МЕХАНИЗМ ГОСУДАРСТВЕННОГО ВОЗДЕЙСТВИЯ НА ПРЕДПРИНИМАТЕЛЬСКУЮ ДЕЯТЕЛЬНОСТЬ И ЭКОНОМИКУ СТРАНЫ


1.1. СУЩНОСТЬ, РОЛЬ И ОСОБЕННОСТИ УСЛОВИЙ РАБОТЫ ПРЕДПРИЯТИЙ ДО И ПОСЛЕ ПЕРЕХОДА НА РЫНОЧНЫЕ ОТНОШЕНИЯ С МАКРОЭКОНОМИЧЕСКИХ ПОЗИЦИЙ Сердцевину любой экономики составляет производство, создание экономического продукта. Без производства не может быть потребления, можно только проедать произведенное.
Именно предприятия выпускают продукцию, выполняют работы и услуги, т.е. создают основу для потребления и приумножения национального богатства.
Экономику государства упрощенно можно рассматривать как совокупность всевозможных предприятий, находящихся в тесной производственной, кооперированной, коммерческой и другой взаимосвязи между собой и государством.
От того, насколько эффективно работают предприятия, каково их финансовое состояние, зависят здоровье всей экономики и индустриальная мощь государства. Если схематично представить всю систему хозяйственного управления в стране в виде пирамиды, то ее основанием являются предприятия. Государственное, региональное, ведомственное управление может рассматриваться по отношению к процессам, происходящим на уровне предприятия, только как надстроечные, вторичные явления.
Любые изменения в системе хозяйственного управления будут бессмысленными, если они благотворно не сказываются на деятельности предприятия.
Предприятие самостоятельный хозяйственный субъект, производящий продукцию, выполняющий работы и оказывающий услуги в целях удовлетворения общественных потребностей и получения прибыли.
Предприятие как юридическое лицо это предприятие (организация, фирма, концерн), отвечающее определенным признакам, установленным законодательством страны. К числу признаков юридического лица относятся: наличие своего имущества; самостоятельная имущественная ответственность; право приобретать, пользоваться и распоряжаться собственностью, а также осуществлять от своего имени иные дозволенные законом действия; право от своего имени быть истцом и ответчиком в суде и арбитраже, иметь самостоятельный бухгалтерский баланс, расчетный и иные счета в банке.
При любой форме хозяйствования предприятия играют важнейшую роль в экономике государства. С макроэкономических позиций предприятия являются основой для:
увеличения национального дохода, валового внутреннего продукта, валового национального продукта;
возможности существования всего государства и выполнения им своих функций. Это связано с тем, что значительная часть государственного бюджета формируется за счет налогов и сборов с предприятий;
обеспечения обороноспособности государства;
простого и расширенного воспроизводства;
развития национальной науки и ускорения НТП;
повышения материального благосостояния всех слоев граждан страны;
развития медицины, образования и культуры;
решения проблемы занятости;
решения многих других социальных проблем. Эту роль предприятия будут выполнять только в том случае, если они эффективно функционируют.
Вся история развития общественного производства свидетельствует и доказывает, что наиболее эффективно предприятия функционируют в условиях цивилизованного рынка, для которого характерны наличие различных форм собственности, здоровая конкуренция, демонополизация экономики, свободное ценообразование, наличие развитой рыночной инфраструктуры, преимущество потребителя по сравнению с производителем и другие необходимые атрибуты.
Плановая или административно-командная экономика, как показывает исторический опыт СССР и других стран СЭВ (в настоящее время опыт Северной Кореи и Кубы), не создает необходимых условий для эффективного функционирования предприятий прежде всего из-за отсутствия конкуренции, свободы действий в предпринимательской деятельности, неразвитости малого бизнеса и кредитно-финансовых отношений, чрезмерного вмешательства государства в деятельность предприятия и других причин.
В условиях плановой экономики основная цель предприятия заключалась в выпуске продукции определенной номенклатуры и ассортимента исходя из годового плана, который, в свою очередь, вытекал из пятилетнего плана.
Под этот план предприятию доводились необходимые ресурсы и конкретные поставщики, а также указывались и потребители продукции, т.е. предприятия заранее знали, какими ресурсами они располагали на год, от каких предприятий их получат и в какой срок. Заранее они знали, куда сбывать свою продукцию и по каким ценам.
Если рассматривать условия работы предприятий с этой позиции, то вроде бы они являлись идеальными, так как предприятиям не нужно было беспокоиться, где взять ресурсы и куда сбыть продукцию, все решалось государством в лице Госплана и Госснаба.
Предприятия в условиях плановой экономики работали по схеме:
МЕХАНИЗМ ГОСУДАРСТВЕННОГО ВОЗДЕЙСТВИЯ НА ПРЕДПРИНИМАТЕЛЬСКУЮ ДЕЯТЕЛЬНОСТЬ И ЭКОНОМИКУ СТРАНЫ

При этой схеме основой являются ресурсы; именно они являлись ограничителем объема выпуска продукции. Таким образом, объем выпуска продукции на предприятиях в условиях плановой экономики в основном зависел от возможностей государства обеспечить предприятие необходимыми ресурсами.
Но в связи с тем, что пятилетние планы систематически не выполнялись, предприятия всегда испытывали острую нужду в ресурсах. Поэтому основной заботой первых руководителей предприятия при плановой экономике было любой ценой выбить (получить) ресурсы у государства.
В условиях плановой экономики предприятия не были особо заинтересованы в выпуске высококачественной продукции, так как практически отсутствовала конкуренция, и предприятия знали, что сбыт продукции всегда гарантирован.
У предприятий отсутствовала свобода выбора предприятий-поставщиков все планировалось Госпланом и Госснабом.
Предприятия не стремились снижать издержки на производство и реализацию продукции за счет внедрения новой техники и технологии, лучшей организации производства, так как цены устанавливались на основе фактических издержек и нормативной прибыли. Кроме того, над предприятием никогда не висел «дамоклов меч» стать банкротом.
Кроме того, предприятия в материальном аспекте не были заинтересованы в повышении эффективности производства и всегда оставляли существенный резерв для выполнения плана, чтобы его всегда можно было выполнить без особых усилий.
Выполнение плана при административно-командной системе являлось самым важным критерием при оценке работы предприятия. По этому критерию оценивалась и деятельность руководителя предприятия. Система премирования работников предприятия также была тесно увязана с выполнением плана.
При плановой экономике всегда имел место дефицит, особенно товаров народного потребления, а также преимущество производителя над потребителем. В этих условиях предприятия, естественно, не стремились улучшать качество продукции и насыщать рынок товарами и услугами.
С переходом российских предприятий на рыночные отношения ситуация в корне изменилась. Предприятия были вынуждены работать по совершенно иной схеме:
МЕХАНИЗМ ГОСУДАРСТВЕННОГО ВОЗДЕЙСТВИЯ НА ПРЕДПРИНИМАТЕЛЬСКУЮ ДЕЯТЕЛЬНОСТЬ И ЭКОНОМИКУ СТРАНЫ

В этой схеме основой является спрос покупателей, т.е. возможность сбыть свою продукцию. Для этого необходимо изучать конъюнктуру рынка, запросы покупателей, емкость рынка, качество продукции у потенциального конкурента и другие вопросы, характерные для рыночных отношений. Многие отечественные предприятия не были готовы работать по этой схеме по различным причинам, основные из них:
многие руководители предприятий не были способны работать по этой схеме, а некоторые из них не верили в серьезность происходящих преобразований, надеялись и ждали возвращения к плановой экономике там они чувствовали себя, как рыба в воде;
распад СССР привел к нарушению производственных и кооперированных связей;
неконкурентоспособность продукции многих отечественных предприятий;
переход на рыночные отношения сопровождался инфляцией и гиперинфляцией, что не создавало благоприятных условий для работы предприятий, особенно обеспечения предприятия оборотными средствами;
многие предприятия так и не сумели адаптироваться к рыночным отношениям;
насыщение российского рынка импортными товарами;
государство на переходном этапе не создало необходимые условия для функционирования цивилизованного рынка в России. Не были созданы условия для конкуренции, экономика должным образом не демонополизирована, не работает система банкротства, не создана и надлежащая рыночная инфраструктура.
Все эти и другие причины в конечном итоге привели к ухудшению финансового положения многих предприятий и к затяжному экономическому кризису в стране. Переходный период в России от плановой экономики к рыночной затянулся.
Этот затяжной переходный период обусловлен также политической и социальной напряженностью в стране. Многие граждане страны, особенно среднего и пожилого возраста, в психологическом плане не были готовы к переходу на рыночные отношения, за этот период они многое потеряли как в материальном (обесценение вкладов населения), так и в социальном плане. Естественно, многие из них против перехода на рыночные отношения.
Имеются в России и довольно существенные политические силы, которые против рынка и за возвращение к социализму.
Переходный период в России характеризовался не только негативными последствиями, но и некоторыми положительными моментами.
К положительным моментам следует прежде всего отнести:

Акционерное общество


Общество менее привлекательно для кредиторов, так как члены общества несут только ограниченную ответственность по его обязательствам. Акционерное общество. С 1 января 1996 г. введен в действие Закон РФ «Об акционерных обществах». Этот документ имеет большое значение для дальнейшего развития акционерной формы хозяйствования и выгодно отличается от предшествующих нормативных документов об акционерных обществах (АО).
Во-первых, новый Закон об АО разработан с учетом критического анализа предшествующего опыта их работы и устранения многих негативных положений, которые мешали дальнейшему развитию этой формы хозяйствования.
Во-вторых, этот закон разработан на основе ГК РФ, в котором многие положения ГК РФ об АО конкретизированы и получили дальнейшее развитие.
Наконец-то АО и акционеры получили более совершенный нормативный документ, что является хорошей предпосылкой для повышения эффективности их функционирования.
Согласно ГК акционерным обществом признается общество, уставный капитал которого разделен на определенное число акций; участники акционерного общества не отвечают по его обязательствам и несут риск убытков, связанных с деятельностью общества, в пределах стоимости принадлежащих им акций.
Основным учредительным документом АО является его устав.
Устав АО должен содержать: полное и сокращенное фирменное наименование АО; место нахождения; тип АО (открытое или закрытое); количество, номинал, категории акций и типы привилегированных акций, права владельцев акций каждой категории (типа); размер уставного капитала; структуру и компетенцию органов управления АО и порядок принятия ими решений; порядок подготовки и проведения общего собрания акционеров, перечень вопросов, для решения которых необходимо квалифицированное большинство голосов или единогласие; сведения о филиалах и представительствах.
АО подлежит госрегистрации в органе, осуществляющем регистрацию юридических лиц, в соответствии с законом о госрегистрации юридических лиц. АО считается созданным с момента регистрации.
Ответственность АО. АО несет ответственность по своим обязательствам всем принадлежащим ему имуществом и не отвечает по обязательствам акционеров. Акционеры не отвечают по обязательствам АО и несут риск убытков в пределах стоимости принадлежащих им акций.
Акционерные общества могут быть открытыми и закрытыми.
Акционерное общество, участники которого могут отчуждать принадлежащие им акции без согласия других акционеров, признается открытым АО. Такое АО вправе проводить открытую подписку на выпускаемые им акции и их свободную продажу на условиях, устанавливаемых законом и иными правовыми актами.
Акционерное общество, акции которого распределяются только среди его учредителей или иного заранее определенного круга лиц, признается закрытым АО. Такое общество не вправе проводить открытую подписку на выпускаемые им акции либо иным образом предлагать их для приобретения неограниченному кругу лиц.
Открытое акционерное общество (ОАО) отличается от закрытого и по числу акционеров. В ОАО число акционеров не ограничено, а в закрытом число участников не должно быть более 50. (Это положение не распространяется на ЗАО, созданные до января 1996 г.) Если число акционеров ЗАО превысит 50 человек, АО должно в течение года преобразоваться в ОАО.
Уставный капитал составляется из номинальной стоимости акций, приобретенных акционерами, и определяет минимальный размер имущества АО, гарантирующий интересы его кредиторов. При учреждении АО все акции размещаются среди учредителей. Все акции АО именные.
Количество и номинал размещенных акций каждой категории определяются уставом АО.
Размер уставного капитала:
для ОАО не менее 1000 минимальных размеров оплаты труда на дату регистрации общества;
для ЗАО не менее 100 минимальных размеров оплаты труда на дату регистрации общества.
АО может выпускать обыкновенные и привилегированные акции. Обыкновенные акции являются голосующими, размер дивиденда и ликвидационная стоимость заранее не предусматриваются.
Привилегированные акции могут быть нескольких типов, в каждом типе одинаковый номинал и набор прав. Суммарный их номинал не может превышать 25% уставного фонда. Дивиденд по привилегированным акциям и их ликвидационная стоимость могут быть определены в твердой сумме, в процентах или в ином порядке; если эти условия не определены, он выплачивается так же, как для обыкновенных акций.
Уставом могут быть предусмотрены кумулятивные акции, дивиденды по которым (или определенная часть дивидендов) в случае их невыплаты накапливаются и выплачиваются впоследствии.
Привилегированные акции не имеют голоса, за исключением случаев, предусмотренных в Законе об АО. Так, например, по вопросам реорганизации и ликвидации АО право голоса имеют все владельцы акций. Уставом АО может быть определен порядок конвертации привилегированных акций определенного типа в акции другого типа или в обыкновенные акции.
АО имеют право создавать резервный фонд в размере, определенном уставом АО, но не менее 15% уставного капитала, и формируется путем ежегодных отчислений (не менее 5% от чистой прибыли) до достижения размера, предусмотренного уставом.
Резервный фонд предназначен для покрытия убытков, погашения облигаций и выпуска акций в случае отсутствия других средств. На иные цели он не может быть использован.
Управление АО. Высшим органом управления АО является общее собрание акционеров. Компетенция общего собрания:
внесение изменения и дополнения в устав или утверждение нового устава;
реорганизация общества;
ликвидация АО, назначение ликвидационной комиссии и утверждение ликвидационных балансов;
определение численности совета директоров (наблюдательного совета), избрание его членов и досрочное прекращение их полномочий;
определение предельного количества объявленных акций;
утверждение или уменьшение уставного капитала;
образование исполнительного органа АО, досрочное прекращение его полномочий;
избрание членов ревизионной комиссии (ревизора) и досрочное прекращение их полномочий;
утверждение аудитора общества;
утверждение годовых отчетов, бухгалтерского баланса, счета прибылей и убытков, распределение прибылей и убытков;
установление порядка ведения общего собрания, образования счетной комиссии;
определение формы сообщения информации акционерам;
другие вопросы.
Решение отдельных вопросов может быть передано совету директоров (наблюдательному совету), если это оговорено в уставе. Решение принимается большинством в 2/4 голосов владельцев голосующих акций, принимающих участие в собрании.
Совет директоров (наблюдательный совет) осуществляет общее руководство деятельностью АО, кроме вопросов, относящихся к исключительной компетенции общего собрания.
В исключительную компетенцию совета директоров (вопросы, которые не могут быть переданы исполнительному органу) входит решение следующих вопросов:
определение приоритетных направлений деятельности АО;
созыв годового и внеочередного общих собраний акционеров;
утверждение повестки дня общего собрания;
определение даты составления списка акционеров, имеющих право на участие в общем собрании;
вынесение на общее собрание вопросов о реорганизации АО;
увеличение уставного капитала (если это право предусмотрено уставом или общим собранием);
размещение облигаций и иных ценных бумаг (если иное не оговорено уставом);
определение рыночной стоимости имущества;
образование исполнительного органа АО и досрочное прекращение его полномочий, размер вознаграждения исполнительного органа (если уставом это возложено на совет директоров);
рекомендации по оплате ревизионной комиссии и услуг аудитора;
рекомендации по размеру дивиденда по акциям и порядку его выплаты;
использование резервного и иных фондов АО;
другие вопросы.
Члены совета директоров избираются годовым общим собранием сроком на один год (член совета может переизбираться неограниченное число раз).
Полномочия члена совета директоров (всего состава совета) могут быть прекращены досрочно по решению общего собрания.
Руководство текущей деятельностью АО осуществляется директором (генеральным директором) или директором и правлением, а в отдельных случаях (по решению общего собрания и договору, утвержденному советом директоров) управляющим.
Закон об акционерных обществах содержит и многие другие положения, необходимые для нормального его функционирования. Следует отметить, что новый Закон об АО имеет ряд существенных особенностей по сравнению с предыдущими нормативными актами об АО. Во-первых, этот закон считают менеджерским, так как в нем существенно сдвинуты полномочия от общего собрания акционеров к совету директоров АО. Во-вторых, впервые в отечественном законодательстве закреплены понятия «рыночная цена» и «рыночная стоимость», которые по своему содержанию близки к международному стандарту.
Приведем это определение: «Рыночной стоимостью имущества... является цена, по которой продавец, имеющий полную информацию о стоимости имущества и не обязанный его продавать, согласен был бы продать его, а покупатель, имеющий полную информацию о стоимости имущества и не обязанный его приобретать, согласен был бы приобрести».



Что понимается под ценой продукции?


Применение метода «целевого ценообразования» тесно связано с использованием системы учета прямых затрат «директ-костинг». Иначе эту систему называют еще «системой управления себестоимостью». Система «директ-костинг» является атрибутом рыночной экономики. Сущностью системы «директ-костинг» является разделение затрат на производство на переменные и постоянные в зависимости от изменений объема производства.
Наиболее важные аналитические возможности этой системы заключаются в следующем: оптимизации прибыли и ассортимента выпускаемой продукции; определении цены на новую продукцию; просчете вариантов изменения производственной мощности предприятия и др. До недавнего времени в отечественной экономике этой системе не уделялось должного внимания. Переход на рыночные условия хозяйствования привел к необходимости по-новому расставить приоритеты.
В настоящее время эта система начинает широко использоваться в практике экономических расчетов.
В рассматриваемом методе «целевого ценообразования» фирма должна рассчитать, при каком уровне цены будут достигнуты объемы продаж, позволяющие возместить валовые издержки и получить целевую прибыль. Если известны постоянные затраты, цена единицы изделия, переменные затраты на единицу изделия, а также сумма расчетной (желаемой) суммы прибыли, то объем продаж определяется по следующей формуле:
Что понимается под ценой продукции?

где gпл объем продаж, обеспечивающий получение целевой прибыли;
Rпл плановая сумма прибыли;
Zс постоянные расходы на весь объем производства продукции;
ZV переменные расходы в расчете на единицу изделия;
Ц цена изделия.
На развитом рынке производитель свое положение обычно определяет спросом на продукцию, ее конкурентными качествами и рядом других показателей. В условиях переходной экономики ориентация предприятия в динамике спроса затруднена. Поэтому издержки становятся основополагающим фактором определения величины цены.
Предприятия включают в цены товаров и услуг затраты не только нынешнего, но и будущего периода, учитывая дальнейшее повышение цен на сырье, комплектующие изделия, рабочую силу. В результате в российской экономике устойчиво действует фактор затрат, а фактор спроса действует слабо. На динамику цен слабо влияет и конкуренция.
Поэтому наиболее сильнодействующими факторами ценообразования являются структура и уровень затрат, образующих нижний предел цены, индексируемый с учетом инфляционных ожиданий.
Для преодоления затратного характера ценообразования необходимо способствовать максимальному насыщению рынка товарами и капиталами, стимулировать накопления и инвестиции в промышленность.
На основе одного из вышерассмотренных методов предприятие определяет исходную цену на свою продукцию.
Окончательная цена изделия может корректироваться с учетом, например, каких-либо его уникальных, редких свойств, а также уровня обслуживания, особых гарантий покупателям и т.д.
Уровень цены изделия оказывает непосредственное влияние на финансовые результаты деятельности предприятия. Чем выше цена (при прочих равных условиях), тем больше сумма прибыли. Изменение прибыли от реализации продукции под влиянием изменения отпускных цен определяется следующим образом:
Что понимается под ценой продукции?

где Ц1 g1 реализация в отчетном году в ценах отчетного года (Ц цена изделия; g количество изделий);
Цo g1 реализация в отчетном году в ценах базисного года.
Выводы
В условиях рыночной экономики цена является одним из наиболее важных синтетических показателей, существенно влияющих на финансовое положение предприятия. Это объясняется тем, что от уровня цены зависят величина прибыли коммерческой организации, конкурентоспособность предприятия и его продукции. Цена является важнейшим инструментом внутрифирменного планирования и служит ориентиром принятия хозяйственных решений.
В условиях рынка сохраняется необходимость государственного регулирования ценообразования. Это объясняется необходимостью контроля за ценами отраслей и предприятий-монополистов, стремлением государства обеспечить социальную защиту населения.
Цена на продукцию зависит от многих факторов: спроса на продукцию, государственного регулирования цен, издержек, конкуренции и др.
Учет влияния всех факторов в комплексе позволит предприятиям выработать гибкую и эффективную политику ценообразования.
В первые годы перехода на рыночные отношения наиболее сильнодействующим фактором ценообразования в российской экономике был, и во многом остается сейчас, фактор затрат. Предприниматели стремились любое увеличение затрат переложить на покупателя. Но сейчас, по мере насыщения рынка и в условиях конкуренции, предприятиям все чаще, чтобы реализовать продукцию и обеспечить устойчивое финансовое положение, приходится изыскивать резервы по снижению издержек.
Контрольные вопросы
1. Что понимается под ценой продукции?
2. Какие факторы влияют на уровень цен?
3. Чем вызвана необходимость государственного регулирования ценообразования в рыночных условиях?
4. Каковы основные функции цены?
5. Какие вы знаете виды цен?
6. Каковы сущность и значение ценовой политики предприятия?
7. Каковы основные виды ценовых стратегий предприятия?
8. Какова структура цены предприятия, промышленности, розничной цены?
9. Какую роль в ценообразовании играет фактор издержек?
10. В чем отличие свободных и договорно-контрактных цен?
11. Каков порядок включения транспортных расходов в цену продукции?
12. Что понимается под эластичным и неэластичным спросом?



Единые (поясные) регулируемые цены


Единые (поясные) регулируемые цены устанавливаются на следующие виды продукции и услуг:
газ природный (кроме реализуемого населению и жилищно-строительным кооперативам);
продукция ядерно-топливного цикла;
электроэнергия и теплоэнергия, тарифы на которые регулируются Федеральной энергетической комиссией;
продукция оборонного производства;
драгоценные металлы и сплавы;
перевозки грузов, погрузочно-разгрузочные работы на железнодорожном транспорте;
перевозки пассажиров, багажа, грузоперевозок и почты на железнодорожном транспорте (кроме перевозок в пригородном сообщении) и др.
В компетенцию органов исполнительной власти субъектов РФ входит регулирование цен на следующие виды продукции и услуг:
газ природный, реализуемый населению и жилищным кооперативам;
электроэнергия и теплоэнергия, тарифы на которые регулируются региональными энергетическими комиссиями;
топливо твердое, топливо печное бытовое и керосин, реализуемые населению;
оплата населением жилья и коммунальных услуг и др.
В зависимости от метода включения транспортных расходов в цену товара выделяют:
цену «франко-склад поставщика»;
цену «франко-станция отправления»;
цену «франко-склад потребителя» и др.
Система франкирования показывает, до какого пункта по пути продвижения товара от продавца к покупателю продавец возмещает транспортные расходы; они соответственно включаются в цену товара.
Так, цена «франко-склад поставщика» означает, что все расходы по доставке продукции несет покупатель. В цену «франко-станция отправления» продавец включает расходы по доставке продукции на станцию отправления. Цена «франко-склад потребителя» означает, что все расходы по доставке продукции оплачивает поставщик.
По времени действия цены подразделяются на:
твердые (постоянные), которые не меняются в течение всего срока действия контракта;
текущие, меняющиеся в рамках одного контракта и отражающие изменение ситуации на рынке;
сезонные, действующие в пределах определенного периода времени;
скользящие, устанавливаемые на изделия с длительным сроком изготовления. Эти цены позволяют учитывать изменения в издержках производства за период времени, необходимый для их изготовления.
В классификации цен отдельно выделяются цены, используемые в статистике:
текущие;
средние;
сопоставимые;
неизменные.
Статистические цены являются обобщенными, агрегированными. Они позволяют анализировать и выявлять тенденции в динамике цен, устанавливать изменения в динамике физических объемов производства и реализации товаров, а также осуществлять анализ стоимостных показателей.
14.3. ФАКТОРЫ, ВЛИЯЮЩИЕ НА УРОВЕНЬ ЦЕН Для выработки эффективной ценовой политики фирмы необходим всесторонний анализ факторов, влияющих на уровень цен. Основными из них являются:
спрос на продукцию;
государственное регулирование цен;
издержки по производству и реализации продукции;
конкуренция;
другие факторы.
Значительное влияние на цену товара оказывает спрос. Чем выше цена товара, тем меньше предлагаемых по этой цене изделий могут приобрести покупатели. Зависимость между ценой товара и спросом на него описывается кривой спроса, показанной на 14.1.
Кривая спроса показывает обратно пропорциональную зависимость между ценой товара и спросом на него.
Единые (поясные) регулируемые цены

14.1. Кривая спроса
Единые (поясные) регулируемые цены

14.2. Кривая предложения
Единые (поясные) регулируемые цены

14.3. Равновесная цена
Если при росте цен кривая спроса падает, то кривая предложения, наоборот, возрастает. Это объясняется тем, что повышение цены заинтересовывает производителей в увеличении объемов продаж. Зависимость между ценой товара и его предложением показана на 14.2.
Цена, при которой спрос и предложение равны, называется равновесной ценой. Это именно та цена, по которой товар будет продан ( 14.3).
В действительности соотношение спроса и предложения постоянно меняется в результате воздействия на них различных факторов.
Для количественного измерения колебаний спроса и предложения под воздействием различных факторов используется понятие эластичности. Эластичность дает представление о том, в какой степени изменение цены воздействует на уровень спроса.
Степень ценовой эластичности измеряется на основе коэффициента эластичности (Кэ):
Единые (поясные) регулируемые цены

где Q 1 объем продаж по прежним ценам;
Q2 объем продаж по новым ценам;
Р1 прежняя цена изделия;
Р2 новая цена изделия.
Спрос на различные товары может быть как эластичным, так и неэластичным. При эластичном спросе (незначительном изменении цены и значительном изменении спроса) значение коэффициента эластичности больше единицы. И наоборот, при неэластичном спросе, когда изменение цены не вызывает больших отклонений в спросе на данный товар, коэффициент эластичности менее единицы.
К товарам неэластичного спроса относятся, например, товары повседневного спроса, относительно недорогие товары и др.
Определенную роль в ценообразовании играет государство, осуществляя регулирующую функцию. В условиях несовершенного рынка возникающая равновесная цена не способствует оптимальному состоянию и стабильности в обществе. Поэтому государство путем установления регулируемых цен целенаправленно создает новые условия равновесия. Но при этом необходимо учитывать следующие моменты:
во-первых, устанавливаемая государством цена не может достаточно быстро меняться под влиянием изменений спроса и предложения, поэтому может возникать дефицит или затоваривание продукции, не находящей сбыта;
во-вторых, полный отказ государства от вмешательства в процесс ценообразования лишает общество возможности воздействовать на уровень цен отраслей и предприятий-монополистов, а также лишает население социальной поддержки, особенно его малообеспеченных слоев.
Поэтому в условиях рынка, особенно в переходный период, необходимость государственного регулирования ценообразования усиливается. Это подтверждается данными табл. 14.1.
Таблица 14.1
Темны прироста цен и тарифов на продукцию естественных монополий (август 1996 г. к декабрю 1995 г., %)*

Электроэнергетика
Газ естественный природный (без транспортировки)
Грузовой железнодорожный транспорт
Услуги связи для юридических лиц
26,4
28,9

20,5

38,7
Справочно: промышленность
18,3

* Цены и рынок: Справочно-информационный сборник Науч.-исслед. ин-та цен Минэкономики РФ. ТОО «Витал», 1996.

По данным таблицы, прирост цен (тарифов) на продукцию (услуги) естественных монополий значительно выше, чем в промышленности. В результате доля прибыли естественных монополий в общей прибыли по России увеличилась за первое полугодие 1996 г. с 20,1 до 39,8%, т.е. почти в два раза. Приведенные данные подтверждают необходимость совершенствования действующего порядка регулирования цен и тарифов в отраслях естественных монополий.
Прежде всего это касается законодательной и нормативно-методологической базы, конкретных методов установления цен и тарифов, а также контроля за их уровнем и обоснованностью включаемых в них затрат.
Основу цены изделия составляют издержки, связанные с его производством и реализацией, поэтому их размер во многом определяет уровень цены. Например, в промышленности доля себестоимости в отпускной цене предприятия (без налога на добавленную стоимость и акцизов) составляет 83,8%, на железнодорожном транспорте 85,6%.
В состав издержек входят затраты как зависящие, так и не зависящие от деятельности предприятия. Например, стоимость сырья, материалов, топлива, энергии, транспортные тарифы факторы, внешние по отношению к предприятию. Поэтому увеличение этих затрат вызывает рост цены товара.
Другая группа затрат уровень использования сырья и материалов, степень загрузки производственных мощностей, производительность труда и другие непосредственно зависит от уровня их организации на предприятии. Поэтому фирма в зависимости от прочности своего положения на рынке может маневрировать ценами. Если положение фирмы недостаточно устойчивое и повышение цен на продукцию нежелательно, то удорожание, например, по сырью можно компенсировать в определенной степени снижением норм расхода сырья, использованием вторичных ресурсов и т.д.
Если же положение фирмы достаточно устойчивое, в этом случае увеличение издержек может быть перенесено на цену товара.
На уровень цен оказывает влияние конкуренция, которая подталкивает фирмы к совершенствованию своей продукции, детальному обоснованию цены на нее. При этом фирма может ориентироваться или на рынок продавца, или на рынок покупателя. На рынке продавца доминирующее положение занимает продавец производитель товара. В таких условиях фирме легче функционировать, поскольку ее продукция находится вне конкуренции.
На рынке покупателя доминирующее положение занимает покупатель. И от того, насколько фирма сумеет учесть меняющиеся запросы покупателя и вовремя удовлетворить их, зависит ее благополучие.
На уровень цен оказывает влияние и ряд других факторов, например стадия жизненного цикла изделия, организации-участники продвижения товара от производителя к потребителю и др. Учет влияния всех факторов в комплексе позволит фирме выработать правильную политику ценообразования.
14.4. ЦЕНОВАЯ ПОЛИТИКА НА ПРЕДПРИЯТИИ В условиях рыночной экономики цена является одним из наиболее важных синтетических показателей, существенно влияющих на финансовое положение предприятия.



Финансовый план


Натуральные и стоимостные показатели: плановый выпуск продукции. В производственной программе этот показатель указывается как в стоимостном, так и в натуральном выражении. Натуральные измерители зависят от специфики выпускаемой продукции, поэтому она может быть указана в погонных метрах, м3, штуках, кг, т, секциях и других единицах, а также в условных.
Объем реализуемой и товарной продукции показывается в действующих оптовых ценах предприятия, в сопоставимых ценах и в оптовых ценах отчетного периода.
Продукция, отправляемая на экспорт, показывается в конвертируемой инвалюте с последующим пересчетом в рубли в соответствии с действующим курсом. Такая стоимостная оценка необходима не только для планирования производственной программы, но и для анализа ее выполнения.
Финансовый план является, по сути, заключительным разделом плана экономического и социального развития предприятия, так как в нем отражаются конечные финансовые результаты хозяйственной деятельности предприятия.
Финансовый план состоит из двух разделов:
I. Доходы и поступления средств; II. Расходы и отчисления средств.
Раздел I содержит такие показатели:
1. Прибыль от реализации продукции, работ, услуг.
2. Прибыль от прочей реализации (основных средств, других активов).
3. Планируемые внереализационные доходы, в том числе:
доходы от долевого участия в уставном капитале других предприятий;
доходы, полученные по ценным бумагам;
доходы от хранения денежных средств на депозитных счетах в банках и других финансово-кредитных учреждениях, доходы от сдачи имущества в аренду.
4. Амортизационные отчисления на полное восстановление основных фондов и по нематериальным активам.
5. Поступление средств от других предприятий, в том числе:
в порядке долевого участия в строительстве;
по хоздоговорам на научно-исследовательские работы.
6. Поступления из внебюджетных фондов.
7. Прочие доходы.
Раздел II содержит показатели:
1. Налоги, уплачиваемые из прибыли (по видам налогов).
2. Распределение чистой прибыли, в том числе:
на накопление (по направлениям использования);
на потребление (по направлениям использования).
3. Долгосрочные инвестиции (по формам инвестиций), в том числе: за счет амортизационных отчислений; за счет других источников финансирования (по видам источников).
4. Прочие расходы.
В финансовом плане акционерного общества в доходной части необходимо выделить средства, мобилизуемые посредством размещения ценных бумаг, а также расходные статьи, отражающие отчисления прибыли в резервный фонд и выплату доходов по акциям и облигациям.
На многих отечественных предприятиях параллельно разрабатывают как план экономического и социального развития, так и бизнес-планы.
Бизнес-планы в этом случае разрабатываются для экономического обоснования выпуска новой продукции, внедрения новой техники и других нововведений. И если бизнес-планы одобрены и приняты к реализации, то в этом случае это должно быть отражено в плане экономического и социального развития предприятия.
Бизнес-план это документ, описывающий все основные аспекты будущего коммерческого мероприятия, анализирующий проблемы, с которыми может столкнуться фирма, и способы их решения.
Бизнес-план позволяет: всесторонне обосновать тот или иной проект или мероприятие; разработать стратегию и тактику поведения для достижения цели; определить финансовые результаты от реализации проекта или мероприятия.
Правильно составленный бизнес-план в конечном счете отвечает на вопрос: стоит ли вообще браться за то или иное дело?
Бизнес-план это не только внутрифирменный документ, но и внешний. Он может сыграть важную роль для получения кредита и иностранных инвестиций. Получить иностранные инвестиции без наличия бизнес-плана практически невозможно.
Составление бизнес-плана требует личного участия руководителя фирмы с привлечением консультантов со стороны.
Какова структура бизнес-плана?
Бизнес-план начинается с конца, т.е. с резюме, которое открывает бизнес-план, но составляется в самом конце работы над ним. Объем резюме не должен превышать 34 машинописных страниц, а само изложение должно быть простым, лаконичным и доступным для любого инвестора. Максимальное внимание, должно быть уделено разъяснению назначения товара, источников финансирования, чем будущий товар будет отличаться от продукции конкурентов и почему покупатели захотят приобрести именно его.
Последняя страница резюме должна быть посвящена финансовым результатам, ожидаемым от проекта. После этого излагаются основные разделы бизнес-плана. Перечислим основные из них:
в первом разделе, как правило, описываются товар или услуга, ради производства которых задумывался весь проект;
во втором оценивается рынок сбыта товаров;
в третьем анализируется информация о своих возможных конкурентах: их товар, качество продукции, примерные цены и условия продажи.
в четвертом рассматривается план маркетинга. Этот план, кстати, представляет собой самостоятельный, чрезвычайно важный документ для внутрифирменного пользования. К основным элементам плана маркетинга относятся: схема распространения товаров, ценообразование, реклама, методы стимулирования продаж, организация послепродажного обслуживания клиентов (для технических товаров), формирование общественного мнения о фирме и товарах;
в пятом рассматривается план производства. Главная задача здесь доказать, что фирма в состоянии производить нужное количество товаров требуемого качества;
в шестом рассматривается организация: надо указать, с кем будет организовано дело и как планируется наладить работу персонала;
в седьмом рассматриваются правовые аспекты фирмы, в частности организационно-правовые формы хозяйствования;
в восьмом освещаются оценка, прогнозирование и управление разного рода рисками, т.е. что нужно сделать, чтобы эти риски свести к минимуму;
в девятом рассматривается финансовый план, который как бы обобщает все предыдущие разделы и представляет их в стоимостном выражении (прогноз объемов реализации, баланс денежных расходов и поступлений, таблица доходов и затрат, баланс активов и пассивов предприятия, график достижения безубыточности);
в десятом разделе, который называют «стратегия финансирования», определяются средства, необходимые для финансирования проекта, источники их получения, срок окупаемости затрат.
Такова примерная структура бизнес-плана, которая излагается во многих отечественных учебниках.
Контрольные вопросы
1. Почему возрастает роль прогнозирования и планирования на предприятии в условиях рыночных отношений?
2. Какова сущность основных принципов планирования?
3. Какие вы знаете методы планирования и в чем заключается их сущность?
4. Из каких разделов состоит план экономического и социального развития предприятия и каково их примерное содержание?
5. Что такое бизнес-план и в каких случаях он разрабатывается на предприятии?
6. Каковы сущность производственной программы предприятия и основные принципы ее разработки?
7. Что собой представляет финансовый план предприятия?



Форма коллективного предпринимательства.


во главе предприятия стоит единоличный руководитель, который назначается собственником либо уполномоченным им органом и им подотчетен.
Унитарными предприятиями в зависимости от того, кому принадлежит собственность, могут быть государственные или муниципальные.
В зависимости от того, какие права предоставляет учредитель, унитарные предприятия подразделяются на две категории:
унитарные предприятия, основанные на праве хозяйственного ведения;
унитарные предприятия, основанные на праве оперативного управления.
Право хозяйственного ведения и право оперативного управления составляют особую разновидность вещных прав, не известную странам с классической рыночной экономикой. Они призваны оформить имущественную базу для самостоятельного участия в гражданских правоотношениях юридических лиц несобственников.
В соответствии с ГК право хозяйственного ведения это право государственного или муниципального предприятия владеть, пользоваться и распоряжаться имуществом собственника в пределах, установленных законом или иными правовыми актами.
Право оперативного управления в соответствии с ГК это право учреждения или казенного предприятия владеть, пользоваться и распоряжаться закрепленным за ним имуществом собственника в пределах, установленных законом, в соответствии с целями его деятельности, заданиями собственника и назначением имущества.
Различия прав хозяйственного ведения и оперативного управления состоят в содержании и «объеме» правомочий, которые они получают от собственника на закрепленное за ними имущество. Право хозяйственного ведения шире права оперативного управления, т.е. предприятие, функционирующее на основе права хозяйственного ведения, имеет большую самостоятельность в управлении, чем предприятие, основанное на праве оперативного управления. Учредители унитарных предприятий, основанных на праве хозяйственного ведения, не отвечают по обязательствам предприятия, за исключением случаев, когда в банкротстве предприятия виноват сам учредитель. При несостоятельности же казенных предприятий Российская Федерация несет субсидиарную ответственность по обязательствам этого предприятия при недостаточности его имущества как учредителя.
Из этого вытекает, что унитарное предприятие, основанное на праве оперативного управления, в принципе не может быть банкротом.
Производственные кооперативы. В ГК РФ дается следующее определение понятия производственного кооператива.
Производственным кооперативом (артелью) признается добровольное объединение граждан на основе членства для совместной производственной или иной хозяйственной деятельности (производство, переработка, сбыт промышленной, сельскохозяйственной и иной продукции, выполнение работ, торговля, бытовое обслуживание, оказание других услуг), связанной на их личном трудовом и ином участии и объединении его членами (участниками) имущественных паевых взносов.
Фирменное наименование кооператива должно содержать его наименование и слова «производственный кооператив» или «артель».
Учредительным документом производственного кооператива является его устав, утвержденный общим собранием его членов. Число членов кооператива должно быть не менее 5 человек. Имущество, находящееся в собственности производственного кооператива, делится на паи его членов в соответствии с уставом кооператива. Прибыль кооператива распределяется между его членами в соответствии с их трудовым участием, если иной порядок не предусмотрен законом и уставом кооператива.
В таком же порядке распределяется имущество, оставшееся после ликвидации кооператива и удовлетворения требований его кредиторов.
Высшим органом управления кооператива является общее собрание его членов. К исключительной компетенции общего собрания членов кооператива относятся:
изменение устава кооператива;
образование наблюдательного совета и прекращение полномочий его членов, а также образование и прекращение полномочий исполнительных органов кооператива, если это право по уставу не принадлежит его наблюдательному совету;
прием и исключение членов кооператива;
утверждение годовых отчетов и бухгалтерских балансов кооператива и распределение его прибыли и убытков;
решение о реорганизации и ликвидации кооператива.
Член кооператива имеет один голос при принятии решений общим собранием. Он вправе по своему усмотрению выйти из кооператива. В этом случае ему должна быть выплачена стоимость пая или выделено имущество, соответствующее его паю, а также осуществлены другие выплаты, предусмотренные уставом кооператива.
Производственный кооператив может быть добровольно реорганизован в хозяйственное товарищество или общество по единогласному решению его членов или ликвидирован.
Производственный кооператив отличается от товариществ и от обществ. Это отличие заключается прежде всего в следующем.
Во-первых, производственный кооператив основан на добровольном объединении физических лиц граждан, не являющихся индивидуальными предпринимателями, но участвующих в деятельности кооператива личным трудом. Соответственно этому каждый член кооператива имеет один голос в управлении его делами независимо от размеров своего имущественного вклада.
Во-вторых, полученная в кооперативе прибыль распределяется с учетом их трудового участия, а не имущественного вклада (пая). Именно поэтому производственный кооператив охарактеризован в ГК как артель.
В-третьих, ГК дополнил эту классическую конструкцию кооператива артели двумя важными положениями. Члены кооператива несут дополнительную ответственность по его долгам, хотя и не всем своим имуществом, а в заранее определенном в уставе размере (что в какой-то мере сближает его с обществом с дополнительной ответственностью). Обычно этот размер является кратным по отношению к паевому взносу или долевому участию члена кооператива, но не может быть ниже предусмотренного законом минимума.
Членство в кооперативе возможно как для юридических, так и физических лиц, не участвующих непосредственно в его деятельности, но осуществляющих определенные имущественные вклады и соответственно получающих на них известный доход.
Имеются и другие отличительные особенности кооператива от других организационно-правовых форм хозяйствования. Так, ГК предусматривает обязательный минимум членов кооператива не менее 5, ибо в отличие от обществ кооператив не может функционировать в качестве «компании одного лица». В кооперативе имеется возможность создания неделимых фондов (или фонда), имущество которых может быть поделено между участниками в случае ликвидации кооператива после удовлетворения претензий всех его кредиторов.
На это имущество не может быть обращено взыскание кредиторов по личным долгам членов кооператива.
Важной особенностью кооператива является и то обстоятельство, что с учетом трудового участия здесь обычно делится не только прибыль, но и ликвидационная квота.
Преимущества производственного кооператива:
прибыль кооператива распределяется между его членами не пропорционально их паям, а в соответствии с их трудовым вкладом. В таком же порядке распределяется имущество, оставшееся после ликвидации кооператива и удовлетворения требований его кредиторов. Такой порядок распределения материально заинтересовывает каждого члена кооператива более добросовестно относиться к своему труду;
законодательством не ограничивается число членов кооператива, что предоставляет большие возможности для физических лиц для вступления в кооператив;
равные права всех членов в управлении кооперативом, так как каждый из них имеет только один голос.
Недостатки заключаются в том, что число членов в кооперативе должно быть не менее 5 человек, а это существенно ограничивает возможности их создания. Каждый член кооператива несет ограниченную субсидиарную ответственность по долгам кооператива.
ХОЗЯЙСТВЕННЫЕ ТОВАРИЩЕСТВА И ОБЩЕСТВА. Это наиболее распространенная форма коллективного предпринимательства.
Согласно ГК хозяйственными товариществами и обществами признаются коммерческие организации с разделенным на доли (вклады) учредителей (участников) уставным (складочным) капиталом.
Хозяйственные товарищества и общества имеют не только общие черты, но и различия.
К общим чертам можно отнести следующие:
имущество, созданное за счет вкладов учредителей, а также произведенное и приобретенное хозяйственными товариществами или обществом в процессе его деятельности, принадлежит ему на праве собственности;
все они являются коммерческими организациями, обладающими общей правоспособностью;
общества и товарищества как юридические лица могут быть участниками других обществ и товариществ;
поскольку общества и товарищества являются собственниками своего имущества, их учредители по отношению к обществу имеют лишь право обязательственного характера, но не вещное право на его имущество.
Хозяйственные товарищества и общества близки по своей организационно-правовой форме хозяйствования, что дает возможность преобразования одного вида в другой. Но между ними имеются и существенные различия. Основное различие заключается в том, что товарищество это объединение лиц, тогда как общество является объединениями капиталов.



Формирование имиджа предприятия.


Если потребительная стоимость это полезность товара вообще, то качество продукции это степень проявления потребительной стоимости в конкретных условиях ее использования. Качество не только неразрывно связано с потребительной стоимостью, но и неотделимо от нее, однако нетождественно ей. Качество характеризует одно или одновременно несколько свойств потребительной стоимости, связанных с удовлетворением общественной потребности.
Потребительная же стоимость является более широким понятием и охватывает всю совокупность свойств, в том числе и не связанных с удовлетворением той или иной потребности. Качество характеризует степень общественной полезности потребительной стоимости, меру пригодности для удовлетворения конкретной потребности. Качество продукции как экономическая категория тесно связано и в значительной степени формирует такие экономические показатели работы предприятия, как себестоимость, цена, прибыль, рентабельность и др.
Значение повышения качества продукции необходимо рассматривать как на макро-, так и на микроуровне, т.е. на уровне предприятия.
Повышение качества на макроуровне позволяет:
увеличить экспорт товаров и услуг;
улучшить структуру экспорта;
осуществить на практике ускорение НТП;
повысить эффективность общественного производства, так как улучшение качества продукции в конечном итоге ведет к улучшению использования средств и предметов труда, рабочей силы и финансовых ресурсов;
повысить благосостояние народа, так как с улучшением качества продукции увеличивается реальная заработная плата;
повысить престиж государства со всеми вытекающими отсюда последствиями;
воспитывать граждан в духе прекрасного и многое другое.
Таким образом, высокий уровень качества продукции для государства означает ускорение НТП, повышение эффективности общественного производства и экспорта, могущество и процветание. Поэтому государство должно проводить политику, направленную на повышение и поддержание высокого качества выпускаемой продукции, и для этого должны быть задействованы все государственные рычаги, в первую очередь правовые основы.
Качество продукции относится к числу наиважнейших показателей деятельности предприятий любой формы собственности.
Для предприятия в условиях рыночных отношений постоянный выпуск качественной продукции означает очень многое. Прежде всего это формирование имиджа предприятия.
Имидж высокого уровня это известность и популярность, устойчивое позитивное отношение покупателей к фирме, ее товарам, услугам и атрибутам фирменного стиля товарному знаку, средствам рекламы и др. В условиях рынка и конкуренции, если фирма имеет товар высокого качества, пользующийся устойчивым спросом, она имеет все, и наоборот.
Таким образом, решение проблемы качества продукции на предприятии это высокий его имидж у покупателей, это выход не только на внутренний, но и на внешний рынок, это основа для получения максимальной прибыли и устойчивого финансового положения предприятия.
7.2. СИСТЕМА ПОКАЗАТЕЛЕЙ КАЧЕСТВА ПРОДУКЦИИ Уровень качества продукции определяется на основе системы показателей ее качества. Для определения этого уровня необходимо знать численное значение каждого из этих показателей и сравнить с аналогичными показателями продукции, принятой в качестве базовой для сравнения.
Под определением показателя качества подразумевается нахождение его численного значения. Для этого на практике в зависимости от специфики продукции применяются следующие методы:
измерительный метод (при помощи инструментов, приборов);
регистрационный метод, который основан на регистрации и подсчете: числа определенных событий (например, отказов при испытаниях) или предметов (например, стандартизованных, унифицированных, оригинальных, защищенных патентами). Регистрационным методом могут определяться такие показатели, как безотказность, патенто-правовые, стандартизация, унификация;
вычислительный метод основывается на применении специальных математических моделей для определения показателя качества продукции;
органолептический метод предусматривает анализ восприятия человеческих органов чувств зрения, слуха, обоняния, вкуса, осязания. Точность и достоверность найденных значений зависят от квалификации, навыков и способности лиц, их определяющих;
социологический метод осуществляется на основе сбора и анализа мнений о продукции ее фактических или возможных потребителей;
экспертный метод реализуется группой специалистов, например дизайнеров, дегустаторов.
На практике для оценки уровня качества продукции используется система показателей, которая включает в себя обобщающие и единичные показатели качества продукции.
Обобщающие показатели качества характеризуют уровень качества продукции в целом по отрасли или предприятию. К этим показателям относятся: сортность, марка, класс, содержание полезного вещества, доля продукции, соответствующая мировым стандартам, и др.
Единичные показатели очень разнообразны и зависят от специфики той или иной продукции. Их можно объединить в две большие группы: единичные показатели предметов труда и единичные показатели средств труда.
Единичные показатели предметов труда более разнообразны и специфичны и зависят от сущности предмета труда. Например, железорудное сырье характеризуют такие показатели, как содержание железа, влажность, крупность, основность, содержание вредных и полезных примесей и др.
О качестве той или иной ткани можно судить по таким показателям, как прочность, расцветка, гигроскопичность, несминаемость и др.
Индивидуальные показатели средств труда, несмотря на их многообразие, можно объединить в следующие группы: технологические, эксплуатационные, эргономические и эстетические, патентно-правовые, экономические, каждая из которых характеризует качество средств труда с определенной стороны.
Показатели технологичности имеют большое значение при организации производства, эксплуатации и ремонте изделия. Технологичность конструкций продукции машиностроения оценивается многими единичными и комплексными показателями. К их числу относятся показатели сборности (блочности) изделия, трудоемкость и материалоемкость изделия, показатели степени использования прогрессивных и экономичных материалов, показатели унификации и стандартизации изделия и др.
Эксплуатационные показатели характеризуют средства труда в процессе их эксплуатации. Основными из них являются: производительность, мощность, показатели надежности, скорость, расход ТЭР и др.
Надежность продукции является одним из важнейших показателей качества продукций и означает способность сохранения в заданном отрезке времени всех ее потребительских свойств.
К наиболее важным единичным показателям надежности относится средняя наработка на отказ (То), которая определяется (по ГОСТ 27002-89) как отношение суммарной наработки восстанавливаемого объекта к математическому ожиданию числа его отказов в течение этой наработки.
Другим, не менее важным единичным показателем надежности является среднее время восстановления (tВОС), под которым понимается математическое ожидание времени восстановления работоспособного состояния объекта после его остановки.
Математически показатель надежности (Кн) можно выразить следующим образом:
Формирование имиджа предприятия.

Физически Кн показывает ожидаемое отношение работоспособного состояния объекта к его сроку службы.
Наиболее характерным единичным показателем, значение которого указывается в паспортных данных на продукцию, является гарантированное время работы до первого ремонта (Tгap). Это наиболее объективный показатель, так как его невыгодно произвольно завышать (возрастают убытки производителя продукции при гарантированном обслуживании малонадежной продукции) и произвольно занижать (замалчиваются достижения производителя в части фактического обеспечения надежности). Таким образом, гарантированное время работы должно автоматически поддерживаться на оптимальном фактическом уровне, обеспечивающем рекламу и прибыль производителю продукции.
Другим единичным показателем, особенно важным с точки зрения потребителей, является среднее время ремонта (tpем), под которым понимается то время, когда потребитель лишен возможности пользоваться продукцией из-за ее ремонта. Сокращение этого времени является составной частью конкурентоспособности продукции.
Таким образом, показатель надежности по этому критерию будет выглядеть следующим образом:
Формирование имиджа предприятия.

Эргономические показатели делятся на четыре основные группы: гигиенические (освещенность, температура, влажность, давление и т.п.); антропометрические (соответствие конструкции изделия размерам тела человека и его отдельных частей, соответствие конструкции изделия распределению массы тела человека и т.п.); физиологические и психофизические (соответствие конструкции изделия силовым, скоростным, слуховым, зрительным, психофизическим особенностям человека); психологические (соответствие изделия возможностям восприятия и переработки информации, соответствие закрепленным и вновь формируемым навыкам человека при пользовании изделием).
Эстетические показатели включают выразительность, оригинальность внешнего вида, гармоничность, целостность, соответствие среде, стилю и др.



Геологическая и технологическая оценки.


Используемые промышленностью полезные ископаемые принято подразделять на следующие три группы:
I. Горючие ископаемые (уголь, горючие сланцы, торф, нефть, природный газ).
II. Минеральные полезные ископаемые (черные, цветные, благородные и редкие металлы).
III. Неметаллические полезные ископаемые (сырье для химической промышленности, строительные материалы, неметаллическое сырье для черной металлургии).
С экономической точки зрения всякое месторождение характеризуется прежде всего качеством полезного ископаемого и его количественными запасами.
По степени разведанности и изученности запасы месторождений полезных ископаемых делятся на три категории:
Геологическая и технологическая оценки.

Запасы категории А это вполне изученные, разведанные и подготовленные к добыче, они предназначены для эксплуатационных работ предприятий, а также для проектирования и строительства предприятий.
Запасы категории В это геологически обоснованные, относительно разведанные и оконтуренные горными выработками и буровыми скважинами. Они могут быть взяты за основу для обоснования проектирования капитального строительства горных предприятий.
Запасы категории С менее изучены, требуют уточнения при помощи детальных геологоразведочных работ, используются они для перспективного планирования развития горной промышленности и геологоразведочных работ.
Кроме того, запасы месторождений полезных ископаемых делятся на две группы: геологические и промышленные. В свою очередь, геологические запасы делятся на балансовое и забалансовые.
Балансовые запасы, которые при данном уровне развития науки и техники могут быть извлечены из недр земли с достаточной эффективностью.
Забалансовые запасы, которые на данном этапе с экономической точки зрения нецелесообразно извлекать из недр земли. С развитием науки и техники, с появлением новых, более прогрессивных технологий, забалансовые запасы могут быть переведены в категорию балансовых.
Промышленные запасы это балансовые запасы за вычетом эксплуатационных или проектных потерь. Чем меньше эксплуатационные потери, тем больше может быть извлечено балансовых запасов, тем рациональнее используются месторождения полезных ископаемых.
Месторождения какого-либо полезного ископаемого имеют различное экономическое значение. Для выявления лучшего проводится их экономическая оценка. Ей предшествуют геологическая и технологическая оценки.
Геологическая оценка включает общие сведения о месторождении, геологическую характеристику района и геологическое строение месторождения.
На основе геологической оценки определяются: геологические запасы; качество полезного ископаемого; горно-геологические условия залегания месторождения; глубина разработки; мощность пласта и др.
Технологическая оценка призвана установить технологическую возможность разработки месторождения, возможные масштабы добычи, способ вскрытия, подготовки и др.
Экономическая оценка месторождений производится на основе данных геологической и технологической оценок и определяет при эксплуатации того или иного месторождения следующие показатели:
общие и удельные капитальные вложения;
затраты на добычу, обогащение и реализацию продукции;
индекс доходности;
производительность труда;
прибыль и рентабельность;
срок окупаемости;
чистый дисконтированный доход.
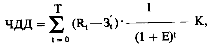
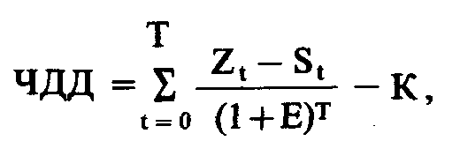
Чистый дисконтированный доход (ЧДД) определяется по формуле
Геологическая и технологическая оценки.

где Zt ценность всей полученной и реализованной продукции, включая все попутно извлекаемые компоненты, на t-м шаге эксплуатации месторождения;
St издержки на добычу, обогащение и реализацию продукции на t-м шаге эксплуатации месторождения;
К дисконтированная величина необходимых капитальных вложений в разработку месторождения.
Геологическая и технологическая оценки.

где Кt капитальные вложения, необходимые на t-м шаге эксплуатации месторождения;
Е ставка дисконта;
Т период эксплуатации месторождения.
Если ЧДД 0, то экономически целесообразна разработка месторождения. Чем больше величина ЧДД, тем выше экономическая оценка месторождения. При ее определении учитываются и такие показатели, как срок окупаемости, индекс доходности, внутренняя норма рентабельности и др.
На основе сопоставления всех этих показателей ранжируются месторождения полезных ископаемых по их экономической значимости для экономики России.
10.4. ТОПЛИВНО-ЭНЕРГЕТИЧЕСКИЙ БАЛАНС, ЕГО СУЩНОСТЬ, СТРУКТУРА И ПУТИ СОВЕРШЕНСТВОВАНИЯ Под топливно-энергетическим балансом понимаются комплексная характеристика и взаимная увязка получения и использования в народном хозяйстве и быту топливно-энергетических ресурсов и всех произведенных из них видов энергии (электроэнергии, тепла и т.п.).
Различают топливный баланс, в котором отражаются все виды топлива, и топливно-энергетический баланс, в котором наряду с топливом учитывается вся произведенная и использованная энергия (электроэнергия, энергия сжатого воздуха и др.).
Как любой материальный баланс, топливно-энергетический баланс оформляется в виде таблицы, состоящей из двух равных частей: в левой части (ресурсы) отражаются производство (добыча) топлива, выработка электроэнергии, выработка атомной и геотермальной электроэнергии, импорт, прочие поступления и остаток на начало года; в правой части (распределение) показываются общий расход, в том числе на выработку электроэнергии, теплоэнергии и сжатого воздуха, на производственно-технические и прочие нужды; экспорт и остаток на конец года.
Топливный и топливно-энергетический балансы не только дают общее представление о размерах производства и потребления топлива и энергии в стране, но и показывают, какой бассейн или район, в каком количестве, какого вида и сорта топлива может добыть в планируемом периоде. Они разрабатываются как в натуральных единицах (т, м, кВтч), так и в условных.
Каждый вид топлива имеет различную теплоту сгорания от 2000 ккал/кг и выше.
Для целей планирования производства и потребления при подсчете энергетических ресурсов введено понятие условного топлива с теплотой сгорания 7000 ккал/кг.
Тепловой эквивалент любого топлива определяется по формуле
Геологическая и технологическая оценки.

где Q теплота сгорания какого-либо топлива.
Топливно-энергетический баланс разрабатывается для различных уровней: народного хозяйства в целом, республики или области, города или района.
Он может быть составлен двумя способами: на основе использования удельных норм расхода топлива и методом теплового баланса. На практике наибольшее распространение получил первый метод.
Под структурой топливно-энергетического баланса понимаются состав топлива и энергии, включаемых в баланс, и их доля в общем объеме производства и потребления. От структуры топливно-энергетического баланса в значительной мере зависят экономика страны и эффективность производства. Это связано с тем, что различные виды топлива и энергии существенно отличаются друг от друга по своей экономичности.
Считается, что природный газ самый экономичный вид котельно-печного топлива. Если газ приравнять к 1, то использование угля дороже в 2,53 раза, мазута на 3540%, сланцев в 3,54 раза.
Себестоимость выработки 1 кВтч электроэнергии на ГЭС, ТЭЦ и АЭС различна. Пока самая дешевая электроэнергия вырабатывается на ГЭС, затем на АЭС и самая дорогая электроэнергия на ТЭЦ.
В развитых странах уже давно сделан основной упор на развитие атомной электроэнергетики. Доля электроэнергии, вырабатываемой на АЭС в этих странах, составляет до 60 75% общего объема ее производства и потребления, а в России всего 1112%.
При развитии атомной электроэнергетики необходимо учитывать и транспортный фактор по сравнению с выработкой электроэнергии на ТЭЦ. Например, 1 кг урана заменяет 2,63 млн т угля. Отсюда можно судить, какая экономия достигается на транспортных расходах и подвижном составе. То, что атомные электростанции более экономичны по сравнению с тепловыми, уже давно доказано, проблема заключается в обеспечении безопасности атомной электроэнергетики.
Поэтому совершенствование структуры топливно-энергетического баланса имеет большое значение для экономики страны, экономического района, области или города.
Основные направления совершенствования топливно-энергетического баланса:
увеличение доли природного газа в топливном балансе страны;
развитие атомной электроэнергетики;
более широкое применение открытого способа добычи угля как более прогрессивного по сравнению с подземным, что позволит снизить затраты на его добычу;
более глубокая технологическая переработка нефти, что позволит обеспечить химическую промышленность в необходимом количестве прогрессивным сырьем.
В конечном итоге реализация этих направлений позволит улучшить структуру топливно-энергетического баланса, а следовательно, удовлетворить потребности народного хозяйства и быта в топливе и энергии с меньшими затратами.
Разработка топливного и топливно-энергетического баланса необходима для:
изучения современной структуры производства и потребления топлива и энергии;
определения соответствия потребностей в топливе и энергии их ресурсам;
анализа структуры топливно-энергетического баланса с целью ее совершенствования;
определения необходимых капитальных вложений для развития топливно-энергетического комплекса страны;



СЫРЬЕВЫЕ И ТОПЛИВНО-ЭНЕРГЕТИЧЕСКИЕ РЕСУРСЫ


9.1. СУЩНОСТЬ И ЗНАЧЕНИЕ ОСНОВНЫХ СРЕДСТВ (ФОНДОВ), ИХ СОСТАВ И СТРУКТУРА Основные фонды являются наиболее значимой составной частью имущества предприятия и его внеоборотных активов.
Основные средства это основные фонды, выраженные в стоимостном измерении.
Основные средства это средства труда, которые неоднократно участвуют в производственном процессе, сохраняя при этом свою натуральную форму, а их стоимость переносится на производимую продукцию частями по мере снашивания.
К ним относятся средства труда со сроком службы более одного года и стоимостью более 100 ММЗП (с 1997 г.) за единицу (ММЗП минимальная месячная заработная плата).
Для учета, оценки и анализа основные средства (фонды) классифицируются по ряду признаков ( 9.1).
По принципу вещественно-натурального состава они подразделяются на: здания, сооружения, передаточные устройства, рабочие и силовые машины и оборудование, измерительные и регулирующие приборы и устройства, вычислительная техника, транспортные средства, инструмент, производственный и хозяйственный инвентарь и принадлежности, рабочий и продуктивный скот, многолетние насаждения, внутрихозяйственные дороги и прочие основные средства, а также земельные участки, находящиеся в собственности предприятия, учреждения.
По функциональному назначению основные фонды делятся на производственные и непроизводственные. К производственным основным фондам относятся те средства труда, которые непосредственно участвуют в производственном процессе (машины, оборудование и т.п.), создают условия для его нормального осуществления (производственные здания, сооружения, электросети и др.) и служат для хранения и перемещения предметов труда.
Непроизводственные основные фонды это основные фонды, которые непосредственно не участвуют в производственном процессе (жилые дома, детские сады и ясли, школы, больницы и др.), но находящиеся в ведении промышленных предприятий.
По принадлежности основные фонды подразделяются на собственные и арендованные.
Основные производственные фонды в зависимости от степени их воздействия на предмет труда разделяют на активные и пассивные.
К активным относятся такие основные фонды, которые в процессе производства непосредственно воздействуют на предмет труда, видоизменяя его (машины и оборудование, технологические линии, измерительные и регулирующие приборы, транспортные средства).
Все остальные основные фонды можно отнести к пассивным, так как они непосредственно не воздействуют на предмет труда, а создают необходимые условия для нормального протекания производственного процесса (здания, сооружения и др.). Для анализа качественного состояния основных средств на предприятии необходимо знать их структуру. Различают производственную (видовую), технологическую и возрастную структуру основных средств.
Под производственной структурой понимается соотношение различных групп основных производственных фондов (ОПФ) по вещественно-натуральному составу в их общей среднегодовой стоимости.
Важнейшим показателем производственной структуры ОПФ является доля активной части в их общей стоимости. Это связано с тем, что объем выпуска продукции, производственная мощность предприятия, другие экономические показатели работы предприятия в значительной мере зависят от величины активной части ОПФ. Поэтому повышение ее доли до оптимального уровня является одним из направлений совершенствования производственной структуры ОПФ на предприятии.
Производственная структура ОПФ на предприятии зависит от следующих факторов: специфики предприятия; ускорения НТП; уровня концентрации, специализации, кооперирования, комбинирования и диверсификации производства; географического местонахождения и др.
Технологическая структура ОПФ характеризует их распределение по структурным подразделениям предприятия в процентном выражении от их общей стоимости. В «узком» плане технологическая структура может быть представлена, например, как доля отдельных видов станков в общем количестве станочного парка или как доля автосамосвалов в общем количестве автотранспорта, имеющегося на предприятии.
Возрастная структура ОПФ характеризует их распределение по возрастным группам (до 5 лет; от 5 до 10 лет; от 10 до 15 лет; от 15 до 20 лет; свыше 20 лет). Средний возраст оборудования рассчитывается как средневзвешенная величина. Такой расчет может быть осуществлен как в целом по предприятию, так и по отдельным группам машин и оборудования.
Основная задача на предприятии должна сводиться к тому, чтобы не допускать чрезмерного старения ОПФ (особенно активной части), так как от этого зависят уровень их физического и морального износа, а следовательно, и результаты работы предприятия.
9.2. ВИДЫ СТОИМОСТНЫХ ОЦЕНОК ОСНОВНЫХ СРЕДСТВ Оценка основных фондов это денежное выражение их стоимости. Применяются три вида их оценки: первоначальная, восстановительная и остаточная стоимость основных средств.
Первоначальная стоимость основных средств стоимость, слагающаяся из затрат по их возведению (сооружению) или приобретению, включая расходы по их доставке и установке, а также иные расходы, необходимые для доведения данного объекта до состояния готовности к эксплуатации по назначению.
В условиях переходного периода к рыночным отношениям расширяются возможности поступления основных средств на предприятия. Поэтому в зависимости от способа поступления активных основных средств их первоначальная стоимость (Определяется следующим образом:
внесенных учредителями в счет их вклада в уставный капитал предприятия по договоренности сторон;
изготовленных на самом предприятии, а также приобретенных за плату у других предприятий и лиц исходя из фактически произведенных затрат по возведению (сооружению) или приобретению этих объектов, включая расходы по доставке, монтажу и установке;
полученных от других предприятий и лиц безвозмездно, а также в качестве субсидий правительственного органа экспертным путем или по данным документов приемки-передачи;
долгосрочно арендуемых по договоренности сторон.
СЫРЬЕВЫЕ И ТОПЛИВНО-ЭНЕРГЕТИЧЕСКИЕ РЕСУРСЫ

9.1. Классификация основных средств (фондов)
Восстановительная стоимость основных средств это стоимость их воспроизводства в современных условиях. Величина отклонения восстановительной стоимости основных фондов от их первоначальной стоимости зависит от темпов ускорения НТП, уровня инфляции и др. Своевременная и объективная переоценка основных фондов имеет очень важное значение, прежде всего для их простого и расширенного воспроизводства.
В условиях инфляции переоценка основных фондов на предприятии позволяет:
объективно оценить истинную стоимость основных фондов;
более правильно и точно определить затраты на производство и реализацию продукции;
более точно определить величину амортизационных отчислений, достаточную для простого воспроизводства основных фондов;
объективно устанавливать продажные цены на реализуемые основные фонды и арендную плату (в случае сдачи их в аренду).
В период перехода к рыночной экономике в России, который сопровождался спадом производства и высоким уровнем инфляции, переоценка основных средств осуществлялась ежегодно. Последняя была проведена в 1997 г.
Остаточная стоимость представляет собой разницу между первоначальной или восстановительной стоимостью и суммой износа, т.е. это та часть стоимости основных средств, которая еще не перенесена на производимую продукцию.
Оценка основных средств по их остаточной стоимости необходима прежде всего для того, чтобы знать их качественное состояние, в частности определить коэффициенты годности и физического износа и составления бухгалтерского баланса.
Стоимостная оценка основных фондов необходима для их учета, анализа и планирования, а также для определения объема, структуры капитальных вложений.
9.3. ФИЗИЧЕСКИЙ И МОРАЛЬНЫЙ ИЗНОС ОСНОВНЫХ СРЕДСТВ Физический износ основных средств. Основные средства, участвующие в процессе производства, постепенно утрачивают свои первоначальные характеристики вследствие их эксплуатации и естественного снашивания.
Под физическим износом понимается потеря средствами труда своих первоначальных качеств.
Уровень физического износа основных средств зависит от: первоначального качества основных фондов; степени их эксплуатации; уровня агрессивности среды, в которой функционируют основные фонды; уровня квалификации обслуживающего персонала; своевременности проведения ППР и др. Учет этих факторов в работе предприятий может в значительной мере повлиять на физическое состояние основных фондов.
Для характеристики степени физического износа основных фондов используется ряд показателей.
Коэффициент физического износа основных фондов (Ки.ф.):
СЫРЬЕВЫЕ И ТОПЛИВНО-ЭНЕРГЕТИЧЕСКИЕ РЕСУРСЫ

где И сумма износа основных фондов (начисленная амортизация) за весь период их эксплуатации;
Пс первоначальная (балансовая) или восстановительная стоимость основных фондов.
Коэффициент физического износа основных фондов может быть определен по отдельным инвентарным объектам и на основе данных о фактическом сроке их службы.
Для объектов, фактический срок службы которых ниже нормативного, расчет ведется по формуле
СЫРЬЕВЫЕ И ТОПЛИВНО-ЭНЕРГЕТИЧЕСКИЕ РЕСУРСЫ

где Тф и Тн фактический и нормативный сроки службы данного инвентарного объекта.



