Юдин С. В. - Математика в экономике
В пособии кратко описаны пакеты программ, распространяемые на условиях лицензии GNU GPL, не предполагающей регистрации и оплаты за использование. Показано, как с помощью этих программ решать практически любые экономико-математические задачи.
Приведены примеры решения сорока восьми задач.
Пособие предназначено для студентов экономических специальностей, преподавателей специальных экономических дисциплин, магистрантов и аспирантов, занимающихся исследованиями экономических процессов.
Предисловие
Автор данного учебного пособия тридцать лет преподает математические дисциплины в ВУЗах, имеет опыт работы в Тульском государственном университете (ТулГУ), Тульском филиале Всероссийского заочного финансово-экономического института (ТФ ВЗФЭИ), Тульском филиале Российского торгово-экономического университета (ТФ РГТЭУ), а также в системе довузовской подготовки. Базовое образование получил в Московском физико-техническом институте. Доктор технических наук, доцент по кафедре ЭВМ, профессор ТФ РГТЭУ, член-корреспондент Академии проблем качества.
Основные проблемы преподавания математики в высшей тттко-ле возникли из-за резкого снижения качества преподавания этого предмета в школе. Можно по-разному объяснять причины этого явления, но оно существует, и это - главное.
Точка зрения автора на эту проблему изложена в статье [8].
Следует заметить, что в школьной программе по математике и физике ряд разделов совершенно излишен. Они на новом, более серьезном уровне, изучаются в базовых курсах в вузах. К ним относятся элементы дифференциального и интегрального исчисления в математике, ряд теорем в геометрии и стереометрии, элементы квантовой механики и теории относительности, полупроводники в физике.
Эти темы достаточно сложны не только с точки зрения освоения специфического аппарата, но и с философской точки зрения. Подавляющему большинству выпускников школы, да и не только школы, но и вуза, они никогда в жизни не пригодятся.
В то же время в школьной программе нет очень важных тем:
элементов теории вероятностей, управления личными финансами,
7
оценки рисков. Многие простые разделы школьниками усваиваются плохо. К ним относятся проценты, элементарная механика и многие другие.
В информатике слишком большое внимание уделяется вопросам программирования, с которыми рядовой пользователь никогда не столкнется, в то же время, выпускники школ обладают крайне слабыми навыками делопроизводства, совершенно не владеют богатыми возможностями электронных таблиц и программ по подготовке презентаций.
Серьезный удар по школе был нанесен после разрешения «авторских» программ и методик. В конце 80-х ... начале 90-х годов ХХ века это привело к широкому распространению совершенно безграмотных методик и учебников, появлению шарлатанов «от педагогики», абсолютно не знающих (или, того хуже, не желающих знать) ни предмета, ни детей.
Абсолютное пренебрежение наработанными к этому времени методикам сказалось на качестве получаемых знаний по всем предметам школьной программы. Лишь в последние годы стали заметны усилия по стандартизации базы знаний и умений, которыми должны владеть выпускники школ.
Возникает проблема, связанная именно с уровнем знаний и умений наших абитуриентов. Механическое повышение требований - означает отрезать бедных от последней возможности изменить свое положение, т.к. это означает огромные траты на внешкольное дополнительное образование. Это - не выход.
Олимпиады - тоже не панацея. Дело в том, что олимпиадные задачи требуют совершенно другого мышления, которое необходимо опять-таки тренировать за пределами школы. Где взять кадры и деньги, необходимые для этого? Где найти необходимую литературу, которую если и издавали последние годы, то совершенно мизерным тиражом? Или опять это ляжет на плечи родителей?
Какой выход предлагает автор?
С нашей точки зрения пора переходить от стремления научить всех МАТЕМАТИКЕ, т.е. стройной системе знаний, в которой студенты могут свободно ориентироваться и даже доказывать теоремы, к системе навыков и умений. При этом необходимо как можно шире прибегать к использованию современных программных средств.
Когда речь идет о современных программных средствах символьной математики, обычно называют Mathcad, Mapple, Mathemati-ca и др. Эти системы хороши, но стоимость их слишком велика: 40000 ... 60000 рублей. Если поставить их на школьные или университетские компьютеры, можно будет снизить стоимость за счет оптовой поставки и скидки для учебных заведений, но за использование этих систем на домашнем компьютере все равно придется платить полную стоимость, что доступно очень немногим.
В то же время имеется ряд бесплатных программ.
Программа MAXIMA [1, 6, 7] предназначена для решения алгебраических, тригонометрических, матричных, дифференциальных уравнений и систем уравнений, символьных преобразований, построения графиков. На ее основе можно наглядно представить весь курс школьной и вузовской математики, добиться от учащихся освоения необходимых приемов вычисления, решения стандартных задач, символьных алгебраических преобразований.
Программа GRETL [4, 5] предназначена для проведения статистического анализа и построения статистических моделей.
Офисный пакет OpenOffice.org [11, 12] способен полностью заменить офисный пакет от Microsoft.
Все эти программы можно установить для работы как в операционной систем Microsoft Windows, так и в открытой ОС Linux.
Естественно, это потребует изменения образовательных стандартов, коренного изменения, как методики преподавания, так и общего подхода к оценке знаний учащихся.
Возможно, школьные выпускники, экономисты, инженеры по ряду специальностей и другие не смогут считаться «математически грамотными». Но, если вдуматься, многим ли специалистам необходимо быть именно математиками? Многие ли из инженеров, экономистов, логистиков, работников банков ставились перед необходимостью разрабатывать новые математические методы?
Специалисты, которые не занимаются научными исследованиями, с точки зрения современного общества являются пользователями, для которых необходимо предложить соответствующее руководство, организовать необходимое обучение и тренинг. Нет необходимости разбираться в квантовой механике и теории пределов для того, чтобы делать хорошие автомобили и шить красивую одежду. Именно для пользователей и написана эта книга.
Но она будет полезна и исследователям, ведь даже в известном всем Microsoft Office Excel скрыты огромные возможности по обработке числовой информации, о чем подавляющее большинство студентов, аспирантов и даже преподавателей и не подозревают.
Предлагаемое пособие ни в коей мере не способно заменить учебники по соответствующим предметам. Его целесообразно использовать параллельно с ними при решении соответствующих задач.
1. Свободное программное обеспечение
1.1. Основные сведения о свободном программном обеспечении
Свободное ПО (Free Software) — программы для ЭВМ, которые распространяются на условиях, предоставляющих пользователям четыре ключевые свободы (права):
1 - свободное использование программного обеспечения в лю
бые целях;
2 - свободное изучение и адаптация ПО к нуждам пользовате
ля^) при условии открытого доступа к исходному коду программы;
3 - свободное распространение программного обеспечения (за
деньги или безвозмездно);
4 - свободное усовершенствование и публикация ПО, включая
распространение усовершенствованных версий, при условии открытого доступа к исходному коду программы.
Каждый пользователь свободной программы, в отличие от несвободной (проприетарной), является полноценным владельцем программы (обладает неисключительными авторскими имущественными правами на нее) и не зависит от воли разработчика программы или правообладателя.
Важнейшим следствием прав (2) и (4) является распространение свободной программы только при открытом доступе к её исходному коду.
Подобные программы распространяются под лицензией GNU General Public License, которая и описывает приведенные выше свободы.
Свободное ПО не означает, что оно является бесплатным. В случае продажи копии программы продавец, как правило, предоставляет ряд дополнительных услуг, которые, собственно, и оплачиваются (не считая стоимости изготовления и доставки копии покупателю). Если же программа пользователем самостоятельно скопирована, то она обойдется ему бесплатно, но никакие дополнительные услуги ему оказаны не будут.
Пользователь программного обеспечения самостоятельно решает, какие программы он будет использовать: коммерческие или свободно распространяемые.
Каждый вид ПО имеет свои достоинства и недостатки. Рассмотрим основные виды программных средств, не претендуя на полноту обзора.
Начнем с важнейшей части любого компьютера - операционной системы (ОС). Почему автор говорит об ОС, а не о процессоре, материнской плате и т.п.? С нашей точки зрения рядовому пользователю все это, по большому счету, безразлично. Все современные компьютеры способны выполнять все задачи, возникающие в процессе работы и учебы. Еще несколько лет тому назад компьютером пользовались, в основном, специалисты в области информационных технологий (ИТ), а прочие использовали эту технику только для ввода данных, набора текстов. Всегда были исключения - геймеры, фанаты-программисты и им подобные (не следует считать, что автор относится к ним с предубеждением, он доцент по кафедре ЭВМ и сам был таким). Владельцы ПК хвастались друг перед другом мощностью процессоров и видеокарт, сравнивали их возможности и постоянно производили модернизацию (апгрейд) техники.
Сейчас этот бум спал. На первый план вышли соображения удобства пользования, простота работы, доступность информационных технологий «чайнику».
С точки зрения автора, обычному пользователю и не надо знать, что там внутри. Важны три основных условия:
1 - возможность выполнения всех задач, как в работе, так и в
учебе;
2 - простота использования;
3 - минимальные требования к общей подготовке.
Как уже отмечено выше, все современные компьютеры, как стационарные (десктопы), так и переносные (лэптопы или ноутбуки) способны выполнять все основные задачи, за исключением, быть может, некоторых специфических, таких как исполнение последних компьютерных игр, обработки видеосигнала в реальном времени и т.п. Но эти задачи не являются теми, которые подавляющее большинство пользователей решают в процессе своей работы или учебы. Таким образом, первое условие можно считать выполненным всегда.
Для работы на ПК необходима специальная программа-посредник, которая должна переводить команды пользователя в вид, понятный исполнителю-компьютеру. В качестве такого посредника выступает операционная система.
В России широкое распространение получили следующие операционные системы:
1 - коммерческая ОС семейства Microsoft Windows корпорации Microsoft;
2 - множество клонов открытой ОС семейства Linux;
3 - специфическая Mac OS (используется только на компьютерах семейства Apple Macintosh) .
Операционная система Microsoft Windows лучше всех других известна в России. Это можно объяснить двумя факторами. Во-первых, дружественность интерфейса, простота работы и настройки, отсутствие требований к специальным знаниям. Во-вторых, большое количество пиратских копий, доступных до сих пор на каждом углу.
Открытые ОС семейства Linux, как правило, используют люди с высокой квалификацией в области системного программирования. Если Вам необходимо достичь высочайшей надежности, максимальной производительности, полной безопасности, то Ваша ОС - Linux.
Помимо этого, практически все пакеты с ОС Linux поставляются с огромным количеством прикладных программ. Как правило, они имеют в своем составе офисные пакеты, графические редакторы, музыкальные и видеопроигрыватели и т.д. и т.п. Нет необходимости искать и покупать что-то, чего нет в основной поставке. Кроме этого, каждая версия ОС Linux связана со своим депозитарием, в котором находится огромное количество бесплатных программ любой направленности.
Совершено уникальная особенность ОС Linux - возможность создания и использования полноценной системы, которая загружается и работает без установки - непосредственно с компакт-диска. При этом имеется возможность чтения и записи на другие носители информации, работы со всеми пакетами программ, записанными на CD. Такие системы носят название LiveCD.
Есть одна проблема. Сложность в использовании. Как бы ни заклинали духов шаманы-линуксоиды, сколько бы рекламных статей они ни писали, пока эта система не может служить образцом дружелюбия. С ней необходимо сражаться, тратить драгоценное время на разрешение тех проблем, которые в Microsoft Windows просто не возникают.
Самое главное в том, что при покупке ПК с предустановленной Linux нет гарантии полной работоспособности системы. Это, в частности, случилось и с автором при покупке ПК фирмы MSI с ОС SUSE - Linux Enterprise Desktop 10. Для отыскания и установки драйверов ряда устройств пришлось потратить не менее 10 часов, что можно оценить в 4000...5000 руб. Стоимость предустановленной Microsoft Windows существенно ниже. Кстати, ОС SUSE является коммерческой.
Автор тестировал ряд других ОС на базе Linux и пришел к выводу, что пока стоит, несмотря на нелюбовь линуксоидов к Биллу Гейтсу (основатель фирмы Microsoft), пользоваться именно Microsoft Windows.
Операционные системы дают возможность пользователям общения с ПК, а решать задачи приходится с помощью разнообразного специализированного ПО.
Рассмотрим некоторые программы, которые наиболее часто используют студенты, аспиранты и преподаватели ВУЗов.
В первую очередь, нам нужны офисные пакеты программ. Ведь каждый из нас сталкивается с необходимостью написания отчетов (для этого нужен текстовый редактор), содержащие, зачастую, таблицы и графики, составленные по данным этих таблиц (для этого нужны табличные процессоры, обладающие возможностью упорядочивать и обрабатывать данные, строить различные диаграммы и графики). Часто возникает необходимость публичной презентации своих достижений (для составления визуального отображения целесообразно использовать слайды, каковые могут быть изготовлены в редакторе презентаций).
Как правило, все эти функции собраны в один пакет программ.
Существует несколько конкурирующих пакетов. Мы кратко рассмотрим только два из них.
Первый, это коммерческий пакет Microsoft Office корпорации Microsoft. В настоящее время актуальна версия Microsoft Office 2007. Осенью 2008 г. автор приобрел версию Microsoft Office 2007 Home and Student в рамках рекламной акции (лицензия на три компьютера за 1990 р.) и теперь этот пакет установлен на ПК автора, ноутбуке его дочери-студентки и ноутбуке сына-преподавателя. Такая цена может считаться оправданной в условиях России.
Этот пакет содержит текстовый редактор Microsoft Office Word 2007, электронные таблицы Microsoft Office Excel 2007, редактор презентаций Microsoft Office PowerPoint 2007, электронная записная книжка Microsoft Office OneNote 2007. По функциональности этот пакет превосходит старые (MS Office XP, MS Office 2003). Кардинально переработанный интерфейс не вызывает особых проблем и позволяет быстро производить необходимые действия.
Второй пакет - это офисный пакет, разработанный и распространяемый на основе открытой лицензии GNU General Public License: OpenOffice.org. В настоящее время актуальна версия 3.0.
Офисный пакет OpenOffice.org содержит:
1 - текстовый редактор OpenOffice.org Writer;
2 - электронные таблицы OpenOffice.org Calc;
3 - редактор презентаций OpenOffice.org Impress;
4 - графический редактор OpenOffice.org Draw.
Можно утверждать, что этот пакет является полноценной заменой Microsoft Office. С его помощью можно читать, редактировать и сохранять документы в форматах Microsoft Office, своих собственных форматах (что предпочтительнее). В качестве недостатков можно отметить, что набирать формулы в редакторе OpenOffice.org Writer сложнее, чем в Microsoft Office Word, а электронные таблицы OpenOffice.org Calc не позволяют решать задачи нелинейного программирования, в отличие от Microsoft Office Excel. В них также отсутствуют богатейшие возможности Microsoft Office Excel и Gnumeric по статистическому анализу данных.
Помимо операционной системы и офисного пакета пользователю, как правило, необходимы другие программы. Мы рассмотрим те из них, которые могут пригодиться в учебе и работе студентам, аспирантам и преподавателям, чья специальность связана с применением математических методов в экономике.
В первую очередь, необходима программа, позволяющая не только проводить математические расчеты, но и помогать в изучении общих математических методов. Имеется множество разных программ.
К коммерческим относятся такие как Mapple, Mathematica, MathCad, MathLab. Это очень мощные средства, позволяющие решить практически любую задачу. Все они имеют возможность символьных преобразований. Иначе говоря, можно решить задачу не только численно, как к этому привыкли школьники и студенты за время изучения курса «Информатика», но и в обычном символьном виде. С точки зрения автора, наиболее удачный интерфейс разработан для программы MathCad. Если же говорить о мощности и универсальности - то это программа Maple. С точки зрения решаемых в экономике задач любая из этих программ позволит пользователю добиться поставленных целей.
Недостаток этих программ в одном - высокая цена.
Среди свободного ПО можно отметить упомянутый выше пакет Maxima. Недостаток - не очень красивый интерфейс.
Указанные математические пакеты являются универсальными. Тем не менее, имеется ряд задач, таких как проведение статистического анализа, для решения которых лучше подходят специализированные программы.
Широко известны коммерческие программы статистического анализа Statistica и SPSS. Они позволяют легко и просто решать сложнейшие статистические задачи, предоставляют великолепный графический интерфейс. Недостаток, опять-таки, один - высокая цена. Нет, для крупного и даже среднего предприятия, это не так много, но для студента, аспиранта и преподавателя ВУЗа 40000...60000 руб. многовато.
Имеется несколько хороших программ, распространяющихся свободно. Среди них стоит отметить программу Gretl. Она позволяет решать все те задачи, которые решают и коммерческие программы. Недостатков у нее два: более бедный интерфейс и отсутствие русифицированной версии. Так что необходимо знание английского языка на уровне твердой школьной четверки.
В целом, функциональность свободного ПО, как правило, не уступает функциональности коммерческого ПО. Разница только в удобстве и красоте интерфейса. Иногда коммерческие программы обладают большей функциональностью, но для целей обучения это не имеет значения.
Что касается надежности, то коммерческие программы не всегда отличаются в лучшую сторону. Любой товар должен обладать определенными потребительскими свойствами, быть безопасным. Производитель несет ответственность за брак и убытки, понесенные потребителем вследствие, например, возгорания телевизора, отравления пищевыми продуктами и т.д. В то же время производители массовых программных продуктов не несут никакой ответственности за брак. Во всех лицензионных соглашениях фигурирует оборот «as is». Иначе говоря, программа берется в том виде, в каком она поставляется, производитель не отвечает ни за какие последствия, возникшие вследствие использования ее, даже если в процессе работы программы будут разрушены данные, с которыми эта программа не должна была работать, не говоря уже о ее собственных базах данных.
С нашей точки зрения, здесь происходит нарушение прав потребителей. Их никогда полностью не информируют о всех свойствах ПО, производители никогда не берут на себя ответственность ни за правильное функционирование программ, ни за ущерб, нанесенный ПО во время эксплуатации.
Техническая поддержка, которую обеспечивают поставщики коммерческого ПО, заключается только в том, что Вам помогут разрешить те проблемы, которые любой грамотный пользователь решит самостоятельно, быть может, потратит 20...30 минут. Если же возникает проблема несовместимости с другими программами, будет обнаружена ошибка в самой программе, в частности, Вы выйдете за пределы области применимости тех методов, которые были использованы при разработке алгоритма, то помощи ждать бесполезно. Более того, Вас же и обвинят в том, что Вы невнимательно прочитали
лицензионное соглашение (кстати, ни в лицензионных соглашениях, ни в описаниях программ нет никаких сведений об области применимости алгоритмов). В идеале, для работы любой коммерческой программы требуется отдельный компьютер, на котором установлена свежая операционная система (имеется в виду, что ранее там ни одна прикладная программа не была установлена). Естественно, что такого не может быть ни у одного пользователя.
Что касается свободного ПО, то Вам предоставляется доступ к исходным текстам и документации, по которым можно определить ограничения и разного рода опасности. Это, однако, требует высокой квалификации.
1.2. Офисный пакет OpenOffice.org Краткое описание
Офисный пакет OpenOffice.org содержит практически все средства, необходимые офисному работнику [11, 12]. Ниже представлено краткое описание всех составных частей.
Writer (текстовый процессор, аналог Microsoft Word) - инструмент с богатыми возможностями для создания писем, книг, отчетов, информационных бюллетеней, брошюр и других документов. Writer может экспортировать файлы в HTML, XHTML, XML, Adobe’s Portable Document Format (PDF), и все версии файлов Microsoft Word, включая новый формат docx. Он также соединяется с вашим почтовым клиентом.
Calc (электронная таблица, аналог Microsoft Excel) имеет продвинутые средства анализа, построения диаграмм и возможности
принятия решений ожидаемые от высококачественных электронных
20
таблиц. Он включает более чем 300 функций, в том числе для финансовых, статистических и математических операций. Calc осуществляет построение 2-х и 3-х мерных диаграмм, которые могут быть встроены в другие документы OpenOffice.org. Вы можете также работать с рабочими книгами Microsoft Excel и сохранять их в формате Excel. Calc может экспортировать электронные таблицы в Adobe PDF и в HTML.
Impress (презентационная графика, аналог Microsoft PowerPoint) обеспечивает все общие средства представления мультимедиа, такие как специальные эффекты, анимация и средства рисования. Демонстрация слайдов может быть расширена специальными текстовыми эффектами, а так же звуковыми и видеоклипами. Impress совместим с форматом файла Microsoft PowerPoint, и может также сохранять вашу работу в многочисленных графических форматах, включая Macromedia Flash (SWF).
Draw (редактор векторной графики) - инструмент векторного рисования, с помощью которого можно выполнять все, от простых диаграмм или блок-схем до трехмерных художественных работ. Draw может импортировать графику из многих распространенных форматов и сохранять ее в более чем 20-и форматах, включая PNG, HTML, PDF и Flash.
Base (база данных, аналог Microsoft Access) обеспечивает инструментальные средства для ежедневной работы с базами данных. Он может создать и редактировать формы, отчеты, запросы, таблицы, представления и отношения, так чтобы управление связанной базой данных было почти таким же как в других популярных приложениях баз данных. Base обеспечивает много новых возможностей, таких как возможность анализировать и редактировать отношения из схемы представления. Base включает HSQLDB как его заданный по умолчанию механизм реляционной базы данных. Он может также использовать dBASE, Microsoft Access, MySQL или Oracle, или любую ODBC или JDBC совместимую базу данных. Base также обеспечивает поддержку поднабора ANSI-92 SQL.
Math (редактор формул). Вы можете использовать его, чтобы создавать сложные уравнения, которые включают знаки или символы, не доступные в стандартных шрифтовых наборах. Он используется для создания формул в других документах, типа файлов Writer и Impress, но может также выступать как автономный инструмент. Вы можете сохранить формулы в стандартном формате Mathematical Markup Language (MathML) для включения в web-страницы и другие документы, созданные не в среде OpenOffice.org.
В настоящее время актуальна версия OpenOffice.org 3.0.
Установка пакета OpenOffice.org
Последнюю версию пакета OpenOffice.org можно скачать с сайта проекта [11]. У автора на момент написания руководства имелась версия OpenOffice.org 3.0.1.
Для установки пакета следует запустить установочную программу дважды кликнув по ней мышкой:
OOo_3.0.1 _Win32Intel_install_ru_infra_wJRE.exe
Мастер установки последовательно проводит пользователя через ряд последовательных шагов.
После запуска установочной программы появляется первое сообщение, представленное на рис. 1.1.
После нажатия кнопки «Далее» Вам будет предложено выбрать папку для переноса туда установочных файлов (рис. 1.2.)
После выбора папки или создания новой следует нажать кнопку «Распаковать».
После распаковки файлов из архива и их сохранения, начнется собственно установка (рис. 1.3). После нажатия кнопки «Далее» будет предложено ввести информацию о пользователе (рис. 1.4). Т.к. Офисный пакет нужен практически всем, целесообразно указать, что необходимо установить данную программу для всех пользователей. В конце нажать кнопку «Далее».
 |
|
Рис. 1.1. Подготовка к установке OpenOffice.org |
 |
Рис. 1.2. Выбор места сохранения установочных файлов Следующий вопрос: тип установки (рис. 1.5). Следует выбрать «Полная» и нажать кнопку «Далее». Последний вопрос: следует ли создать ярлык на рабочем столе? (рис 1.6). Автор рекомендует создать. После нажатия кнопки «Далее» начнется собственно установка, ход которой будет показываться с помощью графического индикатора (рис. 1.7).
По завершении установки появится информационное сообщение (рис. 1.8). После нажатия кнопки «Готово» будет произведен выход из программы установки и можно начинать работу с пакетом OpenOffice.org. |
|
Рис. 1.3. Начало установки |
 |
|
Рис. 1.4. Ввод информации о пользователе |
 |
Рис. 1.5. Выбор типа установки
|
Рис. 1.6. Старт установки |
 |
|
Рис. 1.7. Индикатор состояния установки |
 |
Рис. 1.8. Конец установки
Первый запуск OpenOffice.org
Во время установки пакета OpenOffice.org программа установки разместила временные файлы на рабочем столе. Эти файлы следует удалить, чтобы не захламлять сам рабочий стол и освободить место на жестком диске.
Для работы с офисным пакетом OpenOffice.org следует дважды щелкнуть мышкой по ярлыку приложения.
Во время первого запуска Вас соединят через Ваше Интернет-соединение с сайтом проекта, на котором находятся актуальные версии и обновления. Обновите Вашу копию OpenOffice.org, если это необходимо.
 |
Рис. 1.9. Начало работы с офисным пакетом OpenOffice.org Поскольку целью данной работы не является ознакомление со всем офисным пакетом OpenOffice.org, то далее мы будем рассматривать работу только с электронными таблицами. Для вызова электронной таблицы Calc следует нажать на соответствующую кнопку (рис. 1.9).
После запуска электронных таблиц, можно начинать работу с ними (рис. 1.10). |
 |
|
Рис. 1.10. Внешний вид табличного процессора OpenOffice.org |
Calc
Оформление меню и внешний вид табличного процессора Ope-nOffice.org Calc очень похожи на тоже в MS Excel версии XP и 2003. Таким образом, не должно возникнуть проблем по работе с этими таблицами.
Если же возникает вопрос по ходу работы, то имеется русифицированная справочная система.
1.3. Электронные таблицы Gnumeric
Электронные таблицы Gnumeric [10] являются аналогом MS Excel. Они предназначены для выполнения любых расчетов со структурированными данными. Количество встроенных формул превышает то же у MS Excel. Они распространяются по лицензии GNU GPL.
Имеющаяся у автора версия Gnumeric 1.9.1 не является самой последней, но еще актуальной. Скачать последние версии и обновления можно по адресами После запуска программы установки появится предупреждающее сообщение операционной системы (рис. 1.11).
 |
Рис. 1.11. Предупреждение операционной системы.
После нажатия кнопки «Выполнить» начнется установка (рис. |
1.12)
После нажатия кнопки «Next» будет предложено познакомиться с лицензионным соглашением (рис. 1.13). После принятия этого соглашения (следует нажать кнопку «I Agree») будет предложено выбрать тип установки (автор рекомендует «Full», см. рис. 1.14), место установки (рис. 1.15, рекомендация - оставить по умолчанию) и, наконец, имя программной группы в меню операционной системы «ПУСК» (рис. 1.16). Затем начнется собственно установка (рис. 1.17), которая закончится информационным сообщением об успешном завершении процесса (рис. 1.18).
 |
Рис. 1.12. Начало установки
Примечание: в окнах, описываемых рис. 1.14, рис. 1.15, следует нажимать кнопку «Next», рис. 1.16 - «Install», рис. 1.18 - «Finish».
После завершения установки можно сразу же начинать пользоваться электронными таблицами Gnumeric.
Внешний вид программы представлен на рис. 1.19. Как можно заметить, структура окна и меню похожи на электронные таблицы MS Excel.
На рис. 1.20 представлено меню «Статистический анализ».
32 |
|
Рис. 1.13. Лицензионное соглашение |
 |
|
Рис. 1.15. Выбор места установки |
 |
|
Рис. 1.17. Индикатор процесса установки |
 |
|
Рис. 1.19. Внешний вид программы Gnumeric |
 |
1.4. Математический пакет Maxima
Пакет предназначен для проведения любых математических вычислений, как символьных, так и численных.
На момент написания данного руководства автор имел следующую актуальную версию для MS Windows: Maxima 5.12.0.а с графической оболочкой wxMaxima 0.7.2.
Установка программы начинается с выбора языка установки (рис. 1.21).
 |
Рис. 1.21. Выбор языка установки
После выбора языка появится информационное сообщение (рис. 1.22), лицензионное сообщение (рис. 1.23) и предупреждающее сообщение (рис. 1.24).
Дальнейший ход установки представлен на рис. 1.25...рис. |
1.32.
После завершения установки можно начинать работу с программой Maxima. Автор рекомендует использовать графический интерфейс wxMaxima, как наиболее удобный для начинающих (см. рис. 1.33).
|
Рис. 1.22. Информационное сообщение |
 |
 |
|
Рис. 1.24. Предупреждающая информация |
 |
|
Рис. 1.26. Выбор компонентов программы (дополнительные языки устанавливать не имеет смысла) |
|
Рис. 1.27. Выбор папки в меню «Пуск» |
 |
|
Рис. 1.28. Установка дополнительных значков |
 |
|
Рис. 1.29. Информация о готовности начать установку |
 |
Рис. 1.30. Индикатор хода установки
|
Рис. 1.31. Предупреждающее информационное сообщение |
 |
 |
Рис. 1.33. Внешний вид программы Maxima с графическим интерфейсом wxMaxima.
Ряд наиболее часто используемых функций выведен на кнопки внизу главной панели, практически все остальные доступны через меню в верхней строке (см., например, рис. 1.34). Например, пункт меню «Анализ» содержит большое количество подпунктов (рис. 1.34а). При выборе подпункта «Интегрировать» появится панель ввода подынтегральной функции, переменной интегрирования и, если это необходимо для вычисления определенного интеграла, пределов интегрирования. |

а) б)
Рис. 1.34. Выбор функции
Как уже было отмечено выше, программа Maxima предназначена для проведения математических расчетов любого уровня сложности. Она может выполнять аналитические преобразования, находить неопределенные интегралы и производные, аналитически решать алгебраические и дифференциальные уравнения, проводить статистический анализ, решать задачи, используя численные методы. Построение графиков функций, арифметические вычисления - все это и еще многое другое доступно этой программе.
1.5. Пакет для статистических и эконометрических расчетов Gretl
На момент написания пособия у автора была последняя версия программы Gretl: 1.8.0 [2, 9]. Дополнительно, пакет снабжен рядом статистических и экономических данных, которые можно использовать при тренировках и составлении задач для студентов.
Gretl расшифровывается как GNU Regression, Econometrics and Time-series (регрессия, эконометрика и временные ряды). Она предназначена для решения статистических, эконометрических задач и анализа временных рядов.
Ниже, на рис. 1.35...рис. 1.40 представлен процесс установки этой программы.
 |
|
Рис. 1.35. Начало установки программы Gretl |
|
Рис. 1.36. Выбор места установки |
 |

Ready to Install
Setup is new ready to begin installing gretl on your computer.

