансирующей организацией.
Основными источниками технологического развития являются университеты и технологические центры. В процессе университетских фундаментальных исследований закладываются основы новых технологий. Фундаментальные исследования являются источником для прикладных исследований в научных центрах, а также в меньшей степени в промышленных фирмах. Прикладные исследования являются непосредственным источником знаний для промышленных компаний. Основной поток передачи технологий — это поток знаний от прикладных исследований к крупным промышленным фирмам.
Крупные промышленные предприятия часто не пользуются при передаче технологии услугами финансирующих организаций, технологических брокеров и других консультантов, а малые и средние предприятия — пользуются.
Выделяют две стратегии по продвижению технологий от источника к потребителю. Стратегия «вытягивания запросом» (demand-pull) характеризуется активностью потребителя знаний. Стратегия «технологического толчка» (technology-push) подразумевает активность источника не только в разработке, но и в продвижении на рынок. При этом разделяют два вида толчков: ориентированные на организацию потребителя в целом и ориентированные на конкретных специалистов внутри организации (табл. 17.1).
При выполнении процесса передачи технологий на основе стратегии «вытягивания рынком» основная задача организации — источника технологии — в том, чтобы сделать информацию о технологии максимально доступной для потенциального заказчика, включая публикации в специализированных журналах и базах данных, участие в выставках и конференциях.
При работе по схеме «технологического толчка», направленного на индивидуальность, необходимо активно способствовать пониманию и принятию новой технологии лицами, занимающими пограничную роль внутри организации-заказчика.
При использовании схемы «технологического толчка», направленного на организацию, нужно активно способствовать принятию новой технологии в промышленной организации-заказчике. При этом работа по передаче технологии не концентрируется на взаимодействии с отдельными специалистами внутри фирмы-заказчика, но на кооперации с фирмой в целом: большой объем персональных контактов с широким кругом специалистов заказчика, командовании персонала разработчика для работы совместно с заказчиком.
Таблица 17.1
Основные факторы, влияющие на выбор стратегии по продвижению технологий |
|
|
|
Факторы |
¦« Вытягивание рынком» |
«Технологический толчок» |
|
На индивидуальность |
На организацию |
|
Стадия разработки |
Ранняя |
Средняя |
Поздняя |
|
Характер инновации |
Идея
или продукт |
Идея
или продукт |
Продукт |
|
Доступные финансовые ресурсы |
Ограниченные |
Умеренные |
Большие |
|
Приоритет |
Долгосрочный |
Среднесрочный |
Краткосрочный |
|
Коммерческая тайна |
Нет |
Есть |
Есть |
|
Желание финансировать детальное изучение вопроса |
Нет |
Есть |
Есть |
Желание финансировать изучение
концепции |
Нет |
Нет |
Есть |
|
Количество и характеристики фирм в отрасли |
Варьируются |
Варьируются |
Сфокусированы |
Следующая схема (Чен, 1994 г.) показывает уровень взаимоотношений между источником и получателем технологий в зависимости от ожидаемого потока технологий и продолжительности взаимоотношений (рис. 17.2).
Технопарки
|
Большой |
|
|
|
V & |
Патенты |
|
|
Лицензии |
|
® -?- |
Собственные НИОКР |
|
|
Учебные программы Консультации |
|
< Я |
Симпозиумы Обмен сотрудниками |
|
* ? s § |
Публикации |
|
|
Гранты |
|
О ? |
Стипендии |
|
Маленький |
П оже ртво ван ня |
до 1 года
1-3 года
Продолжительность отношений |
Инкубаторы
Много лет
Рис. 17.2. Уровень взаимоотношений между источником и получателем
технологий
17.4. Франчайзинг в научно-технической деятельности
Кто не сможет копировать мастера, тот не станет мастером.
«Франчайзинг» — взаимовыгодное соглашение, по которому крупная фирма предоставляет право малой фирме реализовывать свою продукцию под своей маркой (торговым знаком) в течение определенного срока в специально указанном месте с правом выбора рынка сбыта. За эту возможность малая фирма уплачивает вступительный взнос и отчисляет определенный процент с оборота в пользу «родительской» фирмы.
Прежде всего при заключении договора коммерческой концессии стороны должны четко оговорить его предмет. Применительно к праву на фирменное наименование должно быть определено право пользования каким обозначением предоставляется пользователю. Закон не запрещает и того, чтобы пользователь с согласия правообладателя использовал фирменное наименование последнего в качестве своего собственного фирменного наименования. Однако для этого соответствующее фирменное наименование должно быть внесено в учредительные документы пользователя со всеми вытекающими отсюда последствиями. В договоре определяется, в какой сфере деятельности и
493
каким образом пользователь может использовать фирменное наименование правообладателя.
С учетом того, что договор коммерческой концессии создаст реальную опасность введения третьих лиц, в особенности потребителей, в заблуждение относительно личности лица, продающего им товары или оказывающего услуги, закон уделяет особое внимание защите их законных интересов. Так, в соответствии с ч. 8 ст. 1032 ГК РФ пользователь обязан информировать покупателей (заказчиков) наиболее очевидным для них способом о том, что он использует фирменное наименование и другие средства индивидуализации в силу договора коммерческой концессии.
Договор коммерческой концессии может заключаться на любой оговоренный сторонами срок либо без указания срока. В случае если в трехлетний срок с момента прекращения договора правообладатель пожелает предоставить кому-либо те же права, какие были предоставлены пользователю по прекратившемуся договору, он обязан предложить пользователю заключить новый договор либо возместить понесенные им убытки.
В ч. 3 ст. 1037 ГК РФ специально подчеркивается, что договор коммерческой концессии прекращается в случае прекращения принадлежащих правообладателю прав на фирменное наименование или коммерческое обозначение без замены их новыми аналогичными правами.
В случае изменения правообладателем своего фирменного наименования или коммерческого обозначения, права на использование которых входят в комплекс исключительных прав, договор коммерческой концессии действует в отношении нового фирменного наименования или коммерческого обозначения правообладателя, если пользователь не потребует расторжения договора и возмещения убытков (ст. 1039 ГК РФ).
Разновидностями франчайзинга являются прямой франчайзинг и мастер франшиза.
Прямой франчайзинг. Франчайзер продает франшизу напрямую местному предпринимателю (франчайзи). Это самый лучший способ, чтобы обеспечить хорошую взаимосвязь между франчайзером и франчайзи. Таких франшиз может быть много с различными франчайзи.
Мастер франшиза. Отношения по мастерской франшизе возникают, когда международный франчайзер продает исключительные права на развитие всей системы на территории всей страны одному франчайзи. Такой тип франчайзи называется владелец мастерской лицензии.
Таким образом, франчайзи становится франчайзером в данной стране, продавая и предлагая франшизы другим предпринимателям и собирая с них сервисную плату (роялти). Это часто происходит, когда существует очевидный спрос на франшизу. В таком случае франчайзер не беспокоится о том, будет его бизнес развиваться успешно или нет. Вместо этого франчайзер ищет хорошо обеспеченного местного предпринимателя, обладающего организацией, которая позволит ему сделать систему франчайзера успешно работающей концепцией на территории всей страны. Иногда такую систему называют франчайзи систем филиалов.
Большая часть франчайзинговых договоров оговаривает лицензию, по которой франчайзи может пользоваться ноу-хау, торговым знаком и бизнес-системой франчайзера.
Франшизополучатель выплачивает фраггшизодагелю вознаграждение в виде фиксированного разового или периодических платежей, отчислений от выручки или наценки на оптовую цену товаров, которыми франшизодатель снабжает франшизное предприятие (ст.1030 ГКРФ).
17.5. Мониторинг программ
Единственная настоящая ошибка — не исправлять своих прошлых ошибок.
Конфуций
Оптимизация деятельности исследовательских учреждений в условиях недостаточного финансирования с особой остротой ставит вопрос о разработке механизма и проведении процедур оценки деятельности научных подразделений, центров и институтов.
Такая деятельность предусматривает, в частности, решение следующих задач:
• разработки механизма обратной связи, способного на основе выявления сильных и слабых сторон привести управленческие структуры к необходимости совершенствования;
• проведения такой финансовой политики, результатом которой будет выделение средств научным коллективам, демонстрирующим способность использовать их с высокой эффективностью;
• содействия развитию центров качества, располагающих необходимыми высококвалифицированными кадрами, но требующими материально-технической поддержки;
.495
• оказания помощи в повышении квалификации исследовательских кадров и подготовке будущего поколения научных работников;
• выявления «белыхпятен», на исследование которых затрачивается больше усилий и ресурсов, чем на те, которые отвечают национальным потребностям или глобальным общенаучным проблемам.
Необходимость эффективной системы оценки в России, кроме того, обусловлена тем, что на протяжении ряда лет в стране реализуются многочисленные научные и образовательные проекты, поддерживаемые различными международными фондами и организациями, в том числе такими крупными, как ЮНЕСКО, Всемирный банк, Организация экономического сотрудничества и развития, Институт «Открытое общество», Европейский Совет, Европейский Союз и др.
В связи с распространением и активизацией проектной деятельности, многосторонней и двусторонней, отраслевой и институциональной, на уровне федерации и отдельных регионов, все острее встает вопрос о координации довольно разрозненной на сегодняшний день работы с целью отслеживания результатов программ, повышения эффективности использования привлекаемых ресурсов и результативности проводимой работы. Другими словами, отсутствие мониторинга данного процесса не позволяет составить полного представления о тенденциях, результатах и перспективах проектной и программной деятельности.
По мнению экспертов, на сегодняшний день еще не сформировалась система общественного контроля над целями, направленностью, ходом и эффективностью этой многообразной работы. Итоги проектов в большинстве случаев остаются локальными, не анализируется их кумулятивный и множительный эффект, экономическая, социальная, личностная эффективность, актуальность, рациональность, степень содействия устойчивому развитию как государства и общества, так и отдельной личности.
Мониторинг — непрерывный процесс оценки реализации проекта с точки зрения соблюдения сроков исполнения проекта, использования ресурсов и инфраструктуры бенефициариями проекта. Мониторинг позволяет менеджерам (руководителям) проекта и другим его участникам постоянно получать информацию о реализации проекта, а также вовремя распознавать существующие и потенциальные проблемы, чтобы своевременно отрегулировать механизмы их решения или предусмотреть проведение превентивных мероприятий.
Оценка проекта — периодическая оценка процесса исполнения, продуктивности, результатов (ожидаемых и неожидаемых) проекта в контексте соответствия поставленным изначально целям и задачам. Руководители проекта используют результаты промежуточных оценок как обзор проделанной работы, для составления прогноза возможных результатов, как способ определения изменений, которые необходимо внести в проект для обеспечения его продуктивности и эффективности. Практика проведения промежуточной оценки проектов широко распространилась в последние годы, что свидетельствует об актуальности данного этапа проектного мониторинга Именно информация, полученная по результатам промежуточных оценок, позволяет наиболее объективно описать конечные результаты проекта и их потенциальную устойчивость в заключительном отчете.
Мониторинг и оценка проектов рассматриваются сегодня как незаменимый инструмент управления проектной деятельностью, их значимость признается все большим количеством специалистов. Мониторинг и оценка важны не только с точки зрения повышения эффективности конкретных уже проводимых проектов, но и с точки зрения важности получаемой информации и выводов для инициирования и организации новых проектов и программ. Кроме того, с возрастанием роли и степени участия в проектах общественных и правительственных структур остро встает вопрос об отчетности перед всеми участниками проекта по результатам проделанной работы и выводам, которые способны обеспечить преемственность проводимой деятельности. Партнеры, работающие в проекте, заинтересованы в получении информации о практических результатах проектной деятельности, позволяющих оценивать работоспособность и продуктивность системы, в которой они работают, и осуществлять принцип взаимосвязи теории и практики, именно подобная заинтересованность способна мотивировать участников проекта к дальнейшему сотрудничеству.
Таким образом, можно говорить о том, что проведение мониторинга на всех этапах проекта способствует улучшению качества проекта — как его формальной разработки и оформления, так и процесса реализации, стабилизации сотрудничества партнеров.
Формы и методики оценки. Существуют различные формы и методики оценки в области научных исследований. Выбор той или иной формы и методики в конечном счете определяются целями и уровнем оценки. Распространенным способом анализа научной деятельности является оценка — ex-post — на выходе, которая учитывает завершенные работы, а также — ex-ante — на входе, которая касается плана, проекта исследовательской работы.
Эти формы оценки использовались, в частности, в Румынской академии наук (рис. 17.3). Разработанная методика оценки на входе позволяла определить сопоставимость ресурсов (кадровых, материальных, финансовых) и научных результатов (публикаций, патентов, применения в практике и др.).
Как уже отмечалось, одним из способов стимулирования качества и эффективности исследований является финансирование на конкурсной основе. Созданная система выделения грантов в Румынии открыта для отдельных ученых и научных коллективов независимо от их места работы. В рамках независимого Совета исследовательских грантов действуют экспертные комиссии по основным сферам научной деятельности. Формы заявок и инструкции по их заполнению распространяются в академических институтах и центрах. Отбор претендентов на получение гранта осуществляется с учетом следующих критериев:
• оригинальности и потенциальной результативности исследовательских проектов;
• квалификации сотрудников, занятых в проекте (научная степень, звание, достижения, научные труды);
• наличия потенциала для эффективного использования финансовых средств;
|
ОЦЕНКА |
 |
НА ВХОДЕ
НАВЫХОДЕ
1.Рейтинг проекта
актуальность
оригинальность
результативность
1. Исходные данные
кадры
финансирование повышение квалификации
2. Выходные показатели
публикации
применение
материально-техническая
поддержка
2. Вероятность успеха
качество кадров
национальное и международное эффективность признание использования фондов
 |
ВЫДЕЛЕНИЕ ФОНДОВ
Рис. 17.3. Система распределения грантов в Румынской академии наук |
,32-180
* возможностей дополнительного финансирования, т. е. средств из других источников, национальных или международных.
В США доля финансирования научных исследований на конкурсной основе составляет 90%.
Эксперты выделяют две основные методологии измерения рентабельности затрат на науку: эконометрический метод и метод Мэнсфилда.
В ряде стран Восточной Европы (Польша, Словакия) с целью оптимизации научных исследований в условиях недостаточного финансирования была введена система аккредитации, в соответствии с которой академические институты были распределены по определенным категориям (А, В, С), учитывающим оценку их деятельности. В процессе аккредитации использовались такие критерии, как уровень и количество научных публикаций, квалификация научных кадров, сотрудничество, научные обмены с зарубежными партнерами, организация научных конференций и семинаров и др. :
Важным элементом оценки как деятельности организаций, так |и процесса осуществления и результатов проектов является мониторинг. К стандартным критериям, применяемым при оценке программ, обычно относят: уместность, действенность, результативность и долгосрочный характер, эффективность, транспарентность и подотчетность.
Осуществление деятельности с точки зрения управления можно представить как систему, при которой все руководители и сотрудники разделяют видение, ценности и цели организации и совместно решают стоящие перед организацией проблемы. Индивидуальные стандарты и цели деятельности привязаны к деятельности конкретного отдела (секторов и департаментов) и используются в качестве основы для мониторинга, как индивидуальной деятельности, так и деятельности всей организации. Процесс мониторинга используется для определения индивидуального и организационного развития и мотивированных потребностей с целью дальнейшего повышения эффективности.
Управленческий подход базируется на повседневной деятельности и уделяет основное внимание индикаторам правильного использования ресурсов; определяет стандарты (показатели) измерения выполнения работы и достижения целей. Он базируется на интегрированной системе, которая начинается с правильно сформулированной цели; включает планы действий, описывающие процессы для всех секторов организации, задача которых — достижение поставленных целей; наделяет ответственностью и полномочиями тех людей в организации, которые приведут ее к требуемым результатам.
|
Таблица 17.2 Виды мониторинга1 |
|
|
Вид
мониторинга |
Цель |
Примеры показателей деятельности или соответствующая необходимая информация |
Мониторинг
среды
(контекста) |
Определить, какое влияние
оказали, окажут внешние факторы на деятельность
организации |
Уровень затрат или действия, осуществляемые другими организациями на те же
виды деятельности
Уровень затрат или действия, осуществляемые другими организациями на выполнение дополнительных или поддерживающих видов деятельности
Изменения в уровне потребностей Изменения в других внешних факторах, например законодательство и т. д. |
Мониторинг
стратегии |
Определить, осуществляется ли деятельность в предложенном стратегическом
направлении |
Цели
Результаты
Приоритеты
Соответствие вложений |
Мониторинг
деятельности |
Определить
использование
ресурсов |
Принятые задачи
Завершенные проекты
Продукты деятельности |
Мониторинг
влияния |
Определить влияние (значение), если оно имеется, деятельности
на целевого
клиента |
Распространение полученных результатов Распространение выводов (постановлений), документов
Освещение результатов деятельности в средствах массовой информации Показатель отношения клиента к результатам
Рекомендации или услуги, полученные/ использованные другими организациями |
Мониторинг деятельности таких систем регулярно осуществляют, используя ряд различных механизмов, что обеспечивает работу всех секторов организации в одном направлении и эффективное применение ресурсов организации — в высокоприоритетных областях деятельности — для поддержки достижения целей организации.
! Использованы данные Центра исследования менеджмента государственного сектора, -«У правлен и е социальными и коммунальными службами*», Университет в Астоне, Великобритания.
32’
500.
Мониторинг управленческой системы отличается от традиционной бюрократической ревизии деятельности. Он особенно касается стратегий, целей и задач организации и обеспечивает проведение мероприятий и использование ресурсов для достижения этих целей наиболее эффективным путем. Для каждого мероприятия рассматривается удельный вес и приоритет его как части в достижении целей организации. Став частью нормального функционирования организации, система мониторинга помогает ее росту и развитию, переходу от административной к управленческой культуре.
17.5.1. Мониторинг: основные виды и подходы
Специалисты выделяют различные виды мониторинга и подходы к его проведению. Наиболее часто встречающиеся подходы приведены в табл. 17.2, которая включает общие элементы и предполагает индивидуальную цель с примерами возможных показателей по каждой. Не все эти измерения мониторинга могут быть востребованы конкретной организацией, департаментом или подразделением. Тем не менее они нуждаются в активном рассмотрении, прежде чем просто быть признанными ненужными.
Мониторинг стратегии помогает определить существующие сильные и слабые стороны, возможности и угрожающие факторы; принимает во внимание тенденции, существующие в рабочей среде; способствует адаптации людей и культуры к структуре организации; позволяет составлять планы деятельности с ясными целями, определять миссии и цели, которые выражены и подкреплены в согласованных положениях. Стратегический мониторинг концентрирует внимание на определении четких связей между такими аспектами, как цель и процесс.
Мониторинг прогресса (хода выполнения работ), т. е. осуществление контроля за соответствием деятельности целям программы, является особенно важным для максимального использования ресурсов, для контроля за чрезмерными расходами и предотвращения ситуации недостаточного финансирования. Он помогает выявить проблемы на раннем этапе их появления. В то время как информация, получаемая в ходе осуществления финансового контроля, является наиболее часто встречающейся формой мониторинга прогресса, мониторинг фактического прогресса по основным проектам и выполнения задач к намеченным срокам может являться также важным. Мониторинг прогресса способствует сохранению и перераспределению ресурсов с учетом приоритетов организации.
Мониторинг деятельности, обзор видов деятельности и ряда проектов и задач в стадии осуществления является основой для определе-501
ния экономической эффективности, в частности для сравнения затрат подразделений. Очень часто это осуществляется на уровне служб или департамента и, как показывает опыт, помогает руководителям использовать свои ресурсы более эффективно, обеспечить работу департаментов с учетом приоритетов организации и помочь в принятии решений относительно потребности в ресурсах (кадровых, материальных и т. д.) и ассигнованиях, короче говоря, помогает повысить экономическую эффективность и результативность. Очень часто мониторинг деятельности выражается в показателях достижения целей и его процесса, часто концентрирует внимание на оценке и достижениях целей «низкого уровня», таких как физический прогресс, соответствие срокам и бюджету.
Осуществление деятельности в области мониторинга имеет два параллельных направления: 1) оценку стратегий и миссий; 2) оценку текущей деятельности. В конечном счете эти виды деятельности влияют на структурные вопросы, а это можно рассматривать как результат такого обзора.
Как только руководство получает в результате мониторинга поддержку в деле совершенствования возможностей и деятельности организации, возникает необходимость определения приоритетных областей. Опыт европейских организаций в области мониторинга показывает, что не существует какой-то одной сферы деятельности во всем комплексе оперативной практики, подлежащей совершенствованию. Как уже отмечалось, существуют различные подходы к проведению мониторинга.
В ряде случаев начинают с формирования «видения» и далее, следуя логике, переходят к планированию политики, определению целей, анализу бизнес-планов, групповых и индивидуальных стандартов выполнения работ и т. д. Другой подход предусматривает начало с обзора деятельности, основных параметров и результатов работы. Повсеместный опыт показал, что организации, начавшие с обзоров деятельности, осуществляемой на высшем уровне, обнаружили определенные трудности в получении результатов. Другие начинали с низшего уровня организации, полагая, что там они столкнутся с меньшим сопротивлением к переменам.
Наиболее приемлемым подходом, тем не менее, может быть контекстуальный (мониторинг среды) и стратегический мониторинг.
Контекстуальный мониторинг включает определение степени влияния на цели, которых стремится достичь организация, оказываемого деятельностью других организаций, вспомогательных или конкурирующих, и влияния, оказываемого меняющимися социально-экономическими и ведомственными ситуациями.
Мониторинг стратегии заключается в рассмотрении стратегии и контроле за соответствием осуществляемой деятельности, ее видов и результатов — стратегии, и особенно целям, задачам и приоритетам. Мониторинг стратегии является основной необходимостью для любой организации, для того чтобы обеспечить соответствие ее стратегии и используемых ресурсов.
Что может быть предметом мониторинга?
Осуществление деятельности в области мониторинга имеет два параллельных направления: 1) оценку стратегий и миссий; 2) оценка текущей деятельности. В конечном счете эти виды деятельности влияют на структурные вопросы, а это можно рассматривать как результат такого обзора.
Как только руководство получает в результате мониторинга поддержку в деле совершенствования возможностей и деятельности организации, возникает необходимость определения приоритетных областей. Опыт европейских организаций в области мониторинга показывает, что не существует какой-то одной сферы деятельности во всем комплексе оперативной практики, подлежащей совершенствованию. Как уже отмечалось, существуют различные подходы к проведению мониторинга.
В ряде случаев начинают с формирования «видения» и далее, следуя логике, переходят к планированию политики, определению целей, анализу бизнес-планов, групповых и индивидуальных стандартов выполнения работ и т. д. Другой подход предусматривает начало с обзора деятельности, основных параметров и результатов работы. Повсеместный опыт показал, что организации, начавшие с обзоров деятельности, осуществляемой на высшем уровне, обнаружили определенные трудности в получении результатов. Другие начинали с низшего уровня организации, полагая, что там они столкнутся с меньшим сопротивлением к переменам.
Наиболее приемлемым подходом, тем не менее, может быть контекстуальный (мониторинг среды) и стратегический мониторинг.
Контекстуальный мониторинг включает определение степени влияния на цели, которых стремится достичь организация, оказываемого деятельностью других организаций, вспомогательных или конкурирующих, и влияния, оказываемого меняющимися социально-экономическими и ведомственными ситуациями.
Мониторинг стратегии заключается в рассмотрении стратегии и контроле за соответствием осуществляемой деятельности, ее видов и результатов — стратегии, и особенно целям, задачам и приоритетам. Мониторинг стратегии является основной необходимостью для любой организации, для того чтобы обеспечить соответствие ее стратегии и используемых ресурсов (рис 17.4).
Преимущество использования мониторинга стратегии и принятия решений, основывающихся на его результатах состоит в том, что организация может повысить свои возможности по выполнению работ путем анализа внутренней деятельности по отношению к контексту (окружающей среде), в котором она осуществляется, и выделяя стратегии, которые она хотела бы применить.
17.5.2. Мониторинг деятельности
Мониторинг — это процесс оценки, в ходе которого достигается представление об осуществлении ряда видов деятельности по достижению определенных целей.
 |
|
Рис. 17.4. Схема мониторинга стратегии |
Он может содержать ряд отдельных элементов.
Оценку исполнения — это первичная оценка предложенных видов деятельности и вероятной степени достижения своих целей. Она включает показатели и цели, в соответствии с которыми осуществляется мониторинг деятельности или программы (не следует путать с оценкой выполнения деятельности персоналом, которая является частью кадровой системы организации).
Мониторинг деятельности — постоянная оценка программы как по отношению ее целей, так и по отношению к ее процессу, часто концентрирующий внимание на оценке достижений целей «низшего уровня», например физического прогресса, соблюдения сроков выполнения и осуществление деятельности в рамках выделенного бюджета.
Оценку деятельности — ретроспективная оценка программы в сравнении с ее целями.
Показатели деятельности — стандарты уровня выполнения деятельности. Часто показатели, количественно выраженные, используются для упрощенности пользования; наравне с ними используются и качественные показатели, которые также важны, но труднее интерпретировать.
Управление деятельностью — процесс обеспечения ситуации, когда осуществление оценки является неотъемлемой частью любой программы с самого начала; оно понятно тем, кто занимается сбором данных, и тем, кто анализирует и использует эти данные; результаты оценки деятельности используются для информирования всех уровней организации о программе планирования и ее осуществлении; процесс оценки направлен на улучшение деятельности.
Мониторинг деятельности предполагает процесс непрерывной оценки программы, проекта, организации или отдела с точки зрения целей и деятельности, с особым вниманием к системе оценки, которая позволяет измерить количественные и качественные затраты и результаты определенного вида деятельности.
Обзор осуществления деятельности путем мониторинга не должен рассматриваться как самоцель или единственная детерминанта изменения. Это особый метод сбора и передачи информации для того, чтобы предупредить руководителей о возможных проблемах или, наоборот, преимуществах, которые могут быть приумножены в результате возможных изменений. Это также способ обеспечения отчетности использования государственных средств.
Кроме того, система мониторинга деятельности, выполняемой руководящими работниками, может обеспечить организацию дополнительными инструментами, применение которых позволит руководству и администрации удостовериться в том, что различные компоненты организации в своей деятельности придерживаются общих целей и стратегических планов и задач, эта система также помогает принятию решений на стратегическом уровне по вопросам размещения ресурсов, помогает определить, какие виды деятельности обеспечивают оптимальные результаты, а следовательно, должны быть поддержаны и сохранены, и какие, наоборот, должны быть прекращены.
17.5.3. Процесс организации мониторинга
Выделяют три основных уровня деятельности организации, которые присутствуют в системе мониторинга:
• цель — для чего существует организация;
• процесс — каким образом организация достигает этой цели;
• люди — ктоосущсствляет процесс.
Для того чтобы осуществлять мониторинг организационной деятельности, необходимо начать с выяснения того, что является целью. Мониторинг организации начинается, таким образом, с рассмотрения существующих целей и задач, стратегии или корпоративного плана. Все это обычно называется миссией организации. Анализ этих компонентов миссии должен помочь определить общие цели оказания услуг, их качество, стандарты, исполнение и достижение.
Рассмотрение существующей структуры и рабочих планов или перечня целей и приоритетов соответствует и проистекает из миссии организации. В ходе процесса мониторинга будет определяться соответствие планов департаментов миссии организации. Анализ этих сфер определяет миссию и стратегию организации. Деятельность в области мониторинга затем переходит к определению эффективности деятельности по достижению цели, достигаются ли цели, поставленные руководителями, и хорошо ли подготовлены и осуществляют свою деятельность организация в целом и ее руководители. Мониторинг организационного процесса состоит из рассмотрения и оценки деятельности и методов путем сравнения уровней осуществления деятельности в области оказания услуг организации. При этом используются существующие сравнительные показатели для измерения достижений и ресурсов, использованных в различных подразделениях организации, и, если необходимо, устанавливаются новые показатели.
Заключение о возможности введения или расширения внутренней системы мониторинга в учреждении будет зависеть в основном от оценки 33-180 возможности существующей системы осуществлять мониторинг деятельности и обеспечить предложениями по возможным альтернативам существующих процедур для оказания помощи руководству организации в обеспечении максимальных результатов по всем задействованным ресурсам.
Мониторинг деятельности обычно включает начальный период — период обзора и сбор информации, за которым следует период активной обратной связи. В начальном периоде существует необходимость не только определить, но и развить специфические методы для сбора информации, разработки форм, составления отчетов и т. д. На более позднем этапе происходит более интерактивный обмен между человеком, осуществляющим мониторинг, и подразделением, деятельность которого находится в центре внимания проводимого мониторинга.
Мониторинг включает процесс сбора информации, анализ существующего положения в области целей и задач, стоящих перед организацией, определение ключевых показателей успеха путем обсуждения с ведущими руководителями отчетов о ходе выполнения, интервью, анкет и отбора результатов (рис. 17.5).
Техника мониторинга повседневной деятельности имеет тенденцию фокусировать внимание на деятельности, касающейся наиболее практических вопросов, таких как затраты на какую-то часть деятельности или структуры (расходы на осуществление особого вида деятельности); поведение персонала в отношении экономии времени, посещаемость, уровень заболеваемости; результаты, выражающиеся в соблюдении сроков исполнения и определения количественных показателей всей работы подразделения. Обычно такой мониторинг осуществляется кадровыми службами или административным департаментом организации.
ЦЕЛЬ
Для чего существует организация
ПРОЦЕССС
Каким образом организация достигает эту цель
ЛЮДИ
Кто осуществляет процесс
Рис. 17,5. Мониторинг: технологии и методики
Мониторинг деятельности идет дальше сбора, хотя и важной, но базовой информации и рассматривает миссию и цели, представленные в стратегическом плане, и задачи деятельности департамента и отдельного сотрудника, выполнение которых относится к более широким целям; он осуществляет обзор хода выполнения деятельности по достижению этих целей и использует результаты этого обзора для определения слабых и сильных сторон организации; он оценивает результативность процесса мониторинга, для того чтобы повысить экономическую эффективность и содействовать постоянному совершенствованию услуг и организационному развитию.
Мониторинг повседневных операций способствует развитию «критического» отношения к текущей практике. Он проверяет информацию для того, чтобы убедиться, что внедрение, процесс, результат и логическое обоснование деятельности дают наиболее эффективные и качественные результаты для организации.
Проиллюстрировать эту взаимосвязь можно путем сравнения центров внимания следующих вопросов:
|
Первый этап мониторинга/ основная форма опроса |
Второй этап мониторинга/ обзор выполнения |
Что осуществлено?
Каким образом это осуществлено? Где это осуществлено?
Когда это осуществлено?
Кто это осуществляет? |
Для чего это нужно осуществлять? Почему это нужно осуществлять таким образом?
Почему нужно осуществлять там? Почему нужно это осуществлять тогда?
Почему нужно это осуществлять данному лицу/отделу/ департаменту/организации? |
В первом или основном наборе вопросов основное внимание уделяется общей информации и количественным характеристикам деятельности. Они не содержат в себе суждения или оценки различных ответов, но просто протоколируют процесс и его осуществление. Информация передается «высшему руководству», от которого ожидается, что оно сделает заключения и выводы, основанные на этих данных. Требуя оптимального выполнения, фокус вопросов перемещается за пределы пассивного восприятия информации на необходимость логического обоснования ряда пунктов и видов деятельности. Ответы ставят перед департаментами и секторами, вопросы, касающиеся их отношения к трем «Е» (Economy, Efficiency, Effectiveness): экономика, экономическая эффективность, эффективность (результативность).
Трудно ответить на такие вопросы беспристрастно, независимо от внутренних связей организации, и исходя из этого мониторинг обычно осуществляется независимым экспертом, или группой экспертов, приглашенных со стороны, или независимой группой экспертов, созданной внутри организации, со специально возложенной на них задачей. Широко распространенное использование такого подхода требует предварительного одобрения и необходимости заручиться поддержкой руководства.
17.5.4. Мониторинг: пилотные исследования
Для достижения результатов мониторинга в ряде случаев необходимо проведение пилотного изучения и оценки оперативных вопросов, отражающих различные аспекты деятельности организации.
Пилотное изучение может включать обзор текущей внутренней деятельности и практики в области мониторинга (цель 1), осуществляемого в сотрудничестве с местными экспертами, пробное применение методик мониторинга (цель II) для определения наиболее приемлемых и полезных; анализ результатов с точки зрения оценки (цель III) вероятной осуществимости введения или совершенствования внутренней системы мониторинга повседневной деятельности.
С этой целью, как правило, выбираются 1-2 подразделения организации, которые рассматриваются в качестве примеров для дальнейшего развития методологии и систем мониторинга повседневной деятельности. Мониторинг начинается с понимания/определения/разъяснения функций департамента с последующим изучением мероприятий/деятельности, нацеленной на осуществление этих функций.
Пилотное изучение позволяет определить готовность организации для введения системы мониторинга деятельности. Оно включает анализ (обзор) деятельности в области существующего в учреждении мониторинга повседневных операций, оценку и подтверждение наличия задач и целей, соответствие планов департаментов целям всего учреждения. Кроме того, пилотное изучение может указать необходимые области применения мониторинга деятельности и определить существующие на пути его осуществления трудности.
Как правило, пилотное изучение включает знакомство с документацией; прямые интервью с ведущими сотрудниками, включая руководителей департаментов, начальников отделов; применение различных форм по сбору информации; создание и использование форм обзора и обратной связи; проведение исследований для определения соответствия деятельности целям.
Система управленческого мониторинга может дать организации мощный инструмент, который позволит руководству и управленцам убедиться в том, что различные подразделения организации придерживаются общих поставленных целей и стратегического плана, а также поможет в принятии решений по распределению ресурсов на стратегическом уровне. С помощью такой системы можно создать перечень важнейших, «ключевых» показателей работы. Когда ряд мероприятий по оценке осуществлен, возникает основа для оценки сходной деятельности в других структурах организации.
Мониторинг деятельности на уровне департаментов дает возможность использовать ресурсы должным образом, обеспечить реализацию в отдельном департаменте приоритетов организации, помогает в принятии решений по потребностям в ресурсах и их распределению (кадры, материальные ресурсы и т. д.), в конечном счете — повышает продуктивность, результативность, действенность и эффективность работы.
Мониторинг проектной деятельности не только конкретного проекта, но и в масштабах определенной территории (страны, области, города) позволяет обеспечить преемственность результатов и повышение эффективности использования ресурсов, достижение общих целей. Кроме того, подобная форма мониторинга способствует проведению глубокого сравнительного анализа, накопившегося в сфере проектной деятельности опыта, отечественного и зарубежного, что позволяет усовершенствовать систему проектной работы в целом.
Необходимо отметить, что мониторинг должен отражать реальное состояние всей рассматриваемой системы в каждый момент времени и давать возможность оценки и определения основных направлений ее развития на перспективу. В связи с этим основные задачи, которые должны быть реализованы в процессе мониторинга, могут быть сформулированы следующим образом:
• воспринимать и перерабатывать всю поступающую информацию;
• гибко реагировать на происходящие структурные сдвиги и на этой основе обновлять и обосновывать информационно-нормативную базу и управленческие решения;
• отслеживать состояние и развитие реформирования; выявлять возможность проведения сравнительного анализа со сходными системами;
• отслеживать прогнозируемые показатели, осуществлять их верификацию.
Ш
Особое значение приобретает при этом логическая структура проекта. Разработка системы мониторинга осуществляется с использованием большого количества показателей, как количественных (преобладающее большинство), так и качественных, факторов, компонентов, индикаторов, критериев и других научно обоснованных нормативов. Если принять во внимание тот факт, что осуществление деятельности в области мониторинга может рассматриваться как деятельность, ведущаяся в двух параллельных направлениях: оценка стратегий и миссий и оценка текущей деятельности, очевидным становится то, что определение индикаторов является актуальным процессом при выработке стратегии проектной деятельности. Однако помимо определения индикаторов существуют и другие факторы, которые необходимо учитывать при разработке проекта, так как впоследствии именно степень их проработанности будет определять эффективность мониторинга деятельности в рамках конкретного проекта.
Таким образом, общая схема факторов, определяющих успешность и эффективность мониторинга и оценки проекта, может быть сформулирована следующим образом:
• четкое определение целей и задач проекта, для оценки реализации которых можно было бы указать конкретные индикаторы (цели и задачи проекта должны быть реалистичны по срокам их осуществления и иметь измеряемый эквивалент их реализации);
• создание структурированной системы индикаторов, позволяющих отслеживать результаты проектной деятельности в количественных и качественных показателях производства товаров или/и услуг (четко структурированная система индикаторов позволяет также обеспечить доступность информации о ходе проекта и обратную связь со всеми его участниками с первых дней реализа-
, ции проекта; иерархия целей и задач проекта определяет и последовательность индикаторов);
• создание информационно-поисковой базы данных, позволяющей не только собирать и перерабатывать необходимую информацию, но и осуществлять доступ к уже имеющимся статистическим и аналитическим материалам, релевантным исследуемым проблемам;
• создание инфраструктуры для осуществления сбора и анализа информации, работы с базой данных, в конечном счете для обеспечения постоянного мониторинга проекта с целью повышения его эффективности.
Отмечая значимость определения системы индикаторов, следует отметить, что любой индикатор, как правило, формируется на базе пока-ш
зателеи, факторов, критериев и в связи с этим является обобщающим показателем. К индикаторам предъявляются определенные требования. В частности, каждый индикатор должен:
• иметь определенное смысловое значение и предназначаться, как уже упоминалось, для решения конкретной задачи;
• давать возможность измерять определенный количественный или качественный параметр системы;
• использоваться для оценки состояния и развития исследуемой системы;
• применяться для осуществления мониторинга проекта и решения других задач планирования, прогнозирования и управления исследуемой системы.
Система мониторинга, направленная на удовлетворение потребностей бенефициариев проекта.
В западной практике сегодня все чаще употребляется термин «Beneficiary-Centered Monitoring System and Evaluation» — система мониторинга и оценки проекта, направленная на удовлетворение потребностей бенефициариев проекта. Главным индикатором здесь изначально является степень удовлетворенности, мнения и восприятие результатов проектной деятельности самими бенефициариями. Однако оценка подобных качественных показателей и их учет при корректировке проектной работы является очень сложной задачей.
Система мониторинга рассматривается в данном случае как существенная часть планирования и реализации проекта. Рассмотрение и оценка каждого вида деятельности ведется в соответствии с рядом индикаторов, отражающих адекватность постановки целей, измеряющих результативность реализации проекта, позволяющих оценить перспективы дальнейшего развития проектной деятельности и корректировать в случае необходимости ход реализации проекта.
Таким образом, процесс мониторинга состоит из 4 этапов:
1. Постановки целей (чего необходимо достичь).
2. Измерения результативности реализации проекта (что происходит на настоящий момент).
3. Оценки хода реализации проекта и дальнейших перспектив его развития (почему все происходит именно так, что может произойти дальше).
4. Коррекции проекта (что может быть изменено).
Для каждого вида деятельности в конкретном проекте можно определить 4 вида индикаторов. Первым видом индикаторов в данной си-511
стеме является количество бенефициариев проекта и количество товаров или услуг, ими получаемых (например, количество учебников, предоставленных определенному числу школ). Оба индикатора характеризуют продуктивность проекта. Данные индикаторы отслеживаются посредством учета всех счетов, приходно-расходных документов о предоставлении и получении товаров и услуг, составления отчетов.
Три других индикатора характеризуют степень удовлетворенности бенефициариев результатами проектной деятельности, время и стоимость предоставляемых услуг. Эти индикаторы позволяют судить об эффективности (коэффициенте полезного действия) проекта.
Как уже отмечалось, измерить степень удовлетворенности бенефициариев результатами проекта чрезвычайно сложно. Очевидно, что чем больше совпадают ожидания бенефициариев с тем, что они получают, тем выше степень удовлетворенности проектом. Для измерения данных регулярно проводятся фокус группы, интервью, наблюдения, анкетирование, семинары.
Индикатор стоимости подразумевает в данном случае сравнение средств, предусмотренных бюджетом, с реальными израсходованными на определенный вид деятельности средствами. Кроме того, предусмотренные бюджетом и реально израсходованные средства должны быть сопоставлены с количеством бенефициариев, запланированных и реально участвующих в проекте. Оценка стоимости проекта проводится на основании финансовых отчетов, фиксирующих размер бюджета, все затраты и выплаты.
Еще один индикатор, позволяющий оценить эффективность проекта, — время, планируемое и реально затраченное на такие этапы проекта, как:
• планирование и согласование проекта;
• привлечение необходимых ресурсов;
• выплаты;
• доставка товаров или/и услуг конечному потребителю (например, обеспечение методическими материалами не просто школы, а каждого конкретного педагога).
Основные методы отслеживания и оценки при планировании и согласовании проекта — подписание договоров и меморандумов, составление плана действий с указанием планируемого времени, проведение интервью и фокус групп среди всех участников проекта. На втором этапе важно зафиксировать конкретные сроки выполнения взятых обяза-
тельств всеми участниками проекта, сроки предоставления регулярных информационных отчетов партнерам для стимулирования их активного участия на протяжении всего хода проекта. Для своевременного проведения необходимых выплат важно предварительно наметить сроки и зафиксировать их в проектном плане. Сроки предоставления товаров или услуг конечному потребителю также должны планироваться и фиксироваться как вполне конкретная дата или промежуток времени.
Для повышения эффективности мониторинга необходимо предусматривать проведение регулярных (не реже одного раза в год) так называемых оценочных семинаров, консультаций или миссий с участием всех партнеров. Основными целями проведения подобных мероприятий являются:
• оценка продуктивности и эффективности проекта на данном этапе его реализации;
• оценка причин возможных осложнений и отсрочек или неожиданных успехов (вызванных, к примеру, инновационными методами работы) с точки зрения участников проекта;
• уточнение дальнейшего плана действий учетом возникших проблем или для закрепления успешного опыта.
О важности и необходимости проведения подобных оценочно-консультативных семинаров говорит и следующий факт. Сегодня все большее значение придается специалистами активному вовлечению во все аспекты проектной деятельности всех участников проекта. Исследователи утверждают, что успех реализации любого проекта во многом зависит от участия и осведомленности о ходе подготовки и реализации проекта сторон-партнеров. В этом случае одной из задач мониторинга становится информирование всех участников о ходе реализации проекта и возможном вкладе каждого партнера для повышения результативности и качества общей программы действий в рамках проекта. Один из вариантов активизации участия партнеров в общей деятельности — использование на подобных семинарах методики анализа проблемы. Очевидно, что цели и задачи проекта формулируются исходя из тех проблем, которые предстоит решить в процессе его осуществления.
Методика анализа проблемы состоит в проведении мозгового штурма, в ходе которого участники проекта выявляют все причины и возможные последствия этих проблем. По результатам обсуждения выстраивается иерархия целей и задач проекта, а также составляются диаграммы. Первая отражает те проблемы, которые невозможно ре-
шить прямым путем, действуя в рамках конкретного проекта, но которые необходимо решить для реализации конечных целей проекта. Эти проблемы рассматриваются в контексте новой стратегии действий (возможно, параллельной с уже действующей) или как риски реализации данного проекта, если ресурсы не позволяют расширить границы деятельности. Вторая диаграмма отражает те мероприятия, которые необходимо осуществить для того, чтобы реализовать цели, но не входящие в непосредственную программу действий проекта. Такие мероприятия, должны быть включены в обоснование проекта и максимально учтены при осуществлении мониторинга. Примером в данном случае могут служить изменения в законодательной базе или другие мероприятия проведение которых зависит от государственных структур.
В России, как уже отмечалось, отсутствует система постоянного мониторинга проектной и программной деятельности в сфере науки и образования. Одним из путей решения этой проблемы стало создание в июле 2000 г. Минобразования России Центра мониторинга международных программ и проектов в области образования. На фоне развития международного сотрудничества образовательных учреждений Центр мониторинга может стать действенным инструментом в проведении образовательной политики, повышении эффективности вложения спонсорских средств в сферу образования, помочь своими экспертными оценками и рекомендациями как образовательным учреждениям, так и спонсорам оптимизировать их усилия и достигать более высоких результатов.
Цели и задачи Центра. Центр создается для оптимизации деятельности различных субъектов (образовательных учреждений, органов управления образованием, зарубежных фондов и международных организаций) в реализации образовательных и исследовательских программ.
В своей деятельности Центр должен содействовать широкому использованию научного и педагогического потенциала России и других государств в повышении эффективности осуществления международных проектов, способствующих развитию национальных систем образования, укреплению партнерских связей образовательных и научных учреждений.
Основнымизадачами Центраявляются: созданиепостояннодейству-ющей системы мониторинга международных проектов в образовательной сфере, анализ результатов мониторинга, подготовка аналитических материалов, предложений и рекомендаций для заинтересованных организаций.
Оказание помощи образовательным учреждениям, а также зарубежным и международным организациям, университетам и фондам в поиске партнеров по осуществлению совместных образовательных и исследовательских проектов.
Сбор и распространение информации о программах международного сотрудничества в области перспективных форм образования, академических обменов, научных исследований, в том числе с использованием информационных и коммуникационных технологий.
Создание банка данных о международных проектах в области образования (включая полученные результаты).
Создание базы данных, содержащей информацию об экспертах в различных областях образования и науки, с целью оказания помощи в осуществлении проектов, их экспертизе и оценке.
Содействие дальнейшему развитию системы образовательного фандрайзинга; проведение семинаров и конференций для спонсоров, осуществление координации деятельности организаций, ведущих схожие по тематике проекты, организация семинаров по фандрайзингу для широкого круга образовательных учреждений и т. д.
Важным элементом планируемой деятельности может стать международная сеть специалистов в области оценки проектов и программ, в создании которой приняли участие представители Грузии, Молдовы, России и Украины.
1. ГОСУДАРСТВЕННАЯ НАУЧНО-ТЕХНИЧЕСКАЯ ПОЛИТИКА
Определениесовершенства обладаетнекоторым консерватизмом, оноредкоменяется. Но периодически его следует пересматривать изаново продумывать.
Питер Ф. Друкер
1.1. Базовые понятия
Наука—самое важное, самое прекрасное и нужное в жизни человека.
А. П. Чехов
В начале XVIII в. в русском обществе изменилось отношение к труду ученого. Занятие науками уже не казалось недостойным вельможи. В этот период появилась Российская Академия наук, первые российские ученые получают мировую известность, и среди них — В. Н. Татищев.
Ученый-энциклопедист, горный инженер, математик, географ, экономист, историк, языковед, медик, философ и педагог. Это далеко не полный перечень областей деятельности Василия Никитича Татищева (1686-1750) сподвижника Петра I, радевшего о славе и процветании Отечества.
Он был одним из первых российский ученых, отстаивающих научное обоснование государственных политических и экономических начинаний. Татищев подчеркивал, что «главная польза государства» состоит в особой силе просвещения, в организации обучения с младенчества, поощрении особо радивых и даровитых учащихся («чтобы высший в науке высшее место и имел»). «Ни каков человек без знания совершен, мудр и полезен быть не может». Он был зачинателем профессионально-
технических школ и системы обучения. Академию наук Татищев видел как центр по разработке научных проблем, подготовке научных кадров, изданию научных трудов, собиранию и изучению памятников истории и культуры. «По методу своего мышления Татищев является как бы главой многочисленного рода просветителей» (Г. В. Плеханов).
Наука — сфера деятельности, ориентированная на выработку знаний о мире, их систематизацию, построение образа мира и определение способов взаимодействия с миром. Науки различаются по предмету и объекту исследования. Предмет науки — это сторона, которой объект представлен в науке. Объект исследования — это сторона реальности, на изучение которой направлена данная наука. Каждой науке присущи свои понятия, средства и методы.
Естественные науки изучают поведение объектов окружающего мира. Общественные науки имеют дело с поведением человека и общественных институтов.
Основу науки составляют законы — открытые устойчивые связи между явлениями. Совокупность законов составляет теорию — систематизированное описание и объяснение явлений в определенной области. Развитие науки представляет собой развитие и смену теорий. Теория существует до тех пор, пока не накопятся факты, противоречащие ее положениям. Невозможность объяснить новые факты в рамках действующей теории порождает необходимость анализа и выработки новой совокупности гипотез.
Важно отметить, что реальность, на которую опираются естествен -ные науки, — физический мир и его законы — неизменна, а в социальном мире нет таких жестких законов. Предмет изучения общественных наук, к которым относится и экономика знаний, постоянно меняется. Это требует рассматривать экономику знаний как систему общих представлений, совокупность достижений практики, систему методов создания условий для функционирования и поддержки научно-исследовательской деятельности.
Разработка менеджмента научных исследований — это фактически создание инструмента для улучшения условий научно-исследовательской деятельности. С помощью этого инструмента можно повысить эффективность совместного труда работников научной сферы.
Научная (научно-исследовательская) деятельность — деятельность, направленная на получение и применение новых знаний, в том числе:
• фундаментальные научные исследования — экспериментальная или теоретическая деятельность, направленная на получение но-
13
вых знаний об основных закономерностях строения, функционирования и развития человека, общества, окружающей природной среды;
• прикладные научные исследования — исследования, направленные преимущественно на применение новых знаний для достижения практических целей и решения конкретных задач.
Фундаментальные науки познают мир безотносительно к возможностям практического применения, а прикладные науки ориентированы на применение знаний, полученных фундаментальными исследованиями. Однако фундаментальная и прикладная науки существуют только во взаимосвязи. Они дополняют и развивают друг друга. Научное исследование направлено на выявление свойств и особенностей изучаемого объекта, установление его существенных признаков, свойств и особенностей.
Научно-техническая деятельность — деятельность, направленная на получение, применение новых знаний для решения технологических, инженерных, экономических, социальных, гуманитарных и иных проблем, обеспечения функционирования науки, техники и производства как единой системы.
Экспериментальные разработки — деятельность, которая основана на знаниях, приобретенных в результате проведения научных исследований или на основе практического опыта, и направлена на сохранение жизни и здоровья человека, создание новых материалов, продуктов, процессов, устройств, услуг, систем или методов и их дальнейшее совершенствование.
Научный и научно-технический результат — продукт научной или научно-технической деятельности, содержащий новые знания или решения и зафиксированный на любом информационном носителе.
Государственная научно-техническая политика — система целей, направлений, способов и форм воздействия государства на получение новых научных результатов, создание и освоение новой техники и технологий. Государство рассматривает науку и ее научный потенциал как национальное достояние, определяющее будущее нашей страны, в связи с чем поддержка развития науки становится приоритетной государственной задачей.
Научно-техническая политика как самостоятельная особая область деятельности государства по историческим меркам очень молода. В данной области ни одна страна не обладает пока традициями и обширным опытом, неоднократно проверенными на практике.
1.2. Экономическая ситуация в научной области
Наука героичная, как самая справедливейшая из войн: вся она — непрерывный многовековой подвиг добровольцев, идущих навстречу неизведанному.
Д. Гранин
С началом рыночных преобразований в экономике резко сократилось государственное финансирование науки, упал спрос на ее результаты со стороны ВПК и других отраслей. Из года в год государство выделяет науке не более половины положенных по закону 4% расходной части бюджета, предусмотренных законом «О науке и государственной научно-технической политике» от 23 августа 1996 г.
Для оценки ситуации важен не столько абсолютный объем выделяемых на науку средств, сколько их доля в общем объеме ресурсов страны — во внутреннем валовом продукте (ВВП). Этот показатель отражает объективно складывающийся баланс национального хозяйства. Такие показатели меняются медленно, если не возникает форс-мажорных обстоятельств вроде войны или крупного стихийного бедствия. Каждая десятая или сотая доля процента тут весома из-за величины самого ВВП.
По доле затрат на исследования и разработки Россия отставала от большинства стран «семерки» уже в 1990 г. (при том, что наши космические программы по масштабу не уступали американским). В дальнейшем разрыв увеличился, что красноречиво свидетельствовало о серьезном неблагополучии в обществе, разбалансировке его ресурсов. Сравнение общих затрат на науку с затратами на гражданские исследования и разработки показывает, что стартовые позиции для российской науки были крайне невыгодными. В 1990—1991 гг., когда страны «семерки» активно перестраивались на мирный лад, мы тратили на военно-промышленные разработки более половины своих скудных средств. Наш научно-технический потенциал был милитаризован больше, чем у развитых стран (табл. 1.1).
В 1997 г. расходы на финансирование российской науки составили 1,2% ВВП, в 1998 г. — 0,7%. В 1998 г. на государственный сектор науки приходилось 67,5% всех затрат на исследования и разработки, на предпринимательский — 27,0, на научные подразделения вузов — 5,4, на частный бесприбыльный научный сектор — 0,06%. Стратегическим интересам России отвечало бы финансирование на уровне 2-3% ВВП, который характерен для большинства стабильно развивающихся стран. Чем больше страна расходует на исследования и разработки, тем выше уровень ее
15
Таблица 1,1
Национальные затраты на исследования и разработки (общие и гражданские),% ВВП |
|
|
|
1. Государі Страны |
;твенная0на-учно-технич |
еская политика |
1996 г. 15 |
|
общие |
гражданские |
общие |
гражданские |
общие |
гражданские |
|
Россия |
2,0 |
1,0 |
1,5 |
0,6 |
0,9 |
0,6 |
|
Япония |
3,1 |
3,0 |
3,0 |
3,0 |
3,0 |
2,8 |
|
США |
2,7 |
1,9 |
2,6 |
1,9 |
2,5 |
2,1 |
|
Франция |
2,4 |
1,9 |
2,4 |
1,9 |
2,3 |
2,0 |
|
Англия |
2,2 |
1,8 |
2,1 |
1,7 |
2,1 |
1,7 |
экономического развития и жизненных стандартов населения. Слабый научно-технический сектор, поглощающий менее 2% ВВП, характерен для стран с сырьевой ориентацией экспорта.
В 1993 г. было 38 программ, в 1994 г. — 41, в дальнейшем их число то возрастало, то уменьшалось. Постепенно среди них увеличилась доля фундаментальных программ, что стало реакцией на сокращение финансирования: в 1995 г. было получено 162 млн руб. (план — 483 млн руб.), в 1996 г. — 118 млн руб. (план — 343 млн руб.). Проекты, связанные с опытно-конструкторскими работами, разработками и выпуском опытных партий продукции, сворачивались.
В 1996 г. была заявлена единая федеральная целевая научно-техническая программа «Исследования и разработки по приоритетным направлениям развития науки и техники гражданского назначения на 1996-2000 годы». В нее вошли 8 приоритетных направлений, опиравшихся на 39 подпрограмм. Выполнялись 3,7 тыс. проектов. Соисполнителями программы стали 1118 организаций, представлявших 61 субъект Федерации. По многим субъектам финансирование было символическим. Так, в 1996 г. из 343 млн руб. для организаций Москвы было запланировано 200 млн, Московской области — 45 млн, Санкт-Петербурга — 41 млн, Вологодской и Калининградской областей — по 4 тыс., Карелии — 3 тыс.
Сегодня вполне реальна опасность потерять наукоемкие направления. Так, за 1990-1995 гг. доля высокоточных станков в общем производстве станков упала с 10,4 до 3,7%, станков с программным управлением — с 22,6 до 1,6%. Под влиянием спроса на низкотехнологичную продукцию машиностроения возросла доля дешевых, примитивных станков с ручным управлением.
За 1990-1995 гг. число освоенных производством образцов новой техники сократилось с 2000 до 1100, а средний возраст производственного оборудования вырос с 10,8 до 14,1 лет. И в последующие годы инновационная активность продолжала оставаться на очень низком уровне, в 2000 г. лишь 5% предприятий применяли новые достижения, в то время как в Европе этот показатель составляет 80-87%.
Вторая половина 1990-х гг. стала для российской науки периодом преодоления кризиса. Объем основных фондов за 1990—1999 гг. снизился более чем в три раза и составил 213,6 млрд руб. Коэффициент обновления основных фондов научно-технической сферы снизился до 2,1% по сравнению с 10,5% в 1991 г.
Доля инновационной продукции в общем объеме промышленной продукции в 1999 г. равнялась 3,5%. По прогнозным оценкам, в 2010 г. она достигнет 6,5—7,5% (при минимально необходимых 15%). Доля затрат на инновации в общем объеме промышленной продукции в 1999 г. состав-, ляла 1,06%. По прогнозу, к 2010 г. эта доля составит 2,5%.
Одной из самых острых проблем научно-технической сферы остается кадровая проблема. Средний возраст исследователей, имеющих ученую степень, приблизился к пенсионному.
С падением престижа науки снижается уровень образованности и культуры общества. Смещается вся система ценностей. Подрастает малообразованное поколение. Исчезает сообщество не только творцов науки и культуры, но и потребителей культурных ценностей. Все меньше людей способны востребовать и оценить достижения науки.
1.3. Типовые схемы финансирования
Ученый не имеет права покидать науку... Что бы ни случилось, хотя бы душа расставалась с телом, все равно — надо работать.
Пьер Кюри
Можно выделить следующие подходы к финансированию наукоемких разработок:
1. «Лобовой» способ — выделять деньги по всему фронту научного потенциала и в количестве, запрашиваемом самими учеными. Такой подход не требует выделения приоритетов, механизмов координации действий отдельных секторов, Коль скоро ученые смогли доказать разумность своих требований, их финансируют правительственные ведомства.
Эта схема ориентируется на поддержку «белового шума» по всему спектру исследований с надеждой, что где-то появится прорывной научный результат.
2. «Комплексный» способ — управление научно-техническим прогрессом как самостоятельной социально-экономической областью. Такой подход предполагает детальное изучение реально складывающейся экономической ситуации в стране, научное прогнозирование ее развития и создание максимально благоприятных объективных и субъективных условий реализации процесса в целесообразном с точки зрения интересов общества направлении.
3. «Дефицитное» управление вытекает из следующей целевой установки: Лак извлечь максимум результатов из наличного научного потенциала в условиях ограниченных финансовых ресурсов?» Удержать технологическое лидерство там, где оно сохранилось, вернуть его там, где оно частично утрачено, получать от вкладываемых в науку средств по крайней мере «не меньше других», причем не только в виде ученых публикаций, патентов, престижных премий, но и в виде расширения рынков сбыта новой техники, сокращения дефицита внешнеторгового баланса и других реально ощутимых материальных выгод.
Типовые схемы финансирования научных исследований можно рассматривать как самостоятельные подходы, но можно их применять как взаимодополняющие по отдельным областям научной деятельности.
1.4. Научно-техническая политика
Внаукенет широкой столбовой дороги, и толькототможет достичь ее сияющих вершин, кто, не страшасьусталости, карабкается по ее каменистым тропам.
Карл Маркс
Основными целями государственной научно-технической политики являются развитие, рациональное размещение и эффективное использование научно-технического потенциала, увеличение вклада науки и техники в развитие экономики государства, реализацию важнейших социальных задач, обеспечение прогрессивных структурных преобразований в области материального производства, повышение его эффективности и конкурентоспособности продукции, улучшение экологической обстановки и защиты информационных ресурсов государства, укрепление обороноспособности государства и безопасности личности, общества и государства, упрочение взаимосвязи науки и образования.
Важнейшими принципами государственной научной политики являются:
• опора на отечественный научный потенциал (стимулирование развития фундаментальных научных исследований; сохранение и развитие ведущих отечественных научных школ; пропаганда современных достижений науки, их значимости для будущего России; защита прав и интересов российских ученых за рубежом);
• свобода научного творчества (последовательная демократизация научной сферы, открытость и гласность при формировании и реализации научной политики; создание условий для здоровой конкуренции и предпринимательства в сфере науки и техники, стимулирование и поддержка инновационной деятельности; обеспечение беспрепятственного доступа к открытой информации и права свободного обмена ею; формирование экономических условий для широкого использования достижений науки, содействие распространению ключевых для российской экономики научно-технических нововведений);
• создание условий для организации научных исследований и разработок в целях обеспечения необходимой обороноспособности и национальной безопасности страны;
• интеграция науки и образования (развитие целостной системы подготовки квалифицированных научных кадров всех уровней);
• защита прав интеллектуальной собственности исследователей, организаций и государства;
• развитие научно-исследовательских и опытно-конструкторских организаций различных форм собственности, поддержка малого инновационного предпринимательства;
• повышение престижности научного труда, создание достойных условий жизни и работы ученых и специалистов.
Важнейшей задачей государственной научно-технической и инновационной политики на долгосрочный период является определение приоритетов развития научно-технической и инновационной сфер, оказывающих влияние на повышение эффективности производства и конкурентоспособности продукции, а также разработка конкретных организационных и экономических механизмов обеспечения благо-
приятных правовых, экономических и финансовых условий для активизации научной и инновационной деятельности. В условиях рыночной экономики государство может реализовать свои цели в научнотехнической области через следующие механизмы:
1. Выработку стратегическихнаучно-технологическихориентиров у государства вцелом,у субъектов Федерации и отдельныхрегионов:
• разработку и проведение единой государственной научно-технической политики;
• выбор приоритетных направлений развития науки и техники в Российской Федерации;
• увеличение доли затрат федерального бюджета на науку при приоритетной поддержке фундаментальной науки.
2. Дрялго е участие государства в финансированииза счет бюджета:
• финансирование исследований и разработок, направления которых наиболее соответствуют целям государства (проблемы обороны, энергетики, здравоохранения, сельского хозяйства, систем вооружений, космической техники);
• определение структуры и размера финансирования фундаментальных исследований и приоритетных научно-технических направлений, реализуемых в форме государственных программ;
• предоставление безвозмездных субсидий на научные исследования;
• непосредственное управление структурами, находящимися в государственной собственности;
• стимулирование коммерческих организаций к созданию фондов финансирования научных исследований;
• привлечение инвесторов на паритетных началах;
• проведение санаций и закрытие неэффективных организаций.
3. Создание поддерживающей системы законов:
• принятие законов и нормативных актов в сфере научно-технической деятельности;
• введение законов, регулирующих отношения в сфере интеллектуальной собственности, прав авторов и правообладателей.
• увеличение вневедомственного конкурсного финансирования науки (РФФИ, РГНФ и др.) через научные фонды;
• развитие'венчурного инвестирования в научно-технической сфере;
• введение страхования инновационныхрисков.
20_Г Государственная научно-техническая политика
4. Управление черезналоговую политику:
• введение налоговых льгот для научных и образовательных государственных организаций;
• введение избирательных льгот и стимулов для частных компаний и негосударственных некоммерческих учреждений.
5. Формирование престижного общественного мнения относительно науки, ученыхинововведений:
• повышение престижности труда молодых ученых;
• использование временных трудовых контрактов для молодых ученых (до 30 лет) с существенно повышенным размером оплаты;
• увеличиние финансирования научной материально-технической базы;
• переоснащение приборного парка науки;
• обеспечение молодых ученых жильем;
• улучшение пенсионного обеспечения высококвалифицированных ученых.
Ряд элементов государственного управления научно-технической политикой зафиксирован в принятой Доктрине развития российской науки:
• выделение средств из федерального бюджета на финансирование научно-исследовательских и опытно-конструкторских работ гражданского назначения в размере 3% его расходной части с ежегодным увеличением этого размера по мере стабилизации экономики до уровня, характерного для высокоразвитых стран;
• обеспечение устойчивого государственного финансирования Российской академии наук, Российской академии медицинских наук, Российской академии сельскохозяйственных наук, Российской академии образования, Российской академии архитектуры и строительных наук, Российской академии художеств, государственных научных центров и организаций, работающих по приоритетным направлениям науки и техники, государственных университетов и других ведущих высших учебных учреждений, научных библиотек, музеев и информационных центров;
• обеспечение множественности источников финансирования научно-исследовательских и опытно-конструкторских работ за счет активной поддержки целевых государственных фондов;
• создание благоприятных условий для инвестирования средств в науку промышленными предприятиями, банками, международными организациями и частными лицами;
• развитие конкурсных начал в распределении средств на научные программы и проекты при открытости принимаемых решений и привлечении научного сообщества к контролю за использованием средств;
• поэтапное введение федеральной контрактной системы в сфере научно-технических и опытно-конструкторских разработок;
• введение налоговых и таможенных льгот для стимулирования и поддержки научной деятельности;
• создание условий и предоставление необходимых ресурсов для участия российских ученых в международных проектах;
• создание благоприятных условий для работы общественных научных объединений.
Ближайшая задача государственной кадровой политики в научнотехнической сфере состоит в сохранении талантливой и плодотворной части научных кадров, удовлетворении кадровых потребностей фундаментальной науки и научных комплексов высокотехнологичных отраслей промышленности на основе привлечения и закрепления молодых ученых и специалистов, сокращения их ухода в другие сферы и отъезда за рубеж.
Основные меры по привлечению и закреплению молодежи в науке в современных условиях связаны с созданием привлекательных условий для работы, творческого и социального роста. Это предполагает увеличение заработной платы, содействие обеспечению жильем, улучшение социальной защищенности.
1.5. Управление наукой в высшей школе
Работа в науке—это тяжелыйтруд, здесь поражения более часты, чем победы и достижения.
М. А. Марков
В российской высшей школе в последние годы сложилась достаточно структурированная система организации научной деятельности в рамках межвузовских научно-технических программ, единого заказа-наряда и грантов. При этом около половины бюджетных ассигнований, выделяемых Минобразованию России на науку, направляется на фундаментальные исследования. Одновременно по ряду научных направлений действует сеть программ прикладных исследований.
В 1999 г. научные исследования в системе Минобразования России проводили 355 вузов и научных организаций. Основу научного сектора составляют коллективы 199 университетов (56%), 56 академий (16%), 58 институтов (16%), 42 научные организации (12%). Среднегодовая численность работников в них составила более 419 тыс. человек, из них 40% — профессорско-преподавательский состав. В системе работают около 20 тыс. докторов (более 10% от общей численности) и более 90 тыс. кандидатов наук (48,9%). На науку министерство выделило 859,2 млн руб., что составило 100% от плана. Соотношение объемов финансирования НИР по единому заказу-наряду, грантам и научно-исследовательским программам составило соответственно 33,5,8,7 и 57,8% .
Вместе с тем во многих вузах в оплате труда преподавателей недостаточно учитывается исследовательская деятельность, что приводит к негативному отношению к научной работе. С другой стороны, по признанию Минобразования, отсутствует эффективный контроль за расходованием средств, выделяемых на исследования посО/іно.?/у.?йл??.й/-;«?/гл%.
Конкурс грантов позволяет поддерживать наиболее динамично работающие научные коллективы, однако социологические опросы показывают: около 40% респондентов отмечают, что существующая процедура подачи заявок создает условия для протекционизма.
На сегодняшний момент проведен конкурс и сформировано 12 на-учньгхи научно-технических программ, проведена реструктуризация системымежвузовскихнаучно-техническихпрограмм: вместо 86, действовавших в 1998 г., в настоящее время работа ведется по 12 программам.
В то же время проблемы, с которыми столкнулась страна в последние годы, не могли не сказаться на научной сфере, включая вузовскую науку, Направляя в научно-техническую сферу менее 1% валового продукта, Россия все больше отстает от промышленно развитых стран. Не выполняется 4%-ная норма выделения бюджетных средств, определенная Федеральным законом «О науке и государственной научнотехнической политике».
Даже в условиях роста бюджетного финансирования системы образования в целом проблемой является наиболее эффективное использование средств, направляемых в ее научный сектор. Для изменения положения в этой сфере необходимо, чтобы заказчиками научных исследований и разработок выступали отрасли промышленности, что
предполагает расширение межотраслевого взаимодействия, заключение договоров с министерствами и ведомствами, формирование совместных научно-технических программ.
Расширение сотрудничества с отраслями может привлечь дополнительные средства на развитие научной и инновационной деятельности, и прежде всего это соглашения с Газпромом, РАО ЕС, Министерством путей сообщения, Министерством атомной промышленности и другими акционерными и федеральными структурами. Дальнейшие действия по развитию сотрудничества с отраслями должны предусматривать долевое финансирование конкретных проектов. Выполнение этой задачи предполагает самую тесную связь вузовской науки и отраслей.
Особая роль вузовского сектора науки и инновационного комплекса высшей школы определяется их влиянием на социально-экономические и технологические преобразования в регионах, в большинстве которых они составляют основу научно-технического потенциала. В силу этого важной задачей является формирование региональных научно-технических программ, являющихся составными частями общегосударственной научной, научно-технической и инновационной политики.
Вузовские научные коллективы все более активно привлекаются к решению региональных задач, в 1999 г. более 10 млн руб. было выделено из средств областных, краевых, республиканских бюджетов на совместное финансирование исследований.
Формируя новые программы, Министерство образования исходит из принципа софинансирования научных исследований. Например, по проектам, представленным на конкурс в рамках программы « Рая-работка и реализация федерально-региональной политики в области науки и образования», органы государственного управления субъектов Российской Федерации подтвердили участие в договорных отношениях, в том числе на международном уровне, на общую сумму 127 млн руб., что более чем в 1,5 раза превышает объем средств, которые планируются на это направление вузовской науки.
Внимание к региональной науке со стороны губернаторов скорее исключение, чем правило. Члены Совета Федерации нередко стремятся переложить основное бремя финансирования вузовской науки на федеральный центр. Вместе с тем для увеличения финансирования науки в регионах необходимо, чтобы исследования в большей мере были связаны с региональной экономикой. Примерами активной поддержки научных исследований на региональном уровне являются специальные программы г. Москвы, г. Санкт-Петербурга, Красноярского края.
Можно назвать еще несколько важных условий финансирования вузовской науки на региональном уровне. Во-первых, отрасли должны делать конкретный заказ на новую технологию, продукцию, услуги. Для этого вузы должны не только изучать и знать потребности отраслей в технологическом обновлении производства, но и постоянно оценивать свои возможности, свой интеллектуальный потенциал, инновационные ресурсы вузовской науки, которые можно было бы использовать при решении задач в интересах местных промышленности и экономики.
Второе условие касается необходимости доработки областного законодательства: если сегодня не предоставить льготы отраслям промышленности, они не будут вкладывать средства в науку.
Итоги работы в 1999-2002 гг. показывают, что многие предприятия начинают медленно, но уверенно выходить из кризиса, наращивать производство и в этой связи проявлять больший интерес к тем современным технологиям, которые во всех ведущих странах определяют динамику экономического развития. Повышается интерес промышленности к специалистам нового поколения.
Высшая школа лучше других владеет новыми технологиями и условиями для подготовки таких кадров. Но пока имеются лишь одиночные примеры, когда крупные предприятия, акционерные компании, холдинги, оборот которых превышает миллиарды долларов, вкладывают средства в подготовку кадров нового типа, в поддержку вузовской науки, стимулирование инновационных процессов.
Решению этой проблемы могло бы способствовать внесение изменений в уставы высших учебных заведений, с тем чтобы шире использовать соучредительство, многоучредительство, привлекая к этому процессу органы исполнительной и законодательной власти, руководителей крупных предприятий, заинтересованных в новых технологиях и кадрах, владеющих основами менеджмента. В этом случае у законодателей будет больше прав на предоставление льгот предприятиям, активно поддерживающим высшую школу и вузовскую науку.
Координация усилий, активное сотрудничество вузов с промышленностью, совместная работа с органами исполнительной и законодательной власти позволят преодолеть те трудности, с которыми сталкивается сейчас высшая школа.
Развитию системы подготовки кадров высшей квалификации, по мнению экспертов, могло бы способствовать создание межрегиональных диссертационных советов как на уровне области, края, республики в составе России, так и в рамках ассоциаций экономического взаимодействия. Важно, чтобы такие советы создавались с учетом научнопроизводственной специализации региона. В этом случае одни из них могут быть ликвидированы, а другие созданы.
Высшая школа России в последние годы активно развивает инновационную деятельность в научной сфере. Для реализации научного потенциала вузов и вузовских научных разработок были созданы инновационные научно-технические программы, в которых участвует более 150 российских вузов. В рамках этой деятельности проводятся обучение и консультирование участников программ, разрабатывается нормативно-методическая и справочная литература, ведется работа по охране прав интеллектуальной собственности, проводятся маркетинговые исследования — все это способствует привлечению дополнительных ресурсов в вузы.
Так в 1999 г. на создание научно-технической продукции по инновационным программам были привлечены внебюджетные средства в объеме, в 2,5 раза превышающем бюджетное финансирование этих работ. Объемы реализации наукоемкой продукции в 3 раза превысили затраты бюджетных средств на ее создание. Возврат средств в бюджет в виде налогов полностью окупил бюджетные затраты на их выполнение.
Используя накопленный вузами опыт создания университетских технопарков, отрабатывается модель инновационно-технологического центра (ИТЦ) как одного из основных элементов инновационной инфраструктуры. В 1999 г. в системе высшей школы на базе университетских технопарков успешно действовали 11 таких центров в Санкт-Петербурге, Москве, Екатеринбурге, Нижнем Новгороде, Казани. Завершается создание ИТЦ на базе университетских технопарков в Новгородском государственном университете, Саратовском государственном техническом университете. Самарском государственном аэрокосмическом университете. ИТЦ высшей школы и университетские технопарки уже сегодня составляют основу формируемой региональной инфраструктуры науки.
Как уже отмечалось, в стране созданы и успешно работают совместные учебно-научные центры по конкретным направлениям фундаментальной науки.
Большое значение при формировании научной, научно-технической и инновационной политики приобретает не только выработка стратегии и ее нацеленность на совершенствование системы образования, но и возможность использования всех механизмов прямого и косвенного государственного регулирования с учетом реальных ресурсов для ее осуществления.
1.6. Государственное управление наукой
Лучше в совершенстве выполнить небольшую часть дела, чем сделать плохо в десятьраз более.
Аристотель
Направления государственной научно-технической политики на среднесрочный и долгосрочный периоды определяются Президентом Российской Федерации на основе специального доклада Правительства Российской Федерации, формируемого с учетом предложений субъектов Российской Федерации.
Законодательный орган государственной власти Российской Федерации ежегодно в соответствии с посланием Президента Российской Федерации о положении в Российской Федерации и предложениями Правительства Российской Федерации определяет при утверждении федерального бюджета годовые объемы средств, выделяемых для выполнения федеральных научно-технических программ и проектов, объем финансирования научных организаций и размер средств, направляемых в федеральные фонды поддержки научной и научно-технической деятельности, а также систему экономических льгот, стимулирующих эту деятельность.
Определение основных направлений государственной научно-технической политики, научно-техническое прогнозирование, выбор приоритетных направлений развития науки и техники, разработка рекомендаций и предложений о реализации научных и научно-технических программ и проектов, об использовании достижений науки и техники осуществляются в условиях гласности с использованием различных форм общественных обсуждений, экспертиз и конкурсов.
Правительство Российской Федерации обеспечивает создание федеральных информационных фондов и систем в области науки и техники, осуществляющих сбор, государственную регистрацию, аналитическую обработку, хранение и доведение до потребителей научной и технической информации, содействует изданию научной и научно-технической продукции, приобретению научных журналов, книг, иных печатных изданий о научных и (или) научно-технических результатах за пределами территории Российской Федерации.
Правительство Российской Федерации гарантирует субъектам научной и (или) научно-технической деятельности доступ к указанной информации, право на ее приобретение и обеспечивает им доступ в международные информационные фонды и системы в области науки и техники.
Государственными структурами, управляющими научно-техническими разработками в стране, являются: Министерство промышленности, науки и технологий, Министерство образования, Российская академия наук; Российские академии медицинских наук, сельскохозяйственных наук и образования; Правительственная комиссия по научно-технической политике, Совет по научно-технической политике при Президенте РФ, Правительственная комиссия по реформированию научной сферы, которые наделены исполнительскими, а не просто совещательными функциями. Министерство промышленности, науки и технологий (Минпромнауки) при образовании в 2000 г. вобрало в себя функции разных ведомств; от Министерства экономики — промышленный блок гражданского назначения, от Министер-стванауки и технологий — научный сектор, от Министерстваторговли - -внешнеторговое сотрудничество, от других ведомств — разнообразные функции, вплотьдо охраны интеллектуальной собственности. Кроме того, новому министерству вменили в обязанность координацию деятельности пяти федеральных оборонных агентств — авиационнокосмического, систем управления, судостроения, боеприпасов, обычных вооружений. Впервые в истории современной России была сделана попытка соединить в одном федеральном ведомстве производство, научно-исследовательскую сферу, маркетинг, реализацию продукции, тиражирование достижений науки и реализацию их на рынке. Хранение научной документации обеспечивает Архивный фонд Российской Федерации. Постоянное хранение документов фонда осуществляют учреждения Госархива, а временное — органы государственной власти, государственные учреждения и предприятия в создаваемых ими ведомственных архивах. Нормативные сроки хранения документации составляют: научной, технологической и патентной информации — 10 лет, конструкторской — 15, проектной по капитальному строительству — 25 лет. Документы государственной части Архивного фонда предоставляются для использования всем юридическим и физическим лицам. Для эффективного использования государственных ресурсов научно-технической информации создана система научно-технической информации (ГСНТИ). Она представляет собой совокупность научно-технических библиотек, региональных центров и организаций, специализирующихся на сборе, обработке и хранении научно-технической информации, ведении информационных фондов, баз и банков данных. Основой ГСНТИ являются федеральные учреждения: Всероссийский научно-технический информационный центр, Всероссийский научно-исследовательский институт межотраслевой информа-
ции, Российское объединение информационных ресурсов научно-технического развития, Всероссийский институт научной и технической информации РАН и Миннауки, государственные публичные библиотеки РАН и Миннауки.
Органы государственной власти Российской Федерации в соответствии с Федеральным законом:
• гарантируют субъектам научной и (или) научно-технической деятельности свободу творчества, предоставляя им право выбора направлений и методов проведения научных исследований и экспериментальных разработок;
• гарантируют субъектам научной и (или) научно-технической деятельности защиту от недобросовестной конкуренции;
• признают право на обоснованный риск в научной и (или) научно-технической деятельности;
• обеспечивают свободу доступа к научной и научно-технической информации, за исключением случаев, предусмотренных законодательством Российской Федерации в отношении государственной, служебной или коммерческой тайны;
• гарантируют подготовку, повышение квалификации и переподготовку научных работников и специалистов государственных научных организаций;
• гарантируют финансирование проектов, выполняемыхъ государственным заказам.
Органы государственной власти Российской Федерации, органы государственной власти субъектов Российской Федерации, научные организации и организации научного обслуживания и социальной сферы в пределах своих полномочий определяют соответствующие приоритетные направления развития науки и техники, обеспечивают формирование системы научных организаций, осуществление межотраслевой координации научной и (или) научно-технической деятельности, разработку и реализацию научных и научно-технических программ и проектов, развитие форм интеграции науки и производства, реализацию достижений науки и техники.
Органы государственной власти, учреждающие государственные научные организации:
• утверждают уставы государственных научных организаций;
• осуществляют контроль за эффективным использованием и сохранностью предоставленного государственным научным организациям имущества.
1. Г осударственная научно-техническая политика_29
Российская академия наук, отраслевые академии наук (Российская академия сельскохозяйственных наук, Российская академия медицинских наук, Российская академия образования, Российская академия архитектуры и строительных наук, Российская академия художеств) являются имеющими государственный статус некоммерческими организациями (учреждениями), которые наделяются правом управления своей деятельностью, правом владения, пользования и распоряжения переданным им имуществом, находящимся в федеральной собственности , в соответствии с законодательством Российской Федерации, настоящим Федеральным законом и уставами указанных академий, в том числе правом на создание, реорганизацию и ликвидацию входящих в их состав предприятий, учреждений и организаций, закрепление за ними федерального имущества, а также правом на утверждение их уставов и назначение руководителей. Реестры федерального имущества, переданного указанным академиям наук, утверждаются Правительством Российской Федерации.
Полученное в форме дара, пожертвования или по завещанию имущество (имущественное право или имущественные обязанности) академий наук, имеющих государственный статус, используется ими на условиях, определяемых договором (сделкой) и законодательством Российской Федерации, отражается в смете доходов и расходов, учитывается на отдельном балансе.
Отраслевые академии наук являются самоуправляемыми организациями, проводят фундаментальные и прикладные научные исследования в соответствующих областях науки и техники и участвуют в координации данных научных исследований.
Финансирование Российской академии наук, ее региональных отделений и отраслевых академий наук осуществляется за счет средств федерального бюджета и иных не запрещенных законодательством Российской Федерации источников.
Российская академия наук, ее региональные отделения (Дальневосточное отделение Российской академии наук, Сибирское отделение Российской академии наук и Уральское отделение Российской академии наук) и отраслевые академии наук являются прямыми получателями и главными распределителями средств федерального бюджета.
Российская академия наук и отраслевые академии наук ежегодно представляют Президенту Российской Федерации и в Правительство Российской Федерации отчеты о проведенных научных исследованиях, научных и (или) научно-технических результатах, а также предложения о приоритетных направлениях развития фундаментальных и прикладных наук.
Академии наук, имеющие государственный статус, в установленном ими порядке ежегодно представляют в уполномоченные на то государственные органы субъектов Российской Федерации, на территориях которых расположены научные организации указанных академий наук, информацию о проведенных за счет средств федерального бюджета научными организациями указанных академий наук научных исследованиях, представляющую интерес для соответствующих субъектов Российской Федерации.
Российская академия наук является специфической организацией. Наряду с ее центральным сообществом выбираемых членов академии в структуру входят академические институты. Фактически это соединение юридически самостоятельных организаций внутри общественной организации. С позиций законодательной практики это влечет ряд правовых проблем. Новое российское законодательство позволяет, отказавшись от построения академий наук на принципах единой централизованной системы, организовать их деятельность как ассоциаций научных, научнотехнических и вспомогательных организации и предприятий. Деятельность таких юридических лиц регулируется Гражданским кодексом и Законом «О некоммерческих организациях». Наделение РАН статусом ассоциации снимает проблему субъекта права собственности на имущество самой Академии и входящих в нее организаций. Подобная правовая форма приемлема для Академии паук и потому, что, согласно гражданскому законодательству, юридические лица, входящие в ассоциацию (союз), при объединении сохраняют юридическую самостоятельность.
В 80-е гг. ключевыми направлениями государственной научнотехнической политики стали региональные программы развития науки и технологий, подтягивание отсталых по данному параметру регионов к уровню ведущих. На такие программы выделяются значительные федеральные ресурсы. Сегодня собственную перспективную программу имеет каждый штат в США, префектура в Японии, департамент во Франции, графство в Великобритании и земля в ФРГ. Подобная практика активно используется российскими федеральными округами и крупнейшими федеральными субъектами, В России суть региональных программ видится не в том, чтобы они обеспечивали равномерное распределение научных исследований по всей стране, а в том, чтобы, опираясь на сложившуюся специализацию и местный потенциал, дали новый и долговременный импульс развитию науки на базе наукоградов, академгородков и университетских центров.
1. Государственная научно-техническая политика_31.
К совместному ведению органов государственной власти Российской Федерации и органов государственной власти субъектов Российской Федерации относятся:
• формирование экономического механизма осуществления государственной научно-технической политики;
• организация научно-технического прогнозирования;
• размещение объектов научно-технического потенциала и создание инфраструктуры научно-технической и инновационной деятельности;
• формирование рынков научной и научно-технической продукции Российской Федерации и субъектов Российской Федерации;
• формированиенаучно-техническои базы научных организаций федерального значения, находящихся на территориях субъектов Российской Федерации;
• разработка и реализация мерпо социальной защите научных и научно-технических работников, в том числе их материальное обеспечение;
• формирование совместных фондов научного, научно-технического и технологического развития;
• международные научные связи.
• К ведению органов государственной власти субъектов Российской Федерации относятся:
• участие в выработке и реализации государственной научно-технической политики;
• определение приоритетных направлений развития науки и техники в субъектах Российской Федерации;
• формирование научных и научно-технических программ и проектов субъектов Российской Федерации;
• финансирование научной и научно-технической деятельности за счет средств бюджетов субъектов Российской Федерации;
. і • формирование органов управления в сфере научной и научнотехнической деятельности субъектов Российской Федерации и межрегиональных органов;
• управление государственными научными организациями регионального значения, в том числе их создание, реорганизация и
'ликвидация;
• контроль за деятельностью государственных научных организаций федерального значения по вопросам, относящимся к полно-
мочиям органов государственной власти субъектов Российской Федерации;
• создание условий для более эффективного использования имеющихся материальных и информационных ресурсов;
• формирование межрегиональных и региональных фондов научного, научно-технического и технологического развития;
• осуществление иных полномочий, не отнесенных федеральными законами к ведению органов государственной власти Российской Федерации.
По вопросам совместного ведения органы государственной власти Российской Федерации при осуществлении своих полномочий взаимодействуют с соответствующими органами государственной власти субъектов Российской Федерации в форме:
• подготовки совместных предложений о совершенствовании организационно-экономического механизма научной и инновационной деятельности;
• участия представителей соответствующих органов государственной власти субъектов Российской Федерации в составах научных и координационных советов по проблемам науки и техники, научно-технических комиссий, экспертных и рабочих групп, создаваемых органами государственной власти Российской Федерации;
• взаимной передачи отдельных полномочий на координацию научно-технической деятельности, затрагивающей совместные интересы Российской Федерации и субъектов Российской Федерации;
• подготовки и реализации совместных мер по содержанию и развитию социальной сферы научных организаций.
1.7. Налоги — регуляторы научно-технического развития
Человек серьезно делает что-нибудь только тогда,
когда он делает для себя.
А. И. Герцен
Одним из наиболее действенных инструментов государственного стимулирования научных исследований в промышленности является налоговая система.
Государственная поддержка научных исследований через налоговые льготы используется относительно недавно. Впервые это было введено
в 196^ г. для японских компаний. В 80-е гг. многие страны ввели подобный механизм стимулирования научных исследований.
Налоговое стимулирование в рыночной экономике имеет ряд преимуществ по сравнению с бюджетными субсидиями, поскольку оно:
— сохраняет автономность организации и ее экономическую ответственность;
— не создает искусственно поддерживаемого государством рынка знаний и нововведений;
— не привязано к ежегодному бюджетному процессу с необходимостью утверждения ассигнований, согласования интересов различных ведомств.
Если государственное финансирование научных исследований непосредственно влияет на направления вложения средств, то налоговые мероприятия косвенно стимулируют использование предпринимательского дохода на эти же цели. Государство не вкладывает в капитал, а создает условия для его движения. Государство помогает промышленности себя поддерживать. Налоговые инструменты регулирования наиболее желательны для предприятий, они создают благоприятные условия для экономического роста без прямого вмешательства государства. Налоговые льготы способствуют увеличению массы прибыли, остающейся в распоряжении предприятия, что позволяет обеспечить разработку и внедрение новой техники. Причем чем меньше развита промышленность в научно-техническом отношении, тем шире должна быть система налоговых льгот для средств, вкладываемых в развитие.
Одна из основных функций налоговой системы — это стимулирование научно-технического развития. Реализуется подобная функция двумя способами. Первый способ — введение специального налога, перечисляемого в государственный фонд научно-технического развития. В этом случае в качестве базы расчета используют добавленную стоимость, заработную плату или прибыль. Ставка налога принимается в размере 0,5-3%.
Вторым способом реализации функции управления через налоги является введение системы льгот. Такой подход имеет более широкое распространение в мире. В налоговых системах различных стран имеется около 100 видов льгот, ориентированных на стимулирование деятельности в сфере научно-технического развития.
Почему государство как представитель общества идет на льготы по сбору налогов в связи с научно-техническим развитием? Имеется несколько причин, оправдывающих такие действия: з-iso
1. Вкладывание капитала в мероприятия, способствующие научнотехническому развитию, сопровождается более длительным запаздыванием для прибыли, чем краткосрочные кредиты. При равенстве процентных ставок по видам кредитов поток капитала нанравляется только на краткосрочные вложения. В результате экономика испытывает кризис и резко сокращаются поступления в бюджет страны.
2. Предоставляя налоговые льготы в настоящее время, государство предполагает получить больший доход в будущем. Например, если сумма налоговых льгот, вложенных в новую технику, равнялась 1 млн руб., то в течение своего срока эксплуатации (например, 10 лет) появится дополнительная прибыль. При средней прибыли 20% и налоге на прибыль в 30% государство за 10 лет получит
1 х 0,2 х 0,3 х 10 = 0,6 млн руб.
С учетом фактора времени эта сумма будет несколько ниже и составит 0,37 при коэффициенте приведения 0,1.
Налог на добавленную стоимость (НДС) увеличивается пропорционально сумме реализации. Если дополнительная прибыль сопровождается ростом выпуска продукции, то дополнительная сумма НДС составит
0,6/0,1 X 0,2 =1,2 млн руб./год,
где ОД - доля прибыли в объеме реализации; 0,2 — ставка НДС.
Подоходный налог на заработную плату, составляющий 13%, при росте суммы реализации принесет в бюджет
0,6/0,1 х 0,2 х 0,13 - 0,156 млн руб./год,
где 0,2 — доля заработной платы в сумме реализации; 0,13 ~ ставка налога.
Сумма прироста дохода бюджета за счет трех основных налогов равна:
0,06 + 1,2 + 0,156 = 1,416 млн руб./год.
Суммарный доход бюджета за 10 лет при коэффициенте приведения 0,1 составит 8,7 млн руб. (870%).
3. Вкладывание частного капитала в научно-техническое развитие позволяет государству не делать этого за счет своих средств. Например, если вы оплачиваете свое обучение при подготовке на должность инженера, то, следовательно, обществу не потребуется тратить средства на этого работника и оно, сознавая выгоду, готово предоставить вам возмещение затрат через налоговые льготы.
Государственное налоговое регулирование возможно на двух уровнях. Верхний — это сравнительное регулирование, реализуемое за счет разницы налогов в научно-технической сфере и других, альтернативных для вложения средств. Введение разных ставок на долгосрочный и краткосрочный кредит, разных обязательных резервов для банков по этим видам кредитов, регулирование курса валюты, соотношение темпов инфляции и ставок на долгосрочный кредит, соотношение импортных пошлин на оборудование и товары потребления оказываются регуляторами для потоков вкладываемых капиталов. Банк или частичный инвестор не отдаст свои капиталы в развитие предприятия, если это менее выгодно или более рискованно, чем вложения в другие сферы деятельности общества.
Структура налоговой системы тоже оказывается регулятором между потреблением и сбережением. В налоговой системе основными налогами считаются налоги на прибыль и добавленную стоимость потребительских товаров. Первый налог сдерживает прежде всего инвестиции в свое развитие, второй — потребление. Например, если убрать налог на прибыль и повысить налог на добавленную стоимость в потреблении, то предприятие будет стремиться к более полному использованию своих доходов за счет инвестиций.
Нижний уровень регулирования — это отдельные налоговые льготы внутри сектора научно-технического развития.
Налоговые льготы
Весь комплекс налоговых льгот в сфере научно-технического развития можно разделить на четыре классификационные группы:
1) льготы специальным предприятиям, работающим в области научно-технического развития;
2) льготы предприятиям за разовые мероприятия в области научнотехнического прогресса;
3) льготы частным лицам, работающим в области научно-технического развития;
4) льготы частным лицам за разовые мероприятия в области научно-технического прогресса.
В первую группу налоговых льгот входят:
• льготы учреждениям Академии наук,
• льготы государственным научным центрам,
• льготы вузам,
• льготы научно-исследовательским институтам.
з*
Эти организации освобождаются от уплаты налога на земельную собственность, имущество, добавленную стоимость, импортируемое оборудование.
Вторую группу налоговых льгот определяют:
• исключение из налогооблагаемой прибыли суммы, направленной на НИР, развитие, реконструкцию;
• включение в себестоимость расходов на НИОКР;
• снижение обязательных резервов банку, направляющему средства в долгосрочные инвестиции;
• введение «налоговых каникул»;
• использование системы ускоренной амортизации;
• включение в себестоимость расходов на обучение персонала.
Третья группа налоговых льгот предусматривает:
• доплаты работающим в научных организациях;
• доплаты за ученые степени и звания;
• научные стипендии;
• предоставление грантов.
Четвертая группа налоговых льгот включает:
• освобождение от подоходного налога сумм, направленных на обучение, научную литературу;
• освобождение от подоходного налога сумм, вкладываемых в долгосрочное инвестирование;
• освобождение от подоходного налога дивидендов по инновационным проектам, изобретениям.
Существуют два основных вида налоговых скидок — объемная и приростная. Объемная скидка устанавливает льготу пропорционально размерам затрат. При установленной законом скидке, например, в 25% компания получит возможность вычесть из общей суммы налогооблагаемого дохода $25 из каждых $100, затраченных на исследования и разработки. Наиболее высокую ставку этой скидки используют Австралия (150%) и Сингапур (200%). В Нидерландах объемную скидку применяют только к сумме заработной платы ученых и инженеров.
В США фирмы имеют возможность вычитать из налога на прибыль 20% их расходов на финансирование фундаментальных исследований в университетах, а также стоимость научной аппаратуры, передаваемой университетам. В период энергетического кризиса в США применялась скидка в 20% для налога на прибыль по инвестициям в технику и технологии, обеспечивающие применение альтернативных нефти и природному газу энергоносителей.
Приростная скидка определяется исходя из достигнутого компанией увеличения затрат по сравнению с уровнем базового года. В этом случае (при ставке скидки в размере 25%) сумма налоговых платежей компании будет уменьшена на $25 из каждых $ 100 прироста затрат на исследования в данном году. Максимальная приростная ставка — 50% имеет место во Франции. В Канаде, США, Японии и на Тайване она составляет 20%.
Некоторые страны используют одновременно оба вида льгот, но по отношению к разным видам расходов. Так, в США общая приростная скидка дополнена объемной в размере 20% для затрат частного сектора на финансирование фундаментальных исследований.
Существует и практика установления максимально допустимого размера налоговых льгот по затратам на исследования. В Японии и Южной Корее он не должен превышать 10% суммы корпоративного налога (для мелких и средних японских компаний — 15%). В Канаде, Испании и наТайване соответственно 75,35 и 50%. В Австралии, Франции, Италии и Нидерландах установлен стоимостный предел налоговой скидки. В США компания не может удваивать затраты на исследования в течение года и средняя наукоемкость (отношение затрат на исследования к стоимости продаж) не может превышать 16%.
Однако, оценивая значимость налоговых льгот, следует учесть, что доля покрытия затрат на исследования налоговой льготой в большинстве стран мала. В США, Японии, Италии и Дании она составляет менее 1%, во Франции и Нидерландах — 4-6%, в Австралии и Канаде соответственно 11 и 19%.
Если же сравнивать данную льготу с объемом государственного финансирования, получится несколько иная картина. Так, в Японии сумма льгот достигает 2/3 бюджетного финансирования, в Нидерландах и Канаде почти равна ему, а в Австралии превосходит в 4 раза. Это свидетельствует о том, что высокие и действующие продолжительное время налоговые льготы становятся стимулом к инновационной деятельности частного сектора.
Доля затрат на науку в общей сумме бюджетных расходов в последние 20 лет довольно стабильна: 6-7% в США, 4-5% во Франции, Германии, Великобритании, Италии, 3-3,5% в Японии. Финансирование оборонных исследовательских работ поглощает большую часть государственных научных бюджетов США (55,3% в 1994 г.), Великобритании (44,5%), Франции (33,5%). Фундаментальные исследования 38
необоронного характера стоят на первом месте в Японии (51,2%), Германии (51,4%), Канаде (35%) и Италии (46,4%).
Основными получателями бюджетных средств могут быть не только государственные лаборатории или университеты, что характерно для Японии, Германии, Канады, но и компании частного сектора, как это имеет место в США.
В уровне государственной поддержки частного сектора США существуют большие отраслевые различия. В аэрокосмической промышленности 3/4 научных расходов обеспечивается федеральным бюджетом и лишь 1/4 — за счет собственных средств компании отрасли. В то же время в других отраслях — автомобилестроении, химической и нефтеперерабатывающей, фармацевтической, пищевой — это соотношение имеет принципиально иной характер и доля самофинансирования НИОКР составляет 95-100%.
В Японии частный сектор практически не получает прямой государственной поддержки. Доля бюджетного финансирования в общем объеме отраслевых НИОКР составляет здесь всего 1,2% (в США — 34%, Франции — 22,4, Великобритании — 16,5%). Главная причина — низкая доля оборонного компонента в японской экономике в целом и в ИР в частности. Непосредственно из бюджета финансируются исследования в университетах и некоторых государственных компаниях.
Налоговый кодекс Российской Федерации предусматривает инвестиционный налоговый кредит в размере 30% стоимости оборудования, используемого для НИОКР, создания новых технологий, новых видов сырья и материалов, выполнения особо важных заказов развития региона. Суммы, направляемые научной организацией на проведение НИОКР, вычитаются из налогооблагаемой прибыли. Налогооблагаемая прибыль предприятий уменьшается на суммы, направляемые на НИОКР, в РФФИ и РФТР.
Пример воздействия налогов на развитие страны
Примером воздействия налоговой системы на развитие экономики страны могут служить налоговые мероприятия в США в 1962-1963 гг. В 1962 г. экономика США находилась в застое и ее необходимо было стимулировать. Для этого был предложен комплекс мер по сокращению налогов. Общая сумма сокращений была определена в $11,5 млрд. Президент Л. Джонсон заявил: «Это — самый важный шаг, который мы сделали после Второй мировой войны для укрепления нашей экономики. Мы могли бы решить стимулировать экономику посредством повышения уровня правительственных расходов. Вместо этого мы решили сократить налоги — и в то же время мы сократили расходы правительства. Взяв такой курс, мы сделали этот законопроект выражением веры в нашу систему свободного предпринимательства... Если американские предприниматели ответят на эту новую возможность увеличением капиталовложений, расширением производства и... созданием новых рабочих мест, то тогда это сокращение налогов обеспечит большее изобилие всем американцам. Тогда федеральному правительству не надо будет делать для экономики то, что она должна делать для себя».
Американские экономисты, оценивая значение снижения налогов, подчеркивали, что это было первое в американской истории крупное мероприятие, обусловливающее стимулирование экономического роста при помощи рычагов финансовой политики. Так, профессор Йельского университета Джеймс Тобин, член Совета экономических консультантов в 1961-1962 гг., писал в этой связи: «Снижение налогов представляет собой наше первое крупное сознательное использование федерального бюджета для стимулирования экономики. Поэтому оно является исторической вехой. В то время, когда имеется значительный дефицит государственного бюджета, президент и конгресс сокращают налоги на $11,5 млрд в год. Либералы должны воздать хвалу по заслугам. Со времен Кейнса они доказывали необходимость манипулировать бюджетом с тем, чтобы обеспечить балансирование экономики на уровне полной занятости — в противоположность ортодоксальной точке зрения, что экономика должна быть принесена в жертву интересам ежегодного сбалансирования бюджета. Закон о занятости 1946 г., казалось бы, декларировал общенациональное согласие с тем, что полномочия правительства в области финансовой и кредитно-денежной политики должны быть использованы для стабилизации экономики и предотвращения безработицы. Но это согласие, всегда непрочное, в течение 50-х гг. постепенно размывалось, так как в эти годы ортодоксальные финансовые проповеди постоянно читались с "президентского амвона". Несмотря на эти проповеди, мы имели бюджетные дефициты, но они по большей части были незапланированным следствием слабости экономики. Сейчас наконец стал приемлемым запланированный дефицит для укрепления экономики. Удовлетворение от достигнутой победы, я полагаю, не должно омрачаться очевидным фактом, что снижение налогов поддерживалось по различным причинам и оправдывалось разнообразными аргументами. В конгрессе нет кейнсианского большинства, и сознательное дефицитное финансирование все еще не стало респектабельным. Но действия говорят громче, чем слова. Страна и конгресс приняли точку зрения президентов
Кеннеди и Джонсона, что экономический двигатель нуждается в горючем и что снижение налогов является путем обеспечения необходимого горючего. Решение о снижении налогов было куплено... ценой известного сокращения государственного бюджета. Удержав бюджетные расходы на 1965 финансовый год в рамках показателей 1964 г., президент Джонсон обеспечил быстрое принятие налогового законопроекта. В противном случае законопроект мог быть принят (если бы он вообще был принят) только после экономически опасной задержки. Мы можем только аплодировать политической проницательности президента Джонсона, одновременно сожалея о существовании ложной, но влиятельной идеологии, которая вынудила его пойти на эту сделку» (The Battle Against Unemployment. New Republic. 1964, March).
Оценку воздействия снижения налогов на движение валового национального продукта осуществил сотрудник Совета экономических консультантов США профессор Артур Оукен. Эта оценка была изложена им в докладе, представленном Американской статистической ассоциации в сентябре 1965 г. Расчеты Оукена показали, что без снижения налогов во втором квартале 1965 г. валовой национальный продукт был бы на $24,5 млрд ниже его действительного уровня. В докладе отмечалось, что при снижении личного подоходного налога ($10 млрд) и налогов на прибыль корпораций ($3 млрд) прирост валового национального продукта в конечном итоге составит $36,2 млрд, в том числе увеличение инвестиций в основной капитал $7,8 млрд и увеличение потребления — $28,4 млрд. Из этого «конечного» прироста валового национального продукта на $36,2 млрд. $25,9 млрд являются результатом сокращения личного подоходного налога, а $10,3 млрд — сокращения налога на корпорации. Мультипликатор для личных налогов составляет 2,59. Мультипликатор для налогов на корпорации оценивается в 3,4. «Федеральное правительство, — писал Оукен в указанном докладе, — благодаря этому увеличению валового национального продукта получило во втором квартале 1965 г. дополнительно $7 млрд налоговых поступлений (на базе бюджета национальных счетов). В соответствии с этим критерием бюджета снижение налогов к этому времени наполовину покрыло себя и доля покрытия повышается. В дополнение к этому правительство штатов и местные органы власти во втором квартале имели дополнительные поступления в размере около $1,5 млрд. В конечном итоге чистое увеличение федеральных доходов составит $10 млрд, что в сумме почти равняется снижению налогов на $13 млрд.»
Оценивая в 1966 г. результаты снижения налогов, У. Хеллер подчеркивал, что это было важнейшее мероприятие по стимулированию
-И
экономического роста. Хеллер называет снижение налогов «классическим примером использования современной финансовой политики и действия мультипликатора», примером для учебника экономики. «Тщательная оценка воздействия снижения налогов на валовой национальный продукт, — писал он, — показывает замечательное совпадение результатов с предварительными расчетами. И до тех пор, пока не вмешался Вьетнам, снижение налогов вновь принесло нам "сбалансированный бюджет в сбалансированной экономике". Действительно, к первой половине 1965 г. доходы федерального бюджета увеличились на $7,5 млрд в сравнении с уровнем, который был до снижения налогов, и федеральный бюджет (на базе национальных счетов) показывал излишек. Таким образом, как в теории, так и на практике это было такое снижение налогов, которое предназначено для его использования в качестве классического примера, приводимого в учебниках экономики».
1.8. Модели экономического роста
Науку все глубже постигнуть стремись, Познания вечного жаждой томись.
Лишь первых познаний блеснет тебе свет, Узнаешь: предела для знания нет.
Фирдоуси
Первые разработки производственных функций (укрупненных моделей экономического роста) увязывали результат деятельности с объемом капитальных и трудовых ресурсов:
Y=F{K,L),
где К — совокупный производственный капитал; L — совокупные затраты труда.
Для достоверного моделирования развития современной экономики необходимо введение специального сектора, производящего дополнительные научные и технические знания, которые оказывают реальное воздействие на производительность труда. В этом случае производственная функция будет иметь вид
4-180
Y =F(KtLtkth)f
42.
где К — совокупный производственный капитал; Л — совокупные производственные затраты труда, к — совокупный интеллектуальный капитал, h — совокупные затраты интеллектуального труда. Соответственно равенство Эйлера будет иметь расширенный вид
F(K,i,k,k} = ~xK + '^xL + ~xk + ~xk, дК dL dk т
где дР/дК — равновесная процентная ставка на производственный капитал; dF/dL — равновесная ставка реальной заработной платы производственного персонала; dF/dk — равновесная процентная ставка на интеллектуальный капитал; dP/dh — равновесная ставка реальной заработной платы работников интеллектуального труда.
Разделение капитала и оплаты труда на две составляющие с разными показателями отдачи является причиной создания специального механизма управления для интеллектуального капитала и интеллектуального труда.
Примерами производственных функций, включающих показатели уровня знаний, являются разработки Узавы, Ромера, Эрроу, Барро.
Г. Морби изучал связь между долей расходов на НИОКР в объеме продаж и ростом прибыли у 800 крупнейших американских корпораций за период с 1976 по 1985 г. Положительная корреляция была выявленатоль-ко для предприятий химической и целлюлозно-бумажной промышленности, в машиностроении и в области вычислительной техники. В других отраслях подобной корреляции не было обнаружено. Вывод: рост прибыли зависит в первую очередь от других факторов, нежели затраты на исследования и разработки.
М. Бреннер и Б. Раштон рассмотрели деятельность 54 химических компаний с 1971 по 1986 г. и пришли к выводу о наличии стратегических преимуществ, которое дает финансирование НИОКР для предприятий, и повышение риска при отставании компании по этому показателю от своих конкурентов. Оказалось, что у компаний с ростом выручки выше среднего по выборке предшествующий уровень затрат на НИОКР был также выше среднего.
3. Грилихес изучал связь между уровнем расходов на НИОКР и ростом производительности труда в фирмах обрабатывающей промышленности США в 70-х гг. Для анализа статистических данных по 1000 фирм использовалась производственная функция Кобба-Дугласа, учитывающая аккумулированные затраты на НИОКР в предыдущие годы. Результирующим показателем служило изменение объема
продаж или добавленной стоимости. Выводы: затраты на НИОКР оказывают положительное влияние на производительность труда; в структуре затрат на НИОКР наиболее важное значение для производительности труда имеет финансирование фундаментальных исследований; на уровне фирмы частное финансирование НИОКР более эффективно, чем государственное.
В модели Узавы (1965 г.) выделяются материальное производство и образование. Выпуск продукции в год t описывается зависимостью
y(f)-F(K(t)> 4(0 ?,(()>.
где K(t) — капитал в год ? A(t) ~ эффективность трудаХ, (і) —количество труда в материальном секторе в год t.
Воздействие образовательного сектора проявляется через воздействие на величину для изменения которой вводится условие
где — количество труда, занятого в образовательном секторе; Ц?) — общее количество труда в год t.
В модели Узавы предполагается, что первая производная от функции/больше нуля, а ее вторая производная меньше нуля.
Траектория изменения выпуска продукции полностью определяется распределением труда между материальным производством и образованием, а выпуск продукции распределяется между инвестициями и потреблением. В качестве предпочтительной траектории развития экономики введен интегральный дисконтированный показатель душевого потребления.
Рекомендации, вытекающие из модели Узавы:
• если в начальный момент времени0)/А(0)Д0) меньше некоторого сбалансированного значения, то весь выпуск инвестируется (после чего экономика переходит в сбалансированное состояние);
• если в начальный момент K(0)/A(0)L(0) больше некоторого сбалансированного значения, то весь выпуск потребляется (после чего экономика переходит в сбалансированное состояние);
• в сбалансированном состоянии оптимальный рост достигается посредством перераспределения труда и выпуска таким образом, что темп роста эффективности труда (dA/dt/А) равен темпу роста капиталоемкости (dK/dt/K).
Статистические модели изменения валового внутреннего продукта с учетом интеллектуального уровня общества получены в модели Бар-
ро (1991 г.), где человеческий капитал оценивается через отношение числа учащихся к общему числу жителей страны
y{t) - 0,0302 - 0,0075 у(0) + 0,025 ku(t) + 0,0305 А,(С) - 0,119 g(t), где у(0) — начальный уровень душевого потребления; h0(t) — степень охвата населения начальным образованием; *,
Барро выполнил на базе показателей большого числа стран статистический анализ взаимосвязи среднего уровня образования населения и валового внутреннего продукта.
В модели Эрроу (1962 г.) вводится показатель масштаба производства. Чем выше концентрация объемов производства, тем больше показатель эффективности
 |
|
а |
Модель П.Рамера — модель эндогенного научно-технического прогресса, основанная на идее накопления человеческого капитала. В модели предполагается, что важнейшим фактором экономического роста являются технологические изменения, которые происходят благодаря целенаправленной деятельности людей; дальнейшее использование созданных технологий не требует дополнительных затрат со стороны производителя.
Ромер разделил экономику на три сектора (рис. 1.1).
В исследовательском секторе в результате использования сконцентрированного в нем человеческого капитала НЛ и существующего запаса знаний А получается новое знание, которое затем материализуется в виде новых технологий. Прирост нового знания выражается формулой;
А=5НЛА,
где 8 — параметр научной продуктивности.
Сектор производства средств производства не располагает своим человеческим капиталом, а оплачивает труд ученых по созданию новых технологий в первом секторе. Плата за использование единицы человеческого капитала в исследовательском секторе вычисляется как
Щ=Ра6А,
где — цена новой технологии.
После приобретения и освоения новой технологической идеи фирма второго сектора защищает патентом свое монопольное право на ее использование и налаживает выпуск соответствующих средств производства для фирм третьего сектора. Для производства одной единицы оборудования расходуется Т| единиц конечной продукции третьего сектора. Средства производства не продаются, а предоставляются в аренду за арендную плату Рг
В третьем секторе на основе имеющихся средств производства х., затрат труда ? и человеческого капитала Ну обеспечивается выпуск конечной продукции потребительского назначения. Производственная функция имеет вид:
к (*)=я?х х ? *' д -
где а и ft — технологические параметры.
Изменение общего капитала всей трехсекторной системы определяется формулой:
- /=і
где C(t) — агрегированная функция потребления.
 |
|
Рис. 1.1. Блок-схема эндогенного научно-технического прогресса |
Фирмы — производители конечной продукции строят свои отношения с производителями средств производства исходя из задач максимизации прибыли (выпуск продукции минус затраты на оборудование):
¦ шах.
Я?х/*х?.
Отсюда обратная функция спроса на новые технологии в условиях рыночного равновесия:

