Значение правильного выбора ассортиментной политики для торгового предприятия


В современных условиях перехода к рынку в стране получила широкую популярность рыночная концепция управления производством и сбытом названная маркетингом. Маркетинг характеризуется системным подходом к производственно-сбытовой деятельности с четко поставленной задачей - выявление и превращение покупательной способности потребителя в реальный спрос на определенный товар и полное удовлетворение этого спроса, обеспечение намеченных прибылей. Маркетинговые исследования должны играть первостепенную роль при открытии нового бизнеса или усилении существующих позиции фирмы на рынке. Нужно знать, насколько дорого обходятся предприятию маркетинговые просчеты. Финансовый крах компании на 50% обусловлен низким уровнем рыночных исследований и только 7% нехваткой финансовых ресурсов.
Многие руководители считают, что они достаточно глубоко знают тот рынок, на котором работают, и проблемы со сбытом относят к объективным, но на самом деле эти причины можно отнести смело к субъективным. Опыт показывает, что на большинстве малых и средних предприятиях трудно получить ответ на вопрос: “ Какова ассортиментная политика вашего предприятия? На а какие сегменты рынка ориентирована реализация Вашей продукции “ и т.д.
В основном серьезно занимаются маркетингом только крупные торговые фирмы. Хотя я думаю, что это ошибочное заблуждение, и в своей курсовой работе постараюсь доказать и аргументировать это. Проведение исследований – “вещь” довольно дорогая, но эффект от правильно проведенных исследований гораздо больше.
Одним из направлений маркетингового исследования является определение ассортиментной политики для торгового предприятия.
Понятие АССОРТИМЕНТ ТОВАРА включает в себя совокупность их видов, разновидностей и сортов, объединенных или сочетающихся по определенному признаку. Торговый Ассортимент представляет собой номенклатуру товара, подлежащих продаже в розничной торговой сети. Формирование ассортимента – это процесс подбора групп, видов и разновидностей товаров в соответствии со спросом населения с целью его более полного удовлетворения. С точки зрения Маркетинга, первостепенное внимание в магазинах должно быть обращено на формирование товарного ассортимента, как развивающегося во времени процесса установления такой номенклатуры товара, которая удовлетворила бы потоварную структуру спроса начисления. Процесс сбыта товаров характеризуется наличием жесткой конкуренции.
Прежде всего, это конкуренция в планировании ассортимента и разработке новых образцов, следует отметить конкуренцию цен, по которым товары предлагают на рынке. Чтобы лучше понять проблемы в процессе выбора ассортиментной политики торгового предприятия следует остановиться на основных факторах определяющих формирование ассортимента торгового предприятия. Роль руководства заключается в том, чтобы умело сочетать финансы предприятия с ассортиментной политикой предприятия обеспечивающей рост и прибыли. Тщательно разработанная ассортиментная политика предприятия служит руководству указателем, генеральным курсом которым должно идти предприятие, что в свою очередь позволяет сотрудникам предприятия ориентировать свою работу в направлениях, сулящих большую отдачу. Правильный выбор ассортиментной политики предприятия служит своего рода гарантией, что выгодные возможности не будут упущены.
Ассортимент предприятия должен быть по возможности широким. Расширение номенклатуру реализованной продукции может оказаться ценным подспорьем в деле налаживания мелкой розницы и снижения ми издержек сбыта. Устойчивости ассортимента способствует утверждение для каждого магазина ассортиментного перечня, который составляется на основе данных по изучению спроса, профиля магазина, объема товарооборота, размера торговых площадей. Этот документ утверждается на один год и находится под постоянным контролем руководителем прдприятия.
На основании изложенного мы видим, что актуальность темы очевидна, так как при правильном выборе ассортиментной политике торгового предприятия будет удовлетворяться спрос потребителя, а, следовательно, получение прибыли, и в конечном итоге магазин будет рентабельным. Выбор этой темы для написания курсовой работы не случаен, так как я считаю, эта тема недостаточно изучена и влияние правильного выбора ассортиментной политики предприятия очень велико для удовлетворения спроса потребителя, и рентабельности предприятия.
II Основная часть.
2.1 Характеристика торгового предприятия №307.
Данная курсовая работа будет рассмотрена на примере ЗАО Меркурий магазина № 307. Магазин расположен в Камышовой бухте, по ул. Б.Михайлова 7. В лице руководителя предприятия выступает Надуев В.Н., магазин занимается торговой деятельностью по продаже продовольственных товаров. Магазин является смешанным, обслуживает контингент покупателей с различным уровнем дохода. Это и пожилые люди, военные, молодежь, дети.
Но в основном магазин ориентирован на покупателей со средним уровнем достатка. Магазин работает в зимнее время с 800 до 2000, в летнее время с 730 до 2030, без перерыва и выходных. Режим работы этого торгового предприятия хорошо продуман, т.к. он позволяет жителям этого микрорайона, т.е. потенциальным покупателям, совершать в удобное время для них. Магазин имеет очень удобное место расположение, так как рядом две школы, поликлиника, почта, детский сад.
Это говорит о том, что в нем всегда есть покупатели. Общая площадь предприятия 651 м2. Есть 4 складских помещения, кафетерий, стеклопункт.
Площадь торгового зала 205 м2. Отопление в магазине водное, центральная отопительная система. Источником тепла являются батареи.
Вентилируется помещение за счет приточно-вытяжного циркулирования воздуха.
Форма торгового зала имеет прямоугольную конфигурацию с соотношением сторон 1:2. Эта форма удобна, т.к. позволяет рационально разместить торговое оборудование, организовать процесс подачи товара в торговый зал, предусмотреть движение покупательских потоков. Вся площадь торгового зала подразделяется на:

  • площадь для размещения торгового оборудования; движение покупателей;
  • выкладки товаров;
  • площадь для работы продавцов.
Рабочие места продавцов расположены ближе к подсобным помещениям. Оборудование в торговом зале расположено вдоль стен и называется линейной планировкой. Чтобы оценить эффективность использования торговой площади, я узнаю коэффициент установочной площади и коэффициент экспозиционной площади. (см. приложение№. )
Из расчетов Yделанных выше, я могу сказать, что торговая площадь в магазине №307 используется эффективно.
Использование торгово-технологического оборудования в магазине связано с его общей площадью, планировкой основных помещений, особенностей товаров, системой товароснабжения, формой продажи. В торговом зале используют пристенное оборудование, прилавки, прилавки-витрины, охлаждаемые витрины. В подсобных помещениях используют следующее оборудование: подтоварники для хранения товаров в упакованном виде (мешках, ящиках), стеллажи для хранения распакованных товаров, вешала для хранения продовольственных товаров. Все торгово-техническое оборудование, используемое в магазине, соответствует экономическим, эргономическим, эстетическим, техническим, санитарно-гигиеническим требованиям. Сейчас, выбор торгово-технологического оборудования очень большой.
Но, к сожалению, не каждый руководитель предприятия позволит иметь в магазине современное оборудование. Эта же проблема и в магазине № 307. Холодильное оборудование (холодильные закрытые витрины, холодильные закрытые прилавки-витрины) немного устарело, и поэтому в летнее время с ним возникают проблемы, которые отражаются на качестве товара, работе продавцов, удовлетворении спроса покупателей.
В магазине имеется 3 отдела: Гастрономический, Бакалея, соки и Воды. Численность работников магазина – 22 человека. (см. приложение № ) По моему мнению, штатное расписание составлено с учетом пропускной способности продавцов. В отделе Гастроном – 8 человек, Бакалея – 4 человека, и отдел Соки, воды – 2 человека.
Разделение труда по функциональному признаку между работниками магазина осуществляется, прежде всего, по линии обособления функций управления, а так же отделения основной работы (обслуживания покупателей) от вспомогательной. По функциональному признаку весь персонал магазин подразделяется на следующие группы работников:

  1. административно-управленческий персонал;
  2. торгово-оперативный персонал;
  3. обслуживающий персонал.
Так же существует и квалификационное разделение труда, которое распределяет обязанности в соответствии с квалификацией работников. В связи с этим круг обязанностей работников разной квалификации, выполняющих одинаковые функции (продавец I и II категории ) различен. Данное разделение труда в этом предприятии способствует рациональному использованию квалифицированных кадров и улучшению обслуживания покупателей.
Рациональное разделение труда дает значительный эффект, так, как при этом обеспечивается наиболее целесообразная работников и повышения эффективности их труда.
Я считаю что, режим работы магазина №307 наиболее оптимальный. Так как при его составлении были учтены основные факторы, обуславливающие режим работы магазина: объем покупательских потоков в районе его деятельности, их распределение в течение дня, предусматривает наиболее удобные для населения часы начала и конца работы, контингент покупателей, время работы соседних магазинов.

