Вводный курс эконометрики - Бородич С. А.
Излагаются основы эконометрики, приводятся основные модели и методы анализа экономических процессов и показателей по статическим данным.
Предназначено для студентов экономических специальностей вузов, изучающих курс эконометрики, а также для аспирантов и слушателей факультетов магистерской подготовки, работающих в области экономики и управления.
ОТ АВТОРА
Современные экономические теории и исследования, опирающиеся в значительной степени на использование математических моделей и методов анализа, требуют от экономистов достаточно свободного владения математическим аппаратом изучения статистических данных. Поэтому неудивительно, что эконометрика стала одним из базовых курсов в системе экономического образования.
Настоящее пособие ориентировано на студентов экономических специальностей университетов. Оно также может быть полезно аспирантам и преподавателям экономических дисциплин, всем интересующимся статистическими методами анализа экономических процессов. Книга написана с учетом схемы изложения указанного предмета, принятой в западных странах, что облегчит проблему углубленного изучения эконометрики на основе широкого спектра иностранной литературы.
Предполагается, что студенты, изучающие эконометрику, уже прослушали базовые курсы по высшей математике, теории вероятностей и математической статистике, микро- и макроэкономике. Однако опыт показывает, что многим начинающим изучение вводного курса эконометрики необходимо восстановить знания основных положений теории вероятностей и математической статистики, без которых невозможно понимание излагаемого материала. Именно на ликвидацию пробелов в этой области направлены первая и вторая главы данного пособия. При этом особое внимание уделяется экономическим приложениям рассматриваемых понятий.
Третья глава посвящена проблеме получения качественных статистических оценок параметров исследуемых величин, что является одной из фундаментальных предпосылок получения эконометрических моделей, максимально соответствующих реальности.
В четвертой главе рассматриваются базовые аспекты регрессионного анализа, лежащего в основе построения и совершенствования эконометрических моделей. На примере парной линейной регрессии подробно представлен фундаментальный метод оценки параметров уравнений регрессии - метод наименьших квадратов (МНК).
В пятой главе рассматриваются предпосылки классической линейной регрессионной модели, выполнимость которых обеспечивает получение качественных оценок параметров линейных уравнений регрессии на базе МНК. Приводится схема определения точности оценок коэффициентов регрессии. Анализируются прогнозные качества парной линейной регрессии. Описывается схема оценки общего качества уравнения регрессии с помощью коэффициента детерминации.
В шестой главе описывается метод наименьших квадратов нахождения оценок параметров уравнения множественной линейной регрессии. Рассматриваются узловые моменты анализа качества построенного уравнения регрессии (эконометрической модели). Приводится схема оценки значимости коэффициентов регрессии. Исследуются различные аспекты использования коэффициента детерминации. Обозначается достаточно острая проблема, встречающаяся в эконометрических моделях, - проблема автокорреляции остатков.
Седьмая глава посвящена рассмотрению часто используемых для описания взаимосвязей экономических показателей нелинейных регрессионных моделей. Приводятся примеры их использования и оценки. Анализируется важность и критерии выбора адекватной формы эконометрической модели. Описываются виды и последствия ошибок спецификации (неправильного выбора регрессионной модели).
В восьмой главе исследуются причины и последствия невыполнимости одной из фундаментальных предпосылок классической линейной регрессионной модели - предпосылки о постоянстве дисперсии отклонений (проблема гетероскедастичности). Приводятся способы обнаружения и смягчения последствий гетероскедастичности.
Девятая глава затрагивает проблему автокорреляции остатков -невыполнимости еще одной предпосылки классической линейной регрессионной модели (отсутствия зависимости между случайными отклонениями). Описываются основные причины автокорреляции, способы ее обнаружения и устранения.
В десятой главе анализируются последствия линейной зависимости между объясняющими переменными в модели множественной линейной регрессии - мультиколлинеарности. Приводятся способы обнаружения и преодоления мультиколлинеарности.
Одиннадцатая глава посвящена рассмотрению использования в регрессионных моделях переменных, не носящих количественный характер. Выясняются причины использования таких переменных в эконометрических моделях, методы их учета, а также специфика нахождения оценок для моделей, содержащих качественные переменные.
В двенадцатой главе дается обзор широко используемых в эконометрическом анализе динамических моделей. Приводятся модели с лагами в независимых переменных и авторегрессионные модели. Рассматриваются проблемы прогнозирования на основе временных рядов.
В тринадцатой главе анализируются системы одновременных уравнений. Даются примеры использования таких систем для моделирования различных экономических взаимосвязей. Выясняются причины невозможности использования стандартных методов оценки, характерных для индивидуальных уравнений. Рассматриваются методы нахождения оценок для систем одновременных уравнений. Исследуются факторы, определяющие возможность идентификации уравнений для рассматриваемых систем.
На протяжении всего изложения материала для большей наглядности приводятся задачи с решениями. В заключение каждой главы даются вопросы для самопроверки усвоения материала, упражнения и учебные задачи для самостоятельного решения. В конце книги представлены таблицы, необходимые для выполнения практических расчетов по излагаемой в пособии методике.
Считаю своим приятным долгом поблагодарить рецензентов пособия С. А. Самаля, А. Д. Корзникова, И. В. Пелипася за ряд полезных замечаний.
Я признателен Г. Д. Хотиной, Е. И. Васенковой, А. В. Возному, А. Л. Терещенко, прочитавшим рукопись данной книги и сделавшим ценные предложения по ее совершенствованию.
Все замечания и предложения прошу направлять по адресу: 220050 г. Минск, пр. Фр. Скорины, 4, БГУ, экономический факультет.
ВВЕДЕНИЕ
Постоянно усложняющиеся экономические процессы потребовали создания и совершенствования особых методов изучения и анализа. Широкое распространение получило использование моделирования и количественного анализа. На этом этапе выделилось и сформировалось одно из направлений экономических исследований - эконометрика.
Формально ’’эконометрика” означает ’’измерения в экономике”. Однако область исследований данной дисциплины гораздо шире. Эконометрика - это наука, в которой на базе реальных статистических данных строятся, анализируются и совершенствуются математические модели реальных экономических явлений. Эконометрика позволяет найти количественное подтверждение либо опровержение того или иного экономического закона либо гипотезы. Одним из важнейших направлений эконометрики является построение прогнозов по различным экономическим показателям.
Эконометрика как научная дисциплина зародилась и получила развитие на основе слияния экономической теории, математической экономики, экономической статистики и математической статистики.
Действительно, предметом ее исследования являются экономические явления. Но в отличие от экономической теории эконометрика делает упор на количественные, а не на качественные аспекты этих явлений. Например, экономическая теория утверждает, что спрос на товар с ростом его цены убывает. Но при этом практически неисследованным остается вопрос, как быстро и по какому закону происходит это убывание. Эконометрика отвечает на этот вопрос для каждого конкретного случая.
Изучение экономических процессов (взаимосвязей) в эконометрике осуществляется через математические (эконометрические) модели. В этом видится ее родство с математической экономикой. Но если математическая экономика строит и анализирует эти модели без использования реальных числовых значений, то эконометрика концентрируется на изучении моделей на базе эмпирических данных.
Одной из основных задач экономической статистики является сбор, обработка и представление экономических данных в наглядной форме в виде таблиц, графиков, диаграмм. Эконометрика также активно пользуется этим инструментарием, но идет дальше, используя его для анализа экономических взаимосвязей и прогнозирования.
Мощным инструментом эконометрических исследований является аппарат математической статистики. Действительно, большинство экономических показателей носит характер случайных величин, предсказать точные значения которых практически невозможно. Например, весьма сложно предвидеть доход или потребление какого-либо индивидуума, объемы экспорта и импорта страны в течение следующего года и т. д. Связи между экономическими показателями практически всегда не носят строгий функциональный характер, а допускают наличие каких-либо случайных отклонений (особенно это касается макроэкономических данных). Вследствие этого использование методов математической статистики в эконометрике естественно и обосновано. Однако в силу специфики получения статистических данных в экономике (например, в экономике невозможно проведение управляемого эксперимента) эконометристам приходится использовать свои собственные наработки и специальные приемы анализа, которые в математической статистике не встречаются.
К основным задачам эконометрики можно отнести следующие.
• Построение эконометрических моделей, т. е. представление экономических моделей в математической форме, удобной для проведения эмпирического анализа. Данную проблему принято называть проблемой спецификации. Отметим, что зачастую она может быть решена несколькими способами.
• Оценка параметров построенной модели, делающих выбранную модель наиболее адекватной реальным данным. Это так называемый этап параметризации.
• Проверка качества найденных параметров модели и самой модели в целом. Иногда этот этап анализа называют этапом верификации.
• Использование построенных моделей для объяснения поведения исследуемых экономических показателей, прогнозирования и предсказания, а также для осмысленного проведения экономической политики.
Последовательность выполнения исследований проиллюстрируем следующим примером. Необходимо проанализировать зависимость спроса Q на некоторое (нормальное) благо от цены Р на это благо. Экономическая теория утверждает, что с ростом цены объем спроса сокращается. Опираясь на это утверждение, на этапе спецификации могут быть предложены несколько математических зависимостей, отражающих данный факт. Например,
Q = а + P-Р, Р < 0;
Q = а-Рр, Р < 0;
InQ = а + р іиР, р < 0
(здесь Іи - символическое обозначение натурального логарифма).
Выбор формы зависимости (математической модели) является важнейшей отправной точкой для дальнейшего анализа. Обычно этот выбор опирается на базовые положения экономической теории, знания о характере зависимостей на предыдущих этапах исследований, некоторые субъективные предположения. Заметим, что любая из моделей будет всего лишь упрощением реальности и всегда содержит определенную погрешность. Поэтому из всех предлагаемых моделей статистическими методами отбирается та, которая в наибольшей степени соответствует реальным эмпирическим данным и характеру зависимости.
Далее оцениваются параметры (в нашем примере - коэффициенты а и Р) выбранной зависимости (этап параметризации). Эта оценка осуществляется на основе имеющихся статистических данных. Поэтому вопрос точности статистической информации является одним из ключевых для построения работоспособной модели. Обычно для получения количественных оценок используются методы регрессионного анализа.
После этого проверяется качество найденных оценок, а также соответствие всей модели эмпирическим данным и теоретическим предпосылкам (этап верификации). Данный анализ в основном осуществляется по схеме проверки статистических гипотез. На этом этапе совершенствуется не только форма модели, но и уточняется состав ее объясняющих переменных (возможно, объем спроса на товар определяется не только его ценой, но также ценой на товары-заменители, располагаемым доходом и другими факторами).
Если модель удовлетворяет всем необходимым требованиям качества, то она может быть использована либо для прогнозирования, либо для объяснения внутренних механизмов исследуемых процессов. Такая модель позволяет с определенной надежностью предсказывать среднее значение исследуемого экономического показателя (в нашем примере это - Q) на основе прогнозируемых или фиксированных значений других показателей (Р), предвидеть вероятности отклонений конкретных значений изучаемой величины от предсказываемого по модели. Она поможет определить, на какие факторы, в каком направлении и объеме следует воздействовать, чтобы значение исследуемого показателя лежало в определенных границах. Отметим, что, вскрывая механизмы и взаимосвязи изучаемых процессов, эконометрические модели не решают вопрос о причине этих взаимосвязей.
Предлагаемая ниже схема весьма наглядно демонстрирует суть и последовательность эконометрических исследований.

Данная схема отражает циклический характер современных экономических исследований: от экономической теории к моделированию; от моделирования к совершенствованию теории и к более глубокому пониманию сути происходящих процессов; от понимания сути к осуществлению продуманной и целенаправленной экономической политики. Развитие компьютерных систем и эконометрических пакетов, совершенствование методов анализа сделали эконометрику мощнейшим инструментом экономических исследований.
АВТОКОРРЕЛЯЦИЯ
9Л. Суть и причины автокорреляции
Важной предпосылкой построения качественной регрессионной модели по МНК является независимость значений случайных отклонений 8і от значений отклонений во всех других наблюдениях (см. параграф 5.1). Отсутствие зависимости гарантирует отсутствие коррели-рованности между любыми отклонениями (a(s
b Sj) = cov(s
b Sj) = 0 при і ф j) и, в частности, между соседними отклонениями (a(s
1_i, sp = 0), i = 2, 3, ...,n.
Автокорреляция {последовательная корреляция) определяется как корреляция между наблюдаемыми показателями, упорядоченными во времени (временные ряды) или в пространстве (перекрестные данные). Автокорреляция остатков (отклонений) обычно встречается в регрессионном анализе при использовании данных временных рядов. При использовании перекрестных данных наличие автокорреляции (пространственной корреляции) крайне редко. В силу этого в дальнейших выкладках вместо символа і порядкового номера наблюдения будем использовать символ t, отражающий момент наблюдения. Объем выборки при этом будем обозначать символом Т вместо п. В экономических задачах значительно чаще встречается так называемая положительная автокорреляция (a(s
t-i, s
t) > 0), нежели отрицательная автокорреляция (a(s
t-i, s
t) < 0).
Чаще всего положительная автокорреляция вызывается направленным постоянным воздействием некоторых не учтенных в модели факторов. Суть автокорреляции поясним следующим примером. Пусть исследуется спрос Y на прохладительные напитки от дохода X по ежемесячным данным. Трендовая зависимость, отражающая увеличение спроса с ростом дохода, может быть представлена линейной функцией Y= Ро + РіХ, изображенной на рис. 9.1.

Однако фактические точки наблюдений обычно будут превышать трендовую линию в летние периоды и будут ниже ее в зимние.
Аналогичная картина может иметь место в макроэкономическом анализе с учетом циклов деловой активности.

Отрицательная автокорреляция фактически означает, что за положительным отклонением имеет место отрицательное и наоборот. Возможная схема рассеивания точек в этом случае представлена на рис. 9.2.
Такая ситуация может иметь место, например, если ту же зависимость между спросом на прохладительные напитки и доходами рассматривать по сезонным данным (зима - лето).
Среди основных причин, вызывающих появление автокорреляции, можно выделить ошибки спецификации, инерцию в изменении экономических показателей, эффект паутины, сглаживание данных.
Ошибки спецификации. Неучет в модели какой-либо важной объясняющей переменной либо неправильный выбор формы зависимости обычно приводит к системным отклонениям точек наблюдений от линии регрессии, что может привести к автокорреляции.
Проиллюстрируем это следующим примером. Анализируется зависимость предельных издержек МС от объема выпуска Q. Если для ее описания вместо реальной квадратичной модели МС = Ро + PiQ + + P2Q2+ s выбрать линейную модель МС = Ро + PiQ + s, то совершается ошибка спецификации. Ее можно рассматривать как неправильный выбор формы модели или как отбрасывание значимой переменной при линеаризации указанных моделей. Последствия данной ошибки выразятся в системном отклонении точек наблюдений от прямой регрессии (рис. 9.3) и существенном преобладании последовательных отклонений одинакового знака над соседними отклонениями противоположных знаков. Налицо типичная картина, характерная для положительной автокорреляции.
МС = ро + PiQ + P2Q2
мс ^
MC = p
0 + PiQ
->
Q
Рис. 9.3
Инерция. Многие экономические показатели (например, инфляция, безработица, ВНП и т. и.) обладают определенной цикличностью, связанной с волнообразностью деловой активности. Действительно, экономический подъем приводит к росту занятости, сокращению инфляции, увеличению ВНП и т. д. Этот рост продолжается до тех пор, пока изменение конъюнктуры рынка и ряда экономических характеристик не приведет к замедлению роста, затем остановке и движению вспять рассматриваемых показателей. В любом случае эта трансформация происходит не мгновенно, а обладает определенной инертностью.
Эффект паутины. Во многих сферах экономики экономические показатели реагируют на изменение экономических условий с запаздыванием (временным лагом). Например, предложение сельскохозяйственной продукции реагирует на изменение цены с запаздыванием (равным периоду созревания урожая). Большая цена сельскохозяйственной продукции в прошлом году вызовет (скорее всего) ее перепроизводство в текущем году, а следовательно, цена на нее снизится и т. д. В этой ситуации нельзя предполагать случайность отклонений друг от друга.
Сглаживание данных. Зачастую данные по некоторому продолжительному временному периоду получают усреднением данных по составляющим его подынтервалам. Это может привести к определенному сглаживанию колебаний, которые имелись внутри рассматриваемого периода, что, в свою очередь, может послужить причиной автокорреляции.
9.2. Последствия автокорреляции
Последствия автокорреляции в определенной степени сходны с последствиями гетероскедастичности. Среди них при применении МНК обычно выделяются следующие.
1. Оценки параметров, оставаясь линейными и несмещенными, перестают быть эффективными. Следовательно, они перестают обладать свойствами наилучших линейных несмещенных оценок (BLUE-оценок).
2. Дисперсии оценок являются смещенными. Зачастую дисперсии, вычисляемые по стандартным формулам, являются заниженными, что приводит к увеличению t-статистик. Это может привести к признанию статистически значимыми объясняющие переменные, которые в действительности таковыми могут и не являться.
3. Оценка дисперсии регрессии S2 =Х—^- является смещенной
и - m -1
2
оценкой истинного значения а , во многих случаях занижая его.
4. В силу вышесказанного выводы по t- и F-статистикам, определяющим значимость коэффициентов регрессии и коэффициента детерминации, возможно, будут неверными. Вследствие этого ухудшаются прогнозные качества модели.
9.3. Обнаружение автокорреляции
В силу неизвестности значений параметров уравнения регрессии неизвестными будут также и истинные значения отклонений s
t. Поэтому выводы об их независимости осуществляются на основе оценок e
t, полученных из эмпирического уравнения регрессии. Рассмотрим возможные методы определения автокорреляции.
9.3.1. Графический метод
Существует несколько вариантов графического определения автокорреляции. Один из них, увязывающий отклонения e
t с моментами t их получения (их порядковыми номерами і), приведен на рис. 9.4. Это так называемые последовательно-временные графики. В этом случае по оси абсцисс обычно откладываются либо момент получения статистических данных, либо порядковый номер наблюдения, а по оси ординат отклонения s
t (либо оценки отклонений e
t).
Естественно предположить, что на рис. 9.4, а - г имеются определенные связи между отклонениями, т. е. автокорреляция имеет место. Отсутствие зависимости на рис. 9.4, д, скорее всего, свидетельствует об отсутствии автокорреляции.
 |
|
Рис. 9.4 |
Например, на рис. 9.4, б отклонения вначале в основном отрицательные, затем положительные, потом снова отрицательные. Это свидетельствует о наличии между отклонениями определенной зависимости. Более того, можно утверждать, что в этом случае имеет место положительная автокорреляция остатков. Она становится весьма наглядной, если график 9.4, б дополнить графиком зависимости e
t от e
t_i , который в этом случае ориентировочно будет выглядеть так.
et А
et-i
Рис. 9.5
Подавляющее большинство точек на этом графике расположено в I и III четвертях декартовой системы координат, подтверждая положительную зависимость между соседними отклонениями.
Следует сказать, что в современных эконометрических пакетах аналитическое выражение регрессии дополняется графическим представлением результатов. На график реальных колебаний зависимой переменной накладывается график колебаний переменной по уравнению регрессии. Сопоставив эти два графика, можно выдвинуть гипотезу о наличии автокорреляции остатков. Если эти графики пересекаются редко, то можно предположить наличие положительной автокорреляции остатков.
9.3.2. Метод рядов
Этот метод достаточно прост: последовательно определяются знаки отклонений e
t. Например,
(-----)(+ + + + + + +)(- - -)(+ + + +)(-),
т. е. 5 7 “+”, 3 4 “+”, 1 при 20 наблюдениях.
Ряд определяется как непрерывная последовательность одинаковых знаков. Количество знаков в ряду называется длиной ряда.
Визуальное распределение знаков свидетельствует о неслучайном характере связей между отклонениями. Если рядов слишком мало по сравнению с количеством наблюдений п, то вполне вероятна положительная автокорреляция. Если же рядов слишком много, то вероятна отрицательная автокорреляция. Для более детального анализа предлагается следующая процедура. Пусть п - объем выборки;
Пі - общее количество знаков “+” при и наблюдениях (количество положительных отклонений e
t);
Иг - общее количество знаков при и наблюдениях (количество отрицательных отклонений e
t); к - количество рядов.
При достаточно большом количестве наблюдений (щ > Ю, п
2 > 10) и отсутствии автокорреляции СВ к имеет асимптотически нормальное распределение с
2n
1n
2(2n
1n
2 -іі! -п
2) (пі +п
2)2(п
1 +п
2 -1)
М(к) = 2П|Г*2 +1; D(k) = Щ + П2
Тогда, если М(к) - u
a/2-D(k) < к < М(к) + u
a/2-D(k), то гипотеза об отсутствии автокорреляции не отклоняется.
При небольшом числе наблюдений (пі < 20, п
2 < 20) Свед и Эй-зенхарт разработали таблицы критических значений количества рядов при и наблюдениях (приложение 7). Суть таблиц в следующем.
На пересечении строки щ и столбца п
2 определяются нижнее кі и верхнее к
2 значения при уровне значимости а = 0.05.
Если кі < к < к
2 , то говорят об отсутствии автокорреляции.
Если к < кі, то говорят о положительной автокорреляции остатков.
Если к > к
2 , то говорят об отрицательной автокорреляция остатков.
В нашем примере и = 20, щ = 11, п
2 = 9, к = 5. По таблицам (приложение 7) определяем кі = 6, к
2 = 16. Поскольку к = 5 < 6 = кі , то принимается предположение о наличии положительной автокорреляции при уровне значимости а = 0.05.
9.3.3. Критерий Дарбина-Уотсона
Наиболее известным критерием обнаружения автокорреляции первого порядка является критерий Дарбина-Уотсона. Статистика DW Дарбина-Уотсона приводится во всех эконометрических пакетах как важнейшая характеристика качества регрессионной модели. Метод определения автокорреляции на основе статистики DW подробно рассмотрен в параграфе 6.7. Суть его состоит в вычислении статистики DW Дарбина-Уотсона и на основе ее величины - осуществлении выводов об автокорреляции.
I(e
t-e
t_i)2
DW = ——^-. (9.1)
х- 2
Se
t
t=i
Согласно формуле (6.46) статистика Дарбина-Уотсона тесно связана с выборочным коэффициентом корреляции г :
DW»2(l-r
eteti). (9.2)
Таким образом, 0 < DW < 4 и его значения могут указать на наличие либо отсутствие автокорреляции. Действительно, если г
| * 0
(автокорреляция отсутствует), то DW « 2. Если г
| * 1 (положительная автокорреляция), то DW * 0. Если г « -1 (отрицательная автокорреляция), то DW * 4.
Для более точного определения, какое значение DW свидетельствует об отсутствии автокорреляции, а какое об ее наличии, была построена таблица критических точек распределения Дарбина-Уотсона. По ней для заданного уровня значимости а, числа наблюдений и и количества объясняющих переменных m определяются два значения: di - нижняя граница и d
u - верхняя граница.
Общая схема критерия Дарбина-Уотсона будет следующей:
1. По построенному эмпирическому уравнению регрессии
y
t = b
0 + b
1x
tl + ... + b
mx
tm определяются значения отклонений
e
t = y
t - у
t для каждого наблюдения t, t = 1,2, ..., Т.
2. По формуле (9.1) рассчитывается статистика DW.
3. По таблице критических точек Дарбина-Уотсона определяются два числа di и d
u и осуществляют выводы по следующей схеме:
О < DW < di - существует положительная автокорреляция,
di < DW < d
u - вывод о наличии автокорреляции не определен, d
u < DW < 4 - d
u - автокорреляция отсутствует,
4 - d
u < DW < 4 — di — вывод о наличии автокорреляции не определен, 4 - di < DW < 4 - существует отрицательная автокорреляция.
Отметим, что при использовании критерия Дарбина-Уотсона необходимо учитывать следующие ограничения.
1. Критерий DW применяется лить для тех моделей, которые содержат свободный член.
2. Предполагается, что случайные отклонения s
t определяются по следующей итерационной схеме s
t = ps
t_i + v
t, называемой авторегрессионной схемой первого порядка AR(1). Здесь v
t - случайный член.
3. Статистические данные должны иметь одинаковую периодичность (т. е. не должно быть пропусков в наблюдениях).
4. Критерий Дарбина-Уотсона не применим для регрессионных моделей, содержащих в составе объясняющих переменных зависимую переменную с временным лагом в один период, т. е. для так называемых авторегрессионных моделей вида:
Yt = Ро + Plxtl + ••• + Pmxtm + yYt-1 + St- (9.3)
Причину четвертого ограничения поясним следующим примером. Пусть уравнение регрессии имеет вид:
Yt = ро + PiXt + yyt-1 + St • (9.4)
Пусть случайное отклонение s
t подвержено воздействию авторегрессии первого порядка:
(9.5)
St = pSt-1 + v
t.
Тогда уравнение регрессии (9.4) можно представить в следующем виде:
Уі = ро + PiXt + yyt-1 +ps
t-i + V
t. (9.6)
Ho y
t_i зависит от s
t_i, т. к. если (9.4) верно для t, то оно верно и для t - 1. Следовательно, имеется систематическая связь между одной из объясняющих переменных и одним из компонентов случайного члена. То есть не выполняется одна из основных предпосылок МНК (предпосылка 4°) - объясняющие переменные не должны быть случайными (т. е. не иметь случайной составляющей). Значение любой объясняющей переменной должно быть экзогенным, полностью определенным. В противном случае оценки будут смещенными даже при больших объемах выборок.
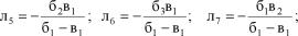
Для авторегрессионных моделей разработаны специальные тесты обнаружения автокорреляции, в частности 1і-статистика Дарбина, которая определяется по формуле
jl-nD(g) ’
(9.7)
где с - оценка р автокорреляции первого порядка (9.5), D(g) - выборочная дисперсия коэффициента при лаговой переменной y
t_i , п -число наблюдений.
При большом объеме выборки п и справедливости нулевой гипотезы Н
0: р = 0 статистика h имеет стандартизированное нормальное распределение (h~N(0,1)). Поэтому по заданному уровню значимости а определяется критическая точка и
а/
2 из условия Ф(и
а/2) = (1 - а) / 2 и сравнивается h с и
а/2. Если I h I > и
а 2 , то нулевая гипотеза об отсутствии автокорреляции должна быть отклонена. В противном случае она не отклоняется.
Отметим, что обычно значение с рассчитывается по формуле
с = 1 - 0.5-DW, а D(g) равна квадрату стандартной ошибки S
g оценки g
коэффициента у. Поэтому h легко вычисляется на основе данных оцененной регрессии.
Основная проблема с использованием этого теста заключается в невозможности вычисления h при n-D(g) > 1.
9.4. Методы устранения автокорреляции
Основной причиной наличия случайного члена в модели являются несовершенные знания о причинах и взаимосвязях, определяющих то или иное значение зависимой переменной. Поэтому свойства случайных отклонений, в том числе и автокорреляция, в первую очередь зависят от выбора формулы зависимости и состава объясняющих переменных. Так как автокорреляция чаще всего вызывается неправильной спецификацией модели, то для ее устранения необходимо, прежде всего, попытаться скорректировать саму модель. Возможно, автокорреляция вызвана отсутствием в модели некоторой важной объясняющей переменной. Необходимо попытаться определить данный фактор и учесть его в уравнении регрессии (см. пример из параграфа 6.7). Также можно попробовать изменить формулу зависимости (например, линейную на лог-линейную, линейную на гиперболическую и т. д.). Однако если все разумные процедуры изменения спецификации модели, на ваш взгляд, исчерпаны, а автокорреляция имеет место, то можно предположить, что она обусловлена какими-то внутренними свойствами ряда {e
t}. В этом случае можно воспользоваться авторегрессионным преобразованием. В линейной регрессионной модели либо в моделях, сводящихся к линейной, наиболее целесообразным и простым преобразованием является авторегрессионная схема первого порядка АЩ1).
Для простоты изложения AR(1) рассмотрим модель парной линейной регрессии
Y = Po + PiX + s. (9.8)
Тогда наблюдениям t и (t— 1) соответствуют формулы
yt = Po + Pix
t + s
t, (9.9)
y
t-i = Ро + piXt-1 + St-i. (9.10)
Пусть случайные отклонения подвержены воздействию авторегрессии первого порядка (9.5):
s
t= ps
t-i + l)
t,
где o
t, t = 2, 3, ... , T - случайные отклонения, удовлетворяющие всем предпосылкам МНК, а коэффициент р известен.
Вычтем из (9.9) соотношение (9.10), умноженное на р:
yt - pyt-1 = Ро(1 - р) + Pi(xt- pxt-i) + (s
t - pSt-i). (9.11)
Положив y
t = y
t - pyt-ь x
t = x
t - px
t-i, Po = Po(l - p) и с учетом
(9.5), получим:
yt* = Po* + Pix
t* + i)
t. (9.12)
Так как по предположению коэффициент р известен, то очевидно, y
t, x
t , u
t вычисляются достаточно просто. В силу того, что случайные отклонения ід удовлетворяют предпосылкам МНК, то оценки Ро и Рі будут обладать свойствами наилучших линейных несмещенных оценок.
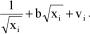
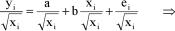
Однако способ вычисления y
t , x
t приводит к потере первого наблюдения (если мы не обладаем предшествующим ему наблюдением). Число степеней свободы уменьшится на единицу, что при больших выборках не так существенно, но при малых выборках может привести к потере эффективности. Эта проблема обычно преодолевается с помощью поправки Прайса Винстена:
*
Х1 = |
|
•хі> |
II
* І-Н |
|
¦Уі- |
Отметим, что авторегрессионное преобразование может быть обобщено на произвольное число объясняющих переменных, т. е. использовано для уравнения множественной регрессии.
Авторегрессионное преобразование первого порядка AR(1) может быть обобщено на преобразования более высоких порядков AR(2), AR(3) нт. д.:
St = PlSt-l + p2 St-2 + u
t ,
(9.14)
St — P1 St-1 + P2 St-2 + PS St-3 + Ut.
Однако на практике значение коэффициента р обычно неизвестно и его необходимо оценивать. Существует несколько методов оценивания. Приведем наиболее употребляемые.
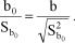
9.4.1. Определение рна основе статистики Дарбина-Уотсона
Напомним, что статистика Дарбина-Уотсона тесно связана с коэффициентом корреляции между соседними отклонениями через соотношение (9.2):
DW*2(l-r
etet_
i).
Тогда в качестве оценки коэффициента р может быть взят коэффициент г = г . Из (9.2) имеем:
DW 2
(9.15)
Этот метод оценивания весьма неплох при большом числе наблюдений. В этом случае оценка г параметра р будет достаточно точной.
9.4.2. Метод Кохрана-Оркатта
Другим возможным методом оценивания р является итеративный процесс, называемый методом Кохрана-Оркатта. Опишем данный метод на примере парной регрессии (9.8):
Y = Po + PiX+s
и авторегрессионной схемы (9.5) первого порядка AR(1)
S
t = р Бы + U
t .
1. Оценивается по МНК регрессия (9.8) и для нее определяются оценки e
t отклонений s
t, t = 1,2, ..., n.
2. Используя схему AR(1), оценивается регрессионная зависимость
e
t=ce
t-i + Ot, (9.16)
где с - оценка коэффициента р.
3. На основе данной оценки строится уравнение:
(y
t - cy
t_i) = 6(1 - с) + B(x
t - cx
t_j) + (e
t - ce
t_!), (9.17)
с помощью которого оцениваются коэффициенты а и Р (в этом случае значение с известно).
4. Значения Ро = 6(1 — с) и Рі = Р подставляются в (9.8). Вновь вычисляются оценки e
t отклонений и процесс возвращается к этапу 2.
Чередование этапов осуществляется до тех пор, пока не будет достигнута требуемая точность. То есть пока разность между предыдущей и последующей оценками р не станет меньше любого наперед заданного числа.
9.4.3. Метод Хилдрета-Лу
По данному методу регрессия (9.11) оценивается для каждого возможного значения р из интервала [-1, 1] с любым шагом (например, 0.001; 0.01 и т. д.). Величина с, дающая наименьшую стандартную ошибку регрессии, принимается в качестве оценки коэффициента
р. И значения Ро и Рі оцениваются из уравнения регрессии (9.11) именно с данным значением с .
Этот итерационный метод широко используется в эконометрических пакетах.
9.4.4. Метод первых разностей
В случае, когда есть основания считать, что автокорреляция отклонений очень велика, можно использовать метод первых разностей.
Для временных рядов характерна положительная автокорреляция остатков. Поэтому при высокой автокорреляции полагают р = 1, и, следовательно, уравнение (9.11) принимает вид:
y
t - yt-1 = pl( Xt - X
t-i) + ( St - S
t-1 )
или (9.18)
y
t - y
t-l = Pl( X
t - x
t_i) + Of
Обозначив Ay
t = y
t - y
t-i , Ax
t = x
t - x
t_i, из (9.18) получим
(9.19)
Ay
t = PiAx
t + o
t.
Из уравнения (9.19) по MHK оценивается коэффициент р
ь Заметим, что коэффициент р
0 в данном случае не определяется непосредственно. Однако из МНК известно, что р
0 = у - BjX.
В случае р = -1, сложив (9.9) и (9.10) с учетом (9.5), можно получить следующее уравнение регрессии:
yt + yt-1 = 2ро+ Pi(x
t + x
t_i) + Ot
(9.20)
или
У' + У-=в
0+в,Х'+Х-
+х,
Однако метод первых разностей предполагает уж слишком сильное упрощение (р = ±1). Поэтому более предпочтительными являются приведенные выше итерационные методы.
Итак, подведем итог. В силу ряда причин (ошибок спецификации, инерционности рассматриваемых зависимостей и др.) в регрессионных моделях может иметь место корреляционная зависимость между соседними случайными отклонениями. Это нарушает одну из фундаментальных предпосылок МНК. Вследствие этого оценки, полученные на основе МНК, перестают быть эффективными. Это делает ненадежными выводы по значимости коэффициентов регрессии и по качеству самого уравнения. Поэтому достаточно важным является умение определить наличие автокорреляции и устранить это нежелательное явление. Существует несколько методов определения автокорреляции, среди которых были выделены графический, метод рядов, критерий Дарбина-Уотсона.
При установлении автокорреляции необходимо в первую очередь проанализировать правильность спецификации модели. Если после ряда возможных усовершенствований регрессии (уточнения состава объясняющих переменных либо изменения формы зависимости) автокорреляция по-прежнему имеет место, то, возможно, это связано с внутренними свойствами ряда отклонений {s
t}. В этом случае возможны определенные преобразования, устраняющие автокорреляцию. Среди них выделяется авторегрессионная схема первого порядка AR(1), которая, в принципе, может быть обобщена в AR(k), к = 2, 3, ... Для применения указанных схем необходимо оценить коэффициент корреляции между отклонениями. Это может быть сделано различными методами: на основе статистики Дарбина-Уотсона, Кохрана-Ор-катта, Хилдрета-Л у и др. В случае наличия среди объясняющих переменных лаговой зависимой переменной наличие автокорреляции устанавливается с помощью 1і-статистики Дарбина. А для ее устранения в этом случае предпочтителен метод Хилдрета-Лу.
Вопросы для самопроверки
1. Что такое автокорреляция?
2. Назовите основные причины автокорреляции.
3. Что может вызвать отрицательную автокорреляцию?
4. Какая предпосылка МНК нарушается при автокорреляции?
5. Каковы последствия автокорреляции?
6. Перечислите основные методы обнаружения автокорреляции.
7. Опишите схему использования статистики DW Дарбина-Уотсона.
8. Перечислите ограничения использования статистики DW Дарбина-Уотсона.
9. Какая статистика используется для обнаружения автокорреляции в авторегрессионных моделях?
10. Опишите авторегрессионную схему первого порядка AR(1).
11. В чем смысл поправки Прайса-Винстена?
12. Опишите способы определения коэффициента автокорреляции р в авторегрессионной схеме первого порядка AR(1).
13. Будут ли верными или ложными следующие утверждения. Ответы поясните.
а) Автокорреляция характерна в основном для временных рядов.
б) При наличии автокорреляции оценки, полученные по МНК, являются смещенными.
в) Статистика DW Дарбина-Уотсона не используется в авторегрессионных моделях.
г) Статистика DW Дарбина-Уотсона лежит в пределах от 0 до 4.
д) Для использования статистики DW статистические данные должны иметь одинаковую периодичность.
е) Авторегрессионная схема первого порядка AR(1) устраняет автокорреляцию только в случае, когда коэффициент автокорреляции р = 1.
2
ж) При наличии автокорреляции значение коэффициента детерминации R будет всегда существенно ниже единицы.
з) Автокорреляция всегда является следствием неправильной спецификации модели.
Упражнения и задачи
1. Пусть при 50 наблюдениях и трех объясняющих переменных статистика DW принимает следующие значения:
а) 0.91; 6)1.37; в) 2.34; г) 3.01; д)3.72.
Не заглядывая в таблицу критических точек Дарбина-Уотсона, выскажите мнение о наличии автокорреляции. Проверьте свои выводы по таблице.
2. По таблице критических точек Дарбина-Уотсона для а = 0.05 и а = 0.01 определите значения статистики DW, дающие основание отклонить гипотезу о наличии автокорреляции при объеме выборки п и числе объясняющих переменных ш: а) п = 20, ш=1; б) п = 25, m = 2; в) п = 50, ш=1;
г) п = 50, m = 4; д) п = 100, m = 2.
Сравните полученные результаты, сделайте выводы.
3. Используя таблицу Сведа и Эйзенхарта (приложение 7), определите наличие автокорреляции по методу рядов (п - объем выборки, гц - общее количество знаков “+”, П2 - общее количество знаков к - количество рядов).
|
|
п |
Пі |
ІЪ |
k |
|
а) |
20 |
12 |
8 |
3 |
|
б) |
30 |
16 |
16 |
21 |
|
в) |
25 |
16 |
9 |
4 |
|
г) |
15 |
8 |
7 |
5 |
4. По статистическим данным за 20 лет построено уравнение регрессии между ценой бензина и объемом продаж бензина, для которого DW = 0.71.
а) Будет ли в данном случае иметь место автокорреляция остатков? Если да, то она положительная или отрицательная?
б) Что могло послужить причиной автокорреляции?
в) Какой критерий вы использовали для определения наличия автокорреляции?
г) Какими будут ваши рекомендации по совершенствованию модели?
5. По квартальным данным за 9 лет анализируют зависимость между экспортом (ЕХ) и импортом (ІМ). Имеются следующие статистические данные:
|
ЕХ |
12.47 |
12.65 |
12.89 |
12.97 |
13.00 13.31 |
13.25 |
12.65 14.49 |
14.47 |
14.74 |
14.62 |
|
ІМ |
11.07 |
11.50 |
12.01 |
12.28 |
13.16 13.43 |
13.28 |
13.50 15.32 |
15.62 |
17.44 |
16.14 |
|
ЕХ |
17.60 |
17.70 |
16.60 |
15.26 |
19.49 |
19.08 |
18.69 |
18.65 |
19.33 |
19.11 |
18.62 |
18.40 |
|
ІМ |
16.13 |
16.08 |
16.55 |
15.00 |
18.72 |
17.80 |
16.64 |
17.39 |
18.70 |
18.02 |
17.46 |
16.96 |
|
ЕХ |
16.15 |
16.58 |
17.60 |
18.48 |
15.36 |
15.25 |
15.61 |
15.93 |
14.38 |
14.30 |
14.75 |
15.58 |
|
ІМ |
15.06 |
16.01 |
16.63 |
17.86 |
14.56 |
15.64 |
16.45 |
17.42 |
14.30 |
14.59 |
14.66 |
14.95 |
а) Постройте уравнение регрессии текущего импорта на текущий экспорт.
б) Проверьте качество построенной модели на основе t-статистик и коэффи-
г>2
циента детерминации К .
в) Вычислите значение статистики DW Дарбина-Уотсона и на ее основе проанализируйте наличие автокорреляции.
г) На основе полученных результатов будет ли отклоняться гипотеза о положительной зависимости между объемами экспорта и импорта.
д) По этим же статистическим данным постройте регрессию приращения
импорта (AIM = IMt - IMt_i) на приращение экспорта (ДЕХ = EXt - EXt_i).
е) Каково значение статистики DW для построенного уравнения и какой вывод из этого следует.
ж) Прокомментируйте полученные результаты.
6. По квартальным данным за 35 лет построено уравнение регрессии:
ln(DI)
t = 6.32 +0.0084 t;
(S) = (3.54) (0.017) R2 = 0.9931 DW = 0.173, где DI - располагаемый доход, t - время. В скобках указаны стандартные ошибки.
а) Сделайте выводы о качестве построенной модели.
б) Можно ли на основе построенной модели сделать заключение о возрастании располагаемого дохода на рассматриваемом временном интервале.
в) Какими могут быть предложения по совершенствованию модели?
г) Будет ли в данном случае рациональным, с точки зрения смягчения проблемы автокорреляции, переход от абсолютных значений рассматриваемых параметров к их приростам по аналогии с предыдущей задачей?
7. По тридцати годовым данным по МНК построено уравнение регрессии:
Л
lny
t = 5.12 + 0.31 Іпхц + 0.52 Ііщг - 0.81 Ііщз
(S) (2.1) (0.18) (0.21) (0.29) R2 = 0.62 DW = 0.49,
где yt - число банкротств; хц - уровень безработицы; х^ - краткосрочная процентная ставка; xq - объем новых заказов в момент времени t.
а) Оцените качество построенной модели.
б) Проинтерпретируйте оцененный коэффициент для lnx3t.
в) Какая нулевая гипотеза проверяется на базе статистики DW? Проверьте данную гипотезу при уровне значимости а = 0.01.
г) Оказывает ли существенное влияние на число банкротств краткосрочная процентная ставка?
д) Можно ли оценить коэффициент корреляции между случайными отклонениями?
8. Осуществляется анализ средних годовых расходов (Y) студентов на развлечения. По статистическим данным за 32 года по МНК построено следующее уравнение регрессии:
y
t= 41.2 + 0.254 x
t + 0.539y
t_i
(S) (0.107) (0.133) R2 = 0.783 DW=1.86,
X - располагаемый доход студента после уплаты за обучение и общежитие.
а) Оцените качество построенной модели.
б) Постройте 95%-ный доверительный интервал для коэффициента при X.
в) Насколько вырастут расходы на развлечения при росте располагаемого дохода на единицу.
г) Проверьте гипотезу об отсутствии автокорреляции остатков при альтернативной гипотезе о положительной автокорреляции с уровнем значимости
а = 0.01.
9. Приведены статистические данные за 25 лет по темпам прироста заработной платы Y%, производительности труда Хі%, а также уровню инфляции Хг%.
Оцените по МНК уравнение регрессии Y = Ро + РіХ] + Р2Х2 + в.
Оцените качество построенного уравнения, проведя при этом проверку наличия гетероскедастичности и автокорреляции.
|
Год |
1 |
2 |
3 |
4 |
5 |
6 |
7 |
8 |
9 |
10 |
11 |
12 |
13 |
|
X] |
3.5 |
2.8 |
6.3 |
4.5 |
3.1 |
1.5 |
7.6 |
6.7 |
4.2 |
2.7 |
4.5 |
3.5 |
5.0 |
|
Х2 |
4.5 |
3.0 |
3.1 |
3.8 |
3.8 |
1.1 |
2.3 |
3.6 |
7.5 |
8.0 |
3.9 |
4.7 |
6.1 |
|
Y |
9.0 |
6.0 |
8.9 |
9.0 |
7.1 |
3.2 |
6.5 |
9.1 |
14.6 |
11.9 |
9.2 |
8.8 |
12.0 |
|
Год |
14 |
15 |
16 |
17 |
18 |
19 |
20 |
21 |
22 |
23 |
24 |
25 |
|
|
Хі |
2.3 |
2.8 |
1.5 |
6.0 |
2.9 |
2.8 2.6 |
1.5 |
0.9 |
0.6 |
0.7 |
3.1 |
|
|
Х2 |
6.9 |
3.5 |
7.1 |
3.1 |
3.7 |
3.9 4.0 |
4.8 |
4.8 |
4.2 |
4.9 |
3.2 |
|
|
Y |
12.5 |
6.7 |
8.5 |
5.9 |
6.8 |
5.6 4.8 |
4.5 |
6.7 |
5.5 |
4.0 |
3.3 |
|
|
10. Анализируется зависимость между инфляцией (INF) и безработицей (U). Используются статистические данные за 25 лет: |
|
|
|
INF |
3.07 |
0.70 |
4.08 |
2.20 |
2.38 |
0.90 |
1.10 5.12 |
0.93 |
2.54 |
1.55 |
3.45 |
1.09 |
|
и |
3.69 |
9.10 |
3.92 |
6.50 |
4.63 |
8.50 |
9.55 3.71 |
5.80 |
3.60 |
6.53 |
4.32 |
9.20 |
|
|
|
INF |
2.15 |
5.14 |
1.72 |
0.74 |
4.16 |
0.93 |
1.79 |
1.24 |
1.12 |
1.28 |
7.36 |
5.30 |
|
и |
5.75 |
3.65 |
7.30 |
9.65 |
3.65 |
9.80 |
6.28 |
7.80 |
8.75 |
7.22 |
3.60 |
3.65 |
|
В качестве модели рекомендуется воспользоваться следующим уравнением: |
In INF
t = Po + PilnUt + s
t.
а) По MHK оцените коэффициенты (Зо и (Зц
б) Постройте 95 %-ный доверительный интервал для коэффициента |3і.
в) Оцените качество построенного уравнения.
г) Вычислите статистику DW Дарбина-Уотсона и на ее основе определите наличие автокорреляции.
д) Проверьте наличие автокорреляции с помощью метода рядов.
е) Сделайте вывод о качестве интервальной оценки для коэффициента (Зц
ж) Переоцените модель, используя для этого авторегрессионную схему первого порядка AR(1).
з) Постройте новый 95 %-ный доверительный интервал для коэффициента (Зь Сравните его с предыдущим интервалом.
и) Прокомментируйте результаты.
11. По 30-годовым наблюдениям строится функция инвестиций:
it = Po + Piyt + Ргй + st,
где it - объем инвестиций в году t; yt - ВНП в году t; ц - процентная ставка в году t.
|
Y |
8.58 |
10.45 |
8.35 |
10.65 |
9.7 |
12.0 |
13.45 |
14.2 |
14.45 |
13.85 |
|
R |
18.12 |
11.05 |
9.0 |
17.0 |
16.25 |
13.8 |
19.95 |
18.74 |
13.8 |
9.55 |
|
I |
11.55 |
13.25 |
10.9 |
10.45 |
15.1 |
17.5 |
17.77 |
16.1 |
10.59 |
10.65 |
|
Y |
16.55 |
18.0 |
18.4 |
20.4 |
21.0 |
23.75 |
25.75 |
24.2 |
25.2 |
26.2 |
|
R |
19.3 |
15.2 |
12.4 |
16.5 |
5.95 |
17.5 |
16.43 |
7.4 |
15.45 |
19.15 |
|
I |
9.32 |
11.0 |
15.05 |
15.1 |
22.7 |
21.95 |
23.1 |
25.65 |
26.15 |
25.55 |
|
Y |
28.6 |
30.6 |
31.32 |
26.0 |
26.85 |
32.1 |
32.95 |
33.3 |
33.85 |
35.6 |
|
R |
5.45 |
9.52 |
7.95 |
7.45 |
19.9 |
8.65 |
21.35 |
11.11 |
15.82 |
21.67 |
|
I |
28.1 |
24.2 |
32.3 |
21.5 |
22.95 |
30.45 |
24.6 |
32.5 |
31.2 |
29.5 |
а) Оцените по МНК коэффициенты искомого уравнения регрессии.
б) Оцените статистическую значимость коэффициентов и общее качество уравнения регрессии.
в) Используя статистику DW Дарбина-Уотсона, оцените наличие автокорреляции остатков для построенного уравнения.
г) При наличии автокорреляции переоцените уравнение регрессии, используя для этого авторегрессионную схему первого порядка AR(1).
д) Спрогнозируйте объем инвестиций на следующий год, если прогнозируемые значения ВНП и процентной ставки составят соответственно yt+i = 37 и r
t+i = 15.
е) Постройте 95 %-ный доверительный интервал для среднего значения прогноза.
МУЛЬТИКОЛЛИНЕАРНОСТЬ
Еще одной серьезной проблемой при построении моделей множественной линейной регрессии по МНК является мулътиколлинеар-ностъ - линейная взаимосвязь двух или нескольких объясняющих переменных. Причем, если объясняющие переменные связаны строгой функциональной зависимостью, то говорят о совершенной мулътикол-линеарности. На практике можно столкнуться с очень высокой (или близкой к ней) мультиколлинеарностью - сильной корреляционной зависимостью между объясняющими переменными. Причины мультиколлинеарности и способы ее устранения анализируются ниже.
10.1. Суть мультиколлинеарности
Мультиколлинеарность может быть проблемой лишь в случае множественной регрессии. Ее суть можно представить на примере совершенной мультиколлинеарности.
Пусть уравнение регрессии имеет вид
Y = p
0 + PiX
1 + p
2X
2 + s. (10.1)
Пусть также между объясняющими переменными существует строгая линейная зависимость:
Х
2 = уо + уіХ
ь (10.2)
Подставив (10.2) в (10.1), получим:
Y = Ро + РіХі +р
2(уо + уіХі) + s
или Y = (ро + р
2у
0) + (рі+ р
2уі)Хі + s.
Обозначив Ро + р
2уо = а, Рі+ р
2уі = b, получаем уравнение парной линейной регрессии:
Y = а + b-Х] + S. (10.3)
По МНК нетрудно определить коэффициенты а и Ь. Тогда получим систему двух уравнений:
|во+в2го=а, (Ю.
4)
{ ві + в
2гі — ь.
В систему (10.4) входят три неизвестные Ро, Ръ р
2 (коэффициенты уо и уі определены в (10.2)). Такая система в подавляющем числе случаев имеет бесконечно много решений. Таким образом, совершенная мультиколлинеарность не позволяет однозначно определить коэффициенты регрессии уравнения (10.1) и разделить вклады объясняющих переменных Хі и Х
2 в их влиянии на зависимую переменную Y. В этом случае невозможно сделать обоснованные статистические выводы об этих коэффициентах. Следовательно, в случае мультиколлинеарности выводы по коэффициентам и по самому уравнению регрессии будут ненадежными.
Совершенная мультиколлинеарность является скорее теоретическим примером. Реальна же ситуация, когда между объясняющими переменными существует довольно сильная корреляционная зависимость, а не строгая функциональная. Такая зависимость называется несовершенной мулыпиколлинеарностью. Она характеризуется высоким коэффициентом корреляции р между соответствующими объясняющими переменными. Причем, если значение р по абсолютной величине близко к единице, то говорят о почти совершенной мультиколлинеарности. В любом случае мультиколлинеарность затрудняет разделение влияния объясняющих факторов на поведение зависимой переменной и делает оценки коэффициентов регрессии ненадежными. Данный вывод наглядно подтверждается с помощью диаграммы Вейна (рис. 10.1).
 |
|
Рис. 10.1 |
На рис. 10.1, а коррелированность между объясняющими переменными Хі и Хг отсутствует и влияние каждой из них на Y находит отражение в наложении кругов Хі и Хг на круг Y. По мере усиления линейной зависимости между Хі и Хг соответствующие круги все больше накладываются друг на друга. Заштрихованная область отражает совпадающие части влияния Хі и Х
2 на Y. На рис. 10.1, г при совершенной мультиколлинеарности невозможно разграничить степени индивидуального влияния объясняющих переменных Хі и Х
2 на зависимую переменную Y.
10.2. Последствия мультиколлинеарности
Как известно, при выполнении определенных предпосылок МНК дает наилучшие линейные несмещенные оценки (BLUE-оценки). Причем свойство несмещенности и эффективности оценок остается в силе даже, если несколько коэффициентов регрессии оказываются статистически незначимыми. Однако несмещенность фактически означает лишь то, что при многократном повторении наблюдений (при постоянных объемах выборок) за исследуемыми величинами средние значения оценок стремятся к их истинным значениям. К сожалению, повторять наблюдения в одинаковых условиях в экономике практически невозможно. Поэтому это свойство ничего не гарантирует в каждом конкретном случае. Наименьшая возможная дисперсия вовсе не означает, что дисперсия оценок будет мала по сравнению с самими оценками. В ряде случаев такая дисперсия достаточно велика, чтобы оценки коэффициентов стали статистически незначимыми.
Обычно выделяются следующие последствия мультиколлинеарности:
1. Большие дисперсии (стандартные ошибки) оценок. Это затрудняет нахождение истинных значений определяемых величин и расширяет интервальные оценки, ухудшая их точность.
2. Уменьшаются t-статистики коэффициентов, что может привести к неоправданному выводу о существенности влияния соответствующей объясняющей переменной на зависимую переменную.
3. Оценки коэффициентов по МНК и их стандартные ошибки становятся очень чувствительными к малейшим изменениям данных, т. е. они становятся неустойчивыми.
4. Затрудняется определение вклада каждой из объясняющей переменных в объясняемую уравнением регрессии дисперсию зависимой переменной.
5. Возможно получение неверного знака у коэффициента регрессии.
Причину последствий 3, 4 можно наглядно проиллюстрировать на примере регрессии (10.1). Данную регрессию можно рассматривать как проекцию вектора Y на плоскость векторов Хі и Х
2. Если между этими векторами существует тесная линейная зависимость, то угол между векторами Хі и Х
2 мал. В силу этого операция проектирования становится неустойчивой: небольшое изменение в исходных данных может привести к существенному изменению оценок. На рис. 10.2 векторы Y и Y' различаются незначительно, но в силу малого угла между Хі и Х
2 координаты векторов Y и Y' не только значительно различаются по величине, но и по знаку.

10.3. Определение мультиколлинеарности
Существует несколько признаков, по которым может быть установлено наличие мультиколлинеарности.
1. Коэффициент детерминации R2 достаточно высок, но некоторые из коэффициентов регрессии статистически незначимы, т.е. они имеют низкие t-статистики.
2. Парная корреляция между малозначимыми объясняющими переменными достаточно высока.
Однако данный признак будет надежным лишь в случае двух объясняющих переменных. При большем их количестве более целесообразным является использование частных коэффициентов корреляции.
3. Высокие частные коэффициенты корреляции.
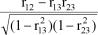
Частные коэффициенты корреляции определяют силу линейной зависимости между двумя переменными без учета влияния на них других переменных. Однако при изучении многомерных связей в ряде случаев парные коэффициенты корреляции могут давать совершенно неверные представления о характере связи между двумя переменными. Например, между двумя переменными X и Y может быть высокий положительный коэффициент корреляции не потому, что одна из них стимулирует изменение другой, а оттого, что обе эти переменные изменяются в одном направлении под влиянием других переменных, как учтенных в модели, так и, возможно, неучтенных. Поэтому имеется необходимость измерять действительную тесноту линейной связи между двумя переменными, очищенную от влияния на рассматриваемую пару переменных других факторов. Коэффициент корреляции между двумя переменными, очищенными от влияния других переменных, называется частным коэффициентом корреляции.
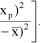
Например, при трех объясняющих переменных Х
ь Х
2, Х
3 частный коэффициент корреляции между Хі и Х
2 рассчитывается по формуле:

(10.5)
Опираясь на данную формулу, нетрудно заметить, что частный коэффициент корреляции может существенно отличаться от “обычного” коэффициента корреляции г
12. Пусть, например, г
12 = 0.5; г
13 = 0.5; г
23 = -0.5. Тогда частный коэффициент корреляции г
і23 = 1, т. е. при относительно невысоком коэффициенте корреляции Гі
2 частный коэффициент корреляции Гі
2 3 указывает на высокую зависимость (коллинеарность) между переменными Хі и Х
2. Нетрудно показать, что возможна и обратная ситуация. Другими словами, для более обоснованного вывода о корреляции между парами объясняющих переменных необходимо рассчитывать частные коэффициенты корреляции.
В общем случае выборочный частный коэффициент корреляции межу переменными X, и X, (1 < і < j < m), очищенный от влияния остальных (ш - 2) объясняющих переменных, символически обозначается
Приведем без доказательства формулу расчета данного коэффициента.
Пусть эмпирические парные коэффициенты корреляции между всевозможными парами объясняющих переменных Х
ь Х
2, ..., Х
т представлены в виде корреляционной матрицы
|
|
|
|
1 |
|
|
|
{ * |
* |
* |
* Л |
|
|
1 |
Г12 |
Г13 |
•• Г1т |
|
Си |
С12 |
С13 |
•• С1т |
|
|
Г21 |
1 |
Г23 |
- Г2т |
|
*
С21 |
*
С 22 |
*
С 23 |
*
•• С 2т |
|
R = |
Г31 |
Г32 |
1 |
- Г3т |
II
Р4
II
•К
и |
*
С31 |
*
С 32 |
*
сзз |
*
•• С3т |
|
|
Дті |
Гт2 |
ГтЗ • |
1 |
|
*
\Сщ1 |
*
С m2 |
*
С m3 ' |
*
•• Стт) |
С - обратная матрица к матрице R. Тогда
- С: |
(10.6)
с • с
11 JJ
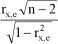
Из общей формулы (10.6) легко получаются частные формулы
(10.5) для трех переменных и (10.7) для четырех переменных:
rij.k Гі1.к'Г)1.к (1 _ ГП.к )(1 Гі1.к)
(10.7)
Гіі.кі =
Пусть р = Гу|л 2 ...(j _i)(j +i) m - частный коэффициент корреляции между зависимой переменной Y и переменной Xj, очищенный от
влияния всех остальных объясняющих переменных. Тогда г2 - частный коэффициент детерминации, который определяет процент дисперсии переменной Y, объясняемый влиянием только переменной Xj. Другими словами, г^2, j = 1, 2, ...,m позволяет оценить вклад каждой переменной Xj на рассеивание переменной Y.
4. Сильная вспомогательная (дополнительная) регрессия.
Мультиколлинеарность может иметь место вследствие того, что какая-либо из объясняющих переменных является линейной (или близкой к линейной) комбинацией других объясняющих переменных. Для данного анализа строятся уравнения регрессии каждой из объясняющих переменных Xj, j = 1, 2, ... , ш на оставшиеся объясняющие переменные вспомогательные регрессии. Вычисляются соответствующие коэффициенты детерминации R2 и рассчитывается их статистическая значимость на основе F-статистики
п - m in -1
(10.8)

1 - R2
Здесь n - число наблюдений, m - число объясняющих переменных в первоначальном уравнении регрессии. Статистика F имеет распределение Фишера с V] = m - 1 и ?2 = и - m степенями свободы. Данная формула аналогична формуле (6.36). Если коэффициент Rj2 статистически незначим, то Xj не является линейной комбинацией других переменных и ее можно оставить в уравнении регрессии. В противном случае есть основания считать, что Хі существенно зависит от других объясняющих переменных, и имеет место мультиколлинеарность.
Существует и ряд других методов определения мультиколлинеарности, описание которых выходит за рамки данной книги.
10.4. Методы устранения мультиколлинеарности
Прежде чем указать основные методы устранения мультиколлинеарности, отметим, что в ряде случаев мультиколлинеарность не является таким уж серьезным злом, чтобы прилагать серьезные усилия по ее выявлению и устранению. Ответ на этот вопрос в основном зависит от целей исследования.
Если основная задача модели - прогноз будущих значений зависимой переменной, то при достаточно большом коэффициенте детерминации R2 (> 0.9) наличие мультиколлинеарности зачастую не сказывается на прогнозных качествах модели. Хотя это утверждение будет обоснованным лишь в том случае, что и в будущем между коррелированными переменными будут сохраняться те же отношения, что и ранее.
Если же целью исследования является определение степени влияния каждой из объясняющих переменных на зависимую переменную, то наличие мультиколлинеарности, приводящее к увеличению стандартных ошибок, скорее всего, исказит истинные зависимости между переменными. В этой ситуации мультиколлинеарность представляется серьезной проблемой.
Отметим, что единого метода устранения мультиколлинеарности, годного в любом случае, не существует. Это связано с тем, что причины и последствия мультиколлинеарности неоднозначны и во многом зависят от результатов выборки.
10.4.1. Исключение переменной(ых) из модели
Простейшим методом устранения мультиколлинеарности является исключение из модели одной или ряда коррелированных переменных.
Однако необходима определенная осмотрительность при применении данного метода. В этой ситуации возможны ошибки спецификации. Например, при исследовании спроса на некоторое благо в качестве объясняющих переменных можно использовать цену данного блага и цены заменителей данного блага, которые зачастую коррелируют друг с другом. Исключив из модели цены заменителей, мы, скорее всего, допустим ошибку спецификации. Вследствие этого возможно получение смещенных оценок и осуществление необоснованных выводов. Таким образом, в прикладных эконометрических моделях желательно не исключать объясняющие переменные до тех пор, пока коллинеарность не станет серьезной проблемой.
10.4.2. Получение дополнительных данных или новой выборки
Поскольку мультиколлинеарность напрямую зависит от выборки, то, возможно, при другой выборке мультиколлинеарности не будет либо она не будет столь серьезной.
Иногда для уменьшения мультиколлинеарности достаточно увеличить объем выборки. Например, при использовании ежегодных данных можно перейти к поквартальным данным. Увеличение количества данных сокращает дисперсии коэффициентов регрессии и тем самым увеличивает их статистическую значимость. Однако получение новой выборки или расширение старой не всегда возможно или связано с серьезными издержками. Кроме того, данный подход может усилить автокорреляцию. Эти проблемы ограничивают возможность использования данного метода.
10.4.3. Изменение спецификации модели
В ряде случаев проблема мультиколлинеарности может быть решена изменением спецификации модели: либо изменением формы модели, либо добавлением объясняющих переменных, которые не учтены в первоначальной модели, но существенно влияющие на зависимую переменную. Если данный метод имеет основания, то его использование уменьшает сумму квадратов отклонений, тем самым сокращая стандартную ошибку регрессии. Это приводит к уменьшению стандартных ошибок коэффициентов.
10.4.4. Использование предварительной информации о некоторых параметрах
Иногда при построении модели множественной регрессии можно воспользоваться некоторой предварительной информацией, в частности, известными значениями некоторых коэффициентов регрессии. Вполне вероятно, что значения коэффициентов, полученные для каких-либо предварительных (обычно более простых) моделей, либо для аналогичной модели по ранее полученной выборке, могут быть использованы для разрабатываемой в данный момент модели.
Для иллюстрации приведем следующий пример. Строится регрессия вида (10.1). Предположим, что переменные Хі и Х
2 коррелированны. Для ранее построенной модели парной регрессии Y= у
0 +
+ у 1X 1+тэ был определен статистически значимый коэффициент уі (для определенности пусть уі = 0.8), связывающий Y с Хі. Если есть основания думать, что связь между Y и Хі останется неизменной, то можно положить уі = Рі = 0.8. Тогда (10.1) примет вид:
(10.9)
Y = p
0+0.8X
1+p
2X
2 + s. Y-0.8X! =p
0 + p
2X
2 + s.
Уравнение (10.9) фактически является уравнением парной регрессии, для которого проблема мультиколлинеарности не существует.
Ограниченность использования данного метода обусловлена тем, что, во-первых, получение предварительной информации зачастую затруднительно, а во-вторых, вероятность того, что выделенный коэффициент регрессии будет одним и тем же для различных моделей, невысока.
10.4.5. Преобразование переменных
В ряде случаев минимизировать либо вообще устранить проблему мультиколлинеарности можно с помощью преобразования переменных.
Например, пусть эмпирическое уравнение регрессии имеет вид
(10.10)
Y =b
0+biX
1+b
2X
2,
причем Хі и Х
2 - коррелированные переменные. В этой ситуации можно попытаться определять регрессионные зависимости относительных величин

(10.11)

Вполне вероятно, что в моделях, аналогичных (10.11), проблема мультиколлинеарности будет отсутствовать.
Возможны и другие преобразования, близкие по своей сути к вышеописанным. Например, если в уравнении рассматриваются взаимосвязи номинальных экономических показателей, то для снижения мультиколлинеарности можно попытаться перейти к реальным показателям и т. п.
Вопросы для самопроверки
1. Объясните значение терминов “коллинеарность” и “мультиколлинеарность”.
2. В чем различие между совершенной и несовершенной мультиколлинеарностью?
3. Каковы основные последствия мультиколлинеарности?
4. Как можно обнаружить мультиколлинеарность?
5. Как оценивается коррелированность между двумя объясняющими переменными?
6. Перечислите основные методы устранения мультиколлинеарности.
7. Какие из следующих утверждений истинны, ложны или не определены? Ответ поясните.
а) При наличии высокой мультиколлинеарности невозможно оценить статистическую значимость коэффициентов регрессии при коррелированных переменных.
б) Наличие мультиколлинеарности не является препятствием для получения по МНК BLUE-оценок.
в) Мультиколлинеарность не является существенной проблемой, если основная задача построенной регрессионной модели состоит в прогнозировании будущих значений зависимой переменной.
г) Высокие значения коэффициентов парной корреляции между объясняющими переменными не всегда являются признаками мультиколлинеарности.
д) Так как X является строгой функцией от X, то при использовании обеих переменных в качестве объясняющих возникает проблема мультиколлинеарности.
е) При наличии мультиколлинеарности оценки коэффициентов остаются несмещенными, но их t-статистики будут слишком низкими.
ж) Коэффициент детерминации R не может быть статистически значимым, если все коэффициенты регрессии статистически незначимы (имеют низкие t-статистики).
з) Мультиколлинеарность не приводит к получению смещенных оценок коэффициентов, но ведет к получению смещенных оценок для дисперсий коэффициентов.
и) В регрессионной модели Y = (Зо + РіХі + Р2Х2 + в наличие мультиколлинеарности можно обнаружить, если вычислить коэффициент корреляции между Хі и Х
2.
Пусть по МНК оценивается уравнение регрессии Y = Ро + PiXj + Р2Х2 + в. Для большинства выборок наблюдается высокая коррелированность между Хі иХ
2. Пусть коррелированности между этими переменными не наблюдается. Коэффициенты регрессии оцениваются по данной выборке. Будут ли в этом случае оценки несмещенными? Будут ли несмещенными оценки дисперсий найденных эмпирических коэффициентов регрессии?
8.
9. Объясните логику отбрасывания объясняющей переменной с целью устранения проблемы мультиколлинеарности.
10. Пусть в уравнении регрессии Y = Ро + PiXj + Р2Х2 + в переменные Xj и Х2 сильно коррелированны. Строится уравнение регрессии Х2 на Хі, случайные отклонения от которой обозначим через о. Строится новое уравнение регрессии с зависимой переменной Y и двумя объясняющими переменными - Х2 и о. Будет ли решена таким образом проблема мультиколлинеарности?
Упражнения и задачи
1. Имеется выборка из 10 наблюдений за переменными Хц Х2, Y:
|
X! |
1 |
2 |
3 |
4 |
5 |
6 |
7 |
8 |
9 |
10 |
|
Х2 |
1 |
1.6 |
2.2 |
2.8 |
3.4 |
4 |
4.6 |
5.2 |
5.6 |
6.2 |
|
Y |
0 |
3 |
6 |
9 |
12 |
15 |
18 |
21 |
24 |
27 |
а) Можно ли по этим данным по МНК оценить коэффициенты регрессии с двумя объясняющими переменными. Ответ поясните.
б) В случае отрицательного ответа на вопрос а) предложите преобразования, которые позволят оценить коэффициенты регрессии.
По выборке и матрица
2.
50 для Хі, Х2, Хз построена следующая корреляционная
|
1.0 |
0.45 |
-0.35 |
|
0.45 |
1.0 |
0.52 |
|
-0.35 |
0.52 |
1.0 |
а) Найдите и оцените статистическую значимость следующих частных коэффициентов корреляции Гі2 з, Г23.1, Пз 2-
б) При рассмотрении какой регрессии будет иметь место мультиколлинеарность?
3. После оценки уравнения регрессии Y = Ьо + ЬіХі + 62X2 + е был рассчитан коэффициент корреляции г
ХіХ2 = 0. Были рассчитаны уравнения парной
регрессии: Y = со + щХі + о; Y = do + 62X2 + тп.
Можно ли ожидать, что будут выполняться следующие соотношения:
а) t>! = сц b
2 = d
2;
б) Ьо равен либо со, либо do, либо некоторой их комбинации;
в) S(bi) = S(ci); S(b
2) = S(d
2).
4. В следующей таблице приведены данные по реальному валовому национальному продукту (GNP), реальному объему потребления (CONS) и объему инвестиций (INV) для некоторой вымышленной страны.
|
GNP |
240 |
248 |
261 |
274 |
273 |
269 |
283 |
296 |
312 |
319 |
|
CONS |
149 |
154 |
162 |
169 |
167 |
171 |
180 |
188 |
196 |
200 |
|
INV |
38.2 |
41.9 |
46.5 |
52.1 |
48.1 |
38.3 |
45.4 |
52.1 |
56.8 |
57.5 |
|
GNP |
318 |
325 |
317 |
327 |
350 |
361 |
372 |
385 |
402 |
412 |
|
CONS |
200 |
202 |
205 |
215 |
225 |
235 |
245 |
252 |
261 |
266 |
|
INV |
50.9 |
54.5 |
44.7 |
50.4 |
65.8 |
63.7 |
64.0 |
76.4 |
71.6 |
71.8 |
а) Постройте уравнение регрессии INV = bo + biGNP + b
2 CONS + е.
б) Оцените качество построенного уравнения.
в) Можно ли было ожидать при построении данного уравнения наличия мультиколлинеарности? Ответ поясните.
г) Имеет ли место мультиколлинеарность для построенного вами уравнения? Как вы это определили?
д) Постройте уравнения регрессии INV на GNP и INV на CONS. Какие выводы можно сделать по построенным моделям?
е) Постройте уравнение регрессии CONS на GNP. Что обнаруживает построенная модель?
ж) Как можно решить проблему мультиколлинеарности для первоначальной модели?
5. Пусть исследуется вопрос о среднем спросе на кофе AQ (в граммах на одного человека). В качестве объясняющих переменных предполагается использовать следующие переменные: PC - индекс цен на кофе, InYD - логарифм от реального среднедушевого дохода, POP - численность населения, РТ -индекс цен на чай. Можно ли априори предвидеть, будут ли в этом случае значимыми все t-статистики и будет ли высоким коэффициент детерминации R ? Какими будут ваши предложения по уточнению состава объясняющих переменных.
6. Пусть рассматривается следующая модель:
CONSt = ро + piGNPt + p
2GNP
t-i +p
3(GNP
t - GNP
t_i) + s, где CONSt - объем потребления в момент времени t; GNPt, GNPt-i - объемы ВНП в моменты времени t и t—1 соответственно.
а) Что утверждается в данной модели?
б) Можно ли по МНК оценить все коэффициенты указанного уравнения регрессии?
в) Какой из коэффициентов и вследствие чего нельзя оценить?
г) Решит ли проблему оценки исключение из модели переменной GNPt или переменной GNPt-i? Ответ поясните.
ФИКТИВНЫЕ ПЕРЕМЕННЫЕ В РЕГРЕССИОННЫХ МОДЕЛЯХ
11 Л. Необходимость использования фиктивных переменных
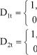
Зачастую в регрессионных моделях в качестве объясняющих переменных приходится использовать не только количественные (определяемые численно), но и качественные переменные. Например, спрос на некоторое благо может определяться ценой данного блага, ценой на заменители данного блага, ценой дополняющих благ, доходом потребителей и т. д. (эти показатели определяются количественно). Но спрос может также зависеть от вкусов потребителей, их ожиданий, национальных и религиозных особенностей и т. д. А эти показатели представить в численном виде нельзя. Возникает проблема отражения в модели влияния таких переменных на исследуемую величину. Это достаточно сложная задача. Обычно в моделях влияние качественного фактора выражается в виде фиктивной (искусственной) переменной, которая отражает два противоположных состояния качественного фактора. Например, “фактор действует” - “фактор не действует”, “курс валюты фиксированный” - “курс валюты плавающий”, “сезон летний” - “сезон зимний” и т. д. В этом случае фиктивная переменная может выражаться в двоичной форме:
D _ Г 0, фактор не действует,
\ 1, фактор действует.
Например, D = 0, если потребитель не имеет высшего образования, D = 1, если потребитель имеет высшее образование; D = 0, если в обществе имеются инфляционные ожидания, D = 1, если инфляционных ожиданий нет.
Переменная D называется фиктивной (искусственной, двоичной) переменной (индикатором).
Таким образом, кроме моделей, содержащих только количественные объясняющие переменные (обозначаемые Х
;), в регрессионном анализе рассматриваются также модели, содержащие лишь качественные переменные (обозначаемые DO, либо и те и другие одновременно.
Регрессионные модели, содержащие лишь качественные объясняющие переменные, называются ANOVA-моделями (моделями дисперсионного анализа).
Например, пусть Y - начальная заработная плата.
D _ Г 0, если претендент не имеет высшего образования,
[ 1, если претендент имеет высшее образование,
Тогда зависимость можно выразить моделью парной регрессии
Y=Po + yD + s. (11.1)
Очевидно, M(Y | D = 0) = р
0 + у-0 = р
0,
M(Y I D = 1) = Ро + у-1 = Ро + у.
При этом коэффициент р
0 определяет среднюю начальную заработную плату при отсутствии высшего образования. Коэффициент у указывает, на какую величину отличаются средние начальные заработные платы при наличии или отсутствии высшего образования у претендента. Проверяя статистическую значимость коэффициента у с помощью t-статистики либо значимость коэффициента детерминации R2 с помощью F-статистики, можно определить, влияет или нет наличие высшего образования на начальную заработную плату.
Нетрудно заметить, что ANOVA-модели представляют собой кусочно-постоянные функции. Однако такие модели в экономике крайне редки. Гораздо чаще встречаются модели, содержащие как качественные, так и количественные переменные.
11.2. Модели ANCOVA
Модели, в которых объясняющие переменные носят как количественный, так и качественный характер, называются ANCOVA-мод елями (моделями ковариационного анализа).
11.2.1. ANCOVA-модель при наличии у фиктивной переменной
двух альтернатив
Вначале рассмотрим простейшую ANCOVA - модель с одной количественной и одной качественной переменной, имеющей два альтернативных состояния:
Y = p
0 + PiX + yD + s. (11.2)
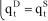
Пусть, например, Y - заработная плата сотрудника фирмы, X -стаж сотрудника, D - пол сотрудника, т. е.
ГО, если сотрудник - женщина,
[ 1, если сотрудник - мужчина.
Тогда ожидаемое значение заработной платы сотрудников при х годах трудового стажа будет:
M(Y I х, D = 0) = Ро + Ріх - для женщины, (11.3)
M(Y I x, D = 1) = Po + Pix + у = (Po + y) + Pix - для мужчины. (11.4)
Заработная плата в данном случае является линейной функцией от стажа работы (рис. 11.1). Причем и для мужчин и для женщин заработная плата меняется с одним и тем же коэффициентом пропорциональности Рі. А вот свободные члены в моделях (11.3), (11.4) отличаются на величину у. Проверив с помощью t-статистики статистические значимости коэффициентов р
0 и (р
0 + у), можно определить, имеет ли место в фирме дискриминация по половому признаку. Если эти коэффициенты окажутся статистически значимыми, то, очевидно, дискриминация есть. Более того, при у > 0 - она будет в пользу мужчин, при у < 0 - в пользу женщин.