ОБОРОТНЫЕ СРЕДСТВА ПРЕДПРИЯТИЯ


10.1. РОЛЬ СЫРЬЕВЫХ И ТОПЛИВНО-ЭНЕРГЕТИЧЕСКИХ РЕСУРСОВ В ЭКОНОМИКЕ СТРАНЫ Сырье, материалы, топливо и энергия являются основой для нормального функционирования предприятия и экономики государства в целом. Так, для Японии обеспечение сырьевыми и топливно-энергетическими ресурсами (ТЭР) это национальная задача номер один, так как она не располагает достаточными собственными сырьевыми и ТЭР. По сути, вся перерабатывающая промышленность Японии работает на привозном сырье и топливе. И если представить на миг такую ситуацию для Японии, что доступ к сырьевым и ТЭР для нее будет по каким-то причинам перекрыт, это крах для японской экономики.
Может быть, поэтому японские товары являются наиболее качественными и конкурентоспособными на мировом рынке, а страна обладает мощным экспортным потенциалом готовой и наукоемкой продукции, чтобы можно было в достаточном количестве приобретать сырьевые и ТЭР.
Россия в этом плане находится в более выгодном положении. Она располагает значительными сырьевыми и ТЭР, что позволяет не только обеспечить внутренние потребности, но и довольно существенную их часть экспортировать в различные страны. В 1990 г. в СССР было произведено и добыто: электроэнергии - 1 726 млрд кВтч; угля 704 млн т; нефти 570 млн т; газа 815 млрд м3.
Все эти топливно-энергетические ресурсы распределялись между союзными республиками исходя из их потребностей, а остальная часть экспортировалась. С распадом СССР бывшие союзные республики стали самостоятельными государствами и для многих из них остро встала проблема обеспечения ТЭР. Особенно актуальна эта проблема для Украины, Белоруссии, Армении.
Например, Украине для удовлетворения внутренних потребностей требуется 40 млн т нефти, а собственной нефти добывается всего 5 млн т. Не лучше обстоят дела на Украине и с обеспечением газом и лесом. Белоруссия также не имеет достаточных собственных ТЭР, поэтому она вынуждена экспортировать из России до 15 млн т нефти и значительное количество газа.
Россия располагает мощным топливно-энергетическим комплексом. Он представляет собой совокупность предприятий, установок и сооружений, обеспечивающих добычу и переработку первичных топливно-энергетических ресурсов, их преобразование и доставку потребителям в удобной для использования форме. О производственных возможностях этого комплекса свидетельствуют данные, приведенные в табл 10.1.
Таблица 10.1
Добыча ч производство в РФ отдельных видов ТЭР в динамике*

Виды ТЭР
1990
1991
1992
1993
1994
1995
1996
1997
Электроэнергия,млрд кВт ч
1082,2
1068,2
1008.5
956,6
876
862
847
834
В том числе на








АЭС
118
120
120
119
119
115
113
110
Нефть, млн т
516
462
399
354
317,8
307
301
306
Естественный газ, млрд м3
641
643
641
618
607
595
601
571
Уголь, млн т
395
353
337
306
271
262
257
245
Топливный торф,млн т
5,2
4,7
7,8
2,5








Сланцы, млн т
4,6
4,2
3.8
3,3
-
-
-
-

* Российский статистический ежегодник: Стат. сб. / Госкомстат России. -М.: Логос, 1996.-С. 510-517.

И хотя объем добычи некоторых видов топлива за последние годы существенно сократился, что было связано с общей кризисной обстановкой в стране, но и этого вполне хватает не только для удовлетворения внутренних потребностей. Россия по-прежнему обладает значительным экспортным потенциалом ТЭР.
Наличие такого мощного топливно-энергетического комплекса в России имеет для ее экономики не только положительные, но и отрицательные стороны. Положительная сторона заключается в том, что экономика России полностью обеспечена собственными ТЭР и имеет значительный приток инвалюты от их экспорта. В то же время развитие топливно-энергетического комплекса требует значительных инвестиций, так как отрасли ТЭК являются весьма фондоемкими и капиталоемкими.
Из-за ограниченности инвестиций поддержание и развитие ТЭК в России на прежнем уровне в конечном итоге отрицательно сказываются на развитии перерабатывающих отраслей, особенно прогрессивных отраслей промышленности, что не способствует ускорению НТП, прогрессивным структурным сдвигам в экономике и повышению эффективности общественного производства.
Сырье, материалы, топливо, энергия все это относится к предметам труда, т.е. они при помощи средств труда подвергаются воздействию человеческого труда с целью придания им таких форм и свойств, которые нужны человеку для удовлетворения его многочисленных как производственных, так и личных потребностей.
Значение сырьевых и ТЭР для экономики страны на современном этапе заключается прежде всего в следующем:
удовлетворение страны собственными сырьевыми и ТЭР необходимое условие для нормального функционирования и развития экономики страны и обеспечения экономической независимости государства;
материальные, в том числе сырьевые и топливно-энергетические, ресурсы занимают существенную долю в издержках производства и реализации промышленной продукции, поэтому их рациональное использование значительно снижает себестоимость единицы продукции, а следовательно, ее продажную цену и способствует ее конкурентоспособности;
экспорт этих ресурсов, к сожалению, один из основных источников получения инвалюты;
являются основой для развития отраслей тяжелой индустрии, а следовательно, и для расширенного воспроизводства.
10.2. ОСНОВНЫЕ ПОНЯТИЯ. КЛАССИФИКАЦИЯ СЫРЬЯ, МАТЕРИАЛОВ И ТОПЛИВА Все материальные ресурсы, используемые в промышленности в качестве предметов труда, условно подразделяются на сырьевые и топливно-энергетические.
Сырьевые ресурсы представляют собой совокупность имеющихся в стране предметов труда, которые используются непосредственно для производства различной промышленной продукции.
Под сырьем (сырым материалом) понимают всякий предмет труда, на добычу или переработку которого затрачен труд и который под его воздействием претерпел определенные изменения.
К сырью обычно относят продукцию добывающей промышленности (руда, нефть, уголь, песок, щебень) и сельскохозяйственную (зерно, картофель, свекла), а к материалам продукцию обрабатывающей промышленности (черные и цветные металлы, цемент, мука, пряжа).
Различают основные и вспомогательные материалы.
Основными называются материалы, которые в натуральной форме входят в состав готового продукта, составляя его материальную основу.
Вспомогательные материалы в состав готовой продукции не входят, а только способствуют ее формированию.
Топливо и энергия по своей экономической природе относятся к вспомогательным материалам, но в силу особой значимости они выделяются в самостоятельную группу ресурсов.
Различают потенциальные и реальные топливно-энергетические ресурсы (ТЭР).
Потенциальные ТЭР это объем запасов всех видов топлива и энергии, которым располагает тот или иной экономический район, страна в целом.
Реальные ТЭР в широком смысле это совокупность всех видов энергии, используемых в экономике страны.
В более «узком» смысле под используемыми ТЭР понимается следующее:
1. Природные ТЭР (природное топливо) уголь, сланец, торф, нефть, газ природный и полезный, газ подземной газификации, дрова; природная механическая энергия воды, ветра, атомная энергия; топливо природных источников солнца, подземного пара и термальных вод.
2. Продукты переработки топлива (кокс, брикеты, нефтепродукты, искусственные газы, обогащенный уголь, его отсевы и т.д.).
3. Вторичные энергетические ресурсы, получаемые в основном технологическом процессе (топливные отходы, горючие и горячие газы, отработанный газ, физическое тепло продуктов производства и т.д.).
Все виды сырья, потребляемые народным хозяйством, с экономической точки зрения разделяются на две большие группы:
I. Промышленное сырье, которое добывается и производится в промышленности и потребляется главным образом отраслями тяжелой индустрии.
II. Сельскохозяйственное сырье, которое производится в отраслях сельского хозяйства и потребляется главным образом отраслями легкой и пищевой промышленности.
Промышленное сырье, в свою очередь, делится на две подгруппы:
сырье минерального происхождения (минеральное сырье), т.е. сырье, получаемое из недр земли;
искусственное сырье, т.е. сырье, материалы, получаемые искусственным путем.
Наиболее многочисленна группа природного сырья минерального происхождения. Она составляет минерально-сырьевую базу промышленности и определяет развитие таких ключевых отраслей промышленности, как черная и цветная металлургия, топливная, электроэнергетика и др.
10.3. КЛАССИФИКАЦИЯ ЗАПАСОВ МЕСТОРОЖДЕНИЙ ПОЛЕЗНЫХ ИСКОПАЕМЫХ И ИХ ЭКОНОМИЧЕСКАЯ ОЦЕНКА Минерально-сырьевая база промышленности это ресурсы минерального сырья в недрах земли, выявленные в результате геологоразведочных работ. Таким образом, основой минерально-сырьевой базы являются выявленные месторождения полезных ископаемых.
Минерально-сырьевые ресурсы, которые при данном уровне развития науки и техники могут быть достаточно эффективно извлечены из недр земли и использованы в промышленном производстве, называются полезными ископаемыми.



КАДРЫ ПРЕДПРИЯТИЯ, ПРОИЗВОДИТЕЛЬНОСТЬ ТРУДА И ЗАРАБОТНАЯ ПЛАТА


11.1. ЭКОНОМИЧЕСКАЯ СУЩНОСТЬ, СОСТАВ И СТРУКТУРА ОБОРОТНЫХ СРЕДСТВ Оборотные средства наряду с основными и рабочей силой являются важнейшим элементом (фактором) производства. Недостаточная обеспеченность предприятия оборотными средствами парализует его деятельность и приводит к ухудшению финансового положения.
Различают два понятия: оборотные средства и оборотные фонды.
Под оборотными фондами понимается часть средств производства, которые единожды участвуют в производственном процессе и свою стоимость сразу и полностью переносят на производимую продукцию.
К оборотным фондам относятся: сырье, основные и вспомогательные материалы, комплектующие изделия, не законченная производством продукция, топливо, тара и другие предметы труда.
Оборотные средства как экономическая категория шире, чем оборотные фонды. Оборотные средства складываются из оборотных фондов и фондов обращения.
К фондам обращения относятся средства, обслуживающие процесс реализации продукции: готовая продукция на складе, товары, отгруженные заказчикам, но еще не оплаченные ими, средства в расчетах, денежные средства в кассе предприятия и на счетах в банках.
Таким образом, оборотные средства это денежные средства предприятия, предназначенные для образования оборотных производственных фондов и фондов обращения.
Для изучения состава и структуры оборотные средства группируются по четырем признакам: 1) сферам оборота; 2) элементам; 3) охвату нормированием; 4) источникам финансирования.
По сферам оборота оборотные средства подразделяются на оборотные производственные фонды (сфера производства) и фонды обращения (сфера обращения).
Оборотные средства функционируют одновременно в сфере производства и в сфере обращения, проходя три стадии кругооборота: снабжение, производство и сбыт (реализация). Более наглядно кругооборот оборотных средств представляет собой:
Д - ПЗ ... П ... ГП - Д1.
На денежные средства (Д) предприятие приобретает все необходимые предметы труда для производства продукции, которые приобретают форму производственных запасов (ПЗ), затем идет непосредственно процесс производства (П), в результате которого получается готовая продукция (ГП), она реализуется, и предприятие за нее получает определенные денежные средства (Д1). Таким образом средства совершают один оборот, затем все повторяется вновь.
Отдельные части оборотных средств имеют различное назначение и по-разному используются в производственно-хозяйственной деятельности, поэтому они классифицируются по следующим элементам:
1. Производственные запасы (сырье, основные материалы, покупные полуфабрикаты, вспомогательные материалы, топливо, тара, запасные части, малоценные и быстроизнашивающиеся предметы).
2. Незавершенное производство и полуфабрикаты собственного производства.
3. Расходы будущих периодов. Оборотные фонды (п.1 + п.2 + п.3).
4. Готовая продукция на складах.
5. Продукция отгруженная, но еще не оплаченная.
6. Средства в расчетах.
7. Денежные средства в кассе предприятия и на счетах в банке.
Фонды обращения (п.4 + п.5 + п.6 + п.7).
Оборотные средства (п.1 + п.2 + п.3 + п.4 + п.5 + п.6 + + п.7).
Стоимость незавершенного производства складывается из стоимости расходуемого сырья, основных и вспомогательных материалов, топлива, энергии, воды, пара, сжатого воздуха, перенесенной на продукт части стоимости основных фондов (амортизационных отчислений), а также сумм заработной платы, начисленной работникам.
Предприятие использует в производстве кроме покупных полуфабрикатов полуфабрикаты собственного производства, которые по своей природе близки к незаконченной продукции.
Затраты на освоение новой продукции, подготовительные и другие работы, рассчитанные на длительное время, составляют расходы будущих периодов и списываются на себестоимость продукции в будущих периодах.
По охвату нормированием оборотные средства подразделяются на нормируемые оборотные средства (оборотные средства в запасах товарно-материальных ценностей) и ненормируемые оборотные средства (дебиторская задолженность, средства в расчетах, денежные средства в кассе предприятия и на счетах в банке).
По источникам формирования оборотные средства подразделяются на собственные и заемные оборотные средства.
Наличие собственных и заемных средств в обороте предприятия объясняется особенностями организации производственного процесса. Постоянная минимальная сумма средств для финансирования потребностей производства обеспечивается собственными оборотными средствами. Временная потребность в средствах, возникшая под влиянием зависящих и не зависящих от предприятия причин, покрывается кредитом и другими источниками.
Под структурой оборотных средств понимается соотношение их отдельных элементов во всей их совокупности. В табл. 11.1 приведена примерная структура оборотных средств на машиностроительном предприятии.
Знание и анализ структуры оборотных средств на предприятии имеют очень важное значение, так как она в определенной мере характеризует финансовое состояние на тот или иной момент работы предприятия. Например, чрезмерное увеличение доли дебиторской задолженности, готовой продукции на складе, незавершенного производства свидетельствует об ухудшении финансового состояния предприятия. Дебиторская задолженность характеризует отвлечение средств из оборота данного предприятия и использование их дебиторами, должниками в своем обороте. Повышение доли незавершенного производства, готовой продукции на складе указывает на отвлечение оборотных средств из оборота, снижение объема реализации, следовательно, и прибыли.
Все это свидетельствует о том, что на предприятии оборотными средствами необходимо управлять с целью оптимизации их структуры и повышения их оборачиваемости.
Структура оборотных средств на предприятии непостоянна и изменяется в динамике под влиянием многих причин.
Таблица 11.1
Примерная структура оборотных средств на машиностроительном предприятии

№ п/п
Состав элементов оборотных средств
Их доля в общей совокупности, %
1
Производственные запасы
57
2

Незавершенное производство и полуфабрикаты собственного производства
17
3
Расходы будущих периодов
8



Оборотные фонды (стр. 1 + стр. 2+ стр. 3)
82
4
Готовая продукция на складах
5
5
Продукция отгруженная, но еще не оплаченная
7
6
Средства в расчетах
4
7

Денежные средства в кассе предприятия и на счетах в банке
2


Фонды обращения (стр. 4 + стр. 5 + стр. 6 + стр. 7)
18


Оборотные средства
100

Структура оборотных средств на предприятиях различных отраслей промышленности далеко не одинакова и зависит от:
специфики предприятия. На предприятиях с длительным производственным циклом (например, в судостроении) велика доля незавершенного производства; на предприятиях горного профиля большая доля расходов будущих периодов. На тех предприятиях, у которых процесс производства продукции скоротечный, как правило, наблюдается большой удельный вес производственных запасов;
качества готовой продукции. Если на предприятии выпускается продукция низкого качества, которая не пользуется спросом у покупателей, то резко повышается доля готовой продукции на складах;
уровня концентрации, специализации, кооперирования и комбинирования производства;
ускорения научно-технического прогресса. Этот фактор влияет на структуру оборотных средств разнопланово и практически на соотношение всех элементов. Если на предприятии внедряются топливосберегающая техника и технология, безотходное производство, то это сразу влияет на снижение доли производственных запасов в структуре оборотных средств.
Влияют на структуру оборотных средств и другие факторы. При этом необходимо иметь в виду, что одни факторы носят долговременный характер, другие кратковременный.
11.2. ПОКАЗАТЕЛИ УРОВНЯ ИСПОЛЬЗОВАНИЯ ОБОРОТНЫХ ФОНДОВ Показатели использования оборотных фондов на предприятии. Для анализа и планирования расхода материальных ресурсов могут быть использованы следующие показатели: коэффициент использования, коэффициент раскроя, выход продукта (полуфабриката), коэффициент извлечения продукта из исходного сырья.
Коэффициент использования характеризует степень использования сырья и материалов и определяется отношением полезного расхода (массы, теоретического расхода) к норме расхода материалов, установленной на изготовление единицы продукции (работы).
Коэффициент раскроя показатель, характеризующий степень полезного использования листовых, полосных, рулонных материалов главным образом в заготовительном производстве; определяется отношением массы (площади, длины, объема) производственных заготовок к массе (площади, длине, объему) исходной заготовки раскраиваемого материала.
Расходный коэффициент показатель, обратный коэффициенту использования и коэффициенту раскроя. Он определяется как отношение нормы расхода материальных ресурсов, установленной на производство единицы продукции (работы), к полезному их расходу.
Выход продукта (полуфабриката) выражает отношение количества произведенного продукта (полуфабриката) к количеству фактически израсходованного сырья.



СЕБЕСТОИМОСТЬ ПРОДУКЦИИ И ПРИБЫЛЬ ПРЕДПРИЯТИЯ


12.1. КАДРЫ ПРЕДПРИЯТИЯ, ИХ КЛАССИФИКАЦИЯ И СТРУКТУРА Известно, что основными факторами производства на предприятии являются: средства труда, предметы труда и кадры.
Основная роль принадлежит кадровому потенциалу на предприятии. Именно кадры играют первую скрипку в производственном процессе, именно от них зависит, насколько эффективно используются на предприятии средства производства и насколько успешно работает предприятие в целом. Поэтому на каждом предприятии должна разрабатываться и осуществляться кадровая политика, которая должна быть направлена на достижение следующих целей:
создание здорового и работоспособного коллектива;
повышение уровня квалификации работников предприятия;
создание трудового коллектива, оптимального по половой и возрастной структуре, а также по уровню квалификации;
создание высокопрофессионального руководящего звена, способного гибко реагировать на изменяющиеся обстоятельства, чувствовать и внедрять все новое и передовое и умеющего смотреть далеко вперед.
Кадровая политика на предприятии включает в себя:
отбор и продвижение кадров;
подготовку кадров и их непрерывное обучение;
найм работников в условиях неполной занятости;
расстановку работников в соответствии со сложившейся системой производства;
стимулирование труда;
совершенствование организации труда;
создание благоприятных условий труда для работников предприятия и др.
Необходимо отметить, что управление персоналом является составной частью управления предприятием в целом.
Процесс управления предприятием можно разбить на следующие составляющие: управление техникой, экономикой, кадрами.
Если первые две составляющие процесса управления для специалиста не представляют особой трудности, то наиболее сложным является управление кадрами. Это связано с тем, что каждый член трудового коллектива имеет свои потенциальные трудовые возможности, свои черты характера, в своем плане он неповторим. Поэтому руководители различного уровня обязаны знать психологию каждого подчиненного им работника и на этой основе так воздействовать на него, чтобы полностью раскрылись и реализовались его потенциальные возможности на работе.
Для анализа, планирования, учета и управления персоналом все работники предприятия классифицируются по ряду признаков. В зависимости от участия в производственном процессе весь персонал предприятия делится на две категории: промышленно-производственный персонал (ППП) и непромышленный.
К промышленно-производственному персоналу относятся работники, которые непосредственно связаны с производством и его обслуживанием.
К непромышленному персоналу относятся работники, которые непосредственно не связаны с производством и его обслуживанием. В основном это работники жилищно-коммунального хозяйства, детских и врачебно-санитарных учреждений, принадлежащих предприятию.
В свою очередь, промышленно-производственный персонал в зависимости от выполняемых им функций классифицируется на следующие категории: рабочие; руководители; специалисты; служащие.
К рабочим относятся работники предприятия, непосредственно занятые созданием материальных ценностей или оказанием производственных и транспортных услуг. Рабочие, в свою очередь, подразделяются на основных в вспомогательных. К основным относятся рабочие, которые непосредственно связаны с производством продукции, к вспомогательным обслуживанием производства.
Это деление чисто условное, и на практике иногда их трудно разграничить.
К специалистам на предприятии относятся: бухгалтеры, экономисты, техники, механики, психологи, социологи, художники, товароведы, технологи и др.
К служащим на предприятии относятся: агенты по снабжению, машинистки, секретари-машинистки, кассиры, делопроизводители, табельщики, экспедиторы и др.
Кроме общепринятой классификации ППП по категориям существуют классификации и внутри каждой категории. Например, руководителей на производстве в зависимости от возглавляемых ими коллективов принято подразделять на линейных и функциональных. К линейным относятся руководители, возглавляющие коллективы производственных подразделений, предприятий, объединений, отраслей, и их заместители; к функциональным руководители, возглавляющие коллективы функциональных служб (отделов, управлений), и их заместители.
По уровню, занимаемому в общей системе управления народным хозяйством, все руководители подразделяются на: руководителей низового звена, среднего и высшего звена.
К руководителям низового звена принято относить мастеров, старших мастеров, прорабов, начальников небольших цехов, а также руководителей подразделений внутри функциональных отделов и служб.
Руководителями среднего звена считаются директора предприятий, генеральные директора всевозможных объединений и их заместители, начальники крупных цехов.
К руководящим работникам высшего звена обычно относятся руководители ФПГ, генеральные директора крупных объединений, руководители функциональных управлений министерств, ведомств и их заместители.
Наукой и практикой уже давно установлено, что эффективность работы предприятия на 7080% зависит от его руководителя. Именно руководитель подбирает для себя команду и определяет кадровую политику на предприятии. От того, как он это делает, зависит очень многое. Если на предприятии нет перспективного плана развития предприятия, если нет стратегии на дальнюю и ближнюю перспективу, значит, нет всего этого и в голове руководителя. В этом случае считайте, что у предприятия плохое будущее.
Поэтому на каждом предприятии основным стержнем в кадровой политике должны быть подбор и расстановка в первую очередь руководителей различного звена.
Эффективность использования рабочей силы на предприятии в определенной мере зависит и от структуры кадров предприятия состава кадров по категориям и их доли в общей численности.
На структуру ППП влияют следующие факторы:
уровень механизации и автоматизации производства;
тип производства (единичный, мелкосерийный, крупносерийный, массовый);
размеры предприятия;
организационно-правовая форма хозяйствования;
сложность и наукоемкость выпускаемой продукции;
отраслевая принадлежность предприятия и др.
Кадровая политика на предприятии должна быть направлена на оптимальное сочетание категорий ППП.
Процесс управления персоналом требует, чтобы на каждом предприятии определялась и анализировалась структура ППП по половому и возрастному составу, а также по уровню квалификации. Это необходимо для того, чтобы своевременно готовить замену кадров, а также для достижения наиболее приемлемой для предприятия структуры кадров по половому и возрастному составу, по уровню квалификации.
12.2. ПРОИЗВОДИТЕЛЬНОСТЬ ТРУДА: СУЩНОСТЬ, МЕТОДИКА ОПРЕДЕЛЕНИЯ И ПЛАНИРОВАНИЯ Много песен, пословиц, поговорок в народе сложено о труде, ибо все, что создано на нашей планете, это воплощение труда многих поколений. Человек красен прежде всего своим отношением к труду.
Человечество уже давно заметило большое воспитательное значение труда. Установлено, что тот работник, который хорошо относится к труду и своим обязанностям, это, как правило, человек большой морали, честности и порядочности. Поэтому при воспитании подрастающего поколения мы в первую очередь должны привить ему любовь к труду.
Руководители предприятий должны всегда помнить о важности этого процесса на предприятии.
Экономическая теория дает следующее определение труда: «Труд это целесообразная деятельность человека», т.е. не любая деятельность, а только та, которая приносит пользу обществу.
Труд может быть производительный и менее производительный. Показателем эффективности труда является его производительность. Существует много показателей эффективности производства, но производительность труда считается важнейшим из них.
Повышение производительности труда имеет большое экономическое и социальное значение, которое необходимо рассматривать на макро- и микроуровне.
С народнохозяйственной точки зрения повышение производительности труда означает:
рост валового внутреннего и национального продукта, национального дохода;
рост фонда накопления и фонда потребления;
основу для расширенного воспроизводства;
основу для повышения уровня жизни граждан страны и решения социальных проблем;
основу для развития страны и роста экономического могущества государства.
Если исходить из чисто теоретических экономических позиций, то граждане той страны, в которой достигнута наивысшая производительность труда, должны иметь и самый высокий уровень жизни, т.е. материальной основой для повышения уровня жизни является рост производительности труда. Это аксиома. К сожалению, мы об этом часто забываем.
Рост производительности труда имеет большое значение и для предприятия; он позволяет:
существенно снизить затраты на производство и реализацию продукции, если рост производительности труда опережает рост средней заработной платы;
при прочих равных условиях увеличить объем производства и реализации продукции, а следовательно, и рост прибыли;
проводить политику по увеличению средней заработной платы работникам;
более успешно осуществлять реконструкцию и техническое перевооружение предприятия;



РОЛЬ ЦЕНООБРАЗОВАНИЯ НА ПРЕДПРИЯТИИ


13.1. СУЩНОСТЬ И ЗНАЧЕНИЕ СЕБЕСТОИМОСТИ ПРОДУКЦИИ КАК ЭКОНОМИЧЕСКОЙ КАТЕГОРИИ И ЕЕ ВИДЫ Себестоимость продукции представляет выраженные в денежной форме текущие затраты предприятий на производство и реализацию продукции (работ, услуг).
Себестоимость продукции является не только важнейшей экономической категорией, но и качественным показателем, так как она характеризует уровень использования всех ресурсов (переменного и постоянного капитала), находящихся в распоряжении предприятия.
Как экономическая категория себестоимость продукции выполняет ряд важнейших функций:
учет и контроль всех затрат на выпуск и реализацию продукции;
база для формирования оптовой цены на продукцию предприятия и определения прибыли и рентабельности;
экономическое обоснование целесообразности вложения реальных инвестиций на реконструкцию, техническое перевооружение и расширение действующего предприятия;
определение оптимальных размеров предприятия;
экономическое обоснование и принятие любых управленческих решений и др.
Различают следующие виды себестоимости: цеховая, производственная и полная.
Цеховая себестоимость представляет собой затраты цеха, связанные с производством продукции.
Производственная себестоимость помимо затрат цехов включает общепроизводственные и общехозяйственные расходы.
Полная себестоимость отражает все затраты на производство и реализацию продукции, слагается из производственной себестоимости и внепроизводственных расходов (расходы на тару и упаковку, транспортировку продукции, прочие расходы).
Различают индивидуальную и среднеотраслевую себестоимость.
Индивидуальная себестоимость обусловливается конкретными условиями, в которых действует то или другое предприятие.
Среднеотраслевая себестоимость определяется как средневзвешенная величина и характеризует средние затраты на единицу продукции по отрасли, поэтому она находится ближе к общественно необходимым затратам труда.
В условиях перехода к рыночной экономике роль и значение себестоимости продукции для предприятия резко возрастают. С экономических и социальных позиций значение снижения себестоимости продукции для предприятия заключается в следующем:
в увеличении прибыли, остающейся в распоряжении предприятия, а следовательно, в появлении возможности не только в простом, но и расширенном воспроизводстве;
в появлении большей возможности для материального стимулирования работников и решения многих социальных проблем коллектива предприятия;
в улучшении финансового состояния предприятия и снижении степени риска банкротства;
в возможности снижения продажной цены на свою продукцию, что позволяет в значительной мере повысить конкурентоспособность продукции и увеличить объем продаж;
в снижении себестоимости продукции в акционерных обществах, что является хорошей предпосылкой для выплаты дивидендов и повышения их ставки.
Из всего сказанного вытекает очень важный вывод, что проблема снижения себестоимости продукции всегда должна быть в центре внимания на предприятиях.
13.2. КЛАССИФИКАЦИЯ ЗАТРАТ НА ВЫПУСК И РЕАЛИЗАЦИЮ ПРОДУКЦИИ Основным документом, которым необходимо руководствоваться при формировании себестоимости продукции на предприятии, является Положение о составе затрат по производству и реализации продукции (работ, услуг) и о порядке формирования финансовых результатов, учитываемых при налогообложении прибыли, утвержденное постановлением Правительства РФ от 5 августа 1992 г. № 552 и последующими дополнениями и изменениями.
На практике в целях анализа, учета и планирования всего многообразия затрат, входящих в себестоимость продукции, применяются две взаимодополняющие классификации: поэлементная и калькуляционная.
Однородные по своему экономическому содержанию затраты называются экономическими элементами независимо от того, где они расходуются и на какие цели.
В соответствии с вышеупомянутым Положением все затраты, образующие себестоимость продукции, группируются в связи с их экономическим содержанием по следующим элементам:
1) материальные затраты (за вычетом стоимости возвратных отходов);
2) затраты на оплату труда;
3) отчисления на социальные нужды;
4) амортизация основных фондов;
5) прочие затраты.
К материальным затратам относятся: сырье и основные материалы, в том числе покупные полуфабрикаты и комплектующие изделия; вспомогательные материалы; топливо и энергия; износ малоценных и быстроизнашивающихся предметов и др.
Отчисления на социальные нужды осуществляются по определенным нормативам от фонда оплаты труда: в Пенсионный фонд 28%; в Фонд социального страхования 5,4%; в Фонд занятости 1,5%, в Фонд обязательного медицинского страхования 3,6%. Величина этих нормативов устанавливается в законодательном порядке и, естественно, может пересматриваться.
К амортизации основных фондов относятся все амортизационные отчисления по основным средствам за отчетный период.
Прочие затраты это платежи по процентам, износ нематериальных активов, командировочные расходы, представительские расходы, расходы на рекламу, расходы на подготовку кадров и др.
Классификация затрат по экономическим элементам служит для определения заданий по снижению себестоимости продукции, расчета потребностей в оборотных средствах, расчета сметы затрат, а также для экономического обоснования инвестиций.
Для внутрипроизводственного планирования и выявления резервов снижения себестоимости продукции необходимо знать не только общую сумму затрат каждого предприятия по тому или иному экономическому элементу, но и величину расходов в зависимости от места их возникновения. Такую возможность дает классификация затрат по калькуляционным статьям.
Для исчисления себестоимости отдельных видов продукции затраты предприятия группируются по статьям калькуляции.
Основными положениями по планированию, учету и калькулированию себестоимости продукции на промышленных предприятиях установлена типовая группировка затрат по статьям калькуляции, которую можно представить в следующем виде:
1. Сырье и материалы.
2. Возвратные отходы (вычитаются).
3. Покупные изделия, полуфабрикаты и услуги производственного характера сторонних предприятий и организаций.
4. Топливо и энергия на технологические цели.
5. Заработная плата производственных рабочих.
6. Отчисления на социальные нужды.
7. Расходы на подготовку и освоение производства.
8. Общепроизводственные расходы.
9. Общехозяйственные расходы.
10. Потери от брака.
11. Прочие производственные расходы.
12. Коммерческие расходы.
Итог первых 11 статей образует производственную себестоимость продукции, итог всех 12 статей полную себестоимость продукции.
Министерства (ведомства) могут вносить изменения в приведенную типовую номенклатуру статей затрат на производство с учетом особенностей в технике, технологии и организации производства.
В состав коммерческих расходов включают: расходы на тару и упаковку; расходы на транспортировку продукции (расходы на доставку продукции на станцию или пристань отправления, погрузку в вагоны, на суда, автомобили и т.п.); комиссионные сборы и отчисления, уплачиваемые сбытовым предприятиям и организациям в соответствии с договорами; затраты на рекламу, прочие расходы по сбыту (расходы по хранению, подработке, подсортировке).
Общепроизводственные и общехозяйственные расходы относятся к накладным расходам. Общепроизводственные накладные расходы это расходы на обслуживание и управление производством.
В состав общепроизводственных накладных издержек включаются:
расходы на содержание и эксплуатацию оборудования;
цеховые расходы на управление.
В свою очередь, расходы на содержание и эксплуатацию оборудования это амортизация оборудования и транспортных средств (внутризаводского транспорта); издержки на эксплуатацию оборудования в виде расходов смазочных, обтирочных, охлаждающих и других аналогичных материалов; заработная плата рабочих, обслуживающих оборудование, и отчисления на социальные нужды; расходы всех видов энергии, воды, пара, сжатого воздуха, услуг вспомогательных производств; расходы на ремонт оборудования, технические осмотры, уход; расходы на внутризаводское перемещение материалов, полуфабрикатов, продукции; износ малоценных и быстроизнашивающихся инструментов и приспособлений и другие расходы, связанные с использованием оборудования.
В цеховые, или производственные, накладные расходы на управление входят: заработная плата аппарата управления цехов с отчислениями на социальные нужды; затраты на амортизацию зданий, сооружений, инвентаря, содержание и ремонт зданий, сооружений, обеспечение нормальных условий труда и технику безопасности, на спецодежду и спецобувь; износ малоценного и быстроизнашивающегося инструмента и другие аналогичные затраты, связанные с управлением производственными подразделениями.
Каждая из этих групп накладных расходов имеет свою специфику, но их объединяет то, что они планируются и учитываются по местам их возникновения, т.е. по производственным подразделениям, а не по видам продукции, как это происходит с основными прямыми расходами. Обе эти группы расходы комплексные, косвенно распределяемые между отдельными видами продукции и между законченной продукцией и незавершенным производством.



ФИНАНСОВОЕ СОСТОЯНИЕ ПРЕДПРИЯТИЯ И ПОКАЗАТЕЛИ, ЕГО ХАРАКТЕРИЗУЮЩИЕ


14.1. СУЩНОСТЬ И ФУНКЦИИ ЦЕНЫ КАК ЭКОНОМИЧЕСКОЙ КАТЕГОРИИ Во многих словарях цена трактуется как денежное выражение стоимости единицы товара. Можно встретить и такую формулировку: «Цена это сумма денег, за которую покупатель готов купить товар, а производитель продать».
В условиях рыночных отношений резко возрастает роль цены для любой коммерческой организации. Это обстоятельство обусловливается многими причинами.
От уровня цены зависят:
величина прибыли коммерческой организации;
конкурентоспособность организации и ее продукции;
финансовая устойчивость предприятия.
Выбор правильной ценовой политики является достаточно непростым делом и требует создания маркетинговых служб.
Цена как экономическая категория выполняет ряд важнейших функций.
Учетная функция цены отражает общественно необходимые затраты труда на выпуск и реализацию той или иной продукции. Цена определяет, сколько затрачено труда, сырья, материалов, комплектующих изделий на изготовление товара. В конечном счете цена отражает не только величину совокупных издержек производства и обращения товаров, но и размер прибыли.
В учетной функции цена служит средством исчисления всех стоимостных показателей. К ним относятся как количественные показатели валовой внутренний продукт (ВВП), национальный доход, объем капитальных вложений, объем товарооборота, объем продукции фирм, предприятий и отраслей, так и качественные рентабельность, производительность труда, фондоотдача и др.
Таким образом, цена используется для определения эффективности производства, служит ориентиром принятия хозяйственных решений, важнейшим инструментом внутрифирменного планирования.
Распределительная функция цены состоит в том, что государство через ценообразование осуществляет перераспределение национального дохода между отраслями экономики, государственным и другими ее секторами, регионами, фондами накопления и потребления, социальными группами населения.
Эта функция реализуется через включение в себестоимость многих налогов, которые затем являются источником накопления дорожных фондов, Пенсионного фонда. Фонда социального страхования. Фонда занятости населения и других, а также через включение в цену косвенных налогов (НДС и акцизов).
Функция сбалансирования спроса и предложения выражается в том, что через цены осуществляется связь между производством и потреблением, предложением и спросом. Цена сигнализирует о диспропорциях в сферах производства и обращения и требует принятия мер по их преодолению. Она служит гибким инструментом для достижения соответствия спроса и предложения.
Функция цены как средства рационального размещения производства проявляется наиболее полно в условиях рыночной экономики. С помощью механизма цен происходит перелив капиталов в секторы экономики и производства с более высокой нормой прибыли.
Стимулирующая функция цены проявляется в том, что цена при определенных условиях может стимулировать ускорение НТП, улучшение качества продукции, увеличение выпуска продукции и спроса на нее. Это связано с тем, что цены дифференцированы в зависимости от технического уровня и качества продукции. По этим же причинам цены могут оказывать и дестимулирующее воздействие на производство.
В рыночной экономике цены на товары постоянно колеблются. Направления изменения цен для конкретных видов товаров и в конкретные периоды может быть различным. Однако есть и общие тенденции, характерные как для отдельных групп потребительских товаров, так и для всей их номенклатуры в целом.
Таким образом, цены играют исключительно важную роль в развитии экономики страны в целом и для каждого отдельно взятого субъекта хозяйствования. Отсюда вытекает значимость политики в области ценообразования.
14.2. СИСТЕМА ЦЕН И ИХ КЛАССИФИКАЦИЯ Система цен характеризует собой взаимосвязь и взаимоотношение различных видов цен. Она состоит из различных элементов, среди которых можно выделить как отдельные цены, так и определенные их группы.
Взаимосвязь цен обусловлена зависимостью отдельных предприятий, производств и отраслей, единым процессом формирования затрат на производство и другими факторами. Поэтому повышение или понижение одной цены может вызвать изменения в уровне других цен. Особую роль при этом играют такие отрасли, как энергетика, транспорт, связь и др. Повышение цен в этих отраслях приводит к их росту во всех других, поскольку продукция этих отраслей применима повсеместно.
В свою очередь, рост цен в остальных отраслях возвращается в форме более дорогого оборудования, транспортных средств и т.д.
Цены, действующие в рыночной экономике страны, классифицируют по следующим основным признакам.
По характеру обслуживаемого оборота выделяют:
оптовые цены на продукцию промышленности, по которым предприятия реализуют произведенную продукцию другим предприятиям и сбытовым организациям;
закупочные цены, по которым производители сельскохозяйственной продукции реализуют ее фирмам, промышленным предприятиям для дальнейшей переработки;
цены на строительную продукцию, включающие сметную стоимость, усредненную сметную стоимость, договорные цены. По мере развития рыночных отношений сфера действия договорных цен расширяется;
розничные цены, по которым торговые организации реализуют продукцию населению, предприятиям, организациям;
тарифы грузового и пассажирского транспорта;
тарифы на платные услуги населению;
цены, обслуживающие внешнеторговый оборот.
Любая цена включает ряд взаимосвязанных элементов. Соотношение отдельных элементов цены, выраженное в процентах, представляет собой структуру цены, которая позволяет судить о значимости элементов цены и их уровне. Состав розничной цены приведен ниже (см. с. 272).
ФИНАНСОВОЕ СОСТОЯНИЕ ПРЕДПРИЯТИЯ И ПОКАЗАТЕЛИ, ЕГО ХАРАКТЕРИЗУЮЩИЕ

Основу цены продукции составляет ее себестоимость. Она характеризует текущие издержки предприятия по производству и реализации продукции. Любое предприятие стремится к тому, чтобы полностью возместить затраты, связанные с выпуском продукции, и получить достаточную сумму прибыли.
Прибыль предприятия должна обеспечивать не только финансирование текущих расходов (например, материальная помощь работникам, надбавки к пенсиям работающим на предприятии, единовременные пособия уходящим на пенсию ветеранам труда, дивиденды по акциям и т.д.), но и развитие предприятия.
Важное место в структуре цены занимают налоги. Акцизы и налог на добавленную стоимость являются косвенными налогами, которые оплачиваются конечными потребителями. Перечень подакцизных товаров устанавливается правительством.
Он включает алкогольную продукцию, табачные изделия, легковые автомобили, минеральное сырье и прочие изделия.
Налог на добавленную стоимость имеет очень широкую базу обложения. Основная его ставка 20%. Вместе с тем по отдельным группам товаров установлены льготы по этому налогу (продовольственные товары, товары детского ассортимента и ряд других).
Наценки посреднических и торговых организаций обеспечивают им возмещение затрат, связанных с продвижением продукции от производителей к потребителям, и получение определенной суммы прибыли.
В зависимости от сферы регулирования различают:
свободные цены, которые устанавливаются производителями продукции и услуг на основе спроса и предложения. При этом покупатель и продавец ни до, ни после совершения сделки купли-продажи не связаны никакими обязательствами;
договорно-контрактные цены, которые устанавливаются по соглашению сторон. При этом продавец и покупатель, заключая договор-контракт, принимают на себя определенные обязательства;
цены в условиях частичной или полной монополизации рынка, которые вынуждают одну или обе стороны принимать какие-то принудительные условия;
регулируемые цены цены, устанавливаемые под контролем государства или отдельных субъектов Федерации. Различают прямые и косвенные методы регулирования. Прямое регулирование осуществляется путем установления фиксированных цен, предельных цен, надбавок, предельных коэффициентов изменения цен, предельного уровня рентабельности.
Косвенное регулирование предполагает воздействие на цены через изменение налогов и процентных ставок.
В Российской Федерации государственное регулирование ценообразования осуществляется на основании Указа Президента РФ от 28 февраля 1995 г. № 221 «О мерах по упорядочению государственного регулирования цен (тарифов)». Этим Указом определены перечни продукции и услуг, по которым осуществляется государственное регулирование цен.
В зависимости от территории действия различают:
единые или поясные цены;
региональные (зональные) цены.
Единые цены устанавливаются и регулируются федеральными органами исполнительной власти. Региональные цены устанавливаются органами исполнительной власти регионов и учитывают природно-климатические, географические, социально-экономические условия и особенности отдельных территорий. В соответствии с Указом Президента РФ «О мерах по упорядочению государственного регулирования цен (тарифов)» определены перечни продукции производственно-технического назначения, товаров народного потребления и услуг, по которым федеральным органам исполнительной власти, а также органам исполнительной власти субъектов РФ предоставляется право вводить государственное регулирование цен, тарифов и надбавок.



ПЛАНИРОВАНИЕ НА ПРЕДПРИЯТИИ


15.1. СУЩНОСТЬ И КРИТЕРИИ ФИНАНСОВОГО СОСТОЯНИЯ ПРЕДПРИЯТИЯ Оценка финансового состояния предприятия является в определенной мере новым явлением в отечественной экономической теории и практике. Эта необходимость обусловлена в первую очередь переходом нашей экономики на рыночные отношения. Уже наработан определенный опыт как в теории, так и на практике.*
* См.: Астахов В. П. Анализ финансовой устойчивости фирмы и процедуры, связанные с банкротством. М.: Ось-89, 1995; Шеремет А. Д., Сайфулин Р.С. Методика финансового анализа. М.: ИНФРО-М.
1995. и др.

Цель любой коммерческой организации получение максимальной прибыли, но это «узкое» толкование цели. На наш взгляд, в более широком понимании под основной целью деятельности коммерческой организации следует понимать обеспечение ее устойчивого финансового состояния, а получение максимальной прибыли является основой для достижения этой цели.
В современных условиях правильное определение реального финансового состояния предприятия имеет огромное значение не только для самих субъектов хозяйствования, но и для многочисленных акционеров, особенно будущих потенциальных инвесторов.
Финансовое состояние предприятия может быть хорошим, средним и плохим. Четких критериев для такой градации финансового состояния предприятия пока нет.
Финансовое состояние предприятия очень емкое понятие, и вряд ли можно его охарактеризовать одним каким-то критерием. Поэтому для характеристики финансового состояния предприятия применяются такие критерии, как финансовая устойчивость, платежеспособность, ликвидность баланса, кредитоспособность, рентабельность (прибыльность) и др.
Финансовая устойчивость предприятия такое состояние его финансовых ресурсов, их распределение и использование, которое обеспечивает развитие предприятия на основе роста прибыли и капитала при сохранении платежеспособности и кредитоспособности в условиях допустимого уровня риска.*
* Родионова В. М., Федотова М. А. Финансовая устойчивость предприятия в условиях инфляции. М.: Перспектива, 1995.

Под общей устойчивостью предприятия можно понимать и такое его состояние, когда предприятие стабильно, на протяжении достаточно длительного периода времени выпускает и реализует конкурентоспособную продукцию, получает чистую прибыль, достаточную для производственного и социального развития предприятия, является ликвидным и кредитоспособным.
Из этих определений можно сделать вывод, что финансовая устойчивость является комплексным и наиболее важным критерием, характеризующим финансовое состояние предприятия.
Платежеспособность это возможность предприятия расплачиваться по своим обязательствам. При хорошем финансовом состоянии предприятие устойчиво платежеспособно; при плохом периодически или постоянно неплатежеспособно. Самый лучший вариант, когда у предприятия всегда имеются свободные денежные средства, достаточные для погашения имеющихся обязательств.
Но предприятие является платежеспособным и в том случае, когда свободных денежных средств у него недостаточно или они вовсе отсутствуют, но предприятие способно быстро реализовать свои активы и расплатиться с кредиторами.
Поскольку одни виды активов обращаются в деньги быстрее, другие медленнее, необходимо группировать активы предприятия по степени их ликвидности, т.е. по возможности обращения в денежные средства.
К наиболее ликвидным активам относятся сами денежные средства предприятия и краткосрочные финансовые вложения в ценные бумаги. Следом за ними идут быстрореализуемые активы депозиты и дебиторская задолженность. Более длительного времени требует реализация готовой продукции, запасов сырья, материалов и полуфабрикатов, которые относятся к медленно реализуемым активам. Наконец, группу труднореализуемых активов образуют земля, здания, оборудование,
продажа которых требует значительного времени, а поэтому осуществляется крайне редко.
Сгруппированные по степени ликвидности активы представлены на 15.1.
ПЛАНИРОВАНИЕ НА ПРЕДПРИЯТИИ

15.1. Классификация активов предприятия
Для определения платежеспособности предприятия с учетом ликвидности его активов обычно используют баланс. Анализ ликвидности баланса заключается в сравнении размеров средств по активу, сгруппированных по степени их ликвидности, с суммами обязательств по пассиву, сгруппированными по срокам их погашения.
Пассивы баланса по степени срочности их погашения можно подразделить следующим образом:
П1 наиболее срочные обязательства (кредиторская задолженность);
П2 краткосрочные пассивы (краткосрочные кредиты и займы);
П3 долгосрочные кредиты и займы, арендные обязательства и др.;
П4 постоянные пассивы (собственные средства, за исключением арендных обязательств и задолженности перед учредителями).
Классификация активов и пассивов баланса, которая разработана А. Д. Шереметом и другими, их сопоставление позволяют дать оценку ликвидности баланса.
Ликвидность баланса это степень покрытия обязательств предприятия такими активами, срок превращения которых в денежные средства соответствует сроку погашения обязательств.
Баланс считается абсолютно ликвидным, если:
А1 П1, то наиболее ликвидные активы равны наиболее срочным обязательствам или перекрывают их;
А2 П2, то быстрореализуемые активы равны краткосрочным пассивам или перекрывают их;
А3 П3, то медленнореализуемые активы равны долгосрочным пассивам или перекрывают их;
А4 П4, то постоянные пассивы равны труднореализуемым активам или перекрывают их.
Одновременное соблюдение первых трех правил обязательно влечет за собой достижение и четвертого, ибо если совокупность первых трех групп активов больше (или равна) суммы первых трех групп пассивов баланса (т.е. [А1 + А2 + А3] [П1 + П2 + П3]), то четвертая группа пассивов обязательно перекроет (или будет равна) четвертую группу активов (т.е. А4 П4). Последнее положение имеет глубокий экономический смысл: когда постоянные пассивы перекрывают труднореализуемые активы, соблюдается важное условие платежеспособности наличие у предприятия собственных оборотных средств, обеспечивающих бесперебойный воспроизводственный процесс; равенство же постоянных пассивов и труднореализуемых активов отражает нижнюю границу платежеспособности за счет собственных средств предприятия.
Важными критериями, характеризующими финансовое состояние предприятия, как было уже сказано, являются его рентабельность и кредитоспособность.
Под кредитоспособностью предприятия понимаются его возможности в получении кредита и способности его своевременного погашения за счет собственных средств и других финансовых ресурсов.
Для достижения и поддержания финансовой устойчивости предприятия важна не только абсолютная величина прибыли, но и ее уровень относительно вложенного капитала или затрат предприятия, т.е. рентабельность (прибыльность).
Финансовое состояние предприятия зависит от многих факторов, которые можно классифицировать как зависящие (внутренние) и не зависящие (внешние) от деятельности самого предприятия.
К внутренним факторам можно в первую очередь отнести способность руководителей предприятия и его менеджеров эффективно управлять предприятием с целью достижения рационального использования всех ресурсов, выпуска конкурентоспособной продукции и на этой основе устойчивого финансового состояния предприятия.
Внешние факторы зависят в основном от проводимой экономической политики государства: финансово-кредитной, налоговой, амортизационной, протекционистской и внешнеэкономической, которая в конечном итоге создает благоприятные или плохие экономические условия хозяйствования.
Высшей формой устойчивости предприятия является его способность развиваться в условиях изменяющейся внутренней и внешней среды.
15.2. ПОКАЗАТЕЛИ, ХАРАКТЕРИЗУЮЩИЕ ФИНАНСОВОЕ СОСТОЯНИЕ ПРЕДПРИЯТИЯ. МЕТОДИКА ИХ РАСЧЕТА Финансовое состояние характеризуют многие показатели, которые можно, исходя из их назначения, объединить в следующие группы.
I. Показатели платежеспособности:
коэффициент абсолютной ликвидности;
промежуточный коэффициент покрытия;
общий коэффициент покрытия.
II. Показатели финансовой устойчивости:
коэффициент собственности (независимости);
доля заемных средств;
соотношение заемных и собственных средств.
III. Показатели деловой активности:
общий коэффициент оборачиваемости;
скорость оборота;
оборачиваемость собственных средств.
IV. Показатели рентабельности:
имущество предприятия;
собственные средства;
производственные фонды;
долгосрочные и краткосрочные финансовые вложения;
собственные и долгосрочные заемные средства;
норма балансовой прибыли;
чистая норма прибыли.
Исходными данными для расчета показателей всех этих групп в основном являются данные бухгалтерского баланса предприятия и формы № 2.
Анализ финансового состояния предприятия необходим не только для того, чтобы знать, в каком положении находится предприятие на тот или иной отрезок времени, но и для эффективного управления с целью обеспечения финансовой устойчивости предприятия.
Остановимся более подробно на сущности и методике расчета вышеупомянутых показателей.
Методика расчета показателей платежеспособности. В целом показатели платежеспособности характеризуют возможность предприятия в конкретный момент времени рассчитаться с кредиторами по краткосрочным платежам собственными средствами.



ПРИНЦИПЫ И МЕТОДЫ ПЛАНИРОВАНИЯ НА ПРЕДПРИЯТИИ


16.1. ПРИНЦИПЫ И МЕТОДЫ ПЛАНИРОВАНИЯ НА ПРЕДПРИЯТИИ Планирование и прогнозирование являются важнейшими составными частями управления предприятием, и без них вряд ли возможна успешная работа предприятия. Они позволяют:
предвидеть перспективу развития предприятия на будущее;
более рационально использовать все ресурсы предприятия;
избежать риска банкротства;
более целеустремленно и эффективно проводить научно-техническую политику на предприятии;
своевременно обновлять и модернизировать выпускаемую продукцию и повышать ее качество в соответствии с конъюнктурой рынка;
повышать эффективность производства и улучшать финансовое состояние предприятия.
Но для того чтобы прогнозирование и планирование могли выполнять эти функции, они должны быть построены на научных принципах и методах.
Под принципами планирования понимаются основные теоретические положения, которыми следует руководствоваться в процессе планирования на предприятии.
К основным принципам планирования относятся:
непрерывность планирования. Этот принцип означает, что на предприятии должны разрабатываться долгосрочные, среднесрочные и краткосрочные (годовые) планы. Среднесрочные и долгосрочные планы должны систематически пересматриваться и корректироваться с учетом изменившихся обстоятельств, а годовые планы должны вытекать из среднесрочных планов. Этим достигается непрерывность планирования на предприятии;
научность. Этот принцип означает, что планирование должно осуществляться на научной основе, т.е. на достоверной информации и научно проверенных методах. Кроме того, этот принцип означает, что в планах должны использоваться самые последние достижения в науке и технике, а также передовые методы работы отдельных предприятий, появившиеся в мировом сообществе государств;
нацеленность планов на рациональное использование всех ресурсов предприятия, на повышение эффективности производства и на достижение максимальной прибыли;
принцип ведущих звеньев и приоритетность их реализации. Это означает, что на предприятии всегда необходимо выбирать ведущие звенья, от реализации которых зависит успех дела, и стремиться их реализовать в первую очередь. Выбор ведущих звеньев должен основываться на глубоком анализе состояния дел на предприятии, и это под силу только настоящим менеджерам;
принцип взаимной увязки и координации. Планирование должно охватывать все производственные подразделения предприятия с целью обеспечения сбалансированности в работе между ними.
В отечественной практике применяются различные методы планирования на предприятии:
балансовый метод, наиболее широко используется при планировании на народнохозяйственном уровне. Он применяется и на уровне предприятия. При использовании этого метода составляются следующие виды балансов:
материальные (балансы топлива, электроэнергии, оборудования, строительных материалов и т.д.);
трудовые (баланс рабочей силы);
финансовые (баланс денежных доходов и расходов, бухгалтерский баланс, кассовый план и др.);
нормативный метод, сущность его заключается в том, что при планировании применяется целая система норм и нормативов использования ресурсов предприятия (нормы расхода сырья и материалов, нормы выработки и обслуживания, трудоемкость, нормы численности, нормативы использования машин и оборудования, нормативы организации производственного процесса, длительность производственного цикла, запасы сырья, материалов и топлива, незавершенного производства).
Этот метод может успешно применяться только, если используется прогрессивная нормативная база, т.е. когда нормы и нормативы пересмотрены с учетом планируемых мероприятий по внедрению новой техники и технологии, а также совершенствованию организации производства и труда;
программно-целевой метод, в основном используется при планировании НТП, так как он позволяет:
сосредоточить и направить ресурсы предприятия на выполнение важнейших научно-технических программ;
обеспечить сквозное планирование от идеи до внедрения в производство;
увязать реализацию научно-технических программ с планом экономического и социального развития предприятия;
метод планирования по технико-экономическим факторам, применяется в основном при планировании издержек производства и реализации продукции, производственной программы и других разделов плана экономического и социального развития предприятия.
При этом методе планирования учитываются следующие факторы:
технические (внедрение новой техники и технологии, новых материалов, реконструкция и техническое перевооружение предприятия и др.);
совершенствование организации производства и труда;
изменение объема производства, номенклатуры и ассортимента выпускаемой продукции;
инфляция;
особые факторы, связанные со спецификой предприятия и производства.
Этот метод применяется при разработке производственной программы, плана по труду и кадрам, планов по издержкам производства и реализации продукции.
Как правило, при планировании на предприятии используется не один метод из вышеперечисленных, а весь их комплекс.
16.2. ОСНОВНЫЕ РАЗДЕЛЫ ПЛАНА ЭКОНОМИЧЕСКОГО И СОЦИАЛЬНОГО РАЗВИТИЯ ПРЕДПРИЯТИЯ И ИХ СОДЕРЖАНИЕ При плановой экономике каждое предприятие на основе контрольных цифр, которые доводились ему вышестоящей организацией, по строго определенной методике разрабатывало техпромфинплан, который состоял из 13 разделов.
С переходом на рыночные отношения предприятиям уже никто не устанавливает контрольные цифры и не требует представить к определенному сроку план экономического и социального развития. Почувствовав свободу и бесконтрольность, некоторые предприятия стали меньше внимания уделять прогнозированию и планированию своей деятельности, и это была одна из первых и весьма существенных их ошибок. Как показывает анализ, такие предприятия в своем значительном большинстве оказались в тяжелом финансовом положении или стали банкротами.
В настоящее время не существует какой-то строгой, официально утвержденной методологии по составлению плана экономического развития предприятия. Поэтому на многих предприятиях к этому процессу подходят по-разному, особенно это касается количества разделов плана.
Но на большинстве предприятий план экономического и социального развития состоит из следующих разделов:
план производства и реализации продукции (услуг); этот раздел еще называется производственной программой;
план научно-технического прогресса;
план инвестиций;
план материально-технического обеспечения;
план по труду и кадрам;
план по издержкам производства и реализации продукции;
финансовый план;
план социального развития коллектива предприятия;
план мероприятий по охране природы и рациональному использованию природных ресурсов.
Многие из этих разделов плана рассмотрены в соответствующих главах учебника. Поэтому более детально остановимся на производственной программе предприятия.
Под производственной программой предприятия понимается научно обоснованное плановое задание по объему, номенклатуре, ассортименту и качеству выпускаемой продукции, разработанное на основе заключенных договоров и утвержденное на предприятии соответствующим органом.
Производственная программа состоит из следующих разделов:
I. Плановое задание по объему, номенклатуре и ассортименту выпускаемой продукции.
II. Плановое задание по качеству выпускаемой продукции.
III. План по специализации и кооперированию.
При разработке производственной программы необходимо соблюдать следующие принципы:
научное обоснование использования производственных мощностей, материальных, трудовых и финансовых ресурсов;
систематическое обновление номенклатуры и ассортимента выпускаемой продукции и повышение ее качества;
согласованность производственной программы предприятия с производственными программами других предприятий, тесно связанных по линии кооперирования;
наиболее полное и рациональное использование всех имеющихся ресурсов на предприятии;
непрерывное наращивание выпуска и реализации продукции, если на нее имеется спрос.
Основой для разработки производственной программы являются результаты маркетинговых исследований, портфель заказов, наличие производственных мощностей и ресурсов на предприятии.
Производственную программу характеризуют следующие показатели: количественные и качественные, натуральные и стоимостные.
Количественные (объемные) показатели: объем реализации, объем товарной, валовой и чистой продукции.
Объем реализуемой продукции по плану (Vp) можно определить по формуле
ПРИНЦИПЫ И МЕТОДЫ ПЛАНИРОВАНИЯ НА ПРЕДПРИЯТИИ

где Vт объем товарной продукции по плану;
Vнп1 , Vнп2 остатки нереализованной продукции на начало и конец планового периода.
Товарная продукция это готовая продукция, предназначенная для реализации на сторону, а также для удовлетворения собственных нужд как производственного, так и непроизводственного характера. Объем валовой продукции (Vв) включает в себя объем товарной продукции и разницу незавершенного производства, полуфабрикатов и инструмента своего производства на начало и конец планового периода.
Объем чистой продукции (Vчп) может быть определен из выражения
ПРИНЦИПЫ И МЕТОДЫ ПЛАНИРОВАНИЯ НА ПРЕДПРИЯТИИ

где МЗ материальные затраты;
А амортизация.
Качественные показателя: сортность, марка, содержание полезного компонента, доля продукции, соответствующая мировым стандартам и превышающая их, доля экспортной продукции, важнейшие технические параметры выпускаемой продукции.



РОЛЬ ПРОМЫШЛЕННОСТИ В РАЗВИТИИ ЭКОНОМИКИ СТРАНЫ


2.1. НЕОБХОДИМОСТЬ ГОСУДАРСТВЕННОГО РЕГУЛИРОВАНИЯ ЭКОНОМИКИ СТРАНЫ Предпринимательская деятельность и экономика страны в значительной степени зависят от государственной политики. Своими действиями государство может существенно затормозить или ускорить эти процессы.
Рыночная экономика, несмотря на ее многие положительные черты, не способна автоматически регулировать все экономические и социальные процессы в интересах всего общества и каждого гражданина. Она не обеспечивает социально справедливое распределение дохода, не гарантирует право на труд, не нацеливает на охрану окружающей среды и не поддерживает незащищенные слои населения.
Частный бизнес не заинтересован вкладывать капитал в такие отрасли и такие проекты, которые не приносят достаточно высокой прибыли, но для общества и государства они просто жизненно необходимы. Рыночная экономика не решает и многие другие актуальные проблемы. И обо всем этом должно позаботиться государство.
Прерогативой государства является и обеспечение надлежащего правопорядка в стране и ее национальной безопасности, что, в свою очередь, является основой для развития предпринимательства и экономики.
Таким образом, экономика в любой стране не может нормально развиваться, если государство не обеспечило соответствующие условия для этого.
Затянувшийся экономический кризис в нашей стране, характеризующийся спадом производства, инфляцией, социальной напряженностью в обществе и совпавший по времени с переходом на рыночную экономику, во многом обусловлен слабым, а порой и некомпетентным вмешательством государства в происходящие экономические процессы, тем самым государство не выполняет важнейшие свои функции, которые на него возлагаются.
На государство возлагаются следующие основные функции:
1. Создание правовой основы. Известно, что без правовой основы экономика, да и общество в целом не могут нормально развиваться. Государство разрабатывает и принимает законы, определяющие право собственности, регулирующие предпринимательскую деятельность, обеспечивающие качество продукции и т.д.
При помощи правовой основы государство обеспечивает законные «правила игры», регулирующие отношения между субъектами предпринимательской деятельности.
2. Обеспечение надлежащего правопорядка в стране и ее национальной безопасности. Государство должно обеспечить права и безопасность каждого гражданина, общества в целом и всех субъектов рыночной экономики. Если государство должным образом не выполняет эту функцию, то в стране создаются условия для развития криминальной обстановки: уголовной преступности, мафии, коррупции, взяточничества и других негативных явлений, что пагубно влияет на предпринимательскую деятельность и экономику в целом.
3. Стабилизация экономики. Под стабилизацией понимается устойчивое развитие экономики, т.е. когда достигаются и поддерживаются на оптимальном уровне основные макроэкономические показатели: объем ВНП и национальный доход, уровень инфляции и безработицы, дефицит бюджета и др. Для обеспечения стабилизации экономики государство обязано использовать все имеющиеся в его распоряжении рычаги и методы путем проведения соответствующей фискальной, финансово-кредитной, научно-технической и инвестиционной политики.
Если государство не будет добиваться стабилизации экономики, то это самым существенным образом и в негативном плане может повлиять на предпринимательскую деятельность, экономику страны в целом, социальную обстановку и другие процессы.
Так, например, если государство не будет бороться с инфляцией, то она вообще может парализовать экономику страны. Инфляция вызывает такие негативные последствия:
снижение конкурентоспособности национальных товаров, что приводит к дефициту платежного баланса, упадку промышленного производства, росту безработицы;
отток денег из страны, особенно иностранной валюты, что может положить начало валютной спекуляции;
девальвация валюты, что, в свою очередь, приводит к повышению цен на импортные товары и усиливает тем самым общий рост цен;
обесценение сбережений граждан;
снижение инвестиционной активности и др.
Даже из одного этого перечня можно сделать вывод о важности вмешательства государства для стабилизации экономики страны.
4. Обеспечение социальной защиты и социальных гарантий. Государство обязано проводить активную социальную политику, суть которой заключается в обеспечении гарантии всем работающим минимума заработной платы, пенсии по старости и инвалидности, пособий по безработице, различных видов помощи малоимущим, а также в осуществлении индексации фиксированных доходов в связи с инфляцией и др. Проводя эту политику, государство тем самым обеспечивает минимальный прожиточный уровень для всех граждан своей страны и не допускает социальной напряженности в обществе.
5. Защита конкуренции. В рыночной экономике конкуренция является одним из основных регулирующих инструментов. Она является основой прогресса во всех сферах экономики, заставляя производителей товаров и услуг внедрять все новое и передовое, улучшать качество продукции и снижать издержки на ее производство. Поэтому государство всей своей мощью должно стоять на защите конкуренции.
При конкуренции покупатели это хозяева; рынок их агент, а предприятие их слуга. В условиях монополии ситуация резко изменяется, и покупатель вместо хозяина превращается в слугу.
Для России проблема создания конкурентной среды и ее защиты является важной на современном этапе. Это связано с тем, что среда для настоящей конкуренции в нашей стране еще не создана, так как экономика в значительной степени является монополизированной. Выход из создавшегося положения очевиден. Демонополизация экономики создание конкурентной среды защита конкуренции.
И первую скрипку в решении этой триединой задачи должно сыграть государство.
6. Разработка, принятие и организация выполнения хозяйственного законодательства, т.е. правовой основы предпринимательства, налогообложения, банковской системы и т.д. Для выполнения этих и других функций государство использует все имеющиеся в его распоряжении рычаги и ресурсы.
2.2. УСЛОВИЯ И ПРЕДПОСЫЛКИ ГОСУДАРСТВЕННОГО ВМЕШАТЕЛЬСТВА Государство должно вмешиваться в экономику только в том случае, если имеются на то определенные условия и предпосылки. Они могут быть как позитивными, так и негативными.
Под негативными условиями понимается появление всякого рода отрицательных явлений и тенденций в различных сферах экономики, которые могут отрицательно повлиять на предпринимательскую деятельность и экономику страны в целом. Эти тенденции и явления очень разнообразны как по сущности, так и по силе негативного их влияния на экономику.
Роль государства заключается в своевременном выявлении этих тенденций и явлений, причин их возникновения и принятия соответствующих мер по их устранению.
Условиями для вмешательства государства могут быть: требования национальной безопасности; социальная напряженность в обществе; негативные явления в экономике (спад производства, инфляция, высокий уровень безработицы, структурная несбалансированность, дефицит бюджета, неконкурентоспособность отечественной продукции на мировом рынке, инвестиционный спад и т.п.); ухудшение окружающей среды и др.
Под предпосылками понимается еще не явное проявление негативных условий и тенденций в экономике и других сферах человеческой деятельности. В этом случае роль государства заключается в своевременном выявлении и устранении этих предпосылок. Это самый лучший вариант, так как государство еще в «зародыше» и с наименьшими усилиями и средствами устраняет возможность появления негативных явлений для развития предпринимательства и экономики страны.
Под позитивными понимается появление всякого рода положительных явлений и тенденций в различных сферах экономики. Роль государства в этом случае заключается в своевременном их выявлении и принятии определенных мер по их поддержанию.
Знание условий и предпосылок еще не достаточно для государственного вмешательства, государство должно знать их критерии, т.е. признаки, на основании которых можно было бы произвести оценку их качественного состояния.
Безработица. Она является неотъемлемым элементом рыночной экономики. Определенный ее уровень 46% численности рабочей силы считается нормальным, или оправданным, и называется естественным уровнем безработицы. Естественной считается фрикционная, или структурная, безработица.
Эта безработица связана с поиском более выгодной работы, с сезонными перерывами, а также с изменением спроса на те или иные профессии.
Поэтому государство должно вмешиваться в регулирование безработицы только в том случае, если она начинает превышать ее естественный уровень (46%), т.е. когда начинается так называемая циклическая безработица, связанная со спадом производства. Таким образом, критерием для безработицы является ее уровень, скорректированный на уровень естественной безработицы.
Инфляция. Как известно, инфляция это повышение общего уровня цен на товары и услуги, и как явление оно более сложное, чем безработица. Инфляция характерна для всех стран мира, так как цены на товары и услуги не являются постоянными величинами, а все время находятся в движении.