Анализ состояния рекламно – информационной работы в магазине


  • ограниченная;
  • полная.
А так же две формы мHтериальной ответственности:

  • индивидуальная;
  • коллективная.
В магазине № 307 материальная ответственность полная индивидуальная. С каждым работником заключается индивидуальный договор. Обеспечение сохранности товарно-материальных ценностей в магазине способствуют так же повседневный контроль за работой материально ответственных лиц, своевременное проведение инвентаризации, контроль за правильностью и своевременностью составления товарно-денежных отчетов.

2.5 Анализ состояния рекламно – информационной работы в магазине.
Реклама стремительно ворвалась в нашу жизнь, быстро заполнив телеэкраны и радио эфир, постоянно встречаясь на страницах периодических изданий, в транспорте, в магазинах, на городских улицах. Буквально за несколько лет отечественная реклама сделала громадный скачок от призывов типа Летайте самолетами Аэрофлота. Незримо возросло значение рекламы в экономической как конкретного предприятия, так и страны в целом. По мере насыщения рынков обращение к рекламе становится для продавцов все более жесткой необходимостью. Отсутствие рекламы и даже недостаточность ведет к серьезным потерям.
В этой связи овладение всеми предпринимателями основанием рекламы является одним из важнейших резервов получения ими дополнительных доходов. Помимо мощного влияния рекламы на все отрасли экономики, необходимо отметить ее общественную роль. Ежедневно воздействие на миллиарды потенциальных покупателей способствует формированию определенных стандартов мышления поведения различных слоев населения. Нельзя не отметить значительную образовательную роль рекламы.
В процессе внедрения новых прогрессивных товаров она способствует распространению знаний из различных сфер человеческой деятельности, прививает потребителям определенные практические навыки. Оценка значения рекламы была бы неполной без упоминания ее большой эстетической роли. Рекламные послания способствуют формированию у аудитории чувства прекрасного, воспитывают у нее хороший вкус. В тоже время на протяжении всего периода своего существования реклама подвергается критике по многим направлениям.
Среди основных и наиболее часто употребляемых доводов критики: нетрадиционное использование ресурсов фирм – рекламодателей и общества в целом, рост издержек, и в конечном итоге, розничных цен. Реклама подвергается критике так же и за то, что обеспечивает получение некоторыми рекламодателями незаслуженно высокой прибыли, дает бесполезную, вводящую в заблуждение информацию. Критика рекламы является сложным многоплановым процессом, скажу лишь, что это достаточно сложная проблема, а многие доводы имеют под собой, объективную основу и убедительные аргументы.
Эффект рекламы является ее следствием ее влиянием на объем сбыта, уровень доходов и другие показатели деятельности предприятия. Объем этого эффекта неизмеримо выше затрат на рекламу. В торговом предприятии № 307 используют самые разнообразные средства рекламы. Одни из них основаны на демонстрации объекта рекламирования. Это так называемая демонстрационная реклама, к которой относятся такие средства, как выкладка товаров, демонстрация товаров. (Приложение № ) В эту группу входят: печатная, фотореклама, устная, световая реклама.
К печатной рекламе относят все средства, изготовленные полиграфическим способом, - проспекты, этикетки, ценники. (Приложение № ). Среди средств печатной рекламы высокой эффективностью обладают плакаты. Их используют при рекламировании товаров – новинок. Плакат содержит изображение и короткий текст ( Приложение № ). Целям рекламы служит так же и упаковка товаров: пакеты, оберточная бумага.
На пакетах и бумаге написано название торгового предприятия и благодарность за покупку. Представителем световой рекламы в магазине № 307 является вывеска. Она содержит название предприятия, его фирменный знак. Вывеска удобочитаема как с близкого, так и с дальнего расстояния. Это обеспечивается рациональным выбором длины вывески, начертания шрифта, цветовой гаммы свечения.
Реклама на транспорте является высокоэффективным средством воздействия на массовые аудитории, когда избирательность не играет значительной роли. Так как в ЗАО Меркурий есть свои транспортные средства то, естественно, этим видом рекламы они пользуются очень широко, помещая на бортах транспортных средств рекламную информацию о своем предприятии. Все средства изобразительной рекламы воздействуют на людей в момент, когда они находятся на улице или в городском транспорте.
Для увеличения реализации товаров администрация магазина использует различные средства внутримагазинной рекламы, с целью вызвать у людей, зашедших в предприятие, желание приобрести товар как рекламируемый так и не рекламируемый. К средствам внутримагазинной рекламы относятся:

  1. вырезки из газет с рекламными объявлениями фирм – изготовителей товаров;
  2. рекламные сувениры;
  3. ярлыки, этикетки, проспекты;
  4. упаковка;
  5. рекламные надписи: на прилавках, рекламные щиты;
  6. увеличенные фотографии товаров.
Каждый товар проходит через несколько стадий его признания покупателями в период реализации. Когда он впервые появляется на прилавках, он находится в стадии введения в продажу. Когда этот товар получает широкое одобрение, он входит в стадию спроса. После этого, если не будут своевременно внесены изменения, он, вероятно, окажется в стадии спада спроса.
Конечно, не все товары проходят через эти стадии с одной и той же скоростью, различные товары задерживаются на разных стадиях, в зависимости от самого товара и от того, насколько быстро они находят признание у покупателя. В данный момент времени на стадии введение в продажу находятся молочные продукты фирмы Ласуня харьковского молокозавода. Этот товар рекламируется с помощью консультации продавцов, рекламных плакатов, упаковка этого товара неординарная, в рекламной листовке рассказывается о полезности этого продукта для жизнедеятельности человека. Многие магазины имеют одинаковое количество и равные по размеру витрины.
Более того, товары, выставленные в витринах, в большинстве конкурирующих магазинов носят сходный характер. В связи с этим, особое значение приобретает сюжет витрины, ее индивидуальность выгодно отличающие характер и идею показа товара этим магазином от витрины его конкурентов. В торговом предприятии № 307 витрины торгующие. Они рассчитаны на незамедлительный эффект, а также на усиление продажи товаров методом убеждения покупателя в своевременности в совершении данной покупки.
Витрина является визитной карточкой магазина, так как по ее содержанию и оформлению люди судят не только о достоинстве рекламируемых товаров, но и методах их продажи, качестве обслуживания покупателя. Таким образом, витрина является рекламой, как товаров, так и самого торгового предприятия. Внутримагазинные витрины находятся в торговом зале, они тесно связанны с местом продажи товаров.
Показ товаров в витрине прост и доходчив. Сложное оформление не привлекает внимание к товарам, а только поражают их своей необычностью. В торговом предприятии описываем мною товар в витрине, в основном, традиционный, поэтому оформление витрины можно изменять сравнительно редко – 2 – 3 раза в год.
Витрина своевременно очищается от пыли, не допускается, что бы продукты портились, теряли свой товарный вид. Витринная коробка имеет пол, две боковые стенки и потолок. Стены витрины и пол гладкий. Витрины облицованы легко моющимися материалами светлых тонов. Внутренние рамы остеклены.
При конструировании витрины была предусмотрена прозрачность стекол в течение круглого года. Освещение витрины естественное. Витринный инвентарь представляет собой приспособления и устройства, которые служат для показа товаров в витрине, а так же для рекламной выкладки их в торговом зале магазина. Современный витринный инвентарь в торговом предприятии № 307 представлен стойками, стеллажами, столиками.
Инвентарь является вспомогательным средством оформления витрин. Витринный инвентарь прост и легок, удобен для показа товаров. Эффективность воздействия витринной экспозиции на прохожих и посетителей магазина зависит от правильного отбора товаров, для показа их в витринах.
Отбор товаров определяется теми целями, которые ставятся перед витринной выставкой. В моем случае, торговое предприятие преследует следующую цель – ознакомление населения с ассортиментом товаров, имеющихся в продаже, и оказание покупателям помощи в их выборе. Витрину заполняют большим количеством товаров, представляя витрину – каталог.
В этой витрине необходимо показать те продукты, которые может рекомендовать покупателям данное торговое предприятие. В товарной витрине выставлены товары и ценники к ним. Товары выкладывают комплексными группами.
И так, магазин – это самое подходящее место, где под влиянием привлекательной выкладке, внимательного и квалифицированного обслуживания и убедительного воздействия внутренних рекламных средств потенциальный покупатель становится фактическим покупателем предлагаемых магазином товаров. Показ товаров означает нечто большее, чем рациональное размещение товаров в торговом зале магазина.