?ick Install to continue with the installation, or dick Back if you want to review or change any settings.
|
Destination location: |
|
|
C:\Pnogram Files'¦¦gretl |
|
|
Start Menu folder: |
|
|
gretl |
|
|
=; Back |
install |
|
Cancel |
новке
|
Рис. 1.38. Информационное сообщение о готовности к уста- |
 |
Рис. 1.39. Индикатор хода установки
 |
Рис. 1.40. Завершение установки
Дополнительно к основному модулю желательно установить дополнительные, позволяющие более качественно производить анализ временных рядов. В частности, эти модули существенно точнее выявляют сезонные колебания при анализе временных рядов.
Первый модуль ts_install.exe установит основную программу анализа временных рядов. Эту программу можно скачать на сайте .
Ход установки указан на рис. 1.41...рис. 1.44. |
|
Рис. 1.41. Начало установки |
 |
|
Рис. 1.43. Сообщение о готовности установить файлы |
 |
Второй модуль x12a_install.exe установит программу анализа сезонных колебаний. Его также можно скачать с сайта http: //gretl. sourceforge. net/.
Ход установки показан на рис. 1.45... рис. 1.48.
|
Рис. 1.45. Начало установки |
 |
|
Рис. 1.46. Выбор места установки |
 |
|
Рис. 1.47. Сообщение о готовности копировать файлы |
 |
Рис. 1.48. Завершение установки
Линейная алгебра и аналитическая геометрия
2.1. Примеры решения задач линейной алгебры при помощи электронных таблиц Gnumeric
В электронных таблицах Gnumeric имеются следующие функции для работы с матрицами:
MMULT(array1, array2) - возвращает произведение двух матриц;
MDETERM(array) - возвращает определитель матрицы; MINVERSE(array) - возвращает обратную матрицу.
Ниже рассмотрим три примера на эти функции.
Задача 2.1. Умножение матриц
Зададим матрицы-сомножители:
1 2 3 А= 2 3 4 0 1 3
На рис. 2.1 представлены эти матрицы, введенные в лист Кни-ги1 табличного процессора Gnumeric. Элементы матрицы А размещены в ячейках B2:D4, а элементы матрицы B - в ячейках B6:C8.
Произведение C=AB представляет собой матрицу с тремя строками и двумя столбцами. Для того, чтобы табличный процессор мог разместить результат умножения, необходимо выделить место размещения ячеек новой матрицы (на рис. 2.1 - ячейки B10:C12).
Произведение матриц найдем при помощи функции MMULT. Для ее вызова следует нажать кнопку
, находящуюся во второй строке меню.
Появляется панель «Селектор функций», в котором необходимо выбрать в левом окне категорию «Математические», а затем в правом окне - функцию MMULT.
После нажатия кнопки «Вставка» появится панель «Помощник по формулам».
 |
Рис. 2.1. Ввод исходных данных и выделение места для результата
В этой панели следует указать в двух строках (выделяя в листе рабочей книги ячейки) диапазоны адресов ячеек, в которых находятся элементы матриц-сомножителей.
Обязательно пометить галочкой пункт «Ввести функцию как массив», иначе будет выведено только одно значение, а именно вц. |
После нажатия кнопки «ОК» в выделенных ячейках появится
|
результат умножения (см. рис. 2.4). |
 |
|
Рис. 2.2. Выбор функции |
 |
|
Рис. 2.3. Ввод аргументов в функцию |
 |
|
Рис. 2.4. Результат умножения |
Задача 2.2. Вычисление определителя
Для вычисления определителя используем те же электронные таблицы Gnumeric. На рис. 2.5 показана матрица А, чей определитель необходимо вычислить.
Вычисление определителя осуществляется функцией MDETERM (см. рис. 2.6).
После выбора функции на панели «Помощник по формулам» необходимо указать диапазон ячеек, в которых находятся элементы матрицы (рис. 2.7). Это осуществляется при помощи выделения мышкой на рабочем листе.
После нажатия кнопки «ОК» в ячейке В7 появляется результат: -1 (см. рис. 2.8).
 |
|
Рис. 2.5. Ввод матрицы и указание ячейки (В7), куда будет помещен результат |
К1 Селектор функций
Выбор функции для вставки
Категория
Функция
Финансовые
Gnumeric
Информационные
Логические
Поиск
Теория чисел
Случайные числа
Статистические
Строковые
Математические
Описание
ІодІО
mdeterm
ті inverse
mmult
mod
m round
mu tinomia
MDETERM(MaTpHqa)
Функция MDETERM возвращает детерминант заданной матрицы.
* Если ^-матрицасодержит неравное число строки столбцов, возвращается ошибка #VALLE'.
* Эта функция совместима с Excel.
Справка
Отменить
?З Вставка
Рис. 2.6. Выбор функции
W *Книга1.gnumeric : Gnumeric
Файл Правка вид Вставка Формат сервис данные справка
bans
,Г Помощник по формулам
=mdeterm(j
Название Тип Функция/Аргумент
array Область
Лист! B2:D4
А=
det А= I =mdeterm()
0 Ввести как функцию массива
Справка
отменить
Листі Лисг2 ЛистЗ
ф В ставка I
сумма=о
Рис. 2.7. Ввод области данных
 |
|
Рис. 2.8. Результат расчета |
Задача 2.3. Вычисление обратной матрицы
Для примера используем ту же матрицу (см. рис. 2.9). Для результата обязательно следует выделить необходимое место (там же, ячейки B6:D8). Обратная матрица вычисляется при помощи функции MINVERSE (рис. 2.10).
 |
Рис. 2.9. Ввод исходной матрицы и выделение места для результата
60 |
 |
Рис. 2.10. Выбор функции
На панели «Помощника по формулам» (рис. 2.11) необходимо указать диапазон размещения данных (это можно сделать выделением мышкой на рабочем листе). Обязательно нужно пометить галочкой пункт «Ввести как функцию массива», иначе вместо всей обратной матрицы будет указан только левый верхний элемент. |
|
|
|
S Г *Книга1.gnumeric : Gnumeric _ П X |
|
|
|
{^Д^1ааВмй1)1йШД1Ш|1ИЁ11Дщ г Помощник по формулам |
|
и |
|
|
|
Sans |
|
Название Тип |
Функция/Аргумент |
|
? |
minverseO |
|
массив Область |
Лисг1!В2:[>4 |
Отменить ОК
|
** =minverseQ |
|
|
|
|
А |
в |
с |
|
|
|
1 |
|
|
|
|
|
|
2 |
|
1 |
2 |
3 |
|
|
з |
А= |
2 |
3 |
4 |
|
|
4 |
|
0 |
1 |
3 |
|
|
5 |
|
|
|
|
|
|
6 |
|
= minverse([) |
|
|
|
7 |
>
>
і-1
II |
|
|
|
« |
|
|
|
|
9 |
|
|
|
|
|
|
10 |
|
|
|
|
|
|
11 |
|
|
|
|
|
|
12 |
|
|
|
|
|
0 ІВвести как функцию массива
Справка |
Рис. 2.11. Ввод параметров формулы
После нажатия кнопки «ОК» в выделенных ранее ячейках появится результат (рис. 2.12).
I? *Книга1 .gnumeric? Gnumeric
Файл Правка Вид Вставка Формат Сервис Данные Справка
т [іо т іа) Ц| I
] S3 ш
Sans
СЮ
{=тпиіЩЛист1!В2:04;Лист1!В6:ОЭ)ХЗ;3)[0][0] |
|
|
|
|
А |
В |
С |
D |
Е |
F |
G |
|
|
1 |
|
|
|
|
|
|
|
|
2 |
|
1 |
2 |
3 |
|
|
|
= |
|
3 |
А= |
2 |
3 |
4 |
|
|
|
|
4 |
|
0 |
1 |
3 |
|
|
|
|
5 |
|
|
|
|
|
|
|
|
6 |
|
-5 |
3 |
1 |
|
|
|
|
7 |
Ал-1= |
6 |
-3 |
-2 |
|
|
|
|
S |
|
— 2 |
1 |
1 |
|
|
|
|
9 |
|
|
|
|
|
|
|
10 |
Проверка |
1 |
0 |
0 |
|
|
|
11 |
В=А*АЛ1= |
0 |
1 |
0 |
|
|
|
12 |
|
|
0 |
0 |
1 |
|
|
Рис. 2.12. Результаты расчета
Для проверки, ниже показан результат умножения исходной матрицы на обратную. Как можно видеть, в ячейках C10:E12 находится единичная матрица, следовательно, обратная матрица найдена правильно.
2.2. Решение систем линейных алгебраических уравне
нии
Следующий пример, решение систем линейных алгебраических уравнений решим дважды. Один раз - при помощи табличного процессора OpenOffice.org Calc, а второй - при помощи программы Maxima.
Пусть дана система линейных алгебраических уравнений:
г Ъхі+ 4x2 + 3x^~ Х4 = 16
- 2 xi - 4 Х3 + 2 Х4 = — 6
- 2xi + Х2 - ЗХ3 + 3x4= 3 - xi + 3x2 - 2X3 — 3x4 = -13
Это уравнение можно переписать в матричном виде: AX=B.
|
B = |  |
|
х = |  |
^ 3 4 3 -Л f 16 Л
Здесь А =
-20-4 2
-21-3 3
-1 3 -2 -3
Домножим матричное уравнение слева на A"1. Получим A-lAX= A-1B, или EX=A-1B, или X=A-1B. Таким образом, для решения этой системы необходимо найти обратную матрицу и произвести матричное умножение.
Задача 2.4. Решение систем линейных алгебраических уравнений при помощи табличного процессора OpenOffice.org Calc
Первое действие - ввод исходных данных, а именно, матриц А и В (рис. 2.13). Кроме этого, целесообразно сразу же выделить место для обратной матрицы, указав положение левого верхнего элемента.
Второе действие - нахождение обратной матрицы. Для этого необходимо использовать функцию обращения матриц MINVERSE. Вызов функций происходит через «Мастер функций». Для этого следует нажать комбинацию клавиш «Ctrl»+«F2». Появится соответствующая панель (рис. 2.14).
Последовательность выбора:
- в разделе «Категория» выбирается пункт «Массив»;
- в появившемся списке функций выбирается нужная функция «MINVERSE»;
- нажимается кнопка «Далее».

|
Рис. 2.13. Ввод исходных данных |
 |
Рис. 2.15. Выбор функции при помощи «Мастера функций»
После нажатия кнопки «Далее» появляется окно ввода адресов параметров (рис. 2.16). Диапазон ячеек, в которых находятся элементы матрицы А (ячейки В1:Е4) целесообразно указать мышкой на рабочем листе.
После проверки, установлена ли галочка в окне «Массив» (внизу слева), можно нажать кнопку «ОК». На рабочем листе появляется результат (рис. 2.17).
После нахождения обратной матрицы можно начинать подготовку к вычислению вектора неизвестных (рис. 2.18). Указав верхнюю ячейку столбца, в котором будут располагаться результат расчетов, вызываем нажатием клавиш «Ctrl»+«F2» «Мастер функций», в котором выбираем функцию умножения матриц MMULT (рис. 2.19).
В два окна по очереди вводим диапазоны ячеек в которых находятся элементы обоих сомножителей (первый - обратная матрица А-1, второй - вектор свободных коэффициентов В).
 |
|
Рис. 2.16. Ввод параметров функции |

|
Рис. 2.17. Результат вычисления обратной матрицы |
 |
|
Рис. 2.18. Подготовка к вычислению вектора неизвестных |
 |
Рис. 2.19. Ввод параметров в функцию
После нажатия кнопки «ОК» на рабочем листе появятся результаты расчета (рис. 2.20): xi=1, x2=2, x3=3, x4=4.
 |
|
Рис. 2.20. Результаты решения системы |
Задача 2.5. Решение систем линейных алгебраических уравнений при помощи программы Maxima
Исходные данные используем те же, что и в задаче 4. Т.е. необходимо решить систему уравнений
Ъхі+ 4x2 + ЗХ3- Х4 = 16
- 2 xi - 4 Х3 + 2 Х4 = — 6
- 2xi + Х2 - ЗХ3 + 3x4 = 3
- xi + 3x2 - 2Х3 — 3x4= -13
Первый способ.
Используем специальную функцию solve, которую можно вызвать через кнопку «Решить» в нижней части окна программы (рис. 2.21).
 |
Рис. 2.21. Панель «Решить»
В верхнее окно панели «Решить» обычным текстом, через запятую и без пробелов, вводятся все уравнения (рис. 2.22). В качестве знака умножения используется символ «*». |
 |
Рис. 2.22. Ввод уравнений
В нижнем окне панели «Решить» вводятся, также через запятую и пробелов, все неизвестные, которые нужно определить. Следует отметить, что решение может быть не только числовым, но и символьным. |
После нажатия кнопки «ОК» в основном окне программы Maxima появляется решение (рис. 2.23, строка %о1).
 |
|
Рис. 2.23. Решение системы |
Второй способ
Теперь решим эту же систему через матрицы. Попутно освоим матричные операции в среде Maxima.
В нижней строке окна программы (окно «ВВОД») набираем «А:», а затем через пункты меню «Алгебра»==> «Ввести матрицу» (рис. 2.24) вызываем панель «Матрица», в которой задаем размерность матрицы 4х4 (рис. 2.25), после чего вводим элементы матрицы (рис. 2.26).
После ввода всех чисел и нажатия кнопки «ОК» в главном окне программы Maxima будет напечатана матрица А (рис. 2.27).
После этого, аналогично вводим матрицу В (рис. 2.28.. .2.30).
axfma 0.7.2[ не сохранено J
Алгебра
Анализ Упростить Графики
Файл Правка Maxima Уравнения
Создать матрицу
Ввести матрицу ...
Обратить матрицу Характеристический полином ... Определитель Собственные значения Собственные вектора Сопряженная матрица Транспонировать матрицу
/ *
-&х14ахіта 0.1.2 http://і Maxima 5.12.0 Using' Lisp GNU Common 1 Distributed under the C Dedicated to the memory This is a development \ provides bug reporting
(%il)
Создать список ...
Применить к списку ...
Применить к элементам списка .. Применить к элементам матрицы
|
Рис. 2.24. Создание и ввод новой матрицы |
 |
Ввести матрицу |
Ввести матрицу
|
|
|
5 |
4 |
5 |
-1 |
|
-2 |
0 |
-4 |
2 |
|
-2 |
1 |
-5 |
3 |
|
-с |
3 |
-2 |
1
05 |
|
Отмена |
ок
Рис. 2.25. Определение Рис. 2.26. Ввод значений элементов матри-структуры матрицы цы
This is a development ve provides bug reporting i
(%il)

(%ol)
A:matrix( [3,4,3,-1] , [-2,0,-4,2], [-2,1,-3,3] , [-1,3,-2,-3]
) r
ы_
ВВОД:
INI |
|
|
|
Упростить |
Упростить (рац) |
1 Фак |
|
[ Упростить [триг) |
Раскрыть [триг) |
1 Приі |
|
Готова к вв |
Рис. 2.27. Результат ввода Рис. 2.28. Определение матрицы-матрицы системы A столбца
 |
Рис. 2.29. Ввод матрицы B
После ввода матрицы В, печатаем «С:АЛЛ-1;» и получаем обратную матрицу (рис. 2.31).
Примечание: для нахождения обратной матрицы следует использовать команду «ЛЛ-1».
Окончательно найдем решение, умножив матрицы C и B: для этого напечатаем «X:C.B;» (рис. 2.32).
Примечание: матричное умножение задается обычной точкой.
Как видим, опять получили то же самое решение. |

|
|
|
|
|
Rt>x |
|
Файл |
Правка |
Maxima |
Уравнения |
|
? в а ш |
? * |
? « |
© |
|
(%ІІЗ) |
С:АЛЛ-1; |
|
|
|
|
|
17 |
33 |
35 |
11 |
|
|
|
43 |
8 ё |
43 |
43 |
|
|
|
4 |
17 |
12 |
5 |
|
|
|
43 |
8 € |
43 |
43 |
|
(%о13) |
|
|
|
|
|
|
|
: |
€7 |
2 2 |
2 |
|
|
|
43 8ё |
43 |
43 |
|
|
|
3 |
1 |
9 |
7 |
|
|
|
43 |
43 |
43 |
43 |
|
(%І |
14) |
|
|
|
|
|
ББСД: |
|
|
Упростить |
Упростить (рай) |
I фа |
|
Упростить (триг) |
Раскрыть (триг) |
1[пр |
|
|

Рис. 2.30. Матрица Рис. 2.31. Обратная мат- Рис. 2.32. Решение
рица
Математический анализ
3.1. Программа Maxima как научный калькулятор
Как уже отмечалось выше, программа Maxima может быть использована для любых научных расчетов. При этом возможны как численные, так и аналитические выкладки.
При работе с программой есть два пути: первый заключается в выборе соответствующих команд на командной панели внизу или через общее меню, а второй - в текстовом наборе команд с соответствующими аргументами. Автор в данном разделе предпочитает второй способ, т.к. для иллюстрации процесса работы он требует намного меньше места и, с его точки зрения, более понятен.
Краткие руководства по программе Maxima написаны В.И. Тарнавским [7] и Стахиным Н.А. [6].
Ввод команд осуществляется в нижней части окна программы в строке с названием «ВВОД» (рис. 3.1).
Команды содержат собственно имя команды и операнды.
Например, для вычисления пределов используется функция ”limit”. На рис. 3.1 представлено несколько примеров ввода.
Первый:
(%il) limit (зin. (х) /х, х, 0) ;
(%оі) 1
Программа вычислила предел lim _ \
х—>0 х
Синтаксис команды следующий:
ИМЯ(функция, аргумент_функции, значение _аргумента);
ИМЯ - это имя команды (в данном случае, limit);
функция - функция, от которой необходимо найти предел (в
sin( х)
х
);
данном случае
значение_аргумента - величина, к которой стремится аргу-
мент_функции (в данном случае 0).
 |
Рис. 3.1. Примеры ввода команд
Если ввести команду с произвольным символьным аргументом, как показано ниже, то и ответ будет не числовой, а символьный: |
(%i4) limit {sin{a*x:} /х, x, О) ;
(%o4) a
Если перед командой поставить символ «’», то вычисление не производится и печатается формула:
(%іб) 1 limit ((l+l/n) Лііг rif inf} ;

Почему автор называет программу Maxima научным калькулятором?
Дело в том, что, в отличие от ручных калькуляторов, которые называются научными или инженерными, это программа, действительно, позволяет производить ЛЮБЫЕ научные численные или аналитические вычисления. Алгебра и анализ, кратные интегралы и теория поля, дифференциальные уравнения и ряды, теория вероятностей и математическая статистика, линейное и нелинейное программирование, эконометрика, анализ временных рядов - вот неполный перечень математических дисциплин, задачи которых эта программа способна решать как численно, так и аналитически. Кроме этого, она позволяет визуализировать расчеты, т.к. строит великолепные графики.
Более подробно с командами и их операндами, а также с программированием в среде Maxima, можно ознакомиться в работах [6, 7], и на сайте программы [1].
Ниже мы рассмотрим основные команды в ходе решения разнообразных задач.
3.2. Задачи на нахождение пределов
Задача 3.1. Найти предел числовой последовательно
сти
сти (неопределенность вида —).
оо
Найти предел lim
77 -77 + 2
~~2
и—»со 2т/ + 577 -3
Введем команду: ’limit((nA2-n+2)/(2*nA2+5*n-
3),n,inf)
Для обозначения символа бесконечности «оо» используется сокращение «inf».
После нажатия клавиши «Enter» появится следующее изображение:
limit
((]
:>/ (2-
-3)
:)
(%оІ0) lim
Гі - Г. + ¦?
п йО ¦
|
Уберем теперь символ «’» перед командой: |
 |
Задача 3.2. Найти предел числовой последовательности (неопределенность видаі00).
Найти предел Нт
77—>00
2 2 Д
77 - 77 + 1
77+3
уЛ +77 — 2 j
Введем команду:

После ввода команды последовал вопрос: является ли выражение положительным? После ответа «р» произошло вычисление предела.
77 + 3
77 -77 + 1
~2
-2
Мы получили ответ: Іііи
77—» QO
77 +77-2
Задача 3.3. Найти предел числовой последовательности (неопределенность вида оо-оо).
-\І3п2 +1- л/эи 2 + 2
Найти предел lim п
|
и^-оо? |
 |
Теперь уберем символ «’» перед командой:
(%і 4) limit(n*(sqrt(3*пЛ2 + 1)-sqrt(3*пЛ2+2) ) ,nr+inf) <%o4) 1 |
Введем команду:

77 Г л/3772 + 1 - V ЗТ72 + 2
Мы получили ответ: lim
77—>Q0
 |
2л/3 |
Задача 3.4. Найти предел функции (неопределенность вида )
f о \
(8х -128)(х + 4)
Найти предел Нт
х—И
(х2 + 8x +16)(x - 4)
Вводим команду и получаем ответ:
(%І5) limit ( (8 *хЛ2-12 8) * (х+4) / ( (хЛ2+8*х+16) * (х-4) } ,х, 4) ; (%о5) 8
Задача 3.5. Найти предел функции (неопределенность вида 0).
7 x - sin( x)
Найти предел Іііи х —>0
|
Вводим команду и получаем ответ: |
 |
Задача 3.6. Найти предел функции (неопределенность видаі00).
5j:-214"|3^-6 4х + 2 ,
Найти предел Іііи х —>216
Вводим команду и получаем ответ:
(%І7)
(%о7)
limit ( ( (5*х-214)/ (4*х+2) ) Л(1/(хЛ(1/3}-6) ) , х, 216} ;
„ 34/ 433
3.4. Производная. Исследование функций
Для нахождения производной в программе Maxima применяется команда diff
Задача 3.7. Поиск экстремумов.
Найти экстремумы функции у = -9х3 - 4х2 + 5х
1. Определим функцию:
(%І15] у<х):=-9*хЛ3-4*хЛ2+5*х;
(%ol5J у(х) :=( - 9)х3 - 4 х2 ¦+ 5 х
2. Найдем производную:
|
(%і 16) f (х ) : =dif f (у (x) , x) ; (%ol6) f(x): = dlff(y(x.),x) |
 |
|
3. Найдем нули производной: |
 |
4. Найдем вторую производную:
(%І19) g (х) : =dif f (f (x) , x) ;
(%ol9) g{x) := d±ff{f{x) , x)
(%i2 0) g{x);
(%o20J -54 x-8
Далее может возникнуть проблема, т.к. мы задали функцию
g(x) через производную другой функции, т.е. ее аргументом является
функция. Переопределим функцию второй производной:
(%І25) д(х):=-54*х-8;
(%о25) д(х) ;=( - 54 )х - 8
5. Вычислим значения второй производной в точках, в которых первая производная обращается в ноль:
(%І26) g(-(sqrt(151)44)/27) ;
(%о26) - 2 ( —J 151-4 ) - 8
(%І27) д((sqrt(151)44)/27) ;
(%о2 7) -2(л/іВі'4 4 ) - В
Для преобразования подобных выражений в десятичную дробь используется функция float:
(%І31) float{%o26),numer;
(%o31) 24.57641145488901
(%i32) float(%o27),nuraer;
(%o32) -40.57641145488901
82
Аргументом этой функции (так же, как и у других функций) может быть число, выражение или ссылка по адресу, как в данном случае.
В первой точке вторая производная больше нуля, а во второй -меньше нуля, следовательно, в первой точке наблюдается минимум, во второй - максимум.
Задача 3.8. Минимаксная задача.
Найти минимальное и максимальное значение функции
3 2
у = х -х -х + \ на отрезке [ -2, 4].
1. Задаем функцию:
(%іб> у(х):=хЛ3-хЛ2-х+1; (%о6) у{ х) : = х3 - х2 - х + I
2. Находим производную:
(%І7] dif f (у (х) , х) ;
(%о7) Зхг-2х-і
3. Находим нули производной:
(%І8) solve(diff(у(x))=0,x);
l
(%o8) [x=l,x=--, del(x)= 0 ]
5
4. Т.к. обе точки, в которых производная обращается в ноль,
находятся внутри указанного в условиях отрезка, то вычисляем значения функции как в стационарных точках, так и на границах отрезка
(рис. 3.2):
У(-1/3);
52 2 7
(%І10)
(%о10)
<*І9) у(1)
(%о9) О
(%І12) у(4);
(%о12) 45
а) б) в) г)
Рис. 3.2. Значения функции: а) x=0; б) x=-1/3; в) x=-2; г) x=4.
Итак, точка минимума: (-2; -9); точка максимума: (4; 45).
Задача 3.9. Исследование функции и построение ее графика.
Произвести полное исследование функции и построить ее график: у = л[х^-9х^-26х--24 Зададим функцию:

1) . ООФ: jcgR.
2) . Симметрия отсутствует.
3) . Точки пересечения с осями координат: При Л'=0:
(%І2) у(0);
1/3
(%о2} или
(%ІЗ) float(%);
<%оЗ) - 2.884455140614817
Найдем, когда функция обращается в ноль:
(%І4) solve (у (х) =0, х) ;
<%о4) [ х = 4 , х — 2 , х = 3 J
4) . Точек разрыва и вертикальных асимптот нет.
5) . Наклонные асимптоты:
Наклонные асимптоты ищем в виде: y=ax+b.
По определению асимптот параметры а и b находятся как пре
делы:
а= lim b= lim (у(х)-ах)
JC—^оо JC jc—^оо
Найдем первый параметр:

Найдем второй параметр:
(%іб) Ъ:limit((у(х)-а*х),х,inf);
(%об) -3
Таким образом, функция имеет наклонную асимптоту y=x-3.
6). Точки экстремума. Интервалы монотонности.
Найдем производную:

Разложим знаменатель на множители, применив к функции операцию «Упростить (рац)», для чего просто нажмем на эту кнопку:
(%І9) radcari (%) ;
Зх -lSi + 26
(Уо5)
2/3 2/3 2/3
3(JE - 4) ^X-3) ' lx -2) '
Найдем нули производной: |
 |
В десятичных дробях корни имеют следующее выражение: (%ill) float{%);
(%ollJ [х — 2.422649730810374 , х = 3.Б773В026918962В Следует отметить, что при x=2, x=3, x=4 первая производная терпит разрыв, и ее значение в этих точках стремится в бесконечности. Таким образом, график функции в этих точках вертикален.
При x <2.4226, у >0 - функция возрастает;
При 2.4226< x <3.5774, у ’<0 - функция убывает; при 3.5774< x , у’ >0 - функция возрастает.
Таким образом, x =3.5774 - точка минимума; x=2.4226 - точка
максимума.
7). Точки перегиба. Выпуклость и вогнутость. Найдем вторую производную:
(%±12) diff<у<х),х,2};
 |
3(х -Эх + 26 х -24) Э ( х -Эх + 2Gx-24)
Сначала упростим это выражение: |

а затем разложим на множители:

Найдем теперь нули второй производной:
(%І15) solve(%=0,х);
л/Т %і - 9 т/Т %і + 9
(%о15) [ х =--,х=-]
' з з '
Корни комплексные, на множестве действительных чисел корней нет. Таким образом, вторая производная в ноль не обращается. Однако, она терпит разрыв в точках x=2, x=3, x=4. При этом, при переходе через эти точки вторая производная меняет знак, следовательно - это точки перегиба.
Теперь построим график. Предварительно, зададим функцию асимптоты:
С % ± 2 0) g (х) :=х-3; (%о20) д[х): = х-3
Для построения графика нажмем кнопку «График 2D». Появится панель мастера «График 2D» (рис. 3.3).
 |
Рис. 3.3. Ввод данных для построения графика В первую строку необходимо занести через запятую функции или выражения, для которых необходимо построить графики, во второй и третьей - диапазоны изменения переменных. В данном графике диапазон изменения параметра у был оставлен без изменений (в этом случае масштаб определяется автоматически).
После нажатия кнопки «ОК» был построен график (рис. 3.4). |
3.5. Интеграл
Задача 3.10. Неопределенный интеграл.

Найти неопределенный интеграл J-
-dx
х(х2 +1)
В программе Maxima для интегрирования имеется функция integrate. Ее синтаксис:
іП:е§га1е(функция, аргумент_функции {,нижний_предел, верхний_предел })
В фигурные скобки заключены необязательные операнды: пределы интегрирования. Если они отсутствуют, то производится поиск неопределенного интеграла.
Введем команду:

Итак, мы сразу же получили, что интеграл равен
х(х +1)
Как видим, переменная интегрирования здесь опускается.
Задача 3.11. Определенный интеграл.
з 1
= e 2 dx. 0 2 л;
Вычислить определенный интеграл
|
Введем команду: |
 |
Здесь была использована математическая константа число 71=3.14159... (отношение длины окружности к диаметру). В программе Maxima она обозначается «%pi».
Ответ был получен через встроенную функцию erf(x) - интеграл ошибок. Получим ответ в привычной форме, используя функцию floatA
(%i3J float (%) ;
(%o3J 0.49865010156837
Итак, наш интеграл вычислен с очень большой точностью. Если будет необходимость, то можно увеличить точность, войдя в раздел меню «Численные вычисления»==>«Установить точность».
Количество знаков зависит только от объема памяти компьютера и, возможно, времени, которое Вы готовы потратить в ожидании ответа.
Ниже показано графическое представление интеграла:
89

Как видим, представление не очень красивое (зато ВСЁ бесплатно).
Задача 3.12. Несобственный интеграл.
СО ^
Вычислить несобственный интеграл J—-dx
Q X +1
|
Введем команду: |
 |
|
Как видим, мы получили требуемый результат. |
3.7. Ряды
Задача 3.13. Сходимость и суммы числовых рядов.
Исследовать ряд на сходимость и найти его сумму, если он 34п - 82
со
сходится:
_ 3 2
п=6 п -2п -5п + 6 Применим признак Даламбера, для чего нужно найти предел
ап+1
отношения Ііш
П—>оо Q
Выполним расчеты.
Задаем функцию (общий член ряда):
(%І1) а (п) : = (34*іі-32) / (пЛ3-2*пЛ2-5*п+б) ;
34 л - 32
(%о1) а( л) ; =-
3 2
л - ^ хі +1 - 5 } л + 6
Вычисляем предел:
(%І2) limit (а (п+1) /а (n) гп, inf) ;
(%о2) і
Как видим, сделать вывод о сходимости или расходимости невозможно.
Попробуем преобразовать и применить признаки сравнения и интегральный признак сходимости:
34и-82 34и 34и
ап=-ъ
nJ -2п2 -5п + 6 п2 -2п2 -5п + 6 п2 -2п2 -5п
34п
= 68 -4 = ^ = 6
34п
3 т 2 г 2 3 3 /т 3 2
п -2п -5п п -п 12 п п
68
Рассмотрим функцию f(x) = — . Т.к. при х>0 f(n)=b(n), то
X2
можно применить интегральный признак Коши.
Вычислим интеграл сіх
6 x |
 |
68
Т.к. получено конечное значение, то интеграл сходится, следо
вательно ряд ^Ьц сходится, а т.к. О < а п < Ьп при всех достаточно п=6
больших п, то и исходный ряд тоже сходится.
Найдем теперь сумму ряда. Сначала без использования программы Maxima, а затем проверим результат с ее помощью.
91
Разобьем дробь an на элементарные дроби, для чего разложим знаменатель на множители. Для этого найдем корни знаменателя,
т.е. решим уравнение и3 - 2п2 - 5п + 6 = 0.
Легко заметить, что п = 1 - корень этого уравнения.
Для нахождения двух остальных корней поделим полином третьей степени на (n-1):
|
|
|
и3 -2и2 -5п +6 |
и -1 |
3 2
W - W |
п2 -п-6 |
-п -5 п
-п2 +п -би + 6
(Г |
2
Решим квадратное уравнение п -п-6 = 0. Имеем: п = -2 и и = 3. Таким образом, знаменатель раскладывается наследующие множители:
и3 - 2п2 -5п + 6 = (п-1 )(п + 2)(п - 3).
Исходная дробь a(n) может быть представлена в виде:
34и -82
ап=~Ъ
п'' - 2п -5п + 6 п-1 и + 2 п- 3 Приведем правую часть дроби к общему знаменателю:
34и - 82 ап2 -ап-6а + Ьп2 - 4Ьп + 3Ь + сп2 + сп - 2с
ап= ,
п -2 п -5п + 6
{п - \){п + 2){п - 3)
Приравнивая коэффициенты при соответствующих степенях, получаем следующую систему уравнений:
'a + b + c = 0 -a- 4b + c = 34 - 6a + 3b- 2c = -82
Ее решение: <2 = 8; б = -10; c = 2..
92
Таким образом,
10 2 ¦ + ¦
СІп =
п-1 п+2 п-Ъ
Рассмотрим последовательности, образуемые каждым слагаемым. Расположим их друг под другом так, чтобы в каждом столбце были одинаковые знаменатели, и сложим:
222222 22
—і—і—і—і—і—ь —і---ь... +
-------... +
Видно, что сумма всех столбцов, кроме первых пяти, равна нулю. Таким образом, сумма ряда равна
88822222 5 = - + - + - + - + - + - + - + - = 6.2619047. 56734567
Найдем теперь сумму ряда с помощью программы Maxima:

Для того, чтобы получить ответ, необходимо добавить команду simpsum:

Ответ не дан.
Попытаемся найти решение через предел частичных сумм.
Зададим функцию частичной суммы S(m) = ^а(п):
п=6
|
S (m) : =зилі (а (n) , n, 6 r m} ; (%ol51 Si m) ;= sumf af n) - л , 6 . ш) Найдем предел этой функции: |
 |
Как видим, предел тоже не находится.
Попытаемся приблизиться к ответу, увеличивая значение верхнего предела суммы: m=1000
(%І18) S (1000) ;
51ЕЭЭ146352ЭЕЗ
(%о18)
Е3332 Э1666700
(%І21) float (%>;
(%о21) 6.22792870I976E58
m=1000000
(%І22) S (1000000) ; float (%} г
52132256349145437424602ЭЗЗЗЗЗ
( %o22) -
E3333333332 Э1666666666700000
(%І23)
(%o23) 6.261870761928762
Разница в найденном нами точном ответе и приближенном, найденном программой Maxima - в четвертом знаке после запятой. Можно считать, что мы нашли ответ точный.
Задача 3.14. Сходимость числового ряда.
Исследовать ряд на сходимость:
у,2и(2« + 2)!
Ь (3«)! '
Применим признак Даламбера, для чего определим фунцию общего члена ряда, а затем найдем предел отношения последующего члена к предыдущему:
(%il) а (п) : =2 лп* (2*п42 ) ! / (3*n) J ;
2 л ( 2 л + 2 )і г
(%о1) а(л]:=-
( з л > /
(%І2) limit{а(п41)/а{n},n,inf);
(%о2) О
Т.к. предел отношения равен нулю, то ряд сходится.
Задача 3.15. Сходимость степенного ряда.
Исследовать ряд на сходимость:
^(-9п2 + п- 6)xn 1. п 4
Найдем радиус сходимости:
(%І5) а (п) :=-5*пл24п-6;
(%о51 а(п) :=( - 9>п2 + п - 6
(%І6> limit (а (п41)/а (n) , п, inf ) ; (%о6) I
Радиус сходимости равен единице, следовательно, ряд сходится абсолютно при -1 < х < 1.
При |х| = 1 нарушается необходимый признак сходимости: члены ряда должны стремиться к нулю. Т.к. множитель при хпЛ неограниченно растет по модулю, то и все произведение также неограниченно растет. Ряд расходится.
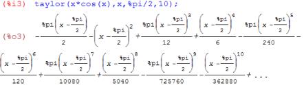
Задача 3.16. Разложение в ряд Тейлора.
Разложить функцию в ряд Тейлора: f(x) - л • cos2(л) в точке
д:=0.
Для разложения функции в ряд Тейлора служит функция taylor. Ее синтаксис:
taylor(f,x,a,n).
Здесь f - функция, которую требуется разложить в ряд Тейлора; х - переменная, по которой производится разложение; а - точка, в которой производится разложение; n - максимальная степень переменной х, до которой выписывается ряд Тейлора.
Введем команду:
(%І2) taylor(х*cos(х),х, Ог10};
2 2 4 72О 40320
Сделаем то же, только теперь будем вычислять функцию в точке тс/2:

3.8. Дифференциальные уравнения
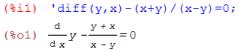
Задача 3.17. Решение обыкновенного дифференциального
уравнения
Решить дифференциальное уравнение
у=-
х + у
х-у
Для решения дифференциальных уравнений используется команда ode2. Ее синтаксис:
?ёе2(уравнение, имя_функции, имя_аргумента).
Зададим уравнение:
 |
|
Введем команду: |
 |
|
Задача 3.18. Задача Коши. |
Решить задачу Коши:
У - 4/ + 4у = е3х, уф) = О, у(0) = 1
|
Записываем уравнение: |
 |
Решаем уравнение:
(%І2> ode2(%fyfx);
(%о2) у = ?е3 * ¦+( %к2 х + %kl )%е |
Мы получили, что решение уравнения есть следующая функ
ция:
у - е^х + (к2 ¦ х + к\)е2х.
При помощи функции ic2 учтем начальные условия: (%ІЗ) Іс2 (%, х=0, у=0, 'diff (у, х)=1)
(%оЗ) у = %еЗД?-%е2х
Зх 2х
Окончательно получаем: у = е -е
Теория вероятностей и математическая статистика
4.1. Задачи теории вероятностей
Задача 4.1. Задача о лотерейных билетах.
В партии из 19 лотерейных билетов 9 выигрышных. Куплено 12 билетов. Какова вероятность, что среди них 7 выигрышных?
Решение. Здесь используется гипергеометрическое распределение.
s~
ldln-d
Вероятность того, что при покупке n билетов из партии объемом N, в которой имеется D выигрышных, мы получим d выигрышных, равна р
CN
nm _
^ I)
биномиальный коэффициент, а
Здесь
m\{n - m)\
n\=1 • 2 •... • (n -1) • n, причем 0!= 1!= 1.
Для расчетов воспользуемся программой Maxima.
Биномиальный коэффициент вычисляется при помощи функции birnmial(n,m), где n, m имеют тот же смысл, что и выше.
Вводим команду:
(% і 5 ) ' b іг.опіа 1 (5 г 7 ) * b іпот іа 1 (1G, 5) / b іг.ота 1 (19,12 ) ;
“56
-
4199
Приводим к десятичному виду:
(%І6) float(%);
(%o6J 0.1? 004286734 937
Ответ:. р = 0.18
Задача 4.2. Задача о днях рождения.
Сколько человек должно быть в группе, чтобы вероятность совпадения дней рождения хотя бы у двух человек превышала 0,5?
Решение. Найдем дополнительную вероятность, т.е. вероятность того, что ни у какой пары студентов нет совпадающих дней рождения.
Пусть в группе n студентов. Всего количество размещений к
дней рождения по 365 дням года равно г = 365й.
Первый человек в группе может иметь тл = 365 вариантов дня рождения. 2-ой, для того, чтобы его день рождения не совпал с днем рождения первого, может иметь т2 = 365 -1 = 364 варианта дня рождения, ..., і-й человек может иметь //?, =365- < -1 варианта дня рождения.
Всего вариантов выбора разных дней рождения у n человек имеется
т = \\ <65- i-1
i=1
Вероятность равна p = — или
г
'1-i-О
n С
p = fl
i=1V
365- i-1
|
n |
 |
|
i=1V |
365
365
Нам нужно решить следующее неравенство относительно п:
365
/=Н
При этом нас будет интересовать наибольшее приближение к числу У.
Для решения этого неравенства снова используем программу Maxima.
К сожалению, напрямую решить это неравенство нам не удастся (необходимо составлять хоть и небольшую, но программу, что выходит за рамки данной книги).
Тем не менее, можно применить универсальный метод последовательного приближения.
Определим функцию:

Эта функция считает необходимую нам вероятность. Вычислим эту вероятность при нескольких значениях параметра n - количестве студентов в группе.
(%І2) а(50) г float;
(%о2) 0.029626420422012
Очень мало.
(%ІЗ) а(10),float;
(%оЗ) 0.86305162228692
Наоборот, очень много. Делим, далее, интервалы пополам.
(%І4) а(30), float;
(%о4) 0.29566375726073
(%І5) а (2 0), float;
(%о5) 0.58856161641542
(%іб) а (2 5) , float;
(%о6) 0.43130029603054
(%І7) а(23), float;
(%о7) 0.45270276567601
Похоже, ближе уже не подобраться. Попробуем число 22:
(%І9) а (22 ) г float;
(%о9) 0.52430469233745
Перебор.
Итак, мы получили, что при 23 студентах в группе вероятность того, что хотя бы у двух из них совпадут дни рождения, превысит 0,5.
Ответ: 23 человека
Задача 4.3. Задача об отказах. Распределение Пуассона.
В цехе имеется n=100 станков. Количество отказов к за смену подчиняется закону Пуассона с параметром Л=0.34. Найти вероятность того, что количество станков, находящихся в ремонте удовлетворяет неравенству 3<к<5.
Решение. Закон Пуассона: вероятность к отказов равна
л к
А- -X Рк е
к к!
Вероятность того, что тх
m2 . т2 Ік
Р( щ< к<Ш2 ) Рк=е
|
к тх к тх ! |
 |
|
Вычисляем при заданных нам значениях: |
Зададим функцию:
 |
|
Ответ:. р = 0.005 |
Задача 4.4. Нормальное распределение.
Известно, что средняя выручка торговой точки имеет нормальное распределение с математическим ожиданием MX=125000 руб. и дисперсией DX=(25000 руб.)2. Найти вероятность того, что выручка в некоторый день превзойдет 140000 руб.
Решение. Для решения используем нормальную функцию распределения, которая имеет вид:
f 9 \
(x-MX )2
1 x
F(x0 ) = Р^< х0 ) = J exp
?27Ш-О0
dx.
2ст
_ х- MX xr, - MX
Если сделать замену t =-и = —-, то получим:
dt =
Y t о
F (хо) = J exP
V 271
—со
В данном случае, нам необходимо найти вероятность того, что случайная величина больше некоторой границы:
f 9 Л
(x-MX )2
I хо
Р =1 - f exP
^-оо
dx
2а
Найдем эту вероятность с помощью программы Maxima и электронных таблиц Gnumeric.
1). Maxima
Вычислим вспомогательный параметр t, как показано выше:
(%і30) t: (14 0000-12 5000)/2 5000;
3
(%о30) -5
Используя функцию integrate, вычислим вероятность того, что случайная величина будет ограничена сверху:
 |
(%i32) float (%);
(%о32) 0.72574688224SS3 |
Последний шаг - вычисление искомой вероятности:
(%^33) {%оЗЗ)
2). Gnumeric
1-%;
0.27425311775007 |
 |
Рис. 4.1. Подготовка к решению в таблицах Gnumeric
Для вычисления функции нормального распределения используется встроенная функция normdist (рис. 4.2). |
 |
Рис. 4.2. Функция NORMDIST
После нажатия кнопки «Вставка» появляется окно ввода параметров (рис. 4.3). По очереди мышкой указываем ячейки, в которых находятся нужные значения: x - верхний предел интеграла; mean -математическое ожидание; stddev - среднее квадратическое отклонение; cumulative - 0, если требуется вычислить только функцию плотности вероятностей (подынтегральная функция); 1 - если требуется вычислить функцию распределения (именно это нам и нужно). |
 |
Рис. 4.3. Окно ввода параметров
После ввода параметров функции получаем результат (рис. 4.4). Для окончательного решения вычитаем полученное значение из |
единицы.
Е *KHHra1.gnumencTGnumenc
|
Файл Правка Вид Вставка Фермат Сервис Данные Справка |
 |
|
|
|
|
А |
В |
С |
D |
Е |
|
|
1 |
Ма-ема-ическое ожидание т = |
125000 |
|
|
2 |
Среднее квадра-ич. отконение 5 = |
25000 |
|
|
3 |
Граничное значение Х0 = |
|
140000 |
|
|
4 |
Вероятнос-ь “ого, ч-о Х<Х0 |
0,72574 5SS224 993 |
|
|
5 |
|
|
|
|
|
|
|
6 |
Выч-ем полученное число из 1 |
0,27425311775007 |
|
|
7 |
|
|
|
|
|
|
|
Рис. 4.4. Результаты расчетов |
Ответ: искомая вероятность равна 0.274.
106
4.2. Задачи математической статистики Задача 4.5. Расчет доверительных интервалов.
Дана выборка объемом n=48 значений недельного оборота отделения банка (в млн.руб.). Вычислить среднее значение ХСр, среднее квадратическое отклонение S. Оценить математическое ожидание MX и дисперсию DX генеральной совокупности. Доверительная вероятность равна 0.95.
Исходные данные:
18,587 20,653 16,264 16,997 16,046 18,804 22,564 20,557 16,279 21,706 18,074 19,637 20,640 18,668 16,481 18,930 22,414 21,574 22,536 18,754 22,741 18,507 21,135 22,347 19,507 23,115 22,447 21,590 18,738 16,642 22,545 19,112 16,163 21,955 17,981 18,589 17,923 16,986 22,610 18,926 19,907 22,603 22,828 17,414 19,131 22,328 16,406 16,974 Решение.
Введем исходные данные в электронные таблицы Gnumeric в первый столбец. В качестве десятичного разделителя эта программа, по умолчанию использует запятую.
После ввода всех чисел найдем основные статистические характеристики выборки. Для этого последовательно выбираем пункты меню: «Сервис»==>«Статистический анализ»==> «Описательные статистики» (см. рис. 4.5).
Появляется панель ввода данных (рис. 4.6). При нажатии на кнопку слева в строке ввода происходит выход в текущий лист рабочей книги и манипулятором «Мышь» следует выделить ячейки с исходными данными (рис. 4.7). Можно также явно указать диапазон ячеек.
После ввода диапазона ячеек с данными следует указать место для вывода таблицы с результатами расчета. Автор рекомендует выбирать тот же рабочий лист, следует указывать ячейку, правее и ниже которой нет никаких нужных данных (рис. 4.8).
 |
Рис. 4.5. Выбор функции статистического анализа
После нажатия кнопки «ОК» появится таблица с рассчитанными значениями статистических характеристик выборки (рис. 4.9).
Для оценки интервала, в котором может находиться математическое ожидание, используется распределение Стьюдента.
Число степеней свободы к = п -1 = 47; доверительная вероятность а = 0.95.
Квантиль распределения Стьюдента найдем при помощи функции TINV (рис. 4.10). Ввод параметров в функцию представлен на рис. 4.11.
Результаты расчета представлены на рис. 4.12.
Доверительный интервал определяется по формуле
108 |
|
x tк,a j— — MX — X + a , что показано на рис. 4.13. |
 |
|
Рис. 4.6. Панель ввода данных функции описательных статистик |
 |
|
Рис. 4.7. Выделение ячеек, в которых находятся данные |
 |
|
Рис. 4.8. Выбор места вывода расчетных данных |
 |
Рис. 4.9. Таблица с результатами расчета.
110 |