СПЕЦИАЛИЗАЦИЯ, КООПЕРИРОВАНИЕ И КОМБИНИРОВАНИЕ ПРОИЗВОДСТВА


3.1. ПРОМЫШЛЕННОСТЬ РФ И ЕЕ ВЕДУЩАЯ РОЛЬ В РАЗВИТИИ ЭКОНОМИКИ СТРАНЫ Россия имеет все условия для того, чтобы в самое ближайшее время стать одной из самых развитых стран мира. Жизненное ее пространство составляет 17,1 млн км2; это примерно в 1,5 раза больше территории США, Англии, Германии, Франции, Италии и Японии, вместе взятых.
Население России 148 млн человек; трудовые ресурсы почти 87 млн человек, в том числе 70% людей с высшим и средним образованием. Численность научных работников превышает 1 млн человек почти 70% общесоюзных.
Россия располагает почти всеми природными ресурсами, необходимыми для дальнейшего ее развития. Запасы лесных ресурсов России равны 81,6 млрд м3; на душу населения приходится 5 га леса (в США 0,8 га, в Канаде 8,6 га). Площадь сельскохозяйственных угодий составляет 650 млн га.
Экономика любой страны состоит из множества отраслей: промышленности, сельского хозяйства, транспорта, строительства, связи, торговли и др. Но основой, фундаментом ее является все же промышленность.
Промышленный потенциал России.
Промышленность является ведущей отраслью экономики по следующим причинам:
1) развитие промышленности, особенно таких отраслей, как электроэнергетика, машиностроение и химическая, является основой для ускорения НТП во всем народном хозяйстве;
2) промышленность, особенно ее тяжелая индустрия, является фундаментом всей экономики, основой для расширенного воспроизводства и экономического развития всех субъектов России;
3) обороноспособность государства в значительной мере определяется уровнем развития промышленности;
4) от развития легкой и пищевой промышленности зависит обеспеченность граждан страны товарами народного потребления.
Таким образом, промышленность является ведущей отраслью народного хозяйства и основой для повышения эффективности общественного производства.
Работа промышленности характеризуется количественными, качественными, стоимостными и натуральными показателями.
В табл. 3.1 показан выпуск важнейших видов промышленной продукции за 1990-1997 гг. в натуральном выражении. Эти данные свидетельствуют о тенденции спада производства важнейших видов продукции. Наибольший спад произошел в выпуске металлорежущих станков, особенно с программным управлением, кузнечно-прессовых машин, тракторов, комбайнов, телевизоров, обуви и др.
Общее снижение уровня промышленного производства к началу 1996 г. составило 51% по сравнению с началом 1990 г. Наиболее существенным падение было в отраслях, непосредственно ориентированных на конечный спрос населения (легкая промышленность - 83%, пищевая - 55%), сопряженных с инвестиционным комплексом (машиностроение -59%, лесная и деревообрабатывающая промышленность - 59%, промышленность стройматериалов - 58%).
Спад промышленного производства был связан с общим кризисом в экономике страны. А он, на наш взгляд, обусловлен следующими факторами:
распад СССР, что повлекло за собой разрыв кооперированных связей между производителями промышленной продукции бывших республик Союза;
в России не были созданы условия для перехода экономики на рыночные условия. Переход начал осуществляться в условиях монополизированной экономики, без создания необходимой рыночной инфраструктуры и соответствующего законодательства, без наличия реальной и научно обоснованной программы экономического и социального развития страны;
слабость государства. В период перехода на рыночные отношения на первом этапе государство практически не вмешивалось в экономику страны и не регулировало ее развитие в необходимом направлении;
Таблица 3.1
Производство важнейших видов промышленной продукции в экономике*

Наименование
1990
1991
1992
1993
1994
1995
1996
1997
Электроэнергия, млрд кВт.ч
1082
1068
1008
957
878
862
847
834
Нефть, млн т
516
462
399
354
318
307
301
306
Первичная переработка нефти, млн т
298
286
256
223
187
183
176
177
Естественный газ,млрд м3
641
643
641
618
607
595
601
571
Уголь, млн т
395
353
337
306
271
262
257
245
Чугун, млн т
59,4
48,9
46,1
40,9
36,1
39,2
37,1
38,3
Сталь, млн т
89,6
77,1
67,0
58,3
48,8
51,3
49,3
48,5
Готовый прокат черных металлов, млн т
63,7
55,1
46,8
42,7
35,8
39,1
38,9
37,8
Стальные трубы, млн т
11,9
10,5
8,1
5,8
3,6
3,7
3,5
3,5
Металлорежущие станки, тыс. шт.
74,2
67,5
53,4
41,9
19,0
16,1
12,1
9,4
в том числе с программным управлением
16,7
12,6
5,0
1,4
0,5
-
0,1
0,1
Кузнечно-прессовые машины, тыс. шт.
27,3
23,9
16,5
7,5
3,1
2,1
1,2
1,2
Тракторы, тыс. шт.
214
178
137
89,1
28,7
21,2
14,0
12,4
Комбайны, тыс. шт.
65,7
55,4
42,2
33,0
12
6,3
2,5
2,3
Минеральные удобрения (в пересчете на 100%питательных веществ),млн т
16,0
15,0
12,3
9,9
8,2
8,8
9,1
9,5
Химические волокна и нити, тыс. т
673
529
474
349
197
216
134,4
128,9
Синтетические смолы и пластические массы,тыс. т
3258
2963
2544
2246
1681
1785
1411
1578
Легковые автомобили,тыс. шт.
1103
1030
963
956
798
835
868
986
Обувь, млн пар
386
336
220
146
75
52,5




Телевизоры, тыс. шт,
4717
4439
3672
3387
2189
982
313
327
Холодильники и морозильники, тыс. шт.
3774
3710
3184
3481
2631
1744
1064
1186
Стиральные машины,тыс. шт.
5419
5541
4289
3901
2133
1293
762
800

* Промышленность России: Стат. сб./Госкомстат России. - М., 1998.

криминализация экономики страны. Несовершенство хозяйственного законодательства, слабый контроль государственных органов за деятельностью хозяйствующих субъектов привели к развитию в России теневой экономики, у которой совершенно другие цели и задачи;
социальная и политическая напряженность в обществе, которая была вызвана многими причинами и, естественно, не способствовала нормальному функционированию экономики;
многие руководители предприятий, государственных учреждений, в том числе и в высших эшелонах власти, не имели опыта и не были способны эффективно управлять в условиях перехода к рыночным отношениям;
без разработки и осуществления продуманной протекционистской политики Россия настежь открыла свои границы, в результате чего в Россию хлынул поток импортных товаров, в том числе и недоброкачественных, что застало наши предприятия врасплох, и их продукция во многих случаях стала неконкурентоспособной;
в переходный период в России не были созданы условия для отечественных и иностранных инвесторов для вложения их капитала в развитие национальной экономики;
несовершенство налогового законодательства, которое усложняет деятельность непосредственных производителей продукции;
экономический кризис в России сопровождался инфляцией и гиперинфляцией, что значительно усложнило проблему выхода из кризиса.
Естественно, созданию кризисной обстановки в России способствовали и другие причины. Но из всего этого можно сделать основной вывод государство не разработало цивилизованные правила игры для всех субъектов рыночной экономики, не было должного контроля за их соблюдением.
3.2. СУЩНОСТЬ ОТРАСЛИ И ОТРАСЛЕВОЙ СТРУКТУРЫ ПРОМЫШЛЕННОСТИ Отраслевая дифференциация промышленности возникновение все новых и новых ее отраслей это постоянный процесс, обусловленный развитием общественного разделения труда.
Различают три формы общественного разделения труда: общее, частное и единичное:
общее разделение труда выражается в разделении общественного производства на крупные сферы материального производства (промышленность, сельское хозяйство, транспорт и пр.);
частное разделение труда проявляется в образовании различных самостоятельных отраслей внутри промышленности, сельского хозяйства и других отраслей материального производства;
единичное разделение труда находит свое выражение в разделении труда непосредственно на предприятии.
Все формы общественного разделения труда взаимосвязаны. Под влиянием общего разделения труда осуществляется частное разделение. Под влиянием частного разделения труда в связи со специализацией отдельных отраслей промышленности совершенствуется единичное разделение труда на предприятиях.
В свою очередь, в связи с концентрацией производства и техническим прогрессом единичное разделение труда оказывает влияние на возникновение новых отраслей промышленности.
Промышленность состоит из множества отраслей и производств, взаимосвязанных между собой. Основными признаками, отличающими одну отрасль промышленности от другой, являются: экономическое назначение производимой продукции, характер потребляемых материалов, техническая база производства и технологический процесс, профессиональный состав кадров. По этим же признакам различаются и отдельные производства.
Отрасль промышленности представляет собой совокупность предприятий, характеризующихся единством экономического назначения производимой продукции, однородностью потребляемых материалов, общностью технической базы и технологических процессов, особым профессиональным составом кадров, специфическими условиями работы.



НАУЧНО-ТЕХНИЧЕСКИЙ ПРОГРЕСС


5.1. СУЩНОСТЬ, ФОРМЫ И ПОКАЗАТЕЛИ УРОВНЯ СПЕЦИАЛИЗАЦИИ И КООПЕРИРОВАНИЯ ПРОИЗВОДСТВА Специализация это процесс сосредоточения выпуска определенных видов продукции в отдельных отраслях промышленности, на отдельных предприятиях и их подразделениях, т.е. это процесс производства однородной продукции или выполнения отдельных технологических операций.
Специализация производства представляет собой одну из форм разделения общественного труда и организации производства. В промышленности частное разделение труда означает деление промышленности на отрасли и дальнейшую их дифференциацию, с одной стороны, и специализацию предприятий с другой.
Единичное разделение труда представляет собой специализацию внутри предприятия. Специализация предприятий и цехов происходит в результате обособления производств однородных готовых изделий, а также производства отдельных составных частей продукции и отдельных операций технологического процесса по их изготовлению.
В промышленности различают следующие формы специализации:
предметная специализация. Ее сущность заключается в том, что предприятия специализируются на выпуске готовой продукции (тракторов, автомобилей, самолетов и т.п.);
подетальная специализация. В этом случае предприятие специализируется на производстве отдельных деталей, узлов и агрегатов. Примером такой специализации может служить подшипниковый, карбюраторный и другие подобные им заводы;
стадийная, или технологическая, специализация. При такой форме предприятия специализируются на выполнении лишь отдельных стадий технологического процесса, например, прядильные фабрики, изготавливающие пряжу для ткацких предприятий, литейные, кузнечно-прессовые и сборочные производства в машиностроении;
специализация вспомогательных производств. К такой форме специализации можно отнести предприятия, которые заняты выпуском тары и упаковки, инструмента и оснастки, а также выполняющие ремонтные работы.
В зависимости от масштабности различают внутриотраслевую, межотраслевую и межгосударственную специализацию.
Высшей ступенью является межгосударственная специализация, т.е. специализация в рамках ближнего и дальнего зарубежья. Особенно актуально для России развитие специализации в рамках дальнего зарубежья, так как она слабо развита и на данном этапе более эффективна для нашего государства.
Для характеристики уровня и анализа специализации на практике используется ряд показателей:
коэффициент охвата производства. Он характеризует долю продукции специализированной отрасли в общем выпуске продукции данного вида;
коэффициент специализации, который характеризует долю основной (профильной) продукции в общем выпуске продукции отрасли, предприятия, цеха;
коэффициент подетальной специализации, характеризующий долю продукции подетально (технологически) специализированных предприятий и цехов в общем выпуске продукции отрасли, предприятия, цеха;
широта номенклатуры и ассортимента выпускаемой продукции. Чем шире номенклатура и ассортимент выпускаемой продукции на предприятии и в цехе, тем ниже уровень специализации.
Специализация тесно связана с кооперированием производства. По сути, это две стороны одного процесса, поэтому в экономическом плане их необходимо рассматривать в единстве.
Кооперирование это длительные производственные связи между предприятиями, выпускающими какую-то сложную продукцию.
В соответствии с формами специализации в промышленности различают три формы кооперирования:
предметное, или агрегатное, кооперирование, заключающееся в том, что ряд предприятий поставляет разные изделия (электромоторы, генераторы, редукторы и др.) головным заводам, выпускающим машины и оборудование;
подетальное кооперирование, когда ряд специализированных предприятий поставляет головному заводу узлы и детали (подшипники, втулки, поршневые кольца и т. д.);
технологическое, или стадийное, кооперирование, выражающееся в поставках одними предприятиями полуфабрикатов головным заводам (пряжи ткацким фабрикам; поковок, отливки машиностроительным заводам).
Основным показателем уровня кооперирования является доля стоимости полуфабрикатов, заготовок, деталей и узлов, получаемых от других предприятий в порядке кооперирования, в общей стоимости продукции предприятия.
Косвенным показателем уровня кооперирования является количество предприятий, с которыми кооперируются головные предприятия.
В определенной мере уровень кооперирования характеризует и радиус кооперирования, который определяется как средневзвешенная величина.
С точки зрения отраслевой принадлежности и территориального расположения кооперирующихся между собой заводов различают следующие виды связей по кооперированию между промышленными предприятиями:
внутрирайонные, когда кооперируются предприятия, расположенные в одном экономическом (административном) районе, вне зависимости от отраслевой принадлежности;
межрайонные, когда кооперируются предприятия, расположенные в различных экономических (административных) районах;
внутриотраслевые, когда кооперируются предприятия одной отрасли, и межотраслевые при кооперировании заводов разных отраслей.
С точки зрения приближения поставщиков к потребителям и сокращения транспортных расходов наиболее выгодным является внутрирайонное кооперирование. Однако в современных условиях развития науки и техники, глубокого общественного разделения труда невозможно обойтись только внутрирайонным кооперированием, особенно в машиностроении. Современные машины сложные изделия, состоящие из тысяч и десятков тысяч деталей. Их создание вызывает необходимость кооперирования с предприятиями многих отраслей промышленности, расположенных в разных районах.
Важно на основе конкретных технико-экономических расчетов выбирать наиболее оптимальные варианты кооперирования.
5.2 ЭКОНОМИЧЕСКАЯ ЭФФЕКТИВНОСТЬ СПЕЦИАЛИЗАЦИИ И КООПЕРИРОВАНИЯ ПРОИЗВОДСТВА Развитие специализации и кооперирования оказывает самое существенное воздействие на эффективность общественного производства и отдельного предприятия в силу следующих обстоятельств:
специализация является основой для механизации и автоматизации производства;
на специализированных предприятиях, как правило, выше качество продукции, нежели если бы эта продукция выпускалась на неспециализированных предприятиях;
на специализированных предприятиях больше возможностей для применения более производительной техники и технологии и наиболее эффективного их использования;
специализация позволяет снизить издержки на производство продукции за счет более высокого уровня механизации и автоматизации труда, использования более квалифицированной рабочей силы и концентрации производства;
развитие специализации обусловливает необходимость объективного развития стандартизации и унификации производства;
специализация позволяет даже на мелких предприятиях механизировать и автоматизировать производство и обеспечить высокую эффективность.
Экономический эффект (Э) от развития специализации и кооперирования можно определить по формуле
НАУЧНО-ТЕХНИЧЕСКИЙ ПРОГРЕСС
,
где С1, С2 себестоимость единицы продукции до и после специализации;
Зтр1 Зтр2 транспортные расходы на единицу продукции до и после специализации;
V2 объем выпуска продукции после специализации;
Ен нормативный коэффициент эффективности капитальных вложений;
К дополнительные капитальные вложения, необходимые для осуществления специализации производства;
П дополнительная прибыль, полученная за счет улучшения качества продукции вследствие специализации производства.
Развитие специализации и кооперирования производства приносит не только положительный эффект, но и отрицательный.
К недостаткам специализации и кооперирования следует прежде всего отнести следующие моменты:
рост транспортных расходов на единицу продукции вследствие увеличения радиуса кооперирования;
монотонность в работе, поэтому в этом случае необходимо принимать определенные меры по снижению отрицательного воздействия этого явления на работника.
Все вышеперечисленные положительные и отрицательные стороны необходимо учитывать при планировании и развитии специализации и кооперирования с целью нахождения оптимального варианта.
5.3. СУЩНОСТЬ, ФОРМЫ И ПОКАЗАТЕЛИ УРОВНЯ КОМБИНИРОВАНИЯ ПРОИЗВОДСТВА Комбинирование производства представляет процесс выпуска разнородной продукции на предприятии за счет последовательности выполнения технологических стадий обработки сырья, комплексного использования сырья и отходов производства.
Различают три основные формы комбинирования, основанные:
на последовательном выполнении технологических стадий обработки сырья (металлургический комбинат, на котором осуществляются такие технологические стадии обработки, как «железная руда чугун сталь прокат»);
на использовании отходов производства (сочетание цветной металлургии с химической промышленностью путем использования отходов, возникающих при переработке руды (сернистого ангидрида) для производства серы);
на комплексном использовании сырья, материалов, энергии и отходов. Примером этой формы комбинирования могут служить: нефтехимические комбинаты, в которых осуществляются комплексная химическая переработка нефти и попутных газов, нефтедобыча и нефтепереработка для производства синтетических материалов; железорудные горно-обогатительные комбинаты, на которых кроме добычи и обогащения кварцитов используются вскрышные породы для выпуска самой различной продукции щебня, цемента, кирпича, мела и других строительных материалов.



ИНВЕСТИЦИИ


6.1. СУЩНОСТЬ НАУЧНО-ТЕХНИЧЕСКОГО ПРОГРЕССА И НАУЧНО-ТЕХНИЧЕСКОЙ РЕВОЛЮЦИИ. ОСОБЕННОСТИ СОВРЕМЕННОЙ НАУЧНО-ТЕХНИЧЕСКОЙ РЕВОЛЮЦИИ В учебной и специальной литературе нет однозначного толкования сущности НТП и НТР.
Но в обобщенном плане можно дать следующие определения этим понятиям.
НТП это непрерывный процесс внедрения новой техники и технологии, организации производства и труда на основе достижений и реализации научных знаний. Понятие НТП шире, чем понятие НТР. Научно-техническая революция это составная часть НТП.
НТР это высшая ступень НТП, означает коренные изменения в науке и технике, оказывающие существенное влияние на общественное производство.
Таким образом, НТР это составная и более существенная по значимости часть НТП. Но если НТП может развиваться как на эволюционной, так и революционной основе, то НТР это скачкообразный процесс. Схематично этот процесс показан на 6.1.
Различают макро- и микрореволюцию.
Макро революция, результаты которой самым коренным образом затрагивают все общественное производство или многие его сферы. Примерами макрореволюции могут быть электрификация, внедрение ЭВМ, радиофикация и др.;
Микро революция, результаты которой затрагивают только отдельные отрасли народного хозяйства или промышленности, например бездоменное получение стали в черной металлургии, ГПС в машиностроении и др.
ИНВЕСТИЦИИ

6.1. Развитие НТП
Таким образом, основными отличиями макро- от микрореволюции являются масштабность распространения и значимость результатов НТР.
За все время существования и развития человечества происходило много научно-технических революций, и этапы этого развития называются по эволюции применяемых орудий труда: каменный век, бронзовый век, железный век. Многие ученые и специалисты говорят о том, что на смену железному веку, в котором мы сейчас живем, придет век легких металлов. Наш век чаще всего называют веком атома, кибернетики, ЭВМ и т.п.
Современная НТР существенно отличается от предшествующих по качественным параметрам и масштабности применяемых новых орудий труда и технологических процессов. Она имеет целый ряд особенностей, которые отличают ее от предшествующих. Эти особенности следующие:
превращение науки в непосредственную производительную силу общества. Известно, что к производительным силам относятся средства производства (орудия + предметы труда) и рабочая сила. Но из этого не следует, что наука превращается в четвертый элемент производительных сил общества, она просто самым существенным образом влияет на каждый из этих элементов в качественном плане, тем самым усиливая каждый из них, а следовательно, и производительные силы общества в целом;
сокращение временного интервала с момента появления открытий и изобретений до их реализации на практике. Например, человечеству потребовалось 112 лет, чтобы фотография из научной сферы стала применяться на практике, для электродвигателя 56 лет, квантового генератора 2 года. Но это не значит, что сейчас все открытия и изобретения можно реализовать на практике за столь короткое время;
опережение развития науки, т.е. теория опережает практику. А из этого следует очень важный вывод, что сейчас можно достаточно точно спрогнозировать, какая техника и технология появятся в реальной жизни через 51020 и более лет;
расширение границ проникновения современной НТР и ее масштабность; современная наука все глубже проникает в познание космоса, земли и океана, атома и человека и других сфер.
Масштабность НТР означает не только масштабы этого познания, но и масштабы реализации.
Современная НТР, как и предыдущие, в первую очередь затронула орудия труда и слабо коснулась технологии, предметов труда и управления. И если она по-настоящему затронет эти элементы производства, то экономические и социальные последствия будут еще более значительными. Поэтому центр тяжести научных и прикладных исследований необходимо переориентировать именно на эти направления.
6.2. ОСНОВНЫЕ НАПРАВЛЕНИЯ НТП Любое государство, чтобы обеспечить эффективную экономику и не отстать в своем развитии от других стран, должно проводить единую государственную научно-техническую политику.
Единая научно-техническая политика система целенаправленных мер, обеспечивающих комплексное развитие науки и техники и внедрение их результатов в экономику. Для этого необходим выбор приоритетов в развитии науки и техники и тех отраслей, в которых в первую очередь должны быть реализованы научные достижения. Это связано и с ограниченностью ресурсов государства на проведение крупномасштабных исследований по всем направлениям НТП и их реализацией на практике.
Таким образом, государство на каждом этапе своего развития должно определять основные направления НТП, обеспечивать условия для их внедрения.
Основные направления НТП это такие направления развития науки и техники, реализация которых на практике обеспечит в самый короткий срок максимум экономической и социальной эффективности.
Различают общегосударственные (общие) и отраслевые (частные) направления НТП. Общегосударственные направления НТП, которые на данном этапе и на перспективу являются приоритетными для страны или группы стран. Отраслевые направления направления НТП, которые являются важнейшими и приоритетными для отдельных отраслей народного хозяйства и промышленности.
Например, для угольной промышленности характерны одни направления НТП, для машиностроения другие исходя из их специфики.
В свое время были определены следующие направления НТП как общегосударственные: электрификация народного хозяйства; комплексная механизация и автоматизация производства; химизация производства. Важнейшим, или определяющим, из всех этих направлений является электрификация, так как без нее немыслимы другие направления НТП. Необходимо отметить, что для своего времени это были удачно выбранные направления НТП, что сыграло положительную роль для ускорения, развития и повышения эффективности производства.
Они являются важными и на данном этапе развития общественного производства, поэтому остановимся на них более подробно.
Электрификация процесс производства и широкого использования электроэнергии в общественном производстве и быту. Это двусторонний процесс: с одной стороны, производство электроэнергии, с другой ее потребление в различных сферах, начиная от производственных процессов, происходящих во всех отраслях народного хозяйства, и кончая бытом. Эти стороны неотделимы друг от друга, поскольку производство и потребление электроэнергии совпадают во времени, что обусловливается физическими особенностями электричества как формы энергии.
Поэтому сущность электрификации состоит в органическом единстве производства электроэнергии и замены ею других форм энергии в различных сферах общественного производства, в той или иной мере использующих энергию. Поскольку электрификация это единство производства и потребления электроэнергии, изучение экономических проблем этого процесса не должно ограничиваться одной какой-либо его стороной, что, к сожалению, имеет место до настоящего времени.
Важность дальнейшего развития электрификации обусловливается многими причинами, но основными из них являются:
преимущество электроэнергии по сравнению с другими видами энергии. Оно состоит в том, что электроэнергия легко передается на большие расстояния, обеспечивает большую скорость и интенсивность производственных процессов, может делиться и концентрироваться в любых количествах, превращаться в другие виды энергии (механическую, тепловую, световую и др.);
уровень электрификации еще не соответствует потребностям страны;
возможности электрификации в развитии производительных сил страны еще далеко не исчерпаны.
По сути, завершился только первый этап электрификации, на котором использовались физические свойства электричества превращаться в механический и световой виды энергии. Это позволило электрифицировать главным образом силовые процессы, использующие энергию как двигательную силу. Закончился процесс вытеснения электричеством всех других энергоносителей и в освещении.
Электрификация силовых процессов коренным образом преобразила двигательный аппарат и в соответствии с ним орудия труда отраслей материального производства, прежде всего промышленности.
Однако на первом этапе электрификация не затронула другие функциональные элементы производственного процесса, прежде всего технологические принципы обработки предметов труда. Электрическая энергия участвует в этих процессах только косвенно, преобразуясь в механическую энергию. Конечно, по мере совершенствования орудий труда развивались отдельные стороны и элементы технологии, однако принципиальные основы ее не изменились.
Необходимые формы и физические свойства предмету труда до сих пор придаются механическими воздействиями на него (резанием, сверлением, шлифованием и т.д.) при помощи различных орудий труда. Это ставит определенные преграды для дальнейшего повышения производительности труда.
Наконец, нынешняя технология весьма расточительна и в отношении овеществленного труда, так как вызывает большие отходы обрабатываемого сырья. Так, около 2531% потребляемых машиностроением черных металлов выбрасывается в отходы в виде стружки, опилок, угара.



ОСНОВНЫЕ СРЕДСТВА ПРЕДПРИЯТИЙ


8.1. СУЩНОСТЬ, КЛАССИФИКАЦИЯ, СТРУКТУРА И ЗНАЧЕНИЕ КАПИТАЛЬНЫХ ВЛОЖЕНИЙ Инвестиции - относительно новый для нашей экономики термин. В рамках централизованной плановой системы использовалось понятие «капитальные вложения».
Понятие «инвестиции» шире, чем понятие «капитальные вложения». Инвестиции включают в себя как реальные, так и портфельные инвестиции. Реальные инвестиции - вложения в основной и оборотный капитал.
Портфельные инвестиции - вложения в ценные бумаги и активы других предприятий.
В Федеральном законе «Об инвестиционной деятельности в Российской Федерации, осуществляемой в форме капитальных вложений» от 25 февраля 1999 г. №39-ФЗ даются следующие определения понятиям «инвестиции» и «капитальные вложения»:
«Инвестиции - денежные средства, ценные бумаги, иное имущество, в том числе имущественные права, иные права, имеющие денежную оценку, вкладываемые в объекты предпринимательской деятельности и (или) иной деятельности в целях получения прибыли и (или) достижения иного положительного эффекта».
«Капитальные вложения - инвестиции в основной капитал (основные средства), в том числе затраты на новое строительство, расширение, реконструкцию и техническое перевооружение действующих предприятий, приобретение машин, оборудования, инструмента, инвентаря, проектно-изыскательские работы и другие затраты».
Если исходить из этого определения, то инвестиции, вложенные в оборотные средства, не могут считаться капитальными вложениями. По направлению использования капитальные вложения классифицируются на производственные и непроизводственные. Производственные капитальные вложения направляются на развитие предприятия, непроизводственные -на развитие социальной сферы.
По формам воспроизводства основных фондов различают капитальные вложения;
на новое строительство;
на реконструкцию и техническое перевооружение действующих предприятий;
на расширение действующих предприятий;
на модернизацию оборудования.
По источникам финансирования различают капитальные вложения централизованные и децентрализованные.
Эффективность использования капитальных вложений в значительной мере зависит от их структуры. Различают следующие виды структур капитальных вложений: технологическую, воспроизводственную, отраслевую и территориальную.
Под технологической структурой капитальных вложений понимаются состав затрат на сооружение какого-либо объекта и их доля в общей сметной стоимости.
В табл. 8.1 приводится условная технологическая структура капитальных вложений при сооружении какого-либо объекта.
Таблица 8.1
Технологическая структура инвестиций в основной капитал*
(в % к итогу)



1992
1993
1994
1995
1996
1997
Инвестиции в основной капитал - всего
100
100
100
100
100
100
в том числе на:






строительно-монтажные работы
49
60
65
64
63
63
оборудование, инструмент, инвентарь
25
24
20
22
24
23
прочие капитальные работы и затраты
26
16
15
14
13
14

*Россия в цифрах: Краткий стат. сб./Госкомстат России. - М., 1998.

Технологическая структура капитальных вложений оказывает самое существенное влияние на эффективность их использования. Совершенствование этой структуры заключается в повышении доли машин и оборудования в сметной стоимости проекта до оптимального уровня. По сути, технологическая структура капитальных вложений формирует соотношение между активной и пассивной частью основных производственных фондов будущего предприятия. Увеличение доли машин и оборудования, т.е. активной части основных производственных фондов будущего предприятия, способствует увеличению производственной мощности предприятия, а следовательно, капитальные вложения на единицу продукции снижаются.
Экономическая эффективность достигается и за счет повышения уровня механизации труда и работ.
Воспроизводственная структура капитальных вложении также оказывает существенное влияние на эффективность их использования.
Под воспроизводственной структурой капитальных вложений понимаются их распределение и соотношение в общей сметной стоимости по формам воспроизводства основных производственных фондов. Рассчитывается, какая доля капитальных вложений в их общей величине направляется на: новое строительство, реконструкцию и техническое перевооружение действующего производства, расширение действующего производства, модернизацию.
Совершенствование воспроизводственной структуры заключается в повышении доли капитальных вложений, направляемых на реконструкцию и техническое перевооружение действующего производства. Теория и практика свидетельствуют о том, что реконструкция и техническое перевооружение производства намного выгоднее, чем новое строительство, по многим причинам: во-первых, сокращается срок ввода в действие дополнительных производственных мощностей; во-вторых, в значительной мере уменьшаются удельные капитальные вложения.
Экономическая эффективность капитальных вложений на уровне народного хозяйства существенно зависит и от отраслевой, и от территориальной (региональной) структуры капитальных вложений.
Под отраслевой структурой капитальных вложений понимаются их распределение и соотношение по отраслям промышленности и народного хозяйства в целом. Ее совершенствование заключается в обеспечении пропорциональности и в более быстром развитии тех отраслей, которые обеспечивают ускорение НТП во всем народном хозяйстве.
В табл. 8.2 приведена отраслевая структура капитальных вложений за 1992-1997 гг.
По данным таблицы, наибольшая доля капитальных вложении была направлена на поддержание и развитие отраслей топливно-энергетического комплекса, что не способствовало, повышению эффективности производства.
Под территориальной структурой капитальных вложении понимаются их распределение и соотношение в общей совокупности по отдельным экономическим районам, областям, краям и республикам РФ.
Смысл совершенствования территориальной структуры капитальных вложений заключается в том, чтобы она позволяла получить максимум экономического и социального эффекта.
Таблица 8.2
Инвестиции в основной капитал по отраслям экономики*
(в % к итогу)



1992
1993
1994
1995
1996
1997
Инвестиции в основной капитал -всего
100
100
100
100
100
100
в том числе:






промышленность
41,3
37,0
32,3
34,4
34,8
36,5
из нее:






электроэнергетика
4,9
5,0
4,7
5,2
6,0
7,7
угольная
2,1
1,8
1,6
1,7
1,7
1,7
нефтяная и газовая
14,7
13,9
11,4
12,7
13,2
14,0
черная металлургия
2,3
2,0
1,7
2,0
1,8
1,7
химическая и нефтехимическая
2,3
1,7
1,5
1,6
1,7
1,7
машиностроение и металлообработка
4,9
4,5
3,6
3,1
3,4
2,9
промышленность строительных материалов
1,6
0,9
1,1
1,0
0,8
0,7
легкая
1,0
0,6
0,5
,0,3
0,3
0,2
пищевая
2,7
3,0
2,6
2,7
2,7
2,8
строительство
2,7
2,4
3,3
2,5
4,0
4,0
сельское хозяйство
10,8
7,9
5,0
3,5
2,9
2,5
транспорт связь
8,2 0,6
10,4 0,6
11,9 0,9
13,2 1,4
13,5 1,78
15,4 2,5
торговля и общественное питание, материально-техническое снабжение и сбыт

1,0

0,9

1,6

2,0

2,0

2,1
жилищное строительство
21,7
23,1
23,7
22,8
26,3
18,7
предприятия прочих отраслей
13,3
17,7
21,3
20,2
20,7
18,3

*Россия в цифрах: Краткий стат. сб./Госкомстат России. - М., 1998.
Инвестиции, в первую очередь реальные инвестиции, т.е. капитальные вложения, играют исключительно важную роль в экономике страны и любого предприятия, так как они являются основой для:
систематического обновления основных производственных фондов предприятия и осуществления политики расширенного воспроизводства;
ускорения научно-технического прогресса и улучшения качества продукции;
структурной перестройки общественного производства и сбалансированного развития всех отраслей народного хозяйства;
создания необходимой сырьевой базы промышленности;
гражданского строительства, развития здравоохранения, высшей и средней школы;
смягчения или решения проблемы безработицы;
охраны природной среды и достижения других целей.
Перечень, для чего нужны инвестиции, можно было бы продолжить. Таким образом, инвестиции нужны в первую очередь для оздоровления экономики страны и на этой основе решения многих социальных проблем, прежде всего для подъема жизненного уровня населения.
К сожалению, за последние годы (19911995) объемы капитальных вложений и капитального строительства резко сократились, что в еще большей мере усугубило экономическое положение в стране.
Сокращение капитальных вложений и капитального строительства за 19911995 гг. связано со многими причинами, но основными из них являются:
1) спад промышленного и в целом общественного производства, что привело к сокращению национального продукта и национального дохода, а следовательно, и фонда накопления;
2) инфляция. В условиях инфляции свободный денежный капитал в большинстве случаев невыгодно вкладывать в долгосрочные проекты;
3) тяжелое экономическое положение многих предприятий.



Государственная научно-техническая политика


Под единой научно-технической политикой государства понимается система целенаправленных мер, обеспечивающих комплексное развитие науки и техники, внедрение их результатов в народное хозяйство.
Единая государственная научно-техническая политика предполагает выбор приоритетных направлений в развитии науки и техники и всяческую поддержку государства в их развитии. В настоящее время общепризнанными приоритетными направлениями в развитии науки и техники являются: комплексная автоматизация производства, электронизация народного хозяйства, разработка новых материалов и технологий их производства, биотехнология, атомная электроэнергетика и др.
Выбор приоритетов в развитии науки и техники необходим в связи с важностью их реализации, с тем чтобы страна не отстала в своем развитии от ведущих стран мира, а также в связи с ограниченностью ресурсов государства. Выбор приоритетов необходим не только в направлениях НТП, но и среди отраслей народного хозяйства. Известно, что такие отрасли промышленности, как машиностроение, химическая и электроэнергетика, являются локомотивами в ускорении НТП во всех остальных отраслях народного хозяйства.
Поэтому эти отрасли всегда должны быть в центре внимания государства.
Для осуществления единой научно-технической политики государство использует целый ряд средств, основными из которых являются: достаточное и разумное финансирование сферы образования и академической науки; осуществление прогрессивной амортизационной и инвестиционной политики; совершенствование системы оплаты труда научных работников; защита конкуренции; создание таких условий, когда все субъекты рыночной экономики будут заинтересованы во внедрении всего нового и передового; активное участие в международном научно-техническом сотрудничестве и др.
Амортизационная политика. Она является составной частью общей научно-технической политики государства. Устанавливая нормы амортизации, порядок ее начисления и использования, государство тем самым регулирует темпы и характер воспроизводства и в первую очередь скорость обновления основных фондов.
При разработке амортизационной политики государство должно придерживаться следующих принципов:
1) переоценка основных фондов, особенно в условиях инфляции, должна осуществляться своевременно;
2) нормы амортизации должны быть достаточными для простого и расширенного воспроизводства основных фондов;
3) амортизационные отчисления на предприятиях должны использоваться только исходя из их функционального назначения;
4) нормы амортизации должны быть дифференцированы в зависимости от функционального назначения основных фондов, а также с учетом срока их морального и физического износа;
5) предприятия должны иметь возможность применять ускоренную амортизацию.
Амортизационная политика должна способствовать обновлению основных фондов и ускорению НТП. Проводя правильную амортизационную политику, государство тем самым позволяет предприятиям иметь достаточные средства в виде амортизационных отчислений на простое и расширенное воспроизводство основных фондов.
Инвестиционная политика. Важным рычагом воздействия на предпринимательскую деятельность и экономику страны является инвестиционная политика государства. С ее помощью государство непосредственно может воздействовать на темпы объема производства, на ускорение НТП, на изменение структуры общественного производства и решение многих социальных проблем.
Существенный спад производства за 19911996 гг., т.е. за период проведения реформ, в большей степени был обусловлен значительным сокращением капитальных вложений в материальное производство. За этот период капитальные вложения сократились в 3 раза, а их доля в национальном доходе снизилась до 15%, что не обеспечивало даже простое воспроизводство общественного капитала. В промышленно развитых странах доля инвестиций в национальном доходе составляет до 40% и более.
В условиях перехода к рыночной экономике основной задачей являются освобождение государства от функции основного инвестора и создание таких условий, при которых частный сектор в экономике был заинтересован в инвестиционной деятельности. Для этого оно должно в первую очередь обеспечить стабильность экономики и ее предсказуемость в развитии. В условиях инфляции, а следовательно, и высоких ставок процента банковского кредита объемы инвестиций, особенно в среднесрочные и долгосрочные проекты, резко сокращаются, так как известна теоретическая зависимость объема инвестиций от величины ставки процента.
Эта зависимость гласит, что чем выше процент ставки, тем ниже объем вложений инвестиций.
В общем плане государство может влиять на инвестиционную активность при помощи самых различных рычагов: финансово-кредитной и налоговой политики; предоставления самых различных льгот предприятиям, вкладывающим инвестиции на реконструкцию и техническое перевооружение производства; амортизационной политики; создания благоприятных условий для привлечения иностранных инвестиций; научно-технической политики и др. При этом государство должно всегда помнить, что будущее экономики страны в значительной степени зависит от того, какую оно проводит инвестиционную политику.
Государственное предпринимательство. Одной из важнейших форм прямого вторжения государства в экономику является государственное предпринимательство. Оно образует особый вид предпринимательской деятельности, которая осуществляется в рамках госсектора и связана с участием госпредприятий в производстве и сбыте товаров и услуг.
При этом государство выступает самостоятельным субъектом хозяйствования, реализуя определенные общенациональные цели: структурную перестройку производства, смягчение отраслевых и территориальных диспропорций, стимулирование научно-технического прогресса, повышение эффективности экономики.
Государственное предпринимательство является прямым вмешательством государства в воспроизводственный процесс. Оно особенно необходимо в малорентабельных отраслях, которые традиционно не представляют интерес для частного капитала, но их развитие определяет общие условия воспроизводства. Это прежде всего отрасли экономической инфраструктуры (транспорт, связь, энергетика).
Но какова должна быть доля государственного сектора в экономике нашей страны? Это далеко не простой вопрос. До недавнего времени степень огосударствления в нашей стране была (по мировым меркам) чрезвычайно высокой, что негативно влияло на развитие экономики.
В результате осуществления реформ, в частности приватизации, доля государственного сектора стала заметно снижаться, но еще остается достаточно высокой. Поэтому процесс дальнейшего осуществления приватизации для нашей страны является весьма актуальным.
Планирование и регулирование. Прогнозирование, планирование и регулирование являются важнейшими рычагами государства по управлению экономикой страны. С переходом на рыночные отношения роль этих инструментов управления не снижается, а вот методы планирования существенно изменяются.
На смену директивному планированию, когда каждому предприятию устанавливались заранее заданная производственная программа и потребители, приходит так называемое индикативное планирование.
Сущность индикативного планирования заключается в том, что государство на основе детального анализа функционирования экономики за предшествующий период, исходя из экономической политики и имеющихся ресурсов, устанавливает на плановый период основные макроэкономические показатели: темпы роста валового национального продукта и национального дохода, уровень инфляции и безработицы, минимальный размер заработной платы, дефицит бюджета, ставку процента и др. Все эти показатели в совокупности характеризуют состояние экономики на плановый период. При этом государство должно закладывать в план такие величины макроэкономических показателей, которые в совокупности положительно бы влияли на развитие экономики страны и жизненный уровень населения.
Индикативное планирование предусматривает не только разработку плановых макроэкономических показателей (индикаторов), но и способы их достижения, т.е. заранее предопределяется, какова будет фискальная, научно-техническая, финансово-кредитная, инвестиционная и социальная политика государства с целью достижения запланированных индикаторов.
Государственное планирование должно быть непрерывным, что обеспечивается составлением краткосрочных, среднесрочных, долгосрочных и перспективных планов.
Перспективное прогнозирование и планирование позволяют выработать экономическую стратегию государства на ближайшие 5101520 лет и тем самым осуществлять ежегодное планирование с учетом реализации как годовых, так и перспективных планов. Наличие экономической и научно-технической стратегии позволяет государству с меньшими ресурсами достигать намеченных целей, а следовательно, непрерывно повышать эффективность общественного производства.
С планированием тесно связано регулирование. Регулирование осуществляется государством только в том случае, если запланированные экономические показатели в ходе их реализации не выполняются.
Во многих развитых странах планирование на уровне государства принимает форму разработки и реализации определенных программ.
Ценообразование. Это один из рычагов воздействия государства на экономику и предпринимательскую деятельность. Используя ценовую политику, государство тем самым воздействует на спрос и предложение, перераспределение дохода и ресурсов, обеспечение минимального прожиточного уровня, а также на антимонопольные, антиинфляционные и другие процессы в желательном для государства направлении.
Государство должно проводить политику в области ценообразования с целью обеспечения его стабильности, что является основой борьбы с инфляцией, оживления инвестиций и подъема национальной экономики.
Известно, что в условиях рыночных отношений цены на большинство товаров свободные, т.е. они складываются на рынке под воздействием спроса и предложения. На часть важнейших товаров и услуг первой необходимости цены и тарифы регулируются государством. Так делается практически во всех странах мира с развитой рыночной экономикой. И хотя доля товаров и услуг, цены на которые регулируются государством, незначительна, всего 1015% общей товарной массы, но это имеет большое значение, прежде всего для поддержания минимального прожиточного уровня.
Во многих странах, в том числе и России, цены регулируются государством и на продукцию предприятий-монополистов.
Административный контроль государства над ценами способствует устранению издержек рыночной экономики, особенно в тех случаях, когда экономические методы не могут дать желательного результата.
Существенное влияние на предпринимательскую деятельность государство может оказать через проведение соответствующей внешнеэкономической и социальной политики.
При помощи внешнеэкономической деятельности (таможенных тарифов, протекционизма, принятия законов, создающих благоприятные условия для иностранных инвестиций и свободного выхода отечественных предпринимателей на мировой рынок, и других мер) государство может расширить свои экспортные возможности, улучшить структуру экспорта, получить положительное сальдо торгового баланса, создать условия для конкуренции и улучшить качество отечественной продукции, привлечь иностранные инвестиции в отечественную экономику, а также получить значительную выгоду от международного разделения труда, что, в свою очередь, является основой для стабилизации и подъема экономики России.
Структурная политика. В структурном плане наша экономика является гипертрофированной, что является результатом предшествующего развития, и изменение ее в сторону сбалансированности в развитии всех отраслей экономики и социальной направленности является также важнейшей задачей государства.
Из всего сказанного можно сделать вывод, что у государства имеются различные рычаги для вмешательства в предпринимательскую деятельность с целью стабилизации и подъема экономики, только правильно надо уметь ими пользоваться.



ХОЗЯЙСТВЕННЫЕ ТОВАРИЩЕСТВА


Этим определяются различия в правовом положении обществ и товариществ. В товариществах, участники которых должны заниматься предпринимательской деятельностью, могут участвовать лишь индивидуальные предприниматели или творческие организации. Особенностью является и то, что общества могут быть созданы одним лицом, товарищества нет. Остановимся на этих формах хозяйствования более подробно.
ХОЗЯЙСТВЕННЫЕ ТОВАРИЩЕСТВА. В ГК сказано, что хозяйственными товариществами могут быть полные товарищества и товарищества на вере (коммандитные).
Полным признается товарищество, участники которого (полные товарищи) в соответствии с заключенным между ними договором занимаются предпринимательской деятельностью от имени товарищества и несут ответственность по его обязательствам принадлежащим им имуществом.
Фирменное наименование полного товарищества должно содержать либо имена (наименования) всех участников и слова «полное товарищество», либо имя (наименование) одного или нескольких участников с добавлением слов «и компания» и «полное товарищество».
Полное товарищество создается и действует на основании учредительного договора, который должен быть подписан всеми его участниками.
Управление деятельностью полного товарищества осуществляется по общему согласию всех участников. Учредительным договором товарищества могут быть предусмотрены случаи, когда решения принимаются большинством голосов участников. Каждый участник полного товарищества имеет один голос, если учредительным договором не предусмотрен иной порядок определения количества голосов его участников.
Прибыль и убытки полного товарищества распределяются между его участниками пропорционально их долям в складочном капитале, если иное не предусмотрено учредительным договором или иным соглашением участников.
Не допускается соглашение об устранении кого-либо из участников товарищества от участия в прибыли или убытках.
Особенностью полного товарищества является, во-первых, то обстоятельство, что предпринимательской деятельностью его участников признается деятельность самого товарищества как юридического лица. Во-вторых, при недостатке имущества товарищества для погашения его долгов кредиторы вправе требовать удовлетворения претензий из личного имущества любого из участников (или всех вместе). Поэтому деятельность товарищества основана на личностно-доверительных отношениях всех участников, утрата или изменение которых влекут прекращение деятельности товарищества.
Коммерческая практика показала, что такие товарищества нередко становятся формой семейного предпринимательства. В-третьих, любой из участников полного товарищества занимается предпринимательской деятельностью от имени товарищества в целом, поэтому для создания и функционирования полного товарищества не требуется устав, устанавливающий компетенцию его органов. Единственным учредительным документом такой коммерческой организации служит учредительный договор.
Товарищество на вере является разновидностью полного товарищества. По сравнению с полным товариществом оно имеет следующие особенности:
состоит из двух групп участников: полных товарищей и вкладчиков. Полные товарищи осуществляют предпринимательскую деятельность от имени самого товарищества и несут неограниченную и солидарную ответственность по обязательствам товарищества. Вкладчики (коммандиты) лишь делают вклады в имущество товарищества, но не отвечают своим личным имуществом по его обязательствам. Таким образом, в товариществе на вере допускается использование капитала сторонних лиц (вкладчиков), т.е. появляется возможность привлечения дополнительных средств не за счет имущества полных товарищей, что является их преимуществом по сравнению с полным товариществом;
включение в фирменное наименование товарищества на вере имени вкладчика автоматически ведет к превращению его в полное товарищество, прежде всего в смысле неограниченной и солидарной ответственности своим личным имуществом по долгам товарищества;
закон специально регламентирует положение вкладчика в товариществе на вере. Вкладчик не вправе участвовать в управлении делами товарищества на вере и выступать от его имени, но он имеет право знакомиться с финансовой деятельностью товарищества.
Помимо этого вкладчик товарищества на вере обладает тремя имущественными правами, связанными с внесением им вклада в имущество товарищества:
имеет право на получение причитающейся на их долю части прибыли товарищества;
сохраняется возможность свободного выхода из товарищества с получением своего вклада;
можно передать свою долю или ее часть как другому вкладчику, так и третьему лицу. При этом согласие товарищества или полных товарищей не требуется;
при ликвидации товарищества на вере имеет преимущественное перед полными товарищами право на получение своих вкладов или их денежного эквивалента из имущества товарищества после удовлетворения требований других кредиторов.
Преимущества полного товарищества:
возможность аккумулирования значительных средств в относительно короткие сроки;
каждый член полного товарищества имеет право заниматься предпринимательской деятельностью от имени товарищества наравне с другими, что является привлекательной стороной;
полные товарищества более привлекательны для кредиторов, так как их члены несут неограниченную ответственность по обязательствам товарищества.
К недостаткам можно отнести то, что между полными товарищами должны быть особые доверительные отношения, в противном случае это может привести к быстрому распаду этой организации. Полное товарищество не может быть «компанией одного лица». Каждый член полного товарищества несет полную и солидарную неограниченную ответственность по обязательствам этой организации, т.е. в случае банкротства каждый член отвечает не только вкладом, но и личным имуществом.
Полные товарищества на вере имеют те же преимущества и недостатки, что и полные товарищества. Дополнительным их преимуществом является то, что для увеличения своего капитала они могут привлечь средства вкладчиков такой возможности полные товарищества не имеют.
ОБЩЕСТВО С ОГРАНИЧЕННОЙ ОТВЕТСТВЕННОСТЬЮ. Обществом с ограниченной ответственностью признается учрежденное одним или несколькими лицами общество, уставный капитал которого разделен на доли, определенные учредительными документами; участники общества с ограниченной ответственностью не отвечают по его обязательствам и несут риск убытков, связанных с деятельностью общества, в пределах стоимости внесенных ими вкладов.
Фирменное наименование общества с ограниченной ответственностью должно содержать наименование общества и слова «с ограниченной ответственностью». Число его участников не должно превышать предела, установленного Законом об обществе с ограниченной ответственностью.
Учредительными документами общества с ограниченной ответственностью являются учредительный договор, подписанный его учредителями, и утвержденный ими устав. Если общество учреждается одним лицом, его учредительным документом является устав.
Уставный капитал общества с ограниченной ответственностью составляется из вкладов его участников и определяет минимальный размер имущества общества, гарантирующего интересы его кредиторов, в соответствии с Законом об обществе с ограниченной ответственностью.
Высшим органом общества с ограниченной ответственностью является общее собрание его участников. Общество может быть добровольно ликвидировано или реорганизовано в акционерное общество или в производственный кооператив по единогласному решению его участников.
Общество с ограниченной ответственностью имеет следующие особенности по сравнению с другими формами хозяйствования:
является разновидностью объединения капиталов, не требующего, следовательно, обязательного личного участия своих членов в делах общества;
уставный капитал общества разделен на доли участников и соответствует ответственности по долгам общества.
ОБЩЕСТВО С ДОПОЛНИТЕЛЬНОЙ ОТВЕТСТВЕННОСТЬЮ. Такое общество является разновидностью общества с ограниченной ответственностью: на него распространяются все общие правила о таком обществе. Поэтому все упоминания об обществе с ограниченной ответственностью в равной мере касаются и общества с дополнительной ответственностью.
Существует одна важная особенность: при недостаточности имущества данного общества для удовлетворения претензий его кредиторов участники общества могут быть привлечены к имущественной ответственности, причем солидарно друг с другом. Однако размер этой ответственности ограничен он касается не всего их личного имущества, что характерно для полных товарищей, а лишь его части одинакового для всех кратного размера и сумм внесенных вкладов (например, трехкратный и т.п.). С этой точки зрения такое общество занимает промежуточное место между обществами и товариществами.
Преимущества общества с ограниченной ответственностью:
возможность быстрого аккумулирования значительных средств:
может быть создано одним лицом;
члены общества несут ограниченную ответственность по обязательствам общества.
Недостатки заключаются в том, что уставный капитал не может быть меньше величины, установленной законодательством.



Индивидуальные предприниматели


Имеются и другие положительные стороны в развитии мелкого бизнеса. Поэтому не случайно во многих странах с развитой рыночной экономикой развитию малого бизнеса уделяется большое внимание и оказывается поддержка со стороны государства. Например, в США с целью оказания помощи американским предприятиям малого бизнеса в 1953 г. была создана независимая правительственная организация Администрация по малому бизнесу, ее отделения имеются в различных штатах.
Она оказывает финансовую помощь кредитами, организует курсы менеджеров, выпускает бюллетени и брошюры по проблемам управления, консультирует малые фирмы относительно получения государственных контрактов и по другим вопросам.
Система поддержки малого бизнеса в Японии направлена на сокращение числа банкротов и обладает высокой результативностью. Так, в течение года разоряется не более 5% возникающих малых предприятий, в то время как в США около 30%. Государственная поддержка японского малого бизнеса включает его кооперирование, особый порядок амортизации, гарантирование займов, льготное налогообложение.
Значительная часть консультаций, получаемых малыми фирмами, касается вопросов бухгалтерского учета, финансирования, уплаты налогов, менеджмента.
В РФ также начала создаваться система поддержки и развития малого предпринимательства. Основой этой системы является Закон РФ «О государственной поддержке малого предпринимательства в РФ». Им определены главные направления государственной поддержки и развития малых предприятий, установлены основные формы и методы государственного управления и регулирования деятельности субъектов малого предпринимательства.
Ответственность за реализацию этих мероприятий возлагается на вновь созданный Государственный комитет РФ по поддержке и развитию малого предпринимательства.
Законом определено, что теперь не менее 15% государственных заказов должно в обязательном порядке размещаться на малых предприятиях. Смысл в следующем. Государственный заказчик, выигравший тендер на получение госзаказа, финансируемого из федерального бюджета, должен не менее 15% объема заказа разместить на малых предприятиях в соответствии с договором.
По новому закону правительство обязано ежегодно разрабатывать федеральную программу государственной поддержки малого предпринимательства и представлять ее (до утверждения государственного бюджета) на рассмотрение в Государственную Думу. То же самое должно делаться на региональном, отраслевом и муниципальном уровнях. Создан фонд поддержки малого предпринимательства, средства которого пойдут на выдачу льготных кредитов малым предприятиям.
По налоговому законодательству РФ малые предприятия могут применять упрощенную систему налогообложения в соответствии с Законом РФ «Об упрощенной системе налогообложения, учета и отчетности для субъектов малого предпринимательства», который вступил в силу 29 декабря 1995 г. Упрощенная система налогообложения вводится параллельно с действующими условиями налогообложения и регулирования деятельности субъектов малого бизнеса, не заменяя их. Эта система предусматривает один налог вместо совокупности федеральных, региональных и местных. При этом сохраняется действующий порядок уплаты таможенных платежей, госпошлины, налога на приобретение автотранспорта, лицензионных сборов и отчислений в государственные социальные внебюджетные фонды.
Малым предприятиям (с предельной численностью работающих до 15 человек) и гражданам-предпринимателям разрешено применять упрощенный порядок составления бухгалтерской документации (без применения двойной записи, плана счетов и др.). Они выплачивают единый налог с совокупного дохода или валовой выручки, исчисляемых по результатам хозяйственной деятельности. Установлены предельные ставки единого налога: если объектом налогообложения является совокупный доход, то 10% дохода в федеральный бюджет и до 20% в бюджет субъекта федерации и местный бюджет; если же объектом является валовая выручка 3,33 и 6,67% соответственно.
При этом конкретные ставки налога, зачисляемого в бюджет субъекта федерации и местный бюджет, устанавливаются решением органа государственной власти субъекта федерации.
Выбор объекта налогообложения в упрощенной системе осуществляется органом государственной власти субъекта федерации. Им может быть либо совокупный доход, полученный за отчетный период (квартал), либо валовая выручка, полученная за отчетный период. Не применяется упрощенная система налогообложения, учета и отчетности в:
организациях, занятых производством подакцизной продукции;
организациях, созданных на базе ликвидированных структурных подразделений действующих предприятий;
кредитных организациях;
страховых организациях;
инвестиционных фондах;
предприятиях игорного и развлекательного бизнеса и др.
К числу ограничений относится также запрет перехода на упрощенную систему налогообложения, учета и отчетности субъектами малого предпринимательства, если в течение года, предшествующего кварталу, в котором происходит подача заявления на право применения упрощенной системы налогообложения, учета и отчетности, совокупный размер валовой выручки налогоплательщика превышает сумму 100000-кратного минимального размера оплаты труда.
Для перехода на упрощенную систему налогообложения, учета и отчетности малые предприятия должны подать заявление в налоговые органы по месту своей регистрации. Официальным документом, удостоверяющим право применения упрощенной системы, является патент. Годовая стоимость патента зависит от вида деятельности малого предприятия. Выплата годовой стоимости патента осуществляется ежеквартально и засчитывается в счет обязательств по уплате единого налога.
Индивидуальные предприниматели уплачивают только стоимость патента.
Следующей особенностью налогообложения малых предприятий является и то, что они имеют дополнительные льготы по налогообложению по сравнению с другими коммерческими организациями. Остановимся на них более подробно.
Для всех малых предприятий установлены следующие дополнительные льготы:
в первый год эксплуатации могут списать дополнительно амортизационные отчисления до 50% первоначальной стоимости оборудования со сроком службы более 3 лет. Кроме того, все малые предприятия имеют право осуществлять ускоренную амортизацию. Все это позволяет малым предприятиям при необходимости обновлять активную часть основных фондов и меньше платить сумму налога на прибыль;
налог на добавленную стоимость уплачивают один раз в квартал не позднее 20-го числа месяца, следующего за отчетным;
освобождаются от уплаты взносов налога на прибыль в течение квартала;
в течение 4 лет с момента создания малого предприятия его налогообложение не может ухудшаться.
Малые предприятия, производящие и перерабатывающие сельскохозяйственную продукцию, товары народного потребления, медицинские лекарства и препараты, занимающиеся строительством и ремонтом объектов жилищного, производственного, социального и природоохранного назначения, в первые два года освобождаются от налога на прибыль при условии, что доля этой продукции составляет не менее 70% общего объема реализации. В третий и четвертый год работы они платят налог на прибыль по пониженным ставкам: в 3-й год по ставке 25%, в 4-й 50% ставки налога на прибыль при условии, что доля льготируемой продукции составляет не менее 90% в общем объеме реализации.
Среди мер, косвенно стимулирующих развитие малого предпринимательства, следует отметить пониженную ставку зачисляемого в федеральный бюджет налога на прибыль (8%) для банков, предоставляющих не менее 50% общей суммы кредитов малым предприятиям, и для страховых организаций, которыми не менее 50% страховых взносов за отчетный период получено от страхования имущественных рисков малых предприятий.
В соответствии с Законом РСФСР от 20 декабря 1991 г. «Об инвестиционном налоговом кредите» малые предприятия имеют право получить инвестиционный налоговый кредит, под которым понимается отсрочка налогового платежа, предоставляемая органами государственной власти или налоговыми органами.
Из всего этого можно сделать вывод, что малые предприятия имеют довольно существенные налоговые льготы, что, естественно, способствует развитию малого предпринимательства.
4.4. КОНЦЕНТРАЦИЯ И МОНОПОЛИЗАЦИЯ В ЭКОНОМИКЕ, ИХ ВЗАИМОСВЯЗЬ Давно известно, что концентрация и монополизация, как явления в экономике, тесно взаимосвязаны между собой. Но из этого не вытекает, что концентрация обязательно приводит к появлению предприятия-монополиста или группы предприятий-монополистов.
В странах с рыночной экономикой уже давно сложилась действенная система антимонопольного законодательства, на основе которой государство регулирует процессы концентрации с целью недопущения появления предприятий или группы предприятий-монополистов. Этому, в частности, способствовало и то, что к концу 60-х годов на Западе сложилась целая система показателей статистики концентрации рыночной мощи, которые систематически публикуются в печати. Наибольшее значение и распространение получил такой показатель, как доля фиксированного числа предприятий.
Например, согласно германскому антимонопольному законодательству, монопольное положение предприятия или группы предприятий на рынке возникает, если на 1 предприятие приходится свыше 1/3 всего оборота на рынке, либо на 3 и менее предприятий 1/2 общего оборота, либо на 5 и менее предприятий свыше 2/3 оборота.



Экономическая целесообразность обогащения


выявления возможности и целесообразности экспорта и импорта топливно-энергетических ресурсов и др.
Таким образом, топливно-энергетический баланс и его разработка являются важными элементами и экономической политики государства и его субъектов.
10.5. ОСНОВНЫЕ НАПРАВЛЕНИЯ РАЦИОНАЛЬНОГО ИСПОЛЬЗОВАНИЯ СЫРЬЕВЫХ И ТОПЛИВНО-ЭНЕРГЕТИЧЕСКИХ РЕСУРСОВ К основным направлениям рационального использования сырьевых и топливно-энергетических ресурсов можно отнести:
улучшение структуры топливного и топливно-энергетического баланса;
более тщательную и качественную подготовку сырья к его непосредственному использованию на промышленных предприятиях;
правильную организацию транспортировки и хранения сырья и топлива недопущение потерь и снижения качества;
комплексное использование сырья;
химизацию производства;
использование отходов производства;
вторичное использование сырья и др.
Остановимся более подробно на некоторых из них.
Первичная обработка и обогащение сырья. Используемые в промышленности различные виды минерального и органического сырья, как правило, требуют соответствующей подготовки. С этой целью применяются разные виды первичной обработки сырья, которые имеют свои особенности в каждой отрасли промышленности.
К числу основных видов первичной обработки сырья относятся:
обогащение сырья (руды в черной и цветной металлургии, уголь в коксохимическом производстве);
предварительная очистка и стандартизация сырья (хлопок, шерсть в текстильной промышленности);
консервирование (мясо, рыба, плоды, овощи в пищевой промышленности);
сушка, выдержка (древесина в деревообрабатывающей промышленности).
Обогащение это вид первичной обработки сырья, заключающийся в выделении продуктов, пригодных для дальнейшей технически возможной и экономически целесообразной переработки или использования. Обогащение позволяет:
повысить содержание полезного компонента в природном ископаемом;
удалить из него вредные примеси;
отделить минералы друг от друга.
В результате обогащения сырья получаются два основных продукта: концентрат и отходы (хвосты). В настоящее время более 95% добываемых цветных и редких металлов, большая часть железных руд, почти все фосфориты, асбестовые и графитовые руды, более 40% угля идут на обогащение.
Экономическая целесообразность обогащения заключается в следующем:
расширяется сырьевая база промышленности;
удешевляется последующая переработка сырья в готовый продукт;
обеспечивается повышение качества готовой продукции;
сокращаются транспортные расходы на перевозку сырья от места добычи к месту его переработки;
уменьшается потребность в транспортных средствах и повышается эффективность их использования.
Каждое предприятие, исходя из своей специфики, должно разрабатывать программу снижения материалоемкости продукции, в том числе и рационального использования сырьевых и ТЭР. Но это только полдела. Существенного продвижения в решении данной проблемы можно ожидать только в том случае, если само государство проводит действенную политику по рациональному использованию сырьевых и топливно-энергетических ресурсов в стране.
Выводы
Сырьевые и топливно-энергетические ресурсы играют исключительно важную роль в экономике страны и в деятельности любой коммерческой организации.
Россия почти полностью обеспечена собственными сырьевыми и ТЭР, поэтому находится в более выгодном положении по сравнению со странами СНГ и многими странами дальнего зарубежья.
За период 19901996 гг. в России наблюдается тенденция снижения добычи и производства ТЭР, что в основном связано с кризисными явлениями в экономике страны.
Эффективность функционирования экономики страны в значительной мере зависит от структуры топливно-энергетического баланса. Основными направлениями совершенствования структуры топливно-энергетического баланса страны на современном этапе являются:
увеличение доли природного газа в топливном балансе страны;
развитие атомной электроэнергетики;
более широкое применение открытого способа добычи угля, как более прогрессивного и дешевого по сравнению с подземным, что позволит снизить затраты на добычу угля;
более глубокая технологическая переработка нефти, что позволит обеспечить химическую промышленность прогрессивным сырьем в необходимом количестве.
Для нашей страны весьма актуальной является проблема более рационального использования ТЭР. Ее можно решить только на основе осуществления общегосударственной программы по ресурсосбережению. Эта программа должна предусматривать действенные рычаги воздействия на все хозяйствующие субъекты со стороны государства, заставляя и поощряя их к более рациональному и эффективному использованию ТЭР.
К сожалению, пока такая программа не разработана.
Контрольные вопросы
1. Какую роль играют сырьевые и ТЭР в экономике страны и в деятельности предприятия?
2. Каковы тенденция в добыче и производстве в России отдельных видов ТЭР за последние годы и факторы, ее определившие?
3. Какова сущность основных понятий и классификации материалов и топлива?
4. Что такое минерально-сырьевая база промышленности и полезные ископаемые?
5. Каковы классификация запасов месторождений полезных ископаемых и их экономическая оценка?
6. Что такое топливно-энергетический баланс, каковы его сущность и структура?
7. Каковы основные направления совершенствования структуры топливно-энергетического баланса?
8. Каков механизм влияния совершенствования структуры топливно-энергетического баланса на эффективность общественного производства?
9. Каковы значение и основные направления рационального использования сырьевых и топливно-энергетических ресурсов?
10. Какие возможны направления и пути снижения сырьевых и топливно-энергетических ресурсов на вашем предприятии?