В данном случае пол сотрудников имеет два альтернативных значения, и в модели это отражается одной фиктивной переменной. Возникает вопрос, нельзя ли с помощью большего числа фиктивных переменных обрисовать более сложные комбинации? Например, пусть
Y = в
0 + BjX + TjDj + r
2D
2 + е , (11.5)
Г 0, если сотрудник - мужчина, где D
1=^
[ 1, если сотрудник - женщина.
ГО, если сотрудник - женщина,
[ 1, если сотрудник - мужчина.
Но в этой ситуации между переменными Dj и D
2 существует строгая линейная зависимость: D
2 = 1 - D|. Мы попадаем в ситуацию совершенной мультиколлинеарности, при которой коэффициенты Ьі и Ь
2 однозначно определены быть не могут. Простейшим способом преодоления данной проблемы является отбрасывание одной из фиктивных переменных и использование для рассматриваемой задачи модели
(11.2) . Применяя аналогичные выкладки, можно получить следующее общее правило:
Если качественная переменная имеет к альтернативных значений, то при моделировании используются только (к - 1) фиктивных переменных.
Если не следовать данному правилу, то при моделировании исследователь попадает в ситуацию совершенной мультиколлинеарности или так называемую ловушку фиктивной переменной.
Значения фиктивной переменной можно изменять на противоположные. Суть модели от этого не изменится. Например, в модели
(11.2) можно положить, что:
Г 0, если сотрудник - мужчина,
[ 1, если сотрудник - женщина.
Однако при этом знак коэффициента у изменится на противоположный.
Значение качественной переменной, для которого принимается D = 0, называется базовым или сравнительным. Выбор базового значения обычно диктуется целями исследования, но может быть и произвольным.
Коэффициент у в модели (11.2) иногда называется дифференциальным коэффициентом свободного члена, т. к. он показывает, на какую величину отличается свободный член модели при значении фиктивной переменной, равном единице, от свободного члена модели при базовом значении фиктивной переменной.
11.2.2. Модели ANCOVA при наличии у качественных переменных более двух альтернатив
Пусть рассматривается модель с двумя объясняющими переменными, одна из которых количественная, а другая - качественная. Причем качественная переменная имеет три альтернативы. Например, ситуация, связанная с расходами на содержание ребенка, может быть связана с доходами домохозяйств и возрастом ребенка: дошкольный, младший школьный и старший школьный. Так как качественная переменная связана с тремя альтернативами, то по общему правилу моделирования необходимо использовать две качественные переменные. Таким образом, модель может быть представлена в виде:
Y = в
0 +BjX + TjDj + r
0D
0 + е, (11.6)
где Y - расходы, X - доходы домохозяйств.
ГО, если дошкольник,
1 [ 1, в противоположном случае.
ГО, если младший школьник,
[ 1, в противоположном случае.
Таким образом, получаются следующие зависимости.
Средний расход на дошкольника:
M(Y I Dj = О, D
2 = 0) = в
0 + BjX. (11.7)
Средний расход на младшего школьника:
M(Y I Dj = 1, D
2 = 0) = (в
0 + Tj) + BjX. (11.8)
Средний расход на старшего школьника:
M(Y ID, = 1,D
2 = 1) = (в
0 + г, + г
2) + в,Х. (11.9)
Здесь у 1, у
2 — дифференциальные свободные члены. Базовым значением качественной переменной является значение “дошкольник”. Таким образом, получаются три регрессионные прямые (11.7), (11.8),
(11.9), параллельные друг другу (рис. 11.2):

После определения коэффициентов уравнений регрессии (11.7) -
(11.9) определяется статистическая значимость коэффициентов уі и уг на основе обычной t-статистики.
Нетрудно понять, что вначале определяется уравнение (11.7). Затем по данным для школьников младшего возраста определяется коэффициент Ро + Уі для уравнения (11.8) при условии, что Рі остается тем же, что и в (11.7). Аналогично определяется коэффициент Ро + уі+ +У2. Вычитая второе полученное значение из первого, а третье из второго, определяем коэффициенты уі и уг соответственно. Если коэффициенты уі и у2 оказываются статистически незначимыми, то можно сделать вывод, что возраст ребенка не оказывает существенного влияния на расходы по его содержанию.
11.2.3. Регрессия с одной количественной
и двумя качественными переменными Естественно, что техника фиктивных переменных может быть распространена на произвольное число качественных факторов. Для простоты рассмотрим ситуацию с двумя качественными переменными.
Пусть Y - заработная плата сотрудников фирмы, X - стаж работы, Di- наличие высшего образования, D
2 - пол сотрудника,
ГО, если нет высшего образования,
1 [ 1, в противоположном случае.
ГО, если сотрудник - мужчина,
[ 1, если сотрудник - женщина.
Таким образом, получим следующую модель:
Y = b
0 +BjX + TjDj + r
0D
0 + e. (11.10)
Из этой модели получаются следующие регрессионные зависимости. Средняя заработная плата женщины без высшего образования:
M(Y|Dj =0,D
2 =0) = в
0 +BjX. (11.11)
Средняя заработная плата женщины с высшим образованием:
M(Y I = 0, D
2 = 1) = (в о + гД + BjX. (11.12)
Средняя заработная плата мужчины без высшего образования:
M(Y|Dj =1,D
2 =0) = (в
0 +г
2) + в
1Х. (11.13)
Средняя заработная плата мужчины с высшим образованием:
M(Y|D
T =1,D
2 =1) = (в
0 +Tj +г
2) + в
1Х. (11.14)
Мы видим, что все регрессии отличаются лишь свободными членами. Коэффициенты регрессии определяются так же, как и коэффициенты в разделе 11.2.2. Дальнейшее определение статистической значимости коэффициентов уі и уг позволяет убедиться, влияют ли образование и пол сотрудника на его заработную плату.
Естественно, что предложенные выше схемы могут быть распространены на ситуации с произвольным числом количественных и качественных факторов. При этом не следует забывать, что если качественный фактор имеет к альтернативных состояний, то для его описания используется (к - 1) фиктивных переменных.
11.3. Сравнение двух регрессий
В примерах, рассматриваемых до сих пор, предполагалось, что изменение значения качественного фактора влияет лишь на изменение свободного члена. Но это, безусловно, не всегда так. В частности, в примере из раздела 11.2.1 предполагалось, что заработная плата сотрудника увеличивается пропорционально стажу с одним и тем же коэффициентом пропорциональности Рі вне зависимости от пола сотрудника, хотя зачастую коэффициент Рі для сотрудников мужского пола больше аналогичного коэффициента для женщин. Следовательно, необходимо представить, что изменение качественного фактора может привести как к изменению свободного члена уравнения, так и наклона прямой регрессии.
Обычно это характерно для временных рядов экономических данных при изменении институциональных условий, введении новых правовых или налоговых ограничений. Например, можно предположить, что до некоторого года в стране обменный курс был фиксированным, а затем плавающим. Или налог, на ввозимые автомобили был одним, а затем он существенно изменился. В этом случае зависимость может быть выражена следующим образом:


В этой ситуации ожидаемое значение зависимой переменной определяется следующим образом:
(11.16)
M(Y
t |D
t =0) = в
0 +BjX
t,
M(Y
t I D
t = 1) = (b
0 + Tj) + (bj + r
2)X
t.
(11.17)
Коэффициенты yi и уг в уравнении (11.15) называются дифференциальным свободным членом и дифференциальным угловым коэффициентом соответственно. Фиктивная переменная D
t в уравнении (11.15) используется как в аддитивном виде (yiD
t), так и в мультипликативном (yiD
tX
t), что позволяет фактически разбивать рассматриваемую зависимость на две части, связанные с периодами изменения некоторого рассматриваемого в модели качественного фактора. Уравнение регрессии (11.15) достаточно хорошо моделирует ситуацию, изображенную на рис. 11.3.
 |
а б
Рис. 11.3 |
На рис. 11.3, а зависимость отражается обыкновенной линейной регрессией. На рис. 11.3, б в модели учитываются изменения, произошедшие с некоторого момента t в характере расположения точек наблюдений. На данном примере хорошо видно, каким образом можно проанализировать, имеет ли смысл разбивать выборку на части и строить для каждой из них уравнение регрессии (т. е. фактически строить сложную регрессию с фиктивными переменными) (рис. 11.3, б) либо можно ограничиться общей “обыкновенной” регрессией для всех точек наблюдений (рис. 11.3, а). Для этого можно использовать тест Чоу, который упоминался в разделе 6.7.3.
Суть теста Чоу состоит в следующем. Пусть выборка имеет объем и. Через So обозначим сумму квадратов отклонений Xef значений у
х от общего уравнения регрессии (рис. 11.3, а). Пусть есть основание предполагать, что целесообразно общую выборку разбить на две подвыборки объемами щ и п
2 соответственно (щ + п
2 = п) и построить для каждой из выборок уравнение регрессии (рис. 11.3, б). Через Si и S
2 обозначим суммы квадратов отклонений значений у, каждой из подвыборок от соответствующих уравнений регрессии. Очевидно, равенство So = Si + S2 возможно лишь при совпадении коэффициентов регрессии для всех трех уравнений. Чем сильнее различие в поведении Y для двух подвыборок, тем больше значение So будет превосходить Si + S2. Тогда разность So - (Si + S2) может быть интерпретирована как улучшение качества модели при разбиении интервала наблюдений на два подынтервала. Следовательно, дробь [So - (Si + S2)]/(m +1) определяет оценку уменьшения дисперсии регрессии за счет построения двух уравнений вместо одного. При этом число степеней свободы сократиться на (ш + 1), т. к. вместо (ш + 1) параметра объединенного уравнения теперь необходимо оценивать (2т + 2) параметра двух регрессий. Дробь (Si + S
2)/(n - 2m - 2) - необъясненная дисперсия зависимой переменной при использовании двух регрессий. Тогда напрашивается вывод о том, что общую выборку целесообразно разбить на два подынтервала только в случае, если уменьшение дисперсии будет значимо больше оставшейся необъясненной дисперсии. Данный анализ осуществляется по стандартной процедуре сравнения дисперсий на основе F-статистики (см. раздел 3.5.5). В этом случае F-статистика имеет вид:
(11.18)
S
0 - Sj - S
2 11 - 2m - 2
Sj + St 111 + 1
Если уменьшение дисперсии статистически не отличается от необъясненной дисперсии, то построеннная F-статистика имеет распределение Фишера с числами степеней свободы Hj = m +1 и Н2 =по -2т-2. Здесь т - число количественных объясняющих переменных в уравнениях регрессии (т - одинаково для всех трех уравнений регрессии).
Тогда, если F
Ha6]I, рассчитанное по формуле (11.18), окажется при
выбранном уровне значимости а меньше соответствующей критической точки распределения Фишера F
Kp = F
6.
m+1.
n_
2m_
2, то считается,
что различие между So и Si + S2 статистически незначимо и нет смысла разбивать уравнение регрессии на части. В противном случае разбиение на подынтервалы целесообразно с точки зрения улучшения качества модели. Это фактически означает необходимость введения в уравнение регрессии соответствующей фиктивной переменной.
Отметим, что использование указанной F-статистики (теста Чоу) осуществляется достаточно просто. Однако оно менее информативно, нежели общий анализ сложной регрессии с фиктивными переменными, осуществляемый на базе t-статистик (с учетом вклада каждой фиктивной переменной), коэффициента детерминации и статистики Дарбина-Уотсона. Однако тест Чоу вполне достаточен, если требуется установить, что зависимости в подвыборках различаются.
11.4. Использование фиктивных переменных в сезонном анализе
Многие экономические показатели напрямую связаны с сезонными колебаниями. Например, спрос на туристические путевки, охлажденную воду и мороженое существенно выше летом, чем зимой. Спрос на обогреватели, шубы выше зимой. Некоторые показатели имеют существенные квартальные колебания и т. д.
Обычно сезонные колебания характерны для временных рядов. Устранение или нейтрализация сезонного фактора в таких моделях позволяет сконцентрироваться на других важных количественных и качественных характеристиках модели, в частности на общем направлении развития модели, так называемом тренде. Такое устранение сезонного фактора называется сезонной корректировкой. Существует несколько методов сезонной корректировки, одним из которых является метод фиктивных переменных.
Пусть переменная Y определяется количественной переменной X, причем эта зависимость существенно разнится по кварталам. Тогда общую модель в этой ситуации можно представить в виде:
Y
t = в
0 + BjX
t + Tj D
lt + г
2 D
2t + г
3 D
3t + e
t, (11.19)
|
где |  |
1, если рассматривается II квартал,
0, в противном случае.
1, если рассматривается III квартал,
0, в противном случае.

1, если рассматривается IV квартал, О, в противном случае.
Заметим, что число кварталов равно четырем, а следовательно число фиктивных переменных должно быть равно трем. В нашем примере в качестве базы выбран I квартал. Если значения Y существенно различаются по кварталам (сезонам), то в уравнении (11.19) коэффициенты при фиктивных переменных окажутся статистически значимыми. Тогда ожидаемое значение Y по кварталам определяется следующими соотношениями:
- для I квартала,
- для II квартала,
- для III квартала,
- для IV квартала.
M(Y I Dj = О, D
2 = О, D
3 = 0) = в
0 + BjX M(Y I Dj = 1, D
2 = 0, D
3 = 0) = (b
0 + Tj) + BjX M(Y I Dj = 0, D
2 = 1, D
3 = 0) = (b
0 +t
2) + BjX M(Y| Dj = 0,D
2 = 0,D
3 =1) = (b
0 + r
3) +BjX
Легко видеть, что в модели (11.19) рассматриваются такие ситуации, при которых квартальные различия отражаются лишь в различии свободных членов моделей. Если же различия затрагивают и изменения коэффициента пропорциональности, то это может быть отражено следующей моделью:
(11.20)
Y
t - в
0 +BjX
t + TjD
lt + r
2D
2t + r
3D
3t + + r
4D
ltX
t + r
5D
2tX
t + r
6D
3tX
t + e
t.
Выбор правильной формы модели регрессии является в данной ситуации достаточно серьезной проблемой, т. к. в этом случае вполне вероятны ошибки спецификации. Наиболее рациональной практической стратегией выбора модели является следующая схема.
Вначале рассматривается модель (11.20). Определяется статистическая значимость коэффициентов. Если дифференциальные угловые коэффициенты оказываются статистически незначимыми, то переходят к модели (11.19). Если в этой модели дифференциальные свободные члены оказываются статистически незначимыми, то делают вывод, что квартальные (сезонные) изменения несущественны для рассматриваемой зависимости.
11.5. Зависимая переменная фиктивна
Заметим, что иногда (хотя достаточно редко) фиктивные переменные могут быть использованы для объяснения поведения зависимой переменной. Например, если рассматривать следующую зависимость: наличие автомобиля в зависимости от дохода, пола субъекта и т. и., то зависимая переменная имеет как бы два возможных значения: 0, если машины нет, и 1, если машина есть.
Однако если для моделей данного типа использовать обыкновенный МНК, то оценки, получаемые с его помощью, не обладают свойствами наилучших линейных несмещенных оценок (BLUE). Поэтому для определения коэффициентов в этом случае используются другие методы.
11.5.1. Модель LPM
Рассмотрим модели, в которых зависимая переменная выражается в виде фиктивной (двоичной) переменной. Объясняющие переменные могут быть как количественными, так и качественными.
Например, анализируется наличие работы у субъекта в зависимости от возраста, образования, семейного положения, доходов остальных членов семьи нт. д. В этом случае зависимая переменная Yимеет два возможных состояния:
ГО, субъект не имеет работу,
[ 1, субъект имеет работу.
Или, например, при исследовании торгового баланса в качестве зависимой может быть использована следующая переменная:
ГО, если торговый баланс отрицательный,
[ 1, если торговый баланс не отрицательный.
Представим рассматриваемые модели в виде:
Y = в
0 ч-BjXj + ... + в
тХ
т + r
1D
1 +... + r
kD
k + е. (П-21)
Например, пусть Y - результат сдачи с первой попытки экзамена в ГАИ; Хі - количество часов вождения в автошколе; Х
2 - средний процент выпускников данной автошколы, сдающих экзамен в ГАИ с первой попытки; D
3 - использование компьютерной методики обучения. В этой ситуации
Г 0, экзамен не сдан с первой попытки,
[ 1, экзамен сдан с первой попытки.
Пусть 0 < Хі < 50 часов, 0 < Х
2 < 100 %,
ГО, компьютеры не использовались,
[ 1, компьютеры использовались.
Тогда получим следующую модель:
Y = в
0 + BjXj + в
2Х
2 + r
3D
3 + е. (11.22)
Модели вида (11.21) и (11.22) называются линейными вероятностными моделями (linear probability models^ (LPM-моделями). Суть этого названия поясним на простейшем примере данной модели:
Y = b
0 + в
тХ + е. (11.23)
При использовании модели (11.23) среднее ожидаемое значение Y (условное математическое ожидание Y) при X = х с учетом того, что М(еі) = 0, определяется соотношением M(Y|X = x) = b
0 +в
тх. С
другой стороны, М (YI х) = 0-P(Y = О | х) + 1P(Y = 1 | х) = P(Y = 11 х). Следовательно, из (11.23) имеем:
P(Y = 11 х) = Ро + Ріх. (11.24)
С учетом вышесказанного можно отметить, что применимость МНК к моделям LPM имеет определенные ограничения:
1. Случайные отклонения ?, в данных моделях не являются нормальными случайными величинами, а скорее всего, имеют биноминальное распределение.
Из (11.23) следует, что ^ = у
1 -в
0 -BjX; .
Но тогда
е, =1-в
0 -BjXj при у, = 1, e^-Bg-BjXj при уі = 0.
Правда, можно отметить, что невыполнимость предпосылки МНК о нормальном распределении случайных отклонений не столь существенна при определении оценок уравнения регрессии (они остаются несмещенными), но она достаточно важна при анализе проверок соответствующих гипотез. Однако с ростом объема выборки биноминальное распределение стремится к нормальному распределению.
2. Случайные отклонения не обладают свойством постоянства дисперсии (гомоскедаст ычност и).
Действительно,
D(e,) = М(е, - М(е, ))2 = М(е2) (т. к. М(е
1) = 0).
Б(е
1) = М(е
12) = (-в
0 -в
іХі)2 • Р(
Уі = 0) + (1-в
0 -в
іХі)2 • Р(
Уі = 1) =
= (-в
0-в
іХі)2-(1-Р(
Уі =1)) + (1-в
0-в
іХі)2-Р(
Уі=1) =
= (-в
0-в
1х
1)2 -(1-в
0 -в
іХі) + (1-в
0 -в
іХі)2 -(в
0 +в
іХі) =
= (в
0 +в
іХі)(1 -в
0 -в
іХі) = Р(
Уі = 1)(1 -Р(Уі = 1)).
Следовательно, D(s,) зависит от вероятностей соответствующих значений Y, которые в свою очередь зависят от выбранных значений X. Это означает, что дисперсии отклонений могут быть различными для различных наблюдений.
Однако данная проблема гетероскедастичности также преодолима (см. параграф 8.4).
3. Очевидно, использование формул (11.21) - (11.23) может привести к ситуации, когда некоторые у, будут либо меньше нуля, либо больше единицы.
Тогда мы получим противоречие с (11.24), т. к. О < P(Y = 1) < 1. Возможный вариант устранения данной проблемы рассматривается в следующем разделе.
4. Применение модели LPM весьма проблематично с содержательной точки зрения.
Действительно, увеличение в (11.23) значения переменной X на одну единицу приводит к изменению значения Y на величину Рі вне зависимости от конкретного значения X, что, безусловно, противоречит теоретическим и практическим выкладкам (например, закону убывающей эффективности нт. п.).
Все вышеперечисленное позволяет сделать вывод о том, что непосредственное использование МНК в модели LPM приводит к серьезным погрешностям и необоснованным выводам. Поэтому в данном случае его использование не рекомендуется.
11.5.2. Logit модель
Для преодоления недостатков LPM-моделей необходимо использовать такие модели, в которых не будут, по крайней мере, нарушаться неравенства 0 < Р(Y = 1 | х) < 1, и зависимость между Р(Y = 1 | х) и х не будет иметь линейный характер, а будет удовлетворять закону убывающей эффективности.
В качестве одного из вариантов преодоления недостатков модели LPM можно предложить logit модель. Поясним суть данной модели.
По модели LPM условная вероятность р
: = P(Y = 1 | х
х) выражалась формулой:
Рі = P(Y = 1| xi) = M(Y = 1|
Xi) = Po + Pix, (11.25)
Представим условную вероятность p, в следующем виде:
Pi = M(Y = 1| Xj) =
(11.26)
1 + e-(B
0+B
lXl)
1 + e-
где zj =b
0 + BjXj.
Из (11.26) нетрудно заметить, что при -оо< z, <+оо никогда не
нарушается следующее неравенство: 0 < рі <1. Кроме того, формула зависимости р, от х, не является линейной. С другой стороны, из (11.26) очевидно, что р, не является также линейной функцией и от параметров аир. Это означает, что для их определения неприменим МНК. Но эта проблема легко преодолима. Действительно,
1 - Рі =
(11.27)
1 + ez
Но тогда, разделив (11.26) на (11.27), имеем:
(11.28)
ez‘.
Р, _ 1 + eZl
1-р, 1 + e“Zl
P,
Отношение
является отношением вероятностен, характе
!-Рі
ризующим во сколько раз Р(у, =1) больше, чем Р(у, = 0).
Прологарифмировав левую и правую части (11.28), получим
(11.29)
In
= z
i=B
0+B
1x
1.
1-р
Модель (11.29) называется logit моделью. Она выражает логарифм от отношения вероятностей через линейную функцию. Если 0 < pj < 1, то -оо < Zi < +00 (т. е. при сохранении свойств вероятности указанный логарифм меняется от -оо до +оо).
Logit модель весьма напоминает полулогарифмическую модель, и создается впечатление, что для ее оценки может быть использован обыкновенный МНК. Однако это не так в силу того, что для этого необходимо знать значения зависимой переменной In—-—, которые
1-Р,
обычно неизвестны. Поэтому предварительно необходимо определить значения р
х. В случае, если имеется выборка сгруппированных данных, то в качестве р
х можно использовать ее оценку р, = — (относи-
п
тельную частоту). В случае несгруппированных данных для нахождения оценок Рі обычно используется метод максимального правдоподобия.
Опуская технику применения указанных расчетов, отметим, что использование обыкновенного МНК в данном случае нецелесообразно в силу проблемы гетероскедастичности. Поэтому при расчетах коэффициентов обычно используется взвешенный МНК, устраняющий указанный недостаток.
Вопросы для самопроверки
1. Что представляет собой фиктивная (двоичная, искусственная переменная)?
2. Каковы основные причины использования фиктивных переменных в регрессионных моделях?
3. Что представляют собой ANOVA-модели? Приведите примеры их использования.
4. Что представляют собой ANCOVA-модели? Приведите примеры их использования.
5. В чем суть основного правила использования фиктивных переменных?
6. В чем суть “ловушки фиктивной переменной”?
7. Каковы принципы использования фиктивной переменной в аддитивном и мультипликативном видах?
8. В чем суть теста Чоу?
9. Приведите примеры использования фиктивных переменных в сезонном анализе.
10. В каких ситуациях фиктивная переменная используется в качестве зависимой переменной?
11. Каковы основные достоинства и недостатки модели LPM?
12. В чем суть logit модели?
13. Определите, какие из следующих факторов отражаются в моделях через фиктивные переменные:
а) индекс потребительских цен;
б) образование;
в) вхождение в определенный торговый союз;
г) население стран, входящих в определенный торговый союз;
д) членство в Европейском Союзе;
е) принадлежность к определенной группе населения;
ж) налог на определенный вид торговых операций;
з) введение налога на определенную деятельность в конкретные периоды времени.
14. Пусть для некоторой отрасли оценена регрессионная модель Y = 5 + 2Х + 3D, где Y - заработная плата, X - стаж работы, D - фиктивная переменная, отражающая пол сотрудника (D = 0 - для женщин и D = 1 - для мужчин). Как изменится результат, если положить D = 1 - для женщин и D = 0 - для мужчин? Как изменится результат, если положить D = -1 - для женщин и D = 1 - для мужчин?
15. Пусть оценивается регрессия Y = Ро + РіХі + yD + в, где переменная D отражает пол сотрудника. Пусть процентное соотношение мужчин в выборке вдвое превышает процентное соотношение мужчин в генеральной совокупности. Необходимо ли вносить какие-либо коррективы в построенную модель? Если да, то какие?
16. Анализируется доход населения (Y) в зависимости от образования. Население классифицируется по трем группам: с начальным образованием (1), со средним образованием (2), с высшим образованием (3). Строится регрессия следующего вида: Y = Ро + YiDi + Y2D2 + s, где Dj = 0 - для лиц і-й группы, и Dj = = 1 - для всех других групп.
а) Какова величина ожидаемого дохода для лиц с высшим образованием?
б) Как можно проверить гипотезу о том, что наличие высшего образования повышает доход?
в) Будет ли с вашей точки зрения более предпочтительной по сравнению с предложенной моделью следующая модель Y = Ро + РіХі + s (где Хі -продолжительность обучения)? Ответ поясните.
г) Будет ли более точной по сравнению с предложенной модель
Y = Ро + YlDi + Y2D2 + Y3D3 + в (где D3 = О для лиц, имеющих высшее образование, и D3 = 1 - для лиц, не имеющих высшего образования)? Ответ поясните.
17. Пусть оценено эмпирическое уравнение регрессии:
Y = 16 + 10Х + 5DS + 3DE + 2DSE,
где Y - годовая заработная плата работника данной фирмы; X - стаж работы; DS, DE, DSE - фиктивные переменные (DS = 0 для женщин, DS = 1 для мужчин; DE = 0, если у субъекта нет высшего образования, DE = 1 при наличии у субъекта высшего образования; DSE = DS-DE).
а) Как будет выражаться значение Y при рассмотрении следующих вариантов: мужчины с высшим образованием, мужчины без высшего образования и женщины с высшим образованием?
б) Столкнемся ли мы при рассмотрении данной модели с проблемой мультиколлинеарности?
в) Как можно проинтерпретировать в данном случае коэффициент при DSE?
г) Будет ли обоснованным использование фиктивной переменной DSE для рассматриваемой зависимости?
18. Оценивается регрессионная модель зависимости спроса на товар (Q) от цены товара (Р) и дохода населения (I). Данная зависимость носит сезонный характер По квартальным данным за 15 лет строят следующую модель:
qt = Ро + Pipt + Ргй + Y1D1+ Y2D2 + Y3D3 + Y4D4 + s,
где Dj = 1 при рассмотрении і-го квартала, и Dj = 0 - в случае (j = 1, ..., 4).
а) Может ли эта модель быть оценена? Ответ поясните.
б) В случае отрицательного ответа на вопрос а) поясните, какие преобразования модели необходимо осуществить для нахождения однозначных оценок.
в) Какие переменные вы бы использовали, если бы сезонность выражалась соотношением “зима - лето”?
19. Предполагается, что ежемесячное потребление пива студентами определяется (линейно) доходом, возрастом, полом студентов, а также временем обучения “младшие курсы - старшие курсы”.
а) Сколько количественных и качественных объясняющих переменных должна включать модель?
б) Как должна выглядеть модель, чтобы отразить влияние качественных переменных на свободный член модели и на угловые коэффициенты?
в) Как проверить предположение о том, что пол студента существенно влияет на количество потребляемого пива?
20. Исследуется вопрос о владении собственным домом в зависимости от дохода семьи. Как будет в данном случае выглядеть модель, отражающая данную зависимость? Какими методами могут быть найдены оценки предложенной модели?
Упражнения и задачи
1. Пусть Y = Ро + YiD + в, где D - фиктивная переменная, отражающая пол субъекта исследований (D = 0 - для женщин, и D = 1 - для мужчин). Среднее значение переменной Y для 15 мужчин равно 5, для 25 женщин - 3 При этом известно, что дисперсия а (ві) = 64.
а) Определите оценки коэффициентов Ро и уц
б) Проверьте гипотезу о том, что уі = 1 (а = 0.05).
2. На предприятии используются станки трех фирм (А, В, С). Исследуется надежность этих станков. При этом учитываются возраст станка (М, в месяцах) и время (Н, в часах) безаварийной работы до последней поломки. Выборка из 40 станков дала следующие результаты:
|
Фирма |
А |
В |
С |
А |
С |
А |
В |
с |
В |
А |
В |
с |
С |
В |
А |
А |
С |
В |
А |
А |
|
М |
23 |
30 |
65 |
69 |
75 |
63 |
25 |
75 |
75 |
52 |
20 |
70 |
62 |
40 |
66 |
20 |
39 |
25 |
48 |
59 |
|
н |
280 |
230 |
112 |
176 |
90 |
176 |
216 |
ПО |
45 |
200 |
265 |
148 |
150 |
176 |
123 |
245 |
176 |
260 |
236 205 |
|
Фирма |
А |
В |
А |
С |
В |
А |
С |
в |
А |
В |
В |
С |
А |
В |
А |
С |
В |
А |
В |
А |
|
М |
25 |
69 |
71 |
26 |
45 |
40 |
30 |
69 |
30 |
22 |
33 |
48 |
75 |
21 |
56 |
58 |
50 |
37 |
56 |
67 |
|
н |
240 |
65 |
115 |
200 |
126 |
225 210 |
45 |
260 220 194 156 100 240 170 116 120 240 88 120 |
а) Оцените уравнение регрессии Н = Ро + РіМ + s без учета различия станков разных фирм.
б) Оцените уравнение регрессии, учитывающее различие качества станков разных фирм. Как выглядит это уравнение?
в) Сравните качества построенных моделей.
г) Постройте корреляционное поле и нанесите на него графики функций.
д) Сделайте выводы о необходимости использования фиктивных переменных в этом случае.
3. Производитель исследует эффективность лекарств (EF) от возраста пациентов (AG), при этом он сравнивает эффективность трех видов лекарств (А, В, С). Имеются данные по 36 пациентам:
|
ВИД |
С |
А |
В |
А |
В |
В |
А |
С |
С |
А |
С |
А |
А |
В |
С |
В |
С |
А |
|
AG |
29 |
53 |
29 |
58 |
66 |
67 |
63 |
59 |
51 |
67 |
63 |
33 |
33 |
42 |
67 |
33 |
23 |
28 |
|
EF |
36 |
69 |
47 |
73 |
64 |
60 |
62 |
71 |
62 |
70 |
71 |
52 |
63 |
48 |
71 |
46 |
25 |
55 |
|
ВИД |
С |
В |
В |
А |
С |
С |
В |
А |
С |
В |
С |
А |
в |
В |
С |
А |
А |
В |
|
AG |
19 |
30 |
23 |
21 |
56 |
45 |
43 |
38 |
37 |
43 |
27 |
43 |
45 |
48 |
47 |
48 |
53 |
58 |
|
EF |
28 |
40 |
41 |
56 |
62 |
50 |
45 |
58 |
46 |
58 |
34 |
65 |
55 |
57 |
59 |
64 |
61 |
62 |
а) Постройте корреляционное поле для переменных AG и EF, отображая точки, соответствующие различным видам лекарств, разными символами.
б) Оцените уравнение регрессии EF = (Зо + Pi AG + s. Что оно отражает?
в) Оцените качество построенной регрессии.
г) Оцените уравнение регрессии EF = Ро + PlAG + yiDi+ Y2D2 + s, где Di, D
2 -фиктивные переменные, отражающие наличие лекарств трех видов. Дайте интерпретацию построенной регрессии.
д) Оцените качество построенной регрессии.
е) Оцените уравнение регрессии
EF = Ро + PiAG + Y1D1+ Y2D2 + AG-Di +А2 AG-D2 + s.
ж) Дайте интерпретацию построенного уравнения. Что выражается через произведения переменных AG-Di и AGD2?
з) Оцените качество построенной регрессии.
и) Какая из моделей, с вашей точки зрения, предпочтительнее для выражения исследуемой зависимости и почему?
4. Рассматривая зависимость между доходом (X) и сбережениями (Y) за двадцать лет, исследователь заметил, что на двенадцатом году наблюдений экономическая ситуация изменилась, что стимулировало население к большим сбережениям по сравнению с первым этапом рассматриваемого интервала. Использовались следующие статистические данные:
|
Год |
75 |
76 |
77 |
78 |
79 |
80 |
81 |
82 |
83 |
84 |
85 |
|
X |
100 |
105 |
108 |
111 |
115 |
122 |
128 |
135 |
143 |
142 |
147 |
|
Y |
4.7 |
6.1 |
6.5 |
6.8 |
5.2 |
6.5 |
7.5 |
8.0 |
9.0 |
9.1 |
8.7 |
|
Год |
86 |
87 |
88 |
89 |
90 |
91 |
92 |
93 |
94 |
|
|
|
X |
155 |
167 |
177 |
188 |
195 |
210 |
226 |
238 |
255 |
|
|
|
Y |
12.0 |
16.2 |
18.5 |
18.0 |
17.6 |
20.0 |
23.0 |
22.5 |
24.3 |
|
|
а) Постройте общее уравнение регрессии для всего интервала наблюдений, а также уравнение регрессии, учитывающее изменение ситуации в 1986 г.
б) Каким образом вы учли в модели данное изменение?
в) Проверьте с помощью теста Чоу необходимость разбиения интервала наблюдений на два подынтервала и построения для каждого из них отдельного уравнения (принять уровень значимости а = 0.05).
5. При анализе зависимости заработной платы (S) 70 сотрудников фирмы (45 мужчин и 25 женщин) от стажа работы (Т) на фирме получены следующие регрессионные модели:
|
t = |
(5.23) |
(9.35) |
R2 = 0.63 |
DW = 0.17 |
|
S = |
30 + |
0.092 T + 25 D |
|
|
|
t = |
(4.63) |
(4.3) (6.23) |
R2 = 0.72 |
DW = 1.06 |
|
s = |
25 + |
0.078 T + 32 D + 0.07(TD) |
|
|
|
t = |
(3.07) |
(3.73) (2.93) (1.98) |
R =0.912 |
DW = 1.83, |
1. S = 50 + 0.12Т
где D - фиктивная переменная, отражающая пол сотрудника.
а) Какая из регрессий (1 или 2), с вашей точки зрения, более рациональна?
б) Какие ошибки при выборе регрессии 1 допускаются?
в) Какая из регрессий (2 или 3), с вашей точки зрения, более рациональна?
г) Объясните смысл каждого из коэффициентов в уравнении 3.
6. Исследуется вопрос о наличии собственного дома (Y = 1, если дом имеется; Y = 0, если дома нет) в зависимости от совокупного дохода семьи (X). Выборка из 40 семей дала следующие результаты:
|
Семья |
1 |
2 |
3 |
4 |
5 |
6 |
7 |
8 |
9 |
10 |
11 |
12 |
13 |
14 |
15 |
16 |
17 |
18 |
19 |
20 |
|
X |
10 |
20 |
22 |
18 |
9 |
15 |
25 |
30 |
40 |
16 |
12 |
8 |
20 |
19 |
30 |
50 |
37 |
28 |
45 |
38 |
|
Y |
0 |
1 |
1 |
0 |
0 |
0 |
1 |
1 |
1 |
0 |
0 |
0 |
1 |
0 |
1 |
1 |
1 |
1 |
1 |
1 |
|
Семья |
21 |
22 |
23 |
24 |
25 |
26 |
27 |
28 |
29 |
30 |
31 |
32 |
33 |
34 |
35 |
36 |
37 |
38 |
39 |
40 |
|
X |
30 |
12 |
16 |
27 |
19 |
15 |
32 |
18 |
43 |
13 |
22 |
14 |
10 |
17 |
36 |
45 |
14 |
22 |
41 |
34 |
|
Y |
1 |
0 |
0 |
1 |
0 |
0 |
1 |
0 |
1 |
0 |
1 |
0 |
0 |
0 |
1 |
1 |
0 |
1 |
1 |
1 |
а) Постройте LPM-модель.
б) Оцените качество построенной модели.
в) Оцените вероятность того, что при доходе, равном 18, семья имеет дом.
7. В следующей таблице представлены данные о количестве семей (N), имеющих определенный уровень дохода (X), и количестве семей (п), имеющих частные дома.
|
X |
10 |
15 |
20 |
25 |
30 |
35 |
40 |
45 |
50 |
55 |
60 |
|
Ni |
35 |
45 |
60 |
80 |
100 |
130 |
90 |
65 |
50 |
30 |
15 |
|
Пі |
5 |
10 |
18 |
30 |
45 |
60 |
55 |
45 |
38 |
24 |
13 |
а) Оцените logit модель по МНК.
б) Оцените logit модель по ВНК, учитывая при этом, что дисперсии отклонений оцениваются по следующей формуле: у2 = —-—-—-—; р. = .
NiPi(l-Pi) Nj
в) Сравните качество построенных регрессий.
г) Сделайте выводы по построенным моделям.
ДИНАМИЧЕСКИЕ МОДЕЛИ
12.1. Временные ряды. Лаги в экономических моделях
При анализе многих экономических показателей (особенно в макроэкономике) зачастую используют ежегодные, ежеквартальные, ежемесячные, ежедневные данные. Например, это могут быть годовые данные по ВНП, ВВП, объему чистого экспорта, инфляции нт. д., месячные данные по объему продажи продукции, ежедневные объемы выпуска какой-либо фирмы. Для рационального анализа необходимо систематизировать моменты получения соответствующих статистических данных.
В этом случае следует упорядочить данные по времени их получения и построить так называемые временные ряды.
Пусть исследуется показатель Y. Его значение в текущий момент (период) времени t обозначают y
t; значения Y в последующие моменты обозначаются y
t+i, y
t+2, ... , yt+k, •••; значения Y в предыдущие моменты обозначаются y
t_i, y
t-2, •••, yt-k,
Нетрудно понять, что при изучении зависимостей между такими показателями либо при анализе их развития во времени в качестве объясняющих переменных используются не только текущие значения переменных, но и некоторые предыдущие по времени значения, а также само время Т. Модели данного типа называют динамическими.
В свою очередь переменные, влияние которых характеризуется определенным запаздыванием, называются лаговыми переменными.
Обычно динамические модели подразделяют на два класса.
1. Модели с лагами (модели с распределенными лагами) - это модели, содержащие в качестве лаговых переменных лишь независимые (объясняющие) переменные. Примером является модель (12.1):
y
t= а + p
0x
t + PiXt-i + ... + p
kxt-k + s
t. (12.1)
2. Авторегрессионные модели - это модели, уравнения которых в качестве лаговых объясняющих переменных включают значения зависимых переменных. Примером является модель (12.2):
y
t = a + p-xt+y-yt-i + st. (12.2)
В эконометрическом анализе динамические модели используются достаточно широко. Это вполне естественно, так как во многих случаях воздействия одних экономических факторов на другие осуществляется не мгновенно, а с некоторым временным запаздыванием - лагом.
Причин наличия лагов в экономике достаточно много, и среди них можно выделить следующие.
Психологические причины, которые обычно выражаются через инерцию в поведении людей. Например, люди тратят свой доход постепенно, а не мгновенно. Привычка к определенному образу жизни приводит к тому, что люди приобретают те же блага в течение некоторого времени даже после падения их реального дохода.
Технологические причины. Например, изобретение персональных компьютеров не привело к мгновенному вытеснению ими больших ЭВМ в силу необходимости замены соответствующего программного обеспечения, которое потребовало продолжительного времени.
Институциональные причины. Например, контракты между фирмами, трудовые договоры требуют определенного постоянства в течение времени контракта (договора).
Механизмы формирования экономических показателей. Например, инфляция во многом является инерционным процессом; денежный мультипликатор (создание денег в банковской системе) также проявляет себя на определенном временном интервале и т. д.
12.2. Оценка моделей с лагами в независимых переменных
Оценка модели с распределенными лагами во многом зависит от того, конечное (12.1) или бесконечное число лагов она содержит.
y
t = а + p
0-x
t + Pi-xt-i + ... + p
k-x
t_k+ s
t,
y
t = а + po-xt + PrXt-i + p
2-x
t_2 + ... + s
t. (12.3)
Отметим, что в обеих этих моделях коэффициент Ро называют краткосрочным мультипликатором, так как он характеризует изменение среднего значения Y под воздействием единичного изменения переменной X в тот же самый момент времени.
Сумму всех коэффициентов Хв, называют долгосрочным мулъ-
j
типликатором, так как она характеризует изменение Y под воздействием единичного изменения переменной X в каждом из рассматриваемых временных периодов.
h
Любую сумму коэффициентов XB,(h < к) называют промежу-
,і=0 •
точным мультипликатором.
Модель с конечным числом лагов (12.1) оценивается достаточно просто сведением ее к уравнению множественной регрессии. В этом
случае полагают Xo=x
t, X* = x
t_i, • ••, X^=x
t_k и получают уравнение:
y
t = а + РоХ; + р! х; + ... + p
kx; + s
t. (12.4)
Для оценки моделей с бесконечным числом лагов разработано несколько методов.
12.2.1. Метод последователъного увеличения количества лагов По данному методу уравнения (12.3) рекомендуется оценивать с последовательно увеличивающимся количеством лагов. Признаков завершения процедуры увеличения количества лагов может быть несколько.
• При добавлении нового лага какой-либо коэффициент регрессии р
к при переменной x
t_
k меняет знак. Тогда в уравнении регрессии оставляют переменные x
t, x
t_i, ..., x
t_
k+i, коэффициенты при которых знак не поменяли.
• При добавлении нового лага коэффициент регрессии р
к при переменной x
t_
k становится статистически незначимым. Очевидно, что в уравнении будут использоваться только переменные x
t, x
t_i, ..., Xt-
k+i, коэффициенты при которых остаются статистически значимыми.
Однако применение этого метода весьма ограничено в силу постоянно уменьшающегося числа степеней свободы, сопровождающегося увеличением стандартных ошибок и ухудшением качества оценок, а также возможности мультиколлинеарности. Кроме этого, при неправильном определении количества лагов возможны ошибки спецификации.
12.2.2. Преобразование Койка (метод геометрической прогрессии) В распределении Койка предполагается, что коэффициенты (известные как “веса”) р
к при лаговых значениях объясняющей переменной убывают в геометрической прогрессии:
Pt = РсДЧ к = 0,1,..., (12.5)
где 0 < X < 1 характеризует скорость убывания коэффициентов с увеличением лага (с удалением от момента анализа). Такое предположение достаточно логично, если считать, что влияние прошлых значений объясняющих переменных на текущее значение зависимой переменной будет тем меньше, чем дальше по времени эти показатели имели место.
В данном случае уравнение (12.3) преобразуется в уравнение
(12.6):
y
t = а + p
0x
t + PoAxt-i + Po^2Xt-2 + ... + s
t. (12.6)
Параметры данного уравнения а, р
0, X можно определять различными способами. Например, достаточно популярен следующий метод. Параметру X присваиваются последовательно все значения из интервала [0, 1] с произвольным фиксированным шагом (например, 0.01; 0.001; 0.0001). Для каждого X рассчитывается
z
t = x
t + A,x
t_i + X2x
t-i + ^3Xt-s + ... + Xpx
t_
p. (12.7)
Значение p определяется из условия, что при дальнейшем добавлении лаговых значений х величина z
t изменяется менее любого ранее заданного числа.
Далее оценивается уравнение регрессии
yt = а + p
0z
t + s
t. (12.8)
Из всех возможных значений X выбирается то, при котором коэффициент детерминации R2 для уравнения (12.8) будет наибольшим. Найденные при этом параметры а, Ро и X подставляются в (12.6). Возможности современных компьютеров позволяют провести указанные расчеты за приемлемое время.
Однако более распространенной является схема вычислений на основе преобразования Койка.
Вычитая из уравнения (12.6) такое же уравнение, но умноженное на X и вычисленное для предыдущего периода времени (t - 1)
X y
t_i= Ха + РсД x
t_i + Р(А?і + ... +Xs
t_i, (12.9) получим следующее уравнение:
yt - Ay
t-1 = (1 - Х)а + p
0Xt + (s
t - Xst-i) =>
y
t = (1 - Х)а + p
0x
t + Ay
t_i + u
t, (12.10)
где D
t = s
t - A,St-i - скользящая средняя между s
t и s
t_i.
Преобразование уравнения (12.3) по данному методу в уравнение (12.10) называется преобразованием Койка.
Отметим, что с помощью указанного преобразования уравнение с бесконечным числом лагов (с убывающими по степенному закону коэффициентами) преобразовано в авторегрессионное уравнение (12.10), для которого требуется оценить лишь три коэффициента: X, а, Ро- Это, кроме всего прочего, снимает одну из острых проблем моделей с лагами - проблему мультиколлинеарности.
Модель (12.10) позволяют анализировать краткосрочные и долгосрочные свойства переменных. В краткосрочном периоде значение y
t-i можно рассматривать как фиксированное и краткосрочный мультипликатор считается равным Ро. Долгосрочный мультипликатор вычисляется по формуле суммы бесконечно убывающей геометрической прогрессии. Если предположить, что в долгосрочном периоде x
t стремится к некоторому своему равновесному значению х , то значения y
t
* гтч
и y
t_i также стремятся к своему равновесному значению у . Тогда
(12.10) без учета случайного отклонения примет вид:
у* = (1 — А,)а + р
0х* + Ау*. (12.11)
Следовательно,
* R ,
Л *
у =а+—-—х. (12.12)
(1-л)
Нетрудно заметить, что по формуле суммы бесконечно убывающей геометрической прогрессии —^— = Ро + РоА + РоА2 + РоА3 + ...
(1-л)
полученная дробь является долгосрочным мультипликатором, который отражает долгосрочное воздействие X на Y. При 0 < X < 1 долгосрочное воздействие будет сильнее краткосрочного (т. к. ——— > р
0).
(1-л)
При применении преобразования Койка возможны следующие проблемы:
• Среди объясняющих переменных появляется переменная y
t_i, которая, в принципе, носит случайный характер, что нарушает одну из предпосылок МНК. Кроме того, данная объясняющая переменная, скорее всего, коррелирует со случайным отклонением и
(.
• Если для случайных отклонений s
t, s
t-i исходной модели выполняется предпосылка 3° МНК, то для случайных отклонений и
ь очевидно, имеет место автокорреляция. Для ее анализа вместо обычной статистики DW Дарбина-Уотсона необходимо использовать h-статистику Дарбина (см. раздел 9.3.3).
• При указанных выше проблемах оценки, полученные по МНК, являются смещенными и несостоятельными.
12.3. Авторегрессионные модели
Приведем два важных примера авторегрессионных моделей в экономике: модель адаптивных ожиданий и модель частичной корректировки. Несложно будет заметить, что обе эти модели можно также отнести к семейству моделей Койка.
12.3.1. Модель адаптивных ожиданий
Тот факт, что ожидания играют весьма существенную роль в экономической активности, в известной мере затрудняет и моделирование соответствующих экономических процессов, и осуществление на их базе точных прогнозов развития экономики. Особенно серьезно данная проблема стоит на макроэкономическом уровне. Например, прогнозирование объема инвестиций только на основе процентной ставки не позволяет получить удовлетворительный прогноз. Для стимулирования деловой активности весьма серьезную роль играет экономическая политика государства, на основе которой потенциальные инвесторы принимают свои решения. В частности, политика, направленная на обеспечение полной занятости, вполне обоснованно рассматривается как стимулирование инфляции, что подрывает доверие бизнесменов и снижает объемы инвестиций. В силу качественной специфики фактора “ожидания” его измерение и моделирование является весьма сложной и до сих пор не имеющей удовлетворительного решения задачей.
Одним из направлений решения рассматриваемой задачи является модель (процесс) адаптивных ожиданий. В данной модели происходит постоянная корректировка ожиданий на основе получаемой информации о реализации исследуемого показателя. Если реальное значение показателя оказалось больше ожидаемого, то ожидаемое в следующем периоде значение корректируется в сторону увеличения. В противном случае - наоборот. При этом величина корректировки должна быть пропорциональна разности между реальным и ожидаемым значениями.
В данной модели в уравнение регрессии в качестве объясняющей переменной вместо текущего значения x
t входит ожидаемое (долгосрочное) значение x
t*:
y
t = а + Px
t* + s
t. (12.13)
Так как ожидаемые значения не являются фактически существующими, выдвигается предположение, что эти значения связаны следующим соотношением:
=r(x
t-
x;_
1). (12.14)
Именно модель (12.14) известна как модель адаптивных ожиданий. Коэффициент 0 < у < 1 называется коэффициентом ожидания. Иногда модель (12.14) называют моделью обучения на ошибках, т. к. ожидания экономических объектов в этом случае складываются из прошлых ожиданий, скорректированных на величину ошибки в ожиданиях, допущенных в предыдущем периоде времени. Иногда в модели (12.14) вместо текущего значения x
t используют предыдущее x
t_i:
X* -xJLj =г(х
м -Х*
ч). (12.15)
Уравнение (12.14) можно переписать в виде
х* = г x
t + (1 - r)x*_j. (12.16)
Из (12.16) видно, что ожидаемое значение x
t* является взвешенным средним между текущим значением x
t и его ожидаемым значением в предыдущий период с весами у и (1 - у) соответственно. Если у = = 0, то ожидания являются неизменными (статичными): x
t* = х*
ч. Если у = 1, то x
t* = x
t, что означает мгновенно реализуемые ожидания.
Подставив соотношение (12.16) в (12.13), получим:
y
t = б + в( г x
t + (1 - r)x*_j) + e
t. (12.17)
Вычитая из (12.17) аналогичное уравнение для y
t_
b умноженное на (1 - у), получим:
Yt -(1-г)Ум =r6 + TBx
t+(e
t-(l-r)e
t_
1). =>
y
t = гб + гв x
t + (1 — r)y
t_j +x
t, (12.18)
где u
t=St-(l -y)st-i-
Из (12.13) очевидно, что коэффициент Р определяет величину изменения в среднем текущего значения y
t при изменении ожидаемого значения x
t* на единицу. По уравнению (12.18) при изменении текущего значения x
t на единицу значение y
t меняется в среднем на Ру. Эти коэффициенты пропорциональности будут равны лишь при у = 1, т. е. когда текущее и ожидаемое в долгосрочном периоде значения СВ X совпадают (x
t* = x
t).
На практике при оценивании параметров авторегрессионного уравнения (12.18) вначале оценивается параметр у (коэффициент при
лаговом значении у), а затем коэффициент при x
t (в =—) и свобод-
г
бг
ный член (б = —).
г
Заметим, что уравнение (12.18) по форме аналогично уравнению
(12.10) из преобразования Койка.
Этот же вывод можно обосновать, если предположить, что зависимая переменная y
t в текущий момент времени связана с ожидаемым
в следующий период времени значением х^
+1 объясняющей переменной соотношением
y
t = б+ вх*
+1 + e
t. (12.19)
В этом случае желательно выразить y
t через реальные текущие и предыдущие значения объясняющей переменной X. Для этого можно воспользоваться соотношением, аналогичным (12.16), предположив, что ожидаемое в следующий период времени значение переменной определяется как взвешенное среднее ее реального и ожидаемого значений в текущий период времени:
х|
+1 =rx
t +(1-г)х*. (12.20)
Воспользовавшись этим же соотношением для ожидаемого значения х*, получим:
x;
+1 = rx
t+(i-r)[rx
t_
1+(i-r)x;_
1] =
= г x
t + г(1 - r)x
t_j + (1 - г fxl,.
Продолжив процедуру использования соотношения (12.16) для x*_j, затем для x*
t_
2 и так до бесконечности, получим:
xt*+i = r[xt + (1 - r)xt-i + (1 - О2 xt-2 + ¦] • (12.21)
Подставив полученное х*
+1 в (12.19), имеем:
y
t = 6+Br[x
t +(l-r)x
t_j + (1-г)2 х*_2 + ...] +e
t. (12.22)
Обозначив Ру через Ро и (1 - у) через X, получаем соотношение
(І2.6):
y
t = а + p
0-x
t + PoXxt_i + Po^2x
t_2 + ... + s
t,
к которому можно применить преобразование Койка.
Модель адаптивных ожиданий может использоваться при анализе зависимости потребления от дохода, спроса на деньги либо инвестиций от процентной ставки и в других ситуациях, где экономические показатели оказываются чувствительными к ожиданиям относительно будущего.
12.3.2. Модель частичной корректировки
В модели частичной корректировки (модели акселератора) в
уравнение регрессии в качестве зависимой переменной входит не фактическое значение y
t, а желаемое (долгосрочное) значение y
t*:
y
t* = а + Px
t + s
t. (12.23)
Так как гипотетическое значение y
t* не является фактически существующим, то относительно его выдвигается предположение час-тичной корректировки:
y
t - yt-1 = Ч y
t* - y
t-i), (12.24)
по которому фактическое приращение зависимой переменной y
t - y
t-i пропорционально разнице между ее желаемым значением и значением в предыдущий период y
t*- y
t-i. О < X < 1 - коэффициент корректировки. Уравнение (12.24) преобразуется к следующему виду:
y
t = Xy
t* + (l-X)Yt-i. (12.25)
Подставив (12.23) в (12.25), получим следующую модель
y
t = Ха + Хр x
t + (1 - X)y
t_i + Xs
t, (12.26)
которая называется моделью частичной корректировки. Из (12.25) видно, что текущее значение y
t является взвешенным средним желаемого уровня y
t* и фактического значения данной переменной в предыдущий период. Чем больше X, тем быстрее идет корректировка. При X = 1 полная корректировка происходит за один период. При X = О корректировка не происходит вовсе.
Таким образом, в уравнении (12.23) определяется долгосрочное (желаемое) значение у* переменной Y (иногда под у* понимается равновесное значение). Можно сказать, что в уравнении (12.26) определяется краткосрочное значение y
t переменной Y, которое далеко не всегда совпадает с долгосрочным. Однако, определив коэффициенты регрессии уравнения (12.26) (вначале X, стоящее при y
t_i, затем лв лб.
в = — и а = —), мы тем самым оцениваем параметры уравнения л л
(12.23). Модель частичной корректировки наглядно можно проинтерпретировать следующим рисунком:
 |
|
Рис. 12.1 |
В данном примере уі - начальное значение Y, у* - желаемое значение Y, X = 0.5. Следовательно, экономический агент предполагает в каждом периоде сокращать разрыв между текущим и желаемым значениями наполовину.
Модель частичной корректировки (12.26) аналогична модели Койка (12.10). Она также включает в себя случайную объясняющую переменную y
t_i. Но в данной модели эта переменная не коррелирует с текущим значением случайного отклонения s
t (т. к. s
t рассчитывается после того, как определилось значение y
t_i). В этом случае МНК позволяет получить асимптотически несмещенные и эффективные оценки.
В качестве примера использования данной модели можно привести следующий: Y - запас капитала, X - выпуск. Тогда по формуле (12.24): I
t = y
t - yt-i = A,(y
t*- yt-i) - инвестиции в период t пропорциональны отклонению желаемого запаса капитала от фактического запаса капитала в предыдущем периоде.
12.3.3. Смешанная модел ъ
В данной модели в качестве объясняющей и зависимой переменных рассматриваются их желаемые (долгосрочные) значения:
y
t* = a + p-x
t* + s
t. (12.27)
Например, y
t* - желаемый запас капитала в момент времени t; x
t*-ожидаемый выпуск в момент времени t. Либо y
t* - долгосрочное потребление, x
t* - долгосрочный доход.
Так как y
t* и x
t* не являются фактически существующими, то для расчета х
(*может быть предложена модель адаптивных ожиданий, а для расчета y
t* - модель частичной корректировки. Это позволяет получить следующее соотношение:
yt = аХу + Pty X
t + [(1 - y) + (1 - X)] yt-1 -- (1 - A,)(l - Y)y
t-2 + IM “ К1 - Y)st-i] =>
y
t = a
0 + aix
t + a
2y
t-i + a
3y
t-2 + o
t, (12.28)
где a
0 = ctXy, ai = p^Y, a
2 = (1 - y) + (1 - A,), a
3 = - (1 - A,)(l - y), ut = Xet - A,(l - Y)st-i-
Данная модель также относится к классу авторегрессионных моделей, но в отличие от предыдущих в ней появилось дополнительное слагаемое, связанное с y
t_
2.
12.4. Полиномиально распределенные лаги Алмон
При использовании преобразования Койка для уравнения (12.1) на коэффициенты регрессии накладываются достаточно жесткие ограничения. Предполагается, что “веса” коэффициентов при лаговых переменных убывают в геометрической прогрессии. В ряде случаев такое предположение весьма уместно, но в некоторых других оно не выполняется. Встречаются случаи, когда значения лаговой объясняющей переменной за 3-4 периода от момента наблюдения оказывают на зависимую переменную большее влияние, чем текущее или предшествующее ему значение объясняющей переменной (р
3, р
4 > р
0, Рі). Распределенные лаги Алмон позволяют достаточно гибко моделировать такие изменения.
В основе модели Алмон лежит предположение, что “веса” коэффициентов Рі в модели (12.1) могут аппроксимироваться полиномами определенной степени от величины лага і:
Рі = ао + ад + а
2і2 + ... + a
mim. (12.29)
Это позволяет, например, отразить ситуации, изображенные на рис. 12.2.
 |
а б в
Рис. 12.2 |
Например, на рис. 12.2, а, б это может быть квадратичная зависимость:
Рі = ао + ар + а
2і2. (12.30)
На рис. 12.2, в это может быть полином третьей либо четвертой степени.
Рі = а
0 + ар + а
2і2 + а
3і3, (12.31)
Pi = а
0 + ар + a
2i2 + a
3i3 + a
4i4. (12.32)
Для простоты изложения схемы Алмон положим, что Рі подчиняется зависимости (12.30). Тогда (12.1) может быть представлено в виде:
y
t = a+ Х(а
0 +a
1i + a
0i2)x
t_
1+ s
t =
i=0
= а + a
0Xx
t_; + a
1Xi-x
t_
i+ a
2Si2 -x^ + et. (12.33)
Положив z
t0 = a
0 Xx
t_i , Z
tl =a
1Ii-x
t_
i, z
t2 = a
2 ?i -х
м , име-
ем:
y
t = а + aoz
to + aiz
t] + a
2z
t2 + s
t. (12.34)
Значения а, а
0, а
ь a
2 могут быть определены по МНК. При этом случайные отклонения s
t удовлетворяют предпосылкам МНК. Коэффициенты р, определяются из соотношения (12.30).
Отметим, что для применения схемы Алмон необходимо вначале определиться с количеством лагов к. Обычно это количество находится подбором, начиная с “разумного” максимального, постепенно его уменьшая. После определения к необходимо подобрать степень ш полинома (12.29). Обычно здесь используется следующее правило: степень полинома должна быть, по крайней мере, на единицу больше количества точек “экстремума” (точек, разделяющих интервалы возрастания и убывания) в зависимости р
: = P(t - і). Однако с ростом степени полинома повышается риск наличия неучтенной мультиколлинеарности в силу специфики построения z
tl. Это увеличивает стандартные ошибки коэффициентов а, в соотношениях, аналогичных (12.34).
12.5. Оценка авторегрессионных моделей
Вышеизложенные авторегрессионные модели фактически имеют следующий вид:
Уі = Ро + PiXt + yyt-1 + u
t. (12.35)
Чаще всего (особенно на начальном этапе) такие модели оцениваются с помощью МНК. Однако во многих случаях применение классического МНК для (12.35) дает неудовлетворительные результаты. Обычно это происходит по двум причинам, которые отмечались ранее:
• существует возможность наличия автокорреляции между случайными отклонениями o
t (M(o
t-Ut-i) ф 0);
• существует корреляция между объясняющей переменной y
t_i и случайным членом ід.
В этом случае оценки коэффициентов, полученные при прямом применении МНК, являются смещенными и несостоятельными.
Одним из наиболее распространенных методов оценивания авторегрессионных уравнений, позволяющих сгладить второй недостаток, является метод инструментальных переменных. Основная идея этого метода состоит в том, чтобы переменную y
t_i из первой части (12.35), коррелирующую с u
t, заменить так называемой инструментальной переменной, близкую по своим свойствам к y
t_i, но не коррелирующую с отклонением o
t.
Подбор инструментальной переменной не всегда является простой задачей и во многом зависит от практической ситуации. В частности, в качестве инструментальной переменной можно предложить оценку y
t_i, которая получается в результате регрессии переменной Y на независимые переменные Xj, входящие в первоначальную авторегрессионную модель. Такая замена, однако, может привести к появлению мультиколлинеарности.
12.6. Проблема автокорреляции остатков. Обнаружение и устранение
Как отмечалось в разделе 9.3.3, автокорреляцию в авторегрессионных моделях практически невозможно определить с помощью статистики DW Дарбина-Уотсона, т. к. для этих моделей значение DW даже при наличии автокорреляции близко к 2, что по критерию Дарбина-Уотсона равносильно отсутствию автокорреляции.
Для обнаружения автокорреляции в авторегрессионных моделях Дарбин предложил использовать h-статистику, имеющую вид:
(12.36)
il-nD(g)’
где п - объем выборки; D(g) - дисперсия оценки коэффициента у при лаговой переменной y
t_i; с - оценка коэффициента автокорреляции первого порядка, которую можно определить на основе формулы DW
(9.2): с ~ 1 — — . В разделе 9.3.3 приведена схема использования
данной статистики для анализа автокорреляции. Отметим лишь следующие особенности ее использования:
• вне зависимости от того, сколько лагов переменной Y включено в модель, значение h необходимо вычислять с использованием дисперсии коэффициента при y
t_i;
• статистика h не вычисляется, если nD(g) > 1. Но на практике такие ситуации практически не встречаются.
• применение h целесообразно лишь при достаточно большом объеме выборки п.
Как отмечалось ранее, автокорреляция остатков приводит к получению смещенных и несостоятельных оценок. Автокорреляция может указывать либо на неверную спецификацию уравнения, либо на наличие важных неучтенных факторов. Но зачастую автокорреляция вызывается наличием регрессионной зависимости между отклонениями, т. е. внутренними свойствами ряда {ід}. Существует несколько способов устранения данной проблемы. В частности, для авторегрессионных моделей предлагается авторегрессионное преобразование, преобразование методом скользящих средних, модели ARMA и ARIMA.
12.6.1. Авторегрессионное преобразование (AR)
Пусть Y - исследуемая величина, и ее изменение можно описать с помощью модели
(y
t - m) = ai(y
t_i - ill) + u
t, (12.37)
где m - среднее значение Y, u
t - некоррелированные случайные отклонения с нулевым математическим ожиданием и постоянной дис-персиеи а (такие отклонения при рассмотрении временных рядов иногда называют белым шумом). Преобразование (12.37) в этом случае называют авторегрессионным преобразованием первого порядка AR(1). При этом значение y
t переменной Y в момент времени t пропорционально ее же значению y
t_i в момент времени (t - 1) плюс некоторое случайное отклонение.
По аналогии
(yt - ill) = ai(y
t_i - ill) + a
2(y
t-2 - in) + u
t (12.38)
называется авторегрессионным преобразованием второго порядка AR(2).
(yt-m) = ai(y
t_i -m) + a
2(y
t-2 - m) + ... + a
p(y
t-
p - m) + u
t (12.39) называется авторегрессионным преобразованием порядка P AR(P).
Во всех этих преобразованиях текущее значение y
t переменной Y выражается только через ее предыдущие значения и случайную составляющую (белый шум) щ.
12.6.2. Преобразование методом скользящих средних
Пусть поведение моделируется формулой:
y
t = у + РоЩ + PiUt-i, (12.40)
где у = const, u
t и u
t_i - белый шум в текущий и предыдущий моменты времени. В этом случае значение переменной Y в момент времени t равно сумме константы и скользящей средней между текущим и предыдущим значениями случайного отклонения (белого шума). Соотношение (12.40) называют преобразованием методом скользящих средних первого порядкаМА(1).
Соотношение
У, = У + P
0Ut + Р lUt-l + P
2U
t-2 + • • • + PqUt-q (12.41)
называют преобразованием методом скользящих средних порядка q MA(q).
12.6.3. ПреобразованиеARMA
Сочетание преобразований AR и МА называется авторегрессионным преобразованием со скользящей средней ARMA. Например, для переменной Y преобразование ARMA(1,1) будет иметь вид:
y
t = у + a
ry
t_i + Po-Ut + Pi-Ut-1. (12.42)
В общем случае преобразование ARMA(p,q) включает в себя р авторегрессионных членов и q скользящих средних.
12.6.4. Преобразование ARIMA
Преобразование ARMA в сочетании с переходом от объемных величин к приростным называется преобразованием ARIMA. В некоторых случаях такой переход позволяет получить более точную и явную модель зависимости. Здесь приращением (конечной разностью) первого порядка переменной Y называется разность y
t - y
t_i. Приращением порядка d переменной Y называют разность y
t - y
t_i -
y
t-
2- ... -y
t-d.
В общем виде преобразование ARIMA(p,d,q) выражается формулой:
yt* = <Хі y*_j + ... + a
py*_
p + Po-Ut + PrUt-1 + ... + Pq-ut-q, (12.43)
где a,, i = 1, 2, ..., p; р
ь i = 0, 1, 2, ..., q - неизвестные параметры. Величины у* i = 0, 1, ... , р представляют собой конечные разности
порядка d переменной Y. щ_і, і = 0, 1, ... , q - независимые друг от друга нормально распределенные случайные величины с нулевым математическим ожиданием и постоянной дисперсией.
Отметим, что преобразования AR, МА и ARIMA целесообразно использовать тогда, когда достаточно ясен набор объясняющих переменных и общий вид уравнения регрессии, но в то же время сохраняется автокорреляция остатков.
12.7. Прогнозирование с помощью временных рядов
12.7.1. Предсказание и прогнозирование
Конечной целью статистического анализа временных рядов является прогнозирование будущих значений исследуемого показателя. Такое прогнозирование позволяет, во-первых, предвидеть будущие экономические реалии, во-вторых, проанализировать построенную регрессионную модель на устойчивость (т.е. ее применимость в изменяющихся условиях). Прогнозирование можно осуществлять либо на основе выявленных закономерностей изменения самого исследуемого показателя во времени и экстраполяции его прошлого поведения на будущее; либо на основе выявленной зависимости исследуемого показателя от других экономических факторов, будущие значения которых контролируемы, известны или легко предсказуемы.
Кстати, некоторые авторы различают такие понятия, как прогнозирование и предсказание.
Пусть, например, оценивается модель
yt=Po + Pix
t + s
t, (12.44)
по которой предвидится будущее значение у
t+ переменной Y:
y
t+P = bo + bixt+p. (12.45)
В этом случае, если будущее значение x
t+p известно, то такое оценивание Y называется предсказанием. Если же действительное значение x
t+p неизвестно, то говорят, что делается прогноз значения Y. Очевидно, точность прогноза ниже точности предсказания, так как в этом случае точное значение x
t+p неизвестно.
Кроме того, различают долгосрочное и краткосрочное прогнозирование. В первом анализируется долговременная динамика анализируемого показателя, и в этом случае главным представляется выделение общего направления его изменения - тренда. При этом считается возможным пренебречь краткосрочными колебаниями значений исследуемого показателя относительно этого тренда. Тренд обычно строится методами регрессионного анализа.
После выделения долгосрочного тренда обычно пытаются определить факторы, вызывающие отклонения значений исследуемой величины от тренда. Для предсказания краткосрочных колебаний проводится более детальный регрессионный анализ с целью выявления большого числа показателей, определяющих поведение исследуемой
величины. Кроме этого, проводят более детальное исследование связей текущих значений исследуемых показателей с их прошлыми значениями или с прошлыми значениями других факторов.
При анализе динамических моделей обычно на базе статистических методов пытаются определить вероятную ошибку предсказаний. Схема проводимых расчетов достаточно подробно расписана в параграфе 5.5.
Пусть y
t+p - истинное значение исследуемого показателя Y в момент времени (t + р). y
t+p - это же значение по уравнению регрессии
(построенному по МНК). Тогда ошибка предсказания определяется как
At+
P= Yt+p-Yt+p- (12.46)
Если случайные отклонения уравнения регрессии удовлетворяют предпосылкам МНК, то ошибка предсказания A
t+P будет иметь нулевое математическое ожидание и минимальную дисперсию. При этом в случае парной регрессии (12.44) выборочная дисперсия определяется по формуле:
( Л ( —ч2 Л
l
+ i
+(Xt
+p-X)
( Л ( \2 Л
l
+ i
+(Xt
+p-X)
Уе-
Уе
D
B(A
t+p)
(12.47)
—ч2
І(хі-х)
и n-D
B(x)
Из формулы (12.47) видно, что чем больше отклоняется прогнозируемое значение случайной величины X от выборочного среднего, тем больше дисперсия ошибки предсказания. С другой стороны, дисперсия ошибки тем меньше, чем больше объем выборки п.
С ростом объема выборки D
B(A
t+p)—>у2. Действительно, а——>6, b——>в, и единственным источником ошибки предсказания будет случайный член s
t+p , который имеет дисперсию g
s2.
Заменим в формуле (12.47) а
е2 на ее оценку S
e2. Тогда величина
( л { —\2 Л
1 (x
t+p-x)
1 + — + ---т-
¦Si
S(A
t+p)
(12.48)
11 -Si
11
называется стандартной ошибкой предсказания.
дента с числом степеней свободы ? = и - 1. Следовательно, доверительный интервал для действительного значения y
t+p имеет вид:
y
t+P - U
n_S(A
t+p) < y
t+p < y
t+p + tg
n_ S(A
t+p). (12.49)
В развернутом виде это соотношение представлено в (5.35).
Общая схема соотношения между значением объясняющей переменной X и доверительным интервалом для предсказания значения Y наглядно представлена на рис. 5.4.
Для уравнения множественной регрессии значение рассчитывается по формулам алгебры матриц. Интервальная оценка для среднего значения предсказания приведена в (6.31).
Стандартные ошибки предсказания могут быть рассчитаны с помощью добавления в модель фиктивных переменных по методу Сал-кевера. Пусть имеется возможность получения статистических данных за р моментов на прогнозном периоде. Тогда строится такая же регрессия для совокупного набора данных выборки и прогнозного периода, но с добавлением фиктивных переменных D
t+i, D
t+2, ..., D
t+p. При этом D
t+1 = 1 только для момента наблюдения (t + і). Для всех других моментов D
t+1 = 0. Доказано, что оценки коэффициентов и их стандартные ошибки для всех количественных переменных Xj в точности совпадают со значениями, полученными по регрессии, построенной только по данным выборки. Коэффициент при фиктивной переменной Dt+i будет равен ошибке предсказания в момент (t + і). А стандартная ошибка коэффициента равна стандартной ошибке предсказания.
12.7.2. Тест Чоу на устойчивость регрессионной модели
Тесты на устойчивость предназначены для оценки того, насколько модель, полученная по выборке, будет соответствовать поведению исследуемой величины на прогнозном (послевыборочном) периоде. При этом либо оцениваются прогнозные качества модели, либо определяется, происходят ли изменения параметров в период прогноза. Одним из таких тестов является тест Чоу.
Пусть для совокупного набора данных выборки и прогнозного периода построены два уравнения регрессии. Первое - с теми же объясняющими переменными, что и в первоначальном (построенном по выборке) уравнении. Второе - с добавлением фиктивных переменных по методу Салкевера.
Пусть суммы квадратов отклонений Xef точек наблюдений от этих уравнений регрессии равны S, Sd соответственно. Тогда разность (S - Sd) может рассматриваться как улучшение качества уравнения при добавлении р новых (фиктивных) объясняющих переменных. Для анализа, насколько существенно улучшение качества уравнения, можно воспользоваться соответствующей F-статистикой:
(12.50)
(S-S
d)/p
S
d/(T - m -1) ’
где Т - объем первоначальной выборки, ш - количество объясняющих переменных в первоначальном уравнении регрессии. Формально (Т -m - 1) определено как количество (Т + р) наблюдений в объединенной совокупности за вычетом числа (ш + р + 1) оцениваемых параметров в уравнении с фиктивными переменными. Фактически в силу специфики метода Салкевера вместо S
d можно использовать совпадающую с ней сумму St квадратов отклонений для первоначального уравнения регрессии, построенного по выборке объема Т. F-статистика (12.50) может быть переписана в виде:
(12.51)
(S~S
T)/p S
T/(T - m -1)
В случае стабильности модели (при незначительном улучшении качества) эта статистика имеет распределение Фишера с числом степеней свободы ?і = р и ?2 = Т - m -1. Поэтому F
Ha&I сравнивается с F
KPht=F
6 іь , где а - требуемый уровень значимости. Если F
Ha6:i > F
K_
рит , то гипотеза об аналогичности регрессий отклоняется, т. е. отклоняется гипотеза о стабильности модели.
При достаточно большом прогнозном периоде можно воспользоваться схемой проверки гипотезы о совпадении уравнений регрессии для отдельных групп наблюдений, описанной в разделе 6.6.2. При этом рассчитываются три уравнения регрессии: для периода выборки, для периода прогноза и для объединенного периода.
12.7.3. Критерии качества прогнозов
При осуществлении прогноза будущих значений зависимой переменной в первую очередь необходимо спрогнозировать будущие значения объясняющих переменных. Такая комплексная задача весьма нетривиальна, что делает практически невозможным использование при анализе формальных тестов на стабильность. В данном случае при оценке качества прогноза могут быть использованы такие относительно простые и популярные показатели, как относительная ошибка прогноза и стандартная среднеквадратическая ошибка.
Пусть y
t+p - истинное значение исследуемого показателя Y в момент времени (t + р). y
t+p - это же значение по уравнению регрессии
(построенному по МНК). Тогда ошибка предсказания определяется по формуле (12.46).
Относительная ошибка прогноза определяется как отношение ошибки прогноза Д
1+р = y
t+ - y
t+p к действительному значению переменной, выраженное в процентах:
д = ji±M00% = ^t+p~yt+p -100%. (12.52)
y
t+P y
t+P
Однако при достаточно медленном изменении переменной Y значение 5
t+p является относительно небольшим, что может создать иллюзию качественного прогноза. Поэтому чаще вместо абсолютных значений исследуемой величины используют приросты этих значений: прогнозируемый д у
t+p = у
t+p - y
t и
реальный ду
1+Р = y
t+P - y
t
приросты Y за рассматриваемый период:
д; = ДУі+р -дУы
Р .іоо%. (12.53)
ДУыр
Во многих случаях применение формулы (12.53) более информативно и обоснованно, чем формулы (12.52).
При необходимости анализа точности прогнозов на несколько периодов времени может быть использовано среднее модулей относительных ошибок прогноза. Отметим, что использование среднего значения относительных ошибок прогноза не может рассматриваться в качестве критерия точности, т. к. отрицательные и положительные ошибки будут в этом случае взаимно погашаться.
X. Тейл предложил в этом случае использовать стандартную среднеквадратическую ошибку.
|
^ (ДУ t+p ДУ t+p) |
 |
(12.54)
Здесь к - количество прогнозных периодов. Данный показатель обладает существенным достоинством. Все его значения лежат в интервале от нуля до единицы (0 < U< 1).
При абсолютно точных прогнозах числитель дроби (12.54) будет равен нулю. Следовательно, 11= 0.
При “наивном” прогнозе об отсутствии всяких изменений (Ay
t+p= 0) числитель дроби (12.54) совпадает со знаменателем. Следовательно, U = 1. Очевидно, прогноз по модели, учитывающей доминирующие факторы развития исследуемой величины, должен быть, по крайней мере, не хуже “наивного” прогноза.
Таким образом, близость значения U к нулю является признаком достаточно качественного прогноза.
Конечно,применение в качестве базы “наивного” прогноза является весьма сильным упрощением. Возможно использование других базовых прогнозов. Например, можно предположить, что прирост в следующем году будет равен реальному приросту за текущий год либо среднему арифметическому приросту за несколько предыдущих лет. Базовый прогноз может быть осуществлен на основе авторегрессионной модели.
Однако в любом случае следует иметь в виду, что прогнозирование (особенно макроэкономическое) является одной из сложнейших задач экономического анализа. По крайней мере, нахождение возможных решений является задачей, требующей индивидуального подхода.
Удачное использование какой-либо модели для прогноза на некоторый период не является гарантией аналогичного результата для другого периода.
Следующий пример носит комплексный характер, отражающий наряду с динамической сутью рассматриваемой регрессионной модели другие важные аспекты регрессионного анализа. В нем прослеживаются возможные направления совершенствования модели, обсуждавшиеся в предыдущих главах. Поэтому при его приведении достаточно подробно описываются причины и следствия тех или иных преобразований. Кроме того, следующий пример позволяет понять суть использования фиктивных переменных в регрессионных моделях для отражения влияния на зависимую переменную факторов, не имеющих количественного выражения.
Пример 12.1. Учебная регрессионная модель анализа процентных изменений индекса потребительских цен в Республике Беларусь.
Построение регрессионной модели является неординарным процессом, включающим в себя значительное количество далеко не очевидных преобразований. Для организации рационального итерационного процесса требуется знание как эконометрики, так и экономической теории. Первая предложенная регрессионная модель практически никогда не бывает удовлетворительной по всем критериям, а следовательно, она требует совершенствования. Как отмечалось ранее, такое совершенствование может осуществляться по нескольким направлениям.
• Уточнение состава объясняющих переменных (исключение из модели незначимых объясняющих переменных и добавление новых переменных).
• Анализ выполнимости предпосылок МНК (смягчение последствий невыполнимости этих предпосылок с помощью преобразования исходных данных).
• Устранение сильно коррелированных между собой объясняющих переменных (борьба с мультиколлинеарностью).
• Корректировка регрессионных моделей с целью учета внешней среды (изменения институциональных условий) для рассматриваемой зависимости.
• Построение нелинейных спецификаций модели с последующей оценкой.
Рассмотрим некоторые из указанных направлений совершенствования модели на примере анализа процентных изменений индекса потребительских цен в Республике Беларусь по месячным статистическим данным за период с декабря 1995 г. по март 1999 г. (необходимые статистические данные приведены в конце примера).
В качестве первоначальной регрессионной модели рассмотрим следующую модель:
CPI
t = Po + Pi-M
t + p
2-EF
t_
b (12.55)
где СРф - процентное изменение индекса потребительских цен за текущий месяц, Mt - широкая денежная масса (денежный агрегат М3), EFt-i - месячный индекс реального сведенного обменного курса.
Причиной выбора данных показателей в качестве объясняющих переменных является их определяющее влияние на инфляцию с точки зрения экономической теории как основных характеристик денежно-кредитной и валютной политики в большинстве стран.
Первоначальная оценка дает следующий результат:
CPI
t= -14.24 + 0.00769-M
t+ 0.07452-EF
t_i, (12.56)
(t) (-2.74) (6.8) (3.1)
R2= 0.5761; F = 24.46; DW = 0.62.
 |
......ОСТАТКИ -Расчетные значения ИНФЛЯЦИИ ИНФЛЯЦИЯ
Рис. 12.3 |
Проанализируем соответствие знаков коэффициентов регрессии теоретическим предположениям. Положительное значение коэффициента регрессии при Mt соответствует экономическим концепциям, чего нельзя сказать о знаке коэффициента при EFt-i, являющегося характеристикой спроса на национальную валюту. Скорее всего, в данном случае влияние переменной EFt-і на СРф обусловлено переменной CPIt-i, скрытой в данном показателе, т. к. реальный обменный курс равен номинальному обменному курсу (цена белорусского рубля в иностранной валюте), умноженному на отношение инфляций в Республике Беларусь и в стране, с которой высчитывается реальный обменный курс. Следовательно, чем больше инфляция, тем больше величина реального обменного курса при неизменности официального курса обмена валюты.
С другой стороны, t-статистики, характеризующие статистическую значимость коэффициентов регрессии, высоки для всех оценок коэффициентов (I t I > 2) (см. параграф 6.6). Это не позволяет исключать из рассмотрения какую-либо из объясняющих переменных.
Значение коэффициента детерминации R2 = 0.5761 не настолько высоко, чтобы быть уверенным в высоком общем качестве уравнения регрессии. Однако высокое значение F-статистики позволяет утверждать, что коэффициент детерминации статистически значим, и, следовательно, в уравнении регрессии присутствует, по крайней мере, одна значимая объясняющая переменная. Это, в принципе, подтверждается высокими t-статистиками коэффициентов.
Еще одним критерием качества модели является статистика Дарбина-Уот-сона (DW), с помощью которой можно проверять обоснованность выбора формы уравнения регрессии, а также учет в модели всех существенных объясняющих переменных. В нашем случае DW = 0.62, что говорит о наличии положительной автокорреляции (см. раздел 9.3.3). Этот же вывод можно сделать, проанализировав на рис. 12.3 знаки случайных отклонений. Значительное большинство соседних отклонений имеют одинаковые знаки.
Таким образом, предполагается дополнить построенную модель еще одной объясняющей переменной. На основании предыдущих рассуждений введем переменную CPIt—1. Это соответствует экономической теории, т. к. общеизвестно, что инфляция является инерционным процессом. Данный шаг переводит модель в разряд авторегрессионных.
CPI
t = -2.12 + 0.00108-M
t + 0.77323-CPIt-i + 0.01445-EF
t_i, (12.57)
(t) (-0.4) (0.6) (4.7) (0.6)
R2= 0.7409; h = 2.0797.
 |
о о о
ОСТАТКИ -Расчетные значения ИНФЛЯЦИИ -ИНФЛЯЦИЯ
Рис. 12.4 |
Введение переменной СР1
1 ] повысило коэффициент детерминации R2, что вполне ожидаемо, но привело к потере статистической значимости для двух независимых переменных EFt_i и M
t (их t-статистики оказались по модулю меньше единицы). Можно предположить, что это вызвано сильной (линейной) зависимостью между объясняющими переменными (мультиколлинеарностью). Это предположение подтверждается высоким частным коэффициентом корреляции между CPIt—1 и Mt (r
cpi
m ef = 0.82). Обычно при наличии сильной корреляции одна из коррелированьи объясняющих переменных исключается. Поэтому следующим возможным направлением совершенствования модели может быть исключение из рассмотрения широкой денежной массы.
Заметим, что для анализа автокорреляции остатков в данном случае использовалась h-статистика Дарбина (см. параграф 12.6). Значение!h| = 2.0797 при 5 %-ном уровне значимости а превышает критическое значение uo o25 = 1.96. Следовательно, гипотеза об отсутствии автокорреляции должна быть отклонена. Это является еще одной причиной дальнейшего совершенствования модели.
Кроме того, значение коэффициента детерминации позволяет думать о возможности существенного улучшения качества модели за счет введения в нее других объясняющих переменных.
Возвращаясь к взаимосвязи СРІ и EF, следует отметить несомненную значимость последнего во влиянии на СРІ. Однако, возможно, более рациональным является использование в модели в качестве объясняющей переменной вместо абсолютного показателя EFt_i относительный показатель - темп роста реального сведенного обменного курса AEFt_i = EFt-i/EFt-2-
Таким образом, предлагается следующее уравнение регрессии:
CPI
t = -17.149+ 18.23 55-AEFt-i + 0.8817-CPI
t_i, (12.58)
(t) (-3) (3.2) (11.5)
R2= 0.794; h= 1.1932.
 |
ОСТАТКИ -Расчетные значения ИНФЛЯЦИИ -ИНФЛЯЦИЯ
Рис. 12.5 |
В данном случае модель имеет неплохие статистические показатели. Возможно, есть варианты увеличения коэффициента детерминации R2. В силу значительного государственного вмешательства в экономику на рассматриваемом временном интервале можно сделать предположение, что существенное влияние на исследуемые величины оказывают факторы, не имеющие количественного выражения. Роль этих факторов можно отразить через фиктивные переменные.
Исследуя случайные отклонения от уравнения регрессии, можно заметить, что с конца лета 1998 г. модель “уходит” от реальных данных. Анализируя данный период с точки зрения изменения экономических реалий Республики Беларусь, можно заметить, что данный период характеризуется значительной девальвацией белорусского рубля, что является инфляционным фактором. Учесть данные изменения можно двумя способами.
1. Разбиением временного интервала на подынтервалы и оценки новых регрессий для каждого из подынтервалов.
2. Введением фиктивной переменной в состав объясняющей переменных.
В данном случае в силу небольших объемов выборок для каждого из подынтервалов и повторяющихся периодов девальвации более предпочтительным представляется второй вариант.
Таким образом, предлагается ввести в модель (12.58) в качестве объясняющей переменной дополнительно фиктивную переменную D1, отражающую девальвацию белорусского рубля более чем на 5% (D1 = 1, если девальвация превысила 5 %; D1 = 0, в противном случае). Имеем:
CPI
t = -21.6 + 22.313-AEF
t-i + 0.709-CPI
t_i + 3.96-D1, (12.59)
(t) (-4.2) (4.4) (8.8) (3.7)
R2 = 0.85; h = 0.4778.
 |
......ОСТАТКИ -Расчетные значения ИНФЛЯЦИИ ИНФЛЯЦИЯ
Рис. 12.6 |
Все статистические характеристики модели получились хорошими, однако коэффициент детерминации R вырос незначительно. Поэтому есть смысл попытаться поискать дополнительные объясняющие переменные.
Проводя дальнейший анализ остатков (рис. 12.6) регрессии, мы видим, что имеется определенная периодичность изменения инфляции: в январе каждого года модель уходит от реальных данных. Также можно заметить, что трудности в валютной сфере, имевшие место в сентябре 1998 г. и марте 1999 г. и приведшие к закрытию дополнительной сессии на МВБ, также могли повлиять на инфляцию. Таким образом, в качестве дополнительного шага можно предложить ввести фиктивные переменные D2 (D2 = 1 - в январе месяце каждого года; D2 = 0 - во всех остальных месяцах) и D3 (D3 = 1 - в сентябре 1998 г. и марте 1999 г., D3 = 0 - во всех остальных случаях).
Таким образом, имеем:
CPI
t = -24.149 + 27.684-AEF
t_i +0.703-CPI
t_i +3.0639-D1+2.36934-D2+ 8.13595-D3, (t) (-7) (7,2) (11.5) (3.7) (2) (5.5)
R2 = 0.9254; h =-0.1372. (12.60)
|
|
|
со |
(О |
(О |
со |
со |
со |
h- |
h- |
h- |
р- |
h- |
h- |
с» |
с» |
00 |
со |
00 |
с» |
О) |
О) |
|
О) |
О) |
О) |
О) |
О) |
О) |
О) |
О) |
О) |
CD |
О) |
О) |
О) |
О) |
О) |
О) |
О) |
О) |
О) |
О) |
|
л |
1— |
|
X |
X |
X |
X |
1— |
|
X |
X |
X |
X |
1— |
|
X |
-0 |
-0 |
-0 |
і— |
|
о. |
о. |
го |
ц |
о. |
о. |
о. |
о. |
го |
X |
о. |
о. |
Сі- |
CL |
ГО |
X |
CL |
CL |
Сі- |
CL |
го
со
X
ск |
го |
|
2
X |
ю
о;
н
X
ф
О |
ю
о;
о
X |
го
со
X
ск |
го |
|
2
X |
ю
о;
н
X
ф
О |
ю
о;
о
X |
ГО
СО
X
ск |
ГО |
|
2
X |
ю
о;
н
X
ф
О |
ю
о;
о
X |
ГО
СО
X
п; |
ГО |
|
ОСТАТКИ -Расчетные значения ИНФЛЯЦИИ -ИНФЛЯЦИЯ |
|
30 |
 |
Рис. 12.7
Последнее уравнение множественной линейной регрессии является удовлетворительным по рассматриваемым критериям. Оно может быть использовано для более глубокого понимания движущих сил исследуемого явления, а также краткосрочного прогноза.
|
Месяц, год |
CPIt |
Mt |
EFt |
|
декабрь 95 |
3.9 |
17.9 |
241 |
|
январь 96 |
5.6 |
16.8 |
248 |
|
февраль 96 |
4 |
17.7 |
256 |
|
март 96 |
2 |
19.2 |
259 |
|
апрель 96 |
1.5 |
19.9 |
248 |
|
май 96 |
0.6 |
21.1 |
234 |
|
июнь 96 |
2.3 |
21.4 |
234 |
|
июль 96 |
2 |
22.4 |
214 |
|
август 96 |
1.3 |
24.3 |
217 |
|
сентябрь 96 |
1.8 |
25 |
226 |
|
октябрь 96 |
1.3 |
26.2 |
217 |
|
ноябрь 96 |
3.9 |
26.2 |
220 |
|
декабрь 96 |
7.4 |
27.3 |
235 |
|
январь 97 |
13.3 |
29.5 |
191 |
|
февраль 97 |
6.6 |
31.8 |
189 |
|
март 97 |
2.3 |
34.6 |
177 |
|
апрель 97 |
4.3 |
37.2 |
171 |
|
май 97 |
5 |
39 |
180 |
|
июнь 97 |
4.5 |
41.1 |
188 |
|
июль 97 |
1.4 |
43.2 |
186 |
|
Месяц, год |
CPIt |
Mt |
EFt |
|
август 97 |
1 |
46 |
186 |
|
сентябрь 97 |
5 |
49.9 |
191 |
|
октябрь 97 |
3.2 |
51.9 |
189 |
|
ноябрь 97 |
1.8 |
53.4 |
186 |
|
декабрь 97 |
2.3 |
57.7 |
186 |
|
январь 98 |
3.9 |
55.3 |
181 |
|
февраль 98 |
3.1 |
57.6 |
180 |
|
март 98 |
3.3 |
61.7 |
177 |
|
апрель 98 |
3.8 |
67.9 |
177 |
|
май 98 |
3.4 |
70.6 |
178 |
|
июнь 98 |
2.7 |
76.1 |
176 |
|
июль 98 |
2.8 |
83.2 |
165 |
|
август 98 |
3.8 |
90.9 |
183 |
|
сентябрь 98 |
17.6 |
98.4 |
225 |
|
октябрь 98 |
21 |
108.4 |
247 |
|
ноябрь 98 |
25 |
124.2 |
230 |
|
декабрь 98 |
21.7 |
217.2 |
227 |
|
январь 99 |
16.6 |
219.1 |
207 |
|
февраль 99 |
13.7 |
238.8 |
139 |
|
март 99 |
12.1 |
262.1 |
153 |
Вопросы для самопроверки
1. В чем суть временного ряда?
2. В чем состоит различие между моделями с распределенными лагами и авторегрессионными моделями?
3. Каковы основные причины лагов в эконометрических моделях?
4. Перечислите основные способы определения оценок для моделей с распределенными лагами.
5. В чем суть преобразования Койка?
6. В чем суть модели адаптивных ожиданий?
7. В чем состоит отличие модели адаптивных ожиданий от модели частичной корректировки?
8. Опишите суть метода определения оценок на основе использования распределенных лагов Ал мои.
9. Как определяется автокорреляция остатков в авторегрессионных моделях?
10. В чем состоит суть преобразований AR, МА, ARMA и ARIMA?
11. В чем состоит различие между прогнозированием и предсказанием?
12. Чем различаются краткосрочное и долгосрочное прогнозирование?
13. Приведите формулу расчета стандартной ошибки предсказания.
14. Опишите схему теста Чоу анализа устойчивости регрессионной модели.
15. Приведите основные критерии качества прогнозов.
16. Какое из следующих утверждений истинно, ложно или не определено (ответ поясните).
а) Любая эконометрическая модель является, по сути, динамической.
б) В авторегрессионной модели в лаговой форме используется лишь зависимая переменная.
в) С увеличением величины лага влияние объясняющей переменной на зависимую переменную падает, что отражается на статистической значимости соответствующего коэффициента регрессии.
г) В модели с распределенными лагами добавление новых лагов осуществляется до тех пор, пока соответствующие t-статистики указывают на статистическую значимость коэффициентов.
д) Преобразование Койка предполагает постоянное уменьшение абсолютных значений коэффициентов регрессии с увеличением лага.
е) При использовании преобразования Койка определение наличия автокорреляции на основе статистики Дарбина-Уотсона невозможно.
ж) При небольшой выборке оценки в модели частичной корректировки могут быть смещенными.
з) Преобразование Койка, модель адаптивных ожиданий, модель частичной корректировки являются, по сути, авторегрессионными методами, т. к. в результате их использования среди объясняющих переменных появляется лаго-вая зависимая переменная.
и) Схема Алмон является обобщением преобразования Койка.
к) Использование обычного МНК для оценок авторегрессионных моделей нецелесообразно, в первую очередь, из-за проблемы автокорреляции.
л) h-статистика Дарбина одинаково хороша для обнаружения автокорреляции как для малых, так и для больших выборок.
м) Между предсказанием и прогнозом нет принципиальной разницы.
н) Главной задачей долгосрочного прогнозирования является построение тренда изменения зависимой переменной.
Упражнения и задачи
1. Оценена следующая авторегрессионная модель:
yt = 3.5 + 0.5 xt + 0.9 yt—1
(S) (0.5) (0.06) R2 = 0.97 DW = 2.15.
2
Несмотря на то, что коэффициент детерминации R очень высок, а статистика Дарбина-Уотсона близка к 2 (что свидетельствует об отсутствии автокорреляции), данное уравнение является бесполезным. Почему?
2. Анализируется среднедушевой расход на развлечения людей до 25 лет. По 35-годовым данным по МНК построено следующее уравнение регрессии:
y
t = 43.5 + 0.251 x
t + 0.545 y
t-i (S) (0.105) (0.135) DW = 1.9,
где yt - среднедушевой расход на развлечения молодых людей в момент времени t; xt - среднедушевой располагаемый доход в момент времени t.
а) Постройте 95 %-ный доверительный интервал для теоретического коэффициента регрессии при переменной х^
б) Каков экономический смысл данного коэффициента?
в) Проверьте гипотезу об отсутствии автокорреляции остатков. Какой статистикой вы при этом воспользовались?
3. В следующей таблице приведены статистические данные по процентному изменению заработной платы (Y), росту производительности труда (Xj) и уровню инфляции (Х2) за 20 лет:
|
Y |
6.0 |
8.9 |
9.0 |
7.1 |
3.2 |
6.5 |
9.1 |
14.6 |
11.9 |
9.4 |
|
Хі |
2.8 |
6.3 |
4.5 |
3.1 |
1.5 |
7.6 |
6.7 |
4.2 |
2.7 |
3.5 |
|
Х2 |
3.0 |
3.1 |
3.8 |
3.8 |
1.1 |
2.3 |
3.6 |
7.5 |
8.0 |
6.3 |
|
Y |
12.0 |
12.5 |
8.5 |
5.9 |
6.8 |
5.6 |
4.8 |
6.7 |
5.5 |
4.0 |
|
X] |
5.0 |
2.3 |
1.5 |
6.0 |
2.9 |
2.8 |
2.6 |
0.9 |
0.6 |
0.7 |
|
Х2 |
6.1 |
6.9 |
7.1 |
3.1 |
3.7 |
3.9 |
3.9 |
4.8 |
4.3 |
4.8 |
а) По МНК постройте уравнение регрессии y
t = bo + bi хц + b
2 X2t + et.
б) Оцените качество построенного уравнения, включая наличие автокорреляции и гетероскедастичности.
в) По МНК постройте уравнение регрессии yt = Со + сі хц_і + С2 X2t-i + vt, учитывая, что хщ = 3.5; Х20 = 4.5.
г) Оцените качество построенного уравнения.
д) Сравните построенные модели. Какая из них предпочтительнее и почему?
4. Пусть оценено уравнение регрессии
lny
t = bo + bilnyt-i +Ьг In x
t + Ьз In x
t_i + et.
а) Является ли данная модель авторегрессионной моделью?
б) Как можно проверить гипотезу о равенстве единицы долгосрочной эластичности Y по X?
в) Как можно построить 90 %-ный доверительный интервал для долгосрочной эластичности?
5. В следующей таблице приведены данные по располагаемому доходу домохозяйств (X) и затратам домохозяйств на розничные покупки (Y) за 22 года:
|
X |
9.098 |
9.137 |
9.095 |
9.280 |
9.230 |
9.348 |
9.525 |
9.755 |
10.280 |
10.665 11.020 |
|
Y |
5.490 |
5.540 |
5.305 |
5.505 |
5.420 |
5.320 |
5.540 |
5.690 |
5.870 |
6.157 |
6.342 |
|
X |
11.305 11.430 11.450 11.697 11.870 |
2.018 12.525 12.055 12.088 12.215 12.495 |
|
Y |
5.905 |
6.125 |
6.185 |
6.225 |
6.495 |
6.720 |
6.920 |
6.470 |
6.395 |
6.555 |
6.755 |
а) Оцените уравнение регрессии yt = Ро + Pi xt +st.
б) Оцените качество построенной модели.
в) По тем же статистическим данным оцените уравнение регрессии
yt= Ро + PlXt + yyt-1 +Et.
г) Проанализируйте статистическую значимость коэффициента у.
д) Оцените качество построенной модели.
е) Сравните результаты. Какая из моделей предпочтительней?
6. В соответствии с моделью адаптивных ожиданий объем предложения формируется по следующей схеме: S* = лБ^ + (1 - л)8*_!,
*
где S , S - ожидаемый и действительный объемы предложения.
Заполните пробелы в следующей таблице при условии, что X = 0.4:
|
Момент времени |
t-3 |
t-2 |
t- 1 |
t |
t+ 1 |
|
S' |
90 |
|
|
|
|
|
S |
100 |
120 |
150 |
170 |
- |
7. Рассматривается следующая функция потребления
c
t = ayp
t+ (3( l
t_i - l*) + s
t,
где It—1 - запас ликвидных средств к началу текущего периода; 1* - желаемый запас ликвидных средств в течение текущего периода, определяемый как часть устойчивого дохода ypt, который, в свою очередь, определяется по схеме адаптивных ожиданий yt = ypt-i + Myt- ypt—l); Yt - общий доход.
а) Покажите, что в оцениваемом общем уравнении регрессии объясняющими переменными являются следующие: Ct_i, lt-i, h-2, Yt-
б) Как можно оценить данное общее уравнение регрессии?
СИСТЕМЫ ОДНОВРЕМЕННЫХ УРАВНЕНИЙ
Непосредственное использование МНК для оценки параметров каждого из уравнений регрессии, входящих в систему одновременных уравнений, в большинстве случаев приводит к неудовлетворительному результату. Чаще всего оценки получаются смещенными и несостоятельными, а статистические выводы по ним некорректными. Причины этого, а также возможные процедуры нахождения оценок параметров для систем одновременных уравнений анализируются в данной главе.
13.1. Необходимость использования систем уравнений
Многие экономические взаимосвязи допускают моделирование одним уравнением. В большинстве случаев использование МНК для оценки параметров таких моделей является наиболее подходящей процедурой. Однако ряд экономических процессов моделируется не одним, а несколькими уравнениями, содержащими как повторяющиеся, так и собственные переменные. В силу этого возникает необходимость использования систем уравнений. Кроме того, в одних уравнениях определенная переменная может рассматриваться как объясняющая (независимая), но в то же время она входит в другое уравнение как зависимая (объясняемая) переменная. Приведем ряд примеров таких систем.
Модель 13.1. “спрос - предложение ”
Одна из простейших систем одновременных уравнений появляется при моделировании спроса - предложения в рыночной экономике. В этом случае в предположении, что спрос QD и предложение Qs в момент времени t являются линейными функциями от цены Р в этот же момент времени, мы получаем следующую систему:
Q? = бо + 6
Tp
t +e
tl, < qs
t =в
0 + Bjp
t +e
t2,
(13.10
(13.10
(13.10
6j <0,
В! <0,
Функция спроса: Функция предложения: Условие равновесия:

Очевидно, что наличие случайных отклонений в данных моделях связано в первую очередь с отсутствием в модели ряда важных объясняющих переменных (дохода, цен сопутствующих товаров, вкусов, ожиданий, цены ресурсов, налогов и т. д.). Изменение одного из этих
факторов может отразиться на сдвиге одной либо обеих линий. Например, рост дохода потребителей может сдвинуть кривую спроса вверх (рис. 13.1). Это приводит к изменению равновесной цены и равновесного количества.

В принципе, модель (13.1) может быть усовершенствована. Например, если в функцию спроса добавить доход потребителей Y, то получим систему (13.2):
Q? =6
0+6
1p
t+6
2y
t+e
tl, 4t =В0 + BlPt +et2>
б
х <0, (13.20 B! <0, (13.20
Функция спроса: Функция предложения: <
.D
(13-20
Условие равновесия:
? 4t - Qt •
Модель 13.2. Кейнсианская модель формирования доходов
Опишем простейшую модель данного типа в предположении, что рассматривается закрытая экономика без государственных расходов:
Функция потребления: Г c
t = Ро + PiYt + s
t, (13.3t)
Макроэкономическое тождество: [_ y
t = c
t + it. (13.30
Здесь Y, С, I представляют совокупный выпуск, объемы потребления и инвестиций соответственно (y
t, c
t, it - значения этих переменных в момент времени t).
Модель 13.3. Модели IS-LM
Одной из возможных нестохастических форм модели IS (равновесия на рынке товаров) является следующая модель:
|
Функция потребления: |
Г ct = p0 + Piyt, |
(13.40 |
|
Функция налогов: |
it = а0 + aiyfa |
(13.40 |
|
Функция инвестиций: |
it = Yo + YiP, |
(13.40 |
|
Располагаемый доход: ^ |
y(d)t = Yt - Tt, |
(13.40 |
|
Государственные расходы: |
gt =g> |
(13.4s) |
|
Макроэкономическое тождество: |
vyt= ct + lt + gt. |
(13.46) |
Здесь y
t, c
t, it, gt, T
t, y(d)t, r
t - значения в момент времени t национального дохода (Y), потребления (С), желаемого объема чистых инвестиций (I), государственных расходов (G, в данном случае G = g =
= const), объема налогов (Т), располагаемого дохода (Y
d), процентной ставки (г).
Подставим (13.4
2) и (13.4
4) в (13.4і). Затем результирующее соотношение, а также (13.4
3) и (13.4s) подставим в (13.4
6). Имеем
y
t = 7Г
0 + 7ГіЦ, (13.5)
В0 +б
0В1 +Г0 + g.
i-BtO-60 ’
1
1-в
1(1-б
1)'
где Ро =
Формула (13.5) является выражением кривой IS, задающей такое соотношение между процентной ставкой и уровнем дохода, при котором рынок товаров находится в равновесии.
Линия LM (линия равновесия на рынке денег) задает такое соотношение между процентной ставкой и уровнем дохода, при котором спрос на деньги равен их предложению. Одна из нестохастических форм данной модели имеет вид:
М° = а + by
t - cr
t, (13.6i)
Функция спроса на деньги:
М? =М,
(13.6
2)
Функция предложения денег: <
Условие равновесия:
М° =Mf. (13.63)
Тогда соотношение системы (ІЗ.бі) можно представить в виде:
Здесь }ц) = -а/Ь, Х\ = 1/Ь, Х
2 = с/Ь.
Соотношение (13.7) известно как уравнение LM. Модель IS -LM представлена на рис. 13.2. г
 |
Рис. 13.2
Точка пересечения данных кривых определяет соотношение между процентной ставкой и уровнем дохода, при котором оба рынка находятся в состоянии равновесия. Эта точка находится из решения системы уравнений (13.5) и (13.7). |
13.2.Составляющие систем уравнений
Заметим, что при рассмотрении систем одновременных уравнений переменные делятся на два больших класса - эндогенные и экзогенные переменные. Эндогенные переменные - это переменные, значения которых определяются внутри модели. Экзогенные переменные -это внешние по отношению к модели переменные. Их значения определяются вне модели и поэтому они считаются фиксированными.
Такая классификация переменных позволяет указать методы определения эндогенных переменных. Например, в системе (13.1) функции спроса и предложения, условие равновесия определяют величины спроса q°, предложения и цену Р. Поэтому все эти переменные являются эндогенными, т. к. они определяются внутри системы. В модели (13.3) С и Y являются эндогенными переменными, которые оцениваются внутри модели. Переменная I задается (определяется) вне модели. Следовательно, она является экзогенной переменной. Из модели нельзя понять, как получаются значения этой переменной. Они используются как заранее заданные. Из соотношения (13.31) очевидно, что переменная С зависит от Y и от s. В то же время из второго соотношения Y зависит от С и от I. Нетрудно заметить, что обе перемен-
ные С и Y могут быть выражены через I и s. Подставив c
t из второго соотношения в первое, имеем:
B
f
(13.80
(13.80
Yt =
It +
1-Bj 1-Bj 1 1-Bj
B0 . B1 et
c
t =
Заметим, что коэффициент - в (13.8і) представляет собой
1-Ві
денежный мультипликатор, определяющий, на какую величину увеличивается совокупный доход при увеличении объема инвестиций на единицу.
Уравнения, составляющие исходную модель, называют структурными уравнениями модели. Обычно их подразделяют на поведенческие уравнения и уравнения-тождества. В первых из них описываются взаимодействия между переменными. Во вторых - соотношения, которые должны выполняться во всех случаях (заметим, что тождества не содержат подлежащие оценке параметры и случайные составляющие). Например, в модели (13.3) уравнение (13.31) - поведенческое, а (13.3
2) - тождество.
Уравнения, в которых отражена схема определения эндогенных переменных, называются уравнениями в приведенной форме (приведенными уравнениями). Это уравнения, в которых эндогенные переменные выражены только через экзогенные или предопределенные переменные, а также случайные составляющие. Примерами таких уравнений являются уравнения (13.8і) и (13.8
2). Предопределенными переменными называются лаговые эндогенные переменные, значения которых определены до рассмотрения данного соотношения. Например, уравнение спроса в модели “спрос - предложение” может иметь вид:
q? =б
0 +6
Ti
t +6
2p
t_! + e
t. (13.9)
Здесь переменная p
t_i - цена товара в предыдущий момент времени; pt_i - предопределенная переменная.
13.3. Смещенность и несостоятельность оценок МНК для систем одновременных уравнений
Непосредственное применение МНК для каждого из уравнений системы одновременных уравнений приводит к получению смещенных и несостоятельных оценок. Обычно это происходит вследствие коррелированности одной или нескольких объясняющих переменных со случайным отклонением. Для демонстрации данного вывода рассмотрим кейнсианскую модель (13.3). Для получения несмещенных и состоятельных оценок параметров уравнения (ІЗ.Зі) по МНК необходимо выполнение ряда предпосылок:
1°. M(s
t) = 0; 2°. M(s2) = а2;
3°. M(s
tSt+i) = 0; 4°. cov(y
t, s
t) = 0 для любых отклонений.
Однако из (13.8і) нетрудно заметить, что y
t линейно зависит от случайного отклонения s
t. Следовательно, в уравнении (ІЗ.Зі) объясняющая переменная y
t коррелирует со случайным отклонением s
t (cov(y
t, s
t) ф 0). Действительно, из (13.8Д имеем:
_ во
(13.10)
M(y
t) =
в,
в,
>1 X X»!
Здесь мы учли, что M(s
t) = 0, а также то, что переменная i
t является экзогенной (постоянной) для данной модели.
Вычитая (13.10) из (13.8Д, имеем:
Yt - M(y
t) = Gt
(13.11)
в,
Следовательно,
cov(y
t, St) = M((y
t - M(y
t))(s
t - M(s
t))) =
-M(ef) =
= M(
•St) =
(13.12)
>0.
B,
B,
в,
Здесь мы воспользовались обоснованным предположением экономической теории о том, что предельная склонность к потреблению 0 < Рі < 1. Оценка Ьі параметра Рі по МНК определяется по формуле:
b =X(c
t-c)(y
t-y) _ Ic
t(y
t-y)
| cl(y
t-y)
= lc
t(y
t-y)
13
Z(y
t-y)2 I(y
t-y)2 I(y
t-y)2 I(y
t-y)2
В данном случае мы использовали тождество Z(yt - у) = 0.
Подставив в (13.13) выражение c
t через (13.3Д, имеем:
b =I(B
0+B
1y
t+e
t)(y
t-y)_
1 Z(y
t - у)2
_B
0Z(y
t-y)
| B
1Iy
t(y
t-y)
| Ie
t(y
t-y)_ , Ie
t(y
t-y)
(13 14)
Z(y
t-y)2 I(y
t-y)2 I(y
t-y)2 1 I(y
t-y)2 '
Тогда
Ze
t(y
t-y)^
Z(y
t-y)2 ,
M(bi) = Pi + м
(13.15)
/Іе
1(у
1-у)л
Математическое ожидание M
нельзя вычислить
—ч2
S(y
t-y)
непосредственно, т. к. числитель и знаменатель дроби не являются независимыми СВ (оба зависят от s). Однако при больших объемах выборок можно сделать следующие выводы:
?еі(Уі~У) п^е‘(Уі У)_. с°?(еі.Уі)
E(y
t-y)2 ~ -2(у,-у)2 °(у.)
Из (13.8і) с учетом того, что при больших выборках D(i
t) стремится к своему пределу , имеем:
D(y,) = D(-^- + -J-i
t + -^-) = ТГ^-ТІУГ +Уе1
1 — В j 1 — В j 1 — В J (1 — Bj)
С учетом (13.12) и (13.14) имеем:
2
( 1 - В! )у
1-Ві
(13.16)
= Ві +
->в, +
П—>00 1
Цг^+У.2]
2 2 Уі +Уе
(1-вО
Следовательно, оценка Ьі является смещенной (скорее всего, завышенной при условии, что 0 < Рі < 1) оценкой параметра Рі. Причем эту смещенность нельзя преодолеть даже при бесконечном увеличении выборки.
Из (13.16) очевидно, что величина ошибки оценки зависит от величины отклонения Рі от единицы, а также от соотношения между Уі иу^. Например, если предположить, что Рі = 0.6, у
т = Зу^, то Ьі —» 0.6 + 0.4/0.4 =0.7.
Кроме того, соотношение (13.16) позволяет сделать вывод, что всегда можно подобрать s > 0 такое, что Пт P(|bj — в
х| < е) Ф1. Это оз-
П—>оо
начает, что Ьі является несостоятельной оценкой Рі.
13.4. Косвенный метод наименьших квадратов (КМНК)
В силу невозможности получения на основе “обычного” МНК качественных оценок параметров системы одновременных уравнений, необходимо использовать другие методы получения “хороших” оценок. Один из таких возможных методов - косвенный метод наименьших квадратов (КМНК), основанный на использовании приведенных уравнений.
Для иллюстрации КМНК рассмотрим кейнсианскую модель формирования доходов (13.3). В приведенном виде эта модель выражается
в,
через систему (13.8). Положим в (13.8Д
11’
10’
1-B1 1 — в,
1-Ві
а в (13.8
2) -^ = л
20, -^- = л_
1
1 — в
х 1-ві 1-Bj
Тогда вместо (13.8Д и (13.82) имеем:
Уі = 2чо + 2ч lit + u
t, Ct = 2^20 + 2u2lit + Ut-
В,
N(0,
= x
t
21’
(13.170 (13.17
2)
Так как объем инвестиций I является экзогенной переменной модели, то i
t не коррелирует со случайным членом s
t в уравнениях (13.8і), (13.8
2), а следовательно, и с u
tB (13.17і) и (13.17
2). Это означает, что для случайного члена o
t выполняются предпосылки МНК. Поэтому оценки л
10,л
21,л
20,л
21, полученные по МНК, будут BLUE-оценками параметров л
10,л
21, л
20, л
21. Зная данные оценки, несложно определить оценки Ьц и Ьг коэффициентов Рі и р
2 уравнения (ТЗ.ЗД:
Л21 • К -R - Л2° - , и
0 —в
0 — -
Ьі =в! =
(13.18)
11
11
Определение оценок по указанной схеме называется косвенным методом наименьших квадратов (КМНК). Смысл такого названия очевиден в силу вычисления оценок Ьц и Ь
2 через оценки приведенных уравнений. Оценки Ьі и 1у, полученные по КМНК, являются состоятельными, а следовательно, при больших выборках велика вероятность, что они будут близки к истинным значениям параметров.
Отметим, что в данном случае оценки Ьі и 62 определяются однозначно. В этом случае уравнение (13.3Д называется идентифицируемым (однозначно определенным).
Таким образом, КМНК включает в себя следующие этапы:
1. Исходя из структурных уравнений, строятся уравнения в приведенной форме.
2. Оцениваются по МНК параметры уравнений в приведенной форме.
3. На основе оценок, найденных в п. 2, оцениваются параметры структурных уравнений.
Пример 13.1. Рассматривается следующая модель “спрос - предложение”: предложение: I q
t = Ро + PiPt + ?щ
спрос: [qt = ao + aipt + a
2yt + S2t,
где qt, pt - эндогенные переменные - количество товара и цена в году t; yt - экзогенная переменная - доход потребителей; вц, s
2t ~ случайные отклонения.
На основании следующих статистических данных необходимо оценить коэффициенты функции предложения, используя для этого МНК и КМНК. Сравнить результаты.
|
Pt |
qt |
Yt |
2^
Pt |
2^
yt |
Ptqt |
Ptyt |
qtyt |
|
|
1 |
8 |
2 |
1 |
4 |
8 |
2 |
10 |
|
|
2 |
10 |
4 |
4 |
16 |
20 |
8 |
40 |
|
|
3 |
7 |
3 |
9 |
9 |
21 |
9 |
21 |
|
|
4 |
5 |
5 |
16 |
25 |
20 |
20 |
25 |
|
|
5 |
1 |
2 |
25 |
4 |
5 |
10 |
2 |
|
|
15 |
31 |
16 |
55 |
58 |
74 |
49 |
98 |
сумма |
|
3 |
6.2 |
3.2 |
11 |
11.6 |
14.8 |
9.8 |
19.6 |
среднее |
Построим приведенные уравнения данной системы. Для этого вычтем из функции предложения функцию спроса. Имеем:
(ро - <хо) + (Pi - ai) p
t - a
2y
t + (в
и - e
2t) = 0.
Следовательно, приведенные уравнения имеют вид:
Pt = тгю + 7tnyt + иц,
qt - Л
20 + 7t
2iyt + u
2t,
6q ~bq
bi - 6i |  |
Ult = |
elt e2t .
Bi-6i
где лю =
^20 = Po + Pi^io, ТГ21 = Pitch, o
2t = Рщц + вц.
Нетрудно заметить, что функция предложения точно идентифицируема. Оценки Ьі и Ьо параметров Рі и Ро могут быть определены на основе оценок коэффициентов приведенных уравнений:
Рі = —, Ро = 7Г20 - Рітгю => bi=^3I, bo = р
20 — btp
10.
Рп Рп
По имеющимся статистическим данным оценим коэффициенты приведенных уравнений:
0.2
1.36
У Р_- У' Р
2 -2 У “У
Рп
0.147,
Ріо = Р — РиУ = 3-0.147-3.2 = 2.5296,
.2, = yq-y.q = -a24=_Q 1765,
2 -2 У “У
1.36
Р20=4-Р2іУ=6-7648-
Следовательно, оценки коэффициентов функции предложения по КМНК будут равны: Ьі = -0.1765/0.147 = -1.2, bo = 6.7648 + 1.2-2.5296 = 9.8. Следовательно, функция предложения имеет вид:
q
t =9.8- 1.2 p
t.
В то же время, если рассчитывать оценки данного уравнения непосредственно по МНК, то будут получены следующие результаты:
pq-p-q _ - 5.2
= -2.6, b
0 = q -bjp = 13.8.
Ьі =
2 —2
Р -Р
Тогда функция предложения имеет вид:
q
t= 13.8 - 2.6 p
t.
Полученные результаты позволяют сделать вывод о том, что применение МНК в несоответствующих ситуациях может существенно исказить картину зависимости.
13.5. Инструментальные переменные
Еще одним способом устранения коррелированности объясняющей переменной со случайным отклонением является метод инструментал ъных переменных.
Суть данного метода состоит в замене коррелирующей переменной на другую (инструментальную переменную (Я/7)), которая обладает следующими свойствами:
• она должна коррелировать (желательно сильно) с заменяемой объясняющей переменной;
• она не должна коррелировать со случайным отклонением.
Опишем схему использования ИП на примере парной регрессии, в которой cov(X, s) ф 0:
Y = p
0 + PiX + s. (13.19)
Переменную X заменяют переменной Z такую, что cov(Z, X) Ф 0 и
cov(Z, s) = 0. Принципы использования ИП основаны на выполнимости следующих условий:
M(s
t) = 0, cov(z
t, s
t) = 0. (13.20)
Соответствующие выборочные оценки данных условий имеют вид:
Г1
(13.210
(13.210
(13.220
(13.220
-le
t=0,
В развернутом виде (13.21) будет иметь вид:
' Z(y
t-b
0m-bfnx
t) = 0,
' Iz
t(y
t-br-bfnx
t) = 0.
С
Тогда из (13.22) следует:
г
ьип
= Z(z
t-z)(y
t-
y)
X(z
t-z)(x
t-x)’
(13.230
(13.230
ьии
и0
ии-1 х
у-
Пусть при увеличении объема выборки D(X) стремится к некоторому конечному пределу у
х, а ковариация cov(Z, X) - к конечному пределу a
zx ф 0.
Покажем, что в этом случае Ь|ш стремится к истинному значению Рі. Из (13.23!) имеем:
^ип _ cov(Z,Y) _ cov(Z,b
0 +в
1Х + е)_
1 cov(Z, X) cov(Z, X)
_ cov(Z,b
0) cov(Z,b
1X) cov(Z,e) cov(Z, X) cov(Z, X) cov(Z, X)
(13.24)
cov(Z,e) 0
= В, Л---»B, Л--= В I
cov(Z, X) y
zx
Здесь мы воспользовались следующими соотношениями: cov(Z, Ро) = 0, т. к. Ро = const; cov(Z, PiX) = PiCOv(Z, X). При больших объемах выборки распределение Ь|ш стремится к нормальному:

S2I(z
t-z)

s2(br)
t(zt-z)(x
t-x)f ’
13.6. Проблема идентификации
Изменение формы уравнений хотя и позволяет устранить проблему коррелированности объясняющей переменной и случайного отклонения, но может привести к другой, не менее серьезной проблеме - проблеме идентификации. Под проблемой идентификации понимается возможность численной оценки параметров структурных уравнений по оценкам коэффициентов приведенных уравнений.
Исходную систему уравнений называют идентифицируемой (точно определенной), если по коэффициентам приведенных уравнений можно однозначно определить значения коэффициентов структурных уравнений. Обычно это удается сделать тогда, когда количество уравнений для определения коэффициентов структурных уравнений в точности равно количеству этих коэффициентов.
Исходную систему уравнений называют неидентифицируемой (недоопределенной), если по коэффициентам приведенных уравнений можно получить несколько вариантов значений коэффициентов структурных уравнений. Обычно это происходит тогда, когда количество уравнений для определения коэффициентов структурных уравнений меньше числа определяемых коэффициентов.
Исходную систему уравнений называют сверхидентифицируемой (]переопределенной), если по коэффициентам приведенных уравнений невозможно определить значения коэффициентов структурных уравнений. В этом случае система, связывающая коэффициенты структурных уравнений с коэффициентами приведенных уравнений, является несовместной. Обычно в этих случаях число уравнений для оценки коэффициентов структурных уравнений больше числа определяемых ко эффициентов.
13.6.1. Неидентифицируемость
Для понимания проблемы идентифицируемости необходимо понять суть принципиального различия между структурными и приведенными уравнениями. Например, в модели (13.1) “спрос - предложение” оценки коэффициентов уравнений (13.li) и (13.Ь) определяют функции спроса и предложения. Оценивая же коэффициенты приведенных уравнений, мы определяем точку пересечения кривых спроса и предложения, т. е. равновесную цену р
е и равновесное количество q
e. Очевидно, что, определив эти значения, мы не сможем восстановить функции спроса и предложения, т. к. через одну точку на плоскости можно провести бесконечно много кривых.
Построим приведенные уравнения для рассматриваемой модели (13.1). Для этого используем условие равновесия (13.1
3):
(Хо + oqpt + Sti = Ро + PiPt + St2- (13.25)
Решим данное уравнение относительно p
t:
Pt = X
0 + u
t, (13.26)
где л
0 = ———, u
t = ——— - случайный член.
бі-Bj б
г-Bj
Подставляя найденное значение p
t в (13.1Д или (13.12), получим:
q
t = Xi + D
t, (13.27)
б
те
біВ
0 -6
0Bj
Bie
tl
t2
где л
случайный член.
x
t
бі-Bj 6j -Bj
Уравнения (13.26) и (13.27) образуют систему приведенных уравнений. Однако система структурных уравнений имеет четыре неизвестных коэффициента: do, oq, Ро, Рь Из курса алгебры известно, что для однозначного определения к неизвестных необходимо иметь не менее к (независимых) уравнений. Следовательно, мы не сможем однозначно определить четыре коэффициента, располагая лишь системой из двух уравнений:
в
0 -б
0
61 -
Bl ’
(13.280
(13.280
л
0 —
біВр -6
0B
l бі-Bj
Лі =
Легко заметить, что приведенные уравнения (13.26) и (13.27) при отбрасывании случайных членов устанавливают значения p
t = Хр и q
t = А.1, которые фактически определяют точку пересечения кривых спроса и предложения (точку рыночного равновесия). Но через одну точку может быть проведено сколь угодно много линий (рис. 13.3, а). Поэтому для определения конкретных прямых необходима дополни-
тельная информация. Такую информацию обычно можно получить за счет экзогенных переменных, входящих в структурные уравнения.

Например, пусть в функцию спроса добавлена еще одна объясняющая (экзогенная) переменная I - доход потребителей. Тогда модель “спрос - предложение” имеет вид:
q°= осо + txipt + a
2i
t + Sti, (оц < 0, a
2 > 0), (13.29і)
<
qf = Ро + PiPt + 6t2- (Pi > 0). (13.29
2)
Такое добавление предоставляет нам некоторую дополнительную информацию о поведении потребителя. Согласно экономической теории для нормальных товаров а
2 > 0. Приравняв количество спроса количеству предложения, имеем:
q
t - Х
2 + A,
3i
t + Щ,
(13.33)
(13.34)
б
хе
біВр -б
0В
1 бі -Bj
б2В1
бі -в,
' Bietl
t2
где л
2 =
Xt =
Лі =-
бі -в,
|
|
|
a0 + aipt + a2it + su = po + PiPt + sl2. |
(13.30) |
|
Или |
|
|
Pt = X0 + Ut + i)t, |
(13.31) |
B0 — ^0 ®t2 — ®tl
где л0 = 0 , Лі = 2 , xt = .
6j - B| 6j - В | 6j - В | |
(13.32) |
|
Приравняв цену спроса цене предложения в точке равновесия на основании (13.29), имеем: |
Уравнения (13.31) и (13.33) являются приведенными уравнениями. Применив МНК, нетрудно найти оценки их параметров Хо, Х\, Х
2, X
з. Однако этого недостаточно для оценки пяти параметров ао, аі, а
2, Р о, Рі системы структурных уравнений (13.29). Но в этом случае мы сможем определить параметры р
0 и Рі функции предложения (13.29
2):
л,
ві =
Л,
в,
Л
2 віло-
(13.350 (13.350
Но ао, аі, а
2 определить однозначно нельзя. Следовательно, требуется некоторое доопределение. Заметим, что добавление объясняющей переменной в функцию спроса (13.29і) позволило нам определить функцию предложения (рис. 13.3, б).
Если в функцию предложения добавить объясняющую переменную (например, предопределенную переменную Pt-i), исключив при этом доход из функции спроса, то можно получить конкретную функцию спроса при неопределенной функции предложения (рис. 13.3, в). Обоснование данного вывода проводится по аналогии с вышеописанной схемой и рекомендуется для упражнения.
Заметим, что если в каждое из структурных уравнений модели “спрос - предложение” наряду с ценой товара будет добавлено по одной объясняющей (экзогенной или предопределенной) переменной (например, i
t в функцию спроса и p
t_i в функцию предложения), то коэффициенты структурных уравнений могут быть оценены однозначно. В этом случае модель является однозначно определенной (идентифицируемой).
13.6.2. Сверхидентифицируемостъ
Рассмотрим модель “спрос - предложение” с числом экзогенных переменных, превышающим количество структурных уравнений:
q°= а
0 + aipt + a
2i
t + a
3s
t + s
tb (ІЗ.З61)
qJ=po + PiPt + p2Pt-i + St2, (13.36
2)
где переменная s
t представляет собой объем сбережений к моменту времени t.
Из условия рыночного равновесия несложно получить следующие приведенные уравнения:
(13.39)
(13.37)
(13.38)
Pt - 7ц) + A-iit + T^St + XsPt + l)t,
Qt = ^4 + X5it + ^6St + A,7Pt-i + TUt. |
 |
Здесь
|
r |
 |


Мы видим, что для оценки семи структурных коэффициентов осо, осі, аг, аз, Ро, Рь Р2 в данном случае получено восемь уравнений (13.39). В результате однозначное определение структурных коэффициентов невозможно в силу противоречивости соотношений. Например, из (13.39) следует невозможность определения Рі. Действительно, Рі = Х
6 /Аз и Р] = Х
5 Рк\. Но это возможно лишь при условии, что Хб /7,2 = 7ч /7ч, а это нереально. Так как Рі входит во все уравнения для оценки приведенных коэффициентов, то оценка оставшихся структурных коэффициентов также неосуществима. В данном случае мы попадаем в ситуацию переопределенности или сверхидентифицируемости. При этом мы как бы имеем “слишком много” информации (ограничений) для определения кривой предложения. Противоречивость информации не позволяет получить искомое решение.
Заметим, что в ситуации неидентифицируемости информации “слишком мало”. Это дает возможность существованию нескольких различных кривых, удовлетворяющих ограничениям модели.
13.7. Необходимые и достаточные условия идентифицируемости
Для быстрого формального определения идентифицируемости структурных уравнений применяются следующие необходимые и достаточные условия. Пусть система одновременных уравнений включает в себя N уравнений относительно N эндогенных переменных. Пусть в системе имеется М экзогеннных либо предопределенных переменных. Пусть количество эндогенных и экзогенных переменных в проверяемом на идентифицируемость уравнении равно п и m соответственно. Переменные, не входящие в данное уравнение, но входящие в другие уравнения системы, назовем исключенными переменными (из данного уравнения). Их количество равно N - п для эндогенных и М -m для экзогенных переменных соответственно.
Первое необходимое условие
Уравнение идентифицируемо, если оно исключает, по крайней мере, N - 1 переменную (эндогенную или экзогенную), присутствующую в модели: (N - п) + (М - ш) > N - 1.
Второе необходимое условие
Уравнение идентифицируемо, если количество исключенных из уравнения экзогенных переменных не меньше количества эндогенных переменных в этом уравнении, уменьшенном на единицу: М - m > п -1.
Знаки равенства в обоих необходимых условиях соответствуют точной идентификации уравнения.
Приведем примеры использования данных условий для определения идентифицируемости структурных уравнений.
1. В простой модели “спрос - предложение” (13.1)
|
qf = 60 + 61pt+etl, |
 |
N = 2, М = 0. Для каждого из уравнений п = 2, m = 0. Следовательно, первое необходимое условие ((N - п) + (М - ш) > N - 1) не выполняется для обоих уравнений, т. к. в данном случае (N - п) + (М - ш) = 0, а N-1 = 1. Это означает, что оба они неидентифицируемы.
2. В модели (13.29) в функцию спроса добавлена экзогенная переменная I (доход потребителей):
' q°= do + aipt + a
2i
t + Ец, (ai < 0, a
2 > 0), Ді = Po + PiPt + St
2- (Pi > 0),
N = 2, M = 1. Для обоих уравнений n = 2. Для первого уравнения m = 1, а для второго m = 0. Тогда для первого уравнения (N - п) + (М - ш) = 0 < < 1 = N - 1. Первое необходимое условие не выполняется, и данное уравнение неидентифицируемо. Для второго уравнения системы (13.29) (N - п) + (М - т) = 1 = N - 1. Данное уравнение точно идентифицируемо. Следовательно, функция предложения может быть определена однозначно.
3. В модели
q°=ao + aipt + a
2it + Sti, (13.40і)
4
qf=Po + PiPt+p2Pt-i + St2, (13.40
2)
N = 2, М = 2. Для каждого уравнения п = 2, m = 1. В этом случае для любого из уравнений (N - п) + (М - т) = 1 = N - 1. Следовательно, оба уравнения системы (13.40) точно идентифицируемы.
4. В модели (13.36)
rq°= a
0 + aipt + a
2i
t + a
3s
t + s
tb
[q? = Po + PiPt + P2Pt-l + St2,
N = 2, M = 3. Для каждого уравнения n = 2. Количество исключенных переменных в первом уравнении ш = 2. Тогда уравнение (13.36Д точно идентифицируемо, т. к. для него (N - п) + (М - т) = 1 = N - 1. Для уравнения (13.36
2) т = 1. Следовательно, для него (N - п) + (М - т) = = 2>1=N-1. Это уравнение является переопределенным. Для однозначной оценки коэффициентов функции предложения в этом случае необходимо использовать другие специальные методы (см. раздел 13.8.2).
Необходимые и достаточные условия идентифицируемости
В модели, содержащей N уравнений относительно N эндогенных переменных, условие идентифицируемости выполняется тогда и только тогда, когда ранг матрицы, составленной из исключенных из данных уравнений переменных, но входящих в другие уравнения системы, равен N - 1.
13.8. Оценка систем уравнений
13.8.1. МНК для рекурсивных моделей
Одним из случаев успешного применения МНК для оценки структурных коэффициентов модели является его использование для рекурсивных (треугольных) моделей. В этих моделях эндогенные переменные последовательно (рекурсивно) связаны друг с другом. А именно, первая эндогенная переменная Yi зависит лишь от экзогенных переменных Х
ь і = 1, 2, ..., ш и случайного отклонения Вь Вторая эндогенная переменная Y2 определяется лишь значениями экзогенных переменных Х
ь і = 1, 2, ш случайным отклонением в
2, а также эндогенной переменной Yi. Третья эндогенная переменная Y
3 зависит от тех же переменных, что и Y
2, случайного отклонения s
3, а также от предыдущих эндогенных переменных (Yi, Y
2) и т. д.
В этих моделях структурные уравнения оцениваются поэтапно (Yi —» Y
2 —» Y
3 —» ... —> Y
n). Применение МНК для таких моделей позволяет получить несмещенные и состоятельные оценки.
Однако модели данного типа встречаются достаточно редко. В общем случае для оценки структурных коэффициентов вначале необходимо преобразовать исходные уравнения к приведенному виду, а затем применять обыкновенный МНК. Методы, основанные на данной процедуре, называются косвенными методами наименьших квадратов. Схема и пример применения данного метода приведены в параграфе 13.4.
13.8.2. Двухшаговый метод наименьших квадратов (ДМНК)
Описание данного метода прокомментируем примером его использования для модели IS - LM для закрытой экономики при фиксированной налоговой ставке (t):

(13.410
(13.410
Уравнение (13.41
2) является переопределенным (относительно переменной г) и для оценки его коэффициентов рекомендуется использовать метод инструментальных переменных (ИП). Но для этого необходимо найти соответствующие инструментальные переменные. Этот поиск позволяет осуществить двухшаговый МНК (ДМНК). Суть
данного метода состоит в использовании в качестве инструментальной переменной оценки переопределенной переменной, полученной на базе экзогенных (или предопределенных) переменных модели.
Шаг 1
В уравнении (13.412) переопределенной переменной является процентная ставка г. Ее можно оценить, опираясь лишь на экзогенные переменные (например, вычитая из (13.412) соотношение (13.411)):
R = Ao + A,iM + ^G + M + u (х= 62-61). (13.42)
ві -бі
Применяя для (13.42) МНК, мы получаем оценку г переменной г:
г = л
0 + HjM + h
2G + n
3t, (13.43)
где г - условная средняя при фиксированных значениях М, G, t.
Шаг 2
Подставляя оценку (13.43) в уравнение (13.4G), имеем:
Y = Ро + Pi ? +P2M+S2. (13.44)
Данная замена позволяет преодолеть такую существенную проблему переопределенных моделей, как коррелированность объясняющей переменной со случайным членом (напомним, что такая коррелированность приводит к получению смещенных и несостоятельных оценок). Действительно, оценка г выражается только через экзогенные переменные и, следовательно, не коррелирует со случайным отклонением. Фактически ее можно рассматривать как новую экзогенную переменную.
Заменив в модели (13.41) уравнение (13.4G) на (13.44), мы получаем систему, которую можно оценить с помощью МНК.
При наличии в модели более одной переопределенной переменной на первом этапе необходимо оценить все такие переменные.
ДМНК обладает определенными свойствами, делающими его весьма привлекательным для практического применения.
1. В данном методе первый этап (этап построения приведенных уравнений) применяется для конкретных уравнений, не затрагивая оставшиеся уравнения модели. Это позволяет минимизировать объем вычислений.
2. При наличии переопределенных уравнений ДМНК в отличие от МНК определяет единственные оценки параметров модели.
3. При использовании данного метода достаточно использовать лишь экзогенные и предопределенные переменные модели.
4. Применение ДМНК будет эффективным лишь в том случае, когда коэффициент детерминации R2 для приведенных уравнений, построенных на первом этапе, будет достаточно высоким. В этом случае инструментальные переменные (в нашем примере это - г) в очень малой степени коррелируют со случайным отклонением и будут близки к истинному значению (г) заменяемых переменных. При низком значении R2 использование ДМНК малопродуктивно, т. к. в этом случае инструментальная переменная весьма слабо соответствует истинному значению заменяемой переменной.
Заметим, что использование метода ИП как составной части
ДМНК позволяет получать состоятельные оценки и оценки стандартных отклонений для выборок больших объемов. Однако для малых
выборок выводы будут не столь конкретными.
Вопросы для самопроверки
1. Каковы основные причины использования систем одновременных уравнений?
2. В чем состоит основное различие между структурными уравнениями системы и уравнениями в приведенной форме?
3. Почему обычный МНК практически не используется для оценки систем одновременных уравнений?
4. В чем состоит суть косвенного метода наименьших квадратов (КМНК)?
5. С какой проблемой зачастую сталкиваются при численной оценке параметров структурных уравнений по оценкам коэффициентов приведенных уравнений?
6. Назовите причины неидентифицируемости и сверхидентифицируемости систем структурных уравнений.
7. Приведите необходимые и достаточные условия идентифицируемости систем.
8. Для оценки каких систем возможно использование обычного МНК?
9. В чем состоит суть двухшагового метода наименьших квадратов (ДМНК)?
10. Какие из следующих утверждений являются истинными, ложными или не определенными? Ответ поясните.
а) Обычный МНК неприменим для оценки коэффициентов структурных уравнений систем одновременных уравнений.
б) Основная причина редкого использования МНК для оценки коэффициентов структурных уравнений систем одновременных уравнений, т. к. в этом случае существуют методы получения более качественных оценок.
в) Экзогенные и предопределенные переменные модели, по сути, являются одним и тем же.
г) Инструментальные переменные позволяют решить одну из серьезных проблем систем одновременных уравнений - проблему коррелированности объясняющей переменной со случайным отклонением.
д) Проблема неидентифицируемости в первую очередь связана с невозможностью получения оценок коэффициентов структурных уравнений.
е) Не существует какого-либо единого критерия для оценки общего качества всей системы одновременных уравнений в целом.
ж) Если уравнения точно идентифицируемы, то оценки, получаемые по методу инструментальных переменных, и оценки, получаемые по ДМНК, будут идентичны.
з) Оценки, получаемые по ДМНК, обладают желательными свойствами лишь при больших выборках.
и) Для точно идентифицируемых систем ДМНК не используется.
11. Пусть макроэкономическая модель закрытой экономики представлена в следующем упрощенном виде:
Ct=Po + Piyt + s
t,
j it = Yo + YlE + u
t,
. Yt = (H + i
t + gt-
Здесь yt - ВНП в году t; Ct - объем потребления в году t; it - объем инвестиций в году t; gt - объем государственных расходов в году t; r
t - процентная ставка в году t.
а) Какие из указанных переменных данной модели являются экзогенными, а какие - эндогенными?
б) Является ли модель точно идентифицируемой?
в) Как можно оценить параметры модели?
12. Объясните на примере системы из трех уравнений, что отбрасывание из каждого уравнения системы по одной переменной не может гарантировать идентифицируемости каждого из рассматриваемых уравнений.
Упражнения и задачи
1. Рассматривается следующая модель
Г ct = Ро + Piyt + s
t, у t = Yo + nyt + Y2 gt-i + Ut,
.yt = c
t + it + gt,
где С - объем потребления; I - объем инвестиций; Y - доход; G - объем государственных расходов.
а) Представьте данную систему в приведенной форме.
б) Что можно сказать относительно идентифицируемости функции потребления и функции инвестиций?
в) Что можно было бы сказать относительно оценки предельной склонности к потреблению, если бы она была определена по обычному МНК на основе уравнения Ct = Ро + Piyt + ?|?
2. Рассматривается следующая модель
Ct = Ро + Piyt + St,
J i
t = Yo + Yiyt+ Y2 yt-i +u
t, y
t = c
t + i
t + gt,
где С - объем потребления; I - объем инвестиций; Y - доход; G - объем государственных расходов.
а) Представьте данную систему в приведенной форме.
б) Определите, какие из структурных уравнений идентифицируемы?
в) Какой метод можно использовать для оценки параметров рассматриваемой модели?
3. Рассматривается модель “спрос - предложение” следующего вида:
q? =6
0+6iP
t+6
2y
t + 6
1p
t_
1+e
t, а(в
ь Sj) = 0 при i ^ j.
< =в
0 +Bjp
t +x
t, a(o
b Uj) = 0 при i *j.
D S
I qt =qt-
а) Будут ли идентифицируемы уравнения данной системы?
б) Какие оценки параметров можно получить на основе использования МНК?
в) Как можно оценить уравнение предложения с помощью метода инструментальных переменных?
г) Как можно оценить уравнение предложения с помощью ДМНК?
д) Как связаны между собой оценки, полученные в пунктах в) и г)?
е) Можно ли оценить уравнение спроса на основе косвенного МНК?
- предложение” следующего вида: ао + аіР + в,
Ро + РіР + P2W + о,
4.
Рассматривается модель “спрос
спрос: Q =
§
предложение: у Q =
qd =
где Q - количество товара; Р - цена товара; W - заработная плата; в, о -случайные отклонения, удовлетворяющие предпосылкам МНК.
Пусть имеются следующие наблюдения
|
р |
10 |
15 |
5 |
8 |
4 |
|
Q |
6 |
6 |
18 |
12 |
8 |
|
W |
2 |
6 |
2 |
7 |
4 |
а) Какие из переменных в данной модели являются экзогенными, а какие -эндогенными?
б) Представьте данную систему в приведенном виде.
в) Определите по МНК коэффициенты приведенных уравнений (если возможно).
г) Совпадают ли знаки найденных коэффициентов с предполагаемыми по теории?
д) На основе найденных приведенных коэффициентов по КМНК определите структурные коэффициенты для функции спроса.
е) Можно ли по КМНК оценить структурные коэффициенты для функции предложения? Если да, то как?
5. Пусть модель “доход - потребление” представлена в следующем виде:
Г c
t = Po + Piyt + s
t,
J i
t = Yo + Yirt + ut,
[yt = c
t + i
t + gt-
Здесь yt - ВНП в году t; Ct - объем потребления в году t; it - объем инвестиций в году t; gt - объем государственных расходов в году t; ц - процентная ставка в году t.
а) Какие из указанных переменных данной модели являются экзогенными, а какие - эндогенными?
б) Поясните, какие знаки коэффициентов ожидаются с точки зрения экономической теории.
в) Приведите формулы расчета коэффициентов соответствующих приведенных уравнений:
" yt = 7^10 + ТГі 1П + 7Гі2 gt + ^lt,
" C
t = Л20 + 7Т2іЕ + Л22 gt + U2t,
L it = Л30 + ЛЗІЙ + 7Г32 gt + U2t-
г) Какие из параметров структурных уравнений идентифицируемы?
д) Определите на основе КМНК параметры (Зо и (Зц
6. Пусть модель “доход - потребление” представлена в следующем виде:
' Ct=Po + Piyt+PlCt-l +6ь ¦I it = Yo + YlE + Ut,
.Yt = c
t + it + gt-
Здесь yt - ВНП в году t; Сц Ct_i - объемы потребления в годах t и t—1 соответственно; it - объем инвестиций в году t; gt - объем государственных расходов в году t; r
t - процентная ставка в году t.
а) Какие из указанных переменных данной модели являются экзогенными, эндогенными, а какие - предопределенными?
б) Поясните, какие знаки коэффициентов ожидаются с точки зрения экономической теории.
в) Определите идентифицируемость структурных уравнений на основе необходимых и достаточных условий идентифицируемости.
г) Приведите формулы расчета коэффициентов соответствующих приведен-нвіх уравнений:
” Yt = TTlO + ^ІіП + 7Ті2 gt + 7T13 C
t-1 +Оц,
- Ct = Л20 + 7Г21Й + Л22 gt + ^23 Ct-1 + U2t,
. it = Л30 + ЛЗІЙ + Л32 gt + Л33 C
t-i + ^2t-
д) Какие из параметров структурнвіх уравнений идентифицируемы?
е) Опишите схему использования ДМНК для оценки параметров структурных уравнений.
7. Рассматривается следующая система одновременных уравнений:
Г qt = Po + PlPt+p2it + s
t,
]qt = YlPt + u
t-
а) Какие из переменных являются экзогенными, а какие - эндогенными в данной модели?
б) Пусть по статистическим данным получены следующие результаты:
Eqt =1Ю, ЕР? =50, Еі? =80, Eq
tPt = 100, Eq
ti
t=90, Zp
ti
t=100. Найдите на основе МНК оценку параметра уі.
в) Найдите оценку этого же параметра на основе КМНК и на основе ДМНК.
г) Сравните найденные оценки. Какую бы из них вы предпочли и почему?
8. Рассматривается следующая система одновременных уравнений:
Г У It = Ро + PlY2t + P2Xt + St,
[Y2t = Yo + YlYlt + Ut-
Пусть данная система в приведенном виде выражена следующими соотношениями
Г уц = 2 + 5 x
t,
\ Y2t = 1 + 10x
t.
а) Оцените идентифицируемые параметры структурных уравнений.
б) Оцените идентифицируемые параметры структурных уравнений в предположении, что Рі = 0.
в) Оцените идентифицируемые параметры структурных уравнений в предположении, что Ро = 0.
9. Ниже приведены данные по ВНП (Y), потреблению (С) и инвестициям (I) для вымышленной экономики за 20 лет:
|
Y |
95.75 |
98.55 |
103.55 |
109.00 |
108.25 |
107.40 |
112.70 |
117.75 |
123.45 |
126.55 |
|
С |
60.45 |
62.45 |
65.90 |
68.90 |
68.45 |
70.00 |
73.55 |
76.55 |
79.70 |
81.60 |
|
I |
14.30 |
15.85 |
17.75 |
19.70 |
18.10 |
14.60 |
17.35 |
20.00 |
22.15 |
22.30 |
|
Y |
125.85 |
128.10 |
125.35 |
130.25 |
138.30 |
142.65 |
146.80 |
151.30 |
157.40 |
161.25 |
|
С |
81.55 |
82.55 |
83.45 |
87.35 |
91.55 |
95.50 |
99.00 |
101.75 |
105.40 |
107.45 |
а) В предположении, что потребление зависит линейно от дохода по схеме простейшей кейнсианской модели формирования доходов Ct = Ро + Piyt +St (см. модель 13.3), оцените по МНК параметры Ро и Рі функции потребления.
б) Оцените те же параметры на основе косвенного метода наименьших квадратов.
в) Сравните полученные результаты. Сделайте выводы по качеству оценок.
10. Рассматривается следующая кейнсианская модель:
С Ct = Ро + Piyt + P2Tt + St,
I it = a
0 + aiyt-1 + u
t,
I T
t = yo + nyt + ra
t,
.yt = c
t + it + gt,
где Y - доход; С - потребление; I - инвестиции; T - налоги; s, u, w - случайные члены
а) Какие переменные в данной модели являются эндогенными, какие - экзогенными, а какие - предопределенными?
б) На основании необходимых и достаточных условий идентифицируемости определите, какие из уравнений идентифицируемы?
в) Будет ли идентифицируема система в целом?
г) Что изменится, если в функцию инвестиций добавить экзогенную переменную ц - процентную ставку в году t?
11. Рассматривается следующая модель:
Г r
t = Ро + Piy
t + Р2 m
t + s
t,
|yt = «о + «й + u
t,
где r
t - процентная ставка в году t; yt - ВВП в году t; m
t - денежная масса М2 в году t.
а) Можно ли идентифицировать уравнения рассматриваемой модели?
б) Какой метод нахождения оценок параметров целесообразен для рассматриваемой модели?
в) На основании нижеприведенных статистических данных оцените параметры идентифицируемых уравнений. Совпадают ли знаки найденных оценок с предполагаемыми по теории.
|
й |
6.55 |
4.50 |
4.45 |
7.00 |
7.50 |
8.75 |
9.70 |
10.00 |
11.50 |
7.75 |
|
Yt |
95.75 |
98.5 |
103.55 |
109.00 |
108.25 |
107.40 |
112.70 |
117.75 |
123.45 |
126.55 |
|
mt |
58.30 |
60.00 |
60.55 |
64.50 |
65.00 |
63.45 |
67.60 |
70.50 |
74.00 |
76.50 |
|
Й |
6.00 |
6.10 |
5.90 |
9.80 8.00 7.50 |
7.00 |
6.50 |
7.40 |
5.50 |
|
Yt |
125.85 128.10 |
125.35 |
130.25 138.30 142.65 |
146.80 |
151.30 |
157.40 |
161.25 |
|
mt |
75.00 |
77.25 |
74.00 |
78.45 83.50 87.00 |
88.00 |
90.50 |
94.40 |
96.50 |
12. Рассматривается следующая макроэкономическая модель:
ct= Ро + Рш + РгЙ + Вц,
J r
t = а
0 + apt + а
2 m
t + s
2t, it = Yo + Ylrt + Y
2(yt - Yt-l) + e
3t,
,yt = + it + gt,
где ct - объем потребления в году t; ц - процентная ставка в году t; it - объем инвестиций в году t; yt - ВВП в году t; mt - денежная масса М2 в году t; gt - объем государственных расходов в году t.
а) Какие из рассматриваемых уравнений идентифицируемы?
б) Каким методом могут быть оценены параметры идентифицируемых уравнений?
13. Рассматривается следующая модель, состоящая из двух уравнений:
fyt = ao + aix
t + sit,
[z
t = ро + Piyt + s
2t. a(si, e
2) = 0.
а) Каким методом может быть оценена рассматриваемая система? Может ли быть для этого использован обыкновенный МНК?
б) Будут ли оценки, полученные по МНК, совпадать с оценками ДМНК?
в) Как может быть оценена данная система, если в ее второе уравнение в качестве объясняющей переменной будет добавлена переменная X?
14. Рассматривается модель спроса и предложения для денег:
Г mP = a
0 + aiy
t + а
2 r
t_i + а
3 p
t_i + в
и.
[_т? =Po + Piyt + s
2t.
Здесь yt - доход; т]3- объем спроса на деньги; mf- объем предложения денег в году t; r
t_i - процентная ставка; pt—і - индекс цен в году t - 1.
а) Будут ли идентифицируемы обе эти функции?
б) Каким методом могут быть найдены оценки идентифицируемых параметров?
в) Что произойдет с идентифицируемостью системы, если в функцию предложения будут добавлены в качестве объясняющих переменных yt—і и гщ_і?
г) Какой метод определения оценок целесообразен при выполнении предыдущего пункта?
БАЗОВЫЕ ПОНЯТИЯ ТЕОРИИ ВЕРОЯТНОСТЕЙ
Любая экономическая активность не носит строгий детерминированный характер. Это означает, что, осуществляя ту или иную экономическую операцию, заключая ту или иную сделку, анализируя динамику макроэкономических показателей и т. д., ни один, даже самый авторитетный специалист не может быть уверен в конечном результате. Это связано с тем, что по своей природе все такие операции и показатели являются случайными. В чем причина этого? Прежде всего, это связано с непредсказуемостью доминирующего субъекта такой активности - человека. Во-вторых, это вызвано тем, что на любой экономический показатель воздействует огромное количество различных факторов. Одни из них человеком не контролируются, а другие он просто не замечает и не может оценить. Например, вы строите в данном регионе автомобильный завод, рассчитывая со временем на определенную прибыль. Вы пытаетесь спрогнозировать ваш будущий доход и издержки. Доход будет зависеть от спроса на автомобили данного класса и установившейся на рынке цены на них. Можем ли мы гарантировать спрос? Безусловно, нет. На него влияет такое огромное количество явных и неявных факторов, что обозреть их все не представляется возможным. Например, спрос будет определяться ценой ваших автомобилей (в принципе, ею вы можете управлять). Но он зависит также от цены на автомобили конкурентов, цены на бензин, доходов потребителей, их вкусов, ожиданий, изменения экономической конъюнктуры и многих других факторов, которые просто не видны. То же самое можно сказать и об издержках, которые зависят от цены на сырье, на факторы производства. Эти показатели также далеко неоднозначны. Из сказанного можно сделать вывод, что в данной ситуации может быть рассчитана лишь приблизительная прибыль и оценена возможная погрешность. Как научно обосновать результаты экономической активности? Все это можно осуществить, лишь рассматривая экономические показатели и взаимосвязи в терминах теории вероятностей и математической статистики. Теория вероятностей изучает закономерности случайных явлений и оценивает вероятности случайных событий.
1.1. Вероятностный эксперимент, событие, вероятность
Вероятностный эксперимент (испытание) - эксперимент, результат которого не предсказуем заранее, т. к. он является случайным в силу сложного сочетания естественных причин.
Любое действие в экономике по своей сути является вероятностным экспериментом. Строительство автомобильного завода в контексте получения прибыли является вероятностным экспериментом.
Событие - это любой исход или совокупность исходов какого-либо вероятностного эксперимента. Получение прибыли можно рассматривать как результат строительства завода. Событие, которое может произойти или не произойти в условиях данного эксперимента, называется случайным (прибыль может быть, а может и не быть). Если событие происходит всегда в условиях данного эксперимента, то называется достоверным (спрос на автомобили упадет при резком снижении доходов населения). Событие называется невозможным, если оно не происходит никогда в условиях данного эксперимента (при прочих равных условиях рост спроса на автомобили приводит к снижению их цены). События, которые не могут происходить одновременно, называются несовместимыми (увеличение налогов - рост располагаемого дохода). В противном случае они называются совместимыми (увеличение объема продаж - увеличение прибыли). Два события называются противоположными, если одно из них происходит тогда и только тогда, когда не происходит другое (товар реализован - товар не реализован). Событие, которое нельзя разбить на более простые, называется элементарным (продажа автомобиля). Событие, представимое в виде совокупности (суммы) нескольких элементарных событий, называется составным (предприятие не потерпело убытки -прибыль может быть положительной либо равной нулю).
Вероятность события - это количественная мера, которая вводится для сравнения событий по степени возможности их появления.
Классическое определение вероятности. Вероятностью события А называется отношение числа m элементарных событий (исходов), благоприятствующих появлению события А, к числу п всех элементарных событий в условиях данного вероятностного эксперимента:
Р(А) = ”п~ ' (11)
Из определения вытекают следующие свойства вероятности:
1. О < Р(А) < 1;
2. вероятность достоверного события Р(А) = 1;
3. вероятность невозможного события Р(А) = 0;
4. если события А и В несовместимы, то Р(А+В) = Р(А) + Р(В);
5. если А и А - противоположные события, то Р( А) = 1 - Р(А).
В экономических исследованиях значения m и и в формуле (1.1) могут трактоваться несколько иначе. При статистическом определении вероятности события А под и понимается количество наблюдений результатов эксперимента, в которых событие А встретилось ровно m раз. В этом случае отношение ш/п называется относительной частотой события А.
При определении вероятности по методу экспертных оценок под и понимается количество опрашиваемых экспертов (специалистов в данной области) на предмет возможности осуществления события А. При этом іи из них утверждают, что произойдет событие А.
В некоторых случаях мы можем располагать историей тех или иных действий (вероятностных экспериментов). Например, при заключении сделки, определении курса акций и во многих других случаях вероятностные эксперименты осуществляются в изменяющихся условиях. В этом случае говорят о субъективной (интуитивной) вероятности., отражающей степень нашей информированности о причинах, которые могут повлиять на исход рассматриваемого события. Эта вероятность чем-то близка к классической вероятности, но с неравновозможными, не всегда элементарными и не однозначно связанными с изучаемым исходом и его причинами (заменяющими классические равновозможные элементарные события).
1.2. Случайная величина
Понятие случайного события недостаточно для описания результатов наблюдений (действий) некоторых величин, имеющих числовое выражение. Например, при анализе прибыли предприятия в первую очередь интересуются ее размерами. Поэтому понятие случайного события дополняется понятием случайной величины.
Случайной величиной (СВ) называют величину, которая в результате наблюдения принимает то или иное значение, заранее неизвестное и зависящее от случайных обстоятельств.
Объем ВНП, количество реализованной продукции, прибыль фирмы, размер чистого экспорта за год и т. д. являются случайными величинами.
Различают дискретные и непрерывные СВ. Дискретной называют такую СВ, которая принимает отдельные, изолированные значения с определенными вероятностями (такая СВ имеет счетное количество значений). Непрерывной называют такую СВ, которая может принимать любое значение из некоторого конечного или бесконечного про-іб
межутка (т. е. число возможных значений непрерывной СВ бесконечно). Например, можно считать, что число покупателей в магазине, побывавших там в течение дня; число автомобилей, ремонтируемых еженедельно в данной мастерской; число находящихся в аэропорту самолетов являются дискретными СВ. Однако большинство СВ, рассматриваемых в экономике, имеют настолько большое число возможных значений, что их удобнее представлять в виде непрерывных СВ. Например, курсы валют, доход, объемы ВНП, ВВП и т. п. обычно рассматриваются как непрерывные СВ.
Для описания дискретной СВ необходимо установить соответствие между всеми возможными значениями СВ и их вероятностями. Такое соответствие называется законом распределения дискретной СВ. Его можно задать таблично, аналитически (в виде формулы) либо графически.
При табличном задании закона распределения дискретной СВ X первая строка таблицы содержит ее возможные значения, а вторая -их вероятности:
|
X |
хі х2 ...... xk |
|
рі |
Pi Р2 ...... Pk |
Обычно хі < х
2 < ...< х
к. Обязательно рі + р
2 + • • • + Рк = 1 •
Пример 1.1. На станции технического обслуживания анализируются затраты времени на ремонт автомобилей. На основании данных, полученных по 100 автомобилям, выяснилось, что для 25 из них требуется 1 ч для проведения профилактических работ. Мелкий ремонт требуется для 40 автомобилей, что занимает 2 ч. Для 20 автомобилей требуется ремонт с заменой отдельных узлов, что занимает в среднем 5 ч. 10 автомобилей могут быть отремонтированы за 10 ч. Для 5 автомобилей необходимое время ремонта составляет 20 ч. Построить закон распределения СВ X - времени обслуживания случайно выбранного автомобиля.
|
X |
1 |
2 |
5 |
10 |
20 |
|
Pi |
0.25 |
0.40 |
0.20 |
0.10 |
0.05 |
Аналитически СВ задается либо функцией распределения, либо плотностью вероятностей.
Функцией распределения СВ X называют функцию F(x), определяющую вероятность того, что случайная величина X принимает значение меньше, чем х, т. е.
F(x) = Р( X < х ) . (1.2)
Иногда эту функцию называют функцией накопленной вероятности или кумулятивной функцией распределения, что отражает ее суть. Из определения вытекают свойства функции распределения'.
1. О < F(x) < 1;
2. F(x) — неубывающая функция, т. е. (хі < х
2) => F(xi)
2);
3. lim F(x) = 0, Пт F(x) = l;
X—»—CO x—>+0O
4. P(a < X < b) = F(b) - F(a);
5. P(X > x) = 1 - F(x);
6. Если возможные значения СВ X принадлежат отрезку [а, Ь], то
F(x) =
0, если х<а;
1, если х>Ь.
График функции распределения дает наглядное представление о вероятности изменения значений СВ.
Для примера 1.1 функция распределения F(x) и ее график имеют
вид:
г
F(x) = J
?. |
|
|
|
|
F(x) |
0,
0.25, |
при х < 1; при 1 <х <2; |
1
0.95 |
|
0.65, |
при 2 <х < 5; |
0.85 |
|
0.85, |
при 5 <х < 10; |
|
|
0.95, |
при 10<х < 20; |
0.65 |
|
1, |
при х > 20. |
0.25 |
>
20 х
10
Рис. 1.1
Для непрерывной СВ нельзя определить вероятность того, что она примет некоторое конкретное значение (точечную вероятность). Так как в любом интервале содержится бесконечное число значений, то вероятность выпадения одного из них асимптотически равна нулю. В результате непрерывную СВ нельзя задать таблично. Однако функция распределения может быть использована для описания непрерывной СВ. При этом она является непрерывной неубывающей функцией, изменяющейся от 0 до 1 (рис. 1.2).
Плотностью вероятности (плотностью распределения вероятностей) непрерывной СВ X называют функцию
. P( x < X < x + Ax )
(1.3)
f(x) = lim -Д--z ¦
Дх —» 0 AX
Из свойства 4 функции распределения имеем
F(x + Ах) - F(x) _
F'(x) •
(1.4)
f(x)= lim
Ax —> 0
Ax
Итак, плотность вероятности равна производной от функции распределения (поэтому иногда ее называют дифференциальной функцией распределения).
Свойства плотности вероятности
1. f(x)>0;
2. Р(а < X < b) = I f(x)dx ;
а
3. для непрерывной СВ справедливы равенства
Р( а < X < Ь) = Р( а < х < Ь) = Р( а <Х < Ь) = Р(а < X < Ь);
4. если f(x) - плотность вероятности непрерывной СВ, то
функция распределения F(x) = jf(t)dt;
— СО
5. Jf(x)dx = l (условие нормировки).
— ОО
На рис. 1.2 и 1.3 изображены характерные графики функции распределения и плотности вероятности непрерывной СВ.

