Народнохозяйственный комплекс России
Экономика это область человеческой деятельности, которая служит удовлетворению человеческих потребностей и является общим объектом для всех экономических наук.
Предмет курса. Среди многих экономических наук можно выделить теоретическую и прикладную экономику, которые представляют направления наиболее актуальные для познания и регулирования важнейших процессов хозяйственной жизни. В совокупности из называют более кратко: «Экономика» в России «Экономикс» на Западе.
Основу теоретической и прикладной экономики составляют:
- Изучение экономического развития;
- Изучение функционирования народного хозяйства в целом и отдельного предприятия (фирмы);
- Разработка принципов экономической политики.
Хотя конечной естественной целью экономической жизни является потребление, важнейшей сферой экономики является производство. Без его развития не может быть никакого рынка, именно производство рождает товарную массу.
Производство, описание и объяснение всей хозяйственной деятельности предприятия и являются предметом изучения в курсе «Экономика предприятия». На основе познания закономерностей производственного процесса появляется возможность разработать хозяйственные методы реализации практических целей.
Экономика предприятия и другие экономические науки. Всякое предприятие не существует само по себе, а связано с экономикой в целом, с одной стороны, через рынок производственных факторов, с другой через рынок сбыта, поэтому и экономика предприятия должна исследовать отношения отдельных предприятий с другими хозяйственными единицами, с рынком. При этом она рассматривает хозяйственный процесс, как в целом, так и с точки зрения интересов отдельного предприятия.
Экономика предприятия тесно связана с микро- и макроэкономикой, но не тождественна им. Так, например, микроэкономический анализ исходит не из отдельного предприятия, а из влияния рынка на отдельное предприятие и в действительности не является исследованием экономики и организации производства на уровне предприятия. Микроэкономический анализ рассматривает обе стороны рынка: предложение и спрос.
В то же время анализ с позиций экономики предприятия рассматривает спрос как заданную величину.
С другой стороны, то, что составляет проблемы макроэкономики, например образование цен на производственные факторы, производство и распределение национального дохода и т.д., для экономики предприятия есть заданная величина, которую она учитывает. Любые перемены в народном хозяйстве, например изменение структуры потребностей, демографические сдвиги, изменения доходов населения, технический прогресс, ведут к изменению ситуации на предприятии.
И наоборот, объекты изучения экономики предприятия, например издержки производства, являются для макроэкономики данными, которые следует учитывать в исследованиях.
Таким образом, экономика предприятия является самостоятельной экономической дисциплиной, предметом изучения которой является деятельность предприятия, процесс разработки и принятия хозяйственных решений.
Предприятие функционирует в определенной предпринимательской среде, которая оказывает влияние на всю его деятельность.
Предпринимательская среда характеризуется сложившейся экономической и политической обстановкой, правовой, социально-культурной, технологической, географической средой, экологической ситуацией, а также состоянием институциональной и информационной систем.
Экономическая ситуация определяет доходы и покупательную способность населения, уровень безработицы и занятости, степень экономической свободы предпринимателей, возможности инвестирования, наличие и доступность денежных ресурсов и другие экономические факторы.
Политическая ситуация зависит от целей и задач находящегося у власти правительства. Проводя ту или иную экономическую политику, государство может стимулировать или сдерживать предпринимательскую активность в тех или иных отраслях или регионах.
Правовая среда характеризуется системой законов и других нормативных актов, регулирующих торговую, производственную, финансовую, налоговую, инновационную и инвестиционную сферы деятельности предприятия. Степень разработанности правовой базы предпринимательства во многом обусловливает стабильность и устойчивость предприятия.
Географическая среда определяет природные условия, в которых осуществляется предпринимательство, например доступность сырья, энергоресурсов, климатические и сезонные условия, наличие автомобильных магистралей, железных дорог, морских и воздушных путей. Географические факторы учитываются при выборе места размещения предприятия, разработке схем поставки сырья, распределении готовой продукции и т.д.
Экологическая обстановка отражает состояние окружающей среды, степень экологических рисков, разработанность систем контроля и мер воздействия на предприятия, загрязняющие окружающую среду. Эти и иные экологические факторы принимаются во внимание при выборе предприятием той или иной технологии, используемого сырья или вида производимой продукции.
Институциональная среда характеризуется наличием разнообразных институтов (организаций), с помощью которых осуществляются различные коммерческие операции, устанавливаются деловые взаимоотношения.
К числу таких институтов относятся банки, страховые компании, биржи, фирмы, оказывающие различные профессиональные услуги (юридические, бухгалтерские, аудиторские и т.д.), рекламные агентства, бюро по трудоустройству и др.
Предприятие в своей деятельности занимается не только хозяйственными проблемами, но и техническими, правовыми, социальными, психологическими, физиологическими и этическими вопросами. Это области изучения различных социальных наук и специальных экономических дисциплин, результаты и выводы которых необходимо учитывать при организации и осуществлении деятельности предприятия.
Содержание курса. Основными объектами изучения экономики предприятия являются:
производственная структура предприятия, типы промышленного производства, организация производственного цикла;
организация процесса управления предприятием;
выбор хозяйственной стратегии, разработка плана производства и реализации продукции;
формирование, использование капитала и накопление доходов (прибыли) предприятия;
материально-техническое обеспечение производства, поставки сырья, материалов, формирование запасов и рациональное их использование;
техническая подготовка производства и создание необходимой производственной инфраструктуры;
формирование издержек производства, калькуляция себестоимости продукции, ценовая политика предприятия;
финансовые ресурсы предприятия, эффективность хозяйственной деятельности, оценка риска в предпринимательстве;
инновационная деятельность предприятия, качество продукции, инвестиционная политика предприятия, экологические проблемы;
подбор кадров, прием на работу, организация труда, система оплаты труда и стимулирования повышения производительности труда;
внешнеэкономическая деятельность предприятия.
Методы исследования. Экономика предприятия, как и любая другая наука, имеет особые методы исследования и изложения.
Являясь прикладной дисциплиной, экономика предприятия широко использует методы исследования, характерные для прикладных экономических наук. Укажем лишь некоторые из них.
Большое значение в экономических исследованиях имеют методы статистического наблюдения и сравнительного анализа. Они дают возможность накапливать и сопоставлять частные и обобщающие экономические показатели, анализировать динамику предприятия, сравнивать результаты его деятельности с показателями других хозяйствующих субъектов с целью выявления наилучших результатов.
Использование различных вероятностных и прогностических методов лежит в основе разработки хозяйственных стратегий предприятия, применяется при принятии предпринимательских решений.
Широко используются в теоретическом и прикладном анализе экономики предприятия математические модели, методы графического изображения, способствующие лучшему восприятию соотношений между различными экономическими показателями, оценке их «поведения» под влиянием экономических ситуаций. При использовании методов экономико-математического моделирования в экономике предприятия обычно исходят из двух допущений: предполагается, во-первых, что предприятие всегда стремится к максимизации прибыли и, во-вторых, что рыночная среда, в которой действует предприниматель, является средой активной, оказывающей непосредственное воздействие на всех рыночных субъектов.
Успешное осуществление предпринимательской деятельности в современных условиях возможно лишь при условии умелого сочетания, по крайней мере, трех основных моментов;
знания общеэкономической теории;
наличия конкретных экономических знаний и навыков;
умения использовать различные количественные методы для предпринимательских расчетов, аналитических вычислений, прогнозов и т.п.
Курс «Экономика предприятия» тесно связан с такими дисциплинами, как «Экономика предпринимательства», «Маркетинг», «Бухгалтерский учет и анализ хозяйственной деятельности», «Финансы промышленности», «Статистика промышленности» и др.
Выводы
1. Экономика предприятия тесно связана с другими экономическими науками: макро- и микроэкономикой, теорией менеджмента и маркетинга, статистикой, бухгалтерским учетом и др.
2. Предмет изучения данной наукидеятельность предприятия, процесс разработки и принятия хозяйственных решений.
3. Основными объектами изучения являются производственная деятельность предприятия, механизмы формирования и использования основных факторов производства и экономических ресурсов предприятия.
4. Предприятие функционирует в определенной предпринимательской среде, оказывающей влияние на все стороны его деятельности. При разработке стратегии развития предприятия важно учитывать ее состояние, перспективы развития, динамику, различные направления воздействия.
5. Метод сравнительного анализа, статистические, графические, вероятностные методы, прогнозирование и другие методы экономических наук широко используются в экономике предприятия. Разработка грамотных хозяйственных решений невозможна без знания экономических законов, наличия конкретных экономических знаний, навыков, умения использовать их на практике.
Анализ использования оборотных средств предприятия
где К коэффициент нарастания затрат; Фед единовременные затраты; Фн нарастающие затраты. При неравномерном нарастании затрат по дням производственного цикла коэффициент нарастания затрат определяется по формуле;
где С средняя стоимость изделия в незавершенном производстве; П производственная себестоимость изделия.
Нормирование оборотных средств в незавершенном производстве осуществляется по формуле:
Н= 3 Т К,
где Н норматив оборотных средств в незавершенном производстве; 3 однодневные затраты; Т длительность производственного цикла; К коэффициент нарастания затрат в производстве.
Расчет норматива оборотных средств на незавершенное производство в отдельных отраслях промышленности может производиться иными методами в зависимости от характера производства.
Нормирование готовой продукции
Норматив оборотных средств на готовую продукцию определяется как произведение нормы оборотных средств и однодневного выпуска товарной продукции в предстоящем году по производственной себестоимости:

где Н норматив оборотных средств на готовую продукцию; В выпуск товарной продукции в IV квартале предстоящего года (при равномерном характере производства) по производственной себестоимости; Д число в периоде; Т норма оборотных средств на готовую продукцию, дни.
Норма запаса (Т) устанавливается в зависимости от времени, необходимого;
на подбор отдельных видов изделий и их комплектования в партии;
на упаковку и транспортировку продукции со склада поставщиков до станции отправителя;
на погрузку.
Совокупный норматив оборотных средств на предприятии равен сумме нормативов по всем их элементам и определяет общую потребность хозяйствующего субъекта в оборотных средствах. Общая норма оборотных средств устанавливается путем деления совокупного норматива оборотных средств на однодневный выпуск товарной продукции по производственной себестоимости в IV квартале, по данным которого рассчитывалась норма.
К ненормируемым оборотным средствам сферы обращения относятся средства в товарах отгруженных, денежные средства, средства в дебиторской задолженности и прочих расчетах. Хозяйствующие субъекты имеют возможность управлять этими средствами и воздействовать на их величину с помощью системы кредитования и расчетов.
3. Анализ использования оборотных средств предприятия
Финансовое положение предприятия находится в прямой зависимости от состояния оборотных средств, поэтому предприятия заинтересованы в организации наиболее рационального движения и использования оборотных средств.
Показатели эффективности использования
Эффективность использования оборотных средств характеризуется системой экономических показателей, прежде всего оборачиваемостью оборотных средств.
Под оборачиваемостью оборотных средств понимается продолжительность полного кругооборота средств с момента приобретения оборотных средств (покупки сырья, материалов и т.п.) до выхода и реализации готовой продукции. Кругооборот оборотных средств завершается зачислением выручки на счет предприятия.
Оборачиваемость оборотных средств неодинакова на различных предприятиях, что зависит от их отраслевой принадлежности, а в пределах одной отрасли от организации производства и сбыта продукции, размещения оборотных средств и других факторов.
Оборачиваемость оборотных средств характеризуется рядом взаимосвязанных показателей: длительностью одного оборота в днях, количеством оборотов за определенный период (коэффициент оборачиваемости), суммой занятых на предприятии оборотных средств на единицу продукции (коэффициент загрузки).
Длительность одного оборота оборотных средств исчисляется по формуле:
О = С : Т/Д,
где Одлительность оборота, дни; Состатки оборотных средств (средние или на определенную дату), руб.; Т объем товарной продукции, руб.; Д число дней в рассматриваемом периоде, дни.
Уменьшение длительности одного оборота свидетельствует об улучшении использования оборотных средств.
Количество оборотов за определенный период, или коэффициент оборачиваемости оборотных средств (КО), исчисляется по формуле:
КО = Т/С.
Чем выше при данных условиях коэффициент оборачиваемости, тем лучше используются оборотные средства.
Коэффициент загрузки средств в обороте (Кз), обратный коэффициенту оборачиваемости, определяется по формуле:
Кз = С/Т
Кроме указанных показателей также может быть использован показатель отдачи оборотных средств, который определяется отношением прибыли от реализации продукции предприятия к остаткам оборотных средств.
Показатели оборачиваемости оборотных средств могут рассчитываться по всем оборотным средствам, участвующим в обороте, и по отдельным элементам.
Изменение оборачиваемости средств выявляется путем сопоставления фактических показателей с плановыми или показателями предшествующего периода. В результате сравнения показателей оборачиваемости оборотных средств выявляется ее ускорение или замедление.
При ускорении оборачиваемости оборотных средств из оборота высвобождаются материальные ресурсы и источники их образования, при замедлении в оборот вовлекаются дополнительные средства.
Высвобождение оборотных средств вследствие ускорения их оборачиваемости может быть абсолютным и относительным. Абсолютное высвобождение имеет место, если фактические остатки оборотных средств меньше норматива или остатков предшествующего периода при сохранении или превышении объема реализации за рассматриваемый период. Относительное высвобождение оборотных средств имеет место в тех случаях, когда ускорение их оборачиваемости происходит одновременно с ростом объема выпуска продукции, причем темп роста объема производства опережает темп роста остатков оборотных средств.
Улучшение использования оборотных средств
Эффективность использования оборотных средств зависит от многих факторов. Среди них можно выделить внешние факторы, оказывающие влияние независимо от интересов и деятельности предприятия, и внутренние, на которые предприятие может и должно активно влиять.
К внешним факторам относятся: общая экономическая ситуация, особенности налогового законодательства, условия получения кредитов и процентные ставки по ним, возможность целевого финансирования, участие в программах, финансируемых из бюджета. Учитывая эти и другие факторы, предприятие может использовать внутренние резервы рационализации движения оборотных средств.
Повышение эффективности использования оборотных средств обеспечивается ускорением их оборачиваемости на всех стадиях кругооборота.
Значительные резервы повышения эффективности использования оборотных средств заложены непосредственно в самом предприятии. В сфере производства это относится, прежде всего, к производственным запасам. Запасы играют важную роль в обеспечении непрерывности процесса производства, но в то же время они представляют ту часть средств производства, которая временно не участвует в производственном процессе.
Эффективная организация производственных запасов является важным условием повышения эффективности использования оборотных средств. Основные пути сокращения производственных запасов сводятся к их рациональному использованию; ликвидации сверхнормативных запасов материалов; совершенствованию нормирования; улучшению организации снабжения, в том числе путем установления четких договорных условий поставок и обеспечения их выполнения, оптимального выбора поставщиков, налаженной работы транспорта. Важная роль принадлежит улучшению организации складского хозяйства.
Сокращение времени пребывания оборотных средств в незавершенном производстве достигается путем совершенствования организации производства, улучшения применяемых техники и технологии, совершенствования использования основных фондов, прежде всего их активной части, экономии по всем стадиям движения оборотных средств.
В сфере обращения оборотные средства не участвуют в создании нового продукта, а лишь обеспечивают его доведение до потребителя. Излишнее отвлечение средств в сферу обращения отрицательное явление. Важнейшими предпосылками сокращения вложений оборотных средств в сферу обращения являются рациональная организация сбыта готовой продукции, применение прогрессивных форм расчетов, своевременное оформление документации и ускорение ее движения, соблюдение договорной и платежной дисциплины.
Ускорение оборота оборотных средств позволяет высвободить значительные суммы и таким образом увеличить объем производства без дополнительных финансовых ресурсов, а высвобождающиеся средства использовать в соответствии с потребностями предприятия.
Выводы
1. Оборотные средства предприятия совокупность оборотных производственных фондов и фондов обращения. К оборотным производственным фондам относятся: сырье, основные и вспомогательные материалы, незаконченная производством продукция, топливо и другие предметы труда, которые целиком потребляются в каждом производственном цикле и стоимость которых переносится на изготовляемый продукт сразу полностью.
К фондам обращения относятся: готовая продукция на складе, отгруженная продукция, денежные средства в расчетах.
2. По источникам формирования оборотные средства делятся на собственные (средства, постоянно находящиеся в распоряжении предприятия и формируемые за счет собственных ресурсов) и заемные (кредиты банка, кредиторская задолженность и прочие пассивы).
3. По охвату нормирования оборотные средства делятся на нормируемые (по которым устанавливаются нормативы запасов: оборотные производственные фонды и готовая продукция на складе) и ненормируемые, Нормирование оборотных средств представляет собой процесс разработки экономически обоснованных величин оборотных средств, необходимых для организации нормальной работы предприятия. Оно является необходимой предпосылкой эффективного использования оборотных средств. Обычно предприятием определяются нормативы оборотных средств по материалам, запасам, находящимся в процессе производства, и по запасам готовой продукции.
4. Повышение эффективности использования оборотных средств достигается за счет ускорения их оборачиваемости.
Термины и понятия
Оборотные средства
Оборотные производственные фонды
Фонды обращения Структура оборотных средств
Нормирование оборотных средств
Норматив оборотных средств
Оборачиваемость оборотных средств
Отдача оборотных средств
Вопросы для самопроверки
1. Дайте определение понятий «оборотные средства», «оборотные производственные фонды», «фонды обращения».
2. Какие существуют группировки элементов оборотных средств?
3. Чем объясняется необходимость нормирования оборотных средств на предприятии?
4. Назовите основные принципы, методы и этапы планирования оборотных средств.
5. В чем состоит специфика нормирования материалов? Незавершенного производства? Готовой продукции?
6. Как рассчитываются показатели, характеризующие скорость оборота оборотных средств?
7. Какие способы повышения эффективности использования оборотных средств имеют особое значение в современных условиях?
Анализ рисков
При анализе риска обычно используются допущения, предложенные известным американским экспертом Б. Берлимером:
потери от риска независимы друг от друга;
потеря по одному направлению деятельности не обязательно увеличивает вероятность потери по другому, за исключением форс-мажорных обстоятельств;
максимально возможный ущерб не должен превышать финансовых возможностей участника.
Общая схема проведения анализа риска представлена на 23.1
1.
Анализ рисков можно подразделить на два дополняющих друг друга вида: качественный и количественный.
Качественный анализ позволяет определить факторы и потенциальные области риска, выявить возможные его виды. Количественный анализ направлен на то, чтобы количественно выразить риски, провести их анализ и сравнение. При количественном анализе риска используются различные методы. В настоящее время наиболее распространенными являются:
статистический метод;
анализ целесообразности затрат;
метод экспертных оценок;
аналитические методы;
метод аналогий;
анализ финансовой устойчивости предприятия и оценка его платежеспособности.
Методы количественного анализа риска
Статистический метод заключается в изучении статистики потерь и прибылей, имевших место на данном или аналогичном предприятии, с целью определения вероятности события, установления величины риска. Вероятность означает возможность получения определенного результата. Например, вероятность успешного продвижения нового товара на рынке в течение года составляет 3/4 а неуспех 1/4.
Величина, или степень, риска измеряется двумя показателями: средним ожидаемым значением и колеблемостью (изменчивостью) возможного результата.
Среднее ожидаемое значение связано с неопределенностью ситуации, оно выражается в виде средневзвешенной величины всех возможных результатов [Е (х)], где вероятность каждого результата (А) используется в качестве частоты или веса соответствующего значения (х). В общем виде это можно записать так:
Е (х) =А1х1 + А2х2+ ... + Аnхn,.
Допустим, что при продвижении нового товара мероприятие. А из 200 случаев давало прибыль 20,0 тыс. руб. с каждой единицы товара в 90 случаях (вероятность 90 : 200 = 0,45), прибыль 25,0 тыс. руб. в 60 случаях (вероятность 60 : 200 = 0,30) и прибыль 30.0 тыс. руб. в 50 случаях (вероятность 50 : 200 = 0,25). Среднее ожидаемое значение прибыли составит:
20,0 0,45 + 25,0 0,30 + 30,0 0,25 = 24.
Осуществление мероприятия Б из 200 случаев давало прибыль 19,0 тыс. руб. в 85 случаях, прибыль 24,0 тыс. руб. в 60 случаях, 31,0 тыс. руб. в 50 случаях. При мероприятии Б средняя ожидаемая прибыль составит;
19,0 (85: 200) + 24,0 (60 : 200) + 31,0 (50 : 200) = 23,8.
Сравнивая величины ожидаемой прибыли при вложении капитала в мероприятия А и Б, можно сделать вывод, что величина получаемой прибыли при мероприятии А колеблется от 20,0 до 30,0 тыс. руб., средняя величина составляет 24,0 тыс. руб.; в мероприятии Б величина получаемой прибыли колеблется от 19,0 до 31,0 тыс. руб. и средняя величина равна 23,8 тыс. руб.
Средняя величина представляет собой обобщенную количественную характеристику и не позволяет принять решение в пользу какого-либо варианта вложения капитала. Для окончательного решения необходимо измерить колеблемость (размах или изменчивость) показателей, т.е. определить меру колеблемости возможного результата. Колеблемость возможного результата представляет собой степень отклонения ожидаемого значения от средней величины.
Для ее определения обычно вычисляют дисперсию или среднеквадратическое отклонение.
Дисперсия представляет собой среднее взвешенное из квадратов отклонений действительных результатов от средних ожидаемых:

где 2 дисперсия; х ожидаемое значение для каждого случая наблюдения; х$ среднее ожидаемое значение; А частота случаев, или число наблюдений.
Среднее квадратическое отклонение определяется по формуле:
Дисперсия и среднее квадратическое отклонение являются мерами абсолютной колеблемости. Они измеряются в тех же единицах, что и варьирующий признак, Для анализа степени отклонения обычно используется коэффициент вариации.
Коэффициент вариации это отношение среднего квадратического отклонения к средней арифметической. Он показывает степень отклонения полученных значений.
где V коэффициент вариации, %; от среднее квадратическое отклонение; х среднее арифметическое.
Коэффициент вариации позволяет сравнивать колеблемость признаков, имеющих разные единицы измерения. Чем выше коэффициент вариации, тем сильнее колеблемость признака. Установлена следующая оценка коэффициентов вариации:
до 10% слабая колеблемость;
1025% умеренная колеблемость;
свыше 25% высокая колеблемость
1.
В нашем примере среднее квадратическое отклонение составляет:
в мероприятии А : А = 16,5 = 4,06;
в мероприятии Б: Б == 24,06 = 4,905.
Коэффициент вариации:
для мероприятия А: VА = 16,917;
для мероприятия Б: VБ = 20,609.
Коэффициент вариации при вложении капитала в мероприятие А меньше, чем при мероприятии Б. Следовательно, мероприятие А сопряжено с меньшим риском, а значит, предпочтительнее. Дисперсионный метод успешно применяется и при наличии более чем двух альтернативных признаков.
В тех случаях, когда информация ограничена, для количественного анализа риска используются аналитические методы, или стандартные функции распределения вероятностей, например нормальное распределение, или распределение Гаусса, показательное (экспоненциальное) распределение вероятностей, которое довольно широко используется в расчетах надежности, а также распределение Пуассона, которое часто используют в теории массового обслуживания.
Вероятностная оценка риска математически достаточно разработана, но опираться только на математические расчеты в предпринимательской деятельности не всегда бывает достаточным, так как точность расчетов во многом зависит от исходной информации.
Метод экспертных оценок основан на обобщении мнений специалистов-экспертов о вероятностях риска. Интуитивные характеристики, основанные на знаниях и опыте эксперта, дают в ряде случаев достаточно точные оценки. Экспертные методы позволяют быстро и без больших временных и трудовых затрат получить информацию, необходимую для выработки управленческого решения.
Метод аналогий обычно используется при анализе рисков нового проекта. Проект рассматривается как «живой» организм, имеющий определенные стадии развития. Жизненный цикл проекта состоит из этапа разработки, этапа выведения на рынок, этапа роста, этапа зрелости и этапа упадка. Изучая жизненный цикл проекта, можно получить информацию о каждом этапе проекта, выделить причины нежелательных последствий, оценить степень риска.
Однако на практике бывает довольно трудно собрать соответствующую информацию.
Метод оценки платежеспособности и финансовой устойчивости предприятия позволяет предусмотреть вероятность банкротства. В первую очередь анализу подвергаются сведения, содержащиеся и документах годовой бухгалтерской отчетности. Основными критериями неплатежеспособности, Характеризующими структуру баланса, являются: коэффициент текущей ликвидности, коэффициент обеспеченности собственными средствами и коэффициент восстановления (утраты) платежеспособности.
На основании указанной системы показателей можно оценить вероятность наступления неплатежеспособности предприятия.
Различные методы финансового анализа позволяют выявить слабые места в экономике предприятия, охарактеризовать его ликвидность, финансовую устойчивость, рентабельность, отдачу активов и рыночную активность. Однако обычно вывод о вероятности банкротства можно сделать только на основе сопоставления показателей данного предприятия и аналогичных предприятий, обанкротившихся или избежавших банкротства. Найти соответствующую информацию довольно трудно, поэтому для расчетов вероятностей банкротства широко используют многофакторные модели. Например, в зарубежной практике для предсказания банкротства широко используются многофакторные модели Э. Альтмана. В разработанной им модели 1977 г. в качестве переменных (факторов) используются показатели рентабельности активов, динамики прибыли, кумулятивной прибыльности, совокупных активов, коэффициенты покрытия процентов по кредитам, ликвидности, автономии.
Эта модель позволяет прогнозировать банкротство на пятилетний период с точностью до 70%
1.
Метод целесообразности затрат позволяет определить критический объем производства или продаж, т.е. нижний предельный размер выпуска продукции, при котором прибыль равна нулю. Производство продукции в объемах меньше критического приносит только убытки. Критический объем производства необходимо оценивать при освоении новой продукции и при сокращении выпуска продукции, вызванного падением спроса, сокращением поставок материалов и комплектующих изделий, заменой продукции на новую, ужесточением экологических требований и другими причинами. Для проведения соответствующих расчетов все затраты на производство и реализацию продукции подразделяют на переменные (материалы, комплектующие изделия, инструменты, заработная плата, расходы на транспорт и т.п.) и постоянные (амортизационные отчисления, управленческие расходы, арендная плата, проценты за кредит и т.п.)-
Бизнес-планы являются основой внутрифирменного планирования.
Точка безубыточности определяется по формуле:
Таблица 12.2. План доходов и расходов
Доходы и расходы
|
Месяцы
|
1
|
2
|
3
|
4
|
5
|
…
|
12
|
Доходы от продаж
|
|
|
|
|
|
|
|
Себестоимость реализованной продукции
|
|
|
|
|
|
|
|
Валовая прибыль
|
|
|
|
|
|
|
|
Эксплуатационные издержки, всего
|
|
|
|
|
|
|
|
В том числе:
|
|
|
|
|
|
|
|
заработная плата
|
|
|
|
|
|
|
|
амортизация
|
|
|
|
|
|
|
|
Остаток прибыли до уплаты налогов
|
|
|
|
|
|
|
|
Налоги
|
|
|
|
|
|
|
|
Чистая прибыль
|
|
|
|
|
|
|
|
Следующим шагом является подготовка кассового плана (или, иначе, плана движения денежных средств) (табл. 12.3).
Таблица 12.3. Кассовый план
Поступления и расходы
|
Месяцы
|
1
|
2
|
…
|
10
|
11
|
12
|
Начальный кассовый баланс
|
|
|
|
|
|
|
Кассовый приход:
наличность от продаж
Платежи по продажам в кредит
Займы
|
|
|
|
|
|
|
Общая располагаемая наличность
|
|
|
|
|
|
|
Расход наличных средств:
на закупку материалов
на заработную плату на административно-управленческие расходы
|
|
|
|
|
|
|
Баланс наличности в конце месяца
|
|
|
|
|
|
|
Важно спрогнозировать движение кассовой наличности помесячно для первого года операций и поквартально, по крайней мере, для двух лет, детально выделив величину и время ожидаемых приходов и расходов; определить потребности и сроки дополнительного финансирования и указать максимум в потребном оборотном капитале, а также показать, каким образом должно быть получено дополнительное финансирование (через акционерное финансирование, банковские займы, по линии краткосрочного банковского кредита), на каких условиях, как должны выплачиваться заемные средства.
И, наконец, третий документ балансовый план (табл. 12.4). К его составлению приступают после составления плана доходов и расходов и кассового плана, которые используются при подготовке балансового плана (или балансовой ведомости).
Балансовая ведомость характеризует финансовые условия предприятия к определенной дате. Она детально представляет элементы собственности данного предприятия (активы) и величину обязательств (пассивы). Она также показывает чистую стоимость предприятия и ее ликвидность (превращаемость в наличные деньги).
Этот документ необходимо составлять на 34 года вперед.
В заключение данного раздела следует дать оценку по основным финансовым показателям деятельности предприятия:
а) чистый доход к продажам. Этот показатель получается делением прибыли после уплаты налогов на объем продаж за год;
б) текущий коэффициент состояния активов и пассивов фирмы. Это текущие активы, деленные на текущие обязательства. Большинство предприятий рассматриваются как финансово здоровые, когда этот показатель равен 2 или выше;
в) рентабельность. Это чистая прибыль, деленная на инвестированный капитал.
Порядок разработки бизнес-плана
Если законченный вариант бизнес-плана должен начинаться с резюме, то процесс его разработки обычно резюме завершается. Главное здесь правильное формулирование целей бизнес-плана, количественных и качественных, финансовых и нефинансовых, а также их обоснование при помощи соответствующего маркетингового исследования, результаты которого смогли бы подтвердить обоснованность сделанных оценок, исходных финансовых показателей, прежде чем проводить какие-либо финансовые расчеты.
Таблица 12.4. Балансовая ведомость _______, 19__г.
Активы
Текущие активы:
Наличность
Запасы
Принятые счета
|
|
Всего текущих активов
|
|
Фиксированные активы:
Земля
Сооружение
Оборудование
|
|
Всего фиксированных активов
|
|
Накопленная амортизация
|
|
Неосязаемые активы:
Владение патентами
Другие неосязаемые активы
|
|
Всего неосязаемых активов
|
|
Всего активов
|
|
Пассивы
Текущие пассивы:
Счета, предъявляемые к платежу
Векселя, предъявляемые к платежу
|
|
Всего текущих пассивов
|
|
Фиксированные пассивы:
Долгосрочные займы
Закладные
|
|
Всего фиксированных пассивов
|
|
Всего пассивов
|
|
Структура капитала:
Капитал собственников
Другие акционеры
|
|
Всего капитала
|
|
Выводы
1. Предприятие определяет цели развития и функционирования на конкретный период времени, а также способы использования средств для достижения поставленных целей, т.е. разрабатывает хозяйственную стратегию.
2. Хозяйственная стратегия формируется под влиянием внешних и внутренних факторов, оказывающих влияние на деятельность предприятия. Можно выделить стратегию минимизации издержек производства; увеличения доли рынка сбыта,разработки и освоения производства изделий и услуг, не имеющих аналогов на рынке; создания новых рынков и отраслей промышленности, а также другие производственные стратегии.
3. Основой разработки хозяйственной стратегии является стратегическое планирование.
Главная задача стратегического планирования определение структуры, объемов, направлений капитальных вложений, исходя из конечных финансовых и рыночных целей предприятия.
4. При стратегическом планировании, прежде всего, анализируется состояние, тенденции и степень влияния внешней среды (т.е. экономика, политика, рынок, технология, конкуренция, международное положение и социальное поведение общества, региона и т.д.), затем осуществляется внутрифирменное планирование; составляются прогнозы сбыта.
5. Для разработки прогнозов сбыта используют различные методы: опрос руководителей различных отделов и служб предприятия; обобщение оценок торговых агентов предприятия; прогнозирование на базе прошлого оборота; анализ тенденций, циклов и факторов, влияющих на объем сбыта; корреляционный анализ; метод стандартного распределения вероятностей; прогнозирование доли рынка; анализ конечного использования, ассортимента товаров; пробный маркетинг.
6. Товарная стратегия предприятия предполагает решение таких проблем, как оптимизация ассортимента производимых изделий, определение темпов обновления продукции в целом и по отдельным ее видам, исходя из анализа состояния и тенденций развития спроса и предложения.
7. Производственная программа система плановых заданий по выпуску продукции установленной номенклатуры ассортимента и качества.
8. Производственная мощность предприятия (цеха, участка) характеризуется максимальным количеством продукции соответствующего качества и ассортимента, которое может быть произведено в единицу времени при полном использовании основных производственных фондов в оптимальных условиях их эксплуатации. Определяется проектная, плановая и фактическая производственная мощность, а также коэффициент использования производственных мощностей.
На производственную мощность оказывают влияние технические, организационные, экономические и социальные факторы.
9. При перспективном проектировании развития мощностей предприятия применяется балансовый метод, при котором определяются задания по приросту и вводу в действие производственных мощностей, а также их выбытие и замена.
10. Бизнес-планы являются основой внутрифирменного планирования. Они разрабатываются для отделов, подразделений, филиалов, конкретных проектов по освоению новых видов продукции или расширению производства и другим видам деятельности предприятия.
Термины и понятия
Хозяйственная стратегия
Товарная стратегия
Производственная программа
Производственная мощность
Бизнес-план
Вопросы для самопроверки
1. Какие существуют виды стратегий предприятия?
2. Каковы основные принципы и этапы разработки хозяйственной стратегии предприятия?
3. В чем состоят цели и задачи товарной стратегии?
4. Какие методы используются при разработке программы сбыта?
5. Что такое товарный ассортимент? Каковы технологии его планирования?
6. Как определяются объемы производства и реализации продукции?
7. Как рассчитывается оптимальный объем производства?
8. Как определяется производственная мощность предприятия, цеха, участка?
9. Каковы основные этапы разработки бизнес-плана? В чем состоят их особенности?
Четыре ступени мотивации.
В зависимости от прямого или обратного отношения этих величин существует два показателя: выработка и трудоемкость.
Наиболее распространенным и универсальным показателем является выработка, которая может быть часовой, дневной, месячной (квартальной, годовой).
Выработка представляет собой количество продукции (Q), производимое в единицу рабочего времени (Т), или приходящееся на одного среднесписочного работника в месяц, квартал, год. Она определяется отношением количества производимой продукции к затратам рабочего времени на производство этой продукции: Q/T.
Наряду с выработкой широко используется показатель трудоемкости продукции. Под трудоемкостью продукции понимается сумма всех затрат труда на производство единицы продукции на данном предприятии (T/Q).
В зависимости от состава трудовых затрат, их роли в процессе производства учитываются следующие виды трудоемкости, которые являются составными частями полной трудоемкости изготовления продукции: технологическая трудоемкость обслуживания производства, производственная трудоемкость, трудоемкость управления производством.
По характеру и назначению затрат труда различают нормированную, фактическую и плановую трудоемкость.
По объекту исчисления различают трудоемкость на операцию, деталь, изделие, товарную и валовую продукцию.
По месту приложения труда выделяют трудоемкость заводскую, цеховую, участковую, бригадную и рабочего места.
Методы измерения производительности труда различаются в зависимости от способов определения объемов вырабатываемой продукции. Для исчисления объема производства (продукции, работ, услуг) и соответственно производительности труда (по выработке) различаются три метода определения выработки; натуральный, стоимостный (денежный) и трудовой.
Натуральный методсамый простой и достоверный метод, когда объем выработанной продукции, исчисляется в натуральном выражении (тоннах, метрах, штуках и т.д.).
Натуральные показатели позволяют видеть состав произведенной продукции по видам, сортам и т.п. Достоинством этого метода является непосредственная сравнимость показателей производительности труда. Однако с помощью натуральных показателей можно измерять производительность труда лишь в рамках отдельных видов продукции или видов работ.
Стоимостный метод. Сущность его заключается в том, что показатель производительности труда определяется как соотношение произведенной продукции, выраженной в денежных единицах, к затратам рабочего времени.
Для исчисления производительности труда в стоимостном выражении могут быть использованы различные показатели оценки объема выпускаемой продукции: валовая продукция, товарная продукция, валовой оборот, нормативная стоимость обработки, нормативная чистая и чистая продукция, валовой доход. Каждый из этих показателей имеет свои положительные и отрицательные стороны.
Трудовой метод. На рабочих местах, в бригадах, на производственных участках и в цехах при выпуске разнообразной незавершенной продукции производительность труда определяется в нормо-часах. При научно обоснованных нормах этот метод точно характеризует динамику производительности труда.
При изучении вопросов производительности труда необходимо рассмотреть факторы роста производительности труда.
Факторы роста производительности труда это движущие силы или причины, под влиянием которых изменяется ее уровень. В качестве таких факторов выступают: технический прогресс, совершенствование организации производства, управления и труда и др.
На уровне предприятия (фирмы) можно выделить 5 групп факторов роста производительности труда. Регионально-экономические (природно-климатические условия, их изменения; сбалансированность рабочих мест и трудовых ресурсов) и экономико-географические факторы (освоенность района месторождения; наличие местных строительных материалов; свободных ресурсов рабочей силы, электроэнергии, воды; рельеф местности; расстояние до коммуникаций и т.п.).
Факторы структурных сдвигов. К ним относятся: сдвиги в изменении доли покупных изделий и полуфабрикатов; относительное сокращение численности работающих в связи с ростом объемов производства.
Факторы ускорения НТП (внедрение новых поколений высокоэффективной техники; применение прогрессивных базовых технологий, использование автоматизированных систем в проектировании; применен несовременных ЭВМ; внедрение гибких переналаживаемых производств и т.д.).
Экономические факторы. Современные формы организации и стимулирования труда; научная организация и интенсивность труда; рост квалификации работников; совершенствование распределительных отношений, планирования и управления кадрами.
Социальные факторы. Ими являются: человеческий фактор; сокращение объемов монотонного, вредного и тяжелого труда; улучшение условий труда; факторы социального партнерства.
Мотивация производительного труда
Мотивация является одним из основных факторов, определяющих эффективность трудовой деятельности.
Мотивация это побуждение себя и других к деятельности для достижения личных целей или целей организации. Психологи выделяют два вида мотивации: внутреннюю и внешнюю. Внутренняя мотивация связана с интересом к деятельности, со значимостью выполняемой работы, со свободой действий, возможностью реализовать себя, а также развивать свои умения и способности.
Внешняя мотивация формируется под воздействием внешних факторов, таких, как условия оплаты труда, социальные гарантии, возможность продвижения по службе, похвала или наказание руководителя и т.п. Они оказывают сильное воздействие, но не обязательно длительное. Более эффективной является такая система факторов, которая будет оказывать влияние, как на внешнюю, так и на внутреннюю мотивацию.
Существует множество различных подходов к тому, как руководитель должен строить систему мотивации сотрудников. Одна из таких систем «мотивационная лесенка» Маккинси. В основе ее четыре ступени мотивации.
Решающим фактором успеха в реализации программы мотивации является понимание того, что процесс возникновения мотивированности многоступенчатый. И изолированное использование отдельных его компонентов не может привести к успеху.
На первой ступени этой «лесенки» руководитель должен добиться того, чтобы каждый сотрудник идентифицировал себя с предприятием и его целями. Для этого он сам должен служить примером такой идентификации. Каждый сотрудник должен чувствовать сопричастность делам фирмы, и цели работодателя должны быть и его собственными целями.
Вторым этапом согласно этой концепции является идентификация сотрудника с конкретными задачами. Если задачи оказываются «навязанными сверху», то результаты вряд ли окажутся хорошими. В этом случае работник не будет чувствовать их важности и большую часть времени потратит на то, чтобы убедить руководителя в их несостоятельности или нереальности.
Для устранения этого недостатка предлагается совместная разработка промежуточных целей, которые должны отвечать таким требованиям, как важность и актуальность для всех, конкретность и простота измерения, достижимость с помощью имеющихся ресурсов; промежуточные цели должны привести к успеху уже через несколько недель и находить признание у всех сотрудников.
Третья ступень заключается в том, что каждый сотрудник должен быть уверен в своей способности решить данные задачи. Первой предпосылкой появления такой уверенности является признание сотрудниками поставленных целей с точки зрения их количественных показателей. На этом этапе также необходимо управление и руководство сотрудником плюс контроль за ходом выполнения работы.
Заключительный этап «мотивационной лесенки» состоит в том, что работнику необходимо прочувствовать успех. Успех одна из потребностей, мотивирующих человека, поэтому важно дать человеку возможность ощутить успех, свою причастность к нему и признание его заслуг со стороны руководства.
На этом этапе сотрудник получает внутренние и внешние вознаграждения. К внутренним вознаграждениям относятся удовлетворение от выполненной работы, чувство собственной компетентности и самоуважения. Внешние вознаграждения, которые являются одной из причин внутренних, обеспечиваются руководителем.
Внешние вознаграждения непосредственно связаны с системой стимулирования, которая включает три уровня: признание заслуг сотрудника руководством, материальные стимулы в зависимости от величины трудового вклада и возможность повышения по службе.
- Нормирование труда
Организация труда включает в качестве необходимого составляющего элемента нормирование труда. Целью нормирования труда является определение необходимых затрат и результатов труда, установление соотношений между численностью работников различных групп и количеством единиц оборудования. Необходимыми считаются затраты и результаты, соответствующие наиболее эффективным вариантам организации труда, производства и управления. Нормирование труда на предприятии обеспечивает:
определение плановой трудоемкости изготовления отдельных деталей, узлов и изделия в целом;
расчет необходимой численности работников, как по профессиям, так и по квалификации;
оценку результатов труда, установление фондов заработной платы и материального поощрения;
Что такое жизненный цикл инноваций?
Указанная формула является основой для расчета экономического эффекта новой техники во всех отраслях народного хозяйства.
При расчете годового экономического эффекта от внедрения новой техники в составе капитальных вложений учитываются затраты на всех стадиях создания, разработки, внедрения и использования новой техники, а именно:
затраты на научные исследования, конструкторские, опытные и опытно-промышленные установки (Кнр);
затраты на приобретение, доставку, монтаж (демонтаж) оборудования, техническую подготовку, наладку и освоение производства (Ктп);
затраты на пополнение оборотных средств предприятия, связанные с созданием и использованием новой техники (Кно)
затраты (прибыль) от производства и реализации продукции в период освоения производства, предшествующие расчетному году (Косв).
Тогда суммарные капитальные вложения рассчитываются по формуле:
Ксум = Кнр + Кпт + Коб + Косв
Расчет экономического эффекта от производства и использования новых средств труда долговременного применения за срок их службы производится по формуле:
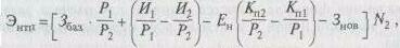
где Энт экономический эффект от производства и использования новой техники, руб.; Збаз и Знов приведенные затраты на единицу базового и нового средства труда, руб.; N1 и N2 годовые объемы продукции, произведенной на основе базового и нового средства труда, где а1 и а2 доля отчислений на реновацию базового и нового средства труда; а2 + Ен, а2 Ен коэффициенты учета срока службы базового и нового средства труда, включая моральный износ; И1 и И2 годовые эксплуатационные издержки при использовании базового и нового средства труда, руб.; Кп1 и Кп2 дополнительные капитальные вложения потребителя при использовании базового и нового средства труда, руб.
Если речь идет об экономическом эффекте от внедрения новых или усовершенствованных предметов труда (сырья, материалов, топлива), то формула принимает вид:
где Энпт экономический эффект от внедрения и использования нового предмета труда, Збаз и Знов приведенные затраты на единицу базового и нового предмета труда, руб.; И1 и И2 затраты потребителя на единицу работы при использовании базового и нового предмета труда, руб.; Кп1 и Кп2 капитальные затраты на единицу работы у потребителя при использовании базового и нового предмета труда, руб.; Р1 и Р2 удельный расход базового и нового предмета труда на единицу выполненной работы, ед.; N2 годовой объем производства.
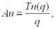
Помимо расчета экономического эффекта от внедрения новых средств труда и новых предметов труда широко практикуется расчет результатов от внедрения новшеств в виде увеличения производительности труда, снижения материалоемкости и энергоемкости, высвобождения работающих и т.д. Так, прогнозируемое уменьшение численности персонала в результате внедрения новой техники рассчитывается по формуле:

где Pt высвобождение работников, чел.; Цt цена единицы продукта в t-м году, руб.; q1 выработка продукции на одного работающего до внедрения новой техники; qt выработка продукции на одного работающего в t-м году; Nt, объем производства в t-м году в натуральных единицах.
Помимо важных показателей экономической эффективности производства и эксплуатации новшества весьма весомыми являются результаты объема продаж и коммерческой деятельности предприятия по реализации новшеств. Так, подсчет планируемого прироста прибыли от внедрения и реализации новой продукции подсчитывается по формуле:
П = (Цt Сt ) Nt,( Ц1 С1,) N1
где П прирост прибыли от производства и реализации новой продукции, руб.; Цt; оптовая цена продукции без налога в t-м году, руб.; Ц1 оптовая цена заменяемой продукции в базовом году, руб.; Сt, себестоимость новой продукции в t-м году, руб.; С1 себестоимость заменяемой продукции в базовом году, руб.; N1 годовой объем производства заменяемой продукции в базовом году, ед.; Nt,, годовой объем производства новой продукции в t -м году, ед.
Инновационный проект
В рыночной экономике при разработке и внедрении новшеств наиболее распространен не нормативный, а проектный подход.
В основе проектного подхода к деятельности предприятия, в том числе к его инновационной и инвестиционной деятельности, лежит принцип денежных потоков (cash flow). При этом коммерческая эффективность деятельности, как для проекта, так и для предприятия определена на основании «Методических рекомендаций по оценке эффективности инвестиционных проектов и их отбору для финансирования», утвержденных Госстроем, Министерством экономики, Министерством финансов и Госкомпромом РФ от 31 марта 1994г.
Установлены следующие основные показатели эффективности инновационного проекта:
финансовая (коммерческая) эффективность, учитывающая финансовые последствия для участников проекта;
бюджетная эффективность, учитывающая финансовые последствия для бюджетов всех уровней;
народнохозяйственная экономическая эффективность, учитывающая затраты и результаты, выходящие за пределы прямых финансовых интересов участников проекта и допускающие стоимостное выражение.
Безусловно, дополнительно следует учитывать затраты и результаты, не поддающиеся стоимостной оценке (социальные, политические, экологические и проч.).
Вариант обобщенной схемы анализа инновационного проекта представлен на 16.5.
Для, расчета финансовой эффективности инновационного проекта применяют четыре главных метода инвестиционного анализа:
окупаемости капиталовложений; индекса доходности; чистой текущей стоимости (иногда его называют методом чистого дисконтированного дохода); внутренней нормы доходности.
Метод окупаемости капиталовложений является весьма распространенным на практике. Но его существенный недостаток игнорирование будущей стоимости денег с учетом дохода будущего периода и вследствие этого неприменимость дисконтирования. В условиях инфляции, резких колебаний ставки процента и низкой нормы внутренних накоплений предприятия в реальной российской экономике этот метод недостаточно точен.
Метод индекса доходности (IR) ориентирован на анализ отношения суммы приведенных эффектов к величине приведенных капитальных вложений:

где IR индекс доходности; Кt, капитальные вложения на t м году, руб.; Rt, результаты (доход) на t-м году, руб.; St затраты, осуществляемые в t м году, руб.
16.5. Обобщенная схема анализа инновационного проекта
Если индекс доходности положителен, то проект рентабелен; если он меньше единицы, то проект не эффективен.
Чистая текущая стоимость (ЧТС либо NPV англ. net present value) является чистым дисконтированным доходом и определяется как сумма текущих эффектов за весь расчетный период. При этом величина дисконта может быть постоянной или переменной. NPV вычисляется по формуле:

где NPV чистая текущая стоимость проекта; Rt результаты (доход) на t-м шаге, руб.; St затраты на t-м шаге, руб.
Эффективность проекта рассматривается при данной норме дисконта Е на основании значений NPV: чем оно больше, тем эффективнее проект. При NPV меньше единицы проект не эффективен.
Метод внутренней нормы доходности (ВНД либо IRR англ. internal ratio of return) выявляет ту норму дисконта Евнд, при которой величина приведенных эффектов равна величине приведенных капиталовложений.
Проект эффективен, если ВНД(IRR) равна или больше требуемой инвестором нормы дохода на капитал.
Расчеты по ВНД и ЧТС могут приводить по одному проекту к противоречивым результатам. Это объясняется либо ошибкой в выборе требуемой нормы дисконта Е, либо разночтением требований инвестора и проектного менеджера к норме дохода. В любом случае следует отдать предпочтение ЧТС.
Выводы
1. Инновационная деятельность вид деятельности, связанный с трансформацией идей-инноваций в новый усовершенствованный продукт, внедренный на рынке; в новый или усовершенствованный технологический процесс, использованный в практической деятельности; в новый подход к социальным услугам.
2. Инновационная деятельность предполагает целый комплекс научных, технических, организационных, финансовых и коммерческих мероприятий.
3. Выделяют следующие основные виды инновационной деятельности: инструментальная подготовка и организация производства; пуск производства и предпроизводственные разработки, включающие модификации продукта и технологического процесса; переподготовку персонала для применения новых технологий и оборудования; маркетинг новых продуктов; приобретение неовеществленной технологии в виде патентов, лицензий, ноу-хау, торговых марок, конструкций, моделей и услуг технологического содержания; приобретение машин или оборудования, связанных с внедрением инноваций; производственное проектирование, необходимое для разработки, производства и маркетинга новых товаров, услуг; реорганизация структуры управления.
4. Выбор способа и направления инновационной деятельности предприятия зависит от ресурсного и научно-технического потенциала предприятия, требований рынка, стадий жизненного цикла техники и технологии, особенностей отраслевой принадлежности.
5. При проектировании, разработке и внедрении инноваций следует определить необходимые затраты для их реализации, возможные источники финансирования, оценить экономическую эффективность от внедрения инноваций, сравнить эффективность различных инноваций путем сравнения доходов и затрат.
Термины и понятия
Инновация
Жизненный цикл
Технологический уровень производства
Инновационный проект
Срок окупаемости
Вопросы для самопроверки
1. Дайте определение понятий «инновации», «инновационная деятельность», их состав, классификация, направления и подходы к разработке и внедрению.
2. Что такое жизненный цикл инноваций? Каковы его стадии?
3. Каковы цели, задачи и особенности анализа циклов жизни новой техники и технологии?
4. Какие показатели технического уровня новой техники и технологии Вы знаете? Какова сфера их применения?
5. Что включает анализ технико-организационного уровня производства?
6. Охарактеризуйте взаимосвязь хозяйственной стратегии предприятия и особенностей НИОКР и применяемой технологии. Что включают стратегические технологические факторы?
7. Назовите основные этапы анализа экономической эффективности инноваций.
8. Какие показатели экономической эффективности инноваций имеют наибольшее прикладное значение?
9. В чем состоят особенности анализа инвестиционного проекта?
Длительность цикла
Для этого случая длительность цикла, мин;
Тц (посл) = 3(10 + 40 + 20 + 10) = 240.
Так как ряд операций может выполняться не на одном, а на нескольких рабочих местах, длительность производственного цикла при последовательном движении в общем случае имеет вид:
где Ci, число рабочих мест.
При параллельном движении передача предметов труда на последующую операцию осуществляется поштучно или транспортной партией сразу после обработки на предыдущей операции:
где р размер транспортной партии, шт; tmax время выполнения наиболее продолжительной операции, мин; Сmax число рабочих мест на наиболее продолжительной операции. Для рассмотренного выше примера; р =1.
При параллельном виде движения длительность производственного цикла значительно сокращается.
При параллельно-последовательном виде движения предметы труда передаются на последующую операцию по мере их обработки на предыдущей поштучно или транспортной партией, при этом время выполнения смежных операций частично совмещается таким образом, что партия изделий обрабатывается на каждой операции без перерывов.
Длительность производственного цикла может быть определена как разность между длительностью цикла при последовательном виде движения и суммарной экономией времени по сравнению с последовательным видом движения, за счет частичного перекрытия времени выполнения каждой пары смежных операций:

Для нашего примера: р = 1.
Тц(пар-посл)= 240 [10 (3 1) + 20 (3 1) + 10 (3 1)] = 160 мин.
Продолжительность цикла
На продолжительность производственного цикла влияет множество факторов: технологических, организационных и экономических. Технологические процессы, их сложность и многообразие, техническая оснащенность предопределяют время обработки деталей и продолжительность сборочных процессов. Организационные факторы движения предметов труда в процессе обработки связаны с организацией рабочих мест, самого труда и его оплатой.
Организационные условия в еще большей степени влияют на продолжительность выполнения вспомогательных операций, обслуживающих процессов и перерывы.
Экономические факторы обусловливают уровень механизации и оснащенность процессов (а, следовательно, их длительность), нормативы незавершенного производства.
Чем быстрее совершается производственный процесс (чем меньше длительность производственного цикла), являющийся одним из элементов кругооборота оборотных средств, тем больше будет скорость их оборачиваемости, тем большее число оборотов они совершают в течение года.
В результате происходит высвобождение денежных ресурсов, которые могут быть использованы для расширения производства на данном предприятии.
По той же причине происходит сокращение (абсолютное или относительное) объема незавершенного производства. А это означает высвобождение оборотных средств в их вещественной форме, т.е. в форме конкретных материальных ресурсов.
Производственная мощность предприятия или цеха прямо зависит от длительности производственного цикла. Под производственной мощностью понимается максимально возможный выпуск продукции в плановом периоде. И поэтому ясно, что чем меньше затрачивается времени на производство одного изделия, тем большее их число может быть изготовлено за тот же период времени.
Производительность труда при сокращении длительности производственного цикла повышается в результате увеличения объема выпуска продукции за счет увеличения производственной мощности, что приводит к уменьшению доли труда вспомогательных рабочих в единице продукции, а также доли труда специалистов и служащих.
Себестоимость продукции при сокращении производственного цикла снижается за счет уменьшения в себестоимости единицы продукции доли общезаводских и цеховых расходов при увеличении производственной мощности.
Таким образом, сокращение длительности производственного цикла один из важнейших источников интенсификации и повышения эффективности производства на промышленных предприятиях.
Резервом уменьшения длительности производственного цикла служит совершенствование техники и технологии, применение непрерывных и совмещенных технологических процессов, углубление специализации и кооперирования, внедрение методов научной организации труда и обслуживания рабочих мест, внедрение робототехники.
Выводы
1. Производственная структура предприятия характеризует разделение труда между подразделениями предприятия и их кооперацию. Рациональное построение производственного процесса в пространстве необходимое условие его эффективности.
2- Главными элементами производственной структуры предприятия являются рабочие места, участки и цехи.
3. Производственная структура может быть организована по технологическому, предметному или смешанному типу, с полным или неполным циклом производства.
4. Все цехи и хозяйства промышленного предприятия можно разделить на цехи основного производства, вспомогательные цехи и обслуживающие хозяйства.
5. Формирование структуры предприятия зависит от внешних факторов (отраслевые, региональные, обще структурные) и внутренних (характер и объем выпускаемой продукции, особенности и возможности основных фондов предприятия, уровень специализации, кооперирования и др.).
6. В зависимости от ассортимента выпускаемой продукции, объемов производства, типов оборудования, трудоемкости операций, длительности производственного цикла и других факторов различают единичное, серийное и массовое производство.
7. Производственный процесс представляет собой совокупность процессов труда, направленных на превращение сырья и материалов в готовую продукцию,
Принципами рациональной организации производственного процессаявляются: специализация, параллельность и пропорциональность, прямоточность и непрерывность, ритмичность и техническая оснащенность.
8. Производственные процессы разделяют на механические, физические, химические и т.д.; непрерывные «дискретные; заготовительные, обрабатывающие и отделочные; ручные и механизированные.
Основными параметрами производственного процесса являются темп и такт операции.
9. Производственный цикл период времени изготовления изделия или партии с момента запуска сырья и материалов в основное производства до получения готового продукта.
Структура производственного цикла включает время выполнения основных, вспомогательных операций и перерывов в изготовлении изделий.
10. На продолжительность производственного цикла влияют технологические, организационные, экономические и другие факторы.
Термины и понятия
Производственная структура предприятия
Тип производства
Производственный процесс
Производственный цикл
Вопросы для самопроверки
1. В чем суть общей и производственной структуры предприятия?
2. Каковы основные элементы производственной структуры? Какие факторы определяют производственную структуру предприятия?
3. Каковы основные принципы организации производственного процесса?
4. Какие параметры характеризуют производственный процесс?
5. Что включается в понятие «производственный цикл»?
6. Какие нормативы используются при организации производственного цикла во времени?
Добровольная ликвидация
Добровольная ликвидация
Добровольная ликвидация предприятия осуществляется во внесудебном порядке по взаимному соглашению между предприятием-должником и кредиторами под их контролем. При добровольной ликвидации также назначается конкурсный управляющий, происходит формирование конкурсной массы и продажа имущества. Предприятие считается ликвидированным с момента его исключения из государственного реестра.
При добровольной ликвидации государственных предприятий и предприятий, в капитале которых доля (вклад) Российской Федерации составляет более 25%, принятие решения о неудовлетворительной структуре баланса и отсутствии реальной возможности восстановления платежеспособности предприятия возлагается на Федеральное управление по делам о несостоятельности (банкротстве). Оно наделяется частью полномочий арбитражных судов, принимает решения о дальнейшей судьбе предприятия, контролирует процесс добровольной ликвидации. Федеральное управление было создано для защиты предприятия при признании его банкротом, поэтому в его функции входит представление интересов собственника (в случае делегирования ему таких полномочий) и контроль за поступлением финансовых средств государства для поддержки предприятия.
Мировое соглашение
Мировое соглашение это процедура достижения договоренности между должником и кредиторами относительно отсрочки и/или рассрочки причитающихся кредиторам платежей или скидки с долгов. Оно может быть заключено на любом этапе производства по делу о несостоятельности (банкротстве) предприятия с момента возбуждения производства до завершения конкурсного производства. В рамках судебной процедуры мировое соглашение возможно только под контролем арбитражного суда.
С момента утверждения мирового соглашения производство по делу о признании предприятия банкротом прекращается (если проводились реорганизационные процедуры, то они тоже прекращаются).
Выводы
1. Предпринимательская деятельность связана с различными видами рисков: производственными, финансовыми, инвестиционными. При правильном и умелом руководстве предприятием вероятность риска потерь может быть снижена.
2. Существуют различные методы оценки риска и способы снижения вероятности потерь при осуществлении хозяйственной деятельности предприятия. Предприниматель не должен забывать, что нельзя рисковать больше, чем позволяет собственный капитал, забывать о риске и рисковать многим ради малого.
3. Неспособность предприятия эффективно функционировать, снижение финансовой устойчивости и ликвидности предприятия, высокая степень предпринимательского риска могут привести к банкротству предприятия. Причины банкротства зависят от внутренних и внешних факторов, влияющих на деятельность предприятия.
4. Процедура банкротства регулируется соответствующими законодательными и нормативными актами. Процедура банкротства предусматривает проведение реорганизационных (внешнее управление, санация) и ликвидационных мероприятий (принудительная и добровольная ликвидация).
Термины и понятия
Предпринимательский риск
Производственный риск
Финансовый риск
Инвестиционный риск
Распределение риска
Диверсификация
Хеджирование
Несостоятельность предприятия
Внешнее управление
Санация
Принудительная ликвидация
Добровольная ликвидация
Мировое соглашение
Конкурсная масса
Конкурсное производство
Конкурсный управляющий
Арбитражный управляющий
Производственный леверидж
Вопросы для самопроверки
1. Какие виды рисков наиболее характерны для предпринимательской деятельности?
2. В чем заключаются особенности производственного, финансового и инвестиционного рисков?
3. Что такое динамический, статистический, абсолютный и относительный риск?
4. Назовите внешние и внутренние факторы риска. Как они влияют на предпринимательскую деятельность?
5. В чем заключаются основные принципы анализа риска?
6. Каковы цели и задачи качественного и количественного анализа
риска?
7. В чем состоят особенности, цели и задачи различных методов анализа риска?
8. Какое основные способы снижения риска Вы считаете наиболее эффективными?
9. Дайте определение понятия «банкротство предприятия». Какие основные законодательные акты регулируют процедуру банкротства?
10. Какие показатели используются для оценки угрозы банкротства предприятия?
11. Назовите основные этапы процедуры банкротства. В чем их особенности?
Словарь понятий и терминов
А
Авуары в широком смысле различные активы (денежные средства, чеки, векселя, аккредитивы), за счет которых могут быть произведены платежи и погашены обязательства их владельцев.
Актив баланса первая часть бухгалтерского баланса предприятия, в которой отражается имущество по составу и размещению.
Активы предприятия принадлежащие предприятию, организации имущество, товары, ценные бумаги, денежные средства, включая суммы, не востребованные с других предприятий или иных должников.
Активная часть ведущая часть основного капитала, которая непосредственно участвует в создании продукции и служит базой для оценки технического уровня производственных мощностей.
Акцизы разновидность косвенного налога на товары и услуги, включаемого в цену или тариф.
Акционерное общество организационная форма объединения средств (вкладов) предприятий, организаций, других юридических лиц и граждан в целях осуществления хозяйственной деятельности. Существуют закрытые и открытые акционерные общества.
Акционерный капитал капитал акционерного общества, размер которого определяется его уставом. Образуется за счет заемных средств и эмиссии (выпуска) акций.
Акция вид ценной бумаги, выпускаемой акционерными обществами, которая удостоверяет внесение средств ее владельцем на цели развития данного общества и дает владельцу право на получение части прибыли предприятия в виде дивиденда.
Различают акции обыкновенные, привилегированные, именные, на предъявителя, трудового коллектива и др.
Амортизация постепенное перенесение стоимости основных фондов в процессе их эксплуатации на стоимость готовой продукции.
Аннуитеты инвестиции, приносящие вкладчику определенный доход через регулярные промежутки времени.
Антимонопольное регулирование совокупность законодательных, административных и экономических мер, осуществляемых государством с целью ограничения возможностей монополизировать рынок.
Арбитражный управляющий лицо, осуществляющее по решению арбитражного суда управление предприятием-должником в процессе внешнего управления.
Аренда основанное на договоре срочное и возмездное пользование землей, предприятием, основными производственными фондами, иным имуществом, переданным арендатору для самостоятельной хозяйственной деятельности.
Аттестация продукции комплекс организационно-технических и экономических мероприятий, предусматривающих систематическое проведение объективной оценки технико-экономических показателей качества продукции.
Б
Баланс-брутто бухгалтерский баланс, включающий регулирующие статьи.
Баланс-нетто бухгалтерский баланс, очищенный от регулирующих статей.
Балансовая прибыль общая сумма прибыли предприятия по всем видам деятельности, отражаемая в его балансе.
Баланс спроса и предложения соответствие объема продукции и структуры спроса и предложения.
Банковское кредитование метод финансирования потребностей предприятия на условиях платности, срочности и возвратности.
Банкротство неспособность осуществлять платежи по долговым обязательствам, удостоверенная судебной инстанцией.
Безработица ситуация в экономике, при которой часть трудоспособного населения, становясь относительно избыточной (резервной армией труда), не имеет работы, ищет ее и готова переквалифицироваться. Различают естественную (фрикционную, институциональную, добровольную) и вынужденную (технологическую, структурную, региональную) безработицу.
Бизнес экономическая деятельность субъекта в условиях рыночной экономики, нацеленная на получение прибыли путем создания и реализации определенной продукции или услуги.
Бизнес-план краткое изложение целей и путей достижения организуемого фирмой производства (услуги), используемое для обоснования инвестиций и привлечения инвесторов.
Биржа труда организация, специализирующаяся на посредничестве между рабочими и предпринимателями с целью купли-продажи рабочей силы.
Биржа фондовая организованный и регулярно действующий рынок ценных бумаг.
Биржевые сделки сделки, совершаемые на бирже, проводятся по определенным правилам биржевыми посредниками. Включают сделки с реальными ценностями, форвардные (срочные) сделки, фьючерсные и опционные сделки.
Будущая стоимость сумма, полученная в результате накопления процентов по вкладу по истечении периода, на который осуществляется расчет.
Бухгалтерский баланс способ экономической группировки имущества по его составу и размещению и источникам его формирования на 1-е число месяца, квартала, года.
в
Валовая выручка полная сумма денежных поступлений от реализации товарной продукции, работ, услуг и материальных ценностей.
Валовая прибыль часть валового дохода предприятия, которая остается у него после вычета всех обязательных расходов.
Валовой доход конечный результат хозяйственной деятельности предприятия.
Доход, получаемый владельцем акций
Финансовый лизинг (продолжительностью от 5 до 10 лет) представляет собой форму долгосрочного кредитования предприятия. Вместе с тем он имеет преимущества перед обычной ссудой, которая всегда связана с ограниченными сроками предоставления и погашения кредита. Лизингболее гибкая форма кредитования, так как предприятие-арендатор и банк могут выбрать удобную для обеих сторон форму платежей, которые к тому же не облагаются налогом.
Факторинговые операции
Факторинговые, или торгово-комиссионные, операции производятся с целью ускорения получения поставщиком платежа. Предприятия-поставщики уступают банку право требования платежа по платежным документам за поставленные товары, выполненные работы, оказанные услуги. Банк сразу же возмещает поставщику часть суммы, остальная ее часть поступает на счет поставщика после поступления средств от покупателя. В договоре может быть предусмотрено и незамедлительное возмещение предприятию-поставщику полной суммы, причитающейся ему от покупателя.
Обычно за осуществление такой операции банк взимает с предприятия дополнительную плату.
Факторинговые операции обеспечивают для предприятия-поставщика кредитование его оборотных средств, минимизируют потери от просрочки платежа, создают условия для нормальной производственной деятельности. Предприятие-поставщик знает точную дату поступления платежей и может планировать свои расходы. Особенно эффективно факторинговое обслуживание для малых и средних предприятий, нередко испытывающих временные финансовые затруднения.
Трастовые операции
Трастовые (доверительные) операции проводятся банками от имени и по поручению клиентов за их счет и в их пользу. На долю трастовых операций в развитых странах приходится большая часть всех предоставляемых банками услуг. Частью доверительных операций является управление портфелями инвестиций клиентов, управление имуществом, недвижимостью и другой собственностью.
-
Взаимоотношения предприятий с биржами
Биржа это особая форма оптового рынка, на котором в качестве товаров фигурируют средства производства и предметы потребления (товарная биржа), ценные бумаги (фондовая биржа), иностранная валюта (валютная биржа).
Особенности биржевой торговли
Обеспечивая концентрацию спроса и предложения во времени и пространстве, биржа создает благоприятные условия для ценовой конкуренции, способствует формированию рыночных цен (цен котировки), не зависящих от отдельного продавца и покупателя и учитывающих результаты всех совершенных на бирже сделок. В то же время биржевой механизм позволяет продавцу и покупателю оперативно реагировать на изменения спроса и предложения.
В организации биржевой торговли существует несколько особенностей:
процесс торгов всегда происходит в одном и том же месте в одно и то же заранее определенное время;
все сделки совершаются по определенным, обычно законодательно утвержденным правилам, которые регламентируют взаимоотношения продавцов, покупателей, посредников, характеристики биржевых товаров, порядок исполнения контрактов и т.д.;
для упрощения процесса торгов широко используется система биржевых стандартов по качеству, месту и срокам сдачи и приема товаров, способам исчисления цен и иным условиям сделок.
Главная отличительная черта биржевых товаров простота и стандартизированность. На товарных биржах, например, обычно представлены особые группы качественно однородных, взаимозаменяемых товаров (так называемых биржевых товаров), предлагаемые в соответствии со стандартами качества: маслосемена и продукты их переработки, зерновые, живой скот и мясо, сахар, кофе, текстиль и какао-бобы, лес, пиломатериалы, каучук, нефть, газ, топливо, цветные, черные и драгоценные металлы.
Для упрощения операций стандартизуется также и объем товаров, который может быть продан по одному контракту. Такое минимальное количество товаров называется биржевой единицей. Фактические объемы поставок (лоты), предусматриваемые в контрактах, должны быть кратны биржевой единице.
Виды биржевых сделок
Сами биржевые сделки осуществляются с помощью брокеров, которые представляют на бирже интересы продавцов и покупателей. На бирже осуществляются четыре вида сделок, представляющих собой разные модификации договора купли-продажи:
купля-продажа реального товара, в том числе сделки с немедленной передачей или поставкой товаров или с передачей документов, подтверждающих право собственности на него;
форвардные сделки сделки купли-продажи товаров с отодвинутым сроком их поставки:
фьючерсные сделки сделки купли-продажи стандартных контрактов-товаров;
опционные сделки сделки купли-продажи прав на будущую куплю-продажу товаров или контрактов на поставку товаров по установленной цене.
Форвардные сделки срочные сделки, совершаемые в разных сферах бизнеса, в том числе на товарных биржах, и предусматривающие обязательства поставки товара с исполнением в будущем, т.е. спустя определенный срок.
Особое значение в современной биржевой торговле имеют фьючерсы и опционы. Фьючерсные сделки представляют собой сделки купли-продажи стандартных контрактов по указанной в контракте цене с исполнением через определенный промежуток времени. Суть фьючерсного контракта состоит не в реальной поставке или передаче названных в нем товаров, а в получении или уплате разницы в рыночных ценах на моменты заключения сделок и исполнения контракта.
Фьючерсы особенно привлекательны для участников биржевых торгов в условиях резкого колебания рыночных цен. Покупатель выигрывает, когда цены повышаются, продавец когда цены понижаются. Успеха достигает тот, кто лучше может сориентироваться в рыночной конъюнктуре.
Фьючерсы значительно снижают размер убытков, которые были бы действительно понесены, если бы контракт подлежал реальному исполнению.
Для предотвращения убытков от фьючерсных контрактов параллельно с ними заключаются форвардные сделки и сделки на наличный товар. Если участник биржевых торгов проигрывает на фьючерсном контракте, то он покрывает свой убыток на продаже наличных ценностей, и наоборот. Биржевыми правилами допускается прекращение обязательств по ранее проданному фьючерсному контракту путем его обратной покупки (выкупа).
Опцион может быть предусмотрен в отношении товара, его количества, качества, способов оплаты и т.д. Суть опциона заключается в том, что одной стороне (покупателю опциона) за установленное вознаграждение предоставляется право (опцион) потребовать продать (купить) товар по оговоренной цене в любой день в течение определенного периода (опцион американский) или в срок исполнения договора (опцион европейский) либо в установленные сроки заявить об отказе от своего права с освобождением от возмещения убытков другой стороне. Опционные сделки на покупку товаров могут предусматривать право приобрести фьючерсный контракт.
Современная товарная биржа это рынок именно контрактов на поставку товаров при относительно небольших размерах его реальных поставок. Именно как рынок контрактов биржа, не связывая движение больших масс товаров, выравнивая спрос и предложение, создает максимально эластичные по цене перманентный спрос и перманентное предложение.
Фондовые биржи
Фондовая биржа представляет собой определенным образом организованный рынок, на котором владельцы ценных бумаг совершают через членов биржи, выступающих в качестве посредников, сделки купли-продажи.
Ценной бумагой признается денежный документ, выражающий право собственности или отношения по займу. Все ценные бумаги подразделяются на два вида долевые и долговые.
Долевые ценные бумаги акции представляют долю их владельцев в реальной собственности. Доход, получаемый владельцем акций, называется дивидендом. В зависимости от характера обращения акции делятся на именные и на предъявителя.
Акции на предъявителя могут свободно обращаться на рынке ценных бумаг, именные акции или не подлежат обращению, или их переход к другому владельцу связан с регистрацией этой сделки. Акция дает право на получение дохода и, как правило, на участие в управлении акционерным обществом. Число голосов на общем собрании акционеров прямо пропорционально числу имеющихся у акционера акций.
Долговые ценные бумаги обычно дают право их владельцам на присвоение твердого, фиксированного дохода процентной ставки и на возврат суммы, переданной ими в долг к определенному сроку. К долговым ценным бумагам относятся облигации, казначейские обязательства государства, депозитные (сберегательные) сертификаты и векселя.
Облигация это ценная бумага, содержащая обязательство должника возместить кредитору номинальную стоимость займа (долга) в оговоренный срок с выплатой годового дохода в виде процента, фиксированного или плавающего. Облигации действуют строго определенный срок. По сроку действия обычно облигации подразделяются на краткосрочные (до 10 лет) и долгосрочные (более 10 лет).
Облигации могут выпускать государственные органы и органы местного самоуправления предприятия, Облигации могут быть именными и на предъявителя, свободно обращающимися или с ограниченным кругом обращения, процентными и беспроцентными (целевыми). Погашение (выкуп) облигации производится ежегодными тиражами.
Единая система технической подготовки производства (ЕСТП)
Методы планирования
В организации планирования технической подготовки производства существенную роль играют нормативы технической подготовки производства.
Среди нормативов необходимо различать: объемные нормативы, нормативы объема работ по подготовке производства в натуральном выражении и нормативы трудоемкости этих работ.
Данные нормативы носят локальный характер, поскольку для их разработки необходимо проводить анализ и обобщение отчетных данных освоения новых изделий на конкретном предприятии с учетом специфики его функционирования и экономического состояния.
Объемные нормативы дают основание рассчитать в натуральном выражении объем работ по технической подготовке. Эти расчеты основываются на таких показателях, как число технологических операций, объем чертежной и технической документации, число оригинальных деталей и их сложность в изготовлении.
Нормативы трудоемкости работ технической подготовки производства определяются по нормам, отражающим опыт конструирования изделий и проектирования технологических процессов не только на данном предприятии, но и в отрасли, на предприятиях-смежниках, предприятиях-конкурентах.
В процессе планирования нередко ставятся задачи сокращения сроков технической подготовки с целью ускорения реализации достижений науки и техники в производстве, сокращения затрат на осуществление технической подготовки и повышения качества работ.
На практике с целью сокращения сроков подготовки используется метод параллельного и параллельно-последовательного ведения работ. В этом случае работы, например, второй стадии начинаются раньше, нежели заканчивается первая, а третьей стадии раньше, чем заканчивается вторая, и т.д. В результате совмещения разных стадий проектирования общий цикл подготовки резко сокращается.
В организации работ по созданию и освоению новой техники и технологии важное место занимает использование наглядных графических изображений сетевых графиков. Они состоят из двух элементов: работ и событий. События представляют собой начало или окончание каждого вида работ, которые можно четко зафиксировать в начальной и конечной их стадиях.
Исходным событием называется момент начала первых работ, связанных с подготовкой и реализацией запланированного мероприятия.
На графике события обозначаются кружками с указанными в них номерами, работы стрелкой, соединяющей последовательно связанные события. Продолжительность работы обозначается не длиной стрелки, а числом единиц времени, которое указывается над стрелкой (обычно это число дней или месяцев). Снизу под стрелкой часто указываются затраты на проведение работ (рубли, человеко-дни).
Полный путь в сетевом графике это непрерывная последовательность взаимосвязанных работ и событий, ведущая от начального к конечному событию.
Сетевой график позволяет наиболее рационально построить ход выполнения работ, установить строгую последовательность и очередность в выполнении всех необходимых операций и действий. С помощью сетевого графика можно с достаточной точностью определить сроки свершения каждого события и, следовательно, срок достижения результатов завершающего события. Кроме того, применяя сетевой график, можно оптимизировать сроки выполнения завершающего события, выявить и определить влияние различных факторов на сокращение срока каждого мероприятия, организовать контроль, наблюдение и управление действиями отдельных исполнителей.
В процессе планирования технической подготовки производства большое значение имеет использование норм, правил и требований, установленных системами соответствующих стандартов. К ним относятся: Единая система конструкторской документации (ЕСКД). Единая система технологической документации (ЕСТД), Единая система технической подготовки производства (ЕСТП).
Использование единых межотраслевых стандартов создает благоприятные условия для обеспечения научно-технической подготовки производства на высоком уровне, способном гарантировать конкурентоспособное качество выпускаемых изделий.
Выводы
1. Проблема освоения новой, более прогрессивной и высокоэффективной продукции, конкурентоспособной на мировой рынке, непосредственно связана с вопросами организации и совершенствования технической подготовки производства. Она охватывает комплекс последовательно увязанных научных, проектно-конструкторских, технологических и производственно-хозяйственных работ по созданию, освоению и внедрению новой техники и технологии.
2. Вся область технической подготовки производства регламентируется следующими документами: Единая система конструкторской документации (ЕСКД); Единая система технологической документации (ЕСТД); Единая система технической подготовки производства (ЕСТП).
3. Техническая подготовка производства включает конструкторскую и технологическую подготовку. Она проводится в соответствии с имеющимся на предприятии планом технической подготовки.
4. Конструкторская подготовка производства включает: разработку проектного задания, эскизного проекта; изготовление и испытание опытного образца; разработку технического проекта, рабочего проекта; изготовление и испытание изделий опытных партий; доводку конструкции по результатам испытаний; уточнение рабочего проекта и его оформление; передачу рабочего проекта органам технологической подготовки производства.
5. Продолжением работ по конструкторской подготовке изделия является технологическая подготовка производства. Ее цель разработка технологического процесса (технологии) изготовления изделия и реализация этого проекта в конкретных условиях.
Технология производства это методы, технические средства и система взаимосвязанных способов изготовления продукции или выполнения установленного вида работ.
Термины и понятия
Техническая подготовка производства
Конструкторская подготовка производства
Технологическая подготовка производства
Технологичность конструкции
Единая система конструкторской документации (ЕСКД)
Единая система технологической документации (ЕСТД)
Единая система технической подготовки производства (ЕСТП)
Технология производства
Вопросы для самопроверки
1. В чем сущность конструкторской и технологической подготовки производства, каковы их цели и задачи?
2. Какой объем работ включает технологическая подготовка производства?
3. Каковы требования и нормативы, применяемые к конструкторской и технологической подготовке производства?
4. Какие задачи решают единые системы конструкторской и технологической документации, технической подготовки производства?
Финансово-промышленные группы
4. Финансово-промышленные группы
В экономике любой страны господствующее положение занимают крупные хозяйственные комплексы, представленные мощными промышленными компаниями, которые нередко называют финансово-промышленными группами (ФПГ).
ФПГ хозяйственное объединение предприятий, учреждений, организаций, кредитно-финансовых учреждений и инвестиционных институтов, созданное с целью ведения совместной скоординированной деятельности.
ФПГ включает устойчивую группировку различных предприятий: промышленных, торговых, финансовых, в том числе банковские, страховые, инвестиционные институты. Иными словами, ФПГ представляет собой финансово-индустриально-торговый комплекс, составные части которого взаимодействуют в целях достижения общих стратегических целей. В ФПГ развиваются отношения взаимозависимости, разделения труда и его кооперации:
перекрестного владения акциями и представительствования в руководящих органах компаний ФПГ обычно контролирует многочисленные крупные, средние и мелкие предприятия, подрядчиков и потребителей продукции, клиентов финансовых учреждений.
К числу наиболее существенных характеристик ФПГ можно отнести следующие:
1) интеграция входящих в них звеньев не только через объединение финансовых ресурсов и капиталов, но также и через общую управленческую, ценовую, техническую, кадровую политику;
2) наличие общей стратегии;
3) добровольное участие и сохранение юридической самостоятельности участников;
4) структура ФПГ позволяет решать многие вопросы (в том числе проблемы, связанные с безопасностью) с меньшими издержками, чем на других крупных предприятиях и в объединениях.
ФПГ могут возникать на основе крупнейших промышленных или торговых компаний, влияние и могущество которых обеспечивают им доступ к ресурсам кредитно-финансовых институтов, либо формироваться в результате финансовой концентрации вокруг кредитных или банковских организаций.
Появление и возрастание роли ФПГ в российской экономике является закономерным явлением. Вместе с тем особенности современного этапа развития отечественной экономики определяют специфику формирования ФПГ.
Необходимость создания ФПГ в Российской Федерации определяется рядом факторов:
потребностью в создании новой системы инвестирования и формирования интегральных структур, способных к саморазвитию;
ростом финансового капитала, являющегося пока только потенциальным инвестором производства;
наличием серьезного структурного и финансово-инвестиционного кризиса в промышленности, особенно в инвестиционной сфере;
необходимостью укрепления и обновления сложившихся технологических цепочек и кооперационных связей в сфере производства.
Кроме того, ФПГ часто рассматриваются как средство борьбы с отечественным монополизмом, ибо они имеют реальную базу развертывания диверсификации производства, располагают большими ресурсами и возможностью мобильно перебрасывать их с одного направления на другое, использовать для создания филиалов в различных регионах страны.
ФПГ формируют смешанную экономику, поскольку в них могут участвовать и государственные предприятия, стартовое участие последних наряду с членством ряда некоммерческих организаций (научных, учебных заведений) придает ФПГ необходимую надежность в период перестройки экономических отношений.
Формирование ФПГ в России началось в 1993-1994 гг. в условиях развития процессов приватизации и акционирования, изменения структуры инвестиций, увеличения доли предприятий негосударственных форм собственности; усиления финансовой мощи банков и их интеграции для мобилизации ресурсов.
Одновременно усилилась ориентация отраслевых органов управления и наиболее мощных промышленных структур на создание банков и других финансовых учреждений, специализированных на обслуживании конкретных групп производственных предприятий и организаций.
Процесс формирования ФПГ идет в России по нескольким направлениям. Так, например, они создаются в добровольном порядке на основе договорного процесса и рыночных форм консолидации пакетов акций, а также директивным путем в случае объединения «казенных» предприятий. При этом, как правило, проводится предварительное тщательное проектирование всех взаимосвязей в таких группах, целей их деятельности, перспектив. Другие направления связаны с интеграцией финансового и промышленного капиталов, хозяйственных образований, зародившихся на практике.
Финансово-промышленные группы создаются, например, в процессе приватизации, в котором активно участвует банковский капитал, развиваются на базе больших промышленных структур, а также новых структур, появившихся в ходе становления рыночных отношений.
Еще один путь связан с возможностью формирования ФПГ на основе крупных экономических структур, созданных в свое время по решению Президента или Правительства, таких, как «Газпром», «Лукойл».
Универсальной схемы формирования ФПГ нет, но можно отметить ряд общих закономерностей. К их числу относятся:
широкое развитие трастовых отношений внутри группы;
целенаправленная концентрация собственности, в том числе через перекрестное владение акциями;
долгосрочные перспективы инвестиций и собственности на базе высокого уровня экспертизы проектов;
высокая степень управленческой автономии и межфирменной конкуренции членов группы при реализации проектов;
селективное вмешательство главных акционеров при появлении крупных проблем;
совместная организация маркетинга продукции в условиях жесткого соперничества вертикально-интеграционных групп.
Правовой основой формирования ФПГ в России являются Федеральный закон «О финансово-промышленных группах» от 30 ноября 1995 г., Указ Президента РФ «О создании финансово-промышленных групп в Российской Федерации» от 5 декабря 1993 г., постановление Правительства РФ «О порядке проведения экспертизы проектов создания ФПГ» от 23 мая 1994 г. и «О реестре ФПГ и требованиях к составу их проектов» от 19 июня 1994 г. Государственная поддержка формирования и развития ФПГ осуществляется в соответствии с Программой содействия формированию ФПГ различных министерств и ведомств, утвержденной Правительством РФ в январе 1995 г.
Примерами уже созданных ФПГ в Российской Федерации могут служить ФПГ: «Уральские заводы», «Русхим», «Сокол», «Драгоценности Урала», «Сибирь» и др. Примером создания ФПГ в рамках СНГ может служить ФПГ «Нижегородский автомобиль», объединившая в своем составе 39 юридических лиц: предприятия, банки, научные организации и страховые компании. Поданным Минэкономики, в начале 1998 г. было зарегистрировано 75 ФПГ и 10 находились в стадии регистрации. Большая часть формирующихся ФПГ предпочитает функционировать без официального статуса (т.е. без государственной регистрации в реестре финансово-промышленных групп).
Так, например, в число официально признанных ФПГ не вошли концерн «Газпром», интегрированные нефтяные компании, группы банков «Инкомбанк», «Онэксимбанк», «Мост», «Российский кредит» и многие другие, имеющие важнейшие признаки ФПГ.
Российские ФПГ лишь начинают выходить на мировую сцену, и пока их капитал не может сравниться с капиталом зарубежных ФПГ.
В процессе формирования ФПГ в России сталкиваются с целым рядом проблем. Нередко складывающиеся оформленные группы представляют собой механическое объединение технологически малосвязанных предприятий. Часто в группе отсутствует реальная единая финансовая политика, способная учитывать различные интересы входящих в группу промышленных и финансовых предприятий.
Не решены до конца проблемы налогообложения ФПГ, вопросы их государственной поддержки.
Вместе с тем деятельность ФПГ очень важна для нашей экономики, так как в результате интеграции экономических, организационных, технологических и интеллектуальных потенциалов их участников обеспечиваются реальные механизмы самофинансирования, наращивания инвестиционных ресурсов для новых высокоэффективных производств.
При формировании ФПГ следует руководствоваться рядом объективных критериев в частности, принципами экономической целесообразности, единства технологической цепочки и т.п. В первую очередь необходимо создавать ФПГ на базе технологически связанных предприятий, которые выпускают сложную наукоемкую продукцию, конкурентоспособную на внутреннем и внешнем рынке, имеющую платежеспособный спрос, а также предприятий, поставляющих продукцию для государственных нужд. ФПГ могут стать действенным инструментом реализации приоритетов структурной политики, развития перспективных отраслей и производств, особенно экспортной ориентации, реализации достижений научно-технического прогресса, экологических программ- Концентрация в таких группах значительных финансовых ресурсов и промышленного потенциала позволяет осуществлять большие инвестиционные проекты по разработке и производству высокоэффективной и конкурентоспособной продукции.
ФПГ позволяет выигрывать в конкурентной борьбе за счет того, что в ее структуре возможно создание финансовых схем, где достигается такая минимизация налогов и диверсификация рисков, которая не может быть достигнута иным путем.
Выводы
1. Предприятие это самостоятельный хозяйствующий субъект, являющийся производителем товаров и услуг, основным рыночным агентом, вступающим в различные хозяйственные отношения с другими субъектами.
1. Предприятия различны по условиям, целям и характеру функционирования. Они классифицируются по виду и характеру хозяйственной деятельности, формам собственности, принадлежности капитала и контролю над ним, правовому положению и другим признакам.
3. В практике сложились типы объединений предприятий, которые различаются в зависимости от целей объединения, хозяйственных отношений между их участниками, степени самостоятельности входящих в объединение предприятий. Это картели, синдикаты, пулы, тресты, концерны, промышленные холдинги, финансово-промышленные группы.
4. Значительными преимуществами по сравнению с крупными фирмами обладают малые предприятия. Им свойственны высокая динамичность, маневренность, конкурсный характер производства и его демократизация. Малые предприятия создают новые рабочие места, возрождают народные промыслы, содействуют экономическому и социальному развитию малых городов.
5. Основные проблемы начинающих предпринимателей: поиск своей «хозяйственной ниши», определение специализации предприятия. Предприниматель должен уметь тщательно подготовить дело, организовать производство, реализовать продукт. Он должен уметь оценивать конкретные рыночные ситуации, делать правильный выбор.
Термины и понятия
Предприятие (фирма)
Предпринимательская деятельность
Юридическое лицо
Бизнес
Коммерческая деятельность
Полное товарищество
Товарищество на вере (коммандитное товарищество)
Общество с ограниченной ответственностью
Общество с дополнительной ответственностью
Акционерное общество
Производственный кооператив
Унитарное предприятие
Казенное предприятие
Малое предприятие
Государственное предприятие
Иностранное предприятие
Совместное предприятие
Многонациональное предприятие
Картель
Синдикат
Пул
Трест
Концерн
Холдинг
Финансово-промышленная группа
Вопросы для самопроверки
1. Назовите основные типы предприятий. Какие классификационные признаки являются наиболее важными?
2. В чем состоят основные особенности индивидуального предпринимательства?
3. В чем состоят особенности товарищества как формы предпринимательства, и каковы их основные типы?
4. В чем состоит сущность акционерной формы хозяйствования?
5. В чем различие между открытым и закрытым акционерным обществом?
6. Назовите основные виды акций, и чем они отличаются друг от друга?
7. Каковы, по Вашему мнению, основные проблемы развития акционерной формы, хозяйствования в России?
Формирование экологических фондов
возмещение в установленном порядке вреда, причиненного окружающей среде и здоровью человека.
Эколого-экономические нормативы это система платежей за использование природных ресурсов, выбросы и сбросы загрязняющих веществ в окружающую среду, размещение отходов и другие виды вредного воздействия.
В соответствии с концепцией государственной экологической политики, изложенной в Законе РФ «Об охране окружающей природной среды», плата за природные ресурсы (землю, недра, воду, лес и иную растительность, животный мир, рекреационные и другие природные ресурсы) должна взиматься: за право пользования и использования природных ресурсов в пределах установленных лимитов; за сверхлимитное и нерациональное использование природных ресурсов, а также на воспроизводство и охрану природные ресурсов.
Таким образом, природные ресурсы подлежат вовлечению в хозяйственный оборот на платной основе.
Ставки платы за пользование природными ресурсами основаны на определении затрат на восстановление ресурсов и проведение мероприятий по их охране. Они устанавливаются Правительством РФ. Местные органы власти самостоятельно могут их корректировать на основе кадастровых оценок соответствующих природных ресурсов.
При отсутствии кадастровых оценок эти ставки должны устанавливаться на договорной основе с учетом естественной продуктивности, местонахождения и условий использования природных ресурсов.
Каждый вид платежа за природные ресурсы включается в состав себестоимости и является устойчивым источником финансирования методов комплексного использования минерально-сырьевой базы, функционирования водного хозяйства, лесовосстановительных работ, восстановления земельных ресурсов и т.п.
За сверхлимитное и нерациональное использование природных ресурсов взимаются штрафные платежи. Источником штрафных платежей должна быть прибыль, остающаяся у предприятий.
По всей территории России введена плата за загрязнение окружающей среды: выброс в атмосферу загрязняющих веществ от стационарных и передвижных источников; сброс в водные объекты загрязняющих веществ, в том числе осуществляемый предприятиями и организациями через систему коммунальной канализации; размещение различных отходов.
Базовые нормативы платы за выбросы загрязняющих веществ в природную среду индексируются в зависимости от изменения уровня цен на строительно-монтажные и научно-исследовательские работы, оборудование, сооружения и другие природоохранные мероприятия.
Для учета суммарного воздействия выбросов загрязняющих веществ на определенной территории вводятся коэффициенты. Дифференцированные ставки платы за загрязнение определяются умножением базовых нормативов платы на коэффициенты, учитывающие экологические факторы по территориям и бассейнам рек.
В основу оценки коэффициентов экологической ситуации и экологической значимости состояния атмосферного воздуха и почвы положен показатель стоимости загрязнения и деградации природной среды на конкретных территориях экономических районов Российской Федерации в результате выбросов в атмосферу и размещаемых отходов. Коэффициенты экологической ситуации и экологической значимости состояния водных объектов российской Федерации определены по бассейнам основных рек на базе данных о количестве сброшенных загрязненных объемов вод и объемов стоков.
Эти коэффициенты могут увеличиваться вдвое решением органов исполнительной власти республик, краев и областей:
в районах Крайнего Севера и местностях, приравненных к районам Крайнего Севера;
на особо охраняемых территориях (заповедниках, заказниках, национальных парках);
в эколого-курортных регионах;
на территориях, включенных в международные конвенции.
Для природопользователей, осуществляющих выбросы загрязняющих веществ в атмосферу крупных промышленных центров, эти коэффициенты могут увеличиваться на 20%.
Органы исполнительной власти с участием территориальных органов Госкомэкологии имеют право корректировать размеры платежей с учетом освоенных природопользователями средств на реализацию конкретных природоохранных мероприятий, затраты на выполнение которых могут засчитываться в общих платежах природопользователя. Такого рода мероприятия определяются в соответствии с Примерным перечнем природоохранных мероприятий, утвержденным Госкомэкологии России по согласованию с Минэкономики и Минфином. Этот перечень может корректироваться исполнительными территориальными органами власти с учетом специфики производств на территории.
Объем корректировок размеров платежей должен уточняться после окончания планового периода (год, квартал) в зависимости от уровня выполнения природоохранных мероприятий и коэффициентов индексации.
В настоящее время законодательными актами практически введены:
платежи за загрязнение окружающей среды;
платежи за землепользование;
платежи за водопользование;
платежи за пользование недрами;
платежи за пользование лесными ресурсами.
Каждый из перечисленных видов платежей более подробно рассмотрен при анализе природоохранной деятельности предприятия.
Неотъемлемым звеном экономического механизма природопользования должно стать и экологическое страхование. Законом РФ «Об охране окружающей природной среды» предусматривается, что:
в Российской Федерации осуществляется добровольное и обязательное государственное экологическое страхование предприятий, учреждений и организаций, а также граждан, объектов их собственности и доходов на случай экологического и стихийного бедствия, аварий и катастроф;
фонды экологического страхования используются для прогнозирования, предотвращения и ликвидации последствий экологических и стихийных бедствий, аварий и катастроф.
Условия, порядок экономического страхования, механизмы формирования и использования фондов экологического страхования разрабатываются Правительством РФ.
Система экологических фондов России
В соответствии с Законом РФ «Об охране окружающей природной среды» в стране создана единая система государственных экологических фондов, объединяющая федеральный экологический фонд, внебюджетные республиканские, краевые, областные и местные фонды.
Цель системы экологических фондов решение неотложных природоохранных задач, восстановление потерь в окружающей среде, компенсация причиненного вреда за счет ухудшения качества окружающей среды (в тех случаях, если виновник вреда не установлен).
Формирование экологических фондов осуществляется за счет:
средств, поступающих в виде платы за нормативные и сверхнормативные (лимитные и сверхлимитные) выбросы и сбросы загрязняющих веществ в окружающую среду, размещение отходов, другие виды загрязнения;
сумм по искам о возмещении вреда, штрафов за экологические правонарушения;
средств от реализации конфискованных орудий охоты, рыболовства, незаконно добытой с их помощью продукции;
пожертвований от юридических и физических лиц, которые зачисляются на специальные счета.
Штрафы и иски о возмещении вреда и за экологические правонарушения взимаются и соответствии с действующим законодательством. Штрафы налагаются специально уполномоченными государственными органами подразделениями Госкомэкологии России, санитарно-эпидемиологическими станциями и др. Расчет сумм по возмещению вреда производится в соответствии с утвержденными методиками определения ущерба, а при их отсутствии по фактическим затратам на восстановление нарушенного состояния окружающей среды.
Средства, поступающие в экологические фонды, распределяются в следующем порядке:
60% на реализацию природоохранных мероприятий местного (городского и районного) значения;
30% на реализацию мероприятий регионального (республиканского, краевого и областного) значения;
10% направляются в доход федерального бюджета для финансирования деятельности территориальных органов Госкомэкологии России.
Первоначально средства, которые поступают в экологические фонды, накапливаются на счетах республиканских, краевых или областных фондов, а оттуда перечисляются в федеральный экологический фонд (федеральный бюджет) и в местные экологические фонды. Перечисление средств в экологические фонды производится поквартально.
По полугодиям Госкомэкологии России составляет отчет о поступлении и расходовании средств федерального экологического фонда.
2. Экономические механизмы природоохранной деятельности предприятий
Организуя хозяйственную деятельность, предприятие должно учитывать необходимость внесения платы за загрязнение окружающей среды, а также платежей за пользование природными ресурсами.
Платежи за загрязнение окружающей среды
Основной целью установления платежей за загрязнение является не только стимулирование рационального природопользования, но и создание системы экологических фондов, средства которых используются для улучшения экологической обстановки.
Введение платежей за загрязнение подразумевает эколого-экономическую паспортизацию предприятий; экологическую инвентаризацию оборудования и технологических процессов; экологические экспертизы вновь строящихся, расширяющихся и проектируемых предприятий.
В настоящее время величину платы за загрязнение окружающей среды определяют издержки загрязнения, которые включают:
Формы заработной платы
Заработная плата вознаграждение работников за труд и его конечные результаты. Предприятие обязано выплачивать работникам заработную плату не ниже установленного государством минимального уровня.
Формы заработной платы
Формы и системы заработной платы представляют собой способы установления зависимости величины заработной платы от количества и качества затраченного труда с помощью совокупности количественных и качественных показателей, отражающих результаты труда. Основное их назначение обеспечение правильного соотношения между мерой труда и мерой его оплаты, а также повышение заинтересованности рабочих в эффективном труде.
Основными формами заработной платы являются повременная и сдельная формы оплаты.
При повременной оплате мерой труда является отработанное время- а заработок начисляется в соответствии с тарифной ставкой работника или окладом за фактически отработанное время. Заработная плата подсчитывается по формуле:
ЗП =ТС· РВ.
где ЗП заработная плата; ТС тарифная ставка присвоенного рабочему квалификационного разряда; РВ фактически отработанное время.
При сдельной оплате мерой труда является выработанная рабочим продукция, и заработок зависит от количества и качества произведенной рабочим продукции, так как при данной системе заработная плата начисляется за каждую единицу продукции исходя из установленной сдельной расценки. Заработок рассчитывается по формуле:
ЗЛ = СР· ВП,
где ЗП заработная плата рабочего; СР сдельная расценка за единицу продукции; ВП количество изготовленной продукции.
Выбор сдельной и повременной форм оплаты труда зависит от ряда факторов: характера применяемого оборудования, особенностей технологического процесса, организации производства и труда, требования к качеству продукции, использованию трудовых и материальных ресурсов.
Эффективное применение повременной формы оплаты труда определяется следующими условиями:
1) строго регламентированные, аппаратурные, автоматизированные производства, где рабочий не может влиять на технологическое время;
2) высокие требования к качеству продукции, которые непосредственно зависят от рабочих;
3) на рабочем месте можно реально увеличить выработку продукции, а производству столько продукции не требуется.
Повременная форма оплаты может применяться для оплаты труда таких вспомогательных рабочих, как дежурные слесаря, электромонтеры, кладовщики, учетчики, в связи с трудностями нормирования и количественного измерения их труда. Рабочие служб технического контроля также оплачиваются по повременной форме.
Наличие следующих условий делает целесообразным применение сдельной формы оплаты труда:
1) наличие реальных возможностей увеличения выработки продукции при сокращении затрат времени на единицу продукции;
2) возможность рабочих увеличивать выпуск продукции при стабильной технологии и соответствующем качестве продукции;
3) при потребности производства в увеличении выпуска продукции на данном участке.
Такие условия характерны для производств, где применяется ручной, механизированно ручной и механизированный труд. При этом необходимо учитывать, что если даже имеются все условия для значительного увеличения выработки продукции, но при этом ухудшается ее качество, нерационально используются материальные ресурсы и преждевременно изнашивается оборудование, то применять сдельную форму оплаты нецелесообразно.
Повременная и сдельная формы заработной платы на практике используются в виде различных систем.
Системы повременной заработной платы
Наибольшее распространение в современных условиях получили простая повременная и повременно-премиальная системы заработной платы.
Простая повременная система оплаты труда. В этом случае заработок рабочего определяется тарифной ставкой присвоенного ему разряда и количеством отработанного времени. Если для рабочего повременщика установлен твердый месячный оклад, то ему надо отработать полное количество часов по графику выходов в месяц. Если рабочий отработал неполный месяц, то заработная плата начисляется исходя из среднечасового или среднедневного оклада и фактически отработанного времени. При данной системе рабочий получает тарифную заработную плату при 100%-ном выполнении индивидуального задания.
При неполном выполнении задания оплата пропорционально уменьшается, но при этом она не может быть ниже установленной минимальной заработной платы.
Повременно-премиальная система. В соответствии с данной системой, рабочий сверх оплаты в соответствии с отработанным временем и тарифными ставками получает премию за обеспечение определенных количественных и качественных показателей. Эти показатели премирования должны точно учитываться и отражать особенности работы тех или иных рабочих. По каждому показателю в отдельности устанавливается размер премии в зависимости от его значения. Основные рабочие-повременщики премируются за выполнение производственных заданий и обеспечение качества выпускаемой продукции и работ.
Рабочие-повременщики, занятые обслуживанием основного производства, премируются за достижение показателей, характеризующих улучшение качества их работы: обеспечение бесперебойной и ритмичной работы оборудования по выпуску продукции, улучшение коэффициента его использования, увеличение межремонтного периода эксплуатации и сокращение затрат на обслуживание и ремонт и т.д. Для рабочих-контролеров используются такие показатели премирования, которые учитывают их усилия по улучшению качества выпускаемой продукции независимо от других результатов работы: отсутствие пропуска продукции с браком, выполнение плана по профилактике брака, сокращение возвратов продукции с последующих операций и т.д.
Системы сдельной заработной платы
Различают прямую индивидуальную, косвенно-сдельную, сдельно-прогрессивную, аккордно-сдельную и сдельно-премиальную системы оплаты.
Прямая индивидуальная система. При такой системе заработок рабочего непосредственно зависит от его выработки. Заработная плата начисляется в соответствии с количеством произведенной продукции по постоянным сдельным расценкам, что повышает заинтересованность работников в увеличении индивидуальной производительности труда.
Заработок определяется путем умножения количества изготовленной продукции на сдельную расценку за единицу этой продукции.
Косвенно-сдельная система. В этом случае заработная плата рабочего находится в прямой зависимости от выработки тех рабочих, которых он обслуживает. Данная система применяется для оплаты труда вспомогательных рабочих, от которых в значительной степени зависят темп работы и выработка основных рабочих.
Обязательным условием введения косвенной сдельной системы оплаты труда является возможность закрепления вспомогательных рабочих за определенным оборудованием или рабочими-сдельщиками, от выработки которых и зависит их оплата. При данной системе повышается материальная заинтересованность вспомогательных рабочих в улучшении обслуживания рабочих
мест и машин. Оплата труда рабочих может производиться тремя методами;
1) заработная плата определяется по формуле:
Рк = Тч ·Чр · Нв
где Тч часовая тарифная ставка вспомогательных рабочих; Чр число обслуживаемых рабочих; Нв норма выработки для обслуживаемого рабочего;
2) общий заработок вспомогательного рабочего определяется путем умножения тарифного заработка за отработанное время на коэффициент выполнения нормы выработки в среднем по всем объектам, обслуживаемым этим рабочим;
3) общий заработок определяется умножением коэффициента, |характеризующего соотношение тарифных ставок вспомогательных рабочих и тарифных ставок, обслуживаемых ими рабочих, на фактический сдельный заработок обслуживаемых рабочих.
При бригадной форме организации и стимулирования труда косвенная сдельная система оплаты почти не применяется, так как все вспомогательные рабочие включаются в бригаду.
Сдельно-прогрессивная система. При данной системе выработка рабочего в пределах установленной нормы оплачивается по действующим на данной работе прямым сдельным расценкам, а вся дополнительная выработка, полученная сверх этой нормы, по повышенным расценкам. В этом случае заработок рабочего растет быстрее, чем выработка, поэтому данная система вводится обычно временно (на 36 месяцев) на решающих участках основного производства, где сложилась неблагоприятная ситуация с выполнением плана производства продукции.
Аккордно-сдельная система. Размер оплаты труда при такой системе устанавливается за весь объем работы. Аккордная оплата вводится для отдельных групп рабочих в целях усиления их материальной заинтересованности в повышении производительности труда и сокращении сроков выполнения работы. Премирование вводится за сокращение сроков выполнения аккордного задания при качественном выполнении работ. Расчет с рабочими производится после выполнения всех работ.
Если выполнение аккордного задания требует длительного времени (например, в судостроении), то выплачивается аванс за текущий месяц с учетом выполненного объема работ. Эта система является, как правило, бригадной формой оплаты труда.
Сдельно-премиальная система. При использовании этой системы предусматривается выплата рабочему в дополнение к сдельному заработку, начисленному по расценкам, премии за достижение установленных индивидуальных или коллективных (количественных или качественных) показателей.
ОРГАНИЗАЦИЯ ПРОИЗВОДСТВЕННОЙ ИНФРАСТРУКТУРЫ
Деятельность предприятия по развитию его материально-технической базы, организации производства, труда и управления представляет собой техническую подготовку производства. Она включает: проведение прикладных исследований, связанных с совершенствованием изготовляемой продукции, техники, технологии, составом применяемых материалов, организации производства;
проектирование новой продукции и модернизацию ранее выпускавшейся;
разработку технологического процесса изготовления продукции;
приобретение специального оборудования, инструментов и полуфабрикатов со стороны;
материально-техническое обеспечение производства;
подготовку, переподготовку и повышение квалификации кадров;
разработку норм и нормативов, технологической, технической и организационной структуры аппарата управления и информационного обеспечения.
Техническая подготовка осуществляется в целях эффективного освоения нового или модернизированного изделия, внедрения новых сложных машин и оборудования, новых технологических приемов и изменений организации производства. В задачу технической подготовки производства входит создание технических, организационных и экономических условий, полностью гарантирующих перевод производственного процесса на более высокий технический и социально-технический уровень на основе достижений науки и техники.
Техническая подготовка производства включает конструкторскую и технологическую подготовку.
На предприятиях разного типа, масштаба и профиля могут быть с разной полнотой представлены различные стадии подготовки производства; однако в любом случае существенная часть работы по организации производства находится в компетенции предприятия.
1. Конструкторская подготовка производства
Конструкторская подготовка производства включает проектирование новой продукции и модернизацию ранее производившейся, а также разработку проекта реконструкции и переоборудования предприятия или его отдельных подразделений. В процессе проектирования определяется характер продукции, ее конструкция, физико-химические свойства, внешний вид, технико-экономические и другие показатели. Результаты конструкторской подготовки оформляются в виде технической документации чертежей, рецептур химической продукции, спецификаций материалов, деталей и узлов, образцов готовой продукции и т.п.
Задачи конструкторской подготовки
Проектирование новой продукции осуществляется проектно-технологическими и научно-исследовательскими институтами, научно-технологическими центрами, а также конструкторскими отделами и лабораториями предприятий.
Основными целями конструкторской подготовки производства являются:
непрерывное совершенствование качества продукции;
повышение уровня технологичности конструкции, под которой понимается облегчение приемов изготовления продукции и возможность применения прогрессивных методов изготовления при заданном объеме производства. Это обеспечивает лучшее использование производственных ресурсов при изготовлении продукции;
снижение себестоимости новой продукции за счет изготовления и совершенствования конструкции изделия, уменьшения расхода материалов на единицу продукции, снижения эксплуатационных затрат, связанных с использованием продукции;
использование при проектировании продукции существующих стандартов и унифицированных полуфабрикатов;
обеспечение охраны труда и техники безопасности, а также удобств при эксплуатации и ремонте новых изделий.
Этапы конструкторской подготовки
Исходным для проектирования новой продукции является проектное (техническое) задание, которое составляется заказчиком (предприятием) или по его поручению проектной организацией. В проектном задании указывается наименование продукции, ее назначение, область применения, технические и экономические показатели в процессе производства и эксплуатации. На уровне проектного задания должны быть определены принципиальные отличия новой конструкции или изделия от ранее выпускаемых, приведены перечень и обоснование необходимости оригинальных изделий, даны подробные расчеты эффективности нового изделия с учетом эффекта, рассчитанного как для потребителя, так и для производителя.
На основании анализа проектного задания заказчика и сопоставления различных вариантов возможных решений изделий, сравнительной оценки решений с учетом конструктивных и эксплуатационных особенностей разрабатываемого и существующих изделий, а также патентных материалов составляется техническое предложение совокупность конструкторских документов, содержащих технические и технико-экономические обоснования целесообразности дальнейшей разработки проекта.
Техническое предложение после согласования и утверждения в установленном порядке является основанием для разработки эскизного (технического) проекта.
Эскизный проект совокупность конструкторских документов, которые должны содержать принципиальные конструктивные решения, дающие общее представление об устройстве и принципе работы изделия, а также данные, определяющие назначение, основные параметры и габаритные размеры разрабатываемого изделия. При разработке эскизного проекта определяется принципиальная характеристика нового изделия, производится выбор наиболее эффективного решения, его технических, технологических, эксплуатационных параметров.
Эскизный проект всегда составляется в нескольких вариантах для последующего выбора одного из них. Эскизный проект после согласования и утверждения в установленном порядке служит основанием для разработки технического проекта или рабочей конструкторской документации.
Технический проект совокупность конструкторских документов, которые должны содержать окончательные технические решения, дающие полное представление об устройстве разрабатываемого изделия, и исходные данные для разработки рабочей документации.
Технический проект позволяет осуществлять выбор материалов и полуфабрикатов, определять основные принципы изготовления продукции и проводить экономическое обоснование проекта.
Технический проект после согласования и утверждения в установленном порядке служит основанием для разработки рабочей конструкторской документации. Ранее разработанные конструкторские документы обычно применяют при разработке новых или модернизации изготавливаемых изделий, что приводит к сокращению сроков проектирования.
Заключительной стадией (этапом) конструкторской подготовки производства является разработка технической документации (чертежей, инструкций и т.д.), технических условий.
Технические условия (ТУ) являются неотъемлемой частью комплекта технической документации на продукцию (изделие, материал, вещество и т.п.), на которую они распространяются. ТУ должны содержать все требования к продукции, ее изготовлению, контролю, приемке и поставке, которые целесообразно указывать в конструкторской или другой технической документации.
При отсутствии конструкторской или другой технической документации на данную продукцию ТУ должны содержать полный комплекс требований к продукции, ее изготовлению, контролю, приемке и поставке.
ТУ разрабатывают на одно изделие, материал, вещество, а также на несколько конкретных изделий, материалов, веществ (групповые технические условия). Состав ТУ и содержание разделов определяются в соответствии с особенностями продукции.
После испытания и доводки опытной партии уточняется рабочий проект, который передается в законченном виде для технологической подготовки производства. На всех стадиях проектирования уточняются, конкретизируются и окончательно определяются все технические и экономические характеристики изделия, определяется целесообразность использования первоначально выбранного пути совершенствования продукции и принимается решение о ее выпуске.
Установленный и рассмотренный выше порядок конструкторской подготовки изделия характерен в полной мере лишь для массового и крупносерийного производств, продукции сложного профиля (автомобили, станки, тракторы и т.п.). Для мелкосерийного и единичного производств, независимо от технической сложности изделия, количество стадий и объемы работ по каждому из них уменьшаются. В отраслях металлургической и химической промышленности, переработки сельскохозяйственного сырья, а также в добывающих отраслях проектирование изделий выполняется главным образом на стадии прикладных исследований, изысканий и разработок, а также технологической подготовки производства.
Конструкторская подготовка производства осуществляется в соответствии с комплексом государственных стандартов, устанавливающих единые взаимосвязанные правила и положения ее проведения, оформления и обращения конструкторской документации, разрабатываемой и применяемой промышленными, научно-исследовательскими, проектно-конструкторскими организациями и предприятиями, получившим, соответственно, название Единой системы конструкторской документации (ЕСКД). Применение ЕСКД позволяет создавать благоприятные ; условия для обеспечения научно-технической подготовки производства на высоком уровне, способном гарантировать конкурентоспособность выпускаемых изделий, сокращать время проектирования, обеспечивать необходимое единообразие этого |процесса на различных предприятиях в разных отраслях экономики.
Планирование деятельности предприятия
9.1. Сущность и типы стратегий
Стратегия представляет собой обобщенную модель действий, необходимых для достижения поставленных целей. Цели - это ключевые результаты, к которым стремится предприятие в своей деятельности. Ставя определенные цели, руководство формулирует те главные ориентиры, на которых должна быть сфокусирована вся деятельность предприятия и его коллектива.
Чтобы эффективно работать, менеджеры ставят перед организацией конкретные, измеримые, уместные, стимулирующие, заметные цели на определенный период времени. Выработка эффективных целей усиливает побудительные мотивы, устанавливает четкие ориентиры деятельности и создает ясную картину ожидаемых результатов.
К типичным относятся цели, связанные с достижением доли данного предприятия на рынках сбыта, ростом объема бизнеса, его прибыльностью, рентабельностью и другими характеристиками.
Значение выработки стратегии, позволяющей фирме выжить в конкурентной борьбе в долгосрочной перспективе, чрезвычайно велико. В условиях жесткой конкуренции и быстроменяющейся ситуации на рынке очень важно не только концентрировать внимание на внутреннем состоянии дел фирмы, но и вырабатывать долгосрочную стратегию. В прошлом многие фирмы могли успешно функционировать, ежедневно решая внутренние проблемы, связанные с повышением эффективности использования ресурсов в текущей деятельности.
В настоящее время исключительно важна стратегия, обеспечивающая адаптацию фирмы к быстроменяющейся окружающей среде.
Например, стратегия японских фирм характеризуется следующим:
ориентацией на постоянные изменения как во внешней среде, так и внутри фирмы;
ориентацией на место в этой среде;
отсутствием детерминированного курса;
учетом и использованием всех возможностей для выживания, усилением своей роли в изменяющемся мире не только в текущий момент, но и на длительную перспективу;
выделением в качестве основного фактора интеллектуального потенциала работников фирмы и постоянно развивающихся технологий.
При данной стратегии, отличающейся гибкостью, способностью к адаптации, стремлением быть на гребне изменений, объективно сказывается потребность в умении отвоевывать свое место на рынке.
Вместе с тем единой стратегии не существует. Теория и практика бизнеса выработали множество стратегических подходов ведения дела. Это разнообразие обусловлено конкретными условиями, в которых осуществляется бизнес, совокупностью внешних и внутренних факторов, тенденциями в соответствующей отрасли, характером поставленных целей бизнеса и рядом других факторов.
Основные типы деловых стратегий предприятия представлены на 9.1.
Все типы стратегий, встречающиеся в мире бизнеса, можно объединить в три группы:
наступательная, или стратегия прорыва;
оборонительная, или стратегия выживания;
стратегия сокращения и смены видов бизнеса.
Каждая из них имеет множество вариантов в зависимости от конкретных условий деятельности фирмы. Могут быть и многоцелевые стратегии, которые сочетают в себе элементы каждой из групп.
Понятно, что более привлекательной является наступательная стратегия, или стратегия прорыва, которая преследует цель завоевать определенную долю на рынке, а нередко занять и лидирующие позиции на новом рынке или в новой отрасли. Наступательная стратегия, как правило, основана на реализации определенной инновации и предполагает предпринимательский подход. Вариантов данной стратегии в практике мирового бизнеса достаточно много.
Например, специалист по вопросам бизнеса П. Друкер выделяет четыре предпринимательские стратегии:
"Ворваться первыми и нанести массированный удар".
"Нападать быстро и неожиданно".
Поиск и захват "экологической ниши".
Изменение экономических характеристик продукта, рынка или отрасли.
Все эти стратегии имеют наступательный характер, что видно из их названия, причем каждая имеет свои варианты.
Наступательные стратегии основаны, как правило, на научных открытиях и изобретениях, рассчитаны на занятие лидирующего положения на рынке или в отрасли. Однако они требуют значительных финансовых затрат, имеют высокую степень риска, но в случае успеха дают высокие результаты.
Оборонительная стратегия, или стратегия выживания, предполагает сохранение фирмой имеющейся рыночной доли и удержание своих позиций на рынке. Подобная стратегия выбирается, если рыночная позиция фирмы удовлетворительная или у нее недостаточно средств для проведения активной наступательной стратегии; фирма опасается проводить последнюю из-за нежелательных ответных мер сильных конкурентов или наказующих мер со стороны государства.
Однако такой тип стратегии довольно опасен и требует самого пристального внимания со стороны проводящей ее фирмы к вопросам научно-технического прогресса и действиям фирм-конкурентов. Фирма может оказаться на грани краха и вынуждена будет уйти с рынка, так как незамеченные вовремя изобретения конкурентов приведут к снижению их издержек производства и подорвут позиции обороняющей компании.
Стратегия сокращения и смены видов бизнеса используется в ситуациях, при которых фирма нуждается в перегруппировке сил после длительного периода роста или в связи с необходимостью повышения эффективности, когда наблюдаются такие спады и кардинальные изменения в экономике, как структурная перестройка и т.п.
На практике предприятия могут одновременно реализовывать не одну, а несколько стратегий. Особенно это распространено у многоотраслевых компаний.
Широко применяется на практике группа стратегий под общим названием стратегия роста. Она предполагает изменение продукта и (или) рынка. Матрица возможностей этих стратегий показана на 9.2.
При использовании стратегии глубокого проникновения на рынок фирма делает все, чтобы данным продуктом на данном рынке завоевать лучшие позиции.
Стратегия развития рынка заключается в поиске новых рынков для уже производимого товара.
Стратегия развития продукта предполагает рост за счет выхода на освоенный рынок с новым продуктом.
Стратегия диверсификации осуществляет выход с новым товаром на новый рынок.
Другая группа стратегий связана с тем, что фирма расширяется путем добавления новых структур. Они называются стратегиями интегрированного роста.
Фирма может осуществлять интегрированный рост как путем приобретения собственности, так и при помощи расширения изнутри. Здесь могут быть два варианта.
Стратегия обратной вертикальной интеграции направлена на то, чтобы рост происходил за счет приобретения компаний, осуществляющих снабжение, либо путем создания дочерних структур для снабжения.
Стратегия вперед идущей вертикальной интеграции предполагает рост фирмы посредством приобретения структур, находящихся между фирмой и конечным потребителем.
Таким образом, стратегий развития бизнеса довольно много. Задача руководства фирмы заключается в том, чтобы выбрать наиболее подходящую стратегию с учетом конкретных условий и целей бизнеса.
9.2. Выбор стратегии деятельности
Выбор стратегии осуществляет руководство фирмы на основе анализа ключевых факторов, характеризующих ее состояние и внешнюю среду, портфеля продукции, а также характера и сущности реализуемых стратегий. Следует отметить, что единой стратегии не существует. Каждая фирма уникальна в своем роде, поэтому и процесс выработки стратегии специфичен, так как зависит от позиции фирмы на рынке, динамики ее развития, потенциала, поведения конкурентов, характеристик производимого ею товара или оказываемых услуг, состояния экономики, культурной среды и др.
В то же время есть основополагающие моменты, позволяющие говорить о некоторых обобщенных принципах выработки стратегии деятельности.
Из ключевых факторов прежде всего исследуются сильные стороны отрасли и сильные стороны фирмы. Зачастую они являются решающими при выборе стратегии. Необходимо стремиться к максимальному использованию имеющихся возможностей.
При этом важно искать возможности развертывания бизнеса в новых отраслях, обладающих потенциальными задатками для роста.
Анализ ключевых факторов осуществляется по методу SWOT (Strengths, Weakness. Opportunities, Threats - сильные и слабые стороны, возможности и опасности). SWOT - это метод анализа всего предприятия сверху донизу, внутри и снаружи, позволяющий точно определить, какие внутренние аспекты и внешние условия могут послужить основой будущего роста.
SWOT делится на анализ внутренних факторов деятельности предприятия (сильные и слабые стороны) и внешних факторов (возможности и опасности).
В итоге такого анализа должен остаться небольшой набор обоснованных выводов, которые станут базой для построения стратегии. Стратегия разрабатывается на основе сильных сторон (с одновременным подавлением недостатков), при этом учитываются источники возможностей и опасностей, выявленные во внешней среде.
Существенно влияют на выбор стратегии финансовые возможности фирмы. Такие шаги в поведении фирмы, как выход на новые рынки, разработка нового продукта или переход в новую отрасль, требуют больших финансовых затрат. Поэтому фирмы, имеющие большие финансовые ресурсы, либо обладающие легким доступом к ним, находятся в гораздо лучшем положении для выбора вариантов стратегии.
ОРГАНИЗАЦИОННАЯ СТРУКТУРА УПРАВЛЕНИЯ ПРЕДПРИЯТИЕМ
Совершенствование производственной инфраструктуры является одним из факторов улучшения деятельности предприятия. Работы по обслуживанию основного производства выполняются вспомогательными подразделениями и обслуживающими хозяйствами: инструментальным, ремонтным, транспортным, службами материально-технического снабжения и сбыта продукции. Организация производственной инфраструктуры определяется ее ролью в производственном процессе и влиянием на конечные результаты работы предприятия.
- Инструментальное хозяйство
Инструментальное хозяйство на предприятии создается для выполнения работ по обеспечению производства инструментом и технологической оснасткой, организации их хранения, эксплуатации и ремонта.
Структура и организационные формы инструментального хозяйства весьма разнообразны и зависят от типа производства, вида выпускаемой продукции, ее конструкторской и технологической сложности и объема производства.
Инструментальное хозяйство на предприятии включает производственные звенья (участки, цехи) по изготовлению инструментов, складские и комплектующие подразделения (центральный инструментальный склад, цеховые инструментально-раздаточные кладовые); подразделения по восстановлению и ремонту инструментов; подразделения по инструментообеспечению рабочих мест.
Организация инструментального хозяйства
Задачи и объем работ по организации инструментального хозяйства определяются особенностями основного производства, сложностью выпускаемой продукции, используемым оборудованием, масштабами изготовления однотипной продукции и степенью ее новизны.
Вместе с тем от уровня организации этого хозяйства и качества инструмента зависят интенсивное использование оборудования, технологические параметры его работы, уровень производительности труда и в целом результаты работы всего предприятия.
Сложность организации и планирования производства и эксплуатации инструментов обусловливается огромной номенклатурой оснастки, высокими требованиями к ее качеству и стойкости, большим влиянием инструментального хозяйства на экономику предприятия. Так, на долю проектирования, и изготовления технологической оснастки при освоении новых изделий приходится более 80% трудоемкости всех работ по подготовке производства. Для изготовления и сборки новой конструкции автомобиля, например, необходим комплект инструментария, включающий до 20 000 типов режущего, измерительного и вспомогательного инструмента.
Показателем технической оснащенности служит коэффициент оснастки, определяемый как отношение количества используемого инструмента к числу рабочих мест.
Основными задачами организации инструментального хозяйства являются:
определение потребности и планирование обеспечения
предприятия оснасткой;
обеспечение предприятия покупной оснасткой, организация и реализация связей по кооперации производства оснастки с предприятиями;
подготовка производства и изготовление оснастки на предприятии, ее испытание и отладка;
нормирование расхода оснастки;
организация эксплуатации оснастки и технический надзор
за ее эксплуатацией;
обеспечение рабочих мест оснасткой;
организация учета и хранение оснастки;
организация эксплуатации стандартной и переналаживаемой оснастки и обеспечение ее максимально рационального применения;
восстановление оснастки;
контроль за внедрением оснастки, учет и анализ эффективности ее использования;
совершенствование организации обеспечения производства оснасткой.
Классификация инструментов
Условием рациональной организации и экономичного использования инструмента является его четкая классификация. Это необходимо для выбора однотипного и взаимозаменяемого инструмента, конструктивно и технологически сходных его видов при подборе партии одновременно изготавливаемой оснастки, организации его хранения, определения порядка получения и производства. Важное значение классификация инструмента имеет для выявления степени применяемости различных его видов и обоснования рациональных форм его получения с производства.
Инструмент различают по характеру использования: универсальный (нормальный, стандартный) и специальный инструмент. Универсальный инструмент применяется на всех предприятиях промышленности при выполнении операций определенного рода. Специальным называется инструмент, используемый на предприятии для выполнения определенной операции при изготовлении конкретных деталей продукции.
Значительное число групп, типов, видов и размеров применяемых инструментов осложняет планирование, организацию эксплуатации и учет, снабжение. Поэтому для упрощения организации инструментального хозяйства производится классификация инструмента, т.е. группировка его по типовым конструктивным и производственно-технологическим признакам. Эти признаки зависят от назначения, формы, размеров инструмента.
Так, по назначению инструмент делится на обрабатывающий, контрольно-измерительный и на технологическую оснастку. Металлообрабатывающий инструмент, например, подразделяют на режущий, измерительный, слесарно-монтажный, вспомогательный. Технологическая оснастка включает приспособления, штампы, литейную оснастку (модели, пресс-формы и т.п.).
Каждый класс инструмента делится на подклассы, группы, подгруппы, секции. Номенклатура универсального инструмента определяется стандартами. Наиболее рациональной считается десятичная система классификации. В каждом классификационном подразделении выделяется по десять групп. На основе классификации применяется индексация инструментов, т.е. присвоение каждому виду инструментов определенного условного обозначения.
Первая цифра в индексе обозначает класс, вторая подкласс, третья группу и т.д.
В целях предупреждения излишнего расширения номенклатуры и типоразмеров оснастки в инструментальном производстве ведется постоянная работа по стандартизации инструмента, т.е. ограничению целесообразным минимумом типов, размеров и элементов конструкций.
Определение потребности в инструменте
Прежде чем организовать производство или приобретение инструмента на стороне, выявляют потребность в нем. Определение потребности в инструменте основано на нормах его износа, под которым понимается время работы инструмента в часах до окончательного его выбытия. На практике используются отраслевые нормативы расхода инструмента на 1000 станко-часов или 100 единиц готовой продукции.
Для серийного производства нормы расхода инструментов рассчитываются на 1000 часов работы однотипных станков.
Важной функцией организации инструментального хозяйства ' является регулирование запаса инструмента. Минимальное количество инструмента, необходимое предприятию для бесперебойной работы, образует оборотный фонд. Он включает складские запасы в центральном инструментальном складе (ЦИС) и в цеховых инструментально-раздаточных кладовых (ИРК), эксплуатационный фонд на рабочих местах и инструмент в заточке, ремонте, восстановлении и проверке. Инструмент на рабочих местах и в ИРК составляет цеховой оборотный фонд.
Сумма цеховых оборотных фондов и запасов в ЦИСе образует общезаводской фонд.
Основная часть запаса инструмента, включающего резервный фонд для действующего производства и инструмент для новых объектов, находится в ЦИСе.
Запасы для действующего производства устанавливаются по системе «максимум-минимум». Под запасом-минимумом понимается величина, равная дневной потребности в данном инструменте, умноженной на число дней срочного изготовления или получения со стороны очередной партии.
Обозначив через Идн дневную потребность в инструменте, а через Тср число дней срочного изготовления инструмента или получение его со стороны, можно определить минимальный запас Змин по формуле:
Змин = Идн Тср
Для нормальных условий изготовления или приобретения инструмента со стороны устанавливается запас «точка заказа». Под «точкой заказа» понимается величина переходящего запаса,
достаточная для обеспечения производства инструментом на время нормального его изготовления или приобретения на стороне, плюс минимальный запас. Запас «точка заказа» (Тз) определяется по формуле;
Тз = Идн Тнорм + Змин
где Тнорм нормальный срок изготовления, дни.
Чтобы определить запас-максимум (Змакс) исходят из того, что при установившихся партиях производства или поступления инструмента со стороны максимальный запас будет равен сумме партии одновременно заказываемого инструмента и инструментального запаса:
где Пи величина партии одновременно заказываемого или производимого инструмента.
Общий запас инструмента в ЦИСе состоит из переходящего и минимального запасов. Переходящий запас по каждому наименованию инструмента за период между поставками колеблется от величины партии одновременно заказываемого инструмента до минимального запаса. Поэтому при равномерном поступлении и расходовании инструмента количество одновременно находящегося на складе инструмента по каждому наименованию в среднем можно принять равным:

где Зср средний запас инструмента на складе.
Величина же всего складского запаса (в стоимостном выражении) будет равна сумме средних запасов по каждому наименованию инструмента и минимального запаса.
На предприятиях также осуществляется планирование текущего и эксплуатационного запаса инструментов.
Экономическая стратегия предприятия
Функции управления деятельностью предприятия реализуются подразделениями аппарата управления и отдельными работниками, которые при этом вступают в экономические, организационные, социальные, психологические и другие отношения друг с другом. Организационные отношения, складывающиеся между подразделениями и работниками аппарата управления предприятия, определяют его организационную структуру. Под организационной структурой управления предприятием понимается состав (перечень) отделов, служб и подразделений в аппарате управления, системная их организация, характер соподчиненности и подотчетности друг другу и высшему органу управления фирмы, а также набор координационных и информационных связей, порядок распределения функций управления по различным уровням и подразделениям управленческой иерархии.
Базой для построения организационной структуры управления предприятием является организационная структура производства.
Многообразие функциональных связей и возможных способов их распределения между подразделениями и работниками определяет разнообразие возможных видов организационных структур управления производством. Все эти виды сводятся в основном к четырем типам организационных структур: линейным, функциональным, дивизиональным и адаптивным.
- Линейная структура управления
Особенности и области применения
Сущность линейной (иерархической) структуры управления состоит в том, что управляющие воздействия на объект могут передаваться только одним доминантным лицом руководителем, который получает официальную информацию только от своих, непосредственно ему подчиненных лиц, принимает решения по всем вопросам, относящимся к руководимой им части объекта, и несет ответственность за его работу перед вышестоящим руководителем ( 11.1).
Данный тип организационной структуры управления применяется в условиях функционирования мелких предприятий с несложным производством при отсутствии у них разветвленных кооперированных связей с поставщиками, потребителями, научными и проектными организациями и т.д. В настоящее время такая структура используется в системе управления производственными участками, отдельными небольшими цехами, а также небольшими фирмами одно родной и несложной технологии.
11.1. Линейная структура управления: Р руководитель; Л линейные органы управления (линейные руководители); И исполнители
Преимущества и недостатки
Преимущества линейной структуры объясняются простотой применения. Все обязанности и полномочия здесь четко распределены, и поэтому создаются условия для оперативного процесса принятия решений, для поддержания необходимой дисциплины в коллективе.
В числе недостатков линейного построения организации обычно отмечается жесткость, негибкость, неприспособленность к дальнейшему росту и развитию предприятия. Линейная структура ориентирована на большой объем информации, передаваемой от одного уровня управления к другому, ограничение инициативы у работников низших уровней управления. Она предъявляет высокие требования к квалификации руководителей и их компетенции по всем вопросам производства и управления подчиненными.
Возрастание масштабов производства и его сложности сопровождается углублением разделения труда, дифференциацией функций деятельности производственной системы. При этом рост объема работ по управлению сопровождается углублением функционального разделения управленческого труда, обособлением фи специализацией подразделений управления. При этом создается функциональный тип структуры управления.
- Функциональная структура управления
Особенности и области применения
Функциональная структура ( 11.2) сложилась как неизбежный результат усложнения процесса управления. Особенность функциональной структуры заключается в том, что хотя и сохраняется единоначалие, но по отдельным функциям управления формируются специальные подразделения, работники которых обладают знаниями и навыками работы в данной области управления.
В принципе создание функциональной структуры сводится к группировке персонала по тем широким задачам, которые он выполняет. Конкретные характеристики и особенности деятельности того или иного подразделения (блока) соответствуют наиболее важным направлениям деятельности всего предприятия.
Традиционные функциональные блоки предприятияэто отделы производства, маркетинга, финансов. Это широкие области деятельности, или функции, которые имеются на каждом предприятии для обеспечения достижения его целей.

11.2. Функциональная структура управления: Р руководитель; Ф функциональные органы управления (функциональные руководители); И исполнители
Если размер всей организации или данного отдела велик, то основные функциональные отделы можно, в свою очередь, подразделить на более мелкие функциональные подразделения. Они называются вторичными, или производными. Основная идея здесь состоит в том, чтобы максимально использовать преимущества специализации и не допускать перегрузки руководства.
При этом необходимо соблюдать известную осторожность с тем, чтобы такой отдел (или подразделение) не ставил бы свои собственные цели выше общих целей всего предприятия.
На практике обычно используется линейно-функциональная, или штабная, структура, предусматривающая создание при основных звеньях линейной структуры функциональных подразделений ( 11.3). Основная роль этих подразделений состоит в подготовке проектов решений, которые вступают в силу после утверждения соответствующими линейными руководителями.