Экономическая и социальная значимость механизации


Необходимо отметить, что этот показатель уровня автоматизации, определенный на основе сопоставления применяемого автоматического и неавтоматического оборудования, не совсем точно характеризует уровень автоматизации на предприятии.
В определенной мере уровень механизации производства характеризует и такой показатель, как техническая вооруженность труда (Кт.в.) который определяется из выражения
Экономическая и социальная значимость механизации

где Фа среднегодовая стоимость активной части основных производственных фондов;
N среднесписочная численность работников предприятия или рабочих.
Экономическая и социальная значимость механизации и автоматизации производства заключается в том, что они позволяют заменить ручной труд, особенно тяжелый, машинами и автоматами, повысить производительность труда и на этой основе обеспечить реальное или условное высвобождение работников, улучшить качество производимой продукции, снизить трудоемкость и издержки производства, увеличить объем производства и тем самым обеспечить предприятию более высокие финансовые результаты, что дает возможность улучшить благосостояние работающих и их семей.
Химизация процесс производства и применения химических продуктов в народном хозяйстве и быту, внедрение химических методов, процессов и материалов в народное хозяйство.
Химизация как процесс развивается по двум направлениям: применение при производстве различной продукции прогрессивных химических технологий; производство и широкое применение химических материалов в народном хозяйстве и быту.
В общем плане химизация позволяет:
резко интенсифицировать технологические процессы и тем самым увеличить выпуск продукции в единицу времени;
снизить материалоемкость общественного и промышленного производства. Так, 1 т пластмассы заменит 5 т металла;
снизить трудоемкость продукции за счет внедрения робототехники;
существенно расширить номенклатуру, ассортимент и качество выпускаемой продукции и тем самым в большей мере удовлетворить потребности производства и населения в товарах народного потребления;
ускорить темпы НТП. Например, создание космических аппаратов вряд ли было возможным без применения легких, прочных и жаростойких искусственных материалов с заранее заданными свойствами.
Из всего этого следует, что химизация самым существенным и непосредственным образом влияет на эффективность производства. Причем это влияние разноплановое.
Имеется и негативная сторона химизации химические производства, как правило, это вредные производства, и чтобы обезвредить их, необходимо затрачивать дополнительные средства.
Основой для химизации общественного производства является развитие химической промышленности в Российской Федерации.
Основные показатели уровня химизации подразделяются на частные и общие.
Частные показатели отражают отдельные стороны процесса химизации сферы материального производства и быта. В числе этих показателей можно назвать такие:
доля синтетического каучука, химических волокон, синтетических моющих средств и других в общем их балансе;
расход химических средств (кормовых препаратов, минеральных удобрений, химических средств защиты и т.д.) на единицу продукции животноводства, птицеводства, на гектар полезной площади;
затраты химикатов и строительных деталей, конструкций из химических материалов на 1 млн строительно-монтажных работ производственного, культурно-бытового и жилищного строительства;
производство пластических масс и синтетических смол в процентах к производству стали по весу и объему и др.
Общие показатели характеризуют уровень развития химизации в целом по стране.
К таким показателям относятся:
доля продукции химической промышленности в общем объеме промышленного производства;
производство пластических масс и синтетических смол на душу населения;
доля искусственных и синтетических материалов в общем объеме потребленных материалов;
доля продукции, производимой с использованием химических технологий, и др.
6.3. ПРИОРИТЕТНЫЕ НАПРАВЛЕНИЯ НТП НА СОВРЕМЕННОМ ЭТАПЕ Выше мы рассмотрели основные направления НТП, которые являются общими и долговременными для всех отраслей народного хозяйства. Государство на каждом этапе своего развития должно определять приоритетные направления НТП и обеспечивать их развитие.
Необходимо отметить, что в период конца существования СЭВ была разработана комплексная программа НТП на длительную перспективу и в этой программе были определены следующие приоритетные направления: комплексная автоматизация производства; электронизация народного хозяйства; развитие атомной электроэнергетики; создание новых материалов и технологии их производства; развитие биотехнологии; создание и развитие других прогрессивных технологий. На наш взгляд, это были удачно выбранные приоритетные направления развития НТП, которые можно назвать приемлемыми для нашей страны на ближайшую перспективу.
Страны ЕС осуществляют комплексную программу НТП под названием «Эврика», и в ней, по сути, заложены эти же приоритетные направления НТП. В Японии список приоритетных направлений насчитывает более 33, но на первом месте стоит развитие биотехнологии.
Рассмотрим сущность некоторых прогрессивных технологий.
Биотехнология одно из важнейших направлений НТП, новая быстроразвивающаяся отрасль науки и производства, основанная на промышленном применении естественных и целенаправленно созданных живых систем (прежде всего микроорганизмов). Производства, основанные на биологических процессах, возникли в глубокой древности (хлебопечение, виноделие, сыроварение). Благодаря успехам иммунологии и микробиологии стало развиваться производство антибиотиков и вакцин. Продукты биотехнологии нашли широкое применение в медицине и сельском хозяйстве.
После второй мировой войны методами биотехнологии стали получать кормовой белок (в качестве сырья используются нефть, отходы целлюлозно-бумажной промышленности). В 50-е годы была открыта модель двойной спирали ДНК. В 70-е годы создана техника выделения гена из ДНК, а также методика размножения нужного гена. В результате этих открытий возникла генетическая инженерия.
Внедрение в живой организм чужеродной генетической информации и приемы, заставляющие организм эту информацию реализовывать, составляют одно из самых перспективных направлений в развитии биотехнологии. Используя методы генетической инженерии, удалось получить интерферон и инсулин.
Гибкое автоматизированное производство (ГАП) автоматизированная производственная система, в которой на основе соответствующих технических средств и определенных решений обеспечивается возможность оперативной переналадки на выпуск новой продукции в достаточно широких пределах ее номенклатуры и параметров. Начало ГАП было положено в 50-х годах в связи с созданием станков с ЧПУ. Крупные достижения в робототехнике, разработка различных АСУ, САПР, появление микропроцессоров резко расширили возможности создания и внедрения ГАП. Современные ГАП включают в себя:
системы автоматизированного проектирования;
автоматизированное управление технологической подготовкой производства, числовыми программными устройствами;
роботы (манипуляторы);
автоматизированные транспортные средства;
автоматизированные склады;
автоматизированные системы контроля технологических процессов, качества продукции;
автоматизированные системы контроля и управления предприятием.
ГАП позволяют существенно сократить время на проектирование и переналадку производства для выпуска новой продукции.
Роботы, робототехника область науки и техники, связанная с изучением, созданием и использованием принципиально нового технического средства комплексной автоматизации производственных процессов робототехнических систем.
Термин «робот» ввел чешский писатель К. Чапек в 1920 г.
В зависимости от основных функций различают:
манипуляционные робототехнические системы;
мобильные, перемещающиеся в пространстве;
информационные робототехнические системы.
Роботы и робототехника это основа для комплексной механизации и автоматизации производственных процессов.
Роторная линия (от лат. rato вращаюсь) автоматическая линия машин, принцип действия которых основан на совместном движении по окружности инструмента и обрабатываемого им предмета. Открытие роторного принципа принадлежит советскому ученому академику Л. Н. Кошкину.
Простейшее роторное устройство состоит из расположенных на одном валу дисков, на которых установлены инструмент, держатели обрабатываемой детали и копиры (несложные средства, обеспечивающие согласованное взаимодействие инструмента, держателя и детали).
Роторные линии применяются в расфасовке, упаковке, штамповке, литье, сборке, прессовке, окраске и др.
Преимущество роторных линий перед обычными средствами автоматизации простота, надежность, точность, огромная производительность.
Основной недостаток малая гибкость. Но он преодолен в роторно-конвейерных линиях, в которых инструментальные блоки находятся не на дисках роторов, а на огибающем их конвейере. В этом случае автоматическая замена инструмента и тем самым переналадка линий на выпуск новой продукции особых затруднений не вызывают.
Существуют и другие прогрессивные технологии производства, но для всех них характерно одно очень важное обстоятельство более высокая производительность и экономичность.



ЭКОНОМИЧЕСКАЯ ЭФФЕКТИВНОСТЬ ПОВЫШЕНИЯ КАЧЕСТВА ПРОДУКЦИИ


Еще дальше пошли ярославские и кременчугские машиностроители. В 1963 г. они разработали и внедрили систему НОРМ (научная организация работ по увеличению моторесурса двигателя). В ней учитывался опыт саратовцев и горьковчан.
Но был введен и новый важный элемент управление связями между потребителями и проектировщиками двигателя.
Следующий этап в становлении комплексной системы управления качеством продукции (КСУКП) это создание и применение системы бездефектного труда (СБТ) на предприятиях г. Львова в 1964 г. Ее суть заключалась в том, что критерием оценки труда работников является коэффициент качества труда не только производственников, но и работников всех служб предприятия, не только отдельных исполнителей, но и коллектива.
В 19721973 гг. сложилась уже комплексная система управления качеством продукции (КСУКП) совокупность технических, организационных, экономических, социальных мероприятий, регламентированных стандартами предприятия и действующих во времени непрерывно. Система давала возможность планомерно воздействовать на факторы, влияющие на технико-экономические и эстетические свойства продукции на всех стадиях ее жизненного цикла.
Организационно-технической базой КСУКП стали стандарты предприятия (СТП). СТП являются стержнем, содержанием КСУКП. Комплекс стандартов предприятия подразделялся на основной стандарт, который определял общие положения системы, и на совокупность специальных вспомогательных стандартов, обеспечивающих реализацию функций системы управления качеством продукции на предприятии.
Были разработаны и общие принципы построения и функционирования КСУКП как одной из основных частей общего управления предприятием:
непрерывность управления качеством продукции на всех стадиях жизненного цикла этой продукции;
единство и взаимосвязь общих и специальных функций управления. Государство уделяло хоть какое-то внимание проблеме качества, и это заставляло предприятия как-то работать в этой области. Не стояла на месте и теория.
Проводились НИР, издавались книги, монографии, т.е. шел процесс накапливания знаний как в теории, так и на практике. В этом заключается положительный момент пройденного пути. Весь этот опыт мог бы пригодиться при переходе России на рыночные отношения, но этого не случилось.
В этот период проблеме качества не уделялось должного внимания ни со стороны государства, ни на самих предприятиях. Попав в тяжелое финансовое положение, руководители этих предприятий думали прежде всего о том, как выжить и не обанкротиться, не подозревая, что для них возможен единственный способ выхода из создавшегося положения это улучшение качества продукции.
Сейчас наблюдается классическое противоречие: психологическое отношение руководителя к качеству (некоторые называют это «синдром первого руководителя») остается прошлым, а социально-экономическая ситуация меняется.
Настоящие менеджеры уже давно поняли, что в условиях рынка финансовое положение предприятия зависит в первую очередь от качества выпускаемой продукции. Например, директор Саратовского завода резервуарных конструкций А. С. Саратовский, сделав основную ставку на качество продукции и систему качества, добился значительных успехов. Не случайно завод стал одним из немногих предприятий в России, имеющих сертификат Л. Лойда.
Это оказало существенное содействие продвижению продукции завода на внешний рынок и увеличению ее цены в несколько раз.
Другой пример. АО «Орлэкс» (бывшее Орловское ПО «Промприбор») сертифицировало свою систему качества и получило сертификат Л. Лойда, а вместе с ним и существенные экономические выгоды.
Необходимость создания, внедрения и сертификации современных систем управления качеством продукции стали осознавать многие руководители отечественных предприятий.
В настоящее время все системы качества и все подходы в этой области можно разделить на два класса: системы по стандартам ИСО серии 9000 и «общефирменные системы качества».
В соответствии со стандартами ИСО серии 9000 главная целевая установка системы качества обеспечить качество, требуемое потребителем.
Концепция общефирменной системы качества предусматривает постоянное улучшение качества. Общефирменная система качества продукции получила широкое распространение, в частности, на японских предприятиях. Основные правила работы по этой системе:
1) ноль дефектов;
2) предупреждение дефектов, а не их устранение;
3) все производственные отношения между подразделениями, а также между персоналом предприятия рассматриваются и строятся как отношения потребителя и поставщика;
4) постоянное обучение персонала управлению качеством.
Для российских предприятий ближе система управления качеством по стандартам ИСО серии 9000, поэтому она и получает все большее распространение.
Внедрение системы управления качеством позволяет решить на предприятии следующие задачи:
обеспечить стабильный выпуск высококачественной продукции;
увеличить объем производства и найти рынки для ее реализации;
повысить возможные продажи продукции по более высоким ценам;
решить проблему конкурентоспособности продукции и устойчивого финансового положения.
Данные системы позволяют вносить необходимые корректировки в процесс управления предприятием на стадии как «жизненного цикла» продукции, так и товара.
Различают следующие этапы «жизненного цикла» продукции:
первый этап исследование и проектирование;
второй этап изготовление продукции;
третий этап обращение и реализация;
четвертый этап эксплуатация продукции.
На всех этих стадиях требуется свой подход, чтобы обеспечить необходимый уровень качества выпускаемой продукции. Но этого мало. На предприятии необходимо систематически отслеживать, на какой стадии «жизненного цикла» находится тот или иной товар, так как от этого зависят конкретные действия предприятия.
На 7.1 показан «жизненный цикл» товара.
Обычно выделяются четыре стадии «жизненного цикла» товара: внедрение, рост, зрелость, спад. Некоторые специалисты вводят еще одну стадию насыщение рынка (перед спадом).
Внедрение это период появления нового товара на рынке и постепенного увеличения объема его продаж. Прибыли от сбыта товара в это время практически нет либо она очень мала вследствие больших издержек производства (которое тоже еще не стало массовым), а также расходов на рекламу и продвижение товара, маркетинговые мероприятия.
ЭКОНОМИЧЕСКАЯ ЭФФЕКТИВНОСТЬ ПОВЫШЕНИЯ КАЧЕСТВА ПРОДУКЦИИ

7.1. «Жизненный цикл» товара
Рост это период признания товара рынком (потребителем), когда объем продаж (и производство) заметно увеличивается, товар начинает приносить прибыль.
Зрелость период, когда рост объема продаж замедляется или стабилизируется, а прибыль достигает максимального значения. Однако удается далеко не всегда поддержать высокий уровень прибыли, так как начинают возрастать затраты на поддержание конкурентоспособности данного товара и создание (продвижение на рынок) тех, которые придут ему на смену.
Спад это период резкого снижения объема продаж и размера прибыли. Производитель принимает решение об уходе с рынка либо остается на нем на какое-то время, если это еще выгодно.
Для типичного товара самой короткой является стадия внедрения, а наиболее длительной во времени стадия спада. Концепция «жизненного цикла» товара имеет большое значение для определения поведения фирмы на рынке, а для этого фирма должна отслеживать и знать, на какой стадии находится тот или иной ее товар. Если товар находится на последней стадии, то в этом случае необходимо принимать срочные меры по модернизации данного товара или по выпуску нового.
7.6. ЭКОНОМИЧЕСКАЯ ЭФФЕКТИВНОСТЬ ПОВЫШЕНИЯ КАЧЕСТВА ПРОДУКЦИИ, МЕТОДИКА ЕЕ РАСЧЕТА Ранее уже отмечалось, что улучшение качества продукции является одним из важнейших направлений повышения эффективности общественного производства и отдельного предприятия.
Экономическая эффективность от улучшения качества продукции может быть выражена следующей формулой:
ЭКОНОМИЧЕСКАЯ ЭФФЕКТИВНОСТЬ ПОВЫШЕНИЯ КАЧЕСТВА ПРОДУКЦИИ

Эффективность производства может повышаться даже при сокращении объема реализации, но это возможно только в том случае, если качество продукции растет более быстрыми темпами, чем темпы снижения объема выпуска и реализации продукции. На практике такой подход к определению эффективности производства от улучшения качества не применяется, так как он труднореализуем по многим причинам.
Для определения экономической эффективности от улучшения качества продукции необходимо учитывать следующее:
1) для улучшения качества продукции на предприятии требуются дополнительные текущие и единовременные затраты;
2) экономический эффект от улучшения качества продукции проявляется в основном не у изготовителя, а у ее потребителя;
3) необходимо учитывать полученную экономию от снижения брака;
4) предприятие при улучшении качества продукции получает экономическую выгоду от: увеличения выпуска и реализации продукции, роста продажной цены, увеличения экспорта, снижения брака продукции.
В конечном итоге это проявляется в получении дополнительной прибыли на предприятии, которая может быть определена по формуле
ЭКОНОМИЧЕСКАЯ ЭФФЕКТИВНОСТЬ ПОВЫШЕНИЯ КАЧЕСТВА ПРОДУКЦИИ

где П общая дополнительная прибыль от улучшения качества продукции;
Пv дополнительная прибыль, полученная предприятием от увеличения объема производства и реализации продукции;



Экономика предприятия


ВВЕДЕНИЕ Переход нашей экономики от планово-централизованной к рыночной оказался очень сложным и трудным. Этот этап сопровождается падением производства, инфляцией, снижением жизненного уровня населения и нарастанием социальной напряженности в обществе. Таких существенных негативных последствий никто не предполагал; прогнозировалось экономическое ухудшение в стране, но не в таких масштабах.
Почему же произошла такая ситуация?
Можно назвать множество объективных и субъективных причин, но ни одна из них до конца не раскроет суть происходящего, настолько это многоплановое и неординарное явление для нашей страны. Ясно и то, что на этом этапе отсутствовала хорошая и научно обоснованная программа экономического и социального развития страны. Управленческий персонал не был должным образом подготовлен к выполнению своих функций в условиях рыночных отношений.
Это относится не только к верхним эшелонам власти, но и в целом к директорскому корпусу.
Все это, вместе взятое, сыграло негативную роль при осуществлении экономической реформы в России. Отсюда можно сделать вывод, что подготовка экономистов новой формации, глубоко понимающих теорию рыночной экономики и .умеющих эффективно использовать полученные знания на практике как на макро-, так и микроуровне, имеет исключительно важное значение для России.
Известно, что экономика подразделяется на две основные области: макроэкономику и микроэкономику.
Макроэкономика изучает экономическое состояние, «здоровье» страны в целом. В макроэкономике все величины рассматриваются в агрегированном, совокупном виде: национальный доход, валовой национальный продукт, совокупный спрос, совокупное предложение, занятость и норма безработицы, уровень инфляции и т.д.
Микроэкономика связана с деятельностью отдельных экономических субъектов. Она изучает деятельность предприятий, фирм и отраслей народного хозяйства.
Деление экономики на макро- и микроэкономику чисто условное, так как довольно часто эти два понятия трудно разграничить. Кроме того, между ними существует довольно тесная связь. Во-первых, макроэкономика является теоретическим фундаментом для познания микроэкономики; во-вторых, состояние экономики зависит в первую очередь от эффективности работы отдельных предприятий, фирм, т.е. коммерческих организаций.
Именно на предприятиях создаются продукция и услуги, необходимые для производственных целей и нужд населения. Поэтому от того, как они используют свои ресурсы, какую выпускают продукцию по уровню качества и конкурентоспособности, как внедряют результаты НТП, зависят экономическое могущество страны и уровень жизни ее граждан.
Главной задачей данного курса является ознакомление студентов с основами рыночной экономики предприятия, с методами рационального использования ресурсов и управления предприятием с целью получения максимальной прибыли.
Предметом изучения курса «Экономика предприятия» являются сущность самого предприятия как коммерческой организации, ресурсы предприятия (основные производственные фонды, оборотные средства, рабочая сила, инвестиции) и пути улучшения их использования.
Известно, что эффективность работы предприятия зависит от того, насколько глубоко и правильно используются прогрессивные общественные формы организации производства, такие, как концентрация, специализация, кооперирование и комбинирование производства. Все эти вопросы нашли отражение в отдельных главах учебного пособия. При этом все прогрессивные общественные формы организации производства излагаются во взаимосвязи и в тесной увязке.
Учитывая важность сырьевых и топливно-энергетических ресурсов для любого предприятия, раскрываются их роль в экономике, обеспеченность ими и пути их более рационального использования.
Данный курс изучает и такие проблемы, как проблема ускорения НТП и улучшения качества продукции, проблема снижения издержек производства и реализации продукции и получения максимальной прибыли на предприятии.
Учебное пособие «Экономика предприятия» написано автором на основе опыта преподавания и обобщения многочисленных литературных источников.
Главы 12, 14, 16 написаны совместно с канд. экон. наук И. И. Веретенниковой.



Электроэнергия в качестве рабочего контрагента


Таким образом, необходимость в коренных изменениях в технологических принципах обработки предметов труда обусловлена насущными потребностями развития общественного производства. Процесс преобразования предмета труда должен протекать без непосредственного и прямого участия в нем человека и отличаться малооперационностью.
Одно из главных направлений коренных изменений в технологии перевод ее на использование электроэнергии в качестве рабочего контрагента, непосредственно обрабатывающего предмет труда. В технологии, основанной на термическом воздействии на предмет труда, уже используется свойство электричества легко преобразовываться в тепловую энергию. Электротермические процессы получают широкое развитие в черной металлургии (выплавка электростали, ферросплавов), металлообработке (нагрев и плавка металлов) и сварке металлов.
На свойстве электричества служить реагентом в химических процессах основана электрохимическая технология, широко применяемая для получения ряда цветных, легких и редких металлов (алюминия, магния, натрия, титана и др.), а также ряда органических соединений путем электросинтеза.
Электрификация механической технологии состоит в том, что электричество должно вытеснить и заменить собой рабочий инструмент механического орудия (резец в металлообработке). Электричество начнет выполнять ту же функцию, что и инструмент механического орудия, т.е. фактически воздействовать на обрабатываемый материал (электрофизическая технология). Разработаны и применяются такие виды электрофизической технологии обработки металлов, как электроискровая, электроимпульсная и электроконтактная. Начинают внедряться электрофизические методы, основанные на воздействии электрического поля и электрических зарядов на обрабатываемое сырье, электросепарация, электроформование.
Эти процессы могут быть использованы в самых различных отраслях текстильной, машиностроительной, горнорудной, промышленности строительных материалов.
Предложен принципиально новый способ резания материалов при помощи лазерного луча. Квантовые генераторы находят применение в ряде отраслей машиностроения, вытесняя механические металлорежущие станки. Разработана и начала внедряться в производство многих химических продуктов плазмоструйная технология.
Электрификация становится одним из главных направлений коренных преобразований технологии, потому что она обладает многими технологическими и экономическими преимуществами. Электрическая обработка повышает качество, надежность и долговечность уже известных видов продукции, позволяет создать изделия с новыми потребительскими свойствами, что расширяет рамки производства и личного потребления.
О более широком использовании электричества в технологических процессах свидетельствуют следующие данные. Если в 1928 г. на технологические цели использовалось 2%, то сейчас более 30% всей потребляемой в промышленности электроэнергии.
Уровень электрификации характеризуют следующие показатели:
общий коэффициент электрификации, который определяется как отношение электрической энергии к массе всех видов энергии, потребляемой отраслью, подотраслью, объединением (предприятием);
коэффициент электрификации привода отношение электрической энергии к массе всех видов энергии, используемых для приведения в движение машин, оборудования и различных механизмов;
удельный вес электроэнергии, потребляемой непосредственно в технологических процессах (электролиз, электроплавка, электросварка и др.), в общем объеме электроэнергии, потребляемой на производственные нужды;
электровооруженность труда отношение потребленной электроэнергии (за минусом электроэнергии, использованной на технологические цели) к числу работающих или к отработанному времени за определенный период (как правило, за год).
Анализ этих показателей в динамике позволяет судить о развитии такого важного направления НТП, как электрификация.
Значение электрификации заключается в том, что она является основой для механизации и автоматизации производства, а также химизации производства, способствует повышению эффективности производства: увеличению производительности труда, улучшению качества продукции, снижению ее себестоимости, увеличению объема производства и прибыли на предприятии. Так, давно установлена прямая связь между производительностью и электровооруженностью труда. Велико значение электрификации и для решения многих социальных проблем: отопления и освещения жилых зданий, улучшения условий труда на производстве, более широкого применения самой разнообразной бытовой техники и др.
Другим важнейшим направлением НТП являются комплексная механизация и автоматизация производства.
Механизация и автоматизация производственных процессов это комплекс мероприятий, предусматривающих широкую замену ручных операций машинами и механизмами, внедрение автоматических станков, отдельных линий и производств.
Механизация производственных процессов означает замену ручного труда машинами, механизмами и другой техникой.
Механизация производства непрерывно развивается, совершенствуется, переходя от низших к более высоким формам: от ручного труда к частичной, малой и комплексной механизации и далее к высшей форме механизации автоматизации.
В механизированном производстве значительная часть трудовых операций выполняется машинами и механизмами, меньшая вручную. Это частичная (некомплексная) механизация, при которой могут быть отдельные слабомеханизированные звенья.
Комплексная механизация это способ выполнения всего комплекса работ, входящих в данный производственный цикл, машинами и механизмами.
Высшей степенью механизации является автоматизация производственных процессов, которая позволяет осуществлять весь цикл работ без непосредственного участия в нем человека, лишь под его контролем.
Автоматизация это новый тип производства, который подготовлен совокупным развитием науки и техники, прежде всего переводом производства на электронную основу, с помощью применения электроники и новых совершенных технических средств. Необходимость автоматизации производства вызвана неспособностью органов человека с нужной быстротой и точностью управлять сложными технологическими процессами. Огромные энергетические мощности, большие скорости, сверхвысокие и сверхнизкие температурные режимы оказались подвластны только автоматическому контролю и управлению.
В настоящее время при высоком уровне механизации основных производственных процессов (80%) в большинстве отраслей все еще недостаточно механизированы вспомогательные процессы (2540), многие работы выполняются вручную. Наибольшее количество вспомогательных рабочих используется на транспорте и перемещении грузов, на погрузочно-разгрузочных работах. Если же учесть, что производительность труда одного такого работника почти в 20 раз ниже, чем у занятого на комплексно-механизированных участках, то становится очевидной острота проблемы дальнейшей механизации вспомогательных работ.
Кроме того, необходимо учитывать то обстоятельство, что механизация вспомогательных работ в промышленности обходится в 3 раза дешевле, чем основных.
Но основной и самой важной формой является автоматизация производства. В настоящее время счетно-решающие машины все более решительно входят во все области науки и техники. В будущем эти машины станут основой автоматизации производства и будут управлять автоматикой.
Создание новой автоматической техники будет означать широкий переход от трехзвеньевых машин (рабочая машина передача двигатель) к четырехзвеньевым системам машин. Четвертое звено кибернетические устройства, при помощи которых обеспечивается управление огромными мощностями.
Основными ступенями автоматизации производства являются: полуавтоматы, автоматы, автоматические линии, участки- и цехи-автоматы, заводы- и фабрики-автоматы. Первой ступенью, представляющей собой переходную форму от простых машин к автоматическим, являются полуавтоматы. Принципиальная особенность машин этой группы заключается в том, что целый ряд функций, осуществляющихся ранее человеком, здесь передан машине, однако за рабочим еще сохраняются определенные операции, обычно трудно поддающиеся автоматизации.
Высшей ступенью является создание заводов- и фабрик-автоматов, т.е. полностью автоматизированных предприятий.
Основными показателями, характеризующими уровень механизации и автоматизации, являются:
коэффициент механизации производства
Электроэнергия в качестве рабочего контрагента

где Кмп коэффициент механизации производства;
VМ объем продукции, произведенной с помощью машин и механизмов;
Vобщ общий объем выработанной продукции на предприятии;
коэффициент механизации (автоматизации) труда (К^.т)
Электроэнергия в качестве рабочего контрагента

где NМ количество рабочих, занятых на механизированных (автоматизированных) работах, чел.;
Np количество рабочих, выполняющих ручные операции;
коэффициент механизации (автоматизации) работ (Кр)
Электроэнергия в качестве рабочего контрагента

где VМ объем работ, выполненный механизированным (автоматизированным) способом;
Vобщ общий объем работ;
уровень автоматизации Yа на практике довольно часто определяют из выражения
Электроэнергия в качестве рабочего контрагента

где Kа количество автоматического оборудования в штуках или его стоимость в рублях;
К количество или стоимость неавтоматического оборудования.



Какова кадровая политика на предприятии?


Наиболее эффективной формой регулирования заработной платы лиц наемного труда является многоуровневая договорная (контрактная) система. Она позволяет с достаточной полнотой отразить при определении условий оплаты интересы как работодателя, так и наемных работников.
Трудовой договор (контракт) заключается в письменной форме при найме работника.
Преимущество письменной формы заключается в том, что все условия договора (контракта) фиксируются в данном акте, обязательном для обеих сторон. Письменная форма договора (контракта) повышает гарантии сторон в реализации достигнутых договоренностей по важнейшим условиям труда.
Контрактные формы найма и оплаты труда позволяют отразить многие вопросы, которые нельзя оговорить при заключении бессрочного трудового договора.
Главной целью введения контрактной системы оплаты труда является нацеливание работников на достижение высоких конечных результатов труда, а также повышение их ответственности за порученное дело. Контракты могут заключаться с руководителями, специалистами, а также с рабочими.
Как правило, в контрактах отражаются размер оплаты труда, порядок ее определения и ряд других вопросов. По соглашению сторон в трудовом договоре могут быть предусмотрены различные доплаты и надбавки стимулирующего и компенсационного характера: за профессиональное мастерство и высокую квалификацию, за классность, за отклонения от нормальных условий труда и др. В контракте могут найти отражение вопросы предоставления служебного транспорта, дополнительного отпуска, жилой площади и др.
В связи с тем что работник обычно заинтересован в продолжении трудовых отношений с фирмой, срочный характер контракта является мощным стимулом повышения производительности труда и качества работы наемных работников.
При совершенствовании организации заработной платы в России следует учитывать опыт развитых зарубежных стран, особенно в части форм стимулирования персонала компании.
В практике развитых стран наряду с выплатой заработной платы широко используются отсроченные платежи (например, в пенсионный фонд), участие в прибылях компании, участие в акционерном капитале. Наряду с этим применяются различные дополнительные стимулы оплата транспортных расходов, субсидии на питание, скидки на покупку товаров фирмы, помощь в обучении, страхование жизни, медицинское обследование и др. Это, с одной стороны, заинтересовывает работников в получении дополнительных доходов, с другой способствует социальному партнерству наемных работников и собственников фирмы.
Учет выработке и заработной платы в цехах. Первостепенное значение для контроля за хозяйственной деятельностью внутрипроизводственных подразделений имеет правильный учет выработки и заработной платы.
Показатели учета выработки фиксируются в первичных документах и служат основой исчисления заработной платы рабочих-сдельщиков и определения степени выполнения норм выработки. Они необходимы для оперативного планирования и учета внутрипроизводственного движения деталей и полуфабрикатов.
В соответствии с Основными положениями по учету труда и заработной платы в зависимости от характера производства, системы организации и оплаты труда, технологического процесса, уровня механизации учета, объема выполненных работ и заработной платы применяются, следующие первичные документы: наряди на сдельную работу, лицевые счета, ведомости учета выработки, маршрутные карты, рапорт о выработке и приемке работ, акты о приемке выполненных работ и др.
Более прогрессивной разновидностью накопительных документов по учету выработки по сравнению с нарядом является лицевой счет. Его открывают на месяц бригаде, если ее участники длительное время коллективно выполняют какую-либо одну работу. В лицевом счете предусмотрены следующие реквизиты: описание производственного задания; форма и условия оплаты труда; группа оборудования и номер заказа; количество деталей, выданных в работу и фактически принятых, в том числе и бракованных, дата и подпись контролера ОТК или мастера; сведения, необходимые для расчета заработной платы за годную продукцию и удержаний за допущенный брак; сумма доплат с указанием шифров причин и виновников.
Применение лицевых счетов вместо нарядов позволяет высвобождать время у нормировщиков, плановиков и мастеров.
В серийном производстве машиностроительных предприятий наиболее приемлем учет выработки на основе рапортов о выработке и приемке работ за смену или маршрутных листов. Отличительная особенность рапорта о выработке и приемке работ состоит в том, что в него записывается выработка за смену всех рабочих бригады или участка. Если работник выполнял в течение смены несколько операций, то каждое новое задание и его пополнение фиксируются в новой строке.
Наиболее рациональным является учет выработки на основе маршрутного листа. Он выписывается на партию деталей и сопровождает ее по всему технологическому процессу обработки. Это обстоятельство позволяет использовать маршрутный лист для контроля за движением и сохранностью деталей в производстве, соблюдением последовательности технологического процесса и учета выработки.
Для применения маршрутной системы необходимо наличие четко разработанного технологического процесса по каждому заказу, норм расхода материалов, норм времени и расценок, закрепления технологических операций за определенным оборудованием или рабочим местом, стабильности размеров партий деталей (узлов.
На практике применяются два основных варианта маршрутной системы: маршрутный лист в сочетании со сменным рапортом для учета выработки и маршрутный лист как единый первичный документ. При первом варианте маршрутный лист не является основанием для расчетов заработной платы и поэтому не контролируется бухгалтерией (используется лишь для контроля за правильностью выполнения технологического процесса и учета движения деталей в производстве). В этом случае сменное задание-наряд оформляется только при наличии маршрутного листа на каждую запускаемую в производство партию деталей.
Более совершенным является второй вариант, при котором маршрутный лист используется в качестве единого комбинированного первичного документа для учета выработки и заработной платы рабочих-сдельщиков, а также контроля за расходованием материалов в производстве и движением деталей.
Выводы
От кадровой политики зависит очень многое, в первую очередь насколько рационально используются рабочая сила и эффективность работы предприятия.
Кадры на предприятии классифицируются на рабочих, руководителей, специалистов и служащих. Приоритет следует отдавать руководителям. Исследованиями и практикой установлено, что эффективность работы предприятия на 7080% зависит от руководителя предприятия.
С переходом предприятия на рыночные отношения они получили большую самостоятельность в области оплаты труда. Как показывает анализ, предприятия в этот период стали чаще применять повременно-премиальную и бестарифную системы оплаты труда, а также оплату труда по контракту.
Выявились и негативные стороны в оплате труда, смысл которых заключается в следующем:
на некоторых предприятиях стал допускаться слишком большой разрыв в оплате труда между работниками, получающими минимальную заработную плату, и руководителем предприятия и его заместителями. Это соотношение иногда достигает 1:15, 1:20 и более;
на многих предприятиях, особенно крупных и средних, стали задерживать выплату заработной платы и производить натуральную оплату, что связано с общими неплатежами и плохим финансовым положением этих предприятий.
Кадры, производительность труда и заработная плата это понятия, которые тесно связаны между собой. На каждом предприятии должен разрабатываться план по труду и заработной плате, цель которого заключается в изыскании резервов по улучшению использования рабочей силы и на этой основе повышении производительности труда. При этом план должен быть разработан так, чтобы темпы роста производительности труда опережали темпы роста средней заработной платы.
Контрольные вопросы
1. Какова кадровая политика на предприятии?
2. Что понимается под структурой кадров и каковы факторы, ее определяющие?
3. Чем отличается номинальная заработная плата от реальной?
4. Какие вы знаете формы и системы оплаты труда?
5. В каких случаях наиболее целесообразно применять повременную и сдельную формы оплаты труда?
6. Почему на предприятии производительность труда должна опережать среднюю заработную плату?
7. Что такое производительность труда? Значение ее роста на предприятии.
8. Какие вы знаете методы определения производительности труда на предприятии?
9. Какова сущность планирования производительности труда и заработной платы на предприятии?
10. Какие факторы определяют рост выработки на предприятии?

ПРИЛОЖЕНИЕ
ОСНОВНЫЕ СТАТЬИ ПО ВОПРОСУ ОПЛАТЫ ТРУДА В КОДЕКСЕ ЗАКОНОВ О ТРУДЕ РОССИЙСКОЙ ФЕДЕРАЦИИ
Статья 64. Компенсация за работу в выходной день.
Работа в выходной день компенсируется предоставлением другого дня отдыха или (по соглашению сторон) в денежной форме, но не менее чем в двойном размере.
Статья 77. Оплата по труду.
Оплата труда каждого работника зависит от его личного трудового вклада и качества труда и максимальным размером не ограничивается.



Классификация затрат на производство продукции


Планирование этих расходов осуществляется путем разработки на соответствующие цели годовых, квартальных смет с распределением на каждый месяц по каждой производственной единице, цеху в отдельности. Контроль за этими затратами осуществляется в соответствии со сметными размерами издержек.
Общехозяйственные накладные расходы, или накладные расходы непроизводственного назначения, связаны с функцией руководства, управления, которые осуществляются в рамках предприятия, компании, фирмы в целом. В состав этих расходов включается несколько групп: административно-управленческие, общехозяйственные, налоги, обязательные платежи, отчисления и пр.
В их состав включают издержки на:
содержание работников аппарата управления предприятием, заработную плату, отчисления на социальные нужды, материально-техническое и транспортное обслуживание их деятельности, затраты на командировки;
содержание и обслуживание технических средств управления (вычислительных центров, узлов связи, средств сигнализации), освещение, отопление и т.п.;
оплату консультационных, информационных и аудиторских услуг, оплату услуг банка (в том числе проценты по кредитам банка и проценты по кредитам поставщика за приобретенные товарно-материальные ценности);
подготовку и переподготовку кадров, расходы по набору рабочей силы;
текущие затраты, связанные с содержанием фондов природоохранного назначения, очистных сооружений, на уничтожение экологически опасных отходов и платежи за предельно допустимые выбросы загрязняющих веществ в природную среду;
износ (амортизацию) основных средств, МБП и нематериальных активов;
ремонт зданий, сооружений и инвентаря общепроизводственного назначения и расходы, связанные с содержанием помещений, предоставляемых бесплатно для организации общественного питания;
платежи по обязательному страхованию имущества предприятия и отдельных категорий работников, налоги, сборы, платежи и другие обязательные отчисления, производимые в соответствии с установленным законодательством порядком.
Планирование этих расходов осуществляется по смете по статьям и группам расходов. Учет организуется в ведомости в целом по предприятию и в группировке по статьям сметы, что позволяет осуществлять текущий контроль за ее исполнением.
Смысл и содержание остальных статей вытекают из их названия.
Кроме поэлементной и постатейной классификации затраты классифицируются и по другим признакам (табл. 13.1).
Основными называются затраты, непосредственно связанные с технологическим процессом производства, на сырье и основные материалы, вспомогательные и другие расходы, кроме общепроизводственных и общехозяйственных.
Накладные расходы образуются в связи с организацией, обслуживанием производства и управлением им. Они состоят из общепроизводственных и общехозяйственных расходов.
К текущим относятся расходы, имеющие частую периодичность осуществления, например расход сырья и материалов.
Таблица 13.1 Классификация затрат на производство продукции

№ п/п
Признак классификации
Подразделение затрат
1
По экономической роли в процессе производства
Основные и накладные
2
По составу (однородности)
Одноэлементные и комплексные
3
По способу включения в себестоимость продукции
Прямые и косвенные
4
По отношению к объему производства
Условно-переменные и условно-постоянные
5
По периодичности возникновения
Текущие и единовременные
6
По участию в процессе производства
Производственные и коммерческие
7
По эффективности
Производительные и непроизводительные

К единовременным (однородным) расходам относят затраты на подготовку и освоение выпуска новых видов продукции, расходы, связанные с пуском новых производств, и др.
Производительными считаются затраты на производство продукции установленного качества при рациональной технологии и организации производства.
Непроизводительные расходы являются следствием недостатков в технологии и организации производства (потери от простоев, брак продукции, оплата сверхурочных и др.). Производительные расходы планируются, а непроизводительные, как правило, не планируются.
Важное значение для анализа и управления издержками производства на предприятии с целью их снижения имеет классификация затрат на условно-постоянные и условно-переменные.
Условно-постоянные затраты затраты, которые не изменяются или изменяются незначительно в зависимости от изменения объема производства. К ним относятся: амортизация зданий и сооружений, расходы на управление производством и предприятием в целом, арендная плата и др.
Условно-переменные затраты затраты, которые изменяются прямо пропорционально изменению объема производства. К ним относятся: сдельная заработная плата рабочих, расходы на сырье, материалы, комплектующие изделия, технологическое топливо и энергию и др.
С увеличением объема производства и реализации продукции себестоимость единицы продукции снижается за счет снижения условно-постоянных расходов на единицу продукции.
Пример. На предприятии в отчетном периоде объем выпуска продукции составил 2000 ед., а затраты на ее выпуск 4 млрд руб., при этом условно-постоянные расходы составили 2,2 млрд руб. В плановом периоде предусматривается увеличить выпуск продукции на 20%.
Определите плановую себестоимость продукции и величину снижения затрат за счет увеличения объема производства.
Решение
1. Определяем долю условно-постоянных расходов в себестоимости продукции:
Классификация затрат на производство продукции

2. Плановые затраты на выпуск продукции составят:
Спл = 2,2 + 1,8 1,2 = 4,36 млрд руб.
3. Величина снижения затрат в плановом периоде за счет увеличения объема производства:
4,0 1,2 4,36 = 0,44 млрд руб.
Затраты на единицу продукции снизились с 2 млн руб. (40000 : 2000) до 1,82 млн руб. (4,36 : 2 1,2), т.е. почти на 200 тыс. руб.
13.3. СТРУКТУРА СЕБЕСТОИМОСТИ И ФАКТОРЫ, ЕЕ ОПРЕДЕЛЯЮЩИЕ Под структурой себестоимости понимаются ее состав по элементам или статьям и их доля в полной себестоимости. Она находится в движении, и на нее влияют следующие факторы:
1) специфика (особенности) предприятия. Исходя из этого различают: трудоемкие предприятия (большая доля заработной платы в себестоимости продукции); материалоемкие (большая доля материальных затрат); фондоемкие (большая доля амортизации); энергоемкие (большая доля топлива и энергии в структуре себестоимости);
2) ускорение научно-технического прогресса. Этот фактор влияет на структуру себестоимости многопланово. Но основное влияние заключается в том, что под воздействием этого фактора доля живого труда уменьшается, а доля овеществленного труда в себестоимости продукции увеличивается;
3) уровень концентрации, специализации, кооперирования, комбинирования и диверсификации производства;
4) географическое местонахождение предприятия;
5) инфляция и изменение процентной ставки банковского кредита.
Структуру себестоимости продукции характеризуют следующие показатели:
соотношение между живым и овеществленным трудом;
доля отдельного элемента или статьи в полных затратах;
соотношение между постоянными и переменными затратами, между основными и накладными расходами, между производственными и коммерческими (непроизводственными) расходами, между прямыми и косвенными и др.
Систематическое определение и анализ структуры затрат на предприятии имеют очень важное значение, в первую очередь для управления издержками на предприятии с целью их минимизации.
Структура затрат позволяет выявить основные резервы по их снижению и разработать конкретные мероприятия по их реализации на предприятии.
За последние годы (19901994) структура затрат в целом по промышленности и ее отраслям существенно изменилась, о чем свидетельствуют данные, приведенные в табл. 13.2.
Анализ данных этой таблицы позволяет сделать вывод, что структура затрат на производство продукции в целом по промышленности за анализируемый период существенно изменилась: доля амортизации снизилась с 12,1 до 6,8%; прочие расходы увеличились с 4,1 до 18,1%; доля материальных затрат снизилась с 68,6 до 56,3%; отчисления на социальные нужды увеличились с 2,2 до 5,1%; структуры затрат на производство продукции по отдельным отраслям промышленности различаются довольно существенно.
На структуру затрат за анализируемый период повлияли следующие факторы:
инфляционный процесс. Стоимость материальных ресурсов, основных фондов, рабочей силы изменялась неадекватно по отношению к друг другу, это и отразилось на структуре затрат;
опережение процесса выбытия основных фондов над процессом их ввода, что привело к снижению доли амортизации. Повлиял и тот факт, что неоднократная переоценка основных средств не соответствовала уровню инфляции;
Таблица13.2
Структура затрат на производство продукции по промышленности за 1990,1997 гг. и ее отраслям за 1997 г.*





В том числе



Отрасли промышленности
Все затраты
материальные

на оплату труда

отчисления на социальные нужды
амортизационные отчисления
Прочие расходы
Вся промышленность (1990г.)
100
68,3
13,0
2,2
12,1
4,1
Вся промышленность (1997г.)
100
61,4
12,1
4,5
7,8
14,2
Электроэнергетика
100
65,9
7,1
2,7
8,1
16,2
Топливная промышленность
100
48,2
9,0
3,4
13,5
25,9
Черная металлургия
100
73,2
9,5
3,6
5,1
8,6
Цветная металлургия
100
58,4
15,7
5,8
7,4
12,7
Машиностроение и металлообработка
100
57,4
17,8
6,6
6,5
11,7
Химическая и нефтехимическая
100
69,8
10,3
4,0
6,5
9,4
Легкая
100
57,9
19,7
7,0
6,5
8,9
Пищевая
100
69,9
11,7
4,4
4,2
9,8


Комбинирование производства


Развитие комбинирования на отдельных предприятиях зависит в первую очередь от их специфики.
Для определения уровня развития комбинирования на предприятии могут быть использованы следующие показатели:
доля продукции, полученной в результате комбинирования производства, в общем объеме выпускаемой продукции по предприятию;
степень извлечения полезных компонентов из исходного сырья;
степень использования отходов производства на предприятии, которая определяется отношением количества используемых отходов к их общему количеству;
количество наименований побочной продукции, производимой на предприятии за счет комбинирования производства.
Для анализа уровня комбинирования могут быть использованы и другие показатели.
5.4. ЭКОНОМИЧЕСКИЕ АСПЕКТЫ КОМБИНИРОВАНИЯ ПРОМЫШЛЕННОГО ПРОИЗВОДСТВА Комбинирование с экономических позиций представляет одну из самых прогрессивных форм концентрации и организации промышленного производства, так как позволяет наиболее полно использовать все ресурсы предприятия. С экономических позиций комбинирование производства позволяет:
расширить сырьевую базу промышленности;
снизить материалоемкость продукции за счет комплексного использования сырья, отходов производства и осуществления непрерывности технологического процесса;
снизить транспортные расходы;
более эффективно использовать основные производственные фонды и производственные мощности предприятия;
сократить длительность производственного цикла;
сократить инвестиции на развитие добывающих отраслей промышленности;
уменьшить производственные отходы и тем самым оказывать благотворное влияние на природную среду;
развивать концентрацию производства и получать выгоды от эффекта масштабности и др.
Все вышеперечисленное можно формализовать и получить математическое выражение для определения экономического эффекта от комбинирования производства.
Комбинирование производства

где Э экономический эффект от комбинирования производства;
Ссп, Cк себестоимость выпускаемой продукции на специализированном предприятии и выпуск этой же продукции за счет комбинирования;
Зтр1, Зтр2 транспортные расходы на единицу продукции до и после комбинирования;
Кс, Кк удельные капитальные вложения на выпуск продукции на специализированном предприятии и на производство этой же продукции за счет комбинирования;
Vк объем выпуска продукции за счет комбинирования производства;
К экономия капитальных вложений, необходимых на развитие добывающих отраслей.
Данную формулу можно представить и в более упрощенном виде:
Комбинирование производства

т. е. комбинирование позволяет получить экономический эффект за счет снижения себестоимости продукции С, снижения транспортных расходов (Зтр), снижения удельных капитальных вложений (К) и экономии капитальных вложений (К), необходимых на развитие добывающих отраслей, если бы не осуществлялся процесс комбинирования производства.
Кроме того, комбинирование один из способов диверсификации производства, что в условиях рыночных отношений приводит к снижению риска банкротства предприятия.
Таким образом, развитие комбинирования на предприятии является одним из действенных направлений для увеличения выпуска продукции, улучшения использования всех ресурсов предприятия, снижения себестоимости продукции и увеличения прибыли на предприятии.
Выводы
Специализация и кооперирование, как правило, представляют единый процесс развития разделения труда, и поэтому их всегда необходимо рассматривать в единстве.
Развитие специализации на предприятии позволяет повысить уровень механизации и автоматизации труда, производительность труда, улучшить качество выпускаемой продукции, снизить себестоимость продукции и тем самым повысить конкурентоспособность предприятия и укрепить его финансовое положение.
Развитие специализации имеет следующие негативные последствия: могут увеличиться радиус транспортировки и монотонность в работе. Поэтому при планировании развития специализации на предприятии необходимо учитывать как положительные, так и отрицательные ее стороны.
Комбинирование является одной из самых прогрессивных форм концентрации и организации промышленного производства, так как позволяет наиболее полно использовать все ресурсы предприятия. Поэтому те предприятия, которые умело и широко используют эту прогрессивную форму организации производства, всегда оказываются в лучшем финансовом положении.
Контрольные вопросы
1. Какова сущность специализации и кооперирования производства?
2. Каковы формы и показатели уровня специализации и кооперирования производства?
3. Какие основные недостатки и преимущества специализации и кооперирования производства?
4. Как определить экономический эффект от специализации производства?
5. Каковы сущность и значение развития комбинирования на предприятии?
6. Каковы формы и показатели уровня комбинирования производства?
7. Как определить экономический эффект от развития комбинирования на предприятии?
8. Каковы связь комбинирования с диверсификацией производства, их различия и особенности?
9. Проанализируйте, какие возможности имеются на вашем предприятии по развитию комбинирования производства.



Комплексный показатель уровня качества товара


Патентно-правовые показатели качества характеризуют патентную чистоту продукции, ее конкурентную способность на мировом рынке.
Экономические показатели характеризуют продукцию со стороны ее экономичности (себестоимость изготовления, продажная цена, прибыль, рентабельность, цена потребления).
Среди экономических показателей особое значение имеет цена потребления, которая складывается из продажной цены и затрат, связанных с потреблением изделия за весь срок его службы у покупателя. Цена потребления обычно существенно выше продажной цены (в общих эксплуатационных расходах за весь срок жизни грузовика продажная цена занимает лишь 15%, магистрального самолета примерно 11%, бытового холодильника 10%, трактора 25%).
Показатели качества продукции необходимы для анализа и планирования уровня качества продукции на предприятии и определения ее конкурентоспособности.
7.3. КОНКУРЕНТОСПОСОБНОСТЬ ПРОДУКЦИИ, ЕЕ СУЩНОСТЬ И МЕТОДЫ ОПРЕДЕЛЕНИЯ Различают два понятия: технический уровень продукции и уровень качества продукции как более широкое понятие.
Качество продукции может быть выражено математически через уровень качества.
Уровень качества продукции относительная характеристика продукции, основанная на сопоставлении значений показателей, характеризующих техническое и эстетико-эргономическое совершенство комплексных показателей надежности и безопасности использования оцениваемой продукции, с базовыми значениями соответствующих показателей. Базовыми значениями показателей качества обладает базовая модель, за которую должен быть принят отечественный или зарубежный аналог наивысшего на данное время качества.
Оценка уровня качества продукции это совокупность операций, включающая выбор номенклатуры показателей качества оцениваемой продукции, определение значений этих показателей при оценке качества продукции.
Технический уровень продукции относительная характеристика качества продукции, основанная на сопоставлении значений показателей, характеризующих техническое совершенство оцениваемой продукции, с соответствующими базовыми значениями (ГОСТ 15467-79).
В международных стандартах нет понятия «технический уровень продукции», поэтому в них отсутствует и определение этого понятия.
Согласно ГОСТ 15467-79, под оценкой технического уровня продукции понимается совокупность операций, включающая выбор номенклатуры показателей, характеризующих техническое совершенство оцениваемой продукции, определение значений этих показателей и сопоставление их с базовыми.
Определение технического уровня продукции позволило в прошедший период проводить относительную оценку технического совершенства оцениваемой продукции по сравнению с лучшими отечественными или зарубежными аналогами. Но само понятие технического уровня продукции не включает в себя категории рыночной экономики: оценки покупательского спроса, конкурентоспособности и пр.
В современных условиях возникает необходимость в смене ориентации и критериев оценки разрабатываемой и выпускаемой продукции. Одним из таких критериев может служить конкурентоспособность продукции.
Различают два понятия: «конкурентоспособность предприятия» и «конкурентоспособность товара».
Под конкурентоспособностью предприятия понимается способность предприятия производить конкурентоспособную продукцию за счет его умения эффективно использовать финансовый, производственный и трудовой потенциал.
Под конкурентоспособностью товара понимается совокупность его качественных и стоимостных характеристик, которая обеспечивает удовлетворение конкретной потребности покупателя и выгодно для покупателя отличается от аналогичных товаров-конкурентов.
Абсолютно конкурентоспособными, исходя из этой посылки, являются новые виды товаров, не имеющие аналогов на рынке.
Практика определения конкурентоспособности товара основывается на сравнительном анализе его совокупных характеристик с товарами-конкурентами по степени удовлетворения конкретных потребностей и по цене потребления.
Конкурентоспособность продукции может быть выражена количественно через показатель конкурентоспособности.
Известно несколько способов определения этого важнейшего показателя. Остановимся на более распространенных.
Первый способ. Критерием для определения конкурентоспособности техники является цена потребления этого товара, которая определяется из выражения
Цп = Цпр + Ип,
где Цп цена потребления;
Цпр цена продажная;
Ип издержки у потребителя этой продукции за весь нормативный срок ее службы.
Для покупателя все расходы делятся на две основные категории. Во-первых, это постоянные затраты, которые осуществляются единовременно и в дальнейшем не изменяют своей величины, т.е. покупная цена изделия, расходы на установку, монтаж и пр. Во-вторых, это переменные затраты, осуществляющиеся в процессе пользования изделием; они включают эксплуатационные расходы (энергия, сырье, рабочая сила и т.п.), текущий ремонт и обслуживание и др.
Величину переменных затрат (Ип) для юридических лиц можно определить по формуле

где ЗП годовой фонд заработной платы обслуживающего персонала с отчислениями на социальные нужды;
Ирем годовые затраты на текущий ремонт и обслуживание;
Имр годовые расходы на топливо, энергию, горюче-смазочные и другие материалы, связанные с эксплуатацией техники;
А годовая величина амортизации;
Ипр прочие годовые издержки, связанные с эксплуатацией техники;
Тн нормативный срок службы.
По мере старения изделия сумма переменных затрат возрастает, и соответственно увеличивается их доля в цене потребления.
На основе этих противоположных тенденций формируется удельная цена потребления, которая в определенный момент достигает своего минимума, т.е. становится оптимальной. Период, за который достигается оптимальный уровень цены потребления при нормальной интенсивности эксплуатации, называется экономическим ресурсом изделия.
С выработкой этого ресурса потребитель должен прекратить пользоваться данным изделием и заменить его новым или провести его капитальный ремонт, т.е. восстановить в той или иной степени экономический ресурс, который должен находиться в непосредственной близости к установленным срокам полного амортизационного списания.
Таким образом, для покупателя цена потребления товара (техники) означает очень многое, в первую очередь как этот товар проявит себя при его эксплуатации. Поэтому чем ниже цена потребления товара, тем выше его конкурентоспособность.
Рассматриваемый способ применяется, если сравниваемая техника одинакова по производительности и сроку службы. Если эти параметры разнятся, то необходимо привести варианты в сопоставимый вид.
Технические параметры при этом методе определения конкурентоспособности как бы явно не участвуют, но косвенно они все же учитываются в стоимостных параметрах (в продажной цене и цене потребления).
Второй способ. При определении конкурентоспособности товара по этому способу учитываются два критерия: себестоимость производства и реализации товара и уровень его качества.
Явно более конкурентоспособным является тот товар, у которого издержки на производство и реализацию являются минимальными, а уровень качества более высокий по сравнению с товаром-конкурентом.
При одинаковом уровне качества товаров-конкурентов более конкурентоспособным является тот, у которого ниже себестоимость. На это обстоятельство стоит обратить особое внимание. Дело в том, что в России за 1995 г. цены на многие товары достигли максимума, а цены на некоторые из них даже превысили мировые. В этих условиях предприятия должны обращать внимание не только на уровень качества выпускаемой продукции, но и на издержки ее производства и реализации.
Это совершенно новая ситуация для предприятий, а руководители многих из них в психологическом плане не готовы к этому.
Третий способ. Этот способ основан на сопоставлении товаров-конкурентов с учетом их технического уровня и продажной цены.
Согласно этому методу вначале определяются количественные показатели уровня качества сравниваемого и базового образца (товара) по формуле
Комплексный показатель уровня качества товара

где КП комплексный показатель уровня качества товара;
КПэ комплексный показатель эстетико-эргономического уровня;
КПт комплексный показатель технического уровня;
КПн комплексный показатель надежности.
На втором этапе определяются показатели конкурентоспособности сравниваемого образца и товара, принятого за базу сравнения:
Комплексный показатель уровня качества товара

где Пкi, Пкб показатель конкурентоспособности сравниваемого образца и товара-эталона;
КПi, КПб комплексный показатель уровня качества сравниваемого образца и товара-эталона;
Цi, Цб предполагаемая или фактическая цена реализации рассматриваемого образца и товара-эталона.
Если Пкi Пкб, то сравниваемый товар является более конкурентоспособным; если Пкi Пкб менее конкурентоспособным; если Пкi = Пкб конкурентоспособность одинакова.
Наиболее наглядное представление дает относительный показатель конкурентоспособности (ОПк):

Если ОПк 1, то показатель конкурентоспособности рассматриваемого образца превышает или равен показателю конкурентоспособности базового.
Недостаток данного метода заключается в том, что он учитывает только продажную цену сравниваемых товаров, а не их цену потребления, т.е.



КОНЦЕНТРАЦИЯ И ДИВЕРСИФИКАЦИЯ ПРОИЗВОДСТВА


недостаточны штрафные санкции за нарушение антимонопольного законодательства;
нет четкой ясности, что делать с предприятиями-монополистами и как выводить их из этого состояния;
неясность в понимании рынка продаж в региональном аспекте для предприятий, выпускающих различную продукцию, что не дает возможности объективно определить, является ли то или иное предприятие монополистом;
не учтен в достаточной степени опыт капиталистических стран в области антимонопольного законодательства.
Создание и использование совершенного и действенного антимонопольного законодательства в России являются основой для здоровой конкуренции и способствуют повышению эффективности функционирования субъектов рыночной экономики.
4.5. КОНЦЕНТРАЦИЯ И ДИВЕРСИФИКАЦИЯ ПРОИЗВОДСТВА Диверсификация производства одна из самых сложных форм развития концентрации. Она означает одновременное развитие не связанных друг с другом видов производств, расширение номенклатуры и ассортимента производимой продукции в рамках одной компании, концерна, предприятия, фирмы.
Диверсификация выражает процесс расширения активности предприятия, которое использует собственные накопления не только для поддержания и развития основного бизнеса, но и направления их на освоение новых видов продукции, создание новых производств и оказание всевозможных услуг.
В результате диверсификации производства предприятия превращаются в сложные многоцелевые комплексы, включающие производства, зачастую выпускающие продукцию и оказывающие услуги совершенно разного назначения и характера. Например, Лебединский ГОК (КМА) на основе диверсификации производства стал кроме железнорудного сырья производить щебень, колбасные и хлебобулочные изделия, чипсы, пиво и другую продукцию, не свойственную для данного предприятия. Диверсифицированным считается предприятие, когда более 30% общего объема продаж приходится на товары и услуги, не связанные с основной деятельностью предприятия.
В условиях перехода нашей страны на рыночные отношения актуальность диверсификации производства на предприятиях резко возрастает. Это связано со стремлением хозяйствующих субъектов, в первую очередь промышленных предприятий, обезопасить себя от банкротства и получить максимальную прибыль.
Диверсификация производства способствует:
большей выживаемости любого хозяйственного субъекта в условиях рынка;
более полному использованию ресурсов предприятия;
наиболее полному насыщению рынка необходимыми товарами и услугами;
проведению антимонопольной политики.
В России в связи с переходом на рыночные отношения многие промышленные предприятия оказались в сложном экономическом положении только из-за того, что своевременно не осуществили диверсификацию производства. Но из этого не следует делать вывод, что диверсификация является панацеей от всех бед.
Непродуманная и экономически не обоснованная диверсификация может еще в большей мере усугубить финансовое положение любого промышленного предприятия.
Диверсификация производства зависит от многих факторов, прежде всего от типа производства. Для наших условий диверсификация производства наиболее эффективна, если она осуществляется на основе комбинирования производства.
Выводы
Концентрация, специализация, кооперирование и комбинирование производства являются прогрессивными формами общественной организации производства, и об этом никогда не следует забывать, так как их использование и развитие на практике всегда приносили выгоду для общества в целом и предприятия в частности.
Развитие концентрации производства в рамках предприятия имеет как положительные, так и отрицательные стороны. Поэтому этот процесс на предприятии должен управляться с целью минимизации издержек на производство и реализацию продукции.
В современных условиях для многих предприятий наиболее прогрессивной является развитие концентрации на основе комбинирования и диверсификации производства.
Развитие концентрации тесно связано с монополизацией производства, поэтому государство должно проводить действенную политику с целью недопущения появления предприятий-монополистов.
Контрольные вопросы
1. Каковы сущность концентрации производства, ее преимущества и недостатки?
2. Каковы формы и показатели уровня концентрации производства?
3. Какие существуют в отечественной и зарубежной науке и практике методы определения оптимального или минимального размера предприятия?
4. Каковы основные критерии отнесения предприятия к категории «малое»?
5. Какова роль малого бизнеса в экономике страны?
6. Какова система государственной поддержки развития малого бизнеса в России?



Кривая спроса на инвестиции


У них недостаточно денежных средств для расширения, реконструкции и технического перевооружения предприятия. В современных условиях для оживления инвестиционной деятельности в стране необходимо создать определенные условия и предпосылки. К их числу следует в первую очередь отнести:
стабилизацию экономического положения в стране;
снижение темпов инфляции;
совершенствование системы налогообложения;
создание в стране условий для привлечения иностранного капитала:
Остановимся на этих условиях более подробно. Стабилизация экономики страны нужна не только для остановки спада производства, но и для увеличения валового национального продукта и национального дохода, а следовательно, и необходимых накоплений для инвестиций.
Стабилизация экономики страны это основа для снижения инфляции. При этом следует иметь в виду, что с процессом инфляции тесно связана ставка банковского кредита.
Известно, что кривая спроса на инвестиции зависит от ставки процента (Сп) и ожидаемой нормы чистой прибыли (Нп) от вложенных инвестиций ( 8.1).
Кривая спроса на инвестиции

8.1. Кривая спроса на инвестиции

Чем выше ставка процента, тем ниже спрос на инвестиции; такая же связь существует между спросом на инвестиции и ожидаемой нормой чистой прибыли. Выгодно вкладывать инвестиции в том случае, если норма чистой прибыли превышает ставку процента, т.е. Нп Сп. Если же ставка процента превышает ожидаемую норму чистой прибыли, т.е.
СпНп, то в этом случае для предприятия инвестиции невыгодны.
В условиях инфляции, особенно гиперинфляции, когда банковский процент за кредит очень высокий, инвестиции для предприятия будут выгодны только в том случае, если ожидаемая норма прибыли будет выше этого банковского процента. Но такие проекты для предприятия найти очень трудно. Таким образом, гиперинфляция является самым существенным тормозом для оживления инвестиционной деятельности.
Важным условием инвестиционной политики является привлечение иностранного капитала. Ежегодный объем экспортируемого капитала в мире составляет около 160180 млрд долл. США.
Россия и другие страны СНГ смогли бы претендовать на инвестиции в 40 млрд долл. США.
К сожалению, за 1995 г. иностранный капитал составил около 2 млрд долл. США. Основная причина в России не созданы необходимые, т.е. благоприятные, условия для привлечения иностранного капитала.
8.2. ФИНАНСИРОВАНИЕ КАПИТАЛЬНЫХ ВЛОЖЕНИЙ Способы и порядок финансирования имеют очень важное значение, прежде всего для повышения их эффективности.
Различают два способа финансирования капитальных вложений: централизованный и децентрализованный. При централизованном способе источником финансирования капитальных вложений являются федеральный бюджет, бюджеты субъектов Федерации, централизованные внебюджетные инвестиционные фонды и др.; при децентрализованном это в основном источники предприятий и индивидуальных застройщиков.
На предприятии основными источниками финансирования являются: прибыль, остающаяся в распоряжении предприятия; амортизационные отчисления; средства, полученные от выпуска и продажи акций; кредиты коммерческих банков; источники вышестоящих организаций; средства иностранных инвесторов и др. Но основными источниками финансирования капитальных вложений на предприятии являются прибыль, направляемая предприятием на накопление, и амортизационные отчисления.
За последние годы в области финансирования капитальных вложений произошли существенные изменения. Прежде всего изменилось соотношение между централизованными и децентрализованными источниками финансирования капитальных вложений: доля централизованных резко уменьшилась, а доля децентрализованных увеличилась. При переходе на рыночные отношения это закономерное явление.
В табл. 8.3 показана структура источников финансирования капитальных вложении за 1992-1997 гг.
Таблица 8.3
Структура инвестиций в основной капитал по источникам финансирования
(в % к итогу)*



1992
1993
1994
1995
1996
1997
Инвестиции в основной капитал - всего
100
100
100
100
100
100
в том числе финансируемые за счет:






бюджетных средств - всего
26,9
34.3
26.0
21,8
20,1
19,2
из них:
федерального бюджета, бюджетов субъектов Российской Федерации и местных бюджетов
10,3
15,1
10,6
10,3
10,2
97
внебюджетных средств
всего
73,1
65,7
74,0
78.2
79,9
80,8
из них:






хозяйствующих субъектов
69,3
57,4
64,2
62,8
66,3
61,5
индивидуальных застройщиков
0,9
2,6
2,3
2,5
3,2
4,2
предприятий с участием иностранного капитала


2,4
1,7
2,7
2,5
3,2

* Россия в цифрах: Краткий стат. сб./Госкомстат России. - М., 1998.