Фирмы второго сектора, оплачивающие работу по созданию новых технологий в исследовательском секторе, определяют объем выпуска продукции для третьего сектора х. с учетом максимизации своего дохода за вычетом переменных издержек:
п = шахР(л:)дг-гг)_г = max{l-or- (і)НуХІ? -njx,
где г — норма процента на капитал.
Для любого момента времени превышение дохода над предельными издержками в единицу времени должно покрывать процентные выплаты на величину инвестиций в разработку новой технологии:

Для равновесной траектории сбалансированного роста переменные А, К и Yувеличиваются экспоненциально с одинаковой постоянной скоростью g, а величины L, Ну и среднее значение

фиксированны.
Тогда ожидаемый темп роста оценивается:
(1 -а-р)(а + ру
g = 8HA = 8H-yr, у-
где Н — суммарный человеческий капитал первого и третьего секторов; у — некоторая постоянная, зависящая только от технологических параметров а и Д
.47
Темп экономического роста находится в обратной зависимости от ставки банковского процента и в прямой зависимости от величины человеческого капитала, сосредоточенного в сфере получения нового знания.
Таким образом, сфера НИОКР влияет на экономику не только непосредственно через новые прикладные идеи и разработки. Само ее существование является необходимым, но недостаточным условием экономического роста, поскольку обеспечивает накопление человеческого капитала. Не поощряя получение нового знания ради знания как такового, вряд ли можно рассчитывать на ощутимую практическую отдачу от науки в будущем.
В модели Ромера (1986 г.) главными параметрами исследования стали знания. Он рассматривает совокупность предприятий, характеризующихся производственной функцией вида I'(h, II, х), где h — интеллектуальные знания предприятия. Причем совокупные знания Я равны сумме знаний предприятий. Ресурсы предприятий х характеризуются двумя видами: капитал и труд. В модели принято, что совокупность факторов х является постоянной. Это позволяет рассмотреть влияние на выпуск интеллектуального потенциала, для чего введена специфическая производственная функция

где а и b больше нуля, а их сумма больше 1.
Выпуск предприятия распределяется на потребление и инвестиции в исследования (в прирост знаний). На основании своей модели Ромер выполнил сравнение развития экономики при централизованном управлении вложениями в исследования и рыночными конкурентными вложениями.
Ромер сформулировал четыре основных признака природы экономического роста:
• знания являются благом «без соперничества», так как их могут использовать одновременно многие, но фирма или индивид могут временно получать монопольную ренту на открытия (знания);
• технический прогресс происходит благодаря деятельности людей;
• физическая деятельность допускает копирование;
• в рыночной экономике функционирует большое число фирм.
В модели Лукаса (1988 г.) в качестве факторов роста приняты L — численность рабочей силы; к — уровень знаний работника моделируе-
48
мого предприятия; —уровень знаний среднего работника в стране; и(0 - доля труда в материальном производстве; т - физический капитал в год t. Введенная производственная функция имеет вид
 |
где г, а, b и сстатистические параметры.
Изменение физического капитала описывается уравнением |
dK(t)/dt - Y(t) - L(l)p(l)t где p(r) — душевое потребление.
Управляющим фактором модели является и(?). Его величина идет на материальное стимулирование производства, а соответственно (1 — u(f)) направляется на развитие человеческого капитала (обучение)