|
Рис. 4.10. Обратное двустороннее распределение Стьюдента |
 |
Рис. 4.11. Ввод параметров в функцию
|
11 |
21,955 |
|
Минимум |
16,046 |
|
|
12 |
22,603 |
|
Максимум |
23,115 |
|
|
13 |
16,264 |
|
Сумма |
943,315 |
|
|
14 |
18,074 |
|
Количество |
48 |
|
|
15 |
22,536 |
|
|
|
|
|
16 |
22,447 |
|
t{47;0,95)= |
2,01174051373005 |
! |
Рис. 4.12. Результаты расчета
|
Е1& Ж Ф = =D2+D16*D6/sqrt(D14) |
|
|
С |
D |
Е |
|
1 |
|
Столбец 1 |
|
|
2 |
Среднее |
19,6523953333333 |
|
|
3 |
Стандартная ошибка |
0,33086930919796 |
|
|
4 |
Медиана |
19,1215 |
|
|
5 |
Мода |
#І\І/А |
|
|
6 |
Стандартное отклонение |
2,29232981678432 |
|
|
7 |
Выборочная дисперсия |
5,25477593891844 |
|
|
3 |
Эксцесс |
-1,37629651370615 |
|
|
9 |
Асимметрия |
0,00043037950718 |
|
|
10 |
Диапазон |
7,069 |
|
|
11 |
Минимум |
16,046 |
|
|
12 |
Максимум |
23,115 |
|
|
13 |
Сумма |
943,315 |
|
|
14 |
Количество |
43 |
|
|
15 |
|
|
|
|
16 |
t(47;0,95)= |
2,01174051373005 |
|
|
17 |
|
|
|
10 |
18,9867726392699 |
<=мх<= |
20,3130190273967 |
Рис. 4.13. Доверительный интервал для математического ожидания Для оценки доверительного интервала дисперсии следует использовать распределение Пирсона.
Число степеней свободы к = п - 2 = 46; вспомогательные веро-
1 + (X _ 1 — ОС _ _
ятности: оц = = 0,975; а 2 = = 0,025.
Найдем квантили распределения Пирсона:
Хі2: Дх2<Хі2) = аі; Х2: Р(і2<І2) = а2
Для этого используем функцию R.QCHISQ (рис. 4.14).
Ввод ее параметров показан на рис. 4.15. Т.к. необходимо вычислить значения для двух вероятностей, то и процедуру следует повторить два раза. Полученные числа находятся в ячейках D20, D21 (рис. 4.16).
п • S 2~
Х2
Далее, по формуле
вычислим доверитель-
Хі
|
ный интервал для дисперсии (рис. 4.16, ячейки C23:E23). |
 |
|
Рис. 4.14. Функция распределения Пирсона |
 |
|
Рис. 4.15. Ввод параметров функции распределения Пирсона |
|
Е23 М ф = =D14*D7/D20 |
|
|
с |
D |
E |
|
|
1 |
|
Столбец 1 |
|
|
|
2 |
Среднее |
19,6523953333333 |
|
|
|
3 |
Стандартная ошибка |
0,33036930919796 |
|
|
|
4 |
Медиана |
19,1215 |
|
|
|
5 |
Мода |
#N/A |
|
|
|
6 |
Стандартное отклонение |
2,29232931673432 |
|
|
|
7 |
Выборочная дисперсия |
5,25477593391344 |
|
|
|
3 |
Эксцесс |
-1,37629651370615 |
|
|
|
9 |
Асимметрия |
0,00043037950713 |
|
|
|
10 |
Диапазон |
7,069 |
|
|
|
11 |
Минимум |
16,046 |
|
|
|
12 |
Максимум |
23,115 |
|
|
|
13 |
Сумма |
943,315 |
|
|
|
14 |
Количество |
43 |
|
|
|
15 |
|
|
|
|
|
16 |
t(47;0,95)= |
2,01174051373005 |
|
|
|
17 |
|
|
|
|
|
13 |
13,9367726392699 |
<=мх<= |
20,3130190273967 |
|
|
19 |
|
|
|
|
|
20 |
ХИ ¦m'2(46;0,025)= |
29,1600540740394 |
|
|
|
21 |
ХИ "-2(46:0,975)= |
66,6165237742505 |
|
|
|
22 |
|
|
|
|
|
23 |
3,73623625321735 |
<=DX< = |
3,64932097363143 |
l |
|
¦~>л |
|
|
|
Рис. 4.16. Результаты расчета доверительного интервала дисперсии
Ответ: х -19,652; S = 2,292; S2 - 5,255; 18,987 <МХ < 20,318;
3,786 < DX < 8,650
Задача 4.6. Проверка гипотезы о равенстве средних
Рассмотрим два набора данных об индексе Нью-Йоркской биржи (NYSE), взятые за два несмежных интервала времени (эти данные имеются в базе данных примеров программы Gretl (см. раздел 6). Они представлены на рис. 4.17.
|
1 1 ™ * 1 |
|
|
А |
В |
С |
D |
|
1 |
Ns 1 |
|
Иг 2 |
|
|
2 |
531,12 |
|
613,7 |
|
|
3 |
533,34 |
|
634,11 |
|
|
4 |
537,67 |
|
626,49 |
|
|
5 |
537,57 |
|
608,31 |
|
|
6 |
531,44 |
|
607,57 |
|
|
7 |
539,89 |
|
619,2 |
|
|
S |
535,35 |
|
596,78 |
|
|
9 |
525,94 |
|
580,39 |
|
|
10 |
512,83 |
|
591,6 |
|
|
11 |
511,13 |
|
580,6 |
|
|
12 |
504,26 |
|
599,21 |
|
|
13 |
511,98 |
|
581,13 |
|
|
14 |
508,6 |
|
576,06 |
|
|
15 |
524,88 |
|
566,65 |
|
|
16 |
524,35 |
|
590,65 |
|
|
17 |
527,42 |
|
598,05 |
|
|
1S |
524,35 |
|
618,03 |
|
|
19 |
511,98 |
|
601,65 |
|
|
20 |
498,55 |
|
595,2 |
|
|
21 |
485,55 |
|
580,39 |
|
|
22 |
|
|
|
|
Рис. 4.17. Две выборки значений индекса NYSE.
Необходимо проверить гипотезу о равенстве математических ожиданий этих выборок.
Для проверки гипотезы последовательно выбираем пункты меню «Сервис» ==>«Статистический анализ» ==>«Два средних» ==>«Равные выборки: Т-тест» (если выборки имеют разные объемы, то выбираем другие пункты, как показано на рис. 4.18).
Равные выборки: Т-тесг...
Неравные выборки, равные дисперсии: Т-гесг... Неравные выборки, неравные дисперсии: Т-тесг... Известные дисперсии: Z-тесг...
Два средних
I
)/.и г.;
и оі:
19 пі :
Две дисперсии: Freer...
Рис. 4.18. Варианты сравнения средних.
После выбора варианта расчетов появляется панель «Проверка различия двух средних» (рис. 4.19). |
 |
Рис. 4.19. Ввод исходных данных в панель В первой строке ввода указываем диапазон адресов ячеек, в которых находятся значения первой выборки, а во второй - второй выборки. Если выборки имеют заголовки (метки), и мы их включаем в диапазоны адресов, то следует поставить галочку в окошко «Метки».
По умолчанию, доверительный уровень равен 0,05, а результаты расчета выводятся на новый рабочий лист. Это вполне устраивает большинство пользователей, поэтому нажимаем кнопку «ОК».
|
На рис. 4.20 представлены результаты расчета. |
|
|
|
1_1 1 |
|
|
А |
В |
С |
|
|
1 |
|
№ 1 |
№ 2 |
|
2 |
Среднее |
520,91 |
598,2005 |
|
3 |
Известная дисперсия |
215,969926 |
326,30667 |
|
4 |
Наблюдения |
20 |
20 |
|
5 |
Корреляция Пирсона |
0,56504529 |
|
|
|
6 |
Гипотетическое среднее отклонение |
0 |
|
|
|
7 |
Наблюдаемое среднее отклонение |
— 77,3705 |
|
|
|
S |
Дисперсия отклонений |
242,2754-77 |
|
|
|
9 |
df |
19 |
|
|
|
10 |
t Stat |
-22,23210 |
|
|
|
11 |
Р (T<=t) одностороннее |
2,31Е—015 |
|
|
|
12 |
t критическое одностороннее |
1,72913201 |
|
|
|
13 |
Р (Т<=0 двухстороннее |
4.61Е—015 |
|
|
|
14 |
t критическое двухстороннее |
2,09302405 |
|
|
|
15 |
|
|
|
|
16 |
|
|
|
|
|
17 ” |
|
|
Рис. 4.20. Результаты расчета
В строке 6 приведено рассчитанное значение критерия Стью-дента, а в строке 14 - критическое двустороннее значение. Т.к. модуль рассчитанного значения превосходит критическое, то нулевую гипотезу о равенстве средних (математических ожиданий) следует отвергнуть.
Задача 4.7. Проверка гипотезы о равенстве дисперсий
По данным задачи 4.6 проверить гипотезу о равенстве дисперсий двух выборок.
Выбираем пункты меню «Сервис» ==>«Статистический анализ» ==>«Две дисперсии» ==>«Е-тест».
Появляется панель «Сравнение равенства двух переме...» (рис. 4.21). Здесь мы наблюдаем опечатку или ошибку переводчика.
Вводим адреса переменных каждой выборки, помечаем окошко «Метки» и нажимаем кнопку «ОК». На новом рабочем листе появляются результаты сравнения двух дисперсий (рис. 4.22).
|
1_ |
_1 1_
А |
В |
С |
|
|
1 |
F-Тест |
№ I |
№ 2 |
|
|
2 |
Среднее |
520,91 |
598,2335 |
|
|
3 |
Дисперсия |
215,96993 |
326,30667 |
|
|
4 |
Наблюдения |
20 |
20 |
|
|
5 |
df |
19 |
19 |
|
|
6 |
F |
0,6613613 |
|
|
|
7 |
Р (F<=f) правостороннее |
0,8113207 |
|
|
|
3 |
F критическое прэ восторон нее |
2,1632516 |
|
|
|
9 |
Р (f<=F) левостороннее |
0,1831793 |
|
|
|
10 |
F критическое ле востороннее |
0,4612011 |
|
|
|
11 |
Р двухстороннее |
0,3763537 |
|
|
|
12 |
Fкритическое д зухстороннее |
0,3953122 |
2,5264509 |
|
|
13 |
|
|
|
|
Рис. 4.22. Сравнение двух дисперсий.
Т.к. рассчитанное значение критерия Фишера равно F=0.662 (ячейка А6), а границы двустороннего критерия Фишера равны 0.396 и 2.526 соответственно (ячейки В12 и С12), т.е. Fe[0.396;2.526], то нулевую гипотезу о равенстве дисперсий отвергнуть нет оснований, следовательно, принимаем ее.
Задача 4.8. Проверка гипотезы о виде закона распределения.
По результатам наблюдения в течение 50 рабочих дней было установлено, что менеджер операционного зала банка обслуживал следующее количество клиентов в день:
По исходным данным установить:
1) основные статистические характеристики работы менеджера;
2) выяснить, подчиняется ли случайное число «количество клиентов за день» нормальному распределению.
Решение. Первый шаг: расчет основных статистик при помощи функции «Описательные статистики», как показано в предыдущем примере. Результаты расчета представлены на рис. 4.23.
Второй шаг: расчет гистограмм. Под гистограммой понимается численное или графическое представление частот попадания значений случайной величины в заданные интервалы. Обычно предполагается, что ширина всех интервалов одинакова. Относительно количества интервалов, и соответственно, их ширины, существует большое количество допущений. Автор, в свое время, при работе над кандидатской, а затем и докторской, диссертацией, исследовал эту проблему и выяснил, что ни одна из приводимых в руководствах эмпирических формул ничем не обоснована [4]. Анализ с точки зрения теории информации дает основание утверждать, что оптимальное
значение ширины интервала разбиения - среднее квадратическое от
|
клонение. |
 |
|
Рис. 4.23. Основные статистики исследуемой случайной величины |
Учитывая, что малое количество данных, их целочисленность,
выберем в качестве ширины интервала разбиения A=5~S=5.49
Для построения гистограммы используем команду «Сер-вис»==> «Статистический анализ» ==> «Гистограмма» (рис. 4.24).
В строке ввода панели «Гистограмма» указываем диапазон
ячеек, в которых находятся исходные данные.
Затем выбираем вкладку «Двоичные» (рис. 4.25). ВНИМАНИЕ! Здесь, как это, к сожалению, часто бывает в свободно распространяемых программах, имеет место ошибка переводчика. В оригинале стоит слово «Bins» - «Карманы». Это тоже не самое удачное название, но, по крайней мере, близко к смыслу.
 |
|
Рис. 4.24. Ввод исходных данных |
 |
Рис. 4.25. Ввод интервалов
На этой вкладке указываются границы интервалов, в которых необходимо искать частоты.
Если границы рассчитаны вручную, то эти значения следует поместить в ячейки рабочего листа и указать их расположение в окне ввода.
Пометим пункт «Вычисленные двоичные» - это означает, что мы дадим программе исходные данные, а далее она сама вычислит все, что нужно.
Пункт «Мин.» - указываем минимальное значение случайной величины - 5 (см. рис. 4.23). Пункт «Макс.» - 30.
N - количество интервалов. Оно рассчитывается по формуле
Макс.-Мин. 30-5 N =-=-= 5.
А 5 |
Во вкладке «Параметры» указываем тип гистограммы (рис.
4.26).
 |
Рис. 4.26. Выбор типа гистограммы
На рис. 4.27 представлены результаты расчета. |
|
|
|
|
|
Р? *Книга1 .gnumeric |
FGnumeric |
|
1 Файл Правка Вид Вставка Формат Сервис |
|
Ij П В H fl й вйаОО |
ф т < |
|
Sans т 10 т А |Л_| |
|
А10 Ц ф = |
|
|
А |
В |
с |
D |
|
1 |
Двоичное |
Частота |
% |
|
|
2 |
<5 |
0 |
0,00% |
|
|
3 |
10 |
16 |
32,00% |
|
|
4 |
15 |
16 |
32,00% |
|
|
5 |
20 |
13 |
26,00% |
|
|
6 |
25 |
3 |
6,00% |
|
|
7 |
.30 |
2 |
4,00% |
|
|
S |
>30 |
0 |
0,00% |
|
|
9 |
|
|
|
|
|
Рис. 4.27. Результаты расчета гистограммы |
Третий шаг. Расчет критерия Пирсона и проверка распределения на нормальность.
Методика расчета критерия Пирсона требует, чтобы в каждом интервале было не менее 5 попаданий. В нашей гистограмме (рис. 4.27) в 4-м и 5-м интервалах 3 и 2 попадания соответственно. Поэтому их требуется объединить.
Составим новую таблицу на новом рабочем листе (рис. 4.28). Новые границы интервалов представлены в ячейках A2:A7, а частоты - в ячейках В2:В7. Как можно отметить, заголовок «Двоичное» был заменен заголовком «Границы».
Для каждого интервала вычислим теоретическую вероятность по формуле:
f _ о Л
( х-х X)
х,-
Рі = і— f exp -
хі-1 V
dx.
2S
Здесь 5=5,4923 - среднее квадратическое отклонение (ячейка
D11); х = 13,72 - среднее значение (ячейка D10).
Составим таблицу соответствия интервалов и их границ.
|
Номер |
Нижняя |
Ячейка |
Верхняя |
Ячейка |
|
интервала |
граница |
|
граница |
|
|
1 |
-ОО |
- |
10 |
А3 |
|
2 |
10 |
А3 |
15 |
А4 |
|
3 |
15 |
А4 |
20 |
А5 |
|
4 |
20 |
А5 |
30 |
А6 |
Для расчета вероятностей используем функцию normdist (описание см. задачу 4.4). Ввод аргументов показан на рис. 4.29.
Для расчета первой вероятности необходимо одно действие. Для других же, придется по очереди вычислять функцию нормального распределения от каждой границы, а затем вычитать их друг из друга, например:
=normdist(Лист2!A5 ;Лист2! $D$ 10;Лист2 !$D$ 11;1)-normdist(Лист2 !А4;Лист2! $D$ 10 ;Лист2 !$D$ 11;1)
Вычисленные вероятности представлены в ячейках D3:D6 (рис.
4.28).
Далее, вычисляем теоретические частоты по формуле: fj=50pj. Эти значения представлены в ячейках F3:F6 (рис. 4.28).
(gi ~ fi)
Вычисляем слагаемые формулы Пирсона:
где
fi
gi - эмпирические частоты (значения гистограммы, см. рис. 4.28, ячейки В3:В6). Результаты помещаем в ячейки А15:А18).
Далее складываем полученные значения функцией SUM(A15:A18). Результат находится в ячейке В19.
Итак, х =1,4163.
Последнее действие - вычисление критического значения критерия Пирсона.
Число степеней свободы k=m-2-1=4-2-1=1.
 |
|
Рис. 4.28. Расчет критерия Пирсона |

Рис. 4.29. Аргументы функции нормального распределения
Вызываем функцию, обратную функции распределения Пирсона «=r.qchisq(0,95;1;)» и получаем результат, помещенный в ячейку D19: 3,8415.
Т.к. рассчитанное значение критерия Пирсона меньше критического, то принимаем гипотезу о нормальности распределения исследуемой случайной величины.
Замечание. На самом деле, при проверке статистических гипотез нельзя говорить, что мы принимаем гипотезу. Следует говорить, что у нас нет оснований ее отвергнуть.
Дело в том, что часто, при проверке нескольких гипотез, возможно по какому-то критерию принять не одну, а две-три гипотезы. Между ними невозможно сделать выбор. Нужно либо применить какой-то другой критерий, либо исходить из соображений, выходящих за рамки математической статистики (а именно, из Ваших профессиональных знаний).
В то же время, если гипотеза отвергается, то она отвергается
почти достоверно.
Задача 4.9. Оценка связи между факторами, уравнение регрессии.
На машиностроительных предприятиях было проведено исследование зависимости выработки на одного рабочего в год (в млн. руб.) от условной энерговооруженности (в десятках киловатт на человека).
Оценить степень связи, построить уравнение регрессии. Исходные данные приведены в таблице:
|
X |
Y |
X |
Y |
X |
Y |
X |
Y |
X |
Y |
|
0.120 |
2.115 |
0.013 |
2.399 |
0.588 |
2.826 |
0.076 |
2.322 |
0.106 |
2.432 |
|
0.442 |
2.597 |
0.915 |
3.053 |
0.528 |
2.547 |
0.892 |
2.941 |
0.776 |
3.119 |
|
0.888 |
2.993 |
0.947 |
3.203 |
0.855 |
3.081 |
0.254 |
2.223 |
0.195 |
2.561 |
|
0.901 |
3.114 |
0.992 |
2.996 |
0.808 |
2.920 |
0.059 |
2.249 |
0.577 |
2.864 |
|
0.959 |
3.250 |
0.995 |
2.999 |
0.438 |
2.708 |
0.618 |
2.717 |
0.925 |
3.007 |
|
0.236 |
2.327 |
0.032 |
2.242 |
0.268 |
2.399 |
0.227 |
2.571 |
0.372 |
2.553 |
|
0.093 |
2.170 |
0.835 |
3.220 |
0.851 |
3.035 |
0.523 |
2.842 |
0.066 |
2.125 |
|
0.455 |
2.480 |
0.715 |
2.732 |
0.272 |
2.562 |
0.026 |
2.269 |
0.183 |
2.470 |
|
0.771 |
3.105 |
0.151 |
2.439 |
0.934 |
3.149 |
0.387 |
2.803 |
0.916 |
2.938 |
|
0.445 |
2.520 |
0.709 |
2.987 |
0.456 |
2.460 |
0.714 |
2.834 |
0.309 |
2.713 |
|
0.106 |
2.449 |
0.822 |
3.110 |
|
|
|
|
|
|
Решение. Введем исходные данные в электронные таблицы Gnumeric по столбцам, соблюдая порядок по строкам (т.е. значение X на любой строке должно соответствовать значению Y на той же строке) (рис. 4.30).
Далее вызовем статистическую функцию «Регрессия» последовательностью команд меню: «Сервис»==> «Статистический анализ» ==> «Регрессия». Появится панель ввода данных (рис. 4.31).
В окне ввода «Переменные Х» следует выбрать весь столбец А (установить курсор в это окно, нажать мышкой на кнопку «А» над столбцом). Аналогично, в окне ввода «Переменная Y» нужно выбрать столбец В. Затем галочкой отметить пункт «Метки» (это нужно сделать, т.к. у нас в первой строке стоят имена переменных, а не числа) и нажать «ОК». В новом листе «Регрессия (1)» появятся результаты расчета (рис. 4.32 и табл. 4.1).
|
|
|
1 1 w - 1 |
|
|
А |
В |
С |
D |
Е |
|
|
1 |
X |
У |
|
|
|
|
|
2 |
0,384 |
2,43 |
|
|
|
|
|
3 |
0,609 |
2,641 |
|
|
|
|
|
4 |
0,161 |
2,506 |
|
|
|
|
|
5 |
0,348 |
2,35 |
|
|
|
|
|
6 |
0,361 |
2,449 |
|
|
|
|
|
7 |
0,277 |
2,609 |
|
|
|
|
|
S |
0,772 |
2,77 |
|
|
|
|
|
9 |
0,224 |
2.254 |
|
|
|
|
|
10 |
0,908 |
3,205 |
|
|
|
|
|
11 |
0,286 |
2,584 |
|
|
|
|
|
12 |
0,194 |
2,474 |
|
|
|
|
|
13 |
0,358 |
2,557 |
|
|
|
|
|
14 |
0 4 63 |
2.586 |
|
|
|
|
|
Рис. 4.30. Исходные данные |
 |
|
Рис. 4.31. Панель функции «Регрессия». |
 |
|
Рис. 4.32. Результаты расчета |
В таблице «Итоговый вывод» приведены очень важные характеристики:
1. Множественная регрессия R=0,9041;
2. Коэффициент определенности R2=0,8173.
Второй коэффициент имеет смысл коэффициента определенности процесса. Он говорит о том, какая доля изменения признака Y определяется изменением фактора X. Как видно, изменение Y на 81,7% определяется фактором X. Это очень много.
В таблице «Дисперсионный анализ» для нас важен пункт «Значимость F». Величина в этом пункте равна 2,5811E-25 или 2,58-10"25, что меньше любого разумного уровня значимости. Обычно задают уровень значимости, равный 0.01, 0.05, 0.10, что соответствует доверительной вероятности 0.99, 0.95, 0.9.
Т.к. «Значимость F» меньше уровня значимости, следовательно, уравнение регрессии ЗНА ЧИМО.
Таблица 4.1.
Сводка результатов расчета
|
Итоговый вывод |
|
Регрессионные
статистики |
|
Множественная
регрессия |
0,9041 |
Коэффициент
определенности |
0,8173 |
Подобранный
коэффициент
определенности |
0,8145 |
|
Стандартная ошибка |
0,1159 |
|
Наблюдения |
66 |
Дисперсионный анализ
|
|
степень |
сумма |
Квадрат |
F |
Значи- |
|
|
|
свободы |
квадратов |
среднего |
|
мость F |
|
|
Регрессия |
1 |
3,8484 |
3,8484 |
286,3848 |
2,58E-25 |
|
|
Остатки |
64 |
0,86 |
0,0134 |
|
|
|
|
Всего |
65 |
4,7085 |
|
|
|
|
|
|
Коэффи- |
Стандартная |
t Stat |
Значение P |
Ниже |
Выше 95% |
|
|
циенты |
ошибка |
|
|
95% |
|
|
Пересечение |
2,2273 |
0,0312 |
71,2752 |
1,09E-62 |
2,1649 |
2,2898 |
|
x |
0,872 |
0,0515 |
16,9229 |
2,58E-25 |
0,769 |
0,9749 |
Коэффициенты уравнения регрессии находятся в столбце «Коэффициенты». Уравнение имеет вид: y=a+bx, где а= «Пересечение» = 2,2273; Ь=«х»=0,8720.
Итак: у = 2,2273 + 0,872 • х.
Экономико-математические методы и прикладные модели
5.1. Системы массового обслуживания
Система массового обслуживания (СМО) это объект, характеризующийся наличием следующих элементов: 1) источник заявок или требований на обслуживание; 2) очередь; 3) обслуживающий аппарат (ОА).
Источник, обычно, не считается элементом СМО. Предполагается, что источник моделирует внешнее окружение. Таким образом, СМО содержит очередь и обслуживающий аппарат.
Для описания сокращенных обозначений для однофазных СМО используется трехбуквенное обозначение вида A/B/m, где A и B описывают соответственно интервалы времени между поступлениями последовательных заявок и распределение времени их обслуживания; m - число каналов обслуживания. A и B принимают следующие значения:
M - экспоненциальное (показательное) распределение;
Бг - распределение Эрланга порядка г;
D - детерминированное;
G - распределение общего вида.
Иногда указывают емкость очереди K и емкость источника заявок M. В этом случае используется пятибуквенное обозначение A/B/m/K/M. При отсутствии одного из двух последних индексов его значение предполагается сколь угодно большим.
СМО удобно описывать на основе диаграммы состояний, которая носит название «процесс гибели и размножения» (рис. 5.1).
' JLI1 Ц2 JLX3—


Рис. 5.1. Процесс гибели и размножения.
Состояние Ek обозначается овалом, в котором записывается число k. Переходы между состояниями обозначаются стрелками, на которых представлены интенсивности переходов.
Здесь - интенсивность потока заявок, поступающих в систему, находящуюся в состоянии с номером k (количество заявок, поступающих за единицу времени); цк - интенсивность обслуживания в системе, находящейся в состоянии с номером k (количество заявок, которые обслуживаются в среднем за единицу времени).
Решение этой системы в общем виде невозможно. Модель даже простой системы является чрезвычайно сложной и трудно анализируемой. Если рассматривать СМО более сложного вида, то вычислительные трудности будут еще более высокими. Поэтому обычно рассматривают решения системы уравнений Колмогорова в установившемся режиме при t—ro: dp(k;t)/dt—^0, p(k;t)—p(k)=const.
Выпишем некоторые формулы для систем массового обслуживания.
Вероятности состояний связаны между собой формулами
і—1
, к = 1...аэ.
р(к ) = р(0)П
і=1 »і
Неизвестную константу p(0) найдем из условий нормировки: 1
р(0) =
і-1
1+ІП
Для системы M/M/1 (диаграмма состояний представлена на рис. 5. 2) справедливы следующие формулы:
Xj = X = const и р7 = р = const V/.
— = р < 1, получаем:
р
Тогда, обозначая отношение p(0) = 1- р, p(k) = (1- р)рк,
к-1...00
 |
Рис.5.2. Диаграмма интенсивностей переходов системы M/M/1.
Здесь параметр р имеет смысл коэффициента использования. Ниже будет видно, почему не рекомендуется устремлять его к единице, т.е. не следует загружать оборудование и людей на все 100%.
Человек или оборудование, имеющий максимальное значение коэффициента использования, является слабым звеном в системе (производстве, банковской сфере, сфере обслуживания и т.д.). |

Среднее число заявок в системе равно N =-, среднее время
пребывания заявки в системе: T
1 _ 1
X р(1 - р) р - А,
Как видно, если коэффициент использования стремится к единице, среднее число заявок в системе и среднее время пребывания заявок в системе стремится к бесконечности.
Иначе говоря, если Вы набрали заказов, стремясь полностью загрузить свои мощности, то, с очень высокой вероятностью, сорвете сроки выполнения заказов.
Для системы M/M/m диаграмма состояний представлена на рис. 5.3.