Если при плановой экономике централизованные источники преобладали, то с переходом на рыночные отношения ситуация резко изменилась. Доля собственных средств предприятий в 1997 г. составила уже 61,5%, а индивидуальных застройщиков - 4,2%. Это нормальный и естественный процесс, так как во всех странах с развитой рыночной экономикой в финансировании капитальных вложений преобладают частные инвестиции, а не государственные.
Считается, что в этом случае они лучше используются.
Изменяется и структура источников финансирования капитальных вложений. В последние годы стала наблюдаться тенденция увеличения доли амортизационных отчислений, что в первую очередь связано с неоднократной переоценкой основных производственных фондов, а также с возможностью осуществления ускоренной амортизации. Здесь уместно отметить, что в развитых странах доля амортизационных отчислений в финансировании капитальных вложений в корпорациях достигает 70-85%.
Во многих странах мира проводится практика по предоставлению значительных льгот по налогообложению, если фирмы свою прибыль направляют на развитие производства. Аналогичная политика проводится и нашим государством. Согласно Инструкции о порядке начисления и уплаты в бюджет налога на прибыль предприятий и организаций, облагаемая прибыль предприятия уменьшается на величину капитальных вложений, осуществленных за счет чистой прибыли и направленных на финансирование капитальных вложений производственного и жилищного строительства, а также на погашение кредитов банков, полученных и использованных на эти цели.
Эта льгота предоставляется предприятиям при условии полного использования ими сумм начисленного износа (амортизации) на последнюю отчетную дату, но эта льгота не должна уменьшать фактическую сумму налога на прибыль, начисленную без учета льгот, более чем на 50%.
8.3. ПЛАНИРОВАНИЕ ИНВЕСТИЦИЙ НА ПРЕДПРИЯТИИ Планирование инвестиций на предприятии это очень важный и сложный процесс. Сложность этого процесса заключается в том, что необходимо учитывать многие факторы, в том числе и непредвиденные, а также степень риска вложения инвестиций.
Важность этого процесса для предприятия заключается в том, что, планируя инвестиции, оно закладывает основы своей работы в будущем. Если хорошо спланирован и реализован план инвестиций, то предприятие будет работать успешно, плохо в будущем оно может стать банкротом.
В общем виде план инвестиций на предприятии состоит из двух разделов: плана портфельных инвестиций и плана реальных инвестиций (капитальных вложений):
план портфельных инвестиций это план приобретения и реализации предприятием акций, облигаций и других ценных бумаг;
план реальных инвестиций это план инвестиций на производственное и непроизводственное развитие предприятия.
Хотя на практике план инвестиций может состоять из одного раздела.
Планированию инвестиций на предприятии должен предшествовать глубокий анализ экономического обоснования вложения инвестиций.
Пример. У предприятия имеются свободные денежные средства в размере 2 млн. руб.; оно может их использовать на следующие цели: положить в коммерческий банк на депозит под 40% годовых (вероятность - 0,6); приобрести акции и получать ежегодный дивиденд в размере 400 тыс. руб. (вероятность -0,5); реализовать проект по реконструкции и техническому перевооружению производства, который позволит получать ежегодно 500 тыс. руб. чистой прибыли (вероятность - 0,9). Уровень инфляции составляет 25% годовых.
Требуется определить, на какие цели следует в первую очередь использовать имеющиеся свободные денежные средства на предприятии и почему.
Решение.
Для наглядности все данные и оценочные критерии сведем в табл. 8.4.
Таблица 8.4

№ п/п
Направление использования инвестиций
Критерий (ставка по депозиту, ставка дивиденда, рентабельность), %
Ежегодная прибыль, тыс. руб.
Вероятность наступления события, доли единиц
Математическое ожидание, тыс. руб.
1
Положить на депозит в коммерческий банк
40
800
0,6
480
2
Приобрести акции
20
400
0,5
200
3
Реализовать проект по реконструкции и техническому перевооружению производства
25
500
0,9
450

Исходя из этих данных следует, что наиболее предпочтительным является первый вариант, в котором самая большая величина математического ожидания (480 тыс. руб.). На втором месте по выгодности находится проект по реконструкции и техническому перевооружению производства (математическое ожидание - 450 тыс.



Материальный комфорт каждому жителю планеты


Новейшие технологии должны одновременно и обеспечивать сохранение и возрождение природы, и соответствовать здоровому образу жизни и проявлению творчески созидательного потенциала человека.
  • Новейшие технологии, соответствующие информационно-индустриальной стадии развития производительных сил, позволяют одновременно и на порядок повысить уровень производительности общественного труда, и не только сохранять природную сферу обитания человека, но и возрождать и облагораживать ее.
  • Новейшая техника и технология охватывают не только машины и оборудование, но и создание принципиально новых материалов, в связи с чем научно-технический прогресс воплощается не только по линии основных фондов, но и оборотных. В нана-технологиях (создание приборов и механизмов на молекулярном и даже атомном уровнях) совершенствование машин и оборудования (в данном случае на микроуровне-микроструктур) сливается в единое целое с созданием новых видов материалов.
  • Рост производительности труда на информационно-индустриальной стадии развития производительных сил позволяет:
  • а) обеспечить полный материальный комфорт каждому жителю планеты, а также оптимальный набор продуктов питания, с обеспечением доступа каждому человеку к накопленному массиву фундаментальной информации;
    б)создать условия для процветающей жизни всему человечеству, без разрушения среды обитания человека;
    в) создать такие рабочие места и их структуру, которые позволят в наибольшей степени каждому человеку проявить свой творческий и созидательный потенциал, что, в свою очередь, по принципу обратной связи, на несколько порядков повысит производительную силу общественного труда.










    2. Воздействие становления информационно-индустриальной стадии развития производительных сил на характер протекания кругооборота и оборота капитала
    Исходя из названных выше процессов в преобразовании материально-технической базы общества, в условиях становления информационно-индустриальной стадии развития производительных сил, рассмотрим воздействие этих процессов на кругооборот и оборот капитала.
    В третьей стадии кругооборота и оборота капитала (Т1-Д1) наиболее четко проявляется избыток стоимости над авансируемой в начале кругооборота капитала стоимостью (Д-Т, Сп, Рс), что находит выражение в создании стоимости прибавочного продукта (прибавочной стоимости). Этот процесс формально выражается в виде Т1=Т + т и Д1= Д и т.д.
    Становление информационно-индустриальной стадии развития производительных сил не может не повлиять самым кардинальным образом на экономическую природу и структуру прибавочного продукта, его стоимость. Постараемся выявить характер и механизм такого влияния.
    Рассмотрим пример. В 80-х годах был разработан особый состав красителей для морских судов, который предотвращал обрастание их днищ. Возникла огромная экономия средств, связанных не только и не столько с тем, что отпала надобность в трудоемком процессе чистки судов от наростов, но и с колоссальной экономией судового топлива, поскольку значительно уменьшилось трение днища от соприкосновения с водой. Каждый доллар, вложенный в разработку таких красителей уже принес тысячи долларов чистой прибыли. Возникает вопрос, а какова природа этой прибыли и скрытого за ней прибавочного продукта. Можно ли объяснить в данном случае их образование на основе механизма прибавочной стоимости, представленного К. Марксом в своем Капитале?
    Представляется, что этот механизм не способен адекватно объяснить возникновение прибавочного продукта и прибыли на основе разработки и применения новейших технологий.
    Обратимся еще к одному примеру. В Западной Европе уже много лет назад практикуется такой подбор высеваемых сортов зерна (в соответствии со структурой выпекаемых хлебобулочных изделий, определяемой заранее на основе изучения спроса), который дает наибольший приток хлеба. В основе такого комбинирования высевного зерна лежит тот факт, что на одну и ту же разновидность хлебобулочного изделия получается различного веса припек, в зависимости от того, какой вид зерна был выбран при посевах. В итоге, через обеспечение эффективного подбора сортов зерна общество получает дополнительное количество хлебобулочных изделий без каких-либо затрат в процессе их производства. Налицо явное наличие прибавочного продукта, который никак не может быть отнесен к прибавочной стоимости, образуемой в соответствии с теорией К. Маркса.
    В основе прибавочного продукта, в данном случает лежит комбинационный экономический эффект, часто называемый синергическим или синергетическим экономическим эффектом7.
    В. Мотылев различает количественный и качественный экономический рост в системе общественного воспроизводства, утверждая, что в условиях качественного роста прибавочный продукт образуется в виде синергетического экономического эффекта, который вышеупомянутый автор определяет так: ... синергетический экономический эффект (Сэф) ... представляет собой разницу между интегрированной ценностью (стоимостью) всех факторов производства, воплощенных в готовую продукцию и механической суммой этих же факторов, при условии эффективного их комбинирования в процессе воспроизводства8.
    Термин синергетический эффект (или синергический, от слова синергетика) пришел в экономику из кибернетики. Нам представляется более удачным употреблять термин комбинационный экономический эффект, хотя и против названного выше термина у нас нет принципиальных возражений.
    Комбинационный экономический эффект (КЭФ) - это избыток ценности (стоимости) готовой продукции над механической суммой всех факторов производства, потребленных при изготовлении этой продукции, при том, что при оценке этих факторов в расчет берется не стоимость (ценность) рабочей силы, а ценность (стоимость) затраченного труда9.
    Очевидно, что КЭФ возникает лишь при эффективном комбинировании факторов производства в процессе изготовления продукции. При их неэффективном комбинировании имеет место феномен анти-эффективного производства, когда ценность (стоимость) готовой продукции меньше, чем механическая сумма всех факторов производства, потребленных при ее изготовлении, включая стоимость (ценность) затрат труда.
    Прибавочная стоимость, как разница между стоимостью, созданной трудом работника, и стоимостью его рабочей силы тоже имеет место в системе общественного воспроизводства, что осуществляется в соответствии с механизмом, раскрытым К. Марксом в его Капитале. Однако, наше разногласие с К. Марксом заключается в том, что мы не рассматриваем производство и присвоение прибавочной стоимости на основе эксплуатации наемного труда в качестве универсальной ситуации, имеющей место при любом варианте найма работника в ходе капиталистического производства. Такой вид найма работника (в виде покупки его рабочей силы) мы рассматриваем как один из возможных вариантов найма. Другие варианты найма работника, уже раскрытые нами ранее: оплата затрат труда; оплата результатов труда; оплата затрат и результатов труда одновременно.
    В основе прибавочного продукта, в зависимости от характера найма рабочей силы и эффективности комбинирования факторов производства, могут лежать нижеследующие элементы:
    1. только прибавочная стоимость (в том понимании, каком ее раскрыл К. Маркс в Капитале);
    2. только комбинационный экономический эффект;
    3. частично прибавочная стоимость, частично комбинационный экономический эффект, причем, в зависимости от конкретной экономической ситуации, при преобладании того или другого.
    Различие в источниках образования прибавочного продукта могут быть представлены при помощи схемы 1.
    Схема 1
    Варианты
    образования прибавочного продукта в процессе производственной деятельности




    1 См. Брагин Н.И. Государство и рынок. М., 2000г. с.49-65
    2 Ларионов И.К. предлагает называть эту систему Экогуманизмом. Данный термин образован от сочетания двух терминов - гуманизм и экология, при этом подразумевается не только экология природы, но и экология самого человека. См.
    Экономическая теория. Под ред. Ларионова И.К.
    М.:Издательский Дом Дашков и К0. 2001г., с.339-341
    3 См. там же, с.339
    4 См. Вернимонт Д.Л. Финансовые потоки и реальная экономика.
    Журнал Предпринимательство, № 4, 1998г.; Вернимонт Д.Л. Информационная сущность денег и механизм их эволюции, ученые записки, МГСУ, М.: Союз, 1999г.; Вернимонт Д.Л. Вексельное обращение в корпоративном хозяйствовании.
    Корпоративное строительство и роль ФПТ в подъеме экономики России, часть 2, ФА, 1999г.
    5 Ларионов И.К. Тимербулатов Т.Р. Финансово-промышленные группы, М.: МУПК, 2000г.; Мезоэкономика. Под ред.
    Ларионова И.К., М., 2001г.
    6 Эта замена осуществляется дифференцированно, с неодинаковой скоростью в различных отраслях (определяющих технический прогресс - в среднем один раз в пять лет, в прочих отраслях - от 5 до 10 лет). Однако, машины и оборудование служат на предприятии часто больше, чем от 5 до 10 лет, потому, что морально устаревающее оборудование на какое-то время сохраняется на предприятии в качестве резерва, на случай резкого увеличения спроса на готовую продукцию, когда становится целесообразным быстро увеличить объем производства, даже с использованием и не самой новой техники.
    7 Такой термин употребляет В. Мотылев (ст. статью Учет синергетического эффекта при построении системы налогообложения, Предпринимательство, № 2, 1990г., с.146-156; Синергетический экономический эффект и корпорации, в книге Мезоэкономика, М., 2001г, с.364-272) и В. Бард (см. Финансово-инвестиционный комплекс, М.:Финансы и статистика, 1988г., с.76-81. В. Бард употребляет также термин синергетическая рентабельность (см. там же, с. 76-77)
    8 В. Мотылев. Экономический рост и синергетический эффект, с.202, в книге Экономическая теория, М.: Издательский Дом Дашков и К0, 2001г.
    9 Согласно К. Марксу, труд является источником стоимости, но сам стоимостью не обладает. Мы такую позицию не разделяем, считая, что стоимостью обладает не только рабочая сила, но и сам труд, как один из факторов производства



    МЕХАНИЗМ ГОСУДАРСТВЕННОГО ВОЗДЕЙСТВИЯ


    Поэтому до определенного ее уровня она не представляет серьезной опасности. Выше этого уровня инфляция может принести много бед для экономики и общества в целом, ибо по силе своего влияния вряд ли можно еще найти подобное явление. Поэтому государство должно отслеживать этот процесс, чтобы инфляция не могла выйти из-под его контроля. Меры, принимаемые государством, зависят от уровня инфляции.
    Исходя из этого критерия различают умеренную, голопирующую и гиперинфляцию. Умеренной считается инфляция, когда цены растут менее 10% в год, голопирующая инфляция характеризуется ростом цен в интервале от 20 до 200% в год, а при гиперинфляции цены растут еще быстрее. Противоинфляционные меры государства зависят от уровня инфляции и причин, ее породивших. Исходя из этого различают два типа инфляции: инфляция спроса; инфляция, вызванная ростом издержек производства или уменьшением совокупного предложения. Каждая из них имеет свои особенности, и поэтому лекарства для ее лечения тоже свои.
    Дефицит бюджета. Бюджетный дефицит это превышение расходов государства над его доходами. Государство должно стремиться, как показывает опыт разных стран, не к его сбалансированности, а к тому, чтобы он не превышал определенную величину.
    В качестве этого критерия выступает доля дефицита в валовом национальном продукте или в валовом внутреннем продукте. Поэтому задача государства заключается в том, чтобы не превысить заранее определенной и допустимой величины этого критерия.
    2.3. МЕХАНИЗМ ГОСУДАРСТВЕННОГО ВОЗДЕЙСТВИЯ НА ПРЕДПРИНИМАТЕЛЬСКУЮ ДЕЯТЕЛЬНОСТЬ И ЭКОНОМИКУ СТРАНЫ Государство для выполнения своих функций и регулирования экономики использует как экономические (косвенные), так и административные (прямые) методы воздействия на предпринимательскую деятельность и экономику страны путем издания и корректировки соответствующих законодательных актов и постановлений, а также путем проведения определенной экономической политики. Мировой опыт стран с развитой рыночной экономикой показывает, что в условиях реформирования экономики, в кризисных ситуациях роль государства возрастает, в условиях стабильности и оживления снижается.
    Но во всех случаях государство должно придерживаться основного правила так воздействовать на предпринимательскую деятельность и экономику страны, чтобы не разрушить рыночные основы и не допускать кризисных явлений.
    Экономические методы воздействия государства на предпринимательскую деятельность в большей степени подходят для реализации этого правила, чем административные, хотя иногда их трудно разграничить между собой. Экономические рычаги, которые использует государство для регулирования экономики, довольно разнообразны, но основными из них являются: налоги, перераспределение доходов и ресурсов, ценообразование, государственная предпринимательская деятельность, кредитно-финансовые механизмы и др.
    Административные, т.е. методы прямого действия, должны использоваться государством, если экономические методы неприемлемы или недостаточно эффективны при решении той или иной задачи. Как показала мировая практика, административные методы наиболее целесообразно использовать в следующих областях:
    естественная государственная монополия (фундаментальная наука, оборона и т.д.);
    охрана окружающей среды и использование ресурсов;
    сертификация, стандартизация, метрология;
    социальная политика; прежде всего имеются в виду определение и поддержание минимально допустимых параметров жизни населения (гарантированный минимум заработной платы, пособие по безработице и др.);
    внешнеэкономическая деятельность (лицензирование и квотирование экспорта, государственный контроль над импортом и т.д.).
    Для создания нормальных условий для предпринимательской деятельности, для стабилизации и подъема экономики государство должно проводить фискальную, научно-техническую, инвестиционную, ценовую, амортизационную, кредитно-денежную и другие виды политики, при реализации которых оно использует в комплексе как экономические, так и административные методы.
    Фискальная политика государства. Под фискальной политикой государства понимается регулирование государственным бюджетом и налогообложением с целью стабилизации и оживления экономики. Механизм воздействия государства на предпринимательскую деятельность и экономику страны при помощи этих рычагов в общем плане заключается в следующем.
    Во время спада производства для увеличения совокупного спроса государство увеличивает свои расходы на организацию общественных работ (строительство дорог, мостов и других объектов) и на реализацию различных государственных программ, тем самым оживляя многие отрасли и фирмы. Для подъема экономики государство может воздействовать и путем сокращения своих доходов, т.е. уменьшая налоги с населения и предприятий. В этом случае у населения повысится спрос на потребительские товары, а у предприятий появится больше возможности для инвестирования, что в конечном итоге должно привести к оживлению экономики.
    Государственная система налогообложения самым существенным образом влияет на предпринимательскую деятельность. Ведь налоговое бремя может быть таким, что даже у хорошо работающего предприятия не будет оставаться достаточно средств не только для расширенного воспроизводства, но и простого воспроизводства. Система должна предусматривать определенные льготы в налогообложении для предприятий, которые функционируют в желательных для государства сферах экономики, для стимулирования развития малого бизнеса, для тех предприятий, которые значительную часть своих средств направляют на реконструкцию, техническое перевооружение и расширение действующего производства.
    Налоговая политика государства должна стимулировать предпринимательскую деятельность в наращивании выпуска продукции и оказании всевозможных услуг.
    Снижение государственных расходов в определенных случаях приводит к снижению дефицита госбюджета, а следовательно, к замедлению инфляционных процессов.
    Однако макрорегулирование не ограничивается только непосредственными действиями государства в лице его органов управления, так как государство может запаздывать в своих действиях.
    В рыночной экономике существуют определенные механизмы самоорганизации и саморегулирования, которые вступают в действие немедленно, как только обнаруживаются негативные процессы в экономике. В экономической литературе их называют встроенными стабилизаторами. Так, например, благодаря этим стабилизаторам можно автоматически осуществить изменение налоговых поступлений, выплаты социальных пособий и др. В качестве подобного стабилизатора может быть прогрессивная система налогообложения, которая определяет налог в зависимости от дохода.
    С увеличением дохода прогрессивно увеличиваются налоговые ставки, которые утверждаются правительством заранее.
    Фискальная (бюджетная) политика государства направлена в первую очередь на сглаживание экономических колебаний. При помощи только этой политики государство не может выполнять свои функции без проведения соответствующей финансово-кредитной политики, особенно в условиях глубокого экономического кризиса. Кроме того, за последнее десятилетие в развитых странах предпочтение отдается финансово-кредитной политике.
    Под финансово-кредитной политикой понимается целенаправленное управление государством банковским процентом, денежной массой и кредитами. В отличие от бюджетной кредитно-денежная политика оказалась обоюдоострым оружием, с помощью которого можно справиться и со спадом производства, и инфляцией. Суть этой политики состоит в том, что государство воздействует на денежную массу и процентные ставки, а они, в свою очередь, на потребительский и инвестиционный спрос.
    Главную роль в реализации кредитно-денежной политики играет Центральный банк России. Регулируя процентную ставку в зависимости от сложившейся экономической ситуации, он тем самым расширяет или сужает возможности выдачи кредитов коммерческим банкам.
    Центральный банк может воздействовать и при помощи нормы обязательных резервов. Снижение этой нормы создает большие возможности коммерческим банкам для выдачи кредитов и наоборот.
    Государство может существенно влиять на экономический рост и инфляцию при помощи скупки или продажи своих ценных бумаг. При помощи скупки своих ценных бумаг у их держателей появляются денежные средства, что может стимулировать экономический рост. Если государство борется с инфляцией, то оно продает свои ценные бумаги, тем самым уменьшая в обороте денежную массу.
    Как показала мировая практика, бюджетная и кредитно-денежная политика должна проводиться государством совместно и сбалансирование, ибо только в этом случае оно может эффективно влиять на предпринимательскую деятельность и экономику страны.
    Научно-техническая политика. Ускорение научно-технического прогресса является важнейшим фактором подъема экономики и превращения страны в мощное индустриальное государство. Так, выход Японии на самые передовые позиции в мире за сравнительно короткий срок обусловлен в первую очередь тем, что эта страна в послевоенный период правильно сориентировалась и стала целенаправленно проводить государственную политику, направленную на ускорение НТП.



    Норматив производственных запасов


    При плановой экономике каждому предприятию вышестоящая организация устанавливала общий норматив оборотных средств. В этих условиях предприятия были вынуждены контролировать эту величину. С переходом на рыночные условия предприятиям норматив оборотных средств никто не устанавливает и не контролирует. Но это не значит, что в условиях рынка предприятия не должны сами устанавливать и контролировать норматив оборотных средств.
    В условиях рыночных отношений значение нормирования оборотных средств резко возрастает, так как в конечном итоге это связано с платежеспособностью и финансовым состоянием предприятия.
    Общий норматив оборотных средств (Нобщ) состоит из суммы частных нормативов:
    Норматив производственных запасов

    где Н п.з норматив производственных запасов;
    Н н.п норматив незавершенного производства;
    Н г.п норматив готовой продукции;
    Н б.р норматив будущих расходов.
    Норматив производственных запасов (Нпз) складывается из норматива текущего запаса, подготовительного и страхового и может быть определен по формуле
    Норматив производственных запасов

    где Qcyт среднесуточное потребление материалов;
    Nт.з норма текущего запаса, да.;
    Nп.з норма подготовительного запаса, дн.;
    Nстр норма страхового запаса, дн.
    Величина норматива незавершенного производства (Нн.п) может быть определена по формуле
    Норматив производственных запасов

    где Vсут плановой объем выпуска продукции по производственной себестоимости;
    Т ц длительность производственного цикла;
    Кн.з коэффициент нарастания затрат.
    На предприятиях с равномерным выпуском продукции коэффициент нарастания затрат (К„з) можно определить следующим образом:
    Норматив производственных запасов

    где а затраты, производимые единовременно в начале процесса производства;
    в последующие затраты до окончания производства готовой продукции.
    Таким образом, норматив оборотных средств в незавершенном производстве зависит от суточного объема производимой продукции, длительности производственного цикла и коэффициента нарастания затрат. Он характеризует степень готовности изделия и определяется отношением себестоимости незавершенного производства к себестоимости готовой продукции.
    Норматив оборотных средств в запасах готовой продукции (Н г.п) можно определить по формуле
    Норматив производственных запасов

    где Всут суточный выпуск готовой продукции по производственной себестоимости;
    Тф.п время, необходимое для формирования партии для отправки готовой продукции потребителю, дн.;
    Т о.д время, необходимое для оформления документов для отправки груза потребителю, дн.
    Нормирование оборотных средств на предприятии и контроль за установленными нормативами одно из важнейших слагаемых управления предприятием в целом. Особенно актуальна эта проблема для средних и крупных предприятий.
    11.6. ЗНАЧЕНИЕ И ПУТИ СНИЖЕНИЯ МАТЕРИАЛОЕМКОСТИ ПРОДУКЦИИ Значение снижения материалоемкости продукции необходимо рассматривать на макро- и микроуровне. Народнохозяйственное значение снижения материалоемкости продукции прежде всего заключается в том, что без решения этой проблемы вряд ли возможны превращение России в сильное индустриально развитое государство и обеспечение достойной жизни для ее граждан.
    На современном этапе решение этой проблемы усугубляется двумя обстоятельствами. Первое заключается в том, что за десятилетия существования СССР была создана затратная экономика. Об этом, в частности, свидетельствует такой факт: на единицу национального дохода тратилось материальных ресурсов на 20% и больше по сравнению с развитыми странами. С переходом России на рыночные отношения эта затратная экономика по инерции продолжает доминировать. Второе обстоятельство связано с тем, что работники в нашей стране не воспитаны в духе рачительного отношения к материальным ресурсам.
    В первую очередь это относится к руководителям и специалистам, в последнюю к рабочим. Для устранения этих негативных обстоятельств перехода на рыночную экономику явно недостаточно.
    Государству необходимо проводить целенаправленную политику по ресурсосбережению, как это делается во многих развитых странах мира. Сущность этой политики заключается в том, что государство разрабатывает национальную программу по ресурсосбережению и механизм ее реализации. Для претворения ее в жизнь государство через целенаправленную научно-техническую, структурную, налоговую, финансово-кредитную и другую политику воздействует на все субъекты экономики, заинтересовывая их решать проблему снижения материалоемкости продукции.
    К сожалению, пока такой политики у нашего государства нет.
    Снижение материалоемкости продукции на народнохозяйственном уровне позволяет:
    снизить материалоемкость национального дохода;
    перевести экономику с экстенсивного на интенсивный путь развития;
    существенно сократить капитальные вложения на развитие добывающих отраслей промышленности;
    расширить экспорт сырьевых и топливно-энергетических ресурсов, если в этом будет необходимость и целесообразность;
    существенно сократить затраты на выпуск продукции;
    уменьшить нагрузку на окружающую среду, а также получать другие выгоды экологического и социального плана.
    Рациональное и экономное использование материальных и топливно-энергетических ресурсов имеет очень большое значение и для каждого конкретного предприятия. К сожалению, эту актуальную истину забывают на многих предприятиях. Некоторые-из них оказались в тяжелом финансовом состоянии только из-за того, что управленческий персонал работает по старинке и не научен эффективно использовать все имеющиеся в распоряжении ресурсы, в том числе и материальные.
    Положение усугубляется тем, что он порой даже не понимает этого, а причины своего бедственного положения ищет совершенно в другом направлении.
    Снижение материалоемкости продукции позволит предприятию:
    существенно улучшить свое финансовое положение за счет снижения себестоимости продукции и увеличения прибыли, остающейся в его распоряжении;
    увеличить выпуск продукции из одного и того же количества сырья и материалов;
    более успешно конкурировать с другими фирмами на рынке продаж, особенно за счет снижения продажной цены на свою продукцию;
    уменьшить нормативную величину оборотных средств, необходимых предприятию для нормального функционирования;
    накопить достаточные собственные финансовые средства для внедрения новой техники и технологии и расширенного воспроизводства;
    существенно снизить риск своего банкротства.
    Решение проблемы снижения материалоемкости продукции имеет и многие другие позитивные моменты, в том числе и морального аспекта. Рациональное использование материальных ресурсов это, по сути, воспитание коллектива в духе бережного и рачительного отношения ко всем ресурсам предприятия.
    Возможны следующие пути улучшения использования материальных ресурсов на предприятии:
    внедрение малоотходной и безотходной технологии производства;
    комплексное использование сырья на предприятии;
    широкое применение искусственных и синтетических материалов;
    улучшение качества продукции;
    более качественная подготовка сырья и материалов к производству;
    создание совершенной нормативной базы на предприятии;
    управление оборотными средствами на предприятии с целью их минимизации;
    воспитание работников предприятия в духе рационального использования материальных ресурсов;
    поддержание техники и технологии в хорошем рабочем состоянии и строгое соблюдение технологических процессов и др.
    Конкретные пути снижения материалоемкости должны определяться исходя из тщательного анализа и выявления истинных причин неудовлетворительного использования материальных ресурсов на предприятии. Наиболее ощутимые результаты в решении проблемы снижения материалоемкости продукции можно получить на основе разработки и реализации долговременной программы по ресурсосбержению на предприятии.
    Выводы
    Любая коммерческая организация не может функционировать без оборотных средств. Их наличие является неотъемлемым атрибутом любого производственного процесса.
    Финансовое состояние предприятия в значительной степени зависит от структуры и уровня использования оборотных средств. Этот уровень характеризуют такие показатели, как: материалоемкость и материалоотдача; электроемкость и энергоемкость продукции; коэффициенты использования и расходы материальных ресурсов и др. Показателями использования оборотных средств являются: коэффициент оборачиваемости; длительность одного оборота и коэффициент загрузки.
    Снижение материалоемкости продукции на предприятии имеет большое экономическое и социальное значение, так как позволяет:
    существенно снизить издержки на производство и реализацию продукции;
    значительно увеличить прибыль, остающуюся в распоряжении предприятия;
    повысить конкурентоспособность продукции;
    улучшить финансовое состояние предприятия.
    На предприятии материалоемкость продукции можно снизить за счет:
    создания более совершенной конструкции машин и оборудования;
    широкого применения искусственных и синтетических материалов;
    широкого применения малоотходной и безотходной технологии;
    создания совершенной нормативной базы на предприятии;
    использования отходов производства для выпуска побочной продукции;
    комбинирования производства;
    улучшения качества продукции.
    Достигнуть рационального использования материальных ресурсов на предприятии можно только на основе хорошо продуманной политики тю ресурсосбережению, которая воплощена в постоянно действующую систему.
    Контрольные вопросы
    1. На какую величину отличаются оборотные средства от оборотных производственных фондов?
    2. Каковы основные элементы, из которых складываются оборотные средства?
    3. Что понимается под структурой оборотных средств? Какие факторы влияют на ее изменение?
    4. Какие показатели характеризуют уровень использования оборотных производственных фондов и оборотных средств?
    5. Какие факторы влияют на уровень оборачиваемости оборотных средств?
    6. Что понимается под нормативной базой предприятия?
    7. Какое значение имеет совершенствование нормативной базы и каковы пути ее совершенствования на предприятии?
    8. Каково значение снижения материалоемкости продукции на предприятии?
    9. Каковы сущность и значение нормирования оборотных средств?
    10. Каковы основные направления и пути снижения материалоемкости продукции на предприятии?



    Нормативный коэффициент эффективности капитальных вложений;


    Пу дополнительная прибыль, полученная предприятием от роста продажной цены;
    Сд дополнительные затраты на производство и реализацию продукции, связанные с улучшением качества продукции;
    Cбр величина снижения затрат на производство продукции в связи с сокращением брака.
    Для упрощения расчетов величину Л П можно определить по формуле
    Нормативный коэффициент эффективности капитальных вложений;

    где Цн ,Цст новая и старая продажная цена;
    Сст , Сн себестоимость единицы продукции до и после улучшения качества продукции;
    Vст, Vн объем выпуска продукции до и после улучшения качества продукции.
    Годовой экономический эффект (Э) от улучшения качества продукции определяется так:
    Нормативный коэффициент эффективности капитальных вложений;

    где Ен нормативный коэффициент эффективности капитальных вложений;
    К дополнительные капитальные вложения, необходимые предприятию для улучшения качества продукции.
    Для экономического обоснования капитальных вложений (К), необходимых для улучшения качества продукции, следует определить абсолютный коэффициент эффективности капитальных вложений (Е) и сравнить его с нормативной величиной (Ен) или с рентабельностью активов предприятия (Rа).
    Нормативный коэффициент эффективности капитальных вложений;

    Если Е Ен, или Е Rа, то в этом случае вложение инвестиций в предприятие с целью повышения качества продукции выгодно, и наоборот.
    На основе факторов, влияющих на качество продукции, нетрудно определить основные пути повышения качества продукции и ее конкурентоспособности. Они следующие:
    повышение технического уровня производства;
    повышение уровня квалификации персонала;
    совершенствование организации производства и труда, в том числе углубление специализации производства;
    внедрение выборочного и сплошного входного контроля за качеством поступающих на предприятие сырья, материалов, комплектующих деталей и узлов;
    повышение эффективности работы ОТК. Основной упор должен быть сделан не на разбраковку изготовленной продукции, а на профилактику производства с целью недопущения выпуска недоброкачественной продукции;
    повышение технического уровня метрологической службы на предприятии;
    воспитание коллектива в духе гордости за качество выпускаемой продукции и марку своего предприятия;
    материальное и моральное стимулирование персонала за высококачественное выполнение своих обязанностей;
    создание службы маркетинга;
    внедрение новых, более качественных материалов при изготовлении продукции;
    снижение издержек на производство и реализацию продукции;
    изучение требований покупателей к качеству продукции и конъюнктуры рынка;
    проведение действенной рекламы;
    установление оптимальной продажной цены и др. Этот перечень можно было бы продолжать, но беда в том, что это все разрозненные мероприятия, реализация каждого из них может привести к улучшению качества продукции, но не решает проблему качества в целом. Для этого требуется комплексный подход к решению этой проблемы, т.е. на каждом предприятии (особенно крупном и среднем) должна быть разработана и внедрена система управления качеством продукции в соответствии со стандартом ИСО 9000.
    Данная система позволит не только учесть все факторы, которые влияют на качество продукции, но и обеспечить стабильный выпуск качественной продукции на предприятии. Но этого мало. Пожалуй, главное во всем этом позиция директора предприятия.
    Если директор понимает значимость проблемы и лично является инициатором разработки и внедрения системы управления качеством, значит, на предприятии может выпускаться конкурентоспособная продукция.
    Выводы
    В современных условиях проблема повышения качества продукции и обеспечения ее конкурентоспособности для России является наиболее актуальной.
    Переход на рыночные отношения существенно не отразился на качестве выпускаемой продукции, что связано со следующими причинами:
    в стране не созданы условия для конкуренции;
    отсутствует национальная программа по достижению высокого уровня качества;
    многие руководители предприятий работают по старинке и не адаптировались к рыночным условиям;
    слаба роль государства, ее законодательных и исполнительных органов в создании условий и предпосылок для предприятий с целью повышения качества продукции и др.
    Устранение этих причин является важным условием для прорыва российских предприятий в области повышения качества продукции и обеспечения ее конкурентоспособности, но недостаточным. Как показывает мировой опыт, данную проблему можно решить только в том случае, если важность ее решения осознают первые руководители страны и руководители предприятий и сделают все возможное для ее решения.
    Таким образом, проблему качества продукции вряд ли можно решить без глубокого осознания и понимания гражданами страны и руководителями всех рангов важности и значения решения проблемы повышения качества продукции для престижа и экономики страны.
    Качество продукции, как экономическая категория тесно связано с потребительной стоимостью. Если потребительная стоимость это полезность товара вообще, то качество продукции это степень проявления потребительной стоимости в конкретных условиях ее использования.
    Значение повышения качества продукции необходимо рассматривать как на макро-, так и на микроуровне, т.е. на уровне предприятия.
    Повышение качества продукции (услуг, работ) на макроуровне дает возможность:
    повысить эффективность общественного производства;
    осуществить на практике ускорение НТП;
    повысить благосостояние народа, так как с улучшением качества продукции увеличивается реальная заработная плата;
    повысить престиж государства.
    Достижение высокого и стабильного качества продукции на предприятии позволяет:
    увеличить объем реализации, а следовательно, и прибыли;
    обеспечить конкурентоспособность продукции;
    повысить имидж предприятия;
    снизить риск банкротства и обеспечить устойчивое финансовое положение предприятия.
    Качество продукции на предприятии зависит от многих факторов: технического уровня производства; стандартизации и сертификации продукции; уровня квалификации кадров; совершенства организации производства и труда и др. Из этого следует, что для решения проблемы повышения качества продукции на предприятии требуется комплексный подход, т.е. учитывающий все факторы, влияющие на качество продукции на всех стадиях ее «жизненного цикла». Такой подход обеспечивают комплексные системы управления качеством продукции на предприятии, поэтому их разработка, внедрение и функционирование являются основой для выпуска высококачественной продукции на предприятии.
    Контрольные вопросы
    1. Какова сущность качества продукции как экономической категории?
    2. Какое экономическое и социальное значение имеет повышение качества продукции на макро- и микроуровне?
    3. Какие показатели характеризуют качество выпускаемой продукции?
    4. Каковы методы определения конкурентоспособности продукции и их сущность?
    5. Каковы факторы, влияющие на качество продукции, и механизм их влияния?
    6. Какая связь между качеством продукции и стандартизацией?
    7. Каковы сущность и значение систем управления качеством продукции на предприятии?
    8. Какая связь качества продукции с эффективностью производства? Каков механизм влияния качества продукции на эффективность производства?
    9. Какие возможны пути повышения качества продукции на вашем предприятии?
    10. Какие необходимы условия и предпосылки для решения проблемы повышения качества продукции на предприятии?



    Нормативный коэффициент эффективности капитальных вложений


    На предприятии объем выпуска продукции может быть увеличен за счет наиболее полного использования мощностей, в этом случае цель достаточно быстро достигается путем привлечения дополнительного количества переменного капитала. Если на предприятии отсутствует резерв производственных мощностей, то в этом случае увеличение выпуска продукции требует достаточно длительного времени и привлечения не только переменного, но и постоянного капитала. В первом случае экономический эффект достигается за счет снижения условно-постоянных затрат на единицу продукции.
    Крупные предприятия имеют существенные как преимущества, так и недостатки перед средними и мелкими предприятиями. Преимущества в общем плане проявляются в следующем:
    являются проводниками научно-технического прогресса, так как имеют возможность осуществления всего цикла «наука производство», т.е. проведения крупномасштабных научно-исследовательских, поисковых и прикладных работ, проектных и конструкторских работ, создания новой техники и ее распространения;
    легче внедряются и лучше используют более современное и высокопроизводительное оборудование;
    создают лучшие предпосылки для применения более совершенной организации производства;
    с увеличением объема производства постоянные расходы на единицу продукции снижаются, что ведет к снижению издержек производства;
    больше возможностей для углубления разделения и кооперирования труда;
    достигается большой эффект от применения ЭВМ. Крупные предприятия, как уже отмечалось, имеют не только преимущества, но и недостатки, которые следует учитывать при проектировании и создании предприятий такого масштаба.
    К недостаткам крупных предприятий следует прежде всего отнести:
    увеличение транспортных расходов на подвоз сырья, материалов и комплектующих изделий к предприятию и отправку готовой продукции потребителям вследствие возрастания радиуса транспортировки;
    необходимость больших инвестиций на сооружение крупных предприятий и продолжительный срок их строительства;
    усложнение процесса управления с возрастанием масштабов предприятия;
    повышение нагрузки на природную среду со всеми вытекающими отсюда последствиями;
    нарушение принципа равномерного размещения промышленного производства и комплексного развития отдельных регионов страны;
    возможность монополизации производства и др. Концентрация на любом предприятии должна контролироваться с целью достижения минимальных затрат на выпуск продукции независимо от того, по каким формам развивается этот процесс, т.е. на предприятии должны стремиться к выпуску оптимального объема продукции.
    В отечественной литературе известны два подхода к определению оптимального размера предприятия. Первый подход связан с минимизацией приведенных затрат (Зi) на выпуск продукции, т.е.

    где Сi себестоимость продукции по i-му варианту;
    EH нормативный коэффициент эффективности капитальных вложений;
    Кi капитальные вложения по i-му варианту;
    ЗTPi, транспортные расходы по i-му варианту.
    Оптимальным считается такой размер предприятия, при котором достигается минимум приведенных затрат.
    В отечественной литературе известен и графический метод определения оптимального размера предприятия, суть которого показана на 4.1.
    Нормативный коэффициент эффективности капитальных вложений

    А внутрипроизводственные затраты на выпуск продукции;
    В внепроизводственные затраты;
    П полные затраты на производство и реализацию продукции.
    4.1. Зависимость полных затрат на производство и реализацию продукции от объема производства
    На 4.1 показана зависимость внутрипроизводственных затрат (А), внепроизводственных (В) и полных затрат (П = А+В) от объема выпускаемой продукции. Оптимальный размер предприятия достигается при минимуме полных затрат на выпуск продукции. На рисунке этот минимум обозначен точкой К.
    В западной литературе оптимальный размер предприятия определяется сопоставлением положительного и отрицательного эффекта масштабов производства. Вместо оптимального размера предприятия используется концепция минимального размера предприятия. Он представляет собой просто наименьший объем производства, при котором фирма может минимизировать свои долгосрочные средние издержки на единицу продукции.
    Проиллюстрируем эту концепцию на 4.2.
    Нормативный коэффициент эффективности капитальных вложений

    4.2. Одна из возможных кривых зависимости долгосрочных средних издержек от объема производства
    На этом рисунке экономия издержек от роста масштабов производства достигается на участке АБ, затем до точки В издержки остаются постоянными, а на отрезке ВС они возрастают.
    Минимальный эффективный размер предприятия достигается на участке OV1, и он продолжается до точки V2, так как на участке V1V2 фирма обеспечивает себе минимальные средние издержки.
    Участок кривой ВС характеризует рост средних издержек производства от увеличения объема производства, т.е. для фирмы наращивать объемы выпуска продукции больше V2 невыгодно.
    Для того чтобы этот методический подход для определения оптимального размера предприятия мог использоваться в отечественной практике, необходимо на каждом предприятии определять кривую зависимости долгосрочных средних издержек от объема производства.
    4.3. РОЛЬ МАЛОГО БИЗНЕСА В ЭКОНОМИКЕ СТРАНЫ Для эффективного функционирования экономики любой страны необходимо оптимальное сочетание между крупным, средним и мелким бизнесом.
    Необходимо отметить, что в бывшем СССР не придавалось должного внимания развитию мелкого бизнеса, а приоритет отдавался крупным и средним предприятиям, что привело в конечном итоге к монополизации промышленного производства. С переходом на рыночные отношения это стало существенным тормозом для развития рыночных отношений в России.
    Во многих странах основными критериями для отнесения фирм к мелким являются численность работающих и объем продаж. Например, в США единоличные предприятия делятся на пять групп: наименьшие с численностью занятых от 1 до 24 человек, малые 2599 человек, промежуточные 100 499 человек, крупные 500999 человек и крупнейшие свыше 1000 человек. К малым предприятиям относятся предприятия первых двух групп, т.е. предприятия с численностью до 99 человек.
    Предприятия оптовой торговли попадают в категорию малого бизнеса, если его годовой оборот находится в пределах 318 млн долл., в розничной торговле и сфере обслуживания этот предел равен 15 млн долл.
    Согласно Закону США о малом бизнесе (1953 г.) малая фирма существует и действует независимо от других предприятий, но не доминирует в своей области.
    В Японии к малым относят предприятия в промышленности с числом занятых не более 20 человек, в торговле и сфере услуг не более 5 человек. Они представлены в основном фирмами вспомогательных производств, а также потребительской кооперации.
    В России малый бизнес стал развиваться наиболее интенсивно с 1990 г. На первом этапе согласно Закону РФ «О предприятиях и предпринимательской деятельности» к малым относились предприятия с численностью:
    в промышленности и строительстве до 200 человек;
    в науке и научном обслуживании до 100 человек;
    в других отраслях производственной сферы до 50 человек;
    в отраслях непроизводственной сферы и в розничной торговле до 15 человек.
    Затем согласно Закону РФ «О государственной поддержке малого предпринимательства в РФ» с 1 января 1996 г. критерии отнесения предприятий к категории малых были изменены. Под субъектами малого предпринимательства понимаются коммерческие организации, в уставном капитале которых доля участия РФ, субъектов РФ, общественных и религиозных организаций (объединений), благотворительных и иных фондов не превышает 25%, доля, принадлежащая одному или нескольким юридическим лицам, не являющимся субъектами малого предпринимательства, не превышает 25% и в которых средняя численность работников за отчетный период не превышает следующих предельных уровней (малые предприятия):
    в промышленности, строительстве и на транспорте 100 человек;
    в научно-технической сфере 60 человек;
    в оптовой торговле 50 человек;
    в розничной торговле и бытовом обслуживании населения 30 человек;
    в других отраслях и при осуществлении других видов деятельности 50 человек.
    Под субъектами малого предпринимательства понимаются также физические лица, занимающиеся предпринимательской деятельностью без образования юридического лица.
    Развитие в России малого бизнеса имеет большое народнохозяйственное значение в силу следующих обстоятельств:
    мелкий бизнес позволяет заполнить все наши рынки и наиболее полно удовлетворить потребности населения в потребительских товарах и услугах;
    для создания мелких фирм не требуются крупные инвестиции и длительный срок их сооружения;
    развитие мелкого бизнеса это одно из действенных направлений антимонопольной политики и обеспечения конкурентной среды;
    мелкие предприятия проще в управлении, им не нужно создавать сложные управленческие структуры;
    мелкие фирмы могут быстрее и дешевле перевооружиться, внедрять и апробировать новую технологию, проводить частичную автоматизацию производства, достигать оптимального сочетания механизированного и ручного труда;
    развитие мелкого бизнеса позволяет в значительной степени решить или смягчить проблему безработицы;
    с развитием мелкого бизнеса появляется средний класс и класс мелких собственников, заинтересованный в стабилизации экономики и наведении элементарного порядка в стране.



    Объем продукции i-го вида.


    Все же остальные вопросы организации оплаты труда переданы в компетенцию коммерческих организаций (предприятий).
    С переходом предприятий на рыночные отношения и предоставлением им большей самостоятельности в области оплаты труда перед ними встала проблема в решении следующих вопросов:
    создание современных методик распределения фонда оплаты труда по подразделениям, бригадам и исполнителям;
    разработка заводских тарифных систем, основанных на «плавающем» тарифе;
    внедрение бестарифных систем оплаты труда;
    стимулирование текущих результатов деятельности;
    поощрение предпринимательской и изобретательской деятельности;
    отражение вопросов оплаты труда в контрактах и коллективных договорах;
    определение целесообразности стимулирования рискованных мероприятий.
    Конкретные размеры ставок и окладов, а также соотношения в их размерах между категориями персонала и работниками различных профессионально-квалификационных групп определяются на предприятиях условиями коллективных договоров или приказами по предприятию. При этом целевой функцией любого предприятия (его собственников и наемных работников) является максимизация дохода, т.е. средств на оплату труда и чистой прибыли. Однако в росте каждого из указанных двух видов дохода собственники и наемные работники заинтересованы по-разному.
    Для собственников главное увеличение чистой прибыли и выплачиваемых из нее дивидендов, для наемных работников увеличение расходов на оплату труда.
    Разрешение противоречий в интересах собственников и руководителей, с одной стороны, и наемных работников с другой, происходит путем заключения коллективных договоров. В них определяются размеры и условия стимулирующих выплат и надбавок за отклонения от нормальных условий труда, за работу в ночное и сверхурочное время и др.
    Для смягчения противоречий и «идентификации» интересов собственников и наемных работников необходимо разрабатывать системы поощрения наемных работников из прибыли.
    Коллектив предприятия самостоятельно формирует фонд оплаты труда, который является составной частью средств, направляемых на потребление. В состав данного фонда включаются: все начисленные предприятием суммы заработной платы независимо от источников финансирования; стимулирующие и компенсирующие выплаты, в том числе компенсации по оплате труда в связи с повышением цен и индексацией доходов в пределах норм, установленных законодательством; денежные суммы, начисленные работникам за непроработанное время, в течение которого за ними сохраняется заработная плата в соответствии с порядком, предусмотренным законодательством.
    Заработная плата планируется и определяется исходя из планируемого рабочего времени и объема производства по тарифным ставкам, окладам или сдельным расценкам.
    В качестве методики можно рекомендовать следующий порядок определения величины фонда заработной платы рабочих, руководителей, специалистов и служащих.*
    * Экономика и социология труда: Учебное пособие / Под ред. В. В. Адамчука. М.: Экономическое образование, 1995.

    Определение фонда заработной платы рабочих. Данный фонд включает прямую или тарифную заработную плату и все доплаты к ней. Прямая заработная плата состоит из суммы сдельных расценок, выплачиваемых рабочим-сдельщикам, и заработной платы рабочих-повременщиков, начисляемой по тарифным ставкам.
    При планировании определяют: фонд часовой заработной платы; фонд дневной заработной платы; фонд годовой (квартальной, месячной) заработной платы.
    Для рабочих-сдельщиков фонд заработной платы определяется по формуле
    Объем продукции i-го вида.

    где Рi штучная сдельная расценка за единицу объема производственной программы;
    Vi объем продукции i-го вида.
    Плановый фонд заработной платы рабочих-повременщиков можно определить из выражения
    ,
    где Тч часовая тарифная ставка рабочего-повременщика i-го разряда;
    Ni численность рабочих-повременщиков i-го разряда;
    Фпл.i плановый фонд рабочего времени рабочего i-го разряда.
    Фонд заработной платы руководителей, специалистов и служащих определяется по должностным окладам путем умножения месячного оклада каждой группы работников на число месяцев в году и на число работников в группе.
    На некоторых предприятиях стали применяться бестарифные системы оплаты труда, т.е. устанавливаются коэффициенты, показывающие соотношение оплаты i-го работника и минимального размера оплаты труда.
    Определив на каждого работника (рабочее место) конкретное значение его коэффициента оплаты труда по сравнению с минимальным по предприятию, можно рассчитать размер заработной платы по следующей формуле:
    Объем продукции i-го вида.

    где Зi заработная плата i-го работника, руб.;
    Кi коэффициент i-го работника;
    Кi сумма коэффициентов по всем работникам;
    Ф объем средств, выделенных на оплату труда.
    При определении конкретной величины Кi для каждой группы работников разрабатываются свои критерии. Каждый работник должен знать, за какие достижения или улучшения в работе и в какой мере значение его коэффициента будет увеличено или снижено.
    В целом бестарифная система напоминает обычную систему оплаты труда, только при ее применении вместо разряда по ЕТКС применяются заводские коэффициенты, а учет конкретных достижений (упущений) производится при помощи заранее разработанной балльной системы.
    Бестарифная система оплаты труда является ключевым элементом системы внутрипроизводственного хозрасчета. Для применения этой системы необходим перевод на хозрасчет всех структурных подразделений предприятия, чтобы устранить внутренние противоречия в области оплаты труда.
    Бестарифная система оплаты труда не отменяет нормирования труда на предприятии. Нормы используются при расчете внутренних цен, на основе которых рассчитываются валовой доход бригад, участков, цехов и в конечном счете их фонд оплаты труда.
    При бестарифной системе заработная плата отдельного работника является его долей в общем фонде оплаты труда коллектива. Она зависит от квалификационного уровня работника, отработанного времени и коэффициента, учитывающего личный вклад работника в общие результаты работы подразделения.
    Квалификационный уровень определяется делением заработной платы отдельных работников на сложившийся на предприятии минимальный уровень оплаты труда. Например, если среднемесячная заработная плата работника составила 800 тыс. руб., а минимальный уровень оплаты труда на предприятии равен 330 тыс. руб., то его квалификационный уровень составит 2,4 (800 : 330). Для устранения различий в оплате за равный труд работников равной квалификации, но разных структурных подразделений предприятия необходима дополнительная корректировка рассчитанных квалификационных уровней.
    Это не означает уравнительности в оплате, так как конкретный уровень оплаты труда работника зависит от эффективности работы его структурного подразделения. Таким образом, создается сквозная система оценки рабочих мест и труда работников по всему предприятию.
    На предприятии, как правило, определяют несколько квалификационных групп. При отнесении рабочего или специалиста к той или иной квалификационной группе принимается во внимание не только квалификационный уровень, рассчитанный на основе заработной платы, но и соответствие работника профессиональным требованиям, а также конкретные должностные обязанности. Выполнение работ более высокой квалификационной группы может служить основанием для перевода конкретного работника в эту группу и присвоения ему соответствующего квалификационного уровня.
    Важным элементом бестарифной системы оплаты труда выступает коэффициент учета личного вклада работника в общие результаты. Этот коэффициент фиксирует лишь отклонения от нормального уровня работы. Коэффициент трудового участия определяется для всех членов трудового коллектива.
    Подразделения предприятия сами определяют набор показателей, влияющих на КТУ работника.
    Примерный расчет фонда оплаты труда отдельных работников на основе квалификационных уровней и КТУ представлен в табл. 12.1.
    Таблица 12.1
    Распределение фонда оплаты труда между рабочими бригады


    № п/п

    Ф., и., о.
    Квалификационный уровень работника
    Отработано, чело веко-ч
    КТУ

    Количество баллов
    Оплата одного балла, тыс. руб.
    Фактический фонд оплаты труда, тыс. руб.
    1
    Дроздов И. И.

    2,0
    163
    1,0
    326
    3,46
    1128
    2
    МакушевГ.П.
    2,4
    158
    1,0

    379
    "
    1311
    3
    Лакунин В. А.

    1,3
    163
    1,0

    212

    "
    734
    4

    Попов И.Ф.

    2,6
    118

    0,8

    245

    "

    848
    5

    Сидоренко Г. И.

    1,0
    96

    0,9

    86

    "

    304
    Итого 1248 4325

    Количество баллов определяется перемножением квалификационного уровня, отработанных человеко-часов и коэффициента трудового участия.
    Оплата одного балла определяется делением фонда оплаты труда данного подразделения на общую сумму баллов всех работников (4325 : 1248 = 3,46). Фонд оплаты труда каждого работника равен произведению оплаты одного балла на количество баллов соответствующего работника.
    Этот метод расчета фонда оплаты труда прост, понятен рабочим, позитивно ими воспринимается. Он предполагает прямую увязку трудового вклада работников с оплатой и продвижением по служебной лестнице.



    Объем производства в планируемом периоде


    А0 расчетная численность ППП;
    К доля рабочих, занятых на оборудовании в общей численности ППП.
    Экономия численности работающих в результате изменения конструкции изделий определяется путем сравнения трудоемкости изделий до изменения конструкции и после него по формуле
    Объем производства в планируемом периоде

    где Ач экономия численности работников;
    То и Т1 трудоемкость единицы .продукции в нормо-часах до и после внедрения мероприятия;
    Q объем производства в планируемом периоде;
    К к часть календарного года с момента выпуска новых изделий;
    Ф годовой фонд рабочего времени одного рабочего;
    К коэффициент выполнения норм.
    Данная формула применяется при расчете экономии численности работников и в других случаях, ведущих к снижению трудоемкости единицы продукции.
    Определение экономии численности работающих при влиянии других факторов осуществляется примерно по такой же схеме.
    12.3. СУЩНОСТЬ ЗАРАБОТНОЙ ПЛАТЫ, ПРИНЦИПЫ И МЕТОДЫ ЕЕ ИСЧИСЛЕНИЯ И ПЛАНИРОВАНИЯ Политика в области оплаты труда является составной частью управления предприятием, и от нее в значительной мере зависит эффективность его работы, так как заработная плата является одним из важнейших стимулов в рациональном использовании рабочей силы. И об этом необходимо всегда помнить.
    В литературе отсутствует общепринятая трактовка заработной платы. Приведем некоторые из них.
    Заработная плата это выраженная в денежной форме часть национального дохода, которая распределяется по количеству и качеству труда, затраченного каждым работником, поступает в его личное потребление.
    Заработная плата это вознаграждение за труд.
    Оплата труда работников это цена трудовых ресурсов, задействованных в производственном процессе.
    Можно сказать и так, что заработная плата это часть издержек на производство и реализацию продукции, идущая на оплату труда работников предприятия.
    Различают номинальную и реальную заработную плату.
    Номинальная заработная плата это начисленная и полученная работником заработная плата за его труд за определенный период.
    Реальная заработная плата это количество товаров и услуг, которые можно приобрести за номинальную заработную плату; реальная заработная плата это «покупательная способность» номинальной заработной платы.
    Вполне очевидно, что реальная заработная плата зависит от величины номинальной заработной платы и цен на приобретаемые товары и услуги. Например, при повышении номинальной заработной платы на 15% и инфляции за этот период на уровне 10% реальная заработная плата увеличится только на 5%. Таким образом, превышение инфляции по сравнению с ростом номинальной заработной платы приводит к снижению реальной заработной платы, и наоборот.
    При отсутствии инфляции рост номинальной заработной платы означает такой же рост и реальной заработной платы.
    Кроме того, необходимо иметь в виду, что если цены не в полной мере учитывают качество продукции, то реальная заработная плата находится в прямой зависимости от качества продукции. Поэтому система оплаты труда на каждом предприятии должна учитывать происходящие инфляционные процессы.
    При разработке политики в области заработной платы и ее организации на предприятии необходимо учитывать следующие принципы при оплате труда:
    справедливость, т.е. равная оплата за равный труд;
    учет сложности выполняемой работы и уровня квалификации труда;
    учет вредных условий труда и тяжелого физического труда;
    стимулирование за качество труда и добросовестное отношение к труду;
    материальное наказание за допущенный брак и безответственное отношение к своим обязанностям, приведшие к каким-либо негативным последствиям;
    опережение темпов роста производительности труда по сравнению с темпами роста средней заработной платы;
    индексация заработной платы в соответствии с уровнем инфляции;
    применение прогрессивных форм и систем оплаты труда, которые в наибольшей степени отвечают потребностям предприятия.
    В современных условиях на предприятиях применяются различные формы и системы оплаты труда ( 12.1), но наибольшее распространение получили две формы оплаты труда: сдельная и повременная.
    Объем производства в планируемом периоде

    12.1. Формы и системы заработной платы
    Сдельная оплата труда это оплата труда за количество произведенной продукции (работ, услуг).
    Чаще всего на предприятии применяется не простая сдельная оплата труда, а сдельно-премиальная.
    Сдельно-премиальная это такая система оплаты труда, когда рабочий получает не только сдельный заработок, но и премию. Премия обычно устанавливается за достижение определенных показателей: выполнение плана производства продукции, заданий по качеству продукции или экономии в расходовании материальных и ТЭР и др.
    Повременная оплата труда это оплата труда за отработанное время, но не календарное, а нормативное, которое предусматривается тарифной системой.
    Повременно-премиальная это такая оплата труда, когда рабочий получает не только заработок за количество отработанного времени, но и определенный процент премии к этому заработку.
    Целесообразность применения сдельной или повременной системы оплаты труда зависит от многих факторов, которые сложились на момент принятия решения.
    Повременную систему оплаты труда наиболее выгодно применять, если:
    на предприятии функционируют поточные и конвейерные линии со строго заданным ритмом;
    функции рабочего сводятся к наблюдению и контролю за ходом технологического процесса;
    затраты на определение планового и учет произведенного количества продукции относительно велики:
    количественный результат труда не может быть измерен и не является определяющим;
    качество труда важнее его количества;
    работа является опасной;
    работа неоднородна по своему характеру и нерегулярна по нагрузке;
    на данный момент увеличение выпуска продукции (работ, услуг) на том или ином рабочем месте является нецелесообразным для предприятия;
    увеличение выпуска продукции может привести к браку или снижению ее качества.
    Сдельную систему оплаты труда на предприятии наиболее целесообразно применять в следующих случаях:
    имеется возможность точного учета объемов выполняемых работ;
    имеются значительные заказы на производимую продукцию, а численность рабочих ограничена;
    одно из структурных подразделений, предприятия (цех, участок, рабочее место) является «узким» местом, т.е. сдерживает выпуск продукции в других технологически взаимосвязанных подразделениях;
    применение этой системы отрицательно не отразится на качестве продукции;
    существует острая необходимость в увеличении выпуска продукции в целом по предприятию.
    Сдельную оплату труда не рекомендуется использовать в том случае, если:
    ухудшается качество продукции;
    нарушаются технологические режимы;
    ухудшается обслуживание оборудования;
    нарушаются требования техники безопасности;
    перерасходуются сырье и материалы.
    Аккордная система оплаты труда это разновидность сдельной оплаты труда, сущность которой заключается в том, что расценка устанавливается на весь объем подлежащих выполнению работ с указанием срока их выполнения.
    На предприятии наиболее целесообразно применять аккордную оплату труда в следующих случаях:
    предприятие не укладывается в срок с выполнением какого-либо заказа, и при его невыполнении оно обязано будет заплатить значительные суммы штрафных санкций в связи с условиями договора;
    при чрезвычайных обстоятельствах (пожаре, обвале, выходе из строя основной технологической линии по серьезной причине), которые приведут к остановке производства;
    при острой производственной необходимости выполнения отдельных работ или внедрении нового оборудования на предприятии.
    На большинстве предприятий основой для начисления заработной платы является тарифная система, особенно ее такие элементы, как тарифная ставка и тарифные сетки.
    Тарифная ставка абсолютный размер оплаты труда различных групп и категорий рабочих за единицу времени. Исходной является минимальная тарифная ставка или тарифная ставка первого разряда. Она определяет уровень оплаты наиболее простого труда.
    Тарифные сетки служат для установления соотношения в оплате труда в зависимости от уровня квалификации. Это совокупность тарифных разрядов и соответствующих им тарифных коэффициентов. Тарифный коэффициент низшего разряда принимается равным единице.
    Тарифные коэффициенты последующих разрядов показывают, во сколько раз соответствующие тарифные ставки больше тарифной ставки первого разряда.
    С переходом на рыночные отношения произошли довольно существенные изменения в организации заработной платы на предприятиях. Расширены права предприятий в распределении заработанных ими средств. Государство оставляет за собой только: регулирование минимальной заработной платы, ее корректировку по мере инфляции и создание равных возможностей для организаций по зарабатыванию средств на оплату труда.
    Кроме того, в Кодексе законов о труде регламентируются минимальные компенсационные выплаты за работу в выходные и праздничные дни, во время сверхурочной работы, предельные размеры работы по совместительству, повышенные размеры оплаты труда во вредных и тяжелых условиях труда, оплата во время вынужденного простоя и доплаты подросткам (более детально все эти вопросы приведены в Приложении к этой главе).



    Объем выпуска продукции после модернизации.


    Объем выпуска продукции после модернизации.

    где Vпл,(факт), плановый или фактический объем выпуска продукции.
    Если Vпл,(факт) Mср.год, то это значит, что производственная программа предприятия обеспечена производственными мощностями.
    Для устойчивой работы предприятия, а также для возможности улучшения качества и обновления выпускаемой продукции и других целей оно должно иметь оптимальный резерв производственной мощности. Величина этого резерва определяется спецификой предприятия и колеблется от 10 до 20%.
    9.8. РЕМОНТ И МОДЕРНИЗАЦИЯ ОСНОВНЫХ ФОНДОВ Основные фонды на предприятии в процессе их эксплуатации постоянно изнашиваются, и для поддержания их в работоспособном состоянии периодически необходимо проводить их ремонт.
    Различают три вида ремонта: восстановительный, текущий и капитальный.
    Восстановительный ремонт это особый вид ремонта, вызываемый различными обстоятельствами: стихийными бедствиями (наводнение, пожар, землетрясение), военными разрушениями, длительным бездействием основных фондов. Восстановительный ремонт осуществляется за счет специальных средств государства.
    Текущий ремонт это мелкий ремонт и производится в процессе функционирования основных фондов, как правило, без длительного перерыва процесса производства. При мелком ремонте заменяются отдельные детали и узлы, осуществляются определенные починочные работы и другие мероприятия.
    Капитальный ремонт это существенный ремонт основных фондов и связан с полной разборкой машины, заменой всех изношенных деталей и узлов. После капитального ремонта технические параметры машины должны приблизиться к первоначальным.
    Модернизация представляет собой техническое усовершенствование основных фондов с целью устранения морального снашивания и повышения технико-экономических показателей до уровня новейшего оборудования. По степени обновления различают частичную и комплексную модернизацию (коренная переделка). По способам и задачам проведения различают модернизацию типовую и целевую.
    Типовая модернизация это массовые однотипные изменения в серийных конструкциях; целевая усовершенствования, связанные с потребностями конкретного производства.
    Условную экономию или дополнительную прибыль от проведения модернизации можно определить по формуле
    Объем выпуска продукции после модернизации.