Из свойств функции распределения и плотности вероятности нетрудно заключить, что f(m) = tga = F'(x)x=m (a - угол наклона касательной к кривой F(x) в точке х = т). Площадь под графиком кривой плотности вероятности f(x) равна единице. Площадь заштрихованной фигуры S = j f(x)dx = Р(а < X < Ь). Вероятность попадания в “хвосты”
а
распределения СВ равна 1 - Р( а < X < Ь).
Таким образом, с помощью плотности вероятности f(x) непрерывной СВ X можно определить вероятность ее попадания в заданный интервал, т. е. Р(а < X < Ь), что имеет большое прикладное значение.
1.3. Числовые характеристики случайных величин
Во многих практических случаях информация о СВ, которую дает закон распределения, функция распределения или плотность вероятностей, является избыточной. Иногда даже выгоднее пользоваться числами, которые описывают СВ суммарно. Такие числа называют числовыми характеристиками СВ. Условно их подразделяют на характеристики положения (математическое ожидание, мода, медиана, начальные моменты различных порядков) и характеристики рассеивания (дисперсия, среднее квадратическое отклонение, центральные моменты различных порядков). Важнейшими из них являются математическое ожидание, дисперсия, среднее квадратическое отклонение.
Математическое ожидание характеризует среднее ожидаемое значение СВ, т. е. приближенно равно ее среднему значению. Для решения многих задач достаточно знать эту величину. Например, при оценивании покупательной способности населения вполне может хватить знания среднего дохода. При анализе выгодности двух видов деятельности можно ограничиться сравнением их средних прибыльностей. Знание того, что выпускники данного университета зарабатывают в среднем больше выпускников другого университета, может послужить основанием для принятия решения о поступлении в высшее учебное заведение и т. д.
Математическое ожидание М(Х) определяется следующим образом.
Для дискретной СВ:
М(Х)=?хгРі, (1.5)
і=і
где к - число всех возможных значений СВ X.
Для непрерывной СВ:
+00
М(Х)= j х • f(x)dx. (1.6)
— 00
Для СВ из примера 1.1 имеем:
М(Х) = 1-0.25 + 2-0.4 + 5-0.2 + 10-0.1 + 20-0.05 = 4.05.
Свойства математического ожидания
1. М(С) = С, где С = const;
2. М(С-Х) = С-М(Х);
3. М(Х ± Y) = М(Х) ± М( Y);
4. М(а-Х + Ь) = а-М(Х) + Ь;
5. Для независимых СВ М(Х • Y) = М(Х) • M(Y).
Таким образом, математическое ожидание рассчитывается в тех случаях, когда желают определить возможное среднее значение исследуемой величины. Однако для детального анализа поведения СВ знание лишь среднего значения явно недостаточно. Существуют отличные друг от друга случайные величины, имеющие одинаковые математические ожидания. Например, средний уровень жизни в Швеции и США приблизительно одинаков, однако разброс в доходах в этих странах существенно отличается. Акции двух компаний могут приносить в среднем одинаковые дивиденды, однако вложение денег в одну из них может быть гораздо более рискованной операцией, чем в другую. Следовательно, нужна числовая характеристика, которая будет оценивать разброс возможных значений СВ относительно ее среднего значения (математического ожидания). Такой характеристикой является дисперсия.
Дисперсией D(X) СВ X называется математическое ожидание квадрата отклонения СВ от ее математического ожидания. Она рассчитывается по формулам:
При этом для дискретных СВ
Для непрерывных СВ
Для СВ из примера 1.1. имеем:
D(X) = (1 - 4.05)2-0.25 + (2 - 4.05)2-0.4 + (5 - 4.05)2-0.2 +
+ (10 - 4.05)2-0.1 + (20 - 4.05)2-0.05 = 20.4475.
Свойства дисперсии
1. D(C) = 0, где С = const;
2. D(C • X) = С2 • D(X);
3. D(X ± Y) = D(X) + D(Y), где X и Y - независимые СВ;
4. D(a-X + b) = a2 D(X).
Дисперсия имеет размерность, равную квадрату размерности СВ. Для того чтобы представить разброс значений СВ в тех же единицах, что и саму СВ, вводится другая числовая характеристика - среднее квадратическое отклонение.
Средним квадратическим отклонением а(Х) СВ X называют квадратный корень из дисперсии D(X):
У(Х) = ?ЩХ). (1.10)
Чтобы оценить разброс значений СВ в процентах относительно ее среднего значения вводится коэффициент вариации ?(Х), рассчитываемый по формуле:
?(Х) = ^-г - too %. (1.11)
? 7 |М(Х)| ? 7
Для СВ из примера 1.1 имеем: а(Х) = ^/20,4475 = 4.5219;
?(Х) = 4.5219/4,05-100 % = 111.65 %.
Меры разброса (дисперсия, среднее квадратическое отклонение, коэффициент вариации) кроме оценивания рассеивания значений СВ обычно применяются при изучении риска различных действий со случайным исходом, в частности при анализе риска инвестирования в ту или иную отрасль, при оценивании различных активов в портфеле и портфеля активов в целом в финансовом анализе и т. д.
1.4. Законы распределений случайных величин
Большинство СВ подчиняется определенному закону распределения, на основании знания которого можно предвидеть вероятности попадания исследуемой СВ в определенные интервалы. Такое предсказание весьма желательно при анализе экономических показателей, ведь в этом случае появляется возможность осуществлять продуманную политику с учетом возможности возникновения той или иной ситуации. Законов распределений достаточно много. Мы ограничимся рассмотрением лишь тех, которые наиболее активно используются в эконометрическом анализе. К их числу относятся нормальное распределение, распределения х2, Стьюдента, Фишера. Для удобства использования данных законов были разработаны таблицы так называемых критических точек, которые позволяют быстро и эффективно оценивать соответствующие вероятности. Схема их использования будет описана ниже.
1.4.1. Нормальное распределение
Нормальное распределение (распределение Гаусса) является предельным случаем почти всех реальных распределений вероятности. Поэтому оно используется в очень большом числе реальных приложений теории вероятностей. Говорят, что СВ X имеет нормальное распределение, если ее плотность вероятности имеет вид
(х-т)2
f(X):
V2py
•е 2у2 (1.12)
Это равносильно тому, что функция распределения будет
(t-m)2
F(x) = —L— f e 2У2 dt. (1.13)
V2py .
 |
|
Рис. 1.4 |
Как видно из формул (1.12), (1.13), нормальное распределение зависит от параметров ш и а и полностью определяется ими. При этом m = М(Х), а = а(Х), т. е. D(X) = а2, п = 3.14159... , е = 2.71828... .
Если СВ X имеет нормальное распределение с параметрами М(Х) = ш и а(Х) = а, то символически это можно записать так: X ~ N(m, а) или X ~ N(m, а2). Очень важным частным случаем нормального распределения является ситуация, когда ш = 0 и а = 1. В этом случае говорят о стандартизированном (стандартном) нормальном распределении. В
дальнейшем стандартизированную нормальную СВ будем обозначать через U (U ~ N(0,1)), учитывая при этом, что
U
2 |
 |

|
f(u) |  |
(1.14)
Для практических расчетов специально разработаны таблицы функций f(u), F(u) стандартизированного нормального распределения, однако чаще используется так называемая таблица значений функции Лапласа Ф(и) (Приложение 1). Функция Лапласа имеет вид:
 |
2 dt = F(u) - 0.5. |
Ф(и)
(1.15)
Эти таблицы можно использовать для любой нормальной СВ X (X ~ N(m, а)) при расчете соответствующих вероятностей:
fb-
a - in
а-іи
in
Р(а < X < Ь) = F
(1.16)
^_ jj|
Заметим, что если X ~ N(m, а), то U =--N(0,1).
Как видно из рис. 1.4, нормально распределенная СВ X ведет себя достаточно предсказуемо. График ее плотности вероятности симметричен относительно прямой X = пт. Площадь фигуры под графиком плотности вероятности должна оставаться равной единице при любых значениях m и а. Следовательно, чем меньше значение а, тем более крутым является график. Кроме того, справедливы следующие соотношения. Р( | X - М(Х) | < а ) = 0.68; Р(| X - М(Х) | < 2а ) = 0.95; Р( I X - М(Х) I < За ) — 0.9973. Другими словами, значения нормально распределенной СВ X (X ~ N(m, а)) на 99.73 % сосредоточены в области [ш - За , in + За].
Важным является также тот факт, что линейная комбинация произвольного количества нормальных СВ имеет нормальное распределение. При этом, если X ~ N(mx, ах) и Y ~ N(my, ау) - независимые
СВ, то Z = аХ + bY ~ N(mz, az), где mz = а mx + b шу; у 2 = а2у 2 + b2y2.
Пример 1.2. В результате длительных наблюдений установлено, что размеры X и Y дивидендов по акциям фирм А и В соответственно являются независимыми нормально распределенными величинами: X' ~ N(mX' = 5, ах» = 5),
Y' ~ N(my' = 10, ay' = 15). Стоимость каждой акции составляет 100$. Инвестор хочет приобрести акции на 1000$.
а) Какие законы распределения имеют доходы X и Y от вложений всей суммы в акции только одной из фирм А или В?
б) Какой закон распределения имеет доход Z от покупки акций в пропорции 2 : 3?
в) Изобразите схематически графики плотностей вероятностей указанных СВ.
г) Какова вероятность, что получаемый доход Z от вложения будет лежать в пределах от 110 до 150?
а) На 1000$ инвестор может приобрести 10 акций. Если он приобретает акции только фирмы А или только фирмы В, то его доход выражается через СВ X =10Х' или Y = 10Y' соответственно. Тогда СВ X имеет нормальное распределение
с шх = 10тХ' = 50 иу2 = 102у2 = 100-25 =2500; а СВ Y имеет нормальное распределение с піу = Юпу = 150 и у2 = 102уу = 100-225 = 22500; т. е.
X ~ N(mx = 50, ах = 50), Y ~ N(my = 150, ау = 150).
б) Исходя из принятого решения, он приобретет четыре акции фирмы А и шесть акций фирмы В. Тогда доход от указанного вложения составит Z = 4Х'+ 6Y\ Следовательно, Z является нормально распределенной СВ как композиция нормальных СВ. При этом mz = 4-mX' + 6-ny = 4-5 + 6-15 = 110;
у I = 42у2 +62у2, = 16-25 + 36-225 = 8500; т. е. Z ~ N(mz = ПО, az « 92.2).

« 0.1678 - 0 = 0.1678.
Многие экономические показатели имеют нормальный или близкий к нормальному закон распределения. Например, доход населения,
прибыль фирм в отрасли, объем потребления и т. д. имеют близкое к нормальному распределение.
Нормальное распределение используется при проверке различных гипотез в статистике (о величине математического ожидания при известной дисперсии, о равенстве математических ожиданий и т. д.). Подробная схема работы с таблицей значений функции Лапласа Ф(и) приведена в разделе 1.5.1.
Зачастую при моделировании экономических процессов приходится рассматривать СВ, которые представляют собой алгебраическую комбинацию нескольких СВ. При этом желательно иметь возможность прогнозирования поведения таких СВ. Существенную роль в этом играет ряд специально разработанных теоретических законов распределений. К ним относятся /^-распределение, распределения Стьюдейта и Фишера.
1.4.2. Распределение %2(хи-квадрат)
Пусть Хь і = 1, ... , и - независимые нормально распределенные СВ с математическими ожиданиями іи, и средними квадратическими отклонениями о, соответственно, т. е. X, ~ N(m,, о,).
Тогда СВ Ui = (X, - m,)/ob i = 1,..., и являются независимыми СВ, имеющими стандартизированное нормальное распределение, Ui~ N(0, 1).
СВ х2 имеет хи-квадрат распределение с п степенями свободы ( X2 ~ чп), если
ч2 =±\]; =U12+U2+... + U;. (1.17)
і—1
Отметим, что число степеней свободы (в дальнейшем это число будем символически обозначать буквой ?) исследуемой СВ определяется числом случайных величин, ее составляющих, уменьшенным на число линейных связей между ними. Например, число степеней свободы исследуемой СВ, являющейся композицией и случайных величин, которые в свою очередь связаны ш линейными уравнениями, определяется числом ? = и - ш. Таким образом, U2 ~ ч2.
Из определения (1.17) следует, что распределение х2 определяется одним параметром - числом степеней свободы ?.
График плотности вероятности СВ, имеющей х2-распределение, лежит только в первой четверти декартовой системы координат и
имеет асимметричный вид с вытянутым правым "хвостом". Однако с увеличением числа степеней свободы распределение х2 постепенно приближается к нормальному (сравните графики на рис. 1.6).
f(X2,v) A
|
0 |  |
|
Рис. 1.6 |
м(х2)= V = п - ш, D(y2) = 2? = 2(n - m).
Если X и Y - две независимые х2-распределенные СВ с числами степеней свободы п и к соответственно (X ~ ч2, Y ~ ч?), то их сумма
(X + Y) также является х2-распределенной СВ с числом степеней свободы ? = и + к.
Распределение х2 применяется для нахождения интервальных оценок, а также при проверке статистических гипотез. При этом активно используется таблица критических точек х2-распределения (см. параграф 1.5).
1.4.3. Распределение Стьюдента
Пусть СВ U ~ N(0, 1), СВ Y - независимая от U величина, распределенная по закону х2 с п степенями свободы. Тогда величина
|
Т = |  |
(1.18)
имеет распределение Стьюдента (t-распределение) с п степенями свободы ( Т ~ Тп).
Из формулы (1.18) очевидно, что распределение Стьюдента определяется только одним параметром п - числом степеней свободы. График функции плотности вероятности СВ, имеющей распределение Стьюдента, является симметричной кривой (линия симметрии - ось ординат).
М(Т) = о,

D(T) = —. n - 2
При этом с увеличением числа степеней свободы распределение Стьюдента приближается к стандартизированному нормальному, причем при п > 30 распределение Стьюдента практически можно заменить нормальным распределением.
Распределение Стьюдента применяется для нахождения интервальных оценок, а также при проверке статистических гипотез. При этом активно используется таблица критических точек распределения Стьюдента (см. параграф 1.5).
1.4.4. Распределение Фишера
Пусть V и W - независимые СВ, распределение по закону х2 со степенями свободы Vi = m и ?г = и соответственно. Тогда величина
|
F = |  |
(1.19)
имеет распределение Фишера со степенями свободы ?} = т и ?2 п (F ~ Fmn). Таким образом, распределение Фишера F определяется двумя параметрами - числами степеней свободы m и п.

M(F) =
( п > 2 ),
2п (т + п - 2)
D(F) =-к—-— ( п > 4).
т(п-2) (п-4)
При больших m и 11 это распределение приближается к нормальному. Нетрудно заметить, что Tn2 = Fi п, где Тп - СВ, имеющая распределение Стьюдейта с числом степеней свободы ? = n. Fi n - СВ, имеющая распределение Фишера с числами степеней свободы ?і = 1 и ?2 = и.
Распределение Фишера используется при проверке статистических гипотез, в дисперсионном и регрессионном анализах. При этом активно используется таблица критических точек распределения Стьюдента (см. параграф 1.5).
1.5. Таблицы распределений и их применение
Для практического применения приведенных выше СВ к осуществлению статистических расчетов служат таблицы распределений. Перед их рассмотрением введем понятие квантиля (критической точки) распределения.
Пусть Y - СВ, имеющая одно из вышеперечисленных распределений. а-квантилем (критической точкой уровня а) называется значение у,* СВ Y такое, что P(Y > уб) = Jf(y)dy = б.
Уб
Квантили уа и уі_а называются симметричными. Если распределение симметрично относительно оси ординат, то уі_а = -уа.

С геометрической точки зрения нахождение квантиля уа заключается в таком выборе значения Y = уа , при котором площадь заштрихованной криволинейной трапеции была бы равна а.
Нетрудно заметить, что нахождение а-квантиля (критической точки) для вышеперечисленных законов распределений определяется величиной (уровнем значимости) самого а и числом (числами) степеней свободы рассматриваемого закона распределения.
1.5.1. Работа с таблицами стандартизированного нормального распределения
При проведении статистического анализа весьма часто используется таблица значений функции Лапласа (приложение 1)
2
Г
Ф(и) = -^L= [ е 2 dt = Р(0 < U < и) = F(u) - 0.5,
V2р о
определяющей вероятность попадания СВ U в интервал [0,и).
|
Таблица 1.1 |
|
|
|
и |
0.00 |
0.01 |
0.02 |
0.03 |
0.04 |
0.05 |
0.06 |
0.07 0.08 |
0.09 |
|
0.0 |
.0000 |
.0040 |
.0080 |
.0120 |
.0160 |
.0199 |
.0239 |
.0279 .0319 |
.0359 |
|
0.1 |
.0398 |
.0438 |
.0478 |
.0517 |
.0557 |
.0596 |
.0636 |
.0675 .0714 |
.0753 |
|
3.0 |
.4987 |
.4987 |
.4987 |
.4988 |
.4988 |
.4989 |
.4989 |
.4989 .4990 |
.4990 |
|
5.0 |
49999997 |
|
|
|
|
|
|
|
В левом столбце таблицы приведены значения СВ U с точностью до десятых, в верхней строке приведены сотые доли U (значения U в данном случае определяются с точностью до сотых). Значение Ф(и) определяется на пересечении соответствующих данному значению и строки и столбца (в данном случае Ф(и) дается с точностью до четвертого знака после запятой). Например, Ф(0.17) = 0.0675, т. е. Р(0<и<0.17) = 0.0675. Суть функции Лапласа Ф(и) и ее связь с функцией распределения F(u) стандартизированной нормальной СВ представлена на рис. 1.10.

Отметим, что каждое значение F(u) больше соответствующего значения Ф(и) ровно на 0.5. Поэтому ее таблицы имеют аналогичный вид.
1.5.2. Работа с таблицами t-распределения Стьюдента
Таблица критических точек распределения Стьюдента (приложение 2) имеет вид:
|
Таблица 1.2 |
|
|
|
|
0.40 |
0.25 |
0.10 |
0.05 |
0.025 |
0.01 |
|
1 |
0.325 |
1.000 |
3.078 |
6.314 |
12.706 |
31.821 |
|
10 |
0.260 |
0.700 |
1.372 |
1.812 |
2.228 |
2.764 |
|
30 |
0.256 |
0.683 |
1.310 |
1.697 |
2.042 |
2.457 |
|
ОС |
0.253 |
0.674 |
1.282 |
1.645 |
1.960 |
2.326 |
В данной таблице в первом столбце указаны числа степеней свободы ?. В верхней строчке указаны вероятности (уровни значимости)
а. Критическая точка tH ? определяется пересечением столбца с заданной вероятностью а и строки, соответствующей числу степеней свободы ?. Например, to.osao = 1.812. Другими словами,
Р(Со> 1.812) = 0.05.
Иногда таблицы распределения Стьюдента приводятся для двусторонних критических точек t*6 н, определяемых из условия:
Р(|і|>1б,н) = а-

1.5.3. Работа с таблицами %2-распределения
Таблица критических точек /^-распределения (приложение 3) имеет вид:
|
Таблица 1.3 |
|
|
а
? |
.975 |
.950 |
.900 |
ТОО |
.050 |
.025 |
|
1 |
10'5 |
ФІО'4 |
.016 |
2.71 |
3.84 |
5.02 |
|
10 |
3.25 |
3.94 |
4.87 |
15.99 |
18.31 |
20.48 |
|
30 |
... 16.79 |
18.49 |
20.60 |
40.26 |
43.77 |
46.98 |
В данной таблице в левом столбце приведены различные числа степеней свободы ?. В верхней строчке указаны вероятности (уровни значимости) а попадания рассматриваемой величины в “правый хвост” распределения х2 (рис. 1.12, а). Критическая точка ч2б н отыскивается на пересечении столбца с заданной вероятностью а и строки, соответствующей числу степеней свободы ?. Например, 4q2510 =
20.48. Другими словами, Р(ч20 > 20.48) = 0.025. Отметим, что часто таблицы /^-распределения приводятся для двусторонних критических точек ч2 а и ч2а . В этом случае предполагается, что вероятности
1 , н —, Н
попадания рассматриваемой СВ yj в оба “хвоста” распределения оди-
б
наковы и равны половине уровня значимости а, т. е. — (рис. 1.12, б).
f(X2,v) f(/2,v)


1.5.4. Работа с таблицами F-распределения Фишера Таблицы критических точек распределения Фишера обычно приводятся для различных значений вероятности (уровня значимости) а попадания в “хвост” распределения (в приложении 4 а = 0.10; а =
= 0.05; а = 0.01). Например, для а = 0.05 таблица имеет вид:
|
Таблица 1.4 |
|
|
^\?і
?2 |
1 |
10 |
100 |
ОС |
|
1 |
161 |
242 |
253 ... |
254 |
|
10 |
4.96 . |
2.98 .. |
2.59 |
2.54 |
|
100 |
3.94 |
1.92 . |
. 1.39 |
1.28 |
|
ОО |
3.84 |
1.83 |
.. 1.24 |
1.00 |
На пересечении столбца и строки, соответствующих требуемым числам степеней свободы Vi = m и v2 = и, находится критическая точка Fajnjl. Например, F005; іо; іо = 2.98 (P(Fi0,io > 2.98) = 0.05).

1.6. Взаимосвязь случайных величин
Многие экономические показатели определяются несколькими числами, являясь, по сути, многомерными СВ. Например, издержки предприятия включают в себя фиксированную и переменную составляющие; уровень жизни населения подразумевает использование большого числа показателей ВНП на душу населения, распределение доходов, наличие товаров и услуг, продолжительность жизни и т. д.
Значения ряда экономических показателей предопределяют величины других показателей. Поэтому одной из центральных задач экономического анализа является задача установления наличия и силы взаимосвязи между различными экономическими показателями (фактически, между СВ). Например, между доходом и потреблением; между спросом на товар и его ценой; между уровнем инфляции и уровнем безработицы; ВНП и уровнем жизни. Вследствие этого при проведении эконометрического анализа одно из главных мест занимает рассмотрение взаимосвязей СВ, при которых реализация одной из них влияет на вероятность определенной реализации другой СВ.
Для описания совокупности и СВ Хі,Х2, ... ,ХП (п-мерной СВ X = = (Хі,Х2, ... ,ХП)) вводятся следующие понятия:
совместная вероятностъ
РХі ...Хп (хІ5..., хп) = Р(Х, = хІ5..., Хп = хп); (1.20)
совместная функция распределения
F(x1,...,xn) = P(X1 <х1,...,Хп <хп); (1.21)
совместная плотность вероятностей
f(Xj,...,Xn)
(1.22)
a"F(Xl,...,xn)
5xj•• • dxn
В частности, для установления зависимостей между двумя СВ рассматривают двумерные вероятности, функции распределения и плотности вероятностей:
P(X1 = xi,X2 = x2); F(xi,x2)=P(Xib Х2<х2); f(x.,x2)= ^ F(xi,x2).
дх-[дх2
Если при рассмотрении описанных выше функций интересуются их значениями при фиксированных величинах одной или нескольких СВ, то эти функции обычно усредняются (суммируются или интегрируются) по лишним переменным. В результате получаются так называемые маргинальные (предельные) вероятности, функции распределения и плотности вероятности. Например:
|
F!(x1) = F(x1, |
|
Е-1 у,
N
и
X,
рГ |
¦ •SPx1x2...xn(xiv..,x„);
хп |
(1.23) |
Х1 +00
00.....=0) = J J - - . |
+00
jfx1...xn(tx2,...,x„)dtdx2 ¦¦¦dx„; |
(1.24) |
|
-оо—оо —оо |
+00 +00
(1.25)
fi(xi)= J ••• jfx1...xn(xi5x2v,x„)dx2 •••dxn . —00 —oo
Эти условия обычно называют условиями согласованности.
Для п-мерных СВ могут быть определены условные вероятности. Например, вероятность того, что значения СВ Хь ... , Хп_і будут равны соответственно хі, ... , хп_і при условии, что Хп= хп определяется по формуле:
р(хі = хj,...,Хп-1 = xn_J Хп = хп)
(1.26)
Р(Хг =х1„.„Хп =хп) Р(Хп=хп)
В частности, для двух СВ X и Y условной вероятностью (условной плотностью вероятностей) СВ X при условии, что СВ Y примет значение у (Y = у), называется величина, равная
Р(х|у)=^Д; (f(x|y)= (1.27)
Р(у) f(y)
По данной формуле можно определить совместную вероятность (совместную плотность вероятности) этих СВ:
(1.28)
Р(х, У) = Р(Х = х, Y = у) = Р(х у) • Р(у) = Р(у j х) • Р(х) (f(x,y) = f(x y)-f(y) = f(y|x)-f(x)).
Как мы отмечали ранее, одной из важных задач экономического анализа является обоснование того, что какой-либо фактор влияет либо не влияет на исследуемый экономический показатель. На уровне теоретического анализа эти показатели можно рассматривать как СВ. Для независимых СВ X и Y выполняется любое из следующих соотношений:
Р(х,у) = Р(х) • Р(у); f(x,y) = f(x) • f(y); F(x,y) = F(x) • F(y). (1.29)
Совместная вероятность, совместная функция распределения, совместная плотность вероятности не дают ясного представления о поведении каждой из компонент рассматриваемой СВ и их взаимосвязи друг с другом. В этом случае могут быть построены законы распределений каждой из составляющих многомерной СВ. При этом каждая из них принимает те же значения, но с соответствующими маргинальными вероятностями либо маргинальными функциями распределения, рассчитываемыми по формулам (1.23), (1.24). Например, двумерная дискретная СВ (X, Y) может быть задана в табличной форме:
|
X |
Y |
Уі |
У 2 |
yj |
Уп |
P(X = Xl) |
|
Xl |
|
Рп |
Pl2 |
Plj |
Pin |
P(X = Xl) |
|
Х2 |
|
P21 |
P22 |
P2j |
P2n |
P(X = x2) |
|
X! |
|
Ріі |
Pi2 |
Pij |
Pin |
P(X = Xl) |
|
Хщ |
|
Pml |
Pm2 |
Pmj |
pmn |
P(X = xm) |
|
P(Y = |
Уі) |
P(Y = у 0 P(Y = У2) |
и |
e
II
Ь |
|
Здесь pij = Р(Х = хь Y = у|).
П Ш
Тогда Р(Х = х,)= ЁРіі,і= 1,2, P(Y = yj)= Iplj; j = 1,2, ...,n.
j=i ' 1=1 '
Часто построение закона распределения многомерной СВ является задачей достаточно громоздкой и в ряде случаев излишней. Кроме того, информация о каждой из составляющих СВ и о их взаимосвязи в этом случае не является очевидной. Для анализа степени взаимосвязи СВ обычно используют числовые характеристики: смешанные моменты распределения, ковариацию и коэффициент корреляции.
Смешанным моментом порядка k, 1 называется величина
Цхк-у1-Р(х,у) - для дискретных СВ;
mkJ = M(Xk-Y‘) =
(1.30)
X у
-І-со +оо
J J хк • у1 • f(x, y)dxdy — для непрерывных СВ.
— оо —оо
Например, М(Х) = ml 0, М(Y) = т0д.
Центральным моментом порядка k, 1 называется величина
ЦЫ = М((Х - М(Х))к • (Y - М(Y))1). (1.31)
Например, D(X) = ц2,о; D(Y) = ц0,2.
Для описания связи между СВ X и Y применяют центральный момент порядка 1,1 (цщ), который называется ковариацией СВ X и Y:
GxT = COV (X, Y) = М((Х - М(Х)) • (Y - M(Y)) =
= М(Х • Y) - М(Х) • M(Y). (1.32)
Ковариация является абсолютной (зависящей от размерностей) мерой взаимосвязи (совместного изменения (со-vary)) переменных.
Z Z*Г У j • Р(Хі, уj) - М(Х) • М(Y) - для дискретных СВ,
X у
+ оо +оо
(1.33)
Уху =
J jx • у • f(x,y)dxd - М(Х) • M(Y) — для непрерывных СВ.
Свойства ковариации
1 • СТху <7ух,
2. стхх = D(X) = ух;
3. Если X и Y - независимые СВ, то стху = 0;
4. I Gxy I — С)х-а у,
5. СО? (а + Ь-Х, с + d-Y) = b-d-COV (X, Y), где a, b, с, d -константы.
В принципе ковариация может служить индикатором наличия положительной (переменные изменяются в одном направлении) либо отрицательной (переменные изменяются в разных направлениях) связи между СВ - ковариация в этом случае положительна либо отрицательна. Однако существенным недостатком ковариации является ее зависимость от размерностей рассматриваемых СВ. Поэтому при различных единицах измерения СВ одна и та же зависимость может выражаться различными значениями ковариаций. Кроме того, ковариация не позволяет определить силы (строгости) зависимости между рассматриваемыми СВ. Для устранения данных недостатков вводится относительная мера взаимосвязи (безразмерная величина) - коэффициент корреляции.
Коэффициентом корреляции СВ X и Y называют величину
(1.34)
Уху _ Уху
Ух ' У у ч I >< XI • П. ?і
Зависимость между СВ X и Y, характеризуемая коэффициентом корреляции, называется корреляцией. СВ X и Y называются некоррелированными, если рх? = 0, что равносильно равенству стх? = 0. Если же рху Ф 0, то СВ X и Y называют коррелированными.
Свойства коэффициента корреляции
1- рхх= 1;
2- Рху — Рух5
3. -1 < рху < 1;
4. Если СВ X и Y независимы, то рху = 0;
5. I рХу I =1 тогда и только тогда, когда Y = а + Ьх (т.е. между СВ
X и Y существует линейная функциональная зависимость).
Заметим, что если X и Y - независимые СВ, то X и Y - некоррелированные СВ. Обратное утверждение неверно. Достоинства коэффициента корреляции как меры линейной зависимости весьма наглядны из рис. 1.14.
 |
|
а б в |
|
|
|
<— |
•
•
—> |
|
• • • • |
• • • • |
|
• • • • • • |
• • • • • • |
|
• • • • |
• • • • |
|
• • • • |
• • • |
Pxy«0(Pxy<0) • • •
-> |
Pxv»0
---> |
'» Y = aX-+bX + c ’•
і і
\т '• |
X о
X о
Рис. 1.14 |
Pxys
В параграфе 1.3 были приведены основные свойства и формулы расчета дисперсии, в частности дисперсии суммы двух независимых СВ. В случае, когда СВ не являются независимыми, а коррелируют друг друга, формулы расчета дисперсии их суммы либо разности имеют вид:
(1.35)
(1.36)
D(X± Y) = D(X) + D(Y) ± 2COV(X, Y),
D(X± Y) = D(X) + D(Y) ± 2pxy gx-g y.
Очевидно, при независимости СВ последние слагаемые в данных формулах обращаются в нуль.
Значимость коэффициента корреляции при анализе линейной регрессии рассматривается в гл. 4 данного пособия.
Пример 1.3. На основе многолетних наблюдений за результатами вложений в две компании был построен закон распределения СВ X и Y - размеров годовых дивидендов (в процентах) от вложения в данные отрасли. Закон представлен табл. 1.6. Необходимо определить маргинальные законы распределений каждой из СВ, установить наличие зависимости между ними. Вычислить ковариацию и коэффициент корреляции, а также решить, что менее рискованно: вкладывать деньги в одну из этих отраслей либо одновременно в обе в равных пропорциях.
|
Таблица 1.6 |
|
|
Y
х\ |
-10 |
5 |
10 |
Рх |
|
-10 |
0.05 |
0.25 |
0.3 |
0.6 |
|
20 |
0.15 |
0.20 |
0.05 |
0.4 |
|
Ру |
0.2 |
0.45 |
0.35 |
1 |
В средней части табл. 1.6 приведены совместные вероятности Р(х, у) двух СВ. Например, Р(Х = 20, Y = 5) = Р(20, 5) = Р22 = 0.2. В правом столбце и нижней строке приведены вероятности СВ X и Y соответственно. Например, Р(Х = -10) = = Рх(-Ю) = 0.6. Условная вероятность Р(х|у) определяется по столбцам данной таблицы, а условная вероятность Р(у|х) - по строкам. Например, Р(20 | Y = 5) = = Р(Х = 20, Y = 5) / P(Y = 5) = 0.2/0.45 = 0.444.
Законы распределения СВ X и Y представлены следующими таблицами:
|
Y |
-10 5 10 |
|
Ру |
0.20 0.45 0.35 |
|
X |
-10 20 |
|
Рх |
0.6 0.4 |
Так как Р(х, у) Ф Р(х)-Р(у) (например, Р( X = 20, Y = 10) = 0.05 Ф 0.4-0.35 = = 0.14 = Р( X = 20)-P(Y = 10)), то можно сделать вывод, что указанные СВ не являются независимыми. По построенным законам распределений определим числовые характеристики СВ X и Y:
М(Х) = -10-0.6 + 20-0.4 = 2; M(Y) = -10-0.2 + 5-0.45 + 10-0.3 = 3.5;
D(X) = М(Х2) - М2(Х) = 100-0.6 + 400-0.4 - 4 = 216;
D(Y) = M(Y2) - M2(Y)= 100-0.2 + 25-0.45 + 100-0.35 - (3.25)2 = 55.6875; ах = ?2І6 * 14.7; ау = V55.6875 « 7.46.
Определим их ковариацию и коэффициент корреляции.
= -10-(-10)-0.05 + (-10)-5-0.25 + (-Ю)-Ю-О.З + 20-(-10)-0.15 + 20-5-0.2 +
+ 20-10-0.05 - (-10-0.6 + 20-0.4H-10-0.2 + 5-0.45 + 10-0.3) = - 44.
счх Ух> = ~44 ~ - 0.4.
У yx-yy 14.7-7.46
Таким образом, можно сказать, что между X и Y существует не очень сильная отрицательная линейная зависимость. Риски от вложения в акции компаний можно определять по разбросу значений их дивидендов, т. е. по дисперсиям СВ. Следовательно, можно сделать вывод, что вложение в первую компанию более рискованно, чем во вторую (D(X) = 216 > 55.6875 = D(Y)).
Обозначим через Z дивидендов от вложения денег в равных пропорциях (50:50) в обе отрасли. Следовательно, Z = 0.5Х + 0.5Y. Тогда
M(Z) = М(0.5Х + 0.5Y) = 0.5(М(Х) + M(Y)) = 0.5(2 + 3.25) = 2.625;
D(Z) = D(0.5X + 0.5Y) = 0.25(D(X) + D(Y) + 2рхт-ах-ау) =
= 0.25(216 + 55.6875 + 2-(- 0.4)-14.7-7.46) « 45.989.
Поскольку D(Z) = 45.989 < 55.6875 = D(Y), то есть основания считать, что одновременное вложение в обе отрасли в равных пропорциях является наименее рискованным из трех рассмотренных вариантов вложений.
Вопросы для самопроверки
1. Приведите примеры случайных событий в экономике. Можно ли дать им вероятностное описание? Какой вид вероятности при этом использовался?
2. Приведите примеры совместных и несовместных событий.
3. Что такое составное событие? Приведите примеры составных событий и их разложение на элементарные
4. Дайте возможные определения вероятности. Приведите примеры их использования.
5. Что такое относительная частота события, как она связана с вероятностью?
6. В чем суть метода экспертных оценок определения вероятности? Приведите соответствующий пример.
7. В чем суть субъективного определения вероятности? Приведите пример использования такой вероятности.
8. Что такое случайная величина (СВ)? Какие виды СВ рассматриваются?
9. Приведите примеры дискретных и непрерывных СВ из экономики.
10. Перечислите основные числовые характеристики СВ. Как они вычисляются для дискретных и непрерывных СВ.
11. Что такое функция распределения СВ? Приведите ее свойства.
12. Что такое плотность вероятности СВ? Приведите ее свойства.
13. Каким образом может быть задана СВ?
14. Как рассчитывается вероятность попадания СВ в определенный интервал с помощью функции распределения, с помощью плотности вероятности?
15. Докажите основные свойства математического ожидания, используя его определение.
16. Докажите основные свойства дисперсии, используя ее определение.
17. Как определяется число степеней свободы случайной величины?
18. Как связаны между собой СВ, имеющие стандартизированное нормальное
2
распределение, распределения Стьюдента, % и Фишера?
19. Справедливо или ложно утверждение, что при увеличении числа степеней
2
свободы распределения Стьюдента, % и Фишера стремятся к стандартизированному нормальному распределению?
20. Перечислите свойства ковариации.
21. Приведите свойства коэффициента корреляции.
22. Что такое совместная вероятность, совместная функция распределения, совместная плотность вероятности?
23. Как определяются условная вероятность, функция распределения, плотность вероятности?
24. Как определяется независимость случайных величин?
25. Как определяется коррелированность и некоррелированность СВ? Как эти понятия связаны с независимостью случайных величин?
Упражнения и задачи
1. Среди покупателей мужчин 80 % предпочитают напитки фирмы А, а среди покупательниц женщин эти же напитки предпочитают 50 %. Используя данные многомесячных наблюдений, установлено, что доля покупателей-женщин в данном магазине составляет 60 %. Оценить вероятность того, что случайный покупатель предпочтет напитки фирмы А.
2. Семь из десяти посетителей кафе заказывают к кофе фирменное пирожное. Два человека заказывают кофе. Какова вероятность того, что они закажут:
а) два пирожных; б) одно пирожное; в) ни одного?
3. Брокер может приобрести акции одной из трех компаний А, В, С. Риск прогореть при покупке акций компании А составляет 50 %, В - 40 %, С - 20%. Брокер решает вложить все деньги в акции одной случайно выбранной компании. Какова вероятность того, что брокер прогорит?
4. Совет директоров компании состоит из 12 человек. Трое из них лоббируют
проект А, пятеро - проект В. Остальные склонны инвестировать деньги в проект С. Решение об инвестировании будет принимать большинством голосов комиссия, состоящая из 5 выбранных жребием директоров. Какова вероятность принятия решения в пользу проекта В?
5. Исследуется динамика курсов валют А и В по отношению к валюте С. Статистика торгов на валютной бирже свидетельствует, что при возрастании курса В курс валюты А растет в 80 % случаев, при снижении курса В курс валюты А растет в 25 % случаев, при неизменности курса В курс валюты А растет в 50 % случаев. Предполагая, что варианты изменения курса валюты В имеют одинаковую вероятность, определите вероятности соответствующих изменений при условии, что на последних торгах курс валюты А вырос.
6. 10 % билетов в лотерее из 10000 штук являются выигрышными. Определите
а) вероятность выигрыша при покупке 5 билетов;
б) количество билетов, которые необходимо приобрести, чтобы выиграть с вероятностью не менее 0.9;
в) что вероятнее: выиграть или не выиграть при покупке 7 билетов?
7. Продавец анализирует объемы ежедневных продаж (в условных единицах) на
основе месячных данных (25 рабочих дней). В течение 5 дней объемы ежедневных продаж составляли 10 у. е., 10 дней - 20 у. е., 7 дней - 25 у. е. и 3 дней - 30 у. е. Необходимо построить закон распределения СВ X - объема ежедневных продаж. Определить средний ожидаемый объем продаж и оценить относительный разброс этих объемов.
8. Задан закон распределения СВ X:
|
X |
1 |
3 |
5 |
7 |
9 |
|
р |
ь |
2Ь |
ЗЬ |
4Ь |
5Ь |
а) Определить значение Ь.
б) Вычислить М(Х), D(X).
в) Определить вероятность Р( 3 < X < 7).
9. Следующая таблица представляет распределение годовой прибыли фирмы
(X). _, |
|
|
|
Х(%) |
-10 |
-5 |
0 |
10 |
20 |
25 |
|
Р |
0.05 |
0.15 |
0.25 |
0.30 |
0.20 |
0.05 |
Необходимо оценить ожидаемую прибыль, среднее квадратическое отклонение. Определить вероятность положительной прибыли
10. Пусть СВ X - величина ежемесячного спроса на некоторый скоропортящийся продукт задана следующим законом распределения:
|
X |
100 |
200 |
300 |
400 |
500 |
600 |
|
Р |
0.05 |
0.15 |
0.25 |
0.30 |
0.20 |
0.05 |
Издержки на производство единицы продукции составляют $5, продукция продается по фиксированной цене $10 за единицу. Целью производителя является максимизация ожидаемой прибыли. Какова величина ожидаемой прибыли и ее дисперсии?
11. Предположим, что число магазинов неограниченно велико. В 1/3 из них товар продается по цене $1, в 1/3 - по цене $1.5, в 1/3 - по цене $2. Покупатель посещает наугад три магазина и приобретает товар в том из них, где цена наименьшая. Какова ожидаемая цена покупки?
12. Проведен маркетинговый анализ количества автомобилей в домохозяйствах района для определения целесообразности строительства станции техобслуживания. Обследовано 5000 домохозяйств. Из них в 250 отсутствовали автомобили, в 1500 было по одному автомобилю, в 2500 - по два, в 600 - по три ив 150 - по четыре. Вероятность поломки автомобиля составляет 0,05. Станция будет рентабельна, если ее ежедневная загрузка составляет 5 автомобилей. Целесообразно ли строительство станции в данном районе?
13. Следующая таблица определяет закон распределения двумерной СВ (X, Y).

а) Определить маргинальные законы распределений СВ X и Y.
б) Оценить ожидаемые значения X и Y, а также их дисперсии.
в) Определить условные вероятности Р( X = хі | Y = yj) и P(Y = yj | X = хі).
г) Являются ли СВ X и Y независимыми?
\ Y%
х%ч |
-10 |
0 |
10 |
15 |
|
0 |
0.00 |
0.15 |
0.10 |
0.20 |
|
10 |
0.02 |
0.05 |
0.05 |
0.08 |
|
20 |
0.25 |
0.10 |
0.00 |
0.00 |
13. Следующая таблица представляет совместный закон распределения двух СВ X и Y - процентов отдачи за первый год от инвестиций в отрасли А и В соответственно. „__
а) Рассчитайте ожидаемые процентные отдачи от вложений только в одну из отраслей.
б) Являются ли данные отдачи независимыми СВ?
в) Какое из вложений менее предсказуемо?
г) Какое из вложений вы бы избрали?
15. Пусть X, Y - годовые дивиденды от вложений в отрасли А и В соответственно. Риск от вложений характеризуется дисперсиями D(X) =16, D(Y) = = 9. Коэффициент корреляции p(X,Y) = -0.6. Что менее рискованно, вкладывать деньги в обе отрасли в соотношении 30% на 70% или только в отрасль В?
16. Следующая таблица определяет совместное распределение двух СВ Хі и Х2 - доходов фирмы в течение двух последовательных дней.
\х2
х1\ |
-10 |
0 |
10 |
|
-10 |
0.20 |
0.10 |
0.02 |
|
0 |
0.03 |
0.30 |
0.05 |
|
10 |
0.01 |
0.04 |
0.25 |
Определить:
а) законы распределения СВ Хі и Х2;
б) закон распределения среднего дохода Y = (X] + Х2) / 2;
в) являются ли коррелированными указанные СВ;
г) закон распределения прироста дохода Z = Х2 - Хі.
17. Имеются три вида акций А, В и С, каждая стоимостью $10, дивиденды по которым являются независимыми СВ со средним значением 10% и дисперсией 16 (%) . Формируется два портфеля инвестиций. Портфель Рі состоит из 30 акций А. Портфель Р2 включает в себя по 10 акций А, В и С.
а) Отличаются ли данные портфели по величинам ожидаемых дивидендов и по риску?
б) Пусть коэффициент корреляции между дивидендами по акциям А и В равен -0.5, но обе эти величины не коррелируют с дивидендами по акциям С. Как это отразится на ответе на вопрос а)?
в) Если дивиденды по рассматриваемым акциям положительно коррелированны друг с другом, то снизит ли риск вложений покупка различных акций?
г) Если корреляция между акциями А и В является совершенной отрицательной (рдв = -1), то что можно ожидать при формировании портфеля по принципу 50 % акций А и 50 % акций В?
18. Доход X населения имеет нормальный закон распределения со средним значением $1000 и стандартным отклонением 400. Обследуется 1000 человек. Какое количество человек будет иметь доход более $1500? Назовите наиболее вероятное количество.
19. Прибыль в отрасли имеет нормальный закон распределения со средним значением $1 млн. и стандартным отклонение $ 0.25 млн. Что вероятнее, получить прибыль не более чем $0.8 млн. или в пределах от $1.2 до $1.5 млн.?
20. Известно, что результат (балл) сдачи теста по эконометрике имеет нормальный закон распределения со средним значением 30. 20% студентов получили не менее 35 баллов. Можно ли сказать, чему равно среднее квадратическое отклонение указанной СВ?
БАЗОВЫЕ ПОНЯТИЯ СТАТИСТИКИ
При исследовании реальных экономических процессов приходится обрабатывать большие объемы статистических данных по самым разнообразным показателям, которые по своей сути являются случайными величинами. По ходу проводимого анализа часто возникает необходимость оценивания числовых значений различных параметров, неоднократно приходится выдвигать и проверять различные предположения, устанавливать наличие и силу зависимости между разнообразными факторами. На практике мы сталкиваемся с конкретными реализациями рассматриваемых СВ. Количество таких реализаций носит ограниченный характер, что не позволяет применять напрямую теоретические методы анализа. Поэтому здесь в первую очередь используются методы и модели математической статистики (в частности, выборочный метод), позволяющие получить необходимые знания об исследуемом объекте, осуществить направленный анализ и сделать обоснованные выводы.
Одной из центральных задач математической статистики является выявление закономерностей в статистических данных, на базе чего можно будет строить соответствующие модели для принятия обдуманных решений. Под статистическими данными подразумеваются данные наблюдений за значениями некоторой случайной величины или совокупности случайных величин, характеризующих изучаемый процесс.
Первая задача математической статистики - указать способы сбора и группировки статистических данных, полученных в результате наблюдений или испытаний.
Вторая задача математической статистики - разработать методы анализа статистических данных в зависимости от целей исследования. Сюда относятся:
а) оценки неизвестной вероятности события; неизвестной функции распределения; неизвестных параметров известного распределения; зависимости двух или нескольких случайных величин и т. и.;
б) проверка статистических гипотез о виде неизвестного распределения; о величинах параметров известного распределения; о виде и силе зависимости между рассматриваемыми случайными величинами.
Таким образом, основная задача математической статистики состоит в создании методов сбора и обработки статистических данных для получения научных и практических выводов.
Знание методов математической статистики и умение ими оперировать являются необходимой предпосылкой для успешного эконометрического анализа. В данной главе приводятся подходы к анализу статистических данных, описываются основные характеристики, которые активно используются при статистической обработке экономических данных.
2.1. Генеральная совокупность и выборка
Пусть изучается совокупность однородных объектов относительно некоторого количественного признака, характеризующего эти объекты. Например, доход населения, количество покупателей в магазине в течение дня, количество качественных товаров в исследуемой партии и т. д.
Генеральной совокупностью называется множество всех возможных значений или реализаций исследуемой случайной величины X при данном реальном комплексе условий.
Выборкой (выборочной совокупностью) называют часть генеральной совокупности, отобранную для изучения.
Число элементов рассматриваемой совокупности называется ее объемом.
Изучение всей генеральной совокупности во многих случаях либо невозможно, либо нецелесообразно в силу больших материальных затрат, либо в силу уничтожения или порчи исследуемых объектов. Например, анализ среднего дохода населения г. Минска формально предполагает наличие достоверной информации о каждом жителе города в конкретный момент времени. Получение такой информации просто невозможно. Проверка качества обуви связана с воздействием на нее различных экстремальных факторов: растяжения, сжатия, влажности, температуры, солнечных лучей, химического воздействия, что приведет к потере товарного вида исследуемой обуви. Поэтому на практике вся генеральная совокупность почти никогда не анализируется. Для осуществления выводов о генеральной совокупности в большинстве случаев используется выборка ограниченного объема. В силу этого задача математической статистики состоит в исследовании свойств выборки и обобщении этих свойств на генеральную совокупность. Полученный при этом вывод называется статистическим.
Информация о генеральной совокупности, полученная на основании выборочного наблюдения, практически всегда будет обладать некоторой погрешностью, так как она основывается на изучении только части элементов. Вряд ли средний доход и разброс в доходах, полученных по выборке объема п = 1000, будет в точности таким же, что и во всем городе. Это определяет две проблемы, составляющие содержание математической теории выборки:
• как организовать выборочное наблюдение, чтобы полученная информация достаточно полно отражала пропорции генеральной совокупности {проблема репрезентативности выборки);
• как использовать результаты выборки для суждения по ним с наибольшей надежностью о свойствах и параметрах генеральной совокупности {проблема оценки).
В силу закона больших чисел можно утверждать, что выборка будет репрезентативной, если отбор будет носить случайный характер.
Различают повторную и бесповторную выборки. В первом случае отобранный объект перед отбором следующего возвращается в генеральную совокупность. Во втором - отобранный в выборку объект не возвращается в генеральную совокупность. Если выборка составляет незначительную часть генеральной совокупности, то различие между повторной и бесповторной выборками стирается.
Случайный отбор может проводиться с помощью датчика таблицы случайных чисел либо обычной жеребьевкой. Однако строгое соблюдение правил случайного отбора не всегда осуществимо, так как оно требует четко ограниченной базы статистического анализа, каковой является генеральная совокупность, перенумеровки всех ее элементов или непосредственного их извлечения при жеребьевке. Так, при проведении обследований дохода населения в масштабах города практически невозможно составить список всех его жителей или семей с последующей организацией выборки с помощью датчика случайных чисел. Аналогично невозможно организовать опросы по изучению покупательного спроса, потребностей населения и т.д. путем образования строго случайной выборки. Поэтому прибегают к различным приемам неслучайного отбора, стремясь, однако, приблизиться к условиям случайного. К этим приемам относится механический отбор, при котором элементы генеральной совокупности, предварительно упорядоченные, отбираются по заранее установленному правилу, не связанному с вариацией исследуемого признака. Например, можно фиксировать доход каждого сотого, входящего в метро. Серийным называют отбор, при котором объекты выбираются из генеральной совокупности не по одному, а “сериями”, которые подвергаются сплошному обследованию. Например, о продукции предприятия можно судить по продукции, выпущенной в какой-то конкретный день. При типическом отборе объекты отбираются не из всей генеральной совокупности, а из каждой ее “типической” части. Например, население города можно предварительно классифицировать по социальному статусу (бизнесмены, чиновники, служащие, рабочие и т. д.). Нередко на практике применяется комбинированный отбор, при котором сочетаются описанные выше способы.
2.2. Способы представления и обработки статистических данных
Во многих случаях для анализа тех либо других экономических процессов важен порядок получения статистических данных. Но при рассмотрении так называемых перекрестных данных порядок их получения не играет существенной роли. Кроме того, результаты выборочных значений хі, х2, ..., хп количественного признака X генеральной совокупности, записанные в порядке их регистрации, обычно труднообозримы и неудобны для дальнейшего анализа. Задачей статистического описания выборки является получение такого ее представления, которое позволит наглядно выявить ее вероятностные характеристики. Для этого применяются различные формы упорядочения данных в выборке - по возрастанию, по совпадающим значениям, по интервалам и т. п.
При анализе какого-то конкретного показателя X за фиксированный момент времени (либо без учета фактора времени) наблюдаемые значения хі, х2,..., хп обычно упорядочивают по неубыванию: хі< Х2 < < ... < хп. Разность между максимальным и минимальным значениями СВ X называется размахом выборки. Пусть количество различных значений в выборке равно к (к < п). Для определенности положим Хі < х2 < ... < хк.
Значения хь і = 1, 2, ... ,к называются вариантами.
Пусть значение Хі встретилось в выборке щ раз, тогда число щ
пі
называется частотой значения хь а щ = — - относительной час-
н
тотоіі значения хк Тогда наблюдаемые значения можно сгруппировать в статистический ряд, показанный в табл. 2.1:
к
|
X |
Xl |
X2 |
xk |
|
111 |
Hi |
n2 |
Ilk |
|
111 |
ni |
n2 |
nk |
|
0J |
|
|
|
|
11 |
li |
11 |
11 |
ІПі = n;
1=1
 |
|
i=i n |
По статистическому ряду можно построить эмпирическую функцию распределения F*(x):
F*(x) = —, (2.1)
11
где пх - число значений случайной величины X меньших, чем х ; и -объем выборки. По определению F*(x) обладает следующими свойствами:
1. 0
2. для лю бых х I ^ х2 F*(xi) < F*(x2);
3. F*(х)= О при х < xi; F* (х) = 1 при х > хк.
Эмпирическая функция распределения F*(x) является оценкой функции распределения F(x) = Р( X < х ), которая в этом случае называется теоретической функцией распределения.
|
Пример 2.1. Анализируется прибыль Х(%) предприятий отрасли. Обследованы п = 100 предприятий, данные по которым занесены в следующий статистический ряд. |
|
|
|
X |
5 |
10 |
15 |
20 |
25 |
|
Пі |
5 |
20 |
40 |
25 |
10 |
|
nl |
|
|
|
|
|
|
n |
0.05 |
0.2 |
0.4 |
0.25 |
0.1 |
|
Необходимо построить эмпирическую функцию распределения F*(x) и ее график. |
0, х < 5 ;
0.05, 5 < х < 10;
*
F(x)
< 0.25, 10 < х < 15;
0.65, 15 < х < 20;
0.90, 20 < х < 25;
1, х >25.
0.90
0.65
0.25
0.05 |
|
|
|
|
|
|
|
|
|
|
<—
_ |
|
|
|
г |
|
|
_ |
Рис. 2.1
|
Наглядно статистический ряд может быть представлен в виде полигона частот (рис. 2.2, а) или полигона относительных частот (рис. 2.2, б): |
 |
|
Рис. 2.2 |
При большом объеме выборки ее элементы могут быть сгруппированы в интервальный статистический ряд. Для этого все и наблюдаемых значений выборки х1,х2,...,хп разбивают по к непересекающим ея подынтервалам равной длины h (h - шаг разбиения). Пусть п, - количество наблюдаемых значений СВ X, попадающий в і-й подынтервал. ггті = —— относительная частота попадания СВ X в і-й по-п
дынтервал. Тогда интервальный статистический ряд имеет вид:
|
[ Хи, X,) |
[ Хо, Хі ) |
[ Xi, x2) |
|
[ Xk_i, xk) |
|
П, |
Пі |
n2 |
|
nk |
|
|
|
|
|
|
|
и |
n |
n |
|
n |
Интервальный статистический ряд наглядно может быть представлен в виде гистограммы - графика, в котором по оси абсцисс откладываются подынтервалы, на і-м из которых строится прямоугольник высотой — . По виду гистограммы обычно выдвигают предпо-nh
ложение о виде закона распределения исследуемой величины, что позволяет придать определенную направленность исследованиям.
Пример 2.2. Анализируется доход населения, для чего извлечена выборка объема п = 300. По уровню дохода население подразделяется на к = 6 групп. Полученные по выборке данные сгруппированы в следующий интервальный статистический ряд:
|
[ Xi_i, X; ) |
[ 0, 20) |
[ 20, 40) |
[ 40, 60) |
[ 60, 80) |
[ 80, 100) |
[100,120) |
|
Пі |
10 |
50 |
80 |
100 |
40 |
20 |
|
n |
1/30 |
5/30 |
8/30 |
10/30 |
4/30 |
2/30 |
|
n |
|
|
|
|
|
|
Необходимо построить гистограмму и выдвинуть предположение о виде закона распределения СВ X - дохода населения
Отметим, что в последнюю группу могут быть включены все субъекты, чей доход превышает 100 у. е. Однако для получения теоретических выводов последний подынтервал полагается той же длины h = 20, что и все предыдущие. Построим гистограмму:

10 15
20
25
Форма гистограммы (рис. 2.3) в наибольшей степени соответствует нормальному закону распределения. Поэтому естественным является предположение о нормальном распределении СВ X - дохода населения (X ~ N( m, а)). Следующим этапом исследования является определение параметров m и а, что будет обсуждаться далее.
2.3. Вычисление выборочных характеристик
Для любой СВ X кроме определения ее функции распределения желательно указать ее числовые характеристики, важнейшими из которых являются математическое ожидание, дисперсия, среднее квадратическое отклонение. Пусть объем генеральной совокупности равен N. Тогда математическим ожиданием СВ X является генеральное среднее:
1 N
N і=і
Дисперсией СВ X является генеральная дисперсия:
N і=і
Корень квадратный из генеральной дисперсии называется генеральным средним квадратическим отклонением'.
Таким образом, для нахождения генеральных числовых характеристик необходим анализ всей генеральной совокупности. В силу того, что в реальности практически всегда имеют дело с выборками, приходится находить оценки указанных выше генеральных характеристик - выборочные числовые характеристики: выборочное среднее, выборочную дисперсию, выборочное среднее квадратическое отклонение.
Выборочное среднее - это среднее арифметическое наблюдаемых значений выборки.
хв=-Іх1. (2.5)
И і=1
При задании выборки в виде статистического ряда хв рассчитывается по следующей формуле:
xB=-InlXl. (2.6)
в И і=1
Оценкой генеральной дисперсии является выборочная дисперсия:
DB=-Zn1(x1-xB)2
Пі=1
Зачастую для вычисления DB применяется следующая формула:
1 Л. .2
DB — Z(xj 2xrxB + (xB) ) —х х
Пі=1
При задании выборки в виде статистического ряда имеем:
— \2
(2.8)
Ов=-Іпі(хі-хвУ
11 і=і
(2.9)
Корень квадратный из выборочной дисперсии называется
выборочным средним квадратическим отклонением.:
і(хі-хв)2 =7
11 і=і
2 —т
Х“-Х“.
(2.10)
При задании выборки в виде интервального статистического ряда в формулах (2.6), (2.9), (2.10) вместо х; рассматривается среднее значе
х.-і + х,
ние 1-го подынтервала:
Для примера 2.1 имеем:
1 5 1
хв = — Уп.х, =-(5-5 + 20-10 +40-15 + 25-20 + 10-25) = 15.75.
20 “І 100
DB =-Yn,(x, -хв)
В 100 “1 1? 1 вУ
(5 • 10.75 + 20 • 5.75 + 40 • 0.75z +
100
+ 25 • 4.752 + 10 • 9.752) = 27.7625,
ав = л/27.7625 = 5.269.
Для примера 2.2 имеем:
1 6 1
хв =-Sn,x, =-(10-10 + 50 • 30 + 80- 50+ 100- 70 +
300 і=і зоо
+ 40- 90 + 20-110) = 61.33,
DB = —In,(x, — xR )2 =— (10-51.332 + 50-31.332 +80-11.332 + B 100 i=i 300
+ 100-8.672 +40-28.672 + 20 • 48.672) = 578.22, aB = д/578.22 =24.05.
В дальнейшем для упрощения выкладок хв будем обозначать через х.
По аналогичной схеме определяются статистические оценки других числовых характеристик СВ. Приведем формулы расчета числовых характеристик, упоминавшихся в главе 1.
Выборочный коэффициент вариации V определяется отношением выборочного среднего квадратического отклонения к выборочной средней, выраженным в процентах:
у = Х|_.іоО%. (2.11)
X
Коэффициент вариации - безразмерная величина, удобная для сравнения величин рассеивания двух выборок, имеющих различные размерности.
Как отмечалось в параграфе 1.6, наиболее употребляемыми характеристиками связи двух СВ являются меры их линейной связи -ковариация и коэффициент корреляции. Их оценками являются выборочная ковариация Sxy и выборочный коэффициент корреляции гху:
sxy =-i(xi-x)(y1-y) = xy-x-y, (2.12)
И 1=1
'ху
ХУ
УВ(Х) -yB(Y)
-ІХХі-хХУі-у)
111=1
(2.13)
|
ху - х • у |
 |
l-Z(x,-x)2
И i = l
I-it у,-У)2
11 i=l
_ In
Здесь ху = — ЕхіУі • Следовательно, для нахождения выборочной
11 і=і
ковариации и коэффициента корреляции необходимо иметь выборку объема 11 из двумерной генеральной совокупности (X, Y): (хь у,), п= 1,2, ...,п.
|
Таблица 2.3 |
|
|
|
Хі |
Хі х2 ... xn |
|
Уі |
Уі У 2 Уп |
Выборочные ковариация и коэффициент корреляции обладают теми же свойствами, что и их теоретические прототипы. В частности, нетрудно показать, что справедливы следующие свойства:
1. Если между СВ X и Y существует положительная (отрицательная) линейная зависимость, то гху > 0 (гху < 0).
2. Выборочный коэффициент корреляции гх? является безразмерной величиной.
3. -1 < гхт < 1.
4. Если между СВ X и Y отсутствует линейная связь, то гхт = 0.
5. Чем ближе гху по модулю к 1, тем сильнее линейная связь между X и Y.
Замечание. Близкая к нулю величина коэффициента корреляции говорит об отсутствии линейной связи переменных, но не об отсутствии связи между ними вообще (рис. 2.4, в).
 |
|
Рис. 2.4 |
Вопросы для самопроверки
1. Что такое генеральная совокупность и выборка?
2. Назовите основные виды выборок и способы отбора элементов в них.
3. Что такое статистический ряд? Что такое интервальный статистический ряд?
4. Дайте определение эмпирической функции распределения, приведите ее аналитическое и графическое представление.
5. Что такое полигон частот и гистограмма? Для чего они используются?
6. Как вычисляются основные числовые характеристики по результатам выборки: выборочные среднее, дисперсия, среднее квадратическое отклонение?
7. Как вычисляется и где применяется выборочный коэффициент вариации?
8. Приведите формулы определения выборочных ковариации и коэффициента корреляции.
9. Приведите основные свойства выборочного коэффициента корреляции.
Упражнения и задачи
1.
Анализируются объемы ежедневных продаж некоторого товара за 60 дней. Получены следующие данные:
5, 6, 3, 2, 7, 7, 6, 6, 10, 11, 6, 4, 5, 6, 3, 12, 9, 10, 7, 4, 6, 7, 8, 8, 10, 5, 5, 4, 3, 6,
6, 7, 7, 8, 8, 10, 6, 4, 5, 6, 12, 7, 7, 8, 11, 9, 10, 5, 6, 4, 2, 7, 11, 8, 7, 9, 5, 6, 9, 5.
Необходимо:
а) построитъ статистический ряд;
б) определить размах выборки;
в) построить эмпирическую функцию распределения и ее график;
г) построить полигон относительных частот;
д) определить выборочные среднюю, дисперсию, среднее квадратическое отклонение.
2. Анализируется продолжительность телефонных разговоров с клиентами на
некоторой справочной телефонной службе. Случайным образом отобраны 55 телефонных разговоров и зафиксированы их длительности (в секундах): 39, 60, 40, 52, 32, 68, 77, 61, 68, 60, 47, 49, 70, 55, 66,
80, 35, 67, 70, 55, 42, 52, 60, 82, 70, 55, 47, 39, 50, 58,
45, 50, 53, 33, 49, 54, 55, 70, 62, 60, 60, 40, 59, 64, 70,
55, 54, 35, 48, 52, 57, 55, 82, 70, 51, 35, 49, 60, 55, 47.
Необходимо:
а) вычислить выборочную среднюю, выборочную дисперсию, выборочное среднее квадратическое отклонение рассматриваемой величины;
б) построить интервальный статистический ряд, включающий 5 подынтервалов (какой шаг h вы при этом выбрали и почему?);
в) построить гистограмму и по ее виду выдвинуть предположение о законе распределения рассматриваемой СВ;
г) вычислить выборочные числовые характеристики рассматриваемой величины на основании построенного интервального статистического ряда;
д) построить интервальный статистический ряд, включающий 7 подынтервалов и вычислить на его основании выборочные числовые характеристики рассматриваемой величины;
г) сравнить результаты вычислений в пунктах а), г) и д); каковы ваши выводы?
3. По имеющейся эмпирической функции распределения F*(x) построить статистический ряд и полигон частот, если объем выборки п = 100.
|
f °’ |
х< 10; |
|
0.2, |
10 < х < 20; |
|
0.5, |
20 < х < 30; |
|
< 0.65, |
30 < х < 40; |
|
0.9, |
40 <х < 50; |
|
0.95, |
50 < х < 60; |
|
1 1. |
х > 60. |
4. Анализируется размер дивидендов по акциям некоторой компании. Для этого отобраны данные за последние 20 лет:
5, 10, 7, -5, 3, 10, 15, 10, 5, -3, -5, 3, 7, 15, 10, 10, 0, -2, 5, 10.
а) Каков ожидаемый размер дивидендов?
б) Как можно оценить риск от вложений в данную компанию?
5. Анализируется прибыль (X) фирм в некоторой отрасли. Имеющиеся статистические данные по 100 фирмам представлены следующим интервальным статистическим рядом:
|
х% |
[0, 5) |
[5, 10) |
[Ю, 15) |
[15,20) |
[20, 25) |
[25, 30) |
|
Пі |
8 |
15 |
35 |
30 |
10 |
2 |
Необходимо:
а) оценить величину ожидаемой (средней) прибыли в отрасли;
б) построить гистограмму и выдвинуть предположение о виде закона распределения СВ X;
в) оценить величину относительного разброса прибылей в данной отрасли
6. Цена некоторого товара в 20 магазинах была следующей:
50, 48, 47, 55, 50, 45, 50, 52, 48, 50, 52, 48, 50, 47, 50, 48, 52, 50, 50, 48.
На базе этих данных
а) построить статистический ряд;
б) построить полигон относительных частот;
в) выдвинуть предположение о виде закона распределения СВ - цены товара;
г) оценить параметры предполагаемого закона распределения.
7. Данные наблюдений за СВ X и Y представлены следующими таблицами:
|
X |
1 2 3 4 5 |
|
Y |
0 2 3 5 6 |
|
X |
1 3 5 7 9 |
|
Y |
10 7 8 5 3 |
|
X |
0 1 2 3 4 5 6 |
|
Y |
9 4 10 14 9 |
Необходимо нанести точки наблюдений на декартову систему координат; вычислить ковариацию и коэффициент корреляции; сделать выводы о линейной зависимости между переменными (о силе и направлении).
8. В следующей таблице приведены данные за 10 лет (1981-1990) по количеству вновь регистрируемых фирм (X) и по количеству банкротств (Y) в некотором государстве:
|
Год |
X |
Y |
Год |
X |
Y |
|
1981 |
72500 |
1020 |
1986 |
82500 |
3000 |
|
1982 |
72900 |
1290 |
1987 |
87000 |
4000 |
|
1983 |
74150 |
1830 |
1988 |
86500 |
4200 |
|
1984 |
73500 |
2250 |
1989 |
90000 |
4500 |
|
1985 |
78350 |
2500 |
1990 |
89000 |
4000 |
а) Каково ожидаемое количество вновь регистрируемых фирм в течение года для данного временного интервала; какова выборочная дисперсия и среднее квадратическое отклонение для этого показателя?
б) Каково ожидаемое количество банкротств в течение года для данного временного интервала; какова выборочная дисперсия и среднее квадратическое отклонение для этого показателя?
в) Вычислите ковариацию и коэффициент корреляции между X и Y. Являются ли эти переменные независимыми?
г) Если X и Y коррелированы, то можно ли утверждать, что один из этих показателей является “следствием” другого, т. е. изменение одного влечет изменение другого?
СТАТИСТИЧЕСКИЕ ВЫВОДЫ: ОЦЕНКИ И ПРОВЕРКА ГИПОТЕЗ
Статистические выводы - это заключения о генеральной совокупности (т. е. о законе распределения исследуемой СВ и его параметрах, либо о наличии и силе связи между исследуемыми переменными) на основе выборки, случайно отобранной из генеральной совокупности. Например, анализ дохода (X) населения некоторого двухмиллионного города реально может быть осуществлен только на базе выборки ограниченного объема (пусть п = 1000). В данном случае не
составит большого труда оценить средний доход х = X х, /п и разброс
і=і
2 П — 2 /
S = Z(xi _х) /п в доходах субъектов, попавших в выборку. Далее
і=і
встает вопрос: можно ли считать, что полученные значения будут такими же для всего города. Другими словами, обобщение результатов, полученных по выборке, на генеральную совокупность и есть суть статистических выводов. При исследовании различных параметров генеральной совокупности на основе выборки возможно лишь получение оценок этих параметров. Эти оценки получаются из ограниченного набора данных, что влечет за собой вероятность погрешности. Заметим, что значения оценок могут изменяться от выборки к выборке. Процесс нахождения оценок по определенному правилу (формуле) будем называть оцениванием. Цель любого оценивания - получение наиболее точного значения оцениваемой характеристики. Можно выделить два вида оценивания: оценивание вида распределения и оценивание параметров распределения. В качестве оценки вида распределения (в силу закона больших чисел) можно взять выборочное распределение, подсчитав частоты попадания рассматриваемой СВ в заданные подынтервалы интервального статистического ряда. Процедура оценивания всегда однотипна. На основе выборки с помощью соответствующей формулы рассчитывается оценка исследуемой характеристики. В качестве оценок параметров распределения генеральной совокупности берутся их выборочные оценки. При этом различают два вида оценок - точечные и интервальные.
После определения оценок обычно встает вопрос об их качестве и статистической значимости. С другой стороны, часто до определения оценок выдвигаются предположения о значениях исследуемых параметров. Анализ соответствия результатов выборки выдвигаемым предположениям и определение статистической значимости полученных выводов обычно осуществляются по схеме статистической проверки гипотез, что также требует рассмотрения.
3.1. Точечные оценки и их свойства
Пусть оценивается некоторый параметр ? наблюдаемой СВ X генеральной совокупности. Пусть из генеральной совокупности извлечена выборка объема п: хі, хг, ..., хп, по которой может быть найдена оценка ? параметра ?. Например, для нормального закона распределения с плотностью вероятности
|
f(x) |  |
(x-m)2 2у 2
параметрами являются математическое ожидание m и среднее квадратическое отклонение а.
Точечной оценкой ? параметра ? называется числовое значение этого параметра, полученное по выборке объема н.
* _ 1 п
Например, оценками m и а(х) могут быть m =х = —Xх! и
ш=і
* 11 п _ о
а =ав= , -і(Хі-х) соответственно.
V п 1=1
Нетрудно заметить, что оценка ? является функцией от выборки, т. е. ? = ? (хі, х2, ..., хп). Так как выборка носит случайный характер, то оценка ? является СВ, принимающей различные значения для различных выборок. Любую оценку ? = ? (хі, х2, ..., xn ) называют статистикой или статистической оценкой параметра ?.
Число s такое, что I ? - ? I < s называется точностью оценки. Естественно стремление получить по возможности наиболее точную оценку при данном объеме выборки.
Приведем свойства, выполнимость которых желательна для того, чтобы оценка была признана удовлетворительной.
В силу случайности точечной оценки ? она может рассматриваться как СВ со своими числовыми характеристиками - математическим ожиданием М(? ) и дисперсией D(0 ). Чем ближе М(? ) к истинному значению ? и чем меньше D(0 ), тем лучше будет оценка (при прочих равных условиях). Таким образом, качество оценок характеризуется следующими основными свойствами: несмещенность, эффективность и состоятельность.
Оценка ? называется несмещенной оценкой параметра ?, если ее математическое ожидание равно оцениваемому параметру: М(? ) =?.
Хотя каждая отдельная оценка лишь в редких случаях совпадает с соответствующей характеристикой генеральной совокупности, при “аккуратном” оценивании многократное осуществление выборок одного объема 11 обеспечивает совпадение среднего значения оценки по всем выборкам с истинным значением оцениваемого параметра.
Разность М(?) - ? называется смещением или систематической ошибкой оценивания. Для несмещенных оценок систематическая ошибка равна нулю.
Свойство несмещенности оценки является важнейшим, но не единственным. Зачастую существует несколько возможных оценок одного и того же параметра. Какая из них лучше? Очевидно, выбор будет сделан в пользу той из них, вероятность совпадения которой с истинным значением оцениваемого параметра выше. Оценка должна иметь такую плотность вероятности, которая наиболее “сжата” вокруг истинного значения оцениваемого параметра. Нетрудно заметить, что в этом случае она будет иметь наименьшую среди других оценок дисперсию. Оценка ? называется эффективной оценкой параметра ?, если ее дисперсия D(0 ) меньше дисперсии любой другой альтернативной оценки при фиксированном объеме выборки п, т. е. D(0 ) = Dmm. На рис. 3.1 приведена схема, наглядно демонстрирующая преимущество эффективной оценки и^по сравнению с неэффективной оценкой
и*2 параметра 0.

Каждая отдельная эффективная оценка не гарантирует того, что она дает более точное значение исследуемого параметра, чем менее эффективная. Однако вероятность такого исхода превышает 0.5.
Оценка называется асимптотически эффективной, если с увеличением объема выборки ее дисперсия стремится к нулю, т. е. D(h* )—>0 при п —Э'ОО (индекс п в оценке и* применяется для подчеркивания объема выборки).
Оценка и* называется состоятельной оценкой параметра ?, если и* сходится по вероятности к ? при п —» со, т. е. для любого s > 0
при п—> со Р( I и* - ? I < s) —> 1. Другими словами, состоятельной называется такая оценка, которая дает истинное значение при достаточно большом объеме выборки вне зависимости от значений входящих в нее конкретных наблюдений.
Схема возможного улучшения точности (несмещенности) состоятельной оценки приведена на рис. 3.2.