*(т-1)ц ГП|11.......
Рис. 5.4. Диаграмма интенсивностей переходов системы M/M/m. Имеем следующие формулы:
|
Р(к ) = |  |
, k
’к!
к
p(0)—mm, к> m
m!
X
Здесь p = — < 1. m\x
Среднее число заявок в системе всегда можно найти как
N=Y,i-P(i).
і=1
5.2. Линейное, целочисленное и нелинейное программирование
В экономике часто возникает задача следующего типа: найти
п
экстремум функции Ц = X аіхі ехІГ при наличии следующих ог-
/=1
раничений:
п
Y^bjjXj < Cj, / = \ ...к; Xj > О V/. i-1
Рассмотрим пример такой задачи.
Имеется 150 л жидкости А и 150 л жидкости Б. Для получения одной бутыли смеси 1 нужно взять 2 л жидкости А и 1 л жидкости Б, а для получения одной бутыли смеси 2 нужно взять соответственно 1 л жидкости А и 4 - жидкости Б.Смесь 1 продаётся по цене 2 ден. единицы, а смесь 2 - 3 ден. единицы за одну бутыль. Сколько нужно приготовить бутылей каждой смеси, чтобы общая их стоимость была наибольшей, при условии, что число бутылей со смесью 2 не менее числа бутылей со смесью 1?
Введём следующие обозначения: х - количество бутылей первой смеси; х2 - количество бутылей второй смеси. Стоимость бутылей первой смеси составляет 2х ден. единиц, а второй смеси - 3х ден. единиц, т. е. необходимо максимизировать целевую функцию (общую стоимость):
f( X) =2х1 + 3х2^ max.
Помимо указанной функции мы имеем ряд ограничений.
1- е ограничение: можно потратить не более 150 л жидкости А:
2х\ +Х2 <150
2- е ограничение: можно потратить не более 150 л жидкости В:
х\ + 4^2 < 150
3- е ограничение: число бутылей со смесью 2 не менее числа бутылей со смесью 1:
Хі - Х2 < 0
4- е ограничение: количество бутылей не может быть отрицательным:
х\ > 0, Х2 > 0
Таким образом, получаем следующую задачу: f( X) =2х1 + 3х2^ max при условиях
2 xi+ X2< 150 xi+ 4X2 < 150
Xi - X2< 0 xi > 0, X2> 0
К аналогичным задачам приводятся транспортные задачи. Они имеют, как правило, следующую формулировку.
Имеется n поставщиков и m потребителей. Каждый поставщик имеет запасы некоторого товара в объеме ai, i=1...n, а каждому потребителю необходимо получить этого товара в объеме bj, j=1...m. Затраты на доставку одной единицы товара от поставщика № i к потребителю № j равны Су. Разработать план доставки товаров, минимизирующий издержки.
Математическая формулировка этой задачи следующая:
п т
Ц = Л Ъхчсч ->min;
l=1j=1
'и -
= Qi
j=i ^XIJ ~bj
1=1
Xj> 0 Vi, j
Если общие запасы у поставщиков меньше, чем суммарные потребности, то второе равенство заменяется на неравенство (t).
Задачи такого типа решаются при помощи дисциплины, называемой «линейное программирование».
Иногда возникает задача с целочисленными переменными, например, когда необходимо распределить людей по объектам (невозможно поставить за прилавок 0,5 продавца или направить 1,3 курьера).
Такая задача является предметом рассмотрения разделом линейного программирования «целочисленное программирование».
И, наконец, возможны ситуации, когда либо целевая функция, либо ограничения, либо и то и другое вместе являются нелинейными. Эта задача - предмет дисциплины «нелинейное программирование». В частности, к таким задачам относятся задачи формирования портфеля ценных бумаг.
5.3. Задачи экономического моделирования
Задача 5.1. Система массового обслуживания.
В цехе имеется два станка для обработки корпусных деталей. Интенсивность поступления деталей на обработку равна Х=6 дет/час, а интенсивность обработки деталей каждым станком равна р=4 дет/час. Нарисовать графы состояний и вычислить: коэффициент использования оборудования, среднее число занятых станков, среднее число деталей в очереди, среднее время пребывания детали в цехе, вероятности состояний, если:
а) имеется накопитель на две детали;
б) емкость накопителя не ограничена.
Решение.
На рис. 5.4 и рис. 5.5 представлены диаграммы состояний для первого и второго случаев соответственно.
 |
|
Рис. 5.4. СМО с очередью (накопителем) на две заявки (детали) и двумя обслуживающими аппаратами (станками) |

 |
Рис. 5.5. СМО с неограниченной очередью (накопителем) и двумя обслуживающими аппаратами (станками)
1). Накопитель с ограниченной емкостью. |
?і
В соответствии с общей теорией имеем: рг = /? ,
Так как у нас два станка и две позиции в накопителе, то интенсивность поступления: Xq - Ay - ^2 = = ^4 = ^5 = О V/ > 4.
Это следует из того, что интенсивность поступления деталей на обслуживание постоянна, но если заняты оба станка и оба места в накопителе, то детали не поступают в систему.
Интенсивность обслуживания:
Рі=р; \і2=2\і; рз=2р; р4=2р; Р5 = ... = О.
Это объясняется тем, что интенсивность обслуживания кратно количеству занятых одновременно станков. Если деталь одна, то р і
= р, если деталей больше, то р7 = 2р, т.к. станков всего два и на обслуживании одновременно может быть не более двух деталей. Далее имеем:
.2
р = -; рі=рор, Р2=-РоР » Рз
1 _з
Р 2iU' 22 2:
Сумма всех вероятностей (в том числе и р0) равна 1, т.е.
1 2 , 1 3 , 1 4
3 |  |
1. |
Ро¦ 1 + Р + -Р +туР +ТТР
Отсюда: ро
1 I 2 I 3 I 4
1 + P+ D +-р +—р
к 2 ~>2 ~>3
22
23
Вычислим это в Maxima.
(%І13) Lambda:6; (%о!3) 6
{ % i 14 ) Mu : 4 ;
(?ol4) 4
(%il5) Ro:Lambda/Mu; s
(%ol5J -

(%i24) float(%);
<%o24) 0.19601837672282
Итак, p0=0.196.
Подставляя это значение, вычислим остальные вероятности:


Число занятых станков: N = р\ +2/?2 + 2/>3 + 2/?4.

(%ІЗЗ) float (%);
(%оЗЗ) 1.313935681470138
Итак, среднее число занятых станков равно #=1,314.
Число деталей в системе: т = +2/?2 + 3/>3 + 4/>4
С % 3.3 4) ш: sum (і*рС'*КоЛі/2Л (і — 1) r 1, 1, 4) r float; <%o34) 1.727411944869832
Число деталей в очереди: К = /?3 + 2/?4
(%І35) К: рЗ+2*р4,float;
(%о35) 0.41347626339969
Время пребывания в цехе равно: Т = —
т
X
(%І36) - : m/Lambda;
(%о36) 0.28790199081164
2). В случае неограниченности емкости очереди
Xf = Х Vi, pi = 2р Vi> 2, pi =р.
Вероятности любого состояния не будут равны нулю. Условие
нормировки здесь: 'YjPi = 1 •
7 = 0
|
Тогда pi)'} l + p + 2^ |  |
Вычислим необходимые величины
rif) , simpsura;
{%І40) А:surn ( (Ro/2) Л i fі,2
(%o40) —
4
|
(%І41) X:l+Ro+2 *A; f %o411 7 |
 |
Исходя из общей теории, далее получаем: Среднее число деталей в системе:
m=Y;i- Рі= Ро i=1
|
Последовательно вычисляем: |
 |
|
Вычисление не происходит. Определим тогда функцию: |
 |
|
Вычислим несколько значений: |
 |
995069210034491643033576301547[5960 digits;967392663303723030415351577344 (%І51)
(%о5 I) 11.25 |
(%І52 > Х(100),float;
(%o52) II .24999999589994
Как видно, скорость сходимости ряда большая, возьмем его
значение Y=11,25:
(%І55) Y:%oSl (%o55) 11.25
Далее:
(%І56> m:pO*{Ro+2*Y);
(%o56) 3.428571428571428
Среднее число занятых станков: N = 2- 2р0 - рі:
(%І57) N:2-2*pO-pO*Ro;
3
(%о57) -2
Среднее число деталей в очереди: К = т-N:
(%І58} К:ш-М;
(%о58) I.928571428571428
Время пребывания в цехе равно: T
 |
|
Ответ: |
а) po, pi, p2, Рз, Р4 равны: 0.196, 0.294, 0.221, 0.165, 0.124;
число занятых станков N = 1.314; число деталей в системе m = 1.727; число деталей в очереди K = 0.413; коэффициент использования (N/2)= 0.657; время пребывания в цехе= 0.288. б) р0 равно: 0.143; число занятых станков = 1.5; число деталей в системе = 3.428;
число деталей в очереди = 1.929; коэффициент использования = 0.75; время пребывания в цехе = 0.571.
Задача 5.2. Задача линейного программирования.
Для сохранения нормальной жизнедеятельности человек должен в сутки потреблять белков не менее 120 условных единиц (усл. ед.), жиров - не менее 70 и витаминов - не менее 10 усл. ед. Содержание их в каждой единице продуктов П и П 2 равно соответственно (0,2; 0,075; 0) и (0,1; 0,1; 0,1) усл. ед. Стоимость 1 ед. продукта П - 2 руб., П2 -3 руб.
Построить математическую модель задачи, позволяющую так организовать питание, чтобы его стоимость была минимальной, а организм получил необходимое количество питательных веществ. Найти параметры задачи.
Решение. Составим экономико-математическую модель.
Пусть х1 - количество единиц продукта Пь х2 - количество единиц продукта П2.
Целевая функция - стоимость питания: Ц=2 х\+3 х2-^тт.
Ограничения:
1) необходимо потреблять не менее 120 единиц белка
0.2 х1+0.1 х2 > 120
2) необходимо потреблять не менее 70 единиц жиров
0.075 х1+0.1 х2 > 70
3) необходимо потреблять не менее 10 единиц витаминов
0.1 х2 > 10
4) обе переменные неотрицательные
х1 > 0, х2 > 0
Для решения используем электронные таблицы OpenOffice.org
Calc.
На рис. 5.6 представлена исходная информация, необходимая для решения задачи.
В ячейках А3 и В3 установлены нули как начальное приближение. В ячейках А7 и А8 помещены коэффициенты целевой функции (2 и 3 соответственно). В ячейках А11:В13 помещены коэффициенты всех трех ограничений.
В ячейках Е11:Е13 помещены знаки ограничений. Это справочные элементы и нужны только нам. Для программы решения задач линейного программирования они не требуются.
В ячейках F11:F13 помещены правые части ограничений.
Теперь, необходимо задать формулы расчета целевой функции и левых частей ограничений.
Если посмотреть на нашу таблицу (рис. 5.6) и формулу целевой функции, то можно записать: Ц=А7*А3+В7*В3.
Формулы подобного вида записываются через функцию SUMPRODUCT (сумма произведений соответствующих элементов двух и более массивов).
|
|
|
^ Без имени 1 |
-OpenOffice.org Calc |
|
|
|
|
|
|
Файл Правка Вид |
Вставка Фодмат Сервис Данные Окно |
Справка |
|
|
L т Ш У ^ |
|
щ - - |
|
|
: |?р АгіаІ |
[у~| т [?] ж К ч іі |
|
Jb |
|
D13 |
|
|
|
|
А |
В |
1 D 1 |
F |
|
|
1 |
Переменные |
|
|
|
|
|
|
|
2 |
Х1 |
Х2 |
|
|
|
|
|
|
3 |
0 |
0 |
|
|
|
|
|
|
4 |
|
|
|
|
|
|
|
|
5 |
Коэффициент |
ы |
|
Значение |
|
|
|
|
6 |
целевой фунь |
щи и |
|
целевой функ |
щи и |
|
|
|
7 |
2 |
3 |
|
|
|
|
|
|
в |
|
|
|
|
|
|
|
|
9 |
Коэффициент |
ы |
|
Значение |
Знак |
Правая |
|
|
10 |
ограничений |
|
|
левой части |
неравенства |
часть |
|
|
11 |
0,2 |
0 1 |
|
|
>= |
120 |
|
|
12 |
0 08 |
0 1 |
|
|
>= |
70 |
|
|
13 |
0 |
0 1 |
|
|
>= |
10 |
|
|
Рис. 5.6. Исходная информация для решения задачи линей |
ного программирования
Поместим формулу вычисления целевой функции в ячейку D7. Устанавливаем курсор в эту ячейку, печатаем символ «=», появляется на строке ввода кнопка ввода функции «f». Нажимаем ее и в «Категории» «Массив» выбираем функцию SUMPRODUCT (рис. 5.7).
После нажатия кнопки «Далее>>» появляется окно ввода параметров (рис. 5.8).
 |
|
Рис. 5.8. Выбор функции SUMPRODUCT |
 |
|
Рис. 5.9. Окно ввода аргументов |
После нажатия правой кнопки в окне ввода «Массив 1» на рабочем листе активизируется окно ввода первого набора (рис. 5.9).
Мышкой выбирается прямоугольная область, содержащая элементы первого массива. Это - значения переменных, т.е. ячейки А3:В3.