    где C снижение себестоимости продукции;
    П дополнительная прибыль;
    С1, С2 себестоимость изготовления единицы продукции до и после проведения модернизации;
    V2 объем выпуска продукции после модернизации.
    Постановлением СМ СССР от 22 октября 1990 г. № 1072 «О единых нормах амортизационных отчислений на полное восстановление основных фондов народного хозяйства СССР» установлено, что с 1 января 1991 г. все предприятия независимо от их ведомственной подчиненности и форм собственности включают расходы на все виды ремонта ОПФ в состав затрат на производство и реализацию продукции.
    Для обеспечения равномерности включения затрат на ремонт в себестоимость продукции предприятия могут создавать ремонтный фонд (резерв) с отчислениями в него средств по определенным нормативам.
    Ремонт и содержание объектов основных фондов непроизводственного назначения осуществляются за счет чистой прибыли предприятия прибыли после налогообложения.
    Затраты на ремонт в значительной степени зависят от физического износа основных производственных фондов, качества проводимых ремонтов и уровня квалификации персонала, обслуживающего машины и оборудование. Поэтому на каждом предприятии необходимо стремиться к тому, чтобы не допускать чрезмерного физического и морального износа оборудования. Если на предприятии физический износ активной части основных фондов существенный (превышает 40%), то в этом случае приходится создавать мощные ремонтные подразделения, чтобы можно было поддерживать машины и оборудование в работоспособном состоянии. Численность ремонтного персонала в этом случае может доходить до 60% общей численности рабочих. Особенно это характерно для горнорудных предприятий.
    В этих условиях затраты на ремонт очень значительные и предприятию необходимо найти пути их уменьшения. Направлений снижения затрат на ремонт достаточно много, рассмотрим основные из них.
    Во-первых, на предприятии должны своевременно и качественно проводиться планово-предупредительные ремонты (ППР), что существенно снизит аварийность, а следовательно, простои оборудования и затраты на средние и капитальные ремонты.
    Во-вторых, прежде чем приступать к капитальному ремонту, необходимо тщательно проанализировать в экономическом плане, что более выгодно капитальный ремонт или приобретение новой техники. Известно, что затраты на капитальный ремонт очень значительны и сопоставимы с затратами на приобретение новой техники, а иногда и больше. Естественно, в этом случае необходимо отдавать предпочтение новой технике.
    Особенно экономически невыгодно проводить второй и третий капитальный ремонт.
    Во многих случаях капитальный ремонт не устраняет моральный износ, поэтому довольно часто экономически целесообразно капитальный ремонт проводить совместно с модернизацией. Но и здесь необходимо просчитать, что более выгодно для предприятия капитальный ремонт совместно с модернизацией или приобретение новой техники.
    В-третьих, восстановление изношенных деталей непосредственно на предприятии, особенно когда в них наблюдается острый дефицит.
    Восстановление изношенных деталей позволяет:
    ликвидировать дефицит некоторых запасных частей и своевременно проводить все виды ремонтов;
    снизить затраты на ремонт, так как восстановление деталей, как правило, более выгодно, чем приобретение новых или вновь изготовленных;
    уменьшить транспортные расходы на доставку запасных частей на предприятие.
    Восстановление изношенных деталей с экономической точки зрения выгодно, если:
    при сравнении с приобретением новых деталей
    Объем выпуска продукции после модернизации.

    при сравнении с изготовлением новых деталей собственными средствами
    Объем выпуска продукции после модернизации.

    где Cв себестоимость восстановления деталей;
    Ен нормативный коэффициент эффективности капитальных вложений;
    Кв капитальные вложения для приобретения специального оборудования, необходимого для восстановления изношенных деталей (если в этом есть необходимость);
    коэффициент, учитывающий разницу в сроках службы новой и восстановленной детали, который определяется соотношением срока службы новой детали к сроку службы восстановленной, доли ед.;
    Зтр транспортные затраты на доставку деталей от изготовителя до предприятия;
    Сизг себестоимость изготовления новой детали собственными силами;
    Кизг капитальные вложения для приобретения оборудования, необходимого для изготовления деталей (если в этом есть необходимость).
    Практика показывает, что восстановление изношенных деталей экономически оправдано на средних и особенно крупных предприятиях.
    Существуют и другие пути снижения затрат на ремонт, но минимальные затраты на ремонт достигаются на тех предприятиях, которые своевременно обновляют активную часть основных фондов, не допуская чрезмерного морального и физического износа, в том числе и за счет применения ускоренной амортизации.
    9.9. ПУТИ УЛУЧШЕНИЯ ИСПОЛЬЗОВАНИЯ ОСНОВНЫХ СРЕДСТВ НА ПРЕДПРИЯТИИ Улучшение использования основных средств отражается на финансовых результатах работы предприятия за счет: увеличения выпуска продукции, снижения себестоимости, улучшения качества продукции, снижения налога на имущество и увеличения балансовой прибыли.
    Улучшения использования основных средств на предприятии можно достигнуть путем:
    освобождения предприятия от излишнего оборудования, машин и других основных средств или сдачи их в аренду;
    своевременного и качественного проведения планово-предупредительных и капитальных ремонтов;
    приобретения высококачественных основных средств;
    повышения уровня квалификации обслуживающего персонала;
    своевременного обновления, особенно активной части, основных средств с целью недопущения чрезмерного морального и физического износа,
    повышения коэффициента сменности работы предприятия, если в этом имеется экономическая целесообразность;
    улучшения качества подготовки сырья и материалов к процессу производства;
    повышения уровня механизации и автоматизации производства;
    обеспечения там, где это экономически целесообразно, централизации ремонтных служб;
    повышения уровня концентрации, специализации и комбинирования производства;
    внедрения новой техники и прогрессивной технологии малоотходной, безотходной, энерго- и топливосберегающей;
    совершенствования организации производства и труда с целью сокращения потерь рабочего времени и простоя в работе машин и оборудования.
    Пути улучшения использования основных средств зависят от конкретных условий, сложившихся на предприятии за тот или иной период времени.
    Выводы
    Финансовые результаты предприятия в значительной мере зависят от состояния, качества и структуры основных производственных фондов.
    За последние годы резко замедлились темпы обновления основных производственных фондов, что привело к увеличению их физического и морального износа и негативно отразилось на хозяйственной деятельности предприятий.
    Произошли существенные изменения в амортизационной политике государства. С 1 января 1997 г. имущество, подлежащее амортизации, объединяется в следующие четыре категории:
    I. Здания, сооружения и их структурные компоненты. Норма амортизации 5%, для малых предприятий 6%.
    II. Легковой автотранспорт, легкий грузовой автотранспорт, конторское оборудование и мебель, компьютерная техника, информационные системы и системы обработки данных. Норма амортизации 25%, для малых предприятий 30%.
    III. Технологическое, энергетическое, транспортное и иное оборудование и материальные активы, не включенные в категории I и II. Норма амортизации 15%, для малых предприятий 18%.
    IV. Нематериальные активы. Норма амортизации зависит от срока их службы, а если он не известен 10%.
    На каждом предприятии имеются существенные резервы улучшения использования ОПФ. В общем плане эта цель может быть достигнута за счет внедрения новой техники и технологии, механизации и автоматизации производственных процессов, проведения грамотной воспроизводственной политики, своевременного и качественного ремонта, ликвидации излишнего оборудования и др.
    Контрольные вопросы
    1. Что является критерием для отнесения имущества предприятия к основным производственным фондам (ОПФ)?
    2. Что понимается под ОПФ, по каким признакам и как они классифицируются?
    3. Раскройте сущность технологической, видовой (производственной) и возрастной структуры ОПФ.
    4. Какие существуют виды стоимостных оценок ОПФ и для чего они применяются?
    5. Какова сущность физического и морального износа ОПФ, факторы, на них влияющие?
    6. Каковы сущность и значение воспроизводственной политики на макро- и микроуровне?
    7. Какие основные показатели характеризуют уровень использования ОПФ?
    8. Какова сущность амортизации и какие изменения произошли в амортизационной политике за последние годы?
    9. Как рассчитать плановую величину амортизационных отчислений на предприятии за месяц, год?
    10. Что такое производственная мощность предприятия и методология ее расчета?
    11. Каковы наиболее важные и реальные пути улучшения использования ОПФ на предприятии?



    Оплата труда руководителей, специалистов и служащих.


    Запрещается какое бы то ни было понижение размеров оплаты труда работника в зависимости от пола, возраста, расы, национальности, отношения к религии, принадлежности к общественным объединениям. Статья 78. Минимальный размер оплаты труда.
    Месячная оплата труда работника, отработавшего полностью определенную на этот период норму рабочего времени и выполнившего свои трудовые обязанности (нормы труда), не может быть ниже установленного минимального размера оплаты труда.
    В минимальный размер оплаты труда не включаются доплаты и надбавки, а также премии и другие поощрительные выплаты.
    Статья 80. Оплата труда рабочих.
    При оплате труда рабочих могут применяться тарифные ставки, оклады, а также бестарифная система, если предприятие, учреждение, организация сочтут такую систему наиболее целесообразной.
    Вид системы оплаты труда, размеры тарифных ставок, окладов, премий, иных поощрительных выплат, а также соотношение в их размерах между отдельными категориями персонала предприятия, учреждения, организации определяют самостоятельно и фиксируют их в коллективных договорах, иных локальных нормативных актах.
    Статья 81. Оплата труда руководителей, специалистов и служащих.
    Оплата труда руководителей, специалистов и служащих производится, как правило, на основе должностных окладов. Должностные оклады устанавливаются администрацией предприятия, учреждения, организации в соответствии с должностью и квалификацией работника.
    Предприятия, учреждения, организации могут устанавливать для руководителей, специалистов и служащих иной вид оплаты труда (в процентах от выручки, в долях от прибыли и др.).
    Статья 82. Оплата труда, применяемого в особых случаях.
    На тяжелых работах, на работах с вредными условиями труда и на работах в местностях с тяжелыми климатическими условиями устанавливается повышенная оплата труда.
    Статья 85. Извещение работников о введении новых условий оплаты труда.
    Администрация предприятия, учреждения, организации обязана известить работников о введении новых условий оплаты труда или изменении условий оплаты труда не позднее чем за два месяца.
    Статья 85-1. Оплата при отклонении от нормальных условий труда.
    При выполнении работ в условиях труда, отклоняющихся от нормальных (при выполнении работ различной квалификации, при совмещении профессий, при работе в сверхурочное время, в ночное время, в праздничные дни и др.), предприятия, учреждения и организации обязаны производить работникам соответствующие доплаты. Размеры доплат и условия их выплаты устанавливаются предприятиями, учреждениями, организациями самостоятельно и фиксируются в коллективных договорах (положениях об оплате труда). При этом размеры доплат не могут быть ниже установленных законом.
    Статья 87. Оплата труда при совмещении профессий и выполнении обязанностей временно отсутствующих работников.
    Работникам, выполняющим на одном и том же предприятии, в учреждении, организации наряду со своей основной работой, обусловленной трудовым договором (контрактом), дополнительную работу по другой профессии (должности) или обязанности временно отсутствующего работника без освобождения от своей основной работы, производится доплата за совмещение профессий (должностей) или выполнение обязанностей временно отсутствующего работника.
    Размеры доплат за совмещение профессий (должностей) или выполнение обязанностей временно отсутствующего работника устанавливаются администрацией предприятия, учреждения, организации по соглашению сторон.
    Статья 88. Оплата работы в сверхурочное время.
    Работа в сверхурочное время оплачивается за первые два часа не менее чем в полуторном размере, а за последующие часы не менее чем в двойном размере. Компенсация сверхурочных работ отгулом не допускается.
    Статья 89. Оплата работы в праздничные дни.
    Работа в праздничный день оплачивается не менее чем в двойном размере: 1) сдельщикам не менее чем по двойным сдельным расценкам; 2) работникам, труд которых оплачивается по часовым или дневным ставкам, в размере не менее двойной часовой или дневной ставки; 3) работникам, получающим месячный оклад, в размере не менее одинарной часовой или дневной ставки сверх оклада, если работа в праздничный день производилась в пределах месячной нормы рабочего времени, и в размере не менее двойной ставки сверх оклада, если работа производилась сверх месячной нормы.
    Статья 90. Оплата работы в ночное время.
    Работа в ночное время (с 10 ч вечера до 6 ч утра, см. ст. 48) оплачивается в повышенном размере, устанавливаемом коллективным договором (положением об оплате труда) предприятия, учреждения, организации, но не ниже, чем предусмотрено законодательством.
    Статья 91. Оплата труда при невыполнении норм выработки, при браке продукции и простоях, имевших место не по вине работника.
    При невыполнении норм выработки, изготовлении продукции, оказавшейся браком, и простоях, имевших место не по вине работника, оплата производится в размерах, не ниже установленных законодательством.
    Статья 92. Порядок оплаты труда при невыполнении норм выработки.
    При невыполнении норм выработки не по вине работника оплата производится за фактически выполненную работу. Месячная заработная плата в этом случае не может быть ниже двух третей тарифной ставки установленного ему разряда (оклада). При невыполнении норм выработки по вине работника оплата производится в соответствии с выполненной работой.
    В КЗоТЕ имеются также статьи об индексации оплаты труда (ст. 81-1), о системах оплаты труда (ст. 83), о вознаграждении по итогам годовой работы (ст.
    84), о порядке оплаты труда при изготовлении продукции, оказавшейся браком (ст. 93), о порядке оплаты времени простоя, об освоении новых производств (продукции) (ст. 94), о сохранении заработной платы при переводе на другую постоянную нижеоплачиваемую работу и перемещении (ст.
    95), о сроках выплаты заработной платы (ст. 96), о сроках расчета при увольнении (ст. 98) и некоторые другие.



    Определение рынков сбыта


    Поэтому, рассчитывая цену изделия, предприниматели стремятся к тому, чтобы она была оптимальной с точки зрения соответствия интересам собственника и рынка. Уровень устанавливаемой предприятием цены на продукцию во многом определяется тем, какие цели ставит предприятие на ближайшее время и перспективу. Как показывает практика, в условиях рыночной экономики наиболее распространенными являются следующие ценовые стратегии предприятия:
    сохранение стабильного положения на рынке при умеренной рентабельности;
    получение сверхприбыли путем «снятия сливок» с рынка;
    вытеснение конкурентов;
    обеспечение выживаемости в условиях рынка и предотвращение банкротства;
    внедрение на рынке новой продукции;
    завоевание лидерства по показателям качества и др.
    Выбор политики цен основан на оценке приоритетов деятельности предприятия. Каждая ценовая стратегия обладает совокупностью как положительных, так и отрицательных характеристик. Поэтому, например, принятие одной из них ведет к отрицанию преимуществ другой.
    В результате реальная оценка действительности приводит к необходимости ориентации в деятельности предприятия на смешанные стратегии ценообразования.
    Каждая фирма должна иметь четкую, упорядоченную методику установления исходной цены на свою продукцию. Отсутствие четко определенной ценовой политики вызывает неопределенность в принятии решений в этой области различными службами предприятия, может привести к несогласованности этих решений. В результате позиции предприятия на рынке становятся более слабыми, предприятие несет потери в выручке и прибыли.
    Процесс ценообразования на предприятии можно представить следующими основными этапами:
    постановка цели (задачи) ценообразования;
    определение уровня спроса на данный вид продукции;
    оценка издержек производства и степени регулирования цен на продукцию;
    анализ цен и товаров конкурентов;
    выбор метода ценообразования;
    расчет исходной цены изделия;
    учет влияния на цену изделия дополнительных факторов;
    установление окончательной цены.
    Выбор и оценка стратегии предприятия в области ценообразования являются сложным, требующим большого внимания и коллективных усилий процессом. Делая выбор, предприятие тем самым отдает предпочтение тому или другому варианту развития. Между тем каждое из направлений развития имеет свои плюсы и минусы. Например, принятие предприятием стратегии на увеличение доли рынка в реализации продукции в основном связано со снижением цен против цен конкурентов.
    А это ведет к сокращению доходов, что нежелательно для предприятия. Ориентация на заказчиков с надежной платежеспособностью также заставляет предприятие поступиться уровнем цены. В отдельных случаях фирма может ставить перед собой одновременно несколько целей, например увеличение объема сбыта продукции при улучшении ее качественных параметров и обеспечение определенного уровня дохода на вложенный капитал. В любом случае ценовая политика предприятия не является твердофиксированной, незыблемой.
    Она постоянно меняется с изменением ситуации на рынке, поэтому нуждается в систематической оперативной корректировке.
    Для эффективной реализации стратегии ценообразования и обоснования цен на товары необходимо определить рынки, на которых предприятие будет работать. Это позволит сопоставить возможности различных рынков и возможности предприятия в удовлетворении рыночного спроса.
    При определении рынков сбыта необходимо учитывать:
    сферы деятельности предприятия на внутреннем рынке страны и на внешнем рынке. Эти рынки существенно различаются по условиям деятельности и нормам правового регулирования;
    территориальную географию рынков;
    особенности городского и сельского рынков;
    отличия рынков текущего спроса и рынка инвестиционного спроса. К рынкам текущего спроса относятся рынки, на которых реализуются товары, идущие на конечное потребление. Рынки инвестиционного спроса рынки основных фондов и материальных оборотных средств.
    Эти рынки различаются как составом спроса на товары и услуги, так и различной эластичностью спроса.
    На этапе установления влияния на цену спроса на продукцию определяется признание этой продукции рынком. Зависимость между ценой продукции и уровнем спроса на нее выражается кривой спроса. Цена и спрос на продукцию находятся в обратной зависимости, т.е. чем выше цена, тем ниже спрос, и наоборот. Спрос, как правило, определяет максимальную цену, которую фирма может установить на свою продукцию. Минимальная цена изделия определяется по сумме валовых издержек.
    Поэтому на этапе их анализа фирма рассчитывает затраты при различных объемах продаж и выбирает оптимальный вариант.
    Ценовая стратегия предприятия зависит от того, на какой фазе жизненного цикла находится товар. Цена на фазе внедрения нового товара, как правило, высокая; на фазе роста несколько ниже; на фазе зрелости и упадка она продолжает снижаться.
    Важным для предприятия является учет фактора государственного регулирования цен. Государство посредством активной ценовой политики может сделать прибыльным для производителей бизнес, не являющийся выгодным для чисто рыночного хозяйствования (долгосрочные научно-технические разработки, ВПК, транспорт, связь, городское хозяйство и т.д.). Это осуществляется как через различные виды договорных цен, так и через государственные заказы и закупки.
    Максимальная цена товара определяется спросом, минимальная издержками производства. Но значительное влияние на цену товара оказывают цены и качество товаров конкурентов. С этой целью могут осуществляться сравнительные покупки, на основе анализа которых делается заключение о качестве и цене продукции конкурентов.
    В условиях конкуренции предприниматели при реализации своей продукции стремятся найти так называемую оптимальную цену товара. Реальная цена товара определяется на рынке на основе сопоставления спроса и предложения. Важно, чтобы оптимальная цена, рассчитанная предприятием, стремилась к уровню реальной цены.
    На практике в зависимости от конкретных условий и целей предприятия используются различные методы расчета предполагаемой цены на товар. Все эти методы объединяются в две группы:
    методы, основанные на затратном подходе;
    методы, основанные на «целевом ценообразовании».
    Первая группа методов отличается простотой расчетов. Основной принцип этих расчетов заключается в прибавлении к издержкам на производство товара определенной суммы прибыли, которую планирует получить фирма. Имеется несколько разновидностей расчета цен, основанных на затратном подходе.
    По методу «полных затрат»* в калькуляцию издержек производства включаются переменные и постоянные затраты. Размер прибыли может быть как фиксированным, так и переменным. При определении цен по этому методу предполагается, что учет условий и требований рынка не имеет большого значения.
    Таким образом, фирма уверена в реализации своего товара.
    * См.: Мир цен: Справочно-аналитический сборник. № 3. М., 1994.

    Метод «полных затрат» применяется при заключении государственных контрактов, контрактов на поставку нового или уникального оборудования. Например, в Великобритании заключение контрактов с «полным возмещением затрат» применяется в тех отраслях приборостроения, машиностроения и химической промышленности, в которых цена устанавливается в ходе выполнения контракта или при поставке товара. Прибыль в этом случае определяется с учетом существующей нормы ссудного процента, а также средней по отрасли нормы прибыли за ряд предшествующих лет.
    Метод «усредненных затрат» заключается в том, что при установлении цены в калькуляцию включаются не полные, а средние затраты на производство единицы продукции. Усредненные затраты чаще всего определяются за период экономического цикла. Величина усредненных затрат будет тем меньше, чем больше объем выпускаемой продукции, поскольку средние постоянные затраты находятся в обратной зависимости от объема производства.
    При методе «стандартных издержек производства» затраты рассчитываются до начала процесса производства. Калькулирование себестоимости производится на основе установленных нормативов затрат сырья, топлива, материалов, амортизации и т.д. Весь расчет ведется применительно к стандартному, или нормальному, объему загрузки производственных мощностей (обычно 8590%).
    Этот метод применяется в основном в высокомонополизированных отраслях промышленности. В частности, в США он используется в химической промышленности, сельскохозяйственном машиностроении, черной металлургии.
    В «целевом ценообразовании» издержки производства также являются исходным элементом расчетов. Но в отличие от затратного метода прибыль устанавливается не в процентном отношении к издержкам производства, а является индивидуальной величиной каждого конкретного товара. Данная методика основывается на анализе безубыточности производства. Это достигается путем сопоставления издержек с ожидаемыми поступлениями при различных уровнях объема продаж.
    Этот метод ценообразования используется в большинстве крупных корпораций США. В частности, ведущая автомобильная корпорация «Дженерал моторс» назначает на свои автомобили цены с таким расчетом, чтобы получить 1520% прибыли на вложенный капитал.



    Основы и проблемы экономики предприятия


    все больше предприятий адаптируются к рынку и начинают выпускать ту продукцию, которая действительно устраивает покупателя. Адаптация хозяйственной деятельности предприятий к рыночным условиям становится ключевой проблемой российской экономики, от ее решения зависят как ближайшие, так и отдаленные перспективы социально-экономического развития страны;
    многие предприятия поняли, что снижение издержек производства и реализации продукции, улучшение ее качества в условиях спада инфляции единственно верное решение для обеспечения финансового благополучия;
    рынки насыщаются товарами, появляется в некоторых сферах экономики здоровая конкуренция;
    увеличение числа специалистов самого различного направления, которые способны эффективно управлять предприятием в условиях рынка, и др.
    Из всего этого можно сделать вывод, что в нашей стране созданы определенные условия для перехода к действительно рыночной экономике. Чем быстрее это осуществится, тем лучше для экономики страны и каждого отдельно взятого предприятия.
    1.2. ОСНОВНЫЕ ФУНКЦИИ И ЦЕЛИ ПРЕДПРИЯТИЯ В УСЛОВИЯХ РЫНКА Во многих учебниках и учебных пособиях указывается, что основной целью предприятия в условиях рынка является получение прибыли. На наш взгляд, это утверждение верно, но вряд ли достаточно полно.
    Не менее важной целью любого предприятия в условиях рынка является обеспечение стабильной финансовой устойчивости в его работе. Это более сложная для достижения цель, которая включает в себя не только получение прибыли, но и устойчивое ее получение, а добиться этого не так-то просто.
    Предприятия могут достигать этой цели только в том случае, если в своей работе будут придерживаться определенных принципов и выполнять необходимые функции,
    Видный немецкий экономист Г. Шмален* выделяет следующие «краеугольные камни» управления предприятием: экономичность, финансовая устойчивость, прибыль.
    * См.: Шмален Г. Основы и проблемы экономики предприятия: Пер. с нем. М.: Финансы и статистика, 1996.

    Принцип экономичности требует, чтобы достигался:
    определенный результат при наименьших затратах принцип минимизации;
    при заданном объеме затрат наибольший результат принцип максимизации.
    Следовательно, в основе своей принцип экономичности предъявляет свойственное всем предприятиям само собой разумеющееся требование не тратить даром производственные факторы (ресурсы), т.е. работать «экономично».
    Принцип финансовой устойчивости означает такую деятельность предприятия, при которой оно могло в любой момент времени расплатиться по своим долгам или собственными средствами, или путем отсрочки, или за счет получения кредита.
    Высшее целью предпринимательской деятельности является превышение результатов над затратами, т.е. достижение возможно большей прибыли или возможно высокой рентабельности. Идеальным является такое положение, когда получение максимальной прибыли обеспечивает и более высокую рентабельность.
    Для достижения поставленной цели предприятия должны:
    1) выпускать высококачественную продукцию, систематически ее обновлять и оказывать услуги в соответствии со спросом и имеющимися производственными возможностями;
    2) рационально использовать производственные ресурсы с учетом их взаимозаменяемости;
    3) разрабатывать стратегию и тактику поведения предприятия и корректировать их в соответствии с изменяющимися обстоятельствами;
    4) систематически внедрять все новое и передовое в производство, в организацию труда и управление;
    5) заботиться о своих работниках, росте их квалификации и большей содержательности труда, повышении их жизненного уровня, создании благоприятного социально-психологического климата в трудовом коллективе;
    6) обеспечивать конкурентоспособность предприятия и продукции, поддерживать высокий имидж предприятия;
    7) проводить гибкую ценовую политику и осуществлять другие функции.
    Но при этом очень важно, чтобы все функции предприятия были направлены на реализацию выработанной стратегии и на достижение поставленной цели.
    Выработка успешной стратегии начинается с определения «миссии» фирмы, общей цели функционирования коллектива. При этом цели предприятия могут меняться. Все зависит от конкретных обязательств.
    Например, основной целью предприятия на определенном этапе может быть не получение максимальной прибыли, а завоевание рынка. В этом случае получение максимальной прибыли отодвигается как бы на второй план, но в будущем, в случае завоевания рынка, предприятие может с лихвой возместить недополученную прибыль.
    В современных условиях перед многими отечественными предприятиями стоят совершенно иные цели и задачи, а получение прибыли находится далеко не на первом месте. Руководители многих предприятий считают, что для них основной задачей на этом этапе являются реализация продукции, возможность выплаты заработной платы работникам предприятия и быть «на плаву». Остается надеяться, что этот тяжелый период для российской экономики скоро пройдет, предприятия начнут нормально работать, решать задачи и достигать цели, свойственные рыночной экономике, обратят больше внимания на использование таких прогрессивных общественных форм организации производства, как концентрация, специализация, кооперирование и комбинирование производства.
    1.3. ФАКТОРЫ, ВЛИЯЮЩИЕ НА ЭФФЕКТИВНОЕ ФУНКЦИОНИРОВАНИЕ ПРЕДПРИЯТИЯ В УСЛОВИЯХ РЫНКА В литературе* слово «фактор» (лат. factor делающий, производящий) трактуется как движущая сила совершающегося процесса или одно из его необходимых условий.
    * См.: Словарь иностранных слов. 6-е изд., перераб. и доп. М.: Советская энциклопедия, 1964.

    В данном тексте под словом «фактор» понимается движущая сила, влияющая на эффективность функционирования предприятия в условиях рынка.
    Не следует путать с часто встречающимся в учебной литературе таким понятием, как «факторы производства». К ним, как известно, относятся средства труда.
    В условиях рыночной экономики на эффективность работы предприятия влияют самые разнообразные факторы. Их можно классифицировать по самым различным признакам.
    В зависимости от направленности действия все факторы можно объединить в две группы: позитивные и негативные. Позитивные это такие факторы, которые благотворно влияют на деятельность предприятия, а негативные наоборот.
    В зависимости от места возникновения все факторы можно классифицировать на внутренние и внешние. Внутренние факторы зависят от деятельности самого предприятия, т.е. само предприятие их порождает.
    Например, на предприятии разработана и внедрена хорошая система материального стимулирования, которая значительно повысила мотивацию труда работников, что способствовало повышению эффективности производства. Другой пример. На предприятии с вредными условиями труда ничего не предпринималось для их улучшения, в результате резко повысились утомляемость и заболеваемость рабочих, что в конечном итоге привело к значительному браку продукции и снижению объема ее реализации.
    В первом случае внутренний фактор сыграл позитивную роль, во втором негативную.
    Внутренние факторы настолько разнообразны, что для лучшего понимания, учета, анализа и выявления резервов производства их также целесообразно объединить в следующие группы:
    1) связанные с личностью руководителя и способностью его команды управлять предприятием в условиях рынка;
    2) связанные с ускорением НТП, с инновационной политикой предприятия;
    3) связанные с совершенствованием организации производства и труда, управлением предприятием;
    4) связанные с организационно-правовой формой хозяйствования;
    5) связанные с созданием благоприятного социально-психологического климата в коллективе;
    6) связанные со спецификой производства и отрасли;
    7) связанные с качеством и конкурентоспособностью продукции, с управлением издержками и ценовой политикой;
    8) связанные с амортизационной и инвестиционной политикой.
    Эта классификация чисто условная, и она не отражает все многообразие факторов, но позволяет более детально представить внутренние факторы и их влияние на эффективность производства.
    Кроме того, все внутренние факторы можно разделить на объективные и субъективные. Объективные это такие факторы, возникновение которых не зависит от субъекта управления, например ухудшение горно-геологических условий на горном предприятии или стихийные бедствия.
    Субъективные факторы, а они составляют абсолютное большинство, полностью зависят от субъекта управления, и они должны быть всегда в поле зрения и анализа.
    Эффективность работы предприятия в условиях рынка в значительной степени зависит и от внешних факторов, которые можно классифицировать в следующие группы:
    1) связанные с изменением конъюнктуры внутреннего и мирового рынка. В основном это проявляется в изменении спроса и предложения, а также в колебании цен;
    2) связанные с изменениями политической обстановки как внутри страны, так и в более глобальном масштабе;
    3) связанные с инфляционными процессами;
    4) связанные с деятельностью государства.
    В современных условиях именно от государства в значительной мере зависит эффективность деятельности российских предприятий, прежде всего создание цивилизованного рынка и правил игры на этом рынке, т.е. создание правовой основы, обеспечение надлежащего правопорядка в стране и ее национальной безопасности, стабилизация экономики, обеспечение социальной защиты и социальных гарантий, защита конкуренции, разработка, принятие и организация выполнения хозяйственного законодательства. Более подробно этот вопрос рассматривается в следующей главе.
    Контрольные вопросы
    1. Что понимается под предприятием?
    2. Какую роль играют предприятия в экономике страны?
    3. Почему при плановой экономике предприятия не могли работать эффективно?
    4. Почему рынок создает более благоприятные условия для работы предприятия?
    5. Каковы характерные черты переходного периода для российских предприятий?
    6. Каковы цели и задачи предприятий, работающих в условиях плановой экономики и рынка?
    7. Какие факторы влияют на эффективность работы предприятий в условиях рынка?



    Показатель объема выпуска продукции.


    Из этого вытекает, что рыночной стоимостью имущества является его цена. В-третьих, важной особенностью Закона об АО является то, что этот закон существенно ущемляет права генерального директора АО. По новому закону генеральный директор не может быть председателем совета директоров. По мнению многих специалистов, это является позитивным моментом, так как до этого генеральные директора имели, по сути, неограниченные права и зачастую злоупотребляли этим положением в своей деятельности.
    Федеральный Закон об АО имеет много и других особенностей.
    Акционерное общество по решению общего собрания акционеров может быть ликвидировано или преобразовано в общество с ограниченной ответственностью или кооператив.
    Преимущества АО:
    корпоративная форма доказала на практике свою рациональность там, где необходимы крупные капиталы, крупномасштабное производство, большая степень риска и совершенное законодательство;
    гарантированы от того, что при выходе его участников основной капитал общества будет уменьшен. Организация капитала с помощью отчужденных (оборотных) ценных бумаг акций дает возможность сконцентрировать большой капитал, первоначально распыленный среди множества мелких вкладчиков, а также возможность быстрого отчуждения и приобретения акций, особенно с помощью биржевого механизма и представительских акций, т.е. возможность быстрого, почти мгновенного, перелива большого капитала из одной сферы деятельности в другую в соответствии со складывающейся конъюнктурой;
    являются проводниками ускорения НТП, так как им под силу осуществить весь цикл «наука производство»;
    имеют право выпускать акции (кроме других ценных бумаг);
    акционер несет ограниченную ответственность (в пределах своих акций) в случае банкротства общества.
    К недостаткам корпоративного предпринимательства относят отсутствие возможности у всех владельцев акций принимать участие в управлении акционерным обществом, ибо для реального контроля необходимо иметь около 20% акций. В руках отдельных лиц сосредоточивается огромный капитал, что при отсутствии надлежащего законодательства и контроля со стороны акционеров может привести к злоупотреблению и некомпетенции при его использовании.
    Выводы
    Россия имеет все необходимое, чтобы в самое ближайшее время стать одной из самых развитых стран мира при условии проведения государством научно обоснованной экономической политики и проявления у ее граждан чувства патриотизма и гордости за свою страну.
    Кризисное состояние экономики было обусловлено многими причинами как объективного, так и субъективного характера, но основная слабость государства, которая проявилась в неспособности государства разрабатывать и проводить в жизнь научно обоснованную экономическую и социальную политику, задействовать все имеющиеся в его распоряжении экономические и административные рычаги для воздействия на экономику, криминальную обстановку общества и другие процессы.
    Народнохозяйственный комплекс страны состоит из множества межотраслевых комплексов и отраслей народного хозяйства, но ведущей отраслью является промышленность, особенно такие ее отрасли, как машиностроение и металлообработка, химическая промышленность и электроэнергетика. Именно промышленность и ее прогрессивные отрасли являются катализатором ускорения НТП в народном хозяйстве и основой для расширенного воспроизводства.
    Отрасль промышленности представляет собой совокупность предприятий, характеризующихся единством экономического назначения производимой продукции, однородностью потребляемых материалов, общностью технической базы и технологических процессов, особым профессиональным составом кадров, специфическими условиями труда.
    Под отраслевой структурой промышленности понимаются совокупность межотраслевых комплексов или отраслей, входящих в промышленность, и их доля в общем промышленном производстве.
    Совершенствование отраслевой структуры промышленности и народного хозяйства в целом является важнейшим фактором повышения эффективности общественного производства.
    Наличие различных организационно-правовых форм хозяйствования, как показала мировая практика, является важнейшей предпосылкой для эффективного функционирования рыночной экономики в любом государстве, в том числе и России.
    Согласно ГК РФ (часть первая) основными организационно-правовыми формами хозяйствования юридических лиц являются: хозяйственные товарищества (полное товарищество и товарищество на вере); хозяйственные общества (общества с ограниченной ответственностью, общества с дополнительной ответственностью, АО (открытого и закрытого типа); унитарные предприятия (государственные и муниципальные); производственные кооперативы (артели). Каждая из них имеет свои плюсы, минусы и право на жизнь.
    Контрольные вопросы
    7. Каковы основные причины кризисных явлений в экономике России?
    2. Почему промышленность является ведущей отраслью народного хозяйства?
    3. Каковы наиболее прогрессивные отрасли промышленности и почему они являются таковыми?
    4. Что такое отрасль и отраслевая структура промышленности?
    5. Какие показатели и критерии характеризуют прогрессивность отраслевой структуры промышленности?
    6. Каков механизм влияния совершенствования отраслевой структуры на эффективность функционирования экономики страны?
    7. Какова тенденция изменения отраслевой структуры промышленности за последние годы?
    8. Как классифицируются юридические лица по определенным признакам?
    9. Каковы согласно ГК РФ организационно-правовые формы хозяйствования?
    10. Какая организационно-правовая форма хозяйствования получила наиболее широкое распространение в мире?
    Глава 4 КОНЦЕНТРАЦИЯ ПРОИЗВОДСТВА НА ПРЕДПРИЯТИИ Концентрация, специализация, кооперирование и комбинирование производства являются прогрессивными формами общественной организации производства, и об этом никогда не следует забывать, так как их использование и развитие на практике всегда приносили выгоду для общества в целом и предприятия в частности.
    Рассмотрим эти прогрессивные формы производства более подробно.
    4.1. СУЩНОСТЬ, ФОРМЫ И ПОКАЗАТЕЛИ УРОВНЯ КОНЦЕНТРАЦИИ Концентрация это процесс, направленный на увеличение выпуска продукции или оказания услуг на предприятии.
    Концентрация на предприятии может развиваться на основе различных форм:
    увеличения выпуска однородной продукции (специализированные предприятия);
    увеличения выпуска разнородной продукции (универсальные предприятия);
    развития концентрации на основе комбинирования производства (предприятия-комбинаты);
    развития концентрации на основе диверсификации производства. Эта форма самая сложная, так как в этом случае развитие концентрации может осуществляться как на основе вышеупомянутых форм, так и за счет более широкой деятельности предприятия.
    Концентрация производства на предприятии может быть достигнута путем:
    увеличения количества машин, оборудования, технологических линий на прежнем техническом уровне;
    применения машин и оборудования с большей единичной мощностью;
    одновременного увеличения машин, оборудования как прежнего технического уровня, так и более современного;
    развития комбинирования взаимосвязанных производств.
    С экономической точки зрения наиболее целесообразный путь развития концентрации интенсивный, т.е. за счет внедрения новой техники и технологии и увеличения единичной мощности машин и оборудования.
    Для анализа уровня концентрации применяются как абсолютные, так и относительные показатели, поэтому и различают абсолютную и относительную концентрацию.
    Абсолютная концентрация характеризует размеры производства отдельных предприятий, а ее уровень определяют следующие показатели: объем выпуска продукции; среднегодовая стоимость основных производственных фондов; среднесписочная численность работающих. Наиболее объективен показатель объема выпуска продукции. Остальные показатели уровня концентрации используются для более всестороннего анализа уровня концентрации производства.
    Относительная концентрация характеризуется распределением общего объема производства в отрасли между предприятиями различного размера. Поэтому уровень относительной концентрации определяют следующие показатели: доля отдельного предприятия в выпуске какой-либо продукции в объеме ее выпуска в целом по отрасли, доля предприятия на рынке продаж и др. Показатели уровня относительной концентрации в определенной мере характеризуют степень монополизации предприятия.
    4.2. ЭКОНОМИЧЕСКИЕ АСПЕКТЫ КОНЦЕНТРАЦИИ ПРОИЗВОДСТВА Экономические показатели работы предприятия (себестоимость, прибыль, рентабельность, производительность труда, материалоемкость и др.) в значительной мере зависят от развития концентрации производства, т.е. от объема выпускаемой продукции. С развитием концентрации экономические показатели работы предприятия, как правило, улучшаются до его оптимальных размеров, а затем могут ухудшаться.
    Известно, что объем выпускаемой продукции зависит от величины задействованных производственных ресурсов, т.е. от величины переменного и постоянного капитала. Но поскольку на изменение количества используемых в производственном процессе ресурсов затрачивается разное время, необходимо различать краткосрочный и долгосрочный периоды.



    Показатели деловой активности


    Показатели деловой активности

    Показатели деловой активности

    Показатели деловой активности

    Предприятие считается платежеспособным, если эти показатели не выходят за рамки следующих предельных значений:
    коэффициент абсолютной ликвидности 0,2 0,25;
    промежуточный коэффициент покрытия 0,7 0,8;
    общий коэффициент покрытия 2,0 2,5.
    Показатели финансовой устойчивости характеризуют степень защищенности привлеченного капитала. Эти показатели, как и предыдущие, рассчитываются на основе данных бухгалтерского баланса предприятия.
    Показатели деловой активности

    Показатели деловой активности

    Показатели деловой активности

    В странах с развитой рыночной экономикой установлены следующие их предельные значения:
    коэффициент собственности (независимости) не ниже 0,7;
    коэффициент заемных средств не выше 0,3;
    соотношение заемных и собственных средств не выше 1.
    Показатели деловой активности рассчитываются следующим образом:
    Показатели деловой активности

    Показатели деловой активности

    Показатели деловой активности

    Показатели деловой активности

    Показатели деловой активности

    Показатели деловой активности

    Существует и ряд других показателей, характеризующих деловую активность предприятия. Показатели деловой активности необходимо наглядно представлять в коэффициентах. В странах с развитой рыночной экономикой по наиболее важным показателям деловой активности устанавливаются нормативы по экономике в целом и по отраслям. Как правило, такие нормативы отражают средние фактические значения этих коэффициентов.
    Так, в большинстве цивилизованных рыночных стран нормативом оборачиваемости запасов являются 3 оборота, т.е. примерно 122 дня, нормативом оборачиваемости дебиторской задолженности 4,9, или примерно 73 дня.
    Следует заметить, что среднюю стоимость активов и пассивов за период, например год, рассчитывают как среднюю хронологическую по месячным данным; если нет такой возможности то по квартальным данным; если в распоряжении финансового аналитика имеется лишь годовой баланс, то применяется упрощенный прием: средняя из сумм данных на начало и конец периода (года).
    Показатели оценки рентабельности предприятия определяются следующим образом:
    Показатели деловой активности

    Показатели деловой активности

    Показатели деловой активности

    Показатели деловой активности

    Показатели деловой активности

    В зарубежной практике этот показатель называется маржой прибыли (коммерческой маржой). Экономический смысл его отражение удельного веса чистой прибыли в каждом рубле оборота.
    Выводы
    В современных условиях правильное определение реального финансового состояния предприятия имеет большое значение не только для самого предприятия, его акционеров, но и для возможных инвесторов.
    Систематический контроль финансового состояния предприятия позволяет оперативно выявлять негативные стороны в работе предприятия и своевременно принимать действенные меры по выходу из сложившейся ситуации. Поэтому анализу финансового состояния на предприятии должно уделяться самое пристальное внимание.
    Контрольные вопросы
    1. Что понимается под финансовой устойчивостью предприятия?
    2. Что следует понимать под платежеспособностью предприятия?
    3. Какова классификация активов предприятия по степени их ликвидности?
    4. Что понимается под кредитоспособностью предприятия?
    5. Каковы показатели, характеризующие финансовое состояние предприятия, и методика их расчета?



    Показатели эффективности инвестиционного проекта


    определение эффекта посредством сопоставления предстоящих интегральных результатов и затрат с ориентацией на достижение требуемой нормы дохода на капитал или иных показателей;
    приведение предстоящих разновременных расходов и доходов к условиям их соизмеримости по экономической ценности в начальном периоде;
    учет влияния инфляции, задержек платежей и других факторов, влияющих на ценность используемых денежных средств;
    учет неопределенности и рисков, связанных с осуществлением проекта.
    Методические рекомендации ориентированы на решение следующих задач:
    оценки реализуемости и эффективности инвестиционных проектов;
    обоснование целесообразности участия в реализации инвестиционных проектов заинтересованных предприятий, банков, российских и иностранных инвесторов, федеральных и региональных органов государственного управления;
    сравнение вариантов проекта;
    государственная, отраслевая и другие виды экспертиз инвестиционных проектов.
    Эффективность проекта характеризуется системой показателей, отражающих соотношение затрат и результатов применительно к интересам его участников.
    Различаются следующие показатели эффективности инвестиционного проекта:
    показатели коммерческой (финансовой) эффективности, учитывающие финансовые последствия реализации проекта для его непосредственных участников;
    показатели бюджетной эффективности, отражающие финансовые последствия осуществления проекта для федерального, регионального или местного бюджета;
    показатели экономической эффективности, учитывающие затраты и результаты, связанные с реализацией проекта, выходящие за пределы прямых финансовых интересов участников инвестиционного проекта и допускающие стоимостное измерение. Для крупномасштабных (существенно затрагивающих интересы города, региона или всей России) проектов рекомендуется обязательно оценивать экономическую эффективность.
    В процессе разработки проекта проводится оценка его социальных и экологических последствий, а также затрат, связанных с социальными мероприятиями и охраной окружающей среды.
    Опенка предстоящих затрат и результатов при определении эффективности инвестиционного проекта осуществляется в пределах расчетного периода, продолжительность которого (горизонт расчета) принимается с учетом:
    продолжительности создания, эксплуатации и (при необходимости) ликвидации объекта;
    средневзвешенного нормативного срока службы основного технологического оборудования;
    достижения заданных характеристик прибыли (массы и/или нормы прибыли и т.д.);
    требований инвестора.
    Горизонт расчета измеряется количеством шагов расчета. Шагом расчета при определении показателей эффективности в пределах расчетного периода могут быть: месяц, квартал или год.
    Затраты, осуществляемые участниками, подразделяются на первоначальные (капиталообразующие инвестиции), текущие и ликвидационные, которые осуществляются соответственно на стадиях строительной, функционирования и ликвидационной.
    Для стоимостной оценки результатов и затрат могут использоваться базисные, мировые, прогнозные и расчетные цены.
    Под базисной понимается цена, сложившаяся в народном хозяйстве на определенный момент времени. Базисная цена на любую продукцию или ресурсы считается неизменной в течение всего расчетного периода.
    Измерение экономической эффективности проекта в базисных ценах производится, как правило, на стадии технико-экономических исследований инвестиционных возможностей. На стадии технико-экономического обоснования (ТЭО) инвестиционного проекта обязательным является расчет экономической эффективности в прогнозных и расчетных ценах.
    Прогнозная цена (Щ продукции или ресурса в конце t-го шага расчета определяется по формуле
    Показатели эффективности инвестиционного проекта
    ,
    где Цб базисная цена продукции или ресурса;
    I(t, tн) коэффициент (индекс) изменения цен продукции или ресурсов соответствующей группы в конце t-го шага по отношению к начальному моменту расчета (в котором известны цены).
    Расчетная цена используется для вычисления интегральных показателей эффективности, если текущие значения затрат и результатов выражаются в прогнозных ценах. Это необходимо, чтобы обеспечить сравнимость результатов, полученных при различных уровнях инфляции. Расчетные цены получаются путем введения дефлирующего множителя, соответствующего индексу общей инфляции.
    При оценке эффективности инвестиционного проекта соизмерение разновременных показателей осуществляется путем приведения (дисконтирования) их к ценности в начальном периоде. Для приведения разновременных затрат, результатов и эффектов используется норма дисконта (Е), равная приемлемой для инвестора норме дохода на капитал.
    Технически приведение к базисному моменту времени затрат, результатов и эффектов, имеющихся на t-м шаге расчета реализации проекта, удобно производить путем их умножения на коэффициент дисконтирования (аt), определяемый для постоянной нормы дисконта (Е) как
    Показатели эффективности инвестиционного проекта

    где tномер шага расчета (t = 0, 1, 2,..., Т), а Тгоризонт расчета.
    Если же норма дисконта меняется во времени и на t-м шаге расчета равна Е, то коэффициент дисконтирования равен:
    Показатели эффективности инвестиционного проекта

    Сравнение различных инвестиционных проектов (или вариантов проекта) и выбор лучшего из них рекомендуется производить с использованием различных показателей, к которым относятся:
    чистый дисконтированный доход (ЧДД), или интегральный доход;
    индекс доходности (ИД);
    внутренняя норма доходности (ВНД);
    срок окупаемости.
    Чистый дисконтированный доход (ЧДД), или чистая приведенная стоимость (NPV), представляет собой оценку сегодняшней стоимости потока будущего дохода. Он определяется как сумма текущих эффектов за весь расчетный период, приведенная к начальному шагу, или как превышение интегральных результатов над интегральными затратами.
    Если в течение расчетного периода не происходит инфляционного изменения цен или расчет производится в базисных ценах, то величина ЧДД для постоянной нормы дисконта (Эинт) вычисляется по формуле
    Показатели эффективности инвестиционного проекта

    где Rt результаты, достигаемые на t-м шаге расчета;
    Зt затраты, осуществляемые на том же шаге;
    Т горизонт расчета (равный номеру шага расчета, на котором производится ликвидация объекта). (RtЗt)=Эt эффект, достигаемый на t-м шаге.
    На практике часто пользуются модифицированной формулой для определения ЧДД. Для этого из состава Зt исключают капитальные вложения и обозначают через:
    Кt капиталовложения на t-м шаге;
    К сумма дисконтированных капиталовложений, т.е.
    Показатели эффективности инвестиционного проекта

    Тогда вышеприведенная формула ЧДД примет вид:
    Показатели эффективности инвестиционного проекта

    где Зt затраты на t-м шаге без учета капитальных вложений.
    Правило. Если ЧДД инвестиционного проекта положителен, проект является эффективным (при данной норме дисконта), и может рассматриваться вопрос о его принятии. Чем больше ЧДД, тем эффективнее проект.
    Если ЧДД отрицательный, то проект считается неэффективным, т.е. убыточным для инвестора.
    Величину ЧДД можно представить еще следующей формулой:
    Показатели эффективности инвестиционного проекта

    где Пt чистая прибыль, полученная на t-м шаге;
    At амортизационные отчисления на t-м шаге;
    Нп налог на прибыль на t-м шаге, в долях ед.
    Таким образом, ЧДД это сумма приведенных величин чистой прибыли, и амортизационных отчислений за минусом приведенных капитальных вложений.
    В зарубежной литературе величину «ЧДД» обозначают «NPV»; величину
    Показатели эффективности инвестиционного проекта

    обозначают «PV»; капитальные вложения «К» обозначают «CI»; эффект, достигаемый на t-м шаге, Эt = (Rt Зt) обозначают «Ri».
    Индекс доходности (ИД) представляет собой отношение суммы приведенных эффектов к величине капиталовложений:
    Показатели эффективности инвестиционного проекта

    или
    Показатели эффективности инвестиционного проекта

    Показатели эффективности инвестиционного проекта
    сумма приведенных эффектов;
    К приведенные капитальные вложения.
    С достаточной степенью точности индекс рентабельности можно, определить как отношение дисконтированных прибылей и амортизационных отчислений к капитальным вложениям.
    Индекс доходности тесно связан с ЧДД. Он строится из тех же элементов, и его значение связано со значением ЧДД: если ЧДД положителен, то ИД 1, и наоборот.
    Правило. Если ИД 1, проект эффективен, если ИД 1 неэффективен.
    Внутренняя норма доходности (ВНД) представляет собой ту норму дисконта (Евн), при которой величина приведенных эффектов равна приведенным капиталовложениям. Иными словами, Eвн (ВНД) является решением уравнения:
    Показатели эффективности инвестиционного проекта

    Если расчет ЧДД инвестиционного проекта дает ответ на вопрос, является он эффективным или нет при некоторой заданной норме дисконта (Е), то ВНД проекта определяется в процессе расчета и затем сравнивается с требуемой инвестором нормой дохода на вкладываемый капитал.
    Если ВНД равна или больше требуемой инвестором нормы дохода на капитал, то инвестиции в данный инвестиционный проект оправданы, и может рассматриваться вопрос о его принятии. В противном случае инвестиции в данный проект нецелесообразны.
    Если сравнение альтернативных (взаимоисключающих) инвестиционных проектов (вариантов проекта) по ЧДД и ВНД приводит к противоположным результатам, предпочтение следует отдать ЧДД.
    Срок окупаемости проекта время, за которое поступления от производственной деятельности предприятия покроют затраты на инвестиции. Измеряется он в годах или месяцах.
    Результаты и затраты, связанные с осуществлением проекта, можно вычислять с дисконтированием или без него. Соответственно получатся два различных срока окупаемости.



    Понятие НТП шире, чем понятие НТР.


    После того как план НТП составлен и утвержден, с учетом этого плана составляются остальные разделы плана экономического и социального развития предприятия. Для корректировки остальных разделов этого плана необходимо знать, как повлияет реализация плана НТП на технико-экономические показатели работы предприятия (прибыль, себестоимость, производительность труда и др.) в плановом периоде.
    Планируемый прирост прибыли от производства новой или модернизированной продукции определяется по формуле
    ,
    где П планируемый прирост прибыли от производства новой или модернизированной продукции;
    Ц н, Ц ст оптовая (продажная) цена новой и старой продукции;
    Сн, Сст себестоимость производства единицы новой и старой продукции;
    VН, VСТ объем выпуска продукции до и после реализации проекта.
    Планируемое снижение материальных затрат от реализации проекта можно определить по формуле

    где МЗ экономия материальных затрат в плановом периоде от реализации проекта;
    Н ст, Н н старая и новая норма расхода на единицу продукции;
    Ц цена единицы материального ресурса.
    Величина снижения себестоимости продукции от внедрения нововведений определяется по формуле
    ,
    где C величина снижения себестоимости продукции за счет внедрения нововведений;
    С 1, С 2 себестоимость единицы продукции до и после внедрения нововведений;
    V2 объем выпуска продукции после внедрения нововведений.
    Внедрение нововведений влияет и на рост производительности труда (выработки). Темп роста производительности труда (ПТ) можно определить по формуле
    Понятие НТП шире, чем понятие НТР.

    где ПТпл, ПТ0 производительность труда в плановом и отчетном периоде.
    Это влияние можно определить и по формуле
    Понятие НТП шире, чем понятие НТР.

    где ПТ темпы прироста производительности труда;
    Nобщ, общая величина реального или условного высвобождения работников вследствие внедрения новой техники;
    N общая величина численности персонала при плановом объеме и базовой производительности труда.
    Пример. На шахте за отчетный период годовой объем добычи угля составил 1,2 млн т, а среднесписочная численность 1000 человек. В плане на следующий год за счет реализации организационно-технических мероприятий предусматривается условно высвободить 200 человек (в том числе за счет реализации мероприятия № 1 50 человек, мероприятия № 2 120 человек, мероприятия № 3 30 человек), увеличить добычу угля на 20%.
    Известно, что рост средней заработной платы составит 7%, а доля заработной платы в полных затратах 30%.
    Определите влияние внедрения нововведений на производительность труда и себестоимость добычи угля.
    Решение
    1. Определяем производительность труда за отчетный период (ПТо):
    Понятие НТП шире, чем понятие НТР.
    Понятие НТП шире, чем понятие НТР.

    2. Определяем производительность труда за плановый период (ПТпл):
    т.
    3. Определяем темп прироста производительности труда ( ПТ):

    4. Определяем темп прироста производительности труда другим методом (для проверки) по формуле

    в том числе за счет реализации мероприятия № 1:

    за счет мероприятия № 2:
    Понятие НТП шире, чем понятие НТР.

    за счет мероприятия № 3:
    Понятие НТП шире, чем понятие НТР.

    Проверка. ПТ =5+12+3= 20%.
    5. Определяем влияние роста производительности труда на себестоимость (С) продукции по формуле
    Понятие НТП шире, чем понятие НТР.

    где Iзп индекс средней заработной платы в плановом периоде;
    Iпт индекс производительности труда в плановом периоде;
    Узп доля заработной платы в себестоимости добычи угля.
    Следовательно, за счет роста производительности труда себестоимость добычи угля в плановом периоде снизится на 3,3%, так как темп прироста производительности труда опережает темп прироста средней заработной платы (20 7).
    Выводы
    На экономические и социальные процессы в обществе влияют многие факторы, но ускорение НТП является главным из них. НТП это непрерывный процесс внедрения новой техники и технологии, организации производства и труда на основе достижений и реализации знаний. Понятие НТП шире, чем понятие НТР.
    Научно-техническая революция это составная часть НТП.
    Любое государство, чтобы не отстать в своем научно-техническом развитии, должно разрабатывать и осуществлять единую государственную техническую политику. Под единой государственной научно-технической политикой понимаются выбор важнейших направлений НТП и их реализация с мощной поддержкой государства.
    С переходом на рыночные отношения в России не уделялось должного внимания развитию науки и техники со стороны государства, что привело к еще большему отставанию нашей страны от развитых стран мира в области приоритетных направлений НТП и, естественно, не способствовало выходу России из кризисного положения. Ситуация усугубляется тем, что в России на данный момент не разработана единая государственная научно-техническая политика и на развитие фундаментальной науки государством выделяются мизерные средства.
    Любое предприятие не может иметь хорошей перспективы, если не будет постоянно внедрять результаты НТП, так как от этого зависят качество выпускаемой продукции, издержки на ее производство и реализацию, объем реализации и величина получаемой прибыли.
    Прогнозирование и планирование НТП на предприятии должны осуществляться на основе выработанной стратегии развития предприятия на дальнюю перспективу с учетом реальных финансовых возможностей.
    Контрольные вопросы
    1. Каковы сущность НТП и НТР, особенности НТР на современном этапе?
    2. Каковы основные направления НТП, их сущность и взаимосвязь?
    3. Какие приоритетные направления НТП на современном этапе, каково их содержание?
    4. Какова в общем плане экономическая и социальная сущность ускорения НТП?
    5. Какова методология прогнозирования и планирования НТП на предприятии?
    6. Как влияет НТП на основные экономические показатели работы предприятия?
    Глава 7 КАЧЕСТВО ПРОМЫШЛЕННОЙ ПРОДУКЦИИ Проблема повышения качества продукции в России в настоящее время является наиболее острой и злободневной.
    С переходом России на рыночные отношения качество выпускаемой продукции не только не улучшается, а, наоборот, ухудшается. Газетой «Аргументы и факты» был проведен опрос общественности самых развитых стран о том, товар какой страны по своему качеству является самым лучшим в мире. Результаты опроса показали, что на первом месте оказались товары Японии, а на последнем тринадцатом России.
    Нетрудно догадаться, как это отразилось на экономике нашей страны.
    От результатов в области качества сегодня зависит слишком многое: удастся ли экономике России и ее предприятиям достаточно быстро интегрироваться в мировое хозяйство, войдет ли Россия в сообщество развитых стран как полноправный его член или окажется на положении сырьевого придатка.
    Успешная интеграция российских предприятий в международное разделение труда невозможна без стабильного качества и на этой основе обеспечения конкурентоспособности продукции.
    Решение проблемы качества отечественной продукции это в значительной мере и решение проблемы выхода России из экономического кризиса. Об этом свидетельствует мировой опыт, в частности опыт Японии, стран Юго-Восточной Азии и др. Мы этот опыт, по непонятным причинам, почему-то отвергаем.
    Естественно, актуальность проблемы качества продукции обусловливается и другими факторами.
    Возникает вполне резонный вопрос: почему с переходом на рыночные отношения в России по-прежнему остается пренебрежительное отношение к проблеме качества?
    На наш взгляд, основными причинами такого явления можно считать:
    не созданы условия для конкуренции;
    отсутствует национальная программа по достижению высокого уровня качества;
    не адаптировались к рыночным условиям многие руководители предприятий;
    снизилась роль государства, ее законодательных и исполнительных органов в создании условий для решения этой важной проблемы.
    7.1. СУЩНОСТЬ И ЗНАЧЕНИЕ ПОВЫШЕНИЯ КАЧЕСТВА ПРОДУКЦИИ В научной и специальной литературе можно встретить самые различные формулировки сущности качества продукции, но есть и стандартная.
    Качество продукции это совокупность свойств, обусловливающих пригодность продукции удовлетворять определенные потребности в соответствии с ее назначением.
    Известный американский специалист в области качества продукции А. Фейгенбаум в своей книге «Контроль качества продукции» под качеством изделия или услуги понимает: «Качество изделия или услуги можно определить как общую совокупность технических, технологических и эксплуатационных характеристик изделия и услуги, посредством которых изделие или услуга будут отвечать требованиям потребителя при их эксплуатации».*
    * Фейгенбаум А. Контроль качества продукции/Сокр. пер. с англ./Автор предисловия и науч. ред. Н. В. Гличев. М.: Экономика, 1996.
    С. 98.

    Далее автор подчеркивает, что качество определяется не инженером, не с помощью методов общего управления, а потребителем. В основу качества заложен опыт потребителя, накопленный им при эксплуатации изделия или использовании услуги.
    Некоторые отечественные специалисты качество продукции называют зеркалом научно-технического прогресса. Можно сказать и так, что качество продукции это зеркало работы предприятия и в этом зеркале объективно отражается уровень применяемой техники, технологии и управления.
    Качество продукции не только техническая, товароведческая, но и важнейшая экономическая категория. Как экономическая категория оно тесно связано с потребительной стоимостью.



    Предприятия, занимающие на рынке доминирующее положение


    Аналогично поступают и во многих других странах. Например, в США в течение нескольких десятилетий применялся показатель: доля 4 крупнейших предприятий. Доля фиксированного числа предприятий имеет, однако, один недостаток. Этот показатель дискретный. Он характеризует не всю совокупность предприятий на рынке и ее структуру, а лишь позиции крупнейших производителей.
    Поэтому за последние годы все большее распространение получает другой комплексный показатель индекс Герфиндаля-Гиршмана (HHI).
    В отечественной практике до недавнего времени использовался только один показатель статистики концентрации доля отдельного предприятия на рынке продаж, что явно недостаточно. Использование зарубежного опыта в этом плане позволит обеспечить объективность при определении уровня концентрации, лучше знать структуру рынка и в конечном итоге повысить эффективность антимонопольной политики.
    Закон РФ «О конкуренции и ограничении монополистической деятельности на товарных рынках», принятый 22 марта 1991 г., является первым в истории России антимонопольным законодательным актом. В развитии экономики России этому закону отводится важная роль, поскольку без появления и развития конкуренции, ограничения и пресечения монополистической деятельности предприятий невозможен переход к рынку. Закон призван способствовать созданию благоприятных условий для конкурентной среды.
    Для проведения антимонопольной политики, контроля за применением антимонопольного законодательства закон предусмотрел образование специальных органов исполнительной власти Антимонопольного комитета РФ и его территориальных управлений и наделил их рядом властных полномочий, в том числе давать нарушителям предписания и применять к ним различные виды санкций.
    Нормы закона, запрещающие монополистическую деятельность, адресованы хозяйствующим субъектам (предпринимателям), занимающим доминирующее положение на товарном рынке. Поэтому ключевым для закона является понятие «хозяйствующий субъект предприниматель, занимающий доминирующее положение на товарном рынке». В актах антимонопольного законодательства понятия «предприятие, занимающее доминирующее положение» и «предприятие-монополист» употребляются как синонимы.
    В соответствии со ст. 4 Закона о конкуренции для признания положения предприятия как доминирующего необходимо выявление двух условий его доля на рынке и способность ограничивать конкуренцию. Если величина доли предприятия на рынке определенного товара не превышает 35%, то его положение не может быть признано доминирующим.
    В дальнейшем был принят Закон «О внесении изменений и дополнений в Закон РСФСР «О конкуренции и ограничении монополистической деятельности на товарных рынках». Согласно этому закону ключевое для антимонопольного законодательства определение доминирующего положения хозяйствующего субъекта претерпело существенное изменение. Наиболее важным нововведением является уточнение критериев, по которым выявляются монополисты на российских рынках. Безусловным монополистом может считаться предприятие, контролирующее 65% и более товарного рынка (раньше было 35% и более).
    Предприятие, контролирующее от 35 до 65% рынка, тоже может быть признано монополистом, но для этого антимонопольные органы должны доказать, что имеет место «доминирующее положение» хозяйствующего субъекта на рынке, изучив конкретную рыночную ситуацию. Таким образом, наряду со статистическими данными о доле на рынке уделяется большое внимание экономическому анализу, учитывающему факторы поведения, возможности замещения и выхода на рынок новых фирм.
    Прежние 35% рынка, как и раньше, оставлены в качестве нижней планки, т.е. если субъект имеет долю на рынке менее 35%, то его положение не может быть признано доминирующим. Сам факт доминирующего положения ненаказуем, антимонопольные органы преследуют не за доминирующее положение, а за злоупотребление им.
    Важным моментом в отечественной экономике следует признать тот факт, что оценка состояния концентрации на товарных рынках стала определяться по методологии, принятой во многих развитых странах. Она исчисляется по значениям коэффициентов концентрации (например, CR 3 доля на товарном рынке или в отрасли трех крупнейших хозяйствующих субъектов) и индекса ГерфиндаляГиршмана (HHI), который показывает влияние крупных компаний на состояние рынка. HHI рассчитывается как сумма квадратов долей всех действующих на рынке (в отрасли) хозяйствующих субъектов:
    Предприятия, занимающие на рынке доминирующее положение
    ,
    где Н - число хозяйствующих субъектов, действующих на рынке (в отрасли);
    Предприятия, занимающие на рынке доминирующее положение
    - доля 1-го хозяйствующего субъекта (%) в объеме реализованной продукции на рынке (в отрасли).
    Величина HHI варьируется в пределах от 0 (полная деконцентрация) до 10000 (абсолютная монополия).
    1. Нормальная концентрация CR 3 45%; HHI 1000.
    Вывод: неконцентрированный рынок.
    2. Средняя степень концентрации: 45% CR 3 70%;
    1000 HHI 2000.
    Вывод: умеренно концентрированный рынок.
    3. Высокая степень концентрации: CR 3 70%, HHI 2000.
    Вывод: слабая конкурентная среда.*
    * См.: Развитие конкуренции на рынках РФ (доклад ГКАП РФ)//Вопросы экономики. - 1995. -№ 11.

    По результатам анализа количественных и качественных показателей, характеризующих структуру товарного рынка, устанавливается его принадлежность к высоко-, средне- и низкоконцентрированному рынку, оцениваются наличие и степень развитости конкуренции.
    При заключении о целесообразности вмешательства антимонопольных органов в процесс формирования конкурентной среды на данном товарном рынке определяются направления, формы и методы этого вмешательства.
    Другой важнейшей характеристикой концентрации производства являются коэффициенты концентрации в продуктовом разрезе. Подобные показатели в отличие от отраслевых не содержат погрешностей, связанных с учетом непрофильной продукции в общих отраслевых объемах производства.
    Для промышленности России характерна высокая степень концентрации производства, т.е. оно сосредоточено в основном на крупных предприятиях, о чем свидетельствуют данные, приведенные в табл. 4.1.
    Число предприятий-монополистов, включенных в федеральный раздел государственного реестра объединений и предприятий-монополистов, составило: 1993 г. - 547, 1994 г. - 499, 1995 г.-487,1997 г.-265.
    Наиболее монополизированы такие отрасли, как черная металлургия, машиностроение и цветная металлургия.
    Таблица 4.1
    Предприятия, занимающие на рынке доминирующее положение в 1997 г*



    Удельный вес, %


    Число хозяйствующих субъектов**
    в общем числе предприятий
    объема производства их продукции в общем объеме производства
    объема производства продукции, по которой хозяйствующие субъекты включены в Реестр, в общем объеме их производства
    Вся промышленность
    265
    1,3
    16,7
    25,7
    в том числе:








    топливная
    7
    1,5
    5,9
    3,9
    черная металлургия
    28
    10,9
    67,9
    12,6
    цветная металлургия
    27
    5,9
    32,0
    19,7
    химическая и нефтехимическая (без химико-фармацевтической промышленности)
    41
    7,1
    25,8
    20,7
    машиностроение и металлообработка (без промышленности медицинской техники)
    136
    2,6
    28,2
    49,5
    лесная, деревообрабатывающая и целлюлозно-бумажная
    8
    0,3
    8.1
    19,1
    промышленность строительных материалов
    3
    0,2
    2,2
    76,3
    легкая
    1
    0,1
    0,3
    7,8
    пищевая
    8
    0,2
    0,6
    48,9

    * Промышленность России: Стат. сб./Госкомстат России. - М., 1998.
    ** Согласно Реестру хозяйствующих субъектов, имеющих на рынке определенного товара долю более 35%.