11.3. Линейно-функциональная структура управления: Рруководитель; Ф функциональные органы управления (функциональные руководители); Л линейные органы управления; И исполнители
Наряду с линейными руководителями (директорами, начальниками филиалов и цехов) существуют руководители функциональных подразделений (планового, технического, финансового отделов, бухгалтерии), подготавливающие проекты планов, отчетов, которые превращаются в официальные документы после подписания линейными руководителями.
Эта система имеет две разновидности: цеховую структуру управления, характеризующуюся созданием при начальнике цеха функциональных подразделений по важнейшим функциям производства, и безцеховую структуру управления, применяющуюся на небольших предприятиях и характеризующуюся делением не на цехи, а на участки.
Основным достоинством этой структуры является то, что она, сохраняя целенаправленность линейной структуры, дает возможность специализировать выполнение отдельных функций и тем самым повысить компетентность управления в целом.
Преимущества и недостатки
К преимуществам функциональной структуры можно отнести то, что она стимулирует деловую и профессиональную специализацию, уменьшает дублирование усилий и потребление материальных ресурсов в функциональных областях, улучшает координацию деятельности.
Вместе с тем специализация функциональных отделов нередко является препятствием для успешной деятельности предприятия, поскольку затрудняет координацию управленческих воздействий.
Функциональные отделы могут быть более заинтересованы в реализации целей и задач своих подразделений, чем общих целей всей организации. Это увеличивает вероятность конфликтов между функциональными отделами. Кроме того, на крупном предприятии цепь команд от руководителя до непосредственного исполнителя становится слишком длинной.
Опыт показывает, что функциональную структуру целесообразно использовать на тех предприятиях, которые выпускают относительно ограниченную номенклатуру продукции, действуют в стабильных внешних условиях и для обеспечения своего функционирования требуют решения стандартных управленческих задач. Примерами такого рода могут служить предприятия, действующие в металлургической, резинотехнической промышленности, в отраслях, производящих сырьевые материалы.
Функциональная структура не подходит для предприятий с широкой или с часто меняющейся номенклатурой продукции, а также для предприятий, осуществляющих свою деятельность в широких международных масштабах, одновременно на нескольких рынках в странах с различными социально-экономическими системами и законодательством.
Для предприятий такого типа более подходят дивизиональные структуры.
3. Дивизиональная структура управления
Особенности и области применения
Первые разработки концепции и начало внедрения дивизиональных структур управления относятся к 20-м гг., а пик их промышленного использования приходится на 6070-е гг.
Необходимость новых подходов к организации управления была вызвана резким увеличением размеров предприятий, диверсификацией их деятельности и усложнением технологических процессов в условиях динамично меняющейся внешней среды. Первыми перестройку структуры по этой модели начали крупнейшие организации, которые в рамках своих гигантских предприятий (корпораций) стали создавать производственные отделения, предоставляя им определенную самостоятельность в осуществлении оперативной деятельности. В то же время администрация оставляла за собой право жесткого контроля по общекорпоративным вопросам стратегии развития, научно-исследовательских разработок, инвестиций и т.п.
Поэтому данный тип структуры нередко характеризуют как сочетание централизованной координации с децентрализованным управлением (децентрализация при сохранении координации и контроля).
ИЗДЕРЖКИ ПРОИЗВОДСТВА И СЕБЕСТОИМОСТЬ ПРОДУКЦИИ
1. Формы внешнеэкономической деятельности предприятия 2. Операции предприятия по экспорту
3. Операции предприятия по импорту и встречные сделки
4. Предприятия с иностранными инвестициями
ГЛАВА 12. ЭКОНОМИЧЕСКАЯ СТРАТЕГИЯ ПРЕДПРИЯТИЯ
-
Формирование хозяйственной стратегии
Формирование хозяйственной стратегии в общем виде можно определить как процесс разработки целей развития и функционирования предприятия на определенный период времени, а также способов использования средств для достижения поставленной цели.
Выбор хозяйственной стратегии зависит от множества условий: форм конкурентной борьбы и степени ее жесткости, темпов и характера инфляции, экономической политики правительства, сравнительных преимуществ национальной экономики на мировом рынке и иных так называемых внешних факторов, а также внутренних факторов, связанных с возможностями самого предприятия, т.е. его производственными и финансовыми ресурсами.
Степень соответствия избранной предприятием хозяйственной стратегии общим тенденциям, происходящим в предпринимательской среде, в решающей степени определяет и его конкурентоспособность.
Предпосылки формирования стратегии
В хозяйственной практике выделяют четыре уровня конкурентоспособности предприятий. К первому уровню конкурентоспособности можно отнести небольшие предприятия, получившие «нишу» рынка. Они видят свою задачу лишь в том, чтобы выпускать продукцию определенного вида, четко выполнять намеченный производственный план, не заботясь ни о каких сюрпризах для потребителей и конкурентов.
Однако как только такое предприятие начинает расти, увеличивать масштабы своего производства, то или оно перерастает «нишу» рынка, на которую первоначально работало, и вступает в конкуренцию на другом сегменте рынка, или первоначальная «ниша» рынка развивается в растущий рынок и становится привлекательной для других производителей. В этом случае необходимо позаботиться о получении сравнительных преимуществ, о том, чтобы превзойти стандарты, предложенные конкурентами в области качества, точности поставок, цен, издержек производства, уровня обслуживания и т.п. Поэтому наилучшим вариантом хозяйственной стратегии для предприятий этого уровня считается постоянный поиск все новых и новых «ниш» рынка.
Именно такой подход, представляющий собой простейшую форму диверсификации производства и хозяйственной деятельности предприятий, позволяет им поддерживать свою конкурентоспособность и остаться «на плаву».
Предприятия второго уровня конкурентоспособности получили название «следующих за лидером». Они стремятся максимально заимствовать все те технические приемы, технологии и сырье, методы организации производства, что и ведущие предприятия отрасли. Однако многие из них неизбежно оказываются в ситуации, когда подобные стереотипы делового поведения, целиком базирующиеся на заимствовании передового опыта, уже не работают, не прибавляют конкурентоспособности предприятиям даже при самом незначительном усилении внутриотраслевой конкуренции.
Таким образом, они постепенно эволюционируют до третьего уровня конкурентоспособности, при котором система управления начинает активно воздействовать на производственные системы, содействует их развитию и совершенствованию. Успех в конкурентной борьбе предприятий этого уровня становится уже не столько функцией производства, сколько функцией управления (зависит от качества, эффективности управления и организации производства в самом широком смысле). Предприятия, которым удалось достичь четвертой степени конкурентоспособности, оказываются впереди конкурентов на многие годы.
Фактически это компании мирового уровня, известные во всех странах своей продукцией высочайшего качества.
Типы хозяйственных стратегий
В условиях рынка, при наличии конкурентной среды рост эффективности производства может осуществляться преимущественно в рамках таких хозяйственных стратегий, которые направлены на получение долгосрочной прибыли, на повышение устойчивости финансового положения предприятия и его конкурентоспособности на относительно длительный период времени.
Обеспечить высокую прибыльность в краткосрочном плане предприятие может и, не прибегая к повышению эффективности производства, а, в конечном счете, и ценой ослабления своих позиций в конкурентной борьбе в будущем. И наоборот, относительно продолжительный период времени обеспечивать свою конкурентоспособность, добиваться получения более высокой кумулятивной прибыли (за несколько лет, обычно от 7 до 12) вместо поиска сиюминутной выгоды предприятие может только путем повышения эффективности производства на постоянной основе.
Мероприятия по повышению эффективности производства, его дальнейшей интенсификации требуют, в конечном счете, технической модернизации производства, внедрения достижений НТП и адекватной перестройки систем управления и организации труда. А это, в свою очередь, означает длительный период оборота капитала, окупаемости затрат и получение возможно и более высокой прибыли (прежде всего ее массы), но за относительно продолжительный период времени. Крупные инвестиции в новое промышленное строительство, крупные затраты на НИОКР имеют длительный период окупаемости и приносят прибыль в среднем через 78 лет.
Перестройка организационных структур и систем управления, подготовка и обучение кадров, повышение квалификации рабочей силы, другие мероприятия по расширенному воспроизводству человеческого капитала более высокого качества, как и мероприятия по внедрению и освоению новой техники, также имеют сроки окупаемости затрат более одного года. Кроме того, разработка и производство новой продукции требует часто радикальных изменений в сбытовой сети, а ее формирование занимает сегодня в среднем 3-5 лет. Таким образом, осуществление мероприятий, обеспечивающих рост эффективности производства и повышение конкурентоспособности, возможно преимущественно в рамках хозяйственных стратегий, рассчитанных на получение долгосрочной прибыли.
Такие стратегии, в рамках которых осуществляется расширенное воспроизводство капитала, мы будем называть стратегиями первого типа. Но реализация стратегий такого типа не просто сопряжена с крупными начальными инвестициями, но и приводит к изменениям самих условий воспроизводства индивидуального капитала, на что руководство предприятий вынуждено реагировать соответствующим образом.
Стратегии второго типа направлены на оптимизацию текущих финансовых показателей, на максимизацию краткосрочной прибыли путем маневрирования хозяйственной структурой предприятия (его активов), спекуляции на рынке фиктивного капитала, искусственного завышения цен на продукцию.
В условиях рынка оба типа хозяйственных стратегий в управлении предприятиями переплетаются и их разделение достаточно условно. Поэтому для динамики эффективности производства важным является не строгое следование руководства предприятия тому или иному типу хозяйственных стратегий, а, во-первых, их соотношение во внутрифирменном управлении, во-вторых, соответствие выбранной стратегии задачам укрепления конкурентоспособности предприятия на рынке, а значит, тому технологическому укладу, хозяйственной специфике, тем сравнительным преимуществам, которыми в данный момент располагает конкретное предприятие.
Естественно, что в рамках каждого типа стратегий можно выделить множество их различных видов, соответствующих хозяйственной и производственной специфике данного предприятия. К стратегиям первого типа можно отнести:
стратегию минимизации издержек производства;
стратегию увеличения доли рынка сбыта, контролируемого предприятием (стратегия «доли рынка»);
стратегию инновационного программирования НИОКР.
При минимизации издержек производства прибыль увеличивается в результате уменьшения затрат авансированного капитала. Рост эффективности производства происходит в результате уменьшения совокупных затрат труда, применения в производстве более производительной техники, более экономичных видов сырья и материалов, роста концентрации производства, увеличения серийности выпуска изделий с использованием оборудования большей единичной мощности (т.е. получения так называемой экономии на масштабах производства).
Стратегия, направленная на расширение доли рынка сбыта, способствует повышению эффективности производства за счет более высокой доли вновь созданной стоимости (условно чистой продукции) в общем объеме реализованной продукции, темпов роста оборотов предприятий. Рост доли рынка сбыта непосредственно связан с достижением превосходства над конкурентами. А это во многом связано с повышением потребительских качеств, технического уровня продукции, качества обслуживания потребителей, выгодно отличающих продукцию данного предприятия, с реализацией других его сравнительных преимуществ.
Реализация данной стратегии может также способствовать повышению эффективности производства за счет снижения удельных издержек по реализации продукции (т.е. за счет уменьшения товарных запасов, расходов по хранению изделий и т.п.).
В рамках инновационного программирования НИОКР, ориентированного на создание и производственное освоение нововведений, осуществляется не только создание и внедрение прогрессивных технологий, но и разработка принципиально новых видов продуктов, более высокого качества и не имеющих близких аналогов на рынке.
ФОРМИРОВАНИЕ ЦЕН НА ПРОДУКЦИЮ ПРЕДПРИЯТИЯ
Затраты, издержки, себестоимость являются важнейшими экономическими категориями. Их уровень во многом определяет величину прибыли и рентабельности предприятия, эффективность его хозяйственной деятельности. Снижение и оптимизация затрат являются одними из основных направлений совершенствования экономической деятельности каждого предприятия.
1. Понятие и виды затрат предприятия
Понятие затрат и издержек производства
Сущность затрат на производство и издержек производства не тождественны между собой в теоретическом и практическое планах, как на уровне общественного производства, так и в макроэкономике в отечественной и зарубежной практике. С позиций общества издержки на производство включают полный объем затрат живого и овеществленного труда и равны стоимости продукта. Затраты на производство отечественных предприятий состоят из их собственных денежных расходов, а издержки зарубежных фирм включают нормативную прибыль.
Виды затрат предприятия
Понятие затрат предприятия существенно различается в зависимости от их экономического назначения. Четкое разграничение затрат по их роли в процессе воспроизводства является определяющим моментом в теории и практической деятельности. В соответствии с ним на всех уровнях управления осуществляется группировка затрат, формируется себестоимость продукции, определяются источники финансирования. По воспроизведенному признаку затраты предприятия подразделяются на три вида:
затраты на производство и реализацию продукции, образующие ее себестоимость. Это текущие затраты, покрываемые из выручки от реализации продукции при посредстве кругооборота оборотного капитала;
затраты на расширение и обновление производства. Как правило, это крупные единовременные вложения средств капитального характера под новую или модернизированную продукцию. Они расширяют применяемые факторы производства, увеличивают уставный капитал.
Затраты состоят из капитальных вложений в основные фонды, прироста норматива оборотных средств, затрат на формирование дополнительной рабочей силы для нового производства. Эти затраты имеют особые источники финансирования: амортизационный фонд, прибыль, эмиссия ценных бумаг, кредит и проч.;
затраты на социально-культурные, жилищно-бытовые и иные аналогичные нужды предприятия. Они прямо не связаны с производством и финансируются из специальных фондов, формируемых в основном из распределяемой прибыли.
Затраты на производство и реализацию продукции (работ, услуг) представляют собой расходы предприятия, выраженные в денежной форме и связанные с использованием в процессе производства сырья и материалов, комплектующих изделий, топлива, энергии, труда, основных фондов, нематериальных активов и других затрат некапитального характера. Они включаются в себестоимость выпускаемой продукции, уровень которой определяет объем прибыли, рентабельность продукции и капитала, а также другие конечные показатели финансово-экономической деятельности предприятия.
Наиболее общее понятие издержек производства фирм в зарубежных учебниках определяется как затраты на вводимые факторы или экономические ресурсы. Все издержки принимаются как альтернативные (или вмененные), что означает, что стоимость любого ресурса, выбранного для производства, равна его ценности при наилучшем варианте использования. Это один из важнейших принципов рыночной экономики.
Различают издержки экономические и бухгалтерские. Под экономическими издержками понимаются все виды выплат фирмы поставщикам за используемые ресурсы. Они состоят из двух видов: внешних (явных, или денежных) и внутренних (неявных, или имплицитных). Внешние издержки представляют собой денежные платежи поставщикам ресурсов: оплату сырья, материалов, топлива, заработную плату, начисление износа и т.д. Эта группа издержек и составляет бухгалтерские издержки, соответствующие затратам наших отечественных предприятий.
Внутренние издержки фирм имеют неявный, имплицитный характер. Они отражают использование в производстве ресурсов, принадлежащих владельцам фирмы: земли, помещений, их личного труда, нематериальных активов и т.д., за которые фирма формально не платит. В обобщенном понимании внутренние издержки представляют собой доход на собственный дополнительно используемый ресурс (капитал, землю, труд в пределах нормального процента или ренты, как если бы денежные средства были положены в банк, земля сдана в аренду и т.д.) и нормальную прибыль (она включает заработную плату и вознаграждение предпринимателя, как если бы он работал по найму).
Предприниматели в действительности несут эти затраты, но не в явной, не в денежной форме, что позволяет включать их в экономические издержки. Отсюда:
Понятие «экономические» издержки является общепринятым; бухгалтерские исчисляются на практике: при подсчете реальной суммы затрат, налогооблагаемой прибыли и т.п.
Затраты на производство и реализацию продукции (работ, услуг) классифицируются по ряду признаков:
по роли в процессе производства они подразделяются на основные и накладные. Основные затраты непосредственно формируют создаваемый продукт, составляют его физическую основу:
сырье, материалы, полуфабрикаты, заработная плата и т.п. Накладные затраты связаны с обслуживанием процесса производства: содержание оборудования, цехового и общезаводского персонала и т.п.;
по способу включения в себестоимость продукции затраты делятся на прямые и косвенные. Прямые затраты можно непосредственно отнести на себестоимость единицы каждого вида изделий: сырье, энергия технологическая, заработная плата станочников и др. Косвенные затраты распределяются по отдельным группам продукции пропорционально избранной базе;
по зависимости затрат от изменения объема выпуска продукции они подразделяются на постоянные и переменные. Величина постоянных затрат остается одинаковой при изменении объема производства (арендная плата, амортизация, содержание зданий и др.). Переменные расходы, напротив, увеличиваются или уменьшаются под влиянием динамики выпуска продукции. Эта группировка затрат широко используется в теории зарубежной микроэкономики;
по способам учета и группировки затрат они подразделяются на простые (сырье, материалы, зарплата, износ, энергия и т.п.) и комплексные, т.е. собираемые в группы либо по функциональной роли в процессе производства (малоценные и быстроизнашиваемые предметы), либо по месту осуществления затрат (цеховые расходы, общезаводские расходы и т.п.);
по срокам использования в производстве различаются каждодневные, или текущие, затраты и единовременные, разовые затраты, осуществляемые реже чем один раз в месяц.
2. Себестоимость продукции
Себестоимость продукции (работ, услуг) представляет собой стоимостную оценку используемых в процессе производства продукции (работ, услуг) природных ресурсов, сырья, материалов, топлива, энергии, основных фондов, трудовых ресурсов, а также других затрат на ее производство и реализацию. Себестоимость отражает величину текущих затрат, имеющих производственный, некапитальный характер, обеспечивающих процесс простого воспроизводства на предприятии. Себестоимость является экономической формой возмещения потребляемых факторов производства.
Состав и структура затрат, включаемых в себестоимость продукции
Затраты, образующие себестоимость, по экономическому содержанию группируются по следующим элементам: материальные затраты, затраты на оплату труда, отчисления на социальные нужды, амортизация основных фондов, прочие затраты. Их структура формируется под влиянием различных факторов: характера производимой продукции и потребляемых материально-сырьевых ресурсов, технического уровня производства, форм его организации и размещения, условий снабжения и сбыта продукции и т.д. В зависимости от преобладающей доли отдельных элементов затрат различают следующие виды отраслей и производств: материалоемкие, трудоемкие, фондоемкие, топливо- и энергоемкие и смешанные. Структура затрат не остается постоянной, она динамична. Так, в целом по промышленности России материальные затраты в I кв.
1997 г., в 1995 и в 1990 гг. соответственно составляли 63,0; 57,4; 68,6%: оплата труда 11,2; 13,7; 13,0%; отчисления на социальные нужды 4,2; 4,9; 2,2%; амортизация 8,2; 6,2; 12,1%; прочие расходы 13,4; 17,8; 4,1%.
Материальные затраты во всех отраслях народного хозяйства (кроме добывающих) занимают основную долю в себестоимости продукции. В их состав входят: сырье, основные материалы, покупные полуфабрикаты, топливо, энергия и др. Сырье и материалы включают в себя стоимость приобретаемых со стороны ресурсов, которые входят в продукт и составляют его основу или являются необходимым компонентом. Покупные материалы и полуфабрикаты, приобретаемые со стороны, подвергаются в дальнейшем дополнительной обработке или сборке-монтажу. Вспомогательные материалы добавляются к основным с целью изменения их внешнего вида или других свойств, а также используются при обслуживании производства (смазочные, обтирочные, красители, упаковочные и проч.).
Топливо (твердое, жидкое, газообразное) и энергия всех видов (электрическая, тепловая, сжатого воздуха, холода и др.), приобретаемые со стороны, выделяются особо в составе материальных затрат в связи с их важным народнохозяйственным значением.
ИННОВАЦИОННАЯ ДЕЯТЕЛЬНОСТЬ ПРЕДПРИЯТИЯ
Важное место среди различных рычагов экономического механизма хозяйственной политики предприятия принадлежит ценам и ценообразованию, в которых отражаются все стороны его экономической деятельности. Цена оказывает непосредственное воздействие на производство, распределение, обмен и потребление. В условиях рыночных отношений цена выступает как связующее звено между производителем и потребителем, как механизм обеспечения равновесия между спросом и предложением.
-
Виды цен
Цена денежное выражение стоимости товара. Она выполняет различные функции: учетную, стимулирующую и распределительную. В учетной функции цены отражаются общественно необходимые затраты труда на производство и реализацию продукции, оцениваются затраты и результаты производства.
Стимулирующая функция используется для развития ресурсосбережения, повышения эффективности производства, улучшения качества продукции, внедрения новых технологий и т.д. Распределительная функция предусматривает учет в цене акциза на отдельные группы и виды товаров, налога на добавленную стоимость и других форм централизованного чистого дохода, поступающего в бюджет государства, региона и т.д.
Цены могут быть классифицированы по разным экономическим признакам.
Классификация цен по степени регулируемости
В условиях рыночных отношений одним из важных классификационных признаков цен является степень их свободы от регулирующего воздействия государства. Значительная часть цен является свободной, складывающейся на рынке под влиянием спроса и предложения независимо от какого-либо государственного влияния.
Регулируемые цены также формируются под влиянием спроса и предложения, но могут испытывать определенное воздействие государства. Государство может повлиять на цены путем прямого ограничения их роста или снижения. Государство в лице органов власти и управления может устанавливать на отдельные виды товаров и продукции фиксированные цены.
В условиях рыночной экономики преимущественно действуют два вида цен: свободные и регулируемые.
Наиболее соответствующими природе рыночных отношений являются свободные цены, однако, полностью перейти только к ним невозможно. Государство в случае необходимости может вмешиваться в процессы ценообразования и в зависимости от изменяющихся экономических условий переходить к регулируемым или даже фиксированным ценам.
Решениями Правительства РФ, например, предусмотрено, что круг товаров, продаваемых по свободным ценам, может расширяться или, наоборот, сужаться и по отдельным видам товаров и услуг могут вводиться регулируемые цены. В отдельных регионах регулирование цен может зависеть от наличия на местах товарных ресурсов и финансовых возможностей. Кроме того, политика социальной защиты населения на определенных этапах развития требует прямого государственного регулирования розничных цен на отдельные предметы потребления, которые определяют прожиточный минимум населения (хлеб и хлебобулочные изделия, молоко и молочные продукты, сахар, растительное масло и т.п.).
Классификация цен по характеру обслуживаемого оборота
Исходя из обслуживаемой сферы товарного обращения, цены подразделяются на следующие виды:
оптовые цены на продукцию промышленности;
цены на строительную продукцию;
закупочные цены;
тарифы грузового и пассажирского транспорта;
розничные цены;
тарифы на платные услуги, оказываемые населению;
цены, обслуживающие внешнеторговый оборот.
Оптовые цены на продукцию промышленности цены, по которым реализуется и закупается продукция предприятий, фирм и организаций независимо от форм собственности в порядке оптового оборота. Этот вид цен подразделяется на оптовые цены предприятия и оптовые (отпускные) цены промышленности.
Оптовые цены предприятия цены изготовителей продукции, по которым они продают произведенную продукцию потребителям, возмещая свои издержки производства и реализации и, получая такую прибыль, которая позволит им продолжать и развивать свою деятельность.
Оптовые (отпускные) цены промышленности цены, по которым предприятия и организации-потребители оплачивают продукцию предприятиям-производителям или сбытовым (оптовым) организациям. В их состав включается оптовая цена предприятия, издержки снабженческо-сбытовой или оптовой организации, прибыль снабженческо-сбытовой или оптовой организации, акциз и налог на добавленную стоимость. Издержки и прибыль снабженческо-сбытовой или оптовой организации составляют величину оптово-сбытовой скидки (наценки).
Оптово-сбытовая скидка (наценка)
Оптовые (отпускные) цены промышленности теснее связаны с оптовой торговлей, в то время как оптовые цены предприятия более тяготеют к производству.
В хозяйственной практике применяются три вида цен на строительную продукцию:
сметная стоимость, отражающая предельный размер затрат на строительство каждого объекта;
прейскурантная цена, которая представляет собой усредненную сметную стоимость единицы конечной продукции типового строительного объекта (за 1 м2 жилой площади, 1 м2 полезной площади, 1 м2 малярных работ и т.п.);
договорная цена, устанавливаемая по соглашению между заказчиком и подрядчиком.
Закупочные цены это цены (оптовые), по которым реализуется сельскохозяйственная продукция предприятиями, фермерами и населением. Обычно являются договорными ценами, устанавливаемыми по соглашению сторон.
Тарифы грузового и пассажирского транспорта выражают плату за перемещение грузов и пассажиров, взимаемую транспортными организациями с отправителей грузов и населения.
Розничные цены цены, по которым товары реализуются в розничной торговой сети населению, предприятиям и организациям.
Они включают оптовые (отпускные) цены промышленности, акциз, налог на добавленную стоимость и торговую надбавку, состоящую из издержек обращения торговых организаций и их прибыли.
Торговая надбавка (скидка)
Другие классификации цен
Особыми видами цен, непосредственно связанных с торговлей, являются аукционные, биржевые и договорные цены.
Аукционная цена цена товара, проданного на аукционе. Она может существенно отличаться от рыночной цены (быть многократно выше ее), поскольку отражает уникальные и редкие свойства и признаки товаров, а также может зависеть от мастерства лица, проводящего аукцион.
Биржевая цена цена, по которой осуществляется оптовая сделка по купле-продаже товаров на бирже. Она является свободной ценой, которая колеблется в зависимости от спроса, объема сделки и т.д. Биржевая цена котируется, т.е. определяется ее типовой уровень по наиболее характерным сделкам.
Биржевая информация публикуется в соответствующих бюллетенях. Договорная (контрактная) цена - это цена, по которой осуществляется реализация товаров в соответствии с заключенным договором. Договорные цены могут быть постоянными на протяжении всего срока действия договора или индексироваться на условиях, согласованных обеими сторонами.
При осуществлении внешнеэкономической деятельности предприятия используются различные внешнеторговые цены. Они будут рассмотрены подробно в специальной главе данного учебника.
Цены классифицируются в зависимости от территории действия. При этом различают;
цены единые по стране, или поясные;
цены региональные (зональные, местные).
Единые, или поясные, цены могут устанавливаться только на базовые виды продукции, на которые распространяется государственное регулирование. Речь идет о таких видах продукции и услуг, как энергоносители, электроэнергия, квартирная плата и некоторые другие.
Региональные (местные) цены могут быть оптовыми, закупочными, розничными. Они устанавливаются предприятиями-изготовителями, органами ценообразования региональных органов власти и управления. Эти цены ориентируются на издержки производства и реализации, складывающиеся в данном регионе.
Региональными являются цены и тарифы на подавляющее большинство жилищно-коммунальных и бытовых услуг, оказываемых населению.
В зависимости от иных классификационных признаков могут выделяться конкурентные, олигополистические и монопольные цены, цены спроса и цены предложения, справочные, номинальные и другие виды цен.
-
Ценовая политика предприятия
Ценообразование на предприятии представляет собой сложный процесс, состоящий из нескольких взаимосвязанных этапов:
сбора и систематического анализа информации о рынке, обоснования основных целей ценовой политики предприятия на определенный период времени, выбора методов ценообразования, установления конкретного уровня цены и формирования системы скидок и надбавок к цене, корректировки ценового поведения предприятия в зависимости от складывающейся рыночной конъюнктуры.
Ценовая политика это механизм или модель принятия решений о поведении предприятия на основных типах рынков для достижения поставленных целей хозяйственной деятельности.
Задачи и механизм разработки ценовой политики
Предприятие самостоятельно определяет схему разработки ценовой политики исходя из целей и задач развития фирмы, организационной структуры и методов управления, установившихся традиций на предприятии, уровня издержек производства и других внутренних факторов, а также состояния и развития предпринимательской среды, т.е.
ИНВЕСТИЦИОННАЯ ПОЛИТИКА ПРЕДПРИЯТИЯ
Инновационная деятельность предприятия есть система мероприятий по использованию научного, научно-технического и интеллектуального потенциала с целью получения нового или улучшенного продукта либо услуги, нового способа их производства для удовлетворения, как индивидуального спроса, так и потребностей общества в новшествах в целом. Целесообразность выбора способа и варианта технико-технологического обновления зависит от конкретной ситуации, характера нововведения, его соответствия профилю, ресурсному и научно-техническому потенциалу предприятия, требованиям рынка, стадиям жизненного цикла техники и технологии, особенностям отраслевой принадлежности.
-
Понятие инноваций
Виды инноваций
Различают два типа технологических инноваций: продуктовые и процессные. Внедрение нового продукта определяется как радикальная продуктовая инновация. Такие новшества основаны на принципиально новых технологиях либо на сочетании существующих технологий в новом их применении.
Усовершенствование продукта инкрементальная продуктовая инновация связано с существующим продуктом, когда меняются его качественные или стоимостные характеристики.
Процессная инновация это освоение новых или значительно усовершенствованных способов производства и технологий, изменения в оборудовании или организации производства.
По степени новизны инновации подразделяются на принципиально новые, т.е. не имеющие аналогов в прошлом и в отечественной и зарубежной практике, и на новшества относительной новизны. Принципиально новые виды продукции, технологии и услуг обладают приоритетностью, абсолютной новизной и являются оригинальными образцами, на основании которых тиражированием получают новшества-имитации, копии.
Среди инноваций-имитаций различают технику, технологию и продукцию рыночной новизны, новой сферы применения и новшества сравнительной новизны (имеющие аналоги на лучших зарубежных и отечественных предприятиях) и нововведения-усовершенствования. В свою очередь нововведения-усовершенствования по предметно-содержательной структуре подразделяются на вытесняющие, замещающие, дополняющие, улучшающие и проч.
16.1. Обобщенная схема жизненного цикла инноваций
Жизненный цикл инноваций
Жизненный цикл инновации представляет собой совокупность взаимосвязанных процессов и стадий создания новшества. Жизненный цикл инновации определяется как промежуток времени от зарождения идеи до снятия с производства реализованного на ее основе инновационного продукта.
Обобщенная схема жизненного цикла инновации представлена на 16.1.
Инновация в своем жизненном цикле проходит ряд стадий, включающих:
зарождение, сопровождающееся выполнением необходимого объема научно-исследовательских и опытно-конструкторских работ, разработкой и созданием опытной партии новшества;
рост (промышленное освоение с одновременным выходом продукта на рынок);
зрелость (стадия серийного или массового производства и увеличение объема продаж);
насыщение рынка (максимальный объем производства и максимальный объем продаж);
упадок (свертывание производства и уход продукта с рынка).
С позиций инновационной деятельности целесообразно различать как жизненные циклы производства, так и жизненные циклы обращения новшества. Графическая интерпретация жизненного цикла производства показана на 16.2.
16.2. Жизненный цикл производства инновационного продукта
Первая стадия внедрение новшества - является наиболее трудоемкой и сложной. Именно здесь велик объем расходов на освоение производства и выпуск опытной партии нового товара. На первой стадии воспроизводится и совершенствуется технология, отрабатывается регламент производственного процесса, И именно на данной стадии наблюдается высокая себестоимость продукции и незагруженность мощностей.
Вторая стадия стадия промышленного освоения производства характеризуется медленным и растянутым во времени наращиванием выпуска продукции.
Третья стадия стадия подъема отличается быстрым наращиванием производства, значительным увеличением загрузки производственных мощностей, отлаженностью технологического процесса и организации производства.
Четвертая стадия стадия зрелости и стабилизации характеризуется устойчивыми темпами наибольших объемов выпуска продукции и максимально возможной загрузкой производственных мощностей.
Пятая стадия стадия увядания или упадка связана с падением загрузки мощностей, сворачиванием производства данного товара и резким уменьшением товарных запасов вплоть до нуля.
Состав и структура циклов жизни новой техники и технологии тесно связаны с параметрами развития производства. Так, например, на первой стадии жизненного цикла новой техники и технологии производительность труда низкая, себестоимость продукции снижается медленно, медленно возрастает прибыль предприятия либо экономическая прибыль даже отрицательна. В период быстрого роста выпуска продукции заметно снижается себестоимость, окупаются первоначальные затраты.
Частая смена техники и технологии создает большие сложности и нестабильность производства. В период перехода на новую технику и освоения новых технологических процессов снижаются показатели эффективности всех подразделений предприятия. Вот почему инновациям в области технологических процессов и орудий труда должны сопутствовать новые формы организации и управления, пооперационный, попроцессорный и подетальный расчет экономической эффективности.
Жизнециклическая концепция инноваций играет очень важную роль в определении как максимального объема выпуска, объема продаж и прибыли, так и продолжительности цикла жизни конкретного новшества.
Анализ продолжительности циклов жизни новой техники и технологии проводится в следующей последовательности, включающей:
1) определение общей продолжительности циклов жизни изделий данного семейства, поколения за всю историю, с тем чтобы установить устойчивую величину цикла данного вида техники или технологического процесса, в том числе и по стадиям;
2) определение распределений продолжительностей циклов жизни и их стадий вокруг центральной тенденции, поскольку это является основой прогноза продолжительности циклов жизни будущего новшества;
3) выработку базы стратегии и тактики роста производства соответственно продолжительности стадий циклов жизни новой техники и технологии;
4) распределение вероятностей продолжительности циклов будущих образцов и пропорционально ей ресурсов во времени следующего цикла;
5) тщательный анализ факторов, влияющих на продолжительность прошлых циклов, и экстраполяция результатов на прогноз их влияния на циклы жизни будущих изделий;
6) формализацию методов сбора исходных данных и применение эконометрических моделей расчета.
Методика анализа продолжительности циклов жизни позволяет дать ответ о динамике технико-экономических показателей производства. Во-первых, это дает возможность определить период роста производства до максимального, которому эквивалентны наилучшие тенденции ведущих показателей экономической эффективности: приведенных затрат, себестоимости продукции, производительности труда, величины рентабельности. Во-вторых, следует установить зависимость роста выпуска с экстремумом технико-экономических показателей и с объемом продаж, ибо они, как правило, не совпадают. В-третьих, необходимо проанализировать тенденции изменения технико-экономических показателей при удвоении объема выпуска, дать ответ: существует ли пропорциональность, инерционность, эффект запаздывания и проч.
Из приведенной методики ясно, что исследование динамики продолжительности стадий циклов жизни в зависимости от технико-экономических показателей и объема продаж является одним из важнейших современных методов анализа новой техники и технологии.
Содержание инновационной деятельности
Инновационная деятельность предприятия по разработке, внедрению, освоению и коммерциализации новшеств включает:
проведение научно-исследовательских и конструкторских работ по разработке идеи новшества, проведению лабораторных исследований, изготовлению лабораторных образцов новой продукции, видов новой техники, новых конструкций и изделий;
подбор необходимых видов сырья и материалов для изготовления новых видов продукции;
разработку технологического процесса изготовления новой продукции;
проектирование, изготовление, испытание и освоение образцов новой техники, необходимой для изготовления продукции;
разработку и внедрение новых организационно-управленческих решений, направленных на реализацию новшеств;
исследование, разработку или приобретение необходимых информационных ресурсов и информационного обеспечения инноваций;
подготовку, обучение, переквалификацию и специальные методы подбора персонала, необходимого для проведения НИОКР;
проведение работ или приобретение необходимой документации по лицензированию, патентованию, приобретению ноу-хау;
организацию и проведение маркетинговых исследований по продвижению инноваций и т.д.
Показатели потенциала предприятия
Для развития инновационной деятельности предприятия важное значение имеют количественные и качественные показатели его научно-технического потенциала.
ПРИРОДООХРАНИТЕЛЬНАЯ ДЕЯТЕЛЬНОСТЬ ПРЕДПРИЯТИЯ
Инвестиционная деятельность предприятия важная неотъемлемая часть его общей хозяйственной деятельности. Значение инвестиций в экономике предприятия трудно переоценить. Для современного производства характерны постоянно растущая капиталоемкость и возрастание роли долгосрочных факторов. Чтобы предприятие могло успешно функционировать, повышать качество продукции, снижать издержки, расширять производственные мощности, повышать конкурентоспособность своей продукции и укреплять свои позиции на рынке, оно должно вкладывать капитал, и вкладывать его выгодно.
Поэтому ему необходимо тщательно разрабатывать инвестиционную стратегию и постоянно совершенствовать ее для достижения вышеназванных целей.
-
Понятие и принципы инвестиционной деятельности
Понятие инвестиций
В самом общем виде инвестиции определяются как денежные средства, банковские вклады, паи, акции и другие ценные бумаги, технологии, машины, оборудование, лицензии, в том числе на товарные знаки, кредиты, любое другое имущество или имущественные права, интеллектуальные ценности, вкладываемые в объекты предпринимательской деятельности или других видов деятельности в целях получения прибыли (дохода) и достижения положительного социального эффекта.
По финансовому определению инвестиции это все виды активов (средств), вкладываемых в хозяйственную деятельность в целях получения дохода. Экономическое определение инвестиций трактуется как расходы на создание, расширение, реконструкцию и техническое перевооружение основного капитала, а также на связанные с этим изменения оборотного капитала. Ведь изменения в товарно-материальных запасах во многом объясняются движением расходов на основной капитал.
Инвестиции в рыночной экономике как процесс вложения средств в любой форме неразрывно связаны с получением дохода, или какого-либо эффекта. Инвестиции это ресурс, затрачивая который, можно получить намеченный результат. Таким образом, сущность инвестиций содержит в себе сочетание двух сторон инвестиционной деятельности: затрат ресурсов и результатов.
Если затраты ресурса, т.е. инвестиций, не приводят к желаемому результату, то они становятся бесполезными.
Инвестиции представляют собой использование финансовых ресурсов в форме краткосрочных или долгосрочных капиталовложений. Инвестиции осуществляются юридическими или физическими лицами. По видам инвестиции делятся на рисковые (венчурные), прямые, портфельные и аннуитеты.
Венчурный капитал представляет собой инвестиции в форме выпусков новых акций, произведенных в новых сферах деятельности, связанных с большим риском. Венчурный капитал инвестируется в не связанные между собой проекты в расчете на быструю окупаемость вложенных средств. Он сочетает в себе различные формы капитала: ссудного, акционерного, предпринимательского.
Прямые инвестиции представляют собой вложение в уставный капитал хозяйствующего субъекта с целью извлечения дохода и получения прав на участие в управлении данным субъектом.
Портфельные инвестиции связаны с формированием портфеля (совокупность разных инвестиционных ценностей) и представляют собой приобретение ценных бумаг и других активов. Аннуитеты инвестиции, приносящие вкладчику определенный доход через регулярные промежутки времени, представляют собой вложения средств в страховые и пенсионные фонды.
Принципы инвестиционной деятельности
Для достижения более высокой эффективности вложений руководство фирмы обязано учитывать базовые принципы инвестирования. Рассмотрим их более подробно.
Принцип предельной эффективности инвестирования. Любое предприятие стремится к получению максимальной прибыли, организовывая производство таким образом, чтобы издержки на единицу выпускаемой продукции были минимальными. Предприятие будет продолжать свою деятельность, если при достигнутом уровне производства его доход будет превышать издержки производства.
И оно прекратит производство, если полученный суммарный доход от продажи товара не превысит издержки производства.
До каких пределов предприятие может расширять производство? Если производство одной дополнительной единицы товара дает доход, превышающий издержки, связанные с ее изготовлением, тогда предприятию необходимо увеличивать выпуск продукции. Предприятие не будет расширять производство, если доход от продажи последней единицы продукций станет равным издержкам производства.
Если предприятие все же решило продолжать производство, то оно должно выпускать такое количество продукции, при котором предельный доход будет равен предельным издержкам производства. Эти два условия носят универсальный характер и применимы к любой структуре рынка, любой форме собственности.
Рассмотрим взаимосвязь между процессом вложения капитала и соответствующими показателями эффективности (прибыльности) этих последовательных порций инвестирования капитала ( 17.1).
17.1. Определение оптимального объема инвестирования
Как видно из графика, эффективность (прибыльность) каждого последующего вложения снижается. Практический смысл графика в том, что на предприятии с его помощью могут найти (опытно определить) предельный размер инвестирования. Как видно из графика, оптимальный объем инвестирования 5 млн. ед. Вложения 6 млн. ед. уже будут невыгодны.
Таким образом, мы решаем своего рода оптимизационную задачу, наметив в определенной мере стратегию инвестирования. Крутизна графика предельной эффективности инвестирования зависит, по меньшей мере, от двух главных факторов:
темпа роста издержек производства (в немалой степени задается самой технологией);
степени монополизации производства.
Принцип «замазки». Этот принцип позволяет определить новый подход к оценке эффективности инвестирования. В чем его суть?
Представим себе кусок замазки. Перед тем, как к нему прикоснуться, мы имеем максимальную свободу выбора: как касаться, в каком месте, с какой целью, насколько глубоко погружать пальцы в замазку и т.д. Но как только мы вошли в контакт с замазкой, то произошло увязание.
Свобода действий уже не та, что до прикосновения: вы связаны, увязли.
Инвестирование подобно работе с замазкой; свобода принятия решений сменяется все большей несвободой в ходе их реализации.
Предприятие свободно принимать решение о том, какой станок покупать, арендовать его или производить самому, какую сумму кредита брать под эту операцию, на какой срок и под какие проценты. Но когда вы совершили все эти операции, то назад вернуться уже сложно. Надо эксплуатировать этот станок в течение ряда лет (чтобы он окупился), выплачивать проценты по кредиту и т.п.
Налицо процесс увязания в «замазке», так как свобода действий после вступления инвестиционного проекта в силу существенно ограничена.
Нельзя сказать, что свобода действий равна нулю, как только началась реализация инвестиционного решения. Можно перепродать купленный вами станок или акцию, избавиться от них, произвести так называемое дезинвестирование. Однако за это приходится платить: временем, перенапряжением управленческого персонала, нарушением связи с деловыми партнерами.
Увязнув «в замазке», из нее трудно выбраться, особенно если предприятие «увязло» одновременно в 3-4 инвестиционных проектах. Причем чем больше вложения капитала, чем солиднее деловые партнеры, Тем дороже придется платить за исправление своей ошибки. Поэтому необходимо заблаговременно просчитать эффективность инвестиционного проекта до начала его реализации.
Принцип сочетания материальных и денежных оценок эффективности капиталовложений. Существует три варианта оценки эффективности:
через сравнение относительных цен затрат и выпуска, т.е. исключительно стоимостный, денежный анализ. Мировой опыт инвестирования показывает, что опираться только на денежную оценку эффективности недостаточно особенно губителен такой подход в условиях непредсказуемой инфляции;
через сочетание денежных и технических критериев эффективности. Дело в том, что многое зависит от самой технологии, заложенной в инвестиционный проект. Технология задает специфический рисунок введения производственных мощностей и, следовательно, влияет на порядок осуществления инвестиционных целей;
чисто технический подход оценки эффективности, который не учитывает рыночной (стоимостной) оценки бизнеса и поэтому будет все менее применим для России.
Принцип адаптационных издержек. Адаптационные издержки это все издержки, связанные с адаптацией к новой инвестиционной среде. Они измеряются как выпуск, потерянный от реорганизации производства и переподготовки кадров, когда новое оборудование установлено, но его надо переналадить под изменившуюся конъюнктуру. Потеря времени рассматривается как потеря дохода. Практически всегда существует временное отставание (лаг) между решением о новом инвестировании и началом его практической реализации и окупаемости.
Адаптироваться мгновенно нельзя. Любая адаптация имеет свои издержки: нужны новая информация, новая технология, средства на переподготовку кадров и т.п. В противном случае надо платить за скорость. К примеру, новый завод можно перестроить и за полгода, но такое строительство будет «золотым».
Большинство предприятий не могут себе такого позволить.
ВНЕШНЕЭКОНОМИЧЕСКАЯ ДЕЯТЕЛЬНОСТЬ ПРЕДПРИЯТИЯ
С развитием общественного производства расширяется сфера воздействия на природу, возрастают негативные изменения окружающей среды, происходит загрязнение веществами, вредными для живых организмов, нарушение динамического равновесия природных систем, изменение водного баланса, рост эрозии почв, истощение запасов минерального сырья и топлива и т.д. Природоохранная деятельность занимает важное место в государственном управлении и регулировании экономики; во все возрастающей степени учитывается в экономических механизмах функционирования предприятий.
-
Государственное управление природоохранными мероприятиями
Государственное управление природоохранными мероприятиями входит в систему управления всем народным хозяйством. Оно организуется в соответствии с Конституцией РФ и основывается на Законе РФ «Об охране окружающей природной среды» от 19 декабря 1991 г.
Государственные органы, регулирующие природопользование
Подразделения, регулирующие природоохранную деятельность, представлены в органах законодательной, исполнительной и судебной властей.
В составе Государственной Думы действует Комитет по вопросам экологии и рационального использования природных Ресурсов. К компетенции представительной власти относится определение государственной политики в области охраны окружающей среды, утверждение государственной экологической программы, определение полномочий местных органов представительной власти и т.п.
В структурах исполнительной власти имеется значительное число органов, осуществляющих управление и контроль в различныx областях природопользования.
При Совете Безопасности РФ действует Межведомственная комиссия по экологической безопасности.
Природоохранные функции (в той или иной степени) выполняют:
Министерство природных ресурсов РФ, образованное в 1996 г. на базе двух упраздненных комитетов: Комитета РФ по водному хозяйству и Комитета РФ по геологии и использованию недр;
Федеральная служба лесного хозяйства России (Рослесхоз).
Государственный комитет РФ по земельным ресурсам и землеустройству (Госкомзем);
Государственный комитет РФ по стандартизации, метрологии и сертификации (Госстандарт);
Федеральная служба РФ по гидрометеорологии и мониторингу окружающей среды (Росгидромет);
Федеральная служба геодезии и картографии России (Роскартография);
Министерство РФ по делам гражданской обороны, чрезвычайным ситуациям и ликвидации последствий стихийных бедствий (МЧС);
Федеральный надзор России по ядерной и промышленной безопасности (Госатомнадзор);
Федеральный горный и промышленный надзор России (Госгортехнадзор);
Министерство здравоохранения РФ, одной из функций которого является санитарно-эпидемиологический надзор.
Главным аналитическим и координирующим центром природоохранной деятельности в Российской Федерации является Государственный комитет по охране окружающей среды (Госкомэкология).
Госкомэкология России осуществляет:
комплексное управление природоохранной деятельностью в стране;
координацию деятельности министерств и ведомств России в этой области;
государственный контроль за использованием и охраной земель, поверхностных и подземных вод, атмосферного воздуха, растительного и животного мира, а также полезных ископаемых:
утверждение экономических нормативов, правил и стандартов по регулированию использования природных ресурсов и охране окружающей среды от загрязнения;
государственную экологическую экспертизу генеральных схем развития и размещения производительных сил страны;
контроль за соблюдением экологических норм при разработке новой техники, технологии, материалов и веществ;
руководство заповедным делом;
организацию распространения знаний о природе среди населения, международные связи по вопросам природопользования и др.
Основным звеном в системе Госкомэкологии являются региональные (республиканские, краевые, областные) органы этого Комитета, имеющие в своем составе: подразделения экологического регулирования природопользования, экологической экспертизы, аналитические лаборатории, организации государственного экологического контроля, организации ведения кадастров.
Участие судебной власти в управлении природопользованием пока что очень незначительно. Первая природоохранная прокуратура и специализированное управление внутренних дел с целью защиты и охраны природных богатств Каспийского моря и низовий рек Волги и Урала была образована в 80-х гг. Затем природоохранные прокуратуры появились в районе озера Байкал, была создана Азово-Черноморская природоохранная прокуратура.
Единой системы этих органов пока не сформировано.
Механизм реализации государственной природоохранной политики
Основы механизма реализации государственной природоохранной политики определены Законом РФ «Об охране окружающей природной среды».
Одной из составных частей механизма организации рационального природопользования является нормирование качества окружающей среды. Оно позволяет устанавливать предельно допустимые нормы воздействия на окружающую среду, способствует сохранению генетического фонда флоры и фауны, обеспечивает экологическую безопасность людей, экологическое использование природных ресурсов.
Государственные органы охраны природы, санитарного и эпидемиологического надзора утверждают нормативы предельно допустимых концентраций вредных веществ (ПДК). При этом для некоторых наиболее ценных природных территорий (заказников, национальных парков, заповедников, курортов и рекреационных зон) устанавливаются более строгие нормативы ПДК.
При нарушении нормативов ПДК выбросы или сбросы вредных веществ могут быть приостановлены, ограничены или прекращены специальным предписанием органов охраны природы или санэпидемнадзора.
Кроме ПДК нормирование качества окружающей среды предусматривает установление предельно допустимых выбросов (ПДВ) и предельно допустимых сбросов (ПДС). Эти нормативы устанавливаются с учетом производственных мощностей предприятий (объектов) в соответствии с действующими нормативами ПДК. ПДВ и ПДС утверждаются также органами охраны природы по химическим веществам и органами санэпидемнадзора по микроорганизмам.
Существуют и другие нормативы, например, допустимый уровень радиационного воздействия, нормативы содержания радиоактивных веществ (в окружающей среде, в продуктах питания), предельно допустимого уровня шума, магнитных полей и других вредных воздействий.
Важным элементом механизма государственной природоохранной политики, обеспечивающим рациональное природопользование, является государственная экологическая экспертиза. Она проводится с целью проверки соответствия хозяйственной и иной деятельности экологической безопасности общества.
Государственная экологическая экспертиза является обязательной мерой охраны окружающей среды, предшествующей принятию хозяйственного решения, осуществление которого может оказывать вредное воздействие на окружающую среду. Экспертизе подлежат все предплановые, предпроектные и проектные материалы по объектам и мероприятиям, намечаемым к реализации на территории Российской Федерации, независимо от их сметной стоимости и принадлежности, а также экологические обоснования лицензий и сертификатов. Финансирование и осуществление работ по всем проектам и программам производится только при наличии положительного заключения государственной экологической экспертизы.
Порядок проведения государственной экологической экспертизы объектов федерального, республиканского или местного значения регулируется законодательством Российской Федерации и республик в составе Российской Федерации.
Действующим законодательством за невыполнение требований заключения государственной экологической экспертизы предусмотрены соответствующие меры воздействия к виновным, как должностным лицам, так и к гражданам, равно как и к председателю и членам экспертных комиссий, в случае неправильности и необоснованности их заключений.
Государственная экологическая экспертиза осуществляется на принципах обязательности, научной обоснованности и законности ее выводов, независимости, вневедомственности в организации и проведении, широкой гласности и участия общественности.
Одним из элементов механизма реализации государственной политики в области природопользования является создание особо охраняемых территорий (заповедники, заказники, национальные парки), учреждение памятников природы для сохранения уникальных природных объектов.
Особое значение в механизме реализации государственной природоохранной политики имеют экономические методы.
Экономический механизм реализации государственной политики в области природопользования включает:
планирование и финансирование природоохранительных мероприятий;
установление эколого-экономических нормативов; платежей за использование природных ресурсов, выбросы и сбросы загрязняющих веществ в окружающую среду, размещение отходов и другие виды вредного воздействия;
предоставление предприятиям, учреждениям и организациям, а также гражданам налоговых, кредитных и иных льгот при внедрении ими малоотходных и ресурсосберегающих технологий и нетрадиционных видов энергии, осуществлении других эффективных мер по охране окружающей среды;
Финансы предприятия
Внешнеэкономическая деятельность (ВЭД) представляет собой совокупность методов и средств торгово-экономического, научно-технического сотрудничества, валютно-финансовых и кредитных отношений с зарубежными странами. Важнейшей частью ВЭД выступает внешняя торговля, которая определяется как предпринимательская деятельность в области международного обмена товарами, работами, услугами, информацией и результатами интеллектуальной деятельности. Предприятие-участник ВЭД это самостоятельное юридическое лицо, обладающее обособленным имуществом, имеющее право от своего имени приобретать имущественные и личные неимущественные права, нести обязанности, а также быть истцом в суде, арбитраже и третейском суде. Являясь участником ВЭД, предприятие должно иметь четко очерченные цели деятельности, которые определяются в его учредительных документах.
Цели и задачи внешнеэкономической сделки не должны вступать в противоречие с тем, что определено в уставе или прочих учредительных документах предприятия.
Субъектами внешнеэкономической деятельности могут также быть общественные организации и объединения. Они могут вступать в международные неправительственные объединения, поддерживать прямые международные контакты, заключать соответствующие соглашения.
При существующей самостоятельности участников ВЭД государство оставляет за собой право регулировать важнейшие аспекты этой деятельности. Основы государственного регулирования ВЭД концептуально определены в Федеральном законе «О государственном регулировании внешнеэкономической деятельности». Государственное регулирование ВЭД базируется на определенных экономических и административных методах.
К ним можно отнести таможенно-тарифное регулирование в виде применения импортно-экспортного тарифа; квотирование, лицензирование и т.д.
В России государственная внешнеторговая политика разрабатывается под руководством Президента Правительством РФ, а федеральные органы власти, непосредственно отвечающие за ее реализацию, это Министерство промышленности и торговли РФ и Государственный таможенный комитет (ГТК).
-
Формы внешнеэкономической деятельности предприятия
Виды внешнеэкономических сделок
Во внешнеэкономической деятельности различают экспортные, импортные, реэкспортные и встречные сделки.
Экспорт это вывоз товаров с таможенной территории страны за границу без обязательства по обратному их ввозу и возможное предоставление иностранными лицами услуг и прав на результаты интеллектуальной собственности.
Импорт покупка товара у иностранного продавца, ввоз его на таможенную территорию страны покупателя.
Реэкспорт покупка товара у иностранного продавца, ввоз его на территорию страны покупателя, перепродажа данного товара в его изначальном виде за рубеж иностранному покупателю.
Встречная торговля (встречные сделки) представляют собой организационно увязанные экспортно-импортные операции, где экспортер обязуется принять в оплату стоимости своего товара всю или часть стоимости встречного импортного товара покупателя. Примером встречных сделок может служить бартерное сотрудничество на основе товарообмена.
Направления внешнеэкономической деятельности
На современном этапе экономического развития можно выделить два направления внешнеэкономической деятельности предприятия: совместное предпринимательство и заключение внешнеторговых контрактов с иностранными контрагентами.
Правовые вопросы совместного предпринимательства определяются нормами торгового и гражданского законодательства того государства, где создается совместное предприятие.
Заключение и реализация договора на внешнем рынке подчиняется правовому регулированию по следующим позициям: международные соглашения по ВЭД и нормы гражданского законодательства. Права и обязанности сторон по реализации внешнеэкономической сделки определяются теми законодательными актами, которые действуют по месту ее заключения.
Внешнеторговый контракт это договор о купле-продаже, поставке, проведении каких-либо работ, услуг, заключаемый двумя или более сторонами (контрагентами). Контракт является основным, базовым документом, определяющим меру материальной ответственности сторон за выполнение обязательств, поэтому от правильности его составления зависит конечный результат сделки.
Контракт должен включать в себя следующие разделы;
общие положения;
предмет контракта;
цена и стоимость контракта;
сроки поставки товара;
условия платежа;
упаковка и маркировка груза;
порядок подачи претензий;
санкции и штрафы;
форс-мажор и разрешение споров.
С целью единообразия в международной практике введен и действует выпущенный Международной торговой палатой сборник толкований международных торговых терминов «Инкотермс». Во избежание недоразумений между контрагентами в контрактах делается акцент на применение условий «Инкотермс» или, наоборот, оговорка об использовании специальных терминов. Российская Федерация является участником Конвенции ООН о договорах международной купли-продажи товаров 1980г.
Знание и применение Конвенции позволяет использовать унифицированный правовой режим для контроля за договорами купли-продажи во внешнеэкономической деятельности предприятия. Это важно, так как различные иностранные партнеры несут с собой национальные особенности в решении одних и тех же вопросов, в ряде случаев является проблематичным определение государства, правом которого регулируются отношения по конкретному договору. Поэтому при неурегулированности каких-либо позиций в договорах применяется конвенция, независимо от того, есть на нее ссылка или нет.
Критерием применения Конвенции при исполнении международных контрактов служит нахождение коммерческих предприятий сторон договора в разных государствах, при этом эти государства должны быть участниками Конвенции.
Способы реализации экспортно-импортных операций
В настоящее время предприятие может осуществлять экспортно-импортные операции самостоятельно посредством реализации прямых договоров с иностранными партнерами или через посредников другие предприятия, предоставляющие свои услуги по ВЭД. Выбор правовой формы ВЭД зависит от экономических возможностей и потребностей предприятия.
Реализуя свои цели во внешнеэкономической деятельности через другие предприятия, предприятие-экспортер (импортер) использует договоры поручения, договоры комиссии, договоры поставки. При заключении договора комиссии, при заключении контрактов с иностранными контрагентами выступает предприятие-комиссионер от имени предприятия-производителя (комитента) экспортируемого (импортируемого) товара. Помимо подписания договора комиссионер берет на себя обязательства реализовать этот договор при определенных условиях, в частности, как правило, за счет комитента.
В результате предприятие-комиссионер получает комиссионное вознаграждение в размере оговоренного процента от общей стоимости контракта по обоюдной договоренности сторон.
Если речь идет о договорах поручениях, то предприятие-экспортер (импортер) поручает от своего имени заключить контракты другому предприятию за определенное вознаграждение.
Разнообразие видов и форм внешнеэкономической деятельности предприятий должно способствовать повышению эффективности внешних связей государства в целом. Это позволит решить такие задачи, как увеличение валютных ресурсов и объемов торговли, улучшение структуры экспорта и импорта, погашение нынешних долгов, расширение сфер сотрудничества, привлечение капитала и технологий в страну.
-
Операции предприятия по экспорту
Особенности экспортной политики предприятия
Осуществляя экспортную деятельность, предприятие должно иметь четкие представления о целях экспорта, стратегии экспортной деятельности, требованиях внешнего рынка, своих возможностях и ресурсах в настоящее время и в перспективе, поведении конкурентов, иными словами, оно должно разрабатывать определенную экспортную политику.
Экспортная политика предприятия предполагает разработку стратегии и принципов деятельности предприятия на внешнем рынке, формирование экспортного ассортимента товара, а также определение темпов обновления экспортной продукции, цен уровня качества, гарантий и сервисного обслуживания.
Важнейшей составляющей экспортной политики предприятия является формирование и управление экспортным ассортиментом товара. Основная задача заключается в том, чтобы экспортер своевременно предлагал определенную совокупность товаров, которые соответствуют профилю его производственной деятельности и наиболее полно удовлетворяют требованиям определенных категорий зарубежных покупателей.
Формирование такого ассортимента это проблема конкретных товаров, их отдельных серий, определения соотношений между старыми и новыми товарами, товарами единичного и серийного производства, наукоемкими обычными товарами, товарами или лицензиями, ноу-хау.
Исходя из международной практики, целесообразно выпускать не одно какое-либо изделие, а их параметрический ряд, например, набор насосов одного типа, но отличающихся производительностью. Чем шире параметрические ряды и ассортиментный набор, тем вероятнее нахождение покупателем своего товара.
Оценка эффективности хозяйственной деятельности предприятия и состояния его баланса
19.1. Прибыль предприятия, ее сущность и формирование
Прибыль конечный финансовый результат производственно-хозяйственной деятельности предприятия, показатель ее эффективности, источник средств для осуществления инвестиций, формирования специальных фондов, а также платежей в бюджет. Получение прибыли цель деятельности любой коммерческой организации.
Прибыль наряду с суммой амортизационных отчислений является основным источником финансирования капитальных вложений, осуществления воспроизводства основных средств, пополнения собственных оборотных средств, материального стимулирования работников, затрат на социальное развитие.
Прибыль как важнейшая категория рыночных отношений выполняет следующие функции.
Во-первых, характеризует экономический эффект, полученный в результате деятельности предприятия.
Во-вторых, прибыль обладает стимулирующей функцией. Ее содержание состоит в том, что она одновременно является финансовым результатом и основным элементом финансовых ресурсов предприятия. Реальное обеспечение принципа самофинансирования определяется полученной прибылью.
В-третьих, прибыль является одним из источников формирования бюджетов разных уровней.
Различают прибыль от реализации продукции, балансовую прибыль, валовую прибыль и чистую прибыль.
Прибыль от реализации продукции финансовый результат производственной и сбытовой деятельности предприятия, основная или преобладающая часть валовой (балансовой) прибыли. Прибыль (или убыток) от реализации продукции (работ, услуг) определяется как разность между выручкой от реализации продукции (работ, услуг) без налога на добавленную стоимость, акцизов и аналогичных обязательных платежей и затратами на ее производство и реализацию, включаемых в себестоимость продукции (работ, услуг).
Из приведенного определения следует, что происхождение прибыли от реализации связано с получением валового дохода предприятием от реализации своей продукции (работ, услуг) по ценам, складывающимся на основе спроса и предложения. Валовой доход предприятия выручка от реализации продукции (работ, услуг) за вычетом материальных затрат представляет собой форму чистой продукции предприятия, включает в себя оплату труда и прибыль. Связь между ними показана на 19.1.
Общая масса получаемой прибыли зависит, с одной стороны, от объема продаж и уровня цен, устанавливаемых на продукцию, а с другой от того, насколько уровень издержек производства соответствует общественно необходимым затратам.
Обьем продаж зависит от эффективности осуществления коммерческой работы: от умения создавать выгодные условия для реализации своей продукции, т.е. проводить маркетинг, организовать рекламу, сбыт, сформировать ценовую и товарную политику и т.д.
Уровень издержек производства зависит от эффективности организации производства и труда, выбранной технологии, технической оснащенности предприятия.
Вместе с тем прибыль на предприятии зависит не только от реализации продукции, но и от других видов деятельности, которые ее либо увеличивают, либо уменьшают. Поэтому в теории и на практике выделяют так называемую «балансовую прибыль». Она состоит из прибыли от реализации продукции (выручка от реализации продукции без косвенных налогов минус затраты (расходы) на производство и реализацию продукции) плюс внереализационные доходы (доходы по ценным бумагам, от долевого участия в деятельности других предприятий, от сдачи имущества в аренду и т.п.) минус внереализационные расходы (затраты на производство, не давшее продукции, на содержание законсервированных производственных мощностей, убытки от списания долгов и т.д.).
Кроме того, выделяется валовая прибыль, которая представляет собой балансовую прибыль за минусом или плюсом финансового результата от операций с основными фондами (средствами), нематериальными активами и иным имуществом.
Во всех странах с рыночной экономикой прибыль облагается налогом. Поэтому на практике принято выделять налогооблагаемую прибыль. Последняя представляет собой валовую прибыль за вычетом отчислений в резервные фонды, доходов по видам деятельности, освобожденной от налогообложения, отчислений на капиталовложения.
В результате на предприятии остается так называемая чистая прибыль. По своей величине она представляет часть балансовой прибыли, остающейся в распоряжении предприятия после уплаты налогов и других обязательных платежей в бюджет, включая финансовые санкции за нарушения налогового законодательства ( 19.2). Чистая прибыль единственный источник средств для выплаты дивидендов в акционерных обществах, распределения между участниками пропорционально их долям в обществах с ограниченной ответственностью.
В условиях рыночных отношений предприятие должно стремиться, если не к получению максимальной прибыли, то по крайней мере к тому объему прибыли, который позволял бы ему не только прочно удерживать свои позиции на рынке сбыта своих товаров и оказания услуг, но и обеспечивать динамичное развитие его производства в условиях конкуренции. В конечном итоге это предполагает знание источников формирования прибыли и нахождение методов по лучшему их использованию.
В условиях рыночных отношений, как свидетельствует мировая практика, имеются два основных источника получения прибыли.
Первый источник это монопольное положение предприятия по выпуску той или иной продукции или уникальности продукта. Поддержание этого источника на относительно высоком уровне предполагает проведение постоянной новации продукта. Здесь следует учитывать такие противодействующие силы, как антимонопольную политику государства и растущую конкуренцию со стороны других предприятий.
Второй источник связан с производственной и предпринимательской деятельностью, поэтому касается практически всех предприятий. Эффективность его использования зависит от знания конъюнктуры рынка и умения постоянно адаптировать под нее развитие производства. Здесь, по сути, все сводится к маркетингу.
Величина прибыли в данном случае зависит:
во-первых, от правильности выбора производственной направленности предприятия по выпуску продукции (выбор продуктов, пользующихся стабильным и высоким спросом);
во-вторых, от создания конкурентоспособных условий продажи своих товаров и оказания услуг (цена, сроки поставок, обслуживание покупателей, послепродажное обслуживание и т.д.);
в-третьих, от объемов производства (чем больше объем продаж, тем больше масса прибыли);
в-четвертых, от ассортимента продукции и снижения издержек производства.
Однако получение прибыли в условиях рынка всегда связано с риском над предприятием постоянно висит угроза потерять вложенный капитал целиком или частично. Именно поэтому в теории и на практике используется понятие «предпринимательская прибыль», которая по своей величине должна быть больше, чем процент, получаемый по вкладам в банк.
По своему содержанию понятие «риск» относится как к хозяйственной, коммерческой, так и к финансовой деятельности. Для определения риска используются два основных метода: статистический и экспертный, В основе статистического лежат приемы математической статистики (расчет вариации, дисперсии и стандартного отклонения по показателям финансово-хозяйственной деятельности). Этими показателями являются рентабельность производства, продукции, инвестиций, продаж и т.д.
Полностью избежать риска в предпринимательской деятельности практически невозможно, но существует система методов смягчения его отрицательных последствий. К ним относятся самострахование. (создание резервных фондов), участие в венчурных компаниях, хеджирование, заключение фьючерсных сделок и т.д.
19.2. Максимизация прибыли
Систематическое получение прибыли является необходимой целью предпринимательской деятельности любого предприятия. Поэтому доминирующей проблемой для предприятия является максимизация прибыли, что означает разработку стратегии на систематическое увеличение прибыли и минимизацию издержек. Данная задача многоплановая, вот почему для своего решения она требует системного подхода.
Для принятия решений часто требуется знать сумму прибыли, которую получает предприятие в расчете на единицу продукции при данном объеме реализации и цене, диктуемой спросом. При определении продажной цены используют среднюю прибыль (An) и предельную прибыль (Мn):
(19.1)
где Tn(q) совокупная сумма прибыли на определенный товар за определенный период;
q объем продаж.
Из этого следует, что максимизация прибыли связана с процессом приращения предпринимательской прибыли. Это, в свою очередь, означает, что в расчетах требуется использование предельных величин: предельной прибыли, предельного дохода и предельных издержек. Иными словами, прибыль максимизируется в точке, в которой любое, даже малое приращение объема реализации (выпуска) продукции оставляет прибыль без изменения, т.е. приращение прибыли при приращении объема (реализации) продукции равняется нулю. Математически это можно записать так:
Mn(q)=MR(q) MC(q) = 0, (19.2)
где Mn(q) предельная прибыль от объема продукции;
MR(q) предельный доход (выручка) от объема продукции;
МС(q) предельные издержки от объема продукции.
ПРЕДПРИЯТИЕ ОСНОВНОЕ ЗВЕНО ЭКОНОМИКИ
Экономика любой страны представляет собой единый комплекс взаимосвязанных отраслей, отличающих общественное воспроизводство в пределах национальных границ. Национальное хозяйство является результатом экономического и социального развития общества, развития специализации и кооперации труда, международного сотрудничества с другими странами.
Народнохозяйственный комплекс имеет особые отраслевые, воспроизводственные, региональные и иные структурные характеристики.
- Сферы и подразделения экономики
При анализе народного хозяйства в экономических исследованиях обычно используются такие понятия, как сфера, отрасль, сектор экономики.
Сферы экономики
С точки зрения участия в создании совокупного общественного продукта и национального дохода общественное производство подразделяется на две крупные сферы: материальное производство и непроизводственную сферу.
К материальному производству относятся промышленность, сельское и лесное хозяйство, грузовой транспорт, связь (обслуживающая материальное производство), строительство, торговля, общественное питание, информационно-вычислительное обслуживание, прочие виды деятельности сферы материального производства. К непроизводственной сфере относятся жилищно-коммунальное хозяйство, пассажирский транспорт, связь (обслуживающая организации непроизводственной сферы и население), здравоохранение, физическая культура и социальное обеспечение, народное образование, культура и искусство, наука и научное обслуживание, кредитование и страхование, деятельность аппарата органов управления.
Отрасли экономики
Сферы экономики подразделяются на специализированные отрасли. Отрасль группа качественно однородных хозяйственных единиц (предприятий, организаций, учреждений), характеризующихся особыми условиями производства в системе общественного разделения труда, однородной продукцией и выполняющих общую (специфическую) функцию в национальном хозяйстве.
Например, сфера материального производства включает отрасли, в которых создаются необходимые для жизни и развития общества средства производства и предметы потребления.
Отраслевое деление экономики является результатом исторического процесса, развития общественного разделения труда.
Каждая из специализированных отраслей, в свою очередь, подразделяется на комплексные отрасли и виды производств. В составе промышленности, например, насчитывается более 15 таких крупных отраслей, как электроэнергетика, топливная промышленность, черная и цветная металлургия, химическая и нефтехимическая промышленность, машиностроение и металлообработка, лесная, целлюлозно-бумажная промышленность, промышленность строительных материалов, легкая и пищевая промышленность и другие отрасли.
Специализированные отрасли характеризуются разной степенью дифференциации производства. Развитие общества и экономики, дальнейшее углубление специализации производства приводит к формированию новых отраслей и видов производства. Одновременно со специализацией и дифференциацией идут процессы кооперации, интеграции производства, приводящие к развитию устойчивых производственных связей между отраслями, к созданию смешанных производств и межотраслевых комплексов.
Межотраслевые комплексы
Межотраслевой комплекс интеграционная структура, характеризующая взаимодействие различных отраслей и их элементов, разных стадий производства и распределения продукта.
Межотраслевые комплексы возникают и развиваются как внутри отдельной отрасли экономики, так и между различными отраслями. В составе промышленности, например, существуют топливно-энергетический, металлургический, машиностроительный и другие комплексы. Более сложной структурой отличаются агропромышленный и строительный комплексы, объединяющие разные отрасли народного хозяйства.
Межотраслевые народнохозяйственные комплексы условно можно подразделить на целевые и функциональные. В основу выделения целевых комплексов положены воспроизводственный принцип и критерий участия в создании конечного продукта. Например, можно выделить машиностроительный комплекс, топливно-энергетический и агропромышленный комплекс, лесной и минерально-сырьевой комплекс, транспортный комплекс и др.
В основу выделения функциональных комплексов положены принцип и критерий специализации комплекса на определенной функции. Здесь можно выделить инвестиционный и инфраструктурный комплексы, научно-технический комплекс, в определенной степени и экологический комплекс.
По признаку разделения труда можно выделить многоотраслевые и одноотраслевые комплексы, территориально-производственные комплексы, межотраслевые научно-технические комплексы.
Секторы экономики
Составные элементы народнохозяйственного комплекса могут быть сгруппированы по различным экономическим признакам. В зарубежных исследованиях на основании системы национальных счетов для обобщающей характеристики экономических процессов выделяют крупные секторы экономики.
Под сектором понимается совокупность институциональных единиц, имеющих сходные экономические цели функции и поведение. К их числу обычно относят: сектор предприятий, сектор домашних хозяйств, сектор государственных учреждений и внешний сектор. Сектор предприятий обычно подразделяется на сектор финансовых и сектор нефинансовых предприятий.
Сектор нефинансовых предприятий объединяет предприятия, занимающиеся производством товаров и услуг с целью получения прибыли, и некоммерческие организации, не преследующие цели извлечения прибыли. В зависимости от того, кто осуществляет контроль за их деятельностью, они, в свою очередь, подразделяются на государственные, национальные, частные и иностранные нефинансовые предприятия.
Сектор финансовых предприятий охватывает институциональные единицы, занятые финансовым посредничеством.
Сектор государственных учреждений совокупность органов законодательной, судебной и исполнительной властей, фондов социального обеспечения и контролируемых ими некоммерческих организаций.
Сектор домашних хозяйств включает в основном потребляющие единицы, т.е. домашние хозяйства и предприятия, образованные ими.
Внешний сектор, или сектор «остальной мир», это совокупность институциональных единиц нерезидентов данной страны (т.е. расположенных за пределами страны), имеющих экономические связи, а также посольства, консульства, военные базы, международные организации, находящиеся на территории данной страны.
По степени связи с рынком в национальной экономике часто выделяют рыночный и нерыночный секторы.
Рыночный сектор охватывает производство товаров и услуг, предназначенных для реализации на рынке по ценам, оказывающим значительное влияние на спрос на эти товары или услуги, а также обмен товаров и услуг по бартеру, оплату труда в натуральной форме и запасы готовой продукции.
Нерыночный сектор производство продуктов и услуг, предназначенных для использования непосредственно производителями или владельцами предприятия, а также предоставленных другим потребителям бесплатно или по ценам, которые не влияют на спрос.
Иногда дополнительно выделяют смешанные отрасли, которые оказывают рыночные и нерыночные услуги.
По международной статистике экономика обычно подразделяется на отрасли, производящие товары, и отрасли, оказывающие услуги. К первой группе относятся промышленность, сельское хозяйство, строительство и другие отрасли материального производства (издательская деятельность, утилизация вторичного сырья, сбор дикорастущих грибов и ягод и т.д.). К отраслям, оказывающим услуги, относятся образование, транспорт, торговля, здравоохранение, общее государст венное управление, оборона и др.
2. Структурная перестройка экономики
Народнохозяйственный комплекс является сложной системой взаимодействующих макроэкономических элементов. Существующие соотношения (пропорции) между этими элементами принято называть экономической структурой. Обычно выделяют отраслевую, воспроизводственную, региональную и иные типы экономических структур.
Структура народного хозяйства не является постоянной: одни отрасли и виды производств характеризуются бурным развитием, другие, напротив, замедляют темпы своего роста, стагнируют.
Структурные изменения в экономике могут иметь стихийный характер, а могут быть регулируемыми со стороны государства в ходе осуществления структурной политики, являющейся составной частью макроэкономической политики. Основными методами государственной структурной политики являются государственные целевые программы, государственные инвестиции, закупки и субсидии, различные налоговые льготы отдельным предприятиям, регионам или группам отраслей.
Осуществление структурной перестройки экономики обеспечивает сбалансированность народного хозяйства, является основой устойчивого и эффективного экономического роста и развития.
Особенности и направления структурной перестройки в России
В России структурная перестройка экономики осуществляется в условиях перехода от административно-командной хозяйственной системы к рыночной экономике. Сам переход означает коренную трансформацию хозяйственной системы, которая характеризуется глубокими преобразованиями системы социально-экономических отношений, изменением форм и методов хозяйствования, отношений собственности, включая формирование частного сектора и приватизацию преобладающей или значительной части государственного сектора экономики.
ВЗАИМООТНОШЕНИЯ ПРЕДПРИЯТИЯ С ИНСТИТУТАМИ ФИНАНСОВО- КРЕДИТНОЙ СИСТЕМЫ
Финансы занимают особую роль в экономических отношениях. Их специфика проявляется в том, что они всегда выступают в денежной форме. Финансы носят распределительный характер и отражают формирование и использование доходов и накоплений субъектов хозяйственной деятельности в сфере материального производства, государства и участников непроизводственной сферы.
-
Финансовые ресурсы предприятия
Финансовые ресурсы предприятия составляют денежные ресурсы, имеющиеся в распоряжении конкретного хозяйствующего субъекта, и отражают процесс образования, распределения и использования его доходов.
Источники финансовых ресурсов
Чтобы предприятие могло осуществлять хозяйственную деятельность, необходимо наличие соответствующего финансового обеспечения. Одним из основных источников финансовых ресурсов предприятия является первоначальный капитал, который формируется из вкладов учредителей предприятия и принимает форму уставного капитала.
Способы образования уставного капитала зависят от организационно-правовой формы предприятия. Средства уставного капитала направляются на приобретение основных фондов и формирование оборотных средств в размерах, необходимых для ведения нормальной производственно-хозяйственной деятельности. Он может также расходоваться на приобретение лицензий, патентов, ноу-хау и т.п.
Первоначальный капитал, инвестированный в производство, создает стоимость, выражающуюся в цене реализованной продукции. После реализации продукции она принимает денежную форму форму выручки.
Однако выручка это еще не доход, хотя и является источником возмещения затраченных на производство продукции средств и формирования денежных фондов и финансовых резервов предприятия. В процессе использования выручка делится на качественно разные составные части.
Одно из направлений использования выручки формирование амортизационного фонда. Он образуется в виде амортизационных отчислений после того, как износ основных производственных фондов и нематериальных активов примет денежную форму. Обязательным условием образования амортизационного фонда является продажа произведенных товаров потребителю и поступление выручки.
Создавая товар, предприятие расходует сырье, материалы, покупные комплектующие изделия и полуфабрикаты. Их стоимость наряду с другими материальными затратами, износом основных производственных фондов, заработной платой работников составляет издержки предприятия по производству продукции, принимающие форму себестоимости. До поступления выручки эти издержки финансируются за счет оборотных средств предприятия, которые не расходуются, а авансируются в производство.
После поступления выручки от реализации товара оборотные средства восстанавливаются, а понесенные предприятием издержки по производству продукции возмещаются.
Обособление издержек в виде себестоимости дает возможность сопоставить полученную от реализации продукции выручку и производственные затраты. Смысл инвестирования средств в производство продукции состоит в получении чистого дохода, и если выручка превышает себестоимость, то предприятие получает его в виде прибыли.
Как прибыль, так и амортизационные отчисления являются результатом кругооборота средств, которые были вложены в производство, и собственными финансовыми ресурсами предприятия, которыми оно распоряжается самостоятельно.
Полученная предприятием прибыль не остается полностью в его распоряжении: часть ее в виде налогов поступает в бюджет.
Прибыль, остающаяся в распоряжении предприятия, является главным источником финансирования его потребностей, которые можно определить как накопление и потребление. Именно пропорции распределения прибыли на накопление, и потребление определяют перспективы развития предприятия.
Средства, направленные на накопление (амортизационные отчисления и часть прибыли), составляют денежные ресурсы предприятия, используемые на его производственное и научно-техническое развитие. На этой основе происходит формирование финансовых активов приобретение ценных бумаг, долей участия других предприятиях и т.п. Другая часть прибыли направляется на социальное развитие предприятия, в том числе на потребление.
Кроме собственных средств предприятием привлекаются заемные финансовые ресурсы, долгосрочные кредиты банка, средства других предприятий, облигационные займы. Источником возврата заемных средств также является прибыль предприятия.
Направления использования денежных средств
Направления инвестирования денежных средств предприятия могут быть связаны как с основными видами деятельности предприятия по производству продукции (работ и услуг), так и с чисто финансовыми вложениями. Для получения дополнительных доходов предприятие вправе приобретать ценные бумаги других предприятий и государства, вкладывать средства в уставный капитал вновь образуемых предприятий и банков. Временно свободные средства предприятия могут быть помещены в банк на депозитные счета.
Используя принадлежащие им денежные средства, предприятия не могут быть полностью свободными от обязательств перед обществом и государством. Независимо от организационно-правовых форм и форм собственности все предприятия участвуют в формировании социальных внебюджетных фондов и доходов бюджетов различных уровней.
Финансовая служба предприятия
Действенность финансовой системы предприятия определяется, прежде всего, четкой и слаженной его работой, а также в значительной мере организацией деятельности финансовой службы.
Важнейшими задачами финансовой службы являются:
обеспечение финансовыми ресурсами установленных заданий по производству, капитальному строительству, внедрению новой техники, научно-исследовательских работ и других плановых затрат;
выполнение финансовых обязательств перед бюджетом, банками, поставщиками, работниками по выплате заработной платы и других обязательств;
своевременное и качественное осуществление анализа производственно-хозяйственной деятельности предприятия и входящих в него единиц, изыскание путей увеличения прибыли и повышения рентабельности производства;
содействие наиболее эффективному использованию производственных фондов и капитальных вложений;
контроль за правильным использованием финансовых ресурсов и ускорением оборачиваемости оборотных средств.
2. Выручка, доходы и прибыль предприятия
В условиях рыночной экономики получение прибыли является непосредственной целью производства. Прибыль создает определенные гарантии для дальнейшего существования предприятия, поскольку только ее накопление в виде различных резервных фондов помогает преодолевать последствия риска, связанного с реализацией товаров на рынке.
Выручка и прибыль предприятия
На рынке предприятия выступают как относительно обособленные товаропроизводители. Установив цену на продукцию, они реализуют ее потребителю, получая при этом денежную выручку, что не означает еще получения прибыли. Для выявления финансового результата необходимо сопоставить выручку с затратами на производство и реализацию, которые принимают форму себестоимости продукции.
Если выручка превышает себестоимость, финансовый результат свидетельствует о получении прибыли. Предприятие всегда ставит своей целью прибыль, но не всегда ее извлекает. Если выручка равна себестоимости, то удается лишь возместить затраты на производство и реализацию продукции.
При затратах, превышающих выручку, предприятие превышает установленный объем затрат и получает убытки отрицательный финансовый результат, что ставит предприятие в достаточно сложное финансовое положение, не исключающее и банкротство.
Для предприятия прибыль является показателем, создающим стимул для инвестирования в те сферы, где можно добиться наибольшего прироста стоимости. Прибыль как категория рыночных отношений выполняет следующие функции;
характеризует экономический эффект, полученный в результате деятельности предприятия;
является основным элементом финансовых ресурсов предприятия;
является источником формирования бюджетов разных уровней.
Определенную роль играют и убытки. Они высвечивают ошибки и просчеты предприятия в направлениях использования финансовых средств, организации производства и сбыта продукции.
Показатели прибыли
На каждом предприятии формируется четыре показателя прибыли, существенно различающиеся по величине, экономическому содержанию и функциональному назначению. Базой всех расчетов служит балансовая прибыль основной финансовый показатель производственно-хозяйственной деятельности предприятия. Для целей налогообложения рассчитывается специальный показатель ~ валовая прибыль, а на ее основе прибыль, облагаемая налогом, и прибыль, не облагаемая налогом. Остающаяся в распоряжении предприятия после внесения налогов и других платежей в бюджет часть балансовой прибыли называется чистой прибылью.
Она характеризует конечный финансовый результат деятельности предприятия.
Балансовая прибыль
Балансовая прибыль включает три основных элемента: прибыль (убыток) от реализации продукции, выполнения работ, оказания услуг; прибыль (убыток) от реализации основных средств их прочего выбытия, реализации иного имущества предприятия; финансовые результаты от внереализационных операций.
ОцЕНКА ЭФФЕКТИВнОСТИ ХОЗЯЙСТВЕННОЙ ДЕЯТЕЛЬНОСТИ ПРЕДПРИЯТИЯ И СОСТАВЛЕНИЯ ЕГО БАЛАНСА
В процессе осуществления хозяйственной деятельности предприятие пользуется услугами различных институтов финансово-кредитной системы: банков, инвестиционных институтов, бирж, страховых и иных организаций. Знание особенностей их деятельности позволяет предприятию оптимизировать свои отношения с подобными институтами, что обеспечивает повышение общей эффективности его хозяйственной деятельности.
-
Взаимодействие предприятий с банками
Денежные расчеты пронизывают все сферы хозяйственных отношений предприятия. Основная часть денежного оборота осуществляется в форме безналичного платежного оборота, когда движение средств происходит в виде перечислений по счетам в кредитных учреждениях.
Расчетно-кассовое обслуживание
В соответствии с российским законодательством денежные средства предприятий подлежат обязательному хранению в банках, Для хранения денежных средств и осуществления расчетов банки открывают предприятиям различные счета.
Предприятия самостоятельно выбирают банк для своего расчетно-кассового обслуживания. Если предприятие находится по месту нахождения банка, то последний обязан открыть счет предприятию, в ином случае требуется согласие банка.
В соответствии с договором банк открывает предприятию как клиенту расчетный и другие счета; зачисляет на них денежные средства, поступающие как от предприятия, так и предприятию; списывает соответствующие суммы со счета предприятия по его поручению на счета поставщиков, кредиторов, соответствующих бюджетных и внебюджетных фондов. Банк обязуется принимать от предприятия-клиента и выдавать ему или по его поручению наличные деньги, выплачивать проценты за хранение денег на счетах.
Расчетный счет может быть открыт каждому предприятию, обладающему правами юридического лица, независимо от формы собственности. Расчетный счет является основным счетом предприятия. Он необходим для осуществления расчетов предприятия с другими предприятиями и банками в связи с осуществлением его основной деятельности.
Предприятие может открыть только один расчетный счет. Другие счета текущий, ссудный, валютный можно открывать в любом количестве в разных банках. Для открытия валютных счетов предприятиям банк должен иметь соответствующую лицензию.
Предприятие, имеющее вне места своего нахождения отдельные структурные звенья филиалы, магазины, склады открывает расчетные субсчета в банках по месту их нахождения на имя предприятия. Расчетный субсчет имеет подчиненное значение, на нем аккумулируется выручка, поступающая от структурного звена, для последующего перечисления на основной расчетный счет предприятия.
Текущие счета открываются предприятиям, их филиалам, отделениям и другим подразделениям. По текущим счетам производятся ограниченные расчетные операции, в основном связанные с оплатой труда и административно-хозяйственными расходами.
Основная масса расчетов в экономике осуществляется в безналичном порядке через учреждения банков. Однако предприятие может использовать часть своих средств в виде наличных денег. При этом наличные деньги, выдаваемые банком, должны расходоваться только на те цели, на которые они получены. Наличные деньги выдаются для осуществления расчетов по заработной плате, других расходов по оплате труда, выплаты стипендий, пенсий, а также на закупки сельскохозяйственной продукции.
Выдача наличных денег предприятиям с их счетов производится по денежным чекам.
В процессе расчетно-кассового обслуживания между предприятием и банком складываются определенные финансовые отношения, сопровождающиеся движением денежных средств и затрагивающие формирование доходов предприятия и банка.
За оформление счетов предприятиям и проведение расчетным и кассовых операций многие банки взимают плату для возмещения расходов по их проведению. Другие банки для привлечения клиентуры открывают расчетные счета бесплатно. Каждый банк за хранение у него денежных средств предприятий выплачивает в пользу последних определенную плату (процент).
Размер платы устанавливается по взаимному соглашению, если речь идет о расчетном счете. На срочные депозитные счета предприятие помещает временно свободные денежные средства на условиях банка, который устанавливает проценты по вкладам в зависимости от сроков хранения денег.
Расходы предприятия по оплате услуг банка включаются в себестоимость продукции (работ, услуг). Доходы, полученные от хранения средств на счетах банков, в том числе и курсовые разницы по взаимным счетам, учитываются в составе балансовой прибыли предприятия как внереализационные доходы.
Банковское кредитование
Банковское кредитование это метод финансирования потребностей предприятия на условиях платности, срочности и возвратности.
Кредитные отношения могут принимать разные формы. Кредитные отношения могут быть организованы в форме банковского кредита, а также в форме коммерческого кредитования, когда отношения между предприятиями (заемщиком и кредитором) оформляются векселем. Коммерческий кредит может впоследствии трансформироваться в банковский посредством предоставления банком ссуды под залог векселя или посредством учета векселя.
Обычно выделяется прямое банковское кредитование, когда кредитные отношения предприятия изначально возникают как отношения с банком, и косвенное банковское кредитование, когда первоначально возникают кредитные отношения между предприятиями, которые впоследствии обращаются в банк в поисках способа досрочного получения денег по векселю-
Кредитные операции являются самой доходной статьей банковского бизнеса, за счет которой формируется основная часть чистой прибыли банков. Но с кредитными операциями связаны и основные риски банков, в частности риск непогашения заемщиком основного долга и процентов по кредиту.
Кредитование обычно осуществляется по укрупненным объектам. Такими укрупненными объектами, например, для предприятий промышленности, транспорта, связи, строительства, бытового обслуживания являются материальные запасы и производственные затраты, включаемые в нормированные оборотные средства: отгруженные товары, срок оплаты которых не наступил; выставляемые аккредитивы и т.д. Кредитование по укрупненным объектам значительно расширяет права предприятия, позволяет ему с учетом собственных потребностей маневрировать заемными средствами в пределах общей суммы предоставленного кредита Банковским кредитом, однако, не должны покрываться финансовые потребности предприятия, вызванные убытками, неснижаемыми запасами товарно-материальных ценностей и затратами производства, которые должны покрываться собственными оборотными средствами, произведенная сверхплановая продукция, имеющая ограниченный сбыт, сверхплановые и неиспользуемые остатки товарно-материальных ценностей.
Предприятие имеет право на получение кредита и в том банке, где ему открыт расчетный счет, и в любом другом банке. Такой порядок дает предприятию возможность, ориентируясь на собственные интересы, выбрать банк, где кредитная политика отличается большей гибкостью, быстрее и четче выполняются операции, лучше информация, шире перечень предоставляемых услуг.
Кредитование предприятий производится на основе кредитного договора. В договоре определяются права и обязанности предприятия-заемщика и банка с учетом характера предоставленного кредита и финансового состояния предприятия, устанавливается ответственность сторон за нарушение условий договора. В кредитном договоре в качестве необходимых условий также определяются: цели кредитования, размер кредита; сроки и основные условия выдачи и возврата ссуды; способы обеспечения кредитного обязательства; процентные ставки за кредит; перечень расчетов и сведений, необходимых для кредитования, а также сроки их представления.
В зависимости от срока выдаваемой ссуды кредиты делятся на краткосрочные (до 1 года), среднесрочные (от 1 года до 3 лет) и долгосрочные (свыше 3 лет).
Прежде чем принимать решение о предоставлении кредита, банк анализирует кредитоспособность предприятия.
Под кредитоспособностью предприятия понимается наличие у него предпосылок для получения кредита и его возврата в срок. Кредитоспособность предприятия определяется его аккуратностью при расчетах по ранее полученным кредитам, текущим финансовым состоянием и возможностью при необходимости мобилизовать денежные средства из различных источников.
Каждый банк использует свою систему оценки кредитоспособности предприятия, составляющую коммерческую тайну банка. Обычно система оценки использует три категории кредитоспособности: надежный (кредитоспособный), неустойчивый (ограниченно кредитоспособный), ненадежный (некредитоспособный).
Заемщик, признанный надежным, кредитуется на общих условиях; в этом случае может быть применен и льготный порядок кредитования. Если заемщик оказывается неустойчивым клиентом, то при заключении кредитного договора предусматриваются дополнительные нормы контроля за его деятельностью и возвратностью кредита (например, необходимость залога, гарантии, поручительства, ежемесячная проверка обеспечения, применение повышенных процентных ставок и т.д.). Если предприятие ссудозаявитель признано ненадежным клиентом, то его кредитование осуществлять нецелесообразно.
Риск в предпринимательстве и угроза банкротства
В условиях рыночных отношений, при наличии конкуренции и возникновении порой непредсказуемых ситуаций, хозяйственная, производственная или коммерческая деятельность невозможна без рисков. Однако и отсутствие риска, т.е. опасности наступления непредсказуемых и нежелательных для субъекта предпринимательской деятельности последствий его действий, в конечном счете, вредит экономике, подрывает ее динамичность и эффективность. Нормальный ход экономического развития требует достаточно полной и разнообразной «рисковой стратификации», которая обеспечивает каждому субъекту возможность занять позиции в такой зоне хозяйствования, в которой степень риска отвечает его наклонностям и личным качествам.
Существование риска и неизбежные в ходе развития изменения его степени выступают постоянным и сильнодействующим фактором движения предпринимательской сферы экономики.
- Виды рисков и методы их оценки
Любое предприятие несет риски, связанные с его производственной, коммерческой и другой деятельностью, любой предприниматель отвечает за последствия принимаемых управленческих решений. Фактор риска заставляет предпринимателя экономить финансовые и материальные ресурсы, обращать особое внимание на расчеты эффективности новых проектов, коммерческих сделок и т.д. Фактор риска в предпринимательской деятельности особенно увеличивается в периоды нестабильного состояния экономики, сопровождаемого инфляционными процессами, сверхдорогими кредитами и т.п.
Понятие и виды риска
Риск в предпринимательстве это вероятность того, что предприятие понесет убытки или потери, если намеченное мероприятие (управленческое решение) не осуществится, а также, если были допущены просчеты или ошибки при принятии управленческих решений. Предпринимательский риск можно подразделить на производственный, финансовый и инвестиционный.
Производственный риск связан непосредственно с хозяйственной деятельностью предприятия. Под производственным риском обычно понимают вероятность (возможность) невыполнения предприятием своих обязательств по контракту или договору с заказчиком, риски в реализации товаров и услуг, ошибки в ценовой политике, риск банкротства.
В производственной деятельности промышленного предприятия можно выделить следующие риски:
риск полной остановки предприятия из-за невозможности заключения договоров на поставку необходимых при данной технологии материалов, комплектующих деталей и других исходных продуктов;
риск недополучения исходных материалов из-за срыва заключенных договоров о поставке, а также риск невозврата денежных средств, перечисленных поставщику в виде предоплат;
риск незаключения договоров на реализацию произведенной продукции, работ или услуг, т.е. риск полной или частичной нереализации;
риск неполучения или несвоевременного получения денежных средств за отгруженную на реализацию продукцию;
риск отказа покупателя от полученной и оплаченной продукции или риск возврата;
риск срыва заключенных соглашений о предоставлении займов, инвестиций или кредитов;
ценовой риск, связанный с определением цены на реализуемую предприятием продукцию и услуги, а также риск в определении цены на необходимые средства производства, используемое сырье, материалы, топливо, энергию, рабочую силу и капитал (в виде процентных ставок по кредитам). По некоторым расчетам, ошибка в размере цены на реализуемую продукцию на 1% приводит к потерям, составляющим не менее 1% выручки от реализации. Если спрос на данный товар эластичен, то потери могут составить 2-3%.
При рентабельности продукции, составляющей 1012%, ошибка в цене на 1% может означать потери в прибыли на 510%. Ценовой риск существенно возрастает в условиях инфляции;
риск банкротства как деловых партнеров (контрагентов, реализаторов, поставщиков и т.п.), так и самого предприятия.
Финансовый риск это вероятность наступления ущерба в результате проведения каких-либо операций в финансово-кредитной и биржевой сферах, совершения операций с ценными бумагами, т.е. риск, который следует из природы финансовых операций. К финансовым рискам относятся кредитный риск, процентный риск, валютный риск, риск упущенной финансовой выгоды.
Кредитный риск связан с неуплатой заемщиком основного долга и процентов, начисленных за кредит. Процентный риск опасность потерь коммерческими банками, кредитными учреждениями, инвестиционными фондами в результате повышения процентных ставок, выплачиваемых ими по привлеченным средствам, над ставками по предоставленным кредитам. Валютные риски отражают опасность валютных потерь, связанных с изменением курса одной иностранной валюты по отношению к другой, в том числе национальной валюты при проведении внешнеэкономических, кредитных и других валютных операций. Риск, упущенной финансовой выгоды определяется вероятностью финансового ущерба, который может возникнуть в результате неосуществления какого-либо мероприятия или остановки хозяйственной деятельности.
В инвестиционной деятельности предприятия можно выделить риск инвестирования в ценные бумаги, или «портфельный риск», который характеризует степень риска снижения доходности конкретных ценных бумаг и сформированного портфеля ценных бумаг, а также риск новаторства. Новые проекты содержат три вида рисков:
риск, связанный с техническими нововведениями;
риск, связанный с экономической или организационной стороной производства;
риск, определяемый «молодостью предприятия». Риски могут быть классифицированы и по иным признакам. Так, например, выделяют риски чистые и спекулятивные, динамические и статические, абсолютные и относительные. Чистые .риски означают возможность получения убытков или нулевого результата. Обычно к ним относят производственные и инвестиционные риски.
Спекулятивные риски выражаются в вероятности получения как положительного, так и отрицательного результата. Финансовые риски, например, считаются спекулятивными рисками-
Динамический риск это риск непредвиденных изменений вследствие принятия управленческих решений или изменений, произошедших в экономической, политической и других сферах общественной жизни. Такие изменения могут привести как к потерям, так и к дополнительным доходам. Статический риск это риск потерь вследствие нанесения ущерба собственности, а также потерь дохода из-за недееспособности организации.
Этот риск может привести только к потерям.
Абсолютный риск оценивается в денежных единицах (рублях долларах и т.д.); относительный риск в долях единицы или в процентах. Например, риск в предпринимательстве можно измерить абсолютной величиной суммой убытков и потерь и относительной величиной степенью риска, т.е. мерой вероятности неосуществления намеченного мероприятия или недостижения намеченного уровня прибыли, дохода, цены. Оба показателя необходимы и несут соответствующую информацию абсолютного и относительного риска.
Факторы риска
Предпринимательский риск складывается под влиянием объективных (внешних) и субъективных (внутренних) факторов.
К наиболее важным внешним факторам относятся: инфляция (значительный и неравномерный рост цен как на сырье, материалы, топливо, энергоносители, комплектующие изделия, транспортные и другие услуги, так и на продукцию и услуги предприятия); изменение банковских процентных ставок и условий кредитования, налоговых ставок и таможенных пошлин; изменения в отношениях собственности и аренды, в трудовом законодательстве и др. Не менее опасно для деятельности предприятия влияние внутренних факторов, которые связаны с ошибками и упущениями руководства и персонала. Так, по оценкам зарубежных экспертов, 90% различных неудач малых фирм связано с неопытностью руководства, его неумением адаптироваться к изменяющимся условиям, консерватизмом мышления, что ведет к неэффективному управлению предприятием, к принятию ошибочных решений, потере позиций на рынке.
К субъективным факторам можно отнести и фактор отношения к риску. Люди различаются по своей готовности пойти на риск. Так, одним руководителям нравится рисковать, другие рисковать не хотят, а иные к риску безразличны.
От поведения конкретных людей зависит и выбор рисковой стратегии в деятельности предприятия. Руководитель, который предпочитает стабильный доход, в предпринимательской деятельности выбирает стратегию, не расположенную к риску. При таком антирисковом поведении обычно имеет место невысокий доход (прибыль) предприятия. Руководитель, нейтрально относящийся к риску, ориентируется на ожидаемый доход, невзирая на возможные убытки.
Расположенные к риску руководители готовы рисковать в надежде получить большую прибыль, т.е. готовы бороться за минимизацию потерь с целью максимизации результата.
Анализ риска
Риск, которому подвергается предприятие, это вероятная угроза разорения или несения таких финансовых потерь, которые могут остановить все дело. Поскольку вероятность неудачи присутствует всегда, встает вопрос о методах снижения риска. Для ответа на этот вопрос необходимо количественно определить риск, что позволит сравнить величину риска различных вариантов решения и выбрать из них тот, который больше всего отвечает выбранной предприятием стратегии риска.
ПРЕДПРИЯТИЕ КАК АГЕНТ РЫНОЧНОЙ ЭКОНОМИКИ
Основной хозяйствующей структурной единицей в условиях рыночной экономики является предприятие. Именно предприятие является основным производителем товаров и услуг, основным рыночным субъектом, вступающим в различные хозяйственные отношения с другими субъектами.
1. Предпринимательство и предприятие
Предпринимательская деятельность
Предпринимательская деятельность (предпринимательство) инициативная самостоятельная деятельность юридических лиц или граждан, направленная на получение прибыли.
Субъектами предпринимательской деятельности в России могут быть:
граждане РФ;
граждане иностранных государств;
объединение граждан (коллективные предприниматели). Статус предпринимателя приобретается после государственной регистрации юридического или физического лица. Без регистрации предпринимательская деятельность осуществляться не может.
Права, обязанности, ответственность и гарантии предпринимателей регламентируются национальным законодательством. Законами Российской Федерации, например, гарантируются:
право заниматься предпринимательской деятельностью, создавать предприятия, приобретать необходимое для их деятельности имущество;
равное право доступа всех субъектов на рынок, к материальным, трудовым, информационным и природным ресурсам;
равные условия деятельности предприятий независимо от вида собственности и организационно-правовых форм;
защита имущества предприятий от незаконного изъятия;
свободный выбор сферы предпринимательства в установленных пределах;
недопущение недобросовестной конкуренции предпринимателей и монопольного положения на рынке отдельных товаропроизводителей.
Предпринимательская деятельность может осуществляться с образованием или без образования юридического лица. Предпринимательская деятельность без образования юридического лица осуществляется гражданином индивидуальным предпринимателем, прошедшим государственную регистрацию.
Понятие юридического лица
Юридическое лицо организация, которая имеет в собственности, хозяйственном ведении или оперативном управлении обособленное имущество, отвечает по своим обязательствам этим имуществом, может от своего имени приобретать или осуществлять имущественные и личные неимущественные права, нести обязанности, быть истцом и отвечать в суде. Юридическое лицо характеризуется следующими основными признаками:
имущественная обособленность, т.е. наличие самостоятельного баланса у коммерческих организаций или самостоятельной сметы у некоммерческих организаций. Имущество принадлежит юридическому лицу на праве собственности либо находится в его хозяйственном или оперативном управлении;
самостоятельная имущественная ответственность, т.е. ответственность по своим обязательствам, обособленным имуществом;
самостоятельное выступление в гражданском обороте от своего имени, возможность заключать гражданско-правовые договоры (купли-продажи, поставки, перевозки, займа, аренды, подряда и др.) либо иным способом приобретать права и нести обязанности;
организационное единство, т.е. наличие соответствующей устойчивой структуры, закрепленной в учредительных документах.
Предпринимательство и бизнес
С понятием «предпринимательство» тесно связано понятие «бизнес». Бизнес (дело, коммерческая деятельность) совершение коммерческих операций по производству, обмену, реализации товаров и услуг, результатом которых может быть получение прибыли или несение убытков. Бизнес понятие более широкое, чем предпринимательская деятельность, поскольку бизнесом является совершение любых, в том числе разовых, коммерческих сделок в любой сфере деятельности.
Здесь кроется основное различие этих понятий: если предпринимательство всегда «формализовано» и выступает в форме предпринимательских структур, то субъектами в бизнесе могут быть также и непредпринимательские организации и учреждения, совершающие коммерческие сделки эпизодически в товарной или денежной форме.
Предприятие
Основной формой организации предпринимательства является предприятие.
Предприятия экономические агенты или лица, действующие в рыночной экономике, занятые производством, реализацией товаров и услуг с целью получения прибыли и ее максимизации.
Под производством в рыночной экономике подразумеваются любые виды деятельности, приносящие доход независимо от того, происходят они в сфере материального производства или в сфере услуг.
Предприятие представляет собой имущественно обособленную хозяйственную единицу, организованную для достижения какой-либо хозяйственной цели, т.е. это экономическая единица, которая;
самостоятельно принимает решения;
реально использует факторы производства для изготовления и продажи продукции;
стремится к получению дохода и реализации других целей. Предприятие является коммерческой организацией, т.е. организацией, нацеленной на получение прибыли. Этим предприятие существенным образом отличается от некоммерческих организаций, т.е. организаций, не преследующих цели извлечения прибыли.
Обычно к ним относятся благотворительные и иные фонды, ассоциации, общественные объединения, религиозные организации и др.
-
Типы предприятий
Предприятия различны по условиям, целям и характеру функционирования. Для более глубокого изучения предпринимательской деятельности предприятия обычно классифицируются по виду и характеру хозяйственной деятельности, формам собственности, принадлежности капитала и контролю над ним, правовому положению и другим признакам.
Классификация по виду и характеру деятельности
Прежде всего, предприятия отличаются друг от друга отраслевой принадлежностью. Они подразделяются на предприятия производственной и непроизводственной сферы, далее по менее крупным подразделениям (промышленные, сельскохозяйственные, кредитно-финансовые, транспортные и т.п.).
Например, промышленные предприятия в основе своей деятельности имеют производство товаров (обычно к промышленным предприятиям относят те, у которых более 50% оборота приходится на производство промышленной продукции).
Торговые предприятия занимаются осуществлением в основном операций по купле-продаже товаров. Они могут либо входить в систему сбыта крупных промышленных предприятий, либо существовать независимо юридически и в хозяйственном отношении от других фирм и осуществлять торгово-посреднические операции.
Транспортно-экспедиторские предприятия специализируются на осуществлении операций по доставке товаров покупателю, выполняя поручения промышленных, торговых и других фирм. Функции этих предприятий весьма многообразны. Сюда входит проверка состояния тары, упаковки и маркировки, оформление товаросопроводительных документов, оплата стоимости перевозки по поручению грузовладельца, осуществление погрузочно-разгрузочных работ, хранение, страхование, подбор и комплектация мелких отправок, информация грузополучателя о прибытии груза, получение акта об ущербе, если таковой был, осуществление таможенных формальностей, организация контейнерных перевозок, обеспечение грузовых поставок документами карантинного, санитарного и ветеринарного надзора и др.
Далее, основываясь на типе или виде производимых предприятием продуктов или услуг, можно выделять собственно отраслевые и под отраслевые типы предприятий (например, автомобилестроительные, угледобывающие, страховые и т.п.).
Классификация по размерам предприятия
Одной из важнейших характеристик предприятия являются его размеры, определяемые в первую очередь количеством (занятых) работников. Как правило, по этому признаку предприятия подразделяются следующим образом: мелкиедо 50 занятых; средние от 50 до 500 (иногда до 300); крупные свыше 500, в том числе особо крупные свыше 1000 занятых. Определение размеров предприятия по числу занятых может дополняться другими характеристиками объемом продаж, активами, полученной прибылью и т.п.
Размеры предприятий тесно связаны с их отраслевой принадлежностью. Например, предприятия черной металлургии и машиностроения обычно крупные и очень крупные предприятия. В легкой, пищевой, нефтеперерабатывающей промышленности действуют в основном средние предприятия; в деревообрабатывающей и швейной промышленности средние и близкие к мелким предприятия.
В целом ведущую роль в национальном хозяйстве, несмотря на относительно небольшое их количество, играют крупные предприятия. Основное же число предприятий представлено мелкими и средними предприятиями.
Российская экономика характеризуется пока еще низкой долей мелкого и среднего частного предпринимательства.
Составной частью экономической политики государства является развитие малого предпринимательства. Это важнейший элемент рыночной структуры, наиболее гибкая и динамичная форма развития предпринимательства. Создание сети малых предприятий является необходимым условием формирования экономической среды, благоприятствующей возникновению конкуренции товаропроизводителей, развитию рыночных отношений, противодействия монополизму в производстве и других сферах деятельности.
Малые предприятия способны быстро реагировать на изменение потребительского спроса, они наиболее восприимчивы к техническим новинкам, обеспечивают быструю окупаемость затрат.
Имущество и капитал предприятия
Рынок совокупность интересов и действий существующих и потенциальных покупателей и продавцов, а также условий, характеризующих состояние и движение таких интересов и действий. Рынок - это механизм взаимодействия покупателей и продавцов, реализующийся через рыночные цены, взаимное соотношение спроса и предложения. Предприятие в рыночной экономике выступает на различных рынках: производственных ресурсов и готовой продукции; ориентируется на локальный, национальный или даже международный рынок.
Предприятие в рыночном механизме выступает агентом спроса и агентом предложения, предлагает свои цены потребителям и поставщикам и одновременно учитывает сложившийся на рынке уровень цен, реализует свои интересы и предложения и учитывает (в той или иной степени) предложения других рыночных агентов, строит свою рыночную стратегию и тактику в соответствии с существующим типом рыночной структуры и текущей ситуацией.
В данной главе указаны лишь некоторые исходные положения, характеризующие место предприятия в рыночной экономике. Они будут более подробно рассмотрены в последующих главах. С другой стороны, теоретические аспекты функционирования более подробно анализируются в соответствующих разделах курса микроэкономики.
- Место предприятия в системе рыночных отношений
Условия складывания рыночных отношений
Рынок складывается по мере формирования определенных исторических условий, учет которых необходим при характеристике положения предприятия в рыночной экономике.
Прежде всего, это общественное разделение труда, возникновение обмена, что привело к появлению денег, которое расширяло стимулы к производству тех или иных товаров специально для продажи. В результате появилось товарное производство, т.е. производство таких изделий, которые нужны их производителю не для собственного потребления, а в качестве носителя стоимости, позволяющего получить взамен другие нужные для него предметы.
Важным условием складывания рыночных отношений является экономическая обособленность производителей. Товарный обмен обязательно предполагает стремление получить взамен своего товара эквивалентное количество другого. Такое стремление возникает вследствие экономической обособленности интересов, исторически возникшей на базе частной собственности.
Впоследствии экономическая обособленность начала опираться и на коллективную собственность, тоже, однако, ограниченную каким-то определенным кругом интересов (кооперативы, хозяйственные общества, государственные предприятия и т.д.).
Но чтобы рыночное хозяйство эффективно функционировало, необходимо еще и третье условие самостоятельность производителя, свобода предпринимательства. Осуществление, внерыночного регулирования хозяйства допускается в любой системе, однако чем меньше скован товаропроизводитель, тем больше простора для развития рыночных отношений.
Самостоятельность предприятия
Предприятие обладает самостоятельностью в организации производства и коммерческой свободой. Оно определяет пути и способы реализации своей продукции, выбирает контрагентов, с которыми будет иметь дело; экономические связи закрепляются договорами. Важным условием коммерческой свободы является также свободное ценообразование.
Независимость как исходный признак организации предприятия нельзя понимать упрощенно. В экономике абсолютной свободы производителей не существует. Предприятие имеет полную самостоятельность в том смысле, что над ним нет инстанции, управляющей его хозяйственной деятельностью. Но оно не свободно от рынка, от его жестких требований.
Поэтому можно говорить лишь об определенных рамках самостоятельности.
Взаимодействует с самостоятельностью принцип личной экономической заинтересованности лиц, создавших предприятие. Предприятие в рамках рыночной экономики выступает как источник личной выгоды, и это является одним из ведущих факторов предпринимательской деятельности. Данный фактор, непосредственным образом влияющий на деятельность предприятия, выражается в стремлении организовать работу предприятия так, чтобы получить максимально возможную прибыль.
Однако особенностью товарного производства является то, что предприниматель, преследуя свою сугубо личную выгоду, тем не менее, работает на общество в конечном итоге, удовлетворяя свои интересы, создает более качественные типы продукции.
Обладая самостоятельностью, предприятие берет на себя ответственность за результаты осуществляемой деятельности. Оно отвечает за нарушение договорных, кредитных, расчетных и налоговых обязательств, продажу товаров, пользование которыми может причинить вред здоровью, и за нарушение иных правил, предусмотренных законодательством.
Помимо вышеуказанных обязательств предприятие должно быть организовано таким образом, чтобы рационально использовать имеющиеся в его распоряжении землю и другие природные ресурсы, не загрязнять окружающую среду, не нарушать правил безопасности производства, соблюдать санитарно-гигиенические нормы и требования по защите здоровья его работников.
Характерным признаком деятельности предприятия является хозяйственный риск. Рыночные отношения требуют от предприятия производства качественной и конкурентоспособной продукции. Ключевой момент, лежащий в основе хозяйственного риска, - соотношение между предполагаемыми затратами и результатами. Если цены произведенных продуктов не возмещают затрат, это значит, что либо предприниматель не сумел эффективно организовать деятельность своего предприятия, либо неблагоприятно сложилась конъюнктура.
Необходимость постоянно контролировать комбинации условий производства все время заставляет изыскивать новые технологические решения, снижать себестоимость продукции и т.д.
Свобода предпринимательства, свобода выбора и личный интерес формируют отношения состязательности, конкуренции между участниками рыночного обмена.
Предприятие, осуществляя самостоятельное хозяйствование, связано через систему рыночных связей (рынки ресурсов и готовой продукции) с другими предприятиями, поставщиками и потребителями.
Предприятие в различных рыночных структурах
На поведение каждого предприятия влияет характер, тип рынка, на котором оно функционирует. Тип рынка зависит от вида продукции, количества предприятий (фирм), наличия или отсутствия ограничений на вход в отрасль и выход из нее, доступности информации о ценах, нововведениях и т.п. Различают следующие основные типы рынков или рыночных структур: чистая (совершенная) конкуренция, монополия, монополистическая конкуренция, олигополия.
Чистая (совершенная) конкуренция возникает при определенных условиях:
наличие множества мелких фирм, предлагающих на рынке, однородную продукцию. Для потребителя безразлично, у какой конкретно фирмы он приобретает эту продукцию;
доля каждого предприятия на рынке отрасли незначительна, так что ни одно из них не способно сколько-нибудь существенно влиять на цену продукта;
фирма может свободно, без ограничений входить и выходить из отрасли;
фирма без ограничений имеет возможность получить любую информацию о ценах на товары и ресурсы, о затратах, качестве товаров, технике производства и т.д.
Конкуренция, при которой не выполняется хотя бы один из принципов совершенной конкуренции, называется несовершенной.
Полной противоположностью совершенной конкуренции является чистая монополия. В условиях чистой монополии в отрасли действует только одно предприятие, т.е. границы фирмы и отрасли совпадают. Чистая монополия обычно возникает там, где выпускаемый предприятием продукт является в известном смысле уникальным, отсутствуют его аналоги или близкие заменители (субституты). Причиной возникновения монополии может быть наличие барьеров для вступления в отрасль.
Барьеры могут носить 'экономический (например, исключительное право предприятия на какой-либо производственный ресурс, патент на изобретение или технологию) или административный характер (например, необходимость получения лицензии на осуществление определенных видов деятельности).
Если в условиях совершенной конкуренции предприятие выбирает только объем производства, цена задается внешним образом и предприятие вынуждено приспосабливаться к ней, то в условиях монополии предприятие-монополист не только определяет собственный объем производства, но и устанавливает цену. Не следует, однако, преувеличивать и силу монопольной власти отдельного предприятия. Даже чистая монополия вынуждена считаться с потенциальной конкуренцией.
Конкуренция может обостриться в связи с нововведениями, появлением товаров-заменителей, импортом аналогичных товаров, а также межотраслевой «борьбой за рубль потребителя» конкуренцией со стороны производителей различных благ, каждый из которых стремится увеличить долю своих товаров в потребительском бюджете.
Монополистическая конкуренция возникает там, где в отрасли действуют десятки предприятий, производящих разнообразную дифференцированную продукцию. Дифференциация продуктов может основываться не только на различиях в качестве товара, но и на тех услугах, которые связаны с его обслуживанием. Причинами выбора покупателя могут быть привлекательная упаковка, наличие купона, обеспечивающего скидку цены, более удачное расположение или время работы магазина.
Основные фонды предприятия
1. Имущество предприятия 2. Капитал предприятия
ОБОРОТНЫЕ СРЕДСТВА ПРЕДПРИЯТИЯ
1. Персонал предприятия 2. Организация труда на предприятии
3. Нормирование труда
4. Тарификация труда
5. Материальное стимулирование труда
6. Рынок труда, занятость, безработица
РАЗДЕЛ II ЭКОНОМИЧЕСКИЕ РЕСУРСЫ ПРЕДПРИЯТИЯ
Для осуществления своей деятельности предприятие должно располагать определенным набором экономических ресурсов (или факторов производства) элементов, используемых для производства экономических благ. Обычно в экономической литературе все, что предприятие имеет и использует в производственной деятельности, называется имуществом предприятия.
Состав применяемых предприятием экономических ресурсов различен. Особое значение для успеха производственной деятельности имеет наличие определенного запаса ресурсов длительного пользования, или капитала.
В современной экономической литературе нередко различаются две основные формы капитала: физический (материально-вещественный) капитал (машины, здания, сооружения, сырье и т.п.) и человеческий капитал (общие и специальные знания, трудовые навыки, производственный опыт), что отражает все возрастающую роль человеческого фактора в развитии современного производства, особое значение инвестиций (капитальных вложений) в образование, профессиональную подготовку и т.п. В более строгом смысле человеческий капитал является особой разновидностью трудовых ресурсов, которыми располагает предприятие.
ГЛАВА 4. ИМУЩЕСТВО И КАПИТАЛ ПРЕДПРИЯТИЯ
1. Имущество предприятия
Понятие имущества предприятия
Имущество предприятия материальные и нематериальные элементы, используемые предприятием в производственной деятельности.
Имущество предприятия первоначально создается за счет имущества, переданного ему учредителями в виде вкладов (взносов, паев). Имущество предприятия увеличивается в процессе производственной и хозяйственной деятельности. Оно может являться объектом сделок, отчуждаться, закладываться и т.п.
Обычно имущество предприятия обособлено от имущества его учредителей, участников и работников. Предприятие отвечает по своим долгам, принадлежащим ему имуществом, на которое могут быть обращены иски хозяйственных партнеров или кредиторов в случае невыполнения предприятием каких-либо обязательств перед ними.
При признании предприятия несостоятельным (банкротом) его имущество в соответствии с установленными законами процедурами может использоваться для удовлетворения требований кредиторов. Оставшееся после этого имущество ликвидируемого предприятия передается его учредителям (участникам), имеющим на это имущество вещные права или обязательственные права в отношении предприятия. По российскому законодательству учредители и участники предприятия имеют обязательственные права в отношении хозяйственных товариществ и обществ, производственных кооперативов.
На имущество государственных и муниципальных унитарных предприятий, а также дочерних обществ учредители имеют право собственности или иные вещные права.
Состав имущества предприятия
Имущество предприятия включает все виды имущества, которые необходимы для осуществления хозяйственной деятельности.
Обычно в составе имущества выделяют материально-вещественные и нематериальные элементы.
К числу материально-вещественных элементов относятся земельные участки, здания, сооружения, машины, оборудование, сырье, полуфабрикаты, готовые изделия, денежные средства.
Нематериальные элементы создаются в процессе жизнедеятельности предприятия. К ним относятся: репутация фирмы и круг постоянных клиентов, название фирмы и используемые товарные знаки, навыки руководства, квалификация персонала, запатентованные способы производства, ноу-хау, авторские права, контракты и т.п., которые могут быть проданы или переданы.
Имущество предприятия является предметом изучения различных дисциплин: право исследует правовые аспекты существования, защиты, перехода прав собственности и обязательств; в анализе хозяйственной деятельности рассматривается эффективность использования различных видов имущества предприятия; в бухгалтерском учете отражается движение имущества и основных источников его формирования. В курсе экономики предприятия имущество рассматривается как хозяйственный, экономический ресурс, использование которого обеспечивает успешную деятельность предприятия. Основные элементы имущества предприятия будут рассмотрены в данной и последующих главах учебника.
2. Капитал предприятия
Капитал предприятия можно рассматривать с нескольких точек зрения. Прежде всего, целесообразно различать капитал реальный, т.е. существующий в форме средств производства, и капитал денежный, т.е. существующий в форме денег и используемый для приобретения средств производства, как совокупность источников средств для обеспечения хозяйственной деятельности предприятия. Рассмотрим сначала денежный капитал.
Собственный и заемный капитал
Средства, обеспечивающие деятельность предприятия, обычно делятся на собственные и заемные.
Собственный капитал предприятия представляет собой стоимость (денежную оценку) имущества предприятия, полностью находящегося в его собственности. В учете величина собственного капитала исчисляется как разность между стоимостью всего имущества по балансу, или активами, включая суммы, невостребованные с различных должников предприятия, и всеми обязательствами предприятия в данный момент времени.
Собственный капитал предприятия складывается из различных источников: уставного, или складочного, капитала, различных взносов и пожертвований, прибыли, непосредственно зависящей от результатов деятельности предприятия. Особая роль принадлежит уставному капиталу, который будет ниже рассмотрен более подробно.
Заемный капитал это капитал, который привлекается предприятием со стороны в виде кредитов, финансовой помощи, сумм, полученных под залог, и других внешних источников на конкретный срок, на определенных условиях под какие-либо гарантии.
Уставный капитал
Уставный капитал представляет собой совокупность средств (вкладов, взносов, долей) учредителей (участников) в имущество при создании предприятия для обеспечения его деятельности в размерах, определенных учредительными документами.
Уставный капитал является первоначальным, исходным капиталом для предприятия. Его величина определяется с учетом предполагаемой хозяйственной (производственной) деятельности и фиксируется в момент государственной регистрации предприятия.
Определенные особенности имеет процесс формирования уставного капитал акционерных обществ (АО).
Уставный капитал АО представляет, с одной стороны, собственные средства общества как юридического лица, а с другой сумму вкладов акционеров.
Уставный капитал должен состоять из установленного числа акций разного вида с определенным номиналом. При выпуске акций каждой из них приписывается некоторая денежная стоимость, называемая паритетом, или номинальной стоимостью. Эта стоимость показывает, какая часть стоимости уставного капитала приходится на 1 акцию на момент оформления акционерного общества.
Обычно выпускается два вида акций: обыкновенные и привилегированные. Обыкновенные акции дают держателю право голоса на общем собрании акционеров, право на получение дивидендов, право на участие в разделе имущества АО в случае ликвидации. Величина дивидендов, получаемых по обыкновенным акциям, зависит от конечных результатов предприятия.
Привилегированные акции не дают право голоса их владельцам, однако предоставляют им определенные гарантированные права, а именно;
фиксированный процентный доход в виде дивидендов;
получение дивидендов до их распределения на другие виды
акций;
предпочтительное право на получение своей доли средств в имуществе АО в случае ликвидации предприятия.
Акционерное общество не вправе выплачивать дивиденды до полной оплаты всего уставного капитала, а также, если стоимость его имущества, или чистых активов, меньше уставного капитала. Уставный капитал отражается в двух основных документах АО:
уставе общества и бухгалтерском балансе.
В оплату уставного капитала могут поступать денежные и имущественные взносы. К имущественным взносам относятся:
здания, сооружения, оборудование, материальные ресурсы и другие материальные ценности;
имущественные права (права пользования водой, землей, зданиями, сооружениями, оборудованием и т.д.);
интеллектуальная собственность;
ценные бумаги;
средства в иностранной валюте (для акционерных обществ, создаваемых с участием иностранного лица).
Величина уставного капитала отражается в IV разделе баланса предприятия «Капитал и резервы» и учитывается на счете «Уставный капитал». Вклады, вносимые в оплату уставного капитала, в зависимости от их вида отражаются на соответствующих счетах: денежные средства на «Расчетном счете», имущественные взносы на счете «Основные средства», права пользования на счете «Нематериальные активы», ценные бумаги на счете «Долгосрочные финансовые вложения».
В уставном капитале сочетаются право владения и право распоряжения собственностью АО, а также функции гарантии имущественных прав акционеров, так как уставный капитал является устойчивой величиной. Уставный капитал можно рассматривать как экономический фундамент акционерного общества.
Принципы организации производства
Создание производства всегда связано с людьми, которые работают на предприятии (фирме). Правильные принципы организации производства, оптимальные системы и процедуры играют, конечно же, важную роль, но производственный успех зависит от конкретных людей, их знаний, компетентности, квалификации, дисциплины, мотивации, способности решать проблемы, восприимчивости к обучению. В то же время трудовые отношения едва ли не самая сложная проблема предпринимательства, особенно когда коллектив предприятия насчитывает десятки, сотни и тысячи человек.
Трудовые отношения охватывают широкий круг проблем, связанных с организацией трудового процесса, подготовкой и набором кадров, выбором оптимальной системы заработной платы, созданием отношений социального партнерства на предприятии.
- Персонал предприятия
Персонал (трудовой персонал) предприятия основной состав квалифицированных работников предприятия, фирмы, организации.
Обычно трудовой персонал предприятия подразделяют на производственный персонал и персонал, занятый в непроизводственных подразделениях. Производственный персонал работники, занятые в производстве и его обслуживании, составляет основную часть трудовых ресурсов предприятия.
Категории производственного персонала
Самая многочисленная и основная категория производственного персонала это рабочие предприятия (фирмы) лица (работники), непосредственно занятые созданием материальных ценностей или работами по оказанию производственных услуг и перемещению грузов. Рабочие подразделяются на основных и вспомогательных.
К основным рабочим относят работников, непосредственно создающих товарную (валовую) продукцию предприятий и занятых осуществлением технологических процессов, т.е. изменением форм, размеров, положения, состояния, структуры, физических, химических и других свойств предметов труда.
К вспомогательным относятся рабочие, занятые обслуживанием оборудования и рабочих мест в производственных цехах, а также все рабочие вспомогательных цехов и хозяйств.
Вспомогательные рабочие могут быть подразделены на функциональные группы: транспортную и погрузочную, контрольную, ремонтную, инструментальную, хозяйственную, складскую и т.п.
Руководители работники, занимающие должности руководителей предприятий (директора, мастера, главные специалисты и др.).
Специалисты ~ работники, имеющие высшее или среднее специальное образование, а также работники, не имеющие специального образования, но занимающие определенную должность.
Служащие работники, осуществляющие подготовку и оформление документов, учет и контроль, хозяйственное обслуживание (агенты, кассиры, делопроизводители, секретари, статистики и др.).
Младший обслуживающий персонал лица, занимающие должности по уходу за служебными помещениями (дворники, уборщицы и др.), а также по обслуживанию рабочих и служащих (курьеры, рассыльные и др.).
Соотношение различных категорий работников в их общей численности характеризует структуру кадров (персонала) предприятия, цеха, участка. Структура кадров также может определяться по таким признакам, как возраст, пол, уровень образования, стаж работы, квалификация, степень выполнения норм и т.п.
Профессионально квалификационная структура персонала
Профессионально квалификационная структура персонала складывается под воздействием профессионального и квалификационного разделения труда. Под профессией обычно понимают вид (род) трудовой деятельности, требующий определенной подготовки. Квалификация характеризует меру овладения работниками данной профессией и отражается в квалификационных (тарифных) разрядах, категориях.
Тарифные разряды и категории также являются и показателями, характеризующими уровень сложности работ.
Применительно к характеру профессиональной подготовленности работников используется и такое понятие, как специальность, определяющее вид трудовой деятельности к рамках одной и той же профессии (к примеру, профессия токарь, а специальности токарь-расточник, токарь-карусельщик). Дифференциация в специальностях по одной и той же рабочей профессии чаще всего связана со спецификой применяемого оборудования.
Под влиянием научно-технического прогресса происходит изменение численности и удельного веса отдельных профессий и. профессиональных групп производственного персонала. Численность инженерно-технических работников и специалистов увеличивается более быстрыми темпами по сравнению с ростом численности рабочих при относительной стабильности удельного веса руководителей и технических исполнителей. Рост числа этих категорий работников обусловлен расширением и совершенствованием производства, его технической оснащенности, изменением отраслевой структуры, появлением рабочих мест, на которых необходима инженерная подготовка, а также возрастающей сложностью выпускаемой продукции.
Очевидно, что подобная тенденция сохранится и в будущем.
Планирование численности и состава персонала
Потребность в кадрах планируется раздельно по группам и категориям работающих. При планировании численности персонала на предприятии различают явочный и списочный состав.
Явочный состав число работников, которые в течение суток фактически являются на работу. В списочный состав входят все постоянные и временные работники, и том числе находящиеся в командировках, отпусках, на военных сборах.
Явочное число работников рассчитывается, а списочное их число определяется путем корректировки явочного числа с помощью коэффициента, учитывающего планируемые неявки на работу.
На практике применяют два метода определения необходимой численности рабочих:
1) по трудоемкости производственной программы;
2) по нормам обслуживания.
Первый метод используют при определении численности рабочих, занятых на нормируемых работах, второй - при определении численности рабочих, занятых на ненормируемых работах, в основном вспомогательных рабочих. Численность ИТР и служащих определяется по штатному расписанию.
Показатели динамики и состава персонала
Коллектив предприятия по численному составу, уровню квалификации не является постоянной величиной, он все время изменяется: увольняются одни работники, принимаются другие. Для анализа (отражения) изменения численности и состава персонала используются различные показатели.
Показатель среднесписочной численности работников (Р) определяется по формуле:
где Р1, Р2, Р3, … Р11, Р12 численность работников по месяцам.
Коэффициент приема кадров (Кп) определяется отношением количества работников, принятых на предприятие за определенный период времени, к среднесписочной численности персонала за тот же период:
где Рп численность принятых работников, чел.;