Наиболее трудоемкая операция ТТП магазина


Поступающие товары принимают материально – ответственные лица (завоттделом, замзавотделом.) При приемке товаров по количеству проверяют (взвешивают или пересчитывают) в соответствии фактически доставленного количества товаров данных сопроводительных документов. Качественная приемка ведется в соответствии с требованиями стандартов и технических условий. Документы, сопровождающие товары, должны содержать исчерпывающие сведения об их качестве и цене, что позволяет принятые товары сразу же направлять в продажу. Быстрота разгрузки транспорта и оформление документов является важнейшим организационным требованием.
После приемки товары перемещают в охлаждаемые камеры и неохлаждаемые кладовые. В кладовых магазина храница гарантийный запас товаров, а так же товары периодического спроса. В кладовых, созданы условия хранения товаров в соответствии с их физико-химическими свойствами, размещается товар с учетом частоты спроса, и времени их поступления. Наиболее трудоемкая операция ТТП магазина является подготовка товаров к продажи: фасовка круп, макаронных изделий, муки, сахара, кондитерских изделий, сливочного масла и др. товаров. Но сейчас все больше товаров поступает уже расфасованными. Торговля такими товарами позволяет ускорить процесс их продажи, повысить культуру обслуживания покупателей. Подготовленные к продажи товары перемещают в торговый зал, в торговом зале их выкладывают на прилавки, прилавки-витрины, холодильные прилавки-витрины, горки.
Для обеспечения благоприятных условий обслуживания покупателей важным является правильное размещение товаров в торговом зале. При размещении товаров важную роль играют приемы их выкладки. Подходя к оборудованию, покупатель в основном рассматривает товары, расположенные на уровне глаз и ниже. Поэтому на этой высоте (110 – 160 см от пола) размещают товары – новинки, а так же товары, в продаже которых магазин особенно заинтересован. На нижних полках горок размещают товары с устойчивым спросом.
Подготовка торгового зала к продаже товаров и обслуживанию покупателей завершается проверкой правильности работы кассовых машин, весо измерительных приборов, обеспечением касс разменной монетой. В магазине осуществляется работы с тарой. При выкладке товаров в упаковке рекомендуется, отдельные образцы оставлять без упаковки или в прозрачной упаковке, что бы покупатель мог лучше ознакомится с предлагаемым товаром.
Расфасованные кондитерские изделия выкладываются на полках пристенных горок по наименованиям. Хлеб и хлебобулочные изделия выкладываются рядами на полках пристенных горок. Скоропортящиеся товары (колбасы, молочные продукты, кондитерские изделия) размещают в охлаждаемых витринах и прилавках по группам, видам и сортам.
Выложенные товары снабжают четко оформленными ценниками.
Операции, связанные с открытием и закрытием магазина выполняет завмагазином и один из продавцов. Таким образом, магазин может быть открыт ( или закрыт) только в присутствии этих двух сотрудников. Перед уходом из магазина эти работники осматривают все помещения магазина, проверяют работу холодильных установок в подсобных помещениях, кассовые аппараты, а также другие технические устройства.
Недопустимо оставлять в торговом зале в открытых холодильных прилавках кулинарные изделия, молочные продукты, хлеб и хлебобулочные изделия. Принятые товары по количеству и качеству направляют в камеры и кладовые на хранение. Хранение товаров в магазине организованно с учетом их физико-химических свойств, правил товарного соседства, очередности поступления. В процессе хранения должна быть обеспечена сохранность количества и качества товаров.
Хранение товаров в магазине предусматривает правильное их размещение и укладку, создание оптимального режима, наблюдение и текущий уход в процессе хранения. Помещения для хранения товаров хорошо вентилируемы, чистые, оснащены необходимым оборудованием. За каждой группой товаров закреплены постоянные места хранения. Товары хранят в упакованном или распакованном виде, используя штабельный или стеллажный способ укладки.
В штабелях хранят товары, затаренные в мешки ( сахар, крупы, макаронные изделия и др.). На стеллажах размещают товары в распакованном виде. Укладывают их стопками, рядами маркировкой наружу. В помещениях для хранения товаров строго соблюдается санитарный режим. Необходимо регулярно проводить дезинфекцию и дератизацию.
В процессе хранения товаров в магазине могут возникать товарные потери (естественная убыль и активированные потери). Их размеры необходимо сводить к минимуму. Естественная убыль образуется в Сулу физико-химических свойств отдельных товаров. Она нормируется стандартами.
Актируемые потери (бой, лом, порча) возникают в результате неправильной транспортировки и нарушения режима хранения товаров. При наличии этих потерь должен быть составлен акт, в котором указывают причины их возникновения и виновные в этом лица. Завершающей стадией ТТП в магазине является розничная продажа товаров.
Операции, выполняемые на этой стадии, являются наиболее ответственными, так как они связаны с непосредственным обслуживанием покупателей. От уровня организации этих операций зависит, сколько времени будет тратить покупатель на приобретение товаров, сколько покупок он сделает, какова эффективность работы магазина. Содержание операций по продаже товаров зависит от ассортимента реализуемых товаров и форм их продажи.
На предприятии № 307 формой продажи является обслуживание через прилавок. Заключительный этап ТТП состоит из следующих операций:

  • встреча покупателей и выявление спроса;
  • предложение и показ товаров;
  • помощь в выборе товаров и консультация;
  • предложение сопутствующих и новых товаров;
  • произведение технологических операций, связанных с нарезкой и взвешиванием;
  • расчетные операции;
  • упаковка и выдача покупки.
Одной из важнейших операций является встреча покупателей и выявление спроса. При посещении магазина покупатель должен встретить приветливое отношение со стороны персонала. Внешний вид работников магазина, порядок, чистота в торговом зале имеют важное значение.
Выявление спроса покупателей предусматривает определение их намерений в отношении товаров. Эта операция выполняется ненавязчиво в вежливой форме. Затем продавец показывает необходимые товары.
При этом обращается внимание на особенности товаров, если товар отсутствует, то предлагаются однородные товары. В случае необходимости продавец должен дать квалифицированную консультацию покупателя, которая включает сведения о назначеии товаров и способах их эксплуатации, нормах потребления. Операция нарезке и взвешиванию требует от продавца определенных усилий и времени. Квалификация торгового персонала оказывает существенное влияние на качество выполнения, а, следовательно, и на уровень обслуживания покупателей.
Завершается продажа товаров расчетом с покупателем и выдача ему покупок. Эти операции выполняются на рабочем месте продавца.
Совершенствованию процесса купли-продажи и улучшения обслуживания покупателей способствуют услуги, оказываемые покупателю при продаже товаров. Они не являются основной функцией торговли, но является свидетельством заботы о покупателях. Торговое предприятие № 307 оказывает следующие обязательные услуги:

  • демонстрация товаров имеющихся в продаже;
  • упаковка товаров купленных в магазине;
  • комплектование подарочных товаров из имеющихся в продаже товаров;
  • организация кафетерия;
Дополнительными услугами являются:

  • прием заказов на изготовление тортов;
  • сбор стеклопосуды;
Сейчас руководителем ЗАО Меркурий рассматриваются предложения по расширению круга услуг, оказываемых покупателю.
Управление ТТП в магазине направлено на рациональное осуществление операций по приемке, хранению, продаже товаров и обслуживанию покупателей. Предметами управления в магазине, является ассортимент товаров, товарные запасы, товарные потоки, трудовой процесс и качество обслуживание покупателей. Управление ассортиментом товаров предусматривает соблюдение установленной для магазина товарной специализации, обеспечение достаточной полноты ассортимента в пределах товарных групп, определенных обязательным ассортиментным перечнем товаров, его устойчивости. В магазине создаются такие условия, которые обеспечивают бесперебойную торговлю при необходимых объемах товарных запасов. Это достигается путем повседневного управления товарными запасами.
Оно нацелено на предупреждение отклонение товарных запасов от установленных нормативов. В магазине осуществляется постоянный контроль за состоянием товарных запасов, предусматривающий наблюдение за соответствие их установленным нормативам и повседневный контроль за условиями хранения товаров. Целью управления товарными потоками являются обеспечение высокой производительности труда работников магазина при одновременном вытеснение тяжелого физического труда, ускорение процесса пополнения запасов товаров в торговом зале.
Для обеспечения сохранности товарно-материальных ценностей и наличных денег, на работников предприятия возлагается материальная ответственность. Действующим трудовым законодательством установлены два вида материальной ответственности за причиненный ущерб:



Основные показатели хозяйственной деятельности предприятия


График выхода на работу рационально, т.к. соблюдена продолжительность рабочего времени (40 ч в неделю) предусмотренная трудовым законодательством, предусматривается время на подготовительную – заключительную работу с включением его в рабочее время, обеспечивается ритмичное чередование времени труда и отдыха работников в течение дня. Труд продавца связан с большим нервным напряжением, поэтому правильное чередование режимов работы и отдыха уменьшает нервное напряжение, утомление и повышает производительность труда работников. Например, в магазине предусмотрены душевые, комнаты отдыха. В летнее время продолжительность работы магазина 13 часов, и продавцам очень приятно после тяжелого рабочего дня принять душ.
Комната отдыха предназначена для непродолжительного обеденного перерыва и отдыха продавцов. Руководство этого торгового предприятия большое внимание уделяет также мероприятиям, обеспечивающих в торговых, подсобных, административно-бытовых помещениях магазина оптимального микроклимата. Основные элементы благоприятные для работы: температура, (в летнее время, возле каждого рабочего места установлены вентиляторы); освещение, чистота воздуха, отсутствие шума, содержание помещений и рабочих мест в состоянии, отвечающих санитарно-гигиеническим нормам и эстетическим требованиям.
В магазине № 307 практикуется система управления качества труда работников магазина. Учет качества труда торговых работников ведется ежедневно и осуществляется заведующей отдела бакалея, заместителем заведующей гастрономия. Оценку качества труда заведующих дает директор ЗАО Меркурий и его заместители. Применение этой системы позволяет объективно оценивать труд каждого работника и обеспечивать его правильное материальное стимулирование, что выражается в виде премии 15% от оклада работников. При снижении уровня качества труда, как правило, это невыполнение работниками своих функций, нарушение трудовой дисциплины, плохое обслуживание покупателей и другие упущения в работе, отрицательно влияющие на качество труда, работник лишается премии, в крайнем случае, может быть уволен.
Структура аппарата управления торгового предприятия представлена линейной системой. Она предполагает непосредственное подчинение всех категорий работников руководителю предприятия. (Приложение№ )
Для всесторонней оценки эффективности деятельности магазина 307 необходима система показателей. Основными показателями хозяйственной деятельности предприятия являются

  • товарооборот
  • -издержки обращения
  • прибыль
  • рентабельность.
Составим таблицу экономического анализа хозяйственной деятельности предприятия за 1998 год. ( Приложение №1)
Исходя из данных таблицы, можно сделать следующие выводы:

  • за анализируемый период торговое предприятие с планом товарооборота справилось, перевыполнив его на 2,5%, что в сумме составило 43,5 тыс.грн. При этом уровень валового дохода вырос на 0,04% - это значит, что товары продавались с более высокими торговыми надбавками ( % торговой надбавки планируемый равен 10,6%, а фактически 10,7%), или улучшилась ассортиментная группа товаров пользующаяся спросом. Фактическая сумма валового дохода превысила плановую на 4,9 тыс.грн. Превышение произошло под влиянием факторов объема товарооборота и структуры товарооборота. Увеличение товарооборота на 43,5 тыс.грн. повлекло за собой увеличение суммы валового дохода на 4,9 тыс.грн., а рост уровня на 0,04% повлек увеличение суммы валового дохода на 0 тыс.грн. В процессе деятельности работники допустили абсолютный перерасход издержек обращения на 4 тыс.грн. Этот перерасход оправдан, так как уровень издержек обращения снижается на 0,01%. Это говорит о том, что с ростом товарооборота увеличиваются издержки обращения, прибыль. Окончательны вывод: предприятие рентабельно, так как на каждые вложенные 100 грн. Предприятие получает 0,13 грн. Прибыли вместо 0,08 грн. Запланированных.
Проанализировав хозяйственную деятельность предприятия за
9 месяцев текущего года можно сделать следующие выводы: с планом товарооборота предприятие успешно справляется перевыполнив его на 1,1%, что в сумме составило 14,6 т.грн. Значительно вырос уровень валового дохода на 0,28% это говорит об улучшении ассортиментной группы товаров, пользующихся спросом или товары продавались с более высокими торговыми наценками. Сумма валового дохода превысила плановую на 5,3 т.грн., превышение произошло под влиянием товарооборота.
В процессе работы работники допустили абсолютный перерасход издержек обращения на 4,0 т.грн. Этот перерасход не оправдан, так как уровень издержек обращения увеличился на 0,2%. Это говорит о том, что с ростом товарооборота значительны и издержки обращения.
От реализации прибыль увеличилась на 14%, что в сумме составило 1,3 т.грн.
Окончательный вывод: предприятие доходно и рентабельно, так как на каждые вложенные 100 грн. Предприятие получает 0,75 грн. Прибыли вместо 0,66 запланированных.
2.2 Маркетинговые исследования потребительского рынка, факторы сегментации рынка, влияющие на формирование ассортиментной политики торгового предприятия.
Обеспечение коммерческого успеха самым непосредственным образом зависит от глубокого и всестороннего изучения рынка и рыночных возможностей реализуемых товаров. В рамках маркетинга осуществляются следующие задачи:

  • комплексное изучение потребителя и рынка;
  • планирование товарного ассортимента и цен;
  • разработка мер для наиболее полного удовлетворения существующего спроса;
  • выявление потенциального спроса и неудовлетворенных потребностей;
  • планирование и осуществление сбыта;
  • разработка мер по совершенствованию управления и организации производства.
Маркетинговая стратегия предприятия основывается на нескольких основных принципах: Первый принцип - наиболее полное изучение потребителя и рынка. Второй принцип – определение оптимального ассортимента товаров. Третий принцип – разработка наиболее эффективной сбытовой политики.
Основополагающим является первый принцип, остальные на нем базируются. Маркетинговые исследования обеспечивают до 80 % рыночного успеха, но не сами по себе, а при условии, что решения, определяющие деятельность предприятия, осуществляются на их основе. Маркетинг полезен вкупе со всеми остальными мероприятиями по организации и совершенствованию деятельности фирмы.
Маркетинг уже давно находится на вооружении предприятий многих зарубежных стран. Сегодня наши предприятия также проводят маркетинговые исследования, не исключения ЗАО Меркурий в составе которого находится и магазин № 307. Здесь, маркетинг рассматривается как система управления реализацией товаров, ориентированная на рынок. Выделяются два базовых аспекта маркетинга. Во первых, управленческий маркетинг, главной целью которого становится удовлетворение требований рынка, строится структура управления предприятием.
Эту функцию я рассматривала выше. И во вторых, маркетинг- это система деятельности предприятия на самом рынке. Складывается и развивается система продвижения товаров с разнообразным набором приемов: совершенствование функций товаров, воздействие на потребителя, гибкая ценовая политика, реклама и др. В ЗАО Меркурий управление маркетингом осуществляется путем разработки и осуществления программы маркетинга.
Это документ, определяющий конкретную деятельность предприятия на рынке. Производится анализ возможности предприятия в целях получения представления о рыночных условиях деятельности предприятия и о его реальных возможностях.
Предприятие может достичь успеха на рынке, если будет ориентироваться, прежде всего, на запросы потребителя, обеспечивать ему выбор товаров. Необходимо понять покупателя и определить сферу его интересов. Такая работа проводится на основе специальных исследований, в частности типологии потребителя и сегментации рынка.
Типология потребителя предполагает разделение потребителей на типические группы, имеющие схожее потребительское поведение. В моем случае это типология потребителей с учетом социально-экономических и демографических характеристик (доход, условия и место проживания, состав семьи, пол и возраст, род деятельности и т.д.)
Когда я описывала место расположения магазина, я отметила, что магазин ориентирован на покупателей со средним уровнем достатка. Так как он расположен в микрорайоне, где много военнослужащих, пенсионеров, детей, а они не являются покупателями с высоким уровнем достатка.
Одним из результатов изучения и прогнозирования рынка должна стать сегментация рынка. Это очень важно для работы магазина по формированию товарного предложения или ассортимента. На рынке, будет обеспечен бесперебойный сбыт только тому товару, который предназначен конкретной группе потребителя.
Поэтому свойство товара должны быть ориентированы на определенные группы потребителя. Разобьем рынок продтоваров Гагаринского района на группы потребителей:

  1. По уровню доходов:
  • высокий;
  • средний;
  • низкий (см. приложение № )
  1. По возрастной группе:
  • до 20 лет;
  • до 50 лет;
  • свыше 50 лет;
Ассортиментная политика магазина ориентированна на эти слои населения. Любое предприятие знает что его товары не могут удовлетворить потребности всех потребителей, они отличаются друг от друга запросами, привычками, поэтому необходимо остановиться на одной части сегмента рынка, которое оно в состоянии эффективно обслуживать, что и сделало торговое предприятие № 307.



Престижность поставщика товаров.


Здесь в обязательном порядке в расчет должны приниматься качественные параметры предлагаемых к реализации товаров, их соответствие моде и предъявляемому спросу, возможности рекламных мероприятий и, конечно же, ценовой фактор. Все это характеризует престижность поставщика товаров. Достижение желаемого результата в значительной степени зависит от правильно и продуманно составленных контрактов и договоров на поставку конкретных товаров. Учитывая сложную ресурсную ситуацию, отсутствие четко налаженных хозяйственных связей, слабую коммерческую подготовку персонала малых и средних торговых предприятий, ограниченные финансовые возможности усложняют работу коммерческого работника. На выбор источника товароснабжения оказывают влияние следующие факторы: мощность торгового предприятия, размещение магазина, специализация, форма продажи, качество товаров получаемых торговым предприятием.
С учетом действия этих факторов необходимо выявление наиболее целесообразных источников товароснабжения торгового предприятия, чему предшествует изучение поставщиков. Необходимость приспособления розничной торговли к условиям рыночной экономики требует организации четкого функционирования хозяйственных связей торговых предприятий с поставщиками товаров. В этом отношении особую актуальность приобретают прямые договорные связи торговых предприятий с производителями товаров. Розничное предприятие при установлении прямых договорных связей с изготовителями товаров имеет больше доходов, чем при поставке товаров через оптовое звено. Эффективность прямых хозяйственных связей очевидна, она выражается в закупках товаров у изготовителей по более низким ценам за счет сокращения числа посредников, участвующих в торговом обороте, а, следовательно, уменьшение величины торговых надбавок, устанавливаемых каждым посредником.
Наиболее рациональную и экономически целесообразную форму организации хозяйственных связей представляет собой организации прямых договорных связей розничных торговых предприятий с производственными предприятиями по поставке товаров простого ассортимента (хлебобулочных изделий, молочных продуктов и д.р.) Торговое предприятие №307 так же старается заключать прямые договорные отношения. Примерами могут служить:
  • Севастопольский хлебозавод;
  • Севастопольский пивзавод;
  • Севастопольский молокозавод;
  • Крыммолоко;
  • Николаевский молокозавод;
  • Симферопольский пивобезалкогольный завод и др.
В процессе заключения договоров, самым главным является принцип свободы договоров. Суть свобода выбора поставщиков товара, свобода определения условий договора. Договоры составляются путем составления одного документа, подписываемого двумя сторонами, или путем принятия поставщиком заказа покупателя к исполнению.
Коммерческие работники обеспечивают своевременное и правильное заключение договоров с поставщиками и покупателями товаров. В договоре должны быть указаны: наименование, количество и развернутый ассортимент подлежащих поставке товаров, качество, сортность, комплектность товаров, общий срок действия договора поставки, цены на товары, общая сумма договора, требования предъявляемые к таре и упаковке, порядок расчета, имущественная ответственность за нарушение условий договора. (Приложение№ ) В рыночных отношениях профессионализм заключения договора заключается в том, чтобы в каждом его условии видеть реальный экономический интерес, т.е. чтобы договор дал возможность получить больше прибыли и нанести меньше имущественных потерь. Между магазином и поставщиком заключаются долгосрочные соглашения (с местными поставщиками), а так же краткосрочные и сезонные договора.
В настоящее время магазинам следует сохранять и укреплять уже сложившиеся хозяйственные связи.
2.4 Организация розничной торговли в торговом предприятии.
Под методом розничной продажи товаров населению подразумевается совокупность приемов использование которых обеспечивает обслуживание покупателей в процессе продажи. Процесс продажи товаров включает такие основные элементы обслуживания, как ознакомление покупателей с предлагаемым ассортиментом товаров, отбор необходимых товаров, расчет и отпуск их покупателям. В магазине №307 применяется традиционный метод продажи продовольственных товаров. При продаже товаров продавцы должны строго соблюдать общие правила продажи и специальные правила продажи отдельных продовольственных товаров. Общие правила продажи регламентируются Основными правилами работы магазина.
Продажа товаров в магазине осуществляется всем гражданам на общих основаниях за наличный расчет в дни и часы работы магазина. Запрещается продажа товаров недоброкачественных, не имеющих товарного вида, с истекшими сроками продажи, а также поступивших без установленной документации по качеству. Все работники магазина должны знать и неуклонно соблюдать санитарные правила.
Продавец несет ответственность за нарушение правил торговли и цен, обвес, обсчет покупателя.
При продаже товаров с индивидуальным обслуживанием, а это форма продажи является самой распространенной, покупатель самостоятельно знакомится с имеющимся ассортиментом товаров, а проверку качества, консультацию, упаковку и отпуск товаров осуществляет продавец. При продаже товаров с индивидуальным обслуживанием обязательными являются такие элементы ТТП:

  1. Ознакомление покупателей с ассортиментом товаров;
  2. Показ товаров, консультация об их питательных свойствах, качествах;
  3. Дополнительное предложение заменяющих товаров;
  4. Организация информации о правилах работы магазина, рекламы товаров;
  5. Отбор, проверка качества, взвешивание , нарезка и упаковка;
  6. Расчет за покупку;
  7. Вручение покупки.
При выявлении спроса продавец в вежливой форме обязан спросить, какие продукты он хочет приобрести. Беседа продавца с покупателем должна быть диалогом. Во время консультации покупателя продавец должен быть приветлив и любезен. Расчет с покупателем производит сам продавец. Упаковывают товары на виду у покупателя.
При продаже бакалейных товаров необходимо их предварительно расфасовать. При отпуске весовых товаров пользуются специальными совками. Кондитерские изделия продают в расфасованном виде, поштучно, а также взвешивая в присутствии покупателя.
При продаже кондитерских изделий соблюдаются гарантийные сроки хранения и продажи, установленные стандартами.
Гастрономические товары продают через прилавки обслуживания с помощью продавца. Продтовары купленные в розничной торговой сети, обратно от покупателей, как правило, не принимаются и не обмениваются. В случаях установления скрытых дефектов товаров или несоответствия наименованию и сорту, по которым они проданы, товары подлежат обмену.
Предметом технологии торговли является совокупность способов, приемов и целенаправленных трудовых операций производственного и коммерческого характера по доведению товаров от производства до потребителей. Особенностью технологии торговли заключается в том, что здесь не только осуществляется процесс движения товаров из сферы производства в сферу потребления, но и происходит смена форм собственности. Поэтому в технологии торговли осуществляются торговый и технологический процессы.
Торговый процесс включает такие виды организации коммерческой работы как изучение спроса населения, каньюктуры рынка, заказ товаров, управление запасами. Технологический процесс представляет собой движение товарной продукции от промышленности до конечных потребителей и включает такие операции как транспортировка, приемка, хранение, преобразование ассортимента товаров, контроль их качества, фасовка, упаковка, перемещение в пределах торгового предприятия. ТТП в магазине – это совокупность взаимосвязанных и последовательных операций, целью которых является доведение товаров надлежащего качества до конечных потребителей с наименьшими затратами труда при высоком уровне тргового обслуживания населения.
Технологический процесс в магазине осуществляется без участия покупателя. Здесь происходит обработка товарных потоков, начиная с поступления товаров в магазин и заканчивая полной подготовкой их к продажи. ТТП в магазине не существует сам по себе.
Он обусловлен уровнем развития производства товаров народного потребления, состоянием торговли и ее материально технической базы, степени квалификации работников торговли, ростам благосостояния и культурного уровня населения.
Схема торгово-технологического процесса включает разгрузку товаров с автотранспорта, приемка их по количеству и качеству, хранение и продажу. Основной операцией торгово-технологического процесса в магазине является продажа товаров. Вся деятельность магазина направлена на решение основной задачи – обслуживание покупателей в процессе продажи товаров, наиболее полное удовлетворение их потребностей.
Все остальные операции ТТП магазина создают необходимые условия для успешного осуществления продажи торов, т.е. носят подчиненный характер, но от их выполнения зависит экономическая эффективность в целом.
Приемка товаров является первой технологической операцией. Приемка начинается с разгрузки автотранспорта, для этого используют тележки. На специально отведенной площади магазинов проводится приемка товаров по количеству.



Спрос на продтовары имеет свои особенности.


При формировании ассортимента магазина были учтены следующие факторы: покупательский спрос, качество товара, производитель, упаковка, техническое оснащение, транспортные условия (способ доставки товара), наличие других розничных торговых магазинов в зоне деятельности данного магазина, учитывается взаимозаменяемость товаров. Спрос на продтовары имеет свои особенности. Он характеризуется относительным постоянством, которое объясняется тем, что некоторые продтовары удовлетворяют повседневные потребности населения.
Но, несмотря на устойчивость спроса он тоже подвержен изменениям под влиянием многих факторов. Например, снижение денежных доходов населения, высокий уровень инфляции. Анализ показывает, что наиболее устойчивыми группами продуктов питания, в потреблении семьей с малыми дохода (меньше прожиточного минимума), а так же при сокращении реальных доходов, или снижении покупательской способности гривны являются хлеб и хлебопродукты, растительные жиры, сахар, яйца, молочные продукты. Если произойдет колебание цен в сторону увеличения, то спрос на эти товары останется стабильно.
Об этом говорят статистические данные по Крыму. В 1998 году уменьшилось потребление :
  • рыбы на 42 %;
  • мяса на 66 %;
  • кондитерских изделий на 54 %;
  • кофе на 58 %;
  • растительного масла на 15 %;
  • хлеба на 4 %;
  • сахара на 12 %;
  • молочных продуктов на 12 %;
  • животных жиров на 23 %.
В магазине № 307 есть утвержденный ассортиментный перечень товаров (приложение № ). В этом перечне были учтены товары частого и периодического спроса. К товарам частого спроса относятся хлеб и хлебобулочные изделия, бакалейные товары, молоко и молочные товары. К товарам периодического спроса относятся деликатесы из рыбы, молочной гастрономии, вина, водка.
Широта и глубина ассортимента товаров в магазине зависит от его специализации и величины торговой площади, местоположения.
Описываемый мною магазин небольшой, широта и глубина ассортимента товаров невелика. Для наиболее полного удовлетворения спроса населения и повышения эффективности торговли важное экономическое значение имеет обеспечение в магазине устойчивости товарного ассортимента. Это говорит о том, что в торговом зале необходимо постоянно иметь товары всех групп, видов, наименований которыми торгуют.
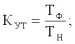
Устойчивость товарного ассортимента магазина определяют с помощью коэффициента устойчивости ассортимента.

Спрос на продтовары имеет свои особенности.