    Однако исследования, проведенные ГКАП, показывают, что реальная ситуация не столь однородна. Монополии национального масштаба, т.е. предприятии, представленных на том или ином товарном рынке России в единственном числе, относительно немного, и основном это так называемые «технологические монополии»: оборонный комплекс, трубопроводный транспорт, почта и др.
    Более характерны для экономики страны другие модели:
    локальный монополизм в масштабах региональных товарных рынков. Примером могут служить предприятия по переработке сельскохозяйственной продукции или по обслуживанию населения в отдельных районах страны, которые занимают монопольное положение;
    олигополия - наличие в производстве и на товарном рынке нескольких крупных предприятий, занимающих доминирующее положение (например, производство легковых автомобилей);
    наличие в производстве и на товарном рынке одного доминирующего предприятия и небольших предприятий-аутсайдеров (например, концерн «Газпром»);
    деконцентрированные отрасли (например, розничная торговля) и рынки (например, рынки банковских, страховых услуг, рынки бытовой и офисной мебели и др.).
    Однако степень концентрации производства на внутреннем рынке не является единственным критерием, определяющим состояние конкурентной среды. В условиях либерализации внешней торговли все большую роль начинают играть экспортно-импортные операции, их характер и масштабы.
    Действующее антимонопольное законодательство в России, естественно, еще далеко от совершенства и, по сути, только формируется. Его недостатки:
    не разработана целостная система объективных показателей статистики концентрации производства с учетом накопленного опыта ведущих капиталистических стран.



    ПРИБЫЛЬ ПРЕДПРИЯТИЯ


    должна учитывать все факторы, которые влияют на снижение издержек производства и реализацию продукции. Содержание и сущность комплексной программы по снижению издержек производства зависят от специфики предприятия, текущего состояния и перспективы его развития. Но в общем плане в ней должны быть отражены следующие моменты:
    комплекс мероприятий по более рациональному использованию материальных ресурсов (внедрение новой техники и безотходной технологии, позволяющей более экономно расходовать сырье, материалы, топливо и энергию; совершенствование нормативной базы предприятия; внедрение и использование более прогрессивных материалов; комплексное использование сырья и материалов; использование отходов производства; улучшение качества продукции и снижение процента брака и др.);
    мероприятия, связанные с определением и поддержанием оптимального размера предприятия, позволяющие минимизировать затраты в зависимости от объема производства;
    мероприятия, связанные с улучшением использования основных фондов (освобождение предприятия от излишних машин и оборудования; сдача имущества предприятия в аренду; улучшение качества обслуживания и ремонта основных средств; обеспечение большей загрузки машин и оборудования; повышение уровня квалификации персонала, обслуживающего машины и оборудование; применение ускоренной амортизации; внедрение более прогрессивных машин и оборудования и др.);
    мероприятия, связанные с улучшением использования рабочей силы (определение и поддержание оптимальной численности персонала; повышение уровня квалификации; обеспечение опережающего роста производительности труда по сравнению со средней заработной платой; применение прогрессивных систем и форм оплаты труда; совершенствование нормативной базы; улучшение условий труда; механизация и автоматизация всех производственных процессов; обеспечение мотивации высокопроизводительного труда и др.);
    мероприятия, связанные с совершенствованием организации производства и труда (углубление концентрации, специализации, кооперирования, комбинирования и диверсификации производства; внедрение бригадной формы организации производства и труда; внедрение НОТ; совершенствование организационной структуры управления фирмой и др.).
    Кроме того, комплексная программа по снижению издержек производства должна иметь четкий механизм ее реализации.
    Следует также подчеркнуть, что планирование и реализация только отдельных мероприятий по снижению издержек производства хотя и дают определенный эффект, но не решают проблемы в целом.
    13.6. ПРИБЫЛЬ ПРЕДПРИЯТИЯ Прибыль предприятия является важнейшей экономической категорией и основной целью деятельности любой коммерческой организации. Как экономическая категория прибыль отражает чистый доход, созданный в сфере материального производства, и выполняет ряд функций.
    Во-первых, прибыль характеризует экономический эффект, полученный в результате деятельности предприятия. Получение прибыли на предприятии означает, что полученные доходы превышают все расходы, связанные с его деятельностью.
    Во-вторых, прибыль обладает стимулирующей функцией. Это связано с тем, что прибыль является одновременно не только финансовым результатом, но и основным элементом финансовых ресурсов предприятия. Поэтому предприятие заинтересовано в получении максимальной прибыли, так как это является основой для расширения производственной деятельности, научно-технического и социального развития предприятия, материального поощрения работников.
    В-третьих, прибыль является одним из важнейших источников формирования бюджетов разных уровней.
    Прибыль на предприятии может быть получена за счет различных видов деятельности. Суммарная величина всех прибылей балансовая (валовая) прибыль предприятия. Основными составными элементами балансовой прибыли являются:
    прибыль (убыток) от реализации продукции, выполнения работ, оказания услуг;
    прибыль (убыток) от реализации основных фондов, а также иного имущества предприятия;
    финансовые результаты от внереализационных операций. Таким образом, балансовая прибыль (Пб) может быть определена по формуле
    ПРИБЫЛЬ ПРЕДПРИЯТИЯ

    где Пр прибыль (убыток) от реализации продукции, выполнения работ и оказания услуг;
    Пи прибыль (убыток) от реализации имущества предприятия;
    Пв.о доходы (убытки) от внереализационных операций.
    Как правило, основной элемент балансовой прибыли составляет прибыль от реализации продукции, выполнения работ или оказания услуг.
    Прибыль от реализации имущества это финансовый результат, не связанный с основными видами деятельности предприятия. Он отражает прибыли (убытки) по прочей реализации, к которой относится продажа на сторону различных видов имущества, числящегося на балансе предприятия.
    Перечень внереализационных прибылей (убытков) предприятия разнороден и довольно обширен. Это доходы от долгосрочных и краткосрочных финансовых вложений, доходы от сдачи имущества в аренду, сальдо полученных и уплаченных штрафов, пени, неустоек и других видов санкций, прибыль прошлых лет, выявленная в отчетном году, доходы от дооценки товаров, положительные курсовые разницы по валютным счетам и операциям в иностранной валюте, проценты, полученные по денежным средствам, числящимся на счетах предприятия.
    К расходам и потерям относятся:
    убытки по операциям прошлых лет, выявленные в отчетном году, от уценки товаров, от списания безнадежной дебиторской задолженности;
    недостачи материальных ценностей, выявленные при инвентаризации;
    отрицательные курсовые разницы по валютным счетам и операциям в иностранной валюте;
    судебные издержки и арбитражные сборы и др.
    Прибыль от реализации продукции зависит от внутренних и внешних факторов. К внутренним факторам относятся: ускорение НТП, уровень хозяйствования, компетентность руководства и менеджеров, конкурентоспособность продукции, уровень организации производства и труда и др.
    К внешним факторам, которые не зависят от деятельности предприятия, относятся: конъюнктура рынка, уровень цен на потребляемые материально-технические ресурсы, нормы амортизации, система налогообложения и др.
    Внутренние факторы действуют на прибыль через увеличение объема выпуска и реализации продукции, улучшение качества продукции, повышение отпускных цен и снижение издержек производства и реализации продукции. Величина прибыли от реализации продукции (Пр) определяется по формуле
    ПРИБЫЛЬ ПРЕДПРИЯТИЯ

    где Цi отпускная цена единицы i-й продукции;
    Сi себестоимость единицы i-й продукции;
    Vi объем реализации i-й продукции.
    Рассмотрим пример определения и анализа прибыли от реализации продукции по факторам.
    Пример
    На предприятии за отчетный период было реализовано 1000 ед. продукции по цене 50 тыс. руб. за единицу, а себестоимость единицы продукции составила 45 тыс. руб.
    В плановом периоде предусматривается увеличить объем выпуска и реализации продукции до 2000 ед. по цене 60 тыс. руб. и снизить себестоимость до 40 тыс. руб. за 1 ед. продукции.
    Определите прибыль от реализации продукции в плановом и отчетном периоде, за счет каких факторов она изменится в плановом периоде.
    Решение
    1. Величина прибыли от реализации продукции в отчетном и плановом периоде:
    ПРИБЫЛЬ ПРЕДПРИЯТИЯ

    2. Величина роста прибыли в плановом периоде:
    ПРИБЫЛЬ ПРЕДПРИЯТИЯ

    3. Факторы, которые повлияли на увеличение прибыли:
    а) изменение объема производства (ПV)
    ПРИБЫЛЬ ПРЕДПРИЯТИЯ

    где Vпл, Vo объем выпуска продукции в плановом и отчетном периодах;
    прибыль на единицу продукции в отчетном периоде;
    б) изменение цен на реализованную продукцию
    ПРИБЫЛЬ ПРЕДПРИЯТИЯ

    где Цпл, Ц о отпускные цены на реализованную продукцию в плановом и отчетном периодах;
    в) изменение себестоимости продукции
    ПРИБЫЛЬ ПРЕДПРИЯТИЯ

    Проверка
    ПРИБЫЛЬ ПРЕДПРИЯТИЯ

    Следовательно, расчет выполнен правильно.
    Основные пути увеличения прибыли на предприятии. На каждом предприятии должны предусматриваться плановые мероприятия по увеличению прибыли. В общем плане эти мероприятия могут быть следующего характера:
    увеличение выпуска продукции;
    улучшение качества продукции;
    продажа излишнего оборудования и другого имущества или сдача его в аренду;
    снижение себестоимости продукции за счет более рационального использования материальных ресурсов, производственных мощностей и площадей, рабочей силы и рабочего времени;
    диверсификация производства;
    расширение рынка продаж и др.
    Из этого перечня мероприятий вытекает, что они тесно связаны с другими мероприятиями на предприятии, направленными на снижение издержек производства, улучшение качества продукции и использование факторов производства.
    Несмотря на то что прибыль является важнейшим экономическим показателем работы предприятия, она не характеризует эффективность его работы. Для определения эффективности работы предприятия необходимо сопоставить результаты (в данном случае прибыль) с затратами или ресурсами, которые обеспечили эти результаты.
    Одним из важнейших показателей эффективности работы предприятия является рентабельность, сущность которой будет рассмотрена в следующей главе.
    Выводы
    Себестоимость продукции является важнейшей экономической категорией и характеризует затраты предприятия на производство и реализацию продукции. Она является также важнейшим качественным показателем работы предприятия, так как характеризует уровень использования всех ресурсов (переменного и постоянного капитала), находящихся в распоряжении предприятия.
    За последние годы структура себестоимости продукции в отдельных отраслях промышленности сильно изменилась. На ее изменение повлияли следующие факторы: инфляционные процессы; резкое замедление темпов обновления основных производственных фондов; увеличение процентных ставок по кредитам коммерческих банков; увеличение расходов на рекламу и др.
    В современных условиях наиболее приемлемым методом планирования себестоимости продукции на предприятии является метод планирования себестоимости продукции по технико-экономическим факторам.
    Управление издержками производства и реализации продукции с целью их минимизации на предприятии является составной частью управления предприятием в целом. Управление издержками на предприятии необходимо прежде всего для:
    получения максимальной прибыли;
    улучшения финансового состояния фирмы;
    повышения конкурентоспособности предприятия и продукции;
    снижения риска стать банкротом и других целей.
    Существенного снижения себестоимости продукции на предприятии можно достичь только за счет разработки и реализации комплексной программы снижения издержек, которая должна быть постоянно действующей и периодически корректироваться с учетом изменяющихся обстоятельств.
    Контрольные вопросы
    1. Что представляет собой себестоимость продукции и какие она выполняет функции, как экономическая категория?
    2. Какова связь между себестоимостью и конкурентоспособностью продукции?
    3. Какие выводы можно сделать на основе анализа динамики структуры себестоимости продукции по элементам затрат?
    4. Какие вы знаете методы планирования себестооимости продукции на предприятии и в чем их сущность?
    5. Как вы представляете методологию планирования себестоимости продукции на предприятии?
    6. Зачем вообще необходимо планировать на предприятии издержки на производство и реализацию продукции?
    7. Какова связь между себестоимостью продукции и финансовыми результатами деятельности предприятия?
    8. За счет чего и как можно снизить себестоимость продукции на предприятии?
    9. По каким признакам и как классифицируются затраты на производство и реализацию продукции?
    10. Как изменяются издержки с изменением объема производства?



    Производственные мощности предприятия


    По результатам исследования возможностей инвестирования составляется заключение. Предварительное технико-экономическое исследование проекта следует рассматривать как промежуточную стадию между исследованием возможностей и его технико-экономическим обоснованием, причем различие заключается главным образом в степени подробности информации. По результатам предварительного технико-экономического исследования делаются выводы о том, что :
    - инвестирование является настолько перспективным, что решение о нем может быть принято на основе информации, полученной на стадии предварительного технико-экономического обоснования;
    - данной информации достаточно для определения того, что замысел проекта является нежизнеспособным;
    - концепция проекта оправдывает необходимость проведения детального анализа и разработки технико-экономического обоснования.
    Технико-экономическое обоснования проекта служит основой технической, экономической и коммерческой оценки для принятия решения об инвестировании этого проекта.
    Если полученные данные свидетельствуют о недостаточной рентабельности проекта, следует произвести корректировку его параметров и производственной программы с тем, чтобы доработать проект и сделать его рентабельным. Если же, несмотря на повторный анализ всех вариантов, данный проект нерентабелен, то этот вывод и является окончательным результатом исследования.
    По итогам технико-экономического исследования инвестированного проекта составляется записка, которая состоит из следующих разделов.
    1. Общая характеристика предприятия, намечающего осуществление инвестиционного проекта. Активы. Основной капитал.
    2. Производственные мощности предприятия.
    3. Характеристика вспомогательных производств.
    4. Сырьевая база. Поставщики.
    5. Охрана окружающей среды.
    6. Организация системы управления.
    7. Трудовые ресурсы.
    8. Финансовое обеспечение.
    9. Характеристика инвестиционного проекта. Возможность эмиссси акций.
    Итоговое заключение по оценке проекта должно содержать:
    - основные выводы;
    - основные недостатки проекта;
    - оценку вероятности его осуществления и эффективности.
    Работу по проведению технико-экономического исследования целесообразно поручать группе экспертов, в состав которой должны входить специалисты по основным аспектам проблем, затрагиваемым в проекте:
    - специалист по отраслевой экономике;
    - специалист по анализу рынка;
    - инженер-строитель;
    - эксперты по управлению промышленностью и анализу хозяйственной деятельности.
    В состав группы на краткосрочной основе могут включаться также специалисты как юристы, эксперты по специальным вопросам.
    Точность данных прединвестиционных исследований по смете затрат на реализацию проекта и производственные издержки увеличивается по мере перехода исследований проекта от одной стадии к другой.
    Примерная степень точности составляет для:
    - исследования возможностей - 30 %;
    - предварительного технико-экономического исследования - 20%;
    - технико-экономического исследования - 10%.
    Указанные данные носят эмпирический характер и зависят от сложности проекта, а также от опыта экспертов и использованных методов определения издержек.
    Далее рассмотрим условный пример. Необходимо сразу отметить, что все цифровые данные в нижеприводимом примере условны и необходимы лишь для демонстрации механизма привлечения средств.
    Привлечение финансовых средств - это процесс непрерывный и на каждой стадии развития того или иного предприятия имеет свою специфику. Поэтому в нашем условном примере рассмотрим предприятие на всех этапах его деятельности.
    Итак, учитывая рекреационную специализацию нашего города, предположим, что мы решили открыть гостиницу. Как показывает практика, оптимальный размер гостиницы в наших условиях (ограниченные финансовые ресурсы) - не более 20 койко-мест. Выберем для нашего предприятия организационно-правовую форму - акционерное общество открытого типа. Это позволит привлечь оборотный капитал путем эмиссий акций и их размещения среди неограниченного числа инвесторов.
    При этом акция - это фактически ценная бумага безвозвратного типа, то есть ее владелец вправе претендовать на выплату дивидендов только при соответствующем решении Совета директоров при распределении прибыли. Если владелец желает избавиться от акций, то он может ее продать.
    После регистрации нашего АО, открытия счета в банке, постановки на налоговый учет сформируем Уставной капитал. В первую очередь, необходимо оценить вклады учредителей и подвести их под одни единицы измерения.
    Допустим, что два учредителя в виде вклада в Уставной фонд предоставляют здание под гостиницу общей площадью 600 кв.м. Рыночная стоимость 1 кв.м составляет 800 долларов США. При курсе 5100 рублей за 1 доллар США здание оценивается в 2448,0 млн.руб.
    Площадь земельного участка 600 кв.м. Аренда за него составит 3000,0 тыс.руб. в год. Здание подлежит косметическому ремонту (оклейка обоев, штукатурка, укладка паркета и т.д).
    Планируется ввести гостиницу в эксплуатацию через 4 месяца, а на это время необходимо снять помещение под офис. Необходимо учесть затраты на проведение первой эмиссии акций, затраты на регистрацию АО, на заработную плату персонала.
    Калькуляция всех вышеперечисленных затрат и будет представлять собой обоснование величины Уставного капитала (табл.1).

    Таблица 1
    ОБОСНОВАНИЕ ВЕЛИЧИНЫ УСТАВНОГО КАПИТАЛА


    Производственные мощности предприятия


    Таким образом, Уставной капитал нашего АО составит 2.5 млрд. рублей. Выпущенные акции будут распространены по закрытой подписке и поделены среди учредителей в зависимости от денежного эквивалента вклада. Однако для начала деятельности предприятия необходимо осуществить затраты, связанные с набором постоянного штата персонала, оснащанием гостиничных номеров оборудованием, т.е. нужен оборотный капитал.
    Для АО открытого типа самым простым способом привлечения оборотных средств является еще одна, вторая в нашем случае, эмиссия акций для открытой продажи среди неограниченного числа инвесторов.
    В связи со второй эмиссией акций, а также при проведении рекламной кампании возникнут дополнительные затраты. Приблизительная смета затрат представлена в таблице 2.

    Таблица 2
    Смета затрат
    (обоснование величины оборотного капитала).


    Производственные мощности предприятия


    Установим курс акций 15000 руб., тогда при полной реализации акций будет получена сумма 45000.0 тыс.руб. Эмиссионный доход составит 150000.0 тыс.руб. Однако реальные активы составят:
    300000.0 - 166529.0 = 133471.0 тыс.руб.
    Таким образом, через 3 месяца после второй эмиссии гостиница будет подготовлена к вводу в эксплуатацию. В итоге Уставной капитал увеличится до 2800000 тыс.руб.
    Гостиница рассчитана на 13 номеров, общим количеством 20 койко-мест, из которых 4 номера - повышенной комфортности "Люкс", 6 номеров - одноместные "полулюксы", 3 номера - двухместные. Обслуживающий персонал гостиницы - 19 штатных единиц.
    Необходимо рассчитать затраты, непосредственно связанные с функционированием гостиницы, к ним относятся заработная плата персонала, отчисления на социальное страхование, затраты, связанные с текущим содержанием, в т.ч. по статьям: топливо, электроэнергия, водоснабжение и канализация, услуги связи, стирка белья и т.д.

    Таблица 3
    Калькуляция себестоимости койко-дня проживания в гостинице


    Производственные мощности предприятия


    На гостиничные номера предполагается установить следующие цены:
    - номер высшей категории двухместный - 100 тыс.руб.;
    - одноместный номер "полулюкс" - 75 тыс.руб.;
    - двухместный номер - 50 тыс.руб.
    Определим среднюю цену одного койко-дня:
    (100 * 8 + 75 * 6 + 50 * 6) / 20 = 77,5 тыс.рублей
    Исчисление налогов:
    1) НДС и спецналог - 17.69 % , база - полученная выручка
    (77500 * 17,69 %) /100 % = 13710 рублей.
    2) Налог на пользователей автодорог
    ((выручка - НДС - спецналог) * 1,4%) / 100% =
    = ((77500 - 13710) * 1.4%) / 100 % = 893 руб.

    Таким образом, балансовая прибыль после уплаты налогов составит: 77500 - 13710 - 893 - 20472 = 41661 рублей.
    Чтобы снизить налог на прибыль, необходимо произвести отчисления в резервный фонд, которые не могут составлять более 50% прибыли, подлежащей налогообложению.
    Налог на прибыль составит 20830.5 * 0.35 = 7916 рублей.
    Итак, в распоряжении предприятия с одного койко-дня остается сумма 41661-7961=33745 рублей.
    Кроме прибыли, которая образуется в результате эксплуатации номерного фонда гостиницы, также будет получена прибыль от функционирования кафе-бара, в котором будут питаться клиенты гостиницы.

    Таблица 4
    Затраты, связанные с функционированием кафе-бара.



    Производственные мощности предприятия


    Рассчитаем все налоги, которые необходимо выплатить из этой суммы (налог на пользователей автодорог, налог на прибыль).
    1) Налог на пользователей автодорог:
    (25673 * 1.4%)/100% = 359 руб.
    2) База для исчисления налога на прибыль:
    25673 - 359 - 15673 = 9641 руб.
    Эту величину можно уменьшить на сумму, отчисляемую в резервный фонд (50% от прибыли, подлежащей налогообложению), т.е. на 4821 руб.
    Налог на прибыль составит: 4821 * 0.35 = 1687 руб.
    Таким образом, чистая прибыль, остающаяся в распоряжении предприятия, составит: 9641 - 1687 = 7954 руб.
    Суммируя чистую прибыль, получаемую за проживание в гостинице и питание в кафе-баре, получим:



    СИСТЕМА УПРАВЛЕНИЯ КАЧЕСТВОМ ПРОДУКЦИИ НА ПРЕДПРИЯТИИ


    Стандартизация во всем мире является проводником качества и ускорения НТП, поэтому от ее состояния в стране зависит очень многое.
    Рассмотрим сущность основных понятий в области стандартизации, изложенных в новом Законе РФ «О стандартизации». Под объектом стандартизации в широком смысле понимаются продукция, процессы и услуги, которые в разной степени относятся к любому материалу, компоненту, оборудованию, системе, их совместимости, правилу, процедуре, функции, методу или деятельности.
    Стандарт нормативный документ по стандартизации, разработанный, как правило, на основе согласия, характеризующийся отсутствием возражений по существенным вопросам у большинства заинтересованных сторон и утвержденный признанным органом (или представителем), в котором могут устанавливаться для всеобщего и многократного использования правила, общие принципы, характеристики, требования и методы, касающиеся определенных объектов стандартизации, и который направлен на достижение оптимальной степени упорядочения в определенной области (ГОСТ Р 1.092).
    Стандарты основываются на обобщенных результатах науки, техники и практическом опыте и направлены на достижение оптимальной пользы для общества.
    В России нормативные документы по стандартизации подразделяются на следующие категории:
    государственные стандарты РФ ГОСТ Р;
    отраслевые стандарты ОСТ;
    технические условия ТУ;
    стандарты предприятия и объединения СТП;
    стандарты научно-технических и инженерных обществ СТО.
    В зависимости от специфики объекта стандартизации и содержания устанавливаемых к нему требований разрабатывают стандарты следующих видов:
    стандарты основополагающие;
    стандарты на продукцию, услуги;
    стандарты на процессы;
    стандарты на методы контроля (испытаний, измерений, анализа).
    В зависимости от масштабности распространения стандартов они подразделяются на:
    национальные;
    региональные;
    межгосударственные;
    международные.
    Национальный стандарт (ГОСТ Р) стандарт, принятый национальным органом по стандартизации одной страны.
    Региональный стандарт стандарт, принятый региональной международной организацией по стандартизации.
    Межгосударственный стандарт (ГОСТ) стандарт, принятый государствами, присоединившимися к соглашению о проведении согласованной политики в области стандартизации, метрологии и сертификации, и применяемый ими непосредственно.
    Международный стандарт стандарт, принятый Международной организацией по стандартизации (ИСО).
    Для новой российской системы по стандартизации характерны, во-первых, максимальное сближение требований отечественных и международных стандартов, во-вторых, сохранение обязательности требований государственных стандартов лишь к той части показателей, которые во всем мире подлежат законодательному регулированию, т.е. прежде всего показателей безопасности для человека и окружающей среды, технической и функциональной совместимости и взаимозаменяемости. Кроме того, характерно смещение приоритетов в сторону стандартов, регламентирующих методы испытаний и оценки объектов, что во всем мире признается необходимым для обеспечения доверия и взаимопонимания в сфере техники и технологии.
    Вместе с тем фонд стандартов СССР сохранен. Эти стандарты и сейчас применяются как в России, так и в странах СНГ, обретя статус межгосударственных. Для решения проблемы повышения качества продукции очень важно, чтобы отечественные стандарты систематически пересматривались и добавлялись новыми с учетом развития науки и техники, все время приближаясь к международным стандартам или опережая их.
    Международная организация по стандартизации организовала в 1979 г. технический комитет «Управление качеством и обеспечение качества». В 1986 г. комитет, опираясь на британские стандарты и опыт Международной электротехнической комиссии (МЭК), подготовил основополагающие стандарты ИСО серии 9000, которые были изданы в 1987 г. и в настоящее время получили всемирное признание. Сейчас они действуют в 73 странах мира, а также в ЕС, причем в 68 странах они введены непосредственно. Благодаря этому стандарты ИСО 9000 стали нормативной базой для сертификации (регистрации) продукции и систем качества предприятия.
    Такие системы уже существуют в 51 стране мира. Идеология ИСО 9000 лежит в основе работы Европейской организации по испытаниям и сертификации (ЕОИС). Поэтому использование отечественными предприятиями этой системы стандартизации имеет для них большое значение.
    Стандарты ИСО серии 9000 определяют новое положение предприятия на рынке. Тот, кто первый внедряет их и представляет потребителю документы о том, что он работает в соответствии с этими стандартами, получает преимущественное положение на рынке. Цена на его продукцию, как правило, в 24 раза выше цены той продукции, чей производитель не обладает соответствующим сертификатом.
    Продукция, на которую в государственных стандартах установлены требования по обеспечению безопасности жизни, здоровья или имущества граждан и охраны окружающей среды, подлежит обязательной сертификации. Это вытекает из Закона РФ «О защите прав потребителей». Сертификация в России введена с 1 января 1992 г.
    Сертификация деятельность по подтверждению соответствия продукции установленным требованиям.
    Система сертификации совокупность участков сертификации, осуществляющих сертификацию по правилам, установленным в этой системе.
    Сертификат документ, удостоверяющий, что на предприятии выпускается продукция, соответствующая всем требованиям стандарта.
    Кроме обязательной сертификации может быть и добровольная, но в этом случае предприятие получает на свою продукцию или услуги не Сертификат соответствия, как при обязательной, а Знак соответствия.
    Сертификация направлена на достижение следующих целей:
    создание условий для деятельности предприятий, учреждений, организаций и предпринимателей на едином товарном рынке России, а также для участия в международном экономическом, научно-техническом сотрудничестве и международной торговле;
    содействие потребителям в компетентном выборе продукции;
    содействие экспорту и повышение конкурентоспособности продукции;
    защиту потребителя от недобросовестности изготовителя (продавца, исполнителя);
    контроль безопасности продукции для окружающей среды, жизни, здоровья и имущества;
    подтверждение показателей качества продукции, заявленных изготовителями.
    Основная задача сертификации добиваться, чтобы сертификаты, выданные в стране, признавались нашими зарубежными партнерами, чтобы эти сертификаты открывали отечественной продукции путь на внешний рынок.
    Вся ответственность за сертификацию в стране возложена на Государственный комитет РФ по стандартизации и его органы, наделенные этими полномочиями. К началу 1996 г. в системе сертификации ГОСТ было аккредитовано более 300 органов по сертификации и около 1000 испытательных лабораторий и центров, как отечественных, так и зарубежных.
    Предприятие, планирующее сертифицировать свою продукцию, должно направить заявку в Госстандарт или в орган, который уполномочен им на проведение этой работы. Госстандарт после получения такой заявки сообщает предприятию, какой организацией будет осуществлена проверка производства и в какой лаборатории будут проведены испытания продукции.
    Если проверка и испытания подтвердили, что продукция соответствует требованиям стандарта, то составляется протокол, который направляется затем в органы Госстандарта. Госстандарт на основе этих подтверждающих документов выдает предприятию-изготовителю Сертификат соответствия максимум на 3 года.
    Все расходы, связанные с процедурой сертификации продукции, оплачиваются предприятием-заявителем, которые затем списываются на издержки производства.
    7.5. СИСТЕМА УПРАВЛЕНИЯ КАЧЕСТВОМ ПРОДУКЦИИ НА ПРЕДПРИЯТИИ На качество продукции, как уже отмечалось ранее, влияют многие факторы, и все их необходимо учитывать при решении проблемы повышения качества продукции на предприятии, т.е. решение этой проблемы требует комплексного подхода. Впервые такой подход был осуществлен в 60-х годах, на предприятиях г. Саратова, где была внедрена так называемая система БИП система бездефектного изготовления продукции. Основной упор в этой системе делался на непосредственных изготовителей.
    Был разработан и применен критерий оценки качества труда это процент сдачи продукции с первого предъявления.
    Однако саратовская система при всех достоинствах, а они проявились довольно ярко и быстро, имела и ряд недостатков. В частности, она не позволяла контролировать и управлять уровнем разработок и проектирования изделий, не охватывала другие стадии их жизненного цикла реализацию и эксплуатацию. Относительно ограничена была и сфера применения системы.
    Но эффективность ее положительных элементов подтолкнула другие предприятия на поиск более совершенных систем.
    В 19571958 гг. на предприятиях г. Горького появилась система КАНАРСПИ (качество, надежность, ресурс с первого изделия). В ней наряду с элементами бездефектного изготовления продукции и сдачи ее с первого предъявления внимание обращалось на управление качеством изделий в период их проектирования и внедрения в производство.



    Снижение трудоемкости, нормо-часов


    повысить конкурентоспособность предприятия и продукции, обеспечить финансовую устойчивость работы.
    К сожалению, с переходом на рыночные отношения на многих предприятиях не уделяется должного внимания росту производительности труда: не делается анализ, не разрабатываются и не планируются мероприятия по ее росту на предприятии.
    Для измерения производительности труда, эффективности использования трудовых ресурсов в промышленности используются два основных показателя: выработка и трудоемкость.
    Выработка измеряется количеством продукции, произведенной в единицу рабочего времени или приходящейся на одного среднесписочного работника или рабочего в год (квартал, месяц). Это наиболее распространенный и универсальный показатель производительности труда.
    Различают три метода определения выработки: натуральный, стоимостный (денежный) и трудовой.
    Выработка в натуральном или стоимостном выражении определяется по формуле
    Снижение трудоемкости, нормо-часов

    Наиболее наглядно и объективно характеризует производительность труда показатель выработки в натуральном выражении в тоннах, метрах, штуках и других натуральных показателях. Достоинство этого метода заключается в том, что он дает более точный и объективный результат о производительности труда. Недостаток этого метода заключается в том, что он может быть применен только на тех предприятиях, которые выпускают однородную продукцию.
    Кроме того, исчисленная по этому методу выработка не позволяет сравнивать производительность труда предприятий различных отраслей промышленности.
    Наибольшее распространение получил стоимостный метод определения выработки. В денежном выражении выработку можно рассчитывать как по товарной и валовой продукции, так и по нормативной чистой продукции.
    Выработка в стоимостном выражении, рассчитанная по товарной или валовой продукции, зависит не только от результатов работы данного коллектива, но и от стоимости применяемого сырья и материалов, объемов кооперирования поставок и др. Этот недостаток устраняется при исчислении выработки на основе нормативной чистой продукции.
    В ряде отраслей промышленности (швейной, консервной и др.) производительность труда определяется по нормативной стоимости обработки. Она включает в себя нормативы затрат на основную заработную плату с начислениями, общехозяйственные и общепроизводственные расходы (по нормативам).
    Показатели выработки зависят не только от метода измерения объема производства, но и от единицы измерения рабочего времени. Выработка может быть определена на один отработанный человеко-час (часовая выработка), на один отработанный человеко-день (дневная выработка) или на одного среднесписочного работника в год, квартал или месяц (годовая, квартальная или месячная выработка). На предприятиях России основным показателем является годовая выработка, в ряде зарубежных стран часовая.
    Трудовой метод определения выработки называют еще методом нормированного рабочего времени. Выработка при этом определяется в нормо-часах. Данный метод применяется преимущественно на отдельных рабочих местах, в бригадах, на участках, а также в цехах при выпуске разнородной и не завершенной производством продукции.
    Преимущество показателя трудоемкости состоит в том, что он позволяет судить об эффективности затрат живого труда на разных стадиях изготовления конкретного вида продукции не только по предприятию в целом, но и в цехе, на участке, рабочем месте, т.е. проникнуть в глубину выполнения того или иного вида работ, чего нельзя сделать с помощью показателя выработки, исчисленного в стоимостном выражении.
    Трудовой метод позволяет планировать и учитывать производительность труда на всех стадиях производственного процесса, увязывать и сопоставлять трудозатраты отдельных участков (цехов) и рабочих мест с показателями производительности труда в целом по предприятию, а также уровни трудовых затрат на разных предприятиях при производстве одинаковой продукции.
    Трудоемкость это затраты рабочего времени на производство единицы продукции. В зависимости от состава включаемых в нее трудовых затрат различают технологическую трудоемкость, трудоемкость обслуживания производства, производственную трудоемкость и трудоемкость управления производством.
    Производственная трудоемкость (Тпр) представляет собой затраты труда рабочих (основных и вспомогательных) и рассчитывается по формуле
    Снижение трудоемкости, нормо-часов

    где Ттехн технологическая трудоемкость, в которую входят все затраты труда основных рабочих, как сдельщиков, так и повременщиков;
    Т об трудоемкость обслуживания производства, определяемая затратами труда вспомогательных рабочих.
    Полная трудоемкость (Тп) представляет собой затраты труда всех категорий ППП и определяется по формуле
    Тп = Т техн + Тоб + Ту,
    где Ту трудоемкость управления производством, включающая затраты труда ИТР, служащих, МОП и охраны.
    Под полной трудоемкостью единицы продукции (Тд) понимается сумма всех затрат живого труда на изготовление единицы продукции, измеряемая в человеко-часах:
    Снижение трудоемкости, нормо-часов

    При планировании производительности труда на предприятии могут быть использованы различные методы. Наиболее распространенным из них является метод планирования производительности труда по факторам. При этом методе расчет производится путем определения экономии рабочего времени или численности работающих по всем факторам роста производительности труда в соответствии с их типовой классификацией.
    Экономия затрат по каждому фактору определяется сопоставлением затрат труда (численности работающих) на плановый объем продукции при старых (базовых) и новых (плановых) условиях производства.
    После расчета экономии устанавливается плановая численность и определяется рост производительности труда на предприятии.
    Для расчета роста производительности труда на предприятии принята следующая классификация факторов ее роста:
    1. Технический прогресс, включающий механизацию и автоматизацию производственных процессов и внедрение передовой технологии на базе нового оборудования и на действующем оборудовании; модернизацию действующего оборудования; изменение конструкции изделий, качества сырья, применение новых видов материалов и топлива; повышение качества продукции.
    2. Улучшение организации производства, труда и управления, в том числе: увеличение норм и зон обслуживания; изменение специализации производства; совершенствование управления производством (укрепление цехов, переход на бесцеховую структуру и т.п.); сокращение потерь рабочего времени; снижение брака и отклонений от нормативных условий работы.
    3. Влияние природных условий: залегание угля, нефти, торфа, железной руды и другого минерального сырья; содержание полезного компонента в рудах; изменение глубины разработки и др.
    4. Изменение объема производства и относительное уменьшение численности ППП (рабочих, руководителей, специалистов и служащих).
    5. Изменение структуры производства и прочие факторы, в том числе: изменение удельного веса полуфабрикатов и кооперированных поставок; изменение доли продукции разной трудоемкости; изменение доли различных методов производства, способов добычи полезных ископаемых; изменение доли вновь осваиваемой продукции.
    При определении роста производительности труда по экономии рабочей силы вначале устанавливается численность работающих (Nо) исходя из планового объема производства и выработки, достигнутой в отчетном периоде:
    Снижение трудоемкости, нормо-часов

    где Vпл плановый объем продукции;
    Во выработка продукции в отчетном (базовом) периоде.
    Затем определяется, какая экономия в рабочей силе будет получена в плановом периоде. Подсчитав экономию рабочей силы, рассчитывают плановую численность работающих и плановый рост производительности труда по формуле
    Снижение трудоемкости, нормо-часов

    где П плановый рост производительности труда;
    N экономия численности работающих;
    No расчетная численность работающих, определяемая исходя из планового объема производства и выработки в базисном периоде.
    Снижение трудоемкости, нормо-часов

    где
    экономия численности работающих по факторам.
    Экономия в затратах труда в результате внедрения различных мероприятий может выражаться в нормо-часах или численности рабочих. Экономия в численности рабочих при расчете эффективности мероприятий в нормо-часах определяется по следующей формуле:
    Снижение трудоемкости, нормо-часов

    где N1 экономия численности работников;
    Т н снижение трудоемкости, нормо-часов;
    Ф годовой фонд рабочего времени 1 рабочего;
    Kн коэффициент выполнения норм.
    Экономия рабочей силы в связи с внедрением новой техники и технологии определяется путем сопоставления численности работников, приходящейся на плановый объем продукции, при действующем оборудовании и технологии и при внедрении нового.
    Снижение трудоемкости, нормо-часов

    где О общее число единиц оборудования в плановом периоде;
    О1 число единиц нового оборудования;
    П 1 процент превышения производительности нового оборудования по сравнению с действующим;
    Кк1 часть календарного года с момента применения нового оборудования и до конца года;
    О2 число единиц модернизированного оборудования;
    П2 процент превышения производительности модернизированного оборудования по сравнению с действующим;
    Кк2 часть календарного года с момента применения модернизированного оборудования и до конца года;
    Оз число единиц оборудования, не подвергавшегося модернизации и замене;



    Ставка дисконта принимается на уровне 12%.


    Срок окупаемости рекомендуется определять с использованием дисконтирования. Наряду с перечисленными критериями в ряде случаев возможно использование и ряда других: интегральной эффективности затрат, точки безубыточности, простой нормы прибыли, капиталоотдачи и т.д. Но ни один из перечисленных критериев сам по себе не является достаточным для принятия проекта. Решение об инвестировании средств в проект должно приниматься с учетом значений всех перечисленных критериев и интересов всех участников инвестиционного проекта.
    Пример. На предприятии возникла идея осуществить техническое перевооружение одного из ведущих цехов с целью снижения издержек производства и улучшения качества продукции.
    На основе разработки бизнес-плана было установлено, что на осуществление технического перевооружения цеха потребуются инвестиции в размере CI == 1,5 млрд руб., а доходы Ri (денежные потоки) по годам составят: 1-й год 0,5 млрд руб.; 2-й год 1; 3-й год 1,7; 4-й год 2,5; 5-й год 3,2 млрд руб. Нормативный срок службы оборудования составляет 5 лет. Ставка дисконта принимается на уровне 12%.
    Требуется определить показатели эффективности инвестиций на техническое перевооружение цеха.
    Решение
    1. Определяем текущую стоимость (RV):
    Ставка дисконта принимается на уровне 12%.

    Чистая текущая стоимость составляет 4,353 млрд руб., т.е. является положительной. Следовательно, экономически целесообразно вкладывать инвестиции на техническое перевооружение цеха.
    2. Определяем индекс рентабельности (PI):
    Ставка дисконта принимается на уровне 12%.

    В нашем случае РI 1, следовательно, проект по техническому перевооружению цеха следует осуществлять.
    3. Определяем внутреннюю норму рентабельности (IRR). Она, как известно, определяется методом итерации (перебора), с тем чтобы PV приблизительно равнялась величине CI. Для этого возьмем разные ставки дисконта (больше, чем Е = 0,12) и для каждой из них рассчитаем PV. В результате получим:
    Ставка дисконта принимается на уровне 12%.

    При ставке дисконта Е = 50% PV почти равна CI, а разница составляет: (1,4751,5) = 0,025 млрд руб. Следовательно, IRR находится на уровне 4850%.
    IRR значительно превышает принятую в расчетах ставку дисконтирования (50% 12%), следовательно, проект является привлекательным для инвестора.
    8.5. ПРОЕКТИРОВАНИЕ КАПИТАЛЬНОГО СТРОИТЕЛЬСТВА Капитальные вложения являются источником для капитального строительства.
    Под капитальным строительством понимают процесс создания основных фондов путем строительства новых, расширения, реконструкции и технического перевооружения действующих предприятий и других объектов как производственного, так и непроизводственного характера.
    Сооружению того или иного объекта предшествуют экономическое обоснование и проектирование.
    Проектирование промышленного строительства имеет очень важное значение, так как от качества проекта зависит эффективность работы будущего предприятия.
    Проект строительства включает необходимый комплекс технической и экономической документации. Это не только схемы и чертежи, дающие графическое изображение будущего предприятия, цеха или сооружения, но и технические и экономические расчеты, подтверждающие целесообразность и экономическую эффективность намеченного строительства.
    В проекте строительства промышленного предприятия устанавливаются номенклатура его продукции, производственная мощность, место строительства, сырьевая, топливная и энергетическая база, хозяйственные связи; определяются технология производства, техническая оснащенность проектируемого предприятия, использование отведенной для строительства территории; намечаются экономические показатели по строительству и эксплуатации сооружаемого предприятия.
    Техническая и экономическая части проекта взаимосвязаны и образуют единый технико-экономический документ, без которого не может осуществляться строительство.
    Существуют следующие стадии проектирования:
    1) технико-экономическое обоснование (ТЭО);
    2) технический проект (устанавливает основные проектные решения, определяет общую сметную стоимость строительства и основные технико-экономические показатели будущего предприятия);
    3) рабочие чертежи, которые выполняются на основе технического проекта.
    Для повышения экономической эффективности проектных решений предварительно осуществляется ТЭО необходимости и целесообразности намечаемого строительства или расширения и реконструкции действующего предприятия.
    В нем приводятся следующие сведения: характеристика будущего предприятия, его мощность, номенклатура выпускаемой продукции, ее конкурентоспособность, обоснование намечаемого района и пункта строительства, соображения о производственном кооперировании с другими предприятиями, рынок сбыта, необходимая величина капитальных вложений и др.
    За последние годы во многих случаях вместо ТЭО стал разрабатываться бизнес-план.
    Проектирование может вестись как в одну, так и в две стадии. При сложном и дорогостоящем объекте проектирование осуществляется в две стадии: сначала разрабатывается технический проект, а затем уже рабочие чертежи. Если объект небольшой и несложный, то проектирование ведется в одну стадию: разработка технического проекта и разработка рабочих чертежей совмещаются.
    Проектирование сложных объектов, как правило, осуществляют специализированные проектные организации (институты), которые по своей специфике могут быть отраслевыми и межотраслевыми.
    Технический проект промышленного предприятия состоит из следующих частей: 1) экономическая часть, 2) генеральный план и транспорт, 3) технологическая часть, 4) строительная часть, 5) организация строительства, 6) сметная документация.
    Технический проект со сводным сметно-финансовым расчетом после его утверждения в установленном порядке является основанием для финансирования строительства, заказа основного оборудования и разработки рабочих чертежей.
    8.6. НЕКОТОРЫЕ НАПРАВЛЕНИЯ И ПУТИ ПОВЫШЕНИЯ ЭФФЕКТИВНОСТИ КАПИТАЛЬНЫХ ВЛОЖЕНИЙ И КАПИТАЛЬНОГО СТРОИТЕЛЬСТВА Принятие решения на основе тщательного экономического обоснования целесообразности вложения инвестиций на развитие производства является важным, но не окончательным моментом в эффективном использовании капитальных вложений, так как впереди предстоит капитальное строительство, т.е. реализация выбранного проекта.
    Проектирование и непосредственное сооружение объекта, т.е. капитальное строительство, самым существенным образом влияют на эффективность использования капитальных вложений.
    Повышение эффективности капитальных вложений и капитального строительства на предприятии может быть достигнуто за счет:
    разработки хорошего проекта и сокращения срока проектирования;
    сокращения срока строительства;
    применения прогрессивных строительных конструкций, деталей и строительных материалов;
    широкого применения там, где это возможно и целесообразно, хороших типовых проектов, которые уже оправдали себя на практике. Применение типовых проектов позволяет в значительной мере снизить затраты и сроки на проектирование объекта, а также резко уменьшается риск, что будет построен неудачный объект;
    механизации строительно-монтажных и отделочных работ;
    широкого применения монолитного домостроения вместо панельного;
    недопущения распыления капитальных вложений по многим строительным объектам;
    применения в проекте самой передовой техники и технологии с учетом отечественных и зарубежных достижений.
    Выбор тех или иных направлений и путей повышения эффективности капитальных вложений зависит от специфики предприятия и конкретных условий.
    Выводы
    Под инвестициями понимаются денежные средства государства, предприятий и физических лиц, направляемые на создание, обновление основных фондов, на реконструкцию и техническое перевооружение предприятий, а также на приобретение акций, облигаций и других ценных бумаг и активов.
    «Инвестиции» более широкое понятие, чем капитальные вложения. Они охватывают так называемые реальные инвестиции (капитальные вложения) и портфельные (финансовые) инвестиции. Инвестиции играют очень важную роль в экономике любого государства. Они являются основой для:
    расширенного воспроизводственного процесса;
    ускорения НТП (технического перевооружения и реконструкции действующих предприятий, обновления основных производственных фондов, внедрения новой техники и технологии);
    повышения качества продукции и обеспечения ее конкурентоспособности, обновления номенклатуры и ассортимента выпускаемой продукции;
    снижения издержек на производство и реализацию продукции, увеличения объема продукции и прибыли от ее реализации.
    Планированию инвестиций должен предшествовать глубокий анализ их экономического обоснования с учетом риска и инфляционных процессов.
    Контрольные вопросы
    1. Чем отличаются инвестиции от капитальных вложений?
    2. Какую роль играют инвестиции в экономике любого государства?
    3. Что характеризует технологическая, воспроизводственная, отраслевая и территориальная структура капитальных вложений?
    4. В чем смысл современного подхода при экономическом обосновании инвестиций?
    5. Какова методология планирования инвестиций на предприятии?
    6. Как можно повысить эффективность капитальных вложений при реализации какого-либо проекта?
    7. Каковы основные источники финансирования капитальных вложений на предприятии?



    Сумма начисления амортизационных отчислений


    Норма амортизации представляет собой установленный государством годовой процент погашения стоимости основных фондов и определяет сумму ежегодных амортизационных отчислений. Иначе говоря, норма амортизации это отношение суммы годовых амортизационных отчислений к стоимости ОПФ, выраженное в процентах.
    Нормы амортизации устанавливаются и периодически пересматриваются государством, они едины для всех предприятий и организаций независимо от их форм собственности и форм хозяйствования.
    Амортизационная политика является составной частью общей научно-технической политики государства. Устанавливая норму амортизации, порядок ее начисления и использования, государство регулирует темпы и характер воспроизводства в отраслях, а именно через норму амортизации задается скорость обесценивания, а через нее скорость обновления основных фондов. Для действовавшей в СССР системы амортизации характерны были следующие черты: единые нормы амортизации; прямолинейный равномерный метод начисления; наличие двух норм амортизации на капитальный ремонт и на замену (реновацию); включение амортизационных отчислений в себестоимость продукции; начисление амортизации в течение фактического срока службы средств труда; перераспределение государством амортизационных отчислений на реновацию между предприятиями на безвозмездной основе.
    С 1991 г. существенно изменены порядок и нормы амортизационных отчислений в соответствии с постановлением СМ СССР от 22 октября 1990 г. «О единых нормах амортизационных отчислений на полное восстановление основных фондов народного хозяйства».
    Во-первых, введены новые нормы амортизации, которые по многим видам основных фондов существенно отличаются от прежних.
    Во-вторых, отменены амортизационные отчисления на капитальный ремонт, теперь предприятия все виды ремонтов осуществляют за счет себестоимости продукции и при необходимости могут создавать резервный фонд затрат на ремонт.
    В-третьих, по машинам, оборудованию, транспортным средствам по истечении нормативного срока службы прекращается начисление амортизации. Раньше начисление производилось в течение всего периода эксплуатации основных фондов независимо от того, на какой срок службы они были рассчитаны. По остальным основным фондам (зданим, сооружениям и т.п.) порядок начисления амортизации пока остался прежним, т.е. амортизация начисляется до тех пор, пока они находятся в эксплуатации (за весь фактический их срок службы).
    В-четвертых, в целях повышения заинтересованности предприятий в обновлении основных фондов впервые в нашей хозяйственной практике допускается применение ускоренной амортизации их активной части (машин, оборудования, транспортных средств), т.е. полное перенесение балансовой стоимости этих фондов на издержки производства и обращения в более короткие сроки (нормы амортизации при этом повышаются, но не более чем вдвое).
    Малым предприятиям, кроме того, разрешено дополнительно списывать на издержки производства в первый год эксплуатации до 50% стоимости основных фондов, срок службы которых превышает 3 года.
    Ускоренная амортизация позволяет:
    ускорить процесс обновления активной части основных производственных фондов на предприятии, а это уже немало;
    накопить достаточные средства (амортизационные отчисления) для технического перевооружения и реконструкции производства;
    уменьшить налог на прибыль;
    избежать морального и физического износа активной части основных производственных фондов, т.е. поддерживать их на высоком техническом уровне, что, в свою очередь, создает хорошую основу для увеличения объема производства, выпуска более качественной продукции и снижения ее себестоимости.
    Надо иметь в виду, что метод ускоренной амортизации распространяется только на активную часть основных фондов, нормативный срок службы которых превышает 3 года. Кроме того, ускоренная амортизация пока действует только по отношению к основным фондам, которые используются при производстве вычислительной техники, новых прогрессивных видов материалов, приборов и оборудования, для расширения экспорта. В остальных случаях предприятие решает вопрос о применении ускоренной амортизации с согласия Министерства экономики РФ.
    Амортизационные отчисления, начисленные указанным методом, должны использоваться на предприятии строго по целевому назначению. В случае их нецелевого использования дополнительная сумма амортизации, соответствующая расчету по ускоренному методу, включается в налогооблагаемую базу и подлежит налогообложению в соответствии с действующим законодательством.
    В-пятых, амортизационные отчисления предприятия полностью остаются в его распоряжении.
    Весьма важным положительным нововведением в системе амортизационных отчислений является то, что с 1992 г. амортизируются не только средства труда (основные фонды), но и нематериальные активы. Тем самым расширяется сфера амортизации, и это очень важно, поскольку в современном производстве только использование научно-технической продукции дает возможность сохранять конкурентоспособность, иметь прибыль и сверхприбыль.
    Согласно действующему положению, к нематериальным активам относятся: права пользования земельными участками, природными ресурсами, патенты, лицензии, ноу-хау, программные продукты, монопольные права и привилегии, торговые знаки, торговые марки и др.
    Нематериальные активы учитываются:
    внесенные учредителями в счет их вкладов в уставный фонд предприятия - по стоимости, определенной на основе договоренности сторон;
    приобретенные за плату у других предприятий и лиц - по фактически произведенным затратам на приобретение и подготовку их к использованию;
    полученные от других предприятий и лиц безвозмездно - по стоимости, определенной экспертным путем.
    Эти оценки и затраты составляют первоначальную стоимость нематериальных активов, по которой они, как и основные фонды, зачисляются на баланс.
    Амортизация (износ) по нематериальным активам исчисляется ежемесячно по нормам, рассчитанным самим предприятием исходя из срока полезного использования данного актива и в течение данного срока. По нематериальным активам, по которым невозможно определить срок полезного использования, норма износа устанавливается в расчете на 10 лет. Отчисления включаются в себестоимость продукции.
    С 1 января 1998 г. согласно Положению по бухгалтерскому учету «Учет основных средств» ПБУ 6/97 амортизация объектов основных средств может производиться одним из следующих способов начисления амортизационных отчислений: линейным способом уменьшаемого остатка; способом списания стоимости по сумме чисел лет срока полезного использования; способом списания стоимости пропорционально объему продукции (работ).
    Применение одного из способов по группе однородных объектов основных средств производится в течение всего его срока полезного использования. В течение срока полезного использования объекта основных средств начисления амортизационных отчислений не приостанавливается, кроме случаев их нахождения на реконструкции и модернизации по решению руководителя организации и основным средствам, переведенным по решению руководителя организации на консервацию на срок более 3 месяцев.
    Годовая сумма начисления амортизационных отчислений определяется:
    при линейном способе - исходя из первоначальной стоимости объекта основных средств и нормы амортизации, исчисленной исходя из срока полезного использования этого объекта;
    при способе уменьшаемого остатка - исходя из остаточной стоимости объекта основных средств на начало отчетного года и нормы амортизации, исчисленной исходя из срока полезного использования этого объекта;
    при способе списания стоимости по сумме чисел лет срока полезного использования - исходя из первоначальной стоимости объекта основных средств и годового соотношения, где в числителе -число лет, остающихся до конца срока службы объекта, а в знаменателе - сумма чисел лет срока службы объекта;
    при способе списания стоимости пропорционально объему продукции (работ) - исходя из натурального показателя объема продукции (работ) в отчетном периоде и соотношения первоначальной стоимости объекта основных средств и предполагаемого объема продукции (работ) за весь срок полезного использования объекта основных средств.
    В течение отчетного года амортизационные отчисления по объектам основных средств начисляются ежемесячно независимо от применяемого способа начисления в размере 112% годовой суммы. В сезонных производствах годовая сумма амортизационных отчислений по основным средствам начисляется равномерно в течение периода работы организации в отчетном году.
    Планирование амортизационных отчислений на предприятии имеет важное значение, так как это позволяет определить их величину на планируемый период; оно необходимо для планирования себестоимости продукции и финансовых результатов работы предприятия.
    Исходными данными для определения амортизационных отчислений на планируемый период являются: показатели стоимости основных фондов на его начало; годовые и перспективные планы по вводу в действие основных фондов и фондов, поступающих от других предприятий и организаций по уже состоявшимся решениям; данные о проектируемом выбытии основных фондов; утвержденные нормы амортизационных отчислений.



    Суммарные технологические отходы и потери


    qн чистая масса, или полезный расход;
    q1 суммарные технологические отходы и потери;
    q2 прочие организационно-технические отходы и потери.
    Первым и основным элементом нормы является чистая масса изделия, т.е. полезное потребление материальных ресурсов на производство продукции, или объем работ (без учета каких-либо отходов и потерь).
    Второй элемент нормы расхода суммарные технологические отходы и потери учитывает дополнительные материальные затраты, обусловленные особенностями технологического процесса производства продукции.
    Отходы это остатки исходных материалов, которые нельзя использовать для производства той продукции, при которой они возникли. По характеру возможного их применения отходы классифицируются на используемые (возвратные) и неиспользуемые (безвозвратные).
    Возвратные отходы это остатки материальных ресурсов, которые либо могут найти применение на данном предприятии, либо могут быть реализованы для дальнейшего использования другим предприятиям или населению.
    К неиспользуемым относятся отходы, которые не годятся для производственного потребления в качестве исходного материала, но могут найти применение как вторичные ресурсы (стружка, металлолом, макулатура и т.д.).
    Потери это та часть материала, которая не может быть использована на данном этапе технического развития производства. К ним относятся, например, потери металла на угар, на травление, потери лесоматериалов, связанные с припусками на усушку, и др.
    Третий элемент нормы прочие организационно-технические отходы и потери материальных ресурсов, обусловленные причинами, не зависящими от технологического процесса.
    Под структурой нормы расхода понимаются состав и количественное соотношение отдельных элементов, образующих норму расхода материальных ресурсов на производство единицы продукции. Ее совершенствование заключается в увеличении доли полезного расхода в норме.
    Кроме нормы существует и понятие «норматив». Хотя нормы и нормативы имеют определенную общность и выступают в качестве плановой меры количественных затрат, тем не менее надо различать содержание этих понятий и разную методику их расчета.
    Нормативы расхода это поэлементные составляющие нормы. Они выражают обобщенное значение затрат материалов, отнесенных на физическую единицу измерения (м3, м2, пог. м, т) или на технический параметр (на единицу мощности, грузоподъемности, емкости ковша экскаватора, пробега и работы транспортных средств и т.д). В отличие от нормы расхода понятие «нормативы» применяют безотносительно к единице конкретной продукции.
    Их назначение состоит в том, чтобы служить основой для установления норм или выступать в качестве норм, определяющих расход тех или иных материальных ресурсов на единицу поверхности, массы, длины. При этом нормативы расхода устанавливают в зависимости от назначения технических средств с учетом особенностей и характера выполняемых ими функций. Например, рабочие и силовые машины по затратам материалов могут иметь нормативы расхода в расчете на единицу мощности (кг/л.с.); транспортные средства на единицу мощности и тонно-километровую работу (кг/л.с., т/км); грузоподъемные машины на единицу грузоподъемности и вылет стрелы груза (кг/тм); экскаваторы на единицу объема ковша и расстояние перемещаемого груза (кг/м3, м) и т.д.
    Различают следующие методы нормирования материальных ресурсов: расчетно-аналитический, отчетно-статистический и опытный.
    Расчетно-аналитический метод расчета индивидуальных норм расхода сырья, материалов, топлива и энергии основан на выполнении поэлементных расчетов по данным проектно-конструкторской, технологической и другой технической документации. При этом методе полезный расход материальных ресурсов на деталь, сборочный узел, единицу продукции рассчитывается по данным рабочих чертежей, конструкторских специфических рецептур, технологических регламентов, стхиометрических уравнений химических реакций. Нормируемые величины трудноустранимых технологических отходов и потерь определяются на основе карт технологических процессов, технологических карт раскроя, карт согласования обработки, актов взвешивания заготовок.
    Этот метод является наиболее прогрессивным, позволяющим определить научно обоснованные нормы расходов, так как сочетает технико-экономические расчеты с анализом конкретных производственных условий. В связи с этим его применение наиболее целесообразно в нормировании сырья, основных материалов и ТЭР.
    Опытный метод способ разработки индивидуальных норм расхода сырья, материалов, топлива и энергии, основанный на замерах их расхода и объемов произведенной продукции (работ) в лабораторных и опытно-производственных условиях. При этом необходимо стремиться к определению значений раздельно по каждому элементу состава нормы расходов.
    Условия проведения опытов должны быть наиболее типичными для данной технологии производства и вместе с тем максимально приближенными к тем условиям, которые возникнут после реализации в планируемом периоде каких-то мероприятий по совершенствованию производства. Опыт должен производиться максимально возможное число раз на технически исправном и отлаженном оборудовании и в режимах, предусмотренных технологическими регламентами и инструкциями. Нормы расхода устанавливаются путем отбора наиболее достоверных результатов и вычисления среднего значения методами математической статистики.
    Этот метод целесообразно применять для нормирования расхода вспомогательных материалов, сырья и материалов в производствах, основанных на химических технологиях, на предприятиях добывающих отраслей и в строительстве.
    Отчетно-статистический метод способ разработки индивидуальных и групповых норм расхода сырья, материалов, топлива и энергии, основанный на анализе данных статистической (бухгалтерской, оперативной) отчетности о фактическом их расходе на единицу продукции (работ) на прошлый период. При расчете указанным способом необходимо учитывать сопоставимость конструкций, технологии и организации производства, а также возможность полного и точного отражения в отчетности фактических расходов материальных ресурсов в предшествующие годы.
    При этом методе рекомендуются два основных варианта расчета норм расхода:
    1) исчисляется величина фактического расхода за последний отчетный год, которая корректируется на определенную величину вследствие планируемых мероприятий по совершенствованию техники, технологии и организации производства;
    2) по данным фактических удельных расчетов материала формируется интегральный ряд динамики показателей за прошлые годы. Расчет нормы расхода сводится к нахождению уровня ряда за его пределами статистическими методами экстраполяции.
    Расход материальных ресурсов в значительной мере зависит от совершенства нормативной базы на предприятии. Поэтому ее систематический анализ позволяет знать ее состояние и своевременно осуществлять мероприятия по ее совершенствованию с целью более рационального использования материальных ресурсов на предприятии.
    Анализ состояния нормативной базы на предприятии покажем на условном примере. Допустим, на предприятии для изготовления определенной продукции сложилась следующая ситуация (табл. 11.2).
    Таблица 11.2

    Наименование деталей
    Норма расхода, кг

    Удельный расход на деталь, кг
    mi
    Цена 1 кг металла, тыс.руб.
    Цi
    Фактический объем выпускаемых деталей, тыс. шт
    qi

    %
    №1
    2,0
    2,2
    1,5
    150
    110,0
    №2
    3,0
    2,5
    2,0
    200
    83,3
    №3
    12,0
    15,0
    1,0
    250
    125,0
    №4
    25,0
    20,0
    3,0
    300
    80,0

    Степень выполнения норм расхода по отдельным деталям (индивидуальный индекс выполнения норм) на этом заводе следующая:
    Суммарные технологические отходы и потери

    Групповой (общий) индекс выполнения норм расхода составит 0,937 (93,7%).
    Суммарные технологические отходы и потери

    Общая экономия металла на заводе:
    Суммарные технологические отходы и потери

    или 6,3%.
    Экономия металла в денежном выражении:
    Суммарные технологические отходы и потери

    Суммарные технологические отходы и потери

    абсолютная экономия металла в денежном выражении на одно изделие составила:
    = 9683,3 = 12,7 тыс. руб.
    На основе этого анализа можно сделать следующие выводы.
    1. В среднем нормы расхода металла на заводе при изготовлении деталей выполняются. Фактический средний расход металла на одну деталь составляет 93,7% нормы, т.е. экономия металла равна 6,3%.
    2. Но, несмотря на это, на заводе нормативная база нуждается в совершенствовании.
    Этот вывод основывается на том, что степень выполнения норм расхода металла по отдельным деталям (индивидуальный индекс выполнения норм) резко колеблется (от 80 до 125%). Если бы эти колебания были в пределах ± 15 от 100%, то нормативную базу можно было бы признать удовлетворительной. Таким образом, нормативная база на предприятии требует пересмотра.
    Для этого прежде всего необходимо выяснить, почему удельный расход металла на изготовление деталей № 2, 3, 4 так сильно отличается от нормы. Выяснение причин этих отклонений, приведение в соответствие техники, технологии и организации производства к нормативу, а затем пересмотр норм расхода металла на указанные детали будут способствовать совершенствованию нормативной базы и более рациональному использованию металла на заводе.
    11.5. НОРМИРОВАНИЕ ОБОРОТНЫХ СРЕДСТВ Под нормированием оборотных средств понимается процесс определения минимальной, но достаточной (для нормального протекания производственного процесса) величины оборотных средств на предприятии.



    Сводный индекс по техническим параметрам


    этот метод не учитывает, насколько хороши эти товары в эксплуатации. Четвертый способ. При этом методе уровень конкурентоспособности определяется на основе сопоставления как технических, так и экономических параметров. При этом из технических параметров выбираются только такие, которые в наибольшей степени интересуют покупателя. Далее рассчитываются индексы по каждому техническому параметру, а на их основе определяются сводные параметрические индексы (Iтп) по каждому сравниваемому изделию:

    где Ii индивидуальный индекс i-то технического параметра;
    аi вес i-го параметра.
    Создание весовой базы технических параметров это наиболее ответственная и сложная часть всего анализа конкурентоспособности. Основным источником данных для построения весовой базы являются рыночные исследования спрос потребителей, выставка образцов. На практике чаще всего помимо оценки мнения потребителей (а иногда и без таковой) оценку дают специалисты, связанные со сбытом товаров, в той или иной степени знакомые с требованиями потребителей.
    Сопоставление сводных технических параметров по каждому изделию дает возможность определить наиболее предпочтительное из них для покупателя. Более конкурентоспособным считается то изделие, у которого значение Iтп является максимальным.
    Сводный индекс по экономическим параметрам (Iэп) определяется из выражения
    Сводный индекс по техническим параметрам

    где Цпi, ЦПo цена потребления соответственно сравниваемого и базового образца.
    Если Iэп 1, то это означает, что сравниваемый образец является более конкурентоспособным по сравнению с базовым по экономическим параметрам; если Iэп 1 наоборот; если Iэп = 1 изделия равнозначны.
    Для определения уровня конкурентоспособности как по техническим, так и по экономическим параметрам определяется интегральный показатель конкурентоспособности (Ки):
    Сводный индекс по техническим параметрам

    где Iтп сводный индекс по техническим параметрам;
    Iэп сводный индекс по экономическим параметрам.
    Данный метод является более предпочтительным по сравнению с предыдущим, так как позволяет учитывать, насколько хороши сравниваемые изделия в эксплуатации.
    Сводный индекс по техническим параметрам
    7.4. ФАКТОРЫ, ВЛИЯЮЩИЕ НА КАЧЕСТВО ПРОДУКЦИИ На каждом предприятии на качество продукции влияют самые разнообразные факторы, как внутренние, так и внешние.
    К внутренним факторам относятся такие, которые связаны со способностью предприятия выпускать продукцию надлежащего качества, т.е. зависят от деятельности самого предприятия. Они многочисленны, и их целесообразно классифицировать в следующие группы: технические, организационные, экономические, социально-психологические.
    Технические факторы самым существенным образом влияют на качество продукции. Поэтому внедрение новой техники и технологии, применение новых материалов, более качественного сырья материальная основа для выпуска конкурентоспособной продукции.
    Организационные факторы связаны с совершенствованием организации производства и труда, повышением производственной дисциплины и ответственности за качество продукции, обеспечением культуры производства и соответствующего уровня квалификации персонала, внедрением системы управления качеством и его сертификации, улучшением работы службы ОТК и другими организационными мероприятиями.
    Экономические факторы обусловлены затратами на выпуск и реализацию продукции, затратами на обеспечение необходимого уровня качества продукции, политикой ценообразования и системой экономического стимулирования персонала за производство высококачественной продукции.
    Социально-психологические факторы в значительной мере влияют на создание здорового социально-психологического климата в коллективе, нормальных условий для работы, воспитание персонала в духе преданности и гордости за марку своего предприятия, моральное стимулирование работников за добросовестное отношение к работе все это важные составляющие для выпуска конкурентоспособной продукции. Иногда даже трудно понять, какие факторы более важны для решения рассматриваемой проблемы технические или социально-психологические.
    Внешние факторы в условиях рыночных отношений способствуют формированию качества продукции (если предприятие не является монополистом). К ним в первую очередь относятся: требования рынка, т.е. покупателей; конкуренция; нормативные документы в области качества продукции; необходимость завоевания достойного места как на внутреннем, так и на внешнем рынке; обеспечение имиджа фирмы в среде покупателей, деловых людей и др.
    В основном все факторы, как внутренние, так и внешние, тесно связаны между собой и все они влияют на качество продукции.
    Всегда необходимо помнить, что на каждом этапе развития предприятия степень влияния этих факторов неодинакова. Поэтому соответствующие службы предприятия должны их ранжировать по степени влияния и отдавать предпочтение тем из них, которые в наибольшей степени влияют на качество продукции. Это позволит с меньшими затратами и более эффективно управлять качеством продукции.
    Неотъемлемым атрибутом рыночной экономики является конкуренция, и она играет очень важную позитивную роль. Конкуренция для предприятий является значительной побудительной силой для ускорения НТП и выпуска конкурентоспособной продукции. Она заставляет их не только внедрять все новое и передовое, но и наиболее рационально использовать все имеющиеся ресурсы на предприятии.
    Конкуренция в широком смысле слова означает соперничество в любой сфере деятельности. Если рассматривать конкуренцию с чисто экономических позиций, то она означает соперничество между коммерческими организациями за наиболее выгодные условия производства и сбыта, за получение более выгодного заказа с целью упрочения позиций на рынке и получения максимальной прибыли сейчас или в будущем.
    Конкуренция и монополия образуют диалектическую общность, постоянно противостоят друг другу на рынке и являются неотъемлемой чертой рыночных отношений. Стремление победить в конкурентной борьбе ведет к установлению господствующего положения на рынке, захвату рыночной власти, образованию монополий.
    Конкуренция на рынке выступает в различных формах и осуществляется различными методами. Она может быть внутриотраслевой и межотраслевой. В первом случае речь идет о конкуренции между аналогичными товарами, удовлетворяющими одну и ту же потребность, но различающимися по цене, качеству и ассортименту.
    Такую конкуренцию можно также назвать межфирменной или предметной.
    Во втором случае в конкурентную борьбу включаются товары различных отраслей, удовлетворяющие различные потребности потребительского и производственного спроса, т.е. речь идет о борьбе за платежеспособный спрос населения и потребности производства.
    По методам осуществления конкуренцию можно подразделить на ценовую и неценовую. Ценовая конкуренция предполагает продажу товаров или предложение услуг по более низким ценам, чем конкуренты. Неценовая конкуренция основана на предложении товаров более высокого качества, с большими надежностью и сроками службы, с более высокой производительностью.
    В последнее время важную роль стали играть такие параметры изделия, как экологичность, энергоемкость, эргономические и эстетические качества, безопасность. Большее, чем раньше, значение стали играть надежность и репутация фирмы-производителя или поставщика, ее престижность. Важными инструментами конкуренции становятся товарные знаки и торговые марки фирм.
    Конкуренция играет очень важную роль в экономике только в том случае, если она добросовестная. К сожалению, встречается и недобросовестная конкуренция. Недобросовестная конкуренция это такие методы конкурентной борьбы, которые связаны с нарушением принятых на рынке норм и правил конкуренции. К таким методам относятся: продажа по ценам ниже себестоимости, или демпинг, с целью подрыва позиций конкурента и дальнейшего вытеснения его с рынка; злоупотребление господствующим положением на рынке, например чрезмерное завышение цен или отказ осуществлять поставки; ложная информация и реклама; недобросовестное копирование (имитация) товаров и продукции конкурентов; нарушение качества, стандартов и условий поставок товаров и услуг.
    Недобросовестная конкуренция в большинстве развитых стран запрещена законом.
    С переходом на рыночные отношения в России начала появляться и довольно часто недобросовестная конкуренция, что связано с монополизацией экономики, неразвитостью законодательной основы в этой области и пассивностью государства в борьбе с этим явлением, что привело к появлению на рынке недоброкачественных продукции и всевозможных услуг.
    Стандартизация и сертификация это основа для выпуска в стране высококачественной продукции.
    В Российской Федерации в 1993 г. приняты законы «О стандартизации», «Об обеспечении единства измерений», «О стандартизации продукции и услуг». Сегодня эти законы вместе с рядом других законодательных актов, в том числе с законами «О защите прав потребителей», «Основами законодательства РФ об охране труда», «Об охране окружающей среды», «О санитарно-эпидемиологическом благополучии населения» и рядом других государственных актов, образовали единое правовое пространство, придав деятельности по стандартизации, метрологии и сертификации преимущественно социальную направленность.