Мастер функций - SUMPRODUCT( Массив 1
Рис. 5.9. Выбор аргументов
То же выполняем и для второго массива. Это - коэффициенты целевой функции, т.е. ячейки А7:В7.
Завершается операция нажатием кнопки «ОК» (рис. 5.10). |
 |
Рис. 5.10. Завершение операции
Точно также в ячейки D11:D13 вводятся формулы для вычисления левых частей неравенств.
Введенные формулы показаны на рис. 5.11.
Т.к. значения переменных сейчас равны нулю, то и результаты расчета по введенным формулам равны нулю (рис. 5.12).
И л
|
= I =SUMPRODUCT($A$3:$B$3;A7:B7) |
|
|
|
|
В |
с |
|
Е |
F |
|
•А |
|
1 |
|
|
|
|
|
|
2 |
Х2 |
|
|
|
|
|
|
|
3 |
0 |
|
|
|
|
|
|
|
4 |
|
|
|
|
|
|
= |
|
5 |
Ы |
|
Значение' |
|
|
|
|
|
6 |
:ции |
|
целевой функции |
|
|
|
|
|
|
3 |
|
=SUMPRODUCT($AS3 SBS3 A7 В7) |
|
|
|
|
|
в |
|
|
|
|
|
|
|
9 |
Ы |
|
Значение |
Знак |
Правая |
|
|
10 |
|
|
левой части |
неравенства |
часть |
|
|
11 |
0.1 |
|
=SUMPRODUCT(SA$3:$B$3:A11 :В11) |
>= |
120 |
|
|
12 |
0.1 |
|
=SUMPRODUCT($A$3:$B$3:A12:B12) |
>= |
70 |
|
|
13 |
0.1 |
|
=SUMPRODUCT($A$3 $В$3:А13:В13) |
>= |
10 |
|
|
14 |
|
|
|
|
|
15 |
|
I . |
М |
[ЙІГЛИМ .Листі, ЛИСТ2 ЛистЗ J<
Лист 1/3 Базовый
100%
1ІСТАНДІ Г*~1
Сунна=0 |
Рис. 5.11. Отображение введенных формул
|
= =SUMPRODUCT($A$3:$B$3;A7:B7) |
|
|
|
|
А |
В |
С Е |
F |
|
1 |
Переменные
Х1
0 |
|
|
|
|
|
|
|
2 |
Х2 |
|
|
|
|
|
|
3 |
0 |
|
|
|
|
|
|
4 |
|
|
|
|
|
|
|
5 |
Коэффициент |
ы |
|
Значение |
|
|
|
6
В |
целевой функции |
|
целевой Ф?нк |
ции |
|
|
|
2 |
3 |
|
0 |
|
|
— |
|
|
|
|
*— |
|
|
9 |
Коэффициент |
ы |
|
Значение |
Знак |
Правая |
|
|
10 |
ограничений
0,2
0.08
0 |
|
|
левой части |
неравенства |
часть |
|
11 |
0.1 |
|
0 |
>= |
120 |
|
12 |
0.1 |
|
0 |
>= |
70 |
|
13 |
0.1 |
|
0 |
>= |
10 |
|
14 |
|
|
|
|
|
|
15
0Е |
|
|
|
|
|
|
|
Гм[н]\Лист1 Лисг2 ЛисгЗ / < |
|
Лист 1! 3 |
БсЗОЕЫЙ |
100% |
|
СТАНД |
* |
|
Сумма= |
Рис. 5.12. Вид рабочей области после ввода формул
Для решения задачи необходимо вызвать соответствующий мастер последовательностью выбора команд меню: «Сервис» ^«Поиск решения».
Появляется соответствующая панель (рис. 5.13).
В окне «Целевая ячейка» указываем ее адрес: D7.
В пункте «Оптимизация результата» помечаем окошко «Минимум».
В окне «Путем изменения ячеек» указываем адреса наших переменных А3:В3.
 |
|
Рис. 5.13. Ввод целевой функции и ограничений в мастер поиска решений. |
В окнах ввода ограничений под общим именем «Ограничительные условия» указываем:
в окнах «Ссылка на ячейку» вводим адреса ячеек, в которых содержатся формулы вычисления левых частей неравенств (D11:D13);
в окнах «Операция» выбираем либо знаки неравенств, либо типы переменных;
в окнах «Значение» указываем адреса ячеек, в которых находятся числовые ограничения неравенств (F11:F13);
в последнем ограничении указываем, что все переменные неотрицательные.
После нажатия кнопки «Решить» появляется сообщение о результате работы программы (рис. 5.14).
 |
Рис. 5.14. Информационное сообщение о выполнении программы
После нажатия кнопки «Сохранить результат» происходит возврат в рабочий лист, на котором сохранены результаты расчета (рис. 5.15).
Итак, было получено, что нужно 800 единиц первого продукта и 100 единиц второго продукта. При этом, минимальные расходы составят 1900 денежных единиц. |
|
|
|
|
А |
В |
С |
|
Е |
F |
|
1 |
Переменные |
|
|
|
|
|
|
2 |
Х1 |
Х2 |
|
|
|
|
|
3 |
800 |
100 |
|
|
|
|
|
4 |
|
|
|
|
|
|
|
5 |
Коэффициент |
ы |
|
Значение |
|
|
|
& |
целевой фуы |
сци и |
|
целевой функ |
ции |
|
|
|
2 |
3 |
|
1Э00 |
|
|
|
Э |
|
|
|
|
|
|
|
9 |
Коэффициент |
ы |
|
Значение |
Знак |
Правая |
|
10 |
ограничений |
|
|
левой части |
неравенства |
часть |
|
11 |
0,2 |
0 1 |
|
170 |
:>= |
120 |
|
12 |
0 08 |
0 1 |
|
70 |
>= |
70 |
|
13 |
0 |
0 1 |
|
10 |
:>= |
10 |
|
Рис. 5.15. Результаты расчета |
Все ограничения выполнены, причем два последних дали равенство, а первое - строгое неравенство.
Задача 5.3. Транспортная задача
Три электрогенерирующие станции мощностью 25, 40 и 30 миллионов кВт-ч поставляют электроэнергию в три города. Максимальная потребность в электроэнергии этих городов оценивается в 30, 35 и 24 миллионов кВт-ч. Цены за миллион кВт-ч в данных городах приведены в табл. 5.1.
Стоимость за электроэнергию, руб./млн.кВт-ч
|
Таблица 5.1. |
|
|
|
|
Города |
|
1 |
2 |
3 |
|
Станция |
1 |
600 |
700 |
400 |
|
2 |
320 |
300 |
350 |
|
3 |
500 |
480 |
450 |
В августе на 20% возрастает потребность в электроэнергии в каждом из трех городов. Недостаток электроэнергии могут восполнить из другой электросети по цене 1000 за 1 миллион кВт-ч. Но третий город не может подключиться к альтернативной электросети. Электрогенерирующие станции планируют разработать наиболее экономичный план распределения электроэнергии и восполнения ее недостатка в августе. Сформулируйте эту задачу в виде транспортной модели.
Решение. Добавим четвертую станцию из альтернативной сети, учтем возросшие потребности городов и составим новую таблицу:
Таблица 5.2.
Таблица транспортной задачи
|
Станция |
Мощность |
Города |
|
1 |
2 |
3 |
|
1 |
25 |
600 |
700 |
400 |
|
2 |
40 |
320 |
300 |
350 |
|
3 |
30 |
500 |
480 |
450 |
|
4 |
11,8 |
1000 |
1000 |
- |
|
Потребности города |
36 |
42 |
28,8 |
Процедуру оптимизации проведем при помощи электронных таблиц OpenOffice.org Calc.
Сначала сформулируем экономико-математическую модель задачи.
1. Введем четвертую станцию, мощность которой достаточна для удовлетворения потребностей: (36+42+28,8)-(25+40+30)=11,8.
Из суммы потребностей вычли сумму имеющихся мощностей.
2. Обозначим Xj - количество электроэнергии (в млн. квт-час), поставляемое от станции № i в город № j.
3. Обозначим aj - стоимость одного млн. квт-час электроэнергии, при поставках от станции № i в город № j.
4 3
4. Составим целевую функцию: Ц = ^ ^aijxij —>min
'=1.7=1
5. Составим ограничения:
4
а) = ^7 ’ ^1 = 36, &2 = 42, 63 = 28,8 - каждому городу нуж-7=1
но поставить столько, сколько требуется;
40, <23
3
б) Хх7/ =аі ’ а1 =25, <т2 7=1 |
30, <24 = 11,8 - каждая стан- |
ция поставила то, что могла.
в) X43 =0 - третий город не может получать энергию от четвер
той станции;
г) Ху >0 V/, / - объемы поставок не могут быть отрицатель
ными.
На рис. 5.16 представлена подготовительная часть работы.
Целевая функция находится как сумма произведений объемов поставок на их стоимость или SUMPRODUCT(B4:D7;B13:D16). Эта формула помещена в ячейку D18 (рис. 5.17).
Аналогично вводятся формулы для расчета левых частей ограничений. Например, в ячейке В9 находится сумма ячеек В4:В7 (это сумма поставок в первый город от каждой станции). Аналогичные суммы находятся в ячейках C9 и D9.
В ячейке F4 находится сумма ячеек B4:D4 (количество отгруженного со станции № 1). В ячейках F5:F7 находятся объемы поставок со станций 2, 3, 4 соответственно.
После ввода рабочих формул вызываем мастер поиска решений (Решатель) через пункты меню «Сервис» —>«Поиск решения».
|
|
|
|
А |
В |
С Е |
|
|
1 |
Объемы тран |
спортировки |
электроэнерп |
ІИ |
|
|
|
2 |
|
|
Города |
|
Мощность |
|
|
3 |
Станции |
1 |
2 |
3 |
станции |
|
|
4 |
1 |
0 |
0 |
0 |
25 |
|
|
5 |
2 |
0 |
0 |
0 |
40 |
|
|
6 |
3 |
0 |
0 |
0 |
30 |
|
|
7 |
4 |
0 |
0 |
0 |
11,8 |
|
|
8 |
Потребности |
36 |
42 |
28,8 |
|
|
|
9 |
|
|
|
|
|
|
|
10 |
Цена транспс |
іртировки |
|
|
|
|
|
11 |
|
|
Города |
|
|
|
|
12 |
Станции |
1 |
2 |
3 |
|
|
|
13 |
1 |
600 |
700 |
400 |
|
|
|
14 |
2 |
320 |
300 |
350 |
|
|
|
15 |
3 |
500 |
480 |
450 |
|
|
|
16 |
4 |
1000 |
1000 |
0 |
|
|
|
17 |
|
|
|
|
|
|
|
18 |
Целевая фун |
кция |
ц= |
|
|
|
|
Рис. 5.16. Подготовка таблицы транспортной задачи |
D18
\y] fx Ж = =SUMPR0DUCT(B4-: D7;B13: D16; |
|
|
|
|
А |
В |
1 D 1 |
F |
|
|
1 |
Объемы тран |
с портировки |
электроэнерп |
и |
|
|
|
|
2 |
|
|
Города |
|
Мощность |
|
|
|
3 |
Станции |
1 |
2 |
3 |
станции |
Отгрузили |
|
|
4 |
1 |
0 |
0 |
0 |
25 |
0 |
|
|
5 |
2 |
0 |
0 |
0 |
40 |
0 |
|
|
6 |
3 |
0 |
0 |
0 |
30 |
0 |
|
|
7 |
4 |
0 |
0 |
0 |
11.8 |
0 |
|
|
В |
Потребности |
36 |
42 |
28,8 |
|
|
|
|
9 |
Доставка: |
0 |
0 |
0 |
|
|
|
|
10 |
Цена транспс |
ртировки |
|
|
|
|
|
|
11 |
|
|
Города |
|
|
|
|
|
12 |
Станции |
1 |
2 |
3 |
|
|
|
|
13 |
1 |
600 |
700 |
400 |
|
|
|
|
14 |
2 |
320 |
300 |
350 |
|
|
|
|
15 |
3 |
500 |
480 |
450 |
|
|
|
|
16 |
4 |
1000 |
1000 |
0 |
|
|
|
|
17 |
|
|
|
|
|
|
|
|
18 |
Целевая фун |
кция |
ц= |
0 |
|
|
|
Рис. 5.17. Ввод рабочих формул
На панели «Решатель» (рис. 5.18) вводим адрес целевой функции (D18), указываем, что необходимо найти минимум, отмечаем ад
реса переменных (B4:D7) и вводим ограничения.
Первое окно содержит сразу три ограничения (п. 5а), второе -четыре (п. 5б), третье - х43=0 (п. 5в), четвертое - все переменные не-
отрицательные
 |
Рис. 5.18. Ввод параметров и ограничений.
После нажатия кнопки «Решить» появится информационное сообщение о найденном решении (рис. 5.19). |
 |
Рис. 5.19. Информационное сообщение
Результаты расчетов появятся после нажатия кнопки «Сохранить результат» (рис. 5.20). |
|
D1& [vj fy ^ = =SUMPR0DUCT(B4:D7;B13: D16) |
|
|
А |
В |
с |
Е |
F |
|
|
1 |
Объемы тран |
сперт ровки |
электр оэнерп |
и |
|
|
|
|
2 |
|
|
Г орода |
|
Мощность |
|
|
|
3 |
Станции |
1 |
2 |
3 |
станции |
Отгрузили |
|
|
4 |
1 |
0 |
0 |
25 |
25 |
25 |
|
|
5 |
2 |
24,2 |
15.8 |
0 |
40 |
40 |
|
|
6 |
3 |
0 |
26,2 |
3,8 |
30 |
30 |
|
|
7 |
4 |
11-8 |
0 |
0 |
11,8 |
11.8 |
|
|
В |
Потребности |
36 |
42 |
28,8 |
|
|
|
|
9 |
Доставка: |
36 |
42 |
28,8 |
|
|
|
|
10 |
Цена транспс |
ртировки |
|
|
|
|
|
|
11 |
|
|
Г орода |
|
|
|
|
|
12 |
Станции |
1 |
2 |
3 |
|
|
|
|
13 |
1 |
600 |
700 |
400 |
|
|
|
|
14 |
2 |
320 |
300 |
350 |
|
|
|
|
15 |
3 |
500 |
480 |
450 |
|
|
|
|
16 |
4 |
1000 |
1000 |
0 |
|
|
|
|
17 |
|
|
|
|
|
|
|
|
18 |
Целевая фун |
кция |
Ц= |
48570 |
|
|
|
|
1C |
|
|
|
1- |
|
|
Рис. 5.20. Результаты расчетов
Как видно из рис. 5.20, все ограничения выполнены, минимальные затраты составляют 48570 единиц.
Задача 5.4. Задача о назначениях
В цехе некоторого завода стоит пять станков, а количество рабочих в цехе равно четырем. Рабочий 1 не может работать на станке 3, а рабочий 3 - на станке 4. В соответствии с квалификацией рабочих начальник цеха в баллах оценил эффективность работы каждого из рабочих на каждом из станков (в 10-бальной шкале) (см. табл. 5.2). Постройте модель, позволяющую выполнять работы на станках наилучшим образом.
Таблица 5.2
Бальные оценки эффективности работы рабочих на станках
|
|
Станок |
|
1 |
2 |
3 |
4 |
5 |
|
Рабочий |
1 |
5 |
5 |
— |
2 |
2 |
|
2 |
7 |
4 |
2 |
3 |
1 |
|
3 |
9 |
3 |
5 |
— |
2 |
|
4 |
7 |
2 |
6 |
7 |
8 |
Решение.
Решим эту задачу в табличном процессоре Gnumeric.
Первый шаг: подготовка исходных данных и ввод функций (рис. 5.21).
Сначала оформим две таблицы.
«Таблица эффективности» (ячейки A1:F7) содержит исходную табл. 5.2. Отличие - прочерки были заменены нулями (ячейки D4, E6).
«Таблица назначений» (ячейки A9:F15) в ячейках A12:F15 содержит переменные назначения. Числа в этих ячейках могут принимать только два значения: 1 - если рабочий распределен на работу с данным станком; 0 - если не распределен. Изначально везде ставим нули.
Р? *Primer_5_4.gnumeric : Gnumeric
Файл Правка Вид Вставка Формат Сервис Данные Справка
ІП
100%
ІЕЙ П
bans |
|
|
|
|
А |
В |
С |
D |
Е |
F |
G |
Н |
|
1 |
Таблица эфе |
эективности |
|
|
|
|
|
|
2 |
|
Ni станка |
|
|
|
3 |
N° рабочего |
1 |
2 |
3 |
4 |
5 |
|
|
|
4 |
1 |
5 |
5 |
0 |
2 |
2 |
|
|
|
5 |
2 |
7 |
4 |
2 |
3 |
1 |
|
|
|
6 |
3 |
9 |
3 |
5 |
0 |
2 |
|
|
|
7 |
4 |
7 |
2 |
6 |
7 |
S |
|
|
|
0 |
|
|
|
|
|
|
|
|
|
9 |
Таблица назначений |
|
|
|
|
|
|
|
10 |
|
Nl станка |
Сумма |
Границы |
|
11 |
Ns рабочего |
1 |
2 |
3 |
4 |
5 |
|
|
|
12 |
1 |
0 |
0 |
0 |
0 |
0 |
0 |
1 |
|
13 |
2 |
0 |
0 |
0 |
0 |
0 |
0 |
1 |
|
14 |
3 |
0 |
0 |
0 |
0 |
0 |
0 |
1 |
|
15 |
4 |
0 |
0 |
0 |
0 |
0 |
0 |
1 |
|
16 |
Сумма |
0 |
0 |
0 |
0 |
0 |
|
|
|
17 |
Границы |
1 |
1 |
1 |
1 |
1 |
|
|
|
IS |
|
|
|
|
|
|
|
|
|
19 |
Целевая функиия= |
0 |
|
|
|
|
|
Рис. 5.21. Подготовка исходных данных.
«Целевая функция» в ячейке С19 содержит значение эффективности назначений, численно равное произведению переменных назначений на эффективность соответствующего назначения. Эта величина задается функцией «Сумма произведений»:
«=sumproduct( Лист 1!B4:F7; Лист 1!B12:F15)»
В строке «Сумма» в ячейках B16:F16 содержатся суммы переменных назначения по столбцам. Так, в ячейке В16 содержится сумма ячеек В12:В15 (количество назначений на первый станок). Эта величина вычисляется при помощи функции SUM: «=sum(B12:B15)».
В столбце «Сумма» в ячейках F12:F15 содержатся суммы горизонтальных ячеек (общее количество назначений для каждого рабочего). Это задается той же функцией. Например: «=sum(B12:F12)» -сумма ячеек B12:F12, которая находится в ячейке G12.
Строка и столбец «Границы» указывают граничные значения для количества назначений: в строке - количество людей на один станок; в столбце - количество станков на одного человека.
Второй шаг: решение оптимизационной задачи.
Для решения оптимизационных задач в таблицах Gnumeric имеется программа Solver. Она вызывается через пункты меню «Сер-вис»==> «Решение». Появляется панель «Solver» (рис. 5.22).
Первая вкладка - «Параметры».
 |
Рис. 5.22. Установка основных параметров.
В строке «Установить целевую ячейку» устанавливаем адрес нашей целевой функции С19.
В строке «Равняется» делаем выбор пункта «Макс».
В строке «Изменяя ячейки» указываем диапазон адресов ячеек переменных назначения B12:F15.
Затем переходим на вкладку «Модель» (рис. 5.23). |
 |
Рис. 5.23. Установка параметров модели.
Выбираем пункты: «Линейная модель», «Предполагать НЕ отрицательность», «Предполагать целочисленность», «Алгоритм: Simplex».
Пункт «Квадратичная модель» НЕ РАБОТАЕТ.
И, наконец, переходим на вкладку «Ограничения» (рис. 5.24) и вводим ограничения модели. |
 |
|
Рис. 5.24. Ограничения модели. |
1- е ограничение: переменная назначения D12 (назначение первого рабочего на третий станок) равна нулю (D4 у нас равна нулю).
2- ограничение: переменная назначения Е14 (назначение третьего рабочего на четвертый станок) равна нулю.
3- е ограничение: оно является множественным, сравнение проводится сразу по пяти парам ячеек (каждая верхняя ячейка не больше соответствующей нижней). Смысл: каждому станку назначается не более одного рабочего.
4- е ограничение: также множественное, сравнение проводится по четырем парам (каждая левая ячейка равна соответствующей правой). Смысл: каждый рабочий назначается на один станок.
Ограничения вводятся последовательно в нижней строке, состоящей из трех окон. Действия аналогичны тому, что мы рассматривали в предыдущем примере.
После ввода ограничения следует нажать кнопку «Добавить».
Затем очистить нижнюю строчку и ввести следующее ограничение и т.д.
ЗАМЕЧАНИЕ: при вводе ограничений в Solver нельзя использовать числа, только ссылки на ячейки!
Окончив ввод ограничений нажмем кнопку «Решить» и появится информационное сообщение о том, что решение найдено (рис. 5.25).
 |
|
Рис. 5.25. Информационное сообщение. |
После нажатия кнопки «ОК» решение будет выведено на рабочий лист (рис. 5.26).
 |
Рис. 5.26. Решение задачи.
Целевая функция достигает максимального значения, равного 25 (ячейка С19). Таблица назначений заполнена. Видно, что четвертый станок простаивает. |
Задача 5.5. Модель Леонтьева межотраслевого баланса
В табл. 5.3 приведены первый (x ) и второй (у ) квадранты
U s J
схемы межотраслевого баланса производства и распределения продукции для трёхотраслевой экономической системы.
Необходимо:
1. Рассчитать объёмы валовой продукции отраслей.
2. Рассчитать матрицу коэффициентов прямых затрат.
3. Найти матрицу коэффициентов полных затрат.
4. Рассчитать объёмы условно чистой продукции отраслей.
5. Представить в таблице полную схему межотраслевого баланса.
Таблица 5.3.
|
Производящие |
Потребляющие отрасли |
Конечная
продукция |
|
отрасли |
1 |
2 |
3 |
|
1 |
200 |
50 |
300 |
200 |
|
2 |
150 |
250 |
0 |
100 |
|
3 |
230 |
50 |
150 |
300 |
Решение. Решение будем проводить в таблицах Gnumeric. Составим необходимые исходные таблицы (рис. 5.27).
|
|
А |
В |
С D |
Е |
|
|
1 |
Производящие |
Потребляющие отрасли |
Конечная |
|
2 |
отрасли |
1 |
2 |
3 |
продукция |
|
3 |
1 |
200 |
50 |
300 |
200 |
|
|
4 |
2 |
150 |
250 |
0 |
100 |
|
|
5 |
3 |
230 |
50 |
150 |
300 |
|
Рис. 5.27. Таблица исходных данных.
Пусть Ху - межотраслевое потребление (ячейки B3:D5). Эти коэффициенты занесем в матрицу
|
x = |
*11
*21 |
*12
*22 |
*13
*23 |
= |
200
150 |
50
250 |
300
0 |
|
|
*31 |
*32 |
*33 |
|
230 |
50 |
150 |
|
Конечную продукцию обозначим вектором Y = |
У\ У2 |
— |
200
100 |
|
|
Y3 |
|
300 |
Задание 1. Рассчитать объёмы валовой продукции отраслей.
Х\
х2
X 3
Обозначим вектор валовой продукции X
Элементы этого вектора определяются по формуле:
п
Xj = 'ZjXjj + Yj, / = 1 ...п.
7=1
Как видно, эти величины можно найти как суммы элементов таблицы исходных данных по строкам.
Добавим столбец валовой продукции и поместим в элементы столбца вышеуказанную формулу (рис. 5.28).
 |
Рис. 5.28. Расчет валовой продукции.
Формулу «=sum(B3:E3)» и другие (в ячейках F4, F5) можно ввести либо вручную, либо через вставку формулы. |
750
Итак, вектор валовой продукции равен X =
500 730
Задание 2. Рассчитать матрицу коэффициентов прямых затрат. Матрица коэффициентов прямых затрат вычисляется по фор-
муле
|
|
|
|
ап |
a12 |
a13 |
|
А = |
а2\ |
a22 |
a23 |
|
|
a31 |
a32 |
a33 |
aij - |
ХУ
Л7*
/,7 = 1...3
|
Результаты расчетов представлены на рис. 5.29. |
|
|
|
В& U # = =B3/$F$3 |
|
|
А |
В |
С |
D |
Е |
F |
|
|
1 |
Производящие |
Потребляющие отрасли |
Конечная |
Валовая |
|
|
2 |
отрасли |
1 |
2 |
3 |
продукция |
продукция |
|
3 |
1 |
200 |
50 |
300 |
200 |
750 |
|
|
4 |
2 |
150 |
250 |
0 |
100 |
500 |
|
|
5 |
3 |
230 |
50 |
150 |
300 |
730 |
|
|
6 |
|
|
|
|
|
|
|
|
7 |
|
|
|
|
|
|
|
|
8 |
Матрица коэффи- |
0,266667 |
0,100000 |
0,410959 |
|
|
|
|
9 |
циентов прямых |
0,200000 |
0,500000 |
0,000000 |
|
|
|
|
10 |
затрат А |
0,306667 |
0,100000 |
0,205479 |
|
|
|
|
11 |
|
|
|
|
|
|
|
Рис. 5.29. Расчет матрицы коэффициентов прямых затрат.
Как видим, она равна А =
0,266667 0,100000 0,410959 0,200000 0,500000 0,000000 0,306667 0,100000 0,205479
Задание 3. Найти матрицу коэффициентов полных затрат Матрица коэффициентов полных затрат равна B=(E-A)"1, где Е
- единичная матрица.
На рис. 5.30 представлены матрицы E и (E-A).
Матрица А находится в ячейках B8:D10, а единичная матрица
- в ячейках B12:D14. Нам необходимо попарно вычесть элементы матрицы А из элементов матрицы Е.
Помещаем в ячейку В16 формулу «=В12-В8». Затем копируем ее и вставляем ее во все ячейки, где должна быть разность матриц (B16:D18).
При копировании формул происходит пересчет ссылок на ячейки в соответствие с движением курсора.
|
|
|
t |
|
|
|
|
|
|
3 |
Матрица коэффи- |
0,266667 |
0,100000 |
0,410959 |
|
|
9 |
циентов прямых |
0,200000 |
0,500000 |
0,000000 |
|
|
10 |
затрат А |
0,306667 |
0,100000 |
0,205479 |
|
|
11 |
|
|
|
|
|
|
12 |
Единичная |
1,000000 |
0,000000 |
0,000000 |
|
|
13 |
матрица Е |
0,000000 |
1,000000 |
0,000000 |
|
|
14 |
|
0,000000 |
0,000000 |
1,000000 |
|
|
15 |
|
|
|
|
|
|
16 |
Разность Е-А |
0,7333 |
-0,1000 |
-0,4110 |
|
|
17 |
|
-0,2000 |
' 0,5000 |
0,0000 |
|
|
13 |
|
-0,3067 |
-0,1000 |
0,7945 |
|
|
Ч Г-1 |
|
|
|
|
|
Рис. 5.30. Матрицы А, Е и Е-А.
Теперь нам необходимо найти обратную матрицу. Эти действия описаны в задаче 2.3. |
|
Результаты расчета представлены на рис. 5.31. |
|
|
|
15 |
|
|
|
|
|
|
16 |
Разность Е-А |
0,7333 |
-0,1000 |
-0,4110 |
|
|
17 |
|
-0,2000 |
0,5000 |
0,0000 |
|
|
13 |
|
-0,3067 |
-0,1000 |
0,7945 |
|
|
19 |
|
|
|
|
|
|
20 |
Обратная матри- |
1,945433 |
0,590340 |
1,006261 |
|
|
21 |
ца В=(Е-А)Л-1 |
0,773175 |
2,236136 |
0,402504 |
|
|
22 |
|
0,343337 |
0,509302 |
1,697674 |
|
|
74 |
|
|
|
|
|
Рис. 5.31. Матрица коэффициентов полных затрат.
Итак, матрица коэффициентов полных затрат равна |
Задание 4. Рассчитать объёмы условно чистой продукции отраслей
Объемы условно чистой продукции отраслей рассчитываются
3
по формулам 2j = Xj-Y.x0 . Результаты расчета представлены на
7=1
|
рис. 5.32. |
 |
Рис. 5.32. Расчет условно чистой продукции.
Как видно из строки формул, в ячейку В24 помещена формула |
1,945438
0,778175
0,848837
0,590340
2,236136
0,509302
1,006261
0,402504
1,697674
«=F3-sum(B3:B5)». По ней из валовой продукции первой отрасли вычитается сумма потребления первой отрасли. И т.д. для второй и третьей.
Таким образом, условно чистая продукция может быть представлена следующим вектором:
170 150 .
280
Задание 5. Представить в таблице полную схему межотраслевого баланса (в соответствии с принципиальной схемой МОБ).
Итог всех наших расчетов может быть представлен в табл. 5.4.
Схема межотраслевого баланса
|
Таблица 5.4. |
|
|
|
Производящие |
Потребляющие
отрасли |
Конечная
продукция |
Валовая
продукция |
|
отрасли |
1 |
2 |
3 |
|
1 |
200 |
50 |
300 |
200 |
750 |
|
2 |
150 |
250 |
0 |
100 |
500 |
|
3 |
230 |
50 |
150 |
300 |
730 |
|
Условно чистая продукция |
170 |
150 |
280 |
600 |
|
|
Валовая продукция |
750 |
500 |
730 |
|
1 980 |
Задача 5.6. Формирование портфеля ценных бумаг
Формирование портфеля ценных бумаг. Модель Марковица. Минимизация риска при ограничении доходности снизу
Постановка задачи. Инвестор может вложить определенную сумму денег в приобретение пакетов акций нескольких (n) компаний. На основании анализа рынка и характеристик ценных бумаг было установлено, что средние значения ставок дохода равны соответственно ші, i=\...n, а их стандартные отклонения (которые, собственно, и являются риском ценной бумаги) - аг, / 1.. п. Также необходимо знать зависимости характеристик ценных бумаг друг от друга, которые выражаются через ковариационную матрицу (COV) или матрицу коэффициентов парной корреляции (R=||ry||, і, j=1... n).
Тогда доходность (или эффективность) портфеля ценных бумаг определяется как
|
m, |  |
хцпг |
і=1
Риск портфеля (или стандартное отклонение ставок дохода по портфелю) рассчитывается следующим образом:
 |
<т
= 4хТ cov х = |
п—\ П
i=1
i=l j=i+l
Здесь и выше вектор XT=(xb x2, ..., xn) - вектор долей инвестиций, помещенных в каждый из видов актива (портфельные веса).
В модели Марковица допустимыми являются только стандартные портфели (без коротких позиций). Это приводит к следующим ограничением:
= 1, хг >0 V/.
і=1
Теперь можно сформулировать задачу.
Сформировать портфель минимального риска с доходностью не менее 8% из ценных бумаг трех типов. Исходные данные приведены ниже (см. табл. 5.5, табл. 5.6).
Таблица 5.5.
Параметры ценных бумаг
|
Наименование |
ABC |
CDE |
EFG |
Доходность, m,
(%) |
12 |
7 |
11 |
|
Риск, аі |
25 |
10 |
20 |
Таблица 5.6.
Матрица коэффициентов корреляции
|
|
ABC |
CDE |
EFG |
|
ABC |
1 |
0,52 |
0,27 |
|
CDE |
0,52 |
1 |
0,75 |
|
EFG |
0,27 |
0,75 |
1 |
Целевая функция имеет вид:
|
ег, |  |
СТІ =?хт со? х =
n—\ n
min
^xf • <т2 + 2 • ^ 2>, • jc, • r, •
i=1
i=1 7=i+1
Ограничения:
12 • x^\- 7 • x2 +11 x3 >8 x^\- x2+ x3 =1 Xj, x2, x3 > 0
Решение будем искать в табличном процессоре Excel при помощи мастера поиска решений. Причина выбора MS Excel заключается в том, что только эти электронные таблицы имеют встроенные алгоритмы нелинейного программирования.
Шаги решения следующие.
1) Формируем таблицы 5.5 и 5.6.
2) Резервируем место для изменяемых переменных xh x2, x3.
3) Транспонируем строку изменяемых переменных.
4) Рассчитываем матрицу ковариаций по формуле
СО?„ = <7 =r9-J
5) Вычисляем дисперсию портфеля как функцию трех переменных (xi, x2, x3):
п—1
D = ^=IX-^2+2-Z X
xi-x]-ri]-(jrcjj
Xх COV X
i=1 i=1 j=i+1
6) Вычисляем риск портфеля а, который в данной задаче определяет целевую функцию (требуется минимизировать риск)
На рис. 5.33 представлен общий вид рабочего листа.
На рис. 5.34 представлены все введенные формулы.
После подготовки данных вызываем мастер поиска решения через пункты меню «Данные» ==> «Поиск решения». Появляется панель «Поиск решения» (рис. 5.35).
В строке «Установить целевую ячейку» указываем адрес В27 -в ней находится формула расчета дисперсии портфеля.
Помечаем «Равной минимальному значению».
В окне «Изменяя ячейки» указываем адреса переменных (B14:D14).
Далее, каждый раз нажимая кнопку «Добавить», вводим ограничения (панель ввода представлена на рис. 5.36). После ввода последнего ограничения нажимаем кнопку «Выполнить». Появляется информационное окно о нахождении решения (рис. 5.37).
Богатые возможности отчетов мастера поиска решений мы пока рассматривать не будем.
После нажатия кнопки «ОК» на рабочем листе появляются числовые данные решения (рис. 5.38).
А Б С D I 1
jl Таблица 1. |
|
|
|
2 |
Параметры ценных бумаг |
|
з |
Наименование |
АВС |
CDE |
EFG |
|
4 |
Доходность, ті (%) |
12 |
7 |
11 |
|
Б |
Риск, оі |
25 |
10 |
20 |
|
6 |
Таблица 2 |
|
7 |
Матрица коэффициентов корреляции |
|
Б |
|
АВС |
CDE |
EFG |
|
3 |
АВС |
1 |
0,52 |
0,27 |
|
1C |
CDE |
0,52 |
1 |
0.75 |
|
11 |
EFG |
0,27 |
0,75 |
1 |
|
|
|
d * * Пример 5_6_Портфель ценных бума |
V L_ йЛ /
Главная |
Вставка Разметка страницы Формулы Данные Р |
У ш
Сводная Таблица таблица т |
ІЙІ Клип
¦Лкй
-У Фигуры ”
Рисунок
SmartArt |
д рл" График т С обла
іш „ 1
45 Круговая * |7? Точен
Гистограмма — -
—f> Линейчатая * IJ Други |
|
Таблицы |
Иллюстрации |
Диаграммы |
|
J30 |
|
12 |
Изменяемые переменные |
|
|
|
13 |
Х1 Х2 ХЗ |
|
|
|
14 |
0 0 0 |
|
|
|
1Б |
Транспонированный вектор изменяемых переменных |
|
|
16 |
Х1 0 |
|
|
|
17 |
Х2 0 |
|
|
|
13 |
ХЗ 0 |
|
|
|
13 |
Таблица 3 |
|
|
|
2С |
Матрица ковариаций |
|
|
|
21 |
625 130 135 |
|
|
|
22 |
СО?= 130 100 150 |
|
|
|
23 |
135 150 400 |
|
|
|
2L |
Доходность портфеля |
|
|
|
23 |
771= 0 |
|
|
|
26 |
Дисперсия портфеля |
|
|
|
27 |
D= 0 |
|
|
|
23 |
Ограничения |
|
|
|
23 |
1. Х1+Х2+Х3=1 0= 1 |
|
|
|
36 |
2. 12*Х1+7*Х2+11*ХЗ<20 0> 8 |
|
|
|
31 |
З.Х1,Х2,ХЗ >0 |
|
|
|
|
|
|
|
Рис. 5.33. Подготовка исходных данных и формул.
|
|
А |
В |
С |
D |
|
1 |
Таблица 1. |
|
|
|
2 |
Параметры ценных оумаі |
|
|
|
2 |
Наименование |
АВС |
CDE |
EFG |
|
4 |
Доходность, ті (%) |
12 |
7 |
11 |
|
С |
Риск, si |
25 |
19 |
20 |
|
6 |
Г аблнца 2 |
|
|
|
7 |
Матрица коэффициентов |
|
|
|
S |
|
АВС |
CDE |
EFG |
|
5 |
ЛВС |
1 |
0.52 |
0427 |
|
1C |
CDE |
0,52 |
1 |
0,75 |
|
11 |
EFG |
0427 |
0,75 |
1 |
|
12 |
Изменяемыепеременньп |
|
|
1? |
|
XI |
X2 |
X3 |
|
14 |
|
0 |
0 |
0 |
|
1Е |
Транспонированный век: |
|
|
1? |
|
XI |
=B14 |
|
|
17 |
|
Х2 |
=CU |
|
|
13 |
|
ХЗ |
=D14 |
|
|
19 |
Г асипща б |
|
|
2С |
Матрица ковариации |
|
|
21 |
|
=В9*В5*В5 |
=C9*B5*C5 |
=D9*B5*D5 |
|
22 |
СО?= |
=В10*В5*С5 |
=C10*C5*C5 |
=D10*C5*D5 |
|
2? |
|
=B11*B5*D5 |
=C11*C5*D5 |
=Dll*D5*D5 |
|
24 |
Доходность портфели |
|
|
23 |
т= |
=С?ММПГОИЗВ(В14Т1 14;B4:D4.) |
|
|
|
23 |
Днсперснл портфеля |
|
|
27 |
D= |
=МУМНОЖ(В 14 :D 14 ;МУМНОЖ(В21 :D23 :С IOC 1 5» |
|
|
|
23 |
Ограничения |
|
|
29 |
1 Х1+Х2+Х3=1 |
=СУММ(В 14-D14) |
= |
1 |
|
:с |
2.12*Х 1-7 *Х2+11 *X3?S |
=С\Ъ1МПГОИЗВ(В14Т114;B4:D4) |
> |
3 |
|
31 |
3 Xl,X2,X3s0 II |
|
|
Рис. 5.34. Расчетные формулы. |
 |
|
Рис. 5.35. Установка параметров мастера поиска решения. |
 |
|
Рис. 5.36. Панель ввода ограничений. |
 |
|
Рис. 5.37. Информационное сообщение. |
|
|
|
12 |
Изменяемые переменные |
|
|
|
|
12 |
|
XI |
Х2 |
ХЗ |
|
|
14 |
|
0', 111938 |
0.77985 |
0,10077 |
|
|
15 |
Транспонированный вектор изменяемых переменных |
|
16 |
|
XI |
0', 11938 |
|
|
|
17 |
|
Х2 |
0,77985 |
|
|
|
13 |
|
ХЗ |
0', 10077 |
|
|
|
19 |
Таблица 3 |
|
|
|
|
|
20 |
Матрица ковариаций |
|
|
|
|
|
21 |
|
625 |
130 |
135 |
|
|
22 |
со?= |
130 |
100 |
150 |
|
|
22 |
|
135 |
150 |
400 |
|
|
24 |
Доходность портфеля |
|
|
|
|
|
22 |
т= |
8 |
|
|
|
|
2с |
Дисперсия портфеля |
|
|
|
|
|
27 |
D= |
124,816 |
|
|
|
|
23 |
Ограничения |
|
|
|
|
|
25 |
1. Х1+Х2+Х3=1 |
1 |
- |
1 |
|
|
30 |
2. 12*Х1+7*Х2+1ГХЗ<20 |
8 |
> |
8 |
|
|
21 |
3. XI, Х2, ХЗ >0 |
|
|
|
|
|
Рис. 5.38. Результаты решения. |
Итак, на акции ABC следует потратить 12% капитала, на акции CDE - 78%, на акции EFG - 10%. Доходность составит 8%, а минимальная дисперсия - 124,8.
Эконометрика
6.1. Основные положения
Эконометрика - одна из базовых дисциплин экономического образования во всем мире. Однако до недавнего времени она не была признана в СССР и России. Это было связано с тем, что из трех основных составляющих эконометрики - экономической теории, экономической статистики и математики - две первые были представлены в нашей стране неудовлетворительно. Но теперь ситуация изменилась коренным образом.
Существуют различные варианты определения эконометрики:
1) расширенные, когда к эконометрике относят все, что связано с измерениями в экономике;
2) узко инструментально ориентированные, когда понимают определенный набор математико-статистических средств, позволяющих верифицировать модельные соотношения между анализируемыми экономическими показателями.
На наш взгляд, наиболее точно объяснил сущность эконометрики один из основателей этой науки Р.Фриттт, который и ввел этот название в 1926 г.: «Эконометрика - это не то же самое, что экономическая статистика. Она не идентична и тому, что мы называем экономической теорией, хотя значительная часть этой теории носит количественный характер. Эконометрика не является синонимом приложений математики к экономике. Как показывает опыт, каждая из трех отправных точек - статистика, экономическая теория и мате-
матика - необходимое, но не достаточное условие для понимания количественных соотношений в современной экономической жизни. Это единство всех трех составляющих. И это единство образует эконометрику».
Эконометрика - это самостоятельная научная дисциплина, объединяющая совокупность теоретических результатов, приемов, методов и моделей, предназначенных для того, чтобы на базе экономической теории, экономической статистики и экономических измерений, математико-статистического инструментария придавать конкретное количественное выражение общим (качественным) закономерностям, обусловленным экономической теорией.
Эконометрический метод складывался в преодолении следующих трудностей, искажающих результаты применения классических статистических методов (сущность новых терминов будет раскрыта в дальнейшем):
1. асимметричности связей;
2. мультиколлинеарности связей;
3. эффекта гетероскедастичности;
4. автокорреляции;
5. ложной корреляции;
6. наличия лагов.
Для описания сущности эконометрической модели удобно разбить весь процесс моделирования на шесть основных этапов:
1-й этап (постановочный) - определение конечных целей моделирования, набора участвующих в модели факторов и показателей, их роли;
2- й этап (априорный) - предмодельный анализ экономической сущности изучаемого явления, формирование и формализация априорной информации, в частности, относящейся к природе и генезису исходных статистических данных и случайных остаточных составляющих;
3- й этап (параметризация) - собственно моделирование, т.е. выбор общего вида модели, в том числе состава и формы входящих в нее связей;
4- й этап (информационный) - сбор необходимой статистической информации, т.е. регистрация значений участвующих в модели факторов и показателей на различных временных или пространственных тактах функционирования изучаемого явления;
5- й этап (идентификация модели) - статистический анализ модели и в первую очередь статистическое оценивание неизвестных параметров модели;
6- й этап (верификация модели) - сопоставление реальных и модельных данных, проверка адекватности модели, оценка точности модельных данных.
Эконометрическое моделирование реальных социальноэкономических процессов и систем обычно преследует два типа конечных прикладных целей (или одну из них): 1) прогноз экономических и социально-экономических показателей, характеризующих состояние и развитие анализируемой системы; 2) имитацию различных возможных сценариев социально-экономического развития анализируемой системы (многовариантные сценарные расчеты, ситуационное моделирование).
При постановке задач эконометрического моделирования следует определить их иерархический уровень и профиль. Анализируемые задачи могут относиться к макро- (страна, межстрановой анализ), мезо- (регионы внутри страны) и микро- (предприятия, фирмы, семьи) уровням и быть направленными на решение вопросов различного профиля инвестиционной, финансовой или социальной политики, ценообразования, распределительных отношений и т.п.
Математические основы эконометрики базируются на методах математической статистики и теории временных рядов. Даже краткое описание этих методов уведет нас далеко за пределы данного пособия, поэтому ниже мы рассмотрим их применение на примерах без детального теоретического обоснования.
Все задачи будем решать с использованием пакета gretl.
6.2. Краткое описание пакета программ Gretl
Пакет программ Gretl достаточно сложен, поэтому в этом разделе кратко опишем его структуру и процесс ввода данных.
На рис. 6.1 представлен общий вид основного окна программы GRETL.
|
Quarterly: Full range 1972:1 -1991:1 |
|
|
|
\т\ |
\ш п|ш іш та\ф\ |
м |
|
|
gretL
File Tools Data View Add Sample Variable Model Help australia.gdt |
|
|
|
ю # |
Variable name |
Descriptive label |
|
0 |
const |
auto-generated constant |
|
1 |
PAU |
Australian price level |
|
2 |
PUS |
US price level |
|
3 |
E |
Exchange rate |
|
4 |
IAU |
Australian bond rate |
|
5 |
IUS |
US bond rate |
|
б |
ius2 |
IUS/100 |
|
7 |
iau2 |
IAU/100 |
|
8 |
e2 |
(1/E) |
|
9 |
Ipus |
log(PUS) |
|
10 |
le |
log(e2) |
|
И |
Ipau |
log(PAU) |
|
|
|
|
|
Obs |
FAU |
|
1972:1 |
39,3 |
|
1972 :2 |
39, 6 |
|
1972:3 |
4 0,2 |
|
1972 :4 |
4 0,6 |
|
1973:1 |
41,5 |
|
1973:2 |
42 , 9 |
|
1973:3 |
44,4 |
|
1973:4 |
4 6,0 |
|
1974:1 |
4 7,1 |
|
1974 :2 |
4 9,1 |
|
1974 :3 |
51, 6 |
|
1974 :4 |
53,5 |
|
1975:1 |
55,4 |
|
1975:2 |
57,4 |
|
1975:3 |
57,3 |
|
1975:4 |
61,0 |
|
1976:1 |
62 , E |
|
Close |
Рис. 6.1. Основное окно программы GRETL. На рис. 6.2 представлено основное меню:
a) - File (Файл). Реализует основные операции с файлами (открытие, сохранение, настройки).
b) - Tools (Инструменты). Реализует функции статистических вычислений (вероятности, обратные величины - квантили и др.), калькулятор статистических тестов, вызов командной строки, вызов консоли.
c) - Data (Данные). Основные операции над данными: вывод; редактирование; сортировка; добавление; преобразование.
d) - View (Вид; Представление). Графическое представление; расчет основных статистик; корреляционная матрица; главные компоненты.
e) - Add (Дополнительно). Набор различных фильтров.
f) - Sample (Выборка). Ограничение значений; удаление наблюдений с отсутствующими значениями и т.д.
g) - Variable (Переменная). Описательные статистики; распределения; гистограмма; коррелограмма; спектральный анализ; анализ сезонных колебаний.
h) - Model (Модель). Простой метод наименьших квадратов; другие линейные модели; анализ временных рядов; нелинейные модели; оценка устойчивости.
Tools Data View Ad
Data View Add 5 View Add Sample Variabj
Add Sample Variz
Open data Append data ? Save data Save data as Export data 0 Send To... j~j New data set Clear data set
>
>
Ctrl+S
>
>
Ctrl+A
Select all
austr^ Statistical tables P-value finder Test statistic calculator Nonparametric tests
2 Probability distributions
3 Seed for random numbers
4
5
6
7
8 9
Icon view
Display values Edit values Add observations...
Remove extra observations
Graph specified vars Multiple graphs
Summary statistics Correlation matrix Cross Tabulation Principal components Mahalanobis distances Cross-correlogram
Read info
Edit .info
Print description Add case markers...
Remove case markers
Ctri+N
Command log
Gretl console
Start GNU R |
|
|
Sort variables |
> |
|
NIST test suite |
> |
|
Preferences |
> |
|
Script files |
> |
|
Session files |
> |
|
Databases |
> |
|
Function files |
> |
|
'З Beit |
Ctrl+X |
Dataset structure... Compact data... Expand data... Transpose data...
Refresh window
a) b) c) d)