Оценкой траектории развития принято интегральное дисконтированное душевое потребление.
Среди траекторий развития экономики Лукас ввел понятия равновесной и сбалансированной траекторий. Равновесной траекторией определено развитие экономики предприятия, при котором максимизируется функция полезности и знания работника фирмы равняются заданному уровню знаний работающих в стране (k(i) = 6 (()), Сбалансированной траекторией названа стратегия развития предприятия, при которой физический и человеческий капитал имеют определенные (постоянные) темпы роста.
Полная модель. При полноценном учете в производственной функции интеллектуальных знаний необходимо предусмотреть: разделение исследований на фундаментальные и прикладные; наличие сектора образования; запаздывание между вложением средств в получение знаний и повышением эффективности труда; зависимость эффективности труда от суммы накопленных капитала и знаний, а также от текущих затрат на трудовые ресурсы и прирост капитала; необходимость обновления капитала и знаний работников.
Реализовать весь подобный набор требований можно только в достаточно сложной оптимизационной модели. Выделяя три сектора в функционировании фирмы, можно сформулировать модель взаимодействия фундаментальных исследований, технологических разработок и производства.
.49
В секторе фундаментальных исследований прирост новых знаний вычисляется на основе существующего запаса знаний — V, вовлеченного объема человеческого капитала — Хи нормативной научной продуктивности а:
dV/dt = а?Х.
В секторе технологических разработок прирост научно-технического результата пропорционален имеющемуся запасу разработок и реализаций W, вовлеченного объема человеческого капитала Yw нормативной продуктивности Ь:
dW/d = (bW +cV)Y.
В секторе производства создается конечный продукт на основе имеющихся средств производства, вовлеченного объема человеческих ресурсов Z, производительности труда q\
H = qWZ.
Конечный продукт распределяется между тремя секторами, как X, Y,Z:
Н = Х+ Y+Z.
В эту модель необходимо добавить влияние физического капитала на результаты деятельности, затраты на образование, запаздывание на этапе реализации знаний и целевую функцию.
При вероятностном описании результатов фундаментальных исследований и технологических разработок необходимо ввести соответствующие законы распределения для показателей продуктивности труда.
1.9, Приоритеты научных исследований
Меняйте вашимнения, сохраняйте ваши принципы; меняйт ел истья, сохраняйте корн и.
В. Гюго
Главный финансовый инструмент государственной научно-технической политики — средства государственного бюджета. Доля научных расходов в общей сумме государственных бюджетов США составляет 6-7%, Франции, Германии, Великобритании и Италии — 4-5%, Японии — 3%. Доля расходов на НИОКР к ВВП (наукоемкость ВВП) в 50.
2000 г. составляла в Японии 2,9%, США - 2,8, Германии —2,1, Франции — 2,4, Великобритании — 2,3, Италии — 1,1, Канаде — 1,6%.
Государство обеспечивает бюджетным финансированием от 1/3 до половины национальных научных расходов в развитых странах. Для фундаментальных исследований этот показатель — от половины до 2/3.
В основе научно-технического развития лежат фундаментальная наука, фундаментальные знания. Фундаментальные знания сами по себе являются главнейшей составляющей человеческой культуры. Они в значительной степени формируют мировоззрение человека, его нравственность и духовность. Без них невозможно обновление нашего общества. Поэтому важнейшими приоритетами государства являются фундаментальные исследования в области математики, естественных, гуманитарных и общественных наук.
Установление приоритетов государственной научно-технической политики происходит в процессе распределения бюджетных ассигнований, что отражается на развитии отдельных научных направлений, общей динамике и структуре науки.
Выбор бюджетных приоритетов предполагает учет следующих факторов:
• национальных целей (обеспечения безопасности, конкурентоспособности экономики, развития образования, здравоохранения);
• необходимость решения острых проблем текущего периода (экономии энергии в 10-х гг., охраны окружающей среды в 80-х гг., борьбы со СПИДом в 90-х гг.);
• реализации современных научных достижений (результатов генной инженерии, а в перспективе — эффекта сверхпроводимости).
Сравнение списка приоритетов стран Организации экономического сотрудничества (табл. 1.2) приводит к выводу о значительном сходстве большинства позиций. Приоритетными направлениями являются оборона, здравоохранение, космические исследования, фундаментальные естественнонаучные программы (технологии производства новых материалов, информационные технологии, биотехнология), охрана окружающей среды, поддержка исследовательских проектов в энергетике.
Страновые различия обнаруживаются при детальном рассмотрении направлений, например новые материалы. Исследования по всему спектру материаловедения ведут только США. Япония отдает приоритет специальным видам керамики, углеродным волокнам, аморфным сплавам и сверхпроводникам. Германия сконцентрировала усилия на новых полимерах, сплавах, предназначенных для работы при высоких температурах, керамике и новых полупроводниках.
Таблица 1.2
Структура государственных научных расходов по социально-экономическим целям в 1994 г., % |
|
|
|
|
США |
Германия |
Франция |
Англия |
Япония |
Италия |
|
Оборона |
55,3 |
8,5 |
33,5 |
44,5 |
6 |
6,5 |
|
Здравоохранение |
16,5 |
3,3 |
4,5 |
7,2 |
3,0 |
6,1 |
|
Космос |
10,9 |
5,8 |
10,1 |
ЗД |
7,5 |
6,4 |
|
Прогресс знаний |
4,0 |
51,4 |
31,9 |
21,9 |
51,2 |
46,6 |
|
Энергетика |
4,2 |
4,3 |
3,9 |
1,1 |
20,5 |
4,0 |
|
Экология |
0,8 |
3,7 |
1,3 |
2,0 |
0,5 |
2,5 |
|
Источники: Science & EngineeringIndicator, 1996. |
Таблица 1.3
Объем финансирования научных исследований и разработок из федерального бюджета США, $ млн (цены текущие) |
|
|
|
|
1965 |
1975 |
1985 |
1995 |
1998 |
2000 |
2001 |
|
Оборона |
7,3 |
9,7 |
33,7 |
34,4 |
34,1 |
38,7 |
38,6 |
|
Здравоохранение |
0,9 |
2,2 |
5,4 |
11,7 |
13,3 |
17,8 |
18,8 |
|
Космос |
4,9 |
2,8 |
2,7 |
9,6 |
9,6 |
13,6 |
14,0 |
Источники: Federal R&D by Budget Function: FiscalYears 1993-1995; Federal Funds for Research and Development: FiscalYears 1996-1998.
Таблица 1.4
Объемы финансирования межведомственных программ
из бюджета США, $ млрд |
|
|
|
Межведомственные программы |
2000 г. |
2001 г. |
|
Нанотехнологи и |
0,27 |
0,50 |
|
Информационные технологии |
0,31 |
0,82 |
|
Глобальные изменения |
1,70 |
1,74 |
|
Всего |
2,28 |
3,06 |
В ближайшей перспективе следует сфокусировать внимание на следующих направлениях научно-технической политики (табл. 1.3-1.4):
• информационные технологии и электроника;
• производственные технологии;
• новые материалы и химические технологии;
52_1. Государственная научно-техническая политика
• технологии живых систем;
• экология и рациональное природопользование.
Во всех странах, охваченных процессом научно-технического преобразования, структурные изменения происходили не сразу и не одновременно на всей территории, а сначала лишь в отдельных регионах, оказавшихся по ряду причин наиболее подготовленными к перестройке. Б Соединенных Штатах такими районами были прежде всего Силиконовая долина (окрестности Сан-Франциско) и Шоссе 128 (Бостон и прилегающие к нему с северо-востока территории). В Японии аналогичные сдвиги концентрировались в «промышленном поясе» Т окио-Осака, во Франции — в департаменте Иль-де-Франс, основную часть которого составляет Большой Париж, в Англии — на территориях «коридоров» Лондон—Ливерпуль или Эдинбург—Глазго и т. д. Такие районы сосредоточения «высоких» технологий демонстрировали быстрый рост промышленного производства, занятости, уровня жизни, резко контрастируя с регионами приходивших в упадок традиционных отраслей, где возникали массовая безработица и другие кризисные явления.
В странах с «дирижерскими» моделями государственного устройства (Франция, Япония) центральные власти непосредственно участвуют в разработке и выполнении региональных программ, в определении специализации регионов и т. д. Региональные программы выступают как составные части общенациональный. В Соединенньгх Штатах этого нет. Центральное правительство прямо не вмешивается в хозяйственный комплекс конкретного штата, оно действует иначе — выбирает ключевые, по его мнению, проблемы и пытается содействовать их решению в расчете на то, что его инициативы будут поддержаны и расширены на местах.
С учетомвсего сказанного конкретные целирегиональных программ определяются следующим образом:
• создание или совершенствование образовательного потенциала, т. е. организация учебных заведений и разного рода курсов, обеспечивающих подготовку и переподготовку квалифицированных технических специалистов среднего звена, повышение качества обучения в школах, введение в школьные программы специальных курсов профессионального обучения;
• укрепление научного потенциала, создание новых и расширение существующих вузов и других исследовательских центров, укрепление связей с крупными научными центрами страны в других регионах;
содействие развитию всех форм предпринимательской деятельности, особенно в наукоемких отраслях производства, как путем создания новых фирм, так и путем привлечения предприятий из других областей страны и из-за рубежа;
создание современной инфраструктуры, обеспечивающей производственную и бытовую сферу услуг, коммуникаций, жилищных условий, экологическую безопасность, словом высокое качество жизни в самом широком смысле этого понятия.
КЛАССИФИКАЦИЯ ОБЪЕКТОВ
Наука не является и никогда не будет являться законченной книгой. Каждый важный успех приносит новые вопросы. Всякое развитие обнаруживает со временем все новые и более глубокие трудности.
А. Эйнштейн
2.1. Классификация научных организаций
На работника умственного труда необходимо смотреть не как на «издержки», а скорее как на «капитал», и обращаться с ним соответственно.
Питер Ф. Друкер
Первым, кто в полной мере понял и оценил значимость научных исследований для производства, был Эрнст Вернер Сименс. В 1869 г. он пригласил на работу ученого с университетским образованием и создал научно-исследовательскую лабораторию. Появление электротехнической лаборатории как самостоятельного подразделения было обусловлено ясным пониманием ее значимости для развития предприятия.
Научным работником (исследователем) является гражданин, обладающий необходимой квалификацией и профессионально занимающийся научной или научно-технической деятельностью.
Правовые основы оценки квалификации научных работников и специалистов научной организации и критерии этой оценки определяются в порядке, устанавливаемом Правительством Российской Федерации, и обеспечиваются государственной системой аттестации.
Результаты аттестации могут быть обжалованы и отменены вышестоящей аттестационной комиссией. В случаях нарушения порядка или критериев оценки квалификации научных работников и специалистов научной организации результаты аттестации могут быть обжалованы и отменены в судебном порядке.
Единый реестр предусмотренной государственной системой аттестации ученых степеней и ученых званий, а также порядок присуждения ученых степеней или присвоения ученых званий устанавливаются Правительством Российской Федерации. Указанный реестр действует на всей территории Российской Федерации. Правом выдачи дипломов, подтверждающих присуждение предусмотренных государственной системой аттестации ученых степеней, и правом выдачи аттестатов, подтверждающих присвоение предусмотренных государственной системой аттестации ученых званий, обладает специально уполномоченный на то Правительством Российской Федерации федеральный орган исполнительной власти.
Специалистом научной организации (инженерно-техническим работником) является гражданин, имеющий среднее профессиональное или высшее профессиональное образование и способствующий получению научного и (или) научно-технического результата или его реализации.
Работником сферы научного обслуживания является гражданин, обеспечивающий создание необходимых условий для научной и (или) научно-технической деятельности в научной организации.
Научный работник имеет право на:
• признание его автором научных и научно-технических результатов и подачу заявок на изобретения и другие результаты интеллектуальной деятельности в соответствии с законодательством Российской Федерации;
• получение в соответствии с законодательством Российской Федерации доходов от реализации научных и научно-технических результатов, автором которых он является;
• объективную оценку своей научной и научно-технической деятельности и получение вознаграждений, поощрений и льгот, соответствующих его творческому вкладу;
• осуществление предпринимательской деятельности в области науки и техники, не запрещенной законодательством Российской Федерации;
• подачу заявок на участие в научных дискуссиях, конференциях и симпозиумах и иных коллективных обсуждениях;
, • участие в конкурсе на финансирование научных исследований за
счет средств соответствующего бюджета, фондов поддержки научной и (или) научно-технической деятельности и иных источников, не запрещенных законодательством Российской Федерации;
• подачу заявок на участие в международном научном и научнотехническом сотрудничестве (стажировки, командировки, публикации научных и научно-технических результатов за пределами территории Российской Федерации);
• доступ к информации о научных и научно-технических результатах, если она не содержит сведений, относящихся к государственной, служебной или коммерческой тайне;
• публикацию в открытой печати научных и научно-технических результатов, если они не содержат сведений, относящихся к государственной, служебной или коммерческой тайне;
• мотивированный отказ от участия в научных исследованиях, оказывающих негативное воздействие на человека, общество и окружающую природную среду;
• повышение научной квалификации.
Научный работник обязан:
• осуществлять научную, научно-техническую деятельности и экспериментальные разработки, не нарушая права и свободы человека, не причиняя вреда его жизни и здоровью, а также окружающей природной среде;
• объективно осуществлять экспертизы представленных ему научных и научно-технических программ и проектов, научных и научно-технических результатов и экспериментальных разработок.
Научные работники могут заключать договоры о совместной научной и научно-технической деятельности в соответствии с законодательством Российской Федерации. Вправе создавать на добровольной основе общественные объединения (в том числе научные, научно-технические и научно-просветительские общества, общественные академии наук) в порядке, предусмотренном законодательством Российской Федерации об общественных объединениях.
Научной организацией признается юридическое лицо (независимо от организационно-правовой формы и формы собственности), а также общественное объединение научных работников, осуществляющее в качестве основной научную или научно-техническую деятельность, подготовку научных работников и действующее в соответствии с учредительными документами научной организации.
Научные организации подразделяются на научно-исследовательские организации, научные организации образовательных учреждений высшего профессионального образования, опытно-конструкторские, проектно-конструкторские, проектно-технологические и иные орга-57
низации, осуществляющие научную и научно-техническую деятельность.
По организациоипо-правовомустатусу выделяют три типа научных организаций:
• самостоятельные научно-технические единицы — организации, обладающие правом юридического лица, не входящие в состав других более крупных научных, производственных и иных образований;
• объединения научно-технических организаций, основывающиеся в своей деятельности на консолидации в различных формах научно-производственного потенциала нескольких предприятий и организаций;
• научно-технические организации в составе других более крупных структур, представляющие собой структурные подразделения фирм, предприятий, вузов.
По характеру формирования и распределения доходов различают коммерческие (прибыльные) и некоммерческие (бесприбыльные) организации.
По источникам финансирования различают бюджетные и внебюджетные организации. Базовое финансирование бюджетных организаций осуществляется из средств государственного бюджета.
По форме собственности выделяют государственные, частные и смешанные организации.
По виду специализации — организации, базирующиеся на продукционной, ресурсной, технологической, адресной специализации.
По виду научной и производственной продукции — организации, специализированные на фундаментальных НИР, прикладных НИР, опытно-конструкторских работах, создании опытных образцов, производстве опытных партий.
По видам совершенствуемых объектов — организации, специализированные на НИОКР, направленных на совершенствование изделий, материалов, технологий, форм организации и управления.
По виду деятельности — организации, выполняющие НИОКР, и организации, выполняющие функции обслуживания науки.
По характеру отрасли знаний — организации в сфере естественных наук, технических наук, общественных и гуманитарных наук.
По степени охвата стадий цикла «исследование—внедрение* — организации, охватывающие фундаментальные исследования, прикладные исследования, разработки, внедрение, фундаментальные и прикладные исследования, прикладные исследования и разработки; фундаментально-прикладные исследования и разработки, все стадии.
По длительности существования — постоянные и временные организации.
Российская наука организационно разделяется на пять секторов (табл. 2.1):
• академическая наука;
• вузовская наука;
• отраслевая наука;
• заводская наука;
• вневедомственная наука.
Таблица 2,1
Классификация научных организаций |
|
|
|
Сектор |
Организации |
|
Академическая наука |
Учреждения РАН и других российских академий |
|
Вузовская наука |
Научно-образовательные объединения |
|
Исследовательские промышленно-вузовские центры |
|
Научно-исследовательские и научнотехнические подразделения вузов |
|
Отраслевая наука |
Государственные научные центры |
|
Федеральные научно-технические центры |
|
Научно-производственные объединения (комплексы) |
|
Научно-текнические ассоциации с участием федеральных министерств (ведомств) |
|
Инкубаторы |
|
Технопарки |
|
Технополисы |
|
Заводская наука |
Научно-иселедовт’ельекие, нросктно-конструк-торские и технологические институты |
|
Конструкторские и технологические бюро |
|
Заводские лаборатории |
|
Научно-технические центры |
|
Конструкторско-технологические и другие подразделения |
|
Вневедомственная наука |
Венчурные фирмы |
Академическая наука включает учреждения Российской академии наук и других государственных российских академий.
Вузовская наука представлена следующими организационными формированиями:
• научно-образовательными объединениями;
• исследовательскимтромышленно-вузовскими центрами;
• научно-исследовательскими и научно-техническими подразделениями вузов.
Научно-образовательные объединения формируются с целью повышения качества процесса обучения в вузе за счет привлечения к его осуществлению работников научных организаций (прежде всего институтов РАН), приобщения профессорско-преподавательского состава, аспирантов и студентов к научной работе в этих организациях. Научнообразовательные объединения создаются добровольным соглашением между вузом и научной организацией в любой организационно-правовой форме для осуществления как коммерческой, так и некоммерческой деятельности.
Исследоватеяьскт промышленно-вузовские центрысоздаютсяпри ведущих вузах страны с целью привлечения средств промышленности для разработки и внедрения перспективных нововведений вузовского сектора и большей ориентации последнего на нужды промышленного производства. Центры учреждаются Минпромнауки после конкурсного отбора. Центр является независимой некоммерческой юридически самостоятельной организацией. Финансирование осуществляется за счет объединенных средств госбюджета, промышленных предприятий, вузов и местных органов власти. Средства госбюджета (не более 30% общих затрат центра) выделяются с целью обеспечить стартовые условия функционирования центра, а также для создания определенных гарантий при уменьшении финансирования со стороны промышленности. Работы выполняются в основном силами преподавателей, научных сотрудников, аспирантов и студентов вузов. Необходимым условием организации центра является участие в его работе промышленных предприятий. Результатами исследований являются новые знания, промышленные нововведения, защищенные диссертационные работы, подготовленные специалисты, новые учебные курсы и программы.
Научно-исследовательские и научно-технические подразделения вузов образуются решением руководства вузов. Финансирование осуществляется из различных источников, в том числе из госбюджета.
Отраслевая наука — самостоятельные научные организации, подчиненные органам отраслевого управления (министерствам и ведомствам), научно-производственные объединения, самостоятельные НИИ и КБ ит. д.
Научно-исследовательские лаборатории при крупных предприятиях вносят существенный вклад не только в развитие своих фирм, но и в науку в целом. Достаточно вспомнить, что из лаборатори американской компании Bell, основанной в 20-гг. XX в., вышли практически все открытия и технологии в области телефонной индустрии. Ее учеными было сделано изобретение транзисторов.
Государственная научно-техническая политика в отношении отраслей разрабатывается и реализуется соответствующими органами исполнительной власти с привлечением хозяйствующих субъектов и их объединений с учетом единой государственной научно-технической политики.
Для отраслевой науки существует программа поддержки государственных научных центров (ГНЦ). В соответствии с Указом Президента РФ «О государственных научных центрах Российской Федерации» от 22 июня 1993 г. № 939 статус такого центра может присваиваться предприятиям, учреждениям и организациям науки, а также вузам, имеющим уникальное опытно-экспериментальное оборудование и высококвалифицированные кадры, результаты научных исследований которых получили международное признание.
Создание ГНЦ стало еще одним звеном идеи о селективной поддержке научных отраслей. Из более 4 тыс. научных учреждений было выделено несколько десятков ключевых. Была разработана процедура отбора, экспертизы и утверждения ГНЦ. Решением правительства статус ГН Ц присваивается на два года для поддержки фундаментальных и прикладных исследований. Сейчас таких центров более 50, они есть практически во всех сферах — в авиа- и судостроении, ядерной физике, машиностроении, металлургии, биологии, медицине, сельском хозяйстве, строительстве и радиотехнике.
Финансируются ГНЦ в рамках долгосрочных приоритетов научнотехнического развития с гарантированным объемом около 30% потребностей организации. Органы государственной власти Российской Федерации и органы государственной власти субъектов Российской Федерации осуществляют контроль за расходованием средств, выделенных из соответствующих бюджетов или внебюджетных фондов на научную и (или) научно-техническую деятельность, определяют формы и способы использования ее результатов.
61
Государственные научные центры создаются как независимые, юридически самостоятельные бюджетные учреждения. Задачи центра — реализация научно-технической политики в соответствующей сфере развития науки и техники, комплексная разработка важнейших научно-технических проблем, повышение результативности использования созданного научно-технического потенциала.
Федеральные научно-технические центры создаются в высокотехнологичных (приоритетных) областях науки и техники с целью завоевания и поддержания передовых позиций в мире в области наукоемких продуктов и высоких технологий. Формируются на базе научно-исследовательских, проектно-конструкторских и технологических организаций, научно-производственных объединений и комплексов, имеющих конкурентоспособный на мировом уровне задел исследований и разработок, необходимые опытно-экспериментальные базы и научнотехнические кадры. Могут иметь любую форму собственности, быть коммерческими или некоммерческими организациями, самостоятельными или в составе других организаций.
Финансирование государственных научных центров и федеральных научно-технических центров осуществляется из госбюджета, средств программ по государственной и оборонной тематике, грантов от международных и иностранных научных фондов, спонсорских средств и добровольных пожертвований, из внебюджетных фондов и др.
Научно-производственные объединения (комплексы) являются одной из основных форм, позволяющих обеспечить производственную реализацию научно-технических нововведений. По форме собственности различают государственные, частные и смешанные научно-производственные объединения. Государственные научно-производственные объединения основаны на добровольном вхождении нескольких предприятий и организаций в единый комплекс, частные формируются на базе частных предприятий и организаций, смешанные — на основе государственной и негосударственной собственности по принципу холдинга.
Научно-технические ассоциации с участием федеральных министерств (ведомств) создаются для решения конкретных научно-технических проблем в рамках приоритетных направлений НТП и государственных научно-технических программ. Ассоциация — временное добровольное соглашение заинтересованных научно-технических организаций, государственных научных центров, вузов, предприятий, а также министерств и ведомств с целью организации финансирования и совместного проведения крупномасштабных долгосрочных исследований 62
и внедрения их результатов в производство. Ассоциации создаются двух видов:
• объединяющие только финансовые ресурсы участников и организующие исследования по проектам за счет привлечения и координации деятельности разработчиков;
• создающие для выполнения работ по проектам собственную материально-техническую базу, в том числе за счет передачи в фонд ассоциации его участникам производственных площадей, оборудования, персонала и других ресурсов.
Ассоциации могут иметь отраслевой или межотраслевой характер, создаваться в форме коммерческой или некоммерческой организации, юридически самостоятельной или без права юридического лица, на основе государственной или смешанной собственности.
Наукоград — комплексная структура, включающая научные организации, вузы, промышленные предприятия и обеспечивающая единую цепочку реализации научной разработки от зарождения идеи до изготовления промышленного образца. Наукоград является самодостаточной корпорацией. Такие корпоративные структуры создаются с целью завоевания определенных сегментов рынка наукоемкой продукции.
Для российского предприятия, работающего в сфере науки и новых технологий, существуют три общепризнанные модели:
• национальная ~ компании занимаются локализацией и адаптацией к местным условиям зарубежных продуктов и разрабатывают продукты для внутреннего рынка;
• индийская — компании выполняют разработки по заказам зарубежных заказчиков для использования прежде всего на внешних рынках;
• израильская — отечественные компании выходят на зарубежные рынки с продуктами собственного производства.
Инкубатор — структура, специализирующаяся на создании благоприятных условий для возникновения и эффективной деятельности венчурных фирм, реализующих оригинальные научно-технические идеи. Это достигается путем предоставления этим фирмам материальных (прежде всего научного оборудования и приборов), информационных, консультационных и других необходимых услуг.
Инкубатор проводит следующие виды работ:
• экспертизу инновационных проектов, включающую в себя научно-техническую экспертизу, определяющую новизну и достоверность предлагаемого проекта, а также экологическую и коммерческую экспертизы (конъюнктурная проработка, оценка будущего рынка нового товара и ожидаемая прибыль);
• поиск инвесторов и при необходимости предоставление гарантий;
• предоставление на льготных условиях помещений, оборудования, опытного производства;
• оказание на льготных условиях правовых, рекламных, информационных и прочих услуг.
Инкубатор — это коммерческая организация: окупаемость затрат обеспечивается за счет его участия в будущих прибылях венчурных фирм.
Первые инкубаторы появились еще в 50-е гг. в Великобритании. Однако наибольшее распространение инкубаторы получили в США. В последние десять лет их число выросло с нескольких десятков до 575, объединенных в Национальную ассоциацию инкубаторов бизнеса.
Технопарк — это компактно расположенный комплекс, который в общем виде может включать в себя научные учреждения, вузы и предприятия промышленности, а также информационные, выставочные комплексы, службы сервиса и предполагает создание комфортных жилищно-бытовых условий. Функционирование технопарка основано на коммерциализации научно-технической деятельности и ускорении продвижения инноваций в сферу материального производства. Технопарки создаются с целью разработки высокотехнологичных наукоемких продуктов, ориентированных на реализацию государственных и региональных научно-технических приоритетов, на основе формирования «критической массы» научно-технических и производственных объектов на единой территории, объединенных общей структурой. Фирмы, входящие в состав технопарка, являются независимыми хозяйствующими субъектами. Финансирование деятельности технопарка осуществляется за счет отчислений предприятий, функционирующих в составе технопарка, государственных и региональных субсидий, банковских кредитов, средств учредителей технопарка и других источников.
Технополис (научный парк, технологический парк) представляет собой конгломерат из нескольких сотен исследовательских учреждений, промышленных фирм (преимущественно малых), внедренческих, венчурных организаций и других, которых связывает заинтересованность в появлении новых идей и их скорейшей коммерциализации. Технополис — это структура, подобная технопарку, но включающая в себя небольшие города, так называемые наукограды, развитие которых целенаправленно ориентировано на расположенные в них научные и научно-производственные комплексы. Центром технополиса является крупный университет — генератор и носитель фундаментального знания, лежащего в основе инноваций.
В США создано около 300 технопарков, в Японии — 19 технополисов, в России — около 60 технопарков и несколько технополисов: Обнинск, Дубна, Пущино, Арзамас-16, Томск.
Автономная некоммерческая организация — организационно-правовая форма, когда учредитель создает организацию, утверждает ее устав, наделяет ее имуществом. Он контролирует деятельность организации, но не несет ответственности по ее обязательствам. Имущество и средства находятся в собственности организации, пополняются регулярными или единовременными поступлениями от учредителя, добровольными имущественными взносами и пожертвованиями, выручкой от реализации произведенных товаров, работ и услуг, а также (в отличие от учреждения) дивидендами и процентами, получаемыми по ценным бумагам и вкладам, доходами от собственности и другими незапрещенными поступлениями.
В соответствии с Законом «О некоммерческих организациях» государство вправе предоставлять таким организациям льготы по уплате налогов, таможенных сборов, иных платежей, освобождать от платы за пользование государственным или муниципальным имуществом, а также предоставлять спонсорам льготы по уплате налогов.
Заводская наука — самостоятельные научные организации, входящие в состав производственных предприятий. В их числе можно выделить:
• научно-исследовательские, проектно-конструкторские и технологические институты;
• конструкторские и технологические бюро;
• заводские лаборатории;
• научно-технические центры;
• конструкторско-технологические и другие подразделения.
Финансирование деятельности заводской науки может осуществляться из затрат на производство, прибыли предприятия, средств государственного бюджета (по программам Минпромнауки, Государственным научно-техническим программам, Роскомоборонпрома), средств сторонних предприятий и организаций (по договорам на разработку и передачу научно-технической продукции и др.).
Вневедомственная наука — негосударственные научные организации, создаваемые на коммерческой основе в форме малых предприятий.
Венчурный бизнес сформировался в 60-х гг. Мелкие и средние исследовательские фирмы создавались вблизи крупных университетских центров. Так, в США вблизи Стэнфордского университета сосредоточено свыше 3 тыс. средних и мелких электронных фирм с общим числом занятых 190-200 тыс. человек. Каждая из них ориентируется на разработку и освоение одного-двух видов новой продукции, а в целом покрывает 20% мировых потребностей в компьютерных и электронных компонентах определенных видов.
Малые инновационные фирмы основывают ученые, инженеры, изобретатели, стремящиеся с расчетом на материальную выгоду воплотить в жизнь новейшие достижения науки и техники. Первоначальным капиталом таких фирм могут служить личные сбережения основателя, но их обычно не хватает для реализации имеющихся идей. В таких ситуациях приходится обращаться в одну или несколько специализированных финансовых компаний, готовых предоставить рисковый капитал.
Органы государственной власти Российской Федерации и органы государственной власти субъектов Российской Федерации в порядке, установленном законодательством Российской Федерации, создают государственные фонды поддержки научной и научно-технической деятельности в форме учреждений и иных некоммерческих организаций, деятельность которых финансируется за счет средств соответствующего бюджета или иных источников, не запрещенных законодательством Российской Федерации. Государственный фонд поддержки научной и научно-технической деятельности является самоуправляемой организацией и осуществляет свою деятельность в соответствии с законодательством Российской Федерации и уставом.
Государственные фонды поддержки научной и научно-технической деятельности организуют независимую экспертизу научных и научнотехнических программ и проектов, представляемых субъектами научной и научно -техническойдеятельности, и на основе конкурса выделяют средства на финансирование указанных программ и проектов. Государственные фонды поддержки научной и научно-технической деятельности ведут раздельный учет средств, выделяемых на реализацию деятельности, предусмотренной их уставами, и на иные цели. Порядок выделения средств на финансирование научных и научно-технических программ и проектов определяется уставами государственных фондов поддержки научной и научно-технической деятельности.
5-180
Первым примером финансирования научных исследований через специальный фонд был учрежденный в 1992 г. вневедомственный Российский фонд фундаментальных исследований (РФФИ). Его прообразом послужил Национальный научный фонд США, действующий с 1950 г. Средства РФФИ образуются за счет фиксированного процента отчислений от общей суммы государственных расходов на науку, указанной в бюджете (первоначально 3%, с 1994 г. — 4%, 2000 г. — 7,5% совместно с Российским гуманитарным научным фондом). Эти средства предназначены для грантов исследовательским коллективам и отдельным ученым на проведение перспективных исследова,-ний (60% средств), для субсидий на поддержание исследовательской инфраструктуры научной организации (20%), для финансирования информационно-издательской деятельности в науке (7,6%), для стипендий отдельным ученым и оплаты расходов на проведение лекций и семинаров. Ученые ценят этот фонд за опыт научных конкурсов, создание общественного контроля за расходованием средств через разветвленную систему экспертных советов с квалифицированными экспертами, информационное обеспечение конкурсов и работ по проектам. РФФИ доводит деньги до конечных исполнителей, ежегодно заключая соглашение «фонд—исполнитель—научное учреждение*. Доля накладных расходов зафиксирована на уровне не более 20%. :
Экспертные советы фонда состоят из авторитетных специалистов (более 2000 чел.) в своих областях фундаментальных знаний. Этим положением, отраженным в уставе РФФИ, закреплена главенствующая роль научного сообщества в принятии решений в профессионально сложной и не поддающейся нормативным, количественным оценкам научной деятельности.
В 1995 г. из РФФИ выделился и стал самостоятельным Российский гуманитарный научный фонд (РГНФ), ориентированный на поддержку фундаментальных исследований в области гуманитарных и общественных наук. РГНФ опирается на принципы и методику, детально проработанные в РФФИ. В 1995 г. в Нижнем Новгороде был создан Международный центр (фонд) перспективных исследований, в 1997 г. в Новосибирске — Международный благотворительный научный фонд имени Замараева.
Доля фондов, распределяющих ассигнования на конкурсных началах, составляет лишь несколько процентов общего бюджета наук.
В 2000 г. Министерство промышленности, науки и технологий провело первый конкурс инновационных проектов с привлечением средств инвесторов на самой рискованной стадии — стадии научно-проектных работ. Цель конкурса — отработать механизм продвижения на рынок научных разработок. По условиям конкурса половину суммы на свой проект претенденты нашли сами, привлекая в компаньоны инвесторов, другую часть на беспроцентной основе выделили Минпромнауки (25 млн руб.) и Российский фонд технологического развития (100 млн руб.). Заемщик обязан вернуть кредит через три года, иначе рискует своим имуществом, которое выставляет в качестве гарантии. Из 200 претендентов, согласившихся со столь жесткими условиями, было отобрано 30.
Венчурное финансирование осуществляется в двух основных формах: путем приобретения акций новых фирм либо посредством предоставления кредита с правом конверсии в акции. Средства предоставляются на безвозвратной, беспроцентной основе, без залога, на длительный срок. Возврат вложенных средств и реализация прибыли происходят в момент выхода ценных бумаг фирмы на открытый рынок. Величина прибыли определяется разностью между курсовой стоимостью принадлежащей рисковому инвестору доли акций фирмы-новатора и суммой вложенных им в проект средств.
Гранты — денежные и иные средства, передаваемые безвозмездно и безвозвратно гражданами и юридическими лицами, в том числе иностранными гражданами и иностранными юридическими лицами, атакже международными организациями, получившими право на предоставление грантов на территории Российской Федерации в установленном Правительством Российской Федерации порядке, на проведение конкретных научных исследований на условиях, предусмотренных гранто-' дателями. Гранты передаются научным работникам, научным организациям, образовательным учреждениям высшего профессионального образования, другим юридическим лицам и гражданам. Получатели грантов распоряжаются ими в соответствии с законодательством Российской Федерации или в случае их использования на территории иностранного государства в соответствии с законодательством этого государства, а также на условиях, на которых эти гранты выделяются.
Правительство Российской Федерации и органы исполнительной власти субъектов Российской Федерации организуют в соответствии с законодательством Российской Федерации государственную аккредитацию научных организаций и выдают им свидетельства о государственной аккредитации.
Свидетельство о государственной аккредитации выдается научной организации, объем научной и (или) научно-технической деятельности которой составляет не менее с 70% общего объема выполняемых указанной организацией работ и уставом которой предусмотрен ученый
(научный, технический, научно-технический) совет в качестве одного из органов управления. Объем продукции (товаров, работ и (или) услуг), которая произведена научной организацией при осуществлении неосновных видов деятельности с использованием полученных указанной организацией научных и (или) научно-технических результатов и прибыль от реализации которой направляется на финансирование научной и (или) научно-технической деятельности указанной организации, не учитывается в общем объеме выполненных указанной организацией работ при определении доли научной и (или) научно-технической деятельности от данного объема в порядке, установленном Правительством Российской Федерации.
Свидетельство о государственной аккредитации является основанием для предоставления научной организации льгот на уплату налогов, предусмотренных налоговым законодательством Российской Федерации, и других льгот, установленных для научных организаций законодательством Российской Федерации. 1
Отказ в выдаче свидетельства о государственной аккредитации научной организации не может являться препятствием к осуществлению научной и (или) научно-технической деятельности. '
Научная организация владеет, пользуется и распоряжается имуществом, передаваемым ей учредителями для осуществления деятельности, определенной учредительными документами. Порядок владения, пользования и распоряжения имуществом научной организации опре -деляется законодательством Российской Федерации.
Государственные научные организации, учрежденные Правительством Российской Федерации или федеральными органами исполнительной власти, имеют право сдавать в аренду с согласия собственника без права выкупа временно не используемое ими, находящееся в федеральной собственности имущество, в том числе недвижимое. Размер арендной платы определяется договором и не должен быть ниже среднего размера арендной платы, обычно взимаемой за аренду имущества в местах расположения таких организаций.
Доходы от сдачи в аренду имущества, находящегося в федеральной собственности, в полном объеме учитываются в доходах федерального бюджета и используются указанными организациями в качестве источника дополнительного бюджетного финансирования содержания и развития их материально-технической базы.
Научная организация обязана поддерживать и развивать свою научно-исследовательскую и опытно-экспериментальную базу, обновлять производственные фонды.
69
Научная организация осуществляет научное и научно-техническое сотрудничество с иностранными юридическими лицами и внешнеэкономическую деятельность в соответствии с законодательством Российской Федерации и международными договорами Российской Федерации.
При реорганизации государственной научной организации должно обеспечиваться сохранение технологического единства научной и (или) научно-технической деятельности. Не допускается выделение из состава указанной научной организации опытного, опытно-экспериментального, опытно-учебного, опытно-фармацевтического производства и лечебных баз.
Органы исполнительной власти Российской Федерации, органы исполнительной власти субъектов Российской Федерации, учредившие государственную научную организацию, могут выделять средства на возобновление, капитальный и текущий ремонт имущества данной организации и при недостаточности средств у данной организации несут субсидиарную ответственность по ее обязательствам в случае, если государственная научная организация создана в форме учреждения или унитарного предприятия, основанного на праве оперативного управления.
За государственными научными организациями закрепляются в бессрочное безвозмездное пользование земельные участки, выделенные в установленном порядке.
Научные организации, организации научного обслуживания и социальной сферы Российской академии наук, ее региональных отделений и отраслевых академий наук владеют, пользуются и распоряжаются федеральным имуществом, переданным указанным организациям в оперативное управление или в хозяйственное ведение в соответствии с законодательством Российской Федерации, настоящим Федеральным законом и уставами. Реестры федерального имущества, переданного указанным организациям в оперативное управление или в хозяйственное ведение, утверждаются соответствующими академиями наук.
Доходы научных организаций, организаций научного обслуживания и социальной сферы от разрешенной их уставами деятельности и имущество, приобретенное указанными организациями за счет таких доходов, поступают в самостоятельное распоряжение указанных организаций и учитываются на отдельном балансе.
Научные организации, организации научного обслуживания и социальной сферы Российской академии наук и отраслевых академий наук имеют право сдавать в аренду без права выкупа временно не ис-70.
пользуемое указанными организациями и находящееся в федеральной собственности имущество, в том числе недвижимое, на основании решения соответствующей академии наук, которое должно быть согласовано с соответствующим федеральным органом исполнительной власти, уполномоченным Правительством Российской Федерации на управление и распоряжение объектами федеральной собственности. Размер арендной платы определяется договором и не должен быть ниже среднего размера арендной платы, обычно взимаемой за аренду имущества в местах расположения таких организаций.
Доходы от сдачи в аренду имущества, находящегося в федеральной собственности, в полном объеме учитываются в доходах федерального бюджета и используются указанными организациями в качестве источника дополнительного бюджетного финансирования содержания и развития их материально-технической базы.
Основной правовой формой отношений между научной организацией, заказчиком и иными потребителями научной и (или) научно-технической продукции, в том числе министерствами и иными федеральными органами исполнительной власти, являются договоры (контракты) на создание, передачу и использование научной и (или) научно-технической продукции, оказание научных, научно-технических, инженерно-консультационных и иных услуг, а также другие договоры, в том числе договоры о совместной научной и (или) научно-технической деятельности и распределении прибыли.
На основе указанных договоров (контрактов) выполняются научные исследования и экспериментальные разработки для государственных нужд. В этих случаях договоры (контракты) заключаются между государственным органом — заказчиком и организацией — исполнителем.
Правительство Российской Федерации вправе:
• устанавливать порядок проведения научных исследований и использования научных и (или) научно-технических результатов, которые могут создать угрозу безопасности Российской Федерации, здоровью граждан, окружающей природной среде;
• лицензировать отдельные виды научной и (или) научно-технической деятельности;
• вводить в предусмотренных законодательством Российской Федерации случаях ограничения на право использования отдельных научных и (или) научно-технических результатов, распространяя на них режим секретности и осуществляя надзор за его соблюдением;
71
• вводить сертификационные и метрологические требования к отдельным видам научной и (или) научно-технической деятельности.
2.2. Классификация целевых программ
Тот, кто обозревает немногое, легко выносит суждение.
Аристотель
Целевые научно-технические программы разрабатываются для масштабной реализации наиболее значительных научно-технических достижений. Конечными целями являются освоение, промышленное производство и применение объектов новой техники, прогрессивных технологий, новых материалов.
Программы по решению важнейших научно-технических проблем разрабатываются для создания принципиально новых техпроцессов и видов техники и доведения их до практической реализации, а также развития научных исследований и технических разработок по наиболее перспективным направлениям науки и техники для создания научно-технического задела. В настоящее время разрабатываются и реализуются различные по своему характеру целевые программы, которые классифицируются по следующим признакам:
по уровню проблем:
• международные,
• государственные,
• межотраслевые,
• отраслевые,
• региональные,
• локальные;
по характеру проблем:
• комплексные,
• научно-исследовательские,
• научно-технические,
• социально-экономические,
• организационно-экономические,
• производственно-хозяйственные;
по срокам реализации:
• долгосрочные (10-20 лет),
• среднесрочные (5-10 лет),
• краткосрочные (до 5лет).
Программы каждого типа обладают спецификой целей и условий разработки, учитываемых факторов и методов управления их реализацией.
Целевые комплексные программы имеют четко выраженный целевой характер, что проявляется в ориентации мероприятий и ресурсов на решение конкретной проблемы; характеризуются четко выраженными конечными результатами; отличаются высокой степенью комплексности (полнотой охвата межотраслевых связей).
По содержанию целевые комплексные программы подразделяются на следующие основные типы:
• социально-экономические, направленные на решение проблем развития и совершенствования образа жизни, повышение материального и культурного уровня жизни людей, улучшение условий труда и др.;
• производственно-экономические, направленные на решение крупных межотраслевых проблем в области производства, на повышение его эффективности и качественных характеристик, рациональное использование трудовых, материальных и финансовых ресурсов, на создание и развитие новых отраслей и видов производств и других аналогичных проблем;
• научно-технические, направленные на решение важнейших научно-технических проблем и коммерциализацию полученных результатов;
• территориальные {региональные), направленные на обеспечение комплексного хозяйственного освоения новых территорий, формирование и развитие новых территориально-производственных комплексов;
• экологические, направленные на осуществление природоохранных проектов;
• организационно-хозяйственные, направленные на совершенствование организации управления отдельными хозяйственными системами.
По длительности целевые комплексные программы бывают долгосрочными (свыше 5 лет) и среднесрочными (до 5 лет).
Научно-исследовательская программа — документ, согласованный по ресурсам, исполнителям и срокам задания на проведение научных исследований и разработок, а также научно-технических мероприятий по эффективному комплексному использованию природных ресурсов и развитию производительных сил региона в целях:
• научного обоснования территориальных схем развития и размещения производительных сил;
• решения научных проблем формирования и реализации региональных целевых комплексных программ.
В зависимости от конечных целей научно-исследовательские программы подразделяются на государственные и региональные.
Научно-техническая программа — документ, предусматривающий комплекс мероприятий, взаимосвязанных по ресурсам, исполнителям и срокам выполнения и относящихся к разным сферам деятельности (научной, проектно-конструкторской, строительной, производственной) в целях обеспечения экономического и социального развития страны, концентрации ресурсов на приоритетных направлениях научно-технического прогресса.
В зависимости от конечных целей научно-технические программы подразделяются на:
• целевые научно-технические программы;
• программы по решению важнейших научно-технических проблем.
Органы государственной власти Российской Федерации и органы
государственной власти субъектов Российской Федерации организуют проведение экспертиз научных и научно-технических программ и проектов, финансируемых за счет средств соответствующего бюджета.
Экспертиза проводится организациями, осуществляющими независимую экспертизу, другими организациями, а также экспертами с участием представителей субъектов Российской Федерации, организаций, финансирующих научную и (или) научно-техническую деятельность, при:
• выборе приоритетных направлений государственной научно-технической политики, а также развития науки и техники;
• формировании научных и научно-технических программ и проектов;
• проведении конкурсов на участие в научных и научно-технических программах и проектах, контроле за их осуществлением и использованием полученных научных и (или) научно-технических результатов в экономике государства.
В экспертизе научной или научно-технической деятельности не может участвовать специалист, имеющий личную заинтересованность в ее результатах.
6-1S0
По результатам экспертиз научных и научно-технических программ и проектов органы исполнительной власти Российской Федерации и органы исполнительной власти субъектов Российской Федерации обязаны заблаговременно информировать население о безопасности, в том числе экологической, об экономической и о социальной значимости создаваемых производств и объектов, использующих достижения науки и техники.
В случаях, предусмотренных законодательством Российской Федерации, в установленном порядке проводится обязательная государственная экспертиза научно-технических программ и проектов.
2.3. Классификация научно-технической продукции
Порядок есть союз всех вещей.
Сама природа через него существует.
Пифагор
К научно-технической продукции относятся законченные научно-исследовательские, проектные, конструкторские, технологические, экспертные работы и услуги, изготовленные образцы или партии изделий (продукции), принятые заказчиком. В силу широты областей применения и сложности проведения научно-техническую продукцию в целом классифицировать достаточно сложно. Имеется несколько общепринятых классификационных групп, и для конкретной области требуются их детализация и конкретизация.
Основными классификационными признаками можно считать сферу применения, характер получаемого результата, стадию готовности результата для практического внедрения.
Определяющим экономическим параметром работы является цена. Оплачивается научно-техническая продукция по договорным ценам, которые учитывают эффективность, качество, сроки выполнения и последующую прибыль.
В зависимости от масштабов и области применения можно выделить работы:
• предназначенные для одного предприятия (организации) и имеющие экономический эффект;
• имеющие массовое применение и имеющие экономический эффект;
• без конкретного экономического эффекта;
• с экономическим эффектом в третьей ступени цепочки внедрения результата.
Для научно-образовательных проектов можно с учетом особенности результата выделить:
• создание специального подразделения (научного, учебного, научно-учебного);
• создание и проведение пилотной образовательной программы;
• проведение разовой образовательной программы, направленной на повышение качества подготовки специалистов;
• проведение разовой научной программы временным научным коллективом;
• подготовку кадров для эксплуатации результатов выполненной научной разработки.
Разделяют продуктовые и технологические инновации. Продуктовые инновации направлены на создание новых товаров и услуг, технологические инновации включают изменения в организации процесса производства.
Принято выделять три вида исследований: теоретические исследования с целью получения фундаментальных знаний; прикладные исследования и разработки техники и технологии, ориентированные на коммерческое использование знаний.
В зависимости от степени готовности конечного результата можно выделить работы:
• полностью законченные;
• частично законченные;
• созданиенаучно-образовательного потенциала для дальнейшего использования результатов.
Для первой группы работ затраты уже полностью осуществлены и требуется обеспечить возврат понесенных расходов через рост эффективности от внедрения.
По второй группе следует оценить дополнительно необходимые средства и возможный последующий экономический выигрыш.
Для третьей группы следует определить план последующих работ, дополнительно требуемые затраты, источники получения эффекта.
При проведении классификации конкретной научно-исследовательской работы следует выделить ее характерные факторы, которые оказываются значимыми для оценки масштаба применения результатов, потребных затрат, элементов эффекта, динамики финансовых потоков.
При оценке суммы потребных средств необходимо учесть этапы: возникновение идеи, проведение предварительных исследований, прове-76.
дение фундаментальных исследований, выполнение проектных работ, проведение прикладных исследований, внедрение и доведение результатов.
В ряде случаев выделяют ступени программы: начальную, основную, заключительную. На первой стадии происходит постановка задачи, выбор методов ее решения, выделение основных направлений, сбор информации, формирование организационных структур. На второй — проводят теоретические и экспериментальные работы. На третьей стадии происходит обобщение итогов, подготовка отчета, выработка рекомендаций для дальнейших действий.
Для комплексной работы все эти стадии ориентированы на несколько объектов: оборудование, приборы, персонал, материалы. Если отдельный проект охватывает одну стадию или отдельный объект, то при его оценке необходимо учесть и весь объем работ в комплексе. Вкладывая часть средств, следует ясно оценивать, сколько потребуется еще дополнительно, прежде чем появится эффективный результат.
Сопровождающим учебным результатом отдельного проекта могут быть:
• образование дополнительной структуры для продвижения результатов научных исследований и подготовки специалистов;
• проведение разовой программы с целью ускорения процесса практического использования научных исследований через подготовку на их базе группы специалистов;
• создание условий для подготовки высококвалифицированных научных работников;
• ускорение процесса научной разработки за счет подключения персонала вуза.
2.4. Классификация инноваций
Тысячи путей ведут к заблуждению, к истине — только один.
Ж. Ж. Руссо
Инновация — использование результатов научных исследований и разработок, направленных на совершенствование процесса производственной деятельности, экономических, правовых и социальных отношений в области науки, культуры, образования и других сферах деятельности общества.
77
Экономическая суть инноваций состоит в увеличении добавленной стоимости в валовой выручке предприятия. Основные ее компоненты — заработная плата и прибыль, а индикатором роста являются новые параметры продукции, технологий, оборудования. Преобладающая доля добавленной стоимости в цене продукции позволяет высоко оплачивать труд работающих, иметь достаточные ресурсы для развития производства. Мировой экономический опыт показывает, что источником долгосрочного экономического благополучия страны является обрабатывающий сектор промышленности, поддерживаемый современными достижениями науки и техники.
Инновации классифицируются по следующим признакам:
1. Значимость (базисные, улучшающие, псевдоинновации).
2. Направленность (заменяющие рационализирующие, расширяющие).
3. Место реализации (отрасль возникновения, отрасль внедрения, отрасль потребления).
4. Глубина изменения (регенерирование первоначальных способов, изменение количества, перегруппировка, адаптивные изменения; новый вариант, новое поколение, новый вид, новый род).
5. Разработчик (разработанные силами предприятия, внешними силами).
6. Масштаб распространения (для создания новой отрасли, применение во всех отраслях).
7. Место в процессе производства (основные продуктовые и технологические, дополняющие продуктовые и технологические).
8. Характер удовлетворяемых потребностей (новые потребности, существующие потребности).
9. Степень новизны (на основе нового научного открытия, на основе нового способа применения к давно открытым явлениям).
10. Бремя выхода на рынок (инновации-лидеры, инновации-последователи).
11. Причина возникновения (реактивные, стратегические).
12. Область применения (технические, технологические, организационно-управленческие, информационные, социальные и т. д.).
По значимости различают базисные инновации, которые реализуют крупные изобретения и становятся основой формирования новых поколений и направлений техники; улучшающие инновации, обычно реализующие мелкие и средние изобретения и преобладающие на фазах распространения и стабильного развития научно-технического цикла; псевдоинновации, направленные на частичное улучшение устаревших поколений техники и технологий.
По направлениям воздействия на процесс производства инновации могут быть расширяющие (нацелены на глубокое проникновение в различные отрасли и рынки имеющихся базисных инноваций), рационализирующие (по сути близки к видоизменениям) и заменяющие (предназначены для замены старых продуктов или технологий новыми, основанными на выполнении той же функции).
Классификация инноваций по глубине вносимых изменений позволяет последовательно проследить переходы от инноваций более низкого уровня к более высокому:
• регенерирование первоначальных свойств системы, сохранение и обновление ее существующих функций;
• изменение количественных свойств системы;
• перегруппировка составных частей системы с целью улучшения ее функционирования;
• адаптивные изменения элементов производственной системы с целью приспособления друг к другу;
• новый вариант — простейшее качественное изменение, выходящее за рамки простых адаптивных изменений;
• повое поколение — меняются все или большинство свойств системы, но базовая концепция сохраняется;
• новый вид — качественное изменение первоначальных свойств системы, первоначальной концепции без изменения функционального принципа;
• новый род — высшее изменение в функциональных свойствах системы, которое меняет ее функциональный принцип.
Предприятие может осуществлять НИОКР как собственными силами, так и с привлечением внешних организаций, отсюда деление по отношению к разработке на инновации, разработанные силами предприятия И внешними силами.
По масштабам распространения могут быть выделены локальные инновации, развивающие имеющиеся базисные технологии; отраслевые
79
инновации, ставшие основой для новой отрасли; и глобальные инновации, которые находят применение во всех отраслях.
По характеру удовлетворяемых потребностей инновации могут быть ориентированы на существующие потребности или могут создавать новые.
По степени новизны инновации могут быть основаны на новых открытиях или быть созданными па основе нового способа, примененного к открытым явлениям.
По причинам возникновения инновации можно разделить Нареак-тивные, обеспечивающие выживание фирмы, как реакция на нововведения, осуществленные конкурентом; и стратегические — инновации, внедрение которых имеет упреждающий характер с целью получения конкурентных преимуществ в перспективе.
По области применения инновации весьма своеобразны: технические появляются обычно в производстве продуктов с НОВЫМИ или улучшенными свойствами; технологические возникают при применении улучшенных, более совершенных способов изготовления продукции; организационно-управленческие связаны прежде всего с процессами оптимальной организации производства, транспорта, сбыта и снабжения; информационные решают задачи организации рациональных информационных потоков в сфере научно-технической и инновационной деятельности, повышения достоверности и оперативности получения информации; социальные направлены на улучшение условий труда, решение проблем здравоохранения, образования, культуры.
Различные виды инноваций находятся в тесной взаимосвязи и предъявляют специфические требования к инновационному механизму. Технические и технологические инновации, влияя на содержание производственных процессов, создают условия для управленческих инноваций, поскольку вносят изменения в организацию производства.
Рассматривая инновации следует помнить о типовых ошибках.
1. Инновационное мероприятие может не соответствовать стратегии развития организации. Шансы на успех высоки только у инноваций, соответствующих целям и реалиям организации.
2. Обновление представляется как инновационное мероприятие. Главное отличие подлинной инновации — это создание новой ценности.
3. Введение инноваций, задерживающих обновление. В ряде случаев необходимо принципиально поменять технологию или выпускаемую продукцию, а не заниматься частными их улучшениями.
Любая организация стремится поддерживать стабильность деятельности, поэтому инновация всегда требует дополнительных усилий для
продвижения. Перемены и стабильность — это две противоборствующие силы.
Фундаментальные принципы, система ценностей должны быть мало доступны для инноваций.
2.5. Классификация инвестиций
Только наука учит тому, как добывать истину из ее единственного первоисточника — из действительности.
К. А. Тимирязев
Инвестиции — это одно из универсальных экономических понятий. Инвестиции — это ограниченные ресурсы, направляемые на развитие или обновление производства. Они реализуются как разовые затраты и допускают варианты своего использования.
Предложение о вложении инвестиций сопровождается предварительным экономическим анализом времени достижения результата, срока возврата затраченных средств.
Классификация инвестиций представлена в табл. 2.2.
Таблица 2.2
Классификация инвестиций |
|
|
|
Признаки классификации |
Группы инвестиций |
|
По видам воспроизводства основных фондов |
• Замена изношенных основных фондов, действующего морально устаревшего оборудования
• Расширение действующего производства или рынка сбыта ранее изготавливаемой продукции
• Разработка новых продуктов и освоение новых рынков
• Инвестиции воборудованис, связанное с охраной окружающей среды и безопасностью труда персонала |
|
По составу основных фондов |
• Здания и сооружения
• Машины и оборудование
• Измерительные, регулирующие приборы и вычислительная техника
• Транспортные средства
• Передаточные устройства |
|
|
Продолжение табл. 2.2 |
|
Признаки классификации |
Группы инвестиций |
По отношению к основной
деятельности |
• Инвестирование ввсдущее оборудование
• Инвестирование в прочие основные фонды
• Инвестирование в специфические проекты |
|
По технологической структуре |
• Строительные работы
• Монтажные работы
• Приобретение оборудования и инвентаря |
|
По объектам долгосрочного инвестирования |
• В основные фонды
• В нематериальные активы
• В оборотные средства
• В трудовые ресурсы (повышение квалификации, плата за обучение и т. п.) |
|
По степени изношенности основных фондов и размерам используемых финансовых ресурсов |
• Простое воспроизводство основных фондов
* Расширенное воспроизводство основных фондов |
|
По временному горизонту инвестирования |
• Краткосрочные проекты (до 3 лет)
• Среднесрочные проекты (от 3 до 10 лет)
• Долгосрочные проекты (от 10 до 40 лет)
• Бессрочные проекты (свыше 40 лет) |
|
По степени взаимодействия |
• Взаимоисключающие проекты
• Независимые проекты
• Зависимые проекты |
|
По структуре средств финансирования |
• Проекты, финансируемые только за счет внутренних источников собственного капитала
• Проекты, финансируемые за счет внутренних и внешних источников собственного капитала
• Проекты со смешанным финансированием за счет собственного и заемного капитала
• Проекты с подавляющей долей заемных средств финансирования |
По уровню рентабельности
(доходности) |
• Нерентабельные проекты
• Низкорентабельные проекты
• Высокорентабельные проекты |
|
|
Продолжение табл. 2.2 |
|
Признаки классификации |
Группы инвестиций |
|
По сроку окупаемости |
• Неокупаемые
• С окупаемостью в краткосрочном периоде (до 1 года)
• С окупаемостью до 5 лет
• С окупаемостью в долгосрочной перспективе (свыше 5 лет) |
|
По величине и качеству денежного потока |
• С нефинансовыми результатами реализации
• С преобладанием оттока денежных средств
• С положительным денежным потоком
• С денежным потоком, генерируемым преимущественно в первой половине срока реализации |
|
По степени диверсификации в портфеле инвестиций |
• Проекты, рентабельность которых меняется под воздействием одних и тех же факторов риска противоположно друг другу
• Проекты, результаты которых никак не взаимосвязаны с идентичными факторами риска
• Проекты, рентабельность которых изменяется синхронно
под воздействием одинаковых факторов риска |
|
По объемам инвестирования |
• Крупномасштабные
• Средние капиталовложения
• Незначительные капиталовложения |
|
По частоте возникновения потребности в инвестировании |
• Единовременные капиталовложения
• Долговременные капиталовложения
• Периодические капиталовложения
• Циклические капиталовложения
• Сезонные капиталовложения |
|
По отношению к корпоративной стратегии |
• Стратегически направленные
• Тактические
• Оперативные |
|
По охвату планирования |
• Незапланированные
• Реализуемые в рамках утвержденного инвестиционного бюджета |
|
|
Окончание табл. 2.2 |
|
Признаки классификации |
Группы инвестиций |
|
По месту принятия управленческих решений |
•Санкционируемые только комиссией по утверждению инвестиционного бюджета, состоящей из представителей высшего руководства компании • Капиталовложения, решения о которых принимаются менеджерами среднего
уровня управления |
|
По способу производства строительных работ |
• Капиталовложения, выполняемые подрядным способом
• Капиталовложения, выполняемые хозяйственным способом |
|
По отраслевой принадлежности |
• Проекты, реализуемые в промышленности, сельском хозяйстве, торговле, сфере бытовых услуг, транспорте и пр. |
С характеристикой инвестиций связаны показатели прибыль, срок окупаемости, поток наличности, приведенная стоимость, внутренняя окупаемость и др. Однако все эти показатели результативности следует сопоставлять с риском их достижения или риском потери инвестиций.
МЕНЕДЖМЕНТ ЗНАНИЙ
Что имеете хорошего, то не забывайте, а чего не умеете, тому учитесь — как отец мой, дома сидя, знал пять языков, оттого и честь от других стран. Ученость ведь всему мать:
что кто умеет, то забудется, а что не умеет, тому не научится.
Владимир Мономах «Поучения сыновьям».
3.1. Понятие управления знаниями
Не ставьте себя на пьедестал — неоткуда будет падать.
Кришнамурти, индийский философ
В каждую эпоху познание имело специфическое значение. Средневековые ученые не стремились к новым познаниям. Их целью было построение логичных рассуждений, комментирование единственно признаваемых источников: Библии и трудов Аристотеля или его современников. Исследовательское естествознание в современном представлении было обоснованно Галилео Галилеем. Он фактически отказался от книг античных авторов и стал самостоятельно наблюдать движение звезд. Выявленные закономерности Галилей воспроизводил в экспериментах. Мир становился предсказуемым и тем самым управляемым. Начался расцвет прикладных знаний.
Современная экономика — экономика знаний, где на профессии с преобладанием интеллектуального труда приходится основной прирост занятости: 85% — в США, 89 — в Великобритании, 90% — в Японии. Экономика знаний стала главной характеристикой всех социально и экономически лидирующих стран. Возник новый, компьютерный технологический способ производства. Рабочая сила превратилась из преимущественно промышленной в «информационную рабочую
3. Менеджмент знаний_85
силу». В 1960-е гг. США за 10 лет удвоили выпуск специалистов в области науки и техники, а в период 1965-1985 гг. увеличили выпуск специалистов в области вычислительной техники в 10 раз. Самое большое хранилище знаний — библиотека конгресса США в Вашингтоне — разрослось до 112 млн книг и документов.
В период с 1984 по 2000 г. было создано 442 тыс. рабочих мест для ученых-естественников, 600 тыс. — для инженеров, 1 млн 389 тыс. — для техников. При общем увеличении числа рабочих мест на 25% занятость специалистов в сфере высоких технологий увеличится на 4075%. Знание становится четвертым фактором производства, и его значимость становится приоритетнее, чем ресурсы, капитал, труд.
Человеческой жизни не хватает для охвата всех знаний. Универсально образованных людей уже нет. Современное средство общения Интернет • позволяет приобщиться к знаниям всего современного человечества.
Цель менеджмента знаний — сохранение, воспроизводство, наращивание, организация использования знаний.
- Знания — это своеобразный объект. Интеллектуальный потенциал фирмы нельзя продать или купить. Можно продать отдельный патент, технологическую инструкцию, но весь комплекс знаний, распределенный между персоналом и информационными базами, продать невозможно. Это не только отдельные результаты, но и налаженные механизмы внутреннего взаимодействия подразделений и персонала, внешнего взаимодействия с партнерами, опыт ранее выполненных работ. Необходимым условием выживания фирмы в условиях жесткой конкуренции является наличие актуальной системы знаний и своевременное ее использование.
Управление знаниями — это не отдельно взятый программный продукт по поддержке базы данных, это стратегия управления государством, регионом, предприятием, ориентированная на развитие и максимальное использование своего интеллектуального потенциала. Управление знаниями — это организация управленческих действий на базе всей совокупности интеллектуальных, информационных и программных ресурсов. С учетом специфики состава информации и методов управления выделяют уровни управления знаниями: международный, национальный, отраслевой, внутрифирменный, индивидуальный.
В структуре знаний организации можно выделить элементы:
• систему методов принятия управленческих решений;
• систему методов принятия технологических решений;
• систему методов принятия конструкторских решений;
• банк конструкторских решений (чертежей);
• банк выполненных ранее проектов;
• банк отраслевых разработок;
• имеющиеся уникальные решения, защищенные правами собственности организации;
• инструкции по ведению работ;
• систему формальных и неформальных связей внутри организации;
• систему внешних формальных и неформальных связей организации;
• знания отдельных работников.
Ресурсы знаний специфичны по отраслям деятельности, но, как правило, они включают базы данных о продукции, конкурентах, технологиях и партнерах, научно-технические новости, типовые управленческие и инженерные ситуации.
Знания организации сосредоточены в головах сотрудников, в базах данных, правилах выполнения служебных процедур, в архивах информации. Информацию на большинстве носителей можно перевести в память компьютера и распространить по сети. Часть знаний передается от человека к человеку, и они не задействованы в полной мере. Необходимы специальные мероприятия для выявления уникальных способностей сотрудников и разработка способов их сохранения в потенциале компании.
Фирмы IBM и Lotus предложили формулу управления знаниями. Эта формула сконцентрирована в трех словах: «Люди, Место и Информация»- (People, Place and Things). Иначе говоря, решения по управлению знаниями подразумевают наличие продуктов, которые обеспечивают поиск нужных Людей, предоставление им общедоступного виртуального пространства (Места), и обеспечивают управление Информацией, которыую эти люди ищут или создают. Раскроем чуть подробнее смысл этой формулы.
С какой бы проблемой организация в целом или отдельные ее сотрудники не сталкивались, всегда есть люди, такие как коллеги, партнеры, заказчики и просто друзья, которые являются экспертами по данной конкретной проблеме. Поэтому технологии управления знаниями должны обеспечивать средства автоматического определения того, кто является экспертом в какой области, эффективной поиск такой экспертизы, информирование о том, кто из идентифицированных экспертов находится в сети и средства взаимодействия с ними (в том числе и в режиме онлайн).
3. Менеджмент знаний_87
Существуют сообщества, в которых люди обмениваются информацией и знаниями. В большинстве случаев сообщества существуют как в физическом, так и в виртуальном пространстве. Такие сообщества (места) могут быть созданы посредством приложений для совместной работы, которые люди могут использовать для взаимодействия, обмена идеями, постановки вопросов и поиска ответов. Б этих местах «нужный разговор» может состояться, а в идеальном случае в них есть приемы и методологии, которые способствуют эффективному общению.
Существуют структурированные и не структурированные элементы информации, которую люди создают, собирают, классифицируют и обмениваются. Информация включает в себя в том числе документы, правила, процессы и процедуры, которые компания использует. Фактически они находятся в фокусе большинства инструментов по управлению знаниями, которые помогают людям работать с данными всевозможными различными способами — от поиска данных до визуализации и анализа контекста.
Знания проходят этапы трансформации: создание, хранение, передача, использование. Создание — это поиск, обобщение, фиксация, развитие, осмысливание, представление в новом виде знаний. Сохранение — это преобразование, кодировка, накопление и представление знаний на информационном носителе, внесение в информационные базы. Передача знаний — это процесс переноса знаний между информационными базами, техническими средствами, людьми. Реализуется передача знаний в виде технической операции, обучения персонала. Использование знаний предполагает их вовлечение в процесс выработки решений, дальнейшее наращивание.
Можно выделить две группы решений по обслуживанию базы знаний:
• стационарные решения;
• динамические решения.
Стационарные решения связаны с сохранением, наращиванием и обновлением базы знаний. Динамические решения ориентированы на управление потоками знаний. Здесь можно выделить «навязывание» знаний персоналу под конкретную ситуацию, возникающую у управленческого или инженерного работника; «разведку» знаний и их обработку для поддержки будущих решений; обеспечение инициативного доступа персонала к базе знаний; поиск комплекса поддерживающих знаний под конкретное задание («вытягивание» знаний).
Поддержка системы знаний осуществляется с помощью систем баз данных, экспертных систем, систем поиска, электронной почты, интеллектуальных систем.
Из организационных мероприятий, поддерживающих систему управления знаниями организации, выделяются:
• активизация внимания персонала к объекту «знания»;
• создание специфических программных средств;
• инвентаризация архивов знаний организации;
• создание банка экспертов— уникальных носителей знаний;
• построение электронных сетей внутри организации;
• обеспечение связи с общемировыми сетями и базами знаний;
• организация системы обучения персонала с целью обмена, наращивания и сохранения знаний;
• организация системы интеграционных работ в ходе текущей деятельности, как инструмента обучения, обмена и наращивания знаний.
3.2. Технология внутрифирменного управления корпоративными знаниями
Мало зарегистрировать наблюдение, учесть результат анализа, надо уметь их истолковывать... Далеко не все данные поддаются количественному учету. Нюх, острый глаз, гениальная догадка — без них не обойдешься.
А. Мору а
Представление знаний определяет интеллектуальные технологии управления в организации. Попытки формализации знаний начались еще в древней философии. Ученые Вавилона разработали сложную совокупность правил типа «если — то» для описания взаимосвязи явлений. Более 2 тыс. лет назад Аристотель начал развивать традиционную логику. Декарт доказывал, что эмпирическое знание может быть построено так же, как и математические теоремы.
Логика Д. Буля и де Моргана стала первой формальной логической системой со строгой аксиоматикой. На ее базе была построена система логики предикатов (1879 г.) и затем логическое программирование. Дополненная методом интерпретации, разработанным в 30-е гг. Дж. Эрб-раном, логика предикатов стала использоваться для доказательств путем логического вывода.
89
До начала XX в. развитие логики и биологии привело к накоплению знаний о процессах мышления, развитию и утверждению логической и нейронной доктрин.
Появление вычислительных машин подтолкнуло разработки искусственного интеллекта. А. Тьюринг предполагал, что вычислительные машины должны не только обрабатывать данные, но и моделировать процесс рассуждения. Он ввел алгоритмические модели рассуждений. Термин «искусственный интеллект» был впервые введен в 1956 г. Дж. Маккарти, ученым из Массачусетского технологического института, что фактически определило появление новой науки. Через четыре года Дж. Маккарти представил язык функционального программирования LISP, предназначенный для решения сложных задач. В 1956 г. группа ученых университета Карнеги-Меллон предложила первую интеллектуальную систему типа GPS (General Problem Solver) на эвристических правилах, использующую принципы логического вывода. Концепция знаний начала развиваться с момента появления первой экспертной системы DENDRAL, созданной в Стэнфордском университете. В ней использовались знания в форме продукции Поста, а программирование проведено на LISP. Далее последовали разработки целевых экспертных систем: AMLInter (первая медицинская система), МYCIN (медицинская система на неточных знаниях), PROSPECTOR (географическая система на неточных знаниях) и др.
В 1972 г. А. Кальмероер и Руссель разработали язык логического программирования PROLOG, который в некоторых модификациях используется и в настоящее время для написания интеллектуальных программ. Язык отличается использованием развитого интепретатора логических программ, основанного на методе резолюции Робинсона, простотой программирования.
Следует признать, что стремление найти более «интеллектуальную*-работу для компьютеров не так уж ново. Уже почти 50 лет существуют два альтернативных подхода, зародившихся почти одновременно. Один из них, «Искусственный интеллект», приобрел особую популярность (можно сказать, был в моде) в 70—80-е гг.
Чуть раньше, чем искусственный интеллект, возникло направление, рассматривающее компьютер как инструмент, способный к самостоятельной деятельности. Оно родилось на семинарах Ноберта Винера в Массачусетском технологическом институте, а с его развитием связывают такие имена, как Джозеф Ликлайдер, Робер Тейлор, Даг Эн-гельбарт и многие другие. Именно их работы в конечном итоге привели к появлению современных интерактивных средств (экран, мышь, клавиатура и все остальное). Опубликованные в 60-е гг. статьи, посвященные проблемам взаимодействия человека с машиной и интерпретации компьютера как коммуникационного устройства, не потеряли актуальности и поныне. В них предвосхищена та роль, которую сегодня играют технологии, обеспечивающие КМ. Дж. Ликлайдер и Р. Тэйлор значительно опередили свое время, ведь только сейчас появилась реальная возможность превратить компьютер в устройство, предназначенное помочь в интеллектуальной работе.
Разработка интеллектуальных систем, оперирующих с естественными языками, понятиями и смысловой информацией, началась в 70-х гг., что привело к представлению знаний в виде семантических сетей. Развитию этих систем способствовало предложение М. Минским в 1975 г. о представлении знаний в виде фреймов.
Появление в 80-е гг. объектно-ориентированного программирования: позволило создавать интеллектуальные системы со сложными базами: знаний, имеющими сетевую структуру, в которой носителем знаний-был объект, объединяющий правила их связывания и процедуры их обработки. Такой подход явился принципиальным скачком и позволил преодолеть ограниченные возможности фреймовых систем. Языки объектно-ориентированного программирования CLOS (Comon Lisp Object Sistem), LOOPS (Lisp Oriented Object Programming Sistem) и другие специально ориентированы на работу со знаниями. Они позволяют разрабатывать объектные интеллектуальные системы с сложной структурой знаний. Но одновременно они стали ступенью при переходе к концептуальному программированию.
Из последних разработанных систем следует отметить японскую программу ІСОТ, разработки японских ученых по усовершенствованию языка PROLOG, обучающуюся интеллектуальную систему IRISCO (1985 г.). Эти системы позволяют в процессе работы формировать новые знания в определенной предметной области. Как показывают многолетние исследования, интеллектуальные системы символьного типа требуют возможностей современных суперЭВМ, сетевой организации совместно работающих процессоров. В рамках совершенствования ЭВМ шестого поколения появляются системы, обеспечивающие решение задач без программирования за счет способности к обучению по примерам и самообучения но определенным критериям.
Documentum известна как один из ведущих поставщиков технологий индустриального управления документов для корпоративных информационных систем. Созданная в 1990 г., сегодня она имеет более 900 крупных заказчиков, большинство которых входят в список
Global 2000. Технологии Documentum изначально строились на использовании объектно-ориентированного подхода в реализации архитектуры информационных систем. Это позволило эволюционным путем расширять сферу применения ее продуктов, в динамике развития которых можно выделить несколько ключевых этапов: поддержку бизнес-процессов, интеграцию с ERP-системами, создание вертикальных решений.
В апреле 2000 г. компания представила на рынке новое поколение продуктов «Documentum 4і», являющееся платформой для разработки законченных решений по управлению знаниями, документами и бизнес-процессами предприятия. Платформа позволяет объединить всю критически важную деловую информацию в едином хранилище, управлять процессами создания, обработки и распространения информации, ее жизненным циклом, публикацией документов на веб-сайтах и обеспечивать доступ к корпоративной информации через Интернет. «Documentum 4i» управляет электронными документами любого формата, имеет сертифицированные интерфейсы с ERP, CAD/CAM-системами, обеспечивает поддержку web-технологий и прозрачную интеграцию с коммерческими приложениями электронного бизнеса.
Эти функциональные возможности обусловливают применение «Documentum 4i» для решения широкого спектра задач по обработке неструктурированной информации. Это задачи создания корпоративного хранилища электронных документов, управления организационно распорядительными документами, сбора и консолидации корпоративной отчетности, управления качеством продукции и услуг, управления конструкторской и проектной документацией, коллективной разработки проектов, динамического управления содержимого веб-сайтов, построения корпоративных информационных порталов и информационного обеспечения приложений электронного бизнеса. Решения на платформе «Documentum 4із> обеспечивают создание единой информационной среды, в которой независимо от географического места расположения взаимодействуют сотрудники и различные подразделения предприятия, его партнеры, поставщики и заказчики. Среди предприятий, внедряющих эти решения во всем мире, — промышленные, фармацевтические, телекоммуникационные предприятия, финансовые институты, конструкторские бюро, автомобильные и другие компании, где очень важно эффективное управление внешними и внутренними информационными потоками и обеспечение быстрого доступа ко всей совокупности управленческой, финансовой, инженерной, коммерческой и технической документации.
Все предприятия обладают огромным объемом данных и накопленным практическим опытом. Сегодня условием предпринимательского успеха становится прежде всего совокупность актуальных знаний. Узнать первым и узнать больше — это залог прибыльной работы. Экономическое лидерство многих предприятий объясняется главным образом приоритетом в использовании информационных технологий. Современные информационные технологии, построенные на базе компьютерного интеллекта, играют ключевую роль в развитии предприятий.
В число основных технологий, поддерживающих КМ, входят:
• добыча данных и текстов (Data mining, Text Mining) — распознавание образов, выделение значимых закономерностей из данных, находящихся в хранилищах или входных или выходных потоках. Эти методы основываются на статистическом моделировании, нейронных сетях, генетических алгоритмах и др.;
• системы управления документооборотом (Document management) — хранение, архивирование, индексирование, разметка и публикация документов;
• средства для организации совместной работы (Collaboration) — сети intranet, технологии группой работы, синхронные и асинхронные конференции;
• корпоративные порталы знаний;
• средства, поддерживающие принятие решений (Decision support), — экспертные системы, системы, поддерживающие дискус-' сионные группы и т. д.
По данным одного из отчетов списка «Fortune 1000», 40% компаний имеют специального сотрудника, ответственного за создание инфраструктуры и развитие культуры совместного использования знаний (Chief Knowledge Officer). Управление знаниями — это новое, бурно развивающееся направление менеджмента. За последние годы управление знаниями в различных публикациях отождествляли с информационными системами бизнеса, корпоративными порталами, экспертными системами, системами обучения и т. д.
Объем знаний организации не является стабильным. Имеющиеся знания требуют сохранения и обновления. Новые знания требуют поиска, формализации и сохранения. Поиск знаний непосредственно связан с повышением эффективности деятельности. Требуется отказаться от «изобретения колеса», но постоянно обновлять и формировать новые знания.
Основными моделями организации доступа к знаниям являются: модель «сокровищница», модель «указатель».
Модель «сокровищница» ориентирована на накопление интеллектуального капитала и создание механизма доступности. В этих условиях предполагается, что знания могут успешно сохраняться, фиксироваться в документах и многократно использоваться. Инструментами модели «сокровищница» могут выступать базы данных, простые экспертные системы. Такая модель позволяет сохранить интеллектуальный капитал в случае ухода сотрудника, дает оперативный доступ к интеллектуальному капиталу компании.
Модель «указатель» ориентирована на объединение людей, заинтересованных в наращивании знаний. Аспекты знаний, которые не зафиксированы документально, можно получить только в процессе общения (конференции, встречи, электронные форумы, индивидуальные информационные сети). Некоторые эффективные методы тяжело зафиксировать документально. Необходимо говорить непосредственно с человеком — носителем знаний. Модель «указатель» не требует больших затрат на поддержание, дает оперативный результат, но требует постоянных усилий для кооперации персонала.
Каждая из моделей имеет свои преимущества и недостатки.
В технологии управления знаниями выделяются несколько ключевых потоков. Проектировщик разрабатывает машину, и ему необходимо найти соответствующую информацию, для чего привлекаются средства информационного поиска по запросу. В текущей инженерной деятельности при решении определенной задачи система управления знаниями предоставляет дополнительную информацию, выбирая ее по системе типовых ситуаций (поддерживая принятие решения). Используя машиночитаемые знания, экспертные системы подводят пользователя к рекомендованным решениям. Новая информация, поступающая в базу знаний организации, доводится до сотрудников в виде информационного сообщения с целью возможного использования и оценки полезности. В первом случае информация вытягивается из базы знаний, в остальных навязывается возможному потребителю.
Наращивание знаний предполагает пополнение базы за счет поиска вне организации и фиксирования материала в собственной базе информации или обучение персонала новым знаниям.