В большинстве случаев несмещенная оценка является и состоятельной. С другой стороны, состоятельные оценки (возможно, не являющиеся несмещенными при малых объемах выборок) с увеличением объема выборки будут приближаться и лежать все “плотнее” к истинному значению (рис. 3.2). Это указывает на асимптотическую несмещенность состоятельной оценки. Поэтому при невозможности получения несмещенной оценки целесообразно найти хотя бы состоятельную оценку.
Справедливо следующее утверждение: если М(и^) —» ? и D(h^ )—> 0 при и —> со, то и^ - состоятельная оценка параметра ?.
Оценки, являющиеся линейными функциями от выборочных наблюдений, называются линейными.
Очень важную роль в эконометрике играют так называемые наилучшие линейные несмещенные оценки, или коротко BLUE-оценки (Best Linear Unbiased Estimators). Такие оценки, являясь линейными и несмещенными, имеют наименьшую дисперсию среди всех возможных оценок данного класса.
Наиболее употребляемыми методами нахождения точечных оценок являются метод моментов, метод максимального правдоподобия, метод наименьших квадратов, описание которых можно найти в любом учебнике по математической статистике.
3.2. Свойства выборочных оценок
На начальном этапе в качестве оценки той или иной числовой характеристики (математического ожидания, дисперсии и т. п.) берется выборочная числовая характеристика. Затем, исследуя свойства этой оценки, ее уточняют таким образом, чтобы она удовлетворяла описанным выше свойствам.
_ In
Доказано, что выборочная средняя хв= — Ххі является несме-
П і=1
щенной и состоятельной оценкой математического ожидания М(Х) генеральной совокупности.
1 п _ 2
Выборочная дисперсия DB = — Х(хі-хв) является смещенной
П і=1
оценкой дисперсии D(X) = а2 СВ X генеральной совокупности, т. к. доказано, что DB = а2 ——- . То есть выборочная дисперсия оценивает
н
генеральную дисперсию с недостатком. Хотя при п —» оо ——- —» 1,
н
и оценка DB является асимптотически несмещенной, но в качестве оценки дисперсии D(X) удобнее брать исправленную дисперсию:
к
Хп1(х1
11
S2 =
— \2
¦XU2
(3.1)
DT
Х0т-хв)
іі-1
11 - 1 і=1
11-11=1
Исправленная дисперсия S2 является несмещенной и состоятельной оценкой дисперсии D(X) СВ X.
Аналогично вводится исправленное среднее квадратическое от-клонение или так называемый эмпирический стандарт S:
s = Vs1 = -АА(х, - ХВ)2 = ,р- Іп,(Хі - хв)2 . (3.2)
V п -11=1 V п -1 і=і
Отметим, что при и > 30 различие между DB и S2 (ств и S) практически незначимо. Поэтому при большом объеме выборки и ту и другую оценки можно считать несмещенными. В дальнейшем оценки дисперсии D(X) и среднего квадратического отклонения ст(Х) будем обозначать S2 и S соответственно.
Относительная частота — является несмещенной и состоятель-
н
ной оценкой вероятности Р(Х = х,). Аналогично эмпирическая функ-
* н
ция распределения F (х) = —-1- (накопленная относительная частота)
11
является несмещенной и состоятельной оценкой (теоретической) функции распределения F(x) = Р(Х < х).
3.3. Интервальные оценки
После получения точечной оценки ? желательно иметь данные о надежности такой оценки. Особенно важно иметь сведения о точности оценок для небольших выборок (поскольку с возрастанием объема п выборки несмещенность и состоятельность основных оценок гарантируется утверждениями математической статистики). Поэтому точечная оценка может быть дополнена интервальной оценкой - интервалом (?ь ?2), внутри которого с наперед заданной вероятностью у находится точное значение оцениваемого параметра ?. Задачу определения такого интервала называют интервальным оцениванием, а сам интервал - доверительным интервалом. При этом у называют доверительной вероятностью или надежностью, с которой оцениваемый параметр ? попадает в интервал (?і, ?2).
Зачастую для определения доверительного интервала заранее выбирают число а = 1 - у, 0< а < 1, называемое уровнем значимости, и находят два числа ?і и ?2, зависящих от точечной оценки ? такие, что
Р(?і < ? < ?2) = 1 - а = у. (3.3)
В этом случае говорят, что интервал (?і, ?2) накрывает неизвестный параметр ? с вероятностью (1 - а) или в 100(1 - а)% случаев. Границы интервала ?і и ?2 называются доверительными, и они обычно находятся из условия Р( 0 < ?і) = Р( 0 > ?2) = а/2 .
|
Р(?і < ? < ?2) = 1 - а |
 |
|
Рис. 3.3 |
Длина доверительного интервала, характеризующая точность интервальной оценки, зависит от объема выборки п и надежности у (уровня значимости а = 1 - у). При увеличении величины п длина доверительного интервала уменьшается, а с приближением надежности у к единице - увеличивается. Выбор а (или у = 1 - а) определяется конкретными условиями. Обычно используется а = 0.1; 0.05; 0.01, что соответствует 90, 95, 99 % -ным доверительным интервалам.
Общая схема построения доверительного интервала следующая:
1. Из генеральной совокупности с известным распределением СВ X f(x, 0) извлекается выборка объема и, по которой находится точечная оценка 0 параметра 0.
2. Строится СВ Y(0), связанная с параметром 0 и имеющая известную плотность вероятности f(y, 0).
3. Задается уровень значимости а.
4. Используя плотность вероятности СВ Y, определяются два числа Сі и С2 такие, что
Р(сі < Y(0) < с2) = jf(y,H)dy = 1 - а (3.4)
сі
Значения щ и С2 выбираются, как правило, из условий P(Y(0) < сі) = а/2; P(Y(0) > с2) = а/2 .
Неравенство Сі < Y(0) < С2 преобразуется в равносильное 0*- 5 < 0 < 0 + 5 такое, что Р(?*- 5 < 0 < ?*+ 5) = 1 - а.
Полученный интервал (? - 5, ?*+ 8), накрывающий неизвестный параметр ? с вероятностью 1 - а, и является интервальной оценкой параметра ?.
Интервальная оценка также носит случайный характер, так как она напрямую связана с результатами выборки. Однако она позволяет нам сделать следующий вывод. Если построен доверительный интервал, который с надежностью у = 1 - а накрывает неизвестный параметр, и его границы рассчитываются по К выборкам одинакового объема п, то в (1 - а)-К случаях построенные интервалы накроют истинное значение исследуемого параметра.
Поскольку в эконометрических задачах часто приходится находить доверительные интервалы параметров СВ, имеющих нормальное распределение, приведем схемы их определения.
3.3.1. Доверительный интервал для математического ожидания нормальной СВ при известной дисперсии
Пусть количественный признак X генеральной совокупности имеет нормальное распределение с заданной дисперсией а2 и неизвестным математическим ожиданием m (X ~ N(m, а)). Построим доверительный интервал для т.
1. Пусть для оценки m извлечена выборка хі, хг, ..., хп объема п.
* 1 П _
Тогда m = — ?Xj = х .
П і=1
х — m
2. Составим СВ U =-— . Нетрудно показать, что СВ U имеет стандартизированное нормальное распределение, т. е. U ~ N(0, 1)
№) ?2р 6 2 }
3. Зададим уровень значимости а.
4. Применяя формулу нахождения вероятности отклонения нормальной величины от математического ожидания, имеем:
X -111
P(|U|6) = P( 2
= Р(х —Ug У 2
<иб ) = 2
У
(3.5)
)=1-б.
< 111 < X + 11


Это означает, что доверительный интервал ( х-ііб
2
накрывает неизвестный параметр m с надежностью 1 - а . Точность

оценки определяется величиной 5 = иб •
2
Отметим, что число иб определяется по таблице функции Лап-
2
ласа (приложение 1) из равенства Ф( иб) = -—— = —.
2 2 2
 |
|
Рис. 3.4 |
Пример 3.1. На основе продолжительных наблюдений за весом X пакетов орешков, заполняемых автоматически, установлено, что стандартное отклонение веса пакетов а = 10 г. Взвешено 25 пакетов, при этом их средний вес составил х = 244 г. В каком интервале с надежностью 95 % лежит истинное значение среднего веса пакетов?
Логично считать, что СВ X имеет нормальный закон распределения:
X ~ N(m, 10). Для определения 95 % -го доверительного интервала найдем критическую точку иб = uo 025 из приложения 1 по соотношению
2
0.95
Ф(и 0.025)--= 0.475. => и 0 025 - 1 96.
2
Тогда по формуле (3.5) построим доверительный интервал:
10 10
(244- 1.96- — ; 244+ 1.96-— ) = (240.8; 247.92).
5 5
3.3.2. Доверительный интервал для математического ожидания нормальной СВ при неизвестной дисперсии В реальности истинное значение дисперсии исследуемой СВ, скорее всего, известно не будет. Это приводит к необходимости ис-
пользования другой формулы при определении доверительного интервала для математического ожидания СВ, имеющей нормальное распределение.
Пусть X ~ N(m, а2), причем m и а2 - неизвестны. Необходимо построить доверительный интервал, накрывающий с надежностью у = 1 - а истинное значение параметра іи.
Для этого из генеральной совокупности СВ X извлекается выборка объема и: хь х2,..., хп.
1. В качестве точечной оценки математического ожидания m используется выборочное среднее х, а в качестве оценки дисперсии
2 2 1 п _ 2
а - исправленная выборочная дисперсия S =-Z(xi-x) ,
и — 1 І=1
которой соответствует стандартное отклонение S = Vs2".
2. Для нахождения доверительного интервала строится статистика Т =——^г, имеющая в этом случае распределение Стьюдейта с
S/Vn
числом степеней свободы ? = и - 1 независимо от значений параметров m и а2.
3. Задается требуемый уровень значимости а.
4. Применяется следующая формула расчета вероятности
Р( I т I < t6 ) = P(-t6 < Т < t6 ) = 1 - а,
,п-1
,п-1
,11-1
(3.6)
2 2 2
где t6 - критическая точка распределения Стью дейта, которая
,ц-і
находится по соответствующей таблице (приложение 2). Тогда
х — m
рЫб 6 ) = P(-t6 <-^6 ) =
2’П-1 2’П_1 2’П_1 S/^n 2’П_1
(3.7)
s s
= P(x-t6 • —j= < m < x +16 •—i=)=l-a.
-,n-i yn -,n-i yn
Это означает, что интервал (х -1
®,n-l
2
:х + t
®,n-l
2
) накрывает
неизвестный параметр m с надежностью 1 - а.
3.3.3. Доверительный интервал для дисперсии нормальной СВ Пусть X ~ N(m, а2), причем m ист2- неизвестны. Пусть для оценки а2 извлечена выборка объема и: хь х2, хп .
1. В качестве точечной оценки дисперсии D(X) используется ис-
2 1 п _ 2
правленная выборочная дисперсия S =-Z(xi-x) , которой
И — 1 і=1
S = V? .
соответствует стандартное отклонение
2. Для нахождения доверительного интервала для дисперсии в
2 (n-l)S3 2
этом случае вводится статистика ч =-~-, имеющая х -рас-
У
пределение с числом степеней свободы ? = и - 1 независимо от значения параметра а2.
3. Задается требуемый уровень значимости а.
4. Тогда, используя таблицу критических точек х2-распределения,
нетрудно указать критические точки ч2 , ч2
1 6 1 6 1 1--,п-1 . п-1
2 2
торых будет выполняться следующее равенство:
, для ко
) = 1-б.
Р( ч:
(3.8)
< ч < ч‘
,п-1
1 — ,п—і 2
Подставив вместо х соответствующее значение, получим Р(ч2 <ч2<ч2 ) = Р( ч2 <(п ~ < ч2 ) =
R б б Лг2 б
—,n-l 1—,п—1 У — ,п-1
2 2 2
1--,п-1
2
S2(и — 1) 2 S2(и — 1) , г
= Р(^--<у --) = 1-б.
(3.9)
6 1 —,п-1
2
іДп-1
2
тт S2(n-1) 2 S2(n-1)
Неравенство —j--<у <-Д1-- может быть преобразовано в
1-б,п-1
2
, п-1
следующее неравенство:
S
п-1
п-1
(3.10)
<у< S
,п—і
1-—, 11-1 2
Таким образом, доверительный интервал (
S2 (п — 1) S2 (п — 1)
іДп-1
2
накрывает неизвестный параметр а2 с надежностью 1 - а . А доверительный интервал (S —^—— , S
п-1
) с надежностью 1 - а
,п—і
накрывает неизвестный параметр а.
3.4. Статистическая проверка гипотез
3.4.1. Основные понятия
Большинство эконометрических моделей требуют многократного улучшения и уточнения. Для этого требуется проведение соответствующих расчетов, связанных с установлением выполнимости или невыполнимости тех или иных предпосылок, анализом качества найденных оценок, достоверностью полученных выводов. Обычно эти расчеты проводятся по схеме статистической проверки гипотез. Поэтому знание основных принципов проверки гипотез является обязательным для эконометриста.
Во многих случаях необходимо знать закон распределения генеральной совокупности. Если закон распределения неизвестен, но есть основания предположить, что он имеет определенный вид (назовем его А), выдвигают гипотезу: генеральная совокупность (СВ X) распределена по закону А. Например, можно выдвинуть предположение, что доход населения, ежедневное количество покупателей в магазине, размер выпускаемых деталей имеют нормальный закон распределения.
Возможен случай, когда закон распределения известен, а его параметры неизвестны. Если есть основания предположить, что неизвестный параметр ? равен ожидаемому числу ?о, выдвигают гипотезу: ? = ?о. Например, можно выдвинуть предположение о величине среднего дохода населения, среднего ожидаемого дохода по акциям, о разбросе в доходах и т. д.
Статистической называют гипотезу о виде закона распределения или о параметрах известного распределения. В первом случае гипотеза называется непараметрической, а во втором - параметрической.
Гипотеза Н0, подлежащая проверке, называется нулевой (основной). Наряду с нулевой рассматривают гипотезу Нь которая будет приниматься, если отклоняется Но. Такая гипотеза называется альтернативной (конкурирующей). Например, если проверяется гипотеза о равенстве параметра ? некоторому значению ?о, т. е. Н0: ? = ?о, то в качестве альтернативной могут рассматриваться следующие гипотезы:
Н^іи^Ио; Н|2):и>и0; Н|3):и<и0; Н|4) :и = ит (иг ф и0).
Выбор альтернативной гипотезы определяется конкретной формулировкой задачи, а нулевая гипотеза часто специально подбирается так, чтобы отвергнуть ее и принять тем самым альтернативную гипотезу. Для того чтобы принять гипотезу о наличии корреляции между двумя экономическими показателями (например, между инфляцией и безработицей), можно опровергнуть гипотезу об отсутствии такой корреляции, взяв ее в качестве нулевой гипотезы.
Гипотезу называют простой, если она содержит одно конкретное
предположение (Н0 :и = и0, Hj4) :и = иД. Гипотезу называют сложной, если она состоит из конечного или бесконечного числа простых гипотез (Hj!) : иФ и0; Н|2):и>и0; Н|3) :и < и0. ).
Сущность проверки статистической гипотезы заключается в том, чтобы установить, согласуются или нет данные наблюдений и выдвинутая гипотеза. Можно ли расхождение между гипотезой и результатом выборочных наблюдений отнести за счет случайной погрешности, обусловленной механизмом случайного отбора? Эта задача решается с помощью специальных методов математической статистики - методов статистической проверки гипотез.
При проверке гипотезы выборочные данные могут противоречить гипотезе Но. Тогда она отклоняется. Если же статистические данные согласуются с выдвинутой гипотезой, то она не отклоняется. На практике часто в таких случаях говорят, что нулевая гипотеза принимается (такая формулировка не совсем точна, однако она широко распространена). Статистическая проверка гипотез на основании выборочных данных неизбежно связана с риском принятия ложного решения. При этом возможны ошибки двух родов.
Ошибка первого рода состоит в том, что будет отвергнута правильная нулевая гипотеза.
Ошибка второго рода состоит в том, что будет принята нулевая гипотеза, в то время как в действительности верна альтернативная гипотеза.
Возможные результаты статистических выводов представлены следующей таблицей:
|
Таблица 3.1 |
|
|
|
Результаты проверки гипотезы |
Возможные состояния гипотезы |
|
верна Но |
верна Hi |
|
Гипотеза Но отклоняется |
Ошибка первого рода |
Правильный вывод |
|
Г ипотеза Но не отклоняется |
Правильный вывод |
Ошибка второго рода |
В большинстве случаев последствия указанных ошибок неравнозначны. Первая приводит к более осторожному, консервативному решению, вторая - к неоправданному риску. Что лучше или хуже - зависит от конкретной постановки задачи и содержания нулевой гипотезы. Например, если Н0 состоит в признании продукции предприятия качественной, и допущена ошибка первого рода, то будет забракована годная продукция. Допустив ошибку второго рода, мы отправим потребителю брак. Очевидно, последствия второй ошибки более серьезны с точки зрения имиджа фирмы и ее долгосрочных перспектив.
Исключить ошибки первого и второго рода невозможно в силу ограниченности выборки. Поэтому стремятся минимизировать потери от этих ошибок. Отметим, что одновременное уменьшение вероятностей данных ошибок невозможно, так как задачи их уменьшения являются конкурирующими, и уменьшение вероятности допустить одну из них влечет за собой увеличение вероятности допустить другую. В большинстве случаев единственный способ уменьшения вероятности ошибок состоит в увеличении объема выборки.
Вероятность совершить ошибку первого рода принято обозначать буквой а, и ее называют уровнем значимости. Вероятность совершить ошибку второго рода обозначают (5. Тогда вероятность несовершения ошибки второго рода (1 - Р) называется мощностью критерия.
Обычно значения а задают заранее круглыми числами (например, 0.1; 0.05; 0.01 и т. и ), а затем стремятся построить критерий наибольшей мощности. Таким образом, если а = 0.05, то это означает, что исследователь не хочет совершить ошибку первого рода более чем в 5 случаях из 100.
3.4.2. Критерии проверки. Критическая облаетъ
Проверку статистической гипотезы осуществляют на основании данных выборки. Для этого используют специально подобранную СВ (статистику, критерий), точное или приближенное значение которой известно. Эту величину обозначают:
Z (или U) - если она имеет стандартизированное нормальное распределение;
Т - если она распределена по закону Стьюдейта;
X2 - если она распределена по закону х2;
F - если она имеет распределение Фишера.
В этом параграфе в целях общности будем обозначать такую СВ через К.
Таким образом, статистическим критерием называют СВ К, которая служит для проверки нулевой гипотезы. После выбора определенного критерия множество всех его возможных значений разбивают на два непересекающихся подмножества: одно из них содержит значения критерия, при которых нулевая гипотеза отклоняется, другое -при которых она не отклоняется. Совокупность значений критерия, при которых нулевую гипотезу отклоняют, называют критической областью. Совокупность значений критерия, при которых нулевую гипотезу не отклоняют, называют областью принятия гипотезы.
Основной принцип проверки статистических гипотез можно сформулировать так: если наблюдаемое значение критерия К (вычисленное по выборке) принадлежит критической области, то нулевую гипотезу отклоняют. Если же наблюдаемое значение критерия К принадлежит области принятия гипотезы, то нулевую гипотезу не отклоняют (принимают).
Точки, разделяющие критическую область и область принятия гипотезы, называют критическими.
Перейдем к определению критических точек, а следовательно, и критической области. В основу этого определения положен принцип практической невозможности маловероятных событий.
Пусть для проверки нулевой гипотезы Но служит критерий К. Предположим, что плотность распределения вероятности СВ К в случае справедливости Но имеет вид f(k|Ho), а математическое ожидание К равно ко. Тогда вероятность того, что СВ К попадет в произвольный
интервал (кі_а/2, ка/2), можно найти по формуле:
кб/2
Р(к,_6/2<К<кб/2) = Jf(k|H0)dk. (3.11)
к і-б/2
Зададим эту вероятность равной 1 - а и вычислим критические точки (квантили) К-распределения кі_а/2, ка/2 из условий:
к1 — 6/2 fj
P(Ka2)= f f(k|H0)dk = —,
(3.12)
P(K>k6G) = f f(k I H0)dk =
Следовательно,
Р(к,-б/2 < К <кб/2) = 1 - б, a P((K k6/2))=6.
Зададим вероятность а настолько малой (0.05; 0.01), чтобы попадание СВ К за пределы интервала (ki_a/2, ka/2) можно было бы считать маловероятным событием. Тогда, исходя из принципа практической невозможности маловероятных событий, можно считать, что если Н0 справедлива, то при ее проверке с помощью критерия К по данным одной выборки наблюдаемое значение К должно наверняка попасть в интервал (k!_a/2, ka/2). Если же наблюдаемое значение К попадает за пределы указанного интервала, то произойдет маловероятное, практически невозможное событие. Это дает основание считать, что с вероятностью 1 - а нулевая гипотеза Но несправедлива.
Точки ki_a/2, ka/2 являются критическими.

Критическая область (-oo,k1_6/2)u(k6/2,+oo) называется двусторонней критической областью. Она определяется в случае, когда альтернативная гипотеза имеет вид: Ну ? Ф ?о. Кроме двусторонней, рассматривают также односторонние критические области - правостороннюю и левостороннюю.
Правосторонней называют критическую область (ka, +оо), определяемую из соотношения Р(К > ka) = а. Она используется в случае, когда альтернативная гипотеза имеет вид: Ну ? > ?о (рис. 3.6, а).
Левосторонней называют критическую область (-со, кі_а), определяемую из соотношения Р( К < кі_а) = а. Она используется в случае, когда альтернативная гипотеза имеет вид: Ну ? < ?о (рис. 3.6, б).
 |
|
Рис. 3.6 |
Общая схема проверки гипотез
1. Формулировка проверяемой (нулевой - Но) и альтернативной (Hi) гипотез;
2. Выбор соответствующего уровня значимости а;
3. Определение объема выборки и;
4. Выбор критерия К для проверки Н0;
5. Определение критической области и области принятия гипотезы;
6. Вычисление наблюдаемого значения критерия Кнабл;
7. Принятие статистического решения.
Проверка гипотез и доверительные интервалы
Проверка гипотез при двусторонней критической области тесно связана с интервальным оцениванием. При одном и том же уровне значимости а и объеме выборки и попадание гипотетического значения исследуемого параметра в доверительный интервал равносильно попаданию соответствующего критерия в область принятия гипотезы. Поэтому для проверки гипотезы в этом случае можно использовать доверительный интервал. Если гипотетическое значение исследуемого параметра попадает в этот интервал, то делают вывод, что нет оснований для отклонения выдвигаемой гипотезы. Более подробно данная связь рассмотрена в примерах 3.2 - 3.8.
3.5. Примеры проверки гипотез
Рассмотрим применение общей схемы проверки гипотез к конкретным задачам проверки гипотез о математическом ожидании, дисперсии, коэффициенте корреляции, часто встречающимся в эконометрическом анализе. Для каждой из этих гипотез конкретизируем выбор статистики (критерия) и определения критической области.
3.5.1. Проверка гипотезы о математическом ожидании нормальной СВ при известной дисперсии Пусть генеральная совокупность X распределена нормально, причем ее математическое ожидание m неизвестно, а дисперсия а2 известна. Также есть основания предполагать, что m = піо. Тогда
Н0: m = m0,
Hj1} : m ф m0 (Н(2): m > m0; Hf}: m < m0).
Для проверки H0 извлекается выборка объема п: хі, х2, ... , хп и в качестве критерия строится статистика
(3.13)
U = х - т0
- 1 п гг
где х= — Ххі, У = ?у • Доказано, что если Н0 справедлива, то стати-
11 і=і
стика U имеет стандартизированное нормальное распределение (U~N(0,1)).
ловия Ц(иб/2)
1) Пусть в качестве альтернативной рассматривается гипотеза И, : іи Ф іп0. Тогда критические точки иа/2 и иі_а/2 = -иа/2 будут определяться по таблице функций Лапласа (приложение 1) из ус-1-6
X - 111
Если U
іб/2 - нет оснований для отклонения Н0.
>иб/2- гипотеза Н0 отклоняется в пользу альтернативной гипотезы Н[ .
2) При Hj2): in > m0
критической области находят из равенства Ц(иб)
< ІЪ
набл.
Если |U
набл.
критическую точку иа правосторонней
1-26
Если инабл < ua - нет оснований для отклонения Н0.
Если инабл ^ Ua “ Н0 ОТКЛОНЯЮТ В ПОЛЬЗУ Hj2).
3) При Н|3): m < m0 критическая точка Ui_a = -ua.
Если инабл > Ui_a - нет оснований для отклонения Н0.
Если инабл ^ Ui_a - Н0 ОТКЛОНЯЮТ В ПОЛЬЗУ Н|3) .
Пример 3.2. В условиях примера 3.1 проверить гипотезу М(Х) = 250 г при уровне значимости a = 0.05. Если данное утверждение неверно, то станок-автомат требует подналадки.
Н0: m = 250;
Ну m Ф 250.
244-250 10/л/25
-3. В
По формуле (3.13) по данным выборки строим статистику U
данном случае используется двусторонняя критическая область. По таблице функции Лапласа найдем критическую точку ua/2 = и о.о25 = 1.96 Так как | инабл. I = = 3 > 1.96 = иКр., то Но должна быть отклонена в пользу Ну Это свидетельствует о том, что станок требует подналадки. Аналогичный ответ можно получить, используя интервальную оценку (240.8; 247.92), найденную в примере 3.1. Если гипотетическое значение 250 не принадлежит данному интервалу, то обоснован вывод о ложности гипотезы Но.
3.5.2. Проверка гипотезы о математическом ожидании нормальной СВ при неизвестной дисперсии Пусть генеральная совокупность X имеет нормальное распределение, причем ее математическое ожидание m и дисперсия а2 неизвестны. Данная ситуация более реалистична по сравнению с предыдущей. Пусть есть основания утверждать, что m = mo. Тогда строятся следующие гипотезы:
Н0: m = т0,
Н(11): т ф т0 (Hj2) : in > in0; Hf}: m < m0).
Для проверки H0 извлекается выборка объема и: Хі, х2, ... , хп; вы-
_ 1 п
числяются выборочное среднее х = — ?хА и исправленная выборочная
11 і=і
2 1 п _ ?
дисперсия S =-і(Хі-х) , которой соответствует стандартное
п-I і=і
отклонение S = y/s2". Далее строится следующая t-статистика:
х ~ m0
(3.14)
S/Vn ’
имеющая при справедливости Н0 распределение Стьюдейта с и = и -1 степенями свободы. Критическая область строится в зависимости от вида альтернативной гипотезы по аналогии с разделом 3.5.1.
1) При Hj : m ф m0 по таблице критических точек распределения Стьюдента (приложение 2) по заданному уровню значимости а и числу степеней свободы и = и -1 находятся критические точ-
КИ 16/2.П-1 И 11-6/2, п-1 = “16/2.П-1 •
Х ~ 1П0
S/Vn
Если X
Но.
< t6/2 пЧ - нет оснований для отклонения - Но отклоняют в пользу Hj!).
набл.
Если X
>t
6/2.П-1
набл.
2) При Н |2): іи > іп0 определяют критическую точку t(/n_i правосторонней критической области.
Если Тнабл < t6 п_! - нет оснований для отклонения Н0.
Если Тнабл > t6 п_| - Н0 отклоняется в пользу Ну1.
3) При Н|3): іи < іп0 определяют критическую точку ti_aai_i =
= - tan_i левосторонней критической области.
Если Тнабл > -t6 п_, - нет оснований для отклонения Н0.
Если Тнабл < -t6 n_j - Н0 отклоняется в пользу Hj3).
Пример 3.3. Анализируется доход X фирм в отрасли, имеющий нормальное распределение Предполагается, что средний доход в данной отрасли составляет не менее $1 млн По выборке из 49 фирм получены следующие данные: х= $0.9 млн и S = $1.15 млн. Не противоречат ли эти результаты выдвинутой гипотезе при уровне значимости a = 0.01?
Н0: ш= 1;
Ну ш < 1.
0.9-1
Для проверки гипотезы Но строим критерий ТнабЛ =-= -4.67.
0.15/7
Критическую точку левосторонней критической области определяем по таблице критических точек распределения Стьюдента tKp. = - to.oi, 48 = - 2.404. Поскольку Тнабл. 4.67 < —2.404 = tKp, то Но должна быть отклонена в пользу Ну что дает основание считать, что средний доход в отрасли меньше, чем $1 млн.
3.5.3. Проверка гипотезы о величине дисперсии нормальной СВ Многие экономические решения связаны с анализом возможных результатов, точнее, с разбросом возможных результатов. Например, при покупке акций какой-либо компании весьма важно оценить риск от такого вложения, который определяется рассеиванием годовых дивидендов по данным акциям за продолжительный период времени. Такую оценку можно осуществлять на базе анализа дисперсии СВ -размера дивидендов. Следовательно, при изучении многих экономических проблем приходится иметь дело с выдвижением и проверкой гипотез о величине дисперсии. Одной из самых распространенных является гипотеза о величине дисперсии нормальной СВ.
Пусть СВ X ~ N(m, a2); m и а2 неизвестны. Проверяется гипотеза о равенстве дисперсии а2 нормально распределенной генеральной совокупности X гипотетическому (предполагаемому) значению у2. Тогда:
Н0: у2 =Уо>
Н|‘’:у*Уо (Н|2):у >у^; Н<3):у<у2).
Для проверки Н0 извлекается выборка объема и: хь х2, ... , хп; вы-
_ 1 п
числяются выборочное среднее х = — ?xj, исправленная выборочная
И і=1
2 1 п _ ?
дисперсия S =-І(Хі-х) . Тогда критерий проверки Н0 имеет
п-1 і=і
вид:
(3.15)
2 _ (n-l)-S2 Уо
При справедливости Н0 построенная статистика /2 имеет /^распределение с н = и -1 степенями свободы.
1) При Н|!) :у2 Фуі по таблице критических точек /^распределения (приложение 3) по заданному уровню значимости а и числу степеней свободы и = и -1 находят критические точки
ч2_б/2 п_! и 4g/2 п_| двусторонней критической области.
Если ч2_б/2 п_! < ч2абл < 4g/2 n_j - нет оснований для отклонения Н0. Если ч2абл < ч2_б/2 п_] или ч2абл > и 6/2.11-! - Но отклоняется в пользу
н|Г).
2) При Н|2) :у2 > у2 находят критическую точку ч2 п_, правосторонней критической области.
Если ч2набл < Чд п-1 - нет оснований для отклонения Н0.
Если ч2абл > ч2 п_! - Н0 должна быть отклонена в пользу Н||2).
3) При Н|3):у2<у2 находят критическую точку 42_6n_j левосторонней критической области.
Если ч2абл > ч2_б п-1 - нет оснований для отклонения Н0.
Если ч2абл < ч2_б п-1 - Н0 отклоняется в пользу Hj3).
Пример 3.4. Точность работы станка-автомата, заполняющего пакеты порошком, определяется совпадением веса пакетов. Дисперсия веса не должна превышать 25 (г)2 По выборке из 20 пакетов определена исправленная дисперсия
2 1 -О 9 2
S2=-E(XJ -х)2 = 30(г)2.
20-1 і=і
Определите, требуется ли срочная подналадка станка? Принять а = 0.05.
Сформулируем нулевую и альтернативную гипотезы, соответствующие условию задачи:
Но : а2 = 25;
Hi : а2 >25.
2
Рассчитаем наблюдаемое значение критерия у в соответствии с (3.15):
7 19-30 9 2
чнабл. 22-8- Чкр. “ ч0.05; 19. “ 30.14.
25
2 2
Так как чнабл = 22.8 < 30.14 = чкр , то нет оснований для отклонения Но. Другими
словами, имеющиеся данные не дают основания считать, что станок требует срочной подналадки.
3.5.4. Проверка гипотезы о равенстве математических ожиданий двух нормальных СВ при известных дисперсиях При анализе многих экономических показателей приходится сравнивать две генеральные совокупности. Например, можно сравнивать уровни жизни в двух странах по размеру дохода на душу населения; можно сравнивать два варианта инвестирования по размерам средних дивидендов; качество знаний студентов двух университетов -по среднему баллу на комплексном тестовом экзамене. В этих случаях логично провести сравнение по схеме анализа равенства математических ожиданий двух генеральных совокупностей X и Y.
Пусть X ~ N(mx,y:) и Y ~ N(my,y(), причем их дисперсии у2 и у2
известны (например, из предшествующих наблюдений или определены теоретически). По двум выборкам х1;х2, ... , хп и уь у2, ..., уь объемов и и к соответственно необходимо проверить гипотезу М(Х) = M(Y), т. е.
Н0: М(Х) = M(Y),
Hi0 : М(Х) ф M(Y) (Н(2): М(Х) > M(Y); Hf}: М(Х) < M(Y)) В качестве критерия проверки Но принимается СВ U:
(3.16)
х-у
іуі+уІ
и к
При справедливости Н0 СВ U ~ N(0, 1).
1) При Hj ': М(Х) ф М(Y) по таблице функции Лапласа (приложение 1) определяют две критические точки Ui_a/2 и ua/2 из условий
тт/ Ч_1"б
Н111б/2І_ 2 ’ Ul-6/2_U6/2-
Если |инабл I < иб/2 - нет оснований для отклонения Н0.
Если |инабл I > иб/2 - Н0 отклоняется в пользу Н j1 ’.
2) При НІ2): М(Х) >M(Y) критическую точку ua правосторон-
1-26
ней критической области находят из равенства П,(иб) = ———.
Если инабл < иб - нет оснований для отклонения Н0.
Если инабл > иб - Н0 отклоняется в пользу Н||2).
3) При Н|3): М(Х) < M(Y) критическая точка Ui_a левосторонней критической области определяется из соотношения Uj_6 = - иб . Если инабл > Uj_6 - нет оснований для отклонения Н0.
Если инабл < Uj_6 - Н0 отклоняется в пользу Hj3).
3.5.5. Проверка гипотезы о равенстве математических ожиданий двух нормальных СВ при неизвестных дисперсиях Более реалистичной по сравнению с предыдущей ситуацией является случай, когда дисперсии рассматриваемых СВ неизвестны.
Пусть X ~ N(mx,y2) и Y ~ N(my,y2), причем их дисперсии
у2 и у2 неизвестны. Выдвигается гипотеза о равенстве математических ожиданий:
Н0: М(Х) = M(Y),
Hi0 : М(Х) ф M(Y) (Н(2): М(Х) > M(Y); Hf}: М(Х) < M(Y)).
При этих условиях в качестве критерия проверки Но принимают СВ Т:
hi • к • (и + к - 2)
х-у
(3.17)
(n-l)-S“ +(k-l)-S;
где іі, к - объемы выборок хкх2,... , хп и уь у2,... ,ук соответственно;
1 к 9
\—7І(Уі"У) •
к -1 і=і
1 п 9 x=-ix,,s;
іі і=і
1 П , 1 к
-rZ(x,-x)2,y = rZy1,S.
п-I 1=1 к і=і
При справедливости Но построенная статистика Т имеет t-pacnpe-деление Стьюдейта с и = п + к - 2 степенями свободы.
1) При Hj : М(Х) ф M(Y) по таблице критических точек распределения Стьюдента (приложение 2) по заданному уровню значимости а и числу степеней свободы и = п + к - 2 определяются критические точки ^_б/2,п+к_2 и t6/2n+k_2 (tH/2jll+k_2= -t6/2,n+k_2)
двусторонней критической области.
Если |Тнабл I < t6/2 n+k_2 - нет оснований для отклонения Н0.
Если |Тнабл I > t6/2 n+k_2 - Н0 отклоняется в пользу Н,м.
2) При Н|2): М(Х) > M(Y) находят критическую точку t(/n+k_2 правосторонней критической области.
Если Тнабл < t6n+k_2 - нет оснований для отклонения Н0.
Если Тнабл > t6 n+k_2 - Н0 отклоняется в пользу Н|2).
3) При Hi3): М(Х) < M(Y) находят критическую точку tj_6 n+k_2 = -t6 n+k_2 левосторонней критической области.
Если Тнабл > -t6n+k_2 - нет оснований для отклонения Н0.
Если Тнабл < -t6 n+k_2 - Н0 отклоняется в пользу Н|3).
Пример 3.5. В университете проведен анализ успеваемости среди студентов и студенток за последние 25 лет. СВ X и Y - их суммарный балл за время
учебы. Получены следующие результаты: х = 400; S* = 300; у = 420; = 150.
Можно ли утверждать, что девушки в среднем учатся лучше ребят? Принять а = = 0.05.
Для ответа на данный вопрос фактически необходимо проверить следующую гипотезу:
Но : М(Х) = M(Y);
Hi : М(Х) < M(Y).
к = 25: "to.05;25+25-2
-1.68.
По формуле (3.17) строим статистику Т с учетом, что и
400-420 /25- 25• (25 + 25-2)
Тнабл. / = • л — — 4.71; tKp -
л/24-300 + 24-150 V 25 + 25
Поскольку Тнабл = - 4.71 < -1.68 = tKp, то Но должна быть отклонена в пользу Hi, что дает основание утверждать, что в данном университете девушки в среднем учатся лучше ребят.
3.5.6. Проверка гипотезы о равенстве дисперсий
двух нормальных СВ
Зачастую при сравнении двух экономических показателей на первый план выходит анализ разброса значений рассматриваемых СВ. Например, при решении вопроса об инвестировании в одну из двух отраслей остро стоит проблема риска вложений. При сравнении уровней жизни в двух странах среднедушевой доход может оказаться приблизительно равным. Сопоставив разброс в доходах, мы получаем более точное представление об интересуемом нас вопросе. Анализ, аналогичный описанному выше, целесообразно проводить путем сравнения дисперсий исследуемых СВ.
Пусть X ~ N(mx,y3) и Y ~ N(my,yy), причем их дисперсии у^ и у у неизвестны. Выдвигается гипотеза о равенстве дисперсий у \ иуу:
Н0 :Ух =Уу>
тт(1) 2 2 /тт(2) 2 2 \
Н1 -Ух *Уу(Щ -ух >УУ).
По независимым выборкам хцх2, ... , хп и уь у2, ... , Ук объемов и и к соответственно определяются х, у, S2 и S2 (для однозначности
пусть S2 > Sy. В противном случае эти величины можно переобозна-чить).
В качестве критерия проверки Но принимают СВ

определяемой отношением большей исправленной выборочной дисперсии к меньшей. Если Но верна, то данная статистика F имеет F-распределение Фишера с нт = и -1 и н2 = к -1 степенями свободы.
1) При Н|!) :ух ^Уу п0 таблицам критических точек распределения Фишера (приложение 4) по уровню значимости а и числам
степеней свободы ?і и ?2 определяется критическая точка
^6/2,Hj,h, •
Если FHa6]I < F6/2 іь - нет оснований для отклонения Н0.
Если FHa6]I > F6/2 іь - Н0 отклоняется в пользу Н j1 ’.
2) При Н(2): уі > у у определяется критическая точка F6 ІЬ .
Если FHa6]I < F6 и2 - нет оснований для отклонения Н0.
Если FHa6]I > F6 ІЬ - Н0 отклоняется в пользу Н'2'.
Заметим, что при проверке гипотезы о равенстве дисперсий в качестве альтернативной гипотезы в большинстве случаев используется
гипотеза Н|2).
Пример 3.6. В условиях примера 3.5 определите, есть ли основания считать, что дисперсии двух СВ X и Y существенно отличаются друг от друга (т. е. разброс оценок у студентов больше, чем у студенток).
Из условий задачи строится следующая гипотеза:
ТТ 2 2
Н0 - Ух =Уу>
тт 2 2
Н1 :Ух >Уу-
Для проверки гипотезы по формуле (3.18) строится статистика FHa(-) r =
= 300/150 = 2. Критическая точка распределения Фишера FKp= Fo o5; 24; 24 = 1.98. Поскольку FHa6n = 2 > 1.98 = FKp , то Но должна быть отклонена в пользу Hi, и имеются основания считать, что разброс в оценках у студентов данного университета существенно больше разброса в оценках у студенток.
3.5.7. Проверка гипотезы о значимости коэффициента корреляции
Одним из важнейших элементов эконометрического анализа является установление наличия связи между различными показателями (между ценой и спросом, доходом и потреблением, инфляцией и безработицей). Обычно анализ начинают с простейшей - линейной зависимости. Для того чтобы установить наличие значимой линейной связи между двумя СВ X и Y, следует проверить гипотезу о статистической значимости коэффициента корреляции. В этом случае используется следующая гипотеза:
Но : Сху - 0’
Д” :сху *0.
Для проверки Н0 по выборке (х1; уД, (х2, у2), , (хп, уп) объема и
строится статистика

(3.19)

где гх? - выборочный коэффициент корреляции.
При справедливости Но статистика Т имеет распределение Стью-дента с н=п-2 степенями свободы. По таблице критических точек распределения Стьюдента (приложение 2) по заданному уровню значимости а и числу степеней свободы и - 2 определяем критическую точку ta/2,n_2.
К-у -?п-2
л/1-4
Если X
то нет оснований для отклоне
6/2,п-2
набл.
ния Но. Если Т
то Но отклоняется в пользу альтернатив
набл
б/2,п-2
ной н|!).
Если Но отклоняется, то фактически это означает, что коэффициент корреляции статистически значим (существенно отличен от нуля). Следовательно, X и Y - коррелированы, т. е. между ними существует линейная связь.
Пример 3.7. Определяется наличие линейной зависимости между уровнями инфляции (X) и безработицы (Y) в некоторой стране за 11 лет. По статистическим данным рассчитан выборочный (эмпирический) коэффициент корреляции гх? = = - 0.34. Существует ли значимая линейная связь между указанными показателями в данной стране на рассматриваемом временном интервале (а = 0.02)?
Для ответа на вопрос проанализируем следующую гипотезу:
Н„ : с„ = О,
НГ’:с„*0.
По формуле (3.19) построим Т-статистику ТнабЛ = —Q 34 = _з 254.
V1 - (-°-34)2
По таблице критических точек распределения Стьюдента определим ta/2;n—2 = = tool; 9 = 2.821. Поскольку I Тна5д I = 3.254 > 2.821 = tKp., то коэффициент корреляции гХу статистически значим. Следовательно, рХу существенно отличается от нуля, и между уровнями инфляции (X) и безработицы (Y) существует определенная отрицательная линейная зависимость.
Вопросы для самопроверки
1. Что такое точечная оценка и каковы желательные свойства?
2. Дайте определение несмещенности, эффективности и состоятельности оценок.
3. В чем различие между несмещенностью и асимптотической несмещенностью? Приведите примеры асимптотически несмещенных оценок.
4. Какие оценки называются наилучшими линейными несмещенными (BLUE-оценками)?
5. Что такое интервальная оценка? Как она строится?
6. Чем отличаются интервальные оценки для математического ожидания нормальной СВ при известной и неизвестной дисперсиях?
7. Как строятся доверительные интервалы для дисперсии и среднего квадратического отклонения нормальной СВ?
8. Что такое статистическая гипотеза?
9. Какова цель проверки гипотез?
10. В чем отличие параметрических и непараметрических гипотез?
11. Что такое нулевая и альтернативная гипотезы? Назовите принципы их построения.
12. Что такое статистический критерий? Приведите конкретные примеры критериев.
13. Сформулируйте общую схему проверки гипотез.
14. Что такое ошибки первого и второго рода? Как можно уменьшить вероятности этих ошибок?
15. Что такое уровень значимости?
16. Что определяет мощность критерия?
17. Приведите примеры проверки гипотез в экономике. Какими критериями можно воспользоваться при их проверке?
18. К проверке каких гипотез сводятся исследования среднего дохода населения и анализ разброса в уровне дохода?
Упражнения и задачи
1. Приведена статистика по годовым темпам (%) инфляции в стране за последние 10 лет: 2.8; 3.2; 5.1; 1.8; -0.6; 0.7; 2.1; 2.7; 4.1; 3.5. Необходимо найти несмещенные оценки среднего темпа инфляции, дисперсии и среднего квадратического отклонения.
2. Оценивается годовой доход (X, $ тыс.) на душу населения в некотором городе. Случайная выборка из 16 обследованных человек дала следующие результаты: 8.5; 10.5; 12.25; 7.0; 17.0; 8.75; 10.0; 9.3; 8.0; 11.5; 10.0; 12.0; 9.0; 6.5; 13.0; 10.2. Оцените среднедушевой доход в городе и разброс в доходах. Будут ли такими же значения для всего города?
3. Предполагается, что месячный доход граждан страны имеет нормальное
2
распределение с математическим ожиданием m = $1000 и дисперсией а =
2
= 40000($) . По выборке из 500 человек определили выборочный средний доход х = $900.
а) Постройте 90 и 95 %-ные доверительные интервалы для среднедушевого дохода в стране.
б) Следует ли на основании построенных доверительных интервалов отклонить предположение об ежемесячном доходе в $ 1000?
в) Как проверить то же предположение на основании общей схемы проверки гипотез? Какую альтернативную гипотезу вы выбрали и почему?
4. Для изучения влияния двухнедельной диеты и соответствующего комплекса упражнений на изменение веса спортивный клуб провел анализ по двум выборкам из 7 человек до и после диеты и упражнений. Отбор и в том и в другом случаях осуществлялся случайным образом по членским карточкам. Получены следующие результаты (буквы - инициалы испытуемого, цифры -вес, кг).
I выборка: АГ 85.5; ВТ 92.7; ДИ 79; КД 68.6; КЛ 102.5; МА 88.3; ТВ 82.7.
II выборка: БП 90.5; ДИ 77.5; ИВ 85.3; КР 72.5; ЛМ 108.7; МТ 80.3; ЯК 79.
а) Определите 95 %-ные доверительные интервалы для 1) среднего веса до диеты; 2) среднего веса после диеты; 3) для среднего изменения веса за время диеты
б) Можно ли по имеющимся данным достаточно объективно оценить результаты диеты и упражнений? Да или нет, почему?
в) Для того же анализа в повторную выборку отобрали тех же людей, что и в первую выборку, и получили следующие данные: АГ 83; ВТ 90.5; ДИ 79; КД 68; КЛ 94.5; МА 85; ТВ 80.5. По этим данным постройте 95 %-ный доверительный интервал для потери веса.
г) Есть ли основания не доверять рекламному проспекту клуба, обещающему потерю веса в 3 кг?
5. Станок-автомат заполняет пакеты чипсами по 250 г. Считается, что станок требует подналадки, если стандартное отклонение от номинального веса превышает 5 г. Контрольное взвешивание 10 пакетов дало следующие результаты: 245, 248, 250, 250, 252, 256, 243, 251, 244, 253.
а) Постройте 95 и 99 %-ные доверительные интервалы для стандартного отклонения от номинального веса.
б) Можно ли по этим интервалам судить о необходимости подналадки станка? Как ответить на этот вопрос на основе использования статистической проверки гипотез?
6. Расход (X) бензина автомобилей некоторой фирмы имеет нормальный закон распределения с тх = 7.5 л и ах = 0.5 л Выпустив новую модификацию автомобиля, фирма утверждает, что у него средний расход ту топлива снижен до 7 л при том же а. Выборки из 15 автомобилей каждой модели дали следующие средние расходы х = 7.45; у = 7.15. Можно ли по этим данным доверять рекламе фирмы?
7.
Два университета (А и В) готовят специалистов аналогичных специальностей. Министерство образования решило проверить качество подготовки в обоих университетах, подготовив для этого объемный тестовый экзамен для студентов пятого курса. Отобранные случайным образом студенты показали следующие суммы баллов:
А: 41, 50, 35, 45, 53, 30, 57, 20, 50, 44, 36, 48, 55, 28, 40, 50.
В: 40, 57, 52, 38, 25, 47, 52, 48, 55, 48, 53, 39, 46, 51, 45, 55, 43, 51, 55, 40.
а) Каковы точечные оценки средних баллов и дисперсий результатов для обоих университетов?
б) Можно ли утверждать при уровне значимости а = 0.05, что один из университетов обеспечивает лучшую подготовку? Какие тесты целесообразно использовать для такого рода анализа?
в) Сравните разброс в знаниях студентов этих университетов.
г) Были бы выводы такими же при уровне значимости а = 0.01?
8. На сновании наблюдений за работой 25 кандидатов на должность секретаря-референта установлено, что в среднем они тратили 7 минут на набор одной страницы сложного текста на компьютере при выборочном стандартном отклонении S = 2 минуты При предположении, что время (X) набора текста имеет нормальный закон распределения:
а) определите 90 и 99 %-ные доверительные интервалы для математического ожидания тх и среднего квадратического отклонения ах.
б) Оцените количество претендентов на работу, которые набрали текст быстрее, чем за 5 минут.
в) Предполагалось, что среднее время набора страницы текста должно составить 5.5 минут. Не противоречат ли полученные данные этой гипотезе?
9. Предполагается, что месячная зарплата сотрудников фирмы составляет $1000 при стандартном отклонении а = 100. Выборка из 36 человек дала следующие результаты: х = $900 и S = $150. Можно ли по результатам проведенных наблюдений утверждать, что средняя зарплата сотрудников фирмы меньше рекламируемой, а разброс в зарплатах больше? Какие критические области вы в этом случае использовали?
10. Расход бензина по паспортным данным автомобиля должен составлять 10 л на 100 км. На новую модель автомобиля устанавливается модернизированный двигатель, обеспечивающий расход в 9 л на 100 км. Данное утверждение считается неверным, если х >9.4. Найти вероятности ошибок первого и второго рода, если решение принимается по выборке п = 25.
11. Обследование 25 человек показало, что их средний доход составил $1200 при среднем отклонении S = $120. Полагая, что доход имеет нормальный закон распределения, определите:
а) 90 % -ные интервальные оценки для математического ожидания m и среднего квадратического отклонения а.
б) С какой вероятностью можно утверждать, что абсолютное значение ошибки оценивания m не превзойдет $50?
в) Каким должно быть количество обследованных, чтобы абсолютное значение ошибки оценивания m не превзошло $50 с вероятностью 0.9?
12. Клиенты банка в среднем снимают со своего счета $100 при среднем квадратическом отклонении а = $50. Если выплаты отдельным клиентам независимы, то сколько денег должно быть зарезервировано в банке на выплаты клиентам, чтобы их хватило на 100 человек с вероятностью 0.95? Каков будет при этом остаток денег, гарантированный с той же надежностью, если для выплат зарезервировано $6000?
13. При анализе зависимости между двумя показателями X и Y по 25 наблюдениям получены следующие данные: х = 100; у = 75;X(Xj -х)2 = 625; ?х;у; =
= 187000; 2(у; — у)" = 484. Оценить наличие линейной зависимости между X и Y. Будет ли коэффициент корреляции рХу статистически значимым?
14. Проверить значимость коэффициента корреляции по следующим данным:
а) гху = -0.43, п = 60, а = 0.1 при альтернативной гипотезе Нр рхт < 0;
б) гху = 0.2, п = 45, а = 0.05 при альтернативной гипотезе Нр рху Ф 0;
в) гху = -0.35, п = 100, а = 0.01 при альтернативной гипотезе Нр рху Ф 0.
15. Исследуется зависимость между количеством (N) покупателей в ювелирном магазине и количеством (Q) проданных товаров. За 10 дней наблюдений получены следующие данные:
|
|
|
N |
50 |
61 |
72 |
43 |
60 |
65 |
76 |
55 |
62 |
40 |
|
Q |
10 |
12 |
20 |
9 |
15 |
15 |
21 |
14 |
18 |
7 |
|
Оцените наличие и степень линейной зависимости между N и Q. |
16. Пусть СВ X - ежемесячный доход(млн руб.) определенной группы населе-
2
ния. При этом X ~ N(m = 25, а = 36). Производится случайная выборка из 25 представителей данной группы. Какова вероятность, что их средний доход лежит в интервале от 15 до 30 млн руб.?
17. Анализируется зависимость между доходом горожан (СВ X), имеющих индивидуальные домовладения, и рыночной стоимостью их домов (СВ Y). По случайной выборке из 450 горожан данной категории получены следующие результаты:
Ххі = 25200; ЕУі= 110500; ?(х; -х)2 = 72300;
КУ, -У)2 = 1500200; Е(Хі -х)(уі -у)2 =201350.
а) Вычислите выборочные средние и стандартные отклонения для обоих показателей.
б) Можно ли было ожидать, что стандартные отклонения для рассматриваемых случайных величин приблизительно равны между собой? Проверьте это предположение при уровне значимости а = 0.05.
в) Постройте 95%-ный доверительный интервал для средней стоимости домов. Какое предположение вы сделали при этом?
г) Проверьте гипотезу о наличии сильной линейной зависимости между исследуемыми показателями (а = 0.01).
ПАРНАЯ ЛИНЕЙНАЯ РЕГРЕССИЯ
4.1. Взаимосвязи экономических переменных
С тех пор, как экономика стала серьезной самостоятельной наукой, исследователи пытаются дать свое представление о возможных путях экономического развития, спрогнозировать ту или иную ситуацию, предвидеть будущие значения экономических показателей, указать инструменты изменения ситуации в желательном направлении. С другой стороны, во многих случаях различные экономисты предлагают разные, а зачастую противоположные методы решения той или иной задачи. Политики либо управляющие производством, выбирая одну из возможных стратегий решения, получают определенный результат. Плох он или хорош, и можно ли было получить лучший результат, проверить весьма затруднительно. Экономическая ситуация практически никогда не повторяется в точности, а следовательно, не позволяет применить две стратегии при одних и тех же условиях с целью сравнения конечного результата. Поэтому одной из центральных задач экономического анализа является предсказание либо прогнозирование развития некоторого экономического объекта при создании тех или иных условий. Поняв глубинные движущие силы исследуемого процесса, можно научиться рационально управлять его развитием. Поведение и значение любого экономического показателя зависят практически от бесконечного количества факторов, и все их учесть нереально. Но в этом и нет необходимости. Обычно среди факторов, воздействующих на исследуемый экономический показатель, существует лишь ограниченное количество тех, влияние которых действительно существенно. Доля оставшихся факторов столь незначительна, что их игнорирование не может привести к существенным отклонениям в поведении исследуемого объекта. Выделение и учет в модели лишь ограниченного числа реально доминирующих факторов и является серьезной предпосылкой для качественного анализа, прогнозирования и управления ситуацией. Экономическая теория выявила и исследовала значительное число устоявшихся и стабильных связей между различными показателями. Например, хорошо изученными являются зависимости спроса или потребления от уровня дохода и цен на товары; зависимость между уровнями безработицы и инфляции; зависимость объема производства от целого ряда факторов (размера основных фондов, их возраста, качества персонала и т. д.); зависимость между производительностью труда и уровнем механизации, а также многие другие зависимости.
Любая экономическая политика заключается в регулировании экономических переменных, и она должна базироваться на знании того, как эти переменные связаны с другими переменными, ключевыми для принимающего решения политика или предпринимателя. Так, в рыночной экономике нельзя непосредственно регулировать темп инфляции, но на него можно воздействовать средствами фискальной (бюджетно-налоговой) и монетарной (кредитно-денежной) политики. Поэтому, в частности, должна быть изучена зависимость между предложением денег и уровнем цен.
Однако в реальных ситуациях даже устоявшиеся зависимости могут проявляться по-разному. Еще более сложной является задача анализа малоизученных и нестабильных зависимостей, построение моделей которых является краеугольным камнем эконометрики. Здесь следует отметить, что такие экономические модели невозможно строить, проверять и совершенствовать без статистического анализа входящих в них переменных с использованием реальных статистических данных. Инструментарием такого анализа являются методы статистики и эконометрики, в частности регрессионного и корреляционного анализа. Следует сказать, что статистический анализ зависимостей сам по себе не вскрывает существо причинных связей между явлениями, т. е. он не решает вопрос, в силу каких причин одна переменная влияет на другую. Решение такой задачи лежит в иной плоскости и является результатом качественного (содержательного) изучения связей, которое обязательно должно либо предшествовать статистическому анализу, либо сопровождать его.
В естественных науках большей частью имеют дело со строгими (функциональными) зависимостями, при которых каждому значению одной переменной соответствует единственное значение другой.
Однако в подавляющем большинстве случаев между экономическими переменными таких зависимостей нет. Например, нет строгой зависимости между доходом и потреблением, ценой и спросом, производительностью труда и стажем работы и т. д. Это связано с целым рядом причин и, в частности, с тем, что, во-первых, при анализе влияния одной переменной на другую не учитывается целый ряд других факторов, влияющих на нее; во-вторых, это влияние может быть не прямым, а проявляться через цепочку других факторов; в-третьих, многие такие воздействия носят случайный характер и т. д. Поэтому в экономике говорят не о функциональных, а о корреляционных, либо статистических зависимостях. Нахождение, оценка и анализ таких зависимостей, построение формул зависимостей и оценка их параметров являются одним из важнейших разделов эконометрики.
Статистической называют зависимость, при которой изменение одной из величин влечет изменение распределения другой. В частности, статистическая зависимость проявляется в том, что при изменении одной из величин изменяется среднее значение другой. Такую статистическую зависимость называют корреляционной.
4.2. Суть регрессионного анализа
Можно указать два варианта рассмотрения взаимосвязей между двумя переменными X и Y. В первом случае обе переменные считаются равноценными в том смысле, что они не подразделяются на первичную и вторичную (независимую и зависимую) переменные. Основным в этом случае является вопрос о наличии и силе взаимосвязи между этими переменными. Например, между ценой товара и объемом спроса на него, между урожаем картофеля и урожаем зерна, между интенсивностью движения и числом аварий. При исследовании силы линейной зависимости между такими переменными мы попадаем в область корреляционного анализа, основной мерой которого является коэффициент корреляции. Вполне вероятно, что связь в этом случае вообще не носит направленного характера. Например, урожайность картофеля и зерновых обычно изменяется в одном и том же направлении, однако очевидно, что ни одна из этих переменных не является определяющей.
Другой вариант рассмотрения взаимосвязей выделяет одну из величин как независимую (объясняющую), а другую - как зависимую (объясняемую). В этом случае изменение первой из них может служить причиной для изменения другой. Например, рост дохода ведет к увеличению потребления. Рост цены - к снижению спроса. Снижение процентной ставки увеличивает инвестиции. Увеличение обменного курса валюты сокращает объем чистого экспорта и т. д. Однако такая зависимость не является однозначной в том смысле, что каждому конкретному значению объясняющей переменной (набору объясняющих переменных) может соответствовать не одно, а множество значений из некоторой области. Другими словами, каждому конкретному значению объясняющей переменной (набору объясняющих переменных) соответствует некоторое вероятностное распределение зависимой переменной (рассматриваемой как СВ). Поэтому анализируют, как объ-ясняющая(ие) переменная(ые) влияет(ют) на зависимую переменную “в среднем”. Зависимость такого типа, выражаемая соотношением

(4.1)
называется функцией регрессии Y на X. При этом X называется независимой (объясняющей) переменной (регрессором), Y - зависимой (объясняемой) переменной. При рассмотрении зависимости двух СВ говорят о парной регрессии. Зависимость нескольких переменных, выражаемая функцией

(4.2)
называют множественной регрессией.
Термин регрессия (движение назад, возвращение в прежнее состояние) был введен Фрэнсисом Галлоном в конце XIX века при анализе зависимости между ростом родителей и ростом детей. Галлон заметил, что рост детей у очень высоких родителей в среднем меньше, чем средний рост родителей. У очень низких родителей, наоборот, средний рост детей выше. И в том и в другом случае средний рост детей стремится (возвращается) к среднему росту людей в данном регионе. Отсюда и выбор термина, отражающего такую зависимость.
В настоящее время под регрессией понимается функциональная зависимость между объясняющими переменными и условным математическим ожиданием (средним значением) зависимой переменной, которая строится с целью предсказания (прогнозирования) этого среднего значения при фиксированных значениях первых.
Для отражения того факта, что реальные значения зависимой переменной не всегда совпадают с ее условными математическими ожиданиями и могут быть различными при одном и том же значении объясняющей переменной (наборе объясняющих переменных), фактическая зависимость должна быть дополнена некоторым слагаемым s, которое, по существу, является случайной величиной и указывает на стохастическую суть зависимости. Из этого следует, что связи между зависимой и объясняющей(ими) переменными выражаются соотношениями

(4.3)
(4.4) называемыми регрессионными моделями (уравнениями).
Обсуждение регрессионных моделей в следующих главах поможет углублению понимания данного понятия.
Возникает вопрос, в чем причина обязательного присутствия в регрессионных моделях случайного фактора (отклонения). Этому может быть достаточно много объяснений, среди которых выделим наиболее существенные.
1. Невключение в модель всех объясняющих переменных. Любая регрессионная (в частности, эконометрическая) модель является упрощением реальной ситуации. Реальная ситуация всегда представляет собой сложнейшее переплетение различных факторов, многие из которых в модели не учитываются, что порождает отклонение реальных значений зависимой переменной от ее модельных значений. Например, спрос (Q) на товар определяется его ценой (Р), ценой (Ps) на товары-заменители, ценой (Рс) на дополняющие товары, доходом (I) потребителей, их количеством (N), вкусами (Т), ожиданиями (W) и т. д. Безусловно, перечислить все объясняющие переменные здесь практически невозможно. Например, мы не учли такие факторы, как традиции, национальные или религиозные особенности, географическое положение региона, погода и многие другие, влияние которых приведет к некоторым отклонениям реальных наблюдений от модельных, которые выразим через случайный член s: Q = f(P, Ps, Рс, I, N, T, W, s). Проблема здесь еще в том, что никогда заранее неизвестно, какие факторы при создавшихся условиях действительно являются определяющими, а какими можно пренебречь. Здесь уместно отметить, что в ряде случаев учесть непосредственно какой-то фактор нельзя в силу невозможности получения по нему статистических данных. Например, величина сбережений домохозяйств может определяться не только доходами его членов, но и, например, их здоровьем, информация о котором в цивилизованных странах составляет врачебную тайну и не раскрывается. Кроме того, ряд факторов носит принципиально случайный характер (например, погода), что добавляет неоднозначности при рассмотрении некоторых моделей (например, модель, прогнозирующая объем урожая).
2. Неправильный выбор функциональной формы модели. Из-за слабой изученности исследуемого процесса, либо из-за его переменчивости может быть неверно подобрана функция, его моделирующая. Это, безусловно, скажется на отклонении модели от реальности, что отразится на величине случайного члена. Например, производственная функция (Y) одного фактора (X) может моделироваться функцией
Y = a + b-X, хотя скорее должна была использоваться другая модель
Y = а-Хь (О < b < 1), учитывающая закон убывающей эффективности. Кроме того, неверным может быть подбор объясняющих переменных.
3. Агрегирование переменных. Во многих моделях рассматриваются зависимости между факторами, которые сами представляют сложную комбинацию других, более простых переменных. Например, при рассмотрении в качестве зависимой переменной совокупного спроса проводится анализ зависимости, в которой объясняемая переменная является сложной композицией индивидуальных спросов, оказывающих на нее определенное влияние помимо факторов, учитываемых в модели. Это может оказаться причиной отклонения реальных значений от модельных.
4. Ошибки измерений. Какой бы качественной ни была модель, ошибки измерений переменных отразятся на несоответствии модельных значений эмпирическим данным, что также отразится на величине случайного члена.
5. Ограниченность статистических данных. Зачастую строятся модели, выражаемые непрерывными функциями. Но для этого используется набор данных, имеющих дискретную структуру. Это несоответствие находит также свое выражение в случайном отклонении.
6. Непредсказуемость человеческого фактора. Эта причина может “испортить” самую качественную модель. Действительно, при правильном выборе формы модели, скрупулезном подборе объясняющих переменных все равно невозможно спрогнозировать поведение каждого индивидуума.
Таким образом, случайный член является отражением влияния всех описанных выше причин и не только их. Этот список может быть дополнен.
Задача построения качественного уравнения регрессии, соответствующего эмпирическим данным и целям исследования, является достаточно сложным и многоступенчатым процессом. Его можно разбить на три этапа:
1) выбор формулы уравнения регрессии;
2) определение параметров выбранного уравнения;
3) анализ качества уравнения и поверка адекватности уравнения эмпирическим данным, совершенствование уравнения.
Выбор формулы связи переменных называется спецификацией уравнения регрессии. В случае парной регрессии выбор формулы обычно осуществляется по графическому изображению реальных статистических данных в виде точек в декартовой системе координат, которое называется корреляционным полем (диаграммой рассеивания) (рис. 4.1).
 |
|
Рис. 4.1 |
На рис 4.1 представлены три ситуации.
На графике 4.1, а взаимосвязь между X и Y близка к линейной, и прямая 1 достаточно хорошо соответствует эмпирическим точкам. Поэтому в данном случае в качестве зависимости между X и Y целесообразно выбрать линейную функцию Y = b0 + b, X .
На графике 4.1, б реальная взаимосвязь между X и Y, скорее всего, описывается квадратичной функцией Y = аХ2 + ЬХ + с (линия 2), и какую бы мы не провели прямую (например, линия 1), отклонения точек наблюдений от нее будут существенными и неслучайными.
На графике 4.1, в явная взаимосвязь между X и Y отсутствует. Какую бы мы не выбрали форму связи, результаты ее спецификации и параметризации (определение коэффициентов уравнения) будут неудачными. В частности, прямые 1 и 2, проведенные через центр “облака” наблюдений и имеющие противоположный наклон, одинаково плохи для того, чтобы делать выводы об ожидаемых значениях переменной Y по значениям переменной X.
В случае множественной регрессии определение подходящего вида зависимости является более сложной задачей, что будет обсуждено в дальнейшем.
Вопросы определения параметров уравнения {параметризации) и проверки качества (верификации) уравнения регрессии будут обсуждены ниже.
4.3. Парная линейная регрессия
Если функция регрессии линейна, то речь ведут о линейной регрессии. Модель линейной регрессии является наиболее распространенным (и простым) уравнением зависимости между экономическими переменными. Кроме того, построенное линейное уравнение может быть начальной точкой эконометрического анализа.
Например, Кейнсом была предложена формула такого типа для моделирования зависимости частного потребления С от располагаемого дохода I: С = С0 +Ь І, где С0 - величина автономного потребления, b (0 < b < 1) - предельная склонность к потреблению. Однако при использовании данной модели при анализе конкретных данных мы практически всегда будем иметь определенную погрешность, т. к. строгой функциональной зависимости между этими показателями нет. Однако никто не будет отрицать, что люди (домохозяйства) с большим доходом имеют большее в среднем потребление. Данная ситуация наглядно представлена на рис. 4.2.

Из предыдущих рассуждений ясно, что линейная регрессия (теоретическое линейное уравнение регрессии) представляет собой линейную функцию между условным математическим ожиданием М(Y | X = = хр зависимой переменной Y и одной объясняющей переменной X.
М(УІХ = х,) = Ро +Р,Х„ (4.5)
Отметим, что принципиальной в данном случае является линейность по параметрам р0 и Рі уравнения.
Для отражения того факта, что каждое индивидуальное значение ух отклоняется от соответствующего условного математического ожидания, необходимо ввести в соотношение (4.5) случайное слагаемое Si.
У, = M(Y| X = Хі) + Si = Ро + PiXi + Si. (4.6)
Соотношение (4.6) называется теоретической линейной регрессионной моделью; р0 и рі - теоретическими параметрами (теоретическими коэффициентами) регрессии; с, - случайным отклонением.
Следовательно, индивидуальные значения у, представляются в виде суммы двух компонент - систематической (Ро + р ] х,) и случайной (sp, причина появления которой достаточно подробно рассмотрена в разделе 4.2. В общем виде теоретическую линейную регрессионную модель будем представлять в виде
Y = p0 + PiX + s. (4.7)
Для определения значений теоретических коэффициентов регрессии необходимо знать и использовать все значения переменных X и Y генеральной совокупности, что практически невозможно.
Таким образом, задачи линейного регрессионного анализа состоят в том, чтобы по имеющимся статистическим данным (х1;у; ),
і = 1, 2, ..., п, переменных X и Y:
а) получить наилучшие оценки неизвестных параметров Ро и Рі;
б) проверить статистические гипотезы о параметрах модели;
в) проверить, достаточно ли хорошо модель согласуется со статистическими данными (адекватность модели данным наблюдений).
Следовательно, по выборке ограниченного объема мы сможем построить так называемое эмпирическое уравнение регрессии
Уі = b0 + bjXj, (4.8)
где у, - оценка условного математического ожидания M(Y| X = хр; Ьо
и Ьі - оценки неизвестных параметров Ро и Рі, называемые эмпирическими коэффициентами регрессии. Следовательно, в конкретном случае
Уі = Ь0 + ЬіХі + еІ5 (4.9)
где отклонение ех - оценка теоретического случайного отклонения с,.
В силу несовпадения статистической базы для генеральной совокупности и выборки оценки Ьо и Ьі практически всегда отличаются от истинных значений коэффициентов Ро и Рі, что приводит к несовпадению эмпирической и теоретической линий регрессии. Различные выборки из одной и той же генеральной совокупности обычно приводят к определению отличающихся друг от друга оценок. Возможное соотношение между теоретическим и эмпирическим уравнениями регрессии схематично изображено на рис. 4.3.

Хі Xj xn X
Рис. 4.3
Задача состоит в том, чтобы по конкретной выборке (хь у,), і = 1, 2, ... , п, найти оценки Ьо и Ьі неизвестных параметров р0 и Рі так, чтобы построенная линия регрессии являлась бы наилучшей в определенном смысле среди всех других прямых. Другими словами, построенная прямая Y = b0 + b і X должна быть “ближайшей” к точкам наблюдений по их совокупности. Мерами качества найденных оценок могут служить определенные композиции отклонений еь і = = 1, 2, ... , л. Например, коэффициенты Ьо и Ьі эмпирического уравнения регрессии могут быть оценены, исходя из условия минимизации одной из следующих сумм:
1) Іе1 = І(у1-у1)=І(у1-Ь0-Ь1хі);
і=і і=і і=і
2) ?|в;| = І|уі -Уі| = ?|уі -b0 — bxXi|;
i=i i=i i=i
3) ief = Z(y1-y1)2 = i(y1-b0-b1x1)2.
i=i i=i i=i
Однако первая сумма не может быть мерой качества найденных оценок в силу того, что существует бесчисленное количество прямых
(в частности, Y = у), для которых Xе! =0 (доказательство этого ут-
і=і
верждения выносится в качестве упражнения).
Метод определения оценок коэффициентов из условия минимизации второй суммы называется методом наименьших модулей (МНМ).
Все же самым распространенным и теоретически обоснованным является метод нахождения коэффициентов, при котором минимизи-
11 2
руется сумма квадратов отклонений ХеГ • Он получил название ме-
і=і
mod наименьших квадратов (МНК). Этот метод оценки является наиболее простым с вычислительной точки зрения. Кроме того, оценки коэффициентов регрессии, найденные МНК при определенных предпосылках, обладают рядом оптимальных свойств.
Среди других методов определения оценок коэффициентов регрессии отметим метод моментов (ММ) и метод максимального правдоподобия (ММП).
4.4. Метод наименьших квадратов
Пусть по выборке (хь ух), і = 1, 2, ... , и требуется определить оценки а и b эмпирического уравнения регрессии (4.8).
 |
->
Хі Х2Х3 Х4 Х5 .... хп X
Рис. 4.4 |
В этом случае при использовании МНК минимизируется следующая функция:
НетрУдно заметить, что фУнкция Q является квадратичной фУнкцией двУх параметров Ьо и bi (Q = Q(bo, bi)), посколькУ х1;У;- известные данные наблюдений. Так как фУнкция Q непрерывна, выпУкла и ограничена снизУ (Q > 0), то она имеет минимУм.
Необходимым Условием сУществования минимУма фУнкции двУх переменных Q(bo, bi) = Х(Уі -b0 -bjX;)2 является равенство нУлю ее
і=1
частных производных по неизвестным параметрам Ьо и Ьі. В после-дУющих формУлах для Упрощения знаки сУмм X бУдем писать без
і=і
индексов X, предполагая, что сУммирование ведется от і = 1 до і = п.
|Я = -2І(Уі-Ьо-Ь1хІ) = 0;
(4.11)
(4.12)
дЪ0
ІЯ = -2І(Уі - b0 - bjXjXi = 0.
nb0 + b1Ix1 =ІУі; ЬоІХі + bjIxf =ІхіУі.
Разделив оба Уравнения системы (4.12) на п, полУчим: ГЬ0 + bjX = у;
ь =Srx'y
і о
(4.13)
2 —2
X -х
b0x + bjX2 = хУ.
b0 = y-bjx.
Здесь x = ixxi? x2=ixxf, У = ^ІУІ5 хУ = іххіУі.
Таким образом, по МНК оценки параметров Ьо и Ьі определяются по формУлам (4.13).
НетрУдно заметить, что Ьі можно вычислить по формУле:
(4.14)
ь _ І(Хі-х)(Уі-У) _ Sxy KXi-x)2 S2 ¦
Тогда



(4.15)
SA
где rxv - выборочный коэффициент корреляции; Sx, Sy - стандартные отклонения. Таким образом, коэффициент регрессии пропорционален ковариации и коэффициенту корреляции, а коэффициенты пропорциональности служат для соизмерения перечисленных разномерных величин.
Итак, если коэффициент корреляции гх? уже рассчитан, то легко может быть найден коэффициент Ьц парной регрессии по формуле
(4.15).
Если, кроме уравнения регрессии Y на X (Y = Ь0 + ЬхХ), для тех же эмпирических данных найдено уравнение регрессии X на Y (X = с0 + Ьу Y), то произведение коэффициентов Ьх и Ьу равно гху:
К .К — г • —— • г
их иу іху іху |  |
(4.16)
Отметим, что коэффициенты Со и Ьу находятся по формулам, аналогичным формулам (4.13):
= ху-ху
°У о ’
У -у (4.17)
с0 =х —Ьуу.
Проведенные рассуждения и формулы позволяют сделать ряд выводов:
1. Оценки МНК являются функциями от выборки, что позволяет их легко рассчитывать.
2. Оценки МНК являются точечными оценками теоретических коэффициентов регрессии.
3. Согласно второй формуле соотношения (4.12) эмпирическая прямая регрессии обязательно проходит через точку (х, у).
4. Эмпирическое уравнение регрессии построено таким образом, что сумма отклонений X еі , а также среднее значение отклонения ёравны нулю.
Действительно, из формулы -2?(у; -b0 -ЬрсД = 0 в соотношении
(4.11) следует, что -2?е; = 0. = 0. => — = 0. => е = 0.
5. Случайные отклонения е, не коррелированны с наблюдаемыми значениями уі зависимой переменной Y.
Для обоснования данного утверждения покажем, что ковариация между Y и е равна нулю. Действительно,
Sye= ^Z(yI-y)(e1-e)=^S(y1-y)eI.
Покажем, что Е(Уі -у)еі = 0. Просуммировав по і (і = 1,п ) все соотношения (4.9), получим:
Еуі = nb0 + biZx! + YjQi = nb0 + biExi (t. k. YjQi = 0). Разделив последнее соотношение на п, имеем:
У =b0 + bix.
Вычитая из (4.9) полученное соотношение, приходим к следующей формуле:
Уі —У =Ьі(хі-х) + ві. (4.18)
Тогда Е(уі - у)ві= ЬіЕ(хі -x)e1 = biE(x1 -х)((у4 -у) - ЬДх-х)) =
= ЬіХ(хі -х)(уі -у) -bf і(хі -x)2 =
=bfl(xi -x)2 -bf Z(xi -x)2 = 0.
Следовательно, Sye = 0.
6. Случайные отклонения e, не коррелированны с наблюдаемыми значениями х, независимой переменной X.
Действительно, Sxe = 0 в силу второй формулы системы (4.11) (доказательство выносится для самостоятельной работы). Случайные отклонения ех не коррелированны с наблюдаемыми значениями у, зависимой переменной Y.
Для иллюстрации МНК рассмотрим следующий пример.
Пример 4.1. Для анализа зависимости объема потребления Y (у. е.) домохозяйства в зависимости от располагаемого дохода X (у. е.) отобрана выборка объема и = 12 (помесячно в течение года), результаты которой приведены в табл 4.1. Необходимо определить вид зависимости; по методу наименьших квадратов оценить параметры уравнения регрессии Y на X; оценить силу линейной зависимости между X и Y; спрогнозировать потребление при доходе X = 160.
Таблица 4.1
|
|
|
і |
1 |
2 |
о
3 |
4 |
5 |
6 |
7 |
8 |
9 |
10 |
11 |
12 |
|
Хі |
107 |
109 |
по |
113 |
120 |
122 |
123 |
128 |
136 |
140 |
145 |
150 |
|
Уі |
102 |
105 |
108 |
ПО |
115 |
117 |
119 |
125 |
132 |
130 |
141 |
144 |
|
Для определения вида зависимости построим корреляционное поле: |
->
 |
|
Рис. 4.4 |
107 ПО 113 120 123 128 136 140 145 150 X
По расположению точек на корреляционном поле полагаем, что зависимость между X и Y - линейная: Y = b0 + btX.
Для наглядности вычислений по МНК построим следующую таблицу:
|
Таблица 4.2 |
|
|
|
і |
Хі |
Уі |
2
X
1 |
ХіУі |
2
Уі |
Уі |
еі |
2
е
1 |
|
1 |
107 |
102 |
11449 |
10914 |
10404 |
103.63 |
-1.63 |
2.66 |
|
2 |
109 |
105 |
11881 |
11445 |
11025 |
105.49 |
-0.49 |
0.24 |
|
3 |
ПО |
108 |
12100 |
11880 |
11664 |
106.43 |
1.57 |
2.46 |
|
4 |
113 |
ПО |
12769 |
12430 |
12100 |
109.23 |
0.77 |
0.59 |
|
5 |
120 |
115 |
14400 |
13800 |
13225 |
115.77 |
-0.77 |
0.59 |
|
6 |
122 |
117 |
14884 |
14274 |
13689 |
117.63 |
-0.63 |
0.40 |
|
7 |
123 |
119 |
15129 |
14637 |
14161 |
118.57 |
0.43 |
0.18 |
|
8 |
128 |
125 |
16384 |
16000 |
15625 |
123.24 |
1.76 |
3.10 |
|
9 |
136 |
132 |
18496 |
17952 |
17424 |
130.71 |
1.29 |
1.66 |
|
10 |
140 |
130 |
19600 |
18200 |
16900 |
134.45 |
-4.45 |
19.8 |
|
11 |
145 |
141 |
21025 |
20445 |
19881 |
139.11 |
1.89 |
3.57 |
|
12 |
150 |
144 |
22500 |
21600 |
20736 |
143.78 |
0.22 |
0.05 |
|
Сумма |
1503 |
1448 |
190617 |
183577 |
176834 |
- |
**«0 |
35.3 |
|
Среднее* |
125.25 |
120.67 |
15884.75 |
15298.08 |
14736.17 |
- |
- |
- |
* значения округляются до сотых.
учитываются погрешности округлении.
По МНК имеем
184.1625
197.1875
ху-х-у _ 15298.08-125.25-120.67 ^_х2 ~ 15884.75-(125.25)2
Ьі
0.9339;
Ь, = у - Ьх = 120.67 - 0.9339 • 125.25 = 3.699.
Таким образом, уравнение парной линейной регрессии имеет вид: Y = 3.699 + 0.9339Х. Построим данную прямую регрессии на корреляционное поле.
По этому уравнению рассчитаем уі, а также е; = у; - у;.
Для анализа силы линейной зависимости вычислим коэффициент корреляции:
= 0.9914.
Гху =
ху-х-у 184.1625
|
|
|
/— |
/- |
|
. 2 —2 |
/ 2 —2 |
|
Ух -х • |
уу -у |
14.04-13.23 |
Данное значение коэффициента корреляции позволяет сделать вывод о сильной (прямой) линейной зависимости между рассматриваемыми переменными X и Y. Это также подтверждается расположением точек на корреляционном поле.
Прогнозируемое потребление при располагаемом доходе х = 160 по данной модели составит у(160)« 153.12.
Построенное уравнение регрессии в любом случае требует определенной интерпретации и анализа. Интерпретация требует словесного описания полученных результатов с трактовкой найденных коэффициентов, с тем чтобы построенная зависимость стала понятной человеку, не являющемуся специалистом в эконометрическом анализе. В нашем примере коэффициент Ьі может трактоваться как предельная склонность к потреблению (МРС * 0.9339). Фактически он показывает, на какую величину изменится объем потребления, если располагаемый доход возрастает на одну единицу. На графике коэффициент Ьі определяет тангенс угла наклона прямой регрессии относительно положительного направления оси абсцисс (объясняющей переменной). Поэтому часто он называется угловым коэффициентом.
Свободный член Ьо уравнения регрессии определяет прогнозируемое значение Y при величине располагаемого дохода X, равной нулю (т. е. автономное потребление). Однако здесь необходима определенная осторожность. Очень важно, насколько далеко данные наблюдений за объясняющей переменной отстоят от оси ординат (зависимой переменной), так как даже при удачном подборе уравнения регрессии для интервала наблюдений нет гарантии, что оно останется таковым и вдали от выборки. В нашем случае значение Ьо = 3.699 говорит о том, что при нулевом располагаемом доходе расходы на потребление составят в среднем 3.699 у. е. Это можно объяснить в случае рассмотрения отдельного домохозяйства (оно может тратить накопленные или одолженные средства), но для совокупности домохозяйств это теряет смысл. В любом случае значение коэффициента Ьо определяет точку пересечения прямой регрессии с осью ординат и характеризует сдвиг линии регрессии вдоль оси Y.
Следует помнить, что эмпирические коэффициенты регрессии Ьо и Ьі являются лишь оценками теоретических коэффициентов Ро и Рі, а само уравнение отражает лишь общую тенденцию в поведении рассматриваемых переменных. Индивидуальные значения переменных в силу различных причин (см. и. 4.2) могут отклоняться от модельных значений. В нашем примере эти отклонения выражены через значения е,. Эти отклонения являются оценками отклонений 8! для генеральной совокупности.
Однако при определенных условиях уравнение регрессии служит незаменимым и очень качественным инструментом анализа и прогнозирования. Обсуждение этих условий будет проведено в последующих главах.
После интерпретации результатов закономерен вопрос о качестве оценок и самого уравнения в целом. Это составит предмет обсуждения следующей главы.
Вопросы для самопроверки
1. Что такое функция регрессии?
2. Чем регрессионная модель отличается от функции регрессии?
3. Назовите основные причины наличия в регрессионной модели случайного отклонения.
4. Назовите основные этапы регрессионного анализа.
5. Что понимается под спецификацией модели, и как она осуществляется?
6. В чем состоит различие между теоретическим и эмпирическим уравнениями регрессии?
7. Дайте определение теоретической линейной регрессионной модели.
8. В чем суть метода наименьших квадратов (МНК)?
9. Приведите формулы расчета коэффициентов эмпирического парного линейного уравнения регрессии по МНК.
10. Как связаны эмпирические коэффициенты линейной регрессии с выборочным коэффициентом корреляции между переменными уравнения регрессии?
11. Какие выводы можно сделать об оценках коэффициентов регрессии и случайного отклонения, полученных по МНК?
12. Проинтерпретируйте коэффициенты эмпирического парного линейного уравнения регрессии.
13. Объясните, какое из следующих утверждений истинно, ложно, не определено и почему?
а) Случайная погрешность 8і и отклонение еі совпадают.
б) В регрессионной модели объясняющая переменная является фактором изменения зависимой переменной.
в) Линейное уравнение регрессии является линейной функцией относительно входящих в него переменных.
г) Коэффициенты теоретического и эмпирического уравнений регрессии являются по сути случайными величинами.
д) Значения объясняющей переменной парного линейного уравнения регрессии являются случайными величинами.
е) Коэффициент Ьі эмпирического парного линейного уравнения регрессии показывает процентное изменение зависимой переменной Y при однопроцентном изменении X.
ж) Коэффициент Ьі регрессии Y на X имеет тот же знак, что и коэффициент корреляции гху.
з) МНК удобен тем, что нахождение оценок коэффициентов регрессии сводится к решению системы линейных алгебраических уравнений.
и) Парная линейная регрессионная модель имеет слабую практическую значимость, т. к. любая экономическая переменная зависит не от одного, а от большого числа факторов.
14. Можно ли ожидать, с вашей точки зрения, наличия зависимости между следующими показателями:
а) ВНП и объем чистого экспорта;
б) объем инвестиций и процентная ставка;
в) расходы на оборону и расходы на образование;
г) оценки в школе и оценки в университете;
д) объем импорта и доход на душу населения в некоторой стране;
е) цена на кофе и цена на чай.
В случае положительного ответа оцените направление зависимости (прямая или обратная), а также решите, какая из переменных будет в этих случаях объясняющей, а какая - зависимой.
15. Как вы считаете, если по одной и той же выборке рассчитаны регрессии Y на X и X на Y, то совпадут ли в этом случае линии регрессии?
16. Суть метода наименьших квадратов состоит в:
а) минимизации суммы квадратов коэффициентов регрессии;
б) минимизации суммы квадратов значений зависимой переменной;
в) минимизации суммы квадратов отклонений точек наблюдений от уравнения регрессии;
г) минимизации суммы квадратов отклонений точек эмпирического уравнения регрессии от точек теоретического уравнения регрессии.
Выберите правильные ответы.
17. Фактор Y практически линейно зависит от X. Только в начальный момент времени в силу некоторого нерегулярного внешнего воздействия значение Y
сильно отклонилось от общей траектории. По выборочным данным построены
две прямые регрессии Li и L2 (рис. 4.5). Одна - по методу наименьшей суммы
2
модулей отклонений Е| еі | , другая - по методу наименьших квадратов Ее, . Какая из линий, по вашему мнению, соответствует каждому из этих методов? Ответ поясните.