Help
Ordinary Least Squares... Other Jinear models Time series
Panel
Nonlinear models Robust estimation Maximum likelihood... GMM...
Simultaneous equations...
e) f) g) h)
Рис. 6.2. Основное меню программы.
Помимо этого, основное окно имеет ряд кнопок, расположенных на нижней панели:
- вызывает системный калькулятор;

- открывает новое окно для скриптов GRETL;
- открывает новое окно для инструкций GRETL;
- открывает окно иконок для быстрого вызова окон текущей сессии;
- вызывает IE или другой браузер и выходит на сайт проекта GRETL;

- открывает Руководство (на английском языке в формате
pdf);

- открывает окно помощи; открывает график;
- открывает окно спецификации модели;
- открывает окно с примерами из учебников по экономет
рике.
В программе GRETL имеется простой редактор для ввода данных, однако он не очень удобный и требует большого времени для освоения. Наиболее простой путь - импорт данных через текстовый файл в формате *.txt или через таблицы MS Excel в формате *.xls. Мы рассмотрим именно этот способ.
Как текстовый файл, так и книгу Excel можно подготовить не только в среде MS Office, но и в бесплатном открытом офисном пакете OpenOffice.org
Формат исходных данных в таблице Excel следующий: переменные вводятся по столбцам; в первой строке над каждым столбцом следует указать имя переменной с использованием только латиницы и цифр (не более 8 символов). Эти данные должны находиться в первом листе книги.
Рабочую книгу в формате *.xls необходимо сохранить в папке, имя которой не содержит кириллических букв. Путь к папке и имя файла также не должны содержать кириллицы.
Процесс импорта данных представлен на рис. 6.3. Последовательность пунктов меню следующая: [File]—ДОреп data]^ [Import]-»[Excel...]. Далее в стандартном окне ввода выбрать нужный файл.
После импорта данных целесообразно сохранить их в формате *.gdt (формат файлов данных программы GRETL). В этом случае снимаются ограничения на использование кириллицы как в имени файла, так и в именах папок. Последовательность пунктов меню следующая: [File]—>[Save data as]^[Standard format... ].
После этого появляется окно выбора переменных, которые необходимо сохранить (рис. 6.4). Следует по очереди отметить в левом окне имя нужной переменной и нажать кнопку [Select—>].
Если необходимо выбрать все переменные, то необходимо нажать кнопку [АН—»].

gretl
Tools Data View Add Sample Variable Model
|
|
|
& User file... Ctrl+O |
|
|
& Sample file... |
|
|
Import |
|
|
|
Open data |
> |
|
Append data |
> |
|
Ш Save data |
Ctrl+S . |
|
Save data as |
> 1 |
|
Export data |
> |
|
? Send To... |
|
0 New data set |
Ctrl+N |
|
1 V Clear data set ^ |
|
Script files |
> |
|
Session files |
> |
|
Databases |
> |
|
Function files |
> |
|
й Exit |
Ctrl+X |
1. australia .gdt
2. nysewk.gdt
3. data2-3.gdt
4. data2-2.gdt |
CSV...
ASCII... Octave... Excel... Gnu meric, Eviews... Stata... JMulTi...
Рис. 6.3. Импорт данных.
 |
|
Рис. 6.4. Сохранение данных в формате GRETL |

После нажатия кнопки [OK] появится стандартное окно сохранения файла.
6.3. Множественная регрессия
По данным о рынке жилья в Московской области, представленным в табл. 6.1, исследуется зависимость между ценой квартиры Y (тыс. долл.) и следующими основными факторами:
Y - цена квартиры, тыс. долл.;
Xi - город области (1- Подольск, 2-Люберцы);
Х2 - число комнат в квартире;
Х3 - общая площадь квартиры (м);
Х4 - жилая площадь квартиры (м);
Х5 - этаж квартиры;
Х6 - площадь кухни (м).
Необходимо провести полный множественный анализ зависимости признака Y от факторов Х1.. ,Х6.
Задание: 1) построить линейную модель множественной регрессии со всеми факторами; 2) исследовать корреляционную матрицу на мультиколлинеарность, исключить лишние факторы, исключить незначимые факторы и построить новую линейную модель; 3) оценить адекватность обоих уравнений регрессии по критерию Фишера; 4) сравнить обе модели; 5) провести анализ на нормальность и гомоскедастичность остатков; 6) сравнить цены в обоих городах.
Доверительный уровень взять равным а=0,05.
Расчет основных статистик.
1. Выбираем переменные: выделяем курсором первую нужную переменную (Y), нажимаем клавишу [Shift] на клавиатуре и выделяем курсором последнюю переменную (X6). Можно также выделять переменные курсором по очереди, удерживая клавишу [Ctrl].
В первой строке программой вставлена вспомогательная переменная, во второй строке находятся номера наблюдений (были в исходном файле данных).
2. Последовательно выбираем пункты меню [View]—>[Summary statistics] (рис. 6.5). После нажатия на последний, появляется окно с расчетными данными (рис. 6.6).
 |
|
Рис. 6.5. Расчет основных статистик. |
Полученные результаты можно сохранить, распечатать, скопировать или произвести в них поиск (соответствующие кнопки находятся на верхней части панели окна основных статистик).
При копировании данных появляется окно выбора формата представления.
Копия результатов приведена ниже в табл. 6.1.
 |
|
Рис. 6.6. Окно основных статистик. |
Таблица 6.1.
Основные статистики исследуемых переменных. Полная выборка.
|
Summary Statistics, using the observations 1 - 80 |
|
|
|
Variable |
Mean |
Median |
Minimum |
Maximum |
|
Y |
97,4439 |
85,0000 |
38,0000 |
280,000 |
|
X1 |
1,48750 |
1,00000 |
1,00000 |
2,00000 |
|
X2 |
2,50000 |
2,50000 |
1,00000 |
4,00000 |
|
X3 |
71,0662 |
66,3500 |
29,0000 |
169,500 |
|
X4 |
40,8312 |
38,4000 |
14,0000 |
91,0000 |
|
X5 |
6,33750 |
6,00000 |
1,00000 |
16,0000 |
|
X6 |
10,4163 |
10,0000 |
5,80000 |
21,0000 |
|
Variable |
Std. Dev. |
C.V. |
Skewness |
Ex. kurtosis |
|
Y |
54,2576 |
0,556808 |
1,51246 |
2,15444 |
|
X1 |
0,502997 |
0,338149 |
0,0500156 |
-1,99750 |
|
X2 |
1,12509 |
0,450035 |
0,000000 |
-1,36000 |
|
X3 |
30,0915 |
0,423429 |
1,16395 |
1,66153 |
|
X4 |
18,9478 |
0,464051 |
0,639572 |
0,00998983 |
|
X5 |
3,91668 |
0,618016 |
0,365690 |
-0,880473 |
|
X6 |
2,94263 |
0,282504 |
1,10553 |
2,41852 |
В табл. 6.1 приведены следующие статистики:
1 - среднее арифметическое (Mean);
2 - медиана (Median);
3 - минимальное значение (Minimum);
4 - максимальное значение (Maximum);
5 - стандартное (среднее квадратическое) отклонение (Std.
Dev.);
6 - коэффициент вариации (C.V.);
7 - коэффициент асимметрии (Skewness);
8 - коэффициент концентрации (Ex. kurtosis).
Расчет коэффициентов линейного уравнения регрессии, включающего в себя все факторы.
1. Последовательно выбираем пункты меню [Model] —» [Ordinary Least Squares...] (рис. 6.7).
2. Последовательно выбираем нажатием курсора признак (Y) и факторы. Признак вводится нажатием кнопки [Choose—»], а факторы - [Add-»] (рис. 6.8).
3. Нажимаем кнопку [OK]. Появляется окно с результатами расчетов (рис. 6.9).
4. Копируем результаты (рис. 6.9) и вставляем их в текст (табл.
6.2).
 |
|
Рис. 6.7. Выбор типа модели. |
 |
|
Рис. 6.8. Выбор признака и факторов. |
 |
|
Рис. 6.9. Копирование результатов расчетов. |
В табл. 6.2 представлены результаты расчета.
Таблица 6.2.
|
Полная регрессионная модель Model 1: OLS estimates using the 80 observations 1-80 Dependent variable: Y |
|
|
|
Variable |
Coefficient |
Std. Error |
t-statistic |
p-value |
|
|
const |
-15,3197 |
17,1902 |
-0,8912 |
0,37576 |
|
|
X1 |
14,2147 |
5,93004 |
2,3971 |
0,01909 |
** |
|
X2 |
-7,6137 |
7,03339 |
-1,0825 |
0,28259 |
|
|
X3 |
1,50654 |
0,408846 |
3,6849 |
0,00044 |
*** |
|
X4 |
0,714383 |
0,720081 |
0,9921 |
0,32443 |
|
|
X5 |
-0,0873794 |
0,785893 |
-0,1112 |
0,91177 |
|
|
X6 |
-2,40261 |
1,65697 |
-1,4500 |
0,15134 |
|
|
Mean of c |
ependent variable = 97,4439 |
Standard deviation of dep. var. = 54,2576 Sum of squared residuals = 48718,8 Standard error of residuals = 25,8337 Unadjusted R2 = 0,790517 Adjusted R2 = 0,773299
F-statistic (6, 73) = 45,9128 (p-value < 0,00001)
Log-likelihood = -369,987 Akaike information criterion = 753,974 Schwarz Bayesian criterion = 770,648 Hannan-Quinn criterion = 760,659
По данным таблицы можно записать уравнение регрессии: у= -15,3197 + 14,2147-^-7,6137^2 + 1,50654-*3 +
+ 0,714383\х4 - 0,087379ос5 - 2,40261 -jc6 Коэффициент детерминации (Adjusted R2 = 0,773299) достаточно велик. Он показывает, что уравнение регрессии на 77% объясняет поведение признака. Случайные отклонения от расчета - всего лишь 23%.
Адекватность уравнения регрессии проверяется F-критерием Фишера. Расчетное значение F-статистики равно 45,9128, в то время как критическое значение - 6,73. Т.к. расчетное значение превосходит критическое, то уравнение регрессии адекватно.
Вместе с тем следует отметить, что по результатам теста по t-критерию только два коэффициента уравнения регрессии программа признала значимыми (отмечены звездочками в табл. 6.2) - (множитель при Лі) и Эз (множитель при jc3).
Анализ корреляционной матрицы. Выбор значимых факторов.
Этот шаг, на самом деле, должен быть первым, поскольку наличие мультиколлинеарности может настолько сильно исказить результаты анализа, что модель будет полностью непригодна для использования, несмотря на наличие значимых коэффициентов уравнения регрессии.
1. Для расчета корреляционной матрицы последовательно выбираем пункты меню [View] -» [Correlation matrix] (рис. 6.10).
 |
|
Рис. 6.10. Расчет матрицы коэффициентов парной корреляции |
После нажатия последней кнопки появляются результаты расчетов (рис. 6.11).
 |
|
Рис. 6.11. Корреляционная матрица. |
Результаты расчетов были скопированы и приведены в табл.
6.3.
Таблица 6.3.
Корреляционная матрица
Correlation coefficients, using the observations 1 - 80 5% critical value (two-tailed) = 0,2199 for n = 80
|
Y |
X1 |
X2 |
X3 |
X4 |
X5 |
X6 |
|
|
1,0000 |
0,2028 |
0,7248 |
0,8721 |
0,8536 |
0,0214 |
0,4856 |
Y |
|
|
1,0000 |
0,1007 |
0,0693 |
0,0996 |
-0,1938 |
-0,0225 |
X1 |
|
|
|
1,0000 |
0,8091 |
0,8909 |
-0,0158 |
0,2223 |
X2 |
|
|
|
|
1,0000 |
0,9546 |
0,0835 |
0,6327 |
X3 |
|
|
|
|
|
1,0000 |
0,0021 |
0,5062 |
X4 |
|
|
|
|
|
|
1,0000 |
0,1501 |
X5 |
|
|
|
|
|
|
|
1,0000 |
X6 |
2. Анализ корреляционной матрицы показывает, что факторы Х1 и Х5 слабо связаны с признаком и их можно не включать в модель (расчеты программы показали, что если |r|<0,2199, то этот коэффициент парной корреляции следует считать незначимым).
Можно также заметить, что три фактора Х2, Х3, Х4 тесно связаны между собой (коэффициенты парной корреляции превышают 0,8), т.е. наблюдаем явление мультиколлинеарности. Для устранения этого явления удалим из модели факторы Х2 и Х4 (они слабее связаны с признаком Y).
3. Проведем новые расчеты с оставшимися факторами Х3 и Х6.
Результаты расчета коэффициентов модели приведены в табл.
6.4.
Таблица 6.4.
Линейная модель с неколлинеарными и значимыми факторами Model 2: OLS estimates using the 80 observations 1-80 |
|
|
|
|
Dependent variable: Y |
|
|
Variable |
Coefficient |
Std. Error |
t-statistic |
p-value |
|
const |
-2,05977 |
10,9624 |
-0,1879 |
0,85145 |
|
X3 |
1,6984 |
0,127836 |
13,2858 |
<0,00001 *** |
|
X6 |
-2,03482 |
1,30725 |
-1,5566 |
0,12368 |
Mean of dependent variable = 97,4439 Standard deviation of dep. var. = 54,2576 Sum of squared residuals = 53980,6 Standard error of residuals = 26,4773 Unadjusted R2 = 0,767892 Adjusted R2 = 0,761863
F-statistic (2, 77) = 127,371 (p-value < 0,00001) Log-likelihood = -374,089
Akaike information criterion = 754,178
Schwarz Bayesian criterion = 761,324
Hannan-Quinn criterion = 757,043
Анализ результатов показывает, что уравнение регрессии адекватно, т.к. расчетное значение критерия Фишера равно 127,371, в то время как критическое - 2,77, что существенно меньше.
Коэффициент детерминации R = 0,761863 достаточно велик, хотя и уменьшился на 0,012, по сравнению с полной моделью.
Также можно заметить, что по критерию Стьюдента лишь один коэффициент (множитель при Х3) уравнения регрессии является значимым. Таким образом, мы получили, что именно общая площадь квартиры почти полностью определяет ее цену.
Сравнение цен по городам
1. Выделим данные только для Подольска. Они характеризуются значением параметра Х1=1.
Выделение группы данных осуществляется через меню [Sample] —> [Restrict, based on criterion...] (рис. 6.12).
 |
|
Рис. 6.12. Выделение подвыборки по критерию. |
Появляется окно определения критерия отбора (рис 6.13):
 |
|
Рис. 6.13. Формирование критерия отбора. |
После ввода критерия отбора снова рассчитываются основные статистики (табл. 6.5).
Таблица 6.5.
Основные статистики для Подольска (Х1=1)
Summary Statistics, using the observations 1 - 39
|
Variable |
Mean |
Median |
Minimum |
Maximum |
|
Y |
86,7817 |
67,0000 |
38,0000 |
280,000 |
|
X1 |
1,00000 |
1,00000 |
1,00000 |
1,00000 |
|
X2 |
2,39024 |
2,00000 |
1,00000 |
4,00000 |
|
X3 |
69,0463 |
64,5000 |
32,0000 |
155,000 |
|
X4 |
39,0024 |
36,0000 |
14,0000 |
85,0000 |
|
X5 |
7,07317 |
7,00000 |
1,00000 |
16,0000 |
|
X6 |
10,4805 |
10,0000 |
6,50000 |
21,0000 |
|
Variable |
Std. Dev. |
C.V. |
Skewness |
Ex. kurtosis |
|
Y |
53,6805 |
0,618569 |
2,05596 |
4,24125 |
|
X1 |
0,000000 |
0,000000 |
undefined |
undefined |
|
X2 |
1,11530 |
0,466607 |
0,169895 |
-1,29339 |
|
X3 |
28,3343 |
0,410366 |
1,17275 |
1,79517 |
|
X4 |
17,7410 |
0,454869 |
0,641905 |
0,155210 |
|
X5 |
4,00868 |
0,566744 |
0,212129 |
-0,802142 |
|
X6 |
2,44277 |
0,233078 |
1,69014 |
6,60764 |
Окно ввода критерия отбора содержит теперь дополнительное услвие: [add to current restriction] и [replace current restriction] («добавить в существующее ограничение» и «заменить существующее ограничение») (рис. 6.14). Выбираем пункт «заменить».
Результаты расчета основных статистик для Люберец приведены в табл. 6.6.
 |
|
Рис. 6.14. Второй вход в окно ограничений. |
Таблица 6.6.
Основные статистики для Люберец (Х1=2)
|
Summary Statistics, using the observations 1 - 39 |
|
|
|
Variable |
Mean |
Median |
Minimum |
Maximum |
|
Y |
108,653 |
93,0000 |
38,0000 |
265,000 |
|
X1 |
2,00000 |
2,00000 |
2,00000 |
2,00000 |
|
X2 |
2,61538 |
3,00000 |
1,00000 |
4,00000 |
|
X3 |
73,1897 |
67,0000 |
29,0000 |
169,500 |
|
X4 |
42,7538 |
40,0000 |
15,3000 |
91,0000 |
|
X5 |
5,56410 |
4,00000 |
1,00000 |
14,0000 |
|
X6 |
10,3487 |
10,0000 |
5,80000 |
20,5000 |
|
Variable |
Std. Dev. |
C.V. |
Skewness |
Ex. kurtosis |
|
Y |
53,2477 |
0,490072 |
1,14056 |
1,11121 |
|
X1 |
0,000000 |
0,000000 |
undefined |
undefined |
|
X2 |
1,13822 |
0,435202 |
-0,180363 |
-1,34095 |
|
X3 |
32,0682 |
0,438151 |
1,11674 |
1,40541 |
|
X4 |
20,1908 |
0,472257 |
0,581823 |
-0,216828 |
|
X5 |
3,71196 |
0,667127 |
0,512349 |
-0,976710 |
|
X6 |
3,42221 |
0,330689 |
0,852933 |
0,627740 |
3. Сравнение цен в двух городах.
По табл. 6.5 и табл.6.6 можно заметить, что средняя цена квартиры в Люберцах (108,653) превышает то же в Подольске (86,7817).
Возникает вопрос, насколько значимо это превышение.
С этой целью проведем оценку значимости отклонения по t-критерию Стьюдента. Для этого воспользуемся меню [Tools] —> [Test statistic calculator] (рис. 6.14).
После выбора меню [Test statistic calculator] появляется окно ввода данных (рис. 6.15). В нем вверху имеется ряд закладок, среди которых мы выбираем закладку [2 means] (двухвыборочное среднее).
Затем по очереди в каждом окне и для обеих выборок вводим последовательно соответствующие значения: среднее, стандартное отклонение, объем выборки. После нажатия кнопки [OK] появляются результаты расчета (рис. 6.16).
 |
|
Рис. 6.14. Выбор калькулятора Ри с . 6.15. Ввод данных в калькуля-статистических тестов тор |