    Темп развития отрасли или комплекса


    Существует и такое понятие, как «промышленный или народнохозяйственный комплекс». В народном хозяйстве функционируют следующие комплексы: аграрно-промышленный (АПК), военно-промышленный (ВПК), машиностроительный, металлургический, химико-лесной, строительный, топливно-энергетический (ТЭК) и др.
    Под промышленным комплексом понимается совокупность определенных групп отраслей, для которых характерны выпуск схожей (родственной) продукции или выполнение работ (услуг). Например, в ТЭК входят угольная, сланцевая, нефтяная, газовая отрасли, а также электроэнергетика. Основная задача ТЭК обеспечение народного хозяйства, а также быта топливом и энергией.
    Под отраслевой структурой промышленности понимаются состав отраслей или комплексов, входящих в промышленность, и их доля в общем объеме промышленного производства. Отраслевая структура промышленности все время находится в движении. На нее влияют следующие факторы:
    ускорение научно-технического прогресса. Именно под воздействием этого фактора образуются новые отрасли промышленности и производства. Так, только за последние годы под влиянием ускорения НТП появились такие отрасли, как комбикормовая промышленность, энергомашиностроение, производство космической техники и др.;
    экономическая политика государства. Государство, осуществляя свою избранную политику, может поддерживать отдельные отрасли промышленности, наиболее значимые в экономическом и социальном плане, и тем самым влиять на темпы их развития;
    наличие в стране полезных ископаемых, пригодных для промышленной разработки. Чем богаче страна теми или иными полезными ископаемыми, тем при прочих равных условиях выше доля добывающих отраслей в общем объеме промышленного производства;
    уровень культуры и материального благосостояния народа. Этот фактор влияет на отраслевую структуру многопланово. От материального уровня жизни народа зависит его способность приобретать товары народного потребления, что является основой для развития отраслей, их производящих. Наличие среднего класса в стране способствует развитию отраслей, производящих товары длительного пользования: автомобилей, холодильников, видеомагнитофонов, радиоаппаратуры и др.;
    традиционно сложившаяся специализация:
    плановая отраслевая структура капитальных вложений, финансируемых из государственного бюджета.
    На отраслевую структуру влияют и другие, менее существенные факторы.
    Для анализа отраслевой структуры промышленности обычно используют следующие показатели:
    1) доля отдельной отрасли или комплекса в общем объеме промышленного производства и ее изменение в динамике;
    2) доля прогрессивных отраслей в общем объеме промышленного производства и ее изменение в динамике. Все отрасли промышленности можно условно разделить на прогрессивные и менее прогрессивные. К прогрессивным отраслям относятся такие, развитие которых обеспечивает ускорение НТП во всем народном хозяйстве.
    От их развития в значительной степени зависит и эффективность всего общественного производства.К прогрессивным отраслям обычно относят машиностроение, электроэнергетику и химическую промышленность. Повышение их доли в динамике означает, что в отраслевой структуре происходят прогрессивные сдвиги, что благотворно сказывается на экономике страны;
    3) коэффициент опережения. Он выражает отношение темпа роста отрасли или отдельного комплекса к темпу роста всей промышленности:
    Темп развития отрасли или комплекса

    где Коп коэффициент опережения;
    Тотр темп развития отрасли или комплекса;
    Тпром темп развития промышленности;
    4) соотношение между добывающими и перерабатывающими отраслями. Опережающее развитие перерабатывающих отраслей промышленности по сравнению с добывающими обычно характеризует положительные тенденции в развитии экономики в стране;
    5) соотношение между группами А и Б. На данном этапе развития экономики страны опережающее развитие группы Б является положительным фактором, так как в период плановой экономики основной упор делался на развитие отраслей группы А, что привело к гипертрофированному состоянию экономики страны и дефициту товаров народного потребления;
    6) доля ВПК в общем объеме промышленного производства. В СССР развитию ВПК уделялось чрезмерно большое внимание, что в конечном итоге привело к тому, что наша промышленность в значительной мере работала на ВПК, а на развитие мирных отраслей не оставалось достаточных средств и сил, что, естественно, существенно сказалось на материальном благосостоянии нашего народа.
    Поэтому в современных условиях, исходя из состояния нашей экономики, внешнеэкономической и политической обстановки в мире, конверсия оборонной промышленности страны является наиболее актуальной проблемой.
    В общем плане отраслевая структура промышленности характеризует:
    уровень индустриального развития страны;
    уровень технического развития страны;
    степень экономической самостоятельности страны;
    уровень производительности общественного труда.
    Изменения отраслевой структуры промышленности в динамике показаны в табл. 3.2.
    Таблица 3.2
    Структура производства продукции по основным отраслям промышленности
    (в ценах 1995 г.; в % к итогу)*



    1985
    1990
    1995
    1996
    1997
    Вся промышленность
    100
    100
    100
    100
    100
    в том числе:





    добывающая
    12,2
    11,3
    15,9
    16,2
    16,4
    обрабатывающая
    87,8
    88,7
    84,1
    83,8
    83,6
    Из всей промышленности по отраслям:





    электроэнергетика
    7,7
    7,7
    12,5
    13,0
    12,6
    топливная промышленность
    13,2
    11,9
    16,6
    17,3
    17,2
    черная металлургия
    8,2
    7,8
    9,3
    9,6
    9,6
    цветная металлургия
    6,3
    5,9
    6,6
    6,7
    7,0
    химическая и нефтехимическая промышленность
    8,7
    7,7
    7,6
    7,4
    7,5
    машиностроение и металлообработка
    20,9
    21,7
    18,1
    18,3
    18,8
    лесная, деревообрабатывающая и целлюлозно-бумажная промышленность
    6,0
    5,9
    5,2
    4,5
    4,6
    промышленность строительных материалов
    5,4
    5,5
    4,9
    4,3
    4,1
    легкая промышленность
    7,0
    6,7
    2,5
    2,1
    2,0
    пищевая промышленность
    10,9
    11,5
    12,1
    12,3
    12,1

    * Промышленность России: Стат. сб./Госкомстат России. - М., 1998.

    Как показывает анализ, за последние годы (1991-1996 гг.) в структурном плане в экономике России произошли как позитивные, так и негативные явления. Позитивным показателем с точки зрения структурных перемен в России считается устойчивое повышение доли услуг в ВВП: с 33% в 1992 г. до 53% в 1995 г. В стране возникли целые секторы экономики, существование которых шесть лет назад казалось немыслимым: банки, страховые, консультационные, аудиторские и инвестиционные компании. Существенным негативным явлением является тот факт, что отраслевая структура промышленности изменилась в сторону повышения доли сырьевых отраслей и отраслей с низкой степенью переработки (см. табл.
    3.2).
    Такие изменения в отраслевой структуре промышленности привели к следующим последствиям:
    ухудшению структуры экспорта;
    повышению морального и физического износа основных производственных фондов;
    замедлению темпов ускорения научно-технического прогресса и снижению технического уровня производства;
    повышению зависимости России от развитых стран в необходимости импорта наукоемкой продукции и технологий.
    В конечном итоге ухудшение отраслевой структуры промышленности отрицательно сказалось на эффективности общественного производства и не способствовало выходу экономики страны из затянувшегося кризиса. Отсюда можно сделать вывод, что государство должно управлять структурными сдвигами в экономике, в том числе и в промышленности, для достижения своих ближайших и дальних перспектив.
    3.3. ЮРИДИЧЕСКИЕ ЛИЦА ПРОМЫШЛЕННОСТИ И ИХ КЛАССИФИКАЦИЯ С 1 января 1995 г. вступил в силу новый Гражданский кодекс Российской Федерации (первая часть), закладывающий правовые основы хозяйствования для субъектов рыночной экономики, которые более четкие, продуманные, устраняющие многие противоречия, имевшие место в действующем законодательстве, а также учитывающие традиции отечественного правопорядка и современный мировой опыт.
    В этом документе по-иному классифицируются юридические лица по организационно-правовым формам хозяйствования и другим признакам, чем в Законе РФ «О предприятиях и предпринимательской деятельности». Поэтому в связи с введением в действие Гражданского кодекса (ГК) утрачивает свою силу Закон РФ «О предприятиях и предпринимательской деятельности», а многие нормативные акты, особенно касающиеся организационно-правовых форм хозяйствования, требуют существенной корректировки на предмет их приведения в соответствие с ГК.
    В ГК по-иному трактуются и многие важнейшие понятия.
    Ранее в законодательстве понятие «юридическое лицо» нередко отождествлялось с понятием «предприятие». ГК РФ исходит из того, что предприятие является не субъектом, а объектом гражданских прав. Предприятием признается имущественный комплекс, используемый для осуществления предпринимательской деятельности. Предприятие в целом или его часть могут быть объектом купли-продажи, залога, аренды, других сделок.
    В ГК дано следующее определение понятия юридического лица.



    Титульные списки строек и объектов.


    руб.). Самым невыгодным вариантом является второй, при котором ставка дивиденда (20%) не покрывает уровень инфляции (25%). В общем плане можно сформулировать следующие правила, которые необходимо учитывать при планировании инвестиций.
    Инвестировать средства имеет смысл:
    если предприятие получит большую выгоду, чем от хранения денег в банке;
    если рентабельность инвестиций превышает темпы инфляции;
    в наиболее рентабельные, с учетом дисконтирования, проекты;
    если обеспечивается наибольшая экономическая выгода с наименьшей степенью риска.
    Если на основе анализа пришли к выводу, что необходимо вложить свободные средства в развитие собственного предприятия, то в этом случае разрабатывается план капитальных вложений.
    План капитального строительства состоит из следующих разделов:
    1. Плановое задание по вводу в действие производственных мощностей и основных фондов.
    2. Объем капитальных вложений и их структура.
    3. Титульные списки строек и объектов.
    4. План проектно-изыскательских работ.
    5. Программа строительно-монтажных работ.
    6. Экономическая эффективность капитальных вложений.
    Важнейшими показателями плана капитального строительства являются: ввод в действие производственных мощностей и основных фондов, сметная стоимость, рентабельность проекта, срок строительства и срок окупаемости.
    План инвестиций на предприятии должен быть тесно увязан с избранной стратегией развития предприятия на перспективу.
    8.4. МЕТОДЫ ЭКОНОМИЧЕСКОГО ОБОСНОВАНИЯ КАПИТАЛЬНЫХ ВЛОЖЕНИЙ В период плановой экономики действовала официально утвержденная методика определения экономической эффективности капитальных вложений. Согласно ей определялась абсолютная и сравнительная эффективность капитальных вложений. Абсолютная эффективность капитальных вложений для различных уровней исчисляется по формулам:
    а) на народнохозяйственном уровне
    Титульные списки строек и объектов.

    где Еп/х коэффициент абсолютной эффективности капитальных вложений на народнохозяйственном уровне;
    Hg прирост национального дохода;
    К капитальные вложения, вызвавшие прирост национального дохода;
    Тor срок окупаемости капитальных вложений;
    б) на отраслевом уровне (Ео)
    Титульные списки строек и объектов.

    где НЧП прирост нормативной чистой продукции;
    в) на уровне предприятий
    для прибыльных предприятий:
    Титульные списки строек и объектов.

    для убыточных предприятий:
    Титульные списки строек и объектов.

    где П прирост прибыли на предприятии за счет вложения инвестиций;
    С1, С2 себестоимость единицы продукции до и после вложения инвестиций;
    V2 объем выпуска продукции после использования капитальных вложений.
    Рассчитанные таким образом показатели абсолютной эффективности капитальных вложений сравнивались с нормативными величинами. Если они были равны или превышали значения нормативных коэффициентов эффективности капитальных вложений, то считалось, что капитальные вложения в экономическом плане обоснованы.
    Значения нормативных коэффициентов капитальных вложений были дифференцированы по отраслям хозяйства и колебались от величины 0,07 до 0,25.
    В современных условиях основной недостаток данной методики заключается в том, что величины нормативных коэффициентов эффективности капитальных вложений в значительной степени занижены. В условиях рыночной экономики их величина должна адекватно изменяться в зависимости от изменения уровня инфляции и быть на уровне процентной ставки или другого аналогичного критерия, например ставки дивиденда.
    Методика определения сравнительной эффективности капитальных вложений основана на сравнении приведенных затрат по вариантам. Согласно этой методике экономически целесообразным вариантом считается тот, который обеспечивает минимум приведенных затрат, т.е.
    Титульные списки строек и объектов.

    где Сi себестоимость продукции по вариантам;
    Кi капитальные вложения по вариантам.
    При этом годовой экономический эффект от реализации лучшего варианта определяется по формуле
    Титульные списки строек и объектов.

    где З1, З2 приведенные затраты по вариантам;
    С1, С2 себестоимость продукции по вариантам;
    К1, К2 капитальные вложения по вариантам.
    Сравнительный коэффициент эффективности капитальных вложений определяется по формулам:
    Титульные списки строек и объектов.

    Если Eср Еп, то из этого следовало, что капитальные вложения в экономическом плане обоснованы.
    Недостатком данной методики является и то, что критерием для определения лучшего варианта являются приведенные затраты, а не прибыль, которая в наибольшей степени отвечает требованиям рыночной экономики. Кроме того, данная методика не может быть использована при обосновании капитальных вложений, направляемых на улучшение качества продукции, так как улучшение качества продукции на предприятии, как правило, ведет к увеличению издержек производства продукции.
    Поэтому большой теоретический и практический интерес представляет методика определения выгодности вложения инвестиций в развитых странах с рыночной экономикой, которая на протяжении десятилетий не претерпела существенных изменений, что свидетельствует, во-первых, о ее глубокой научной обоснованности, во-вторых, о ее подтверждении практикой.
    Основные методические подходы достаточно подробно описаны в экономической литературе западных стран. Известны два метода решения данной проблемы, хотя они имеют и много общего.
    Первый метод связан со сравнением величины инвестиций с величиной получаемого дохода от их использования путем сопоставления цены спроса с ценой предложения. Предприниматель заинтересован во вложении инвестиций, т.е. в приобретении капитального товара, только в том случае, если ожидаемый доход от его использования за определенный период составит не менее величины вложения инвестиций. Но как сравнить эти величины?
    Предприниматель за товар сразу платит определенную сумму, а доход будет получать частями в течение ряда лет. Следует определить, сколько стоит тот доход, который предприниматель может получить в будущем, в момент вложения инвестиций. В мировой практике подобные расчеты называют дисконтированными, а полученную в результате этих расчетов величину называют дисконтированной или текущей стоимостью.
    Дисконтированная стоимость (PV) любого дохода (П) через определенный период (Т) при процентной ставке (r) будет равна:
    Титульные списки строек и объектов.

    Титульные списки строек и объектов.

    где 1, 2, 3,..., nгоды, в течение которых ожидаются ежегодные доходы в размерах П1, П2, П3,..., Пn.
    Из этой формулы следует, что дисконтированная стоимость какой-то суммы будет тем ниже, чем больше срок, через который вкладчик намерен получить искомую сумму П, и чем выше процентная ставка r.
    Выгодность вложения инвестиций, как было уже отмечено, определяется путем сопоставления цены спроса с ценой предложения.
    Цена спроса (ДР) на товар это самая высокая цена, которую мог бы заплатить предприниматель. Она равна дисконтированной стоимости ожидаемого чистого дохода от вложения инвестиций:
    ДР = PV ожидаемого чистого дохода.
    Предприниматель не будет вкладывать инвестиции больше этой суммы (цены спроса), ибо в противном случае ему выгоднее вложить деньги в банк под проценты.
    Цена предложения товара (СР) определяется как сумма издержек производства этого товара и затрат на его реализацию. Как правило, это цена, указанная в прейскуранте, или продажная цена.
    Итак, можно сделать следующий вывод: если цена спроса на капитальный товар превышает цену его предложения, то фирме имеет смысл приобретать дополнительные единицы товара; если цена спроса равна цене предложения, то для предпринимателя будет одинаково правильно любое из инвестиционных решений приобретать или не приобретать дополнительные товары; для предпринимателя невыгодно вкладывать инвестиции, если цена спроса ниже цены предложения.
    Значит, стратегия принятия фирмой инвестиционного решения зависит в конечном итоге от соотношения цены спроса и цены предложения.
    Если все это перевести на более понятные нам термины, то это означает:
    если ДКвыгодно вкладывать инвестиции;
    если Д К невыгодно;
    если Д = Кдостигаются равновыгодные условия,
    где Ддоход (прибыль), который может быть получен за счет реализации какого-то проекта. Он определяется на основе дисконтирования;
    Ккапитальные вложения, необходимые для реализации проекта.
    В нашем случае Д является ценой спроса, Кценой предложения.
    Второй метод определения экономической целесообразности вложения инвестиций связан со сравнением нормы отдачи от инвестиций с процентной ставкой или другими аналогичными критериями.
    Норма отдачи инвестиций определяется по формуле
    Титульные списки строек и объектов.

    Если RORr, то фирме выгодно вкладывать инвестиции, если же ROR r невыгодно. При ROR = r достигаются равновыгодные условия.
    В 1994 г. были изданы Методические рекомендации по оценке эффективности инвестиционных проектов и их отбору для финансирования, которые были разработаны по заданию правительства с целью унификации методов оценки эффективности инвестиционных проектов в условиях перехода экономики России к рыночным отношениям. В этих Методических рекомендациях заложены принципы и сложившиеся в мировой практике подходы к оценке эффективности инвестиционных проектов, адаптированные для условий перехода к рыночной экономике.
    Главными из них являются:
    моделирование потоков продукции, ресурсов и денежных средств;
    учет результатов анализа рынка, финансового состояния предприятия, претендующего на реализацию проекта, степени доверия к руководителям проекта, влияния реализации проекта на окружающую природную среду и т.д.;



    Виды хозяйствующих субъектов и их место в экономике


    Юридическим лицом признается организация, которая имеет в собственном, хозяйственном ведении или оперативном управлении обособленное имущество и отвечает по своим обязательствам этим имуществом, может от своего имени приобретать и осуществлять имущественные и личные неимущественные права, нести обязанности, быть истцом и ответчиком в суде. Юридические лица должны иметь самостоятельный баланс или смету (ст. 48).
    Из этого определения следует, что всякая организация, чтобы быть признанной юридическим лицом, помимо формальных критериев (например, обязательная регистрация учредительных документов) должна обладать в совокупности четырьмя характерными признаками:
    наличие обособленного имущества;
    способность отвечать по обязательствам своим имуществом;
    способность выступать в имущественном обороте от своего имени;
    возможность предъявлять иски и выступать в качестве ответчика в суде, арбитражном суде.
    В экономике функционируют самые различные юридические лица, которые отличаются друг от друга по целому ряду признаков: отраслевой их принадлежности; размерам; степени специализации и масштабам производства однотипной продукции; методам организации производства и степени его механизации и автоматизации; организационно-правовым формам и др.
    Признаками отраслевой принадлежности предприятия служат: характер сырья, потребляемого при изготовлении продукции; назначение и характер готового продукта; техническая и технологическая общность производства; время работы в течение года.
    По характеру потребляемого сырья промышленные предприятия делятся на предприятия добывающей и обрабатывающей промышленности.
    По назначению готовой продукции все предприятия делятся на две большие группы: производящие средства производства и производящие предметы потребления.
    По признаку технологической общности различают предприятия с непрерывным и дискретным процессами производства, с преобладанием механических и химических процессов производства.
    По времени работы в течение года различают предприятия круглогодового и сезонного действия.
    По признаку размеров предприятия делятся на крупные, средние и мелкие.
    По специализации и масштабам производства однотипной продукции предприятия делятся на специализированные, диверсификационные и комбинированные.
    По методам организации производственного процесса предприятия делятся на предприятия, в которых преобладает поточный, партионный и единичный методы организации производственного процесса.
    По признаку деятельности различают предприятия: промышленные, торговые, инвестиционные, транспортные, в сфере услуг и т.д.
    В ГК классификация юридических лиц основана на трех основных критериях:
    1) на праве учредителей (участников) в отношении юридических лиц или имущества;
    2) на цели экономической деятельности юридических лиц;
    3) на организационно-правовой форме юридических лиц.
    В зависимости от того, какие права сохраняют за собой учредители (участники) в отношении юридических лиц или их имущества, юридические лица могут быть разделены на три группы:
    юридические лица, в отношении которых их участники имеют обязательственные права. К их числу относятся:
    хозяйственные товарищества и общества, производственные и потребительские кооперативы;
    юридические лица, на имущество которых их учредители (участники) имеют право собственности, или, иначе, вещное право: государственные и муниципальные унитарные предприятия, в том числе дочерние предприятия, а также финансируемые собственником учреждения;
    юридические лица, в отношении которых их учредители (участники) не могут иметь никаких имущественных прав (ни вещные, ни обязательственные): общественные и религиозные организации (объединения), благотворительные и иные фонды, объединения юридических лиц (ассоциации и союзы).
    Приведенная классификация юридических лиц имеет большое практическое значение, особенно в части выделения первой групы юридических лиц, в отношении которых их участники и учредители имеют лишь обязательственные права.
    В зависимости от целей деятельности всякое юридическое лицо относится к одной из двух категорий:
    коммерческие организации;
    некоммерческие организации.
    Коммерческими организациями признаются юридические лица, преследующие извлечение прибыли в качестве основной цели своей деятельности. Коммерческие организации могут создаваться в форме товариществ и обществ, производственных кооперативов, государственных и муниципальных предприятий.
    Некоммерческие организации не ставят своей целью получение прибыли и распределение ее между участниками.
    Юридические лица, которые относятся к некоммерческим организациям, могут быть созданы в форме потребительских кооперативов, общественных или религиозных объединений, финансируемых собственником учреждений, благотворительных и иных фондов, а также в других формах, предусмотренных законом. Такие юридические лица вправе заниматься предпринимательской деятельностью лишь постольку, поскольку это необходимо для их уставных целей.
    По организационно-правовой форме юридические лица, являющиеся коммерческими организациями, в соответствии с ГК РФ классифицированы следующим образом ( 3.1):
    Виды хозяйствующих субъектов и их место в экономике

    3.1. Виды хозяйствующих субъектов и их место в экономике Российской Федерации
    хозяйственные товарищества полное товарищество, товарищество на вере (коммандитные товарищества);
    хозяйственные общества общества с ограниченной ответственностью, общества с дополнительной ответственностью, акционерные общества (открытого и закрытого типа);
    унитарные предприятия основанные на праве хозяйственного ведения, основанные на праве оперативного управления;
    производственные кооперативы (артели).
    В ГК РФ предприятие не рассматривается в качестве субъекта предпринимательской деятельности, поскольку это политэкономическая категория, лишенная юридического смысла. Поэтому, если в тексте ГК упоминаются государственные и муниципальные предприятия, упор делается на их унитарный характер, т.е. на то, что их уставный фонд является неделимым и полностью принадлежит на праве собственности учредителю государству или муниципальному образованию.
    Не упоминается в ГК и такая организационно-правовая форма, как смешанное товарищество, которое заменено традиционно российским товариществом на вере (коммандитным товариществом).
    В Законе РФ «О введении в действие части первой Гражданского кодекса РФ» предусмотрен механизм плавного перехода к новым формам хозяйствования, что вполне правомерно, так как в противном случае это могло вызвать серьезные негативные последствия. Полный переход на новые формы хозяйствования должен завершиться до 1 июля 1999 г.
    3.4. ОРГАНИЗАЦИОННО-ПРАВОВЫЕ ФОРМЫ ХОЗЯЙСТВОВАНИЯ ЮРИДИЧЕСКИХ ЛИЦ, ИХ СУЩНОСТЬ И ОСОБЕННОСТИ Наличие различных организационно-правовых форм хозяйствования, как показала мировая практика, является важнейшей предпосылкой для эффективного функционирования рыночной экономики в любом государстве, в том числе и России.
    В ГК РФ зафиксированы различные формы хозяйствования, каждая из которых имеет свои особенности, преимущества, недостатки и право на жизнь. Рассмотрим сущность каждой из них более подробно.
    Государственные и муниципальные унитарные предприятия. Согласно ГК РФ унитарным предприятием признается коммерческая организация, не наделенная правом собственности на закрепленное за ней собственником имущество. Имущество унитарного предприятия является неделимым и не может быть распределено по вкладам (долям, паям), в том числе между работниками предприятия.
    Устав унитарного предприятия должен содержать кроме обычных сведений (наименование, место его нахождения и др.) сведения о предмете и целях деятельности предприятия, а также о размере уставного фонда предприятия, порядке и источнике его формирования.
    В форме унитарного предприятия могут быть созданы только государственные и муниципальные предприятия.
    Имущество государственного и муниципального унитарного предприятия находится соответственно в государственной или муниципальной собственности и принадлежит такому предприятию на праве хозяйственного ведения или оперативного управления.
    Возглавляет унитарное предприятие руководитель, который назначается собственником либо уполномоченным им органом и им подотчетен.
    Унитарные предприятия отвечают по своим обязательствам всем принадлежащим им имуществом и не несут ответственности по обязательствам собственника его имуществом.
    Правовое положение государственных и муниципальных унитарных предприятий определяется ГК РФ и законом об этих предприятиях.
    Унитарные предприятия по сравнению с другими коммерческими организациями имеют ряд особенностей:
    в форму хозяйствования унитарного предприятия заложен принцип унитарности. Он означает, что соответствующая коммерческая организация не наделяется правом собственности на закрепленное за ней имущество. Собственником этого имущества остается учредитель такой организации, т.е. государство;
    имущество унитарного предприятия является неделимым и ни при каких условиях не может быть распределено по вкладам, долям и паям, в том числе между работниками унитарного предприятия;
    право ответственности сохраняется за учредителем, и имущество закрепляется за унитарным предприятием лишь на ограниченном вещном праве (хозяйственного ведения либо оперативного управления);



    Внедрение новой техники и технологии.


    6.4. ЭКОНОМИЧЕСКАЯ И СОЦИАЛЬНАЯ ЭФФЕКТИВНОСТЬ НТП На современном этапе и в будущем вряд ли можно найти такой фактор, который бы так сильно влиял на производство, экономику и социальные процессы в обществе, каким является ускорение НТП.
    В общем плане ускорение НТП создает несколько видов эффектов: экономический, ресурсный, технический, социальный.
    Экономический эффект это, по сути, рост производительности труда и снижение трудоемкости, снижение материалоемкости и себестоимости продукции, рост прибыли и рентабельности.
    Ресурсный эффект это высвобождение ресурсов на предприятии: материальных, трудовых и финансовых.
    Технический эффект это появление новой техники и технологии, открытий, изобретений и рационализаторских предложений, ноу-хау и других нововведений.
    Социальный эффект это повышение материального и культурного уровня жизни граждан, более полное удовлетворение их потребностей в товарах и услугах, улучшение условий и техники безопасности труда, снижение доли тяжелого ручного труда и др.
    Эти эффекты могут быть достигнуты только в том случае, если государство будет создавать необходимые условия для ускорения НТП и управлять современной НТР в нужном для общества направлении. Иначе могут возникнуть отрицательные социальные последствия для общества в виде загрязнения окружающей среды, вымирания животного мира в реках и озерах и др.
    6.5. ПРОГНОЗИРОВАНИЕ И ПЛАНИРОВАНИЕ НТП НА ПРЕДПРИЯТИИ Зарубежная и отечественная практика уже давно доказала, что предприятия, особенно крупные и средние, не могут рассчитывать на успех без систематического прогнозирования и планирования НТП. В целом прогнозирование представляет собой научно обоснованное предвидение развития социально-экономических и научно-технических тенденций.
    Научно-технический прогноз обоснованная вероятностная оценка перспектив развития определенных областей науки, техники и технологии, а также требуемых для этого ресурсов и организационных мер. Прогнозирование НТП на предприятии дает возможность как бы заглянуть в будущее и увидеть, какие наиболее вероятные изменения могут произойти в области применяемых техники и технологии, а также в выпускаемой продукции и как это скажется на конкурентоспособности предприятия.
    Прогнозирование НТП на предприятии это, по сути, нахождение наиболее вероятных и перспективных путей развития предприятия в технической области.
    Объектом прогнозирования могут быть техника, технология и их параметры, организация производства и труда, управление предприятием, новая продукция, требуемые финансы, НИР, подготовка научных кадров и др.
    По содержанию различают прогнозы:
    появления принципиально новых открытий и изобретений;
    областей использования уже сделанных открытий;
    появления новых конструкций, машин, оборудования, технологий и их распространения в производстве.
    По времени прогнозы могут быть: краткосрочные (до 23 лет), среднесрочные (до 57 лет), долгосрочные (до 1520 лет).
    Очень важно, чтобы на предприятии достигалась непрерывность прогнозирования, т.е. наличие всех временных прогнозов, которые периодически должны пересматриваться, уточняться и продлеваться.
    Отечественная и зарубежная практика насчитывает около 150 различных методов разработки прогноза, но на практике наибольшее распространение получили следующие методы:
    методы экстраполяции;
    методы экспертных оценок;
    методы моделирования.
    Суть метода экстраполяции состоит в распространении закономерностей, сложившихся в науке и технике в предпрогнозный период, на будущее. Недостаток данного метода заключается в том, что он не учитывает многих факторов, которые могут появиться в прогнозируемом периоде и в значительной мере изменить сложившуюся предпрогнозную закономерность (тенденцию), что может существенно повлиять на точность прогноза.
    Методы экстраполяции наиболее целесообразно применять для прогнозирования направлений науки и техники, изменяющихся во времени эволюционным путем, в том числе для прогнозирования процессов, развивающихся экстенсивным путем. При прогнозировании новых направлений развития науки и техники более эффективны методы, учитывающие опережающую информацию о новых технических идеях и принципах. Одним из этих методов может быть метод экспертных оценок.
    Методы экспертных оценок основаны на статистической обработке прогнозных оценок, полученных путем опроса высококвалифицированных специалистов в соответствующих областях.
    Различают несколько методов экспертных оценок. Индивидуальный анкетный опрос позволяет выяснить независимое мнение экспертов. Метод «дельфи» предполагает проведение вторичного опроса после того, как эксперты ознакомятся с первоначальными оценками своих коллег.
    При достаточно близком совпадении мнений «образ» проблемы выражается с помощью средних оценок. Групповой метод прогнозирования основан на предварительном обсуждении «дерева целей» и выработке коллективных оценок соответствующими комиссиями.
    Предварительный обмен мнениями повышает обоснованность оценок, но создает возможность для подчинения отдельных экспертов влиянию наиболее авторитетных членов группы. В связи с этим может быть использован метод коллективной генерации идей «мозговая атака», при которой каждый участник группы из 1015 человек высказывает независимо друг от друга оригинальные идеи и предложения. Их критическая оценка производится лишь после окончания совещания.
    Разнообразны и методы прогнозов на основе моделирования: логические, информационные и математико-статистические. Данные методы прогнозирования на предприятиях не получили широкого распространения, в основном из-за их сложности и отсутствия необходимой информации.
    В целом прогнозирование НТП включает в себя:
    установление объекта прогноза;
    выбор метода прогнозирования;
    разработку самого прогноза и его верификацию (вероятностную оценку).
    После прогнозирования идет процесс планирования НТП на предприятии. При его разработке необходимо придерживаться следующих принципов:
    приоритетность. Этот принцип означает, что в план необходимо включать самые важные и перспективные направления НТП, предусмотренные в прогнозе, реализация которых обеспечит предприятию значительные экономические и социальные выгоды не только на ближайший отрезок времени, но и на перспективу. Соблюдение принципа приоритетности вытекает из ограниченности ресурсов на предприятии;
    непрерывность планирования. Сущность этого принципа заключается в том, что на предприятии должны разрабатываться краткосрочные, среднесрочные и долгосрочные планы НТП, которые бы вытекали друг из друга, что и обеспечит реализацию этого принципа;
    сквозное планирование. Планироваться должны все составляющие цикла «наука производство», а не отдельные его составляющие. Как известно, цикл «наука производство» состоит из следующих элементов: фундаментальные исследования; поисковые исследования; прикладные исследования; проектно-конструкторские разработки; создание опытного образца; технологическая подготовка производства; выпуск новой продукции и ее тиражирование. В полном объеме этот принцип может быть осуществлен только на крупных предприятиях, где есть возможность осуществления всего цикла «наука производство»;
    комплексность планирования. План НТП должен быть тесно увязан с другими разделами плана экономического и социального развития предприятия: производственной программой, планом капитальных вложений, планом по труду и кадрам, планом по себестоимости и прибыли, финансовым планом. При этом сначала разрабатывается план НТП, а затем остальные разделы плана экономического и социального развития предприятия;
    экономическая обоснованность и обеспеченность ресурсами. В план НТП должны включаться только экономически обоснованные мероприятия (т.е. выгодные для предприятия) и обеспеченные необходимыми ресурсами. Довольно часто этот важнейший принцип планирования НТП не соблюдается, а отсюда его слабая реализуемость.
    Для экономического обоснования внедрения новой техники и технологии, выпуска новой продукции на предприятии должен разрабатываться бизнес-план. Он нужен не только для того, чтобы работники предприятия убедились в выгодности того или иного проекта, но и для привлечения инвесторов, особенно иностранных, если на предприятии нет или недостаточно собственных средств для реализации выгодного проекта.
    Основным методом планирования НТП на предприятии является программно-целевой метод.
    Разделы плана НТП зависят от сложившейся ситуации на предприятии, конкретных потребностей прогнозных оценок и наличия собственных и заемных ресурсов.
    План НТП на предприятии может состоять из следующих разделов:
    1. Реализация научно-технических программ.
    2. Внедрение новой техники и технологии.
    3. Внедрение ЭВМ.
    4. Совершенствование организации производства и труда.
    5. Продажа и закупка патентов, лицензий, ноу-хау.
    6. План по стандартизации и метрологическому обеспечению.
    7. НОТ.
    8. Улучшение качества и обеспечение конкурентоспособности продукции.
    9. Выполнение научно-исследовательских и опытно-конструкторских работ.
    10. Экономическое обоснование плана НТП.
    План НТП может включать и другие разделы, так как строгая регламентация по количеству и названию разделов отсутствует.



    ВОСПРОИЗВОДСТВО ОСНОВНЫХ ФОНДОВ


    Для объектов, у которых фактический срок службы равен нормативному или превысил его, коэффициент физического износа рассчитывается по следующей формуле:
    ВОСПРОИЗВОДСТВО ОСНОВНЫХ ФОНДОВ

    где Т в возможный остаточный срок службы данного инвентарного объекта сверх фактически достигнутого в данный момент срока службы. Чаще всего он определяется экспертным путем.
    Коэффициент физического износа зданий и сооружений может быть рассчитан по формуле
    ВОСПРОИЗВОДСТВО ОСНОВНЫХ ФОНДОВ

    где di удельный вес i-го конструктивного элемента в стоимости здания, %;
    i процент износа i-го конструктивного элемента здания.
    Коэффициент годности основных фондов укрупненно характеризует их физическое состояние на определенную дату и исчисляется по формуле
    ВОСПРОИЗВОДСТВО ОСНОВНЫХ ФОНДОВ

    Коэффициент годности основных фондов может быть определен и на основе коэффициента физического износа:

    Все эти формулы предполагают равномерное физическое изнашивание основных фондов, что далеко не всегда совпадает с реальной действительностью, и в этом заключается их основной недостаток.
    Моральный износ основных фондов. Наряду с физическим износом основные фонды претерпевают моральный износ (обесценивание). Сущность морального износа состоит в том, что средства труда обесцениваются, утрачивают стоимость до их физического износа, до окончания срока своей физической службы.
    Моральный износ проявляется в двух формах.
    Первая форма морального износа заключается в том, что происходит обесценивание машин такой же конструкции, что выпускались и раньше, вследствие удешевления их воспроизводства в современных условиях.
    Вторая форма морального износа состоит в том, что происходит обесценивание старых машин, физически еще годных, вследствие появления новых, более технически совершенных и производительных, которые вытесняют старые.
    На каждом предприятии процесс физического и морального износа основных фондов должен управляться. Основная цель этого управления недопущение чрезмерного физического и морального износа основных фондов, особенно их активной части, так как это может привести к негативным экономическим последствиям для предприятия. Управление этим процессом происходит через проведение определенной политики воспроизводства основных фондов.
    9.4. ВОСПРОИЗВОДСТВО ОСНОВНЫХ ФОНДОВ В условиях рыночных отношений политика в области воспроизводства основных фондов играет исключительно важную роль, так как именно она определяет количественное и качественное состояние основных фондов.
    Эта политика должна осуществляться как на макро-, так и на микроуровне. Основная задача воспроизводственной политики на макроуровне заключается в создании для всех хозяйственных субъектов благоприятных условий для простого и расширенного воспроизводства, приобретения новой техники, реконструкции и технического перевооружения производства. Эта задача решается путем осуществления соответствующей амортизационной, инвестиционной и налоговой политики.
    Воспроизводство основных фондов это непрерывный процесс их обновления путем приобретения новых, реконструкции, технического перевооружения, модернизации и капитального ремонта.
    Основная цель воспроизводства основных фондов обеспечение предприятий основными фондами в их количественном и качественном составе, а также поддержание их в рабочем состоянии.
    В процессе воспроизводства основных фондов решаются следующие задачи:
    возмещение выбывающих по различным причинам основных фондов;
    увеличение массы основных фондов с целью расширения объема производства;
    совершенствование видовой, технологической и возрастной структуры основных фондов, т.е. повышение технического уровня производства.
    Процесс воспроизводства основных фондов может осуществляться за счет различных источников. Основные средства для воспроизводства основных фондов на предприятии могут поступать по следующим каналам:
    как вклад в уставный капитал предприятия;
    в результате капитальных вложений;
    в результате безвозмездной передачи;
    вследствие аренды.
    Количественная характеристика воспроизводства основных фондов в течение года отражается в балансе основных фондов по полной первоначальной стоимости по следующей формуле:
    ВОСПРОИЗВОДСТВО ОСНОВНЫХ ФОНДОВ

    где Фк стоимость основных фондов на конец года;
    Фн стоимость основных фондов на начало года;
    Фв стоимость основных фондов, вводимых в действие в течение года;
    Фл стоимость основных фондов, ликвидируемых в течение года.
    Для более детального анализа процесса воспроизводства основных фондов можно использовать следующие показатели: коэффициент обновления основных фондов, коэффициент выбытия основных фондов, фондовооруженность труда, техническую вооруженность труда и др.
    ВОСПРОИЗВОДСТВО ОСНОВНЫХ ФОНДОВ

    где Кобн коэффициент обновления, %;
    Фк стоимость основных фондов на конец года, руб.
    ВОСПРОИЗВОДСТВО ОСНОВНЫХ ФОНДОВ

    где Квыб коэффициент выбытия основных фондов , %.
    Превышение величины Кобн по сравнению с Квыб свидетельствует о том, что идет процесс обновления основных фондов. Фондовооруженность труда (W):
    ВОСПРОИЗВОДСТВО ОСНОВНЫХ ФОНДОВ

    где W фондовооруженность труда, руб./чел.;
    Ф среднегодовая стоимость основных фондов, руб.;
    N среднегодовая численность ППП, чел.
    Техническая вооруженность труда (Wтех):
    ВОСПРОИЗВОДСТВО ОСНОВНЫХ ФОНДОВ

    где Wтех техническая вооруженность труда, руб./чел.;
    Факт среднегодовая стоимость активной части основных фондов.
    Динамика этих показателей свидетельствует о той воспроизводственной политике, которая проводится на предприятии.
    9.5. ПОКАЗАТЕЛИ ИСПОЛЬЗОВАНИЯ ОСНОВНЫХ ФОНДОВ Обобщающим показателем, характеризующим использование основных фондов на предприятии, является показатель фондоотдачи. Показатель фондоотдачи (Фо) рассчитывается по формуле
    ВОСПРОИЗВОДСТВО ОСНОВНЫХ ФОНДОВ

    где V стоимость произведенной за год продукции в натуральном или стоимостном выражении;
    Ф среднегодовая стоимость ОПФ.
    Если числитель и знаменатель данной формулы разделим на среднесписочную численность, то получим
    ВОСПРОИЗВОДСТВО ОСНОВНЫХ ФОНДОВ

    где ПТ производительность труда (выработка) на предприятии;
    W фондовооруженность труда.
    Эта формула может быть использована для более детального анализа уровня использования основных производственных фондов. Она показывает взаимосвязь между выработкой и фондовооруженностью труда. Идеальным вариантом считается вариант, когда выработка на предприятии растет более быстрыми темпами, чем фондовооруженность труда, так как в этом случае достигается максимальная эффективность производства.
    Обратным показателем фондоотдачи является фондоемкость продукции.
    К системе взаимосвязанных показателей, непосредственно характеризующих уровень использования активной части ОПФ и производственных мощностей, а также раскрывающих резервы возможного улучшения их использования, относятся:
    коэффициент экстенсивного использования (Kэ), который характеризует уровень использования активной части ОПФ во времени:
    ВОСПРОИЗВОДСТВО ОСНОВНЫХ ФОНДОВ

    где Тф фактическое время работы машин и оборудования
    Фреж, режимный фонд времени работы машин и оборудования;
    коэффициент интенсивного использования (Ки), который характеризует уровень использования машин и оборудования по мощности:
    ВОСПРОИЗВОДСТВО ОСНОВНЫХ ФОНДОВ

    где Пф фактическая производительность машин и оборудования;
    Пв возможная производительность машин и оборудования;
    интегральный коэффициент (Кинт), который характеризует уровень использования машин и оборудования как во времени, так и по мощности и определяется по формуле
    ВОСПРОИЗВОДСТВО ОСНОВНЫХ ФОНДОВ

    К числу важнейших показателей, характеризующих уровень использования ОПФ во времени, относится коэффициент сменности (К см). Он может быть определен по формуле
    ВОСПРОИЗВОДСТВО ОСНОВНЫХ ФОНДОВ

    где МСI количество машино-смен работы оборудования только в одну смену;
    МСII количество машино-смен работы оборудования в две смены;
    MCIII количество машино-смен работы оборудования в три смены;
    Nуст количество установленного оборудования.
    Пример. На заводе 10 станков работали в одну смену, 20 станков в две смены, 35 станков в три смены, а 3 станка вообще не работали. Необходимо определить коэффициент сменности установленного и работающего оборудования.
    Определяем коэффициент сменности установленного оборудования:
    ВОСПРОИЗВОДСТВО ОСНОВНЫХ ФОНДОВ

    Определяем коэффициент сменности работающего оборудования:
    ВОСПРОИЗВОДСТВО ОСНОВНЫХ ФОНДОВ

    Коэффициент сменности работающего оборудования можно определить и как отношение числа отработанных во всех сменах машино-смен к количеству машино-смен, отработанных в наибольшую смену. В нашем примере в первую смену было отработано наибольшее число машино-смен 65(10 + 20 + 35).
    ВОСПРОИЗВОДСТВО ОСНОВНЫХ ФОНДОВ

    К показателям использования основных производственных фондов можно в определенной мере отнести: рентабельность всего имущества предприятия (Rн), рентабельность собственных средств (Rс.с) и рентабельность производственных фондов (Rпф).
    ВОСПРОИЗВОДСТВО ОСНОВНЫХ ФОНДОВ

    ВОСПРОИЗВОДСТВО ОСНОВНЫХ ФОНДОВ

    ВОСПРОИЗВОДСТВО ОСНОВНЫХ ФОНДОВ

    Показателем, характеризующим уровень использования ОПФ, является их рентабельность (Rф).
    ВОСПРОИЗВОДСТВО ОСНОВНЫХ ФОНДОВ

    Для более детального анализа уровня использования ОПФ могут быть применены и другие показатели.
    9.6. АМОРТИЗАЦИОННЫЕ ОТЧИСЛЕНИЯ И ИХ ИСПОЛЬЗОВАНИЕ НА ПРЕДПРИЯТИИ Для экономического возмещения физического и морального износа основных фондов их стоимость в виде амортизационных отчислений включается в затраты на производство продукции. Таким образом, амортизация это постепенный перенос стоимости ОПФ на выпускаемую продукцию.
    Амортизационные отчисления производятся предприятиями (организациями) ежемесячно исходя из установленных норм амортизации и балансовой стоимости основных фондов по отдельным группам или инвентарным объектам, состоящим на балансе предприятия (организации).



    Выпуск товарной продукции на предприятии


    Например, выход ткани из пряжи, сахара из сахарной свеклы, растительного масла из маслосемян, пиломатериалов из древесины и др. Коэффициент извлечения продукта из исходного сырья характеризует степень использования полезного вещества, содержащегося в соответствующем виде исходного сырья. Он определяется отношением количества извлеченного полезного вещества из исходного сырья к общему его количеству, содержащемуся в этом сырье.
    Важнейшим обобщающим показателем уровня использования всех материальных ресурсов на предприятии является материалоемкость продукции; обратный показатель материа-лоемкости продукции материалоотдача.
    Материалоемкость (Mе) и материалоотдача продукции (Мо) определяются по формулам
    Выпуск товарной продукции на предприятии

    Выпуск товарной продукции на предприятии

    где МЗ количество израсходованных материальных ресурсов на предприятии;
    ТП выпуск товарной продукции на предприятии;
    Vp объем реализованной продукции.
    К частным показателям материалоемкости продукции относятся металлоемкость, электроемкость и энергоемкость.
    Показатель металлоемкости продукции (Mмет) определяется по формуле
    Выпуск товарной продукции на предприятии

    электроемкости (Мзд):
    Выпуск товарной продукции на предприятии

    энергоемкости (Мдд):
    Выпуск товарной продукции на предприятии

    Все эти частные показатели могут быть определены как в натуральном, так и в стоимостном исчислении.
    Для любого предприятия, особенно для машиностроительного, очень важно знать, насколько рационально используется металл. С этой целью используются такие показатели уровня использования металла, как коэффициент относительной металлоемкости, коэффициент использования металла и интегральный коэффициент использования металла.
    Коэффициент относительной металлоемкости (Kо.м) характеризует уровень использования металла на стадии проектирования и конструирования машин и оборудования и показывает, насколько совершенна та или иная конструкция со стороны рационального использования металла, определяется по формуле
    Выпуск товарной продукции на предприятии

    В качестве параметра может выступать, например, мощность трактора в лошадиных силах, мощность двигателя в кВт, грузоподъемность автомобиля в тоннах и т.д.
    Коэффициент использования металла (Ки.м) определяется по формуле
    Выпуск товарной продукции на предприятии

    Он характеризует уровень использования металла на стадии изготовления машин, оборудования или конструкций.
    Для обобщающей характеристики использования металла как на стадии проектирования и конструирования машин и оборудования, так и на стадии их изготовления применяется интегральный коэффициент использования металла (Kgm), который определяется по формуле
    Выпуск товарной продукции на предприятии

    Чем меньше величина этого показателя, тем более совершенна конструкция и лучше используется металл при изготовлении продукции на предприятии.
    Пример
    На тракторном заводе выпускались тракторы мощностью 200 л.с., а их чистый вес составлял 4,5 т. Черновой вес металла на изготовление одного трактора 6,0 т.
    После совершенствования конструкции трактора и внедрения новой техники в производство его мощность увеличилась до 250 л.с. при сохранении прежнего чистого веса, а черновой расход металла на один трактор составил 5 т.
    Определите показатели использования металла до и после совершенствования конструкции и внедрения новой техники.
    Решение
    1. Определяем показатели использования металла до совершенствования конструкции трактора и внедрения новой техники:
    Выпуск товарной продукции на предприятии

    Выпуск товарной продукции на предприятии

    Выпуск товарной продукции на предприятии

    2. Определяем показатели использования металла после совершенствования конструкции трактора и внедрения новой техники:
    Выпуск товарной продукции на предприятии

    Выпуск товарной продукции на предприятии

    Выпуск товарной продукции на предприятии

    Таким образом, общая экономия металла на 1 л.с. составила 9,3 кг (29,320).
    Показатели использования материальных ресурсов очень разнообразны и зависят от специфики и профиля предприятия. Например, в железорудной промышленности основными показателями, характеризующими использование добываемой сырой руды, являются: содержание металла в концентрате, выход концентрата, извлечение железа в концентрат и содержание железа в хвостах. Эти показатели характеризуют процесс обогащения с точки зрения рациональности использования сырой руды.
    Выход концентрата из железной руды (х) определяется по формуле
    Выпуск товарной продукции на предприятии

    где б, в, и соответственно содержание железа в исходной руде, концентрате и хвостах, %;
    Qk, Qp соответственно масса полученного концентрата и израсходованной сырой руды для получения концентрата, т.
    Степень извлечения железа в концентрате отражает полноту извлечения полезного компонента природных ресурсов и отчасти характеризует эффективность процесса обогащения. Ее определяют как отношение массы металла в концентрате к массе металла в исходной руде:
    Выпуск товарной продукции на предприятии

    Следует отметить, что для каждого горнорудного предприятия все эти показатели должны иметь оптимальные величины, рассчитанные с учетом затрат на добычу, обогащение и транспортировку, а также затрат на металлургический передел. Определенные таким образом, они будут отражать и минимальные материальные затраты.
    На предприятиях химической промышленности показатель использования материалов (К„м) определяется по формуле
    Выпуск товарной продукции на предприятии

    где Рт.м теоретический расход материалов (установленный в соответствии с утвержденной технологией или рецептурой);
    Рф.м фактический расход материалов (обычно превышает теоретический расход на величину потерь, возникающих при химической реакции).
    Важным показателем, характеризующим уровень использования материальных ресурсов на любом предприятии, является удельный расход какого-либо материального ресурса на единицу выпускаемой продукции в натуральном выражении.
    Анализ этого показателя в динамике позволяет судить о том, проводится ли на предприятии политика в области ресурсосбережения, успешно ли она решается.
    Если в динамике фактический расход материальных ресурсов на единицу продукции (работы) имеет тенденцию к снижению, то на предприятии реализуется политика по рациональному использованию материальных ресурсов.
    11.3. ПОКАЗАТЕЛИ УРОВНЯ ИСПОЛЬЗОВАНИЯ ОБОРОТНЫХ СРЕДСТВ Важнейшими показателями использования оборотных средств на предприятии являются коэффициент оборачиваемости оборотных средств и длительность одного оборота.
    Коэффициент оборачиваемости оборотных средств (Коб) показывает, сколько оборотов совершили оборотные средства за анализируемый период (квартал, полугодие, год). Он определяется по формуле
    Выпуск товарной продукции на предприятии

    где Vp объем реализации продукции за отчетный период;
    Oср, средний остаток оборотных средств за отчетный период.
    Продолжительность одного оборота в днях (Д) показывает, за какой срок к предприятию возвращаются его оборотные средства в виде выручки от реализации продукции. Он определяется по формуле
    Выпуск товарной продукции на предприятии

    где Т число дней в отчетном периоде.
    Важным показателем эффективного использования оборотных средств является также коэффициент загрузки средств в обороте. Он характеризует сумму оборотных средств, авансируемых на 1 руб. выручки от реализации продукции. Иными словами, он представляет собой оборотную фондоемкость, т.е. затраты оборотных средств (в копейках) для получения 1 руб. реализованной продукции (работ, услуг). Коэффициент загрузки средств в обороте определяется по следующей формуле:
    Выпуск товарной продукции на предприятии

    где Кз коэффициент загрузки средств в обороте, коп.;
    100 перевод рублей в копейки.
    Коэффициент загрузки средств в обороте (Кз) величина, обратная коэффициенту оборачиваемости средств (Коб). Чем меньше коэффициент загрузки средств, тем эффективнее используются оборотные средства на предприятии, улучшается его финансовое положение.
    Пример
    За отчетный год объем реализации продукции составил 20 млрд руб., а среднегодовой остаток оборотных средств 5 млрд руб. На плановый период предусматривается объем реализации увеличить на 20%, а коэффициент оборачиваемости на один оборот.
    Определите показатели использования оборотных средств в отчетном и плановом периоде и их высвобождение.
    Решение
    1. Определяем показатели использования оборотных средств за отчетный период:
    Выпуск товарной продукции на предприятии

    Выпуск товарной продукции на предприятии

    2. Определяем показатели использования оборотных средств в плановом периоде:
    Выпуск товарной продукции на предприятии

    Выпуск товарной продукции на предприятии

    3. Определяем высвобождение оборотных средств:
    Выпуск товарной продукции на предприятии

    Выпуск товарной продукции на предприятии

    где Qo потребность в оборотных средствах в плановом периоде, если бы не было ускорения их оборачиваемости;
    Qпл потребность в оборотных средствах в плановом периоде с учетом ускорения их оборачиваемости.
    Оборачиваемость оборотных средств на предприятии зависит от следующих факторов: длительности производственного цикла; качества выпускаемой продукции и ее конкурентоспособности; эффективности управления оборотными средствами на предприятии с целью их минимизации; решения проблемы снижения материалоемкости продукции; способа снабжения и сбыта продукции; структуры оборотных средств и др. Таковы пути ускорения оборачиваемости оборотных средств на предприятии.
    11.4. НОРМАТИВНАЯ БАЗА ПРЕДПРИЯТИЯ И ПУТИ ЕЕ СОВЕРШЕНСТВОВАНИЯ Уровень использования материальных ресурсов в значительной мере, определяется состоянием нормативной базы на предприятии. Под нормативной базой понимается вся совокупность норм и нормативов, которая применяется на предприятии для планирования и анализа расхода материальных ресурсов.
    Норма расхода материальных ресурсов это максимально допустимая плановая величина расхода сырья (материалов или топлива), которая может быть израсходована для производства единицы продукции (или работы).
    Норму расхода материальных ресурсов можно представить в следующем виде:
    Выпуск товарной продукции на предприятии

    где Нр величина нормы расхода;



    Затраты на производство по смете



    * Финансы России: Стат. сб./Госкомстат России.- М., 1998.
    увеличение процентных ставок по кредитам. Оно значительно повысило оплату за кредиты коммерческим банкам;
    существенное повышение роли рекламы. Предприятия стали больше средств расходовать на эти цели.
    Структура затрат на каждом предприятии также должна анализироваться как в поэлементном, так и в постатейном разрезе. Это необходимо, как уже отмечалось, для управления издержками на предприятии с целью их минимизации.
    13.4. ПЛАНИРОВАНИЕ СЕБЕСТОИМОСТИ ПРОДУКЦИИ НА ПРЕДПРИЯТИИ План по себестоимости продукции является одним из важнейших разделов плана экономического и социального развития предприятия. Планирование себестоимости продукции на предприятии имеет очень важное значение, так как позволяет знать, какие затраты потребуются предприятию на выпуск и реализацию продукции, какие финансовые результаты можно ожидать в плановом периоде. План по себестоимости продукции включает в себя следующие разделы:
    1. Смета затрат на производство продукции (составляется по экономическим элементам).
    2. Себестоимость всей товарной и реализованной продукции.
    3. Плановые калькуляции отдельных изделий.
    4. Расчет снижения себестоимости товарной продукции по технико-экономическим факторам.
    Важнейшими качественными показателями плана по себестоимости продукции являются:
    себестоимость товарной и реализованной продукции;
    себестоимость единицы важнейших видов продукции;
    затраты на 1 руб. товарной продукции;
    процент снижения себестоимости по технико-экономическим факторам;
    процент снижения себестоимости сравниваемой продукции.
    Смета затрат на производство составляется без внутризаводского оборота на основе расчета по каждому элементу и является основным документом для разработки финансового плана. Она составляется на год с распределением всей суммы расходов по кварталам.
    Затраты на сырье, основные и вспомогательные материалы, топливо и энергию в смете затрат определяются прежде всего на производственную программу исходя из планового объема, норм и цен.
    Общий размер амортизационных отчислений рассчитывается на основе действующих норм по группам основных фондов. На основе сметы затрат определяют затраты на весь валовой и товарный выпуск. Затраты на производство валовой продукции определяются из выражения
    ВП = Сп Зн.в
    где Сп затраты на производство по смете;
    Зн.в затраты, не включаемые в состав валовой продукции.
    Затраты на производство товарной продукции определяют по формуле
    ТП = ВП ± (n + н),
    где n изменение остатков полуфабрикатов своего изготовления;
    н изменение незавершенного производства;
    прирост слагаемых вычитается, сокращение прибавляется.
    Себестоимость реализуемой продукции представляет собой полную себестоимость товарной продукции минус прирост плюс уменьшение себестоимости остатков нереализованной продукции в планируемом периоде.
    Расчет себестоимости единицы продукции называется калькуляцией. Калькуляции бывают сметные, плановые, нормативные.
    Сметная калькуляция составляется на изделия или заказ, которые выполняются в разовом порядке.
    Плановая калькуляция (годовая, квартальная, месячная) составляется на освоенную продукцию, предусмотренную производственной программой.
    Нормативная калькуляция отражает уровень себестоимости продукции, исчисленной по нормам затрат, действующим на момент ее составления. Она составляется в тех производствах, где существует нормативный учет затрат на производство.
    Методы планирования себестоимости продукции. На практике наибольшее распространение получили два метода планирования себестоимости продукции: нормативный и планирование по технико-экономическим факторам. Как правило, они применяются в тесной взаимосвязи.
    Сущность нормативного метода заключается в том, что при планировании себестоимости продукции применяются нормы и нормативы использования материальных, трудовых и финансовых ресурсов, т.е. нормативная база предприятия.
    Метод планирования себестоимости продукции по технико-экономическим факторам является более предпочтительным по сравнению с нормативным методом, так как он позволяет учесть многие факторы, которые будут самым существенным образом влиять на себестоимость продукции в плановом периоде. При этом методе учитываются следующие факторы:
    1) технические, т.е. внедрение на предприятии в плановом периоде новой техники и технологии;
    2) организационные. Под этими факторами понимается совершенствование организации производства и труда на предприятии в плановом периоде (углубление специализации и кооперирования, совершенствование организационной структуры управления предприятием, внедрение бригадной формы организации труда, НОТ и др.);
    3) изменение объема, номенклатуры и ассортимента выпускаемой продукции;
    4) уровень инфляции в плановом периоде;
    5) специфические факторы, которые зависят от особенностей производства. Например, для горных предприятий изменение горно-геологических условий разработки полезных ископаемых; для сахарных заводов изменение содержания сахара в сахарной свекле.
    Все эти факторы в конечном итоге влияют на объем выпуска продукции, производительность труда (выработку), изменение норм и цен на материальные ресурсы.
    Для определения величины изменения себестоимости продукции в плановом периоде вследствие влияния вышеупомянутых факторов могут быть использованы следующие формулы:
    а) изменение величины себестоимости продукции от изменения производительности труда (Спт):
    Затраты на производство по смете

    где Jзп индекс средней заработной платы;
    J пт индекс производительности труда (выработки);
    Jзп доля заработной платы с отчислениями на социальные нужды в себестоимости продукции;
    б) изменение величины себестоимости продукции от изменения объема производства (СV):
    Затраты на производство по смете

    где Jуп индекс условно-постоянных расходов;
    JV индекс объема производства;
    Jyп доля условно-постоянных расходов в себестоимости продукции;
    в) изменение величины себестоимости продукции от изменения норм и цен на материальные ресурсы (Сн.ц):
    Затраты на производство по смете

    где J н индекс норм на материальные ресурсы;
    J индекс цен на материальные ресурсы;
    Jм доля материальных ресурсов в себестоимости продукции.
    Общая величина изменения себестоимости продукции в плановом периоде составит (С общ):
    Затраты на производство по смете

    Методику планирования себестоимости продукции по технико-экономическим факторам покажем на условном примере.
    Пример. За отчетный год на предприятии объем товарной продукции составил 15 млрд руб., ее себестоимость 12 млрд руб., в том числе заработная плата с отчислениями на социальные нужды 4,8 млрд руб., материальные ресурсы 6,0 млрд руб. Условно-постоянные расходы в себестоимости продукции составили 50%. В плановом периоде предусматривается за счет реализации плана организационно-технических мероприятий увеличить объем товарной продукции на 15%, повысить производительность труда на 10%, среднюю заработную плату на 8%.
    Нормы расхода материальных ресурсов в среднем снизятся на 5%, а цены на них возрастут на 6%.
    Определите плановую себестоимость товарной продукции и плановые затраты на 1 руб. товарной продукции.
    Решение
    1. Определяем затраты на 1 руб. товарной продукции в отчетном периоде:
    12 : 15 = 0,8 руб.
    2. Рассчитаем плановые затраты на выпуск товарной продукции, если бы в плановом периоде затраты на 1 руб. товарной продукции остались на уровне отчетного периода:
    15 1,15 0,8 = 13,8 млрд руб.
    3. Определяем величину изменения себестоимости продукции за счет реализации в плановом периоде организационно-технических мероприятий:
    а) за счет роста производительности труда
    Затраты на производство по смете

    т. е. за счет этого фактора себестоимость продукции снизится на 0,8%;
    б) за счет изменения объема производства
    Затраты на производство по смете

    т.е. за счет этого фактора себестоимость продукции снизится на 6,5%;
    в) за счет изменения норм и цен на материальные ресурсы
    Затраты на производство по смете


    т.е. за счет этого фактора себестоимость продукции увеличится на 0,35%.
    Общая величина снижения себестоимости продукции за счет влияния всех факторов составит:
    Затраты на производство по смете

    4. Определяем плановую себестоимость продукции:
    13,8 0,9305 = 12,84 млрд руб.
    5. Определяем плановые затраты на 1 руб. товарной продукции:
    12,84 : 17,25 = 0,74 руб.,
    где 17,25 плановый объем товарной продукции (15 х 1,15). Таким образом, затраты на 1 руб. товарной продукции снизились на 7,5% (0,74 : 0,8 х 100 = 92,5%).
    13.5. УПРАВЛЕНИЕ ИЗДЕРЖКАМИ НА ПРЕДПРИЯТИИ С ЦЕЛЬЮ ИХ МИНИМИЗАЦИИ Прежде всего необходимо отметить, что руководители и менеджеры предприятия должны четко понимать, что управление издержками производства и реализации продукции с целью их минимизации на предприятии является составной частью управления предприятием в целом.
    Управление издержками необходимо прежде всего для:
    получения максимальной прибыли;
    улучшения финансового состояния фирмы;
    повышения конкурентоспособности предприятия и продукции;
    снижения риска стать банкротом и др.
    Для решения проблемы снижения издержек производства и реализации продукции на предприятии должна быть разработана общая концепция (программа), которая должна ежегодно корректироваться с учетом изменившихся на предприятии обстоятельств. Эта программа должна носить комплексный характер, т.е.



    

        Экономика: Знания - Циклы - Макроэкономика