18. Если переменная X принимает среднее по выборке значение х, то:
а) наблюдаемая величина зависимой переменной Y равна среднему значению у;
б) рассчитанное по уравнению регрессии Y = Ьо + ЬіХ значение переменной Y в среднем равно у, но не обязательно равно ему в каждом конкретном случае;
в) рассчитанное по уравнению регрессии Y = Ьо + ЬіХ значение переменной Y равно среднему значению у;
г) отклонение еі значения у( х) минимально среди всех других отклонений. Какой из выводов вам представляется верным и почему?
Упражнения и задачи
1. В следующей выборке представлены данные по цене Р некоторого блага и количеству данного блага, приобретаемому домохозяйством ежемесячно в течение года.
|
месяц |
1 |
2 |
3 |
4 |
5 |
6 |
7 |
8 |
9 |
10 |
11 |
12 |
|
Р |
10 |
20 |
15 |
25 |
30 |
35 |
40 |
35 |
25 |
40 |
45 |
40 |
|
Q |
по |
75 |
100 |
80 |
60 |
55 |
40 |
80 |
60 |
30 |
40 |
30 |
а) Постройте корреляционное поле и по его виду определите формулу зависимости между Р и Q.
б) Оцените по методу наименьших квадратов параметры уравнения линейной регрессии.
в) Оцените выборочный коэффициент корреляции rpq.
г) Проинтерпретируйте результаты.
2. Дана таблица недельного дохода (X) и недельного потребления (Y) для 60 домашних хозяйств.
|
X |
Y |
|
100 |
60, 65, 75, 85, 90 |
|
120 |
70, 70, 80, 85, 90, 100 |
|
140 |
90, 95, 95, 100, 100,120 |
|
160 |
100, ПО, 115, 120, 125, 125, 130 |
|
180 |
ПО, 120, 120, 130, 135, 140, 150, 150 |
|
200 |
120, 125, 130, 135, 140, 150, 160, 165 |
|
220 |
120, 140, 145, 145, 155, 165, 180 |
|
240 |
150, 160, 170, 190, 200 |
|
260 |
140, 160, 180, 210, 220 |
|
280 |
180, 210, 230 |
а) Для каждого уровня дохода рассчитайте среднее потребление, являющееся оценкой условного математического ожидания M(Y | X = хД
б) Постройте корреляционное поле для данной выборки.
в) Постройте эмпирическое линейное уравнение регрессии, используя все данные.
г) Постройте эмпирическое линейное уравнение регрессии, используя только средние значения потребления для каждого уровня дохода.
д) Сравните построенные уравнения. Какое из них, с вашей точки зрения, ближе к теоретическому?
е) Рассчитайте выборочный коэффициент корреляции для в) и г). Будет ли линейная связь между данными переменными существенной? Обоснуйте ответ.
3. По 10 парам наблюдений получены следующие результаты:
Ехі=100; Еу1=200; ЕхіУі = 21000; Exf = 12000; Ey,2 =45000.
По МНК оцените коэффициенты уравнений регрессии Y на X и X на Y. Оцените коэффициент корреляции гх?.
4. Дана следующая эмпирическая регрессионная модель:
yt = bo + bixt + et, t= 1,2, ...,Т.
Докажите, что Е et = 0; Е etxt = 0.
5. По выборке объема п = 10 получены следующие данные:
Zx; =993.4; Еу, =531.3; ЕхіУі = 53196.61; Ex2 = 105004.5; rxy = 0.75. Рассчитайте оценки коэффициентов регрессии Y на X и X на Y.
6. Даны две регрессии, рассчитанные по 25 годовым наблюдениям:
а) yt = - 30 + 0.18xt (yt~ расходы на оплату жилья, xt- доход);
б) yt = 50 + 4.5t (yt - расходы на оплату жилья, t - время). Дайте экономическую интерпретацию построенных регрессий. Согласуются ли они друг с другом?
7. Определите точечные оценки коэффициентов линейного уравнения регрессии методом максимального правдоподобия, методом моментов. Сравните результаты с МНК.
8. Пусть при исследовании зависимости потребления (CONS) от дохода (INC) в качестве модели выбрана парная линейная регрессия:
CONS = ро + PiINC + в.
а) Как в этом случае интерпретируется коэффициент Рі?
б) Как в этом случае интерпретируется коэффициент Ро?
в) Пусть на основании наблюдений за 100 домохозяйствами построено следующее эмпирическое уравнение регрессии:
CONS = -145.65 + 0.825 • INC.
г) Соответствуют ли знаки и значения коэффициентов регрессии теоретическим представлениям?
д) Какова величина предполагаемого потребления домохозяйства с доходом $20000?
е) Чему равна по данной модели предельная склонность к потреблению (МРС)?
ж) Можно ли по имеющимся статистическим данным построить эмпирическое уравнение регрессии, в котором зависимой переменной является средняя склонность к потреблению (АРС)?
з) Построить график приведенного эмпирического уравнения регрессии. Как на его основании можно определить МРС и АРС?
ПРОВЕРКА КАЧЕСТВА УРАВНЕНИЯ РЕГРЕССИИ
5.1. Классическая линейная регрессионная модель.
Предпосылки метода наименьших квадратов
Регрессионный анализ позволяет определить оценки коэффициентов регрессии. Но, являясь лишь оценками, они не позволяют сделать вывод, насколько точно эмпирическое уравнение регрессии соответствует уравнению для всей генеральной совокупности, насколько близки оценки Ьо и Ьі коэффициентов своим теоретическим прототипам Ро и Рі, как близко оцененное значение ухк условному математическому ожиданию М(Y | X = х,), насколько надежны найденные оценки. Для ответа на эти вопросы необходимы определенные дополнительные исследования.
Как следует из соотношения (4.6), значения у, зависят от значений х, и случайных отклонений с,. Следовательно, переменная Y является случайной величиной, напрямую связанной с 8і. Это означает, что до тех пор, пока не будет определенности в вероятностном поведении sb мы не сможем быть уверенными в качестве оценок. Действительно, можно показать, что оценки коэффициентов регрессии - случайные величины, зависящие от случайного члена в уравнении регрессии.
Рассмотрим модель парной линейной регрессии
Пусть на основе выборки из п наблюдений оценивается регрессия
Как показано в формуле (4.14),
У
что означает, что коэффициент Ьі также является случайным. В самом деле, значение выборочной ковариации Sxy зависит от того, какие значения принимают X и Y. Если X можно рассматривать как экзогенный фактор, значения которого известны, то значения Y зависят от случайной составляющей s,. Теоретически коэффициент Ьі можно разложить на неслучайную и случайную составляющие.
Sxy = COV(X, Po + PiX + s) = COV(X, Po) + COV(X, P!X) + COV(X, s).
=> Sxy = p,Sj +COV(X,e). (5.4)
Здесь использовались правила вычисления ковариации:
СО?(Х, Ро) = 0, т. к. Ро = const, СО?(Х, ргХ) = РіСО?( X, X) = PiS^.
Следовательно,
b,=? = P, + |r. (5-5)
Здесь рг - постоянная величина (истинное значение коэффициен-§
та регрессии), —у- - случайная компонента. Аналогичный результат
s;
можно получить и для коэффициента Ьо. Отметим при этом, что на практике такое разложение осуществить невозможно, поскольку неизвестны истинные значения Ро и рь а также значения отклонений для всей генеральной совокупности.
Итак, мы показали, что свойства оценок коэффициентов регрессии, а следовательно, и качество построенной регрессии существенно зависят от свойств случайной составляющей. Доказано, что для получения по МНК наилучших результатов необходимо, чтобы выполнялся ряд предпосылок относительно случайного отклонения.
Предпосылки МНК (условия Гаусса-Маркова)
1°. Математическое ожидание случайного отклонения р равно нулю: M(s) = 0 для всех наблюдений.
Данное условие означает, что случайное отклонение в среднем не оказывает влияния на зависимую переменную. В каждом конкретном наблюдении случайный член может быть либо положительным, либо отрицательным, но он не должен иметь систематического смещения. Отметим, что выполнимость М(ер = 0 влечет выполнимость М(УІХ = = х,) = р0 + р1х„
2°. Дисперсия случайных отклонений ?, постоянна:
D(s) = D(sj) = ст2 для любых наблюдений і и ).
Данное условие подразумевает, что несмотря на то, что при каждом конкретном наблюдении случайное отклонение может быть либо большим, либо меньшим, не должно быть некой априорной причины, вызывающей большую ошибку (отклонение).
Выполнимость данной предпосылки называется гомоскедастич-ностъю (постоянством дисперсии отклонений). Невыполнимость данной предпосылки называется гетероскедастичностъю (непостоянством дисперсий отклонений).
Поскольку D(s,) = M(s, - M(s1))2 = M(ef), то данную предпосылку
можно переписать в форме: М(е2) = а2.
Причины невыполнимости данной предпосылки и проблемы, связанные с этим, подробно рассматриваются в главе 8.
3°. Случайные отклонения ?, и ?} являются независимыми друг от друга для і Ф].
Выполнимость данной предпосылки предполагает, что отсутствует систематическая связь между любыми случайными отклонениями. Другими словами, величина и определенный знак любого случайного отклонения не должны быть причинами величины и знака любого другого отклонения.
Выполнимость данной предпосылки влечет следующее соотношение:
О, если і ф j;
Уе^ =cov(e1,eJ)
(5.6)
у , если i = j.
Поэтому, если данное условие выполняется, то говорят об отсутствии автокорреляции. С учетом выполнимости предпосылки 1° соотношение (5.6) может быть переписано в виде: M(s18j) = 0 (і Ф j).
Причины невыполнимости данной предпосылки и проблемы, связанные с этим, подробно рассматриваются в главе 9.
4°. Случайное отклонение должно бытъ независимо от объясняющих переменных.
Обычно это условие выполняется автоматически при условии, что объясняющие переменные не являются случайными в данной модели.
Данное условие предполагает выполнимость следующего соотношения:
У е.х. = со?(Еі, X,) = М((Еі - M(s1))(x1 - М(х,))) = M(s1(x1 - М(х,))) =
= M(s1x1) - M(8i) М(х,) = M(s1x1) = 0.
Следует отметить, что выполнимость данной предпосылки не столь критична для эконометрических моделей.
5°. Модель является линейной относительно параметров.
Теорема Гаусса-Маркова. Если предпосылки Г -5° выполнены, то оценки, полученные по МНК, обладают следующими свойствами:
1. Оценки являются несмещенными, т. е. М(Ь0) =в0,М(Ь1) =Bj. Это вытекает из того, что М(е1) = 0 и говорит об отсутствии систематической ошибки в определении положения линии регрессии.
2. Оценки состоятельны, т. к. дисперсия оценок параметров при
возрастании числа п наблюдений стремится к нулю: D(b0) п > 0, 0(6!) > 0. Другими словами, при увели
чении объема выборки надежность оценок увеличивается (Ьо наверняка близко к ро, Ьц - близко к РД.
3. Оценки эффективны, т. е. они имеют наименьшую дисперсию по сравнению с любыми другими оценками данных параметров, линейными относительно величин у,.
В англоязычной литературе такие оценки называются BLUE (Best Linear Unbiased Estimators) - наилучшие линейные несмещенные оценки.
Если предпосылки 2° и 3° нарушены, т. е. дисперсия отклонений непостоянна и (или) значения е {, е. связаны друг с другом, то свойства несмещенности и состоятельности сохраняются, но свойство эффективности - нет.
Наряду с выполнимостью указанных предпосылок при построении классических линейных регрессионных моделей делаются еще некоторые предположения. Например:
• объясняющие переменные не являются случайными величинами;
• случайные отклонения имеют нормальное распределение;
• число наблюдений существенно больше числа объясняющих переменных;
• отсутствуют ошибки спецификации;
• отсутствует совершенная мультиколлинеарность.
5.2. Анализ точности определения оценок коэффициентов регрессии
В силу случайного отбора элементов в выборку случайными являются также оценки Ьо и Ьі коэффициентов Ро и Рі теоретического уравнения регрессии. Их математические ожидания при выполнении предпосылок об отклонениях с, равны соответственноМ(Ъ0) = в0,
М(Ъ1)=в1. При этом оценки тем надежнее, чем меньше их разброс
вокруг Ро и Рі, т. е. чем меньше дисперсии D(bo) и D(bi) оценок. Надежность получаемых оценок, очевидно, тесно связана с дисперсией случайных отклонений с,. Фактически D(s,) является дисперсией D(Y IX = х,) переменной Y относительно линии регрессии (дисперсией Y, очищенной от влияния X). Полагая, что измерения - равноточные, можно считать, что все эти дисперсии равны между собой
(предпосылка 2°) D(s,) = у \ = а2.
Приведем формулы связи дисперсий коэффициентов D(bo) и D(bi) с дисперсией а2 случайных отклонений с,. Для этого представим формулы определения коэффициентов а и b в виде линейных функций относительно значений Y:
ь = I (Xj - х)(Уі - у) = I (Xj - х)Уі УІ (Xj - x) 1 KXi-x)2 KXi-x)2 I(x, -x)2
b = І(Хі-х)(Уі-у) 1 I(xrx)2
I(x1-x)y1
KXi-x)2
T. K. Z(Xl
x) = 0.
Введя обозначение сх =
(X! - X)
---T, имеем:
KXi-x)2
(5.7)
bi=I c,y,.
По аналогии имеем:
bo =y-b!X= — -Ic1y1x = I(--c1x)y1.
Обозначив ф = — - CjX, имеем:
Так как предполагается, что дисперсия Y постоянна и не зависит от значений X, то с, и d, можно рассматривать как некоторые постоянные. Следовательно,
І(Хі-х)
D(b0) = D(X d,y,) = a2 X d2 = o2X(- - c,x )2 = о2Х(Д - ^ + c2x2) =
= g2( — - 0 + n
—\2
I(Xi -x)
) = g2(- +
—2 2-^2 X _ч У 2X
—x2 1
—\2
П I(Xj-x) nX(x, -x)
(5.10)
Из соотношений (5.10), (5.11) очевидны следующие выводы. Дисперсии Ьо и Ьі прямо пропорциональны дисперсии случайного отклонения а2. Следовательно, чем больше фактор случайности, тем менее точными будут оценки.
Чем больше число и наблюдений, тем меньше дисперсии оценок. Это вполне логично, т. к. чем большим числом мы располагаем, тем вероятнее получение более точных оценок.
Чем больше дисперсия (разброс значений Х(х; - х)2) объясняющей переменной, тем меньше дисперсия оценок коэффициентов. Другими словами, чем шире область изменений объясняющей переменной, тем точнее будут оценки (тем меньше доля случайности в их определении).
Наглядное обсуждение этих выводов проведем чуть позже на основе следующих рассуждений.
В силу того, что случайные отклонения с, по выборке определены быть не могут, при анализе надежности оценок коэффициентов регрессии они заменяются отклонениями ех = у{ - b0 - bjXj значений уі переменной Y от оцененной линии регрессии. Дисперсия случайных
отклонений D(si) = а2 заменяется ее несмещенной оценкой
2
s2 =
-Ц- Ну. - Ьо - ь,х,)2 = Щ-
п-2 п-2
Тогда
D(bT) * =---у
1 Кх.-х)2
D(b0) * S(
S2Ix2
- = х2 S2
ч2 Х
(5.11)
(5.12)
(5.13)
n-S(x1 -хУ
необъясненная дисперсия (мера разброса зависимой пе
ременной вокруг линии регрессии). Отметим, что корень квадратный
I У Q2
из необъясненной дисперсии, т. е. S = J-—, называется стандарт-
іі-2
ной ошибкой оценки (стандартной ошибкой регрессии).
Sbo = ySbo и Sbj = -ySb| - стандартные отклонения случайных величин Ьо и Ьі, называемые стандартными ошибками коэффициентов регрессии.
Объяснение данных соотношений имеет весьма наглядную графическую интерпретацию.
Коэффициент Ьі определяет наклон прямой регрессии. Чем больше разброс значений Y вокруг линии регрессии, тем больше (в среднем) ошибка определения наклона прямой регрессии. Действительно, если такой разброс совсем отсутствует (е, =0), то прямая определяется однозначно и ошибки при определении b и а не будет вовсе QX = 0 => S2 = 0 => Sbo = Sb =0). Например, на рис. 5.1, а все наблюдаемые точки лежат на одной прямой (?ef = 0). Тогда через любой набор точек проводится одна и та же прямая. На рис. 5.1, б точки не лежат на одной прямой, но для трех точек прямая регрессии будет такой же (хотя отклонения от линии регрессии существенны), как и на рис. 5.1, а. Однако при исключении из рассмотрения любой из указанных трех точек прямые регрессии будут существенно отличаться друг от друга ((1, 2), (1, 3), (2, 3)). Следовательно, значительно различаются их углы наклона, а значит, стандартная ошибка Sb коэффициента регрессии Ьі будет существенной.

В знаменателе дроби (5.12), определяющей значение Sb , стоит сумма Х(хі - х )2 квадратов отклонений х, от среднего значения х. Эта сумма велика (а следовательно, вся дробь мала, и дисперсия Sb оценки меньше), если регрессия определяется на широком диапазоне значений переменной X.
Например, на рис. 5.2 через пары точек (1, 3) и (2, 3) проведена одна и та же прямая. Но диапазон (1,3) шире диапазона (2, 3). Если вместо точки 3 рассмотреть либо точку За, либо Зб(т. е. при случайном изменении выборки), то наклон прямой для пары (1,3) изменится значительно меньше, чем для пары (2, 3).
 |
->
о X
Рис. 5.2 |
lx
2 2
Дисперсия свободного члена уравнения регрессии Sb = Sb пропорциональна дисперсии Sb . Действительно, чем сильнее меняется наклон прямой, проведенной через данную точку (х, у), тем больше
разброс значений свободного члена, характеризующего точку пересечения этой прямой с осью OY.
Кроме того, разброс значений свободного члена тем больше, чем больше средняя величина х2 . Это связано с тем, что при больших по модулю значениях X даже небольшое изменение наклона регрессионной прямой может вызвать большое изменение оценки свободного члена, поскольку в этом случае в среднем велико расстояние от точек наблюдений до оси OY.
На рис.5.3 через пары точек (1, 2) и (3, 4) проходит одна и та же прямая, пересекающая ось OY в точке (0, Ьо). Для второй из этих пар значения переменной X больше по абсолютной величине (при одинаковом диапазоне изменений X и Y), чем для первой. Если в этих парах точки 1 и 3 изменить на одну и ту же величину (новые точки 1а, За), то углы наклона новых прямых (1а, 2) и (За, 4) будут одинаковы. Но сво-
бодный член boi для первой прямой будет существенно меньше отличаться от Ьо, чем свободный член Ьог для второй прямой.

5.3. Проверка гипотез относительно коэффициентов линейного уравнения регрессии
Эмпирическое уравнение регрессии определяется на основе конечного числа статистических данных. Поэтому коэффициенты эмпирического уравнения регрессии являются случайными величинами, изменяющимися от выборки к выборке. При проведении статистического анализа перед исследователем зачастую возникает необходимость сравнения эмпирических коэффициентов регрессии Ьо и Ьі с некоторыми теоретически ожидаемыми значениями Ро и Рі этих коэффициентов. Данный анализ осуществляется по схеме статистической проверки гипотез, которая подробно проанализирована в разделе 3.4. Для проверки гипотезы
Но: Ьі = Рі,
Hyb^p!
используется статистика
Ьі
в,
(5.14)
которая при справедливости Н0 имеет распределение Стьюдента с числом степеней свободы ? = и - 2, где и - объем выборки. Следовательно, Но: Ьі = Рі отклоняется на основании данного критерия, если
-набл. I — ¦^і?і >t6 , (5.15)
—,n-2 2
где а - требуемый уровень значимости. При невыполнении (5.15) считается, что нет оснований для отклонения Но.
Наиболее важной на начальном этапе статистического анализа построенной модели все же является задача установления наличия линейной зависимости между Y и X. Эта проблема может быть решена по той же схеме:
Н0: t>! = О, Ну Ьі*0.
Гипотеза в такой постановке обычно называется гипотезой о статистической значимости коэффициента регрессии. При этом, если Но принимается, то есть основания считать, что величина Y не зависит от X. В этом случае говорят, что коэффициент Ьі статистически незначим (он слишком близок к нулю). При отклонении Но коэффициент Ьі считается статистически значимым, что указывает на наличие определенной линейной зависимости между Y и X. В данном случае рассматривается двусторонняя критическая область, т. к. важным является именно отличие от нуля коэффициента регрессии, и он может быть как положительным, так и отрицательным.
Поскольку в данном случае полагается, что Рі = 0, то формально значимость оцененного коэффициента регрессии Ьі проверяется с помощью анализа отношения его величины к его стандартной ошибке
Sbi = Jsb| . В случае выполнения исходных предпосылок модели эта
дробь имеет распределение Стьюдента с числом степеней свободы ? = = п-2, где и - число наблюдений. Данное отношение называется t-статистикой.
bj _ b
(5.16)

Для t-статистики проверяется нулевая гипотеза о равенстве ее нулю. Очевидно, t = 0 равнозначно Ьі = 0, поскольку t пропорциональна Ьі. Фактически это свидетельствует об отсутствии линейной связи между X и Y.
По аналогичной схеме на основе t-статистики проверяется гипотеза о статистической значимости коэффициента Ьо:
|
t = |  |
(5.17)
Отметим, что для парной регрессии более важным является анализ статистической значимости коэффициента Ьі, т. к. именно в нем скрыто влияние объясняющей переменной X на зависимую переменную Y.
Для примера 4.1.
Si = -§2 =__=^(y1-bo^b1x1)2 = 35.3 =0 0Q23
1 n(x2-x2) n(n - 2)(x2 - x2) n(n - 2)(x2 - x2) 12 -10 -125.25
Sbl = V0.0023 = 0.0485.
0.9339
0.0485
= 19.2557.
tu. —
м-2
Критическое значение при уровне значимости а = 0.05 равно tKp. = t
^0.025;10 2.228.
Сравним модуль наблюдаемого значения I tb I = 19.2557 с критическим
значением t0.025;0.8 • Поскольку |tb I = 19.2557 > 2.228 = tKp., то нулевая гипотеза
(t = о} должна быть отвергнута в пользу альтернативной при выбранном уровне значимости. Это подтверждает статистическую значимость коэффициента регрессии Ьь
Аналогично проверяется статистическая значимость коэффициента Ьо:
= S2bi • X2 = 0.0023 • 15884.75 = 36.5349 .
§2 _ s^zx:
n(x -x )
b0 ,2 —2s
= 0.612
Sbo = V36.5349 = 6.044. 3.699
6.044
Так как I tK I = 0.612 < 2.228 = tKp., то гипотеза о статистической незначимости коэффициента bo не отклоняется. Это означает, что в данном случае свободным членом уравнения регрессии можно пренебречь, рассматривая регрессию как Y = biX.
При оценке значимости коэффициента линейной регрессии на начальном этапе можно использовать следующее “грубое” правило, позволяющее не прибегать к таблицам.
Если стандартная ошибка коэффициента больше его модуля ( 111 < 1 ), то коэффициент не может быть признан значимым, т. к. доверительная вероятность здесь при двусторонней альтернативной гипотезе составит менее чем 0.7.
Если 1 < 111 < 2, то найденная оценка может рассматриваться как
относительно (слабо) значимая. Доверительная вероятность в этом случае лежит между значениями 0.7 и 0.95.
Если 2 < 111 < 3, то это свидетельствует о значимой линейной связи между X и Y. В этом случае доверительная вероятность колеблется от 0.95 до 0.99.
Наконец, если 111 > 3, то это почти гарантия наличия линейной связи.
Конечно, в каждом конкретном случае играет роль число наблюдений. Чем их больше, тем надежнее при прочих равных условиях выводы о значимости коэффициента. Однако для и >10 предложенное “грубое” правило практически всегда работает.
5.4. Интервальные оценки коэффициентов линейного уравнения регрессии
Как отмечалось в параграфе 5.2, базовыми предпосылками МНК является предположение о нормальном распределении отклонений ^ с нулевым математическим ожиданием и постоянной дисперсией, т. е.
ejeN(0,y2). Естественность этого предположения обосновывается хорошо известной в теории вероятностей центральной предельной теоремой (ЦПТ), которую можно сформулировать следующим образом.
Если СВ представляет собой сумму очень большого числа независимых случайных величин, влияние каждой из которых на всю сумму ничтожно мало, то рассматриваемая СВ имеет распределение, близкое к нормальному.
Но случайное отклонение с, как раз и отражает влияние на независимую величину тех переменных, которые не включены в модель. Таких переменных обычно очень много, причем их индивидуальное влияние достаточно мало (иначе, их необходимо было учесть в модели). Следовательно, при рассмотрении случайных отклонений мы попадаем практически в условия ЦТТТ. Тогда можно заключить, что с, (і = 1,п) имеют нормальное распределение с М(е1) = 0, у2(е1) = у2. Это позволяет получать не только наилучшие линейные несмещенные точечные оценки (BLUE) bo и bi коэффициентов Ро и Рі линейного уравнения регрессии, но и находить их интервальные оценки, что дает определенные гарантии точности.
Указанные выше предположения позволяют утверждать, что СВ Ьо и Ьі имеют нормальные распределения. Действительно, как известно, линейная комбинация нормально распределенных СВ является нормально распределенной СВ. Но, как показано в формулах (5.7),
(5.8), коэффициенты Ьі и Ьо могут быть представлены в виде:
Ьі = ХсіУі, Ь0 = Х(1іУі,
где сь d, - постоянные.
Другими словами, Ьі и Ьо являются линейными комбинациями Уі. В свою очередь уі по формуле (4.6) является линейной комбинацией 8! (при этом считается, что р(), Рі их, - константы или неслучайные величины). Тогда Ьі и Ьо через у, являются линейными функциями от 8Ь имеющими нормальное распределение. Следовательно, Ьі и Ь0 также распределены нормально.
Как отмечалось ранее, М(Ь0) = в 0, M(bj) = в 1.
Z(x1-x)2’
S2Zxf n-I(x, -x)2
D(b1)*S" S‘
le2
где S'
D(b0)*S?
Следовательно, bo ~ N(Po, D(bo)), bi ~ N(Pi, D(bi)). Тогда, как отмечалось выше, статистики
bj В!
S(bi)
b0 -в0
S(b0) ’
(5.18)
tu =
ь0
имеют распределение Стьюдента с числом степеней свободы ? = п - 2. Далее для определения 100(1 - а)%-ного доверительного интервала по таблицам критических точек распределения Стьюдента по доверительной вероятности у =1 - а и числу степеней свободы ? определяют критическое значение t б , удовлетворяющее условию
—,п-2 2
P(|t|6 ) = 1-б.
(5.19)
,n- 2
Подставив каждую из формул (5.18) в (5.19), получаем P(-t6 <Ь°~В° 6 ) = 1 - б;
|n-2 S(b0) уп_“
(5.20)
bj-Bj
^-L
s(b0
РН(
—,п-2 2
,п-2
После преобразований выражений, стоящих в скобках, имеем:
P(b0-t6 S(bо) <в0 < b0 + t6 S(b0)) = l-6,
(5.21)
(5.22)
P(b, -t6 S(b1)11+t6 S(b1)) = l-6.
—,n-2 — ,n-2
С учетом (5.12), (5.13) получаем p(bo _
S2Zxf
S2Zxf
—y< Bo < bo + t6 , —-by) = 1-6;(5.23)
’n“2 Vn^(xi _x)
^n-2 VllX(xi -X)"
P(bi-t6 J " —\2 < B1 < bl+t6 J ~ -.2) = 1~6- (5-24)
¦n-2VI(Xi-x) yn“2 \|I(X i-x)
Соотношения (5.23), (5.24) определяют доверительные интервалы
bo 1б S(b0); b0+t6 S(b0)
(5.25)
,n-2
,n-2
(5.26)
bi 1б S(bj), bj + t6 S(bj)
-,n-2 -,11-2
2 2
которые с надежностью (1 - а) накрывают определяемые параметры Рои Pi.
Для примера 4.1 95%-ные доверительные интервалы для коэффициентов будут следующими:
(3.699 - 2.228-6.044; 3.699 + 2.228-6.044) = (-9.767; 17.165);
(0.9339 - 2.228-0.0485; 0.9339 + 2.228-0.0485) = (0.826; 1.042).
Фактически доверительный интервал определяет значения теоретических коэффициентов регрессии р0 и р0, которые будут приемлемыми с надежностью (1 - а) при найденных оценках Ьо и Ьц
5.5. Доверительные интервалы для зависимой переменной
Одной из центральных задач эконометрического моделирования является предсказание (прогнозирование) значений зависимой переменной при определенных значениях объясняющих переменных. Здесь возможен двоякий подход: либо предсказать условное математическое ожидание зависимой переменной при определенных значениях объясняющих переменных (предсказание среднего значения), либо прогнозировать некоторое конкретное значение зависимой переменной (предсказание конкретного значения).
Предсказание среднего значения. Пусть построено уравнение парной регрессии ух = b0 + bjXj, на основе которого необходимо предсказать условное математическое ожидание M(Y | X = хр) переменной Y при X = Хр. В данном случае значение ур = b0 + bjXp является оценкой m(y|x = хр). Тогда естественным является вопрос, как сильно может уклониться модельное среднее значение у рассчитанное по
эмпирическому уравнению регрессии, от соответствующего условного математического ожидания. Ответ на этот вопрос дается на основе интервальных оценок, построенных с заданной надежностью (1 - а) при любом конкретном значении хр объясняющей переменной.
Чтобы построить доверительный интервал, покажем, что СВ Yp
имеет нормальное распределение с конкретными параметрами. Используя формулы (5.7), (5.8), имеем:
Yp = Ь0 + Ьіхр = I d,y, + (I с,у,)хр = Дф + СіХр)уі. Следовательно, Yp является линейной комбинацией нормальных СВ и, значит, сама имеет нормальное распределение.
М( Yp) = M(bo + Ьіхр) = M(bo) + М(Ьі)хр = р0 + Ріхр , ^ ^
D( Yp) = D(b0 + bixp) = D(bo) + D(bi) x2 + 2cov(b0, bi) xp (здесь используем формулы: D(X + Y) = D(X) + D(Y) + 2cov(X, Y); D(cX) = c2D(X); cov(X, bY) = b cov(X, Y)).
cov(b0, bO = M[(b0 - M(b0))(b! - M(bO)] = M[(b0 - РоХФ - Pi)] =
= M[(y - bjX - (y — BjX ))(bj - pi)] = -xM[(bi - pi)(bi - pi)] =
= -xD(bi) = -x У ^
I(Xi-x)
D(Y„)= J.2?XL +
x2 -2x
Xn =
Kx.-x)2 p
—\2 P
nI(Xj-x) Z(Xj-x)
j_+ (x-xp)
[x2 -2xx +x ] = a2
(5.28)
—\2
I(xi-x)
n I(xt -x)
2 2 Yez
Подставив вместо a2 ее несмещенную оценку S2 = -—, получим
n-2
выборочную исправленную дисперсию S2( Y ) рассматриваемой СВ.
т_ Yp ~(во +В1Хр)
Тогда СВ
(5.29)
S(Yp)
имеет распределение Стьюдейта с числом степеней свободы ? = и - 2. Следовательно, по таблице критических точек распределения Стью-дента по требуемому уровню значимости а и числу степеней свободы ? = п - 2 можно определить критическую точку t б , удовлетворяю-
—,п-2 2
щую условию Р( I Т I < t6 ) = 1 - б. С учетом (5.29) имеем:
—,11-2 2
Yp -(в0 +BjXp)
= 1 - а.
(5.30)
6 о —,n-2
2
S(YP)
После алгебраических преобразований получим:
P(b0+bixp-t6 S(Y )p0+bixp+t6 S(Y )) =l-a. (5.31)
—,n-2 —,n-2
2 2
Таким образом, доверительный интервал для M(Y| X = хр) = р0 + Ріхр имеет вид:
t6 S-.
—,п-2
bo +Ьіхр
¦t6 s-
—,n-2 2
I + (x-Xp)-
II
I(Xi-x)" |
 |
j_+ (х-хру
11
b 1 хР
KY-xr
Для проверки гипотезы
Н„:М(УІХ = хр) = ур; Н,:М(У|Х = хр)*ур
используется следующая статистика:
|
M(Y |
X = xp)-yp |
|
s3 |
1 | (Х-Хр)2 |
|
П Z(Xl-x)2 |
(5.33)
имеющая распределение Стьюдента с числом степеней свободы ? = =п-2. Поэтому Н0 отклоняется, если | Тнабл I > t6 (а - требуемый
—,п-2 2
уровень значимости).
Предсказание индивидуальных значений зависимой переменной.
На практике иногда более важно знать дисперсию Y, чем ее средние значения или доверительные интервалы для условных математических ожиданий. Это позволяет определить допустимые границы для конкретного значения Y.
Пусть нас интересует некоторое возможное значение уо переменной Y при определенном значении хр объясняющей переменной X. Предсказанное по уравнению регрессии значение Y при X = хр составляет ур. Если рассматривать значение уо как СВ Y0, а ур - как СВ Yp, то можно отметить, что
1 | (х-Хр)2
n + Z(Xl-x)2
Yp ~ N(b0 + biXp, а2
Yq~ N(p0 + Ріхр, с2),
)¦
СВ Yo и Yp являются независимыми, а следовательно, СВ U имеет нормальное распределение с
Yo-Yp
|
1 (х + — |  |
М(Ц) = 0 и D(U) = а2
п І(Хі
|
Y0-Yp |
|
S-л |
1 (х-Хр)2
1 + - +- |
|
і |
П Z(Xl-x)2 |

Но тогда можно показать, что СВ
имеет распределение Стьюдента с числом степеней свободы ? = п - 2. На основании этого можно сделать вывод, что
Yo-Yp
P(-tt
(5.34)
6 2 ^ 1
—,n-2 2
a.
,n-2
, 1 (x-x p)
1 + - +-
11 I(xrx)2
s-.
Таким образом, интервал
|
•— |
і+П (5f_Xp)22 |
|
bo + bixp+t6 S- |
|
1 г-2 11 |
n I(Xi-x) J |
(5.35)
определяет границы, за пределами которых могут оказаться не более 100а % точек наблюдений при X = хр. Заметим, что данный интервал шире доверительного интервала для условного математического ожидания (на рис. 5.4 границы этого интервала отмечены пунктирной линией).
Проводя анализ построенных интервалов, несложно заметить, что наиболее узкими они будут при Хр = х. По мере удаления Хр от среднего значения доверительные интервалы расширяются (см. рис. 5.4). Поэтому необходимо достаточно осторожно экстраполировать полученные результаты на прогнозные области. С другой стороны, с ростом числа наблюдений п эти интервалы сужаются к линии регрессии при п —> 00.
По данным из примера 4.1 рассчитаем 95 %-ный доверительный интервал для условного математического ожидания M(Y|X = хр) при X = 160. Воспользовавшись формулой (5.32), рассчитаем границы интервала:
П (125.25-160)2
3.699+0.9339-160 ± 2.228-1.8788- J--ь--— .
V12 2102.1875
Таким образом, доверительный интервал для среднего значения Y при X = 160 имеет вид: (149.728; 156.5193). Другими словами, среднее потребление при доходе 160 с вероятностью 95 % будет находиться в интервале (149.728; 156.5193).
Рассчитаем границы интервала, в котором будет сосредоточено не менее 95% возможных объемов потребления при неограниченно большом числе наблюдений при уровне дохода X = 160. Для этого воспользуемся формулой (5.35).
I 1 (125.25-160)2
3.699 + 0.9339-160 + 2.228-1.8788- J1 н---ь -— .
V 12 2102.1875
Тогда интервал, в котором будут находиться, по крайней мере, 95 % индивидуальных объемов потребления при доходе X = 160, имеет вид: (147.4898; 158.7082). Нетрудно заметить, что он включает в себя доверительный интервал для условного среднего потребления.
5.6. Проверка общего качества уравнения регрессии.
Коэффициент детерминации R2
После проверки значимости каждого коэффициента регрессии обычно проверяется общее качество уравнения регрессии, которое оценивается по тому, как хорошо эмпирическое уравнение регрессии согласуется со статистическими данными. Другими словами, насколько широко рассеяны точки наблюдений относительно линии регрессии. Очевидно, если все точки лежат на построенной прямой, то регрессия Y на X “идеально” объясняет поведение зависимой переменной. В реальной жизни такая ситуация практически не встречается. Обычно поведение Y лишь частично объясняется влиянием переменной X. Возможные соотношения между двумя переменными имеют наглядную графическую интерпретацию в виде так называемой диаграммы Вейна (рис. 5.5).





Рис. 5.5
На рис. 5.5, а X никак не влияет на Y. На каждом следующем рисунке влияние X все усиливается. Наконец, на рис. 5.5, д значения Y целиком определяются значениями X.
Суммарной мерой общего качества уравнения регрессии (соответствия уравнения регрессии статистическим данным) является коэффициент детерминации R2. В случае парной регрессии коэффициент детерминации будет совпадать с квадратом коэффициента корреляции. В общем случае коэффициент детерминации рассчитывается по формуле:
Ее?
Поясним смысл коэффициента детерминации. Пусть эмпирическое уравнение регрессии имеет вид:
Y = b0+b1X. (5.37)
Тогда наблюдаемые (реальные) значения уь і = 1, 2, ... , и отличаются от модельных у, на величину е,:
Уі=Уі+еі. (5.38)
Соотношение (5.38) можно переписать в следующем виде:
Уі - У = (Уі - У) + (Уі - Уі), (5.39)
т. е. Уі - У = ki + е„
где (уі - у) - отклонение і-й (наблюдаемой) точки от среднего значения у зависимой переменной Y; к, - отклонение і-й точки на линии регрессии от у; ех - отклонение і-й точки от модельного значения у,,
определяемого по линии регрессии. Все отклонения рассчитываются по оси зависимой переменной (см. рис. 5.6).

Возведем обе части равенства (5.39) в квадрат и просуммируем полученные значения по объему выборки и:
і(Уі-У)2=і(Уі-У)2+ 2І((у1-у)-е1)+ Хе?. (5.40)
Можно показать, что Х((Уі _У)'еі) = 0 (доказательство опускаем для упражнения). Тогда справедливо следующее соотношение:
1(У1-У)2 = 1к? +Хе?. (5.41)
Очевидно, Ну, - у)2- общая (полная) сумма квадратов может интерпретироваться как мера общего разброса (рассеивания) переменной Y относительно у. Zk2 = Z(y, - у )2 - объясненная сумма квадратов, интерпретируемая как мера разброса, объяснимого с помощью регрессии. Zef =Х(Уі _ Уі)2_ остаточная (необъясненная) сумма квадратов, являющаяся мерой остаточного, необъясненного уравнением регрессии разброса (разброса точек вокруг линии регрессии).
Разделив (5.41) на левую его часть, получим:
1 = —^к' 0 ^—у => —Ік' у = 1--^—у. (5.42)
і(Уі “У) і(Уі -у) І(Уі -у) І(Уі -у) 2 Zk2
Вводя обозначение R = -0 , получаем соотношение
Z(y,-y)
(5.36). При этом очевидно, что коэффициент детерминации R2 определяет долю разброса зависимой переменной, объяснимую регрессией Y на X.
определяет долю разброса зависимой переменной,
Zef
Z(z-y)2
необъясненную регрессией Y на X
Из проведенных рассуждений следует, что в общем случае справедливо соотношение 0 < R2 < 1. Возможные условия нарушения неравенства R2 > О рассмотрены чуть ниже.
Нетрудно заметить, что если между величинами X и Y существует значимая линейная связь, то Zef существенно меньше, чем Z(yi - у )2 • Действительно, МНК позволяет найти прямую, для которой Ze2 минимальна, а прямая Y = у является одной из возможных линий, для которых выполняется условие у = Ь0 + Ь,х . Поэтому значение числителя вычитаемой из единицы дроби в (5.36) меньше, чем значение ее знаменателя (иначе, выбираемой по МНК линией регрессии была бы прямая Y = у). Следовательно, в этом случае коэффициент детерминации R2 близок к единице.
Таким образом, коэффициент детерминации R2 является мерой, позволяющей определить, в какой степени найденная прямая регрессии дает лучший результат для объяснения поведения зависимой переменной Y, чем горизонтальная прямая Y = у.
Следовательно, чем теснее линейная связь между X и Y, тем ближе коэффициент детерминации R2 к единице (рис. 5.5, (У). Чем слабее такая связь, тем R2 ближе к нулю (рис. 5.5, а).
Однако не следует абсолютизировать высокое значение R2, т. к. коэффициент детерминации может быть близким к единице просто в силу того, что обе исследуемые величины X и Y имеют выраженный временной тренд, не связанный с их причинно-следственной зависимостью. В экономике обычно такой тренд имеет объемные показатели (ВНП, ВВП, доход, потребление). А темповые и относительные показатели (темпы роста, производительность, ставка процента) не всегда имеют тренд. Поэтому при оценивании регрессий по временным рядам объемных показателей (например, зависимость потребления от дохода или спроса от цены) величина R2 может быть весьма близкой к единице. Но это не обязательно свидетельствует о наличии значимой линейной связи между исследуемыми показателями, а может означать лишь то, что поведение зависимой переменной нельзя описать уравнением Y = у.
Если уравнение регрессии строится по перекрестным данным, а не по временным рядам, то коэффициент детерминации R2 для него обычно не превышает 0.6 - 0.7. Аналогичные значения R2 обычно получаются и для регрессий по временным рядам, если они не имеют выраженного тренда (темп инфляции от уровня безработицы, темпы прироста выпуска от темпов прироста затрат ресурсов и т. и.).
Естественно, возникает вопрос, какое значение R2 можно считать удовлетворительным. Точную границу приемлемости (статистической значимости) R2 для всех случаев сразу указать невозможно. Нужно обращать внимание на объем выборки, число объясняющих Переменных, наличие трендов и содержательную интерпретацию. R может оказаться даже отрицательным. Обычно это случается для линейных уравнений регрессии, в которых отсутствует свободный член Y = XbjXj. Оценивая такое уравнение по МНК, мы вынуждены рассматривать лишь те прямые (гиперплоскости), которые проходят через начало координат (рис. 5.7). Значение R2 получается отрицательным тогда, когда разброс значений зависимой переменной вокруг линии Y = у меньше, чем вокруг любой из прямых (гиперплоскостей),
проходящих через начало координат.
 |
|
Рис. 5.7 |
Из рис. 5.7 видно, что разброс наблюдаемых значений переменной Y относительно прямой Y = у существенно меньше разброса относительно прямой Y = ЬХ . Отрицательное значение R2 свидетельствует о целесообразности добавления в уравнение Y = ZbjXj свобод
ного члена (Y = Ьо + ЬіХ, см. рис. 5.7).
Схему анализа общего качества уравнения регрессии на основе коэффициента детерминации мы подробно обсудим в разделе 6.7.
Проиллюстрируем связь между коэффициентом детерминации R2 для парного уравнения регрессии и выборочным коэффициентом корреляции гх?.
2 _ I k- _ I (у, - У? _ I (Ь0 + ?і - (b0 + bjx))“ _
— \2
Ку, -у)2 Ку,-у)
— \2
Ку,-у)
= ^ZCx.-x))2 _
І(х, -х)(Уі -у)
Z(x,-x))2_
-ч2
—Л2
— \2
Ку,-у)
Ку,-у)
КХі-х)
_ (Кх, - х)(Уі - у))2 ( KXj-хХУі-у)
Кх,-х)2І(Уі-у)2 ^і(Хі-х)2?КУі-У)2,
Рассчитаем коэффициент детерминации R2 для примера 4.1.
R2 = 1--^—т = 1--—- = 0.983.
КУі-у) 2108.6668
Столь высокое значение коэффициента детерминации свидетельствует о высоком
2 2 2
общем качестве построенного уравнения регрессии. R = 0.983 « (0.9914) = гху (неточности в данном случае связаны с округлением вычислений).
Вопросы для самопроверки
1. Перечислите предпосылки МНК, каковы последствия их выполнимости либо невыполнимости?
2. В чем суть наилучших линейных несмещенных оценок (BLUE)?
3. Как определяются стандартные ошибки регрессии и коэффициентов регрессии?
4. Опишите схему проверки гипотез о величинах коэффициентов регрессии.
5. В чем суть статистической значимости коэффициентов регрессии?
6. Опишите “грубое” правило анализа статистической значимости коэффициентов регрессии.
7. Приведите схему определения интервальных оценок коэффициентов регрессии.
8. Как строится и что позволяет определить доверительный интервал для условного математического ожидания зависимой переменной?
9. В чем суть предсказания индивидуальных значений зависимой переменной?
10. Объясните суть коэффициента детерминации.
11. В каких пределах изменяется коэффициент детерминации?
12. Дайте определения следующих понятий:
а) оценка коэффициента регрессии;
б) стандартная ошибка регрессии;
в) статистическая значимость коэффициента;
г) общая (объясненная, необъясненная) сумма квадратов отклонений;
д) коэффициент детерминации;
е) интервальная оценка коэффициента регрессии.
13. Объясните, какое из указанных утверждений истинно, ложно, не определено.
а) Предпосылки МНК являются обязательным условием построения линейной регрессионной модели.
б) Теоретическим обоснованием МНК является теорема Гаусса-Маркова
в) Оценки коэффициентов регрессии будут иметь нормальное распределение, если случайные отклонения распределены нормально
г) В любой линейной регрессионной модели, построенной по МНК, справедлива формула Ееі = 0.
д) Построение интервальных оценок для коэффициентов регрессии основано на том, что эти оценки имеют нормальное распределение.
е) Чем больше стандартная ошибка регрессии, тем точнее оценки коэффициентов.
ж) Условная средняя СВ и среднее значение СВ являются по сути одним и тем же.
з) 90 %-ный доверительный интервал для условного математического ожидания зависимой переменной определяет область возможных значений для 90 % наблюдений за зависимой переменной при соответствующем уровне объясняющей переменной.
и) 0 < R2 < 1.
к) Для парной линейной регрессии коэффициент корреляции превосходит коэффициент детерминации.
14. По наблюдениям за 150 фирмами в отрасли стремятся построить регрессионную модель Y = Ро + РіХ + в и оценить коэффициенты Ро и Рі п0 МНК. Здесь X - прибыль фирм, Y - затраты на обновление основного капитала.
а) Если прибыль у всех фирм будет одинаковой, возможно ли построение уравнения регрессии?
б) Если условные дисперсии затрат Y при различных прибылях различны, то мы не можем быть уверены в найденных оценках (да; нет; нет определенного ответа).
в) Если прибыль фирм не имеет нормального распределения, то использование МНК нецелесообразно (да; нет; нет определенного ответа).
г) Если условия Гаусса-Маркова выполнены, то для определения оценок коэффициентов мы обязаны использовать МНК, т. к. в этом случае полученные оценки будут наилучшими линейными несмещенными оценками.
15. С увеличением объема выборки
а) увеличивается точность оценок;
б) уменьшается ошибка регрессии;
в) расширяются интервальные оценки;
г) уменьшается коэффициент детерминации;
д) увеличивается точность прогноза по модели.
(Да; нет; не определено. Ответ поясните).
16. При оценке парной линейной регрессии Y = Po + PiX + sno МНК получена завышенная оценка Ьі коэффициента Рь Какая оценка в этом случае более вероятна для коэффициента Ро: завышенная, заниженная или несмещенная? Ответ поясните графически.
Упражнения и задачи
1. Имеются данные за 10 лет по прибылям (X и Y) двух компаний: |
|
|
|
X (%) |
19.2 |
15.8 |
12.5 |
10.3 |
5.7 |
-5.8 |
-3.5 |
5.2 |
7.3 |
6.7 |
|
Y (%) |
20.1 |
18.0 |
10.3 |
12. 5 |
6.0 |
-6.8 |
-2.8 |
3.0 |
8.5 |
8.0 |
а) Постройте регрессионную модель Y = Ьо + ЬіХ + е.
б) Оцените статистическую значимость коэффициентов регрессии.
2
в) Оцените коэффициент детерминации R данного уравнения
г) Постройте регрессионную модель Y = ЬХ + и.
д) Приведите формулы расчета коэффициента Ь, его стандартной ошибки Sb и стандартной ошибки регрессии S (обратите внимание на число степеней свободы при расчете данной оценки).
е) Значимо или нет различаются коэффициенты Ьі и Ь?
ж) Какую из построенных моделей вы предпочтете?
з) Можно ли на основе построенных регрессий утверждать, что прибыль одной из компаний является следствием прибыли другой?
2. Для прогноза возможного объема экспорта на основе ВНП предложено использовать линейную регрессионную модель. При этом используются данные с 1989 по 1998 г.
|
Годы |
89 |
90 |
91 |
92 |
93 |
94 |
95 |
96 |
97 |
98 |
|
ВНП |
1000 |
1090 |
1150 |
1230 |
1300 |
1360 |
1400 |
1470 |
1500 |
1580 |
|
Экспорт |
190 |
220 |
240 |
240 |
260 |
250 |
280 |
290 |
310 |
350 |
а) Сформулируйте соответствующую регрессионную модель, дав интерпретацию ее параметров;
б) рассчитайте на основе имеющихся данных оценки параметров модели;
в) рассчитайте стандартную ошибку регрессии;
г) рассчитайте стандартные ошибки коэффициентов;
д) рассчитайте 90 %-ные и 95 %-ные доверительные интервалы для теоретических коэффициентов регрессии;
е) проанализируйте статистическую значимость коэффициентов при уровнях значимости а = 0.1 и а = 0.05;
ж) оцените коэффициент корреляции между ВНП и экспортом;
з) дайте прогнозы по объему экспорта на 2000 и 2003 гг.;
и) рассчитайте 95 %-ные доверительные интервалы для этих прогнозов;
к) рассчитайте коэффициент детерминации и сравните его с коэффициентом корреляции;
л) какие предпосылки относительно случайного отклонения модели необходимы для обоснованности выводов по предыдущим пунктам?
м) сделайте выводы по построенной модели.
|
3. Имеется информация за семь лет относительно среднего дохода и среднего потребления (млн руб.): |
|
|
|
Годы |
91 |
92 |
93 |
94 |
95 |
96 |
97 |
|
Доход(I) |
14.56 |
15.70 |
16.30 |
18.50 |
20.34 |
21.70 |
23.50 |
|
Потребление (С) |
12.00 |
12.70 |
13.00 |
15.50 |
16.70 |
17.30 |
20.00 |
а) Оцените коэффициенты линейной регрессии С = t>o + ЬіХ + е по МНК;
б) проинтерпретируйте найденные коэффициенты;
в) проверьте статистическую значимость коэффициентов при уровне значимости а = 0.05;
г) рассчитайте 95 %-ные доверительные интервалы для теоретических коэффициентов регрессии;
д) спрогнозируйте потребление при доходе I = 25.00; постройте доверительный интервал для данного прогноза;
е) оцените коэффициенты регрессии С = Ьо + ЬіХ + е, проведя прямую через крайние точки наблюдений;
ж) оцените коэффициенты регрессии С = Ьо + ЬіХ + е, проведя прямую через средние значения для пары крайних значений (91, 92) и (96, 97);
з) являются ли оценки, найденные в пунктах е) и ж), несмещенными оценками теоретических коэффициентов регрессии Ро, Рь
и) сравните построенные три регрессии на основе стандартных ошибок регрессий и сделайте выводы;
к) насколько изменится потребление, если доход вырастет на 3 млн руб.
4. Проводится анализ взаимосвязи количества населения (POP) и количества практикующих врачей (MED).
|
Годы |
81 |
82 |
83 |
84 |
85 |
86 |
87 |
88 |
89 |
90 |
|
РОР(млн чел.) |
10.0 |
10.3 |
10.4 |
10.55 |
10.6 |
10.7 |
10.75 |
10.9 |
10.9 |
11.0 |
|
МЕБ(тыс.чел) |
12.1 |
12.6 |
13.0 |
13.8 |
14.9 |
16.0 |
18.0 |
20.0 |
21.0 |
22.0 |
а) Оцените по МНК коэффициенты линейного уравнения регрессии MEDt = b0 + biPOP.
б) Существенно ли отличаются от нуля найденные коэффициенты?
в) Рассчитайте коэффициент корреляции грор;те(і; существенно ли он отличен от нуля?
г) Если прогнозное количество населения в 1995 г. составит 11.5 млн, каково ожидаемое количество врачей? Рассчитайте 99 %-ный доверительный интервал для данного предсказания
д) Если население вырастет на 0.8 млн, насколько изменится количество врачей?
2
е) Рассчитайте коэффициент детерминации R для построенного уравнения, сравните его с коэффициентом корреляции, найденным в пункте в).
ж) Сделайте вывод по построенной модели.
5. Пусть имеются следующие наблюдения за переменными X и Y:
|
X |
0 0 2 2 |
|
Y |
0 2 0 2 |
а) Постройте эмпирическое уравнение регрессии Y = bo + biX + en изобразите его на корреляционном поле.
б) Постройте эмпирическое уравнение регрессии Y = ЬХ + ? и изобразите его на корреляционном поле
в) Рассчитайте коэффициенты детерминации для обоих уравнений.
г) Каковы выводы из построенных моделей.
6. По 10 наблюдениям за СВ X и Y получены следующие данные:
I Хі = 1700; X Уі = 1100; I хіУі = 204400;
Exf = 316000; lyf = 135000.
Предполагая, что предпосылки МНК выполнены, оцените
а) коэффициенты bo и Ьц
б) стандартные ошибки коэффициентов;
в) 90 и 99 %-ные доверительные интервалы для коэффициентов |Зо и |3і;
г) можно ли на основе построенных доверительных интервалов принять гипотезу Но: Рі = 0;
д) коэффициент детерминации R2.
7. По данным 15-летних наблюдений построена следующая регрессионная модель:
ВШф = -787.4723+ 8.0863Mlt + et se = ( ... ) (0.2197)
t = (-10.0) ( ... ), R2 = 0.9912.
ВНП - валовой национальный продукт (в млрд $), Мі - денежная масса.
а) заполните скобки;
б) оцените статистическую значимость коэффициентов регрессии;
в) оцените общее качество уравнения регрессии;
г) по утверждениям монетаристов, денежная масса имеет существенное положительное влияние на ВНП. Находит ли это подтверждение по построенной регрессии?
д) каков смысл отрицательного свободного члена?
е) предложение денег в году после интервала наблюдений планируется на уровне 550 млрд $. Каково прогнозное значение ВНП на данный год?
ж) в каком интервале будет лежать прогнозируемое значение ВНП с надежностью 95 %.
8. По данным за 9 лет построена следующая эмпирическая регрессия:
yt =-70.85 + 0.888xt,
t = (-5.89) (5.9), R2 = 0.685,
где Y - индекс цен оптовой торговли; X - процент использования производственных мощностей.
а) Совпадает ли знак коэффициента Ьі с ожидаемым априори?
б) Как трактуется угловой коэффициент данного уравнения регрессии?
в) Оцените значимость коэффициентов.
г) Существенно или нет коэффициент Ьі отличается от единицы?
д) Оцените качество модели.
9. Наблюдаются две переменные X и Y помесячно в течение года. Имеется следующая информация:
х = 122.167; у = 125.25; Е(Хі - х)2 = 2135.679;
Ну, - у)2 = 2216.168; Х(х, - х)(уі- у) = 2115.
Рассчитайте
а) по МНК коэффициенты парного линейного уравнения регрессии;
б) стандартную ошибку регрессии;
в) стандартные ошибки коэффициентов регрессии;
г) коэффициент детерминации;
д) оцените качество построенного уравнения регрессии и статистическую значимость коэффициентов.
10. Пусть построена следующая регрессия:
Y = 150+ 5Х,
se = (20) (1.2), R2 = 0.87,
где xt = zt / zt-i - темп роста показателя Z. Как изменится регрессия, если в качестве переменной X использовать темп прироста показателя Z (%): xt= (zt — zt_l) / Zt—1.
11. Рассматривается зависимость объема (Y) потребления импортируемых благ в некоторой стране от персонального располагаемого дохода (X). По 25-лет-ним данным построена следующая регрессия:
Y = -250.15 + 0.2941Х
se =(25.832) ( ... ) R2 = 0.9215.
t =( ... ) (15.275)
а) Заполните скобки.
б) Проинтерпретируйте коэффициенты регрессии.
в) Будет ли отклонена гипотеза о равенстве нулю коэффициентов регрессии? Какие тесты вы использовали и почему?
г) Можно ли считать, что коэффициент Ьі не отличается существенно от 0.3?
д) Можно ли вычислить коэффициент детерминации (при предположении, что он не известен) по имеющимся данным?
МНОЖЕСТВЕННАЯ ЛИНЕЙНАЯ РЕГРЕССИЯ
6.1. Определение параметров уравнения регрессии
На любой экономический показатель практически всегда оказывает влияние не один, а несколько факторов. Например, спрос на некоторое благо определяется не только ценой данного блага, но и ценами на замещающие и дополняющие блага, доходом потребителей и многими другими факторами. В этом случае вместо парной регрессии M(Y I х) = f(x) рассматривается множественная регрессия
M(Y|xi,x2, ...,xm) = f(xbx2, ...,xm). (6.1)
Задача оценки статистической взаимосвязи переменных Y и Хі, Х2, ..., Хт формулируется аналогично случаю парной регрессии. Уравнение множественной регрессии может быть представлено в виде
Y = f(P,X) + s, (6.2)
где X = (Хі, Х2, ..., Хт) - вектор независимых (объясняющих) переменныхр - вектор параметров (подлежащих определению); s - случайная ошибка (отклонение); Y - зависимая (объясняемая) переменная. Предполагается, что для данной генеральной совокупности именно функция f связывает исследуемую переменную Y с вектором независимых переменных X.
Рассмотрим самую употребляемую и наиболее простую из моделей множественной регрессии - модель множественной линейной регрессии.
Теоретическое линейное уравнение регрессии имеет вид:
Y = Ро + РА + р2Х2 + ... + pmXm + s (6.3)
или для индивидуальных наблюдений і, і = 1, 2, ..., n:
Уі = Ро + PlX.il + р2Хі2 + ... + pmxm + Еі. (6.4)
Здесь Р = (Ро, Рі, ..., рт) - вектор размерности (m +1) неизвестных параметров. Pj, j = 1, 2, ..., m, называетсяj-м теоретическим коэффициентом регрессии (частичным коэффициентом регрессии). Он характеризует чувствительность величины Y к изменению Х? Другими словами, он отражает влияние на условное математическое ожидание M(Y|xi, х2, ..., хт) зависимой переменной Y объясняющей переменной X, при условии, что все другие объясняющие переменные модели остаются постоянными. р0 - свободный член, определяющий значение Y, в случае, когда все объясняющие переменные Xj равны нулю.
После выбора линейной функции в качестве модели зависимости необходимо оценить параметры регрессии.
Пусть имеется и наблюдений вектора объясняющих переменных X = (Хі, Х2, ..., Хт) и зависимой переменной Y:
(Хі1,Хі2, ...,Хйп, Уі), і= 1,2,
Для того чтобы однозначно можно было бы решить задачу отыскания параметров р0, Ръ • ••, Рт(т. е. найти некоторый наилучший вектор Р), должно выполняться неравенство п > ш + 1. Если это неравенство не будет выполняться, то существует бесконечно много различных векторов параметров, при которых линейная формула связи между X и Y будет абсолютно точно соответствовать имеющимся наблюдениям. При этом, если п = ш + 1, то оценки коэффициентов вектора Р рассчитываются единственным образом - путем решения системы m + 1 линейного уравнения:
Уі = Ро+ Ріхц + р2хі2+ ... + Pmxim , i= 1,2, ...,m+1. (6.5)
Например, для однозначного определения оценок параметров уравнения регрессии Y = р0 + РіХх + р2Х2 достаточно иметь выборку из трех наблюдений (х ц,х l2, хі3, у,), і = 1, 2, 3. Но в этом случае найденные значения параметров р0, Рі, р2 определяют такую плоскость Y = Ро + РіХ2 + р2Х в трехмерном пространстве, которая пройдет именно через имеющиеся три точки. С другой стороны, добавление в выборку к имеющимся трем наблюдениям еще одного приведет к тому, что четвертая точка (х4і,х42, х43, у4) практически наверняка будет лежать вне построенной плоскости (и, возможно, достаточно далеко). Это потребует определенной переоценки параметров. Таким образом, вполне логичен следующий вывод:
если число наблюдений больше минимально необходимого, т. е. 11 > 1П+1, то уже нельзя подобрать линейную форму, в точности удовлетворяющую всем наблюдениям, и возникает необходимость оптимизации, т. е. оценивания параметров осо, оц, ..., am, при которых формула дает наилучшее приближение для имеющихся наблюдений.
В данном случае число ? = п — ш — 1 называется числом степеней свободы. Нетрудно заметить, что если число степеней свободы невелико, то статистическая надежность оцениваемой формулы невысока. Например, вероятность верного вывода (получения более точных оценок) по трем наблюдениям существенно ниже, чем по тридцати. Считается, что при оценивании множественной линейной регрессии для обеспечения статистической надежности требуется, чтобы число наблюдений, по крайней мере, в 3 раза превосходило число оцениваемых параметров.
Самым распространенным методом оценки параметров уравнения множественной линейной регрессии является метод наименьших квадратов (МНК). Напомним, что его суть состоит в минимизации суммы квадратов отклонений наблюдаемых значений зависимой переменной Y от ее значений Y, получаемых по уравнению регрессии.
Прежде чем перейти к описанию алгоритма нахождения оценок коэффициентов регрессии, напомним о желательности выполнимости ряда предпосылок МНК, которые позволят проводить анализ в рамках классической линейной регрессионной модели. Эти предпосылки подробно обсуждались в разделе 5.1. Напомним ряд из них.
Предпосылки МНК
1°. Математическое ожидание случайного отклонения s, равно нулю: M(s) = 0 для всех наблюдений.
2°. Гомоскедастичностъ (постоянство дисперсии отклонений). Дисперсия случайных отклонений s, постоянна:
D(sO = D(sj) = а2 для любых наблюдений і и j.
3°. Отсутствие автокорреляции.
от
Случайные отклонения 8! и s, являются независимыми друг друга для всех і ф j.
Уеіе, =cov(e1,eJ)
J 0, если і ф j; \у2, если і = j.
4°. Случайное отклонение должно бытъ независимо от объясняющих переменных.
У«Л = 0-
5°. Модель является линейной относительно параметров.
Для случая множественной линейной регрессии существенной является еще одна предпосылка.
6°. Отсутствие мулътиколлинеарности.
Между объясняющими переменными отсутствует строгая (сильная) линейная зависимость.
7°. Ошибки Si имеют нормальное распределение (s, ~N(0, о)).
Выполнимость данной предпосылки важна для проверки статистических гипотез и построения интервальных оценок.
Как и в случае парной регрессии, истинные значения параметров Р, по выборке получить невозможно. В этом случае вместо теоретического уравнения регрессии (6.3) оценивается так называемое эмпирическое уравнение регрессии. Эмпирическое уравнение регрессии представим в виде:
Y = Ьо + ЬцХ] + Ь2Х2 + ... + bmXm + е. (6.6)
Здесь Ьо, Ьі, ..., bm - оценки теоретических значений рь р2, ..., рт коэффициентов регрессии {эмпирические коэффициенты регрессии); е - оценка отклонения s. Для индивидуальных наблюдений имеем:
У, = Ь0 + bjXii + ... + bmxim + ві. (6.7)
Оцененное уравнение в первую очередь должно описывать общий тренд (направление) изменения зависимой переменной Y. При этом необходимо иметь возможность рассчитать отклонения от этого тренда.
По данным выборки объема и: (xlb xl2,... , xm, у,), i = 1, 2, ... ,n требуется оценить значения параметров Р, вектора Р, т. е. провести параметризацию выбранной модели (здесь Ху, j = 1, 2, ... , m - значение переменной Xj в і-м наблюдении).
При выполнении предпосылок МНК относительно ошибок с, оценки Ьо, Ьі, ..., bm параметров Pi, р2, ..., pm множественной линейной регрессии по МНК являются несмещенными, эффективными и состоятельными (т. е. BLUE-оценками).
На основании (6.7) отклонение ех значения у, зависимой переменной Y от модельного значения у,, соответствующего уравнению регрессии в і-м наблюдении (і = 1,2, ..., н), рассчитывается по формуле:
еі = Уі - b0 - ЬіХіі - ... - bmxim. (6.8)
Тогда по МНК для нахождения оценок bo, bi, ..., bm минимизируется следующая функция:
Q=Ie? = i(y1-(b0 + Zb1x11))2. (6.9)
i=i i=i j=i ' '
Данная функция является квадратичной относительно неизвестных величин bj, j = 0, 1, ..., m. Она ограничена снизу, следовательно, имеет минимум. Необходимым условием минимума функции Q является равенство нулю всех ее частных производных по Ь,. Частные производные квадратичной функции (6.9) являются линейными функциями
8Q
8Ъ0
8Q