Система поиска информации — одна из трудно формализуемых процедур. В ее основе лежит, как правило, технология OLAP (online analytical processing). Для анализа важны не только показатели в виде цифр, но текстовая информация из различных файлов. Имеющиеся программные средства имеют двух-, трехуровневую структуру и базируются на четкой классификации знаний. Разведка знаний представляет собой новое направление, использующее методы искусственного интеллекта, математики, статистики, программирования. Фактически это нетривиальное извлечение точной, ранее неизвестной и потенциально полезной информации. Разработано множество решений для управления информационными ресурсами предприятия, но собрать воедино все составляющие — задача трудоемкая. Система управления знаниями должна стать частью повседневного трудового процесса, не требуя от сотрудников дополнительных знаний о самой системе, но она должна быть прозрачным объединительным элементом, органично интегрированным в рабочую среду предприятия.
Библиотека данных отличается от традиционной базы данных тем, что это скоординированная совокупность.
Документы являются контейнерами, которые заключают в себе значительную часть знаний организации и в целом представляют собой один из самых значимых активов. Однако только управление документами обеспечивает эффективное использование знаний и опыта; Документы могут не только ответить на вопрос: «Что мы знаем?» но также и на вопрос: «Кто это знает?»
Библиотека знаний проектируется для поддержки процесса принятия решения, а не просто для хранения совокупности данных. Знаний отличаются от данных специфической структурой и дополнительны-1 ми свойствами, основными из которых являются:
• интерпретируемость;
• наличие классифицирующих отношений (отношения типа «элемент-множество», «тип-подтип», «ситуация-подситуация» и др.);
• наличие ситуативных связей.
Знания от просто набора информации отличаются наличием двух элементов в записи. Первый характеризует ситуацию и принятое решение, а второй — полученный результат. Совокупность оптимальных решений накапливается в процессе деятельности при решении конкретных задач. Если кто-то сталкивался с решением определенной проблемы, то ее решение можно обнаружить в базе знаний.
Знания в определенной предметной области при использовании их в системе объединяются в базы знаний подобно тому, как данные объединяются в базы данных. Знания не отвергают и не заменяют базы данных. Они оказываются разными уровнями представления информации.
.95
Базы знаний разделяются по виду и характеру представления. По виду выделяют декларативные и процедурные знания. По характеру представления разделяют структурное и параметрическое представление.
Декларативные знания состоят из множества описаний состояний и условий перехода между ними, которые имеют синтактический (символьный) характер и не содержат в явном виде описания исполняющих процедур. Вывод и принятие решений осуществляется процедурами поиска в пространстве состояний, которые учитывают семантику (смысл) конкретной предметной области.
Процедурные знания включают исходные состояния и описания процедур, обрабатывающих исходные знания при необходимости получения состояния полного множества производных знаний. Семантика вводится в описание процедур, генерирующих синтаксические знания.
Структурное представление знаний характеризует отношение фактов или объектов. Структура знаний может изменяться, за счет чего обеспечивается конкретизация при описании конкретной проблемной области.
Параметрическое представление знаний характеризуется фиксированной структурой и изменяемыми параметрами в фактах или объектах. Конкретизация знаний под задачу достигается настройкой параметров. Часть параметров используется для настройки связей или отношений.
Модель знаний — это представление системы знаний с помощью формализма, универсального математического аппарата. Может использоваться функциональный, логический, алгоритмический (алгоритма Тьюринга) и объектный (теория акторов) формализм. Модели знаний можно разделить на реляционные, объектные и ассоциативные.
Реляционная модель знаний задается в виде
(Г, Р, А, F),
где R — система отношений^-множество базовых элементов; Р — множество синтаксических правил, позволяющих строить из множества элементов Т синтаксически правильные выражения; A — множество априорно истинных выражений (аксиом); F—семантические правила вывода, позволяющие расширить множество А за счет других выражений.
В основе реляционной модели лежат теория отношений и логика. Для их построения используют дедуктивную (вывод на основе заданной системы посылок), индуктивную (вывод на основе обобщения примеров) и предикатную логику. Предикатная форма является наиболее строгой и доказательной. Базируется она на универсальном языке программирования PROLOG — оболочки интеллектуальных систем. Продукционная форма менее строгая. Она используется для представления знаний в виде имщцікатизиых отношений и связок типа «и» и «или» между фактами. Выводы в системе строятся через дедуктивную логику и процедуры эвристического поиска. Лингвистическая форма является развитием продукционной. Поодерживается она языками тина ATNL.
Объектная модель знаний задается в виде
N=(C, O,S,I),
где N — сеть объектов, связанных разными отношениями; С — множество классов объектов, связанных отношениями классов; О — множество объектов, связанных отношениями объектов; S — структура классов и объектов, определяющих конкретные связи между ними; I — правила преобразования объектов и вывода на сети объектов.
Объектная модель знаний представляется в семантической, фреймовой или универсальной форме.
В простейшем случае объект знаний — это понятие в узле семантической сети, связанное с другими подобными объектами различными отношениями. Такая форма представления знаний поддерживается специализированными языками типа NETL, ATNL. В более сложном случае объект знаний — это фрейм, содержащий декларативные знания и процедуры, позволяющие выполнить некоторые действия над ними. Для поддержки фреймовых систем используют языковые средства типа LISP, FRL, FMS. Универсальным вариантом объекта знаний является объект, содержащий данные или знания любого вида и имеющий процедуры, выполняющие любые действия над ними. Эта форма используется при разработке мощных распределенных сетевых систем знаний для моделирования, управления, проектирования. Программная поддержка универсальной формы осуществляется с помощью языков типа CLOS, LOOS, Smaltalk, C+ + .
Ассоциативная модель знаний задается в виде где Л — ассоциативная модель представления знаний; V — множество узловых элементов ассоциативной сети; С — множество контактных связей элементов; L — множество правил построения сети и определения параметров контактных связей; I — правила ассоциативного вывода.
В основе ассоциативной модели знаний лежит ассоциативная логика. Представляются знания в виде ассоциативной сети узловых элементов, имеющих контактные связи между собой в соответствии с решаемой задачей. Ассоциативный подход позволяет формировать знания путем обучения и обработки их в реальном масштабе времени.
Поиск знаний является неотъемлемым элементом работы каждого работника, занятого интеллектуальным трудом. Это может быть регулярный просмотр специальной литературы, знакомство с тематическими обзорами, поиск информации в информационных сетях и т. д. В рамках предприятия пополнение знаний строится как регулярная работа соответствующего программного обеспечения, которое «прочесывает» источники информации, производя логический анализ и выделяя необходимые сведения. Подобная система выполняет информационно-аналитическую работу. Она состоит из трех уровней. Первый уровень представляет собой файловый сервер, содержащий документы и классификаторы. Второй — состоит из пользовательского программного обеспечения, обеспечивающего доступ к системе. Третий — содержит логику, определяющую систему формирования документов и маршруты их доставки конкретным сотрудникам.
Выделение необходимых сведений может осуществляться через ключевые слова, типовые выражения, базовые числовые параметры.
Большинство современных методов поиска являются специальными инструментальными средствами. Широко известны средства поиска применяемые в системе Интернет ( Yahoo, Alta Vista, Excite, Infoseek). Они могут быть адаптированы для внутрикорпоративных нужд.
Системы навязывания знаний работают по принципу эвристических методов. Они пытаются по ключевым фразам сообщений пользователя «понять» его задачу и затем находить документы и записи, предугадывая его запросы.
3.3. Корпоративная цифровая библиотека
Факты — это воздух ученого.
Без них он никогда не сможет взлететь.
И. П. Павлов
Корпоративные цифровые библиотеки являются централизованными информационными техническими системами, позволяющими хранить, структурировать и обеспечивать доступ к суммарному итогу знаний корпорации, распределенному по документам, а часто и в базах 7-180 данных. CDL содержат большую разнородную совокупность знаний, основанных на документах; обеспечивают физическую инфраструктуру для безопасного хранения этих документов; предоставляют множество логических структур для размещения определенной информации в пределах физической инфраструктуры; обеспечивают соответствующие средства защиты для получения гарантии, что данные не будут удалены из библиотеки и не будут получены несанкционированным персоналом.
CDL отличаются от традиционных цифровых библиотек по следующим параметрам:
• CDL рассчитаны на обеспечение корпорации внутренней инфраструктурой интеллектуальной собственности на базе документов, а не на воспроизведение в электронной форме материалов на бумаге (хотя CDL и поддерживают цифровые изображения как категорию управляемых документов);
• CDL концентрируются на документах и метаданных: информация о документе, имя создателя, место документа в пределах знаний фирмы, уровень секретности, соответствующие перечни по распределению. Другими словами, понятие «каталог карточек» у CDL намного сложнее, чем это принято у библиотечных работников;
• CDL обеспечивают цельную инфраструктуру от зарождения документа до его конечного использования. Это означает, что в CDL обеспечивается инфраструктура информационной технологии по добавлению и извлечению материалов. Подобная инфраструктура надежнее по защите, чем традиционные цифровые библиотеки, и богаче по информации: собирается больше данных о том, кто что публикует и кто что использует в CDL по сравнению со средствами обычных библиотек;
• CDL проектируются не по стандартной схеме (как система классификации в Библиотеке конгресса или УДК, принятая в России), а в соответствии со специфичными ценностями внутри корпорации.
В CDL собирается информация, необходимая руководству для исследования «преимуществ применения знаний» («экономика знаний»), почти так же, как системы MRP собирают информацию, нужную для исследования, управления и «настройки» производственных мощностей предприятия; CDL создаются, для того чтобы фирма могла довести «представления» своей «библиотеки» до сведения поставщиков, партнеров по бизнесу и покупателей.
Субъектами CDL являются потребители, издатели, библиотекари и руководство.
Потребители регистрируют свое «пребывание» в цифровой библиотеке — CDL распознает их посредством электронного эквивалента библиотечной карточки и ведет учет ее использования для подготовки отчетов издателям и руководству.
Издатели создают документы и публикуют их в корпоративной цифровой библиотеке, предоставляя все данные, необходимые для построения электронного эквивалента элементов каталога карточек или библиографических баз данных на документы. В некоторых случаях издатели используют средства, не предусмотренные в CDL, в недрах которых происходит конвертация документов, созданных такими средствами, к одному или более форматам, поддерживаемым CDL.
Библиотекари отвечают за дизайн и структуру корпоративной цифровой библиотеки и за поддержку ее физической и логической инфраструктуры. Библиотекари устанавливают правила для издателей и потребителей и предоставляют руководству статистические сводки интенсивности применения CDL.
Руководство использует информацию, собранную с помощью CDL, для моделирования, практического осуществления и настройки процессов, создания и применения знаний корпорации. С помощью CDL руководство может определить:
• когда и кем созданы знания, их количество и качество;
• путь прохождения знаний;
• как используются знания, тем самым реально раскрывая скрытые преимущества применения знаний в работе.
Публикация документа. CDL начинает свою работу с процесса публикования документа, обеспечивая инфраструктуру для издателя, помещающего документы в CDL, независимо от программных и аппаратных средств, используемых для создания документа, категории документа (документ в текстовом редакторе, электронная таблица, изображение, презентация, звук, полномасштабное видео, программное обеспечение), местоположения издателя.
Технология публикации документа предусматривает сбор не только документов, но и всех метаданных на него, необходимых для облегчения доступа потребителей к документу и повышения эффективности его управления библиотекарями и руководством. К тому же CDL привносит свои собственные знания о том, кто из потребителей в фирме интересуется определенными категориями информации и кому не-
ІДй
обходимо с ней познакомиться, что требуется, в частности, для оповещения пользователей в соответствии с установленными ими параметрами о поступлении новых материалов в CDL.
Поиск, извлечение и модификация документов. CDL обеспечивает инфраструктуру для потребителей внутри корпорации для реализации поиска конкретных документов или областей знаний в CDL. Поиск может быть: а) низкоуровневым, например сканирование библиотеки целиком для получения всех документов, связанных с определенным потребителем; б) структурированным, скажем сканирование архива CDL для получения всех документов, опубликованных определенным автором по интересующему предмету за определенный период времени; в) навигационным — произвольный по форме поиск с использованием гипертекстовых навигационных моделей. В последнем случае происходит извлечение любого документа из библиотеки (при условии контроля за сохранностью данных) в форме, приемлемой для использования набором инструментальных средств компьютера потребителя. CDL облегчает работу с документами посредством хранения каждого из них не только в определенном формате, в котором он был создан издателем, но и в ряде канонических форматов, которые могут быть преобразованы любым интеллектуальным настольным компьютером в требуемый формат. Модификация любого документа в библиотеке может производиться за счет присоединения дополнительной информации к основному документу.
Инфраструктура информационной технологии, используемая потребителями, будет аналогична и для издателей — таким образом, служащим не надо переучиваться, если они сменили роль издателя на роль потребителя.
Как только процесс опубликования документа заканчивается и он попадает в поле контроля CDL, включаются механизмы, позволяющие библиотекарям физически и логически управлять каждым документом. Средства физического" управления предоставляют библиотекарям возможность оптимизировать инфраструктуру информационной технологии, формирующую среду CDL. Средства логического проектирования позволяют свести основную информацию в библиотеке к структуре, отражающей систему ценностей на и вне корпорации, а также множеству доступов к этой структуре, отражающих определенные нужды или организационные модели некоторых групп потребителей внутри фирмы.
Например, несмотря на то что структура CDL строится на основе модели внутренней сети корпорации и внешней системы ценностей, для многих служащих, даже в фирмах с матричной структурой управления или организацией производственного процесса на высоком уровне, все еще необходимо рассматривать корпорацию в качестве множества дискретных функций: производство, финансы, маркетинг и т. д. Либо другой взгляд на фирму как на сеть работников, каждый из которых вносит свой вклад в знания корпорации. А кое-кто все еще смотрит на базу документов в CDL через лупу множества продуктов или рынков компании. CDL должна быть достаточно гибкой, чтобы:
• поддерживать основную модель — сеть и систему ценностей;
• поддерживать создание множества профилей, логически перестраивающих множества документов;
• содействовать простому формированию детального представления множества документов для определенных служащих внутри фирмы;
• давать возможность частичного представления защищенных документов другим фирмам без потери интеллектуальной собственности.
CDL также обладает полным набором механизмов для усиления профилей безопасности на уровне документа, для отметки и отчета о событиях, происходящих с каждым документом, для автоматического удаления устаревших документов из библиотеки, для поддержки множественных версий любого документа по мере его редактирования, модификации, переиздания, удаления и для осуществления контроля различных типов документов, требуемого фирмой или такими внешними регулирующими органами, как ISO и SEC.
Хорошо спроектированная CDL обрабатывает любой тип знаний, представленных в электронном виде, — документ в текстовом редакторе, электронную таблицу, изображение, презентацию, звук, полномасштабное видео, программное обеспечение, сообщения электронной почты. Если потребитель научится представлять любой продукт с помощью CDL, выражая его через документ, который может быть опубликован, описан или зарегистрирован, деятельность фирмы мгновенно улучшится. Причем инфраструктура информационной технологии будет гораздо проще, чем если бы корпорация вкладывала средства в информационные технологии для работы с каждым подклассом документов в отдельности.
Кроме того, CDL может управлять ассоциативными документами, представляющими некоторые реальные объекты, которые нельзя выразить в цифровом виде:
• расписание использования общих материальных ресурсов предприятия, а именно конференц-залы, парк автомобилей и т. д.;
• характерные черты и квалификацию сотрудников;
• инструкции для создания стандартных055-отчетов со складов и торговых центров фирмы.
Так как CDL управляет многочисленными типами данных документов и предусматривает возможность изменения набора инструментальных средств на рабочем месте своих субъектов, то документы могут храниться в CDL как в естественном формате (формат, в котором они были первоначально опубликованы), так и в канонических форматах, определенных библиотекарями и используемых для передачи документов по всей фирме, независимо от набора инструментальных средств на конкретном рабочем месте служащего корпорации. В некоторых случаях каноническая форма хранится в CDL (например, когда речь вдет о многотомном документе); в других хранится ассоциативный документ, содержащий набор инструкций для создания канонической формы.
Вызывающие параметры. Каждому документу присваивается вызывающий параметр — идентификатор, являющийся уникальным не только в CDL корпорации, но в любой другой CDL, что возможно, например, при использовании UNR (Uniform Resource Number), применяемого в Internet. Этот параметр отличается от аналогичного в обычной библиотеке тем, что он сам не является носителем метаданных, служит в качестве средства для отслеживания, адресации и контроля документов на индивидуальном уровне.
В перечнях структурированы совокупности свойств, разрешений, условий и инструкций, которые могут создать группы документов или прилагаться к документам или группам документов. Обычно перечни в среде CDL включают:
• перечни по уведомлению и дистрибутивам (список потребителей, желающих получить уведомление в случае, когда определенный документ, группа документов или категория данных в CDL пополняется или изменяется);
• перечни по проверке (список служащих, просматривающих или одобряющих документ до того момента, как он становится официально частью совокупности знаний фирмы). CDL автоматически включит документ в перечни по проверке, где он будет находиться до тех пор, пока эксперты не представят уведомление в CDL об одобрении документа (например, используя свои персональные цифровые подписи для уникальной идентификации и отслеживания);
• перечни событий (список документов, представляющий непосредственный интерес для библиотекарей и руководства, желаю-
103
щих получать уведомление, когда документ был затребован, изменен, устарел и выведен из системы, заблокирован или выведен из обращения);
• предметные перечни (предметы, ключевые слова и темы, с которыми может быть связан любой документ);
• перечни классов безопасности (список категорий безопасности (открытые, секретные, отражающие конъюнктурные колебания), в зависимости от которых регулируется распространение определенных документов);
• перечни управляющих воздействий (список воздействий — архив, версия, блокировка, которые должны быть произведены на определенные типы документов для внутреннего процесса или внешних регулирующих причин);
• перечни для контроля за доступом (списки потребителей, имеющих или не имеющих доступа к определенным документам).
Сами перечни управляются как документы, находящиеся в ведении библиотекарей и подчиненные определенным типам отслеживания событий. Механизмы CDLдолжны быть достаточно гибки для поддержки любого типа перечня, необходимого для управления документами в CDL
Для создания корпоративных цифровых библиотек применим ряд следующих технологий:
• традиционные СУБД;
• средства организации деятельности рабочих групп;
• системы класса workflow;
• технология WWW.
3.4. Методы принятия решений в моделях знаний
Идти к цели через опыты и учиться на ошибках.
Эдисон
Методы принятия решений предусматривают логический вывод, вывод в сетях объектов, ассоциативный вывод. Логический вывод может быть строгим, использующим формальные системы, или нестрогим, допускающим эвристические процедуры. Вывод на сетях осуществляется с использованием процедур наложения, сопоставления, наследования, передачи сообщений и специальных присоединенных процедур. В ассоциативных сетях производится обучение выводу с помощью многократного ассоциативного процессирования примеров правильного вывода.
Интеллектуальные системы с обучением разделяются на две группы: логические и коннективистские. Первые в результате обучения накапливают знания в виде логических отношений, вторые — в виде ассоциативных отображений с настраиваемыми связями элементов.
Примерами систем с индуктивным обучением являются система Рада и система Форсайта BEAGLE.
Система Рада базируется на методе параметрического обучения, который позволяет формировать продукционные правила с коэффициентом уверенности и весами в виде регулируемых порогов срабатывания правил. Веса-пороги регулируют срабатывания правил, которые могут иметь место только при превышении установленного порога по коэффициенту уверенности условия. Веса-ослабления связаны с заключениями правил и используются для их ослабления, если заключение получено при слишком большой уверенности: вес, меньший единицы, умножается на коэффициент уверенности заключения. В этом методе обучения наиболее трудоемкой работой в предварительной настройке системы является создание множества упорядоченных пар начальных (условий) и конечных (заключений) суждений с их коэффициентами уверенности. В результате обучения при небольшом количестве циклов раздачи сообщений и регулировки весов создается множество правил, адекватных парам суждений. В системе Рада используется несколько уровней правил и несколько форм эвристик обучения.
Система BEAGLE использует эволюционный подход, называемый генетическим алгоритмом. Он позволяет подбирать не только параметры системы, но и ее структуру. Набор продукционных правил базы знаний системы может быть оптимизирован в процессе работы генетического алгоритма исходя из некоторого случайно выбранного набора этих правил и критерия соответствия набора решаемой задачи.
3.5. Классификация систем электронного управления документами
Не всякое продолжение есть развитие.
Г. Бальтасар
Системы электронного управления документами (ЭУД) обеспечивают процесс создания, управления доступом и распространения боль-
3. Менеджмент знаний_105
ших объемов документов в компьютерных сетях, а также обеспечивают контроль над потоками документов в организации. Часто эти документы хранятся в специальных хранилищах или в иерархии файловой системы. Типы файлов, которые, как правило, поддерживают системы ЭУД, включают текстовые документы, образы, электронные таблицы, аудио-, видеоданные и документы Web. Общими возможностями систем ЭУД являются создание документов, управление доступом, преобразование и безопасность.
Сегодняшние предприятия требуют распределенной архитектуры управления документами, т. е. такой, которая удовлетворяет следующим требованиям (кроме чисто технических: масштабируемость, надежность и управляемость):
• автоматическая поддержка распределенного управления различными информационными материалами на протяжении всего их жизненного цикла, от создания до рецензирования, утверждения, распространения и архивирования;
• гибкость управления доступом ко всему спектру документов, от электронной почты до дискуссионных баз данных, от видеоклипов до формализованных документов всех типов;
• возможность обеспечения мгновенного доступа к документам через Web-браузеры, настольные приложения и другие общедоступные типы клиентов;
• открытая, расширяемая архитектура;
• доступность широкого спектра дополнительных технологий.
Выделяют шесть категорий систем электронного управления документами:
1) системы, ориентированные на бизнес-процессы (Business-process EDM): Documentum, FileNet (Panagon и Watermark), Hummingbird (PC DOCS);
2) корпоративные системы ЭУД (Enterprise-centric EDM): Lotus (Domino.Doc), дополнения к Novell GroupWise, Opent Text (LiveLink), Keyfile Corp., Oracle (Context);
3) системы управления контентом (Content management): Adobe, Excalibur;
4) системы управления информацией (порталы) (Information Management): Excalibur, Oracle Context, PC DOCS/Fulcrum, Verity, Lotus (Domino/N otes, K-station);
5) системы управления образами (Imaging);
?—180
6) системы управления потоками работ (Workflow management): Lotus (Domino/Notes и Domino Worflow), Jetform, FileNet, Action Technologies, StaffWare.
Системы ЭУД, ориентированные на бизнес-процессы, как правило, предназначены для специфических вертикальных и горизонтальных приложений, иногда ориентированные на использование в определенной индустрии. Эти решения, как правило, обеспечивают полный жизненный цикл работы с документами, включая технологии работы с образами, управления записями и потоками работ, управление контентом и т. д. Примерами подобных систем являются системы делопроизводства и системы документооборота.
Системы делопроизводства обеспечивают работу с электронными версиями документов и реквизитами регистрационно-контрольных форм в соответствии с принятыми в стране правилами и стандартами делопро^ изводства.
Системы документооборота обеспечивают строго регламентирован -ное и формально контролируемое движение документов внутри и вне организации на основе информационных и коммуникационных технологий. Если основным назначением систем делопроизводства является документальная регистрация тех или иных свершившихся действий и событий (например, «документ принят к исполнению», «документ передан на исполнение конкретному сотруднику», «на документ дан соотр ветствующий ответ» и т. д.) в соответствии с принятыми правилами, то системы документооборота не только регистрируют действия и события, но и поддерживают сами процессы работы над документами.
Корпоративные системы ЭУД обеспечивают корпоративную инфраструктуру для создания, совместной работы над документами и их публикации, доступную, как правило, всем пользователям в организации. Основные возможности этих систем аналогичны системам, ориентированным на бизнес-процессы. Однако их отличительной особенностью является способ использования и распространения. Аналогично таким средствам, как текстовые редакторы и электронные таблицы, корпоративные системы ЭУД являются стандартным «приложением по умолчанию» для создания и публикации документов в организации. Как правило, эти средства не ориентированы на использование только в какой-то определенной индустрии или для узко определенной задачи. Они предлагаются и внедряются как общекорпоративные технологии, доступные практически любой категории пользователей.
Системы управления контентом обеспечивают процесс отслеживания создания, доступа, контроля и доставки информации вплоть до
107
уровня разделов документов и объектов для их последующего повторного использования и компиляции. Доступность информации не в виде документов, а в виде меньших объектов облегчает процесс обмена информацией между приложениями.
Системы управления информацией, называемые также порталами, обеспечивают агрегирование, управление и доставку информации через сети Internet, intranet и extranet. Эти технологии обеспечивают фундамент создания информационных порталов. Системы управления информацией дают возможность организациям накапливать и использовать экспертизу в распределенной корпоративной среде на основе использования бизнес-правил, контекста и метаданных.
Системы управления образами преобразуют информацию с бумажных носителей в цифровой формат, как правило, это TIFF (Tagged Image File Format), после чего документ может быть использован в работе уже в электронной форме.
Системы управления потоками работ (workflow) обеспечивают систематическую маршрутизацию работ любого типа в рамках структурированных и неструктурированных бизнес-процессов. Они используются в целях ускорения бизнес-процессов, увеличения эффективности и степени контролируемости процессов в организации.
3.6. Оценка возврата от инвестиций в технологии электронного управления документами
Мы как бы умножаем свое существо, когда можем запечатлеть его в памяти других; мы приобретаем таким образом новую жизнь, и она становится для нас столь же драгоценной, как и полученная от неба.
Ш. Монтескье
Питер Ф. Друкер выделяет два главных специфических свойства знаний работника. Первое заключается в том, что работник сам, причем безраздельно, владеет своими собственными «средствами производства»: неразрывно принадлежащими ему интеллектом, памятью, знаниями, инициативой, личным опытом, которое обычно называют «скрытым». Это создает владельцам предприятий немалые сложности. Они немало озабочены тем, как и каким образом отчуждать эти скрытые знания и превращать их в «явные», зафиксированные и перенесенные на те или иные типы носителей. Кроме того, возникает сложность с тем, что, уходя из компании, работник уносит с собой свои неотчужденные знания. Значит, следует еще привязывать работника к своему предприятию, чтобы избежать утечки мозгов, превращая, например, его в совладельца. Сделать скрытое знание явным — социальная функция менеджмента знаний.
Вторая особенность работника, по мнению Друкера, заключается в том, что он вне зависимости от квалификации может эффективно работать только в составе коллектива. Работник знаний — вовсе не какой-то ученый-одиночка, уникальный творец или управляющий, это обычный соучастник общего корпоративного дела, продуктом которого являются знания. Отсюда следует очевидная необходимость в создании технологического обеспечения данной категории работников, подобного станкам и инструментам индустриальных работников. Эту функцию менеджмента знаний можно назвать технологической.
Экономические предпосылки к развитию менеджмента знаний можно тоже разделить на две категории. Первая связана с многочисленными, но, увы, бесплодными попытками обосновать экономическую целесообразность (или наоборот нецелесообразность) информационных технологий, не выходя при этом за рамки традиционных экономических представлений. Обычно для оценки экономической эффективности используется показатель «возврат от инвестиций» (return on investment — ROI). Однако он неприменим к информационным технологиям уже в силу немате-риальности их предмета. Не принимая это во внимание, не разобравшись в сути явления, начиная с 80-х гг., многие именитые экономисты стали критически высказываться по поводу экономической целесообразности информационных технологий. Они нашли для этого образное выражение в так называемом парадоксе продуктивности и «компьютерном парадоксе», содержательный смысл которого сводится к тому, что в КОМпьютеры и другие сопутствующие технологии инвестируются миллиарды или даже триллионы долларов, а достоверных данных о полученном экономическом эффекте нет.
Пол Страссман в течение долгих лет был руководителем ИТ-служб крупных государственных и частных предприятий. Основав же свою собственную компанию, он посвятил себя анализу того, чему служил всю жизнь (книга «The Squandered Computer», 1996 г.). Начав исследования как критик существующего положения дел, он пошел дальше других. Решение парадокса он нашел в том, что экономическая оценка информационных технологий должна строиться не так, как в других отраслях, и прежде всего с учетом знания как экономического фактора. Сами по себе технологии не прибыльны — прибыль приносят операции над знаниями.
109
К такому же выводу можно прийти, отталкиваясь от концепции «интеллектуального капитала». Наиболее интересные работы в этой области принадлежат Томасу Стюарту. Его подход основывается на констатации того факта, что капитал практически любого современного предприятия в основном нематериален. В биржевой стоимости высокотехнологических компаний до 95% выпадает именно на эту виртуальную часть. Сегодня только в добывающей промышленности и в тяжелом машиностроении стоимость основных фондов можно сравнить с величиной интеллектуального капитала.
Интеграция менеджмента знаний и технологий позволяет обнаружить определенные закономерности в развитии информационных технологий. Современные сферы применения компьютеров можно разделить на три уровня: computation — выполнение вычислений; communication — поддержка сети и всего, что с ней связано; cognition — зарождающийся уровень, ориентированный на поддержку мыслительной, интеллектуальной деятельности. Область действия этого уровня — знания. В зародыше все эти уровни существовали давно, но для полноценного развития они должны были быть востребованы. Социальный же заказ на них появился совсем недавно. Кроме этого, необходима соответствующая аппаратная и программная база, сложившаяся лишь в последние годы.
Внедрение систем ЭУД может дать два типа возврата от инвестиций: возврат, который непосредственно измеряется в денежном выражении (hard dollar), косвенные преимущества (soft dollars). Оба типа преимуществ могут быть легко получены за счет установки централизованных систем хранения документов и образов, которые обеспечивают: интуитивно понятный пользовательский интерфейс, универсальный доступ с помощью Web-браузера (без частных, специфических, закрытых клиентов), поддержку ODMA (технология интеграция с офисными приложениями, такими как MS Word), единое хранилище образов, видео- и аудиоинформации и всех типов документов, блокировка/разблокировка при взятии/возврате документа, контроль версий, уведомление по электронной почте, многоуровневая система безопасности. За счет внедрения корпоративных систем ЭУД организации уменьшают избыточность в хранении одних и тех же данных, повышение производительности труда, рост степени удовлетворения заказчиков и удовлетворенности сотрудников в своей работе, серьезные улучшения в качестве работы и уровне коммуникаций (обмена данными).
Организации могут получить два типа преимуществ от внедрения корпоративных систем электронного управления документами: тактические и стратегические.
Тактические преимущества связаны в основном с сокращением затрат. Их достаточно легко определить и измерить. Измеряемые в денежном выражении преимущества могут быть просчитаны:
• физическое освобождение места;
• уменьшение затрат на копирование;
• уменьшение затрат на доставку информации в бумажном виде;
• уменьшение затрат на ресурсы: люди и оборудование;
• уменьшение затрат на бумагу;
• повышение продуктивности работы: более быстрое выполнение работ, увеличение общего количества выполняемых работ, улучшение работы с данными/записями (документами, имеющими юридические обязательства), возможность выполнения новых типов работ или выполнения работ по-другому.
Пример. Чтобы представить возможный экономический эффект, воспользуемся следующими гипотетическими расчетами на основе оценки труда сотрудника при работе с документами по традиционной бумажной технологии: «средний» сотрудник выполняет в день 10 операций по поиску различных документов. Поиск одного документа занимает в среднем 2 минуты. В 10% случаев сотрудник не находит нужного документа. В случае если документ не был найден сразу, на его поиски тратится еще 2 минуты дополнительно. Если документ не найден, сотрудник переключается на иную работу. Средняя годовая зарплата $3600 в год ($300 в месяц). Накладные расходы на содержание сотрудника (налоги и пр.) 100%. Расчет экономии: (10 раз/день х 2 мин + 10 раз/день х 10% х х 2 мин) х 1/(8 ч х 60 мин) х $7200.
Если внедрить электронную систему управления документами, то получается $330 экономии в год в расчете на одного сотрудника. Если вы экономите $33 000 в год. При стоимости рабочего места Domino.Doc около $140 при расчете на 100 сотрудников (1 сервер Domino.Doc и 100 лицензий доступа) мы получаем двукратную окупаемость лицензий на технологию в течение одного года.
К стратегическим преимуществам относятся преимущества, которые связаны с улучшениями в ключевых бизнес-процессах. А это связано с ростом оборота или прибыли, если речь идет о коммерческих структурах, или с улучшениями в работе, принятии решений, обслуживании, если речь идет, например, об органах государственной власти. По самой своей природе эти преимущества труднее измерить. Сами стратегические преимущества можно разделить на две большие группы:
— средний уровень достигаемых преимуществ:
• улучшения в доступе к информации;
• улучшения в качестве обслуживания заказчиков, скорости реагирования;
• улучшения контролируемости процессов;
• улучшение аудиторских проверок;
• улучшение гарантийного обслуживания;
• улучшение качества продуктов/услуг;
• увеличение финансовых оборотов.
— высокий уровень преимуществ:
• более быстрое и качественное принятие решений;
• усиление степени контроля со стороны руководства;
• обеспечение соответствия существующим правилам и законам;
• более быстрый вывод на рынок новых продуктов и услуг;
• улучшение морального климата и степени удовлетворенности сотрудников своим трудом;
• более широкий набор предлагаемых продуктов и предоставляемых услуг.
Организации, которые были в первых рядах пользователей корпоративных систем электронного управления документами, получили рледующие результаты, которые могут быть использованы в качестве ориентира: уменьшение стоимости на инженерную разработку продуктов минимум на 10%; уменьшение времени цикла разработки минимум на 20%; уменьшение времени, затрачиваемого на реализацию изменений в продукте или услуге, минимум на 30%; уменьшение самих изменений в продуктах/услугах на 40%.
3.7. Тенденции в области управления знаниями на уровне предприятий
Самая большая беда для науки ~ превратиться в моду.
С. Цвейг
Решения по управлению знаниями позволяют накапливать и структурировать интеллектуальный капитал организации, что помогает ее сотрудникам повышать свои профессиональные навыки и качество принимаемых решений.
Решения по управлению знаниями создают своеобразную «корпоративную память», которая собирает знания и распространяет их при помощи технологий групповой работы. В результате компании тратят меньше времени и денег на решение повседневных вопросов. Этот фактор становится все более важным, так как современные фирмы действуют во множестве географических регионов и в разных часовых поясах, и часто бывает так, что одним и тем же клиентом или проектом занимается много разных сотрудников, что значительно затрудняет совместное использование знаний и управление их потоками.
Там, где никто специально не занимается накоплением и распространением знаний, эти знания часто рассеиваются и пропадают. Транснациональные компании потеряют очень важные контракты только потому, что ее ведущие сотрудники работают в разных часовых поясах и не могут предоставить необходимые данные в тот момент, когда они требуются.
Формы управления знаниями
Решения по управлению знаниями могут принимать несколько форм в зависимости от деловых проблем, которые они призваны решать.
Сообщества практиков представляют собой он-лайновый форум для обмена знаниями в случаях, когда иной вид сотрудничества затруднен в силу особенностей корпоративной культуры, структуры, географии или информационных систем. Например, в компании, которая организована по деловым процессам, а не по функциональным отделам, люди со сходными обязанностями могут быть рассредоточены по всей организации, что затрудняет обмен опытом. В этом случае программисты, которые поддерживают разные деловые процессы, могут сформировать электронное сообщество для обмена опытом через дискуссионную базу данных. Это поможет им совершенствовать навыки программирования, сохраняя принадлежность к своей организационной группе.
Системы принятия решений на основе знаний. Эти решения призваны повышать качество и своевременность информации, предоставляемой сотрудникам, что, в свою очередь, повышает качество принимаемых решений. Например, банк Chase Manhattan разработал для себя систему на базе Lotus Notes, которая управляет портфелями клиентов, собирая данные из различных источников и представляя их в различных проекциях. Менеджеры по связям с клиентами используют систему для принятия решений, полезных как для банка, так и для его клиентов.
Два перечисленных типа решений лучше всего подходят группам сотрудников со сходным образованием и опытом, говорящим на одном языке, что позволяет им понимать друг друга с полуслова. Так, например, химик из фармацевтической лаборатории может отправить краткое послание в дискуссионную базу данных для своих коллег с использованием профессионального жаргона и специальных кратких терминов. Люди, не сведущие в фармацевтике, могут вообще ничего не понять в этом сообщении.
Решения по развитию компетентности являются интерактивными средствами, предназначенными для людей, не имеющих подходящего образования и опыта. Они помогают таким людям получать доступ к корпоративным экспертным знаниям и пользоваться ими. В фармацевтической компании такой тип решения может использоваться для подготовки новых специалистов.
Архитектура знаний определяет, как будут связываться между собой сотрудники, как будут спроектированы базы данных, какую структуру и имена будет иметь информация и как будут интегрированы в новую систему имеющиеся информационные средства. Все это позволяет идентифицировать, категоризировать и ранжировать деловую информацию по ее ценности. Сегодня от специалистов по информационным ресурсам, которые раньше занимались исключительно поиском документов и их отправкой заказчикам, все чаще требуется помощь в классификации и каталогизации информационных ресурсов для использования этих ресурсов в системе управления знаниями.
Успех управления знаниями
Эффективные решения по управлению знаниями не только предоставляют доступ к информации через интерсети, но и систематически накапливают знания и структурируют их таким образом, чтобы люди получали нужные данные в нужный момент и не отвлекались на информацию, которая приходит не вовремя, на устаревшие данные и на знания, которые им не нужны.
В структуре решений должны быть сбалансированы противоположные подходы к содержанию и к тому, как оно распространяется среди пользователей:
Если объем информации возрастает слишком быстро, система становится медленной и неповоротливой. Такой системой люди обычно не пользуются. Одна из компаний, добившаяся внушительных успехов на ранних этапах внедрения системы управления знаниями, стала испытывать серьезные проблемы, когда пользователи стали путаться в многочисленных базах данных, горах документов и огромном количестве категорий. Они просто не могли отыскать в этом море данных 114.
нужную информацию. Сегодня эта компания уже не пытается записывать в систему все содержание статей и отчетов. Он-лайновая информация ограничена аннотациями и рефератами, ознакомившись с которыми заинтересованные пользователи могут получить доступ к более подробной информации.
Постоянный доступ или доступ в нужный момент? Ценность знаний повышается, когда они предоставляются в нужный момент. Совсем другое дело, когда они предоставляются постоянно «на всякий случай*. Системы с постоянным доступом девальвируют ценность знаний, поскольку сотрудники привыкают постоянно получать данные, которые им не нужны, и могут проигнорировать важное сообщение или потратить массу времени на чтение интересных посланий, которые имеют мало общего с их профессиональными обязанностями.
В системе, построенной по принципу «вытягивания» знаний, пользователи ищут нужные данные. Система с «проталкиванием» сама распространяет информацию, часто при помощи фильтров, настроенных на потребности пользователя. Системы с «вытягиванием» не отвлекают пользователей ненужными обновлениями данных, но требуют от них активности и инициативы. Системы с «проталкиванием» доставляют информацию прямо на пользовательские настольные системы и поэтому оказывают более сильное влияние на принятие решений, однако они хорошо работают в том случае, если правильно предугадывают потребности пользователей. В противном случае они будут только засорять экраны ненужной информацией.
Новые системы фильтрации (например, системы компании Desktop Data) сочетают эффективные средства «проталкивания» данных с предоставлением информации в нужный момент. В отличие от системы Lexis/Nexis, где пользователи сами отбирали то, что им нужно, Desktop Data избирательно направляет данные прямо на настольную систему пользователя. Отбор данных происходит на основании детальных описаний потребностей пользователя, предоставленных им самим, а доставка информации осуществляется при помощи Lotus Notes. Другая компания — grapeVINE — использует Lotus Notes, чтобы добывать и отфильтровывать знания для пользователей на основе их собственных пожеланий. Эта система отслеживает множество информационных источников и доставляет информацию пользователям по электронной почте как в «сыром», так и в «обработанном» виде. К «обработанным» относятся данные, которые были отмечены другими пользователями как особо важные. В этом случае все остальные пользователи с аналогичным профилем получат соответствующее уведомление и возможность внести вклад в определение значимости данного сообщения.
Эффективная система управления знаниями должна поддерживать естественные способы информационного обмена между людьми. Так, например, ученвіе-антропологи из исследовательского центра компании Xerox (Xerox Palo Alto Research Center) обнаружили, что кактоль-ко представители но продажам собираются вместе, они непременно начинают рассказывать друг другу «душещипательные истории» о том, с какими проблемами они встретились и как им удалось их разрешить. Вначале компания Xerox не поощряла такие неформальные «сборища», поскольку считала, что сотрудники зря тратят на них свое время. Однако затем компания выяснила, что во время таких неформальных бесед стороны передают друг другу ценный личный опыт. После этого каждому представителю компании на местах был выдан радиотелефон с наушниками, чтобы неформальные беседы можно было продолжить даже за рулем. Впоследствии эта система была расширена и включила в себя базы данных, где записывается информация, предоставленная сотрудниками на местах.
И наконец, если руководство компании явно покажет свою приверженность новой системе, это может подтолкнуть сотрудников к ее использованию, тем более что знания традиционно ассоциируются с властью. Так, в банке Chase Manhattan главный управляющий группы по обслуживанию клиентов среднего уровня (Middle Market Banking Group) объявил сотрудникам, что регулярно пользуется системой управления знаниями своей группы, ожидая, что и они будутзнако-миться с содержанием этой системы. Для поощрения сотрудников к использованию новых систем бывают необходимы новые стимулы и награды. Попытки оценить и вознаградить совместное использование данных отражают общую тенденцию к количественной оценке знаний, которые традиционно считались явлением чисто качественным. К примеру, в компании CBIC «группа предоставления кредитов на основе знаний» (CBIC's knowledge based lending group), которая занимается кредитованием малых предприятий, включает интеллектуальный капитал предприятий в общую оценку их кредитоспособности. Для поощрения новых перспектив главный управляющий оценивает сотрудников по параметру «отсутствие границ», т. е. определяет, способствует ли он или она более быстрому распространению информации или является препятствием на пути потока данных.
Какая разница между информацией и знаниями? Понять эту разницу очень важно, хотя часто этого не делают даже при создании си-
Ш.
стем управления знаниями. Путаница между знаниями и информацией снижает ценность таких систем. Поэтому все разговоры об управлении знаниями должны начинаться с определения ключевых понятий: «информация», «знания» и «работа». Эти термины описывают все более сложные потоки деятельности, вызванные к жизни технологией групповой работы.
В целях настоящего отчета основой всех трех понятий являются данные. Данные представляют собой простой и понятный факт. Например, финансовый отдел компании может записать такие данные: «На счету А дефицит в $5000». Данные, вставленные в контекст, становятся информацией. Например: «Счет А, которым занимается Фрэнк, имеет дефицит в $5000 уже в течение 10 месяцев».
Эта информация становится знаниями, когда она не только несет значимый контекст (т. е. сообщает, что произошло), но и говорит, почему это произошло, и тем самым помогает принять правильное решение. В нашем примере знания могут выглядеть следующим образом: «Прежде чем объявлять счет с дефицитом невозвратимым долгом (т. е. долгом, который компания, по всей видимости, никогда не сможет вернуть), вы должны вначале предложить план выплат. Если вы не получите ответа, вам следует направить своему начальнику по электронной почте просьбу о списании задолженности». Ключевым моментом в этом образце знаний может быть такая фраза: «Мы считаем долг невозвратимым, если стоимость его возврата превышает сумму самого долга».
И наконец, работа — это то, что мы получаем в результате применения знаний, например когда сотрудник запрашивает разрешение на списание долга.
Система управления знаниями
Для менеджеров, отвечающих за связи с клиентами, главная задача — как можно больше бывать у своих подопечных. «Чем больше клиент видит менеджера, тем лучше наши отношения». Однако менеджеры по связям с клиентами вынуждены были проводить за столом в офисе до трети своего рабочего времени. В это время они выполняют утомительные задачи административного характера: следят за информацией о клиентах, которую предоставляли системы, построенные на основе мэйнфреймов, и вносят ее в графики и электронные таблицы. Они могли бы с большей пользой для банка потратить это время, если бы вместо бумажной работы искали перспективных заказчиков и приносили банку дополнительную прибыль.
Более того, даже когда они бывают у клиентов, у них часто нет знаний, необходимых для обеспечения выгодности предлагаемых сделок для банка и для клиента. Положение еще более усугубляется тем, что в традиционных системах информация привязана к продуктам и сделкам, а не к отношениям с клиентами. Это означало, что менеджер должен был принимать решение, не имея перед собой более широкой картины влияния отношений с данным клиентом на предприятие.
Современной системой поддержки обслуживания клиентов является система управления отношениями (Relationship Management System — RMS), которая объединяет знания о клиентах (кредитные истории, депозиты, инвестиции и т. д.) с политикой предприятия и знаниями о продуктах. Эта система (которая подобна уже упоминавшейся «системе принятия решений, основанных на знаниях») предоставляет информацию в различных проекциях, которые дают менеджеру четкую картину отношений с данным клиентом и позволяют принимать квалифицированные решения. В то же время менеджеры получают возможность более качественно обслуживать своих клиентов.
Система RMS формируется при помощи целого ряда программных средств, включая Visual Basic, Visual C++ и Lotus Notes. Notes используется в двух целях. Во-первых, пользователи выдают запросы на обновление иформации в целом списке соответствующих баз данных через формуляры документов Notes, которые в этой системе называются «Инициаторы качества данных» (Data Quality Initiator). Эти формуляры доступны через кнопку на экранном интерфейсе RMS. Функции рабочих потоков (workflow) Lotus Notes обеспечивают то, что до момента обновления информации в реляционной базе на мэйнфрейме будет заблокирована работа с соответствующими данными всех сотрудников и обеспечена синхронизация всех журналов состояния.
Во-вторых, различные базы данных Lotus Notes дают возможность пользователям делиться своими знаниями, обсуждать вопросы и в случае необходимости запрашивать мнение экспертов. Если пользователи проявляют интерес к какому-то вопросу, эксперт может возглавить его обсуждение и распространить записку с необходимыми разъяснениями, которая облегчит использование и дальнейшее развитие имеющегося опыта.
Большая часть данных, которые находятся в системе RMS, была доступна менеджерам и раньше. Проблема состояла в том, что данные такого объема совершенно невозможно воспринять, тем более что они очень быстро устаревают. В некоторых случаях менеджерам удавалось получить более актуальные данные через компьютерную сеть, однако навигация в мэйнфреймах без информационных фильтров была очень затруднена и требовала много времени. Хуже того, каждая система поддерживалась отдельно от других, что приводило к возникновению противоречий в данных о клиентах.
Система выбирает формат представления информации и помещает ее в контекст доходности отношений с клиентом.
Система RMS формируется на основе набора принципов.
RMS использует только один источник для каждого элемента данных. Этот источник всегда является первичным. Таким образом в системе RMS достигается непротиворечивость данных.
RMS использует существующую корпоративную информацию всегда, когда имеется такая возможность. Менеджеры по связям с клиентами несут ответственность за точность данных, вводимых в систему RMS. В процесс проектирования информационной инфраструктуры активно включаются рядовые сотрудники. Система RMS поощряет совместное использование информации в пределах Группы обслуживания клиентов среднего размера, а также на корпоративном уровне. (Это положение является важным, поскольку качество знаний, доступных для совместного использования, в конечном итоге определяет успех или неудачу системы управления знаниями.)
АНАЛИЗ ИНТЕЛЛЕКТУАЛЬНОГО ПОТЕНЦИАЛА
Мудр, кто знает нужное, а не многое.
Эсхил
Всегда вперед, после каждого совершенного шага — готовиться к следующему, все помыслы отдавать тому, что еще предстоит сделать.
Н. Н. Бурденко
Различные эпохи отличались не тем, что люди ели и пили, как одевались и развлекались, а тем, какую материальную и духовную культуру оставили после себя. Развитие интеллектуального потенциала населения должно быть приоритетной национальной программой страны. Развитие творческих способностей молодежи, развитие системы образования, стимулирование исследовательской деятельности, повышение доли работников умственного труда — это первые обязательные цели государственной политики. Формирование человеческого потенциала страны предусматривает экономические стимулы, популяризацию достижений науки и техники, повышение общественного престижа труда ученого и исследователя. Рейтинг — это числовой показатель, характеризующий предпочтение одного оцениваемого объекта перед другим. Чаще всего рейтинг является условным интегральным показателем, базирующимся на совокупности отдельных признаков. Методическую характеристику рейтинга определяют состав выбранных признаков и правило вычисления интегрального показателя. Три принципиально разных подхода при расчете рейтинга:
1. Оценка достигнутых показателей по результатам работы.
2. Оценка показателей, характеризующих фактическое состояние организации.
3. Оценка показателей, характеризующих потенциальные возможности организации.
4.1.Уровень технологий
Опухоль некомпетентности трудно удалить скальпелем.
Закон Паркинсона
Существуют различные определения понятия технология. Технология (от греч. techne — искусство, мастерство, умение) — совокупность методов обработки, изготовления, изменения состояния сырья или проведения работ. К перерабатываемым средам, объектам воздействия технологии, являются материальные ресурсы (металл, химические вещества, растительные продукты, пластмассы, стекло, минеральное сырье) и нематериальные ресурсы (информация, финансы, знания). Технология — производственная деятельность (Кристан Вольф, конец XII в., энциклопедия «Логика»). Технология — это искусство организованно и осмысленно объединять и реализовывать комплексный набор знаний, ноу-хау, информации, методов, финансовых средств и технических ресурсов. Технология включает теоретические знания, оборудование, инструмент, ноу-хау и практический опыт.
Можно сказать, что технология — это определенная совокупность и последовательность способов (методов, приемов) соединения средств труда и рабочей силы в процессе изготовления продукции или выполнения работ.
Система технологий должна иметь определенную организационную форму, характеризующуюся:
• комплексами машин, оборудования, линий, цехов, предприятий;
• организационными формами осуществления технологических процессов (на уровне бригад, участков, предприятий, отраслей).
Любая технология характеризуется:
• номенклатурой и качеством производимой продукции;
• используемыми материалами и топливо-энергоресурсами;
• составом оборудования;
• продолжительностью производственного цикла.
Технологии как большая система могут быть классифицированы:
• по историческим стадиям развития (использование, преобразование или создание вещества природы);
• по формированию потоков жизнедеятельности (технологии материального производства, энергетических потоков, информационных потоков);
•по выраженности теоретических основ (эмпирические, теоретические, смешанные);
• по использованию форм движения материи (механические, физические, химические, биологические, социальные);
• по степени загрязнения окружающей среды (безотходные, загрязняющие).
Считается, что человеческая деятельность насчитывает более 40 тыс. лет. При этом на протяжении многих веков преобладающей была технология применения вещества природы в его натуральной форме на основе использования прежде всего механических свойств природных материалов (дерева, камня). Однако постепенно получили развитие технологии, связанные с их преобразованием и изменением не только механических, но и физико-химических, биологических свойств материалов. Сравнительно недавно стали применяться технологии создания таких материалов, которые в виде вещества природы не существуют (новые синтезированные химические соединения, неметаллические соединения, сверхчистые вещества).
Высокие технологии — это наукоемкие в разработке технологии, характеризующиеся следующими признаками: использованием новейших материалов и способов производства; обеспечением скачкообразного улучшения результатов; высокой долей затрат на НИОКР; коротким жизненным циклом продукции; высокими темпами морального старения и обновления продукции; высоким риском.
Высокие технологии — это особый объект для управления. Они требуют специфического подхода при экономической оценке, своеобразных методов для управления разработкой и внедрением. Обычно подобные технологии нуждаются в существенной экономической поддержке на первых стадиях, поскольку именно в этот период они не выдерживают экономической конкуренции с традиционными способами производства. Только последующие стадии показывают эффективность ранее принятых решений. Важной особенностью высоких технологий является и значительная стоимость расходов на начальные научные исследования, что требует специальных финансовых механизмов привлечения средств.
Открытие — даже очень крупное — само по себе еще не оказывает решающего влияния на развитие человечества. Влияние это становится решающим, когда оно входит в производство. С этого момента открытие превращается в материальную силу.
Разработка Дж. Максвеллом теории электричества позволила разработать технологические процессы, в основе которых лежат электрические машины. Создание Н. Г. Басовым и А. Н. Прохоровым лазеров обеспечило появление высоких технологий лазерной резки, маркировки, сварки.
Интервал времени между открытием и его практическим использованием:
• энергия пара — 2000 лет,
• электричество— 100 лет,
• фотография — 100 лет,
• пластмассы — 55 лет,
• телефон— 50 лет,
• радио — 35 лет,
• антибиотики — 12 лет,
• радиолокация— 10 лет,
• синтетические волокна — 9 лет,
• транзистор— 5 лет,
• интегральные схемы — 3 года.
«Научные исследования рассматриваются теперь как месторождения золота, и вывод... о невероятной прибыльности научного исследования теперь усвоен. Экономика современных государств рассматривается уже не как экономика колеблющегося равновесия, а как экономика роста. Темп роста общего национального продукта берется теперь за показатель экономического здоровья страны и даже за показатель способности страны выжить среди других развитых индустриальных стран. А достижение хотя бы приемлемого темпа роста национального дохода (скажем, 4%) зависит в первую очередь от количества научных исследований в прошлом, результаты которых можно использовать в настоящем. И темп роста в будущем зависит от объема исследований в настоящем» (Дж. Д. Бернал).
Высокие технологии — это технологии, базирующиеся на принципиально новом принципе, новых источниках энергии, новых видах сырья. Понятие высокой технологии является временным и фактически указывает на период вытеснения сложившейся технологии. Новая технология, пройдя период освоения, становится традиционной и может быть, в свою очередь, через некоторый период времени оказаться вытесненной очередной «высокой технологией». В результате высокая технология постепенно переходит в среднюю, а затем в низкую технологию. Однако не каждое нововведение может именоваться высокой технологией. Этот термин оправданно применяется при замене основных принципов проведения процессов, при достижении роста результативности в несколько раз. Появлению высокой технологии предшествует научное открытие, разработка нового направления науки, создание новой техники. Признание новой технологической разработки высокой технологаей означает, что завершился цикл: фундаментальное научное исследование—разработка новых машин—создание новых технологических способов—выпуск продукции на основе новых технологических принципов. Потенциальная возможность появления и практического применения высоких технологий зависит от экономического уклада в стране, накопленного научно-технического потенциала, подготовленности организационных структур. С одной стороны, важно иметь рынок предложения высоких технологий как товара, с другой — рынок потребителей, заинтересованных в их внедрении.
Потребность в высокой технологии проявляется прежде всего при исчерпании возможностей развития традиционного способа, при достижении предельных производительности, скорости, точности, норм расхода материалов, коэффициента полезного действия (КПД), показателей полезности выпускаемой продукции. Конкуренция в инновации, основанная на технологическом прогрессе, используется как наступательное оружие для завоевания рынка. Побудительным мотивом для разработки и применения высоких технологий является ожидание сверхприбыли. Эффектом созидательного разрушения назвал этот процесс в 1949 г. И. Шумпетер. При отсутствии важных инновационных изменений экономика скатывается к стагнации. В качестве типичных видов изменений можно выделить:
• использование новой техники, новых технологических процессов или нового рыночного обеспечения;
• внедрение продукции с новыми свойствами;
• использование нового сырья;
• использование нового источника энергии;
• изменения в организации производства и его материально-технического обеспечения.
Потребностью человечества в развитии через высокие технологии объясняется необходимость постоянного поиска мероприятий по природосбережению, повышению производительности труда, улучшению условий жизни и труда. Объем научной продукции удваивается каждые 10-15 лет, а население — только за 40-45 лет.
Почему высокие технологии являются особым объектом для менеджмента? Объясняется это следующими причинами:
• сравнительной невыгодностью на первом этапе применения по отношению к отработанным традиционным вариантам технологии;
• значительностью начальных вложений в предшествующую научную разработку;
• нечеткостью сферы применения в перспективе;
• появлением новой номенклатуры продукции;
• скачкообразным изменением параметров технологии и выпускаемой продукции;
• использованием принципиально новых материалов, источников энергии и способов производства;
• высоким риском (предпринимательским, техническим).
Нововведения с технологической доминантой изменяют физические свойства товара (например, флотационое стекло), обеспечивают применение новой компоненты (стальной корд в покрышках), создают принципиально новый продукт (композиционные материалы) или новые изделия (телевизор высокой четкости), обеспечивают новое физическое состояние (растворимый кофе) или новые комплексные системы (высокоскоростные поезда). Подобные нововведения рождаются в лабораториях. Некоторые из них требуют вложения крупных капиталов (атомная и космическая промышленность).
Базовые элементы современных высоких технологий открыты в результате фундаментальных научных исследований. Электрон и лазер не могли появиться из производственного опыта. Электроискровой или светолучевой станок возник не в результате усовершенствования обычного, металлорежущего. Идея появилась из другой сферы научных исследований. Эти причины требуют изменения критериев сравнения вариантов управленческих решений, правил вычисления элементов затрат и доходов, стимулирующих и мотивирующих приемов.
В составе новых технологий выделяют особую группу — критические технологии, которые имеют универсальные технические характеристики, делающие возможным их применение во многих отраслях. Такая технология создает существенные предпосылки для развития многих технических областей, для решения многих общественно-экономических проблем.
К высоким технологиям относятся технологии в следующих отраслях промышленности: аэрокосмической промышленности, компьютерной технологии, электронике, фармацевтической промышленности, порошковой металлургии, лазерной технологии, биотехнологии.
125
В качестве основных интегральных показателей сравнения стран используют технические возможности (technological capability) страны и национальный потенциал развития технологии (technology developing potential). Первый из них характеризует вклад отдельного государства в совокупное промышленное производство, а второй — способность его к созданию новых видов продукции и новых технологий. Частными оценками являются: количество зарегистрированных патентов; объем торговли технологией; объем экспорта наукоемкой продукции; объем добавленной стоимости в обрабатывающей промышленности; расходы на исследования и разработки; численность исследовательского персонала; число патентов, зарегистрированных за рубежом; объем экспорта технологии. Первые три показателя дают представление о технических возможностях, четвертый — о способности реализовать эти возможности, пятый и шестой характеризуют научно-технический потенциал, а седьмой и восьмой — результативность.
Продукцию высоких технологий характеризует конечный результат. Причины и факторы, обеспечивающие качество этой продукции: научно-исследовательский потенциал в стране; скорость освоения научно-технических достижений; наличие и уровень подготовки научных кадров, инженеров, рабочих; патентная деятельность; эффективность использования ресурсов в производстве; динамичность и емкость внутреннего рынка; инвестиционная ситуация; уровень налогов и заработной платы; номенклатура продукции; условия поставок; организация сервиса.
Совокупность функционирующих технологий образует технологический уклад. Он характеризуется некоторым техническим уровнем и рассматривается как этап эволюции технологического развития общества.
Совокупность высоких технологий классифицируется следующим образом:
• по периоду реализации (перспективные и текущие);
• по степени наукоемкости (с высочайшей, с высокой и со средней степенью наукоемкости);
• по степени новизны (патенты, ноу-хау, изобретения, результаты
НИРит. п.);
• по времени выхода на рынок (с длительным и с коротким сроком выхода);
• в зависимости от инициатора (созданные по инициативе потребителей и по инициативе производителей, принудительные технологии);
• по источникам ресурсообеспеченности (государственные, частнопромышленные, академические, смешанные);
• по создаваемым объектам (новые продукты, новые материалы, новые процессы);
• по базовым элементам (новые источники энергии, новые технологии, новые материалы);
• по принципу масштабности (национальные, региональные, местные) ;
• по степени воздействия на рынок (создающие новые рынки, расширяющие рынки в соответствующих отраслях).
Преимущество в технологической сфере является важнейшим фактором обеспечения национальной безопасности страны. Отставание в развитии базовых технологий ведет к отставанию в процессе общечеловеческого развития. Можно отметить как целые отрасли, по которым российские разработчики завоевали мировое лидерство, так и отдельные передовые технологии. Федеральная целевая программа «Национальная технологическая база» выделяет в качестве приоритетных группу технологий и группу технических систем. К технологиям, имеющим высокий уровень развития, отнесены: технология новых материалов; оптоэлектронные и лазерные технологии; радиоэлектронные технологии; ядерные технологии; биотехнологии; технологии перспективных двигательных установок; технологии спецхимии и энергонасыщенных материалов. К важнейшим техническим системам отнесены воздушный, морской и наземный транспорт; связь и телекоммуникации; космическая техника; медицинское оборудование.
Имеются три уровня технологического превосходства:
1. Целая отрасль, в которой Россия имеет значительные достижения (космическая, ядерная техника).
2. Технологическое направление, в котором Россия имеет разработки мирового уровня, например новые металлические и неметаллические материалы, сварка, неразрушающий контроль, упрочняющие технологии, химические технологии, композиционная керамика и др.
3. Отдельные технологии, имеющие мировой уровень, но относящиеся к отрасли, по которой Россия отстает от мирового уровня (например, биотехнологии или технология производства подложек из карбида кремния для микроэлектронной техники).
Сравнение уровня развития критических базовых технологий России с США свидетельствует о наличии отставания от мирового уровня практически по всем технологиям. Вместе с тем в половине технологических направлений имеются значительные технические или приоритетные достижения в отдельных областях. Российские специалисты считают, что в области технологий новых материалов, оптико-элек-троники и лазерной техники Россия почти не уступает США, но заметно отстает в сфере микроэлектроники, радиоэлектроники, компьютерной и информационной технологий, биотехнологий, энергетике и энергосбережении, экологической безопасности. Доля технологий, соответствующих мировому уровню, — 72%; доля электронных технологий, соответствующих мировому уровню, — 59%.
Российские компании могут поставлять на зарубежный рынок такие наукоемкие соответствующие мировым стандартам изделия, как электровакуумные и СВЧ-приборы, полупроводниковые, газовые и твердотельные лазеры различного назначения, лазерные гироскопы, ЖК-индикаторы и панели, электронно-оптические приборы, мощные полупроводниковые приборы, газоразрядные панели, резисторы, конденсаторы и многое другое. Можно сделать вывод о том, что в России имеется хороший потенциал для коммерциализации разработок.
В соответствии с рядом правительственных документов приоритетными направлениями развития науки и техники были утверждены восемь направлений, имеющих первостепенную важность для России:
• информационные технологии и электроника;
• производственные технологии;
• новые материалы и химические продукты;
" технологии живых систем;
• транспорт;
• топливо и энергетика;
• экология и рациональное природопользование;
• фундаментальные исследования.
Высокая степень совпадения направлений развития (табл. 4.1) свидетельствует о намерении России ликвидировать отставание от наиболее развитых в технологическом отношении стран.
В 1998 г. затраты на технологические инновации в целом по промышленности увеличились более чем в 2 раза по сравнению с предыдущим годом, т. е. произошел перелом тенденции к их снижению.
Структура затрат на технологические инновации испытывает значительные изменения в разные годы. Начиная с 1996 г. увеличивается доля затрат на исследования и разработки и снижается доля капитальных затрат. Доля затрат на маркетинговые исследования, на приобретение прав на патенты и лицензий и затрат на обучение персонала незначительна.
Таблица 4.1
Сравнение направлений развития России и Японии в области электроники и новых материалов |
|
|
|
Прогноз технологического развития Японии до 2010 г. |
Критически важные технологии России |
|
Электроника и информатика |
Информационные технологии и электроника |
|
М и кроэлектрон ика: |
Микроэлектроника: |
• терабитная память
• сверхпроводящие устройства |
• сверхбольшие интегральные схемы и наноэлсктроника |
• суперинтеллектуальные чипы
• самовоспроизводящиеся чипы |
• микросистемная техника и микросенсорика
• элементы памяти с емкостью
до 1 Гбит |
|
Оптическая электроника: |
Оптическая электроника: |
|
• терабайтные оптические ЗУ •терабитные оптическиеустроіі-ства связи |
•опто и акустоэлектроника
* высокоскоростные линии связи
• оптические вычислители |
• элементы и узлы оптических
ЭВМ |
• криоэлектроника |
|
Оборудование информационных систем: |
Информационные технологии: |
• суперЭВМ параллельного действия
• нейро-ЭВМ |
• многопроцессорные ЭВМ с параллельной структурой
• вычислительные системы на базе нейрокомпьютеров, транспьютеров и оптических ЭВМ |
|
Программное обеспечение: |
Программное обеспечение: |
|
• системы автоматического |
• системы распознавания и син- |
перевода
• системы моделирования
реальности
• самопополняющиеся базы |
теза речи, текста и изображений • системы искусственного интеллекта и виртуальной реальности |
|
данных |
• системы математического
моделирования |
|
Новые материалы |
Новые материалы м химические продукты |
|
Керамика: |
Керамические материалы и нанокерамика: |
|
• сверхпроводники (катушки, |
• материалы, позволяющие |
|
Окончание табл. 4.1 |
|
|
|
Прогноз технологического развития Японии до 2010 г. |
Критически важные технологии России |
|
Новые материалы |
Новые материалы и химические продукты |
обладающие свойством сверхпроводимости при высоких температурах)
• газовые турбины и двигатели, созданные с использованием |
реализовать эффект сверхпроводимости
• новое поколение газотурбинных и прямоточных воздушнореактивных двигателей |
|
керамических материалов • новые виды стекла (нелинейное оптическое стекло) |
с использованием керамических
материалов |
|
Полупроводники: |
Материалы для микро- и наноэлект-
роник?г. |
• оптические интегральные схемы
• полупроводниковые элементы со сверхрешеткой |
• оптоэлектронные интегральные
схемы
• гетероструктуры наквантово-размерных эффектах |
|
Металлы: |
Материалы и сплавы со специальными свойствами: |
|
• аморфные сплавы |
• легкие и суперлегкие сплавы на |
|
• сплавы споглощснным |
основе алюминия, магния, |
|
водородом |
бериллия и др. |
|
• магнитные материалы |
• высокоэффективные хорошо свариваемые титановые
сплавы |
|
Композитные материалы: |
Композиты: |
|
• высококачественные пластики |
• высококачественные материалы |
с упрочнением из углеродных
волокон |
с заданными свойствами для конструктивных изделий |
|
• высококачественные металли- |
авиакосмической техники, |
ческие композитные материалы
• высоко качестве иные керамические композиты |
радиоэлектроники, криогенной аппаратуры, медицины |
|
• высококачественные композиты типа С-С |
|
Источник: доклад научно-исследовательского комитета по прогнозированию технологического развития Японии до 2010 г.
9-180
Прочие затраты (затраты на пробное производство и испытания, затраты на приобретение беспатентных лицензий и др.) составляют третью часть от совокупных затрат. Доля инновационной продукции в общей продукции отрасли как основной результат инновационной деятельности в 1995-1997 гг. составляла 16-18%,ав 1998г. резкоупаладо 7% (табл. 4.2).
Таблица 4.2
Структура затрат на технологические инновации промышленных
предприятий России |
|
|
|
Показатели |
1995 г. |
1996 г. |
1997 г. |
1998 г. |
|
Затраты на технологические инновации, млн руб. |
7 182 005 |
5 932 428 |
5 012 664 |
10 074 243 |
|
Затраты на исследования и разработки (без амортизации) |
26% |
15% |
20% |
30% |
|
Затраты на приобретение прав на патенты, лицензий на использование изобретений, промышленных образцов, полезных моделей |
1% |
1% |
1% |
0% |
|
Затраты на обучение и подготовку персонала |
1% |
1% |
1% |
0% |
|
Затраты на машины, оборудование, установки, прочие основные фонды и капитальные затраты, связанные с внедрением продуктовых и процессных инноваций |
44% |
57% |
44% |
33% |
|
Затраты па маркетинговые исследования |
0% |
0% |
2% |
1% |
|
Прочие затраты на технологические инновации |
28% |
26% |
32% |
36% |
|
Источник: данные Госкомстата. |
Таким образом, рост затрат на технологические инновации не сопровождался соответствующим улучшением результатов инновационной деятельности. Вероятно, это произошло из-за изменения структуры затрат на технологические инновации; снижения доли капитальных затрат, вызывающих почти одновременное увеличение результатов инновационной деятельности, и увеличения доли затрат на исследования и разработки, влияние которых проявляется через определенный промежуток времени (табл. 4.3).
Таблица 4.3
Характеристика технологической системы предприятия |
|
|
|
Экономическая |
Технологическая |
Социальная |
Экологическая |
|
Результат |
• цена продукции
• издержки потребления |
• твердость
• износостойкость
• жаропрочность
• надежность |
• насыщение
спроса
• качество послепродажного обслуживания |
• безопасность
эксплуатации
• возможность
утилизации
отходов
продукции |
|
Ресурсы |
• цена исходных
ресурсов |
• обрабатываемость
• технологичность
используемых
материалов |
• дефицитность ресурсов |
• химсостав
• изоляционные
свойства |
|
Экология |
• экономически и ущерб от загрязнения окружающей среды
• затраты на ее
восстановление
• штрафы за нарушения
экологических
норм |
• характеристики
отходов
производства
как вторичных
ресурсов |
• влияние ТС, отходов
производства
на социальное
равновесие
общества |
• характеристики выбросов
технологии
в окружающую
среду |
|
Предприятие |
• издержки производства
• прибыль
• рентабельность
• эффективность
• ликвидность
• объем продаж
• производительность труда |
• технологиче
ский уровень производства
• конкретные
параметры оборудования И
технологии
• уровень брака |
• престижность
• комфортность производственных условий
• культура производственных отношений
• невыходы на работу |
• температура
• влажность
• запыленность
• освещенность рабочих мест
• потери времени
от травм |
132.
Технология промышленного производства превратилась в самостоятельную отрасль знаний. Это наука о физическом и химическом воздействии на сырье и материалы с целью выработки продукции с требуемыми свойствами при меньших затратах. Современные представления о значимости технологий постепенно меняются. Технологии базовых отраслей все более становятся зависимыми от других областей знаний и кардинально изменяются. Достаточно отметить влияние электроники на автомобилестроение, генетики на фармацевтическую промышленность, материаловедения на металлургию и т. д. Одна и та же потребность удовлетворяется различными способами. В этих условиях технология становится ограничивающим ресурсом. Современный менеджмент исходит из представления, что не существует технологии, принадлежащей только одной отрасли. Теоретически технологии оказывают взаимное влияние друг на друга и тем самым способствуют их развитию.
4.2. Интеллектуальный потенциал сотрудника
Надо, чтобы работники умственного труда хотели работать на данную организацию и предпочитали этот вариант всем прочим возможностям.
Питер Ф. Друкер
Интеллектуальный потенциал сотрудника можно рассматривать как его готовность к генерированию и решению инновационных задач.
Для оценки интеллектуального потенциала человека имеется несколько методик. Наиболее известной является методика расчета показателя IQ. базирующаяся на оценке способности решения логических задач. В США имеется даже общество, члены которого отличаются повышенным показателем IQ. Однако подобные методики характеризуют общий уровень логического мышления человека, но не дают представления о его возможности решать профессиональные задачи. Для этого необходимо использовать специфический набор показателей, отражающих уровень полученного образования, опыт конкретной практической деятельности, способности человека к решению научных и инженерных задач.
Рассматривая интеллектуальный потенциал сотрудника, можно опираться на набор базовых показателей:
1. Образование
1.1. Уровень базового образования.
1.2, Уровень научной квалификации.
.133
1.3. Уровень дополнительного профессионального образования.
2. Имеющиеся научные результаты
2.1. Масштаб публикаций.
2.2. Масштаб инновационных результатов (изобретений, патентов).
2.3. Масштаб научных (конструкторских) работ.
3. Умения
3.1. Опыт нестандартных инженерных решений.
3.2. Умение комплексного решения проблем.
3.3. Знание современного состояния соответствующей области знаний.
Каждый из показателей может экспертно оцениваться в интервале от 0 до 10 баллов. Средняя арифметическая оценка даст представление об интеллектуальном уровне конкретного сотрудника.
Различают четыре стиля творческого подхода к решению проблем:
• генерирующий— выявление проблемы и поиск фактов;
• концептуальный — определение проблемы и поиск идей;
• оптимизирующий — оценка идей, их отбор и планирование действий;
• исполнительский — получение одобрения и осуществление.
Генерирующий стиль мышления подразумевает извлечение информации из непосредственного опыта, исследование, рассмотрение различных вариантов, выявление новых проблем и возможностей и рассмотрение ситуации с различных точек зрения. Люди и организации с сильными генерирующими способностями предпочитают выдвигать различные варианты, а не оценивать и отбирать один из них. Для них все кажется важным, и они могут найти и хорошие, и плохие стороны почти в каждой проблеме или ситуации. Им не нравится раскладывать все по полочкам или делегировать кому-либо сложные проблемы, однако они с готовностью предоставят другим позаботиться о деталях. Их устраивает неоднозначность, и их трудно поймать на слове. Они предпочитают работать с несколькими проектами одновременно. Каждое предлагаемое ими решение подразумевает постановку еще нескольких новых задач. Мышление в этом квадрате включает в себя выявление проблемы и поиск фактов.
Концептуальный стиль мышления предполагает рассмотрение различных вариантов. Однако для него характерно постижение не на непосредственном опыте, а при помощи абстрактного мышления. Результатом здесь является объединение новых идей, нахождение точек зрения, помогающих описанию проблемы, и создание теоретических моделей, объясняющих предметы и явления. Люди и организации, обладающие сильными способностями в сфере концептуализации, находят удовлетворение в аккумулировании всей разрозненной информации, полученной в фазе генерирования, и придании ей смысла. Концептуалистам необходимо во всем разобраться: для них теория должна быть логически выверенной и ясно изложенной. Они предпочитают браться за дело, прочно овладев ситуацией и ясно определив проблему или основную идею. Им не нравится делать какой-либо выбор, приводить что-либо в исполнение или мучиться по поводу чего-либо, чего они не понимают. Они любят просто перебирать идеи и не очень беспокоятся о том, чтобы переходить к действиям.
Оптимизирующий стиль мышления, как и концептуальный, характеризуется пониманием через абстрактное мышление. Вместо рассмотрения проблемы с разных сторон индивид с подобным стилем мышления предпочитает сосредоточиться на одной. Люди с оптимизирующим стилем мышления тестируют свои решения в уме и не спешат переходить к их практической реализации. Они предпочитают находить оптимальное решение для нескольких точно определенных проблем и вопросов. Они сосредоточиваются на конкретной проблеме и анализируют большое количество информации, чтобы точно выявить, что дает сбой в данной ситуации. Они обычно уверены в своей способности создать разумную логическую оценку и выбрать наилучший вариант решения проблемы. Зачастую им недостает терпения в неоднозначных ситуациях и они не любят бесплодных раздумий о дополнительных возможностях, точках зрения или взаимосвязях между проблемами. Они полагаются на свое знание проблемы.
Исполнительский стиль мышления подразумевает сосредоточение, но в отличие от предыдущего стиля исполнителю свойственно учиться на непосредственном опыте, а не за счет абстрактных рассуждений. Результатом этого является выполнение работы. Люди, для которых характерен исполнительский стиль мышления, предпочитают переходить к делу, а не проверять идеи в уме. Они не нуждаются в детальном понимании, чтобы суметь приступить к делу и быстро приспособиться к изменяющимся обстоятельствам. Если обнаружится противоречие теории и фактов, они с легкостью от этой теории откажутся. Некоторые считают их энтузиастами своего дела, но в то же время распространено мнение, что они слишком нетерпеливы и напористы в своем стремлении осуществить все идеи и планы. Они опробуют столько новых способов, сколько понадобится, и будут исполнять все именно так, как требует-
135
ся; они обязательно добьются того, что новый процесс начнет работать.
В организации все четыре типа мышления должны находиться в равновесии.
С целью определения стиля мышления в каждой строке табл. 4.4 поставьте 4 рядом с характеристикой, лучше всего описывающей ваш способ решения проблем, 3 — рядом с менее подходящей характеристикой, 2 — рядом с еще менее подходящей и 1 — рядом с той, которая почти не подходит к вашему стилю решения проблем. В каждой горизонтальной строке должны быть проставлены разные числа. Одно число не может относиться к разным характеристикам.
Сложите все баллы в каждом столбце. Итоговая сумма в первой колонке показывает вашу склонность к использованию знаний, необходимых для решения проблемы опытным путем (непосредственную личную вовлеченность). Вторая колонка — склонность к применению знаний для решения проблем с генерированием идей (порождение идей без обсуждения). Третья колонка — склонность к использованию знаний для решения проблемы путем размышления (беспристрастное абстрактное теоретизирование). Четвертая колонка — склонность к оценке знаний для решения проблемы (приложение суждений к идеям).
Отметьте количество баллов по каждой колонке на соответствующих осях круга (рис. 4.1).
К методам анализа человеческих активов относятся:
• интервьюирование сотрудников — дает возможность найти равновесие между потребностями организации и потребностями сотрудников. Необходимо выявить и реализовать весь потенциал и все ценные качества сотрудников;
• тестирование и аттестация — нужны для получения информации о потенциале сотрудников как подтверждение, что работники используют все предоставленные возможности для внесения своего вклада в работу организации и что организация дает им широкий простор для проявления инициативы;
• выявление знаний — фиксирование знаний индивида (главные лица компании) так, чтобы их можно было передавать другим и сохранять в базе знаний;
• самооценка — дает возможность работнику оценить собственные достижения в выполнении работы;
• оценка руководителем — дает возможность воспользоваться профессиональной оценкой как поводом для расширения сферы деятельности сотрудника в организации, а также помощи в реализации его потенциала;
оценка коллегами — важна при работе сотрудников в командах. Особое внимание следует уделить исполнению должностных обязанностей на расстоянии, влияние на производительность, передачу информации;
составление послужного списка всех работников — позволяет утвердить в человеке веру в свои способности посредством аккумулирования сведений о его навыках, успехах и ошибках.
|
Таблица 4.4 Определение стиля мышления |
|
|
|
Опыт |
|
Идеи |
|
Размышление |
|
Оценка |
|
|
Деловитость |
4 |
Ребячество |
3 |
Отстранен ность |
1 |
Реалистичность |
2 |
|
Опыт |
4 |
Поиск
разнообразия |
3 |
Объективность |
2 |
Избирательность |
1 |
|
Пробы и ошибки |
3 |
Рассмотрение
альтернатив |
1 |
Обдумывание |
2 |
Оценивание |
4 |
|
Активность |
4 |
Отход от стереотипов |
3 |
Абстрагирова
ние |
1 |
Сопоставление |
2 |
Непосред
ственность |
1 |
Перебор всех возможных
вариантов |
2 |
Разработка
концепций |
3 |
Извлечение
практических
выводов |
4 |
Вовлечен
ность |
4 |
Пересмотр
перспектив |
3 |
Теоретизиро
вание |
1 |
Сужение
рассматриваемой
области |
2 |
Исполни
тельность |
3 |
Визуали
зация |
1 |
Моделирование |
2 |
Принятие
решений |
4 |
Стремление взять все
в свои руки |
1 |
Взгляд в будущее |
4 |
Копание
в литературе |
2 |
Внимание
к деталям |
3 |
Доказатель
ность |
2 |
Генерирование вариантов |
4 |
Понимание |
1 |
Решительность |
3 |
|
Практичность |
4 |
Разложение
на составляющие |
2 |
Синтезирование |
3 |
Избирательность |
1 |
Работоспо
собность |
4 |
Задумчивость |
1 |
Исследование |
3 |
Высказывание
суждений |
2 |
|
Окончанииетабл 4.4 |
|
|
|
Опыт |
|
Идеи |
|
Размышление |
|
Оценка |
|
Коммуника
бельность |
2 |
Введение
новшеств |
4 |
Беспристраст
ность |
3 |
Проверка |
1 |
|
Итого |
36 |
|
31 |
|
24 |
|
29 |
|
Опыт |
 |
|
Рис. 4.1. Генерирующий стиль мышления |
4.3. Интеллектуальный потенциал организации
Без образования нет работы, без знаний нет шансов в условиях глобальной конкуренции.
Интеллектуальный потенциал организации можно рассматривать как ее готовность к генерированию и освоению инноваций. Интеллектуальный потенциал организации складывается из накопленного объема знаний, интеллектуального уровня сотрудников, опыта инновационной деятельности. Состав показателей при оценке интеллектуального уровня организации должен учитывать новизну выпускаемой продукции, новизну используемых технологий производства, новизну технологий продажи, участие организации в профильных выставках, конференциях, образовательный уровень персонала.