где КУТ – коэффициент устойчивости
ТФ – количество видов товаров в продаже в момент проверки.
ТН – количество видов товара, которое должно быть в продаже в соответствии с утвержденным ассортиментным перечнем.
КУТ в магазине № 307 равен 0,8. Это говорит о том, что этот показатель ближе к 1, поэтому ассортимент магазина устойчивый. Ассортиментный перечень утверждает директор ЗАО Меркурий В.Н.Надуев на 1 год, по истечении которого в него вносят коррективы с учетом изменения производственного ассортимента товаров, каньюктуры торговли и насыщения местного рынка товарами.
Этот перечень является основным рабочим документом при комплектовании товарного ассортимента. Ответственность за соблюдение ассортиментного перечня возлагается на заведующую магазином. Ассортиментная политика – это важная часть общей розничной стратегии.
Предприятия стремятся оптимизировать ассортимент путем сужения его широты и уменьшение глубины, они торгуют популярными и ходовыми товарными группами, а в пределах групп – самыми быстро оборачивающимися товарами. Такая политика позволяет уменьшить денежные средства, вложенные в товарные запасы и ускорить их товарооборачиваемость.
К таким предприятиям относится и магазин, описываемый мною. Логика такого решения ясна: не стоит вкладывать деньги в товары, которые дают малый оборот, а лучше сосредоточить усилия на торговле быстро оборачивающимися товарами. Я понимаю, что это вовсе не единственно возможная коммерческая логика, но кто может осудить руководство предприятия за такой выбор.
Ведь мы живем в условиях жесткой конкуренции. Широта и глубина ассортимента выбираются с учетом предпочтения потребителей. Зачастую приходится не о том, соответствует ли данный товар общей целенаправленности ассортимента, а о том, можно ли торговать ими рентабельно.
Хотелось бы, что бы руководство предприятия задумывалось о повышении рентабельность предприятия, если будет принято решение включить данный товар в ассортимент!
Очень часто решение о включении в ассортимент или исключение того или оного товара руководители принимают исходя из привычки, подражание конкурентам, на основе интуиции. Хотелось бы, что бы, руководитель торгового предприятия №307 избегал принятия таких решений. Ассортимент – это оружие в конкурентной борьбе и уже одно это предполагает его непрерывное и динамичное изменение. Это необходимо помнить. Большинство розничных магазинов, не исключение магазин №307 включают в ассортимент товары, находящиеся на стадии роста или зрелости.
Примером может служить продукция фирмы Медоборы, которая поставляет в магазин торты и пирожные собственного производства.
Стадия роста характеризуется быстрым увеличением объема реализации, возрастанием прибыли. На этой стадии коммерсанты организуют быстрый завоз товара через небольшие интервалы времени, сосредотачивают в магазине достаточные запасы нового товара. Когда товар вступает в стадию зрелости (примером может служить продукция завода Крыммолоко), коммерсанты требуют у поставщика снижение закупочных цен, стремятся извлечь пользу из усовершенствования товара и его упаковки. Но, в основном, в магазине №307 товары основного ассортимента, это – необходимые товары требующиеся буквально всем, а потому и пользующиеся постоянным устойчивым спросом.
Товары основного ассортимента являются как бы унифицированными; если они и изменяются, то чрезвычайно медленно.
Существенным фактором формирования ассортимента является цена товара. Покупатель почти всегда определяет для себя предельную цену в пределах которого он собирается уплатить за покупку. Поэтому одним из критериев рационального построения ассортимента товаров служит обеспечение правильного сочетания товаров с различной стоимостью.
Цена товаров – ото очень сильный аргумент в пользу его покупки. Но он, не всегда является побудительным мотивом.
Свободные розничные цены на товары народного потребления формируются торговым предприятием, которое осуществляет продажу этих товаров населению, исходя из стоимости закупки товаров и торговых надбавок. Уровень торговых надбавок определяется продавцом самостоятельно, исходя из уровня издержкоемкости и рентабельности затрат на реализацию товара, коньюктуры рынка, с учетом оптовой надбавки. В торговую надбавку включается налог на добавленную стоимость.
Для обеспечения успешной политики установления цен торговое предприятие имеет упорядоченную методику формирования исходных цен на товары.

2.3 Анализ факторов влияющих на поиск и выбор поставщиков, договорные отношения.
Закупка товаров является важнейшим элементом процесса товароснабжения для торгового предприятия. Закупка товаров осуществляется в размерах, обеспечивающих стабильное поступление товаров в развернутом ассортименте. На основе данных покупательского спроса ведет поиск поставщиков.
В условиях рыночной экономики организация и технология закупочной работы в Украине претерпела коренные изменения. На смену фондовому распределению товаров при плановой централизованной системе управления экономикой, твердых государственных цен, жесткой регламентации поставок товаров, пришла свободных рыночных отношений. Они характеризуются свободой выбора партнеров, множеством источников закупки, равноправием партнеров, саморегулированием процессов поставки товаров, свободой ценообразования, конкуренцией поставщиков, возросшей ролью договоров, контрактов на поставку товаров.
Коммерческая работа по закупкам товаров в рыночных условиях базируется принципах современного маркетинга. Коммерческие работники должны хорошо знать свой экономический район, промышленность, сельское хозяйство, ассортимент вырабатываемых изделий. Необходимость скорейшего приспособления розничной торговли к условиям рыночной экономики организации четкого функционирования хозяйственных торговых предприятий с поставщиками товаров. Целесообразней производить закупки у местных поставщиков, так как сокращаются транспортные расходы. Но необходимо изучить перечень иногородних поставщиков, после чего производится расчет эффективности договорных отношений.
Основным источником продовольственных товаров является продукция сельского хозяйства. При этом все большее место принадлежит закупкам в децентрализованном порядке. И здесь очень важно развивать связи со всеми возможными поставщиками товарной массы:

  • сельскохозяйственными предприятиями различных форм собственности и правовых форм;
  • предприятиями пищевой промышленности;
  • производственными предприятиями массового питания;
  • предприятиями оптовой торговли;
  • ярмарками;
  • аукционами;
  • различными торгово-закупочными фирмами.
Важно так же учитывать возможности местной промышленности.
Большое значение при выборе того или иного поставщика потребительских товаров должно уделяться конкурентоспособности этих товаров на своем локальном потребительском рынке.



Выкладка товаров в магазине


Умелая выкладка товаров в магазине должна привлечь покупателя к широко представленному ассортименту рекламируемых товаров, дать информацию о товаре, с помощью различных приемов и методов оказать эффективное воздействие на покупателей, побуждая их совершить покупку. Внутримагазинный показ товаров помогает покупателю найти рекламируемый товар в магазине. Покупатель, который пришел в магазин, чтобы приобрести рекламируемый товар, хотят найти его как можно быстрее. В торговом предприятии № 307 особое внимание уделяется выкладке именно рекламируемых товаров.
Не рекламированные товары выкладываются так, чтобы они попутно привлекали внимание тех, кто находится в торговом зале. Рекламный показ товара предает облику торгового зала оживленный и привлекательный вид. Эффективность показа товара значительно усиливается хорошо подобранными цветовыми сочетаниями, контрастами выложенных товаров, что улучшает общий вид торгового зала и способствует созданию приятной обстановки для покупателей.
В предприятии №307, рекламный показ товаров способствует росту числа постоянных покупателей. У людей, которые пришли впервые в магазин, хорошо организованный показ товаров и приятная обстановка в торговом зале создают благоприятное впечатление, и они часто становятся постоянными покупателями этого торгового предприятия. III. Выводы и предложения по улучшеню ассортиментной политики торгового предприятия.
Каждая фирма, торговое предприятие, работая в определенной отрасли, старается удержаться в своих конкурентных преимуществах. Без разработки конкретной стратегии невозможно выжить и долговременно конкурировать на рынках. Только те, кто составляет текущий и стратегический бюджет, могут выдержать конкурентную борьбу, увеличить прибыль, сохранить положение на рынке, лидерство в определенной отрасли. Для обеспечения достижения этих целей существует планирование. Бюджетирование появилось в нашем экономическом лексиконе недавно, однако, это есть забытое нами финансового плана предприятия.
Бюджетирование составляется на основе рынка спроса и возможности фирмы. Разрабатывая бюджет предприятия, определяет будущие проблемы, рассматривает пути их решения. Бюджетирование касается всей деятельности предприятия, при котором учитывается инфляция, изменение цены и другие вопросы. Не распланированная работа, что он сможет своевременно реагировать на изменение рынка, надежда на интуицию, изменение вида деятельности на более прибыльную, в конце концов, приводит к нежелательным результатам.
Имея профессионально составленный бюджет, руководитель, будет руководить, а не заниматься ежедневно выполнением должностных обязанностей менеджеров. Бюджетирование – важное и необходимое условие для стабильной и перспективной работы фирмы сегодня и завтра. Бюджетирование фирмы даст плоды не только в перспективе, но и при ежедневной работе. Этим вопросом могут и должны заниматься сами работники фирмы. Сегодня это возможно путем изучения разработок, сделанными нашими соотечественниками, пользуясь материалами зарубежных авторов, фондом поддержки предпринимательства, пользуясь услугами консультационных фирм, которые проведут исследование и разработают бюджет по фирме.
В ЗАО Меркурий проводятся маркетинговые исследования, планирование. Но, к сожалению, они проводятся на недостаточно высоком уровне. Я предлагаю, руководителю этой фирмы обратиться в Симферопольский Консалтинг – центр, который на высоком уровне проведет:

  • финансовый анализ и планирование;
  • проведет комплексное маркетинговое исследование;
  • разработает бизнес план, комерческие предложения.
Центр находится в г. Симферополе ул. Ялтинская 20 тел.24-81-83.
В своей курсовой работе, я останавливалась на том, как важно правильно выставить витрину в магазине, расставить товар, какое торговое оборудование лучше использовать. Все чаще на предприятии этим занимаются профессионалы. В последнее время все чаще и чаще встречается потребность в необычной профессии “мерчер – дизайнер”. Согласно определению учебного издания Реклама в системе маркетинга Е.Ромата 1995г., мерчингдизайзинг – это комплекс маркетинговых коммуникаций в розничной торговле, использующий преимущественно приемы рекламы в месте продажи. Целью мерчингдизайзинга является расположение товаров, таким образом, при котором оно подталкивало потенциальных покупателей к импульсивному приобретению того или иного товара, с последующим повтором покупки, проще говоря, основная цель заключается в обеспечении наибольшего уровня сбыта товара через его эффективное размещение.
Примером может служить продажа таких товаров, как Coca-Cola, Pepsi, Mars и другие, которые представлены в магазине несколько обособленно: на специальных стендах, в холодильниках, сопровождаются буклетами, наклейками с изображением торговой марки. К сожалению, редко встречаются такие товары среди наших производителей, которые качеством не хуже, а вот рекламе уделено мало места. Отсюда, каждый ребенок знает, что есть Coca-Cola, Sprait, но не знает, что такое сладкая вода Дюшес.
Но есть и приятные исключения; например фабрика Корона. Продукция этой фабрики не хуже оформлена, чем товары вышеперечисленные. Мерчингдизайзинг подробно рассказывает продавцам об основных свойствах товаров, качественном отличии его от других, присутствующих на рынке продуктов. Таким образом, продавцы обдают самой точной информацией и имеют возможность компетентно давать советы покупателям, подробно отвечать на вопросы. Продажа магазина при этом могут увеличиваться в два раза.
Подведя итог, хочу отметить, что неплохо было бы для магазина иметь такого сотрудника. В своей курсовой работе я отмечала что, предприятие реализует много товаров-новинок, но это товары гастрономии (молочные продукты, слабоалкогольные напитки и другие). Хотелось бы отметить, что среди товаров, относящихся к отделу бакалеи, также есть товары-новинки, которые мало известны широкому потребителю.
Это, например, продукция Севастопольского хлебокомбината. Продукция хлебокомбината – это классическая технология, натуральное сырье, стабильное качество. Например, корзинка для закусок тарталетка, батон дипломат, который изготовлен из двух сортов теста и имеет вид спирали двух цветов – темного и светлого, новый торг Мулатка приготовлен по домашней рецептуре. (Приложение № )
Проведя анализ торгового оборудования магазина № 307 я пришла к выводу, что весовое оборудование нового типа (электронные весы), кассовые аппараты (Samsung) соответствуют пропускной способности магазина, а вот прилавки – витрины, холодильные витрины уже устарели, и портят внешний вид торгового зала. Я понимаю, что новое торговое оборудование это очень дорого, но в тоже время эти затраты окупятся, так как условия хранения товара улучшаться, энергозатраты уменьшаться. Предлагаю следующее торговое оборудование:
1. Вертикальные пристенные холодильные витрины открытого типа. Они предназначены для демонстрации и хранения охлажденных продуктов. Под потолком витрины находятся люминесцентные светильники и ночная штора, предназначенная для экономичного потребления энергии в режиме хранения (Приложение № ).
2. Гастрономические холодильные витрины для демонстрации охлажденных продуктов. Охлаждение – естественное. (Приложение№
3. Пристенные витрины открытого типа с вентиляторным охлаждением. Предназначенные для демонстрации и хранения, охлажденных колбасных и молочных продуктов, упакованной рыбы и мяса. (Приложение № ).
Все это оборудование можно заказать и приобрести в фирме Айсберг в г. Симферополе, на очень выгодных условиях.
Что касается поставщиков, считаю, что недостаточное внимание уделяется местным поставщикам. Например, Севастопольскому молокозаводу. Продукция этого предприятия включена в ассортимент магазина, но слишком узко. Продукция молокозавода ни чем не уступает товарам предприятия Крыммолоко. Тем более что за счет уменьшения транспортных расходов можно уменьшить розничную цену на товары.
Но почему-то руководство ЗАО Меркурий упустили этот момент.
ТТП в магазине № 307 протекает, отлажено, но, к сожалению, бывают разные казусы, которые отражаются на качестве товара. Все мы знаем, что зимой очень часто выключают электроэнергию. И вот на этот случай ничего не предусмотрено, хотя такие отключения уже стали нормой.
Ведь в других предприятиях есть генераторы. Я знаю, что это не дешево, но если подсчитать потери (порча продуктов, особенно скоропортящиеся; незапланированное раннее закрытие магазина, неудобства для покупателей и работников), то становится ясно, что такие затраты быстро окупятся.
Список используемой литературы:

  1. Артамонова Л.И. Организация торговли М.Экономика, 1984г.
  2. Архипов И.А. Торговое оборудование М.Экономика 1990 г.
  3. Берман Б.Б. Маркетинг М.Экономика 1990г.
  4. Бойко В.В. Социально-психологический климат коллектива и личности М.Просвещение 1983 г.
  5. Богуславская Я.Е. Организация труда М.Знание 1977 г.
  6. Кредисов А.И. Маркетинг Киев.Наукова думка 1995 г.
  7. Коневский Е.М. Эффект рекламы М.Просвещение 1980 г.
  8. Панкратов Ф.Г. Коммерческая деятельность М.Экономика 1996 г.
  9. Порядинский В.Н. Предпринимательство М.Экономика 1997г.
  10. Петропольский Г.А.Организация торгавли М.Просвещение 1981 г.
  11. Памбухчиянц В.К. организация и технология торговых процессов М.Экономика 1987 г.
  12. Ромат Е.В. Реклама в системе маркетинга Харьков Думка 1995г.
  13. Малышенко М.М. Универсальный магазин М.Просвещение 1987 г.
  14. Устинов М.Т. Организация и управление торговли М.Экономика 1986 г.
  15. Хруцкой В.Е. Современный маркетинг М.Экономика 1991 г.
  16. Эванс Д.Р. Маркетинг М.Экономика 1990 г.
  17. Эдвардс Ч.Р. Реклама в розничной торговле США. Киев Наукова димка 1992 г.


    Экономика: Знания - Циклы - Макроэкономика