-2Z(y1-(b0 + Zb,x1|)),
(6.10)
Приравнивая их к нулю, мы получаем систему (пт +1) линейного уравнения с (т +1) неизвестным:
I(y1-(b0 + Ib1x11)) = 0,
(6.11)
НУі-(Ь0 + IbjXy))Xy =0, j = 1,2,...,m.
Такая система имеет обычно единственное решение. В исключительных случаях, когда столбцы системы линейных уравнений линейно зависимы, она имеет бесконечно много решений или не имеет решения вовсе. Однако данные реальных статистических наблюдений к таким исключительным случаям практически никогда не приводят. Система (6.11) называется системой нормальных уравнений. Ее решение в явном виде наиболее наглядно представимо в векторноматричной форме.
6.2. Расчет коэффициентов множественной линейной регрессии
|
Представим данные наблюдений и соответствующие коэффициенты в матричной форме. |
|
|
|
|
"Уі" |
|
'1 |
Х11 |
Х12 |
- Х1,п~ |
|
"V |
|
~еГ |
|
Y = |
у2 |
, х = |
1 |
Х21 |
Х22 |
- Х2т |
, в = |
Ьі |
, е = |
е2 |
|
|
_Уп_ |
|
1 |
Х„1 |
Х„2 • |
V
пт _ |
|
_Ьт _ |
|
_еп_ |
Здесь Y - вектор-столбец размерности п наблюдений зависимой переменной Y; X - матрица размерности п х (ш + 1), в которой і-я строка (і = 1, 2, ... , п) представляет наблюдение вектора значений независимых переменных Хь Х2, ... , Хт; единица соответствует переменной при свободном члене Ьо; В - вектор-столбец размерности (ш + + 1) параметров уравнения регрессии (6.6); е - вектор-столбец размерности и отклонений выборочных (реальных) значений уі зависимой переменной Y от значений у;, получаемых по уравнению регрессии
Уі = bo + biXi + b2X2 + ... + bmXm. (6.12)
Нетрудно заметить, что функция Q = в матричной форме
і=і
представима как произведение вектор-строки е1 = ( еі, е2,..., еп) на вектор-столбец е. Вектор-столбец е, в свою очередь, может быть записан в следующем виде:
е = У-ХВ. (6.13)
Отсюда
Q = е е = (Y - ХВ)Т ( Y -ХВ) = YT Y -Вт Хт Y -YT ХВ +ВТ Хт ХВ =
= YTY-2BTXTY + BTXTXB (6.14)
Здесь ет, Вг, Хт, YT - векторы и матрицы, транспонированные к е, в, х, Y соответственно. При выводе формулы (6.14) мы воспользовались известными соотношениями линейной алгебры:
(Y - ХВ)Т = YT - (ХВ)Т; (ХВ)Т = ВГХТ; В1 Хт Y = YT ХВ. (6.15)
Эти соотношения легко проверить, записав поэлементно все матрицы и выполнив с ними нужные действия.
Необходимым условием экстремума функции Q является равен-
aQ к
ство нулю ее частных производных —- по всем параметрам bj,
0Q
ЭВ
j = 0, 1, ... ,ш. Покажем, что вектор-столбец
частных производ
ных в матричном виде имеет следующий вид:
(6.16)
— = -2XTY + 2(ХТ Х)В
ЭВ
Для упрощения изложения обозначим матрицу Хт X размерности (ш + 1) х (ш + 1) через Z. Тогда
|
|
f |
|
Л |
|
|
|
|
Z11 Z12 ••• Z1111+1 |
|
|
о
X) |
|
S = BZB = |
(Ьо, Ьj, ...,bm) |
Z21 Z22 ••• Z2 m+1 |
|
|
bi |
|
|
|
_Zm+l 1 Z m+12 ••• Z m+1 m+1 _ |
|
|
bm |
|
|
|
|
J |
|
f 111 111 111 ^
 |
|
bni |
Zb;Z1+1 j, Sb;Z1+1 2 ¦> ¦¦¦¦> IblZl+1 m+1
Vi=0 1=0 1=0 у
mm mm
= Zb, • IblZl+ll+1 = Z ZbjblZl+ll+1.
j=0 ' 1=0 ' j=0 1=0 '
as
Следовательно, частная производная-= 2 Z^Zj
i+ij+i •
аь;
i=0
as
В результате имеем —=2(ХТХ)В.
ав
Обозначим вектор-столбец ХТУ размерности (т +1) через R.
Тогда В1 ХТ Y = BTR = Z а ,г1+1, где ij+1 - соответствующий элемент
.і=о ' '
вектора R. Поэтому -= R = XTY.
ав
л Ал, „ ^(YTY) „
Y Y от В не зависит, и значит -= О.
д В
aQ
Следовательно, формула (6.16) справедлива. Приравняв - ну-
ав
лю, получим общую формулу (6.18) вычисления коэффициентов множественной линейной регрессии:
(6.17)
(6.18)
-2 XTY + 2(ХТ Х)В = 0 XTY = (Хт Х)В
В = (XTX)_1XTY. Здесь (ХТХ)_1 - матрица, обратная к ХТХ.
Полученные общие соотношения справедливы для уравнений регрессии с произвольным количеством m объясняющих переменных. Проанализируем полученные результаты для случаев m = 1, m = 2.
Для парной регрессии Y = bo + biX + e имеем:
|
|
|
е1 |
|
Уі |
|
1 Х1 |
|
е2 |
= |
у2 |
— |
1 х2 |
|
еп |
|
Уп |
|
1 хп |
bi |
(6.13) => e = Y-XB
|
|
|
|
|
|
'1 |
х1~ |
|
|
|
|
"1 1 . |
.. 1" |
|
1 |
Х2 |
|
11 |
ХхГ |
|
Xj х2 . |
|
|
1 |
х„. |
|
ІХ, |
Sxf_ |
Ixf
IXj |
z = xx
nZ xf-(Zx,)2 nlxf-dx,)2 ZXj n
"nSxf-CSx,)2 nZx2-(Ix,)2 |
|
R = X Y |
|
|
|
|
Уі |
|
|
1 |
1 ... г |
|
У2 |
|
" Ху. " |
|
*
ю
*
3
1_ |
|
|
|
_ХхіУі_ |
|
|
|
|
_Уп. |
|
|
|
Zxfly, |
ІХіХХіУі |
ПIXj -(Xxj) nlXj -(2ХД
¦ + ¦
nlxy, |
Тжгч-1
z~l=(xLxyl =
В = (XT X)_1XTY =
(6.18)
Ix.Iy,
nlxj -(Sxj) n?xj -(Xxj)"
|
ZxfZyi -ЕхіЕхіУі |
|
|
|
nXxf -(ІхД2 |
|
X)
1
|>>
1_ |
|
ь0 |
|
пХхіУі -ХхіХУі |
|
Ь1 |
|
_ьі_ |
|
nZxj -(ІХіД |
(4.13)
|
~Уі" |
|
'1 |
х1~ |
|
|
|
V |
|
У2 |
х = |
1 |
х2 |
, В = |
"ь0" |
, е = |
е2 |
|
Уз |
|
|
|
|
Л_ |
|
|
|
_У 4 _ |
|
1 |
х„. |
|
|
|
_еп_ |
Сравнивая диагональные элементы zl- матрицы Z 1 = (ХТХ) 1 с формулами (5.12), (5.13), замечаем, что S^ = S2 • z'--, j = 0, 1.
Рассуждая аналогично, можно вывести формулы (осуществление выкладок рекомендуем в качестве упражнения) определения коэффициентов регрессии для уравнения с двумя объясняющими переменными (ш = 2). Соотношение (6.17) в этом случае в расширенной форме имеет вид системы трех линейных уравнений с тремя неизвестными bo, bi, b2:
= nb0 + b1Ixll + Ь21хй,
\ Т.*пУі =b0Ixll+b1Ixf1+b2Ixllxl2 (6.19)
5
хі2Уі = b01 xl2 + Ъх I xnxl2 + b21X2, .
Решение данной системы имеет вид: b0 =У-Ь1х1 + Ь2х2,
ь = Дхн -XtXy - у) • Пх12 -Х2)2 - Z(xl2 -Х2)(у -у) • Их,! -Х1)(хі2 -х2)
Дхц — Xj)2Z(X;2 -Х2)2 -(Пхп -х1)(хі2 -х2))2
ь _ Z(Xj2 -х2)(у -y)-Z(x, | -Xt)2 -Я*п -Xi)(y -y)-Z(x,| -xt)(^2 -х2)
Н*П-X|)2Z(Xl2 -X2)2 -(Х(хп -У, Ху2 -Х2))2
6.3. Дисперсии и стандартные ошибки коэффициентов
Знание дисперсий и стандартных ошибок позволяет анализировать точность оценок, строить доверительные интервалы для теоретических коэффициентов, проверять соответствующие гипотезы.
Наиболее удобно формулы расчета данных характеристик приводить в матричной форме. Попутно заметим, что три первые предпосылки МНК в матричной форме будут иметь вид:
1°. М(8) = 0;
2°. D(s) = ст2І;
3°. К(8) = М(88Т) = сг2Е.
D0l) Уеіе2
|
|
|
|
"еі" |
|
"Г |
|
'1 |
0 |
... 0" |
|
Здесь s — |
е2 |
, І=[1]пх1 = |
1 |
, Е Е п х п |
0 |
1 |
... 0 |
|
|
_еп. |
|
1 |
|
0 |
0 |
0 1 |
У elen
У e2en |
К(е)
У e2ej D(e2)
D(e„)
Как показано выше, эмпирические коэффициенты множественной линейной регрессии определяются по формуле (6.18)
В = (ХТХ)_1ХТУ.
Подставляя теоретические значения Y = Хр + 8 в данное соотношение, имеем:
В = (ХТХ)_1ХТ(ХР + 8) = (ХТХ)_1(ХТХ)Р + (ХТХ)_1ХТ8 =
= р + (ХТХ)_1ХТ8.
Следовательно, р - В = (ХТХ)_1ХТ?.
Построим дисперсионно-ковариационную матрицу
К(р) = М((Р - В)( р - В)т) = М[((ХТХ) ¦1XTs)((XTX) ¦1xTs)T] =
= М(ХТ X) _1хт88т Х(ХТ X)"1.
В силу того, что X, не являются случайными величинами, имеем: К(Р) = (ХтХ)_1ХтМ(?8Т) Х(ХТХ)_1 = (ХтХ)“1х?еХ(ХтХ)“1 =
= ст2(Хт X)-1 =>

(6.21)
Напомним, что z- j-й диагональный элемент матрицы Z ! =
= (ХТХ)_1.
Поскольку истинное значение дисперсии а2 по выборке определить невозможно, оно заменяется соответствующей несмещенной оценкой
|
S2 |  |
(6.22)
где m - количество объясняющих переменных модели. Отметим, что иногда в формуле (6.22) знаменатель представляют в виде n - m - 1 = = 11 - к, подразумевая под к число параметров модели (подлежащих определению коэффициентов регрессии).
Следовательно, по выборке мы можем определить лишь выборочные дисперсии эмпирических коэффициентов регрессии:
(6.23)
S2 = S2 z',=
Как и в случае парной регрессии, S = Vs2" называется стандартной ошибкой регрессии. Sb = ^Sь. называется стандартной ошибкой коэффициента регрессии.
В частности, для уравнения Y = b0 + bjXj + Ь2Х2 с двумя объясняющими переменными дисперсии и стандартные ошибки коэффициентов вычисляются по следующим формулам:
1 | X1 Ij(xj2 X2) X2 ^ (Xi 1 Xl) 2xix2IXXii xl)(xi2 X2)
n KxH-Xi^Kx^-^^-^Xij-XjXx^-^))2
Sb =
Do
• s-
s2 -
I(xl2-x2)2
І(ХП -Xi)2I(xi2 -x2)2 -(I(Xll -Xl)(xl2 -x2))2
(6.24)
S2 =
1 IXхіі -Xj)2 •(! -r12)
Kxa-xO2
St =
•S2
І(Хц -XjfKx^ -x2)2 -(I(Xil -Xl)(xl2 -x2)):
s2
Sb2 Z(x,2-x2)2-(l-r2)
s„ = ,/s
Su =J s
’bn ’
Здесь Гі2 = rX[X2 - выборочный коэффициент корреляции между
объясняющими переменными Хі и Х2.
Ковариация между коэффициентами рассчитывается по формуле:
(6.25)
- Г12 ' S“
Cov(bi, b2) =
(l-r12)A/l(xll -Xl)2 ?(хй -x2)2
6.4. Интервальные оценки коэффициентов теоретического уравнения регрессии
По аналогии с парной регрессией (см. параграф 5.4) после определения точечных оценок bj коэффициентов P1 (j = 0, 1, ..., m) теоретического уравнения регрессии могут быть рассчитаны интервальные оценки указанных коэффициентов. Для построения интервальной оценки коэффициента Pj строится t-статистика
(6.26)
bj-Bj
имеющая распределение Стьюдента с числом степеней свободы ? =
= и - m - 1 (и - объем выборки, m - количество объясняющих переменных в модели).
Пусть необходимо построить 100(1 - а)%-ный доверительный интервал для коэффициента Р,. Тогда по таблице критических точек распределения Стьюдента по требуемому уровню значимости а и числу степеней свободы ? находят критическую точку t6
—, 11-rn-i 2
удовлетворяющую условию
Р( 111 < t6 ) = P(-t6 6 )=l-a. (6.27)
—, n-iii-i —, n-iii-i —, n-iii-i
2 2 2
Подставляя (6.26) в (6.27), получаем
p(-t6 < Vi<te )=і-б,
— n-m-1 V — n-m-1
2 °b, 2
или после преобразования
P( ь, - t
(6.28)
6 ,A, < Bj < b,+ t6 -sb ) = l-6.
— ,11-111-1 1 — ,11-111-1 1 2 2
Напомним, что Sb рассчитывается по формуле
Sef
1=1
(6.29)
Sk = S • JZ'; =
Таким образом, доверительный интервал, накрывающий с надежностью (1 - а) неизвестное значение параметра Pj, определяется неравенством
< BJ < b, + t6
2
(6.30)



n-m-1
He вдаваясь в детали, отметим, что по аналогии с парной регрессией (см. раздел 5.5) может быть построена интервальная оценка для среднего значения предсказания:
Vt6 ' S(Y ) < M(Y Хр) < Y +16
—,n-m-l r r r —n_m_l
2 2
.py ,.p . 1 S( Y ). (6.31)
—,n-m- 1 2
В матричной форме это неравенство имеет вид:
%-и
—,n-m-1
• syXp (хтх)_1 Хр < м(^ Хр) < Yp +1Q ^
2’П m
•SA/XpT(XTX)-1Xp
(6.32)
6.5. Анализ качества эмпирического уравнения множественной линейной регрессии
Построение эмпирического уравнения регрессии является начальным этапом эконометрического анализа. Первое же построенное по выборке уравнение регрессии очень редко является удовлетворительным по тем или иным характеристикам. Поэтому следующей важнейшей задачей эконометрического анализа является проверка качества уравнения регрессии. В эконометрике принята устоявшаяся схема такой проверки (по крайней мере, на начальной стадии). Это нашло отражение практически во всех современных эконометрических пакетах.
Проверка статистического качества оцененного уравнения рег-рес- сии проводится по следующим направлениям:
• проверка статистической значимости коэффициентов уравнения регрессии;
• проверка общего качества уравнения регрессии;
• проверка свойств данных, выполнимость которых предполагалась при оценивании уравнения (проверка выполнимости предпосылок МНК).
6.6. Проверка статистической значимости коэффициентов уравнения регрессии
Как и в случае парной регрессии (см. раздел 5.3, формула (5.16)), статистическая значимость коэффициентов множественной линейной регрессии с m объясняющими переменными проверяется на основе t-статистики:

имеющей в данной ситуации распределение Стьюдента с числом степеней свободы ? = п- ш-1(п- объем выборки). При требуемом уровне значимости а наблюдаемое значение t-статистики сравнивается с критической точкой t6 распределения Стьюдента.
—, n—m—1 2
Если 111 > t б , то коэффициент Ь, считается статистически
—, п-111-1 2
значимым.
В противном случае (111 < t6 ) коэффициент b, считается
—, п-111-1 2
статистически незначимым (статистически близким к нулю). Это означает, что фактор Xj фактически линейно не связан с зависимой переменной Y. Его наличие среди объясняющих переменных не оправдано со статистической точки зрения. Не оказывая сколь-нибудь серьезного влияния на зависимую переменную, он лишь искажает реальную картину взаимосвязи. Поэтому после установления того факта, что коэффициент Ь, статистически незначим, рекомендуется исключить из уравнения регрессии переменную Xj. Это не приведет к существенной потере качества модели, но сделает ее более конкретной.
Зачастую строгая проверка значимости коэффициентов заменяется простым сравнительным анализом.
• Если 111 < 1 ( bj < Sb ), то коэффициент статистически незначим.
• Если 1 < 111 < 2 ( b, < 2 Sb ), то коэффициент относительно значим.
В данном случае рекомендуется воспользоваться таблицами.
• Если 2 < 111 < 3, то коэффициент значим. Это утверждение является гарантированным при числе степеней ?>20и а >0.05 (см. таблицу критических точек распределения Стьюдента).
• Если 111 > 3, то коэффициент считается сильно значимым. Вероятность ошибки в данном случае при достаточном числе наблюдений не превосходит 0.001.
6.7. Проверка общего качества уравнения регрессии
После проверки значимости каждого коэффициента регрессии обычно проверяется общее качество уравнения регрессии. Для этой цели, как и в случае парной регрессии, используется коэффициент детерминации R2, который в общем случае рассчитывается по формуле:

R2
(6.34)
Ку,-у)2'
Суть данного коэффициента как доли общего разброса значений зависимой переменной Y, объясненного уравнением регрессии, подробно рассмотрена в разделе 5.6. Как отмечалось, в общем случае О < R2 < 1. Чем ближе этот коэффициент к единице, тем больше уравнение регрессии объясняет поведение Y. Поэтому естественно желание построить регрессию с наибольшим R2.
Для множественной регрессии коэффициент детерминации является неубывающей функцией числа объясняющих переменных. Добавление новой объясняющей переменной никогда не уменьшает значение R2. Действительно, каждая следующая объясняющая переменная может лишь дополнить, но никак не сократить информацию, объясняющую поведение зависимой переменной. Это уменьшает (в худшем случае не увеличивает) область неопределенности в поведении Y.
Иногда при расчете коэффициента детерминации для получения несмещенных оценок в числителе и знаменателе вычитаемой из единицы дроби делается поправка на число степеней свободы. Вводится так называемый скорректированный (исправленный) коэффициент детерминации'.
(6.35)
|Г2=1 Іе2/(п-ш-1)
Ку,-у)2/(п-1)'
_^ 2
Можно заметить, что Ку,-у) /(п-1) является несмещенной
оценкой общей дисперсии - дисперсии отклонений значений переменной Y от у. При этом число ее степеней свободы равно (n -1). Одна степень свободы теряется при вычислении у.
Хе2/(н-ш-1) является несмещенной оценкой остаточной дисперсии - дисперсии случайных отклонений (отклонений точек наблюдений от линии регрессии). Ее число степеней свободы равно (п-ш-1). Потеря (ш + 1) степени свободы связана с необходимостью решения системы (m +1) линейного уравнения при определении коэффициентов эмпирического уравнения регрессии. Попутно заметим, что несмещенная оценка объясненной дисперсии (дисперсии отклонений точек на линии регрессии от у) имеет число степеней свободы, равное разности степеней свободы общей дисперсии и остаточной дисперсии: (и - 1) - (п - іи - 1) = 111.
Соотношение (6.35) может быть представлено в следующем виде:
R2=l-(1-R2) 11-1 . (6.36)
11 - in -1
Из (6.36) очевидно, что R2 < R2 для m > 1. С ростом значения m скорректированный коэффициент детерминации R2 растет медленнее, чем (обычный) коэффициент детерминации R2. Другими словами, он корректируется в сторону уменьшения с ростом числа объясняющих переменных. Нетрудно заметить, что R2 =R2 только при R2 = 1. R2 может принимать отрицательные значения (например, при R2 = 0).
Доказано, что R2 увеличивается при добавлении новой объясняющей переменной тогда и только тогда, когда t-статистика для этой переменной по модулю больше единицы. Поэтому добавление в модель новых объясняющих переменных осуществляется до тех пор, пока растет скорректированный коэффициент детерминации.
Обычно в эконометрических пакетах приводятся данные как по R2, так и по R2, являющиеся суммарными мерами общего качества уравнения регрессии. Однако не следует абсолютизировать значимость коэффициентов детерминации. Существует достаточно примеров неправильно специфицированных моделей, имеющих высокие коэффициенты детерминации (обсудим данную ситуацию позже). Поэтому коэффициент детерминации в настоящее время рассматривается лишь как один из ряда показателей, который нужно проанализировать, чтобы уточнить строящуюся модель.
6.7.1. Анализ статистической значимости коэффициента детерминации
После оценки индивидуальной статистической значимости каждого из коэффициентов регрессии обычно анализируется совокупная значимость коэффициентов. Такой анализ осуществляется на основе проверки гипотезы об общей значимости - гипотезы об одновременном равенстве нулю всех коэффициентов регрессии при объясняющих переменных:
Но: Pi = Р2 = • • • = Pm = 0.
Если данная гипотеза не отклоняется, то делается вывод о том, что совокупное влияние всех ш объясняющих переменных Xi, Х2, ..., Xm модели на зависимую переменную Y можно считать статистически несущественным, а общее качество уравнения регрессии - невысоким.
Проверка данной гипотезы осуществляется на основе дисперсионного анализа - сравнения объясненной и остаточной дисперсий.
Н0: (объясненная дисперсия) = (остаточная дисперсия),
Ну (объясненная дисперсия) > (остаточная дисперсия).
Для этого строится F-статистика:
F _ Ik?/m _ І(Уі-у)2/т „ 3?)
?ef/(n-m-l) 1(у;-у;)2/(п-т-1) ’
где Xkf/m - объясненная дисперсия; Xef/(n-m-l) _ остаточная дисперсия. При выполнении предпосылок МНК построенная F-статистика имеет распределение Фишера с числами степеней свободы ?і = = m, v2 = n - m - 1. Поэтому, если при требуемом уровне значимости а Fнабл. > FKp = Fa;m;n_m_i (где Fa;m;n_m_i - критическая точка распределения Фишера), то Но отклоняется в пользу Hi. Это означает, что объясненная дисперсия существенно больше остаточной дисперсии, а следовательно, уравнение регрессии достаточно качественно отражает динамику изменения зависимой переменной Y. Если FHa&I < FKp =
= Fa;m;n_m_i, то нет оснований для отклонения Но Значит, объясненная дисперсия соизмерима с дисперсией, вызванной случайными факторами. Это дает основания считать, что совокупное влияние объясняющих переменных модели несущественно, а следовательно, общее качество модели невысоко.
Однако на практике чаще вместо указанной гипотезы проверяют тесно связанную с ней гипотезу о статистической значимости коэффициента детерминации R2:
Н0: R2 = 0,
Н0: R2 > 0.
Для проверки данной гипотезы используется следующая F-статистика:
R2 n - m -1 1 - R2 m
(6.38)
Величина F при выполнении предпосылок MHK и при справедливости Но имеет распределение Фишера аналогичное F-статистике
(6.37) . Действительно, разделив числитель и знаменатель дроби в
(6.37) на общую сумму квадратов отклонений ?(Уі - у)2 , мы получим
(6.38) :
Р _ Zkf/ІХУі - у)2 (и-т-1) = R2 11 - іи -1 ~Іе?/І(Уі-у)2 ' in 1-R2 m
Из (6.38) очевидно, что показатели F и R2 равны или не равны нулю одновременно. Если F = 0, то R2 = 0, и линия регрессии Y = у является наилучшей по МНК, и, следовательно, величина Y линейно не зависит от Хі, Хг, ..., Хт. Для проверки нулевой гипотезы Но: F= О при заданном уровне значимости а по таблицам критических точек распределения Фишера находится критическое значение FKp = Fгг пт—m—1. Нулевая гипотеза отклоняется, если F > FKp. Это равносильно тому, что R2 > 0, т. е. R2 статистически значим.
Анализ статистики F позволяет сделать вывод о том, что для принятия гипотезы об одновременном равенстве нулю всех коэффициентов линейной регрессии, коэффициент детерминации R2 не должен существенно отличаться от нуля. Его критическое значение уменьшается при росте числа наблюдений и может стать сколь угодно малым.
Пусть, например, при оценке регрессии с двумя объясняющими переменны-2 0.65 30-2-1
ми по 30 наблюдениям R = 0.65. Тогда F =---« 25.07. По таблицам
0.35 2
критических точек распределения Фишера найдем Fo 05;2;27 = 3.36; Fo,oi;2;27 = =
5.49. Поскольку FHa6n = 25.07 > FKpiIT как при 5%, так и при 1% уровне значимо-
^ 2
сти, то нулевая гипотеза в обоих случаях отклоняется. Если в той же ситуации R 0.4 27
= 0.4, то F =---= 9 . Предположение о незначимости связи отвергается и
0.6 2
здесь.
Отметим, что в случае парной регрессии проверка нулевой гипотезы для F-статистики равносильна проверке нулевой гипотезы для
г -л/п-2 t-статистики t = —-г—
1-4
коэффициента корреляции (см. раздел
3.5.6). В этом случае F-статистика равна квадрату t-статистики. Самостоятельную важность коэффициент R2 приобретает в случае множественной линейной регрессии.
6.7.2. Проверка равенства двух коэффициентов детерминации
Другим важным направлением использования статистики Фишера является проверка гипотезы о равенстве нулю не всех коэффициентов регрессии одновременно, а только некоторой части этих коэффициентов. Данное использование статистики F позволяет оценить обоснованность исключения или добавления в уравнение регрессии некоторых наборов объясняющих переменных, что особенно важно при совершенствовании линейной регрессионной модели.
Пусть первоначально построенное по п наблюдениям уравнение регрессии имеет вид
Y = Ьо + ЬіХі + Ь2Х2 + ... + bm_kXm_k + ... + bmXm, (6.39)
и коэффициент детерминации для этой модели равен R2. Исключим из рассмотрения к объясняющих переменных (не нарушая общности, положим, что это будут к последних переменных). По первоначальным п наблюдениям для оставшихся факторов построим другое уравнение регрессии:
Y = Со + СіХі + СгХ2 + ... + cm.kXm.k, (6.40)
для которого коэффициент детерминации равен R^. Очевидно,
Ro
(6.41)
Rf - R2 11 - m -1 1 - R“ k
В случае справедливости Но приведенная статистика F имеет распределение Фишера с числами степеней свободы Vi = k , ?2 = п - ш - 1. Действительно, соотношение (6.41) может быть переписано в виде
(6.42)
(Rl-RoVk
(l-R2 )/(n-m-l)
Здесь (R2 - Rt) - потеря качества уравнения в результате отбрасывания к объясняющих переменных; к - число дополнительно появившихся степеней свободы; (1 - R2 )/(n - m -1) - необъясненная дисперсия первоначального уравнения. Следовательно, мы попадаем в ситуацию аналогичную (6.37).
По таблицам критических точек распределения Фишера находят FKp = Fa;m;n_m_i (a - требуемый уровень значимости). Если рассчитанное значение FHa&I статистики (6.41) превосходит FKp, то нулевая гипотеза о равенстве коэффициентов детерминации (фактически об одновременном равенстве нулю отброшенных к коэффициентов регрессии) должна быть отклонена. В этом случае одновременное исключение из рассмотрения к объясняющих переменных некорректно, так
как Ry существенно превышаетRy. Это означает, что общее качество первоначального уравнения регрессии существенно лучше качества уравнения регрессии с отброшенными переменными, так как оно объясняет гораздо большую долю разброса зависимой переменной. Если же, наоборот, наблюдаемая F-статистика невелика (т. е. меньше, чем FKp), то это означает, что разность Ry- R^ незначительна. Следова
тельно, можно сделать вывод, что в этом случае одновременное отбрасывание к объясняющих переменных не привело к существенному ухудшению общего качества уравнения регрессии, и оно вполне допустимо.
Аналогичные рассуждения могут быть использованы и по поводу обоснованности включения новых к объясняющих переменных. В этом случае рассчитывается F-статистика
°~ш~1. (6.43)
F= Rj-Rf
l-R; к
Если она превышает критическое значение FKp, то включение новых переменных объясняет существенную часть необъясненной ранее дисперсии зависимой переменной. Поэтому такое добавление оправдано. Однако отметим, что добавлять переменные целесообразно, как правило, по одной. Кроме того, при добавлении объясняющих переменных в уравнение регрессии логично использовать скорректированный коэффициент детерминации (6.35), т. к. обычный R2 всегда растет при добавлении новой переменной; а в скорректированном R2 одновременно растет величина ш, уменьшающая его.
Если увеличение доли объясненной дисперсии при добавлении новой переменной незначительно, то R2 может уменьшиться. В этом случае добавление указанной переменной нецелесообразно.
Заметим, что для сравнения качества двух уравнений регрессии по коэффициенту детерминации R2 обязательным является требование, чтобы зависимая переменная была представлена в одной и той же форме, и число наблюдений п для обеих моделей было одинаковым.
Например, пусть один и тот же показатель Y моделируется двумя уравнениями:
линейным Y = Ро + РіХі + Р2Х2 + s и
лог-линейным I11Y = р0 + Р1Х1 + р2Х2 + s.
Тогда их коэффициенты детерминации R2 и R2 рассчитываются по формулам:
R? = 1--^е‘ 2 и R2 = 1--_, .
І(У, - У) ~ І(1пУі - In У)
Так как знаменатели дробей в приведенных соотношениях различны, то прямое сравнение коэффициентов детерминации в этом случае будет некорректным.
6.7.3. Проверка гипотезы о совпадении уравнений регрессии для двух выборок
Еще одним направлением использования F-статистики является проверка гипотезы о совпадении уравнений регрессии для отдельных групп наблюдений. Одним из распространенных тестов проверки данной гипотезы является тест Чоу, суть которого состоит в следующем.
Пусть имеются две выборки объемами щ и п2 соответственно.
Для каждой из этих выборок оценено уравнение регрессии вида:
Y = bok + bikXi + b2kX2 + ... + ЬщкХщ + ek, k=l,2. (6.44)
Проверяется нулевая гипотеза о равенстве друг другу соответствующих коэффициентов регрессии
Н0: bji = bj2, j = 0, 1,..., m.
Другими словами, будет ли уравнение регрессии одним и тем же для обеих выборок?
Пусть суммы Yj е* (к = 1,2) квадратов отклонений значений у,
1
от линий регрессии равны Si и S2 соответственно для первого и второго уравнений регрессии.
Пусть по объединенной выборке объема (ііі + 112) оценено еще одно уравнение регрессии, для которого сумма квадратов отклонений У! от уравнения регрессии равна So.
Для проверки Но в этом случае строится следующая F-статистика:
S, - S2 lij + n2 - 2m - 2
F=S«
(6.45)
111 +1
Sj + S2
В случае справедливости H0 построенная F-статистика имеет распределение Фишера с числами степеней свободы Vi = m + 1; V2 = щ + + n2 - 2 m - 2 .
Очевидно, F-статистика близка к нулю, если So « Si + S2 , и это фактически означает, что уравнения регрессии для обеих выборок практически одинаковы. В этом случае F < FKpHT=F6. . Если же F >
> Fкрит.5 то нулевая гипотеза отклоняется. Приведенные выше рассуждения особенно важны для ответа на вопрос, можно ли за весь рассматриваемый период времени построить единое уравнение регрессии (рис. 6.1, а), или же нужно разбить временной интервал на части и на каждой из них строить свое уравнение регрессии (рис. 6.1, б).

 |
Рис. 6.1
Некоторые причины необходимости использования различных уравнений регрессии для описания изменения одной и той же зависимой переменной на различных временных интервалах будут анализи- |
роваться ниже при рассмотрении фиктивных переменных и временных рядов.
6.8. Проверка выполнимости предпосылок МНК.
Статистика Дарбина-Уотсона
Статистическая значимость коэффициентов регрессии и близкое к единице значение коэффициента детерминации R2 не гарантируют высокое качество уравнения регрессии. Для иллюстрации этого факта весьма нагляден пример из [3], в котором анализируется зависимость реального объема потребления CONS (млрд долл. 1982) от численности населения POP (млн чел.) в США 1931-1990 гг. Корреляционное поле статистических данных изображено на рис. 6.2.
 |
Рис. 6.2
Линейное уравнение регрессии, построенное по МНК по реальным статистическим данным, имеет вид: |
CONS = -1817.3 + 16.7РОР.
Стандартные ошибки коэффициентов Sb = 84.7, Sb = 0.46. Следовательно, их t-статистики tb = -21.4 , tb = 36.8. Эти значения существенно превышают 3, что свидетельствует о статистической значимости коэффициентов. Коэффициент детерминации R2 = 0.96 (т. е. уравнение “объясняет” 96% дисперсии объема потребления). Однако по расположению точек на корреляционном поле видно, что зависимость между POP и CONS явно не является линейной, а будет скорее экспоненциальной. Для качественного прогноза уровня потребления линейная функция, безусловно, не может быть использована. За рассматриваемый период времени население США росло почти линейно (с постоянными годовыми приростами), а объем потребления - по экспоненте (с почти постоянными темпами прироста), т. е. за рассматриваемый период существенно выросло потребление на душу населения.
Таким образом, при весьма хороших значениях t-статистик и F-статистики предложенное уравнение регрессии не может быть признано удовлетворительным (отметим, что R2 = 0.96, скорее всего, в силу того, что и CONS и POP имели временный тренд). Можно ли определить причину этого?
Нетрудно заметить, что в данном случае не выполняются необходимые предпосылки МНК об отклонениях s, точек наблюдений от линии регрессии (см. параграф 6.1). Эти отклонения явно не обладают постоянной дисперсией и не являются взаимно независимыми. Нарушение необходимых предпосылок делает неточными полученные оценки коэффициентов регрессии, увеличивая их стандартные ошибки, и обычно свидетельствует о неверной спецификации самого уравнения. Поэтому следующим этапом проверки качества уравнения регрессии является проверка выполнимости предпосылок МНК. Причины невыполнимости этих предпосылок, их последствия и методы корректировки будут подробно рассмотрены в последующих главах. В данном разделе мы лишь обозначим эти проблемы, а также обсудим весьма популярную в регрессионном анализе статистику Дарбина-Уотсона.
Оценивая линейное уравнение регрессии, мы предполагаем, что реальная взаимосвязь переменных линейна, а отклонения от регрессионной прямой являются случайными, независимыми друг от друга величинами с нулевым математическим ожиданием и постоянной дисперсией. Если эти предположения не выполняются, то оценки коэффициентов регрессии не обладают свойствами несмещенности, эффективности и состоятельности, и анализ их значимости будет неточным.
Причинами, по которым отклонения не обладают перечисленными выше свойствами, могут быть либо нелинейный характер зависимости между рассматриваемыми переменными, либо наличие неучтенного в уравнении существенного фактора. Действительно, при нелинейной зависимости между переменными (рис. 6.2) отклонения от прямой регрессии не случайно распределены вокруг нее, а обладают определенными закономерностями, которые зачастую выражаются в существенном преобладании числа пар соседних отклонений Ем и s, с совпадающими знаками над числом пар с противоположными знаками. Отсутствие в уравнении регрессии какого-либо существенного фактора может также служить причиной устойчивых отклонений зависимой переменной от линии регрессии в ту или иную сторону. Добиться выполнимости предпосылок МНК в этих ситуациях можно либо путем оценивания какой-то другой нелинейной формулы, либо включением в уравнение регрессии новой объясняющей переменной. Это позволит реалистичнее отразить поведение зависимой переменной.
При статистическом анализе уравнения регрессии на начальном этапе чаще других проверяют выполнимость одной предпосылки, а именно, условия статистической независимости отклонений между собой. Поскольку значения s, теоретического уравнения регрессии Y = Ро + РіХ + s остаются неизвестными ввиду неопределенности истинных значений коэффициентов регрессии, то проверяется статистическая независимость их оценок - отклонений е„ і = 1, 2, ..., п. При этом обычно проверяется их некоррелированность, являющаяся необходимым, но недостаточным условием независимости. Причем проверяется некоррелированность не любых, а только соседних величин еь Соседними обычно считаются соседние во времени (при рассмотрении временных рядов) или по возрастанию объясняющей переменной X (в случае перекрестной выборки) значения еь Для этих величин несложно рассчитать коэффициент корреляции, называемый в этом случае коэффициентом автокорреляции первого порядка,
|
Х(е,-М(е,))(е1_І^М(еы)) = Хе, е,^ ^ ^ |
 |
При этом учитывается, что М(е,) = 0, і = 1, 2, ..., п.
На практике для анализа коррелированности отклонений вместо коэффициента корреляции используют тесно с ним связанную статистику Дарбина-Уотсона DW, рассчитываемую по формуле:
(6.47)
DW = ^ е2-^
Хе,2
|
Действительно, |
 |
Здесь сделано допущение, что при больших и выполняется соотношение: Zef ~ Іе?_і .
Тогда
2(Xef-Xe1e1_1)
Sef
= 2(1-W,)-
DW
(6.48)
Нетрудно заметить, что если е, = е,_], то ге е = 1 и DW = 0.
Если еі = -е,, то ге е = -1, и DW = 4. Во всех других случаях 0 < DW < 4 .
К этому же результату можно подойти с другой стороны. Если каждое следующее отклонение е, приблизительно равно предыдущему еьі, то каждое слагаемое (е, - ем) в числителе дроби (6.47) близко нулю. Тогда, очевидно, числитель дроби (6.47) будет существенно меньше знаменателя и, следовательно, статистика DW окажется близкой к нулю. Например, для зависимости CONS и POP (рис. 6.2) DW = = 0.045, что очень близко к нулю и подтверждает наличие положительной автокорреляции остатков первого порядка (линейной зависимости между остатками).
В другом крайнем случае, когда точки наблюдений поочередно отклоняются в разные стороны от линии регрессии ( е, « -ем ),
_S(2ei)2 =4Sei
еі - ем * 2еі и DW
= 4. Это случай отрицательной
Xе,
автокорреляции остатков первого порядка.
При случайном поведении отклонений можно предположить, что в одной половине случаев знаки последовательных отклонений совпадают, а в другой - противоположны. Так как абсолютная величина отклонений в среднем предполагается одинаковой, то можно считать, что в половине случаев е, « ем, а в другой е, * -ем • Тогда
sWe,)2
М
lef
2.
= 0.5-4
DW
Sef
Таким образом, необходимым условием независимости случайных отклонений является близость к двойке значения статистики Дар-бина-Уотсона.
Тогда, если DW* 2, мы считаем отклонения от регрессии случайными (хотя они в действительности могут и не быть таковыми). Это означает, что построенная линейная регрессия, вероятно, отражает реальную зависимость. Скорее всего, не осталось неучтенных существенных факторов, влияющих на зависимую переменную. Какая-либо другая нелинейная формула не превосходит по статистическим характеристикам предложенную линейную. В этом случае, даже когда R2 невелико, вполне вероятно, что необъясненная дисперсия вызвана влиянием на зависимую переменную большого числа различных факторов, индивидуально слабо влияющих на исследуемую переменную, и может быть описана как случайная нормальная ошибка.
Возникает вопрос, какие значения DW можно считать статистически близкими к двум?
Для ответа на этот вопрос разработаны специальные таблицы (приложение 6) критических точек статистики Дарбина-Уотсона, позволяющие при данном числе наблюдений п, количестве объясняющих переменных ш и заданном уровне значимости а определять границы приемлемости (критические точки) наблюдаемой статистики DW.
Для заданных а, и, ш в таблице (приложение 6) указываются два числа: Д - нижняя граница и du - верхняя граница. Для проверки гипотезы об отсутствии автокорреляции остатков используется следующий отрезок.
 |
автокорреляция
неопределенности
автокорреляция
Рис. 6.3 |
Выводы осуществляются по следующей схеме.
Если DW < Д , то это свидетельствует о положительной автокорреляции остатков.
Если DW > 4 - di, то это свидетельствует об отрицательной автокорреляции остатков.
При du < DW < 4 - du гипотеза об отсутствии автокорреляции остатков принимается.
Если di < DW < du или 4 - du < DW < 4— di, то гипотеза об отсутствии автокорреляции не может быть ни принята, ни отклонена.
Не обращаясь к таблице критических точек Дарбина-Уотсона, можно пользоваться “грубым” правилом и считать, что автокорреляция остатков отсутствует, если 1.5 < DW < 2.5. Для более надежного вывода целесообразно обращаться к таблицам.
При наличии автокорреляции остатков полученное уравнение регрессии обычно считается неудовлетворительным.
В рассмотренном выше примере зависимости реального потребления от численности населения введение новой объясняющей переменной DINC - располагаемого дохода - позволяет существенно увеличить статистику DW. В этом случае переменная POP становится незначимой (ее t-статистика равна 0.16) и ее целесообразно исключить из рассмотрения. Высокий уровень R2 в первоначальном уравнении объяснялся не тем, что динамика численности населения определяла динамику объема реального потребления, а тем, что обе эти переменные имели выраженную тенденцию (тренд) возрастания в рассматриваемый период.
Подробно проблема автокорреляции и другие свойства отклонений рассматриваются в главе 9.
Конечно, статистический анализ построенной регрессии является достаточно сложным и многоступенчатым процессом, имеющим определенную специфику в каждом конкретном случае. Однако базовыми пунктами такого анализа, отраженными во всех эконометрических пакетах, являются описанные в данной главе проверка статистической значимости коэффициентов регрессии и коэффициента детерминации, анализ статистики Дарбина-Уотсона.
Пример 6.1. Анализируется объем S сбережений некого домохозяйства за 10 лет. Предполагается, что его размер St в текущем году t зависит от величины
yt-і располагаемого дохода Y в предыдущем году и от величины ц реальной процентной ставки R в рассматриваемом году. Статистические данные представлены в табл. 6.1.
|
Таблица 6.1 |
|
|
|
Год |
80 |
81 |
82 |
83 |
84 |
85 |
86 |
87 |
88 |
89 |
90 |
|
У(тыс. у.е.) |
100 |
ПО |
140 |
150 |
160 |
160 |
180 |
200 |
230 |
250 |
260 |
|
Z(%) |
2 |
2 |
3 |
2 |
3 |
4 |
4 |
3 |
4 |
5 |
5 |
|
S(Tbic. у.е.) |
20 |
25 |
30 |
30 |
35 |
38 |
40 |
38 |
44 |
50 |
55 |
Необходимо:
а) по МНК оценить коэффициенты линейной регрессии S = Ро + PiY + P2Z;
б) оценить статистическую значимость найденных эмпирических коэффициентов регрессии t>o, Ьц Ьг;
в) построить 95%-ные доверительные интервалы для найденных коэффициентов;
2
г) вычислить коэффициент детерминации R и оценить его статистическую значимость при а = 0.05;
д) определить, какой процент разброса зависимой переменной объясняется данной регрессией;
2
е) сравнить коэффициент детерминации R со скорректированным коэффи-циентом детерминации R ;
ж) вычислить статистику DW Дарбина-Уотсона и оценить наличие автокорреляции;
з) сделать выводы по качеству построенной модели;
и) оценить предельную склонность MPS к сбережению, существенно ли она отличается от 0.5;
к) увеличивается или уменьшается объем сбережений с ростом процентной ставки; будет ли ответ статистически обоснованным;
л) спрогнозируйте средний объем сбережений в 1991 г., если предполагаемый доход составит 270 тыс. у. е., а процентная ставка будет равна 5.5.
|
а) Для наглядности изложения приведем таблицы промежуточных вычислений: |
|
|
|
Год |
Y |
Z |
S |
Y2 |
Z2 |
YZ |
YS |
ZS |
|
80 |
100 |
2 |
20 |
10000 |
4 |
200 |
2000 |
40 |
|
81 |
ПО |
2 |
25 |
12100 |
4 |
220 |
2750 |
50 |
|
82 |
140 |
3 |
30 |
19600 |
9 |
420 |
4200 |
90 |
|
83 |
150 |
2 |
30 |
22500 |
4 |
300 |
4500 |
60 |
|
84 |
160 |
3 |
35 |
25600 |
9 |
480 |
5600 |
105 |
|
85 |
160 |
4 |
38 |
25600 |
16 |
640 |
6080 |
152 |
|
86 |
180 |
4 |
40 |
32400 |
16 |
720 |
7200 |
160 |
|
87 |
200 |
3 |
38 |
40000 |
9 |
600 |
7600 |
114 |
|
88 |
230 |
4 |
44 |
52900 |
16 |
920 |
10120 |
176 |
|
89 |
250 |
5 |
50 |
62500 |
25 |
1250 |
12500 |
250 |
|
90 |
260 |
5 |
55 |
67600 |
25 |
1300 |
14300 |
275 |
|
Сумма |
1940 |
37 |
405 |
370800 |
137 |
7050 |
76850 |
1472 |
|
Среднее |
176.3636 |
3.3636 |
36.8182 |
33709.0909 |
12.4546 |
640.9091 |
6986.3636 |
133.8182 |
|
Ку, -у)2 |
Е(л -z)2 |
H^-s)2 |
IN"
1
1
И |
Х(Уі - y)(si -s) |
?(Zi -z)(Si -s) |
|
28654.55 |
12.5455 |
1087.636 |
524.5451 |
5422.727 |
109.7272 |
Ьо = 2.9619423
Ьі = 0.124189
b2 = 3.553841
Таким образом, эмпирическое уравнение регрессии имеет вид:
st =2.9619423 + 0.124189- yt + 3.553841-zt.
пе
Найденное уравнение позволяет рассчитать модельные значения st зависимой
семенной S и вычислить отклонения gj реальных значений от модельных: |
|
|
|
Год |
S |
S |
еі |
2
е
1 |
еі Сі-і |
(еі - ем)2 |
|
80 |
20 |
22.48852 |
-2.48852 |
6.19273 |
- |
- |
|
81 |
25 |
23.73041 |
1.269594 |
1.61187 |
3.75811 |
14.12339 |
|
82 |
30 |
31.00991 |
-1.00991 |
1.01992 |
-2.27950 |
5.19612 |
|
83 |
30 |
28.69796 |
1.30204 |
1.69523 |
2.31194 |
5.34507 |
|
84 |
35 |
33.49369 |
1.50631 |
2.26896 |
0.20427 |
0.04173 |
|
85 |
38 |
37.04753 |
0.95247 |
0.90719 |
-0.55384 |
0.30674 |
|
86 |
40 |
39.53131 |
0.46869 |
0.21967 |
-0.48378 |
0.23404 |
|
87 |
38 |
38.46125 |
-0.46125 |
0.21275 |
-0.92994 |
0.86479 |
|
88 |
44 |
45.74076 |
-1.74076 |
3.03024 |
-1.27951 |
1.63714 |
|
89 |
50 |
51.77838 |
-1.77838 |
3.16263 |
-0.03762 |
0.00141 |
|
90 |
55 |
53.02027 |
1.97973 |
3.91933 |
3.75811 |
14.12332 |
|
Сумма |
405 |
405 |
« 0 |
24.24058 |
- |
41.87375 |
|
Среднее |
36.81818 |
36.81818 |
- |
- |
- |
- |
б) Проанализируем статистическую значимость коэффициентов регрессии, предварительно рассчитав их стандартные ошибки по формулам (6.24). Попутно заметим, что дисперсия регрессии вычисляется по формуле (6.22):
2
Ее,
24.24058
S2 =
= 3.03.
и - ш - 1 8
Тогда стандартная ошибка регрессии S = 1.7407.
Следовательно, дисперсии и стандартные ошибки коэффициентов равны:
I 31104.119-12.54545 + 11.314- 28654.55 - 2 • 176.3636 • 3.3636 • 524.5451
— +-
II
Su =
•3.03= 3.5832;
28654.55 • 12.54545 - 275147.56 12.54545
Sb = -
1 28654.55-12.54545-275147.56
3.03 = 0.00045;
28654.55
Su =
•3.03 = 1.0294.
28654.55 • 12.54545 - 275147.56
Sb2 =1.0146.
Sbo = 1.8929; Sbj =0.0212;
Рассчитаем по формуле (6.33) соответствующие t-статистики:
tb = 1.565; tb[ = 5.858; tb = 3.503.
На первый взгляд (используя “грубое” правило) только статистическая значимость свободного члена вызывает сомнения. Два других коэффициента имеют t-статистики, превышающие тройку, что является признаком их высокой статистической значимости. Однако убедимся в таком выводе на основе более детального
анализа. Для использования таблиц критических точек необходимо выбрать требуемый уровень значимости. Обычно это прерогатива исследователя. Часто требуемая точность анализа определяется субъектами, для которых этот анализ осуществляется. В нашем примере мы возьмем в качестве уровней значимости самые популярные в экономическом анализе значения: ос = 0.05; а = 0.01. Тогда для определения статистической значимости коэффициентов по таблице критических точек распределения Стьюдента (приложение 2) определяются соответствующие КрИТИЧеСКИе ТОЧКИ tKp = t g : to.025;8 = 2.306, to.005; 8 = 3.355.
—. n — m — 1
2
Таким образом, |tb | > tKp., |tb I > tKp. при обоих уровнях значимости. Следовательно, оба этих коэффициента статистически значимы, а значит, переменные Y и
< tKp, то bo статисти
R имеют существенное линейное влияние на S. Так как
чески незначим (значимость свободного члена невысока), и он на данном этапе может не использоваться в модели. Однако наличие свободного члена в линейном уравнении может лишь уточнить вид зависимости. В экономическом смысле свободный член отражает экзогенную среду. Поэтому, если нет серьезных причин для удаления свободного члена из уравнения регрессии, то лучше его использовать в модели.
в) 95 %-ные доверительные интервалы для коэффициентов определяем по формуле (6.30):
2.9619423 -2.306-1.8929 < р0< 2.9619423 + 2.306-1.8929;
0.124189-2.306-0.0212 < рі< 0.124189 +2.306-0.0212; 3.553841 -2.306-1.0146 < (32 < 3.553841 + 2.306-1.0146.
-1.4031 <Ро< 7.3270; 0.0753 < Рі < 0.1731; 1.2142 < р2 < 5.8935.
г) Коэффициент детерминации R2 рассчитывается по формуле (6.34):
= 0.9777.
24.2408
1087.636
2
Анализ статистической значимости коэффициента детерминации R осуществляется на основе F-статистики (6.38):
= 175.3732.
0.9777 8
1-0.9777 2
Для определения статистической значимости F-статистики сравним ее с соответствующей критической точкой распределения Фишера (приложение 4):
FKp. Fa; m; n-m-1 Fo 05;2;8 4.46.
Так как FHagn = 175.3732 > FKp = 4.46, то статистика F, а следовательно, и коэффициент детерминации R статистически значимы Это означает, что совокупное влияние переменных Y и SR на переменную S существенно. Этот же вывод можно было бы сделать без особых проверок только по уровню коэффициента детерминации. Он весьма близок к единице.
д) На основе проведенных рассуждений и вычислений можно сделать вывод, что построенное уравнение регрессии объясняет 97.77 % разброса зависимой переменной S. Однако напомним, что коэффициент детерминации может быть достаточно высоким и при наличии совпадающих трендов у рассматриваемых переменных. Поэтому для уверенности в его обоснованности необходимы дополнительные исследования, например, по величине статистики Дарбина-Уотсона.
е) Скорректированный коэффициент детерминации R2 рассчитывается по формуле (6.36):
R2 = 1 - (1 -0.9777)--^—^ = 0.9721.
8
Как и следовало ожидать, он меньше обычного коэффициента детерминации.
ж) Статистику DW Дарбина-Уотсона вычислим по формуле (6.47):
DW
1.72742.
41.87375
24.24058
Для проверки статистической значимости DW воспользуемся таблицей критических точек Дарбина-Уотсона (приложение 5). При уровне значимости а = 0.05 и числе наблюдений п = 11 имеем:
ф = 0.658; du= 1.604.
Так как 1.604 < DW < 2.396 (du < DW < 4 - du), то гипотеза об отсутствии автокорреляции не отклоняется, т. е. имеются основания считать, что автокорреляция остатков отсутствует. Это является одним из подтверждений высокого качества модели. Здесь, правда, необходимо отметить, что для обоснованного вывода о наличии автокорреляции число наблюдений должно быть достаточно велико. В реальности обычно число наблюдений п существенно превышает число наблюдений для нашего примера, и предложенная схема анализа весьма эффективна.
з) По всем статистическим показателям модель может быть признана удовлетворительной. У нее высокие t-статистики. Очень хороший коэффициент детерминации R . В модели отсутствует автокорреляция остатков. Все это дает основание считать построенную модель весьма удачной. Она может быть использована для целей анализа и прогнозирования.
и) Склонность к сбережению MPS в данной модели отражается через коэффициент Ьі, определяющий, на какую величину вырастет объем сбережений при росте располагаемого дохода на одну единицу. Таким образом, MPS = 0.124189.
Для анализа, существенно или нет MPS отличается от 0.5, используем схему проверки следующей гипотезы:
Н0: М(Рі) = 0.5,
Ир M(Pi) < 0.5.
Для проверки данной гипотезы воспользуемся статистикой (6.26), которая при справедливости Но имеет распределение Стьюдента с числом степеней свободы ?= 11-2-1 =8.
= -17.7269.
0.124189-0.5
0.0212
Критическая точка tKp = ta; n-m-l для проверки гипотезы отыскивается по таблице критических точек распределения Стьюдента (приложение 2): to o5; 8 = 1.860.
Так как I THagJ = 17.7269 > 1.860 = tKp , то Но должна быть отклонена в пользу Hi. Действительно гипотетическая склонность к сбережению в 50 % явно завышена по сравнению с модельными (полученными по реальным данным) в 12.4 %.
к) В силу того, что коэффициент Ьг является статистически значимым, то можно утверждать, что с ростом процентной ставки увеличивается объем сбережений (коэффициент 1)2 имеет положительный знак). Ответ будет статистически обоснованным
л) Средний объем сбережений в 1991 г., если предполагаемый доход составит 270 тыс. у. е., а процентная ставка будет равна 5.5,
M(S| Y = 270,RS = 5.5) = 2.9619423 + 0.124189-270 + 3.553841-5.5 = 56.039.
Полученная точечная оценка условного математического ожидания может быть дополнена интервальной оценкой, получаемой по формуле (6.32). Для наглядности приведем ряд промежуточных результатов:
|
|
|
'1.182602134 |
-0.005314218 |
- 0.04592’ |
|
1 |
|
-0.00531422 |
0.000148755 |
- 0.00622 |
; Хі99і - |
270 |
|
- 0.04592002 |
-0.006219683 |
0.339765 |
|
5.5 |
|
Х,'99| = [і 270 5.5]; Х^991(ХТХ) !Х1991 = 0.45 7 4 75. |
Тогда при уровне значимости а = 0.05 по формуле (6.32) имеем:
56.039 - 2.306-1.7407 ?о.457475 < M(S I Х1991) < 56.039 + 2.306-1.7407 л/о.457475 ;
53.324 < M(S I X1991) < 58.754.
Таким образом, среднее значение потребления S в 1991 г. при планируемых уровне дохода Y = 270 и процентной ставке SR = 5.5 с вероятностью 95 % будет находиться в интервале (53.324; 58.754).
Вопросы для самопроверки
1. Как определяется модель множественной линейной регрессии?
2. Перечислите предпосылки МНК. Каковы последствия их невыполнимости?
3. Что характеризуют коэффициенты регрессии?
4. В чем суть МНК для построения множественного линейного уравнения регрессии?
5. Опишите алгоритм определения коэффициентов множественной линейной регрессии по МНК в матричной форме.
6. Приведите формулы расчета дисперсий и стандартных ошибок коэффициентов регрессии.
7. Как определяется статистическая значимость коэффициентов регрессии?
8. Как строятся интервальные оценки коэффициентов регрессии и в чем их суть?
2
9. В чем суть коэффициента детерминации R ?
10. Чем скорректированный коэффициент детерминации отличается от обычного?
11. Какие значения могут принимать обычный и скорректированный коэффициент детерминации при наличии свободного члена в уравнении регрессии?
12. Как осуществляется анализ статистической значимости коэффициента детерминации?
13. Как используется F-статистика в регрессионном анализе?
14. Что такое автокорреляция остатков и каковы ее виды?
15. В чем суть статистики Дарбина-Уотсона и как она связана с коэффициентом корреляции между соседними отклонениями?
16. Как анализируется статистическая значимость статистики Дарбина-Уотсона?
17. Определите с приведением соответствующих аргументов истинны, ложны или являются неопределенными следующие утверждения:
а) МНК является наилучшим методом определения коэффициентов множественной линейной регрессии;
б) выполнение соответствующих предпосылок является обязательным условием применения МНК;
в) близость к нулю коэффициента детерминации означает его статистическую незначимость;
г) стандартные ошибки коэффициентов регрессии определяются значениями всех коэффициентов регрессии;
д) скорректированный и обычный коэффициенты детерминации совпадают
2 2
только в случаях, когда R = 1 или R = 0;
е) значения t-статистик для коэффициентов регрессии во многом определяются числом степеней свободы;
ж) чем больше число степеней свободы, тем точнее оценки коэффициентов регрессии;
2
з) если коэффициент детерминации R статистически значим, то статистически значимы и все коэффициенты регрессии и наоборот;
и) если R2 = 1, то F = 1; если R2 = 0, то F = 0;
к) если для уравнения регрессии все t-статистики, статистики F и DW являются высокими, то уравнение регрессии является качественным;
л) для статистики Дарбина-Уотсона всегда выполняется соотношение 0 < DW < 4;
м) число степеней свободы для общей суммы квадратов отклонений при любом числе объясняющих переменных равно (п —1) при объеме выборки п;
2
и) в качественном уравнении регрессии коэффициент детерминации R всегда больше, чем 0.9;
о) увеличение количества объясняющих переменных всегда увеличивает скорректированный коэффициент детерминации;
и) коэффициент детерминации является мерой сравнения качества любых регрессионных моделей.
18. Дано уравнение множественной регрессии Y = Ро + РіХ] + Р2Х2 + (З3Х3 + в.
Как проверить гипотезы Н(): Pi = Р2; Н(): (Зз = 2?
Упражнения и задачи
Вычислите величину стандартной ошибки регрессии, если
а) Хе^ = 750; n = 50; т = 3;
б) = 600; п = 25; т = 3; модель не содержит свободного члена.
По следующим статистическим данным постройте три регрессионные модели
|
Y |
Хі |
Х2 |
|
1 |
0 |
3 |
|
3 |
1 |
1 |
|
5 |
3 |
0 |
|
11 |
4 |
-2 |
а) Y = ао + аіХі+ s,
б) Y = уо + у2Х2 + 8,
B)Y = po + PiX1 + p2X2 + s.
а) Будут ли справедливы гипотезы Но: ад = Рі; Но: у2= р2?
б) Каковы выводы из построенных моделей?
Проверяются две регрессии для описания поведения зависимой переменной Y:
Y = ао + аіХі+ ?,
Y = Ро + PiXi + р2Х2 + s.
При каких условиях будут справедливы следующие утверждения для оценок данных регрессий:
а) аі =Ьі;
б) Eef
в) коэффициент аі статистически значим при 5 %-ном уровне значимости, а коэффициент Ьі - нет;
г) коэффициент Ьі статистически значим при 5 %-ном уровне значимости, а коэффициент аі - нет.
Предполагается, что объем Q предложения некоторого блага для функционирующей в условиях конкуренции фирмы зависит линейно от цены Р данного блага и заработной платы W сотрудников фирмы, производящих данное благо:
Q = Ро + РіР + P2W2 + s.
Статистические данные, собранные за 16 месяцев, занесены в следующую таблицу:
|
|
|
Q |
20 |
35 |
30 |
45 |
60 |
69 |
75 |
90 |
105 |
ПО |
120 |
130 |
130 |
130 |
135 |
140 |
|
Р |
10 |
15 |
20 |
25 |
40 |
37 |
43 |
35 |
38 |
55 |
50 |
35 |
40 |
55 |
45 |
65 |
|
W |
12 |
10 |
9 |
9 |
8 |
8 |
6 |
4 |
4 |
5 |
3 |
1 |
2 |
3 |
1 |
2 |
|
а) Оцените по МНК коэффициенты уравнения регрессии. |
б) Проверьте гипотезы о том, что при прочих равных условиях рост цены товара увеличивает предложение; рост заработной платы снижает предложение.
в) Определите интервальные оценки коэффициентов при уровне значимости а = 0.1. Как с их помощью проверить гипотезу о статистической значимости коэффициентов регрессии.
г) Оцените общее качество уравнения регрессии.
д) Является ли статистически значимым коэффициент детерминации R ?
е) Проверьте гипотезу об отсутствии автокорреляции остатков.
ж) Сделайте выводы по построенной модели.
5. Для объяснения изменения ВНП за 10 лет строится регрессионная модель с объясняющими переменными - потреблением (С) и инвестициями (I). Получены следующие статистические данные:
|
С( $млрд) |
8 |
9.5 |
11 |
12 |
13 |
14 |
15 |
16.5 |
17 |
18 |
|
I ($млрд) |
1.65 |
1.8 |
2.0 |
2.1 |
2.2 |
2.4 |
2.65 |
2.85 |
3.2 |
3.55 |
|
ВНП($млрд) |
14 |
16 |
18 |
20 |
23 |
23.5 |
25 |
26.5 |
28.5 |
30.5 |
а) Оцените, используя матричную алгебру, коэффициенты линейной регрессионной модели
ВНП = ро + РіІ + р2С + в.
б) Оцените стандартную ошибку регрессии и стандартные ошибки коэффициентов.
2
в) Вычислите коэффициент детерминации R и скорректированный коэффициент детерминации R2; сравните их значения. Оцените статистическую значимость R при уровне значимости 0.01.
г) Определите значение статистики DW Дарбина-Уотсона. Имеет ли место автокорреляция остатков?
д) Сделайте вывод по качеству модели.
е) Через три года предполагаются следующие уровни потребления и инвестиций: С = 22,1 = 3.8. Какой уровень ВНП ожидается при этом?
6. По 20 наблюдениям получены следующие результаты:
Z хц = 4.88; Ехц = 2.518; Т,хй = 26Л; ?xf2 = 75.15; ЕУі = 44.7; 1хихй= 13.75; Z хііуі = 22.1; Z хі2Уі= 125.75; Zy? = 210.4; Zef = 0.015.
а) Оцените коэффициенты линейной регрессии Y = Ро + PiXi + Р2Х2 + s.
б) Определите стандартные ошибки коэффициентов.
в) Вычислите R и R2 .
г) Оцените 95 %-ные доверительные интервалы для коэффициентов Рі и р2 .
д) Оцените статистическую значимость коэффициентов регрессии и детерминации при уровне значимости а = 0.05.
е) Сделайте выводы по модели.
7. По результатам одинакового количества наблюдений построены два уравнения регрессии:
Y = 1 + 2Хі + е, R2 = 0.2;
(t) = (2) (4)
Y = 1.5 + ЗХі + 4Х2 + е, R3=0.6;
(t)= (1.8) (2) (3)
Определите размер выборки. Произошло ли существенное улучшение качества модели?
8. По 25 наблюдениям оценена парная линейная регрессия со свободным членом. При этом R = 0.8. В уравнение добавили еще одну объясняющую переменную и оценили по тем же 25 наблюдениям новое уравнение. Коэффициент детерминации для новой модели составил 0.9, а оцененный коэффициент регрессии при добавленной переменной оказался равным -2.0. Какова дисперсия оценки?
9. По 20 наблюдениям получены следующие результаты:
х1=7.3; х2 = 420.7; у = 350.3; ?(Уі - у)2 = 62050.35; ?(xn-хД2 = 265.52;
E(xl2 -х2)2 =92845.072; Z(xn -хД^ -х2) = 4803.5;
E(x1i-x1)(y1-y) = 3950.9; Z(xl2 - х2)(Уі - у) = 75380.645.
Необходимо:
а) оценить коэффициенты линейной регрессии Y = Ро + PiXi + р2Х2 + s;
б) оценить статистическую значимость коэффициентов;
в) определить коэффициент детерминации R и скорректированный коэффициент детерминации R2;
г) оценить общее качество модели.
10. Докажите, что формула (6.18) расчета коэффициента Ьі идентична следующей формуле:
b _ I (У 1 ~ У)[(хіі ~ хі) ~ b12 (ха - x2)] _
1 S[(xii -x1)-b12(xl2 -x2)f _ ковариация между Xj и Y, очищенная от влияния Х2 разброс X], очищенный от влияния Х2
где Ьі2 - коэффициент регрессии Хі на Х2: Хі = а + Ьі2Х2.
11. Рассматриваются две модели:
А: Y = ро + РіХі + р2Х2 + в.
Б: (Y - Х2) = (Хо + аіХі + а2Х2 + ?.
а) Совпадут ли оценки МНК для свободных членов Ро и ао?
б) Совпадут ли оценки МНК для Рі и аі?
в) Как будут связаны коэффициенты Р2 и 0,29
г) Можем ли мы сравнивать качество построенных моделей, опираясь на коэффициенты детерминации?
12. Оценивается по МНК регрессионная модель Y = Ро + РіХі + Р2Х2 + Р3Х3 + в. По 25 наблюдениям получена следующая регрессия:
yt = 4 + 7xtl + 1.4xt2 + 4.2xt3, R2 = 0.978.
(t) = (1.9) (2.3) (3)
По тем же данным построена модель с ограничением Рі = Рг-yt = 3 + 5.8(xtl + xt2) — 1.3xt3, R2 = 0.864.
(t)= (2.7) (2.5)
а) Проверьте гипотезу Ho: Pi = P2. Какую статистику вы использовали и при каких условиях данная проверка обоснована?
б) При отбрасывании из модели Х2 произойдет ли уменьшение скорректированного коэффициента детерминации R2 ?
в) Уменьшится или увеличится при этом коэффициент детерминации R ?
г) Какую бы из моделей вы отобрали для объяснения поведения зависимой переменной Y?
13. Рассматривается модель линейной регрессии без свободного члена:
Y=piX! + p2X2+ в.
а) В каких случаях она используется?
б) Как в этом случае оцениваются коэффициенты регрессии?
в) Будут ли справедливы для этой модели следующие равенства:
Ее! = 0; ЕеіХі1=0; Ze;xi2=0?
14. Оценена регрессия Y = 10 + 5Хі + O.I6X2 + в. = 2.15; = 0.056;
Со?(Ьц Ьг) = 0.05.
Необходимо проверить гипотезу о том, что коэффициенты Ьі и 1)2 являются обратными числами.
15. Для оценки коэффициентов уравнения регрессии Y = (Зо + РіХ] + Р2Х2 + в вычисления проведены в матричной форме при п =15:
|
20 |
32800 |
140 |
|
31240 |
|
32800 |
72560 |
290540 |
т
; X Y = |
66300920 |
|
140 |
290540 |
1280 |
|
255430 |
|
У = |
2010; х |
, = 2200; |
х2 =10. |
|
а) Определите эмпирические коэффициенты регрессии.
б) Оцените их дисперсию и ковариацию Со?(Ьц Ьг).
в) Проверьте гипотезу Hq: Pi = Р2 = 0.
16. По 30 наблюдениям оценивается уравнение регрессии Y = Ро + PiXj+ Р2Х2 + s. Есть основания считать, что модель будет более реалистичной, если весь интервал наблюдений разбить на два подынтервала и оценивать свою регрессию для каждого из них отдельно. Это связано с изменением институциональных условий между 20 и 21 наблюдениями. Рассчитаны суммы квадратов отклонений So, Si, S2 для общей выборки, для первого и второго подынтервалов соответственно.
S0 = 150, Si = 90, S2 = 40.
Есть ли основания считать, что проведенное разбиение целесообразно для повышения качества модели?
17. Для регрессионной модели с тремя объясняющими переменными имеется следующая информация:
|
Сумма квадратов отклонений |
Значение |
Степень свободы |
Дисперсия |
|
Объясненная (^ kf ) Необъясненная (^ ef ) |
84320 |
|
|
|
Общая |
87540 |
19 |
|
а) Проставьте в таблице отсутствующие данные
б) Определите коэффициент детерминации R и скорректированный коэффициент детерминации R2.
в) Проверьте гипотезу Но: Рі = Р2 = Рз = 0.
г) Что можно сказать об индивидуальном влиянии каждой из объясняющих переменных на зависимую переменную Y?
18. По месячным данным за 6 лет была построена следующая регрессия:
Y = -12.23 + 0.91 • DINC - 2.1-SR, R2 = 0.976, t= (-3.38) (123.7) (-3.2) DW = 1.79.
Здесь Y- потребление; DINC - располагаемый доход; SR - процентная банковская ставка по вкладам.
а) Оцените, не прибегая к таблицам, качество построенной модели.
б) Совпадает ли направление влияния объясняющих переменных с теоретическим?
в) Можно ли по модели оценить предельную склонность к потреблению?
г) Есть ли основания считать, что практически весь доход уходит на потребление?
д) Рассчитайте стандартные ошибки коэффициентов.
е) Рассчитайте F-статистику для коэффициента детерминации и оцените его статистическую значимость.
ж) Определите, имеет ли место автокорреляция остатков первого порядка, з) Имеет ли смысл добавить в уравнение регрессии еще какую-либо объясняющую переменную?
НЕЛИНЕЙНАЯ РЕГРЕССИЯ
Во многих практических случаях моделирование экономических зависимостей линейными уравнениями дает вполне удовлетворительный результат и может использоваться для целей анализа и прогнозирования. Однако в силу многообразия и сложности экономических процессов ограничиваться лишь рассмотрением линейных регрессионных моделей невозможно. Многие экономические зависимости не являются линейными по своей сути, и поэтому их моделирование линейными уравнениями регрессии, безусловно, не даст положительного результата. Например, при рассмотрении спроса Y на некоторый товар от цены X данного товара в ряде случаев можно ограничиться линейным уравнением регрессии: Y = в0 +втХ. Здесь Рі характеризует абсолютное изменение Y (в среднем) при единичном изменении X. Если же мы хотим проанализировать эластичность спроса по цене, то приведенное уравнение не позволит это осуществить. В этом случае целесообразно рассмотреть так называемую логарифмическую модель (см. параграф 7.1). При анализе издержек Y от объема выпуска X наиболее обоснованной является полиномиальная (точнее, кубическая) модель (см. параграф 7.4). При рассмотрении производственных функций линейная модель является нереалистичной. В этом случае обычно используются степенные модели. Например, широкую известность имеет производственная функция Кобба-Дугласа Y = А-К6 -LB (здесь Y - объем выпуска; К и L - затраты капитала и труда соответственно; А, а и Р - параметры модели). Достаточно широко применяются в современном эконометрическом анализе и многие другие модели, в частности обратная и экспоненциальная модели. Построение и анализ нелинейных моделей имеют свою специфику и отличие.
Приведенные выше рассуждения и примеры дают основания более детально рассмотреть возможные нелинейные модели. В рамках вводного курса мы ограничимся рассмотрением нелинейных моделей, допускающих их сведение к линейным. Обычно это так называемые линейные относительно параметров модели. Для простоты изложения и графической иллюстрации будем рассматривать модели парной регрессии с последующим естественным переходом к моделям множественной регрессии.
7.1. Логарифмические (лог-линейные) модели
Пусть некоторая экономическая зависимость моделируется формулой
Y = А • Хв, (7.1)
где Аир- параметры модели (т. е. константы, подлежащие определению).
Эта функция может отражать зависимость спроса Y на благо от его цены X (в данном случае Р < 0) или от дохода X (в данном случае Р > 0; при такой интерпретации переменных X и Y функция (7.1) называется функцией Энгеля). Функция (7.1) может отражать также зависимость объема выпуска Y от использования ресурса X (производственная функция), в которой 0 < Р < 1, а также ряд других зависимостей. Для упрощения выкладок случайное отклонение s введем в соотношение позднее. Модель (7.1) не является линейной функцией относительно X (производная зависимой переменной Y по X, указывающая на изменение Y по отношению к изменению X будет зависеть dY
от X: — = А-в • Хв“ , т. е. не будет константой, что присуще только dX
нелинейным моделям). Стандартным и широко используемым подходом к анализу функций данного рода в эконометрике является логарифмирование по экспоненте (по основанию е = 2.71828...). Такие логарифмы называются натуральными логарифмами и обозначаются InY, ІпХ.
Прологарифмировав обе части (7.1), имеем:
InY = In А + віпХ . (7.2)
После замены In А = р0, (7.2) примет вид:
InY = в о + віпХ. (7.3)
С целью статистической оценки коэффициентов добавим в модель случайную погрешность s и получим так называемую двойную логарифмическую модель (и зависимая переменная и объясняющая переменная заданы в логарифмическом виде):
InY = в0 + віпХ + е. (7.4)
Не являясь линейным относительно X и Y, данное уравнение является линейным относительно ІпХ и InY, а также относительно параметров Ро и Рі. Вводя замены Y* = InY и X* = ІпХ, (7.4) можно переписать в виде:
Модель (7.5) является линейной моделью, подробно рассмотренной в гл. 4, 5. Если все необходимые предпосылки классической линейной регрессионной модели для (7.5) выполнены, то по МНК можно определить наилучшие линейные несмещенные оценки коэффициентов Ро и р.
Отметим, что коэффициент Р определяет эластичность переменной Y по переменной X, т. е. процентное изменение Y для данного процентного изменения X. Действительно, продифференцировав левую и правую части (7.4) по X, получим:
1 dY 1
---= в • — =>в =
Y dX х
dY X dx' Y
EX(Y).
(7.6)
Отметим, что в данном случае коэффициент Р является константой, указывая на постоянную эластичность. Поэтому зачастую двойная логарифмическая модель называется моделью постоянной эластичности. Суть полученных выводов наглядно представлена на рис.
7.1.