138.
Оценивая интеллектуальный уровень организации, можно опираться на базовый набор показателей:
1. Имеющийся объем знаний.
1.1. Новизна выпускаемой продукции.
1.2 Новизна используемых технологий.
1.3. Новизна используемого оборудования.
2. Интеллектуальный уровень сотрудников.
2.1. Квалификационная оценка менеджмента.
2.2. Квалификационная оценка инженерных служб.
2.3. Квалификационная оценка рабочих кадров.
3. Опыт инновационной деятельности.
3.1. Инновационная сложность ранее выполненных разработок.
3.2. Масштаб ранее выполненных опытных работ.
3.3. Масштаб имеющихся инженерных проектов.
Анализ интеллектуального потенциала организации означает рассмотрение нематериальных активов компании, их оформление, фиксирование состояния на текущий момент и оценку их стоимости (табл. 4.5).
Знание интеллектуального потенциала организации полезно в следующих ситуациях:
• при подтверждении способности организации достичь своих целей (Смогут ли сегодня работники компании обеспечить успех в будущем? Располагает ли компания необходимыми технологиями для достижения стратегических целей?);
• при планировании исследований и разработок Какие знания и умения обеспечивают организации конкурентное преимущество? Каковы варианты их защиты и приумножения с целью поддержания приобретенного конкурентного преимущества?);
• при реструктуризации предприятия (Кого уволить? Какие функции можно объединить в новой организационной структуре?);
• при расширении границ корпоративной памяти путем создания базы знаний, содержащей сведения о том, кто что умеет.
Методика анализа интеллектуального потенциала организации включает следующие этапы:
• выявление имеющихся нематериальных активов;
• задание перечня параметров по каждому виду нематериальных активов;
• установление верхнего порогового и текущего значения каждого параметра;
• оценка частных индексов параметров в баллах от одного до пяти (наивысшая оценка);
• вычисление общих индексов актива как среднеарифметического частных индексов всех параметров;
• проведение анализа сильных и слабых сторон компании.
Таблица 4.5
Пример расчета индекса товарного знака |
|
|
|
Параметры товарного знака |
Верхнее
значение |
Текущее
состояние |
Индекс |
|
Приверженность покупателей |
90% |
40% |
3 |
|
Юридическая защищенность |
Патент на
20 лет |
6 лет |
3 |
|
Узнаваемость потребителями |
90% |
60% |
4 |
|
Международный потенциал |
Европа |
1 |
0 |
|
Доход от продажи лицензий |
$60млн |
$25 млн |
0 |
|
Рыночная стабильность |
Конкуренты
отсутствуют |
3 |
2 |
|
Общий индекс товарного знака |
(3 + 3 + 4 +
+0 + 0 + 2)/6 =2 |
|
|
Для разных параметров применяются различные методы определения их текущего значения.
К методам анализа рыночных активов относятся:
• опрос покупателей — помогает получить информацию о рыночном положении фирмы, о силе ее торговой марки, о приверженности ей покупателей, об эффективности механизма распределения и продвижения;
• анализ продаж — проводится с целью выявления доли повторных покупок в их общем объеме, привычек покупателей, структуры портфеля заказов, эффективности канала распределения или лицензионных договоров;
• анализ коммерческих расходов — используется при анализе эффективности канала распределения. Если торговые издержки непомерно велики, то можно рассмотреть возможность партнерских соглашений лицензионного характера;
іо*
• анализ конкурентоспособности необходимо проводить регулярно с привлечением третьей стороны. Список анализируемых объектов обширен — это рыночное положение, сила торговой марки, товары, каналы распределения и т. д;
• анализ коэффициента окупаемости инвестиций проводится с целью выделения приоритетов при инвестировании в активы;
• анализ платежей по лицензионным договорам, т. е. проверка соответствия полученных лицензионных сумм достигнутой договоренности.
К методам анализа интеллектуальных активов относятся:
• анализ рыночного спроса — необходим при принятии решения о лицензировании или продаже интеллектуальной собственности, выявлении потенциальных покупателей и исследовании их реальной заинтересованности в покупке;
• анализ конкурентоспособности — изучение патентной деятельности конкурента, а также преследование по закону нарушений прав на свою интеллектуальную деятельность;
• анализ коэффициента окупаемости инвестиций в интеллектуальную собственность. Продажа патента приносит прибыль непосредл ственно, в то время как в готовой продукции вклад интеллектуальной собственности не столь очевиден;
• анализ достигнутых соглашений. Если причина создания и защиты интеллектуальной собственности состоит в получении прибыли от лицензионных соглашений, то эти соглашения должны находиться под постоянным контролем;
• анализ коэффициента окупаемости инвестиций в судебные тяжбы. Защита интеллектуальной собственности может обходиться недешево, особенно если вы регистрируете, используете и защищаете патенты по всему миру;
• анализ знаний и умений. Для обеспечения действенной защиты знаний и умений как интеллектуальной собственности необходимо заключать конфиденциальные соглашения или договоры о неразглашении;
• шал из платежей, поступающих по лицензионным соглашениям, отражает ценность интеллектуальной собственности, на которую предоставлена лицензия. При аудите лицензионных соглашений на предмет правильности платежей целесообразно учесть затраты на проведение самого аудита, поддержку данного соглашения, а также упущенные возможности заключения подобных соглашений с другими фирмами.
К методам анализа инфраструктурных активов относятся:
• обзор текущего состояния инфраструктурных активов дает возможность выявить упущенные возможности по причине эксплуатации не соответствующих сегодняшнему дню систем и предложить их усовершенствование. Например, замена авторитарного стиля руководства на демократический;
• определение коэффициента окупаемости инвестиций в компьютерные системы. Поставщиками информационных технологий и сетевых систем часто приравнивается к показателю прибыльности продаж. Изменение философии и управленческих процессов требует немалых затрат. Выгоды от системы могут проявляться в сокращении производственных издержек, снижении процента низкокачественных товаров, сокращении затрат на содержание персонала;
• анализ соответствия корпоративным целям— следует проанализировать степень соответствия активов заявленным целям, а затем избавиться от того, что этим целям противоречит;
• анализ дополнительной ценности. Инфраструктурные активы могут принести дополнительную ценность при надлежащем их использовании. Система консультирования клиентов обеспечит разработчиков информацией, если продумана подходящая система передачи данных. Бухгалтерские базы данных полезны при отслеживании продаж. Базы данных можно отнести к полезным и ценным активам при условии их своевременного обновления;
• опрос клиентов и сотрудников об инфраструктуре организации, нахождение разницы между имеющейся и желаемой инфраструктурой.
После описания всего интеллектуального капитала строится карта сильных и слабых сторон компании. Карта поделена на четыре квадранта, характеризующих одну из категорий интеллектуального капитала: рыночные, инфраструктурные, человеческие и интеллектуальные активы. Карта состоит из пяти окружностей: красной (1 балл), оранжевой (2 балла), желтой (3 балла), зеленой (4 балла), синей (5 баллов). Значения индексов наносятся на карту в виде кругов — для важных активов рисуется большой круг, для менее важных — маленький. Активы, среднее значение индекса которых от 0 до 1, обозначаются красным кругом, от 1 до 2 — оранжевым и т. д.
Рыночные активы обычно преобладают в компаниях, чьи товары и услуги зависят от известности марки; интеллектуальные активы — в компаниях, акцентирующихся на лежащих в основе продукта патентах или авторских правах; инфраструктурные активы — в организациях с ведущей ролью систем, например банках или страховых компаниях; человеческие активы — в консалтинговых фирмах.
На рис. 4.2 изображено состояние интеллектуального потенциала гипотетической организации. Из восьми больших кругов половина находится в квадранте интеллектуальной собственности. Итак, это компания, в которой явно доминирует интеллектуальная собственность. Но является ли доминирование интеллектуальной собственности уместным для данной компании? Рыночные активы немногочисленны: один находится в зеленой зоне, остальные — ниже среднего уровня. Человеческие активы слабые: 50% — в красной зоне. 40% всех активов составляют интеллектуальные, из них 66% располагаются ниже среднего уровня, включая все значимые активы. В синей зоне нет ни одной точки. Итак, эта компания строит свою деятельность на основе интеллектуальной собственности и находится перед последним витком нисходящей спирали развития своих интеллектуальных активов. Человеческие активы слабы, поэтому в ближайшем будущем не предвидится ни регистрации новых патентов, ни приобретения ценных навыков. Интелле'
 |
|
Рис. 4.2. Карта сильных и слабых сторон компании |
143
ктуальный капитал этой компании находится в очень плохом состоянии, и оно будет ухудшаться.
Красные компании. Компании, чьи активы обозначены в основном красным цветом, находятся в опасной зоне. Их интеллектуальный капитал слаб, и достижение корпоративных целей затруднено. Необходимо подумать о приобретении активов путем покупки лицензии, покупки самого актива и т. д. Слабость человеческих активов может означать недостаточный уровень квалификации или знаний работников. Компании с инфраструктурными, рыночными и человеческими активами в красной зоне не располагают временем, чтобы подрасти до оранжевой или желтой зоны. Компании с преобладанием интеллектуальной собственности в красной зоне еще могут принять решение о лицензировании или покупке активов.
Оранжевые компании находятся слишком близко к опасной зоне. Следует предпринять действия, рассчитанные на ближайшие и отдаленные сроки, способствующие продвижению к синей зоне. Оранжевые компании с доминирующими инфраструктурными и рыночными активами упустили время для органического роста. Оранжевые компании с доминирующими человеческими и интеллектуальными активами еще имеют время для найма нового персонала и приобретения активов или лицензий.
Желтые компании. Это может означать и хорошее, и плохое состояние в зависимости от направления развития. Необходима постоянная оценка состояния своих активов, чтобы не допустить пересечения границы безопасной зоны.
Зеленые компании находятся в довольно хорошей форме, однако они не достигли своих целей. Если раньше они были в синей зоне, то какой-то фактор ослабил их способность сохранять это положение. Если меры по исправлению этой ситуации не принимаются, то компания вскоре окажется в желтой зоне и тогда уже может не остаться времени на улучшение ситуации и она превратится в непоправимую. У зеленых компаний должна быть выработана политика в отношении интеллектуального капитала, и в них на регулярной основе должен проводиться аудит.
Синие компании. Это наилучшее положение. Поставив себе цели, компания достигла их, и теперь время ставить новые цели, развиваться дальше. В результате переориентации компания может скатиться в зеленую зону, однако это нормально при условии, что ситуация находится под контролем. Синие компании должны планировать расширение своего интеллектуального капитала в ближайшем и отдаленном будущем.
4.4. Интеллектуальный потенциал вуза
Зри в корень.
Козьма Прутков
Число показателей, используемых для характеристики состояния и деятельности вуза, очень велико. Наиболее обобщенными показателями, характеризующими масштаб вуза, считаются число преподавателей, число аспирантов и студентов, стоимость фондов.
Потенциал вуза показывает его возможности. Он характеризуется показателями: квалификационным составом преподавательского и научного коллективов, наличием признанных научных школ; количеством наличных учебных и обеспечивающих площадей, наличием и прогрессивностью учебного и научно-исследовательского оборудования; наличием собственных учебных и методических разработок; имеющейся территорией и возможностью ее развития; широтой учебных и научных связей внутри страны и в других государствах.
Показатели полезности труда коллектива вуза — это:
• доля выпускников, работающих в соответствии с полученной специальностью;
• количество выпускников, занявших ведущие должности в промышленности, экономике, государственном управлении;
• количествовыпускников; получивших в последующем более высокое квалификационное признание в России и других государствах;
• количество методических разработок (технологий обучения, учебников, учебных планов и т. п.), получивших признание в других вузах;
• количество научных и технических разработок, внедренных в промышленности.
Показатели качества труда — это степень соответствия продукта требованиям, стандартам и ожиданиям. Для вуза такими показателями являются;
• уровень оценки знания учащихся в процессе обучения;
• квалификационные оценки государственных экзаменов и защит выпускных работ в государственных экзаменационных комиссиях;
• соответствие возможностей, навыков и умений выпускников требованиям получаемых рабочих мест;
4. Анализ интеллектуального потенциала_145
• соответствие используемых технологий обучения сложившемуся их уровню в лучших вузах;
• соответствие показателей создаваемых образцов техники, технологии, способов организации труда, элементов обеспечения труда требованиям лучших стандартов.
Показатели качества условий труда характеризуются:
• степенью соответствия принятых условий учебы и труда требованиям санитарии, экологии и безопасности;
• обеспеченностью учебным современным оборудованием;
• доступностью использования компьютерной техники и ее современных возможностей;
• доступностью и качеством учебной и научной литературы;
• прогрессивностью способов подготовки учебного материала.
Показатели эффективности деятельности вуза показывают соотношение достигаемых результатов и затрачиваемых ресурсов:
• количество выпускников на одного преподавателя;
• количество выпускников на одного работающего;
• сумма общих расходов на подготовку одного выпускника (студента, аспиранта, докторанта, слушателя);
• количество отдельных видов материальных и финансовых ресурсов, затрачиваемых на подготовку одного выпускника.
Для современного вуза большое значение играет его гибкость как оперативность реагирования на изменяющиеся потребности общества. Особенностью крупного вуза является значительная инерционность, поэтому компенсировать ее можно только созданием специальных механизмов оперативного выявления «сигналов» окружающей среды, анализа их и реагирования на них изменениями в своей деятельности. Оценить оперативность вуза можно показателями:
• наличием элементов гибкости в учебных планах;
• свободой выбора профиля своей подготовки учащимся;
• обновляемостью состава специальностей;
• разнообразием форм предоставления учебных услуг;
• новизной используемого оборудования;
• универсальностью используемого учебного и исследовательского оборудования;
• обновляемостью управленческих, преподавательских и научных кадров;
• использованием в процессе обучения и научных исследований последних достижений науки и техники;
• степенью свободы и оперативности принятия решений науров-нях управления (кафедра, факультет, отдел, лаборатория).
При государственной аккредитации вуз оценивается следующей системой показателей:
• структура и содержание реализуемых образовательных программ;
• соответствие учебных планов и программ учебных дисциплинтре-бованиям государственных образовательных стандартов;
• уровень требований при приеме в вуз;
• уровень организации учебного процесса;
• соответствие уровня подготовки обучающихся требованиям государственных образовательных стандартов;
• внутривузовская система контроля качества;
• трудоустройство выпускников;
• состояние библиотечного фонда;
• состояние учебно-информационного фонда;
• обеспеченность вычислительной техникой;
• обеспеченность специализированными аудиториями, лаборатО' риями, оборудованием;
• условия проживания в общежитии;
• условия для занятий спортом;
• условия питания.
Интеллектуальный потенциал персонала вуза базируется на показателях (номера показателей используются в дальнейшем в расчетных формулах при опущенных весовых коэффициентах):
1 — численность докторов наук;
2 — численность профессоров;
3 — численность докторов наук и профессоров в возрасте до 50 лет;
4 — численность кандидатов наук;
5 — численность кандидатов наук в возрасте до 30 лет;
6 — численность членов Российской академии наук;
7 — численность членов Российской академии медицинских наук,
Российской академии образования, Российской академии художеств, членов Российской академии сельскохозяйственных наук, Российской академии архитектуры и строительных наук;
8 — численность членов других академий России;
9 — численность членов зарубежных академий;
10 — численность лауреатов государственных премий и наград;
11 — численность лауреатов государственных званий;
12 — численность почетных докторов других вузов. Интеллектуальный потенциал персонала вуза вычисляется через квалификацию, перспективность, элитарность и общественное признание:
1. Квалификация 1+ 4.
2. Перспективность 3 + 5.
3. Элитарность 6 + 7 + 8.
4. Общественное признание 2 + 9 + 10+11 + 12.
Интеллектуальный научный потенциал основывается на показателях:
14 — число работающих диссертационных советов;
15 — количество защищенных докторских диссертаций;
16 — количество защищенных кандидатских диссертаций;
17 — число научных лабораторий;
18 — число лабораторий, имеющих статус отраслевых или межву-
зовских;
19 — число научных сотрудников;
20 — число научных сотрудников, имеющих ученые степени;
21 — число научных сотрудников, членов академий;
22 — объем выполненных научных работ;
23 — полученные авторские свидетельства;
24 — изданные монографии;
25 — число полученных государственных наград за научные разработки;
26 — монографии, изданные за рубежом.
Интегральными оценками интеллектуального научного потенциала вуза являются:
3. Перспективность 15 + 16.
Интеллектуальная учебно-методическая база характеризуется показателями: на.
27 — разработанные учебные программы;
28 — изданные учебники;
29 — учебники, изданные в других странах;
30 — изданные учебные пособия;
31 — учебные материалы, изданные с грифом Министерства образо
вания;
32 — число учебно-методических лабораторий;
33 — объем выполненных учебно-методических исследований;
34 — численность библиотечного фонда;
35 — число государственных наград, полученных за учебные разра
ботки.
Интегральными оценками интеллектуального учебного потенциала вуза являются:
1. Учебная база 32 + 34.
2. Перспективность 27 + 28 + 30 +33.
3. Элитарность 29 + 23 + 31.
4. Общественное признание 31+ 35.
Интеллектуальное материальное обеспечение характеризуется показателями:
36 — стоимость оборудования возраста до 5 лет;
37 — общее количество персональных компьютеров в вузе;
38 — общее количество терминалов в однопроцессорных системах
коллективного пользования;
39 — компьютерные системы поддержки системы управления вузом;
40 — число имеющихся компьютерных учебников;
41 — число специализированных лабораторий;
42 — число специализированных аудиторий.
Интегральной оценкой интеллектуальной материальной базы является сумма:
36 + 37 + 38 + 39 + 40 + 41 + 42.
Для сопоставления показателей различных вузов соответствующие оценки вычисляются на одного студента. Для сопоставления показателей в рамках интегральных оценок групп и вычисления итогового рейтинга привлекаются взвешенные суммы, в которых весовые коэффициенты задаются экспертным путем.
Более полная характеристика интеллектуального потенциала вуза включает текущие (годовые) и динамические (приростные) показатели.
ИНТЕЛЛЕКТУАЛЬНАЯ СОБСТВЕННОСТЬ КАК ОБЪЕКТ ОЦЕНКИ
Всякая новая идея, провозглашение и осуществление которой может быть полезным для общества, принадлежит тому, кто ее создал, и было бы ограничением прав человека не рассматривать новое промышленное изобретение как собственность его творца.
Французский патентный закон от 7 января 1791 г.
5.1. Виды интеллектуальной собственности
Лучшие мысли являются общим достоянием.
Сенека
В соответствии с Парижской конвенцией по охране промышленной собственности, принятой в 1883 г., объектами охраны интеллектуальной собственности являются:
• новые решения технических задач (изобретения);
• полезные модели, дизайн изделий.
По Парижской конвенции научные открытия не относятся к интеллектуальной собственности, поскольку международное право не фиксирует права собственности применительно к научным открытиям. Закон РФ «Об авторском праве и смежных правах» также предусматривает, что авторское право не распространяется на идеи, методы, процессы, системы, способы, концепции, принципы, открытия, факты (ст. 6, п. 3).
Конвенция об учреждении Всемирной организации интеллектуальной собственности (ВОИС), принятая в Стокгольме 14 июля 1967 г., предусматривает следующие объекты интеллектуальной собственности:
литературные, художественные произведения и научные труды;
• исполнительскую деятельность артистов, фонограммы и радиопередачи;
• изобретения во всех областях человеческой деятельности;
• научные открытия;
• промышленные образцы;
• товарные знаки, знаки обслуживания, коммерческие наименования и обозначения;
• пресечение недобросовестной конкуренции (способ защиты интеллектуальной собственности).
При переходе к инновационной экономике особое значение приобретают вопросы охраны, защиты и использования интеллектуальной собственности как особого вида нематериального товара. В стране в ближайшее время должно быть завершено формирование нормативной правовой базы в этой области, обеспечено проведение работ по постановке интеллектуальной собственности на бухгалтерский учет в качестве нематериальных активов, определена ответственность государственных органов, являющихся государственными заказчиками научно-технических, опытно-конструкторских и технологических работ. При этом права на объекты интеллектуальной собственности, созданные за счет средств федерального бюджета, должны быть распределены между участниками правоотношений, включая государство, таким образом, чтобы не возникало препятствий при вовлечении результатов научных разработок в хозяйственный оборот.
Интеллектуальная собственность — исключительное право физического или юридического лица на результаты интеллектуальной деятельности и приравненные к ним средства индивидуализации юридического лица, индивидуализации продукции, выполняемых работ или услуг (ст. 138, Гражданский кодекс РФ).
Интеллектуальная собственность научно-технической и производственной сфер включает объекты промышленной собственности, объекты авторского права, права на секреты (табл. 5.1).
Таблица 5.1
Структура интеллектуальной собственности
Патент на изобретение Свидетельство на полезную модель Патент на промышленный образец Объекты промышленной Свидетельство на товарный знак собственности (знак обслуживания)
|
Окончание табл. 5.1 |
|
|
|
|
Свидетельство на право пользования фирменным наименованием (свидетельства о регистрации юридического лица) Свидетельство на право пользования наименованием места происхождения Право на пресечение недобросовестной конкуренции |
|
Объекты авторского права |
Права на программы ЭВМ
Права на базы данных
Права на топологию интегральных микросхем
Права на научные публикации |
|
Коммерческая тайна (ноу-хау) |
Права на коммерческие секреты
Права на производственные секреты
Права на организационно-управленческие секреты |
Права на объекты промышленной собственности — это исключительные права, охраняющие содержание созданных технических решений и художественно-конструкторских решений, а также исключительные права на средства индивидуализации хозяйствующих на рынке производителей товаров и услуг.
Объектами промышленной собственности являются изобретения, полезные модели, промышленные образцы, научные открытия; товарные знаки, знаки обслуживания, фирменные наименования; право на пресечение недобросовестной конкуренции.
Изобретение — новое и обладающее существенными отличиями техническое решение задачи, дающее положительный эффект. Объектами изобретения являются: устройство; способ; вещество; применение ранее известных устройств, способа, вещества по новому назначению.
Под устройством понимается система расположенных в пространстве элементов, определенным образом взаимодействующих друг с другом: машины, приборы, механизмы, инструменты, транспортные средства, оборудование, сооружения и т. д.
К способам как объектам изобретения относятся процессы выполнения действий над материальным объектом с помощью материальных объектов. Способ — это совокупность приемов, выполняемых
152
в определенной последовательности или с соблюдением определенных правил. Они подразделяются на две группы:
1. Способы, направленные на изготовление продуктов (изделий, веществ и т. д.); на изменение состояния предметов материального мира без получения конкретных продуктов (транспортировка, обработка, регулирование и т. д.).
2. Способы, в результате которых определяется состояние предметов материального мира (контроль, измерение, диагностика и т. д.).
Специфика изобретений-способов, направленных на изготовление продуктов, заключается в том, что действие патента распространяется и на продукт, изготовленный непосредственно этим способом (п. 2 ст. 10 Патентного закона).
К веществам относятся: индивидуальные химические соединения; высокомолекулярные соединения и объекты генной инженерии; композиции (составы, смеси); продукты ядерного превращения.
Индивидуальные химические соединения логут заявляться в качестве изобретений тогда, когда установлен их качественный и количественный состав, а также связь между атомами и взаимное их расположение в молекуле, выраженное структурной химической формулой. Для индивидуальных соединений с не установленной структурой, в частности антибиотиков, а также объектов генной инженерии, необходимо раскрытие их физико-химических и иных характеристик (в том числе признаки способа их получения), позволяющих их идентифицировать.
Для характеристики композиций (сплавы, керамика, смеси любого назначения и т. п.) используются такие признаки, как качественный и количественный состав ингредиентов, структура композиции и ингредиентов и т. д. Защита композиций не установленного состава может быть предоставлена, если определены их физико-химические, физические и утилитарные показатели и признаки способа получения.
Продукты ядерного превращения характеризуются, в частности, качественным (изотоп) и количественным (число протонов и нейтронов) составом, а также основными ядерными характеристиками: периодом полураспада, типом и энергией получения (для радиоактивных изотопов). Применение известных ранее устройств, способов, веществ, штаммов по новому назначению состоит в том, что известное техническое средство предлагается использовать с иной целью для решения задачи, которая не имелась в виду ни автором, ни другими специалистами, когда впервые стали применяться данное устройство, способ, вещество или штамм.
Изобретение на применение не характеризуется ни конструктивными, ни технологическими, ни качественными средствами. Его суть заключается в установлении новых свойств уже известных объектов и определении новых областей их использования. Для характеристики изобретений на применение используются краткая характеристика применяемого объекта, достаточная для его идентификации, и указание нового назначения известного объекта. К применению по новому назначению приравнивается первое применение известных веществ (природных и искусственно полученных) для удовлетворения общественной потребности.
Полезная модель — конструктивное выполнение средств производства и предметов потребления, а также их составных частей — отличается от изобретения более низким требуемым уровнем технологического процесса и более коротким сроком охраны. Полезная модель, как и изобретение, является техническим решением задачи. Их основные различия заключаются в двух моментах. Во-первых, в качестве полезных моделей охраняются не любые технические решения, а лишь устройства. Во-вторых, к полезным моделям не предъявляется требовании изобретательского уровня.
Промышленный образец — это художественно-конструкторское решение изделия, определяющее его внешний вид. Если изделие воспроизведено промышленными средствами, то оно охраняется законом о промышленной собственности. Если изделие существует в единичном экэемпляре, то охраняется законом об авторском праве («копирайт»). Охрана промышленных образцов регулируется Гаагским соглашением о международном депонировании промышленных образцов. Для этого достаточно оформления заявки в Международном бюро ВОИС.
Научное открытие — признание явлений, свойств или законов материального мира, которые до сих пор не были познаны и не допускали проверки. Согласно Женевскому договору о международной регистрации научных открытий (1978 г.), объектом открытия признается неизвестное ранее свойство или закономерность материального мира.
Рационализаторское предложение — техническое решение, являющееся новым и полезным и предусматривающее изменение конструкции изделий, технологии производства или изменение состава материала. К рационализаторским предложениям относятся: проекты (чертежи или технические проекты); конструкции; технологические процессы.
Товарные знаки, знаки обслуживания, фирменные наименования, наименования мест происхождения товаров — обозначения или названия, служащие для отличия товаров или услуг одного производителя от товаров или услуг другого производителя.
154
Товарный знак (слово, рисунок) лишь проставляется на изделии в отличие от промышленного образца, который является составной частью самого промышленного изделия (форма, цвет, рисунок изделия).
Знак обслуживания — это товарный знак, связанный с предоставлением услуг. Используется знак обслуживания отелями, ресторанами, туристическими бюро, прачечными, химчистками, авиакомпаниями, агентствами по прокату и др.
Фирменные наименования характеризуют репутацию и положение предприятия в целом. Служат для его распознавания и выделения из числа других, а также полезным источником информации для потребителей. Охрана фирменных наименований предусмотрена законодательством большинства стран. Но правовые режимы в отношении их резко отличаются, так как определяются положениями гражданского и торгового права. Во многих странах введены различные системы регистрации фирменных наименований.
Наименованиеместа происхождения товара — это географическое название страны, населенного пункта, местности, где произведен продукт. По наименованию места происхождения можно судить о специфических свойствах и качестве товара, которые определяются географическими условиями района, где этот продукт произвели. Использовать место происхождения правомочны только предприятия, расположенные в данной географической зоне, и только применительно к конкретным продуктам, произведенным в этих зонах («Боржоми»).
Указания на источник происхождения товара — наименование, выражение или знак, которые показывают, откуда поступил данный продукт («Сделано в России»),
Право на пресечение недобросовестной конкуренции включено в промышленную собственность в связи с тем, что акты недобросовестной конкуренции часто являются нарушением права на объекты промышленной собственности.
Авторское право {копирайт) распространяется на произведения науки, литературы, искусства, которые являются результатом творческой деятельности, независимо от назначения, достоинства и способа выражения произведения. Авторское право — исключительные права, охраняющие не содержание произведения, а его форму. Охрана литературных и художественных произведений регулируется Бернской Конвенцией (1886 г.), открытой для всех государств.
Авторское право обозначает право на данное произведение, на изготовление и распространение его копий либо самим автором, либо с разрешения последнего, а также право автора пресекать любые иска-.155
жения своего произведения и получать в течение всей жизни и 50 лет после смерти доход, который приносит его произведение. Объектами авторского права в научно-технической и промышленной сферах являются программы для ЭВМ, базы данных, топологии интегральных микросхем, научные публикации.
Программа для ЭВМ— объективная форма предоставления совокупности данных и команд, предназначенных для функционирования ЭВМ и других компьютерных устройств с целью получения определенного результата.
База данных — объективная форма представления и организации совокупности данных, систематизированных таким образом, чтобы эти данные могли быть найдены и обработаны с помощью ЭВМ.
Топология интегральных микросхем — зафиксированное на материальном носителе пространственно-геометрическое расположение совокупности элементов интегральной микросхемы и связей между ними. Она предназначена для выполнения функций электронной микросхемы.
Правовая защита касается только монолитных схем, т. е. оригинальной технологии, которая создана в результате творческой деятельности автора и неизвестной разработчикам и изготовителям на дату создания интегральной микросхемы непосредственно в полупроводниковой пластине. К интегральным микросхемам, получаемым на пленочной или гибридной основе, правовая защита не относится.
Коммерческая тайна (ноу-хау) — информация технического, организационного, служебного или коммерческого характера, которая имеет действительную или потенциальную коммерческую ценность в силу неизвестности ее третьим лицам, к ней нет свободного доступа на законном основании, и обладатель информации принимает меры к охране ее конфиденциальности (ст. 139, Гражданский кодекс). К объектам коммерческой тайны относятся коммерческие, производственные и организационно-управленческие секреты.
Коммерческие секреты — сведения о конъюнктуре рынка, банковских отношениях, кредитах, ссудах, долгах и объемах коммерческой деятельности; сведения о заключенных договорах; списки клиентов; деловая переписка; формы и виды расчетов и т. д.
Производственные секреты — это не защищенные патентами изобретения, опытные образцы, результаты НИОКР, конструкторская, технологическая, проектная документация и т. д.
Организационно-управленческие секреты—системы организации производства, маркетинга, управления качеством, персоналом, финансами.
Отношения, связанные с правом конфиденциальности, регулируются гражданским, уголовным законодательством и законодательством о пресечении недобросовестной конкуренции. Государством предоставляется исключительное право на возмещение причиненных убытков в случае незаконных методов получения информации, составляющей коммерческую тайну, т. е. промышленный шпионаж, нарушение условий контракта о конфиденциальности и т. п.
5.2. Правовая охрана интеллектуальной собственности
Защита результатов НИОКР — важнейшая задача любых предприятий, поскольку без правовой защиты они легко могут стать жертвами конкурентов. При публикации сведений о новых разработках или выпуске продукта на рынок без патентной защиты конкурент получает возможность сэкономить время и средства на НИОКР и за счет этого получить дополнительную прибыль. Более того, он может неожиданно запатентовать нужную разработку, что поставит под угрозу выпуск продукции на предприятии, первоначально владевшем ею.
Правовая охрана объектов интеллектуальной собственности обеспечивается на основе патентного законодательства, законодательства по защите от недобросовестной конкуренции (права на коммерческую тайну), авторского права, законодательства о средствах индивидуализации.
Родиной первых авторского и патентного законов в современном смысле считается Англия. В 1623 г. при короле Якове Стюарте был принят «Статут о монополиях», которым провозглашалось исключительное и независимое от воли короля право каждого, кто создаст и применит техническое новшество, монопольно пользоваться в течение 14 лет выгодами и преимуществами, доставляемыми таким новшеством.
Патентное ведомство Российской Федерации является центральным органом федеральной исполнительной власти, обеспечивающим формирование и проведение единой государственной политики в области правовой охраны промышленной собственности. Патентное ведомство РФ — Комитет РФ по патентам и товарным знакам («Роспатент»). В состав данной службы входят: Всероссийский научно-исследовательский институт государственной патентной экспертизы, Апелляционная палата, Российская государственная патентная библиотека, Всероссийский институт промышленной собственности и инноватики; Управление прав промышленной собственности, Всероссийский научно-
157
исследовательский институт патентной информатики; Центр патентноинформационного обслуживания «Информпатентк Указанные организации в совокупности со структурными подразделениями центрального аппарата Роспатента обеспечивают функционирование единой государственной патентной службы.
Высшая патентная палата РФ, призвана выступать в качестве независимой инстанции по разрешению патентно-правовых споров и решению некоторых других вопросов патентного характера.
Задачей Федерального фонда изобретений является отбор изобретений, полезных моделей, промышленных образцов, приобретение на них прав патентообладателя на договорной основе и содействие их реализации в интересах государства.
5.2.1. Правовая охрана изобретения, полезной модели, промышленного образца
Техническое новшество можно защитить от использования другими лицами путем оформления патента на изобретение, патента на промышленный образец, свидетельства на полезную модель или ноу-хау.
Патент (лат. patens — открытый) — юридически закрепленное исключительное право пользования, производства и продажи продукции на период, предусмотренный законодательством.
Страновая специализация в патентовании прослеживается довольно четко. Американское патентование связано преимущественно с медициной, японское — с системами переработки информации, включая фотографию, телевидение, производство современных музыкальных инструментов, немецкое — с механическими системами и органической химией.
Процедура оформления патентных прав включает следующие этапы:
• подача заявки на изобретение (промышленный образец, полезная модель) в Патентное ведомство;
• проведение формальной экспертизы заявки;
• проведение экспертизы заявки по существу;
• государственная регистрация и выдача патента (свидетельства) или отказ в выдаче патента (свидетельства).
Заявка на изобретение (полезную модель) должна содержать: заявление о выдаче патента на изобретение (свидетельства на полезную модель), описание, формулу, чертежи, реферат. Описание раскрывает изобретение (полезную модель) с полнотой, достаточной для осуществления, формула выражает сущность.
isa
Заявка на промышленный образец должна содержать: заявление о выдаче патента на промышленный образец; комплект фотографий изделия (макета, рисунка); чертеж общего вида изделия, эргономическую схему, конфекционную карту; описание промышленного образца, включающее перечень его существенных признаков.
Таким образом, объем правовой охраны, предоставляемой патентом на изобретение и свидетельством на полезную модель, определяется их формулой, а патентом на промышленный образец — совокупностью его существенных признаков, отображенных на фотографиях изделия (макета, рисунка).
Формальная экспертиза заявки включает проверку документов, проводится Патентным ведомством по истечении двух месяцев от даты поступления заявки. В результате заявитель получает уведомление о положительном исходе экспертизы или уведомление об отказе в выдаче патента. По истечении 18 месяцев от даты подачи заявки публикуются сведения о заявке, после чего любое лицо вправе ознакомиться с ее материалами.
Заявитель может ходатайствовать о проведении по заявке, прошедшей формальную экспертизу с положительным результатом, информационного поиска для определения уровня техники, в сравнении с которым будет осуществляться оценка новизны и изобретательского уровня заявленного предложения.
Экспертиза заявки по существу включает установление приоритета и проверку патентоспособности изобретения, проводится Патентным ведомством по ходатайству заявителя, которое может быть подано в течение трех лет от даты поступления заявки. Если ходатайство не будет подано в указанный срок, заявка считается отозванной. Патентоспособным является новое, имеющее изобретательный уровень и промышленно применимое изобретение.
Патентные исследования проводятся с целью определения уровня техники, выявления аналогов и прототипа. Для их проведения используют международную классификацию изобретений и патентную информацию. Международная классификация изобретений была разработана на основании принятой в 1954 г. Конвенции о применении международной патентной классификации.
Под патентной информацией понимают совокупность различных источников информации об отечественных и зарубежных изобретениях, официально зарегистрированных патентными ведомствами и защищенных авторскими свидетельствами и патентами.
Источниками информации являются базы данных:
• диссертации;
• НИОКР (ВНТИЦ Минпромнауки РФ);
• НИОКР ша^ііо техническая документация ОПК (ВИМИ Минэкономразвития РФ);
• патентная документация;
• зарегистрированные ОИС (ФИПС и НИЦ Роспатента РФ);
• стандарты, метрологические нормативы (Федеральный фонд Госстандарта);
• публикации по естественным и техническим наукам (ВИНИТИ РАН и Миннауки РФ);
• электронные издания (НТЦ«Информрегиетр»).
Если заявленное изобретение, выраженное формулой, соответствует условиям патентоспособности, выносится решение о выдаче патента с этой формулой; иначе — выносится решение об отказе в выдаче патента.
При экспертизе заявки на полезную модель проверка соответствия условиям патентоспособности (новизна и промышленная осуществимость) не осуществляется. Свидетельство выдается под ответственность заявителя без гарантии действительности.
Публикуемые в официальном бюллетене сведения о выдаче патента включают имя автора и патентообладателя, название и формулу изобретения (полезной модели) или перечень существенных признаков промышленного образца и его изображение. Одновременно изобретение (полезная модель, промышленный образец) вносится в соответствующий государственный реестр.
Получение патента (свидетельства) и поддержание его в силе связано с определенными материальными затратами (табл. 5.2-5.3). В связи с неуплатой в установленный срок пошлин за поддержание охранного документа в силе его действие может быть досрочно прекращено.
Таблица 5.2
Пошлины за патентование изобретений и полезных моделей, МРОТ |
|
|
|
Подача заявки на выдачу патента РФ па изобретение |
2 |
|
Подача заявки па выдачу свидетельства на полезную модель |
1 |
|
Проведение экспертизы заявки и» существу в отношении изобретения |
3 |
|
Преобразование заявки на полезную модель в заявку на изобретение |
0.6 |
|
Преобразование заявки на изобретение в заявку на полезную модель |
0.1 |
|
Окончание табл. 5.2 |
|
|
|
Регистрация изобретения, полезной модели и выдача патента на изобретение, свидетельства на полезную модель |
4 |
|
Регистрация лицензионного договора, относящегося к одному патенту на изобретение, одному свидетельству на полезную модель |
2 |
|
Регистрация изменений, внесенных в зарегистрированный лицензионный договор, договор об уступке патента, свидетельства |
0,5 |
|
Подача заявления о предоставлении любому лицу права на использование объекта промышленной собственности (открытая лицензия) и за публикацию сведений о таком заявлении |
0,5 |
|
Постановление Правительства РФ от 12.08.96 № 947. |
Таблица 5.3
Размер годовой пошлины на поддержание в силе патента, МРОТ |
|
|
|
Год(отдаты поступления заявки) |
Патент
на изобретение |
Патент на промышленный образец |
Свидетельство
на полезную
модель |
|
1 |
- |
- |
0,5 |
|
2 |
- |
- |
0,5 |
|
3 |
1 |
1 |
1 |
|
4 |
1 |
1 |
1,5 |
|
5 |
1,5 |
1,5 |
1,5 |
|
6 |
1,5 |
1,5 |
2 |
|
7 |
2 |
2 |
2 |
|
8 |
2 |
2 |
2 |
|
9 |
3 |
3 |
- |
|
10 |
3 |
3 |
|
|
11 |
4,5 |
3 |
- |
|
12 |
4,5 |
3 |
- |
|
13 |
6 |
4 |
- |
|
14 |
6 |
4 |
- |
|
15 |
7,5 |
4 |
_ |
|
16 |
7,5 |
- |
- |
|
17 |
7,5 |
- |
_ |
|
18 |
7,5 |
|
_ |
|
Окончание табл. 5.3 |
|
|
|
Год (от даты поступления заявки) |
Патент
на изобретение |
Патент на промышленный образец |
Свидетельство на полезную
модель |
|
19 |
10 |
_ |
- |
|
20 |
10 |
- |
|
|
Источник: Постановление Правительства РФ от 12.08.96№ 947, |
Патент на изобретение действует 20 лет от даты поступления заявки в патентное ведомство. Патент на промышленный образец действует в течение 10 лет от даты подачи заявки с возможностью продления еще на 5 лет. Свидетельство на полезную модель действует в течение 5 лет с возможным продлением до 3 лет (ст. 3, Патентный закон РФ).
При выборе формы правовой охраны возможны варианты:
• техническое решение на устройство можно оформить как полезную модель или как изобретение;
• ноу-хау можно оформить только документально без необходимых для сохранения тайны мер организационного и технического характера или с ними;
• передачу результатов исследований и разработок в уставный капитал можно оформить с помощью лицензии или патента.
Использование правовой охраны по стадиям жизненного цикла разработки отличается: на ранней стадии — это засекречивание; перед переговорами с возможными партнерами по коммерциализации — подача заявки на изобретение в Роспатент и получение приоритетной справки; в процессе использования разработки — отзыв заявки в течение года или получение патента через год. Хотя преимущества патентной защиты очевидны, часто фирмы отказываются от патентования своих изобретений. Одной из причин такой ситуации является тот факт, что на основе патента конкурент может найти направление поиска, так как в описании изобретения к патенту раскрывается его сущность и приводятся примеры, иллюстрирующие возможность практической реализации изобретения.
В патентном законодательстве закрепляется право на патент за работодателем, если работник в рамках служебных обязанностей и в рабочее время создал изобретение, полезную модель или промышленный образец.
Результатами интеллектуальной деятельности НИИ и КБ, созданными за счет средств федерального бюджета, распоряжается госзаказчик и
11-180
Федеральное агентство по правовой защите результатов интеллектуальной деятельности военного, специального и двойного назначения (ФАПРИД).
Если использование патента продиктовано интересами национальной безопасности, то согласия обладателя патента не требуется.
5.2.2. Правовая охрана товарного знака
Правовая охрана товарного знака предоставляется на основании его государственной регистрации.
Процедура регистрации товарного знака включает следующие этапы:
. * подачу заявки на регистрацию товарного знака в Патентное ведомство;
• предварительную экспертизу;
• экспертизу заявленного обозначения.
• государственную регистрацию и выдачу свидетельства на товарный знак или отказ в выдаче свидетельства.
Заявка должна содержать; заявление о регистрации обозначения в качестве товарного знака; заявляемое обозначение и его описание; перечень товаров, для которых испрашивается регистрация товарного знака, сгруппированных по классам Международной классификации товаров и услуг для регистрации знаков.
Предварительная экспертиза заявки проводится в месячный срок от даты ее поступления в Патентное ведомство и включает проверку содержания заявки, наличие необходимых документов, а также их соответствие установленным требованиям. По результатам предварительной экспертизы заявителю сообщается о принятии заявки к рассмотрению либо об отказе в принятии ее к рассмотрению.
Экспертиза заявленного обозначения — проверка обозначения на соответствие требованиям.
Не могут быть зарегистрированы следующие обозначения:
• отдельные буквы, цифры, не имеющие характерного графического исполнения; сочетания букв, не имеющие словесного характера; линии, простые геометрические фигуры, а также их сочетания, не образующие композиций;
• символы и термины, указывающие на вид, качество, количество, свойства, назначение, ценность товаров, на место и время их производства или сбыта; схематические изображения товаров;
• трехмерные объекты, форма которых обусловлена исключительно функциональным назначением;
163
• общепризнанные символы (в медицине — змея и чаша, в машиностроении — шестерня);
• государственные флаги, гербы, эмблемы, наградные знаки;
• противоречащие принципам гуманности и морали.
По результатам экспертизы принимается решение о регистрации товарного знака или об отказе в его регистрации.
Патентное ведомство в течение месяца с даты получения документа об уплате установленной пошлины производит регистрацию товарного знака в государственном реестре товарных знаков и знаков обслуживания. В реестр вносятся товарный знак, сведения о его владельце, дата приоритета товарного знака и дата его регистрации, перечень товаров, для которых зарегистрирован товарный знак. Внесенные в реестр сведения публикуются в официальном бюллетене в течение шести месяцев с даты регистрации товарного знака.
Выдача свидетельства на товарный знак производится Патентным ведомством в течение трех месяцев с даты регистрации товарного знака в реестре.
Свидетельства на товарный знак, знак обслуживания и наименование мест происхождения товара действуют 10 лет, причем возможно неоднократное продление срока каждый раз на 10 лет (ст. 16, Закон РФ «О товарных знаках»).
5.2.3. Правовая охрана коммерческой тайны
Под понятие коммерческой тайны могут быть подведены самые разнообразные сведения, в том числе потенциально патентоспособные решения, которые правообладатель по каким-либо причинам не желает обнародовать и патентовать.
Коммерческая тайна как объект интеллектуальной собственности не требует официального признания ее охраноспособности, государственной регистрации или выполнения каких-либо иных формальностей, а также уплаты государственных пошлин.
Сущность права на коммерческую тайну состоит в обеспеченной обладателю информации возможности засекречивать эту информацию от широкой публики и требовать, чтобы третьи лица воздерживались от использования незаконных методов получения данной информации.
Прекращение права на коммерческую тайну может быть обусловлено вследствие утраты фактической монополии на сведения, которые становятся доступными третьим лицам, а также отнесение соответствующих сведений в установленном законом порядке к числу сведений, которые не могут составлять коммерческую тайну.
5.2.4. Правовая охрана программ для ЭВМ и баз данных
Авторское право распространяется на любые программы для ЭВМ и базы данных как выпущенные, так и не выпущенные в свет вне зависимости от их материального носителя, назначения и достоинства. Авторское право возникает в силу создания программы или базы данных и действует в течение всей жизни автора и 50 лет после его смерти.
В ст. 4 Закона <<О правовой охране программ для ЭВМ и баз данных» указывается, что для признания и осуществления авторского права на программу для ЭВМ или базу данных не требуется депонирования, регистрации или соблюдения иных формальностей. Регистрация осуществляется исключительно по желанию правообладателя.
Контрафактные (пиратские) экземпляры (от англ. piracy, от франц. contrefacon) — экземпляры произведения, изготовление или распространение которых влечет за собой нарушение прав интеллектуальной собственности.
Нарушением исключительного права на программу или базу данных является несанкционированное правообладателем использование их путем выпуска в свет, воспроизведения, распространения, модификации, в том числе перевод программы с одного языка на другой.
За нарушение прав интеллектуальной собственности наступает гражданская, уголовная и административная ответственность.
Способы гражданско-правовой защиты авторских прав:
• признание прав;
• восстановление положения, существовавшего до нарушения права;
• прекращение действий, составляющих правонарушение или создающих его угрозу;
• принуждение к исполнению обязанности в натуре;
• возмещение убытков, взыскание незаконно полученного дохода и выплата компенсации.
Кроме авторского права программа может быть защищена патентным законодательством и законодательством о товарных знаках. Например, название программы, красивая заставка и упаковка защищаются свидетельством о товарном знаке, генерируемые экранные изображения — патентом на промышленный образец.
5.2.5. Правовая охрана интеллектуальной собственности в международных проектах
Совместные проекты в области технологических инноваций, реализуемые в рамках соответствующих международных программ, являются
165
одной из наиболее распространенных форм международного сотрудничества. Международные некоммерческие организации и благотворительные фонды осуществляют поддержку совместных инновационных проектов на конкурсной основе, предоставляя гранты.
Грант — денежные и иные средства, передаваемые безвозмездно гражданами и юридическими лицами, а также международными организациями, в том числе иностранными гражданами и иностранными юридическими лицами, а также международными организациями, получившими право на предоставление грантов на территории РФ в установленном Правительством РФ порядке, на проведение конкретных научных исследований на условиях, предусмотренных грантодателями (Закон «О науке и государственной научно-технической политике»).
Существенным отличием договора гранта от договора на выполнение НИОКР является отсутствие у грантодателя прав на произведенную грантополучателем собственность. Одновременно права на полученную при выполнении гранта собственность могут быть различны у партнеров по совместному проекту. Это зачастую обусловлено статусом участника проекта или степенью финансового участия партнеров при покрытии части затрат по проекту из средств гранта. Типовые гранты Комиссии Европейского Союза на проведение исследовательских и технологических работ подразумевают деление участников на три группы по статусу:
1. Контрактор — лицо, подписавшее контракт с Комиссией Европейского Союза;
2. Ассоциированный контрактор — третье лицо, осуществляющее технический или финансовый вклад в часть работ по проекту по согласованию с контрактором;
3. Субконтрактор — третье лицо, которое заключило субконтракт с контрактором.
Эти категории участников имеют различные права по отношению к интеллектуальной собственности, полученной в рамках проведения проекта. Типовые условия передачи прав собственности между контрактором и ассоциированным контрактором, отраженные в Приложении II Типового контракта Комиссии Европейского Союза по возмещению расходов, следующие;
• получаемый результат принадлежит тому контрактору и ассоциированному контрактору, который его создал (ст. 9);
• права доступа на полученный результат, необходимые для выполнения работ по НИР согласно котракту, должны предоставляться на свободных от роялти условиях другим контракторам по тому же контракту и ассоциированным контракторам для работы по проекту (ст. 13);
• права доступа на предшествующий результат, необходимые для выполнения собственных работ по НИР согласно котракту, должны предоставляться в соответствии с деловыми интересами на благоприятных условиях для работы по проекту ассоциированному контрактору, работающим в проекте с согласия соответствующего контрактора, предоставляющего права (ст. 13);
• права доступа на полученные результаты, необходимые для исполнения собственных работ по НИР по котракту, должны предоставляться на благоприятных условиях для своей работы по проекту ассоциированному контрактору с согласия соответствующего контрактора, предоставляющего права (ст. 14).
Таким образом, ассоциированный контрактор имеет меньше прав, чем контрактор, так как при получении прав контрактора он должен нести определенные расходы.
Решение вопросов, касающихся прав на интеллектуальную собственность, является приоритетным и для участников совместных международных проектов. Несомненно, что развитие науки и экономики в целом напрямую связано с коммерциализацией технологий, а гранты по совместным исследованиям являются лишь средством, обеспечивающим наиболее дешевый и простой путь научным организациям и ученым для достижения этой цели.
5.3. Передача исключительных прав
На рынке интеллектуальной собственности товаром являются права на объекты интеллектуальной собственности, которые могут быть проданы, сданы в аренду, подарены, переданы по наследству, отданы в залог. Права на объекты интеллектуальной собственности, принадлежащие разным лицам, могут быть объединены для защиты крупного инвестиционного проекта.
Передача другим лицам права использования объектов интеллектуальной собственности осуществляется на основе предоставления лицензионного договора или договора об уступке прав.
По договору об уступке патента происходит продажа всех исключительных прав на запатентованный объект промышленной собственности и приобретение этих прав другим лицом, которое становится новым патентообладателем по договору. Договор требует регистрации.
167
В договоре об уступке товарного знака должны быть указаны номер свидетельства на товарный знак, перечень товаров, в отношении которых уступается товарный знак.
Перед выдачей лицензии возможно заключение предлицензионно-го договора. Договор о намерениях фиксирует намерение сторон, содержит план дальнейших переговоров и не накладывает конкретных обязательств. Договор о конфиденциальности предполагает передачу определенной информации и включает обязательства сторон по сохранению ее в тайне. Опционный договор предполагает обязательство заключения в будущем договора о передаче имущества на условиях, предусмотренных предварительным договором.
Лицензия это соглашение о приобретении прав на использование объектов интеллектуальной собственности, заключенное между лицензиаром (владельцем исключительных прав) и лицензиатом (получателем прав в отношении объекта лицензионного соглашения).
По лицензионному договору владелец научно-техническихдостиже-ний, изобретений, ноу-хау, промышленных образцов, товарных знаков передает и разрешает использовать их своему контрагенту в обусловленных соглашением пределах и на определенный срок, а последний обязуется вносить обусловленные платежи и выполнять другие обязательства, предусмотренные договором.
Лицензионный договор должен содержать следующие условия: предмет договора, объем передаваемых прав, срок действия договора, территория действия договора, цена лицензии, а также гарантии и ответственность сторон, обеспечение конфиденциальности, условия разрешения споров и расторжения договора.
Лицензирование может быть добровольным и принудительным. Принудительная лицензия выдается без согласия патентовладельца по решению государственного органа при наличии определенных законом обстоятельств (недостаточное использование патентообладателем изобретения или промышленного образца в течение 4 лет, полезной модели — в течение 3 лет с даты выдачи патента).
По объему передаваемых прав лицензионные договоры можно разделить на следующие: простая лицензия; исключительная лицензия; полная лицензия; перекрестная лицензия; сублицензия.
Лицензия неисключительная (простая) — договор, предусматривающий передачу лицензиату прав на использование объекта интеллектуальной собственности с сохранением за лицензиаром права на использование и права выдачи лицензии другим лицам.
1?&
Лицензия исключительная — договор, предусматривающий передачу лицензиату прав на использование объекта интеллектуальной собственности с сохранением за лицензиаром права на использование, но без сохранения права выдачи лицензий другим лицам по способам, срокам и территориям использования, установленным в договоре.
Лицензия полная — договор, предусматривающий передачу лицензиату прав на использование объекта интеллектуальной собственности без сохранения за лицензиаром права на использование и права выдачи лицензий другим лицам по способам, срокам и территориям использования, установленным в договоре.
Лицензия перекрестная — правовой документ по взаимному предоставлению патентных прав различными патентодателями.
Сублицензия — разновидность простых и исключительных лицензий, отличающаяся от последних тем, что заключает их контрагент-лицензиат, купивший первоначальную лицензию. По условиям и объему передаваемых прав сублицензия полностью зависит от первоначально заключенного лицензионного договора. Лицензиаты, получившие простую лицензию, передавать сублицензию не имеют права.
В России активно формируется лицензионный рынок. С момента принятия Патентного закона (1992 г.) продано более 10 тыс. лицензий на изобретения, полезные модели, промышленные образцы, заключено свыше 11 тыс. соглашений по товарным знакам. Основную часть российского рынка лицензий составляют неисключительные лицензии (57,6%) и договоры об уступке патента (33,8%). Доля исключительных лицензий незначительна (8,6%).[
По предмету договоров различают патентную и беспатентную лицензии, франчайзинговый договор, авторский договор, оберточную лицензию.
Патентная лицензия предоставляет лицензиату право на использование изобретения, изготовление на его основе продукта, продажу продукта. Договор недействителен без регистрации. Информация о заключенных исключительных и неисключительных лицензиях публикуется в официальных изданиях Роспатента.
Беспатентная лицензия — договор о передаче ноу-хау (коммерческой тайны). Обязательным условием такого договора является обоюдное обеспечение конфиденциальности в отношении ноу-хау. Данный вид договора не требует регистрации.
1 БороховичЛ., Монастырская А., ТроховаМ. Ваша интеллектуальная собственность. — СПб.: Питер, 2001.
Лицензия о предоставлении права на использование товарного знака должна содержать срок, на который предоставляется лицензия, способы использования товарного знака, перечень товаров, которые будет индивидуализировать товарный знак. По исключительной лицензии лицензиар не использует товарный знак на срок действия лицензии, по неисключительной — сохраняет право использовать товарный знак за собой.
Франчайзинговый договор {договор о коммерческой концессии) заключается при передаче технологий. В отличие от патентной лицензии здесь передаются техпроцесс и оборудование, включая ноу-хау. Разновидностями франчайзинга являются прямой франчайзинг (простая лицензия) и мастер франшиза (исключительная лицензия).
Авторский договор — договор о передаче авторских прав. Наиболее распространенной формой передачи авторских прав является издательский договор (договор о публикации) — лицензия, выдаваемая издателю владельцем авторского права. Лицензия может быть выдана как на одно издание, так и на переиздание произведения. Лицензиату могут быть переданы дополнительные права: на предшествующую изданию публикацию отрывков произведения, на хранение произведения в памяти компьютера, доступной широкой публике; на выдачу сублицензий.
Оберточная лицензия заключается при продаже массовым пользователям программы для ЭВМ или базы данных. Условия лицензионного соглашения излагаются на передаваемых экземплярах. Вскрытие упаковки означает заключение договора.
Цена лицензии — выплаты лицензиата лицензиару, осуществляемые в виде разового фиксированного (паушального) платежа, периодического платежа (роялти) или комбинированным способом.
Паушальный платеж выплачивается вне зависимости от фактических размеров реализуемой лицензионной продукции единовременно в момент начала коммерческой реализации или в рассрочку (например, 50% суммы — после подписания соглашения, 40% — после завершения поставок, 10% — после начала коммерческой реализации). При фиксированном платеже лицензиар избавлен от рисков, связанных с неудачным использованием объекта лицензии, а лицензиат — от контроля за его коммерческой деятельностью.
Роялти — периодические отчисления по фиксированной ставке от объема реализуемой по лицензии продукции. В этом случае расчет платежей идет по реальной прибыли, что выгодно и лицензиару, и лицензиату. Платежи могут быть в форме отчислений от объема продаж, налогооблагаемого дохода, чистой прибыли и др.
12-180
Комбинированные платежи — часть (25% расчетной цены лицензии) в форме паушального платежа, остальное — по роялти. Избавляют лицензиата от необходимости нести большие расходы в случае неудачного освоения объекта лицензии.
5.4. Ущерб от нарушения исключительных прав
Нарушением исключительного права патентообладателя признается несанкционированное изготовление, применение, ввоз, предложение к продаже, продажа, иное введение в хозяйственный оборот или хранение с этой целью продукта, содержащего запатентованное изобретение, полезную модель, промышленный образец, а также применение способа, охраняемого патентом на изобретение, или введение в хозяйственный оборот либо хранение с этой целью продукта, изготовленного непосредственно способом, охраняемым патентом на изобретение.
Американская фирма Kodak нарушила ряд патентов американской фирмы Polaroid на бытовые фотоаппараты мгновенного действия. Судебный процесс по иску патентовладельца длился более десяти лет. В результате по решению Верховного Суда США фирма Kodak уплатила патентовладельцу $494 млн.
Малая фирма «X», оформив патент на промышленный образец, занималась выпуском своей продукции. Крупная фирма «Y» тоже стала выпускать эту продукцию. Фирма «X» стала испытывать трудности с реализацией и предложила фирме «Y» заключить лицензионный договор, но получила отказ. Суд указал на преднамеренный характер действий нарушителя прав интеллектуальной собственности, запретил ему дальнейший выпуск этой продукции и определил убытки истца в размере всей полученной ответчиком прибыли. Эта сумма вместе с признанным судом размером морального ущерба поступила на счет истца.
Секретность в условиях рынка защищает производителя от недобросовестной конкуренции, к которой относятся различные противоправные действия в виде скрытого использования торговой марки, подделки продукции конкурентов, обманной рекламы, демпинга и т. п.
Не последнее место в способах недобросовестной конкуренции занимает промышленный шпионаж — незаконный сбор сведений, составляющих коммерческую тайну, незаконное использование секретной информации лицом или предприятием, неуполномоченным на то ее владельцем. Объектом промышленного шпионажа могут выступать документы, чертежи, образцы продукции, неоформлен-
Ш
ные патенты, технические проекты, маркетинговая информация и т. л. Промышленный шпионаж осуществляется путем шантажа или подкупа служащих, а также использования технических средств: лазерной системы подслушивания разговоров по вибрации стекол; телекамеры, соединенной с оптическими волокнами в стене; системы считывания данных с экрана компьютера; микрофона узконаправленного действия; «жучка», вмонтированного в окно, выключатель или телефонную сеть.
Один из главных каналов утечки информации — персонал. Существует практика подписания с сотрудником соглашения, по которому ему запрещается передавать посторонним лицам сведения, содержащие коммерческую тайну; заключать сделки, которые могут подорвать доверие клиентов к компании; работать в течение определенного срока после увольнения в конкурирующей фирме.
Руководитель фирмы Sony Акио Морита утверждал, что «когда нет преданности, которая приходит с долгосрочной занятостью, нет возможности положить конец утечкам информации и воровству».
В среднем затраты на разведку составляют 1,5% торгового оборота крупных концернов (в Mitsubishi 30 человек занимаются патентами, 50 человек — технологиями и т. д,), а расходы на защиту — 10-15% затрат на производство. Ежегодный ущерб американского бизнеса от разглашения коммерческой тайны составляет порядка $4 млрд.
При организации системы безопасности предприятия необходимо ответить на вопросы: какая информация нуждается в защите; кого она может заинтересовать; каков срок жизни секретов; во что обойдется их защита.
Запатентованное изобретение имеет специальную правовую защиту и не нуждается в защите при помощи коммерческой тайны. Рационализаторское предложение даже после его оформления и выдачи авторского свидетельства может оставаться коммерческой тайной, поскольку представляет собой техническое решение, новое для данной фирмы.
5.5. Коммерциализация интеллектуальной собственности
Коммерциализация интеллектуальной собственности — использование интеллектуальной собственности в хозяйственной деятельности предприятия. Она позволяет получить ряд практических преимуществ:
• владельцы интеллектуальной собственности могут быть учредителями фирм без отвлечения реальных денежных средств путем
внесения объектов интеллектуальной собственности в уставный капитал предприятия;
• можно получать дополнительные доходы за передачу права пользования интеллектуальной собственностью;
• ее можно использовать в качестве залога при получении кредита;
• обеспечивает защиту от конкурентов на период выведения на рынок новой продукции, а также защиту от недобросовестной конкуренции;
• способствует созданию рекламного имиджа у покупателя при информировании о правовой охране выпускаемой продукции или работе но лицензии известного производителя;
• позволяет снизить налог на прибыль путем уменьшения налогооблагаемой базы на величину амортизации нематериальных активов и величину затрат на создание объектов интеллектуальной собственности, а также уменьшить налог на добавленную стоимость, если сделка оформляется как патентный, лицензионный или авторский договор.
Например, директор как на физическое лицо оформляет права на изобретение, получает патент на себя, передает его по лицензионному договору своему предприятию за вознаграждение, размер которого ежеквартально по акту уточняется и может включать в себя всю налогооблагаемую прибыль за этот период. Выплата вознаграждения входит в состав себестоимости, но без отчислений во внебюджетные фонды. Директор получает вознаграждение, не облагаемое подоходным налогом, в пределах до 1000 МРОТ.
Документальное оформление коммерческих операций с интеллектуальной собственностью может быть в виде: договора о создании и передаче научно-технической продукции, договора о выполнении НИОКР, авторского, лицензионного, учредительного договора, франшизы и т. д.
Стоимость объектов интеллектуальной собственности отражается в учете и отчетности в составе нематериальных активов по рыночной стоимости в случае их приобретения или как сумма затрат при их изготовлении собственными силами с учетом расходов на доведение до состояния, в котором они пригодны к использованию в запланированных целях.
По данным консалтинговой компании Interbrand, процентное соотношение материальных и нематериальных активов в компании IBM — 17 : 83, в компании Coca-Cola — 4 : 96.
Нематериальные активы — долгосрочные права, обеспечивающие его владельцам определенный доход или иную пользу, обладающие стоимостью и не имеющие материально-вещественной формы либо материально-вещественная форма которых не имеет существенного значения для их использования в хозяйственной деятельности.
Согласно Положению по бухгалтерскому учету « Учет нематериальных активов» (ПБУ 14/2000), к нематериальным активам относятся:
• исключительное право патентообладателя на изобретение, промышленный образец, полезную модель;
• исключительное авторское право на программы для ЭВМ и базы данных;
• имущественное право автора или иного правообладателя на топологии интегральных микросхем;
• исключительное право владельца на товарный знак и знак обслуживания, наименование места происхождения товаров;
• исключительное право патентообладателя на селекционные достижения;
• деловая репутация организации и организационные расходы.
К нематериальным активам не относятся:
• не давшие положительного результата НИОКР;
• незаконченные и неоформленные НИОКР;
• интеллектуальные и деловые качества персонала.
Нематериальные активы, предоставленные правообладателем в пользование при сохранении им исключительных прав, не списываются и подлежат обособленному отражению в бухучете у организации-правообладателя; там же — начисление амортизации.
Нормы амортизации определяются организацией исходя из установленного срока их полезного действия. По нематериальным активам, по которым невозможно определить срок полезного использования, нормы переноса стоимости устанавливаются в расчете на 10 лет.
Классификация нематериальных активов, предложенная Э. Брукинг, включает интеллектуальную собственность, рыночные, человеческие и инфраструктурные активы.
Интеллектуальные активы — активы, приобретенные как результат умственной деятельности и защищенные законодательно. К интеллектуальной собственности относятся патенты, авторские права, товарные знаки, коммерческая тайна (ноу-хау).
Ценность патента заключается в том, что он закрепляет за своим владельцем монополию на запатентованное изобретение на срок до 20 лет. Защите подлежат и авторские права в отношении печатных символов, что используется в издательском деле, создании программного обеспечения. Коммерческая тайна защищается договорами о неразглашении, хотя лучшая защита — молчание. Формулу «Coca-Colas-знают два человека, но каждый владеет только половиной формулы.
Рыночные активы — такие активы, которыми компания располагает благодаря своей выгодной позиции на рынке и хорошим отношениям с покупателями: деловая репутация, клиентская база, портфель заказов, каналы распределения, различные контракты и соглашения, такие как лицензирование, франшиза и т. и.
Рыночные активы обеспечивают компании конкурентное преимущество во внешней среде. Клиентская база обеспечивает постоянные продажи, результатом чего становится выгодный портфель заказов. Отработанные каналы распределения гарантируют обслуживание всех потенциальных клиентов и получение максимальной прибыли от продажи товаров и услуг. Благоприятные условия контрактов дают возможность воспользоваться такими услугами, как рекламирование или торговое посредничество на выгодных и гарантированных условиях, что дает компании преимущества над конкурентами, не имеющими доступа к подобным привилегиям.
Человеческие активы — это совокупность коллективных знаний сотрудников предприятия, их творческих способностей, умения решать проблемы, лидерских качеств, предпринимательских и управленческих навыков.
Инфраструктурные активы — это те технологии, методы и процессы, которые делают работу предприятия вообще возможной. Корпоративная инфраструктура включает следующие элементы:
• философию управления;
• корпоративную культуру;
• управленческие процессы;
• информационные технологии;
• сетевые системы связи;
• деловые связи.
Философия управления выражается в представлениях руководства компании относительно самой компании и ее работников, определяя в значительной мере тип корпоративной культуры. Каждое время характеризуется своей философией управления, отражающей побудительные мотивы людей к работе и применяемые в этих целях стимулы. Философия управления, не соответствующая времени, является
175
скорее пассивом, чем активом. Наиболее распространенные типы философии: философия совершенствования, доверия и всеобщего контроля качества. Философия совершенствования призывает и менеджеров, и работников к постоянному стремлению к улучшениям: ни одного дня не должно проходить без какого-либо, пусть малого, улучшения где либо в компании. Философия доверия призывает к демократическим методам управления: работник, облеченный доверием, может взять инициативу в свои руки и участвовать в принятии решений. Философия всеобщего контроля качества имеет целью обеспечение надлежащего качества товаров на всех стадиях разработки и производства путем привлечения к этой проблеме всех работников.
Корпоративная культура — образ действий, характерный для организации. Она включает в себя признаваемые всеми работниками ценности, идеалы, обычаи и ритуалы, не позволяющие компании поддаваться любым капризам рынка или руководства. Известны несколько типов корпоративной культуры: «Упорно работаем — отдыхаем на полную катушку», << Кто не рискует, тот не пьет шампанского», «Честность и надежность».
Управленческие процессы — механизм реализации философии управления на всех управленческих уровнях.
Информационные технологии являются активами, если эффективно справляются с обеспечением осуществления многих управленческих процессов. Здесь речь идет не о стоимости компьютеров, а об их влиянии на производительность, уровень обслуживания покупателей, качество работы персонала и т. д.
Сетевые системы связи ускоряют процесс получения и передачи информации. Интернет может быть использован в качестве средства корпоративного маркетинга и канала распределения. «Телекоммуникационные работники», не выходящие из дома работники, существенно снижают затраты на аренду помещений.
Деловые связи -- благоприятные отношения с инвесторами, банками и прочими субъектами рынка обеспечивают компании простран -ство для маневра при необходимости.
Различия в стандартах оценки и бухгалтерского учета заключаются в том, что денежное выражение стоимости, применяемой при оценке имущества, является не историческим фактом, а оценкой полезности ОИС в конкретный момент времени в соответствии с выбранным определением понятия стоимости. Эта оценка может отличаться от реальных цен, зафиксированных в тех или иных сделках и отраженных в системе бухгалтерского учета.
ОЦЕНКА ИНТЕЛЛЕКТУАЛЬНОЙ СОБСТВЕННОСТИ
Интеллект — это способность генерировать новую информацию, то есть информацию, никогда не существовавшую в системе, которой принадлежит данный интеллект.
Академик Н. Я. Петраков
6.1. Процедура оценки интеллектуальной собственности
Оценка интеллектуальной собственности производится в соответствии со стандартами оценки имущества МКСОИ, стандартами по оценке бизнеса Американского общества оценщиков, стандартами Российского общества оценщиков и стандартами Ассоциации оценщиков интеллектуальной собственности IPEA.
Объектом оценки являются права на объекты интеллектуальной собственности, причем эти права имеют как территориальный, так и временный характер и должны быть действительны, т. е. владелец прав может их реализовать, не нарушая права третьих лиц.
Предметом оценки являются непосредственные результаты творческой деятельности человека — это научно-технические достижения, дизайнерские разработки, деловые и производственные секреты, профессиональные знания и опыт и т. д.
Оценка интеллектуальной собственности — это процесс определения стоимости объема прав на конкретные результаты интеллектуальной деятельности, владение которыми обеспечивает их владельцу определенную выгоду.
Цели оценки объектов интеллектуальной собственности:
• купля-продажа прав на объекты интеллектуальной собственности;
• принудительное лицензирование и оценка ущерба от нарушения прав владельца объекта интеллектуальной собственности;
177
• внесение объектов интеллектуальной собственности в качестве вклада в уставный капитал;
• определение доли интеллектуальной собственности в инвестиционных проектах;
• покупка, продажа, реструктуризация предприятия;
• переоценка нематериальных активов предприятия;
• минимизация налогов, выплачиваемых предприятием;
• кредитование под залог;
• страхование интеллектуальной собственности;
• дарение и наследование прав на объекты интеллектуальной собственности.
В зависимости от целей оценки используются различные виды стоимости: рыночная, инвестиционная, ликвидационная, первоначальная, остаточная, восстановительная, балансовая, облагаемая, утилизационная, учредительная, стоимость замещения, страховая и залоговая.
Рыночная стоимость — наиболее вероятная цена, выраженная в денежном эквиваленте, по которой в день оценки собственность могла бы перейти из рук добровольного продавца в руки добровольного покупателя в результате коммерческой сделки на открытом конкурентном рынке при условии, что обе стороны действуют компетентно, расчетливо и без принуждения.
Инвестиционная стоимость — стоимость собственности для конкретного инвестора или группы инвесторов, имеющих определенные представления об отдаче планируемых капитальных вложений. Эта стоимость рассчитывается, как правило, исходя из данных, предоставляемых заказчиком, без проверки их соответствия представлениям рынка о параметрах и возможных объемах реализации оцениваемой собственности.
Основными факторами, влияющими на стоимость объектов промышленной собственности, являются:
• надежность правовой охраны, патентная чистота, технико-экономическая значимость и промышленная готовность объекта;
• издержки на создание и патентование (регистрацию) объекта промышленной собственности, поддержание охранных документов в силе; на организацию использования объекта; на страхование связанных с объектом рисков; на разрешение конфликтов по оцениваемому объекту; расходы, связанные с необходимостью уплаты налогов и сборов;
• ожидаемые поступления лицензионных платежей по данному объекту промышленной собственности;
• ожидаемые поступления в форме компенсационных (штрафных) выплат при подтверждении факта нарушения исключительных прав владельца объекта промышленной собственности;
• срок действия охранного документа (патента, свидетельства) на момент оценки его стоимости или срок действия лицензионного договора;
• срок полезного использования объекта;
• среднестатистические ставки роялти для данного вида объектов правовой охраны.
Процедура оценки интеллектуальной собственности в целях купли-продажи включает следующие этапы:
1. Экспертизу объектов интеллектуальной собственности.
2. Экспертизу охранных документов.
3. Экспертизу прав на интеллектуальную собственность.
4. Проведение оценочных расчетов:
4.1. Выбор методов оценки.
4.2. Сбор и анализ информации, необходимой для оценки объекта.
4.3. Расчет стоимости по выбранным методам.
4.4. Согласование расчетов, полученных различными методами.
4.5. Написание отчета об оценке.
Экспертиза объектов интеллектуальной собственности—проверка факта наличия объектов интеллектуальной собственности, а также факта их использования.
Экспертиза охранныхдокументов (патентов и свидетельств)прово-дится по территории и срокам действия.
Экспертиза прав на интеллектуальную собственность—проверка документов, подтверждающих права предприятия на ОИС: патенты, лицензии, свидетельства, учредительные договоры о передаче имущественных прав в уставные капиталы предприятия, контракты или авторские договоры между предприятием и разработчиками ОИС, акты приема-передачи при безвозмездной передаче прав на ОИС. На предприятии, использующем ОИС в качестве нематериального актива, должен быть акт о передаче первого в эксплуатацию и постановке на учет.
При внесении ОИС в качестве вклада в уставный капитал наряду с учредительным договором одновременно должен быть заключен лицензионный договор на передачу прав.
Официально незарегистрированные договоры по уступке патента, а также официально незарегистрированные лицензионные договоры признаются недействительными.
Исходные данные для оценки интеллектуальной собственности:
• затраты на разработку и правовую охрану объектов с указанием года, в котором они произведены;
• затраты на маркетинг продукции, в основе которой положен объект оценки (по годам с даты подачи заявки), в течение срока полезного использования;
• география сбыта, объем реализации и рыночная доля продукции, производящейся на основе оцениваемого объекта;
• ГОД создания фирмы — владельца интеллектуальной собственности;
• динамика изменения уставного капитала, численности работников, материальных и нематериальных активов фирмы с момента подачи заявки до даты осуществления оценки стоимости объекта;
• балансовая прибыль от реализации продукции, производящейся на основе оцениваемого объекта.
Отчет об оценке должен точно отражать цели оценки, область применения, дату оценки, а также полученные от заказчика инструкции и имевшуюся в его распоряжении информацию. Должны быть оговорены случаи недостаточно полного объема информации или наличия специальных допущений или отступлений от стандарта, обусловленные особыми обстоятельствами оценки.
Процедура оценки иншеллектуальнойсобственности при внесении в уставный капитал1 включает следующие этапы:
1. Экспертизу наличия и правильности оформления объекта.
2. Подготовку устава и учредительного договора к внесению интеллектуальной собственности в уставный капитал.
3. Оформление документов, подтверждающих передачу имущественных прав на интеллектуальную собственность и ее принятие в качестве вклада в уставной капитал.
4. Оценку интеллектуальной собственности и оформление стоимостных документов.
1 Новосельцев О. В. Оценка интеллектуальной собственности в уставном капитале //Проблемы промышленной собственности. 1997. № 7. С. 30-37.
5. Оформление первичных бухгалтерских документов и учет интеллектуальной собственности в нематериальных активах предприятия.
При внесении интеллектуальной собственности в уставный капитал в первую очередь проверяется факт наличия объекта интеллектуальной собственности и возможность его использования в сфере производства в течение долгосрочного периода. Это достигается проверкой документов, в которых этот объект описан, изображен или иным образом зафиксирован на материальных носителях, а также проверкой документов, подтверждающих возможность практического использования конкретных объектов ИС в производственном процессе предприятия. При этом необходимо не только идентифицировать данный объект интеллектуальной собственности, но и документально подтвердить возможность использования данного объекта в производственном процессе, приносящем доход предприятию.
По правилам бухгалтерского учета уставный капитал формируется путем вкладов участников в имущество предприятия для обеспечения его деятельности. Уставный капитал формируется в тех размерах, в той форме и в таком порядке, в которых они определены в учредительных документах, поэтому в учредительных документах должны быть предусмотрены возможность внесения, механизм внесения, а в отдельных случаях и порядок изъятия интеллектуальной собственности из уставного капитала.
Принципиальным является правильное документальное оформление официальной передачи прав собственности (прав использования) на данный объект интеллектуальной собственности, поскольку в соответствии со ст. 31 закона «Об авторском праве», права на использование произведения, прямо не переданные по договору, считаются не переданными. В качестве вклада в уставный капитал могут выступать имущественные права, имеющие денежную оценку, но таким вкладом не может быть собственно сам объект интеллектуальной собственности (патент, программа для ЭВМ или ноу-хау).
В качестве вклада в уставный капитал может быть признано право пользования таким объектом, передаваемое обществу или товариществу в соответствии с лицензионным договором, который должен быть зарегистрирован в порядке, предусмотренном законодательством. Поэтому документальное оформление передачи прав на использование объектов интеллектуальной собственности является принципиальным для признания вклада интеллектуальной собственности в уставной капитал действительным. При этом необходимо учитывать, что отдельные договоры, в частности договоры уступки и лицензионные договоры на объекты промышленной собственности, подлежат обязательной регистрации в Патентном ведомстве и без подобной регистрации признаются недействительными (п. 6 ст. 10, и. 2 ст. 13 Патентного закона РФ, ст. 27 Закона РФ «О товарных знаках...»).
Права на использование интеллектуальной собственности в уставном капитале оцениваются в денежном выражении и учитываются на балансе предприятия в качестве нематериальных активов. Важным на практике является правильное оформление стоимостных документов, где отражается стоимость приобретения (создания) ИС и величина затрат, необходимых для приведения объекта интеллектуальной собственности в состояние, пригодное для его использования на предприятии.
В соответствии с Инструкцией по применению Плана счетов бухгалтерского учета финансово-хозяйственной деятельности предприятий при отражении стоимости интеллектуальной собственности на счете 04 (счет учета нематериальных активов предприятия) различают следующие способы определения первоначальной (балансовой) стоимости:
• по договоренности сторон (при внесении учредителями вкладов в уставной капитал);
• исходя из фактически произведенных затрат по приобретению и приведению в состояние готовности этих объектов (при приобретении за плату у других предприятий и лиц);
• экспертным путем (полученных от других предприятий и лиц безвозмездно).
Вносимая в уставный капитал интеллектуальная собственность отражается в бухгалтерском учете и отчетности отдельно по каждому объекту в сумме затрат на приобретение и расходов по доведению до состояния, в котором она пригодна к использованию в запланированных целях. При использовании интеллектуальной собственности в производственной деятельности первоначальная стоимость интеллектуальной собственности амортизируется по нормам, определяемым на предприятии, исходя из установленного срока их использования. По объектам, по которым невозможно определить срок полезного использования, нормы износа устанавливаются в расчете на десять лет.
6.2. Методы оценки интеллектуальной собственности
Для оценки интеллектуальной собственности используются три подхода: доходный, затратный и сравнительный (рыночный) (табл. 6.1).
Таблица 6.1
Рекомендуемая предпочтительность применения подходов к оценке объектов интеллектуальной собственности |
|
|
|
Объекты интеллектуальной собственности |
В первую очередь |
Во вторую очередь |
Слабо
применимо |
|
Патенты и технологии |
Доходный |
Рыночный |
Затратный |
|
Товарные знаки |
Доходный |
Рыночный |
Затратный |
|
Объекты авторского права |
Доходный |
Рыночный |
Затратный |
|
Программные продукты |
Доходный |
Рыночный |
Затратный. |
|
Месторождения |
Доходный |
Рыночный |
Затратный |
|
Права по франчайзингу |
Доходный |
Рыночный |
Затратный |
|
Квалифицированная рабочая сила |
Затратный |
Доходный |
Рыночный |
|
Дистрибьюторские сети |
Затратный |
Доходный |
Рыночный |
|
Корпоративная практика и процедуры |
Затратный |
Доходный |
Рыночный |
|
Программное обеспечение менеджмента |
Затратный |
Рыночный |
Доходный |
Источник: Gordon V. Smith, Russel L. Parr Valuation of Intellectual Property and Intangible Assets. Second edition, New York, 1994.
Доходный подход предполагает оценку стоимости объекта интеллектуальной собственности по будущим доходам от его использования. По затратному подходу стоимость оценивается по затратам на создание (приобретение) и правовую охрану объекта. Сравнительный подход базируется на определении стоимости объекта по цене сделок купли-продажи аналогов.
Стоимость объекта интеллектуальной собственности можно определить:
• методом преимущества в прибыли;
• методом выигрыша в себестоимости;
• методом избыточной прибыли;
• методом роялти;
• методом освобождения от роялти;
• методом прямого сравнения продаж;
• методом стоимости создания.
Метод преимущества в прибыли предполагает, что при использовании объекта интеллектуальной собственности прибыль возрастает
183
за счет роста качества и количества выпускаемой продукции. Отсюда стоимость объекта равна:

где щ- преимущество в прибыли, т. е. дополнительная прибыль, равная разности между прибылью, полученной при использовании изобретений, и прибылью, полученной от реализации продукции без использования изобретения; г— ставка дисконта; T— предполагаемый период получения преимущества в прибыли.
Срок полезного применения объекта интеллектуальной собственности зависит от сроков старения знаний и возможного раскрытия их конфиденциальности. Этот период соответствует 20-летнему периоду действия патента РФ на изобретение. При определении срока действия договора на передачу ноу-хау в международной практике принятым считается срок, равный пяти годам, а по отдельным договорам он изменяется в пределах от двух до десяти лет.
Метод выигрыша себестоимости предполагает, что при использовании объекта интеллектуальной собственности сокращаются затраты на производство продукции;

где h.Cf — экономия на затратах в результате использования объекта интеллектуальной собственности.
Метод избыточных прибылей применяется для оценки деловой репутации фирмы (гудвилла). Стоимость гудвилла определяется путем капитализации избыточной прибыли:

где Пф — фактическая чистая прибыль оцениваемого предприятия; По — ожидаемая чистая прибыль, определяемая путем умножения среднеотраслевой рентабельности собственного капитала на величину рыночной стоимости чистых активов предприятия; г— коэффициент капитализации, рассчитывается как величина, обратная количеству приносящих избыточную прибыль лет.
Пример. Предположим, рыночная стоимость чистых активов предприятия оценивается в $40 000, чистая прибыль — $16 000. Среднеотраслевая рентабельность собственного капитала равна 15%. Избыточные прибыли предполагается получать в течение 5 лет. Оценить стоимость деловой репутации (гудвилла).
Решение
Рыночная стоимость чистых активов 40 000.
40 000 х 0,15 - $6000.
16 000 - 6000 = $10 000. 1/5 = 20%.
10 000/0,2 = $5000.
Ожидаемая прибыль Избыточная прибыль Ставка капитализации Стоимость гудвилла
Метод освобождения от роялти предполагает, что при использовании принадлежащей предприятию интеллектуальной собственности появляется дополнительная прибыль в виде невыплаченного вознаграждения за ее использование:

где Bt — выручка в t-Й год; R — ставка роялти по отрасли; 3( — расходы, связанные с поддержанием патента или лицензии в силе в t-й год (юридические, организационные, административные издержки); Т— срок действия патента, лет.
Стоимость лицензии методом роялти вычисляется как:

где Вг — выручка от реализации продукции по лицензии в t-й год; R. — размер роялти в i-м году, %; Т— срок действия лицензионного договора, лет.
Размер роялти зависит от следующих факторов:
• объема правовой охраны (продажа не запатентованной разработки снижает цену лицензии до 30%);
• объема передаваемых прав использования (наиболее дорогой — полная лицензия, наиболее дешевый — простая лицензия);
• объема производства и возможности контролировать выпуск продукции по лицензии (если контроль затруднен, то цена лицензии возрастает);
• срока (чем больше срок, тем меньше ставка роялти);
• научно-технической значимости и коммерческих возможностей использования нововведения (передовая разработка стоит дороже);
• размера капиталовложений, необходимых для организации производства продукции по лицензии;
• объема передаваемой технической документации: передается ли в полном объеме (конструкторская, технологическая, эксплуатационная) или частично (только конструкторская);
• зависимости лицензиата в поставках материалов, инструментов, комплектующих деталей для организации производства продукции по лицензии, а также от объема технической помощи со стороны лицензиара в освоении объекта;
• ситуации на рынке: наличия конкурентных предложений на покупку аналогичных по экономической эффективности технологий.
Размер роялти может быть определен эмпирически (на базе стандартных среднестатистических значений) или расчетным путем.
Стандартные ставки роялти составляют 20-25% от дополнительной прибыли лицензиара или 0,5-14% от объема продаж, себестоимости или цены продукции (табл. 6.2).
При отсутствии данных по конкретной отрасли промышленности или объекту лицензии расчет ставок роялти выполняется с учетом уровня рентабельности производства и доли лицензиара в прибыли лицензиата:
Pxd
роялти=(ітту
где Р — рентабельность производства и реализации продукции по лицензии; d — доля прибыли лицензиара в общем объеме прибыли лицензиата от производства и реализации продукции по лицензии (от 10 до 50%).
Таблица 6.2
Стандартные ставки роялти по отраслям промышленности от валового объема реализации лицензионной продукции |
|
|
|
Отрасль промышленности |
Ставка роялти, % |
|
Автомобильная |
1-3 |
|
Авиационная |
6-10 |
|
Мсталлур гич ес кая |
5-8 |
|
Производство потребительских товаров длительного пользования |
5 |
|
Окончание табл. 6.2 |
|
|
|
Отрасль промышленности |
Ставка роялти, % |
|
Производство потребительских товаров массового спроса с малым сроком использования |
0,2—1,5 |
|
Станкостроительная |
4,7-7,5 |
|
Текстильная |
3-7 |
|
Фармацевтическая |
2-5 |
|
Химическая |
1,5 |
|
Электронная |
4-10 |
|
Электрохим и чес кая |
1-5 |
|
Источник Федотова М. А. Оценка бизнеса. — М.: Финансы и статистика, 1998. |
Метод прямого сравнения продаж предполагает определение стоимости объекта по цене сделок купли-продажи аналогов с учетом поправок на различие характеристик. Этот метод имеет ограниченное применение в силу уникальности и специфики объектов.
Метод стоимости создания используется для оценки целевых организационных расходов, затрат на НИОКР, лицензии на право занятия определенным видом деятельности.
Стоимость объекта интеллектуальной собственности рассчитывается как сумма всех затрат, скорректированная с учетом коэффициента технико-экономической значимости (К )для изобретений и полезных моделей, коэффициента морального старения (К2), индекса цен на дату оценки (К3):

При покупке объекта интеллектуальной собственности учитываются затраты на приобретение имущественных прав, на освоение в производстве товаров с использованием нематериального актива, на страхование рисков осуществления проекта.
При создании объекта на самом предприятии учитываются затраты на поисковые работы и разработку темы; на создание экспериментальных образцов; на услуги сторонних организаций; на уплату патентных пошлин; на создание конструкторской, технологической, проектной документации; на составление и утверждение отчета.
Расходы на создание товарных знаков включают в себя расходы на обеспечение качества товаров, рекламу и защиту товарных знаков, формирование имиджа фирмы, что достаточно сложно оценить. Поэтому применимость данного метода и ограничена наиболее «осязательными» из нематериальных активов.
Коэффициент технико-экономической значимости (К^ определяется для изобретений и полезных моделей по табл. 6.3.
Таблица 6.3
Шкала коэффициентов технико-экономической значимости |
|
|
|
1,0 |
Изобретения, относящиеся к одной простой детали, изменению одного параметра простого процесса, одной операции процесса, одного ингредиента рецептуры |
|
1,5 |
Изобретения, относящиеся к конструкции сложной детали неосновного узла, изменению нескольких параметров несложных операций, изменению нескольких неосновных ингредиентов в рецептуре |
|
2,0 |
Изобретения, относящиеся к одному основному или нескольким неосновным узлам, части неосновных процессов, части неосновной рецептуры |
|
2,5 |
Изобретения, относящиеся к конструкциям машин, приборов, станков, аппаратов, технологическим процессам, рецептурам |
|
3,0 |
Изобретения, относящиеся к конструкциям со сложной системой контроля, сложным комплексным технологическим процессам, рецептуре особой сложности |
|
4,0 |
Изобретения, относящиеся к конструкциям, технологическим процессам, рецептуре особой сложности и главным образом к новым разделам науки и техники |
|
5,0 |
Изобретения, не имеющие прототипа, — пионерские изобретения |
Коэффициент морального старения определяется по формуле:
где Тн — номинальный срок действия охранного документа; 7^ — срок действия охранного документа по состоянию на расчетный год.
6.3. Оценка объекта авторского права
Рассмотрим пример оценки объекта авторского права — базы данных. (Источник: сервер чТёхнологическийбизнес России», автор — Ю. Леонтьев.)
1. Дата и место оценки: 1 марта 1999 г., г. Москва (курс — 22,89 руб./$).
2. Цель оценки: включение О И С в уставный капитал предприятия.
3. Объект оценки: ОИС представляет собой базу данных, предназначенную для облегчения и ускорения поиска необходимой информации лицом, работающим на российском рынке интеллектуальной собственности.
4. Состояние рынка
Затраты на разработку такого ОИС складываются из следующих основных статей: заработная плата программиста (с отчислениями в бюджет), плата за аренду помещения, плата за амортизацию оборудования, накладные расходы и прибыль предпринимателя.
Заработная плата опытного программиста в зависимости от квалификации составляет от $500 до $2000 в месяц. Плата за аренду офисных помещений находится на уровне от $300 до $1000 в год за 1 м2.
Профессиональные программисты работают с комплектами оборудования (компьютеры, принтеры, сканеры и т. д.) стоимостью от $1200 до $2400 со сроком эффективного использования 3-5 лет.
5. Процедура оценки (затратный подход)
Для определения стоимости объекта оценки целесообразно применить метод восстановительной стоимости. Поэтому следует составить смету затрат в предположении, что ОИС создается в настоящий момент в условиях успешно функционирующей организации.
Существуют два мнения экспертов: база данных может быть создана опытным программистом средней квалификации за три месяца; этот программный продукт может быть разработан специалистом высокой квалификации в течение одного месяца.
Соответственно строятся два варианта сметы расходов (табл. 6.4).
|
Таблица 6.4 Сметы расходов, $ |
|
|
|
Статьи затрат |
I вариант |
II вариант |
|
Заработная плата (без начислений) |
О
О
іо |
|
|
• один месяц (с начислениями) |
700 |
1500 |
|
• тримесяца |
2100 |
- |
|
Итого: |
2100 |
1500 |
|
Аренда помещения |
|
|
|
• Площадь: 10м2 |
|
|
|
• Ставка арендной платы, $ за м2 в год |
300 |
600 |
|
• Плата за один месяц |
250 |
О
о
о |
|
Окончание табл. 6.4 |
|
|
|
Статьи затрат |
I вариант |
II вариант |
|
• Плата за три месяца |
750 |
— |
|
Итого: |
750 |
500 |
|
Амортизация вычислительной техники |
|
|
|
• Стоимость типового набора (компьютер, сканер, принтер частично |
1500 |
2520 |
|
• Срок эффективного использования |
3 года |
3 года |
|
• Амортизационные начисления за один месяц |
|
70 |
|
• Амортизационныеначислсния за три месяца |
125 |
|
|
Итого: |
125 |
70 |
|
Итого по трем статьям |
2975 |
2070 |
|
Накладные расходы 20% |
595 |
414 |
|
Итого с накладными расходами |
3570 |
2484 |
|
Прибыль предпринимателя 25% |
892,5 |
621 |
|
Всего: |
4462,5 |
3105 |
|
Всего в рублях по курсу, действующему на дату оценки (01.03.99) |
102146,6 |
71073,5 |
Таким образом, получены два возможных значения восстановительной стоимости оцениваемой базы данных: 102 146,6 руб. и 71 073,5 руб. Поскольку данный продукт создан в конце 1998 г., можно считать, что снижения его стоимости за счет устаревания пока что не произошло.
6. Согласование результатов
Так как не имеется оснований придавать какому-либо из участвующих в согласовании результатов больший вес, нежели другому, в качестве конкретной стоимости объекта оценки (Р?) следует указать ее среднее арифметическое значение:
PV= (102,15 + 71,07): 2 = 86,61 тыс. руб.
7. Заключение
Рыночная стоимость оцениваемой базы данных объективно находится в диапазоне от 70 до 100 тыс. руб.
По состоянию на дату оценки, по мнению эксперта, она равна 86 тыс. руб.
6.4. Оценка объектов промышленной собственности
6.4.1. Оценка лицензии
Объем производства продукции по лицензии определяется исходя из следующих источников:
• экспертной оценки специалистов лицензиара о возможном объеме производства продукции по лицензии лицензиатом на установленной территории;
• информации лицензиата о получаемых им объемах производства продукции по лицензии на той же территории;
• фиксированных объемов производства, которые указаны в лицензионном договоре;
• оценки производственных мощностей лицензиата.
Определять объем производственной продукции по лицензии нужно по каждому году с учетом того, что в первые годы освоения выпуска может и не быть, потом будет происходить наращивание объемов, а затем пойдет спад в связи с моральным старением нововведения.
Расчетная продажная цена продукции по лицензии — это цена продукции по лицензии на условиях франко-завод изготовителя за вычетом стоимости упаковки, страховки, расходов на хранение.
Пример
Определить стоимость лицензионного соглашения по предоставлению неисключительного права на использование запатентованной промышленно освоенной технологии при среднеотраслевой норме рентабельности 26%.
Решение
Роялти по договоренности субъектов сделки рассчитывается как процент от прибыли (табл. 6.5).
1. Определяем ставку роялти с учетом наличия охранных документов и возможности получения реальных преимуществ перед конкурентами за счет патентной монополии как величину доли владельца технологии в прибыли лицензиата 25%. Тогда расчетная величина значения роялти:
(1 + 0,26) 1,26
0,26x0,25 0,065 .ппо/ . го/ роялти = д 100% = 5,15%,
2. Платежи по лицензионному соглашению предполагается производить в течение 3 лет.
3. Прогнозирование объема продаж по лицензионному соглашению.
Производственная мощность для продукции по данному лицензионному соглашению — 1500 шт. Рост выпуска продукции — 20% в год. Инфляция — 10%. Ставка дисконта — 25% Переменные издержки составляют 20% от выручки. Расходы по обеспечению лицензионного соглашения составляют 1% от выручки.
4. Расчет ожидаемых выплат по роялти.
5. Определение дисконтированных денежных потоков от выплат по роялти.
6. Определение стоимости лицензионного соглашения как суммы текущих стоимостей потоков прибыли от выплат по роялти.
Таблица 6.5
Определение стоимости лицензионного соглашения |
|
|
|
Показатели |
Базовый
год |
1 год |
2 года |
3 года |
|
Выпуск продукции по лицензии, шт. |
1000 |
1200 |
1440 |
1500 |
|
Цена продукции |
10 |
11 |
12 |
13 |
|
Выручка от реализации |
10000 |
13200 |
17424 |
19950 |
|
Переменные издержки |
2000 |
2640 |
3485 |
3990 |
|
Постоянные издержки |
3700 |
4070 |
4477 |
4925 |
|
Себестоимость продукции |
5700 |
6710 |
7962 |
8915 |
|
Прибыль от реализации |
4300 |
6490 |
9462 |
11035 |
|
Роялти |
|
334 |
487 |
568 |
|
Расходы но обеспечению лицензионного соглашения |
|
132 |
174 |
200 |
|
Денежные потоки от выплат по роялти |
|
|
~^ = 224 1,25 и |
36^. -211 |
Текущая стоимость
денежных потоков |
|
1,25м |
1.25м |
|
|
|
|
|
Стоимость лицензионного
соглашения |
616 |
|
|
|
Пример
Стоимость лицензии методом освобождения от роялти (табл. 6.6).
|
Таблицаб.б |
|
|
|
№ |
Показатели |
i год |
2 года |
3 года |
|
1 |
Расчетный объем продаж, ден. ед. |
|
|
|
|
2 |
Ставка роялти, % |
|
|
|
|
3 |
Ожидаемые выплаты по роялти (стр. 1 х стр. 2), $ |
|
|
|
|
4 |
Расходы, $ |
|
|
|
|
5 |
Прибыль от выплат по роялти (стр. 3 - стр. 4), $ |
|
|
|
|
6 |
Коэффициент дисконтирования |
|
|
|
|
7 |
Текущая стоимость прибыли от выплат по роялти (стр. 5 х стр. 6), $ |
|
|
|
|
8 |
Сумма текущих стоим остей прибылей от выплат по роялти, $ |
|
|
|
Пример
Необходимо оценить рыночную стоимость лицензии методом стоимости создания, если затраты по приобретению лицензии (3()составили 500 д. е., затраты на маркетинг и рекламу продукции, продаваемой по этой лицензии (32), составили 100 д. е., на изменение имиджа предприятия и освоение производства продукции, продаваемой по лицензии (З3), — 200 д. е., по страхованию рисков осуществления проекта (34) - 100 д. е.
Стоимость приобретенной лицензии = 3( + З3 + З3 + 34 - 900.
6.4.2. Оценка бренда
Товарный знак является средством индивидуализации товаров. Это символ качества и престижа, чья стоимость растет с течением времени в результате использования, рекламирования и увеличения объемов продаж. В 1266 г. в Англии был принят первый касающийся товарных знаков законодательный акт, в соответствии с которым каждый пекарь был обязан маркировать продукцию своим знаком, чтобы при недостаточном качестве хлеба можно было обнаружить виновного.
В России зарегистрировано порядка 200 тыс. товарных знаков и знаков обслуживания. В год, по данным Роспатента, подается примерно 30 тыс. заявок на регистрацию товарного знака. Ежегодно Роспатент выдает около 20 тыс. соответствующих свидетельств.
Товарный знак — это существенный компонент нематериальных активов, формирующий немалую долю рыночной стоимости фирмы и одновременно представляющий собой важный источник информации для покупателей товаров.
Стоимость товарного знака может измеряться значительной суммой (табл. 6.7).
Таблица 6.7
20 самых дорогостоящих торговых марок |
|
|
|
№ |
Торговая
марка |
Рыночная
стоимость,
$ млрд |
№ |
Торговая
марка |
Рыночная
стоимость,
$млрд |
|
1 |
«Coca-Colas- |
47,99 |
11 |
«Nike» |
11,13 |
|
2 |
«Marlboro* |
47,64 |
12 |
«Kellogg's* |
10,67 |
|
3 |
«IBM* |
23,70 |
13 |
«AT&T» |
10,39 |
|
4 |
«McDonald's» |
19,94 |
14 |
«Nescafe» |
10,34 |
|
5 |
«Disney» |
17,07 |
15 |
«GE» |
10,29 |
|
6 |
«Sony» |
14,46 |
16 |
«Yewlctt-Packard* |
9,42 |
|
7 |
«Kodak» |
14,44 |
17 |
«Pepsi» |
9,32 |
|
8 |
«Intel» |
13,27 |
18 |
«Microsoft» |
8,99 |
|
9 |
«Gillette» |
11,99 |
19 |
«Frito-Lay* |
8,99 |
|
10 |
«Budweiser* |
11,99 |
20 |
«Lcvi's» |
8,17 |
|
Источник: Financial Times. |
Как средства искусственной дифференциации товаров товарные знаки дают их владельцам возможность обеспечения монопольного положения на соответствующем, создаваемом путем индивидуализации производственной продукции и товаров рынке. Это обусловливает относительно большой доход на единицу продукции. Тем самым товарный знак можно рассматривать как фактор производства стоимости товара.
Оценка товарного знака производится:
• при его покупке другой фирмой;
• при предоставлении франшизы новым компаньонам, когда расширяется рынок сбыта и увеличивается объем продаж;
• при определении ущерба, нанесенного деловой репутации предприятия незаконными действиями со стороны других предприятий;
• при использовании его в качестве вклада в уставный капитал создаваемого общества или товарищества;
• при определении стоимости нематериальных активов для общей оценки стоимости предприятия.
13-180
При оценке товарного знака, приобретаемого предприятием у другой фирмы, предпочтительно использовать доходный подход, а именно метод преимущества в прибыли. Для этого достаточно рассчитать прирост чистого дохода предприятия вследствие увеличения цены и расширения рынка сбыта и вычесть дополнительные расходы на удовлетворение требований обладателя товарного знака. Стоимость товарного знака совпадает с преимуществом в прибыли. Преимущество в прибыли определяется только в первый год использования товарного знака, так как в дальнейшем фирма-покупатель уже сама будет работать на товарный знак, т. е. увеличивать (в лучшем случае) или уменьшать его стоимость. Поэтому применять коэффициент капитализации для перевода преимущества прибыли в стоимость было бы неправильно.
Бренд — наименование плюс товарный знак.
Затратный подход — это самый простой способ, предусматривающий учет затрат на создание и поддержание бренда. Поскольку средства могут тратиться неэффективно, этот показатель достаточно условен.
Рыночный подход опирается на два аналогичных продукта — брендовый и не имеющий бренда. Вычисляется прибыль, полученная от продажи этих товаров за какой-то период времени, или прибыль за определенное количество штук. Прибыль от «небрендового» товара вычитается из прибыли от товара «брендового». Эта разница и есть стоимость бренда. Естественно, не всегда можно найти аналогичный «безбрендовый» товар. Тогда в расчетах учитывается влияние внешних рыночных факторов, например прибыльность данного сектора рынка.
Доходный подход предполагает составление двух вариантов прогноза результатов деятельности компании. Один исходит из наличия бренда, другой — из его отсутствия. Разница и есть эффект наличия бренда или его ценность для действующего предприятия.
Пример
Аудиторско-консалтинговая фирма завоевала прочные позиции на рынке. Объем реализации — 20 млн руб. в год, в том числе 40% суммы получено за счет услуг по аудиту, 30% — по оценке, 30% — другие консалтинговые услуги. Исследование рынка показало, что имеется возможность реализовывать услуги аудиторов — на 25% выше среднерыночных, оценщиков— на 10% выше среднерыночных, консалтинг — 0%. Предполагается, что первые 5 лет доходы будут расти на 10% в год, а через 5 лет — на 5%. Ставка налога на прибыль — 30%. Ставка дисконта для оптимистичного варианта — 25%, вероятного — 30%, пессимистического — 35%.
Оценить стоимость бренда аудиторской фирмы.
гг
Решение
Расчет стоимости проведем через определение будущих выгод из-за преимуществ в стоимости услут.
Подсчитаем чистый доход, приносимый брендом в текущем году:
[20 х 0,40 х (1 - 1/1,25) + 20 х0,30 x(l~l/l,10)j х (1 - 0,30) =
= 1,5 млн руб.
Предварительная оценка стоимости бренда — от 1,5 до 15 млн руб. Рыночная стоимость бренда находится в диапазоне от 6,0 до 8,9 млн руб.; вероятная стоимость — 7,2 млн руб. (табл. 6.8).
Таблица 6.8
Прогноз доходов от использования бренда |
|
|
|
Год |
Доход |
Оптимистичный вариант |
Вероятный
вариант |
Пессимистичный
вариант |
|
1 |
1,65 |
1,65/(1+0,25)' = 1,32 |
1,27 |
1,22 |
|
2 |
1,82 |
1,82/(1+0,25/= 1,16 |
1,07 |
1,00 |
|
3 |
2,00 |
1,02 |
0,91 |
0,81 |
|
4 |
2,20 |
0,90 |
0,77 |
0,66 |
|
5 |
2,42 |
0,79 |
0,65 |
0,54 |
|
6 |
2,54 |
0,66 |
0,53 |
0,42 |
|
7 |
2,6G |
0,56 |
0,42 |
0,33 |
|
8 |
2,80 |
0,47 |
0,34 |
0,25 |
|
9 |
2,94 |
0,39 |
0,28 |
0,20 |
|
10 |
3,08 |
0,33 |
0,22 |
0,15 |
|
Реверсия к доходу от 10-то года |
(3,08/0,25)/(1+0,25)ш = 1,32 |
0,75 |
0,44 |
|
Текущая стоимость дохода |
8,9 |
7,2 |
6,0 |
6.4.3. Оценка договора на передачу ноу-хау
Ноу-хау имеет реальную ценность только в случае надежной защиты его от раскрытия. Поэтому расчет стоимости ноу-хау имеет смысл основывать на использовании прибыли за несколько лет. Для оценки ноу-хау можно применять метод роялти. Однако при расчете следует уточнить, что предполагается оценка патента на технологию.
13'
136.
Патент предполагает передачу права собственности, тогда как лицензия разрешает использование нематериального актива на определенный в ней срок и не предполагает перехода права собственности.
Проблема определения платежей за использование ноу-хау заключается в том, что для его внедрения в производство требуются инвестиции. Чистый доход от использования ноу-хау или изобретения является частью чистого дохода от реализации инвестиционного проекта. Поэтому сначала разрабатывается инвестиционный проект, составляется бизнес-план, в котором рассчитывают ожидаемый ежегодный чистый доход. Затем выделяют ту часть чистого дохода, которую можно отнести к используемому объекту интеллектуальной собственности.
Применяемый для расчета долевой коэффициент определяется с учетом фактора получения экономии. Так, применение ноу-хау или изобретения дает прирост чистого дохода предприятия за счет таких факторов, как снижение себестоимости продукции, увеличение объема продаж, увеличение цены за продукцию за счет роста качества, снижение налога на прибыль. Далее надо решить, какая часть рассчитанного дохода пойдет в оплату обладателю (автору) ноу-хау или изобретения. Вот эта величина и будет использована в формуле как чистый доход.
Особое внимание следует обратить на выбор ставки дисконта. Обычно ставка дисконта складывается из безрисковой ставки и премии за риск. Когда оцениваются объекты интеллектуальной собственности, премия за риск выбирается повышенной, так как вложения в эти объекты отличаются большой рискованностью.
Срок полезного применения объекта интеллектуальной собственности оценивается предприятием самостоятельно и зависит от сроков старения передаваемых знаний (опыта) и возможного раскрытия их конфиденциальности. Этот период соответствует 20-летнему периоду действия патента РФ на изобретение. При определении срока действия договора на передачу ноу-хау в международной практике принятым считается срок, равный пяти годам, а по отдельным договорам он изменяется в пределах от двух до десяти лет.
Пример
Предприятие владеет ноу-хау производства изделий. Затраты на производство изделий без использования ноу-хау составляют $6,5 за единицу. При этом 45% себестоимости представляют собой затраты труда. Рассматриваемое предприятие продает 300 000 изделий в год. Ноу-хау дает предприятию возможность экономить на каждом выпускаемом изделии $1,25 за счет используемых материалов и 40% трудо-
6. Оценка интеллектуальной собственности вых затрат. По прогнозам, это преимущество сохранится в течение 6 лот. Необходимо оценить стоимость ноу-хау при ставке дисконта 15%.
Решение
Экономия материалов 300 000 х 1,25 - $375 000.
Себестоимость без использования ноу-хау 300 000 х 6,5 = $1 950 000.
Трудовые затраты 0,45 х 1 950 000 = $877 500.
Экономия трудовых затрат 0,4 х 877 500 = $351 000.
Выигрыш в себестоимости 375 000 + 351 000 = $726 000.
Фактор текущей стоимости аннуитета (6 лет по ставке 15%) 3,784.
Стоимость ноу-хау 3,784 х 726 000 = $2 747 184.
6.5. Оценка инновационного проекта как объекта интеллектуальной собственности
Инновация — нововведение в технике, имеющее новизну технологических идей, изобретений, отвечающее потребностям рынка.
Инновационный объект — изделие, прибор, технология, изобретение, научные и промышленные секреты.
Инновационный процесс — процесс разработки и создания инновации во времени.
Коммерциализация — процесс введения инновационного объекта в хозяйственный оборот с прибылью с учетом покрытия затрат на предшествующий научный результат.
Коммерциализуемость может быть:
• положительная (разработчик претендует на часть прибыли от проекта, которая покрывает его предшествующие затраты);
• отрицательная (разработчик не может претендовать на часть прибыли, получаемой от реализации инновационного продукта);
• компромиссная (разработчик претендует на часть прибыли, но она не покрывает его затрат на предшествующие результаты).
Для коммерциализации технологии нужно: актуализировать объект коммерциализации; проверить факт наличия прав на объекты интеллектуальной собственности; установить срок охраны и территорию действия прав на ОИС; провести анализ документов, подтверждающих права владельцев; оценить стоимость инновационного объекта.
Подход 1 — монопольное ценообразование. Владелец научно-технического знания, имеющего правовую охрану, выступая монополистом на рынке, может продать свой товар по той цене, которую он сочтет приемлемой. Однако в реальной ситуации на цену будут воздейство-
Ш
вать различные рыночные факторы, которые определят рыночную, а не монопольную цену.
Подход 2 — затратное ценообразование. Цена определяется исключительно величиной затрат на проведенные НИОКР, а также получение патентных прав.
Подход 3 — смешанный подход. Используются обе стратегии. При оценке нижней границы цены выбирается стратегия затратного подхода, но вместе с тем используется методика, где при оценки стоимости технологии учитывается реальная прибыль при введении объекта ИС в хозяйственный оборот.
Формы коммерциализации объекта:
1. Разработка—производство—рынок (у изобретателя блестящая идея, но нет собственных ресурсов для ее развития, формирования рынка и производства продукта).
2. Разработка—передача прав на объект ИС (российская фирма, производящая продукцию в своей стране, ищет возможности выхода на другие рынки).
3. Разработка—создание совместного предприятия—рынок.
В качестве факторов, влияющих на ценообразование технологии, можно выделить: стадию разработки научно-технического новшества; его правовая охрану; его техническую и коммерческую ценность; объем передаваемых прав; условия платежа; наличие ноу-хау; наличие патентной защиты и объем патентных прав; спрос на рынке на данную технологию и его продолжительность спроса; наличие на рынке аналогичных решений; возможность оказания технической помощи; необходимость поставки сырья, материалов, специального оборудования, комплектующих и т. п.
Факторы, влияющие на успешность выполнения инновационного проекта: значимость проекта, полезность результатов для потенциальных пользователей, кадровый состав проекта, бизнес-план проекта идр.
Инновационный риск — вероятностная оценка успеха/неуспеха создания инновационного продукта и доведения его до рынка. Инновационные проекты относятся к категории наиболее высокого риска для инвестиций. В основном финансирование этой сферы идет из бюджетных источников, из средств венчурных и специальных фондов.
Если разделить инновационные продукты по степени завершенности исследований и характеру результата НИОКР, то можно получить категории инновационных проектов, представленные в табл. 6.9.
Таблица 6.9
Категории инновационных проектов |
|
|
|
Группа |
Усовершенствованный продукт/ технология |
Новый
продукт/
технология |
|
Инновационные проекты, связанные исключительно с продвижением готового инновационного продукта |
1,1 |
1,2 |
|
Инновационные проекты с незавершенной стадией внедрения |
2,1 |
2,2 |
|
Инновационные проекты с незавершенной стадией ОКР |
3,1 |
3,2 |
|
Инновационные проекты с незавершенной стадией НИР |
4,1 |
4,2 |
|
Инновационные проекты с незавершенной стадией поисковых исследований |
5,1 |
52 |
Наиболее привлекательными для инвестиций являются, с точки зрения инвесторов, проекты категории 1.1 и 2.1.
Значительно выше риск по проектам, ориентированным на продвижение нового продукта/ технологии. При разработке и реализации таких проектов многие решения приходится принимать на интуитивном уровне, так как в большинстве случаев необходимая информация отсутствует. Например, для подобных проектов очень непросто разработать маркетинговую концепцию: довольно вероятны ошибки при прогнозировании объемов спроса, возможностей сбыта, позиционировании товара на рынке, установлении цены. Тем не менее проекты, относящиеся к группам 1.2 и 2.2, при наличии веских аргументов для инвестора могут получить необходимые инвестиции.
Самую низкую вероятность финансирования из коммерческих источников имеют проекты 4 и 5 категории. Средства для этих проектов лучше искать в инновационных и венчурных фондах. Инновационный риск данных проектов существенно повышается для инвестора в связи с тем, что в соответствии с российским законодательством риск случайных неудач невыполнения договоров несет заказчик.
Управлять рисками, связанными с внедрением и продвижением инноваций на рынок, достаточно сложно, особенно принимая во внимание очень высокую долю неопределенности. Тем не менее анализ инновационных рисков и их систематизация уже могут дать инструменты к управлению рисками.
На сегодняшний день создано достаточно много классификаций инновационных рисков. Однако многие из них страдают излишней детализацией. Для инвестора имеют значение фактически лишь те риски, которые приводят к потере или снижению объемов запланированной прибыли или доходов. В данной классификации отражены основные риски, связанные с созданием и продвижением инноваций (табл. 6.10).
Таблица 6. Ю
Основные риски,
связанные со стадиями создания и продвижения инновации |
|
|
|
Стадия |
Риск |
Факторы риска |
Проведение
поисковых
исследовании |
Получение
отрицательного
результата |
Неверное направление исследований, ошибка в постановке задачи, ошибки расчетов и т. д. |
|
Отсутствие результата в установленные сроки |
Ошибки в оценке сроков завершения
исследовании
Ошибки в оценке необходимых ресурсов |
Проведение
НИОКР |
Получение
отрицательного
результата |
Неправильная интерпретация результатов и/или выбор пути реализации фундаментальных исследований, па которых базируется НИОКР |
|
Невозможность реализовать результат фундаментальных исследований на данном уровне развития НИОКР |
|
Ошибки расчетов, недоработки |
Отсутствие результата НИОКР в установленные
сроки |
Ошибки в оценке сроков завершения
НИОКР
Ошибки в оценке необходимых ресурсов для завершения НИОКР |
Отказ
в сертификации результата |
Нарушение стандартов и требований сертификации
Нарушение условий секретности Отсутствие лицензий |
|
Получение непатентоспособного результата |
Наличие аналогов
Несоответствие требованиям патентования |
Несвоевременное
патентование |
Патентование на ранних сроках, когда не принято мер по защите рынка, может |
|
Продолжение табл. 6. Ю |
|
|
|
Стадия |
Риск |
Факторы риска |
|
|
|
привести к значительному ущербу конкурентоспособности (утечка информации)
Если сроки патентования отложены на достаточно долгий срок, это может привести к тому, что аналогичная разработка уже будет запатентована |
|
Внедрение результатов НИОКР в производство |
Получение
отрицательного
результата |
Неверная оценка полученного результата исследований
Неправильный выбор пути реализации результатов исследований Невозможность реализовать результат на технологическом уровне |
|
Отсутствие результатов внедрения в установленные сроки |
Ошибки в оценке возможностей производства
Ошибки в оценке сроков внедрения Ошибки в оценке необходимых ресурсов |
|
|
Экологические риски НИОКР |
Ошибки в расчетах, приводящие к превышению фактических показателей по использованию/выработке вредных веществ над расчетными
Недоработка технологии
Технология производства предполагает использование/ выработку экологически вредных веществ |
Продвижение
нового
продукта,
созданного
на основе
НИОКР,
на рынок |
Отторжение
рынком |
Несовместимость с технологическим укладом
Наличие аналогов
Несоответствие требованиям потребителя
Ошибки, допущенные при разработке маркетинговой концепции (неправильное определение цепы, неправильный выбор целевых групп потребителей, недооценка копкурен тов, недочеты в дизайне, неправильная организация сбытовой сети, рекламной кампании) |
|
Более низкие объемы сбыта |
Быстрое старение инновации Появление аналогов |
|
Ы-180 |
|
Окончание табл. 6.10 |
|
|
|
Стадия |
Риск |
Факторы риска |
|
|
по сравнению
с запланированными |
Ошибки концепции маркетинга |
На основании данной схемы можно провести и оценку инновационных рисков, рассматривая наличие в проекте мер, снижающих ука-занныериски.
Оценивать риски можно, используя логические шкалы или систему баллов.
Большинство методик по оценке рисков строится именно по балльной системе: эксперт проставляет определенное количество баллов по каждой из групп риска или по каждому риску в отдельной группе, затем риски взвешиваются и выводится общая оценка риска проекта. На основании этой оценки дается заключение о группе риска проекта и целесообразности его финансирования. Оценка риска проекта должна обязательно отражаться в расчетах по проекту: все показатели проекта должны быть рассчитаны с учетом поправки на риск.
НАУЧНО-ТЕХНИЧЕСКАЯ ЭФФЕКТИВНОСТЬ ИССЛЕДОВАНИЙ
Вероятность того, что неосведомленный человек выскажет глубокую мысль, так же мала, как возможность попасть в сапоги, спрыгнув с колокольни.
К. Чапек
7.1. Анализ итогового результата
Формула неуспеха: стараться понравиться всем.
Народная мудрость
Анализ инженерного решения предполагает проведение ряда методических процедур. В конкретном случае допустимо последовательное проведение каждой или выборочно одной. Цель анализа — это расширить представление инженера об экономической значимости исследуемой проблемы (решаемой задачи), возможных изменениях экономических оценок в будущем, влиянии нормативно-справочных параметров на итоговый результат.
В качестве основных форм анализа приняты:
• Факторное исследование.
• Сравнение с аналогами.
• Сравнительная оценка факторов.
• Интервальная оценка.
• Динамический анализ.
• Структурный анализ.
• Вероятностная оценка.
• Качественный анализ.
• Оценка риска.
Факторное исследование предусматривает рассмотрение зависимости итоговой оценки от одного из задаваемых параметров. В качестве последних могут быть одна из статей затрат, удельные нормы расхода ресурсов и т. п. Итоговой оценкой можно принять интегральные затраты, получаемый эффект, масштаб внедрения и т. д. Представляется факторное исследование в табличной и графической формах. При использовании двух факторов формируют двухкоординатное поле.
Сравнение с аналогами организуется на основе банка образцов либо дополнительно привлекаемой информации. Сравнение выполняется по значениям отдельных параметров: производительность, мощность, надежность, стойкость, качество, срок службы, материалоемкость, воздействие на экологию. Количество аналогов должно быть не менее двух, и это должны быть лучшие отечественные или мировые достижения (действующие или проектные).
Наличие множества первичных факторов (параметров) требует сравнения их экономической значимости по влиянию на итоговый результат. Эта форма анализа предполагает задание ряда первичных факторов и оценки чувствительности к ним итоговых показателей.
Получаемая в результате совокупность коэффициентов чувствительности показывает, по каким показателям влияние отсутствует, по каким требуется дополнительное исследование, какие являются определяющими по влиянию на итоговый результат.
Интервальная оценка итогового результата может выполняться по отдельному первичному фактору либо по совокупности нескольких одновременно меняющихся факторов. Эта форма анализа предполагает моделирование последствий при различных исходных данных либо различных сценариях условий.
Динамический анализ реализуется как совокупность последовательно рассматриваемых вариантов с различными значениями параметров. Пользователь задает таблицу значений исходных параметров по интервалам времени, и результатом анализа должна быть последовательность значений итогового показателя.
Структурный анализ направлен на выделение доли отдельных составляющих в итоговом результате. Основными формами являются структура элементов в текущих и единовременных затратах, вклад отдельных этапов в конечный результат. Такое сопоставление позволяет выделить элементы структуры, которые являются специфическими для рассматриваемого проекта.
Неопределенность значения отдельных факторов ведет к неопределенности итоговой оценки. Вероятностную оценку можно получить на основе математического моделирования последствий, расчета результата через вероятностные характеристики, экспертной оценки.
Качественный анализ основан на задании вариантов исследования на уровне терминов «увеличится существенно», «уменьшится» и т. п. Подобный анализ допустим, если не требуется особой точности.
Каждое научное исследование связано с некоторым риском достижения плановых результатов. Зависит это от множества субъективных и объективных факторов. К ним относятся:
• степень новизны результата;
• степень новизны сферы применения результата;
• степень новизны области исследования;
• степень уверенности в правильности оценки;
• степень дефицитности необходимого материального обеспечения;
• степень существенности необходимых изменений при внедрении результата;
• степень заинтересованности потребителей результата.
Состав этих факторов можно расширить в зависимости от типа научной разработки и условий ее реализации.
Количественная интегральная оценка риска определяется как средневзвешенное значение. При равнозначности факторов интегральная оценка равна средневзвешенному значению, при неравнозначности требуется определять коэффициенты значимости составляющих. Если обозначить оценки риска через ri их значимость — а то интегральная (Уценка равна

Наибольший риск характерен для новейших исследований, направленных на принципиальные изменения. Одновременно эти работы дают и наибольший экономический эффект. Стимулирование научно-технического прогресса может осуществляться только в условиях поощрения разработок с повышенной степенью риска. Осуществлять это можно путем дифференциации прибыли разработчика в зависимости от степени риска при достижении положительного итога разработки.
7.2. Отбор нововведений
Освоение высокихтехнологий непосильно для микробизнеса. Отрасли, где господствует крупный капитал, быстрее движутся к прогрессу.
Инновация (нововведение) — идея, доведенная до практического применения. Термин «нововведение» часто применяют по отношению к изобретениям, иногда им обозначают новые способы и методы работы, изменение распределения ресурсов и фондов в организации. Общепринятая точка зрения рассматривает нововведение как процесс внедрения новых продуктов, услуг и производственных процессов.
Новая техника— новые, более совершенные орудия труда.
Передовой производственный опыт—совокупность новыхи прогрессивных знаний и навыков, воплощенных в технические конструкции, технологии, организацию производства, применение которых в других объектах может дать положительный результат.
Ноу-хау — не защищенные охранными документами и неопубликованные знания или опыт научного, технического, управленческого или иного характера (незапатентованные изобретения, технологические режимы, материалы, методы контроля, способы организации производства).
Интеллектуальная собственность—права на литературные, художественные и научные произведения, открытия, изобретения, промышленные образцы, базы данных, ноу-хау, экспертные системы, товарные знаки.
Промышленная собственность—часть интеллектуальной собственности, используемой в промышленности в виде изобретений, полезных моделей, промышленных образцов, товарных знаков, знаков обслуживания и наименования мест происхождения.
Технология — знания, умения и методы, необходимые для производства и совершенствования товара.
Технология— производственная деятельность (Кристан Вольф, конец XII в., энциклопедия «Логика»). Технология — это искусство организованно и осмысленно объединять и реализовывать комплексный набор знаний, ноу-хау, информации, методов, финансовых средств и технических ресурсов. Технология включает теоретические знания, оборудование, инструмент, ноу-хау и практический опыт.
Проект — это последовательность взаимозависимых действий, требующая вовлечения нескольких участников.
Управление проектом — это искусство руководства и координации людских и материальных ресурсов на протяжении жизненного цикла проекта путем применения современных методов и техники управления для достижения определенных в проекте результатов по составу и объему работ, стоимости, времени, качеству и удовлетворению участников проекта. Организованное протекание проекта больше способствует достижению целей, чем неорганизованное. Применение методов и средств управления проектом позволяет не только достичь результатов проекта при требуемом качестве, но и экономит средства, время, деньги, снижает риск и повышает надежность за счет четкого;
• определения цели;
• выявления структуры проекта;
• формализованной подготовки контрактов;
• планирования и оценки риска;
• организации реализации проекта;
• поддержки контроля за ходом выполнения проекта.
Нововведение является комплексным понятием. Оно включает:
• изготовление нового, еще не изведанного потребителями блага или создание нового качества того или иного блага;
• внедрение нового, данной отраслью промышленности еще практически не изведанного метода производства, в основе которого не обязательно лежит новое научное открытие и который может заключаться в новом способе коммерческого использования соответствующего товара;
• освоение нового рынка сбыта, на котором до сих пор данная отрасль промышленности этой страны еще не была представлена, независимо от того, существовал ли этот рынок прежде или нет;
• получение нового источника сырья или полуфабрикатов независимо от того, существовал ли этот источник прежде или просто не принимался во внимание, или считался недоступным, или еще только предстояло его создать;
• проведение соответствующей реорганизации.
В каждой развитой стране должен существовать нормативно-правовой механизм определения и общественного признания научно-технического развития. Это важнейшая стратегическая задача, от которой зависит будущее состояние экономики страны. В настоящее время это особенно значимо в связи с резким повышением темпов научно-технического прогресса, расширением областей техники и технологии.
Результаты научно-технической деятельности существенно зависят от качества планирования и управления. Выбор приоритетных направлений развития науки, техники и технологии на несколько лет приостановит прогресс в других областях. Если первоначальньгй вьгбор окажется огтгибочньгм, то экономические потери могут оказаться очень большими. Отсюда вытекает значимость методов, принципов и механизма установления приоритетов. Эта задача решается на всех уровнях управления экономикой: правительство, министерства, регионы, предприятия, банки и т.д.
Например, Министерство науки и технической политики России в 1994 г. выделило 11 приоритетных направлений:
• продовольствие;
• производственные технологии;
• информатику и связь;
• новые материалы, химические продукты и технологии;
• топливо и энергетику;
• транспорт;
• космос;
• экологию и рациональное природопользование;
" науку о жизни и биотехнологию;
• фундаментальные проблемы медицины, социально-культурного развития России;
• исследование фундаментальных свойств материи.
Однако этот перечень охватывал практически всю научно-техническую деятельность, поэтому на уровне научно-технической политики страны потребовался их пересмотр. Были выбраны приоритетные направления, имеющие бесспорно межотраслевой характер.
Этих направлений оказалось четыре:
• производственные технологии;
• новые материалы;
• информационные технологии;
• пауки о жизни и биотехнологии.
С 1995 г. изменилось отношение коммерческих банков к инвестициям. Многие из них создали специальные отделы, разработали принципы инвестиционной деятельности. Среди них отметим:
• выработку стратегии инвестиционной деятельности;
• разработку системы формализованных оценок инвестиционных проектов;
• выработку технологии работы с инвестиционными проектами.
Стратегия инвестиционной деятельности банка базируется на определении приоритетов отраслей и регионов, совокупности целей и мотивации в деятельности.
Формализованные оценки позволяют отбирать предпочтительные проекты. Они вырабатываются исходя из целей инвестиционной деятельности. В их составе могут быть допустимый объем кредитования, наличие дополнительных эффектов, минимально допустимая прибыль и т. д.
Технология работы с инвестициями требует не останавливаться на стадии оценок, а обеспечивать при необходимости улучшение, сопровождение, контроль и консультирование. Для этого мало быть банковским работником, требуется соответствующая профессиональная подготовка.
Каждый проект должен начинаться с четко поставленной цели, по отношению к которой в последующем может оцениваться успех проекта. Окончательный успех любого нововведения в конечном счете определит рынок. Формализованные правила оценки и отбора нововведений на этапе финансовой поддержки осуществляются не для того, чтобы получить более точную количественную оценку, а для опоры на выработанные правила оценки последствий сложных проблем.
Отбор проектов — одна из управленческих задач, где проявляется приоритетность направлений вложения средств. Процедура отбора может быть разделена на три этапа: предварительную оценку проекта, комплексную экспертизу, подготовку заключения.
На предварительной стадии отбираются проекты и программы, которые практически реализуемы и имеют экономический эффект. На этой стадии учитывают соответствие проекта целям, деятельности инвестора, дополнительный общественный и социальный эффект у заявителя, принадлежность новой получаемой собственности, привлекаемые при выполнении проекта ресурсы, отраслевую ориентацию. Особыми учитываемыми признаками могут быть характер и уровень риска достижения успеха, связь с другими научно-техническими программами, наличие налоговых льгот, влияние на экспортно-импортные связи страны.
Комплексная экспертиза предполагает:
• оценку участников проекта (компетентность, практический опыт руководителей, качество проведенного маркетинга, деловой опыт компании, потенциальный капитал у исполнителя проекта, мероприятия по защите от финансового риска, объемы работ в компа-
НИИ, соответствие имеющимся мощностям, наличие квалифицированного персонала);
• оценку текущего и перспективного рынка товаров и услуг для результата выполняемого проекта (положение на рынке, выявление потенциальной емкости, перспективы конкуренции, вероятность коммерческого успеха, вероятный объем продаж, ценообразование, воздействие на существующие товары);
• оценку используемых научно-технических и технологических разработок (уникальность, патентная защищенность, наличие сырья и материалов, общая техническая оценка прогрессивности, вероятность технического успеха, воздействие на другие проекты);
• оценку финансовых потоков (оценка стартовых и общих затрат, распределение средств по этапам проекта и элементам расходов, длительность периода возврата средств, финансовый риск, реи-табельность, механизм возврата средств, гарантии);
• оценку экологических и социальных последствий.
Заключение по проекту предполагает вывод о целесообразности его выполнения.
В качестве формализованного набора критериев отдельного проекта можно использовать:
1. Соответствие целям компании, образу компании, представлениям о допустимом риске, представлениям о времени внедрения.
2. Рыночную потребность:
• предлагаемое производство;
• вероятность коммерческого успеха;
• ожидаемый объем продаж;
• воздействие на существующие товары;
• предполагаемые затраты и цены;
• начальные затраты;
• поведение конкурентов;
• каналы распределения.
3. Научно-техническую проработанность:
• вероятность технического риска;
• патентную чистоту;
• профессионализм фирмы;
• соответствие стратегии научно-технического развития.
4. Финансовую оценку:
• движение затрат и капиталов;
• смежные расходы;
• прибыльность.
5. Производственные возможности:
• наличие оборудования;
• наличие кадров;
• наличие ресурсов;
• безопасность производства;
• необходимую кооперацию.
6. Экономическую характеристику:
• структуру используемых энергоресурсов;
• количество и виды выбросов;
• способы утилизации;
• расходы на экологическую защиту.
Для успеха инновационно-инвестиционной деятельности мало обладать умением формализованной оценки проектов. Необходим ряд дополнительных ориентиров в деятельности:
1. Необходимо в полной мере осознать интересы предприятия-потребителя.
2. Ориентироваться не на собственный экономический рост, а на улучшение экономического состояния предприятия — потребителя инноваций.
3. Необходимо постоянно расширять свою базу и способствовать ее распространению.
4. Инновационно-инвестиционная деятельность должна стать специализированной.
5. Инновационно-инвестиционная деятельность должна проводиться в «сообществе специалистов». С одной стороны, общение позволяет поддерживать уровень своих знаний, а с другой — способствует развитию софинансирования и взаимного страхования.
Переход к государственной поддержке частным инвесторам на конкурсной основе вместо распределения государственных капитальных вложений предусмотрен Указом Президента Российской Федерации от 17 сентября 1994 г. № 1928 «О частных инвестициях в Российской Федерации» и Постановлением Правительства Российской Федерации от 22 июня 1994 г. № 744 «О порядке размещения централизованных инвестиционных ресурсов на конкурсной основе».
Во исполнение Указа Министерством экономики Российской Федерации, Министерством финансов Российской Федерации и Министерством строительства Российской Федерации подготовлены и в декабре 1994 г. утверждены «Методические рекомендации о порядке организации и проведения конкурсов по размещению централизованных инвестиционных ресурсов». При Министерстве экономики Российской Федерации создана Комиссия по инвестиционным конкурсам, организованы рабочая группа и экспертный совет для отбора наиболее эффективных инвестиционных проектов.
Суть данного подхода заключается в предоставлении возможности претенденту на основе бизнес-плана, в котором значительное место занимают маркетинговые исследования, доказать, что данная продукция найдет своего платежеспособного потребителя, а вложения окупятся не более чем за 2 года.
Главное требование конкурса: доля централизованных инвестиционных ресурсов в затратах на реализацию проекта не превышает 20% и доля собственных и заемных средств (включая иностранные) частных инвесторов составляет не менее 80%. При этом собственные средства инвестора (акционерный капитал, прибыль, амортизация) в указанных затратах составляют не менее 20%. Оценка проектов проводится двумя работающими независимо друг от друга группами специалистов, что позволяет объективно выделять лучшие проекты.
Для развития заложенных в конкурс идей государственно-коммерческого финансирования проектов намечается реализовать два новых механизма: сертификации проектов и государственных гарантий инвесторам.
Сертификация проекта удостоверяет его качество и определяет размер государственной поддержки (в процентах от стоимости проекта):
• производство продукции (услуг), не имеющей аналогов в мире, (при подтверждении Роспатентом) — 50;
• экспорт продукции (услуг) обрабатывающей промышленности — 40;
• импортозамещение (при более низкой цене) — 30;
• удовлетворение платежеспособного спроса— 20.
Сертификация проекта позволяет проводить аукционы по привлечению инвесторов. Контракты с зарубежными инвесторами показывают, что проведение сертификации значительно повышает доверие к проектам. Это позволит создать конкуренцию капиталов на инвестиционном рынке и будет способствовать снижению ставки процента коммерческого кредита, что в конечном счете обеспечит повышение эффективности инвестиций.
Второй механизм — предоставление частным отечественным инвесторам государственных гарантий, включающих обязательства государства по возврату части вкладываемых ресурсов в случае срыва реализации высокоэффективного инвестиционного проекта, прошедшего сертификацию, по не зависящим от инвестора причинам. При этом необходимы встречные гарантийные обязательства, включая залоговые обязательства.
Принципиальное положение состоит в том, что государственная гарантия не должна покрывать 100% риска, так как в этом случае исчезает ответственность банка за возврат выданного кредита.
Конкурсный отбор проектов становится наиболее распространенной формой выделения инвестиций. При его проведении организатор или заказчик публикует подробную информацию о требуемых технологии, оборудовании, исследовании. Каждый из потенциальных поставщиков нововведения готовит подробное предложение, включающее технические, экономические и юридические элементы.
В некоторых странах необходимость конкурса на разработку нововведения регламентируется законом, если стоимость разработки превышает некоторый порог финансирования. Например, во Франции это $60 тыс. Прямые заказы допустимы только для более мелких разработок.
Процедура конкурса обычно дорогостоящая, но с экономической точки зрения она ведет к повышению эффективности нововведений. Если принять стоимость разработки за 100%, то на организацию конкурса потребуется 8-10%, что будет включать подготовительные работы, проведение конкурса, анализ предложений.
Одной из основных задач государства, руководителя и предпринимателя является повышение эффективности производства за счет осуществления, новых комбинаций тех или иных факторов, которых до того не существовало. Потребность в экономической оценке инвестиционных проектов возникает на всех его стадиях. Для этого привлекается система технико-экономических показателей и соответствующие методические правила.
Наукоемкие нововведения необходимы отдельному предприятию, так как их отсутствие влечет не сохранение, а падение экономического состояния. Нововведения позволяют поддерживать состояние оборудования, повышать качество продукции, удерживать объем сбы-214
та продукции. Предприятие часто ухудшает свое экономическое состояние главным образом не из-за отказа от нововведений, а оттого, что конкуренты это делают раньше.
Если не делать нововведений или делать плохо, то произойдет:
• снижение объемов производства;
• сокращение ассортимента продукции;
• рост удельных расходов на эксплуатацию;
• потеря рабочих мест;
• переход потребления на экспортные товары;
• уменьшение доли производительного сектора в стране;
• сокращение прибыли предприятий;
• снижение налоговых поступлений в государственный бюджет. ¦
Государственное управление научно-техническим развитием реализуется через:
• выработку образа будущих потребностей общества;
• обоснование ключевых направлений развития производства на краткосрочную и долгосрочную перспективу;
• селективную финансовую поддержку приоритетных направлений и программ научно-технического развития;
• бюджетную поддержку фундаментальных научных исследований;
• организацию системы конкурсных научных и научно-технических проектов;
• создание и поддержку инфраструктуры инновационной деятельности.
На правительственном уровне поддерживаются наиболее важные научно-технические программы, требующие концентрации ресурсов, координации действий государственных органов и руководства предприятий.
Прямая государственная поддержка происходит за счет выделения государственных заказов, предоставления государственных гарантий, законодательного снижения налогового давления, создания особых экономических условий для предприятия, сфер деятельности или регионов.
Основными первоочередными направлениями разработок считаются:
• безопасность, эффективная инфраструктура (информация, связь, транспорт, энергия);
• эффективные, чистые, безопасные, экологические и конкурентоспособные производственные технологии;
• уровень жизни, здоровье, гигиена;
• технологическая и промышленная интеграция;
• прогнозирование технологических изменений;
• управление новыми технологиями и распространение результатов научных исследований.
Методика управления проектами была разработана в 50-е гг. в США при работе над проектами -«Манхэттен*- (создание атомной бомбы), -«По-ларис>> (создание атомной подводной лодки) и «Аполлон» (проект полета человека на Луну). Из ключевых дат совершенствования теории управления проектами можно отметить:
1917 г. — появление диаграммы Гантта для разделения проекта на последовательные и параллельные части;
( 1958 г. — появление сетевого графика PERT;
1959 г. — разработку метода критического пути для сетевого графика.
При управлении проектом выделяют четыре базовые функции: управление предметной областью, управление качеством, управление временем, управление стоимостью. Вспомогательными функциями являются: управление персоналом, управление информационными связями, управление обеспечением проекта, управление риском.
При формировании и выполнении проекта необходимо преодолеть следующие трудности: мобилизация и координация разнообразных ресурсов, оптимальное управление взаимодействием ресурсов, компенсация неблагоприятных событий. Все эти проблемы могут быть успешно рёшены только при условии оперативного информационного обеспечения руководства проектом.
Основные риски возникают уже при подготовке проекта, когда переговоры ведут не те, кому следует. Все проекты, связанные с научными исследованиями и конструкторскими разработками, требуют вовлечения большого числа участников и взаимодействий со сторонними заказчиками, поставщиками, экспертами, финансирующими организациями и т. д. Каждый участник имеет свои интересы, ожидания в проекте.
Проект должен быть наблюдаем и управляем. Наблюдаемость подразумевает, что выделены некоторые характеристики, по которым можно проконтролировать ход выполнения проекта. Эти характеристики могут быть легко определены, постоянно контролироваться. Управляемость проекта предполагает наличие механизмов своевременного влияния на ход проекта со стороны руководителей проекта и руководства предприятия. Реализуется управляемость через периодические совещания, постоянную оценку выполнения плановых сроков и расходов, контроль за субподрядными работами, прогнозирование расходов, оценку риска, контроль качества.
Большинство проектов слишком велики, чтобы быть полностью управляемыми и наблюдаемыми. Возникает необходимость разделения проекта на этапы, задачи и единицы. Структуризация проекта оказывается залогом его успешности. Собственно планирование проекта становится само по себе одной из его структурных частей. Любая спешка на этом этапе может оказаться чрезвычайно убыточной впоследствии. До окончания структуризации проекта не должно осуществляться никаких безвозвратных действий.
Научно-исследовательские проекты классифицируются на три поколения.
Первое поколение проектов характеризуется следующими признаками: работа финансируется за счет накладных расходов предприятия в рамках годовой возможности, нет ярко выраженной связи со стратегией бизнеса, отсутствует стратегическое планирование, нет стратегических приоритетов, ожидаемые результаты точно не определены.
Второе поколение проектов обладает признаками: отношения между руководством предприятия и руководством проекта строятся по модели судм-адвокат; между бизнесом и разработчиками — по модели по-ставщик^заказчик; в проектах проявляется стратегический подход, но при отсутствии интеграции в рамках предприятия в целом финансирование строится на базе оценки потребностей и рисков; оценка проектов реализуется индивидуально.
Третье поколение проектов интегрировано с бизнесом, в них реализуется стратегический подход, а ресурсы распределяются через баланс риска и выгоды при четкой формулировке целей.
Руководитель проекта обязан уважать и следовать установленным в организации нормам, процедурам и ограничениям, однако он должен иметь власть нарушать их в случае, если это необходимо, при выполнении трех условий:
1. Продемонстрировать, что данное нарушение совершается в интересах проекта и организации в целом.
2. Предотвратить отрицательные последствия для работающих.
3. Предупредить неоправданные расходы, связанные с данным нарушением, включая время и усилия, затраченные на объяснение его необходимости.
Каждое нововведение выводит на рынок новый товар (продукт, технологию), который может быть использован для более эффективного, чем прежде, производства или использования. Основой мотивации для фирм, вкладывающих средства в исследования, является перспектива получения монопольной ренты в случае успешного патентования нововведения. За счет этой ренты покрываются затраты, связанные с разработкой и осуществлением нововведений. Однако монополия автоматически теряется при появлении следующих нововведений, которые ведут к моральному старению существовавших до этого промежуточных товаров. Продолжительность период между двумя последовательными успешными нововведениями является случайной величиной в силу стохастической природы инновационного процесса. Патент остается действительным все последующее время, однако его использование становится экономически менее выгодным.
Ценность нововведения определяется временем его жизни, которое, в свою очередь, зависит от количества специалистов, работающих в секторе НИОКР над осуществлением следующего нововведения. Таким образом, критическую роль в определении темпов экономического роста играет переток специалистов между секторами экономики, а также между производством и сектором НИОКР.
Определяющими причинами внедрения новых технических и технологических решений являются:
• изменение структуры исходных материалов, энергии (с одной стороны, ухудшается качество добываемого сырья и повышается цена традиционных энергоносителей, с другой — появляются новые материалы и источники энергии);
• рост масштабов производства (наращивание объемов производства в рамках традиционных технологических решений влечет за собой угрозу окружающей среде);
• изменение требований персонала к условиям труда (рост квалификации в стране сопровождается повышением требований к качеству и составу труда);
• повышение конкурентоспособности, качества и надежности товаров.
Конкурентоспособность на мировом рынке все больше зависит от продукции, в основе которой лежит знание. В прошлом промышленность зависела от доступа к природным ресурсам, сегодня индустрия нуждается в науке, нововведениях, образовании работающих. Развитие производительных сил происходит при тесном взаимодействии науки, новых технологий с производством. Большую роль стали играть целевые научноисследовательские программы самого предприятия, региона, государства.
При внедрении нововведений фирма выбирает одну из типовых стратегий действий:
1. Наступательную стратегию (ориентация на рыночные перспективы и новые области рынка).
2. Защитную стратегию (выход на рынок только после конкурента и анализа результатов его деятельности).
3. Поглощающую стратегию — лицензирование (покупка нововведения у других компаний).
4. Промежуточную стратегию (заполнение ниши между конкурентами, избегая прямой конфронтации).
5. Создание рынка (применение нововведений, серьезно уменьшающих размеры рынка).
6. Разбойничью стратегию (применение нововведений, серьезно уменьшающих размеры рынка).
7. Привлечение специалистов (привлечение команды специалистов-разработчиков).
Разработка нововведения требует определенной последовательности организационных мероприятий (проектирование инновационного решения):
• исследование (рыночные исследования, исследование производственных возможностей);
• выработка концепции нововведения;
• параметрический и функционально-стоимостной анализ (анализ концепции нововведения, рыночного потенциала, альтернативных мероприятий, обеспеченности производства, объема продаж);
• оценка (оценка внутренних расходов, видов нового продукта, объемов реализации);
• разработка баланса доходов и расходов;
• планирование (планирование основного производства, вспомогательных мероприятий, контроля производства и качества);
• планирование финансовых потоков доходов и расходов.
Формы внедрения нововведений привязываются к его виду. Разделяют эволюционные и радикальные нововведения. В зависимости от глубины вносимых изменений выделяют шесть групп нововведений:
.219
сохранение и обновление существующих функций, перегруппировку составных частей системы с целью улучшения ее функционирования, изменение элементов системы с целью их приспособления, изменение базовых свойств системы, изменение концепции деятельности, изменение результатов системы.
Выделяют двухэтапный процесс распространения нововведений. На первом этапе одна-две организации (ранние новаторы) внедряют новшество, опираясь на научные разработки, на втором — масса организаций (поздние новаторы) внедряет новшество, учитывая опыт первых.
Не любое нововведение укладывается в стратегию развития предприятия. Для оценки такого соответствия используют оценку по шести группам критериев:
1. Соответствие целям предприятия (образу компании, представлениям о допустимом риске, о разумном времени внедрения).
2. Рыночные критерии (вероятность коммерческого успеха, ожидаемый рост продаж, воздействие на существующие продукты, предполагаемые затраты и доходы, поведение конкурентов, начальные затраты, источники дополнительных средств).
3. Научно-технические критерии (согласованность с общей стратегией научных исследований, вероятность технического успеха, патентная чистота, наличие научно-технических ресурсов).
4. Финансовые критерии (влияние на другие проекты, движение затрат и доходов во времени).
5. Производственные критерии (издержки производства, безопасность производства, необходимая кооперация, потребные производственные мощности).
6. Экологические критерии (дополнительное воздействие на окружающую среду, расходы на утилизацию отходов, дополнительное энергопотребление).
Виды проектов;
А — проекты, обеспечивающие производство продукции, не имеющей зарубежных аналогов;
Б — проекты, обеспечивающие производство экспортных товаров несырьевых отраслей, имеющих спрос на внешнем рынке;
В — проекты, обеспечивающие производство импортозамещающей продукции с более низким уровнем цен;
Г — проекты, обеспечивающие производство продукции, пользующейся спросом на внутреннем рынке.
При экономической оценке нововведения возникают методические трудности. Возможными вариантами определения составляющих затрат могут быть:
• ориентация на аналогичные расходы других фирм;
• параметрический расчет расходов через предполагаемое изменение характерного результирующего параметра;
• расчет затрат через детализированные составляющие;
• оценка затрат через нормативную долю расходов от требуемого роста реализации или прибыли.
При отборе первоочередных нововведений можно использовать ряд принципов:
• принцип важности;
• принцип заполнения вакуума (ценность и практичность не всегда определяются абсолютной технической новизной. Иногда промышленность нуждается не в новых, а в необходимых технических решениях. Без них тормозится развитие действующих оборудования и технологических процессов);
• принцип отрыва показателей (разработка может не отличаться оригинальностью, но давать значительно лучшие эксплуатационные характеристики. Часто для замены действующего оборудования требуется убедительное превосходство);
• принцип минимума капитальных вложений (шансов на внедрение тем больше, чем меньше капитальных вложений требуют новые решения);
• принцип экологичности (повышенным спросом пользуются разработки, снижающие объем выбросов, отходов, требующие меньшей площади, обеспечивающие снижение ресурсоемкости процессов).
Разработка нововведения может осуществляться через различные организационные структуры:
• внутрифирменную сеть подразделений по научным исследованиям;
• временные научно-технические коллективы или подразделения;
• специальные независимые исследовательские фирмы;
• государственные научные центры;
• технопарки при высших учебных заведениях.
В крупном концерне организуется система подразделений, управляющих разработкой нововведений. В их числе могут быть отделы базисных исследований, прикладных исследований, научно-техниче-.221
ского прогнозирования, экспериментальные цеха, исследовательские лаборатории, вычислительный центр.
Предпринимательская сеть — это эффективная форма распространения нововведений. Ее используют многие фирмы через:
• систему постоянных контактов однотипных фирм;
• профессиональные союзы ученых;
• договорные объединения;
• стратегические соглашения.
Основой взаимодействия предприятий в рамках подобных сетей являются взаимное доверие, взаимная поддержка и взаимное согласие о целях.
Для разработки и внедрения нововведения может быть создано специальное объединение. Его организационным центром является «главный партнер» — владелец патентов и изобретений, распорядитель средств и доходов. В состав объединения вовлекаются крупные предприятия, малые фирмы, учебные и научные заведения. Целью подобного объединения оказывается внедрение конкретного нововведения с соответствующим обеспечением новым оборудованием, технологией, подготовленными кадрами.
Источником средств для разработки и реализации нововведения могут быть:
• прибыль предприятия;
• заемные средства;
• государственные научные программы.
Государство обычно разрабатывает системы мер, стимулирующих предприятия к внедрению нововведений. К ним относятся поддержка фундаментальных научных исследований, предоставление налоговых льгот, организация государственного фонда инвестиционной поддержки, поддержка информационных баз научной информации.
7.3. Экспертная оценка целей проектов
Подвергай все сомнению.
Декарт
С точки зрения топологической структуры дерево целей представляет собой граф без циклов. Вершины этого графа — главная цель и подцели различных уровней. Ветви — связи между ними. При построении дерева целей процесс развертывается от будущего к настоящему таким образом, что цели более низкого уровня определяют слагаемые цели более высокого уровня. В частност, и каждая вершина является средством достижения связанной с ней цели более высокого уровня.
Отбор альтернатив достижения главной цели производится на основе экспертно устанавливаемых оценок относительной важности отдельных элементов дерева целей. Для этого каждому элементу дерева целей ставится в соответствие набор показателей, по которым оценивается значимость целей каждого уровня. Оценка значимости элементов дерева целей и относительной важности критериев проводится на основе статистической обработки опроса экспертов.
Формирование дерева целей заканчивает первый этап разработки стратегического плана научно-технического развития.
Второй этап — это установление количественных связей между элементами смежных уровней.
Оценка количественных зависимостей между событиями «достижение цели N+\ уровня» и «достижение цели ^уровня» позволяет осуществить комплексный анализ перспектив развития при различных стратегиях его развития. Для получения искомых оценок используют два подхода. В первом из них проводится анализ факторов достижения целей каждого уровня и строятся статистические модели связи между факторами. Этот подход базируется на предпосылке о стабильном в основном инерционном действии факторов прошлого на развитие и потому мало пригоден в условиях ускоренных изменений внешней среди. При втором подходе измерение тесноты связи между целями смежных уровней осуществляется в процессе обработки мнений экспертов.
Попарное сравнение стратегий, которые соотносятся при оценке приоритетности их применения к определенной цели второго уровня оформляется в виде матрицы «цель-средства».
На основе сформулированных глобальной цели и подцелей строится локальная весовая функция r..k, такая, что:
N
*=і
где r..k — локальная весовая функция оценки вклада подцели в до-стижениеу-й цели г-го уровня О < fe>-
Порядок определения функции 7^ для целей смежного уровня рассмотрим для случая построения весовой функции на множестве стра-223
тегий (X3|t ХЗг, Х33), ориентированных на достижение j-й цели второго уровня.
Определяется ненормированная функция
,?
М* з;) = ?^%/лг,
»=1
где ц;- оценка приоритетности достижения цели 2-го уровня я-м экспертом.
Функция гГ)Ъ получается из r2jA нормированием:

где К — число экспертов.
Для функции весов, определяющих относительную важность достижения цели первого уровня, индексу опускается.
Весовая функция, определяющая значимость выбора цели 3-го уровня для достижения главной цели, удовлетворяет соотношению

для некоторого роста цели второго уровня.
Расчет весовых коэффициентов осуществляется на основе обработки анкет для каждой цели второго уровня для каждой стратегии.
Полученные результаты усредняются, и рассчитываются коэффициенты локальной весовой функции Г^.
Для каждого показателя из системы каждый из выделенных уровней оценивается экспертом по критерию относительной важности его достижения в рамках всей системы уровней и фиксированной стратегии.
Порядок проведения расчетов
1. По каждому показателю вводится универсальная шкала оценки: средний уровень показателя, выше среднего, ниже среднего, качественно новый уровень.
2. Экспертная оценка показателей и их уровней (в рамках отдельной стратегии) проводится в два этапа. На первом этапе определяется относительная важность показателей отдельных групп. На втором — внутри каждого показателя оценивается предпочтительность реализации проектов с каждым из выделенных уровней. Обработка этих сравнений позволяет рассчитать веса каждого из четырех уровней, ассоциированных с этим показателем.
3. Полученные веса предпочтительности использования проектов с показателями на этих уровнях интегрируются с весовыми функциями, рассчитанными для более высоких уровней иерархии, и определяются окончательные веса (рейтинг) уровней показателей отбираемых проектов.
Пример расчета весов отдельных уровней представлен в табл. 7.1.
Таблица7.1
Экспертная оценка целей (пример) |
|
|
|
Цели второго уровня |
П1 |
П2 |
П3 |
Вес цели второго уровня в главной цели |
|
Ц1 |
0,5 |
0,3 |
0,5 |
0,6 |
|
Ц2 |
0,2 |
0,8 |
0,2 |
0,3 |
|
Ц3 |
0,3 |
0,4 |
0,3 |
0,1 |
Пример
Для достижения цели требуется выполнить три задачи. Допустим, первая задача в два раза важнее второй, а вторая, в свою очередь, в три раза важнее третьей. Можно присвоить задачам коэффициенты значимости соответственно 0,6; 0,3; 0,1 (сумма коэффициентов равна 1). Каждую из задач можно выполнить с помощью нескольких подходов, каждому из которых присвоим коэффициент значимости. Вычислим коэффициенты значимости по каждой ветви дерева. Для ветви Ц13,П]1 получим 0,6 х 0,7 = 0,42 (рис. 7.1).
Усовершенствование подхода Пи почти в два раза важнее усовершенствования подхода П!2, улучшение которого, в свою очередь, почти в вдвое важнее улучшения П22 и и почти столь же важно, как усовершенствование П21 и П31, вместе взятых.
Алгоритмы формирования портфеля проектов:
1. Последовательный отбор проектов по критерию убывания отношения:
коэффициент относительной важности затраты на осуществление проекта
Отбор заканчивается, когда исчерпывается установленный резерв финансирования.
2. Отбор проектов с использованием целочисленного программирования. Целевой функцией задачи является максимум суммы коэффициентов относительной важности проектов, рассчитанных на основе согласованных линий экспертов.
Пусть Ry — коэффициент относительной важности предложения по проекту Г, отнесенному к стратегии развития). Через С. обозначим затраты проекта і в)-й стратегии развития:
1 11, если проект і включается в стратегию j;
9 [ О, в противном случае.
Задача формирования портфеля проектов имеет вид:
т я
1
FTT П
;=і<=і
А'*={0Л1};
где п — число предложений проектов, включенных в рассмотрение.
 |
|
Рис. 7.1 |
Цели
Задачи
Подходы
15-130
7.4. Экспертная оценка проектов (методика Госкомвуза России)
Цель расчетов — понимание, а не числа.
Р. Хемминг
Методика Госкомвуза России, разработанная в 1996 г., базируется на принципах экспертной оценки и предполагает вовлечение в процедуру оценки группы квалифицированных специалистов. Цель экспертизы — определение значений показателей качества научно-технических проектов но материалам бизнес-планов. Оценка выполняется на этапе начальной заявки на научно-техническую разработку. При этом имеется значительная неопределенность в ожидаемых результатах и потребных ресурсах. Эксперт фактически оценивает достоверность параметров, заявленных в оцениваемом научно-техническом проекте.
Процедура оценки формализована за счет использования типовой таблицы опроса, в которой выставляются значения каждого показателя качества для оцениваемого проекта в баллах, придерживаясь предлагаемого диапазона оценок (от 1 до 5) и приводя в словесной форме обоснование этого значения (табл. 7.2).
Таблица 7.2
Таблица опроса |
|
|
|
Показатель |
Семантика оценок |
Оценка |
|
1. Научно-технические показатели |
|
1.1. Направление разработки |
НТП представляет собой техническое средство на уровне системы. Осуществляется не просто совершенствование всех или большинства свойств НТП, а изменение базовой структуры, функционального принципа |
5 |
|
|
НТП представляет собой техническое средство на уровне элемента системы. Существующие свойства сохраняются |
1 |
1.2. Научнотехнический
уровень
разработки |
Создаваемая НТП имеет существенные технические (технологические, экономические, эксплуатационные) отличия от продукции аналогичного назначения (в России, за рубежом) |
5 |
|
|
Отличия отсутствуют или информация о них не приводится |
1 |
|
Продолжениетабл. 7.2 |
|
|
|
Показатель |
Семантика оценок |
Оценка |
1.3. Научнотехнический
потенциал
коллектива |
Авторы проекта известны в дайной области исследований по разработкам, публикациям, работают в известном коллективе |
5 |
|
Область исследований, в которой предлагается проект, является новой для данного коллектива авторов |
1 |
|
1.4. Правовая охрана |
Получен патент на изобретение, промышленный образец в зарубежных странах |
5 |
|
Документы о правовой охране технических решений (патенты, заявки на изобретения и т. п.) отсутствуют |
1 |
|
1.5. Сертификация нтп |
Имеется сертификат качества продукции или сертификат соответствия продукции нормативным требованиям, зафиксированным в стандартах страны, отрасли, предприятия |
5 |
|
Сертификаты качества или соответствия отсутствуют, но они необходимы, а работа по сертификации продукции не проводилась и не предусматривается |
1 |
|
•2. Организационно-производственные показатели |
-2.1. Степень
готовности
к реализации
проекта |
Имеются необходимое оборудование, персонал, помещения; представлен план создания и выпуска НТП |
5 |
|
Обоснованная информация о готовности коллектива к реализации отсутствует |
1 |
2.2. Возможность
тиражирования
результатов
проекта |
Предполагаемая НТП уже выпускалась в виде малых серий или имеются опытные образцы и комплект технической документации, разработанный с учетом конкретной технологической базы |
5 |
|
Предлагается проведение исследований или этот вопрос не отражен в материалах проекта |
1 |
|
3. Рыночные показатели |
3.1. Спрос на научнотехническую
продукцию |
Товар имеет спрос на внутреннем и внешнем рынках (имеются заявки от конкретных зарубежных потребителей) |
5 |
|
Материалы по этому вопросу отсутствуют или приведены общие соображения |
I |
|
15" |
|
Окончание табл. 7.2 |
|
|
|
Показатель |
Семантика оценок |
Оценка |
|
3.2. Опыт работы па рынке |
Имеется значительный опыт работы по реализации МТГІ (приведены анализ конкурентоспособности и информация о насыщенности рынка аналогичной продукцией, оценены каналы товародвижения, разработан план рекламных мероприятий) |
5 |
|
Указанная информация отсутствует |
1 |
|
4. Экономические показатели |
Финансовый план аргументирован и обоснован. Выполнение проекта позволяет произвести отчисления в фонд поддержки программы |
5 |
|
Отчисления в фонд поддержки программы маловероятны |
1 |
Данная методика ориентирована на индивидуальную оценку проектов. В заключительном выводе эксперт приводит обобщенное мнение о проекте в целом, высказывает предложения по доработке, развитию проекта, конкретные рекомендации по улучшению качества проекта по отдельным показателям и т. п. Сравнительная оценка проектов проводится формализованным способом через суммы выставленных баллов. Недостатками подобного подхода являются невозможность сравнительного рассмотрения проектов одним экспертом и как следствие расхождение итоговых оценок из-за субъективного уровня шкалы требований у разных экспертов.
Примером набора экспертных признаков отбора проектов может быть набор условий, используемых Российской программой экономических исследований:
1. Актуальность темы исследования, четкость постановки задачи.
2. Использование современной научной методологии, проработанность и оригинальность метода исследования.
3. Наличие необходимых данных.
4. Опыт заявителя и его/ее знакомство с научными работами в соответствующей области.
5. Значимость проекта для решения насущных проблем российской
экономики.
6. Реалистичность и эффективность плана работы над проектом.
7. Уровень презентации проекта и участие соискателя в работе научного семинара Программы.
8. Содействие профессиональному росту исполнителей.
7.5. Экспертная оценка групп проектов (методика Национального фонда США)
Следуй своей дорогой, и пусть люди говорят что угодно,
Данте
Методика Национального фонда США предполагает предварительную группировку проектов и проведение последующей процедуры оценки по группам проектов. Проекты группируются по научно-техническим задачам и направлениям, по каждому из которых подбирается группа экспертов. Эксперты знакомятся с рекомендациями по оценке проектов, включающими оценки по показателям качества и обобщенную субъективную оценку (табл. 7.3). Далее они изучают материалы по проектам и оценивают их независимо друг от друга. При необходимости эксперты могут обращаться к другим источникам для получения дополнительной информации.
Результаты работы экспертов оформляются в виде типовых таблиц показателей качества, по которым определяется численная усредненная оценка по каждому проекту путем суммирования показателей качества с учетом весовых коэффициентов.
Результатом экспертизы является ранжированный перечень проектов.
Дополнительно эксперту предлагается после детального анализа проекта по показателям качества дать обобщенную оценку проекта, отражающую его собственное мнение о целесообразности финансирования данного проекта в виде: «Да», «нет», «не знаю» с письменным обоснованием этойоценки.
Таблица7.3
Рекомендации по оценке проектов |
|
|
|
Показатель качества проекта |
Вес.
коэф. |
Критерий |
Оценка |
|
1. РЫНОЧНЫЕ |
1.1. Наличие потреб ител ъс кого спроса
на результаты по проекту |
2 |
Имеются заявки на продукцию (гарантийные письма, копии договоров и т. д.) от конкретных потребителей |
2 |
|
В материалах по проекту представлен перечень конкретных потребителей и конкретно указано, какая работа проведена по налаживанию сбыта |
1 |
|
Продолжение табл. 7.3 |
|
|
|
Показатель качества проекта |
Вес.
коэф. |
Критерий |
Оценка |
|
|
|
Материалы по этому вопросу отсутствуют или приведены только общие соображения о возможном потреблении |
0 |
|
1.2. Уровень потребительских СВОЙСТВ продукции |
2 |
Предлагаемая продукция имеет новые потребительские свойства в сравнении с существующей продукцией аналогичного назначения |
2 |
|
Продукция аналогичного назначения является дефицитной |
1 |
|
Продукция аналогичного назначения широко известна и не дефицитна |
0 |
|
1.3. Возможность коммерческой реализации результатов работы в течение объявленного срока программы |
1 |
Предлагается продукция в виде готовых изделий, материалов, программного обеспечения, и имеется система сбыта продукции |
2 |
|
Предлагается реализация продукции в других видах (заказные исследования, услуги, лицензии и т. д.) |
1 |
|
Проработки возможностей сбыта отсутствуют |
0 |
|
2. НАУЧНО-ТЕХНИЧЕСКИЕ |
2.1. Наличие правовой охраны решений, использованных
в проекте |
2 |
В материалах проекта имеется ишрор-мация о наличии охранных документов, защищающих технические и художественно-конструкторе кие решения |
2 |
|
Имеются заявки на изобретения, промышленные образцы или технические решения являются ноу-хау |
1 |
|
Указанные документы отсутствуют, решения не охраноспособны |
0 |
2.2. Наличие научнотехнических, экономических и других показателей, отличающих продукцию
проекта от продукции
аналогичного назначения, производимой в стране |
1 |
Создаваемая по проекту продукция имеет технические (технологические) отличия от существующей продукции
аналогичного назначения |
2 |
|
Указанные отличия отсутствуют или информации об этом нет |
0 |
|
Продолжение табл. 7.3 |
|
|
Показатель качества
проекта |
Вес.
коэф |
Критерий |
Оценка |
2.3. Наличие научнотехнических, экономических и других показателей, отличающих продукцию
проекта от продукции
аналогичного назначения, производимой за рубежом |
2 |
Создаваемая по проекту продукция имеет технические (технологические) отличия от существующей продукции аналогичного назначения |
2 |
|
Указанные отличия отсутствуют или информации об этом нет |
0 |
2,4. Наличие перспектив развития
предлагаемого
проекта |
2 |
Предлагаемая продукция может быть усовершенствована, при этом видна возможность улучшения потребительских свойств |
2 |
|
Усовершенствование не предполагается, но продукция может иметь иные области применения |
1 |
|
Предлагаемая продукция удовлетворяет разовую потребность или информация по данному вопросу отсутствует |
0 |
|
2.5. Авторитетность коллектива разработчиков |
2 |
Авторы проекта известны в данной области по публикациям, разработкам и работают в известном коллективе |
2 |
Область науки и техники, в которой предлагается проект, является новой
для данного коллектива авторов |
1 |
|
Эксперту не известен опыт работы авторов в данной области |
0 |
|
3. ПРОИЗВОДСТВЕННЫЕ |
|
3.1. Наличие у авторов проекта производственных мощностей для организации производства продукции, предлагаемой в проекте |
1 |
У авторов проекта имеется собственная производственная база или налаженная производственная кооперация В проекте обоснована реальная возможность создания такой базы, в том числе по кооперации |
2
1 |
|
Обоснованная информация об этом отсутствует |
0 |
|
3.2. Степень готовности проекта к освоению в производстве |
1 |
Предлагаемая продукция уже выпускалась в виде малых серий или имеются опытные образцы и комплект |
2 |
|
Окончание табл. 7.3 |
|
|
Показатель качества
проекта |
Вес.
коэф. |
Критерий |
Оценка |
|
|
|
технической документации, разработан! іои с учетом конкретной технологической базы, и проведена работа по сертификации продукции |
|
|
Требуется провести ОКР или работы по подготовке производства и существуют макеты или образцы |
1 |
|
Предлагается проведение исследований пли этот вопрос не отражен » материалах |
0 |
|
3.3. Необходимость приобретения дефицитных комплектующих изделий, оборудования |
1 |
Отсутствует необходимость приобретения дефицитных комплектующих и оборудования, дефицитных материалов |
2 |
Вопрос приобретения комплектующих и оборудования проработан — известны поставщики, определены
сроки, поставки и цены |
1 |
|
Необходимо приобретать дефицитные комплектующие и оборудование, по данный вопрос не проработан |
0 |
|
4. ФИНАНСОВЫЕ |
|
4.1. Наличие и обоснованность финансового плана проекта |
1 |
В материалах по проекту финансовое обоснование приведено в полном объеме |
2 |
|
Финансовое обоснование дано не в полном объеме |
1 |
Финансовое обоснование
не представлено |
0 |
7.6. Сравнительная многоуровневая оценка (методика Российского фонда фундаментальных исследований)
Тысячи путей ведут к заблуждению, к истине — только один.
Ж. Ж. Руссо
Российский фонд фундаментальных исследований проводит экспертизу на основе сравнительного анализа нескольких проектов. Экспертиза предусматривает три уровня анализа.
-* Первый уровень — предварительное рассмотрение проекта и решение следующих задач:
• отбор проектов для участия во втором уровне экспертизы;
• составление мотивированных заключений по отклоненным проектам;
• определение экспертов по каждому проекту, прошедшему на индивидуальный уровень экспертизы.
Формализация результатов экспертизы осуществляется на рейтинговой основе.
На втором уровне экспертизы устанавливается общий рейтинг проекта по формуле:
R = г, + г, + гу
где г, учитывает научную ценность проекта; г2 учитывает реальность выполнения проекта в срок; г3 корректирует суммарную оценку г{ и гт J-j оценивает вероятность того, что выполнение проекта может привести к новым принципиальным результатам; обеспечить существенное продвижение в рамках данного направления; оказать влияние на прогресс в данной или смежной научной области. Например, в г( оценка «2» может означать «достаточную полезность проекта», оценка «5» — заявку на выдающийся результат.
г2 учитывает научный уровень руководителя и потенциал возглавляемого им коллектива; научный задел и публикации по теме; информационное, лабораторное и материальное обеспечение проекта; корректность распределения задачи по этапам, результатам и срокам работы. Значение рейтинга Я может принимать значения от 2 до 13.
На третьем уровне дается заключение по проекту (могут быть внесены коррективы в общий рейтинг проекта, принимаются решения о финансировании).
7.7. Экспертная классификация проектов по группам значимости (методика Российского гуманитарного научного фонда)
Не то дорого знать, что земля круглая, а дорого знать, как дошли до этого.
Л. Н. Толстой
В Российском гуманитарном научном фонде экспертная оценка формализуется в виде ответов на вопросы экспертной анкеты и
16-180
предусматривает следующие варианты итогового заключения экс- i перта:
5 — проект заслуживает безусловной поддержки;
4 — проект заслуживает поддержки;
3 — проект может быть поддержан;
2 — проект не заслуживает поддержки;
1 — проект не заслуживает рассмотрения экспертным советом.
Экспертная опенка дается на основе анализа научного содержания проекта и научного потенциала автора. При анализе изложения замысла проекта учитывается:
1. Четкость изложения замысла проекта (четкая, нечеткая).
2. Четкость определения цели и методов исследования (четко, нечетко).
3. Качественные характеристики проекта (проект имеет: фундаментальный характер; междисциплинарный или системный характер; прикладной характер).
4. Научный задел (имеется существенный научный и методологический задел в решении сформулированной в проекте проблемы; публикации по заданной теме; научно-методическая проработка решения проблемы отсутствует).
5. Новизна постановки проблемы (автором впервые сформулирована и научно обоснована проблема исследования; автором предложены оригинальные подходы к решению проблемы; сформулированная в проекте проблема исследования известна науке и автором не предложены оригинальные подходы к решению проблемы).
Научный потенциал авторского коллектива оценивается с учетом анализа научного содержания проекта (автор в состоянии выполнить заявленную работу; эксперт сомневается в возможности выполнить заявленную работу).
Таким образом, эксперт должен дать не только описание проекта, но и оценить его актуальность для данной отрасли знаний; относится ли проект к приоритетным направлениям исследований; новизну поставленной проблемы; перспективы развития проекта; качественный состав участников и обосновать по вышеприведенной системе оценку проекта.
Для экспериментально-лабораторных исследований предусматриваются ответы на следующие вопросы:
• Подготовлены ли программы исследований?
• Подготовлены ли анкеты для опроса?
• Проведено ли пилотное исследование?
7.8. Экспертная качественная оценка проектов
(методика Республиканского исследовательского научно-консультационного центра экспертизы)
Умныелюди —лучшаяэнциклопедия.
И. В. Гете
Модель структуры исследования объекта по методике Республиканского исследовательского научно-консультационного центра экспертизы Миннауки России и Минобразования России включает следующие уровни:
• новизну технологии (развитие известных подходов, качественно меняющих технологию; улучшение известных технологий; новое применение известных технологий);
• степень обоснованности (глубина информативности) научно-технических решений;
• практическую значимость разработки;
• эффект внедрения разработки (оценка потребности в продукте);
• сравнение с мировым уровнем техники (оценка конкурентных решений);
• риск выполнения проекта с научной, технологической и организационной точек зрения;
• риск внедрения результатов в производство;
• степень патентной защищенности научно-технического задела;
• степень обоснованности (оценка) объема планируемых затрат;
• целесообразность финансирования;
• дополнительные соображения относительно преимуществ и недостатков представленного проекта;
• общую (интегральная) оценку актуальности поддержки заявляемого проекта;
• ранжировку аналогичных проектов по приоритету поддержки;
• графоаналитическое представление результатов экспертизы и др. По итогам оценки проекты разделяются на три группы:
• проекты, заслуживающие поддержки;
проекты, которые могут быть поддержаны;
проекты, не заслуживающие поддержки вследствие скромных ожидаемых результатов или отсутствия достаточной информации в представленных материалах для объективной оценки предложений.
7.9. Методика оценки научной результативности
Лучшие люди обдумывают свои мысли, глупые провозглашают их.
Г. Гейне
Особенностью методики, ориентированной на учет результативности проекта, является опора на взаимосвязь показателей проектной разработки и результирующих показателей производства после внедрения разработки. Оценка научной и научно-технической результативности НИР производится с помощью системы взвешенных балльных оценок. Для фундаментальных НИР рассчитывается интегральный коэффициент научной результативности (табл. 7.4), а для поисковых работ — коэффициент научно-технической результативности (табл. 7.5). Оценка научно-технической результативности прикладных НИР производится на основе сопоставления технических параметров, достигнутых в результате выполнения НИР, с соответствующими базовыми значениями (которые можно было реализовать до выполнения НИР).
Таблица 7.4
Характеристики факторов и признаков научной результативности НИР |
|
|
Фактор
научной
результа
тивности |
Коэф.
значи
мости
фактора |
Качество
фактора |
Характеристика фактора |
Коэф.
достиг
нутого
уровня |
Новизна
полученных
результатов |
0,5 |
Высокая |
Принципиально новые результаты, новая теория, открытие новой закономерности |
1,0 |
|
Средняя |
Некоторые общие закономерности, методы, способы, лозво ляющие создать принципиально новую продукцию |
0,7 |
Недоста
точная |
Положительное решение на основе простых обобщений, |
0,3 |
|
Окончание табл. 7.4 |
|
|
Фактор
научной
результа
тивности |
Коэф.
значи
мости
фактора |
Качество
фактора |
Характеристика фактора |
Коэф.
дости
гнутого
уровня |
|
|
|
|
анализа связей факторов, распространение известных принципов на новые объекты |
|
Триви
альная |
Описание отдельных факторов, распространение ранее
полученных результатов, реферативные обзоры |
0,1 |
Глубина
научной
проработки |
0,35 |
Высокая |
Выполнение сложных теоретических расчетов, проверка на большом объеме экспериментальных данных |
1,0 |
|
Средняя |
Невысокая сложность расчетов, проверка на небольшом объеме экспериментальных данных |
0,6 |
Нсдоста-
точная |
Теоретические расчеты просты, эксперимент не проводился |
0,1 |
Степень
вероятности
успеха |
0,15 |
Большая |
|
1,0 |
|
Умеренная |
|
0, |
|
Малая |
|
0,1 |
Таблица 7.5
Характеристики факторов и признаков научно-технической
результативности НИР |
|
|
Фактор
научной
результа
тивности |
Коэф.
значи
мости
фактора |
Качество
фактора |
Характеристика фактора |
Коэф.
достиг
нутого
уровня |
Перспек
тивность
использования результатов |
0,5 |
Первосте
пенная |
Результаты могут найти применение во многих научных
направлениях |
1,0 |
|
Важная |
Результаты будут использованы при разработке новых технических решений |
0,8 |
|
Полезная |
Результаты будут использованы при последующих НИР и разработках |
0,5 |
|
Окончание табл. 7.5 |
|
|
|
Фактор |
Коэф. |
Качество |
Характеристика фактора |
Коэф. |
|
научной |
значи- |
фактора |
|
дости- |
|
результа- |
мости |
|
|
гнутого |
|
тивности |
фактора |
|
|
уровня |
|
Масштаб |
0,3 |
Нацио- |
Время реализации: |
|
|
реализации |
|
нальная |
до 3 лет |
1,0 |
|
результатов |
|
экономика |
до 5 лет |
0,8 |
|
|
|
|
до 10 лет |
0,6 |
|
|
|
|
свыше 10 лет |
0,4 |
|
|
|
Отрасль |
Время реализации: |
|
|
|
|
|
до 3 лет |
0,8 |
|
|
|
|
до 5 лет |
0,7 |
|
|
|
|
до 10 лет |
0,5 |
|
|
|
|
свыше 10 лет |
0,3 |
|
|
|
Отдель- |
Время реализации: |
|
|
|
|
ные фир- |
до 3 лет |
0,4 |
|
|
|
мы и пред- |
до 5 лет |
0,3 |
|
|
|
приятия |
до 10 лет |
0,2 |
|
|
|
|
свыше 10 лет |
0 1 |
|
|
|
|
|
|
|
Завершен- |
0,2 |
Высокая |
Техническое задание на ОКР |
1 |
|
ность ре- |
|
Средняя |
Рекомендации, развернутый |
0,6 |
|
зультатов |
|
|
анализ, предложения |
|
|
|
|
Недоста- |
Обзор, информация |
0,4 |
|
|
|
точная |
|
|
Коэффициент научно-технической результативности определяется по формуле

где k — число оцениваемых параметров; — коэффициентвлияния
І-ГО параметра на научно-техническую результативность; Кп; — коэффициент относительного повышения І-ГО параметра по сравнению с базовым значением.
Для удобства выполнения расчетов данные сводятся в табл. 7.6.
Таблица 7.6
Оценка научно-технической результативности прикладных НИР |
|
|
|
Параметр |
Единица
измерения |
Коэффициент
ВЛИЯНИЯ |
Значения параметров |
|
достигнутые |
базовые |
|
Параметр 1 |
|
0,2 |
12 |
10 |
|
Параметр 2 |
|
0,3 |
0,01 |
0,03 |
|
Параметр 3 |
|
0,5 |
15 |
13 |
7.10. Экспертная оценка проектов в рамках комплексной программы
Чаще зачеркивай написанное.
Гораций
Требования к экспертам
В качестве экспертов привлекаются ученые с большим опытом научной деятельности, привлекаемые временно для работы в экспертной комиссии программы. В отдельных случаях предусматривается подготовка внешней рецензии или коллективное заключение группы экспертов. В спорных случаях допускается независимый сбор мнения двух-трех экспертов. Оценки экспертов сопоставляются между собой, после чего выносится окончательное мнение о проекте.
Состав привлекаемых экспертов утверждается дирекцией программы.
Процедура оценки проектов
Оценка выполняется в три этапа. На первом этапе отбираются проекты, соответствующие условиям программы. На втором этапе каждый проект проходит экспертную оценку на предмет получения количественной балльной оценки.
Проекты, не прошедшие отбор на первом этапе, на втором этапе не рассматриваются.
Оценка выполняется экспертом (экспертами) через сопоставление материалов заявки с приоритетными направлениями, определяемыми Правительством РФ, Академией наук РФ, дирекцией программы «Интеграция».
Оценка проекта выполняется на основе соответствия планируемых результатов проекта каждой из четырех классификационных групп научных направлений. Итоговая оценка вычисляется суммированием четырех частных оценок.
Заявки, набравшие большее число баллов, считаются более предпочтительными для включения в программу. К третьему этапу оценки допускаются проекты, набравшие 10 баллов и более.
Третьим этапом экспертизы является оценка разумности запрашиваемой суммы финансирования.
Научные направления, по которым оценивается соответствие результатов заявки
1. Соответствует целям и задачам федеральной программы «Интеграция высшей школы и Академии наук* (полностью — 5, частично — от 1 до 4, не соответствует — 0):
• рост национального научного потенциала;
• объединение потенциала ведущих национальных научных и образовательных школ;
• привлечение молодых кадров в науку и образование;
• появление новых учебно-научных центров по актуальным направлениям науки;
• укрепление связей между ведущими вузами и институтами РАН;
• поддержка талантливой молодежи.
2. Соответствует основным четырем национальным приоритетам (полностью — 5, частично — от 1 до 4, не соответствует — 0):
• национальные цели (национальная безопасность, конкурентоспособность экономики, развитие образования, развитие здравоохранения);
• наиболее острые научно-технические проблемы страны (энергосбережение, матери^осбережение, сохранение окружающей среды);
• реализация современных научных достижений (новые источники энергии, новые материалы, генная инженерия, сверхпроводимость);
• поддержка ведущих национальных научных школ.
3. Относится к одному из приоритетных направлений развития науки, технологий и техники Российской Федерации (полностью — 3, частично — от 1 до 2, не соответствует — 0):
• информационно-телекоммуникационные технологии и электроника;
• космические и авиационные технологии;
• новые материалы и химические технологии;
• новые транспортные технологии;
• перспективные вооружения, военная и специальная техника;
• производственные технологии;
• технологии живых систем;
• экология и рациональное природопользование;
• энергосберегающие технологии.
4. Соответствует одному из направлений перечня критических технологий Российской Федерации (соответствует — 2, частично соответствует — 1, не соответствует — 0):
• энергетика:
• безопасность атомной энергетики;
• энергосбережение;
• производство электроэнергии и тепла на органическом топливе;
• нетрадиционные возобновляемые экологически чистые источники энергии и новые методы ее преобразования и аккумулирования;
• вычислительная техника и связь:
• высокопроизводительные вычислительные системы;
• информационная интеграция и системная поддержка жизненного цикла продукции (Cals, Cad, Cam, Сае-технологии);
• информационно-телекоммуникационные системы;
• искусственный интеллект;
• распознавание образов и анализ изображений;
• компьютерное моделирование;
• элементная база микроэлектроники, наноэлектроники и квантовых компьютеров;
• опто-, радио- и акустоэлектроника, оптическая и сверхвысокочастотная связь;
• материалы:
• синтетические сверхтвердые материалы;
• керамические и стекломатериалы;
• материалы для микро- и наноэлектроники;
• полимеры и композиты;
• технологии:
• оценка, комплексное освоение месторождений и глубокая переработка стратегически важного сырья;
• поиск, добыча и трубопроводный транспорт нефти и газа;
• прецизионные и нанометрические технологии обработки, сборки и контроля;
• добыча и переработка угля;
• технологические совмещаемые модули для металлургических мини-производств;
• технологии глубокой переработки отечественного сырья и материалов в легкой промышленности;
• базовые и критические военные и специальные технологии;
• лазерные и электронно-ионно-плазменные технологии;
• мехатронные технологии;
• технологии на основе сверхпроводимости;
• микросистемная техника;
• технологии биоинженерии;
• технологии иммунокоррекции;
• мембранные технологии; металлы и сплавы со специальными свойствами;
• каталитические системы и технологии;
• транспорт;
• авиационная и ракетно-космическая техника с использованием новых технических решений;
• транспортные и судостроительные технологии освоения пространств и ресурсов Мирового океана;
• экологически чистый и высокоскоростной наземный транспорт;
• безопасность движения, управление транспортом, интермодальные перевозки и логистические системы;
• технологии высокоточной навигации и управления движением;
• сельское хозяйство;
• производство и переработка сельскохозяйственного сырья;
• безопасность и контроль качества сельскохозяйственного сырья и пищевых продуктов;
• синтез лекарственных средств и пищевых добавок;
• окружающая среда:
• прогнозирование биологических и минеральных ресурсов;
• биологические средства защиты растений и животных;
• переработка и воспроизводство лесных ресурсов;
• мониторинг окружающей среды;
• сохранение и восстановление нарушенных земель, ландшафтов и биоразнообразия;
• природоохранные технологии, переработка и утилизация техногенных образований и отходов;
• обезвреживание техногенных сред;
• обращение с радиоактивными отходами и облученным топливом;
• снижение риска и уменьшение последствий природных и техногенных катастроф;
• условия жизни;
• системы жизнеобеспечения и защиты человека;
• быстрое возведение и трансформация жилья;
• генодиагностика и генотерапия.
5. Прочие признаки.
Если проект набрал при оценке менее 10 баллов, эксперт может добавить от 1 до 3 баллов при обосновании актуальности и научно-образовательной ценности, которые не охвачены предшествующей научной классификацией (поддержка ранее начатого проекта, принадлежность блоку взаимосвязанных проектов, перспективность для конкретного вуза или института РАН, значительная экономическая эффективность результатов, получение новых знаний и т. д.).
Максимальное количество баллов, которое может получить проект, равняется 15. Оно вычисляется как сумма баллов по четырем составляющим оценки.
Содержание заключения эксперта
Вывод эксперта должен содержать следующие базовые элементы:
• соответствие целям программы «Интеграция»;
• набранное число баллов;
• вероятность достижения заявленных результатов;
• рекомендуемая сумма финансирования;
• прочие предложения.
Для сравнения приведем систему критериев оценки проектов, применяемую Национальным научным фондом США при выделении средств научным центрам, которая включает шесть основных показателей:
1. Научная ценность и потенциальное воздействие на конкурентоспособность США — качество и новизна предлагаемых исследований; ясность постановки целей и четкость планов; интегрально — системный и междисциплинарный характер исследовательских работ; преимущества, получаемые от концентрации предлагаемых исследований в рамках центра, по сравнению с организацией соответствующего набора индивидуальных исследовательских проектов; потенциальное влияние на научный и технологический потенциал страны, на ее конкурентоспособность.
2. Значение для повышения качества образования — участие аспирантов и студентов в проведении исследовательских работ; создание условий для их междисциплинарной подготовки в области инженерных дисциплин; перспективы появления новых курсов и программ обучения, усовершенствования уже существующих программ; возможность использования центра для повышения квалификации инженеров-практиков.
3. Участие промышленности и других потенциальных потребителей результатов исследовательских работ, вопросы передачи им знаний и технологии; формы и масштабы поддержки создающегося центра промышленностью.
4. Компетентность руководства и персонала — квалификация и опыт предполагаемого директора центра, остальных сотрудников; профессиональный состав участников исследовательских работ, соответствие его междисциплинарному характеру исследований. При этом национальный научный фонд исходит из того, что директор центра является здесь главной, ключевой фигурой, обладает «всей полнотой власти и ответственности».
5. Положение центра в университете и штате — отношение администрации вуза к идее создания центра, готовность ее помогать центру, в том числе материально; возможность интеграции центра в структуре университета, построенную по дисциплинарному принципу; уровень поддержки со стороны правительства штата и местных властей.
6. Потенциальное воздействие центра на общий уровень и инфраструктуру инженерных исследований в стране — возможность выдвижения его в число лидеров в определенной технической области (коль скоро данный университет еще не стал таковым); перспективы сотрудничества с организациями и внешними исследовательскими группами аналогичного направления; вероятность того, что создание центра и его работа будут стимулировать развитие в стране в целом подобных или смежных исследовательских работ, полезных с точки зрения конкурентоспособности США на мировой арене; географический фактор, т. е. целесообразность концентрации данных исследований в регионе, где будет располагаться центр.
Критерии отбора охватывают практически все аспекты деятельности центра, его внутренней структуры, внешних связей.
7.11. Особенности оценки акций компаний High-Tech
Для человека с ясными идеями почти всегда достаточно обыкновенного языка.
Гельвеций
Оценка акций компании со стороны аналитиков по инвестициям играет важную роль для движения капиталов инвесторов. Недооценка стоимости акций ведет к уменьшению притока капиталов и сдерживанию развития компании, завышенная оценка акций сопровождается неоправданным оттоком капиталов из других областей и срыву ожиданий инвесторов. Обе ситуации связаны с ошибками в развитии соответствующего сектора экономики и влекут за собой снижение эффективности инвестиций. Особенно важна реальная инвестиционная оценка для компаний High-Tech, которые определяют научно-техническое развитие экономики страны. Их недооценка может отодвинуть во времени освоение прогрессивных продуктов, а иногда даже потерять национальный приоритет в соответствующих областях техники.
При оценке стоимости акций компании High-Tech особенностью является высокая неопределенность внешних и внутренних будущих условий функционирования, недостаток информации. Она связана с возможными высокими темпами роста объема продаж (более 100% в год), неопределенностью конкурентной ситуации, колебанием цен и поведения покупателей. Компании, как правило, выходят на рынок на более ранних стадиях развития, поэтому неопределенность имеет место по плановой структуре издержек, особенно в части издержек по исследованию рынка и управленческих расходов (косвенные издержки). При этом объективная трудность состоит в отсутствии статистической истории, что не дает возможности построить надежную математическую модель изменений на будущий период. От аналитика при оценке компании High-Tech требуется умение принимать решения в условиях неопределенности, хорошие знания по новейшим научным разработкам, наличие интуиции на восприятие новых продуктов и технологий.
Характеризуя методику оценки акций компании High-Tech, необходимо выделить следующие элементы: источники информации, состав используемых показателей, принципы оценки стоимости акций, интегральные характеристики, графические средства сравнительной характеристики компании.
Источиками информации в процессе оценки инвестиционной привлекательности компании являются годовой отчет о доходах, балансовый отчет, экспертные мнения потенциальных потребителей, аналитические заключения специалистов, научные публикации.
Вметодике анализаможно выделить этапы:
• оценку продукции;
• оценку компании;
• прогноз объемов производства и показателей деятельности компании;
• интегральную графическую иллюстрацию ситуации;
• итоговое заключение.
Характеризуя продукцию компании High-Tech, можно выделить следующие признаки:
• степень новизны (отличие от ранее используемого аналога);
• изменение характеристик полезности при использовании продукции;
• уровень интеллектуальной ценности по сравнению с подобными видами продукции;
• соответствие продукта профилю деятельности компании;
• объем инвестиций, вложенных в разработку продукта;
• изменение стоимости продукции по сравнению с вытесняемым продуктом;
• предполагаемый«цикл жизни» продукции;
• готовность продукта к потреблению;
• готовность рынка к использованию продукта;
• наличие сети продаж.
Анализируя продукцию компании, необходимо получить представление об ее актуальности, круге потребителей, объемах потребления, эффективности производства.
Характеристика компании состоит из трех разделов:
1) экономической характеристики итогов деятельности;
2) характеристики финансового состояния;
3) обобщенной характеристики.
247
Экономические показатели компании рассматриваются с целью выявления положительных и отрицательных сторон ее деятельности. В связи с этим по экономическим показателям следует анализировать: общее значение, структуру, изменение, плановое значение. В качестве конкретных показателей можно указать: объем выручки, прибыль по основным источникам ее поступления, сумму и структуру издержек, сумму непрямых расходов, сумму покрытия. Показатели работы компании рассматриваются, как правило, за три последних года в поквартальном разрезе, что позволяет анализировать динамику продаж и прибыли, структуру источников дохода. Изменение отдельных показателей следует рассмотреть в сравнении с предшествующим периодом и с подобным периодом предшествующих лет.
Сопоставляя экономические показатели в последовательные периоды с показателями деятельности фирм-аналогов или со средними показателями у фирм соответствующего профиля деятельности, можно выделить достоинства и недостатки рассматриваемой компании. Динамические оценки позволяют выделить тенденцию изменения, сопоставить ее по различным показателям, выделить нормативы для прогнозирования состояния компании на ближайшее будущее.
Базовыми финансовыми показателями оценки компании являются: среднее запаздывание платежей в течение квартала, рентабельность, ликвидность. Финансовая оценка позволяет оценить потенциал компании для освоения, развития выпуска и построения сети реализации нового продукта.
Обобщеннаяхарактеристика компании далжна дать представление о достижимости поставленных целей, профессионализме ее менеджмента, реальности освоения нового продукта. В отличие от двух предшествующих разделов количественных характеристик компании третий раздел является качественной оценкой. Формируется обобщенная характеристика на базе следующих показателей:
1. Реальности объявленных компанией стратегических целей.
2. Соответствия реальных управленческих действий и объявленных стратегических целей.
3. Степени достижения объявленных результатов.
4. Качества структуры доходов по источникам (в сравнении со средними по сектору предпринимательской деятельности).
5. Качества структуры издержек (в сравнении со средними по сектору предпринимательской деятельности).
6. Конкурентной позиции компании на рынке.
7. Качества системы реализации продукции и услуг.
Прогноз деятельности компании разделяют на два периода. Первый период — период активного освоения нового продукта, когда ежегодно происходит существенное увеличение его выпуска. Длительность первого периода, как правило, принимается в пять лет. Второй период — период стабильного выпуска нового продукта, когда динамика объемов производства и показателей компании прогнозируется через стабильные ежегодные изменения.
Первый период наиболее значим для инвестиционной оценки, поэтому здесь могут быть использованы различные методические подходы:
• прямой расчет цены акций на основе сценарного прогноза (доход на акцию определяется через объем продаж, изменение структуры издержек);
• математическое моделирование поведения покупателей на рынке новой продукции (расчет коэффициента проникновения, коэффициента адаптации, степени замещения вытесняемой продукции);
• факторный анализ изменения цены акций;
• экспертное определение интервала значений цены акций;
• определение пессимистической, оптимистической и средней цены акций;
• построение математического ожидания и распределения плотности вероятности значений цены акций;
• расчет цены акций через сравнение с кампаниями-аналогами;
• расчет цены акций через сравнение с ситуацией на соответствующем рыночном секторе.
Для определения коэффициента роста показателей деятельности компании на втором периоде можно использовать экспертные оценки, модели поведения фирм-аналогов, плановые показатели руководства предприятия.
Фундаментальный анализ предполагает, что стоимость компании должна учитывать реальную стоимость активов компании и стоимость будущих доходов. При расчете этих величин основная трудность состоит в определении:
• коэффициента приведения динамического потока средств к расчетному моменту;
• коэффициента роста показателей деятельности компании на втором периоде.
249
Для определения коэффициента приведения потока средств можно использовать текущий банковский процент, факторную модель изменения коэффициента по годам.
Интегральная графическая иллюстрация ситуации является системным представлением оценок, характеризующих продукцию и компанию.
Каждый показатель оценивается по качественной шкале: отлично, хорошо, среднее, ниже среднего (плохо), после чего формируется графический образ профиля компании и интегральный рейтинг. Последний можно построить как среднюю оценку, а также в виде классификационных групп. Признаками принадлежности к соответствующей группе является значение показателей:
Хотя бы один показатель ниже среднего — потенциально опасная компания для наличия в портфеле акций.
Три оценки и более оказались «отлично» при остальные «хорошо» — потенциально привлекательная компания для покупки акций.
Меньше трех «отлично», но все «выше среднего» — компании с риском для инвестора.
При выделении двух ключевых параметров итоговая характеристика компании базируется на матрице «результаты—цены акций». По вертикальной оси матрицы располагается шкала оценки степени достижимости стратегических результатов деятельности, по горизонтальной оси — относительное отклонение текущей цены акций от реальной.
Измеряются показатели на основе качественной шкалы — отлично, хорошо, среднее, ниже среднего (плохо).
В составе матрицы можно выделить четыре сектора:
1) высокая инвестиционная привлекательность и высокая степень достижения результатов — покупка в значительных количествах акций (сектор агрессивных действий инвестора среди звездных компаний);
2) высокая инвестиционная привлекательность и низкая степень достижения результатов — покупка в ограниченных количествах (сектор минного поля и участками золота);
3) низкая инвестиционная привлекательность и высокая степень достижения результатов — удерживать имеющиеся акции, воздерживаться от покупки дополнительных (сектор отдыха инвесторов);
4) низкая инвестиционная привлекательность и низкая степень достижения результатов — продажа имеющихся акций (сектор запретного посещения для инвестора).
Расширяя число итоговых ключевых факторов, к отмеченным выше параметрам «достижимость результатов» и «достоверность оценки акции» можно добавить «потребительская перспективность продукции».
Важным результатом итогового заключения является оценка соответствия поведения цены акций компании общей динамике поведения рынка в целом. Это можно характеризовать через коэффициент корреляции, временное запаздывание либо разницу тенденций.
Экономика: Теории - Концепции