На рис. 6.16 главное для нас - это строка с записью «Two-tailed р-value = 0,07127». Т.к. р>а=0,05, то отклонение средних друг от друга незначимо. Таким образом, гипотеза о независимости цен от города принимается.
 |
|
Рис. 6.16. Проверка гипотезы о равенстве средних цен |
Проверка нормальности и гомоскедастичности остатков
Для проведения тестов на гетероскедастичность (нарушение гомоскедастичности) и нормальность остатков в окне модели выбираем меню [Tests] -» [Heterosctdasticity] или [Tests] -» [Normality of residual] соответственно (рис. 6.17).
 |
|
Рис. 6.17. Проведение тестов на гетероскедастичность |
Результаты теста на нормальность распределения остатков приведены на рис. 18 и рис. 6.19. Т.к. р-value = 0,1815 > а = 0,05, то гипотезу о нормальности принимаем.
Результаты теста на гетероскедастичность приведены на рис.
6.20.
При доверительном уровне а = 0,05 наблюдается гетероскедастичность (нарушена гомоскедастичность) по фактору Х3.
 |
|
Рис. 6.18. Результаты теста на нормальность распределения остатков |
0.016
Test statistic for normality:
Chi-squared(2) = 3,413 pvalue = 0,18150
uhat1 I
N(-5,2403e-015 26,477) |
 |
0.014
0.012
0.01
0.008
0.006
0.004
0.002
-80 -60 -40 -20
0
uhat1
20 40 60 80
Рис. 6.19. Гистограмма и нормальная аппроксимация гистограммы распределения остатков
 |
|
Рис. 6.20. Проверка на гомоскедастичность. |
Выводы
1. Установлено, что цена квартиры зависит только от общей площади. Коэффициент уравнения регрессии при факторе Х6 (площадь кухни) незначимо отличается от нуля.
2. Установлено, что полученная модель является адекватной по критерию Фишера.
3. Установлено, что разница в ценах в двух городах несущественна.
4. Установлено, что модель соответствует общим требованиям по нормальности остатков, но слегка нарушена гомоскедастичность.
6.4. Анализ временных рядов
Временные ряды, в отличие от остальных, изначально упорядочены по параметру «время».
В качестве примера для анализа возьмем данные по Нью-Йоркской фондовой бирже с 05 января 1966 г. по 26 июня 2006 г. (всего 2117 наблюдений). График представлен на рис. 6.21.
NYSE closing price, Wednesdays
 |
|
Рис. 6.21. Цена закрытия на Нью-Йоркской фондовой бирже, приведенная по средам. |
Эти данные имеются в базе примеров программы GRETL. Их можно загрузить последовательностью команд меню: [File] —> [Open data] —» [Sample file] (рис. 6.22). To же можно выполнить нажатием крайней правой кнопки на нижней панели.
Появляется окно выбора файлов примеров (рис. 6.23). Следует обратить внимание на большое количество имеющихся там статистических данных. Эти примеры широко используются в различных учебниках по эконометрике.
gretl
|
1 Tools Data |
View Add Sample Variable Model |
|
Open data |
А'-ЙЙИ |
fe User file... Ctrl+O |
|
Append data fnl Save data |
>
Ctrl+Б |
Ё5 Sample rile... |
|
Save data as |
> |
Import > |
|
Export data |
> |
1. Пример 2.gdt |
|
El Send To... |
|
2. nysewk.gdt |
|
И New data set |
Ctrl+N |
3. Primer2.xls |
|
Cjear data bet |
|
4 Пример l.gdt |
|
Script Files |
> |
|
|
Session riles |
> |
|
|
Databases |
> |
|
|
Function riles |
> |
|
|
^ Exit |
Ctrl+X |
|
|
Рис. 6.22. Открытие файлов. |
 |
Рис. 6.23. Окно выбора файлов примеров.
Выбранный нами файл очень большой и охватывает 40-летний период, в течение которого, как видно из графика на рис. 6.21, поведение цен было различным. Для исследования выберем период с 06 января 1988 г. по 30 декабря 1998 г. (574 наблюдения). График представлен на рис. 6.24.
 |
|
Рис. 6.24. Отобранные для анализа наблюдения. |
Выбор линии тренда
Наблюдаемые данные можно приближать разными функциями. Самая распространенная модель - линейная. Но отобранные нами данные явно имеют нелинейную зависимость от времени.
Здесь возникает проблема, какую функцию выбрать для приближения?
С одной стороны, у исследователя могут быть некоторые теоретические соображения по виду функциональной зависимости. С другой стороны, часто нет никакой априорной информации о характере процесса.
Наиболее часто приближение осуществляется степенными ря-
п
дами, т.е. полагаем, что x(t) = ^а/ + в(t), где п - степень многочле-
2 = 0
на; аь і=\...п - неизвестные коэффициенты; в(7) - случайная составляющая. Здесь и далее параметр времени t численно равен номеру недели, начиная с первой (06 января 1988 г.).
Мы рассмотрим три модели: линейную, квадратическую и кубическую. Для построения квадратической и кубической моделей были введены новые переменные: time = t, time2 = t2, time3 = t3.
Необходимо отметить, что многочлены более высоких степеней нецелесообразно применять в статистическом анализе.
Ниже представлены результаты расчета трех моделей.
1. Линейная модель.
Model 1: OLS estimates using the 574 observations 88/01/06-98/12/30
Dependent variable: close
p-value
<0,00001 *** <0,00001 ***
Variable Coefficient Std. Error t-statistic
const 961,45 43,2647 22,2225
time 7,06538 0,130381 54,1901
Mean of dependent variable = 2992,75 Standard deviation of dep. var. = 1280,8 Sum of squared residuals = 1,53243e+008 Standard error of residuals = 517,597
Unadjusted R2 = 0,836971
Adjusted R2 = 0,836686
Degrees of freedom = 572
F-statistic (2, 571) = 2930,46 (p-value < 0,00001)
Durbin-Watson statistic = 0,0152249 First-order autocorrelation coeff. = 0,996553 Log-likelihood = -4400,51 Akaike information criterion = 8805,02 Schwarz Bayesian criterion = 8813,72 Hannan-Quinn criterion = 8808,41
2. Квадратическая модель.
Model 3:OLS estimates using the 574 observations 88/01/06-98/12/30
|
Dependent variable: close |
|
|
|
Variable |
Coefficient |
Std. Error |
t-statistic |
p-value |
|
const |
1940,14 |
35,05 |
55,3534 |
<0,00001 |
|
time |
-3,12927 |
0,281516 |
-11,1158 |
<0,00001 |
|
time2 |
0,0177298 |
0,000474098 |
37,3970 |
<0,00001 |
***
*** |
Mean of dependent variable = 2992,75 Standard deviation of dep. var. = 1280,8 Sum of squared residuals = 4,44275e+007 Standard error of residuals = 278,938 Unadjusted R2 = 0,952735 Adjusted R2 = 0,95257
F-statistic (2, 571) = 5754,93 (p-value < 0,00001) Durbin-Watson statistic = 0,0521203 First-order autocorrelation coeff. = 0,973034 Log-likelihood = -4045,16 Akaike information criterion = 8096,31 Schwarz Bayesian criterion = 8109,37 Hannan-Quinn criterion = 8101,4
3. Кубическая модель.
Model 11: OLS estimates using the 574 observations 88/01/06-98/12/30
Dependent variable: close
|
Variable |
Coefficient |
Std. Error |
t-statistic |
p-value |
|
|
const |
1411,7 |
33,0182 |
42,7553 |
<0,00001 |
*** |
|
time |
7,8512 |
0,496865 |
15,8015 |
<0,00001 |
*** |
|
time2 |
-0,0299698 |
0,00200705 |
-14,9323 |
<0,00001 |
*** |
|
time3 |
5,53039e-05 |
2,29458e-06 |
24,1020 |
<0,00001 |
*** |
Mean of dependent variable = 2992,75 Standard deviation of dep. var. = 1280,8 Sum of squared residuals = 2,20032e+007 Standard error of residuals = 196,474 Unadjusted R2 = 0,976592 Adjusted R2 = 0,976468
F-statistic (3, 570) = 7926,73 (p-value < 0,00001) Durbin-Watson statistic = 0,105053 First-order autocorrelation coeff. = 0,94817 Log-likelihood = -3843,49 Akaike information criterion = 7694,98 Schwarz Bayesian criterion = 7712,39 Hannan-Quinn criterion = 7701,77
Анализ полученных результатов дает основание для принятия квадратичной модели:
|
Модель |
Коэффициент R2 |
Расчетное значение
F-критерия |
|
Линейная |
0,836686 |
2930,46 |
|
Квадратичная |
0,95257 |
5754,93 |
Кубическая
0,976468
796468
Добавление кубического слагаемого ничего не дает с точки зрения надежности и точности модели: коэффициент множественной корреляции увеличивается незначительно, а сложность модели возрастает. В этой связи оставляем квадратичную модель.
Уравнение модели:
x(t) = 1940,14 - 3,12927 • t + 0,0177298 • t2
Здесь .х - значение переменной close, t - порядковый номер недели, начиная с первой.
Оценка автокорреляции остатков (критерий Дарбина-Уотсона)
Если остатки, т.е. разница между рассчитанными по модели значениями и фактическими значениями, коррелированны, то это означает, что модель более сложная, чем предполагалось. В этом случае нарушается независимость наблюдений друг от друга и необходимо использовать автокорреляционные модели.
В таблице данных второй (квадратической) модели имеется два параметра, характеризующих автокорреляцию остатков:
1. Статистика Дарбина-Уотсона (Durbin-Watson statistic). Эта величина равна Durbin-Watson statistic = 0,0521203.
Для сравнения ее с критическими значениями необходимо вызвать функцию статистических таблиц программы GRETL последовательностью команд меню [Tools] -» [Statistical tables] (рис. 6.25).
На появившемся окне статистических таблиц выбрать закладку [DW] (рис. 6.26) и ввести объем выборки п.


Рис. 6.25. Вызов статистиче- Рис. 6.26. Ввод исходных данных ских таблиц
К сожалению, максимальное значение объема выборки в этих таблицах - 100. Ниже приведены результаты, которые выдает программа для п =100 и п=50.
5% critical values for Durbin-Watson statistic, n = 100 Number of explanatory variables (excluding the constant):
1 2 3 4 5 10
dL dU dL dU dL dU dL dU dL dU dL dU
1,65 1,69 1,63 1,72 1,61 1,74 1,59 1,76 1,57 1,78 1,46 1,90
5% critical values for Durbin-Watson statistic, n = 50
Number of explanatory variables (excluding the constant):
1 2 3 4 5 10
dL dU dL dU dL dU dL dU dL dU dL dU
1,34 1,77 1,11 2,04
1,50 1,59 1,46 1,63 1,42 1,67 1,38 1,72
В нашей модели оценивается два коэффициента, следовательно, необходим второй столбец значений.
Расчетное значение d = 0,0521203. Оно существенно меньше левой границы, что дает основание утверждать о наличии автокорреляции остатков.
2. Коэффициент автокорреляции первого порядка (First-order autocorrelation coefficient).
Он равен 0,973. При выборке объемом 574 эта величина по критерию Стьюдента заведомо значима.
Таким образом, два критерия говорят о наличии автокорреляции.
Автокорреляция остатков (прямые расчеты)
Программы GRETL позволяет прямые вычисления автокорреляционной функции. Для расчета автокорреляционной функции остатков в окне модели необходимо выбрать последовательность [Tests] -» [Autocorrelation] (рис. 6.27).
 |
|
Рис. 6.27. Проверка остатков на автокорреляцию Результаты расчета приведены в табл. 6.7. |
Тест на автокорреляцию остатков
|
Breusch-Godfrey test for autocorrelation up to order 14 OLS estimates using the 560 observations 88/04/13-98/12/30 Dependent variable: uhat |
|
|
|
VARIABLE |
COEFFICIENT |
STDERROR |
T STAT |
P-VALUE |
|
|
const |
10,4955 |
8,70349 |
1,206 |
0,22838 |
|
|
time |
-0,0798710 |
0,0677998 |
-1,178 |
0,23930 |
|
|
time2 |
0,000126071 |
0,000111640 |
1,129 |
0,25928 |
|
|
uhat 1 |
0,964988 |
0,0428521 |
22,519 |
<0,00001 |
*** |
|
uhat 2 |
0,0460497 |
0,0589436 |
0,781 |
0,43500 |
|
|
uhat 3 |
-0,107804 |
0,0587827 |
-1,834 |
0,06721 |
* |
|
uhat 4 |
0,192031 |
0,0590504 |
3,252 |
0,00122 |
*** |
|
uhat 5 |
-0,0344914 |
0,0597936 |
-0,577 |
0,56429 |
|
|
uhat 6 |
-0,179404 |
0,0601496 |
-2,983 |
0,00299 |
*** |
|
uhat 7 |
0,0791247 |
0,0606940 |
1,304 |
0,19290 |
|
|
uhat 8 |
-0,0438270 |
0,0607392 |
-0,722 |
0,47088 |
|
|
uhat 9 |
0,0977810 |
0,0615039 |
1,590 |
0,11245 |
|
|
uhat 10 |
0,0203800 |
0,0626222 |
0,325 |
0,74497 |
|
|
uhat 11 |
-0,0448803 |
0,0624460 |
-0,719 |
0,47263 |
|
|
uhat 12 |
-0,216672 |
0,0623816 |
-3,473 |
0,00056 |
*** |
|
uhat 13 |
0,259368 |
0,0644005 |
4,027 |
0,00006 |
*** |
|
uhat 14 |
-0,0592056 |
0,0467331 |
-1,267 |
0,20574 |
|
|
Unadjusted R-squared = 0,951656 |
Test statistic: LMF = 763,499452,
with p-value = P(F(14,543) > 763,499) = 0
Alternative statistic: TRA2 = 532,927332,
with p-value = P(Chi-square(14) > 532,927) = 9,61e-105
Ljung-Box Q' = 5406,48 with p-value = P(Chi-square(14) > 5406,48) = 0
Test statistic: LMF = 763,499452,
with p-value = P(F(14,543) > 763,499) = 0_
Звездочки в последнем столбце показывают наличие значимой автокорреляции при сдвиге на 1, 3, 4, 6, 12, 13 единиц времени.
Авторегрессия
Т.к. в разделе 6.4.2. было установлено, что в модели имеется явление авторегрессии, то есть последующие наблюдения зависят от предыдущих, необходимо использовать авторегрессионную модель, включающую в себя предыдущие наблюдения.
Для этого выбираем пункты меню [Model] —» [Time series] —» [Autoregressive estimation...] (рис. 6.28).
 |
|
Рис. 6.28. Авторегрессия |
Появляется окно спецификации модели (рис. 6.29).
Выбираем зависимую переменную close (цена закрытия) и независимую time (время). Выбираем лаги (List of AR lags) и нажимаем кнопку [lags.].
В окне выбора лагов по переменной (рис. 6.30), указываем шаг на единицу.
Дважды нажимаем [OK] и получаем результаты расчета (табл.
6.8).
Уравнение регрессии:
x(t) = 1,63842 + 0,0506474 • t + 0,997384 • x(t -1)
Исправленное значение квадрата коэффициента множественной корреляции равно 0,997527, что очень велико.
Критерий Дарбина-Уотсона равен 1,9993, что говорит об отсутствии корреляции остатков. Это подтверждается и коэффициентом автокорреляции остатков, который равен -0,0002.

Рис 6.29. Окно спецификации авторегрессионной модели.
 |
|
Рис. 6.30. Выбор лагов по переменной close. |
Таблица 6.8.
Авторегрессионная модель.
Model 7: Cochrane-Orcutt estimates using the 572 observations 88/01/20-98/12/30
Dependent variable: close
p-value
0,82294
0,19258
<0,00001 ***
Variable Coefficient Std. Error t-statistic
const 1,63842 7,31885 0,2239
time 0,0506474 0,0388241 1,3045
close_1 0,997384 0,00504203 197,8138
Statistics based on the rho-differenced data:
Sum of squared residuals = 2,30544e+006
Standard error of residuals = 63,6533
Unadjusted R2 = 0,997536
Adjusted R2 = 0,997527
F-statistic (2, 569) = 123084 (p-value < 0,00001)
Durbin-Watson statistic = 1,9993 First-order autocorrelation coeff. = -0,000246158 Akaike information criterion = 6377,81 Schwarz Bayesian criterion = 6390,85 Hannan-Quinn criterion = 6382,9
Сезонные колебания
Для анализа сезонных колебаний в пакете GRETL имеется ряд методов: спектральный анализ; выделение и/или введение сезонных переменных; метод Фурье.
Активно применяются процедуры десезонализации X-12-ARIMA, применяемая американским Bureau of the Census, и TRAMO/SEATS, рекомендованная EUROSTAT.
Теоретическое описание и использование этих процедур достаточно сложное, поэтому в данном методическом пособии мы их рассматривать не будем. К ним следует приступать только после освоения более простых методов и модулей.
6.5. Системы одновременных эконометрических уравнений
Требуется проверить гипотезы о факторах, определяющих размеры инвестиционных вложений в основной капитал, стоимость валового регионального продукта, величину общей суммы доходов населения региона и о взаимодействии этих трёх процессов. Для изучения проблемы предлагается рассмотреть следующие показатели и их значения по территориям Центрального федерального округа за 2001 г. , приведенные в табл. 6.9.
Необходимо проверить для уровня значимости а = 0,05 сле
Уі= Ра xi + Si
дующие рабочие гипотезы:
У2 — ^21У1 + P22X2 + ^*2
У3 ~ a31 Уі+ Рз3X3 Р34X4 S3
В табл. 6.9 приняты следующие обозначения: у1 - инвестиции в основной капитал за год, млрд руб.; у2 - стоимость валового регионального продукта (валовая добавленная стоимость) млрд руб.;
у3 - сумма доходов населения региона за год, млрд руб., хі - финансовый результат деятельности (прибыль), млрд руб.; х2 - среднегодовая стоимость основных фондов в экономике, млрд руб.;
х2 - доля инвестиций в активную часть основных фондов экономики, %;
х4 - сумма остатков вкладов на счетах в Банке России, млрд руб.
Экономические данные по ЦФО
|
Территории федерального округа |
У1 |
У2 |
У3 |
*1 |
*2 |
*3 |
*4 |
|
Белгородская обл. |
13,5 |
44,3 |
38,302 |
3,687 |
164,1 |
44,0 |
3,717 |
|
Брянская обл. |
3,7 |
26,2 |
28,737 |
0,967 |
129,9 |
26,4 |
2,183 |
|
Владимирская обл. |
6,3 |
35,4 |
30,934 |
3,782 |
139,1 |
47,0 |
3,508 |
|
Воронежская обл. |
10,1 |
52,1 |
58,806 |
2,960 |
251,2 |
40,6 |
6,742 |
|
Ивановская обл. |
2,4 |
18,1 |
18,114 |
0,515 |
88,7 |
42,0 |
2,350 |
|
Калужская обл. |
6,5 |
26,1 |
21,578 |
2,171 |
112,9 |
38,0 |
2,292 |
|
Костромская обл. |
4,1 |
18,2 |
17,002 |
0,559 |
94,5 |
42,6 |
1,483 |
|
Курская обл. |
6,2 |
31,9 |
28,837 |
2,287 |
143,5 |
37,2 |
2,300 |
|
Липецкая обл. |
8,3 |
48,2 |
33,264 |
11,623 |
156,9 |
55,3 |
2,700 |
|
Орловская обл. |
5,8 |
25,5 |
20,448 |
13,441 |
79,5 |
42,9 |
1,808 |
|
Рязанская обл. |
10,1 |
32,0 |
27,887 |
3,882 |
139,9 |
59,9 |
2,775 |
|
Смоленская обл. |
8,8 |
29,9 |
29,995 |
1,906 |
147,6 |
30,0 |
2,092 |
|
Тамбовская обл. |
3,5 |
25,9 |
29,976 |
0,874 |
143,3 |
35,5 |
2,533 |
|
Тверская обл. |
10,9 |
38,7 |
30,394 |
2,905 |
199,2 |
28,0 |
2,592 |
|
Тульская обл. |
8,1 |
43,7 |
41,076 |
5,314 |
183,1 |
40,0 |
3,983 |
|
Ярославская обл. |
14,5 |
46,9 |
41,805 |
9,625 |
221,6 |
48,5 |
3,692 |
Данные были импортированы в электронные таблицы OpenOffice.org Calc. Результат был сохранен как файл MS Exlel под именем Primer3.xls. Затем этот файл был импортирован в GRETL, для переменных были описаны атрибуты (см. рис. 6.31).
Для решения систем одновременных эконометрических уравнений в GRETL имеется алгоритм двухшагового методы наименьших квадратов (ДМНК). Для пользователя он реализован в одношаговом режиме. Для вызова модуля решения необходимо для каждой экзогенной переменной (y1... y3) последовательно вы-
221
звать пункты меню [Model] -» [Other linear models] —» [Two-Stage Least Squars...] (рис. 6.32).
В окне спецификации модели (рис. 6.33), которое появляется после этого, необходимо последовательно выбрать:
1. Зависимую переменную (Dependent variable).
2. Все переменные, входящие в правую часть уравнения для зависимой переменной (Independent variables).
3. Инструменты (Instruments) - все переменные системы, не входящие в уравнение для текущей зависимой переменной.
После нажатия кнопки [OK] появляется окно результатов. Все результаты сведены в табл. 6.10... табл. 6.12.
 |
|
6) |
File Tools Data View Add Sample Variable Mo
Primer3.gdt
ID # Variable name Descriptive label |
|
|
|
0 |
const |
auto-generated constant I |
|
1 |
Y1 |
Investicii |
|
|
2 |
Y2 |
Valovoy product |
Display values |
|
3 |
Y3 |
Dohodi |
|
4 |
XI |
Pribil |
Descriptive st |
|
5 |
Х2 |
Fondi |
Frequency pk |
|
6 |
хз |
Investicii v fondi |
Boxplot |
|
7 |
Х4 |
Vkladi |
Edit attribute |
|
|
Edit values Copy to cipbi Delete
Define new v |
a)
|
Рис. 6.31. Присвоение переменным атрибутов: а) выбор переменной и вызов окна атрибутов; б) окно ввода/редактирования атрибутов. |
 |
Рис. 6.32. Вызов двухшагового метода наименьших квадратов.
 |
|
Рис. 6.33. Спецификация ДМНК. |
Таблица 6.10.
Model 1: TSLS estimates using the 16 observations 1-16 Dependent variable: Y1 Instruments: Y2 Y3 X2 X3 X4
|
Variable |
Coefficient |
Std. Error |
t-statistic |
p-value |
|
const |
5,43316 |
1,52744 |
3,5570 |
0,00038 |
|
X1 |
0,539406 |
0,300255 |
1,7965 |
0,07242 |
Mean of dependent variable = 7,675 Standard deviation of dep. var. = 3,53374 Sum of squared residuals = 173,787 Standard error of residuals = 3,52326 Degrees of freedom = 14 Schwarz Bayesian criterion = 89,1151 Hannan-Quinn criterion = 87,649 Hausman test - Null hypothesis: OLS estimates are consistent Sargan over-identification test - Null hypothesis: all instruments are valid Test statistic: TR2 = 8,56854 with p-value = P(Chi-Square(4) > 8,56854) = 0,0728368
First-stage F-statistic (5, 10) = 2,79325
Model 2: TSLS estimates using the 16 observations 1-16 Dependent variable: Y2 Instruments: Y3 X3 X4 X1
|
Variable |
Coefficient |
Std. Error |
t-statistic |
p-value |
|
const |
1,9963 |
6,27273 |
0,3183 |
0,75030 |
|
Y1 |
2,66366 |
1,31885 |
2,0197 |
0,04342 ** |
|
X2 |
0,0768527 |
0,0778965 |
0,9866 |
0,32384 |
Mean of dependent variable = 33,9438 Standard deviation of dep. var. = 10,6728 Sum of squared residuals = 607,999 Standard error of residuals = 6,8388 F-statistic (2, 13) = 17,674 (p-value = 0,000196)
Schwarz Bayesian criterion = 111,925 Hannan-Quinn criterion = 109,726 Hausman test - Null hypothesis: OLS estimates are consistent Sargan over-identification test - Null hypothesis: all instruments are valid
Таблица 6.12.
Model 3: TSLS estimates using the 16 observations 1-16 Dependent variable: Y3 Instruments: Y2 X1 X2
|
Variable |
Coefficient |
Std. Error |
t-statistic |
p-value |
|
const |
10,09 |
11,6369 |
0,8671 |
0,38591 |
|
Y1 |
1,4699 |
1,38713 |
1,0597 |
0,28930 |
|
X3 |
-0,178609 |
0,295127 |
-0,6052 |
0,54505 |
|
X4 |
5,83355 |
3,46077 |
1,6856 |
0,09187 |
Mean of dependent variable = 31,0722 Standard deviation of dep. var. = 10,4366 Sum of squared residuals = 215,365 Standard error of residuals = 4,2364 F-statistic (3, 12) = 27,7107 (p-value = 1,12e-005)
Schwarz Bayesian criterion = 98,0923 Hannan-Quinn criterion = 95,1602 Hausman test - Null hypothesis: OLS estimates are consistent Sargan over-identification test - Null hypothesis: all instruments are valid
Результаты расчетов показали, что первое уравнение является неадекватным по критерию Фишера. Расчетное значение F = 2,79325, в то время как табличное критическое значение F(5,10;0.05) = 3.32583.
Остальные два - адекватны. Выпишем полученные результаты:
у = 5.43 + 0.54- у у = 2.00 + 2.66• у + 0.08 • у у =10.09 + 1.47- у — 0.18- у + 5.83 у
Полученная система является верной, адекватной и надежной, как показали результаты расчетов.
Заключение
Мы рассмотрели решение 48 различных экономикоматематических задач. Часть из них очень простые, в то время как другие требуют хорошего усвоения теоретического материала в соответствующем курсе.
Если Вы внимательно прочитали данное пособие и повторили шаг за шагом все действия, то можно сказать, что Вы освоили основные принципы машинных вычислений. Далее Вам остается только практиковаться в применении описанных программ.
Автор надеется, что полученные сведения и приобретенные навыки помогут студентам лучше освоить учебный материал, преподаватели найдут полезными соответствующие приемы, а аспиранты и специалисты смогут быстрее и точнее проводить необходимые расчеты.
Библиографический список
1. Интернет-ресурс Maxima -
2. Куфель Т. Эконометрика. Решение задач с применением пакета программ GRETL - Москва: Горячая линия - Телеком, 2007. - 200 с.
3. Куфель Т. Базы данных:
4. Математические методы и информационные технологии обработки и использования экономической информации: Монография / Под. ред. С.В. Юдина - Тула: Изд-во ТулГУ, 2008. - 477 с. - Илл.
5. Практикум по эконометрике (+CD): Учеб. пособие / И.И. Елисеева, С.В. Курышева, Н.М. Гордеенко и др.; Под ред. И.И. Елисеевой. — 2-е изд, перераб. и доп. - М.: ВЗФЭИ, 2007.
6. Стахин Н.А. Основы работы с системой аналитических (символьных вычислений Maxima: Учебное пособие. - М.: 2008. - 86 с. -
7. Тарнавский Т. Система компьютерной алгебры Maxima -
8. Юдин С.В. Обеспечение навыков и умений в рамках стратегического подхода школы компетенций // Социально-экономическая и финансовая политика России в процессе перехода на инновационный путь развития / Материалы Международной научнопрактической конференции, М., 22-23 апреля 2008 г. В 2-х т. - М.: ВЗФЭИ, 2009. - Т. 1. - С. 286-289
9. Cottrell A., Lucchetti R. Gretl User’s Guide / Gnu Regression, Econometrics and Time-series. -
10. Gnumeric: Электронные таблицы -http: //proj ects .gnome.org/gnumeric/
11. OpenOffice.org: Офисный пакет -
12. OpenOffice.org: Теория и практика / И. Хахаев, В. Машк°в, Г ГубкИНа и др. - М.: ALT Linux; БИНОМ. ЛаборатоРия знаний, 2008. - 318 с. -
Экономика: Знания - Циклы - Макроэкономика