Заметим, что в случае парной регрессии обоснованность использования логарифмической модели проверить достаточно просто. Вместо наблюдений (хь у,) рассматриваются наблюдения (1пхь Іпу,), і = 1, 2, ..., п. Вновь полученные точки наносятся на корреляционное поле. Если их расположение соответствует прямой линии, то произведенная замена удачна и использование логарифмической модели обосновано.
Данная модель легко обобщается на большее число переменных. Например,
Здесь коэффициенты Pi, р2 являются эластичностями переменной Y по переменным Хі и Х2 соответственно. Зачастую данная модель используется при анализе производительных функций. Например, хороню известна производственная функция Кобба-Дугласа
Y = А • К6 • LB. (7.8)
После логарифмирования обеих частей (7.8) имеем:
InY = In А + 61 пК + вІпЬ . (7.9)
Здесь аир- эластичности выпуска по затратам капитала и труда соответственно. Сумма этих коэффициентов является таким важным экономическим показателем, как отдача от масштаба. При б + в = 1 мы имеем постоянную отдачу от масштаба (во сколько раз увеличиваются затраты ресурсов, во столько же раз увеличивается выпуск). При б + в < 1 мы имеем убывающую отдачу от масштаба (увеличение объема выпуска меньше увеличения затрат ресурсов). При б + в > 1 мы имеем возрастающую отдачу от масштаба (увеличение объема выпуска больше увеличения затрат ресурсов).
7.2. Полулогарифмические модели
Модели вида
InY = в о + вХ + е, (7.10)
Y = в о + віпХ + е (7.11)
называются полулогарифмическими моделями.
Такие модели обычно используют в тех случаях, когда необходимо определять темп роста или прироста каких-либо экономических показателей. Например, при анализе банковского вклада по первоначальному вкладу и процентной ставке, прироста объема выпуска от относительного (процентного) увеличения затрат ресурса, бюджетный дефицит от темпа роста ВНП, темп роста инфляции от объема денежной массы и т. д.
7.2.1. Лог-линейнаямодель
Рассмотрим зависимость, хорошо известную в банковском и финансовом анализе
Yt=Y0(l + r)\ (7.12)
где Yo - начальная величина переменной Y (например, первоначальный вклад в банке); г - сложный темп прироста величины Y (процентная ставка); Yt - значение величины Y в момент времени t (вклад в банке в момент времени t). Модель (7.12) легко сводится к полулогарифмической модели (7.10). Действительно, прологарифмировав
(7.12), имеем:
lnYt = lnY0 + t • ln(l + г). (7.13)
Введем обозначения: lnY0 =в0, 1п(1 + г) = в . Тогда (7.13) примет вид:
lnYt =в0 +Bt + et. (7.14)
В (7.14) мы использовали дополнительно случайное слагаемое st в силу возможной изменчивости процентной ставки.
Полулогарифмическая модель (7.10) легко сводится к линейной модели заменой Y* = InY.
Коэффициент Р в модели (7.10) имеет смысл темпа прироста переменной Y по переменной X, т. е. характеризует отношение относительного изменения Y к абсолютному изменению X. Действительно, продифференцировав (7.10) по X, имеем:
dY
1 dY y относительное изменение Y
---= в => в = —-— =-.
Y dX dX абсолютное изменение X
Умножив полученное Р на 100, мы получим процентное изменение переменной Y (темп прироста переменной Y). Поэтому полулогарифмическая модель (7.10) обычно используется для измерения темпа прироста экономических показателей. Заметим, что из соотношения в = 1п(1 + г) определяется темп прироста г показателя Y:
1 + г = ев => г = ев -1. (7.15)
Отметим, что коэффициент Р в (7.14) определяет мгновенный темп прироста, а г в (7.15) определяет обобщенный (сложный) темп прироста. Поэтому в общем случае они отличаются друг от друга.
7.2.2. Линейно-логарифмическая модель
Рассмотрим так называемую линейно-логарифмическую модель
Y = b0 +в1пХ + е. (7.16)
Она сводится к линейной модели заменой X* = ІпХ. В данной модели коэффициент Р определяет изменение переменной Y вследствие единичного относительного прироста X (например, на 1%), т. е. характеризует отношение абсолютного изменения Y к относительному изменению X. Действительно, продифференцировав (7.16), имеем:
dY 1
-= в —
dX X
dY dX = X dX X
абсолютный прирост Y относительный прирост X
=> в =
ДХ
X
=> dY = в
Умножив последнее соотношение на 100, получим абсолютный
ДХ
прирост Y при процентном изменении X. Таким образом, если
X
изменилось на 1% (0.01), то Y изменилось на 0.01 в .
Модель (7.11) используется обычно в тех случаях, когда необходимо исследовать влияние процентного изменения независимой переменной на абсолютное изменение зависимой переменной.
Например, если положить Y = GNP (валовой национальный продукт), а X = М (денежная масса), то получим следующую формулу:
GNP = б + в • ІпМ + е,
из которой следует, что если увеличить предложение денег М на 1%, то ВНП в среднем вырастет на 0.01 • в .
7.3. Обратная модель
Модель вида
У = в0+в1~ + е (7.17)
называется обратной моделью. Эта модель сводится к линейной заменой х * = — • Данная модель обычно применяется в тех случаях, когда х
неограниченное увеличение объясняющей переменной X асимптотически приближает зависимую переменную Y к некоторому пределу (в
данном случае к р0). В зависимости от знаков р0 и Рі характерны следующие ситуации:

 |
|
Рис. 7.2 |

График 7.2, а может отражать зависимость между объемом выпуска (X) и средними фиксированными издержками (Y). График 7.2, б может отражать зависимость между доходом X и спросом на блага Y (например, на товары первой необходимости, либо товары относительной роскоши) - так называемые функции Торнквиста (в этом случае X = - —— минимально необходимый уровень дохода). Важным во
приложением графика, изображенного на рис. 7.2, в является кривая Филлипса, отражающая зависимость между уровнем безработицы (X) в процентах и процентным изменением заработной платы (Y). При этом точка пересечения кривой с осью ОХ определяет естественный уровень безработицы.
7.4. Степенная модель
Степенная функция вида
Y = в0 + BjX + в2Х2 н-----f втХт + е (7.18)
зачастую отражает ту или иную экономическую зависимость. Например, кубическая функция
Y = b0 +ВіХ + в2Х2 +в3Х3 +е (7.19)
в микроэкономике моделирует зависимость общих издержек (Y) от объема выпуска (X) (рис. 7.3, а).
Аналогично квадратичная функция
Y = b0 +BjX + в2Х2 + е (7.20)
может отражать зависимость между объемом выпуска (X) и средними либо предельными издержками (Y) (рис. 7.3, б); или между расходами на рекламу и прибылью (рис. 7.3, в) и т. д.
 |
|
Рис. 7.3 |
Как и ранее рассмотренные модели, модель (7.18) является линейной относительно коэффициентов регрессии р0, Ръ •••, Pm- Следовательно, ее можно свести к линейной регрессионной модели. Заменяя
X на Xi, X2 на Хг, ..., Хт на Хт, получаем вместо (7.18) модель множественной линейной регрессии с m переменными Хт ,Х2,..., Хт :
Y = в0 +в1Х1 +в2Х2 +--- + В тХт +е. (7.21)
7.5. Показательная модель
Показательная функция
Y = р0ерх (7.22)
также достаточно широко применяется в эконометрическом анализе. Здесь е = 2.7182818... . Наиболее важным ее приложением является ситуация, когда анализируется изменение переменной Y с постоянным темпом прироста во времени. В этом случае переменная X символически заменяется переменной t:
Y = p0ept. (7.23)
Данная функция путем логарифмирования (In е*11 = pt) сводится к лог-линейной модели (7.14):
InY = InPo + Pt. (7.24)
Заметим, что в общем виде показательная функция имеет вид:
Y = Р„арх , (7.25)
где а - произвольная положительная константа (а ?П). Но данная функция сводится к (7.22) вследствие тождества а^х = е^х,па.
Ряд экономических показателей моделируется через функции, являющиеся композицией перечисленных функций, что позволяет также свести их к линейным. Например, широко известна производственная функция Кобба -Дугласа с учетом научно-технического прогресса:
Y = А • К6 • LB • ert. (7.26)
Прологарифмировав данную функцию, получим соотношение:
LnY = In А + odnK + pinL + yt, (7.27)
которое сводится к линейному заменами а = I п А, к = ІпК, 1 = InL, у = LnY.
7.6. Преобразование случайного отклонения
Как отмечалось ранее, существенную роль для получения качественных оценок имеет выполнимость определенных предпосылок МНК для случайных отклонений. Наиболее важные из них требуют, чтобы отклонения с, являлись нормально распределенными случайными величинами с нулевым математическим ожиданием и постоянной дисперсией а2, а также не коррелировали друг с другом (с, ~ N(0, а2), со?( Si, Sj) = 0 при і ф j). При невыполнимости указанных предпосылок оценки, полученные по МНК, не будут обладать свойствами BLUE-оценок, и проводимые для них тесты окажутся ненадежными.
В случаях, не требующих совокупного логарифмирования, с аддитивным случайным членом выполнимость предпосылок МНК имеет место, а следовательно, проблем с оцениванием не возникает.
Для описания возможных проблем со случайным отклонением
воспользуемся моделью (7.1) Y = А • Хв, дополнив ее случайным членом. При этом случайный член s может входить в соотношение в различных видах. Рассмотрим три возможных случая:
|
Y = А • Хв • ее, |
(7.28) |
|
Y = А • Хв • е, |
(7.29) |
|
Y = А • Хв + е . |
(7.30) |
Данные модели являются нелинейными относительно параметров (точнее, параметра Р). Прологарифмировав каждое из этих соотношений, соответственно получим:
|
InY = а + P'lnX + s, |
(7.31) |
|
InY = а + P'lnX + Ins, |
(7.32) |
|
InY = ІіфА'Х13 + s). |
(7.33) |
Здесь а = ІпА.
Использование (7.31) для оценки параметров в (7.28) не вызывает осложнений, связанных со случайным отклонением.
Преобразование (7.29) в (7.32) приводит к преобразованию случайных отклонений 8! в іпві. Использование МНК в (7.32) для нахождения BLUE-оценок параметров требует, чтобы отклонения ?, = Ins, удовлетворяли предпосылкам МНК: ?, ~ N(0, а2). Но это возможно только в случае логарифмически нормального распределения СВ sx с
М(8р = еу /2 и D(s,) = еу (еу -1).
Логарифмирование соотношения (7.30) не привело к линеаризации соотношения относительно параметров. В этом случае для нахождения оценок необходимо использовать определенные итерационные процедуры оценки нелинейных регрессий.
Таким образом, при использовании преобразований с целью нахождения оценок необходимо особое внимание уделять рассмотрению свойств случайных отклонений, чтобы полученные в результате оценки имели высокую статистическую значимость.
7.7. Выбор формы модели
Многообразие и сложность экономических процессов предопределяет многообразие моделей, используемых для эконометрического анализа. С другой стороны, это существенно усложняет процесс нахождения максимально адекватной формулы зависимости. Для случая парной регрессии подбор модели обычно осуществляется по виду расположения наблюдаемых точек на корреляционном поле. Однако нередки ситуации, когда расположение точек приблизительно соответствует нескольким функциям и необходимо из них выявить наилучшую. Например, криволинейные зависимости могут аппроксимироваться полиномиальной, показательной, степенной, логарифмической функциями. Еще более неоднозначна ситуация для множественной регрессии, так как наглядное представление статистических данных в этом случае невозможно.
В данной главе перечислены базовые модели, используемые в эконометрическом моделировании, а также практические задачи, вызывающие необходимость их использования. Правильный выбор вида модели является отправной точкой для качественного анализа экономической модели. Безусловно, на практике неизвестно, какая модель является верной, и зачастую подбирают такую модель, которая наиболее точно соответствует реальным данным. При этом необходимо учитывать, что идеальной модели не существует. Поэтому, чтобы выбрать качественную модель, необходимо ответить на ряд вопросов, возникающих при ее анализе.
1. Каковы признаки “хорошей” (качественной) модели?
2. Какие ошибки спецификации встречаются, и каковы последствия данных ошибок?
3. Как обнаружить ошибку спецификации?
4. Каким образом можно исправить ошибку спецификации и перейти к лучшей (качественной) модели?
7.7.1. Признаки “хорошей ” модели
В ряде случаев достаточно очевидно, какая модель лучше. В других случаях для принятия обоснованного решения приходится проводить достаточно кропотливый сравнительный анализ. Для этого необходимо выбрать критерии, которые позволят сделать обоснованный вывод. Обычно для построения «хорошей» работоспособной модели и сравнения ее с другими возможными моделями необходимо учитывать следующие свойства (критерии).
Скупость (простота). Модель должна быть максимально простой. Данное свойство определяется тем фактом, что модель не отражает действительность идеально, а является ее упрощением. Поэтому из двух моделей, приблизительно одинаково отражающих реальность, предпочтение отдается модели, содержащей меньшее число объясняющих переменных.
Единственность. Для любого набора статистических данных определяемые коэффициенты должны вычисляться однозначно.
Максимальное соответствие. Уравнение тем лучше, чем большую часть разброса зависимой переменной оно может объяснить. Поэтому стремятся построить уравнение с максимально возможным скорректированным коэффициентом детерминации R2.
Согласованность с теорией. Никакое уравнение не может быть признано качественным, если оно не соответствует известным теоретическим предпосылкам. Например, если в функции спроса коэффициент при цене положителен, то даже значительная величина коэффициента детерминации R2 (например, 0,7) не позволит признать уравнение удовлетворительным. Другими словами, модель обязательно должна опираться на теоретический фундамент, т. к. в противном случае результат использования регрессионного уравнения может быть весьма плачевным.
Прогнозные качества. Модель может быть признана качественной, если полученные на ее основе прогнозы подтверждаются реальностью.
Другим критерием прогнозных качеств оцененной модели регрессии может служить следующее отношение:
? = І, (7.34)
У
I у е2 _
где S =,--— - стандартная ошибка регрессии, у - среднее зна-
V п - ш -1
чение зависимой переменной уравнения регрессии. Если величина Y мала (а она определяет относительную ошибку прогноза в процентах) и отсутствует автокорреляция остатков (определяемая по величине статистики DW Дарбина-Уотсона), то прогнозные качества модели высоки.
Если уравнение регрессии используется для прогнозирования, то величина V обычно рассчитывается не для того периода, на котором оценивалось уравнение, а для некоторого следующего за ним временного интервала, для которого известны значения зависимой и объясняющих переменных. Тем самым на практике проверяются прогнозные качества модели. В случае положительного решения, если можно спрогнозировать значения объясняющих переменных на некоторый последующий период, построенная модель обоснованно может быть использована для прогноза значений объясняемой переменной Y. При этом следует помнить, что период прогнозирования должен быть, по крайней мере, в 3 раза короче периода, по которому оценивалось уравнение регрессии.
Поскольку не существует какого-либо единого правила построения регрессионных моделей, анализ перечисленных свойств позволяет строить более качественные эконометрические модели.
7.7.2. Виды ошибок спецификации
Одним из базовых предположений построения качественной модели является правильная (хорошая) спецификация уравнения регрессии. Правильная спецификация уравнения регрессии означает, что оно в целом правильно отражает соотношение между экономическими показателями, участвующими в модели. Это является необходимой предпосылкой дальнейшего качественного оценивания.
Неправильный выбор функциональной формы или набора объясняющих переменных называется ошибками спецификации. Рассмотрим основные типы ошибок спецификации.
1. Отбрасывание значимой переменной
Суть данной ошибки и ее последствия наглядно иллюстрируются следующим примером. Пусть теоретическая модель, отражающая рассматриваемую экономическую зависимость, имеет вид:
Y = b0 TBjXj +в2Х2 + е. (7.35)
Данной модели соответствует следующее эмпирическое уравнение регрессии:
Y = b0 +Ъ1Х1 +Ь2Х2 +е. (7.36)
Исследователь по каким-то причинам (недостаток информации, поверхностное знание о предмете исследования и т. и.) считает, что на переменную Y реально воздействует лишь переменная Хі. Он ограничивается рассмотрением модели (7.37):
Y = t0+t1X + h. (7.37)
При этом он не рассматривает в качестве объясняющей переменную Хг, совершая ошибку отбрасывания существенной переменной.
Пусть эмпирическое уравнение регрессии, соответствующее теоретическому уравнению (7.37), имеет вид:
Y = g0+glX1+v. (7.38)
Последствия данной ошибки достаточно серьезны. Оценки, полученные с помощью МНК по уравнению (7.38), являются смещенными (M(go) ф Ро, M(gi) Ф Рі) и несостоятельными даже при бесконечно большом числе испытаний. Следовательно, возможные интервальные оценки и результаты проверки соответствующих гипотез будут ненадежными.
Покажем, что коэффициент gi является смещенной оценкой параметра Рі. Действительно, gi вычисляется по формуле (4.14):
_ Sxy cov(X1,Y) _ со?(Х1,в0 -i-BjXj +в2Х2 +e)_ gl_sf* D(X,) D(X,)
= ч[соу(Х1 >B 0) + covCXj, в jXj ) + со?(Хт, B2X2) + covCXj, e)] =
и(хэ
= ПДТТ [° + B iD(Xi)+ в 2^оу(Х1 , X2) + cov(Xj, e)] =
U(Ai)
cov(X,, X0) cov(X,, e)
= B1+B2--—1-— + 1
(7.39)
D(Xj)
D(Xj)
Исходя из предпосылки 4° MHK (см. параграф 5.1), со?(Хь s) = 0. Тогда очевидна справедливость следующего соотношения:
СОУ(Х!, Х2)
ЩХД
со?(Х1,Х2)
о(хд
M(gl) = М
(7.40)
»і +в2
Здесь учитывается тот факт, что выражение, стоящее в скобках, является константой. Это означает, что оценка gi обладает смещением относительно истинного значения параметра, выражаемым величиной со?(Х13Х2)
в 0 ^ " • Этот вывод позволяет определить направление сме
щения. Очевидно, оно связано со знаками величин р2 и со?(Хі, Х2). Например, при положительном р2 и положительной коррелированно-сти между Хі и Х2 оценка gi будет завышать истинное значение Рь Кроме того, соотношение (7.40) позволяет объяснить причину завышения оценки при указанных условиях. В уравнении (7.36) коэффициенты Ьі и Ь2 отражают степень индивидуального воздействия на Y каждой из объясняющих переменных Хі и Х2. В уравнении (7.38) через коэффициент gi отражается, кроме прямого воздействия переменной Хі, воздействие коррелированной с ней (в нашем случае положительно) и не учтенной переменной Х2. Таким образом, косвенная
роль переменной Х2 в уравнении (7.38) отражается на оценке парамет-
со?(Хі5Х2)
ра рі, изменяя ее в среднем на величину в0 —^ ~ .
Единственно возможным условием получения несмещенной оценки для коэффициента Рі является некоррелированность X! и Х2 (со?(Х], Х2) = 0). Но при этом не произойдет и ошибки отбрасывания значимой переменной в силу реальной незначимости переменной Х2 (почему?).
Отметим, что ошибка данного рода существенно отражается и на коэффициенте детерминации R2. В нашей ситуации при использовании уравнения (7.38) значение коэффициента детерминации будет завышать роль переменной Хі в объяснении дисперсии переменной Y. Это связано с косвенным “присутствием” в уравнении через коэффициент gi переменной Х2, что повышает объясняющую способность уравнения в целом.
Другие соотношения между знаками коэффициента регрессии, направлениями коррелированности объясняющих переменных и направлением смещения оценки рекомендуется рассмотреть в качестве упражнения.
2. Добавление незначимой переменной
В некоторых случаях в уравнения регрессии включают слишком много объясняющих переменных, причем не всегда обоснованно. Например, пусть теоретическая модель имеет следующий вид:
У = в0+в1Х1+е. (7.41)
Пусть исследователь подменяет ее более сложной моделью:
Y = r0+r1X1+r2X2+e, (7.42)
добавляя при этом не оказывающую реального воздействия на Y объясняющую переменную Х2. В этом случае совершается ошибка добавления несущественной переменной.
Последствия данной ошибки будут не столь серьезными, как в предыдущем случае. Оценки g0, gi коэффициентов, найденные для модели (7.42), остаются, как правило, несмещенными (M(g0) = Ро, M(gi) = Рі) и состоятельными. Однако их точность уменьшится, увеличивая при этом стандартные ошибки, т. е. оценки становятся неэффективными, что отразится на их устойчивости. Данный вывод логически вытекает из формул (5.12), (6.24) расчета дисперсий оценок коэффициентов регрессии для этих уравнений:
g2 g2
Sbl ” Е(Х!-Х)2 ’ Sgl ” Zlxn-xO^O-rJ) '
Здесь гi2 - коэффициент корреляции между объясняющими переменными Хі и Х2. Следовательно, < S2 , причем знак равенства возможен лишь при г 12 = 0.
Увеличение дисперсии оценок может привести к ошибочным результатам проверки гипотез относительно значений коэффициентов регрессии, расширению интервальных оценок.
3. Выбор неправильной функциональной формы
Суть ошибки проиллюстрируем следующим примером. Пусть правильная регрессионная модель имеет вид:
Y = b0 -t-BjXj +в2Х2 +е. (7.43)
Любое эмпирическое уравнение регрессии с теми же переменными, но имеющее другой функциональный вид, приводит к искажению истинной зависимости. Например, в следующих уравнениях
InY = а0 + ajXj + а2Х2 + е, (7.44)
Y = с0 + CjlnXj + c2lnX2 + u (7.45)
совершена ошибка выбора неправильной функциональной формы уравнения регрессии. Последствия данной ошибки будут весьма серьезными. Обычно такая ошибка приводит либо к получению смещенных оценок, либо к ухудшению статистических свойств оценок коэффициентов регрессии и других показателей качества уравнения. В первую очередь это вызвано нарушением условий Гаусса-Маркова для отклонений. Прогнозные качества модели в этом случае очень низки.
7.7.3. Обнаружение и корректировка ошибок спецификации
При построении уравнений регрессии, особенно на начальных этапах, ошибки спецификации весьма нередки. Они допускаются обычно из-за поверхностных знаний об исследуемых экономических процессах, либо из-за недостаточно глубоко проработанной теории, или из-за погрешностей при сборе и обработке статистических данных при построении эмпирического уравнения регрессии. Важно уметь обнаружить и исправить эти ошибки. Сложность процедуры определяется типом ошибки и нашими знаниями об исследуемом объекте.
Если в уравнении регрессии имеется одна несущественная переменная, то она обнаружит себя по низкой t-статистике. В дальнейшем эту переменную исключают из рассмотрения.
Если в уравнении несколько статистически незначимых объясняющих переменных, то следует построить другое уравнение регрессии без этих незначимых переменных. Затем с помощью F-статистики (6.41) сравниваются коэффициенты детерминации Ry и R, для первоначального и дополнительного уравнений регрессий:
F = Rf ~ R2 n - m -1
1-Ry k
Здесь n - число наблюдений, m - число объясняющих переменных в первоначальном уравнении, к - число отбрасываемых из первоначального уравнения объясняющих переменных. Возможные рассуждения и выводы для данной ситуации приведены в разделе 6.7.2.
При наличии нескольких несущественных переменных, возможно, имеет место мультиколлинеарность. Рекомендуемые выходы из этой ситуации подробно рассмотрены в главе 10.
Однако осуществление указанных проверок имеет смысл лишь при правильном подборе вида (функциональной формы) уравнения регрессии, что можно осуществить, если согласовывать его с теорией. Например, при построении кривой Филлипса, указывающей, что зависимость между заработной платой Y и безработицей X является обратной, возможны следующие модели:
Y = б +в -Х + е, в < 0;
In Y=б + в-1пХ+ е, в < 0;
Y = 6+b—!—he, в>0;
Х + г
Y = 6+ авх+е, в < 0 ит.п.
Отметим, что выбор модели далеко не всегда осуществляется однозначно, и в дальнейшем требуется сравнивать модель как с теоретическими, так и с эмпирическими данными, совершенствовать ее. На-
Последствия данной ошибки достаточно серьезны. Оценки, полученные с помощью МНК по уравнению (7.38), являются смещенными (M(go) Ф Ро, M(gi) ф Рі) и несостоятельными даже при бесконечно большом числе испытаний. Следовательно, возможные интервальные оценки и результаты проверки соответствующих гипотез будут ненадежными.
Покажем, что коэффициент gi является смещенной оценкой параметра Рь Действительно, gi вычисляется по формуле (4.14):
_ Sxy cov(X1,Y) _ со?(Х1,в0 -i-BjXj +в2Х2 +e)_
81 ”sf* D(X,) D(X0
= ^Wcov(Xi ’в о) + C0V(X! ,b1X1) + со?(Х!, в 2X2) + со?(Хт, e)] = П(ХД
= ППХТ [° + B iD(xi) + в 2С0?(Х!, X2) + со?(Хт, e)] =
D(Xi)
cov(X1,X2) cov(X1,e)
(7.39)
= Bj +b2
D(XT)
D(XT)
Исходя из предпосылки 4° МНК (см. параграф 5.1), со?(Хь s) = 0.
Тогда очевидна справедливость следующего соотношения:
со?(Х1,Х2)
щхд
со?(Х1,Х2)
щхд
M(gl) = М
(7.40)
Ві +в2
Здесь учитывается тот факт, что выражение, стоящее в скобках, является константой. Это означает, что оценка gi обладает смещением относительно истинного значения параметра, выражаемым величиной со?(Х1,ХД
в 2—^ ~ . Этот вывод позволяет определить направление смещения. Очевидно, оно связано со знаками величин р2 и со?(Хі, Х2). Например, при положительном р2 и положительной коррелированно-сти между Хі и Х2 оценка gi будет завышать истинное значение Рь Кроме того, соотношение (7.40) позволяет объяснить причину завышения оценки при указанных условиях. В уравнении (7.36) коэффициенты Ьі и Ь2 отражают степень индивидуального воздействия на Y каждой из объясняющих переменных Хі и Х2. В уравнении (7.38) через коэффициент gi отражается, кроме прямого воздействия переменной Хі, воздействие коррелированной с ней (в нашем случае попомним, что при определении качества модели обычно анализируются следующие параметры:
а) скорректированный коэффициент детерминации R2 (см. параграф 6.7);
б) t-статистики (см. параграф 6.6);
в) статистика Дарбина-Уотсона DW (см. параграф 6.8);
г) согласованность знаков коэффициентов с теорией;
д) прогнозные качества (ошибки) модели (см. раздел 7.7.1).
Если все эти показатели удовлетворительны, то данная модель может быть предложена для описания исследуемого реального процесса. Если же какая-либо из описанных выше характеристик не является удовлетворительной, то есть основания сомневаться в качестве данной модели (неправильно выбрана функциональная форма уравнения; не учтена важная объясняющая переменная; имеется объясняющая переменная, не оказывающая значимого влияния на зависимую переменную).
Для более детального анализа адекватности модели может быть предложено исследование остаточного члена модели.
7.7.4. Исследование остаточного члена модели
Графическое представление поведения остаточного члена е (т. е. графическое представление случайных отклонений еь і = 1, 2, ..., п) позволяет прежде всего проанализировать наличие автокорреляции и гетероскедастичности (непостоянства дисперсий отклонений). Данные проблемы будут обсуждены в следующих главах.
|
eif |
 |
\«/
Функциональная
связь |
eif
/ ¦
% '
-7—Г.
»—4 ' /
'4
_/_L_
Случайная
связь
Рис. 7.4
Кроме того, с помощью графического представления отклонений е, может быть также обнаружена неправильная спецификация уравнения. Для этого строится график зависимости величин отклонений е от номера наблюдения і. Если зависимость, изображенная на этом графике, имеет регулярный (неслучайный) характер (рис. 7.4, а), то это означает, что исследуемое уравнение регрессии неверно специфицировано.
Существует и ряд других тестов обнаружения ошибок спецификации, среди которых можно выделить:
1. Тест Рамсея RESET (Regression specification error test).
2. Тест (критерий) максимального правдоподобия (The Likelihood Ratio test).
3. Тест Валда (The Wald test).
4. Тест множителя Лагранжа (The Lagrange multiplier test).
5. Тест Хаусмана (The Hausman test).
6. Box-Cox преобразование (Box-Cox trasformation).
Подробное описание данных тестов выходит за рамки вводного курса. Отметим, что суть данных тестов состоит либо в осуществлении преобразований случайных отклонений, либо масштаба зависимой переменной с тем, чтобы можно было сравнить начальное и преобразованное уравнения регрессии на основе известного критерия. Например, суть теста Рамсея (RESET) состоит в следующем: а) Оценивают линейную регрессию между переменными задачи Y = b0 +bjXj +b2X2 +-" + bmXm +е
=> Y-a0 +а1Х1 +-” + amXm.
б) Анализируют графически зависимость е^уД. Так, если она может быть представлена явной функциональной зависимостью е = = f(Y), то данную зависимость вводят в исходное уравнение регрессии и затем оценивают уравнение
Y = а0 + ajXj + ••• + amXm + f( Y ) + е .
в) Сравнивают коэффициенты детерминации для начального и вновь построенного уравнений регрессии на основе следующей F-ста-тистики:
(7.46)
R2-R1
l-Ro
Здесь n - число наблюдений, k - число параметров в новой модели, г - число новых регрессоров (одночленов уравнения). Статистика F имеет распределение Фишера с числами степеней свободы ?і = г, ?г = = n - к. Если F-статистика окажется статистически значимой, то это означает, что исходное уравнение регрессии было неправильно специфицировано.
В качестве примера приведем анализ зависимости суммарных издержек от объема выпуска. В общем случае такая зависимость выражается кубической функцией:
У, =В0 +В1Хі + В2ХГ +B3Xf +е,- (7-47)
Пусть на начальном этапе эта же зависимость моделируется линейной функцией:
Уі =г0 + гіх1+е1. (7.48)
Модель (7.48), скорее всего, будет неудовлетворительной по ряду статистических показателей. В частности, изменение отклонений е, будет носить системный характер, который найдет отражение на графике е = = f( Y), вероятный вид которого приведен на рис. 7.5.
 |
|
Рис. 7.5 |
Ломаная линия графика в большой степени соответствует кубической функции. Поэтому в модель (7.48) целесообразно ввести два дополнительных регрессора у“ и yf:
Уі = ло + ліх, + Л2УГ + ЛзУ? + е! • (7-49)
Сравнивают коэффициенты детерминации Ry и Ry для уравнений (7.49) и (7.48) на основе F-статистики (7.46) (при этом к = 4; г = 2). Если FHa&I > FKp = Fa2;n-4, тогда есть основания считать, что модель (7.48) неверно специфицирована.
К сожалению, тест Рамсея не указывает напрямую спецификацию модели лучшую, чем исследуемая. Поэтому подбор лучшей спецификации требует определенных усилий.
Дополнением либо альтернативой к тесту Рамсея может служить тест множителя Лагранжа, суть которого легко пояснить на предыдущем примере.
По виду зависимости е = f(Y) высказывается предположение о необходимых направлениях уточнения модели. В нашем примере линейная зависимость должна быть заменена кубической, что потребует введения двух дополнительных регрессоров х“ и xf. Следовательно, строится модель (7.47). Для вновь построенной модели определяется коэффициент детерминации R2. Доказано, что при большом объеме выборки и произведение nR2 имеет х2-распределение с числом степеней свободы г, равным числу добавленных регрессоров модели. В нашем примере nR2 ~ ч2 (при и —» со). Построенная статистика сравнивается с соответствующей критической точкой ч2. Если nR2 > ч2, то первоначально выбранная модель должна быть отклонена в пользу вновь построенной.
Описание других методов выходит за рамки вводного курса и может быть найдено в [ 6, 9].
7.8. Проблемы спецификации
Итак, стандартная схема анализа зависимостей состоит в осуществлении ряда последовательных процедур.
• Подбор начальной модели. Он осуществляется на основе экономической теории, предыдущих знаний об объекте исследования, опыта исследователя и его интуиции.
• Оценка параметров модели на основе имеющихся статистических данных.
• Осуществление тестов проверки качества модели (обычно используются t-статистики для коэффициентов регрессии, F-статистика для коэффициента детерминации, статистика Дарбина-Уотсона для анализа отклонений и ряд других тестов).
• При наличии хотя бы одного неудовлетворительного ответа по какому-либо тесту модель совершенствуется с целью устранения выявленного недостатка.
• При положительных ответах по всем проведенным тестам модель считается качественной. Она используется для анализа и прогноза объясняемой переменной.
Однако необходимо предостеречь от абсолютизации полученного результата. Проблема заключается в том, что даже качественная модель является подгонкой спецификации модели под имеющийся набор данных. Поэтому вполне реальна картина, когда исследователи, обладающие разными наборами данных, строят разные модели для объяснения одной и той же переменной. Другой проблемой является использование модели для прогнозирования значений объясняемой переменной. Иногда хорошие с точки зрения диагностических тестов модели обладают весьма низкими прогнозными качествами.
Одним из главных направлений эконометрического анализа является постоянное совершенствование моделей. Здесь следует отметить, что какого-то глобального подхода, определяющего заранее возможные пути совершенствования, нет и, скорее всего, быть не может. Исследователь должен помнить, что совершенной модели не существует. В силу постоянно изменяющихся условий протекания экономических процессов не может быть и постоянно качественных моделей. Новые условия требуют пересмотра даже весьма устойчивых моделей.
До сих пор достаточно спорным является вопрос, как строить модели:
а) начинать с самой простой и постоянно усложнять ее;
б) начинать с максимально сложной модели и упрощать ее на основе проводимых исследований.
И тот и другой подход имеют как достоинства, так и недостатки. Например, если следовать схеме а), то происходит обыкновенная подгонка модели под эмпирические данные. При теоретически более оправданном подходе б) поиск возможных направлений совершенствования модели зачастую сводится к полному перебору, что делает проводимый анализ неэффективным. Возможно также на этапах упрощения модели отбрасывание объясняющих переменных, которые были бы весьма полезны в упрощенной модели. В итоге, построение модели является индивидуальным подходом к конкретной ситуации, опирающимся на серьезные знания экономической теории и статистического анализа.
При этом отметим, что при всех недостатках моделей принятие на их основе решений приводит в целом к гораздо более высоким или ка F имеет распределение Фишера с числами степеней свободы ?і = г, ?2 = и — к. Если F-статистика окажется статистически значимой, то это означает, что исходное уравнение регрессии было неправильно специфицировано.
В качестве примера приведем анализ зависимости суммарных издержек от объема выпуска. В общем случае такая зависимость выражается кубической функцией:
У, = В0 +В1Хі + В2ХГ +В3Хі' +е,- (7‘47)
Пусть на начальном этапе эта же зависимость моделируется линейной функцией:
Уі = г0 + гіх1+е1. (7.48)
Модель (7.48), скорее всего, будет неудовлетворительной по ряду статистических показателей. В частности, изменение отклонений е, будет носить системный характер, который найдет отражение на графике е = = f( Y), вероятный вид которого приведен на рис. 7.5.
 |
|
Рис. 7.5 |
е А
Ломаная линия графика в большой степени соответствует кубической функции. Поэтому в модель (7.48) целесообразно ввести два дополнительных регрессора у~ и у, :
Уі = ло + ліх. + Л2УГ + л3У? + е,. (7.49)
Сравнивают коэффициенты детерминации Rt hRj для уравнений (7.49) и (7.48) на основе F-статистики (7.46) (при этом к = 4; г = 2). Если FHa&I > FKp = Foc;2;n—4? тогда есть основания считать, что модель (7.48) неверно специфицирована.
К сожалению, тест Рамсея не указывает напрямую спецификацию модели лучшую, чем исследуемая. Поэтому подбор лучшей спецификации требует определенных усилий.
Дополнением либо альтернативой к тесту Рамсея может служить тест множителя Лагранжа, суть которого легко пояснить на предыдущем примере.
По виду зависимости е = f(Y) высказывается предположение о необходимых направлениях уточнения модели. В нашем примере линейная зависимость должна быть заменена кубической, что потребует
введения двух дополнительных регрессоров х2 и xf. Следовательно, строится модель (7.47). Для вновь построенной модели определяется коэффициент детерминации R2. Доказано, что при большом объеме выборки 11 произведение nR2 имеет //-распределение с числом степеней свободы г, равным числу добавленных регрессоров модели. В нашем примере nR2 ~ ч2 (при и —» оо). Построенная статистика сравнивается с соответствующей критической точкой ч2. Если nR2 > ч2, то первоначально выбранная модель должна быть отклонена в пользу вновь построенной.
Описание других методов выходит за рамки вводного курса и может быть найдено в [ 6, 9].
7.8. Проблемы спецификации
Итак, стандартная схема анализа зависимостей состоит в осуществлении ряда последовательных процедур.
• Подбор начальной модели. Он осуществляется на основе экономической теории, предыдущих знаний об объекте исследования, опыта исследователя и его интуиции.
• Оценка параметров модели на основе имеющихся статистических данных.
• Осуществление тестов проверки качества модели (обычно используются t-статистики для коэффициентов регрессии, F-статистика для коэффициента детерминации, статистика Дарбина-Уотсона для анализа отклонений и ряд других тестов).
• При наличии хотя бы одного неудовлетворительного ответа по какому-либо тесту модель совершенствуется с целью устранения выявленного недостатка.
ожидаемым результатам, чем при принятии решений лишь на основе интуиции и экономической теории.
Вопросы для самопроверки
1. Что понимается под спецификацией модели?
2. Приведите примеры использования логарифмических регрессионных моделей.
3. Каков смысл коэффициентов регрессии в логарифмических регрессионных моделях?
4. Приведите примеры использования обратных и степенных моделей.
5. Изменятся или нет свойства случайного отклонения при преобразовании уравнения регрессии?
6. Каковы признаки качественной регрессионной модели?
7. Назовите основные виды ошибок спецификации.
8. Как можно обнаружить ошибки спецификации?
9. Можно ли обнаружить ошибки спецификации с помощью исследования остаточного члена?
10. В чем суть теста Рамсея?
11. Обрисуйте схему построения эконометрической модели.
12. Определите, какое из следующих утверждений истинно, какое - ложно, а какое - не определено.
а) Двойная логарифмическая модель является линейной относительно ее переменных.
б) Коэффициенты двойной логарифмической модели определяют эластичность зависимой переменной по соответствующим объясняющим переменным.
в) Уравнения Y = A-Ka-lAs и InY = ІпА + аЛпК + (3-lnL + Ins, построенные по одним и тем же статистическим данным, имеют приблизительно одинаковые коэффициенты детерминации.
г) Общее качество уравнений регрессии InY = Ро + Рі-ІпХі + Рг-ІпХг + в и InY = Ро + Pi-Xi + Рг-Х2 + в, построенных по одной выборке, может сравниваться на основе коэффициентов детерминации.
д) При оценке производственной функции по уравнению
InY = ро + Рі-ІпХі + р2-1пХ2 + в все коэффициенты регрессии должны быть положительными.
R
е) При рассмотрении функции Кобба -Дугласа Y = А-К L s с мультипликативным случайным членом для получения качественных оценок необходимо, чтобы s имело лог-нормальное распределение.
ж) Включение в уравнение незначимой объясняющей переменной не увели-
2
чивает коэффициент детерминации R .
з) Ошибки спецификации приводят к получению смещенных оценок.
13. Пусть оценена регрессия Y = Ьо + ЬіХі + 62X2, причем Ьі > 0. При отбрасывании переменной Х2 и оценке регрессии Y = ао + аіХі коэффициент аі оказался
отрицательным (ai < 0). Возможно ли это? Если да, то при каких обстоятельствах?
14. Пусть реальная регрессионная модель имеет вид:
Y = РіХ + в.
Пусть коэффициенты регрессии определяются исходя из модели
Y = Ро + РіХ + в.
Совершается ли при этом ошибка спецификации? Если да, то каковы ее последствия? Что можно сказать, если указанные модели поменять ролями?
15. Пусть истинная регрессия имеет вид:
Y=p0 + piX1 + p2X2.
Совершается ли ошибка спецификации при использовании следующей регрессии:
Y = ро + Рі(Х! + Х2)?
16. Пусть реальная регрессионная модель имеет вид:
Уі = Р1 хі ?ь
где случайные отклонения в; имеют лог-нормальное распределение. Регрессия оценена исходя из уравнения
Уі = Уіхі + Si.
Совершается ли при этом ошибка спецификации и каковы ее последствия?
17. Какие из указанных моделей и каким образом могут быть сведены к линейной модели:
а) Y = ро + piln2X + в;
б) Y = Ро + Рі-т=;
?х
в) Y =
г) Y =
1
-+ е;
в0 + BjX
вр(Х + 5)2 | BlX
Bq “Ь в {К
18. Предложена следующая регрессионная модель:
Y = а + рХіХ3 + уХ2Х3 + ря, Xj + уХХ2 + в.
а) Является ли данная модель линейной относительно параметров либо переменных?
б) Можно ли получить оценки параметров уравнения при имеющемся наборе данных (хц, хц, хц, уі), і = 1, 2, ..., n?
19. Пусть объем выпуска моделируется производственной функцией Кобба-Дугласа
Y = A-K“iAs ,
где случайное отклонение s имеет лог-нормальное распределение с математическим ожиданием M(s) = 1.
а) Что означает, что в имеет лог-нормальное распределение? Почему желательно, чтобы в имело именно это распределение с математическим ожиданием М(в) =1?
б) Как проверить гипотезу о том, что производство имеет постоянную отдачу от масштаба?
Упражнения и задачи
1. По 40 точкам оценена следующая модель производственной функции:
у= 0.6 +0.46-1 + 0.32-k, R = 0.75; DW = 2.45; t = (2.6) (0.75) (1.81)
где у, 1, к - темпы прироста объема выпуска, затрат труда и капитала соответственно.
Какие из следующих выводов представляются вам верными?
а) Нужно ввести новую объясняющую переменную, т. к. доля объясненной дисперсии слишком мала;
б) имеет место автокорреляция остатков первого порядка, поэтому нужно изменить формулу зависимости;
в) нужно исключить фактор 1, т. к. он оказался статистически незначимым;
г) в модели не учтена важная объясняющая переменная - научно-технический прогресс. Ее необходимо включить;
д) модель имеет удовлетворительные статистики, поэтому нет смысла ее совершенствовать.
Свой ответ обоснуйте соответствующими тестами. Какие изменения можно ожидать в результате предложенного вами преобразования?
е) в модели не учтена важная объясняющая переменная - научно-технический прогресс. Ее необходимо включить;
ж) необходимо включить в модель свободный член.
Свой ответ обоснуйте соответствующими тестами. Какие изменения можно ожидать в результате предложенного вами преобразования?
3. Базируясь на статистических данных некоторой страны за 20 лет, построена модель макроэкономической производственной функции:
InY = -3.52 +1,531пК + 0.471nL + е, R2 = 0.875; t =(-1.45) (2.76) (5.321),
где Y - реальный ВНП (млн $), К - объем затрат капитала (млн $), L - объем затрат труда (человеко-дни).
а) Оцените качество построенной модели.
б) Возможно ли ее совершенствование?
в) Проинтерпретируйте коэффициенты регрессии и оцените их статистическую значимость.
г) Можно ли утверждать, что прирост ВНП в большей степени связан с приростом затрат капитала, нежели с приростом затрат труда?
д) Будет ли ВНП эластично по затратам рассматриваемых в модели ресурсов?
|
4. Анализируется прибыль предприятия ?(млн $) в зависимости от расходов на рекламу Х(млн $). По наблюдениям за 9 лет получены следующие данные: |
|
|
|
Y |
5 |
7 |
13 |
15 |
20 |
25 |
22 |
20 |
17 |
|
X |
0.8 |
1.0 |
1.8 |
2.5 |
4.0 |
5.7 |
7.5 |
8.3 |
8.8 |
а) Постройте корреляционное поле и выдвиньте предположение о формуле зависимости между рассматриваемыми показателями.
б) Оцените по МНК коэффициенты линейной регрессии Y = Ро + РіХ + s.
в) Оцените качество построенной регрессии.
г) Оцените по МНК коэффициенты квадратичной регрессии Y = po + PiX + piX2 + s.
д) Оцените качество построенной регрессии. Какую из моделей вы предпочтете?
5. По имеющимся статистическим данным оцените параметры Р и у следующей регрессионной модели (е = ехр):
Y = p-eyt + s.
|
t |
1 |
4 |
16 |
|
Y |
0.85 |
0.45 |
0.4 |
6. По данным за 15 лет построены два уравнения регрессии:
a) Y = 3.435 - 0.5145Х + е, R2 = 0.6748; t = (20.5) (-4.3),
6) InY = 0.851 - 0.2514Х + е, R = 0.7785; t =(43.6) (-5.2),
где Y - ежедневное среднедушевое потребление кофе (в чашках по 100 г), X - среднегодовая цена кофе (в руб./кг).
а) Проинтерпретируйте коэффициенты каждой из моделей.
б) Можно ли по указанным моделям определить, является ли спрос на кофе эластичным?
в) Какая модель, с вашей точки зрения, предпочтительнее? Можно ли обосновать вывод по коэффициентам детерминации?
7. Анализируется индекс потребительских цен Y(1990 = 100) по объему денежной массы X (млрд $) на основании данных с 1981 по 1998 г.
|
Годы |
81 |
82 |
83 |
84 |
85 |
86 |
87 |
88 |
89 |
90 |
|
Y |
65 |
68 |
72.5 |
77.5 |
82 |
85.5 |
88.5 |
91 |
95 |
100 |
|
X |
ПО |
125 |
132 |
137 |
160 |
177 |
192 |
215 |
235 |
240 |
|
Годы |
91 |
92 |
93 |
94 |
95 |
96 |
97 |
|
Y |
106.5 |
112 |
115.5 |
118.5 |
120 |
120.5 |
121 |
|
X |
245 |
250 |
275 |
285 |
295 |
320 |
344 |
Необходимо
а) построить корреляционное поле.
б) Построить регрессии 1) Y на X; 2) Y на ІпХ; 3) InY на X; 4) InY на ІпХ.
в) Проинтерпретировать коэффициенты регрессии для каждой из моделей.
г) По каждой из моделей определить эластичность Y по X.
д) Определить целесообразность выбора предложенных моделей.
8. Анализируются данные по объему экспорта за 16 лет. Подбирается модель, наилучшим образом соответствующая приведенным ниже статистическим данным:
|
|
|
Год |
81 |
82 |
83 |
84 |
85 |
86 |
87 |
88 |
89 |
90 |
91 |
92 |
93 |
94 |
95 |
96 |
97 |
|
ЕХ |
54.1 |
35.4 |
56.6 |
46.6 |
46.7 |
52.1 |
56.6 |
44.8 |
68.3 |
36.3 |
75.0 |
57.2 |
69.0 |
55.5 |
73.3 |
64.1 |
60.0 |
а) Постройте корреляционное поле.
б) Постройте линейное уравнение регрессии ЕХ = Ро + Pit + s. |
Каким образом можно проверить гипотезу о том, что эластичность издержек по выпуску равна нулю?
10. По имеющимся статистическим данным исследуется зависимость между
темпом прироста заработной платы іф = ——Щі_| • 100% и уровнем
Щ.
безработицы щ.
|
|
|
Год |
70 |
71 |
72 |
73 |
74 |
75 |
76 |
77 |
78 |
79 |
|
Щ |
1.61 |
1.66 |
1.80 |
1.95 |
2.05 |
2.12 |
2.25 |
2.45 |
2.55 |
2.67 |
|
ut |
1.0 |
1.38 |
1.15 |
1.50 |
1.55 |
1.20 |
1.1 |
1.0 |
1.35 |
1.8 |
|
Год |
80 |
81 |
82 |
83 |
84 |
85 |
86 |
87 |
88 |
|
|
Щ |
2.73 |
2.80 |
2.93 |
3.02 |
3.15 |
3.27 |
3.45 |
3.60 |
3.80 |
|
|
ut |
1.9 |
1.45 |
1.85 |
1.2 |
1.5 |
1.25 |
1.4 |
1.3 |
1.6 |
|
|
Для отражения рассматриваемой зависимости рекомендуется использовать |
кривую Филлипса іф = в0 +В]
+ et
а) По МНК найдите оценки Ьо, Ьі коэффициентов Ро, Рь
б) Совпадают ли знаки Ьо, Ьі с предполагаемыми по теории. Каков экономический смысл коэффициента Рі?
в) Постройте корреляционное поле, отложив значения щ по горизонтальной оси, а значения щ - по вертикальной.
г) Определите 95%-ные доверительные интервалы для коэффициентов Ро, Рь
д) Найдите оценку естественного уровня безработицы и" для рассматриваемой страны (естественный уровень безработицы іг - это такой уровень, при котором Щ( = 0).
йщ
е) Найти оценки для производной — при и = 1 и при и = 3. Каков экономи
ей!
ческий смысл указанной производной? Какие выводы по найденным оценкам можно сделать?
ж) По расположению точек на корреляционном поле попытайтесь подобрать другую модель для описания зависимости между щ, и щ. Найдите
оценки параметров предложенной модели.
з) Сравните качество построенных моделей.
11. В следующей таблице приведены данные по объемам выпуска Q, затрат капитала К и труда L в некоторой отрасли за 20 лет.
Qt
46000 59000 37500 107000 130000 128000 154000 226500 146500 31500
|
Kt |
2 |
5.6 |
2 |
5.6 |
2 |
10.4 |
5.6 |
10.4 |
10.4 |
2 |
|
Lt |
2 |
2 |
4 |
4 |
6 |
2 |
6 |
4 |
6 |
2 |
|
Qt |
70500 |
70500 |
108000 |
90500 |
74000 |
160000 |
225000 |
167500 |
88500 |
54000 |
|
Kt |
2 |
5.6 |
5.6 |
2 |
10.4 |
5.6 |
10.4 |
10.4 |
5.6 |
2 |
|
Lt |
4 |
2 |
4 |
6 |
2 |
6 |
4 |
6 |
4 |
2 |
Используя эти данные, оцените производственную функцию Кобба - Дугласа Qt = А- К® • LBt.
а) Сведите данную модель к линейной модели: qt = Ро + Pikt + P2U + s. Как это можно осуществить?
б) Оцените коэффициенты Ро, Рь Рг-
в) Дайте экономическую интерпретацию Pi, Р2, Pi + Рг-
г) Спрогнозируйте объем выпуска, используя интервальную оценку для Q при уровне значимости а = 0.05 и затратах ресурсов К = 8 и L = 3.
д) проверьте при уровне значимости а = 0.05 гипотезы:
1)р! = 0,р2 = 0; 2)р! = р2; 3)р! = р2 = 0; 4)р! + р2=1
Какими критериями вы пользовались и почему?
е) Будет ли построенная модель качественной с точки зрения основных критериев качества регрессионной модели? Если нет, то какие направления ее совершенствования вы могли бы предложить?
ГЕТЕРОСКЕДАСТИЧНОСТЬ
При проведении регрессионного анализа, основанного на методе наименьших квадратов, на практике следует обратить серьезное внимание на проблемы, связанные с выполнимостью свойств случайных отклонений моделей. Как мы отмечали ранее, свойства оценок коэффициентов регрессии напрямую зависят от свойств случайного члена в уравнении регрессии. Для получения качественных оценок необходимо следить за выполнимостью предпосылок МНК (условий Гаусса-Маркова), т. к. при их нарушении МНК может давать оценки с плохими статистическими свойствами. При этом существуют другие методы определения более точных оценок. Одной из ключевых предпосылок МНК является условие постоянства дисперсий случайных отклонений (см. параграф 5.1, предпосылка 2°):
дисперсия случайных отклонений ?, постоянна. D(Si)=D(Sj) = а2 для любых наблюдений і и /.
Выполнимость данной предпосылки называется гомоскедастич-ностъю (постоянством дисперсии отклонений). Невыполнимость данной предпосылки называется гетероскедастичностъю (непостоянством дисперсий отклонений).
В данной главе мы подробно проанализируем суть гетероскеда-стичности, ее причины и последствия, а также приведем несколько способов смягчения этих последствий.
8.1. Суть гетероскедастичности
При рассмотрении выборочных данных требование постоянства дисперсии случайных отклонений может вызвать определенное недоумение в силу того, что при каждом і-м наблюдении имеется единственное значение 8і. Откуда же появляется разброс? Дело в том, что при рассмотрении выборочных данных мы имеем дело с конкретными реализациями зависимой переменной уі и соответственно с определенными случайными отклонениями sb і = 1, 2, ..., п. Но до осуществления выборки эти показатели априори могли принимать произвольные значения на основе некоторых вероятностных распределений. Одним из требований к этим распределениям является равенство дисперсий. Данное условие подразумевает, что несмотря на то что при каждом конкретном наблюдении случайное отклонение может быть большим либо маленьким, положительным либо отрицательным, не должно быть некой априорной причины, вызывающей большую ошибку (отклонение) при одних наблюдениях и меньшую - при других.
Однако на практике гетероскедастичность не так уж и редка. Зачастую есть основания считать, что вероятностные распределения случайных отклонений s, при различных наблюдениях будут различными. Это не означает, что случайные отклонения обязательно будут большими при определенных наблюдениях и малыми - при других, но это означает, что априорная вероятность этого велика. Поэтому важно понимать суть этого явления и его последствия.
На рис. 8.1 приведены два примера линейной регрессии - зависимости потребления С от дохода І:С = Ро + РіІ + в.
 |
а б
Рис. 8.1 |
В обоих случаях с ростом дохода растет среднее значение потребления. Но если на рис. 8.1, а дисперсия потребления остается одной и той же для различных уровней дохода, то на рис. 8.1, б при аналогичной зависимости среднего потребления от дохода дисперсия потребления не остается постоянной, а увеличивается с ростом дохода. Фактически это означает, что во втором случае субъекты с большим доходом в среднем потребляют больше, чем субъекты с меньшим доходом, и, кроме того, разброс в их потреблении более существенен для большего уровня дохода. Фактически люди с большими доходами имеют больший простор для распределения своего дохода. Реалистичность данной ситуации не вызывает сомнений. Разброс значений потребления вызывает разброс точек наблюдения относительно линии регрессии, что и определяет дисперсию случайных отклонений. Динамика изменения дисперсий (распределений) отклонений для данного примера проиллюстрирована на рис. 8.2. При гомоскедастичности (рис. 8.2, а) дисперсии 8! постоянны, а при гетероскедастичности (рис. 8.2, б) дисперсии 8! изменяются (в нашем примере - увеличиваются).
 |
а - гомоскедастичность б - гетероскедастичность
Рис. 8.2 |
Проблема гетероскедастичности в большей степени характерна для перекрестных данных и довольно редко встречается при рассмотрении временных рядов. Это можно объяснить следующим образом. При перекрестных данных учитываются экономические субъекты (потребители, домохозяйства, фирмы, отрасли, страны и т. и.), имеющие различные доходы, размеры, потребности и т. д. Но в этом случае возможны проблемы, связанные с эффектом масштаба. Во временных рядах обычно рассматриваются одни и те же показатели в различные моменты времени (например, ВНП, чистый экспорт, темпы инфляции и т. д. в определенном регионе за определенный период времени). Однако при увеличении (уменьшении) рассматриваемых показателей с течением времени может возникнуть проблема гетероскедастичности.
8.2. Последствия гетероскедастичности
Как отмечалось в разделе 5.1, при рассмотрении классической линейной регрессионной модели МНК дает наилучшие линейные несмещенные оценки (BLUE-оценки) лишь при выполнении ряда предпосылок, одной из которых является постоянство дисперсии отклонений (гомоскедастичность): o2(s,) = а2 для всех наблюдений і, і = 1, 2, ..., n.
При невыполнимости данной предпосылки (при гетероскедастичности) последствия применения МНК будут следующими.
1. Оценки коэффициентов по-прежнему остаются несмещенными и линейными.
2. Оценки не будут эффективными (т. е. они не будут иметь наименьшую дисперсию по сравнению с другими оценками данного параметра). Они не будут даже асимптотически эффективными. Увеличение дисперсии оценок снижает вероятность получения максимально точных оценок.
3. Дисперсии оценок будут рассчитываться со смещением. Смещенность появляется вследствие того, что необъясненная уравнением
регрессии дисперсия S2 = —
и - m -
(ш - число объясняющих пере
менных), которая используется при вычислении оценок дисперсий всех коэффициентов (см. параграф 6.2, (6.23)), не является более несмещенной.
4. Вследствие вышесказанного все выводы, получаемые на основе соответствующих t- и F-статистик, а также интервальные оценки будут ненадежными. Следовательно, статистические выводы, получаемые при стандартных проверках качества оценок, могут быть ошибочными и приводить к неверным заключениям по построенной модели. Вполне вероятно, что стандартные ошибки коэффициентов будут занижены, а следовательно, t-статистики будут завышены. Это может привести к признанию статистически значимыми коэффициентов, таковыми на самом деле не являющимися.
Причину неэффективности оценок МНК при гетероскедастичности легко пояснить следующим примером парной регрессии.

Из рис. 8.3 видно, что для каждого конкретного значения х, СВ X переменная Y принимает значение у, из некоторого множества, имеющего свое распределение, отличное одно от другого в силу непостоянства дисперсий (сравните распределения для значений уі и уп).
По МНК минимизируется сумма квадратов отклонений
Zef = Z(y1-b0-b1x1)2.
Но в этом случае каждое конкретное значение е2 в данной сумме имеет одинаковый “вес” вне зависимости от того, получено оно из распределения с маленькой дисперсией (например, ef) или с большой (например, е2). Но это противоречит логике, т. к. точка, полученная
из распределения с меньшей дисперсией, более точно определяет направление линии регрессии. Поэтому она должна иметь больший “вес”, чем точка из распределения с большей дисперсией. Следовательно, методы оценивания, учитывающие “веса” точек наблюдений, позволяют получать более точные (эффективные) оценки. Учет “весов” точек характерен, например, для метода взвешенных наименьших квадратов, рассмотренного ниже.
8.3. Обнаружение гетероскедастичности
В ряде случаев на базе знаний характера данных появление проблемы гетероскедастичности можно предвидеть и попытаться устранить этот недостаток еще на этапе спецификации. Однако значительно чаще эту проблему приходится решать после построения уравнения регрессии.
Обнаружение гетероскедастичности в каждом конкретном случае является довольно сложной задачей, т. к. для знания дисперсий отклонений а2(е1) необходимо знать распределение СВ Y, соответствующее выбранному значению х, СВ X. На практике зачастую для каждого конкретного значения х, определяется единственное значение у, , что не позволяет оценить дисперсию СВ Y для данного х,.
Естественно, не существует какого-либо однозначного метода определения гетероскедастичности. Однако к настоящему времени для такой проверки разработано довольно большое число тестов и критериев для них. Рассмотрим наиболее популярные и наглядные: графический анализ отклонений, тест ранговой корреляции Спирмена, тест Парка, тест Глейзера, тест Голдфелда-Квандта.
8.3.1. Графический анализ остатков
Использование графического представления отклонений позволяет определиться с наличием гетероскедастичности. В этом случае по оси абсцисс откладывается объясняющая переменная X (либо линейная комбинация объясняющих переменных Y = Ьо + ЬцХі + ... +
+ bmXm), а по оси ординат либо отклонения е,, либо их квадраты е2. Примеры таких графиков приведены на рис. 8.4.

На рис. 8.4, а все отклонения ef находятся внутри полуполосы постоянной ширины, параллельной оси абсцисс. Это говорит о независимости дисперсий ef от значений переменной X и их постоянстве, т.е. в этом случае мы находимся в условиях гомоскедастичности.
На рис. 8.4, б - г наблюдаются некие систематические изменения в соотношениях между значениями х, переменной X и квадратами отклонений ef. Рис. 8.4, б соответствует примеру из параграфа 8.1. На
рис. 8.4, в отражена линейная; 8.4, г - квадратичная; 8.4, д - гиперболическая зависимости между квадратами отклонений и значениями объясняющей переменной X. Другими словами, ситуации, представленные на рис. 8.4, б - д, отражают большую вероятность наличия ге-тероскедастичности для рассматриваемых статистических данных.
Отметим, что графический анализ отклонений является удобным и достаточно надежным в случае парной регрессии. При множественной регрессии графический анализ возможен для каждой из объясняющих переменных Xj , j = 1,2, ..., ш отдельно. Чаще же вместо объясняющих переменных Xj по оси абсцисс откладывают значения у1? получаемые из эмпирического уравнения регрессии. Поскольку по уравнению множественной линейной регрессии у, является линейной комбинацией Ху , j = 1, 2, ... , ш, то график, отражающий зависимость ef от у,, может указать на наличие гетероскедастичности аналогично
ситуациям на рис. 8.4, б - д. Такой анализ наиболее целесообразен при большом количестве объясняющих переменных.
8.3.2. Тест ранговой корреляции Спирмена При использовании данного теста предполагается, что дисперсия отклонения будет либо увеличиваться, либо уменьшаться с увеличением значения X. Поэтому для регрессии, построенной по МНК, абсолютные величины отклонений е, и значения х, СВ X будут коррелированъ:. Значения х, и е, ранжируются (упорядочиваются по величинам). Затем определяется коэффициент ранговой корреляции:
(8.1)
г =і-6. ж
х,е 1 w , 2 п ’
п(п -1)
где ф - разность между рангами Хі и q1 , і = 1, 2, ... , n; n - число наблюдений.
Например, если хго является 25-м по величине среди всех наблюдений X; а его - является 32-м, то ф = 25 - 32= -7.
Доказано, что если коэффициент корреляции рхе ной совокупности равен нулю, то статистика
для генераль-
|
t = |  |
(8.2)
имеет распределение Стьюдейта с числом степеней свободы ? = и - 2.
Следовательно, если наблюдаемое значение t-статистики, вычисленное по формуле (8.2), превышает tKp = taai_2 (определяемое по таблице критических точек распределения Стьюдента), то необходимо отклонить гипотезу о равенстве нулю коэффициента корреляции рх е, а следовательно, и об отсутствии гетероскедастичности. В противном случае гипотеза об отсутствии гетероскедастичности принимается.
Если в модели регрессии больше чем одна объясняющая переменная, то проверка гипотезы может осуществляться с помощью t-статистики для каждой из них отдельно.
8.3.3. Тест Парка
Р. Парк предложил критерий определения гетероскедастичности, дополняющий графический метод некоторыми формальными зависимостями. Предполагается, что дисперсия а,2 = о2(е,) является функцией і-го значения х, объясняющей переменной. Парк предложил следующую функциональную зависимость
у2=у2х»е?і. (8.3)
Прологарифмировав (8.4), получим:
lny2 = lny2 + в\пх1 + Vj. (8.4)
Так как дисперсии у2 обычно неизвестны, то их заменяют оцен-
- 2
ками квадратов отклонении е, .
Критерий Парка включает следующие этапы:
1. Строится уравнение регрессии Уі = bo + biXj + е^
2. Для каждого наблюдения определяются Іпе2 = 1п(у; - у, )2.
3. Строится регрессия
Іпе2 = a + pinx, + Vi, (8.5)
где a = Ilia2.
В случае множественной регрессии зависимость (8.5) строится для каждой объясняющей переменной.
4. Проверяется статистическая значимость коэффициента Р уравнения
(8.5) на основе t-статистики t = —. Если коэффициент Р статисти-
SB
чески значим, то это означает наличие связи между In ef и 1пхь т. е. гетероскедастичности в статистических данных.
Отметим, что использование в критерии Парка конкретной функциональной зависимости (8.5) может привести к необоснованным выводам (например, коэффициент Р статистически незначим, а гетеро-скедастичность имеет место). Возможна еще одна проблема. Для случайного отклонения ?, в свою очередь может иметь место гетероске-дастичность. Поэтому критерий Парка дополняется другими тестами.
8.3.4. Тест Глейзера
Тест Глейзера по своей сути аналогичен тесту Парка и дополняет его анализом других (возможно, более подходящих) зависимостей между дисперсиями отклонений ах и значениями переменной х? По данному методу оценивается регрессионная зависимость модулей отклонений I е, I (тесно связанных с а2) от х? При этом рассматриваемая зависимость моделируется следующим уравнением регрессии:
I еі |= а + Pxjk + ?і . (8.6)
Изменяя значения к, можно построить различные регрессии. Обычно к = ..., -1, -0.5, 0.5, 1, ... Статистическая значимость коэффициента Р в каждом конкретном случае фактически означает наличие гетероскедастичности. Если для нескольких регрессий (8.6) коэффициент Р оказывается статистически значимым, то при определении характера зависимости обычно ориентируются на лучшую из них.
Отметим, что так же, как и в тесте Парка, в тесте Глейзера для отклонений ?і может нарушаться условие гомоскедастичности. Однако во многих случаях предложенные модели являются достаточно хорошими для определения гетероскедастичности.
8.3.5. Тест Голдфелда -Квандта
В данном случае также предполагается, что стандартное отклонение ах = a(sp пропорционально значению х, переменной X в этом наблюдении, т. е. у2 = у2х2. Предполагается, что ^ имеет нормальное распределение и отсутствует автокорреляция остатков.
Тест Голдфелда-Квандта состоит в следующем:
1. Все п наблюдений упорядочиваются по величине X.
2. Вся упорядоченная выборка после этого разбивается на три подвыборки размерностей к, (и - 2к), к соответственно.
3. Оцениваются отдельные регрессии для первой подвыборки (к первых наблюдений) и для третьей подвыборки (к последних наблюдений). Если предположение о пропорциональности дисперсий отклонений значениям X верно, то дисперсия регрессии (сумма квад-
k 9
ратов отклонений Sj = ) по первой подвыборке будет сущест-
і=і
венно меньше дисперсии регрессии (суммы квадратов отклонений
п 2
S3 = ) по третьей подвыборке.
i=n-k
4. Для сравнения соответствующих дисперсий строится следующая F-статистика:
р _ S3/(k - m -1) _ S3 Sj/(k - m -1) S, '
Здесь (k - m - 1) - число степеней свободы соответствующих выборочных дисперсий (іи - количество объясняющих переменных в уравнении регрессии).
При сделанных предположениях относительно случайных отклонений построенная F-статистика имеет распределение Фишера с числами степеней свободы ?і = ?г = k - m - 1.
5.
S3
Если FHa&I =—> FKp=F6.H H , то гипотеза об отсутствии гетероскеда-S!
стичности отклоняется (здесь а - выбранный уровень значимости).
Естественным является вопрос, какими должны быть размеры подвыборок для принятия обоснованных решений. Для парной регрессии Голфелд и Квандт предлагают следующие пропорции: и = 30, к= 11; и = 60, к = 22.
Для множественной регрессии данный тест обычно проводится для той объясняющей переменной, которая в наибольшей степени связана с о,. При этом к должно быть больше, чем (ш + 1). Если нет уверенности относительно выбора переменной Xj, то данный тест может осуществляться для каждой из объясняющих переменных.
Этот же тест может быть использован при предположении об обратной пропорциональности между ах и значениями объясняющей переменной. При этом статистика Фишера примет вид: F = S1/S3.
8.4. Методы смягчения проблемы гетероскедастичности
Как отмечалось в разделе 8.2, гетероскедастичность приводит к неэффективности оценок, несмотря на их несмещенность. Это может привести к необоснованным выводам по качеству модели. Поэтому при установлении гетероскедастичности возникает необходимость преобразования модели с целью устранения данного недостатка. Вид преобразования зависит от того, известны или нет дисперсии о,2 отклонений 0! .
8.4.1. Метод взвешенных наименьших квадратов (ВНК)
Данный метод применяется при известных для каждого наблюдения значениях о,2. В этом случае можно устранить гетероскедастичность, разделив каждое наблюдаемое значение на соответствующее ему значение дисперсии. В этом суть метода взвешенных наименьших квадратов.
Для простоты изложения опишем ВНК на примере парной регрессии:
Уі = Ро + РіХі + Si. (8.8)

Разделим обе части (9.7) на известное ах
|
Уі. |
1 |
|
|
|
= в0 — |
+ Ві |
|
Уі |
Уі |
Уі Уі ' |
|
ъ. |
* |
|
1 |
|
= Хі , |
¦ = ?і, — |
|
Уі |
|
Уі |
У. |
(8.9)
у • *
Положив — = Уі
Уі
регрессии без свободного члена, но с дополнительной объясняющей переменной Z и с “преобразованным” отклонением ?:
Уі* =p0Zi + РіхГ + Vi. (8.10)
При этом для ?і выполняется условие гомоскедастичности. Действительно,
У? (Vi) = ЩУі - ЩУі ))2 = М(?і2) ¦- М2 (?і).
-уМ(еД = 0, и УГ
Так как по предпосылке 1° МНК М(е,) = 0, то М(?,) тогда у2(?Д = М(?2) =
= М(4) = Лм(е?)
УГ УГ
= 4гМ(еі-М(еі))2
УГ
= Д-у2 = 1 = const.
УГ
Следовательно, для преобразованной модели (8.10) выполняются предпосылки 1° - 5° МНК. В этом случае оценки, полученные по МНК, будут наилучшими линейными несмещенными оценками.
Таким образом, метод взвешенных наименьших квадратов включает следующие этапы:
1. Каждую из пар наблюдений (х,, у,) делят на известную величину а, . Тем самым наблюдениям с наименьшими дисперсиями придаются наибольшие “веса”, а с максимальными дисперсиями - наименьшие “веса”. Действительно, наблюдения с меньшими дисперсиями отклонений будут более значимыми при оценке коэффициентов регрессии, чем наблюдения с большими дисперсиями. Учет этого факта увеличивает вероятность получения более точных оценок.
строится
2. По МНК для преобразованных значений
СУі Уі УJ
уравнение регрессии без свободного члена с гарантированными качествами оценок.
8.4.2. Дисперсии отклонений неизвестны Для применения ВНК необходимо знать фактические значения дисперсий у2 отклонений. На практике такие значения известны крайне редко. Следовательно, чтобы применить ВНК, необходимо сделать реалистические предположения о значениях у2 .
Например, может оказаться целесообразным предположить, что дисперсии у\отклонений 8! пропорциональны значениям хДрис.8.5, а) или значениям х2 (рис. 8.5, б).
Уі
• • •
• •
• • • • •
Xj
Уі
' ? • •
х; . .
____• • •
• • • • • •
Xi
Рис. 8.5
1. Дисперсии cj] пропорциональны x, (рис. 8.5, a).
УІ = <52 ¦ Xi (a2 - коэффициент пропорциональности).
Тогда уравнение (8.9) преобразуется делением его левой и правой частей на Л/х~:



(8.11)
выпол
Несложно показать, что для случайных отклонений ?і =
няется условие гомоскедастичности. Следовательно, для регрессии (8.11) применим обычный МНК. Действительно, в силу выполнимости предпосылки у2 = а2 (s,) = а2 -Хі имеем:
1
Хі
у2(?і)= у2(~т=) = “-у2(еі) = —у2 'Х! = у2 = const.
X,
Таким образом, оценив для (8.11) по МНК коэффициенты р0 и рь затем возвращаются к исходному уравнению регрессии (8.8).
Если в уравнении регрессии присутствует несколько объясняющих переменных, можно поступить следующим образом. Вместо конкретной объясняющей переменной Xj используется Y исходного уравнения множественной линейной регрессии Y= bo + biXi + ... + bmXm , т. e. фактически линейная комбинация объясняющих переменных. В этом случае получают следующую регрессию:
 |
|
Иногда из всех объясняющих переменных выбирается наиболее подходящая, исходя из графического представления (рис. 8.4). |
2. Дисперсия
В случае, если зависимость а2 от хі целесообразнее выразить не линейной функцией, а квадратичной, то соответствующим преобразованием будет деление уравнения регрессии (8.8) на хх:
— = в0 — + в1 +^~ => — = в0 — + Bj +?і , где Vj = —. (8.13)
xi xi xi xi xi xi
По аналогии с вышеизложенным несложно показать, что для отклонений ?і будет выполняться условие гомоскедастичности. После определения по МНК оценок коэффициентов р0 и Р! для уравнения
(8.13) возвращаются к исходному уравнению (8.8).
Отметим, что для применения описанных выше преобразований существенную роль играют знания об истинных значениях дисперсий отклонений о,2, либо предположения, какими эти дисперсии могут быть. Во многих случаях дисперсии отклонений зависят не от включенных в уравнение регрессии объясняющих переменных, а от тех, которые не включены в модель, но играют существенную роль в исследуемой зависимости. В этом случае они должны быть включены в модель. В ряде случаев для устранения гетероскедастичности необходимо изменить спецификацию модели (например, линейную на лог-линейную, мультипликативную на аддитивную и т. и.).
В заключение отметим, что наличие гетероскедастичности не позволяет получить эффективные оценки, что зачастую приводит к необоснованным выводам по их качеству. Обнаружение гетероскедастичности - достаточно трудоемкая проблема и для ее решения разработано несколько методов (тестов). В случае установления наличия гетероскедастичности ее корректировка также представляет довольно серьезную проблему. Одним из возможных решений является метод взвешенных наименьших квадратов (при этом необходима определенная информация либо обоснованные предположения о величинах дисперсий отклонений). На практике имеет смысл попробовать несколько методов определения гетероскедастичности и способов ее корректировки (преобразований, стабилизирующих дисперсию).
Вопросы для самопроверки
1. В чем суть гетероскедастичности?
2. Какое из следующих утверждений верно, ложно или не определено:
а) вследствие гетероскедастичности оценки перестают быть эффективными и состоятельными;
б) оценки и дисперсии оценок остаются несмещенными;
в) выводы по t- и F-статистикам являются ненадежными;
г) при наличии гетероскедастичности стандартные ошибки оценок будут заниженными;
д) гетероскедастичность проявляется через низкое значение статистики Дар-бина-Уотсона DW;
е) не существует общего теста для анализа гетероскедастичности;
ж) тест ранговой корреляции Спирмена основан на использовании t-статистики;
з) тест Парка является частным случаем теста Глейзера;
и) использование метода взвешенных наименьших квадратов носит ограниченный характер, т. к. для его использования необходимо знать дисперсии отклонений;
к) если в парной регрессии дисперсия случайных отклонений пропорциональна величине объясняющей переменной (х), то для получения эффективных оценок необходимо все наблюдаемые значения поделить на х.
3. Приведите аргументы в пользу графического теста, теста Парка и теста Глей-зера.
4. Приведите схему теста Голдфелда-Квандта.
5. В чем суть метода взвешенных наименьших квадратов (ВНК)?
6. Объясните кратко, почему при наличии гетероскедастичности ВНК позволяет получить более эффективные оценки, чем обычный МНК.
7. Есть основание считать, что в регрессии, построенной по квартальным данным, случайные отклонения в первых кварталах больше, нежели отклонения в других кварталах. Как это можно проверить?
Упражнения и задачи
1. Пусть зависимость заработной платы (Y) от стажа работы (X) сотрудника выражена следующим уравнением регрессии:
Y=p0 + piX + yD + s,
где D - фиктивная переменная, отражающая пол сотрудника. Как можно проверить предположение о том, что пол сотрудника не влияет на дисперсию случайных отклонений ві?
2. Приведены данные в условных единицах по доходам (X) и расходам на непродовольственные товары (Y) для тридцати домохозяйств:
|
X |
26.2 |
33.1 |
42.5 |
47.0 |
48.5 |
49.0 |
49.1 |
50.9 |
52.4 |
53.2 |
|
Y |
10.0 |
11.2 |
15.0 |
20.5 |
21.2 |
19.5 |
23.0 |
19.0 |
19.5 |
18.0 |
|
X |
54.0 |
54.8 |
59.0 |
61.3 |
62.5 |
63.1 |
64.0 |
66.2 |
70.0 |
71.5 |
|
Y |
24.5 |
21.5 |
35.4 |
25.0 |
17.3 |
21.6 |
15.3 |
32.6 |
34.0 |
23.8 |
|
X |
73.2 |
75.4 |
76.0 |
80.6 |
81.2 |
83.3 |
92.0 |
95.5 |
103.2 |
110.4 |
|
Y |
22.5 |
27.4 |
40.0 |
23.5 |
20.0 |
40.1 |
15.5 |
39.0 |
47.4 |
21.3 |
а) Определите по МНК оценки парного уравнения регрессии ух = bo+ biXfb еі.
б) Оцените качество построенного уравнения.
в) Проведите графический анализ остатков.
г) Примените для указанных статистических данных ВНК предположение, что о2(е,) = о2х,2.
д) Примените к полученным в п. а) результатам тест ранговой корреляции Спирмена и тест Парка.
е) Определите, существенно ли повлияла гетероскедастичность на качество оценок в уравнении, построенном по МНК.
3. Для предприятий некоторой отрасли анализируют зависимость заработной платы (Y) сотрудников в зависимости от масштаба (от количества сотрудников) предприятия (X). Наблюдения по тридцати случайно отобранным предприятиям представлены следующей таблицей:
|
Y |
X |
|
75.5 |
75.5 |
77.5 |
78.5 |
80.0 |
81.0 |
100 |
|
80.5 |
82.0 |
84.5 |
85.0 |
85.5 |
86.5 |
200 |
|
85.5 |
88.5 |
90.0 |
91.0 |
95.0 |
96.0 |
300 |
|
93.0 |
93.5 |
97.5 |
99.0 |
102.5 |
105.0 |
400 |
|
102.0 |
105.5 |
107.0 |
110.5 |
115.0 |
118.5 |
500 |
а) Постройте уравнение регрессии Y на X и оцените его качество.
б) Можно ли ожидать наличие гетероскедастичности в данном случае. Ответ поясните.
в) Проверьте наличие гетероскедастичности, используя тест Голдфелда-Квандта. Рекомендуется использовать разбиение, при котором к = 12.
г) Если предположить, что гетероскедастичность имеет место, и дисперсии отклонений пропорциональны значениям X, то какое преобразование вы предложите, чтобы получить несмещенные, эффективные и состоятельные оценки.
д) Постройте новое уравнение регрессии на основе преобразования, осуществленного в предыдущем пункте, и оцените его качество.
е) Сравните результаты, полученные в пунктах а) и д).
4. Пусть для эмпирического уравнения парной регрессии Y = bo + biX + e име-
2 2
ет место следующее соотношение М(еі ) = а Xj. Какое преобразование можно предложить, чтобы устранить проблему гетероскедастичности. Опишите поэтапно предложенную схему.
5. Пусть для регрессии Y = Ьо + ЬіХі + ЬгХг + е, оцениваемой по ежегодным данным (1971-1998), получены следующие результаты: сумма квадратов от-клонений для данных 1971-1980 гг. равна S] = Zei =15, для данных 1981-1998 гг. эта сумма равна S2 = Zei = 50. С помощью теста Голдфелда-Кванд-та проверьте предположение о том, что дисперсия отклонений не постоянна (в частности, что дисперсия претерпела изменение где-то в 1981 г.).
6.
Анализируется объем инвестиций для вымышленной страны По данным с 1961 по 1990 г. построены два уравнения регрессии:
1) it = 52.5 + 0.275gnpt - 0.63ct,
(t) = (12.5) (10.2) (6.4) R2 = 0.98.
2) —!—= 50.7—-— + 0.27 - 0.62-^,
gnpt gnpt gnpt
(t) (13.3)
(9.3) (6.9) R2 = 0.87,
где GNP - валовой национальный продукт; С - совокупное частное потребление; I - объем инвестиций; gnpt, сц it - значения соответствующих показателей в момент времени t.
а) Что могло послужить причиной преобразования первого уравнения во второе?
б) Если причиной преобразования являлась гетероскедастичность, то какое предположение о дисперсии отклонений являлось основанием для данного преобразования?
в) Можно ли сравнить качества обоих уравнений на основе коэффициентов детерминации? Ответ поясните.
г) Должно ли преобразованное уравнение проходить через начало координат?
7. Выдвигается предположение, что средняя заработная плата наемных рабочих пропорциональна их стажу. Для анализа данного утверждения обследуются по 20 рабочих восьми категорий стажа. Получены следующие статистические данные:
Стаж [0,5) [5, 10) [10, 15) [15, 20) [20, 25) [25, 30) [30, 35) [35, 40] 10000 12500 14300 18700 25400 29000 32000 34300
а) Постройте эмпирическое уравнение регрессии, в котором заработная плата является зависимой переменной, а стаж работы - объясняющей переменной (уравнение строится в предположение, что дисперсии отклонений постоянны).
б) Оцените качество построенной регрессии.
в) Есть ли основания считать, что для данной регрессионной модели весьма вероятна гетероскедастичность? Если да, то почему?
г) Предполагая, что дисперсия отклонений пропорциональна трудовому стажу, постройте на основании тех же данных уравнение по методу взвешенных наименьших квадратов (ВНК).
д) Предполагая, что дисперсия отклонений пропорциональна квадрату величины трудового стажа, постройте по ВНК соответствующее уравнение регрессии.
е) Какое из трех предположений относительно дисперсии отклонений наиболее реалистично с вашей точки зрения?
8. Исследуется зависимость между доходом (X) домохозяйства и его расходом (Y) на продукты питания. Выборочные данные по 40 домохозяйствам представлены ниже.
|
X |
25 |
5 |
26 |
5 |
27 |
2 |
29 |
6 |
35 |
.7 |
38.6 |
39.0 |
39.3 |
40.0 |
41.9 |
42.5 |
44.2 |
44.8 |
45.5 |
|
Y |
14 |
5 |
11 |
3 |
14 |
7 |
10 |
2 |
13 |
.5 |
9.9 |
12.4 |
8.6 |
10.3 |
13.9 |
14.9 |
11.6 |
21.5 |
10.8 |
|
X |
45 |
5 |
48 |
3 |
49 |
5 |
52 |
3 |
55 |
.7 |
59.0 |
61.0 |
61.7 |
62.5 |
64.7 |
69.7 |
71.2 |
73.8 |
74.7 |
|
Y |
13 |
8 |
16 |
0 |
18 |
2 |
19 |
1 |
16. |
3 |
17.5 |
10.9 |
16.1 |
10.5 |
10.6 |
29.0 |
8.2 |
14.3 |
21.8 |
|
X |
75.8 |
76.9 |
79.2 |
81.5 |
82.4 |
82.8 |
83.0 |
85.9 |
86.4 |
86.9 |
88.3 |
89.0 |
|
Y |
26.1 |
20.0 |
19.8 |
21.2 |
29.0 |
17.3 |
23.5 |
22.0 |
18.3 |
13.7 |
14.5 |
27.3 |
а) Постройте эмпирическое уравнение регрессии Y на X.
б) Вычислите отклонения ер
в) Проведите анализ модели на гетероскедастичность по тесту ранговой корреляции Спирмена.
г) Проведите графический анализ отклонений и выдвиньте предположение о зависимости дисперсии отклонений от значений X.
д) На основании предыдущего пункта постройте новое уравнение регрессии, используя для этого ВНК.
9. Проводится анализ зависимости средней заработной платы от средней производительности на предприятиях различного масштаба. Проведенное обследование нашло отражение в следующей таблице.
Количество сотрудников предприятия,
n |
Средняя
производительность,
X ($) |
Средняя
з/п,
Y ($) |
Стандартное отклонение з/п,
Оі ($) |
|
1-4 |
9320 |
3320 |
740 |
|
4-9 |
8630 |
3640 |
850 |
|
10- 19 |
8050 |
3900 |
730 |
|
20-49 |
8320 |
4120 |
820 |
|
50-99 |
8600 |
4090 |
950 |
|
100 - 199 |
9120 |
4200 |
1100 |
|
200 - 499 |
9540 |
4380 |
1250 |
|
500 - 999 |
9730 |
4500 |
1290 |
|
1000 - 1999 |
10120 |
4610 |
1350 |
|
2000 - 4999 |
10740 |
4800 |
1100 |
|
>5000 |
11200 |
5000 |
1520 |
а) Постройте уравнение регрессии уі = bo + bixj + еі, используя обычный
мнк.
Уі
X;
б) Постройте уравнение регрессии —=b0--f bj — 4—L.
Уі
Уі
Уі Уі
в) Сравните полученные результаты. Какое из уравнений вы предпочтете и почему?
Экономика: Знания - Циклы - Макроэкономика