Коэффициент выбытия кадров (Ар) определяется отношением количества работников, уволенных по всем причинам за данный период времени, к среднесписочной численности работников за тот же период:
где Рув численность уволенных работников, чел.;

Коэффициент стабильности кадров (Кс) рекомендуется использовать при оценке уровня организации управления производством как на предприятии в целом, так и в отдельных подразделениях:
где Рув численность работников, уволившихся с предприятия по собственному желанию и из-за нарушения трудовой дисциплины за отчетный период, чел.;

Коэффициент текучести кадров (Кт) определяется делением численности работников предприятия (цеха, участка), выбывших или уволенных за данный период времени, на среднесписочную численность за тот же период:

где Рув численность выбывших или уволенных работников, чел; Р$ среднесписочная численность персонала, чел.
2. Организация труда на предприятии
Организация труда на предприятии призвана создавать нормальные для человека условия труда и одновременно системы труда, повышающие доход предприятия.
В основе формирования оптимальных условий применения труда лежит изучение трудового процесса, которое развивается на основе исследований динамики производительности труда и анализа затрат рабочего времени.
Производительность труда
Под производительностью труда понимается эффективность (или результативность) труда в процессе производства продукции.
Уровень производительности труда выражается количеством продукции, производимой в единицу времени, причем можно брать отношение количества производимой продукции к затратам живого труда.
Производительность труда является важнейшим экономическим показателем, который служит для определения результативности (продуктивности) трудовой деятельности, как отдельного работника, так и коллектива предприятия.
Практике известны различные методы и показатели измерения производительности труда, что связано с особенностями производства, применяемой техники, сырья и т.п. и с целями экономического исследования.
Измерение производительности труда осуществляется путем сопоставления результатов труда в виде объема произведенной продукции с затратами труда (среднесписочной численностью промышленно-производственного персонала).
Трудовые ресурсы предприятия.
7.1. Состав и структура оборотных средств
Оборотные средства (в практике стран с рыночной экономикой их называют оборотным капиталом) являются важнейшим ресурсом в обеспечении текущего функционирования предприятия, т.е. в производстве и реализации ( 7.1). В процессе производственно-хозяйственной деятельности предприятие нуждается в денежных средствах, необходимых для изготовления продукции, закупки сырья и материалов, выплаты заработной платы и т.д., а затем в средствах, которые требуются на ее реализацию. Таким образом, оборотные средства это денежные средства, авансированные в оборотные производственные фонды и фонды обращения.
Оборотные производственные фонды обеспечивают непрерывность производственного процесса, а фонды обращения реализацию произведенной продукции на рынке и получение денежных средств, гарантирующих благополучие предприятия. Эта экономическая роль (назначение) оборотных средств определяет их сущность, которая заключается в необходимости обеспечения бесперебойного функционирования процесса производства и процесса обращения. Функционируя„оборотные средства совершают непрерывный кругооборот, который условно можно разделить на три фазы.
В первой фазе (Д Т) оборотные средства (Д) превращаются в товар (Т). Во второй фазе (Т П Т') оборотные средства, участвуя в процессе производства, принимают форму незавершенного производства, полуфабрикатов и готовых изделий. И уже в третьей фазе (Т' Д') оборотные средства в форме готовой продукции в процессе ее реализации снова превращаются в деньги (Д).
Оборотные средства, затрачиваемые в ходе изготовления продукции и ее реализации, полностью потребляются и переносят свою стоимость на продукцию в течение одного операционного цикла. Под операционным циклом понимается время от момента приобретения сырья и материалов до момента поступления денег от продажи готовой продукции.
Оборотные средства в хозяйственной практике включают в себя (в денежном выражении) стоимость материально-производственных запасов, дебиторскую задолженность (счета, предъявленные к оплате), расходы будущих периодов (или заранее оплаченные расходы, например, страховые взносы), денежные средства (кассовая наличность, банковские счета, прочие счета).
Необходимость создания материально-производственных запасов обусловливается сущностью производственного процесса. Она заключается в том, что производство продукции осуществляется ежечасно, ежедневно, т.е. непрерывно во времени за исключением выходных дней или постановки оборудования на ремонт. Это означает. что сырье и материалы, топливо, необходимые для изготовления продукции, должны поступать непрерывно, бесперебойно.
А этого можно достичь только при условии создания запасов сырья и материалов„топлива соответствующей величины.
На производственном предприятии существуют три вида запасов товарно-материальных ценностей, определяющих его функционирование: производственные запасы, незавершенное производство, запасы готовой продукции. Все они по своему содержание имеют натуральную и стоимостную оценку.
К незавершенному производству относят ту продукцию, которая на момент расчета находится на какой-либо стадии изготовления. Из этого следует, что в э гот запас включается в том или ином объеме стоимость товарно-материальных ценностей, а также количество труда, затраченное на их изготовление, потребленная электроэнергия, вода и т.д.
В запасы готовой продукции включается стоимость товаров, законченных в производстве и готовых к реализации„а также стоимость остатков готовой продукции, находящейся на складе. В данном случае издержки на ее изготовление включены полностью. Как правило, готовая продукция определенное время находится на складе, где комплектуется и упаковывается, а затем отгружается потребителю.
Эти затраты тоже добавляются в издержки, идущие на производство продукции.
Если оборотные производственные фонды непосредственно связаны с хозяйственно-производственной деятельностью по выпуску продукции, то фонды обращения с реализацией готовой продукции и получением на этой основе денежных средств в форме доходов предприятия, состоящих из возмещенных утрат, ланных при изготовлении продукции и ее реализации (себестоимость), и прибыли (разница между доходом от реализации продукции и ее себестоимостью). Получение денег конечный этап и главная цель всей производственно-хозяйственной деятельности. Это, как принято говорить, источник жизненной силы предприятия. Из этих средств оплачиваются счета за купленное сырье и материалы (производственные запасы и незавершенное производство), выплачивается заработная плата.
Вычитая сумму наличности из оборотных средств, мы получаем оборотные средства (оборотный капитал), находящиеся в товарно-материальных запасах, неоплаченных счетах и т.д. Возрастание этой части означает отток наличности, что приводит к финансовым затруднениям в деятельности предприятия. Уменьшение же сумм товарно-материальных ценностей способствует притоку денежных средств.
Из этого следует, что эффективное решение выше указанной задачи (полученис денег) предполагает соответствующую организацию хозяйствования с оборотными средствами (оборотным капиталом).
7.2. Кругооборот оборотных средств
Оборотные средства находятся в постоянном движении. На протяжении одного производственного цикла они совершают кругооборот, состоящий из трех стадий (меняя свою форму).
На первой стадии предприятия затрачивают денежные средства на оплату счетов за поставляемые предметы труда (оборотные фонды). На этой стадии оборотные средства из денежной формы переходят в товарную, а денежные средства - из сферы обращения в сферу производства.
На второй стадии приобретенные оборотные фонды переходят непосредственно в процесс производства и превращаются вначале в производственные запасы и полуфабрикаты, а после завершения производственного процесса - в готовую продукцию (товарная форма).
На третьей стадии готовая продукция реализуется, в результате чего оборотные фонды из сферы производства приходят в сферу обращения и снова принимают денежную форму. Эти средства направляются на приобретение новых предметов труда и вступают в новый кругооборот (Д-Т-П-Т-Д-Т-П-Т-Д)и т.д. Но это не означает, что оборотные средства последовательно переходят из одной стадии кругооборота в другую. Напротив, они одновременно находятся во всех трех стадиях кругооборота. Что-то в каждый момент покупается, производится, продается и снова покупается.
Именно это и обеспечивает непрерывность и бесперебойность производства и реализации продукции.
При этом следует иметь в виду, что на каждой стадии время нахождения оборотных средств неодинаково. Оно зависит от потребительских и технологических свойств продукции, особенностей ее производства и реализации. Это можно проиллюстрировать на примере предприятий пищевой промышленности.
Так, например, сезонность, характерная для таких отраслей, как сахарная, масло-жировая, крахмало-паточная и др., вызывает задержку средств на первой (денежной) стадии кругооборота. Длительность производственного цикла и относительно большой объем незавершенного производства в таких отраслях, как винодельческая, пивоваренная, коньячное производство, задерживают средства на второй стадии кругооборота -производственной. Неравномерность реализации продукции в такой отрасли, как плодоовощная, сказывается на отвлечении средств в третьей стадии кругооборота - товарной. Таким образом, из изложенного следует, что общая длительность кругооборота оборотных средств (Т) есть функция времени нахождения этих средств на каждой стадии кругооборота.
На практике это означает, что увеличение длительности кругооборота оборотных средств приводит не только к отвлечению собственных денежных средств, но и к необходимости привлечения дополнительных средств с тем, чтобы не нарушать непрерывность производства.
В условиях рыночных отношений это приводит к снижению конкурентоспособности предприятия в целом, ухудшению его экономики. Поэтому в условиях рыночной системы хозяйствования рациональное обеспечение предприятия оборотными средствами в развитии его экономики имеет чрезвычайно важное значение и обусловливает необходимость соответствующей организации и хозяйствования с этими средствами.
Для характеристики оборачиваемости оборотных средств применяется ряд показателей. Простейшим из них является коэффициент оборачиваемости оборотных средств. Он определяется по формуле
где Р - стоимость реализованной продукции (выручка от реализации) за определенный период;
Ф - средний остаток оборотных средств за тот же период.
Если выручка от реализации, например, берется за год, то и средний остаток оборотных средств также берется за год. При этом среднегодовой остаток оборотных средств за год рассчитывается как средняя хронологическая величина из остатков по месяцам.
Так, если выручка от реализации составила за год 200 млн. руб., а среднегодовой остаток оборотных средств - 40 млн. руб., то коэффициент оборачиваемости оборотных средств составит:
Это означает, что за год каждый рубль, вложенный в оборотные средства, совершил 5 оборотов.
ТЕХНИЧЕСКАЯ ПОДГОТОВКА ПРОИЗВОДСТВА
Для успешного ведения производства необходимо рационально построить производственный процесс в пространстве, т.е. определить исходя из особенностей производства наиболее эффективную структуру предприятия.
-
Производственная структура предприятия
Под производственной структурой предприятия понимается состав образующих его участков, цехов и служб, формы их взаимосвязи в процессе производства продукции.
Производственная структура характеризует разделение труда между подразделениями предприятия и их кооперацию. Она оказывает существенное влияние на технико-экономические показатели производства, на структуру управления предприятием, организацию оперативного и бухгалтерского учета.
Производственная структура предприятия динамична. По, мере совершенствования техники и технологии производства, управления, организации производства и труда совершенствуется и производственная структура.
Совершенствование производственной структуры создает условия для интенсификации производства, эффективного использования трудовых, материальных и финансовых ресурсов, повышения качества продукции.
В отличие от производственной структуры общая структура предприятия включает различные общезаводские службы и хозяйства, в том числе и связанные с культурно-бытовым обслуживанием работников предприятия (жилищно-коммунальное хозяйство, столовые, больницы, поликлиники, детские сады и т.п.).
Элементы производственной структуры
Главными элементами производственной структуры предприятия являются рабочие места, участки и цехи.
Первичным звеном пространственной организации производства является рабочее место.
Рабочим местом называется неделимое в организационном отношении (в данных конкретных условиях) звено производственного процесса, обслуживаемое одним или несколькими рабочими, предназначенное для выполнения определенной производственной или обслуживающей операции (или их группы), оснащенное соответствующим оборудованием и организационно-техническими средствами.
Рабочее место может быть простым и комплексным. Простое рабочее место характерно для производства дискретного типа, где один работник занят использованием конкретного оборудования. Простое рабочее место может быть одно- и многостаночным. В случае использования сложного оборудования и в отраслях с использованием аппаратных процессов рабочее место становится комплексным, так как обслуживается группой людей (бригадой) с определенным разграничением функций при выполнении процесса.
Значение комплексных рабочих мест увеличивается с повышением уровня механизации и автоматизации производства.
Рабочее место может быть стационарным и подвижным. Стационарное рабочее место расположено на закрепленной производственной площади, оснащенной соответствующим оборудованием, а предметы труда подаются к рабочему месту. Подвижное рабочее место передвигается с соответствующим оборудованием по мере обработки предметов труда.
В зависимости от особенностей выполняемых работ рабочие места подразделяются на специализированные и универсальные.
От уровня организации рабочих мест, обоснованного определения их количества и специализации, согласования их работы во времени, рациональности расположения на производственной площади существенно зависят конечные результаты работы предприятия. Именно на рабочих местах осуществляется непосредственное взаимодействие материальных, технологических и трудовых факторов производства. На уровне рабочего места используются основные факторы роста производительности.
Участок производственное подразделение, объединяющее ряд рабочих мест, сгруппированных по определенным признакам, осуществляющее часть общего производственного процесса по изготовлению продукции или обслуживанию процесса производства.
На производственном участке помимо основных и вспомогательных рабочих имеется руководитель мастер участка.
Производственные участки специализируются подетально и технологически. В первом случае рабочие места связаны между собой частичным производственным процессом по изготовлению определенной части готового продукта; во втором по выполнению одинаковых операций.
Участки, связанные между собой постоянными технологическими связями, объединяются в цеха.
Цех наиболее сложная система, входящая в производственную структуру, в которую входят в качестве подсистем производственные участки и ряд функциональных органов. В цехе возникают сложные взаимосвязи: он характеризуется достаточно сложной структурой и организацией с развитыми внутренними и внешними взаимосвязями.
Цех является основной структурной единицей крупного предприятия. Он наделяется определенной производственной и хозяйственной самостоятельностью, является обособленной в организационном, техническом и административном отношении производственной единицей и выполняет закрепленные за ним производственные функции. Каждый цех получает от заводоуправления единое плановое задание, регламентирующее объем выполняемых работ, качественные показатели и предельные затраты на запланированный объем работ.
Специализация цехов
Цехи предприятия могут быть организованы по технологическому, предметному и смешанному типам.
При технологическом типе структуры цех специализируется на выполнении однородных технологических операций (например, на текстильном предприятии прядильный, ткацкий, отделочный цехи; на машиностроительном штамповочный, литейный, термический, сборочный).
Технологическая специализация приводит к усложнению взаимосвязей между участками и цехами, к частым переналадкам оборудования. Расположение оборудования по группам, выполняющим однородные работы, приводит к встречным перевозкам предметов труда, увеличивает протяженность транспортировки, затраты времени на переналадку оборудования, длительность производственного цикла, объем незавершенного производства, оборотных средств, существенно усложняет учет. Вместе с тем технологическая специализация цехов имеет и определенные положительные моменты: она обеспечивает высокую загрузку оборудования и отличается относительной простотой руководства производством, занятым выполнением одного технологического процесса.
Построение цехов по технологическому принципу характерно для предприятий, производящих разнообразную продукцию.
При предметном типе цехи специализируются на изготовлении определенного изделия или его части (узла, агрегата), применяя при этом различные технологические процессы.
Подобное построение создает возможность организации предметно-замкнутых цехов, в которых выполняются разнообразные технологические процессы. Такие цехи имеют законченный цикл производства.
Предметная специализация имеет значительные преимущества по сравнению с технологической. Более глубокая специализация рабочих мест дает возможность применения высокопроизводительного оборудования, обеспечивает рост производительности труда и повышает качество продукции. Замкнутое построение производственного процесса в пределах цеха уменьшает затраты времени и средств на транспортировку, приводит к сокращению длительности производственного цикла. Все это упрощает управление, планирование производства и его учет, приводит к повышению технико-экономических показателей работы. Закрепление за цехом цикла производства определенного изделия повышает ответственность коллектива цеха за качество и сроки выполнения работ.
Однако при незначительном объеме производства и трудоемкости выпускаемых изделий предметная специализация может оказаться неэффективной, так как приводит к неполной загрузке оборудования и производственных площадей.
Следует иметь в виду, что даже в условиях значительного масштаба производства и устойчивой номенклатуры выпуска предметная специализация цехов полностью не вытесняет технологическую. Особенности технологического процесса приводят к тому, что заготовительные цехи (например, литейный, штамповочный) строятся по технологической специализации.
Наряду с технологической и предметной структурами на промышленных предприятиях широкое распространение получил смешанный (предметно-технологический) тип производственной структуры. Этот тип структуры часто встречается в легкой промышленности (например, обувное и швейное производство), в машиностроении и ряде других отраслей.
Смешанный тип производственной структуры имеет ряд преимуществ: он обеспечивает уменьшение объемов внутрицеховых перевозок, сокращение длительности производственного цикла изготовления продукции, улучшение условий труда, высокий уровень загрузки оборудования, рост производительности труда, снижение себестоимости продукции.
Совершенствование производственной структуры должно идти по пути расширения предметной и смешанной специализации, организации участков и цехов при высокой загрузке оборудования, централизации вспомогательных подразделений предприятия.
Функциональные подразделения предприятия
Промышленные предприятия могут быть организованы с полным и неполным циклом производства. Предприятия с полным циклом производства имеют все необходимые цехи и службы для изготовления сложного изделия, а на предприятиях с неполным циклом производства отсутствуют некоторые цехи, относящиеся к определенным стадиям производства.
Государственные и международные стандарты и системы качества
Комплексный метод основывается на применении групповых, обобщенных, интегральных показателей. Так, например, расчет группового показателя по техническим параметрам производится по формуле:
где Тm групповой показатель конкурентоспособности по техническим параметрам; gi, единичный показатель конкурентоспособности по i-му техническому параметру; i, весомость i-го параметра в общем наборе технических параметров, характеризующих потребность; n число параметров, участвующих в оценке.
Расчет группового показателя по экономическим параметрам производится по формуле:
где 3, З0 полные затраты потребителя соответственно по оцениваемой продукции и образцу.
Полные затраты потребителя состоят из единовременных затрат на приобретение продукции (Зе) и средних суммарных затрат на эксплуатацию продукции:
где Т срок службы; i год по порядку.
Смешанный метод позволяет выразить способность товара конкурировать в определенных условиях рынка через комплексный количественный показатель коэффициент конкурентоспособности:

где i число параметров продукции, участвующих в оценке; j = 1, ..., п виды продукции; а, коэффициент важности (значимости, предпочтительности) для покупателя i го параметра по сравнению с остальными существенными параметрами продукции; Пij конкурентное значение i-го параметра для j-й продукции; Пin желаемое значение i-го параметра, которое позволяет полностью удовлетворить потребность покупателя: i= + 1, если увеличение параметра Пij способствует росту конкурентоспособности продукции (например, надежности, производительности изделия и т.д.); i = 1, если увеличение значения параметра Пij приводит к снижению конкурентоспособности продукции (например, вес, габарит, цена и др.)
Учитывая, что сумма «удельных весов» каждого из рассматриваемых показателей в общем объеме по каждому виду продукции не может превышать единицы, или 100%, необходимым условием для коэффициента значимости а, является:
Коэффициент конкурентоспособности учитывает лишь ту группу свойств товара, которая служит базой для расчета. Тем не менее, при его расчете рассматривается большая совокупность характеристик, которые в значительной мере определяют предпочтение покупателя: цена продажи, цена потребления, престиж фирмы, мощность, производительность, ресурс и др. Для перевода качественных показателей в количественные обычно принимается шкала перевода в баллах от 1 до 5.
Показатель конкурентоспособности важен при проектировании требуемых свойств изделия, сравнении потенциальных возможностей производства продукции, установления цены, а также при решении других проблем.
Показатели качества продукции важны для определения всей совокупности свойств и характеристик изделия. Будучи продуктом труда, качество товара неразрывно связано как со стоимостью, так и с потребительной стоимостью. Потребителя интересует не природа продукта, а то, что продукт становится товаром, обладает потребительной стоимостью. В момент совершения акта купли-продажи покупатель подтверждает соответствие данного товара условиям рынка.
Чем большее количество покупателей подтвердило такое соответствие, тем выше будет конкурентоспособность продукции.
Происходящий в России переход к рынку заставляет по-новому взглянуть на проблему качества и конкурентоспособности продукции. Если не сегодня, то завтра развитой конкурентный рынок будет диктовать уровень и динамику развития качества продукции. В связи с этим перед производителями продукции возникают задачи планирования и управления качеством, учета затрат, выбора более экономичного варианта достижения определенного его уровня и наилучшего способа организации процесса обеспечения качества.
Все эти проблемы могут успешно решаться лишь при едином подходе к понятию качества, способов и методов его измерения. Такой подход может быть обеспечен лишь через внедрение системы стан дартов качества на предприятии.
- Государственные и международные стандарты и системы качества
В новых условиях решение проблемы качества в России во многом будет зависеть от формирования системы стандартов качества как основы нормативно-правовой базы организации и функционирования систем управления качеством. Повышение их роли и значения в мировой практике вызвано стремлением выработки единого подхода к понятию «качественная продукция».
Понятие стандартов и стандартизации
Стандартизация деятельность, направленная на достижение упорядочения в определенной области посредством установления положений для всеобщего и многократного применения в отношении реально существующих и потенциальных задач. Эта деятельность проявляется в разработке, опубликовании и применении стандартов.
Стандарт нормативный документ, разработанный на основе соглашения большинства заинтересованных сторон и утвержденный признанным органом (иди предприятием), в котором устанавливаются общие принципы, характеристики, требования и методы, касающиеся определенных объектов стандартизации, направленных на упорядочение и оптимизацию работы в определенной области.
Объектом стандартизации могут быть продукция, услуги и процессы, имеющие перспективу многократного воспроизведения и (или) использования. В стандартах регламентируются методы измерения, контроля и испытания продукции. Стандартизации подлежит и сам порядок разработки, согласования, утверждения и регистрации стандартов и технических условий. Именно в стандартах устанавливаются требования к выпускаемой продукции, соблюдение которых позволяет считать эту продукцию качественной.
Положения стандартов государственной системы стандартизации Российской Федерации применяются всеми предприятиями и организациями независимо от форм собственности. Стандарты могут носить как рекомендательный характер, так и обязательные требования ко всем объектам стандартизации.
Система стандартов в Российской Федерации
С переходом к рынку изменился сам подход к организации и использованию системы стандартов. Организация работ по стандартизации стала более демократичной, проводится на добровольной основе (с участием всех заинтересованных сторон), а применение стандартов в большей части носит рекомендательный характер. Однако требования государственных стандартов РФ подлежат обязательному выполнению, если это связано с безопасностью жизни и здоровья людей, их имущества, охраны окружающей среды и т.д.
Обязательными к применению на предприятиях и в организациях России являются также требования стандартов, которые включены в договоры на производство и поставку проектируемой продукции, и требования, предусмотренные законодательными актами Российской Федерации.
В Российской Федерации существуют следующие нормативные документы по стандартизации:
государственные стандарты РФ (ГОСТ);
отраслевые стандарты (ОСТ);
технические условия (ТУ);
стандарты предприятий и объединений, ассоциаций, концернов;
стандарты научно-технических обществ и инженерных союзов, ассоциаций и других общественных организаций.
Государственная система стандартизации регламентирует процессы построения, изложения, и распространения стандартов в Российской Федерации и включает пять основополагающих стандартов:
1) ГОСТ Р 1.0-92 Г.С.С. РФ. Основные положения;
2) ГОСТ Р 1.2-92 Г.С.С. РФ. Порядок разработки государственных стандартов;
3) ГОСТ 1.3-92 Г.С.С. РФ. Порядок согласования, утверждения и регистрации технических условий;
4) ГОСТ Р. 1.4-92 Г.С.С. РФ. Стандарты предприятия. Общие положения;
5) ГОСТ Р. 1.5-92. Г.С.С. РФ.
Общие требования к построению, изложению, оформлению и содержанию стандартов.
Существующая система стандартов преследует правовые и социально-экономические цеди. Во-первых, в законодательном порядке обеспечивается защита интересов потребителя и государства в вопросах качества продукции, охраны окружающей среды, безопасности жизни и здоровья населения. Во-вторых, гарантируется техническое единство при разработке, производстве, эксплуатации продукции.
В-третьих, система стандартов служит нормативно-технической базой социально-экономических программ и проектов.
Государственные стандарты обеспечивают также рациональное использование ресурсов за счет оптимизации всех видов работ, проводимых в системе качества, развития унификации, взаимозаменяемости продукции и процессов. Немаловажное значение имеет и дальнейшее развитие комплексности, которая предусматривает охват всех стадий производства, процессов и услуг системой стандартов в целях обеспечения стабильного выпуска продукции заранее определенного уровня качества.
Создание в России системы стандартов, соответствующих требованиям рыночной экономики, позволяет:
значительно расширить круг заказчиков и потенциальных пользователей стандартов, существенно повысить заинтересованность и изменить мотивации их разработки, усиливая внимание к проблеме снижения издержек производства;
превратить стандарты в практический инструмент борьбы за рынок потребителей;
стимулировать в интересах потребителей использование стандартов для усиления конкуренции между производителями за более высокие потребительские свойства товаров;
превратить стандарты в продукт демократического согласования (консенсуса) заинтересованных участников, что позволяет избегать диктата и обеспечивает заинтересованность в применении и соблюдении требований стандартов;
Грузооборот складывается из отдельных грузовых потоков.
Поступающие материалы подвергаются так называемому входному контролю, в ходе которого выявляется соответствие сопроводительным документам по массе, объему, количеству, а также характеристикам, установленным техническими условиями, стандартами, образцами и нашедшим отражение в договоре на поставку. Результаты входного контроля заносят в акт приема материалов, а в случае невыполнения договорных условий, обнаружения порчи, недостачи, нарушения целостности упаковки, отсутствия пломб составляется акт претензий с предъявлением транспортным организациям или поставщикам.
Принятый материал необходимо подготовить к передаче в цеха или хранению. Подготовка к хранению осуществляется путем сортировки, маркировки с последующим затариванием.
При размещении и хранении материалов на складах необходимо соблюдать следующие правила:
в процессе хранения должна быть обеспечена качественная и количественная сохранность материалов с поддержанием заданной температуры, влажности, с соблюдением противопожарных требований;
при размещении материалов следует исходить из удобства выполнения приемно-отпускных операций;
при размещении необходимо обеспечить быстроту проверки наличия материалов;
размещение материалов должно сопровождаться полным использованием полезной площади и кубатуры склада и эффективным использованием подъемно-транспортных средств.
Учет материалов ведется на специальных карточках учета с применением компьютера с указанием максимального и страхового запасов, а также движения каждого вида хранимых материалов.
С целью обеспечения сохранности материалов на складах систематически проводится инвентаризация путем подсчета, обмера, взвешивания с последующей сверкой полученных данных с учетными, а в случае отклонений составляется акт с указанием причины и виновных лиц.
Материалы отпускаются со складов на основе лимитно-заборных карт, которые оформляются в соответствии с принятой схемой учета.
Материально-техническое снабжение подразделений предприятия
В деле организации материально-технического снабжения предприятия немаловажную роль играют так называемые лимиты, которые представляют собой своеобразную норму расхода сырья, материала, необходимую и достаточную для производства качественной продукции. Лимиты на все виды сырья и материалов, потребляемые на предприятии, составляют соответствующие технические службы предприятия совместно с отделом главного технолога и представителями органов материально-технического снабжения. При этом они руководствуются основными документами предприятия по решаемым проблемам с учетом соблюдения правил замены дорогостоящих природных материалов на синтетические и всемерной экономии материальных ресурсов.
Лимит всегда устанавливается с учетом величины производственной программы предприятия и технического состояния производства. Разработанные лимиты находят отражение в сводной ведомости в соответствии с номенклатурой потребляемых материалов и утверждаются руководством предприятия. В силу сказанного этот документ приобретает статус распоряжения, обязательного к исполнению всеми производственными службами.
На основе лимитов и норм расхода сырья и материалов на предприятии организуется система обеспечения цехов и подразделений материально-техническими ресурсами.
В практике встречаются следующие схемы обеспечения цехов; на основе стандартплана и заявок. Первая схема нашла распространение в массовых и крупносерийных производствах, а вторая на основе заявок в серийных и единичных.
Поскольку массовому и приближающемуся к нему по своим технико-экономическим показателям крупносерийному производству свойствен устойчивый производственный процесс, номенклатура выпускаемой продукции и номенклатура потребляемых материалов, то система обеспечения на основе стандартплана носит активный характер. Для системы обеспечения мелкосерийного, единичного, а тем более индивидуального производства свойствен пассивный характер. Это объясняется особенностями организации производства и номенклатурой потребляемых материалов.
При такой организации материально-технического обеспечения цеха получают материалы, заполняя лимитно-заборные карты или разовые накладные и, как правило, самостоятельно доставляют их в цеховые кладовые.
При активной системе обеспечения доставка материалов в цеха осуществляется заводской службой транспортного хозяйства по разработанному графику, что создает возможность существенно снизить расходы на содержание разветвленной сети заводского материально-технического обеспечения путем прямой, минуя заводские складские помещения, поставки материалов на рабочие места.
Вместе с тем возможен и другой способ организации системы материально-технического обеспечения цехов. Он состоит в том, что в обязанность материально-технических складов входит наряду с организацией хранения и учета товарно-материальных ценностей еще и подготовка их к запуску в производственный процесс. Это, конечно, приводит к удорожанию содержания складского хозяйства через создание участков по предварительной подготовке материалов и сырья.
Выбор той или иной системы, типа, характера материально-технического обеспечения зависит от специфики функционирования производства, его организационно производственного типа и местонахождения предприятия.
-
Транспортное хозяйство
Основной задачей организации и функционирования транспортного хозяйства на предприятии является своевременное и бесперебойное обслуживание производства транспортными средствами по перемещению грузов в ходе производственного процесса.
Виды транспорта
По своему назначению транспортные средства могут быть подразделены на внутренний, межцеховой и внешний транспорт.
Внешний транспорт обеспечивает связь предприятия, его материально-технических складов, складов готовой продукции с предприятиями-поставщиками, контрагентами, станциями железнодорожного, водного и воздушного транспорта.
Межцеховой транспорт выполняет функции связующего звена между цехами предприятия, его складами, службами и другими производственными объектами.
Внутрицеховой транспорт перемещает грузы в цехе в ходе производственного процесса, осуществляя движение сырья, материалов и комплектующих деталей и узлов не только от склада к рабочим местам, но и между рабочими местами, а также контрольными постами.
На предприятиях находят применение, различные виды транспортных средств, начиная с железнодорожного, автомобильного, подъемно-транспортного и кончая конвейерами разнообразного вида, типа и назначения.
Структура транспортного хозяйства зависит от многих факторов, основными из которых являются следующие: объем внутризаводских и внешних перевозок, тип производства, масса и габариты изготавливаемой продукции, уровень кооперированных связей. Эти факторы влияют на состав подразделений службы транспортного хозяйства предприятия. Если, например, в ходе производства возникает необходимость частого использования в качестве внепроизводственного транспорта железнодорожных или автомобильных средств, то следует отдельно сформировать соответствующие цеха, кроме того, целесообразно создать цеха или участки безрельсового транспорта и электротранспорта с соответствующей ремонтной базой, техническим обслуживанием и заправкой.
К транспортным средствам непрерывного действия относятся конвейеры, которые нашли широкое распространение на предприятиях, относящихся к массовому и крупносерийному производству. Транспортное хозяйство подчинено главному инженеру, и кроме вышеназванных цехов в него входят диспетчерское бюро и группа учета.
Грузооборот и грузопоток
В организационном отношении работа транспортного хозяйства строится на использовании таких понятий, как грузооборот и грузопоток.
Грузооборот представляет собой общее количество грузов, перемещаемых на территории завода, цеха, склада в единицу времени в течение учетного периода. Грузооборот складывается из отдельных грузовых потоков. Грузовым потоком называется количество грузов, транспортируемых в единицу времени между двумя смежными пунктами.
Величина грузовых потоков зависит от организационно-производственного типа производства и может быть рассчитана в условиях постоянной номенклатуры и объемов производства аналитическим методом на основе норм расхода материалов и величины производственной программы. В условиях быстро и часто изменяющейся номенклатуры и объема производства можно применить метод специального обследования и накопления статистической информации о грузопотоках с последующей их обработкой или путем выбора типового представителя перемещаемых грузов и расчета на его основе показателя грузопотока. В конечном итоге, какой бы из названных методов ни был применен, данные о грузопотоке и грузообороте должны служить для определения необходимого количества транспортных средств и достижения их постоянной загрузки.
О рациональности функционирования транспортного хозяйства можно судить на основе равномерного грузооборота. Этой же цели служат шахматная таблица грузооборота и схема грузопотоков.
Шахматная таблица грузооборота строится в разрезе отдельных цехов, складов, а затем делается сводная таблица по предприятию в целом на основе данных о поступившей массе грузов и вывезенной с учетом отходов, потерь, порчи и т.д.
Имущество, принадлежащее предприятию
Если имущество страхуется на срок до 9 месяцев, платежи исчисляются за каждый месяц к размере 10% годовой ставки, а при страховании на 1011 месяцевв размере годовой ставки. По договорам, заключенным на срок менее 1 месяца, платежи исчисляются как за полный месяц.
По договору страхования организация несет ответственность за гибель или повреждение имущества в результате стихийных бедствий, необычных для данной местности морозов и снегопадов, пожаров, взрывов, затоплений, аварий средств транспорта, отопительных систем, прекращения подачи электроэнергии в результате пожара, аварии и т.п.
Имущество, принадлежащее предприятию, может быть застраховано в его полной (балансовой) стоимости либо в определенной его доле. Если имущество принято на страхование в определенной доле, то все объекты страхования считаются застрахованными в такой же доле от их стоимости.
Имущество, полученное предприятием по договору имущественного найма или принятое им от других организаций и населения для ремонта, перевозки и т.п., принимается на страхование в размере полной его стоимости.
Страховая сумма по договорам страхования устанавливается исходя из максимально возможного ущерба.
При страховании имущества, принадлежащего предприятию, в полной стоимости оно считается застрахованным в размере:
полной балансовой стоимости (здания, сооружения, машины, оборудование и другие основные средства);
фактической стоимости (товарно-материальные ценности, как собственного производства, так и приобретенные предприятием);
экспертной оценки на основании представленных страхователем документов (экспонаты выставок, коллекции, авторские работы и т.п.);
фактически произведенных материальных и трудовых затрат к моменту страхового случая исходя из утвержденных норм и расценок на строительные работы (объекты в стадии незавершенного строительства).
Если заключается основной договор страхования, то ставки устанавливаются в следующих размерах в процентах от страховой суммы:
для нефтеперерабатывающих, нефтегазодобывающих, горнодобывающих, нефтехимических, химических, горно-обогатительных, металлургических, деревообрабатывающих, целлюлозно-бумажных, транспортных, торговых, энергетических предприятий, в том числе предприятий атомной энергетики - 0,15%, с ответственностью за кражу 0,3%;
для машиностроительных, строительных и других предприятий 0,1 %, с ответственностью за кражу 0,2%;
для транспортных средств 1,0%, с ответственностью за угон 2,0%.
Если заключается договор страхования части имущества, в том числе при страховании экспонатов выставок, принимаются другие ставки для предприятий всех видов деятельности:
по страхованию имущества (за исключением транспортных средств) 1,0%, с ответственностью за кражу 2,0%;
по страхованию транспортных средств 2,0%, с ответственностью за угон 3,0%.
Страхование отгруженной с предприятия продукции на период ее перевозки. В данном случае предприятие-изготовитель само или по просьбе покупателя страхует товары на период их транспортировки. Как правило, сумма страховки соответствует номинальной стоимости товаров или превосходит ее на 1030% исходя из сложности обстоятельств по транспортировке из-за различных неблагоприятных условий.
Страхование транспортных средств осуществляется предприятием на случай пожара, транспортных аварий и других обстоятельств. Особенностью страхования в данном случае является то, что страховой полис покрывает не только убытки самого предприятия в связи с полной или частичной утратой транспортного средства, но и ущерб, нанесенный третьим лицам.
Компенсационное страхование. Обычно выполняет роль возмещения определенных сумм рабочим и служащим предприятия в случае частичной или полной потери трудоспособности в результате несчастного случая на производстве, заболевания или смерти.
Индивидуальные предприниматели и коммерческие предприятия отчисляют из своих доходов установленную сумму в страховой фонд, однако, не менее выгодно оформлять компенсационное страхование работников предприятия в страховых компаниях. Использование этого вида страхования заставляет администрацию предприятия принимать эффективные меры для улучшения условий труда, снижения уровня травматизма и заболеваемости. Если условия труда не отвечают установленным стандартам, нормам и требованиям, то предприятие будет вынуждено платить компаниям повышенные страховые премии, что, естественно, ведет к ухудшению финансового положения и снижению уровня конкурентоспособности предприятия на рынке.
Медицинское страхование. Страховой фонд направляется предприятием на основе медицинского страхового полиса в различного рода лечебные заведения, обеспечивающие медицинское обслуживание работников предприятия. Страхование в области здравоохранения обычно покрывает все или большую часть расходов по пребыванию работников предприятия в больницах, на оплату счетов лечащих врачей и хирургических операций.
Страхование кредита. В отечественной практике страховых организаций страхование кредита производится с 1990 г. Страхование осуществляется на добровольной основе в двух формах:
добровольное страхование ответственности заемщика за непогашение кредита;
добровольное страхование риска непогашения кредита. В первом случае страхователем выступает заемщик, объектом страхования является его ответственность перед банком, выдавшим кредит, за своевременное и полное погашение кредитов (включая проценты за использование кредита). Во втором случае страхователем выступает банк, объектом страхования является ответственность всех или отдельных заемщиков перед банком за своевременное и полное погашение кредита и процентов за пользование кредитами.
Выводы
1. Предприятия для осуществления своей деятельности пользуются услугами банков, страховых компаний, фондовых и товарных бирж, инвестиционных фондов и других организаций. Формы и виды взаимоотношений определяются характером проводимых операций.
2. Банк осуществляет безналичный платежный оборот, открывает расчетный и текущий счета предприятия, осуществляет кассовые операции и кредитование, проводит валютные операции, оказывает лизинговые, факторинговые и трастовые услуги.
3. Биржи позволяют осуществлять куплю-продажу без наличия самого товара при заключении сделки. В качестве товаров фигурируют средства производства и предметы потребления (товарная биржа), ценные бумаги (фондовая биржа), иностранная валюта (валютная биржа).
4. Для снижения степени риска предприятие может пользоваться услугами страховых организаций. Страхованию подлежат здания, сооружения, машины и оборудование, транспортные средства, объекты незавершенного производства, готовая продукция, товары, сырье, материалы и другое имущество, работники предприятия, кредиты и т.д.
Термины и понятия
Текущий счет предприятия
Расчетный счет предприятия
Банковское кредитование
Коммерческое кредитование
Кредитный договор
Кредитоспособность предприятия
Валютные счета предприятия
Лизинг
Факторинг
Доверительное управление (траст)
Фьючерсы
Опционы
Кассовые сделки
Срочные сделки
Акции
Облигации
Казначейские обязательства государства
Депозитные сертификаты
Страхование
Вопросы для самопроверки
1. Каковы формы и виды взаимодействия предприятия с банками?
2. В чем состоят особенности кредитных отношений предприятий и банков?
3. Каковы функции товарных бирж? В чем состоят особенности различных видов биржевых сделок?
4. Каковы функции фондовых бирж?
5. В чем состоят особенности отношений предприятия со страховыми компаниями?
Издержки производства образуют нижнюю границу цены.
внешних факторов.
При разработке ценовой политики обычно решаются следующие вопросы:
в каких случаях необходимо использовать при разработке ценовую политику;
когда необходимо отреагировать с помощью цены на рыночную политику конкурентов;
какими мерами ценовой политики должно сопровождаться введение на рынок нового продукта;
по каким товарам из продаваемого ассортимента необходимо изменить цены;
на каких рынках надо проводить активную ценовую политику, изменить ценовую стратегию;
как распределить во времени определенные ценовые изменения;
какими ценовыми мерами можно усилить эффективность сбыта;
как учесть в ценовой политике имеющиеся внутренние и внешние ограничения предпринимательской деятельности и ряд других.
Процесс разработки и реализации ценовой политики предприятия можно представить схематично ( 14.1).
14.1. Этапы разработки и реализации ценовой политики предприятия
Постановка целей ценовой политики
На начальном этапе разработки ценовой политики предприятию необходимо решить, каких именно хозяйственных целей оно стремится достичь с помощью выпуска конкретного товара. Обычно выделяют три основные цели ценовой политики: обеспечение сбыта (выживаемости), максимизация прибыли, удержание рынка.
Обеспечение сбыта (выживаемости) главная цель предприятий, осуществляющих свою деятельность в условиях жесткой конкуренции, когда на рынке представлено много производителей аналогичного товара. Выбор этой цели возможен в тех случаях, когда спрос потребителей по цене эластичен, а также в тех случаях, когда предприятие ставит задачу добиться максимального роста объема сбыта и увеличения совокупной прибыли путем некоторого снижения дохода с каждой единицы товара. Предприятие может исходить из предположения, что увеличение объема реализации сократит относительные издержки производства и сбыта, что дает возможность увеличить сбыт продукции.
С этой целью предприятие занижает цены использует так называемые цены проникновения специально занижаемые цены, способствующие расширению сбыта и захвату большой доли рынка.
Постановка цели максимизации прибыли означает, что предприятие стремится максимизировать текущую прибыль. Оно производит оценку спроса и издержек применительно к разным уровням цен и выбирает такую цену, которая обеспечит максимальное возмещение затрат.
Цель, преследующая удержание рынка, предполагает сохранение предприятием существующего положения на рынке или благоприятных условий для своей деятельности, что требует принятия различных мер для предотвращения спада сбыта и обострения конкурентной борьбы.
Указанные выше цели ценовой политики обычно являются долгосрочными, рассчитанными на относительно продолжительный период времени. Кроме долгосрочных предприятие может ставить и краткосрочные цели ценовой политики. Обычно к ним относятся следующие:
стабилизация рыночной ситуации;
снижение влияния изменения цен на спрос;
сохранение существующего лидерства в ценах;
ограничение потенциальной конкуренции;
повышение имиджа предприятия или продукта;
стимулирование сбыта тех товаров, которые занимают слабые позиции на рынке, и т.д.
Закономерности спроса. Исследование закономерностей формирования спроса на производимый продукт является важным этапом в разработке ценовой политики предприятия. Закономерности спроса анализируются с помощью кривых спроса и предложения, а также коэффициентов эластичности по цене.
Чем менее эластично реагирует спрос, тем более высокую цену может установить продавец товара. И наоборот, чем эластичнее реагирует спрос, тем больше оснований использовать политику снижения цен на производимую продукцию, так как это приводит к увеличению объемов сбыта, а следовательно, и доходов предприятия.
Цены, рассчитанные с учетом эластичности спроса по цене, можно рассматривать как верхнюю границу цены.
Для оценки чувствительности потребителей к ценам используются и другие методы, позволяющие определить психологические, эстетические и иные предпочтения покупателей, влияющие на формирование спроса на тот или иной товар.
Оценка издержек. Для осуществления продуманной ценовой политики необходимо анализировать уровень и структуру издержек, оценивать средние издержки на единицу продукции, сопоставлять их с планируемым объемом производства и существующими на рынке ценами. Если на рынке действует несколько конкурирующих предприятий, то необходимо сравнить издержки предприятия с издержками основных конкурентов. Издержки производства образуют нижнюю границу цены.
Они определяют возможности предприятия в области изменения цен в конкурентной борьбе. Цена не может опускаться ниже определенной границы, отражающей издержки производства и приемлемый для предприятия уровень прибыли, в противном случае производство является экономически невыгодным.
Анализ цен и товаров конкурентов. Разницу между верхней границей цены, определяемой платежеспособным спросом, и нижней границей, образуемой издержками, иногда называют полем игры предпринимателя по установлению цен. Именно в этом интервале обычно и устанавливается конкретная цена на тот или иной производимый предприятием товар.
Уровень устанавливаемой цены должен быть сопоставим с ценами и качеством аналогичных или подобных товаров.
Изучая продукцию конкурентов, их ценовые каталоги, опрашивая покупателей, предприятие должно объективно оценить свои позиции на рынке и на этой основе корректировать цены на продукцию. Цены могут быть выше, чем у конкурентов, если производимый товар превосходит их по качественным характеристикам, и наоборот, если потребительские свойства товара уступают соответствующим характеристикам товаров конкурентов, то цены должны быть ниже. Если предлагаемый предприятием товар аналогичен товарам основных конкурентов, то его цена будет близка к ценам товаров конкурентов.
Ценовая стратегия предприятия
Предприятие разрабатывает ценовую стратегию исходя из особенностей товара, возможностей изменения цен и условий производства (издержек), ситуации на рынке, соотношения спроса и предложения.
Предприятие может выбирать пассивную ценовую стратегию, следуя за «лидером в ценах» или основной массой производителей на рынке, или попытаться реализовать активную ценовую стратегию, учитывающую прежде всего его собственные интересы. Выбор ценовой стратегии, кроме того, во многом зависит от того, предлагает ли предприятие на рынке новый, модифицированный или традиционный товар.
При выпуске нового товара предприятие выбирает, как правило, одну из следующих ценовых стратегий.
Стратегия «снятия сливок». Суть ее заключается в том, что с самого начала появления нового товара на рынке на него устанавливается максимально высокая цена в расчете на потребителя, готового купить товар по такой цене. Снижение цен имеет место после того, как спадет первая волна спроса.
Это позволяет расширить зону продажи привлечь новых покупателей.
Такая ценовая стратегия имеет ряд преимуществ:
высокая цена позволяет легко исправить ошибку в цене, так как покупатели более благосклонно относятся к снижению цены, нежели к ее повышению;
высокая цена обеспечивает достаточно большой размер прибыли при относительно высоких издержках в первый период выпуска товара;
повышенная цена позволяет сдерживать покупательский спрос, что имеет определенный смысл, так как при более низкой цене предприятие не смогло бы полностью удовлетворить потребности рынка в связи с ограниченностью своих производственных возможностей;
высокая первоначальная цена способствует созданию имиджа качественного товара у покупателей, что может облегчить его реализацию в дальнейшем при снижении цены;
повышенная цена способствует увеличению спроса в случае престижного товара.
Основным недостатком такой стратегии ценообразования является то, что высокая цена привлекает конкурентов потенциальных производителей аналогичных товаров. Стратегия «снятия сливок» наиболее эффективна при некотором ограничении конкуренции. Условием успеха является также наличие достаточного спроса.
Стратегия проникновения (внедрения) на рынок. Для привлечения максимального числа покупателей предприятие устанавливает значительно более низкую цену, чем цены на рынке на аналогичные товары конкурентов. Это дает ему возможность привлечь максимальное число покупателей и способствует завоеванию рынка. Однако такая стратегия используется только в том случае, когда большие объемы производства позволяют возмещать общей массой прибыли ее потери на отдельном изделии.
Реализация такой стратегии требует больших материальных затрат, чего не могут позволить себе мелкие и средние фирмы, поскольку они не располагают возможностями быстро расширить производство. Стратегия дает эффект при эластичном спросе, а также в том случае, если рост объемов производства обеспечивает снижение издержек.
Стратегия психологической цены основана на установлении такой цены, которая учитывает психологию покупателей, особенности их ценовосприятия. Обычно цена определяется в размере чуть ниже круглой суммы, у покупателя при этом создается впечатление очень точного определения затрат на производство и невозможности обмана, более низкой цены, уступки покупателю и выигрыша для него.
Износ и амортизация основных фондов
Он планирует разработку восьми стандартов, четыре из которых уже введены в действие: 1) рыночная стоимость как база оценки; 2) базы оценки, отличные от рыночной стоимости, 3) оценка для целей финансовой отчетности и сметной документации; 4) оценка ссудного обеспечения, залога и долговых обязательств. В 1995 г. Российское общество оценщиков вступило в МКСОИ и получило право на использование и распространение МСО. Вместе с тем РОО ведет разработки собственных стандартов профессиональной оценки имущества.
По международному стандарту рыночная стоимость объекта определяется как цена, на которой на определенный момент времени должны сойтись покупатель и продавец, при условии, что у каждого из них было достаточно времени для исследования других рыночных возможностей и альтернативных вариантов. Понятие рыночной стоимости предполагает, что уровень цены определяется путем переговоров на открытом и конкурентном рынке. Рыночная оценка лежит в основе определения восстановительной стоимости основных фондов. Вместе с тем в стандартах предусматривается использование оценок, основанных на нерыночных методах расчета, таких, как стоимости при существующем использовании, оценки собственности специального назначения, собственности с ограниченным рынком и др.
Определяется содержание и порядок применения рекомендуемой системы оценок (стоимости): инвестиционная, страховочная, налогооблагаемая, утилизационная, ликвидационная, амортизационная, специальная, эффективная, справедливая и проч.
4. Износ и амортизация основных фондов
Понятие износа основных фондов
Основные фонды служат в течение нескольких лет и подлежат замене (возмещению) лишь по мере их физического или морального износа.
Износ основных фондов частичная или полная утрата основными фондами потребительских свойств и стоимости, как в процессе эксплуатации, так и при их бездействии. Различают физический и моральный износ основных фондов.
Физический износ средств труда выражается в потере ими технических свойств и характеристик в результате эксплуатации, атмосферных воздействий, условий хранения.
Моральный износ основных фондов снижение стоимости действующих основных фондов в результате появления новых их видов, более дешевых и более производительных. Различают две формы морального износа. Первая проявляется в потере стоимости оборудованием в результате повышения производительности труда в отраслях, изготавливающих их. Новые машины становятся более дешевыми, а действующие морально обесцениваются, экономически устаревают. Моральный износ второй формы выражается в потере стоимости средством труда в результате появления новых, более производительных машин, лучших по технико-экономическим параметрам.
Моральный износ это экономическая категория. На основе исследования закономерностей физического и морального износа определяется период экономического снашивания данного вида средства труда, который лежит в основе утверждаемых нормативных сроков службы основных фондов.
Амортизация основных фондов
Для своевременной замены устаревших средств труда, без ущерба для предпринимателя, необходимо, чтобы стоимость выбывающих фондов была полностью перенесена на готовую продукцию. В амортизационном фонде должны быть накоплены необходимые средства. Только при этом условии процесс воспроизводства основного капитала может осуществляться планомерно и эффективно.
Амортизация процесс постепенного перенесения стоимости основных фондов по мере износа на производимую продукцию, превращения ее в денежную форму и накопления финансовых ресурсов в целях последующего воспроизводства основных фондов. По экономической сущности амортизация это денежное выражение части стоимости основных фондов, перенесенных на вновь созданный продукт.
Амортизационный фонд особый денежный резерв, предназначенный для воспроизводства основных фондов. Он является финансовым ресурсом для капитальных вложений. Амортизационный фонд предназначен для простого воспроизводства основных фондов, для замены изношенных средств новыми экземплярами, равными по стоимости.
Однако в условиях высоких темпов научно-технического прогресса амортизация служит источником расширенного воспроизводства основных фондов. В процессе воспроизводства основных фондов моменты их простого возобновления и расширения гармонично объединены, и их разграничение носит условный характер.
Норма амортизации
Норма амортизации является главным рычагом амортизационной политики государства. Посредством нормы регулируется скорость оборота основных фондов, интенсифицируется процесс их воспроизводства. В каждый период развития экономики уровень норм не может быть одинаковым.
Норма амортизации представляет собой отношение годовой суммы амортизации к первоначальной стоимости средства труда, выраженное в процентах. Расчет нормы амортизации (Н) производится по следующей формуле:
где Ф первоначальная стоимость данного вида основных средств, руб.; Л ликвидационная стоимость данного вида основных средств, руб.; Т нормативный срок службы (амортизационный период), устанавливаемый государством, лет.
Уровень нормы амортизации определяется принятым нормативным сроком службы различных видов основных фондов. Выбор его величины обусловливается рядом факторов: темпы и направления технического прогресса, возможности производственного аппарата по выпуску новых видов техники, соотношения между потребностями и ресурсами в различных видах основных средств и т.п. Расчеты сроков амортизации по конкретным видам основных фондов учитывают многие факторы, отражающие их специфические качества и назначение.
Так, амортизационные периоды для многих видов сооружений и оборудования добывающей промышленности определяются периодом исчерпания сырьевых ресурсов, а для средств, работающих в агрессивной среде, сроком их физического износа и т.д.
В бывшем СССР и в Российской федерации нормы амортизации пересматривались 8 раз (кроме локальных уточнений и пересмотров): в 1923, 1930, 1938, 1949, 1951, 1955, 1963, 1975 и 1997 гг.
В годы революции и гражданской войны процесс воспроизводства основных фондов оказался прерванным, амортизационный фонд исчез. Практика начисления амортизации была восстановлена в годы нэпа. Но норм амортизации установлено не было, начисление производилось произвольно. В 1923 г. ВСНХ утвердил первые нормы амортизации, дифференцированные по трем группам основных фондов: для каменных построек и капитальных сооружений 3,5%, для деревянных построек, машин и оборудования 5-10%, для транспортных средств, инвентаря и инструмента 10-15%.
Нормы устанавливались в процентах к первоначальной стоимости.
В 1930 г. были утверждены новые нормы амортизации. Основная их особенность заключалась в том, что они были дифференцированы по конкретным видам основных средств в соответствии с расширенной классификацией основных фондов. В нормах были учтены сменность и загрузка оборудования.
Дифференцированные нормы 1930 г, применялись до 1963 г., хотя они в незначительной степени отражали моральный износ. В 1928 г. были введены среднеотраслевые нормы амортизации. Они действовали наряду с дифференцированными нормами 1930 г. и служили лимитом, определяющим объем амортизационного фонда по отрасли и каждому предприятию. Распределение начисленного фонда для включения в себестоимость каждого вида продукции производилось по нормам, установленным в 1930 г. Вторая важнейшая особенность норм 1938 г. выделение норм амортизации, направляемой на капитальный ремонт.
Был создан целевой фонд финансовых ресурсов для капитального ремонта, что было обусловлено необходимостью обеспечения должного технического состояния средств труда и их сохранности. Финансирование капитального ремонта за счет себестоимости, осуществляемое до 1938 г., не обеспечивало решения этих проблем.
В 1949, 1951 и 1955 гг. среднеотраслевые нормы пересматривались практически без изменения общего уровня норм, который составлял 5,05,5% стоимости основных фондов. Уточнялись нормы по отдельным отраслям, а также доля капитального ремонта. В этот период образовался и постепенно углубился разрыв между действовавшими дифференцированными нормами 1930г, и утверждаемыми среднеотраслевыми нормами, что отрицательно отразилось на воспроизводстве основных фондов и на всей экономике.
Важной вехой в амортизационной политике явилась разработка и введение новых норм с января 1963 г. Их основные особенности: установление единых норм для всего народного хозяйства и отмена среднеотраслевых норм; более широкое дифференцирование норм по видам, группам и объектам; более полный учет морального износа; рост норм амортизации (средняя норма увеличилась на 24%); увеличение было произведено, главным образом, за счет доли реновации, норма на капитальный ремонт возросла всего на 1%. В долю капитального ремонта были включены затраты на средние ремонты и модернизацию средств труда. Таким образом, нормы 1963 г. значительно ускорили оборот основных фондов, увеличили реновационную часть амортизационного фонда, ограничили масштабы капитального ремонта, оптимизировали весь воспроизводственный процесс основных фондов.
Японская и американская модели управления качеством
Такая стратегия в формировании необходимого уровня качества содержит элемент «запаздывания» и используется далеко не всегда.
В последние годы первый подход становится более актуальным, так как имеет достаточно весомые преимущества.
Во-первых, он обеспечивает большую централизацию и координацию всех стадий проектирования и производства изделий. Во-вторых, этот подход выводит предприятие на рубежи мирового уровня качества или его опережения. В связи с этим предприятие может пользоваться всеми преимуществами глобальной интеграции:
снижением издержек, связанных с использованием международного разделения труда;
ускоренными сроками внедрения на рынок;
возможностью применения информационных технологий;
доступностью источников сырья;
использованием совершенных технологий, изобретений и т.д. В-третьих, достигается «скачок» уровня качества, который обеспечивает предприятию преимущества высшего порядка в более длительном временном интервале.
Крупные фирмы могут применять также и смешанную стратегию, действуя глобально, где это возможно, и локально, где необходимо. На государственном уровне практика финансирования и кредитования должна быть направлена на отбор высокоэффективных проектов, разработку и освоение новой прогрессивной продукции, предоставление предприятиям льгот по платежам в бюджет в случае освоения высокоэффективной продукции.
Современная стратегия финансирования заключается в том, что высокое качество и удовлетворение потребителя должно сопровождаться снижением издержек производства при снижении степени риска и повышении эффективности вложений средств на эти цели.
Реализация политики в области качества происходит через сформированную систему качества, главной функцией которой является управление качеством.
-
Японская и американская модели управления качеством
В качестве критериев в зарубежных моделях используются возможности реализации системы, получаемые результаты и их сопоставление с затратами, связанные с функционированием системы. Главной особенностью реализации моделей США и Японии является их ориентация на потребителя.
Опыт зарубежных предприятий
В американских компаниях базовым элементом в формировании качества продукции является анализ требований потребителя. Система обратной связи построена таким образом, что конечным элементом процесса регулирования качества также становятся требования потребителя. Выбранные показатели качества достигают своих планируемых значений в процессе производства.
Эксплуатация, техническое обслуживание и гарантийный ремонт дают дополнительную информацию о степени удовлетворения потребностей в данном виде продукции.
Характерной особенностью функционирования японских систем управления качеством является всестороннее обучение персонала предприятия методам бездефектного труда, жесткий контроль за соблюдением технологии, привлечение рабочих к управлению качеством продукции с помощью кружков качества.
Наибольшее распространение на промышленных предприятиях Европы, Америки и Японии получили две концепции: концепция TQC (англ. Total Quality Control) и СWQC (англ. Company-Wide Quality Control). Концепция TQC предполагает построение хорошо структурированного функционального подразделения, специализирующегося на проблемах качества.
Вся полнота ответственности за качество продукции возлагается на высший уровень руководства фирмы. Концепция CWQC основана на децентрализации функций управлении и предполагает участие всего персонала фирмы в управлении качеством, включая рядовых работников.
Современный подход обусловливает всестороннее удовлетворение требований потребителей. Базируясь на системном подходе, основной акцент в управлении качеством смещается на реализацию мер, гарантирующих выпуск продукции стабильного уровня качества, при этом обеспечение качества рассматривается как главная стратегическая задача предпринимательства. Этот принцип был реализован в концепции стандартов ИСО серии 9000.
Методы обеспечения качества
В процессе обеспечения качества обычно используются экономико-математические методы: линейное, нелинейное, динамическое программирование, планирование эксперимента, имитационное моделирование, теория игр, теория массового обслуживания, теория расписаний, функционально-стоимостный анализ, метод Тагути и метод структурирования функции качества (СФК).
Метод Тагути базируется на понятии функции потери качества, которая характеризует меру связи между качеством и потерями от его снижения. Этот метод направлен на создание устойчивых технологических и управленческих процессов системы качества, позволяющих быстро реагировать на изменение потребностей рынка и охватывать весь жизненный цикл изделия.
Метод структурирования функции качества разработан доктором Мицуно (Токийский технологический институт) и заключается в формировании функции качества с помощью «голоса покупателей». Постепенно запросы покупателей воплощаются и конкретные свойства продукции. Строится объемная матрица, позволяющая соединить желаемые свойства изделия с потенциальными возможностями предприятия и потенциальными возможностями предприятий-конкурентов.
Этот метод указывает наиболее короткий путь к потребителю и снижает затраты по достижению намеченного уровня качества.
При управлении улучшением качества должен реализовываться цикл: планируй выполняй контролируй регулируй. Методическим средством для этих целей служит круговой цикл Деминга, или цикл РDСА: Р план; D выполнение работ в соответствии с планом; С проверка соответствия полученного результата запланированному; Апринятие необходимых мер в случае отклонения полученного результата от запланированного. После достижения определенных результатов этот цикл повторяется, но на более высоком уровне.
Круг Деминга это метод управления, позволяющий руководству предприятия постоянно двигаться в направлении достижения главной цели, получая важные промежуточные результаты, контролируя свои действия.
В планировании качества продукции широкое применение находит программно-целевой подход с использованием методов сетевого планирования с разграничением стратегических и оперативных функций управления качеством и их раздельное финансирование, разработка нескольких ситуационных планов (многовариантность планирования) для обеспечения большей вероятности их осуществления в меняющихся условиях рынка.
Большое значение придается методам оптимизации работ по обеспечению качества и функционированию системы управления качеством, что в значительной степени снижает издержки. Особое место по степени использования занимают статистические методы обеспечения качества. Методы прикладной статистики дают возможность анализировать и интерпретировать получаемую информацию о потребительском спросе, нарушениях системы качества, динамики качества изделий в разных сегментах рынка, тем самым, повышая надежность процесса получения стабильного уровня качества изделий и совершенствование процесса управления.
В целом применение статистических методов сводится к анализу, прогнозу, выработке и реализации решения по проблемам качества. Эти методы классифицируются на три основные группы: графо-аналитические методы, методы анализа статистических совокупностей и экономико-математические методы. На передовых предприятиях Японии, США, ФРГ, Англии и других стран графо-аналитическими методами владеют не только инженерно-технические работники, но и рабочие.
С помощью простых методов диаграмм Паретто, графиков разброса, графиков временного ряда, метода стратификации, причинно-следственных диаграмм, гистограмм и контрольных карт можно решать до 95% всех проблем качества.
Выводы
1. Качество продукции является важнейшим показателем деятельности предприятия. Качество совокупность свойств и характеристик продукции или услуги, которые обусловливают ее способность удовлетворять выявленные или предполагаемые потребности.
2. Повышение качества продукции в значительной мере определяет выживаемость предприятия в условиях рынка, рост эффективности производства, экономию всех видов ресурсов, используемых на предприятии.
3. С понятием качества тесно связано и понятие технического уровня продукции, основанного на сопоставлении значений показателей технического совершенства оцениваемой продукции с соответствующими базовыми показателями.
4. Управление качеством должно осуществляться системно, т.е. на предприятии должна функционировать система управления качеством, представляющая собой организационную структуру, четко определяющую ответственность, процедуры, процессы и ресурсы, необходимые для управления качеством.
5. Важным элементом в системе управления качеством изделий является стандартизация. Главная задача стандартизации создание системы нормативно-технической документации, определяющей прогрессивные требования к продукции, а также контроль за правильностью использования этой документации.
6. Конечная оценка качества изготовления продукции осуществляется с помощью сертификации, которая означает испытание продукции, выдачу сертификата соответствия, маркировку продукции (знак соответствия) и контроль за состоянием последующего производства с помощью контрольных испытаний.
Термины и понятия
Качество продукции
Система качества
Конкурентоспособность продукции
Стандарт
Стандартизация
Сертификация
Вопросы для самопроверки
1. Дайте определение понятий «качество» и «конкурентоспособность продукции». В чем их взаимосвязь, особенности и отличия?
2. Какие показатели включаются в систему показателей качества?
3. Какие показатели характеризуют конкурентоспособность продукции?
4. В чем состоят цели и задачи стандартизации продукции?
5. Каковы особенности управления качеством продукции?
6. В чем состоят цели и задачи сертификации продукции? Каковы способы ее проведения?
7. Каковы особенности американской и японской моделей управления качеством?
8. Какие методы используются в управлении качеством?
9. Каковы задачи управления качеством продукции на предприятии?
Эффективность портфельных инвестиций
В современных условиях возникает необходимость постоянного обновления основных фондов, что заставляет предприятия производить ускоренное списание оборудования с целью образования накоплений для последующего вложения их в инновации. Вследствие этого амортизация приобретает собственные формы существования и движения и перестает быть выражением физического износа основного капитала: она в этом случае превращается в инструмент регулирования инвестиционной деятельности. Ускоренная амортизация осуществляется двумя способами. Первый заключается в искусственном сокращении нормативных сроков службы и соответствующем увеличении нормы амортизации.
Второй способ характеризует возможность отдельных предприятий в течение ряда лет производить амортизационные отчисления в повышенном размере с понижением их в последующие годы.
Кроме самофинансирования огромную роль играет такой мощный источник капитала, как рынок ценных бумаг, хотя в нашей стране он используется еще далеко не полностью. Кроме того, повышается роль заемных средств, особенно банковских кредитов.
Важную роль в определении источников инвестиций и их структуры играет деятельность государства. Посредством финансовой (налогово-амортизационной) и денежно-кредитной политики оно направляет инвестиционную активность в нужное русло либо стимулирует ее, либо препятствует ей.
4. Эффективность портфельных инвестиций
Портфельные (финансовые) инвестиции вложение средств в акции, облигации и другие ценные бумаги, выпущенные частными компаниями и государством.
Цели портфельных инвестиций
Стандартными целями инвестирования в ценные бумаги являются получение процента, сохранение капитала, обеспечение прироста капитала (на основе роста курсовой стоимости ценных бумаг). Если главным считается получение процента, то предпочтение может быть отдано портфелям, состоящим из низколиквидных и высокорискованных ценных бумаг новых компаний, способных, однако, если удачно сложатся дела, принести высокие проценты. И наоборот, если наиболее важным для инвестора является обеспечение сохранности и приращения капитала, то в портфель будут включены ценные бумаги, обладающие большой ликвидностью, выпущенные известными компаниями или государством, с небольшими рисками и заранее ожидаемыми средними или небольшими процентными выплатами.
Для повышения эффективности финансовых вложений средств предприятия ценные бумаги анализируют с позиций их инвестиционного качества, т.е. оценивается, насколько конкретная ценная бумага ликвидна, низкорискованна при стабильной курсовой стоимости, способна приносить проценты, превышающие или находящиеся на уровне среднерыночного процента. Считается, что по мере снижения рисков, которые несет на себе данная бумага, растет ее ликвидность и падает доходность. Графически это можно изобразить следующим образом ( 17.3)
1:
17.3. Зависимости ликвидности и доходности ценной бумаги от уровня риска
Существует шкала изменения инвестиционных качеств по видам ценных бумаг, построенная в соответствии со старшинством в удовлетворении претензий по ценным бумагам, степенью гарантированности и величиной процентных выплат по ним и помогающая инвестору провести инвестиционный анализ интересующей его бумаги ( 17.4):
Понижение ликвидности и гарантированности выплат; повышение рисков и доходности.
Облигации, Облигации Привилегированные Простые Опционы
Обеспеченные необеспеченные акции акции
залогом залогом
Понижение ликвидности и гарантированности выплат;
повышение рисков и доходности
17.4. Шкала изменения инвестиционных качеств по видам ценных бумаг
Таким образом, платой за возрастание риска, понижение гарантированности процентных выплат и конечных возмещений денежных ресурсов, вложенных в ценную бумагу, является повышение уровня процента при переходе от обеспеченных залогом к необеспеченным облигациям и далее к привилегированным и простым акциям.
Риски финансовых инвестиций,
Финансовые инвестиции сопровождаются следующими видами рисков: капитальный риск (общий риск на все вложения в ценные бумаги, риск того, что инвестор не сможет их вернуть, не понеся потерь), селективный риск (риск неправильного выбора ценных бумаг для инвестирования в сравнении с другими видами бумаг, риск, связанный с неверной оценкой инвестиционных качеств ценных бумаг), риск ликвидности (риск, связанный с возможностью потерь при реализации ценной бумаги из-за изменения оценки ее качества), инфляционный риск (риск того, что при высокой инфляции доходы, получаемые инвесторами от ценных бумаг, обесценятся с точки зрения реальной покупательной способности быстрее, чем вырастут), валютный риск (риск, связанный с вложениями в валютные ценные бумаги, обусловленный изменениями курса иностранной валюты) и ряд других видов.
Все риски инвестирования можно разделить на две группы:
риски общеэкономические, связанные с экономическим и политическим положением страны инвестора. Сюда входит вероятность правительственных жестких экономических мер, существенно ограничивающих или вовсе прекращающих право частной собственности, развитие неконтролируемых инфляционных процессов, возможность политических потрясений и другие форс-мажорные обстоятельства;
коммерческие риски, связанные с конкретным объектом инвестирования, в том числе возможность понижения курсовой стоимости; отсутствие прибыли и (или) дивидендов; в связи с несовершенным законодательством вероятность нечистоплотности и прямого мошенничества со стороны организаторов комиссии; банкротство фирмы или ликвидация объекта инвестирования и т.д. Для погашения таких рисков используется инвестиционный портфель.
Портфель ценных бумаг
Главной целью формирования инвестиционного портфеля является максимально возможное взаимопогашение рисков, связанных с той или иной формой вложения капитала, обеспечивая, таким образом, надежность вклада и получение наибольшего гарантированного дохода.
Для создания портфеля ценных бумаг достаточно инвестировать денежные средства в какой-либо один вид финансовых активов. Но на практике такой тип портфеля встречается довольно редко; гораздо более распространен диверсифицированный портфель, т.е. портфель, состоящий из нескольких видов ценных бумаг.
Такой тип портфеля стал преобладающим благодаря своему свойству приносить стабильный положительный результат.
Можно выделить 3 основных свойства диверсифицированного портфеля:
1. Под диверсификацией понимается инвестирование средств в несколько видов активов.
2. Диверсифицированный портфель представляет собой комбинацию разнообразных ценных бумаг, составленную и управляемую инвестором.
3. Применение диверсифицированного портфельного подхода к инвестициям позволяет максимально снизить вероятность неполучения дохода.
Диверсификация портфеля снижает риск в инвестиционном деле, но не исключает его полностью. Последний остается в виде так называемого недиверсифицированного риска, который исходит из общего состояния экономики.
Важным моментом получения прибыли из инвестированных средств является успешное управление портфелем. Управление портфелем подразумевает искусство распоряжаться набором различных видов ценных бумаг, чтобы они не только сохраняли свою стоимость, но и приносили постоянный доход, не зависящий от каких-либо рисков.
Все составные части процесса управления, портфелем тесно связаны между собой; изменение какой-либо одной из них неизменно приведет к изменению остальных.
Как правило, выделяют два основных способа управления портфелями активный и пассивный.
Активное управление характеризуется прогнозированием размера возможного дохода от инвестированных средств. Активная тактика предполагает, с одной стороны, пристальное отслеживание и приобретение высокоприбыльных ценных бумаг, а с другой максимально быстрое избавление от низкоэффективных активов. Такой тактике соответствует метод активного управления, получивший название свопинг, что обозначает постоянный обмен ценных бумаг через финансовый рынок.
Суть пассивного управления состоит в создании хорошо диверсифицированных портфелей с заранее определенным уровнем риска и продолжительном удерживании портфелей в неизменном состоянии. Пассивные портфели характеризуются низким оборотом, минимальным уровнем расходов и низким уровнем специфического риска.
Также немаловажную роль играет процесс управления обновлением портфеля. Среди факторов, анализ которых влияет на принятие решения о проведении обновления портфеля, можно выделить следующие:
цикл и конъюнктура рынков ценных бумаг и альтернативных вложений;
фундаментальные макроэкономические изменения (ожидаемый уровень роста капитала, инфляции, процентных ставок, курсов валют, промышленный рост или спад);
финансовое состояние конкретного эмитента;
требования инвесторов по изменению управления предприятием, выплате дивидендов, погашению кредитов и т.д.;
политические и психологические аспекты инвестирования. После определения структуры портфеля необходимо выбрать схему ее дальнейшего изменения. Для этого может быть выбрано несколько подходов.
Рассмотрим наиболее часто используемый.
Определяется удельный вес каждого типа ценных бумаг в портфеле и поддерживается постоянным в течение последующего времени.
Эластичность предложения зависит от ряда факторов
На каждом рынке существует много продавцов и покупателей, каждый из которых планирует свои действия независимо от других. В результате на рынке возможны ситуации, когда количество товаров, которое потребители планируют купить, больше или меньше, чем количество товаров, которое производители товаров желают продать по существующей цене.
Если же суммарное количество товара, предложенное производителями, совпадает с количеством товара, которое потребители планируют купить, то на рынке существует равновесие.
3.3. Рыночное равновесие: Е точка равновесия; РЕ равновесная цена.
Равновесие достигается под влиянием конкурентной среды рынка, иначе говоря, на конкурентном рынке равновесная цена и соответствующее ей количество товара определяются рыночным спросом и предложением. При этом на рынке отсутствуют тенденции изменения цен и количества товара.
Как показано на 3.3, любой избыток товара, т.е. товарный излишек, толкает цену товаров вниз, к точке равновесия Е. Любой товарный дефицит, нехватка товаров на рынке будут толкать цену товаров вверх, к точке равновесия спроса и предложения Е. В конечном итоге установится равновесная цена РE по которой будет продаваться (QE-товаров на рынке).
Способность конкурентных сил спроса и предложения устанавливать цену на уровне, на котором решения о продаже и покупке взаимно соответствуют, называется уравновешивающей функцией цен. Равновесная цена разгружает рынок, не оставляя обременительный товарный излишек у продавцов и не создавая; нехватки товаров для потенциальных покупателей.
3.4. Равновесная цена при изменяющемся спросе и неизменном предложении (а) и при изменяющемся предложении и неизменном спросе (б)
Если спрос растет, т.е. при неизменном предложении товаров происходит смешение всей кривой спроса вверх, то устанавливается новый, более высокий уровень равновесной цены и новый, больший объем продаж товаров. И, наоборот, при снижении спроса, но при неизменном предложении кривая спроса смещается влево вниз, что ведет к установлению более низкого уровня равновесной цены и меньшего объема продаж ( 3.4).
Равновесие - закон для каждого конкурентного рынка; благодаря нему поддерживается равновесие экономической системы в целом.
Рыночный механизм обеспечивает согласование интересов товаропроизводителей (продавцов) и потребителей (покупателей): под влиянием изменений спроса производители изменяют объемы производства, а цены гибко реагируют на эти изменения. На рынке существует конкуренция, также влияющая на спрос и предложение. На рынке происходит процесс приспособления друг к другу потребителей и производителей, и каждый раз, когда равновесие на рынке по тем или иным причинам нарушается, для изменившихся условий складываются новая рыночная цена и новый объем производства.
Эластичность, Понятие эластичности играет важную роль в изучении возможных реакций продавцов и покупателей на изменение цен.
Эластичность спроса относительно цены (по цене) показывает относительное изменение объема спроса под влиянием изменения цены на 1%:
где Ed ценовая эластичность спроса; Q0, Q1 спрос до и после изменения цены; Р0, Р1 цена до и после изменения. Спрос называют эластичным, если Ed 1 (спрос растет или падает быстрее цены), и неэластичным, если Ed 1. Если изменение цены не вызывает никакого изменения спроса, то Ed = 0.
Факторами, влияющими на ценовую эластичность спроса, являются:
1) наличие товаров-субститутов: чем больше товаров-заменителей, тем эластичнее спрос на товар;
2) качество товара: чем выше качество товара, тем менее эластичен спрос на него;
3) степень необходимости товара: спрос на большинство предметов первой необходимости неэластичен, на предметы роскоши эластичен;
4) удельный вес блага в бюджете потребителя: чем выше удельный вес, тем, как правило, выше ценовая эластичность спроса;
5) размеры запаса: чем он больше, тем более эластичен спрос;
6) ожидания потребителей;
7) размер дохода.
Для более точного учета последнего фактора нередко используется показатель эластичности спроса по доходу:

где еI эластичность спроса по доходу; Q1, Q0, спрос до и после изменения дохода; I1, I0 доход до и после изменения. Для определения степени влияния на величину спроса на данный товар изменения цены другого блага рассчитывается показатель перекрестной эластичности спроса:

|где еc перекрестная эластичность спроса; Q1, Q0 спрос на . благо А до и после изменения цены на благо Б; Р1, Р0, цена блага Б до и после изменения.
Для товаров-субститутов коэффициент перекрестной эластичности будет положительным, для комплиментарных благ отрицательным.
Эластичность предложения по цене показывает относительное изменение объема предложения под влиянием изменения цен на 1%:

где Е, ценовая эластичность предложения; Q1 ,и Q0 предложение до и после изменения цены; Р1, и Р0 цены до и после изменения.
Так же, как спрос, предложение может быть абсолютно эластичным (график прямая, параллельная горизонтальной оси) и абсолютно неэластичным (график прямая, параллельная вертикальной оси).
Эластичность предложения зависит от ряда факторов:
1) от возможности длительного хранения товара и стоимости хранения товара. Для товара, который не может храниться длительное время (например, свежая рыба), эластичность предложения будет низкой. То же самое относится и к дорогостоящей продукции;
2) от особенностей производственного процесса. Если производитель товара может легко расширить его производство при повышении цены либо переключиться на выпуск другой продукции при понижении его цены, то предложение этого товара является эластичным;
3) от продолжительности периода существования изменившихся цен. Производитель не в состоянии мгновенно реагировать на изменение цены, так как ему требуется определенное время, чтобы нанять дополнительных рабочих, закупить оборудование, сырье и т.д. (расширение производства) либо уволить рабочих, рассчитаться по банковскому кредиту и т.д. (сокращение производства).
Предложение, поскольку оно связано с изменением производственного процесса, медленнее реагирует на изменение цены, чем спрос. Поэтому в определении показателя эластичности фактор времени является определяющим.
Обычно при оценке протяженности временных периодов выделяют краткосрочный, среднесрочный и долгосрочный период.
Краткосрочным называется период, в течение которого нет возможности для осуществления фирмой каких-либо изменений в объеме выпускаемой продукции. Среднесрочный период дает возможность увеличения или сокращения объема производства на имеющихся производственных мощностях. В течение долгосрочного периода возможно расширение или сокращение предприятием своих производственных мощностей.
С ростом протяженности периода эластичность предложения будет расти.
Спрос предприятия
Предприятие предъявляет спрос на различные факторы производства необходимые для производства экономических благ элементы. Спрос предприятия на ресурсы зависит от спроса потребителей на продукцию предприятия: чем выше спрос на продукцию, тем выше спрос на ресурсы. С этой точки зрения спрос предприятия носит производный характер.
Основные положения о закономерностях формирования спроса предприятия сформулированы в теории фирмы. Напомним ее основные постулаты.
Экономическая деятельность предприятия может быть описана производственной функцией:
Q = f(F1, F2,… Fn )
где Q объем производства, F1,,… Fn количества использованных факторов производства.
Производственная деятельность предприятия может сопровождаться увеличением использования одного фактора или одновременно нескольких факторов производства. С ростом использования одного фактора (при неизменности остальных) наступает момент, когда дополнительное применение фактора ведет к снижению сначала относительного, а затем и абсолютного объемов выпуска продукции. Увеличение использования одного фактора приводит к последовательному снижению его отдачи в этом заключается закон убывающей предельной производительности (закон убывающий отдачи).
При одновременном применении различных факторов может иметь место убывающая, постоянная и возрастающая отдача. При постоянной отдаче увеличение объема продукции осуществляется теми же темпами, что и увеличение затрат, при возрастающей объем выпуска увеличивается более быстрыми темпами, чем прирост затрат всех использованных для производства ресурсов.
Предельная производительность ресурса (прирост продукта, полученный в результате использования дополнительной единицы переменного фактора) является мерой его вклада в продукт. Расширение использования ресурса продолжается до тех пор, пока его предельная производительность является положительной величиной. Если от натуральных показателей (объема производства) перейти к денежным (ценам и доходу или выручке от продажи продукта), то получим, что ресурс будет использоваться в производстве до тех пор, пока предельная доходность ресурса (прирост дохода, полученный от вовлечения в производство дополнительной единицы) будет больше (или равен) его предельным издержкам.
Предприятие, разрабатывая рыночную стратегию и производственную программу, может перебирать разные варианты комбинации ресурсов и объема выпуска продукции.
Этапы разработки хозяйственной стратегии предприятия
Существенное влияние имеет здесь и экономическая политика правительства, эффективность государственного регулирования рынка.
В современных условиях важное значение имеет государственное стимулирование структурной перестройки промышленности, обеспечение интенсивного межотраслевого перелива труда и капитала, преимущественное развитие новейших отраслей (индустриальная политика с выделением приоритетных отраслей).
Для реального повышения эффективности производства одной заинтересованности руководства предприятий в инвестировании в расширенное воспроизводство основного капитала, ориентации на стратегии первого типа недостаточно, как недостаточно просто приобрести технику, чтобы получить конечный продукт. Для этого нужно еще организовать процесс внедрения и использования производственного оборудования, а уровень и динамика эффективности производства будут зависеть от качества внутрифирменного планирования, от систем и структур управления, форм организации и стимулирования труда. Развитие и совершенствование внутрифирменного планирования, в свою очередь, находятся в зависимости от того, какой тип хозяйственных стратегий является доминирующим.
При доминировании стратегий первого типа развитие осуществляется более интенсивными темпами, требует вовлечения все большего объема ресурсов (прежде всего кадровых), а при преобладании стратегий второго типа развитие происходит более медленными темпами.
- Этапы разработки хозяйственной стратегии предприятия
Каждое предприятие независимо от сферы его деятельности и масштабов производства должно планировать свою деятельность. Планирование - это процесс формирования целей, определения приоритетов, средств и методов их достижения. Процесс планирования охватывает ряд направлений.
Одно из них прогнозирование, т.е. разработка планов по достижению стратегических целей предприятия (перспективное, стратегическое планирование).
Стратегическое планирование сосредоточено на высшем уровне управления и имеет целью определение тенденций развития различных сторон деятельности предприятия, расчет и выбор наиболее благоприятных условий его деятельности. Отличительной чертой стратегического планирования является его гибкость, обусловленная подвижностью плановых горизонтов, т.е. периодов времени, на которые вырабатывается перспективная политика. Для определения планового горизонта применяются различные критерии: жизненный цикл продукта; цикл коренного изменения спроса на выпускаемую продукцию; период времени, необходимый для реализации стратегических целей, и проч.
Плановый горизонт зависит от масштабов предприятия, его размеров.
Главная задача стратегического планирования выработка стратегии, структуры, объемов и направлений капитальных вложений исходя из конечных финансовых и рыночных целей предприятия. Смысл стратегического планирования заключается в том, чтобы повысить обоснованность инвестиций, производственно-сбытовых и научно-технических решений на базе применения современных методов анализа рынка. Стратегическое планирование в условиях рынка нацелено не просто на увеличение объема производства и улучшение качества продукции, а на изучение запросов и потребностей конкретных групп потребителей.
Составление прогноза
В качестве одного из инструментов стратегического планирования наибольшее развитие получила практика формирования целевых производственно-сбытовых программ. Так, в конце 70-х начале 80-х гг. стратегическое планирование распространилось на поиск новых, более прибыльных рынков сбыта и приобрело так называемую ресурсную направленность. Ресурсная направленность состоит в разработке комплексных планов, в соответствии с которыми, все виды ресурсов направляются на достижение конечных целей корпорации (способствуют долгосрочному коммерческому успеху фирмы). При этом используется ситуационное планирование, при котором руководству предприятия предоставляется несколько вариантов плана стратегического развития фирмы.
Эти планы характеризуются разными приоритетами в распределении ресурсов и неодинаковым соотношением риска и гарантированной выгоды. Долгосрочные прогнозы составляют на период более 5 лет. Они важны и необходимы предприятиям при проведении крупномасштабных НИОКР, в отраслях со сложной технологией.
Стратегическое планирование тесно переплетается, а может и сливаться с прогнозированием НТП.
Анализ внешней среды
Занимаясь стратегическим планированием, предприятию необходимо всегда учитывать влияние внешней среды. Анализ внешней среды дает предприятию время для прогнозирования возможностей, время для составления плана на случай непредвиденных обстоятельств, время для разработки системы раннего предупреждения на случай возможных угроз и время на разработку стратегий, которые могут превратить прежние угрозы в выгодные возможности. Угрозы и возможности, с которыми сталкивается предприятие, обычно выделяют в семь областей; экономика, политика, рынок, технология, конкуренция, международное положение и социальное поведение ( 12.1).
12.1. Факторы внешней среды
Анализ факторов внешней среды, правильное и полное представление о сильных и слабых сторонах предприятия позволяют составить прогноз сбыта, являющийся основой всего внутрифирменного планирования.
Большинство предприятий готовят краткосрочный прогноз сбыта на финансовый или календарный год. Этот прогноз используется в качестве основы для планирования потребностей в финансах, рабочей силе, иных ресурсах, для составления смет издержек производства и т.п. Он разбивается на полугодовые и квартальные периоды. Период среднесрочных прогнозов составляет от 2 до 5 лет.
Среднесрочные прогнозы помогают учесть воздействие предполагаемых изменений в экономической конъюнктуре, численности, составе населения и проч.
Прогнозирование сбыта
Существует много различных методов прогнозирования сбыта. Среди них наиболее распространенными являются:
1. Опрос группы руководителей различных служб и отделов предприятия. В таком случае собственно прогноз сбыта представляет собой нечто среднее из взглядов и наметок опрашиваемой группы руководителей. Подобный метод составления прогноза наиболее подходит для новых предприятий, не имеющих достаточного опыта для использования других методов.
Этот способ применим и тогда, когда отсутствуют детализированные расчеты состояния рынка, нет полной статистики о тенденции сбыта тех или иных видов изделий.
2. Обобщение оценок отдельных торговых агентов предприятия и руководителей его сбытовых отделений. В этом случае анализ рынка дополняется мнением тех, кто непосредственно ощущает реакцию потребителей, острее всего чувствует малейшие колебания потребительских предпочтений. Принимается в расчет и региональный аспект: отдельные работники или руководители сбыта могут предоставить дополнительную информацию об особенностях реализации тех или иных изделий в разных регионах.
Точность оценок при таком методе выше, чем при первом. Но организация подобной работы сопряжена с большими накладными расходами (прежде всего дополнительными затратами на оплату труда специалистов и аналитиков, обработку данных и т.д.). И хотя фирмы, которые дорожат своей маркой (особенно ведущие промышленные компании с производством мирового класса или стремящиеся стать таковыми), никогда не скупятся на них, часто требуется разработка специальных процедур контроля и бюджетирования этих расходов.
В противном случае точность прогноза может негативно отразиться на финансовом положении, предприятия.
3. Прогнозирование на базе прошлого оборота. В этом случае данные о сбыте за прошлый год берутся в качестве основы для предсказания вероятностей сбыта в будущем. Предполагается, что оборот следующего года превысит или будет ниже оборота нынешнего года на некоторую величину. Обычно берется процентное увеличение к данным за предыдущий год по так называемому принципу от достигнутого:
Оборот Оборот Оборот нынешнего года
следующего = нынешнего X
года года Оборот прошлого года
Данный метод прогнозирования пригоден для отраслей и рынков со стабильной хозяйственной конъюнктурой, слабо меняющимся ассортиментом товаров и услуг, незначительными колебаниями товарооборота, с вялотекущим НТП.
4. Анализ тенденций, циклов и факторов, вызывающих изменения в объеме сбыта. Прогноз сбыта основывается на выявлении вероятностных тенденций и статистически значимых факторов, лежащих в их основе. Обычно в расчет принимаются следующие основные факторы: долгосрочные тенденции роста предприятия, циклические колебания деловой активности, сезонные изменения сбыта, возможные нерегулярные влияния технических сдвигов, появление на рынке новых конкурентов и т.д.
Этот метод наиболее предпочтителен при составлении долгосрочных прогнозов. Статистические закономерности и тенденции, выявленные на протяжении многих лет, нивелируют действие случайных и второстепенных факторов. Вместе с тем с помощью этого метода трудно прогнозировать сбыт на период менее 35 лет, поскольку слишком мала выборка, массив обрабатываемой статистической информации, а также проявление действия циклических колебаний.
Этот метод наиболее применим в капиталоемких отраслях промышленности.
Классификация по принадлежности капитала
Большая часть государственных предприятий сосредоточена в добывающих отраслях.
Классификация по принадлежности капитала
По принадлежности капитала и, соответственно, по контролю над предприятием выделяют национальные, иностранные и совместные (смешанные) предприятия.
Национальными называют предприятия, капитал которых принадлежит предпринимателям своей страны. Национальная принадлежность определяется также местоположением и регистрацией основной компании. Например, крупнейшая в мире компания по производству конторского оборудования и компьютеров IBM при международном характере деятельности является национальной фирмой США, так как она зарегистрирована в США и лишь 4% ее акций находятся у иностранных держателей, остальные сосредоточены в руках американских предпринимателей.
Иностранными называют предприятия, капитал которых принадлежит иностранным предпринимателям, полностью или в определенной части обеспечивающих их контроль.
Организация и деятельность иностранных компаний в стране местонахождения определяются законодательством каждой страны, которое устанавливает порядок регистрации компаний, их правовое положение, размер налогообложения, порядок перевода прибылей, предел владения акциями иностранцами, подчинение трудовому законодательству данной страны и др.
Иностранные предприятия образуются либо путем создания акционерного общества, либо путем скупки контрольных пакетов акций местных фирм, ведущих к возникновению иностранного контроля. Последний способ получил в современных условиях наибольшее распространение, поскольку он позволяет использовать уже имеющийся аппарат, связи, клиентуру и знания рынка местными фирмами. Иностранные компании обычно регистрируются в стране местонахождения в качестве филиалов, дочерних или ассоциированных компаний заграничных головных фирм.
Смешанными по капиталу называют предприятия, капитал которых принадлежит предпринимателям двух или более стран. Регистрация смешанного предприятия осуществляется в стране одного из учредителей на основе действующего в ней законодательства, что определяет местонахождение его штаб-квартиры. Смешанные предприятия это одна из разновидностей международного переплетения капиталов.
Смешанные по капиталу предприятия называются совместными предприятиями в тех случаях, когда целью их создания является осуществление совместной предпринимательской деятельности. Формы смешанных по капиталу компаний весьма разнообразны. Чаще всего в форме смешанных компаний создаются международные объединения: картели, синдикаты, тресты, концерны.
Предприятия, капитал которых принадлежит предпринимателям нескольких стран, именуют многонациональными. Многонациональные компании образуются путем слияния активов объединяющихся фирм разных стран и выпуска акций вновь созданной компании. Другими формами образования смешанных по капиталу компаний являются: обмен акциями между фирмами, сохраняющими юридическую самостоятельность; создание совместных компаний, акционерный капитал которых принадлежит учредителям на паритетных началах или распределяется в определенных соотношениях, установленных законодательством страны регистрации; приобретение иностранной компанией доли пакета акций национальной фирмы, не дающей ей права контроля.
В современных условиях крупнейшие промышленные фирмы делают упор на создание совместных производственных предприятий, а также предприятий для осуществления научно-технического сотрудничества, в том числе для совместного использования патентов и лицензий, а также реализации соглашений о кооперации и специализации производства. Особенно многочисленны совместные фирмы в новых и быстро растущих отраслях, требующих огромных единовременных вложений, в нефтепереработке, нефтехимии, химической промышленности, производстве пластмасс, синтетического каучука, алюминия, в атомной энергетике. Совместные предприятия создаются и как временные объединения для выполнения крупных контрактов на строительство портов, плотин, трубопроводов, ирригационных и транспортных сооружений, электростанций, железных дорог и т.п.
Классификация по организационно-правовым формам
Гражданским кодексом Российской Федерации установлен состав организационно-правовых форм предприятий юридических лиц и определены права граждан физических лиц.
Граждане (физические лица) вправе заниматься предпринимательской деятельностью без образования юридического лица в качестве индивидуального предпринимателя с момента государственной регистрации его в этом качестве, а также создавать юридические лица самостоятельно или совместно с другими лицами. Гражданин отвечает по своим обязательствам всем принадлежащим ему имуществом. К предпринимательской деятельности, осуществляемой без образования юридического лица, применяются правила, регулирующие деятельность юридических лиц.
В организации предпринимательской деятельности особое место принадлежит предприятиям, организованным путем объединения предпринимателей, хозяйственным товариществам и обществам.
Хозяйственными товариществами и обществами признаются коммерческие организации с разделенным на доли (вклады) учредителей (участников) уставным (складочным) капиталом. Участниками хозяйственных, товариществ и обществ могут быть индивидуальные предприниматели и юридические лица (коммерческие предприятия). В зависимости от характера объединения и степени ответственности участников по его обязательствам объединения предпринимателей делятся на объединения лиц и объединения капиталов.
Объединения лиц основаны на личном участии их членов в ведении дел фирмы. Члены такого предприятия объединяют не только денежные и иные средства, но и собственную деятельность в приложении этих средств. Каждый участник такого предприятия имеет право на ведение дел, представительство и управление. Объединение капиталов предполагает сложение только капиталов, но не деятельности вкладчиков: руководство и оперативное управление предприятием осуществляется специально созданными органами.
Ответственность по обязательствам объединения капиталов несет само предприятие, а сами участники, таким образом, освобождены от риска, возникающего в результате хозяйственной деятельности.
Хозяйственные товарищества являются объединениями лиц, хозяйственные общества объединениями капиталов.
Хозяйственные товарищества могут создаваться в форме полного товарищества и товарищества на вере (коммандитного товарищества), хозяйственные общества в форме акционерного общества, общества с ограниченной ответственностью и общества с дополнительной ответственностью.
Полное товарищество это объединение двух или более лиц для осуществления предпринимательской деятельности с целью извлечения прибыли, участники которого лично участвуют в делах, и каждый несет полную ответственность по обязательствам товарищества не только вложенным капиталом, но и всем своим имуществом. Убытки и прибыли полного товарищества распределяются между участниками пропорционально доле каждого из них в общем имуществе товарищества. Полное товарищество не связано публичной отчетностью, т.е. не обязано публиковать сведения о результатах хозяйственной и финансовой деятельности.
Обычно договор полного товарищества содержит следующие положения: имена участников; фирменное название; местонахождение; предмет деятельности; вклад каждого члена; характер распределения прибыли; сроки функционирования создаваемого товарищества.
Организационная структура полного товарищества не является устойчивой: оно может быть распущено, если один из участников пожелает из него выйти. Согласно законодательству запрещена продажа одним из участников своей доли новому лицу без согласия других членов полного товарищества. Дела товарищества могут вести все его члены, и все они имеют право представительства при заключении сделок, т.е. каждый партнер является и руководителем, и представителем других партнеров по товариществу.
Однако уставом или соглашением участников может быть предусмотрено, что ведение дел и представительство возлагаются на одного или нескольких членов товарищества.
Форма полного товарищества большого распространения не имеет и применима только для мелких и средних предприятий.
Товарищество на вере (коммандитное товарищество) это объединение двух или нескольких лиц для осуществления предпринимательской деятельности, в котором одни участники (полные товарищи) несут ответственность по делам товарищества, как своим вкладом, так и всем своим имуществом, а другие (коммандитисты, или члены-вкладчики) отвечают только своим вкладом. Полные товарищи участвуют в товариществе, как своим капиталом, так и хозяйственными усилиями, а вкладчикитолько своим капиталом. Представлять товарищество и заключать от его имени сделки могут только полные товарищи, но не вкладчики.
Коммандитные товарищества действуют под фирменным наименованием, с указанием имен полных товарищей. В случае включения в наименование имени коммандитиста последний становится неограниченно ответственным по обязательствам товарищества. Срок деятельности оговаривается контрактом.
Договор об организации обычно включает следующие положения: наименование товарищества; предмет его деятельности; местонахождение головного органа; срок действия товарищества; общий размер; вкладов участников; доля в общем вкладе всех полных товарищей и всех коммадитистов; доля полных товарищей и коммадитистов в распределяемой прибыли, а также другие положения.
Методы нормирования
Например, норма запаса составляет 24 дня. Следовательно, запасов должно быть ровно столько, сколько обеспечит производство в течение 24 дней.
Норма запаса может устанавливаться в процентах или в денежном выражении к определенной базе.
Далее, исходя из нормы запаса и расхода данного вида товарно-материальных ценностей, определяется сумма оборотных средств, необходимых для создания нормируемых запасов по каждому виду оборотных средств. Так определяются частные нормативы.
К частным относятся нормативы оборотных средств в производственных запасах; сырья, основных и вспомогательных материалов, покупных полуфабрикатов, комплектующих изделий, топлива, тары, малоценных и быстроизнашивающихся предметов (МБП); в незавершенном производстве и полуфабрикатах собственного производства; в расходах будущих периодов; готовых изделиях.
Норматив отдельного элемента оборотных средств рассчитывается по формуле:
где Н норматив собственных средств по элементу; О оборот (расход, выпуск) по данному элементу за период; Т продолжительность периода; Нз норма запаса оборотных средств по данному элементу.
И, наконец, определяется совокупный норматив путем сложения частных нормативов. Таким образом, норматив оборотных средств представляет собой денежное выражение планируемого запаса товарно-материальных ценностей, минимально необходимых для нормальной хозяйственной деятельности предприятия.
Методы нормирования
Применяются следующие основные методы нормирования оборотных средств: прямого счета, аналитический, коэффициентный.
Метод прямого счета предусматривает обоснованный расчет запасов по каждому элементу оборотных средств с учетом всех изменений в уровне организационно-технического развития предприятия, транспортировке товарно-материальных ценностей, практике расчетов между предприятиями. Этот метод, будучи очень трудоемким, требует высокой квалификации экономистов, привлечения к нормированию работников многих служб предприятий (снабжения, юридической, сбыта продукции, производственного отдела, бухгалтерии). Но это позволяет наиболее точно рассчитать потребность предприятия в оборотных средствах.
Аналитический метод применяется в том случае, когда в планируемом периоде не предусмотрено существенных изменений в условиях работы предприятия по сравнению с предшествующим. В этом случае расчет норматива оборотных средств осуществляется укрупненно, учитывая соотношение между темпами роста объема производства и размером нормируемых оборотных средств в предшествующем периоде. При анализе имеющихся оборотных средств их фактические запасы корректируются, излишние исключаются.
При коэффициентном методе новый норматив определяется на базе норматива предшествующего периода путем внесения в него изменений с учетом условий производства, снабжения, реализации продукции (работ, услуг), расчетов.
Аналитический и коэффициентный методы применимы на тех предприятиях, которые функционируют более года, в основном сформировали производственную программу и организовали производственный процесс и не располагают достаточным количеством квалифицированных экономистов для более детальной работы в области планирования оборотных средств.
На практике наиболее распространен метод прямого счета. Преимуществом этого метода является достоверность, позволяющая сделать наиболее точные расчеты частных и совокупного нормативов.
Особенности различных элементов оборотных средств определяют специфику их нормирования. Рассмотрим основные методы нормирования важнейших элементов оборотных средств: материалов (сырья, основных материалов и полуфабрикатов), незавершенного производства и готовой продукции.
Нормирование материалов
Норматив оборотных средств по запасам сырья, основных материалов и покупных полуфабрикатов исчисляется на основании их среднего однодневного расхода (Р) и средней нормы запаса в днях.
Однодневный расход определяется путем деления затрат на определенный элемент оборотных средств на 90 дней (при равномерном характере производства на 360 дней).
Средняя норма оборотных средств определяется как средневзвешенная величина исходя из норм оборотных средств на отдельные виды или группы сырья, основных материалов и покупных полуфабрикатов и их однодневного расхода.
Норма оборотных средств по каждому виду или однородной группе материалов учитывает время пребывания в текущем (Т), страховом (С), транспортном (М), технологическом (А) и подготовительном (Д) запасах.
Текущий запас основной вид запаса, необходимый для бесперебойной работы предприятия между двумя очередными поставками. На размер текущего запаса влияют периодичность поставок материалов по договорам и объем их потребления в производстве. Норма оборотных средств в текущем запасе обычно принимается в размере 50% среднего цикла снабжения, что обусловлено поставкой материалов несколькими поставщиками и в разные сроки.
Страховой запас второй по величине вид запаса, который создается на случай непредвиденных отклонений в снабжении и обеспечивает непрерывную работу предприятия. Страховой запас принимается, как правило, в размере 50% текущего запаса, но может быть и меньше этой величины в зависимости от местоположения поставщиков и вероятности перебоя в поставках.
Транспортный запас создается в случае превышения сроков грузооборота в сравнении со сроками документооборота на предприятиях, удаленных от поставщиков на значительные расстояния.
Технологический запас создается в случаях, когда данный вид сырья нуждается в предварительной обработке, выдержке для придания определенных потребительских свойств. Этот запас учитывается в том случае, если он не является частью процесса производства. Например, при подготовке к производству некоторых видов сырья и материалов необходимо время на подсушку, разогрев, размол и т.д.
Подготовительный запас связан с необходимостью приемки, разгрузки, сортировки и складирования производственных запасов. Нормы времени, необходимого для этих операций, устанавливаются по каждой операции на средний размер поставки на основании технологических расчетов или посредством хронометража.
Норматив оборотных средств в запасах сырья, основных материалов и покупных полуфабрикатов (Н), отражающий общую потребность в оборотных средствах по этому элементу производственных запасов, исчисляется как сумма норм оборотных средств в текущем, страховом, транспортном, технологическом и подготовительном запасах. Полученная общая норма умножается на однодневный расход по каждому виду или группам материалов:
Н= Р (Т+ С+ М+ А+Д).
В производственных запасах нормируются также оборотные средства в запасах вспомогательных материалов, топлива, тары, малоценных и быстроизнашивающихся предметов и др.
Нормирование незавершенного производства
Величина норматива оборотных средств в незавершенном производстве зависит от четырех факторов: объема и состава производимой продукции, длительности производственного цикла, себестоимости продукции и характера нарастания затрат в процессе производства.
Объем производимой продукции непосредственно влияет на величину незавершенного производства: чем больше производится продукции при прочих равных условиях, тем больше будет размер незавершенного производства. Изменение состава производимой продукции по-разному влияет на величину незавершенного производства. При повышении удельного веса продукции с более коротким циклом производства объем незавершенного производства сократится, и наоборот.
Себестоимость продукции прямо влияет на размер незавершенного производства. Чем ниже затраты на производство, тем меньше объем незавершенного производства в денежном выражении. Рост себестоимости продукции влечет увеличение незавершенного производства.
Объем незавершенного производства прямо пропорционален продолжительности производственного цикла. Производственный цикл включает время производственного процесса, технологический запас, транспортный запас, время накопления полуфабрикатов перед началом следующей операции (оборотный запас), время нахождения полуфабрикатов в запасе для гарантии непрерывности процесса производства (страховой запас), Продолжительность производственного цикла равна времени с момента первой технологической операции до приемки готового изделия на складе готовой продукции. Сокращение запасов в незавершенном производстве способствует улучшению использования оборотных средств за счет сокращения длительности производственного цикла.
Для определения нормы оборотных средств по незавершенному производству необходимо знать степень готовности изделий. Ее отражает так называемый коэффициент нарастания затрат.
Все затраты в процессе производства подразделяются на единовременные и нарастающие. К единовременным относятся затраты, производимые в самом начале производственного цикла, затраты сырья, материалов, покупных полуфабрикатов. Остальные затраты считаются нарастающими.
Нарастание затрат в процессе производства может происходить равномерно и неравномерно.
Коэффициент нарастания затрат определяется при равномерном и неравномерном нарастании затрат. При равномерном нарастании коэффициент нарастания затрат вычисляется по Формуле:
Методы стандартного распределения вероятностей
5. Корреляционный анализ, т. е. определение статически значимых факторов влияния на сбыт продукции предприятия. Он логически дополняет предыдущий метод, но основывается на более сложном научном инструментарии статистического анализа рынка. Обычно в рамках специальных обследований определяется теснота корреляционной связи между уровнем сбыта предприятия и различными сторонами хозяйственной деятельности, влияние на сбыт которых должно быть логически доказано или обосновано. Таким образом, выявляются и ранжируются (по степени влияния), наиболее значимые факторы, от которых в будущем может зависеть объем сбыта. Такой метод прогноза обязательно требует серьезных специальных и комплексных, а значит, и достаточно дорогостоящих, но не всегда экономически оправданных исследований рынка.
Тем не менее, с помощью этого метода самые точные результаты могут быть получены в наиболее стабильных по хозяйственной конъюнктуре отраслях.
6. Прогнозирование на основе «доли рынка» сбыта фирмы. Сбыт прогнозируется в виде определенного процента от доли фирмы на рынке в данной отрасли, а затем делается расчет доли предприятия в общем объеме продаж всей отрасли. При использовании данного метода важно, во-первых, быть уверенным в точности прогноза для всей отрасли, во-вторых, не принимать в расчет неценовую конкуренцию в ней (на уровне новых изделий и услуг).
7. Анализ конечного использования. Прогноз здесь основывается на предполагаемых объемах заказов основных заказчиков предприятия (общий объем сбыта обычно превосходит этот показатель на определенный, заранее устанавливаемый процент). Применение данного метода требует специальных исследований по основным отраслям, потребляющим продукцию данного предприятия, сбора и обработки значительного статистического и фактического материала.
Наиболее предпочтителен в отраслях сырьевого и энергетического комплекса, а также на предприятиях, выпускающих конечные детали и узлы.
8. Анализ ассортимента товаров, при котором прогнозы сбыта по отдельным видам изделий сводятся воедино и образуют планируемый оборот предприятия. Этот метод наиболее подходит для диверсифицированных фирм, но точность общего прогноза целиком зависит от детального обследования рынка каждого вида изделий, что требует, в свою очередь, больших затрат.
9. Пробный маркетинг. Быть может, это самый точный подход к составлению прогноза сбыта, при котором новый продукт или какие-либо изменения, произведенные в системе товаропродвижения, осуществляются на очень небольшом по размеру рынке (например, в системе нескольких городов). В сущности, на небольшом местном рынке предпринимается попытка смоделировать все то, что будет потом сделано в масштабе страны или более крупного региона.
Составные элементы будущей программы продвижения нового изделия на рынке (цены и виды рекламы, каналы сбыта и тип упаковки) проверяются на ограниченной группе потребителей. После обработки полученной информации об объеме и темпах продаж нового изделия соответствующие наметки относительно прогноза сбыта распространяются на всю страну.
10. Методы стандартного распределения вероятностей, т.е. метод оценки и пересмотра планов с использованием сетевых моделей и методов планирования и управления. Сущность этого метода прогнозирования сбыта заключается в следующем.
Экспертным путем определяются три вида прогнозов сбыта:
Ооптимистический прогноз, М наиболее вероятный прогноз, Р пессимистическая оценка прогноза сбыта. Далее рассчитывается ожидаемое значение прогноза сбыта (ЕР) по формуле:
Использование этого метода позволяет составить экспертные оценки со статистически ожидаемым значением, чтобы определить наиболее вероятный диапазон вариации прогноза сбыта. Например, наиболее радужные оценки объема продаж предприятия на будущий год составляют порядка 350 тыс. изделий. Однако наиболее вероятным, по мнению экспертов, будет объем реализации 340 тыс., а пессимистичный прогноз 300 тыс. В соответствии с приведенной выше формулой статистически ожидаемое значение прогноза составит:
Стандартное отклонение (СО) вычисляется по формуле:

В соответствии с общей теорией статистики наиболее вероятное значение переменной объема сбыта (с вероятностью 95%) будет находиться в пределах 335 тыс. + 2 8,33 тыс. изделий, т.е. между 318,34 тыс. и 351,66 тыс. изделий.
Эффективность применения того или иного метода зависит от конкретных условий и специфики хозяйственной деятельности предприятия и может быть определена только непосредственно самим предприятием. Обычно считается, что прогноз составлен правильно, если разница между предполагаемым и реальным сбытом составляет не более 5%. Многие фирмы начинают разработку Нового, повторного прогноза, если на любом этапе реализации плана фирмы разница между фактическим и предполагаемым сбытом превышает 5%.
3. Товарная стратегия предприятия. План производства и реализации продукции
Товарная стратегия предполагает определенный курс действий товаропроизводителя или наличие у него заранее обдуманных принципов поведения. В ее задачу входит обеспечение преемственности решений и мер по формированию ассортимента, поддержанию конкурентоспособности товаров, нахождению оптимальных товарных ниш (сегментов). Кроме этого сюда входит разработка и осуществление стратегии упаковки, маркировки, обслуживания товаров.
Продуманная товарная стратегия служит для руководства предприятия своего рода указателем общей направленности действий, способных скорректировать текущие ситуации.
Товарная стратегия является составной частью хозяйственной и маркетинговой политики предприятия. В силу этого принцип «товар выбирает покупателя» в сочетании с созданием для покупателей широких возможностей выбора должен закладываться непосредственно в производстве. Система конструирования, моделирования, дизайна, механизмы стимулирования и организации производства должны ориентироваться на конкретного потенциального покупателя.
Условия формирования товарной стратегии
При формировании товарной стратегии необходимо соблюдать ряд условий: иметь четкое представление о целях производства, сбыта и экспорта на перспективу, стратегии производственно-сбытовой деятельности предприятия; хорошо знать рынок и характер его требований; осознавать возможности и ресурсы в настоящее время и в перспективе.
Необходимо также ясно представлять себе темпы обновления продукции в целом и по отдельным ее видам с учетом жизненного цикла, соотношение «новых» и «старых» изделий, новых и освоенных рынков, уровень обновления товаров и др. Эти вопросы решаются в тесной привязке к рынку, его требованиям, к поведению конкурентов.
Поскольку рыночный (конечный) успех является главным критерием оценки деятельности предприятий, а их рыночные возможности предопределяются правильно разработанной и последовательно осуществляемой товарной политикой, то именно на основе изучения рынка и перспектив развития предприятие получает исходную информацию для решения вопросов, связанных с формированием, управлением и его совершенствованием.
На любом хозяйственном уровне для решения задач товарной стратегии необходим стратегический подход. Товарная стратегия определяет долговременный курс предприятия, рассчитанный на перспективу и предусматривающий решение принципиальных задач. Разработанная применительно к тому или иному периоду (35 лет или более) товарная стратегия в основе своей в течение данного отрезка времени остается, как правило, практически неизменной.
Формирование ассортимента
Важное значение для предприятия имеет успешное решение проблемы формирования ассортимента и управления им.
Сущность планирования, формирования и управления ассортиментом заключается в том, чтобы товаропроизводитель своевременно предлагал определенную совокупность товаров, которые, соответствуя в целом профилю его производственной деятельности, наиболее полно удовлетворяли бы требованиям определенных категорий покупателей.
Ассортимент это набор товаров, предлагаемых предприятием-изготовителем на рынке. Номенклатура, или товарный ассортимент, это вся совокупность изделий, выпускаемых предприятием. Вид товара (автомобиль, трактор) делится на ассортиментные группы (типы) в соответствии с функциональными особенностями, качеством, ценой.
Каждая группа состоит из ассортиментных позиций (разновидностей или марок), которые образуют низшую ступень классификации. Например, холодильники представлены одно-, двух- и трехкамерными моделями и морозильными камерами. Последние имеют несколько марок, отличаются объемом и некоторыми техническими данными.
Формирование ассортимента проблема конкретных товаров, их отдельных серий, определения соотношений между «старыми» и «новыми» товарами, товарами единичного и серийного производства, «наукоемкими» и «обычными» товарами или лицензиями и ноу-хау.
Формированию ассортимента обычно предшествует разработка предприятием ассортиментной концепции, которая позволяет определить возможности оптимального производства ассортимента данного вида товаров. Цель ассортиментных концепций сориентировать предприятие на выпуск товаров, наиболее соответствующих структуре и разнообразию спроса конкретных покупателей.
Наибольшее влияние оказывает группа технических факторов.
как производственную программу. Выпуск планируемого объема продукции предполагает наличие соответствующих производственных мощностей.
Производственные мощности
Производственная мощность предприятия (цеха или производственного участка) характеризуется максимальным количеством продукции соответствующего качества и ассортимента, которое может быть произведено им в единицу времени при полном использовании основных производственных фондов в оптимальных условиях их эксплуатации.
Производственные мощности можно рассматривать с различных позиций, исходя из этого определяют теоретическую, максимальную, экономическую и практическую мощности.
Теоретическая (проектная) мощность характеризует максимально возможный выпуск продукции при идеальных условиях функционирования производства. Она определяется как предельная часовая совокупность мощностей средств труда при полном годовом календарном фонде времени работы в течение всего срока их физической службы. Этот показатель используется при обосновании новых проектов, расширения производства, других инновационных мероприятий.
Максимальная мощность теоретически возможный выпуск продукции в течение отчетного периода при обычном составе освоенной продукции, без ограничений со стороны факторов труда и материалов, при возможности увеличения смен и рабочих дней, а также использовании только установленного оборудования, готового к работе. Данный показатель важен при определении резервов производства, объемов выпускаемой продукции и возможностей их увеличения, наращивания.
Под экономической мощностью понимают предел производства, который предприятию невыгодно превышать из-за большого роста издержек производства или каких-либо иных причин.
Практическая мощность наивысший объем выпуска продукции, который может быть достигнут на предприятии в реальных условиях работы. В большинстве случаев практическая производственная мощность совпадает с экономической.
В отличие от проектной плановая производственная мощность действующих предприятий рассчитывается исходя из применяемых технологических процессов, наличного парка оборудования, имеющихся производственных площадей как величин уже заданных, а объем выпуска продукции по планируемой номенклатуре является искомой величиной, устанавливаемой в условиях полного использования ресурсов, имеющихся в распоряжении предприятия.
Производственная мощность величина динамичная, изменяющаяся под влиянием различных факторов. Поэтому она рассчитывается применительно к определенному периоду времени и даже календарной дате. Мощность определяется на начало планового периода входная мощность и на конец планового периода выходная мощность. Последняя рассчитывается до формуле:
Мк = Мн + Мс + Мр + Мо + Мнз Мв,.
где Мк мощность на конец планового периода: Мн производственная мощность на начало планового периода; Мс ввод мощностей в результате строительства новых, расширения действующих мощностей; Мр прирост мощности вследствие реконструкции; Мо увеличение мощности в результате технического переоснащения и проведения других организационно-технических мероприятий; Мнз увеличение (уменьшение) мощностей вследствие изменения номенклатуры продукции; Мв уменьшение мощности вследствие ее выбытия.
Кроме входной и выходной мощностей определяется также величина среднегодовой мощности (Мср) по формуле:
где Тс, Тр, То, Тнз, Тв сроки действия соответствующих мощностей с момента их введения и до конца планового года. Отношение планового, или фактического выпуска продукции к величине производственной мощности называется коэффициентом использования производственной мощности (Кнз,):

где Впл(ф) плановый, или фактический объем производства в натуральных единицах.
Величина производственной мощности находится под влиянием различных факторов. Наибольшее влияние оказывает группа технических факторов. К ним относятся:
количественный состав основных фондов, их структура, удельный вес активной части основных фондов;
качественный состав основных фондов, уровень прогрессивности используемого оборудования на всех стадиях производственного процесса, насыщенность парка оборудования автоматическими станками и автоматизированными поточными линиями;
возрастной состав оборудования с учетом морального износа, темпы обновления основных фондов;
степень прогрессивности, механизации и автоматизации действующих технологических процессов;
степень прогрессивности применяемых видов технологической оснастки, инструментов, приспособлений;
степень пропорциональности по мощности (пропускной способности) между агрегатами, группами взаимозаменяемого оборудования, участками, цехами, устранение узких мест.
В состав организационных факторов входит степень специализации, концентрации, кооперирования, комбинирования производства, уровень организации производства, труда и управления. К группе экономических факторов относятся: формы оплаты труда рабочих, наличие материального стимулирования и т.д. Социальные факторы включают профессиональный, квалификационный и образовательный уровень коллектива работников предприятия и т.п.
Указанные группы факторов влияют как на величину производственной мощности, так и на уровень ее использования.
Производственная мощность предприятия определяется по мощности ведущих производственных единиц, цехов, участков, агрегатов. Расчет мощности предприятия осуществляется по всем его производственным подразделениям от группы технически однотипного оборудования к производственным участкам, от участков к цехам и т.д.
Мощность ведущего подразделения данной ступени определяет мощность подразделения следующей ступени; по мощности ведущего участка устанавливают мощность цеха и т.д. Ведущим подразделением считается такое, в котором выполняются основные технологические операции по изготовлению продукции, где затрачивается наибольшая доля живого труда и где сосредоточена значительная часть основных производственных фондов данного подразделения.
При наличии на предприятии нескольких ведущих производств, цехов, участков, агрегатов или групп оборудования его производственная мощность определяется по тем из них, которые выполняют наибольший по трудоемкости объем работ.
Производственная мощность рассчитывается по всему производственному оборудованию, закрепленному за основными цехами. В расчет принимается все наличное производственное оборудование, в том числе бездействующее в связи с неисправностью, ремонтом, модернизацией, закрепленное за цехом, участком. Не учитывается при расчете мощности резервное (находящееся на консервации) оборудование.
Режим работы предприятия как важнейшее условие расчета производственной мощности определяется исходя из числа смен работы, продолжительности рабочего дня и рабочей недели. При этом различают календарный, режимный и действительный (рабочий) фонды времени использования основных производственных фондов. Календарный фонд времени равен количеству календарных дней в плановом периоде, умноженному на 24 час. Режимный фонд времени определяется режимом производства. Он равен произведению числа рабочих дней в плановом периоде на число часов в рабочих сменах.
Действительный (рабочий) фонд времени работы оборудования равен режимному за вычетом времени планово-предупредительного ремонта, рассчитанного по установленным нормам.
Расчеты использования производственных мощностей позволяют обнаружить их резервы. Критерием, определяющим необходимость развития и создания резервов производственных мощностей, является выявленная потребность в продукции и перспективное ее удовлетворение.
Проект производственных мощностей
При перспективном проектировании развития мощностей предприятия широко применяется балансовый метод. Задания по приросту и вводу в действие производственных мощностей определяются в следующем порядке.
1. Уточняется рассчитанная в балансе общая потребность в увеличении производственных мощностей по годам для обеспечения намечаемого выпуска продукции.
2. Уточняется принятый в плановых балансах максимально возможный размер прироста мощностей на действующих производствах по годам за счет технического перевооружения и реконструкции.
3. Определяется необходимый размер новых мощностей за счет расширения действующих и строительства новых предприятий.
4. На основе вариантной проработки определяется перечень строек, которые должны быть начаты и закончены строительством в планируемом периоде.
В плане развития производственной мощности учитывается также их уменьшение за счет изменения номенклатуры и ассортимента продукции (увеличение трудоемкости); выбытия мощности вследствие ветхости зданий, сооружений, списания оборудования, исчерпания запасов полезных ископаемых и других природных ресурсов, передачи и продажи основных фондов в установленном порядке.
Осуществляемые для составления баланса производственных мощностей технико-экономические расчеты основываются на применении нормативов, определяющих для отдельных видов производств оптимальные мощности предприятий, сроки освоения проектных мощностей, удельные капитальные вложения и др.
5. Бизнес-план
В современных условиях одним из важнейших инструментов планирования является бизнес-план.
Налог на имущество предприятия
По объекту налогообложения, существующие в Российской Федерации налоговые платежи можно разделить на налоги с доходов (выручки, прибыли); с имущества предприятий; с определенных видов операций и деятельности (например, по операциям с ценными бумагами); за выполнение некоторых действий (таможенные и государственные пошлины), добавленную стоимость продукции, работ и услуг, пользование природными ресурсами.
Законодательством определено, что один и тот же объект может облагаться налогом одного вида только один раз за установленный период налогообложения. Особенностью российской налоговой системы является также наличие ряда целевых платежей и сборов, которые в силу своей обязательности носят для плательщиков налоговый характер, но направляются не только в бюджет, но и в специальные внебюджетные фонды (например, платежи в государственные социальные фонды, фонды охраны природы, республиканский земельный фонд и т.п.).
Налог на прибыль
В системе прямых налогов, действующих в Российской Федерации и взимаемых с предприятий, ведущее место принадлежит налогу на прибыль (доход). Система функционирования этого налога отличается рядом особенностей, связанных с российской спецификой переходного периода к рыночным отношениям.
Плательщиками налога на прибыль являются все предприятия и организации (включая бюджетные), являющиеся юридическими лицами по законодательству Российской Федерации, в том числе предприятия с иностранными инвестициями, международные объединения и организации, осуществляющие предпринимательскую деятельность.
Плательщиками этого налога являются и не располагающие статусом юридических лиц филиалы предприятий и организаций, имеющие отдельный баланс и расчетный счет.
Объектом налогообложения является валовая прибыль предприятий и организаций, представляющая собой сумму прибыли от реализации продукции (работ, услуг), основных фондов, иного имущества предприятия и доходов от внереализационных операций, уменьшенных на сумму расходов по этим операциям.
В налогооблагаемую прибыль не включаются дивиденды и проценты, полученные по акциям, облигациям и иным ценным бумагам, принадлежащим предприятиям, а также доходы от долевого участия в деятельности других предприятий (предприятий с иностранными инвестициями, акционерных обществ и др.), кроме доходов, полученных за пределами Российской Федерации.
Одним из наиболее серьезных вопросов при определении базы обложения налогом на прибыль является правильное определение затрат, принимаемых к исключению при расчете валовой прибыли. В настоящее время для этих целей продолжает применяться Положение о составе затрат по производству и реализации продукции (работ, услуг) и о порядке формирования финансовых результатов, учитываемых при налогообложении прибыли, утвержденное постановлением Правительства РФ от 5 августа 1992 г. (с учетом изменений, внесенных в него постановлением Правительства РФ от 1 июля 1995 г.). В качестве общего правила принимается, что такие затраты включаются в расходы, учитываемые при расчете налогооблагаемой прибыли того отчетного периода, к которому они относятся, независимо от предварительной или последующей формы их оплаты.
Налог на прибыль определяется исходя из облагаемой прибыли и установленной ставки налог а. С 1992 г. эта ставка неоднократно изменялась; с 1995 г. ставка налога, зачисляемого в федеральный бюджет, установлена в фиксированном размере 13%. Одновременно установлено, что в бюджетах субъектов Российской Федерации налог на прибыль зачисляется по ставкам, установленным законодательными органами соответствующих субъектов Федерации в размере не свыше 22%, а бирж, брокерских контор, банков, других кредитных организаций и страховщиков, а также для предприятий по прибыли, полученной от посреднических операций и сделок, по ставкам в размере не свыше 30%.
Отличительной особенностью действующего в Российской Федерации порядка налогообложения прибыли является наличие большого числа разнообразных налоговых льгот, среди которых особо следует отметить выведение из-под налогообложения затрат предприятий на финансирование капитальных вложений производственного и непроизводственного назначения, а также затрат на погашение кредитов банков, полученных и использованных на эти цели. Условием предоставления этой льготы является полное использование предприятием сумм начисленного износа (амортизации) на последнюю отчетную дату, которые исключаются из льготируемой суммы расходов.
Существенной является такая льгота, в соответствии с которой не облагается прибыль, использованная предприятиями на содержание находящихся на их балансе жилищного фонда и иных объектов социально-культурного назначения, а также при долевом участии предприятий в указанных расходах.
Налог на имущество предприятия
До настоящего времени значение этого налога, как в общем объеме доходных поступлений государства, так и с точки зрения его обременительности для отдельных плательщиков относительно невелико. Однако по мере формирования рыночной среды, а также в связи с уже проведенными и предполагаемыми очередными переоценками основных фондов предприятий роль этого налога существенно возрастает.
Плата за ресурсы
Особую группу налогов, действующих на территории Российской Федерации, составляют платежи, связанные с использованием и охраной природных ресурсов. Наиболее важными из них являются плата за землю и отчисления на воспроизводство минерально-сырьевой базы. Кроме того, при пользовании отдельными видами природных ресурсов установлены специфические обязательные платежи (например, платежи за использование недр, плата за воду, забираемую из водохозяйственных систем, лесной доход, акцизы на добычу нефти и газа).
Имеются и платежи за загрязнение природной среды (подробнее см. гл. 18).
Косвенные налоги
Важнейшим из косвенных налогов, взимаемых с юридических лиц, является налог на добавленную стоимость (НДС). Ему принадлежит одно из ведущих мест по общему объему налоговых поступлений. Подобный налог применяется во многих странах, и прежде всего, в странах ЕС.
В 20 из 24 стран, входящих в Организацию экономического сотрудничества и развития (ОЭСР), НДС является основным налогом на потребление.
НДС является формой изъятия в бюджет части добавленной стоимости, создаваемой на всех стадиях производства, и определяемой как разница между стоимостью реализованных товаров, работ и услуг и стоимостью материальных затрат, отнесенных на издержки производства и обращения. Механизм функционирования этого налога в России близок к порядку, действующему в большинстве европейских стран; налог взимается с каждого акта купли-продажи, начиная со стадии первичного производства вплоть до реализации законченного продукта конечному потребителю, и представляет собой разницу между суммой налога, уплаченного поставщику сырья и материалов, и суммой, полученной плательщиком налога от покупателя произведенной им продукции (выполненных работ, услуг).
Фактический НДС оплачивается конечным потребителем товаров (работ, услуг) и не затрагивает издержки и прибыль предприятий производителей промежуточной продукции, ибо уплаченный ими как потребителями сырья, материалов и т.д. налог в их себестоимость не включается, а идет на уменьшение подлежащего зачислению в бюджет НДС по проданным предприятиями товарам (работам, услугам).
В настоящее время датой совершения оборота для исчисления НДС считается день поступления средств за товары (работы, услуги) на счета в учреждения банков, а при расчетах наличными деньгами день поступления выручки в кассу.
Акцизы по своему содержанию являются косвенными налогами на потребителя. Перечень товаров, облагаемых акцизами в России, сравнительно невелик и в основном совпадает с наборами аналогичных товаров многих других стран (алкогольные напитки, табачные изделия, легковые автомобили, меха, изделия из драгоценных металлов и некоторые другие престижные товары). Акцизы установлены на высокорентабельные товары, пользующиеся постоянным спросом, что позволяет изымать в доход государства полученную их производителями сверхприбыль.
Особую, наиболее динамичную группу налогов на потребление составляют таможенные пошлины. Экспортно-импортные пошлины используются в основном для регулирования взаимосвязи внутреннего рынка товаров с мировым рынком. Они поселяют стимулировать экспорт и защищать внутреннего производителя от интервенции аналогичной продукции из-за рубежа.
Эти платежи имеют большое значение с точки зрения фискальных интересов государства, поскольку носят стабильный характер и достаточно легко поддаются администрированию (подробнее см. гл. 19).
Платежи во внебюджетные фонды
В соответствии с действующим в Российской Федерации законодательством все предприятия, объединения и организации (в том числе предприятия с иностранными инвестициями и иностранные юридические лица, осуществляющие деятельность через постоянные представительства), расположенные на территории Российской Федерации, обязаны перечислять средства в Пенсионный фонд РФ, в Фонд социального страхования РФ, Государственный фонд занятости населения РФ, а также в Фонд обязательного медицинского страхования РФ.
Норма амортизации при прямолинейном методе
В 1975 г. были уточнены нормы амортизации, необходимость пересмотра которых была вызвана переоценкой основных фондов, проведенной на 1 января 1972 г. При уточнении норм 1975 г. были сохранены основные принципы и методология разработки норм 1963 г. Отличительные моменты этих норм: более расширенная классификация, увеличение количества норм (1780), снижение доли капитального ремонта, увеличение доли реновации.
В 1991 г. введены в действие новые нормы амортизации, которые действуют в Российской Федерации до настоящего времени. Главной особенностью этих норм является ликвидация доли амортизации, направляемой на капитальный ремонт. С 1991 г. амортизация начисляется только на полное восстановление основных фондов.
Нормы на реновацию значительно увеличены, значительная часть норм унифицирована, особенно по металлообрабатывающему оборудованию.
Предполагается, что действующий порядок начисления амортизации будет изменен. Имущество предприятий будет объединено в четыре категории, на которые установлены единые обобщенные нормы: для зданий, сооружений и их структурных компонентов 5%, по легковому и грузовому автотранспорту, конторскому оборудованию, мебели, компьютерной технике, информационным системам и системам обработки данных 25%; по технологическому, энергетическому, транспортному и иному оборудованию и материальным активам, не включенным в первую или вторую категории, 15% и по нематериальным активам норма устанавливается исходя из срока их использования, а при невозможности его установления 10 лет. Для малых предприятий и индивидуальных предпринимателей нормы амортизации несколько увеличены: для первой категории 6%, для второй 30% и для третьей 18%. Таким образом, система норм амортизации должна принципиально измениться: классификация основных фондов сокращается до 4 групп, нормы также унифицируются.
Однако этот порядок пока не введен в действие.
Методы начисления амортизации
Значительную роль в системе амортизации играют методы ее начисления. Они активно влияют на объем амортизационного фонда, на степень концентрации ресурсов в различные периоды функционирования основных средств, на размеры отчислений, включаемых в себестоимость продукции. В практике начисления амортизации применяются два вида методов: пропорциональные и регрессивные, или методы ускоренной амортизации.
Первые характеризуются тем, что ежегодно в течение всего срока функционирования амортизационные отчисления рассчитываются по одной и той же норме от первоначальной стоимости основных фондов. При ускоренной амортизации основная часть начислений концентрируется в первые годы эксплуатации основных средств, сокращается амортизационный период, создаются финансовые условия для ускоренной замены оборудования.
К пропорциональным методам начисления амортизации относятся: равномерно-прямолинейный; начисление износа в зависимости от установленного срока службы средств труда; начисление амортизации в зависимости от произведенной работы. Основным методом начисления износа в нашей стране, как и за рубежом, является равномерно-прямолинейный. При этом методе расчет сумм амортизационных отчислений осуществляется по следующим этапам:
1) распределение основных фондов по группам, имеющим одинаковую норму амортизации;
2) расчет среднегодовой стоимости основных фондов по группе;
3) определение суммы амортизации путем умножения нормы на среднегодовую (средне балансовую) стоимость фондов.
Расчет среднегодовой стоимости основных фондов производится по формуле:
где Сс среднегодовая стоимость основных фондов планового или отчетного периодов, руб.; С стоимость основных фондов на начало периода, руб.; Св стоимость вводимых основных фондов в расчетном периоде, руб.; Cвыб стоимость выбывающих основных фондов в расчетном периоде, руб.; К количество месяцев функционирования средств труда в расчетном периоде.
Достоинства равномерно-прямолинейного метода начисления амортизации известны: равномерность поступления отчислений в амортизационный фонд, стабильность и пропорциональность в отнесении амортизации на себестоимость выпускаемой продукции, простота и высокая точность расчетов. Два других пропорциональных метода представляют собой разновидности равномерного способа и учитывают специфические условия функционирования отдельных видов средств труда. Начисление износа в зависимости от выполненной работы производится, главным образом, по подвижному составу автомобильного и городского транспорта.
В отраслях горнодобывающей промышленности начисление амортизации производится исходя из норм и фактически добытых полезных ископаемых (погонные ставки амортизации).
Наряду с положительными моментами пропорциональные методы имеют и недостатки. Они не всегда обеспечивают полный перенос стоимости основных фондов на производимый продукт. Образуется ”недоамортизация” средств труда, представляющая собой прямую потерю стоимости, убыток.
Равномерное начисление амортизации не обеспечивает концентрацию ресурсов, необходимую для быстрой замены оборудования, подверженного активному влиянию морального износа.
Стимулирующая роль амортизации существенно возрастает с применением методов ускоренной амортизации основных фондов. В мировой практике используются многочисленные методы ускоренной амортизации, как регрессивные, так и прогрессивные. Основными из них являются три: метод твердо фиксированного срока службы средств труда; метод уменьшающегося остатка при удвоенной норме, или метод постоянного процента; и кумулятивный метод, или метод «суммы чисел».
При первом методе фиксируется срок, в течение которого стоимость основного капитала должна быть списана в амортизационный фонд. Если срок установлен в 5 лет, то ежегодно на себестоимость продукции переносится 20% стоимости капитала. Впервые этот метод был применен в США в 1940-1945 гг. с целью стимулирования вложений частного капитала в военную промышленность.
В настоящее время этот метод в чистом виде применяется крайне редко.
Сущность метода уменьшающегося остатка, или постоянного процента, заключается в том, что размер амортизации исчисляется по удвоенной норме (по сравнению с равномерным методом) с остаточной стоимости основных фондов.
Пример 5.1.
Стоимость оборудования, амортизируемого по методу постоянного процента составляет 24 млн. руб. Норма амортизации при прямолинейном методе 7%. Начисление износа: 1-й год 14% (удвоенная норма) от 24 млн. руб. = 3,36 млн. руб.;
2-й год 14% от 20,64 (24 3,36) = 2,89 млн. руб.; 3-й 14% от 775 (20,64 2,89) = 2,49 млн. руб. и т.д.
Стоимость действующих средств труда списывается, главным образом, в первые годы их функционирования, что позволяет немедленно использовать решающую часть амортизации на новые капитальные вложения, на обновление оборудования. Этот метод способствует не только ускорению амортизации, но и концентрации ресурсов в первые годы эксплуатации введенных в действие фондов. Вместе с тем этот метод не гарантирует полного списания стоимости капитала.
Ежегодный размер начисляемого износа снижается, и амортизация растягивается на много лет.
Кумулятивный метод, или метод «суммы чисел», сочетает в себе оба первых метода. Нормируется срок службы средств труда и увеличивается норма износа в первые годы их эксплуатации,
Пример 5.2.
Кумулятивный метод обеспечивает полное возмещение стоимости амортизируемых средств труда к концу их нормативного срока службы. Вместе с тем решающая доля амортизации начисляется впервые дватри года. Стимулирующая роль амортизации возрастает.
Порядок использования амортизационного фонда
Важным рычагом управления амортизацией является установленный порядок использования амортизационного фонда. В бывшем СССР амортизационный фонд использовался предприятиями строго по целевому назначению на капитальные вложения, а в период 1938-1990 гг. и на капитальный ремонт (в твердо нормированной части). Основная часть амортизации, предназначенной на полное восстановление основных фондов, централизовалась отраслевыми министерствами и направлялась на финансирование централизованных капитальных вложений.
Средства амортизационного фонда хранились на особом счете и их целевое расходование строго контролировалось.
В настоящее время предприятиям предоставлено право самостоятельно решать вопрос об использовании средств амортизационного фонда. В связи с кризисным положением российской экономики, резкой нехваткой финансовых ресурсов и наличием неплатежей средства амортизационного фонда обезличены и направляются преимущественно на текущие нужды предприятий. В то же время в экономике остро стоит проблема инвестиционных ресурсов. Структурная перестройка народного хозяйства невозможна без технического переоснащения производственного аппарата предприятий.
Если бы амортизационный фонд, начисляемый предприятиями России, был использован по назначению, то весь объем планируемых капитальных вложений был бы профинансирован без привлечения прибыли и заемных средств. Не целевое использование ресурсов амортизационного фонда противоречит закономерностям воспроизводства основного капитала в условиях рыночного хозяйства. Решение этой проблемы связано с выходом экономики России из кризиса, стабилизацией производства, ростом финансовых ресурсов.
Объединения предприятий
Правление (совет директоров, административный совет) осуществляет руководство текущей деятельностью АО и представительство АО. Правление решает все вопросы, не входящие в компетенцию общего собрания. Кроме того, ему может быть передана часть прав общего собрания.
По сути дела, в компетенции правления находятся важнейшие управленческие вопросы: заключение сделок, бухгалтерский учет, управление предприятиями, финансирование и кредитование и т.д.
Наблюдательный совет является органом, контролирующим деятельность правления. Член наблюдательного совета не может быть одновременно членом правления. Устав АО может предусматривать определенные виды сделок, для совершения которых необходимо получить согласие наблюдательного совета.
На наблюдательный совет может быть возложено даже назначение членов правления.
Производственные кооперативы (артели) это объединения граждан на основе членства для совместной производственной ли иной хозяйственной деятельности (производство, переработка, сбыт промышленной, сельскохозяйственной и иной продукции, выполнение работ, торговля, бытовое обслуживание, оказание других услуг), основанной на их личном трудовом и ином участии и объединении его членов (участников) на основе имущественных паевых взносов. Законом и учредительными документами производственного кооператива может быть предусмотрено участие в его деятельности юридических лиц.
Члены производственного кооператива несут по обязательствам кооператива субсидиарную ответственность в размере и в порядке, предусмотренных законом о производственных кооперативах и уставом кооператива.
Учредительным документом производственного кооператива является его устав, утвержденный общим собранием его членов. Устав кооператива содержит сведения об условиях внесения и о размере паевых взносов; об ответственности членов кооператива за нарушение обязательств по внесению паевых взносов; о порядке распределения прибыли и убытков кооператива и другие вопросы.
Число членов кооператива не должно быть менее пяти.
Имущество, находящееся в собственности производственного кооператива, делится на паи его членов в соответствии с уставом предприятия. Кооператив не вправе выпускать акции. Прибыль кооператива распределяется между его членами в соответствии с трудовым участием, если иной порядок не предусмотрен законом или уставом кооператива.
Высшим органом управления кооператива является общее собрание его членов.
Унитарное предприятие это коммерческая организация, не наделенная правом собственности на закрепленное за ней имущество, Имущество унитарного предприятия является неделимым и не может быть распределено по вкладам (долям, паям), в том числе между работниками предприятия.
Устав унитарного предприятия должен содержать сведения о предмете и целях его деятельности, о размерах уставного фонда предприятия, порядке и источниках его формирования.
В форме унитарных предприятий могут быть созданы только государственные и муниципальные предприятия.
Имущество государственного или муниципального унитарного предприятия находится соответственно в государственной или муниципальной собственности и принадлежит такому предприятию на правах хозяйственного ведения или оперативного управления.
Унитарное предприятие, основанное на праве хозяйственного ведения, создается по решению уполномоченного государственного органа или органа местного самоуправления.
Учредительным документом предприятия является его устав, утверждаемый уполномоченным государственным органом или органом местного самоуправления. Размер уставного фонда предприятия не может быть менее суммы, определенной законом о государственных и муниципальных предприятиях. До государственной регистрации предприятия его уставный фонд должен быть полностью оплачен собственником.
Если по окончании финансового года стоимость чистых активов становится меньше размера, определенного законом, предприятие может быть ликвидировано по решению суда.
Унитарное предприятие, основанное на праве оперативного управления, или федеральное казенное предприятие, создается по решению Правительства РФ на базе имущества, находящегося в федеральной собственности. Учредительным документом казенного предприятия является его устав, утверждаемый Правительством РФ. Казенное предприятие может быть реорганизовано или ликвидировано по решению Правительства РФ.
Российская Федерация несет субсидиарную ответственность по обязательствам казенного предприятия при недостаточности его имущества.
По данным официальной статистики, российские предприятия и организации распределяются по организационно-правовым формам следующим образом (по состоянию на I января 1997 г., % к общему числу зарегистрированных предприятий)
1:
Всего предприятий (организаций) ...................... 2 249 319
В том числе:
коммерческие организации ......................... 82,0
государственные предприятия ....................... 10,7
муниципальные предприятия ........................ 3,9
акционерные общества и товарищества ................. 39,8
из них: акционерные общества открытые ................ 2,3
закрытые, общества с ограниченной ответственностью ....29,4
крестьянские (фермерские) хозяйства, объединения крестьянских хозяйств и т.п. ............... 11,0
3. Объединения предприятий
На практике сложились типы объединений, которые различаются в зависимости от целей объединения, характера хозяйственных отношений между их участниками, степени самостоятельности входящих в объединение предприятий. Это картели, синдикаты, пулы, тресты, концерны, промышленные холдинги, финансовые группы.
Картель представляет собой объединение, как правило, предприятий одной отрасли, предполагающее совместную коммерческую деятельность, т.е. регулирование сбыта с помощью установленных квот, товарных цен, условий реализации. Для картеля характерно наличие следующих признаков:
договорной характер объединения;
сохранение права собственности участников картеля на свои предприятия и обеспечиваемая этим хозяйственная, финансовая и юридическая самостоятельность;
совместная деятельность по реализации продукции, которая может распространяться, хотя и в ограниченной степени, на ее производство.
Синдикат разновидность картельного соглашения, которое предполагает сбыт продукции его участников через единый сбытовой орган, создаваемый в форме акционерного общества или общества с ограниченной ответственностью. Участники синдиката, как и картеля, сохраняют свою юридическую и коммерческую самостоятельность, а иногда и собственную сбытовую сеть, которая тесно связана с синдикатской сбытовой конторой или обществом. Форма синдиката наиболее распространена в отраслях с массовой однородной продукцией: горнодобывающей, металлургической, химической.
К объединениям картельного типа относятся также пулы. Пулом называется объединение предпринимателей, предусматривающее особый порядок распределения прибыли его участников. Прибыли участников пула поступают в «общий котел», а затем распределяются между ними в заранее установленной пропорции.
Трест представляет собой объединение, в котором различные предприятия, ранее принадлежащие разным предпринимателям, сливаются в единый производственный комплекс, теряя свою юридическую и хозяйственную самостоятельность. В тресте объединяются все стороны хозяйственной деятельности предприятий, а не одна какая-нибудь сторона, как в картеле или синдикате. Форма треста удобна для организации комбинированного производства, т.е. объединения в одной компании предприятий разных отраслей промышленности, либо представляющих собой последовательные ступени обработки сырья, либо играющих вспомогательную роль одна по отношению к другой.
Концерн - это объединение самостоятельных предприятий, связанных посредством системы участия, персональных уний, патентно-лицензионных соглашений, финансирования, тесного производственного сотрудничества.
Концерн обычно является объединением производственного характера, в которое входят предприятия разных отраслей, в зависимости от чего концерны носят характер «вертикальных» или «горизонтальных» объединений. Вертикальное объединение охватывает предприятия разных отраслей промышленности, производственный процесс которых взаимосвязан (например, горнодобывающие, металлургические и машиностроительные). Горизонтальные объединения охватывают предприятия разных отраслей производств, не связанных между собой.
Объединенные в концерн предприятия остаются юридическими лицами в форме акционерных обществ или иных хозяйственных объединений, но имеют общее руководство, осуществляемое головной компанией (холдингом).
Холдинг представляет собой «держательскую» (материнскую, головную) компанию, которая, обладая контрольным пакетом акций предприятий, объединенных в единую структуру, обеспечивает управление ими и контроль над их деятельностью.
Холдинговые структуры являются многофакторными комплексными образованиями, обеспечивающими последовательное объединение производственных и капитальных ресурсов, создание крупномасштабных дифференцированных производств, ориентированных на разработку и внедрение новейших технических решений, реализацию различных инвестиционных программ.
Объектом планирования являются элементы балансовой прибыли.
Прибыль от реализации продукции (работ, услуг) это финансовый результат, полученный от основной деятельности предприятия, которая может осуществляться в любых видах, зафиксированных в его уставе и не запрещенных законом. Прибыль от реализации продукции рассчитывается как разность между выручкой от реализации (без НДС и акцизов) и затратами на производство и реализацию.
По реализации продукции, имеющей натурально-вещественную форму, расчет прибыли ведется исходя из выручки и полной себестоимости продукции, определяемыми на объем реализуемой продукции в натуральном выражении:
Прибыль от выполнения работ или оказания услуг рассчитывается аналогично прибыли от реализации продукции.
Прибыль (убыток) от реализации основных средств и иного имущества предприятия представляет собой финансовый результат, несвязанный с основными видами деятельности предприятия. Он отражает прибыль (убыток) от прочей реализации, к которой относится продажа на сторону различных видов имущества, числящегося на балансе предприятия.
Финансовые результаты от внереализационных операций это прибыль (убыток) по операциям различного характера, не относящимся к основной деятельности предприятия и не связанным с реализацией продукции, основных средств, иного имущества предприятия, выполнения работ, оказания услуг. В состав внереализационных прибылей (убытков) включается сальдо полученных и уплаченных штрафов, пени, неустоек и других видов санкций, а также другие доходы:
прибыль прошлых лет, выявленная в отчетном году;
доходы от дооценки товаров;
поступления сумм в счет погашения дебиторской задолженности, списанной в прошлые годы;
положительные курсовые разницы по валютным счетам и операциям в иностранной валюте;
проценты, полученные по денежным средствам, числящимся на счетах предприятия.
К ним также относится доход от долевого участия в уставном капитале других предприятий, представляющий собой часть чистой прибыли, которая поступает учредителям в заранее оговоренном размере или в виде дивидендов по акциям, которыми владеет учредитель. Доходами от ценных бумаг являются проценты по облигациям и краткосрочным казначейским обязательствам. Предприятие имеет право на получение дохода по ценным бумагам акционерных обществ, если они приобретены не позднее, чем за 30 дней до официально объявленной даты их выплаты.
По государственным ценным бумагам право и порядок получения доходов определяются условиями их выпуска и размещения.
По средствам, предоставляемым взаймы, предприятие получает доходы по условиям договора между кредитором и ссудозаемщиком.
Доходы от сдачи имущества в аренду формируются из получаемой арендной платы, которую арендатор платит арендодателю. Прибыль от использования арендованного имущества является обязательной частью арендной платы и зависит от его стоимости рентабельности предприятия, срока аренды. В зависимости от условий договора арендная плата может включать амортизационные отчисления или их часть, если арендатор берет на себя определенные обязательства по восстановлению основных фондов.
Прибыль включается в арендную плату как процент от стоимости имущества.
Кроме того, к внереализационным результатам относятся расходы и потери:
убытки по операциям прошлых лет;
недостача материальных ценностей, выявленных при инвентаризации;
отрицательные курсовые разницы по валютным счетам и операциям в иностранной валюте;
некомпенсируемые потери от стихийных бедствий с учетом затрат по предотвращению и ликвидации стихийных бедствий и т.д.
Процесс формирования прибыли может быть представлен следующей схемой ( 20.1):
20.1. Схема формирования прибыли хозяйствующего субъекта
3. Планирование прибыли и порядок ее распределения на предприятиях различных организационных форм
Планирование прибыли производится раздельно по всем видам деятельности предприятия. В процессе планирования прибыли учитываются все факторы, которые могут оказывать влияние на финансовые результаты.
В условиях стабильных цен и возможности прогнозирования условий хозяйствования планы по прибыли, как правило, разрабатываются на год. Предприятия могут также составлять планы по прибыли на квартал.
Объектом планирования являются элементы балансовой прибыли. При этом особое значение имеет планирование прибыли от реализации продукции, выполнения работ, оказания услуг.
Методы планирования прибыли
На практике применяются различные методы планирования прибыли. Наиболее распространенным является метод прямого счета.
При прямом счете планируемая прибыль на продукцию, подлежащую реализации в предстоящем периоде, определяется как разница между планируемой выручкой от реализации продукции в действующих ценах (без налога на добавленную стоимость, акцизов, торговых и сбытовых скидок) и полной себестоимостью продукции, реализуемой в предстоящем периоде. Этот метод расчета наиболее эффективен при выпуске небольшого ассортимента продукции.
Метод прямого счета используется при обосновании создания нового или расширения действующего предприятия либо при осуществлении какого-либо проекта. Разновидностью метода прямого счета является метод по ассортиментного планирования прибыли (т.е. определения прибыли по каждой ассортиментной группе).
Достоинством метода прямого счета является его простота. Однако его целесообразно использовать при планировании прибыли на краткосрочный период.
Для составления плана прибыли используются и другие методы, например, анализ лимита рентабельности, прогноз рентабельности, анализ перекрытия ликвидности, а также другие аналитические методы.
Анализ лимита рентабельности позволяет оценить взаимосвязь плановой прибыли и эластичности предприятия по отношению к колебаниям величины расходов при обороте капитала. Обычно строится система графиков, показывающих эту зависимость. Расчеты производятся по следующим формулам:
или
Важное значение имеет разрыв, существующий между минимальным оборотом, необходимым для покрытия расходов, и запланированным оборотом. Именно эта разность характеризует степень свободы предприятия в планировании оборота капитала,
Прогноз рентабельности вложенного капитала основан на анализе соотношений следующих величин:
Анализ перекрытия ликвидности основан на соотношении издержек предприятия, являющихся денежными расходами, и амортизацией. В этом случае определяется минимальная величина оборота капитала, необходимая для сохранения ликвидности предприятия ( 20.2):
Аналитический метод планирования прибыли основан на построении многофакторных моделей. Он учитывает влияние различных факторов на результаты деятельности предприятия.

20.2. Определение точки ликвидности
Принципы распределения прибыли
Главное требование, которое предъявляется сегодня к системе распределения прибыли, остающейся на предприятии, заключается в том, что она должна обеспечить финансовыми ресурсами потребности расширенного воспроизводства на основе установления оптимального соотношения между средствами, направляемыми на потребление и накопление.
При распределении прибыли, определении основных направлений ее использования, прежде всего, учитывается состояние конкурентной среды, которая может диктовать необходимость существенного расширения и обновления производственного потенциала предприятия. В соответствии с этим определяются масштабы отчислений от прибыли в фонды производственного развития, ресурсы которых предназначаются для финансирования капитальных вложений, увеличения оборотных средств, обеспечения научно-исследовательской деятельности, внедрения новых технологий, перехода на прогрессивные методы труда и т.п. Общая схема распределения прибыли предприятия приведена на 20.3.
= + +
20.3. Распределение чистой прибыли предприятия
Для каждой организационно-правовой формы предприятия законодательно установлен соответствующий механизм распределения прибыли, остающейся на распоряжении предприятия, основанный на особенностях внутреннего устройства и регулирования деятельности предприятий соответствующих форм собственности.
На любом предприятии объектом распределения является балансовая прибыль предприятия. Под ее распределением понимается направление прибыли в бюджет и по статьям использования на предприятии. Законодательно распределение прибыли регулируется в той ее части, которая поступает в бюджеты различных уровней в виде налогов и других обязательных платежей.
Определение же направлений расходования прибыли, остающейся в распоряжении предприятия, структуры статей ее использования находится в компетенции самого предприятия.
Государство не устанавливает каких-либо нормативов распределения прибыли, но через порядок предоставления налоговых льгот стимулирует направление прибыли на капитальные вложения производственного и непроизводственного характера, на благотворительные цели, финансирование природоохранных мероприятий, расходов по содержанию объектов и учреждений непроизводственной сферы и т.п. Законодательство ограничивает размер резервного фонда предприятия, регулирует порядок формирования резерва по сомнительным долгам.
Порядок распределения и использования прибыли предприятия фиксируется в его уставе и определяется положением, которое разрабатывается соответствующими подразделениями экономических и финансовых служб и утверждается руководящим органом предприятия.
Общая характеристика рыночного механизма
Важное значение, поэтому приобретает не только цена, но и неценовые факторы: реклама, условия продажи, наличие или отсутствие гарантийного ремонта, возможность покупки в рассрочку и т.п.
В условиях монополистической конкуренции нет высоких барьеров для вступления новых предприятий в отрасль. Легкость вступления не означает, однако, полного отсутствия каких-либо барьеров. Ими могут быть патенты, торговые марки и т.п., но в отличие от чистой монополии они не носят исключительного характера, поскольку патентуются товары-субституты.
При значительной дифференциации производимой продукции трудно найти два предприятия, производящих совершенно аналогичный продукт или услугу. Границы отрасли нередко оказываются размытыми. Каждое предприятие проводит самостоятельную ценовую политику и осуществляет товарную стратегию, а с другой стороны, тайный сговор между ними и проведение единой рыночной политики затруднительны, как практически невозможны предсказание и учет действий всех участников монополистической конкуренции.
Монополистическая конкуренция широко представлена в отраслях, производящих предметы потребления, и в сфере услуг.
Олигополия рыночная структура, при которой в отрасли действует ограниченное число продавцов, а вход в отрасль новых предприятий ограничен высокими барьерами. Олигополия может возникать в отраслях, производящих как стандартизованные товары (алюминий, медь), так и дифференцированные (автомобили, стиральные порошки, сигареты, электробытовые приборы).
В условиях олигополии несколько предприятий контролируют основную часть рынка. Обычно выделяют жесткую (классическую) олигополию, при которой главную роль играют 34 фирмы, и мягкую (аморфную) олигополию, когда основная часть продукции выпускается 68 предприятиями.
Олигопольная ситуация обычно порождается наличием высоких барьеров для вступления в отрасль. Они могут быть связаны с эффектом масштаба экономически эффективным в ряде отраслей (например, в автомобильной промышленности) оказывается только крупномасштабное производство, патентной монополией (например, в наукоемких отраслях), монопольным контролем над редкими источниками сырья (например, в нефтедобыче), высокими расходами на рекламу (например, в производстве прохладительных напитков или шоу-бизнесе), другими естественно сложившимися или искусственно созданными барьерами.
Характерной особенностью олигополии является высокая взаимозависимость число предприятий настолько ограничено, что каждое из них вынуждено при формировании экономической политики (принятии решений по ценам и объему производства) принимать во внимание реакцию со стороны конкурентов.
В условиях олигополии возможны два варианта поведения предприятия: некооперативное и кооперативное. При некооперативном поведении каждое предприятие самостоятельно решает проблемы определения цены и объема производства, не оглядываясь на действия или возможную ответную реакцию со стороны других фирм отрасли. Такое поведение может быть характерно для «ведущей фирмы», которая осуществляет контроль более чем над половиной рынка, или для предприятия, начинающего ценовую войну.
Ценовая война постепенное снижение существующего уровня цен с целью вытеснения конкурентов с олигополистического рынка.
При кооперативном поведении предприятия-олигополисты учитывают и согласовывают рыночные стратегии и тактики. Одни фирмы пытаются предвидеть поведение соперников, другие предпочитают действовать сообща, договариваясь о единой политике цен, о разделе рынков сбыта и т.п. Стремление предприятий к совместным действиям находит свое отражение в образовании картелей, негласных соглашениях или даже в простом следовании за ценовым лидером в отрасли.
Если между участниками соглашения достигается твердая договоренность о ценах, разделе рынка и других способах ограничения конкуренции, то олигополия фактически превращается и чистую монополию.
Укажем также на некоторые другие формы несовершенной конкуренции, с которыми может столкнуться предприятие на различных рынках.
Самым «плохим» для потребителя случаем является рыночная ситуация, при которой монополия практикует ценовую дискриминацию. Ценовая дискриминация состоит в том, что одинаковые товары монополия продает разным потребителям по разным ценам.
Цены могут различаться в зависимости от дохода потребителя, объема потребления, времени покупки и т.п., т.е. их различия никак не связаны с различием издержек (затрат на производство). Предприятия, использующие ценовую дискриминацию, обычно присваивают часть потребительского излишка.
Совершенно иная ситуация складывается для потребителя в условиях монополии монополии со стороны покупателя. Покупатель-монополист имеет возможность покупать предлагаемые экономические блага по наиболее низкой цене.
Особой ситуацией является двусторонняя монополия. Двусторонняя монополия рыночная структура, при которой монополисту противостоит монополист (единственный продавец сталкивается с единственным покупателем).
2. Предприятие в рыночном механизме
Общая характеристика рыночного механизма
Рынок представляет собой социальный (общественный) организм, обеспечивающий постоянную связь между производителями и потребителями экономических благ через процесс взаимного приспособления (выравнивания) спроса и предложения, формирования рыночных цен. Основными составляющими рыночного механизма являются спрос, предложение и цена.
Спрос. Спрос характеризует желание (и возможность) потребителей купить определенное количество товара по определенной цене.
Спрос зависит от различных факторов; наиболее отчетливо проявляется зависимость спроса от цены: чем ниже цена блага, тем большее его количество (при прочих равных условиях) готовы купить потребители, тем выше на него спрос.
Кроме цены на спрос влияют и другие факторы: увеличение (или сокращение) доходов потребителя; изменение вкусов и предпочтений; ценовые и дефицитные ожидания; колебание расходов на рекламу; изменение цен на товары-заменители (товары-субстатуты) и дополнительные (комплиментарные) блага; число потребителей в отрасли и др.
Для анализа функциональных зависимостей спроса в экономической теории используются понятия закона спроса и функции спроса.
Закон спроса показывает обратную связь между ценой и количеством покупаемого продукта. Функция спросафункция, определяющая величину спроса в зависимости от влияющих на него факторов. В общем виде:
Qd = F(P, I, T, Рsub, Рcom, N, В),
где Qd величина спроса; Р цена товара; / уровень дохода потребителей; Т количественное выражение предпочтений (вкусов и ожиданий) потребителей; Рsub цена на товары, субституты; Рcom цена на комплиментарные товары; N количество потребителей; В прочие факторы. Зависимость спроса от различных факторов может быть проиллюстрирована графически, для чего обычно строится кривая спроса ( 3.1).
Кривая спросакривая, показывающая, какое количество экономического блага покупатели готовы купить по разным ценам в данный момент времени. Изменение цен означает движение по кривой спроса; воздействие неценовых факторов сдвигает кривую спроса вправо или влево.
Предложение. Предложение количество экономического блага, которое продавцы готовы предложить потребителям по определенной цене. Предложение товаров также неразрывно связано с ценой, но зависимость эта прямая: чем выше цена, тем больше товара (при прочих равных условиях) готовы предложить продавцы.
Прямая связь между ценой и количеством предлагаемого продукта называется законом предложения. Зависимость количества приобретенных благ от уровня цен графически иллюстрируется с помощью кривой предложения ( 3.2.). Кривая предложения кривая, показывающая какое количество экономического блага производители готовы продать по разным ценам в данный производители готовы продать, но разным ценам в данный момент времени.
Изменение цены означает движение по кривой предложения.

Кроме цены на предложение влияют и другие факторы:
изменение технологии производства (если вводится более совершенная технология, то снижаются издержки и выпускается больше продукции);
изменение ресурсных цен (снижение цен на ресурсы ведет к увеличению предложения товара);
изменение налогов и субсидий (повышение налогов снижает величину предложения, а субсидии приводят к расширению производства);
изменение числа товаропроизводителей (чем больше их, тем больше количество предлагаемого товара);
ценовые и дефицитные ожидания агентов рыночной экономики.
Функция предложения определяет предложение в зависимости от влияющих на него факторов. В общем виде:
Qs,=F(P, Pr T, K, N, B),
где Qs,величина предложения; Р цена товара; Рrцена ресурсов; Tналоги и субсидии; К уровень технологии; Нколичество продавцов; В прочие факторы.
Изменение неценовых факторов приводит к сдвигу кривой предложения вправо или влево.
Равновесная цена. Рынки передают информацию в форме цен продавцам и покупателям товаров и услуг. Продавцы и покупатели планируют свою деятельность на основе этой информации и своих знаний.
Как показывают кривые спроса и предложения, при каждой цене люди планируют купить или продать определенное количество товара.
Общие подразделения Производственные подразделения
Ключевыми фигурами в управлении организациями с дивизиональной структурой становятся не руководители функциональных подразделений, а управляющие (менеджеры), возглавляющие производственные отделения.
Структуризация организации по отделениям производится обычно по одному из трех критериев: по выпускаемой продукции или предоставляемым услугам (продуктовая специализация), по ориентации на потребителя (потребительская специализация), по обслуживаемым территориям (региональная специализация).
Организация подразделений по продуктовому принципу ( 11.4) является одной из первых форм дивизиональной структуры, и в настоящее время большинство крупнейших производителей потребительских товаров с диверсифицированной продукцией используют продуктовую структуру организации.
При использовании дивизионально продуктовой структуры управления создаются отделения по основным продуктам. Руководство производством и сбытом какого-либо продукта (услуги) передаются одному лицу, которое является ответственным за данный тип продукции. Руководители вспомогательных служб подчиняются ему.
Общие подразделения Производственные подразделения
11.4. Продуктовая структура управления
Некоторые предприятия производят большой ассортимент товаров или услуг, которые отвечают запросам нескольких крупных групп потребителей или рынков. Каждая группа или рынок имеет четко определенные, или специфические, потребности. Если два или более таких элемента становятся особенно важными для предприятия, оно может использовать организационную структуру, ориентированную на потребителя, при которой все ее подразделения группируются вокруг определенных групп потребителей ( 11.5).
11.5. Организационная структура, ориентированная на потребителя
Данный тип организационной структуры находит применение в достаточно специфичных областях, например, в сфере образования, где в последнее время наряду с традиционными общеобразовательными программами возникли специальные отделения для обучения взрослых, повышения квалификации и т.д. Примером активного использования организационной структуры, ориентированной на потребителя, являются коммерческие банки. Основные группы потребителей, пользующихся их услугами, индивидуальные клиенты (частные лица), пенсионные фонды, трастовые фирмы, международные финансовые организации.
Организационные структуры, ориентированные на покупателя, в равной степени характерны для торговых форм, торгующих оптом и в розницу.
Если деятельность предприятия охватывает большие географические зоны, особенно в международном масштабе, то может оказаться целесообразной организационная структура по территориальному принципу, т.е. по месту расположения ее подразделений (рис 11.6). Региональная структура облегчает решение проблем, связанных с местным законодательством, обычаями и нуждами потребителей. Такой подход упрощает связь предприятия с клиентами, а также связь между его подразделениями.

11.6. Региональная организационная структура
Хорошо знакомым примером региональных организационных структур могут служить сбытовые подразделения крупных предприятий. Среди них зачастую можно встретить подразделения, деятельность которых охватывает весьма обширные географические зоны, которые в свою очередь делятся на более мелкие подразделения, поделенные на еще более мелкие блоки.
Преимущества и недостатки
Различные типы дивизиональной структуры имеют одну и ту же цель обеспечить более эффективную реакцию предприятия на тот или иной фактор окружающей среды.
Продуктовая структура позволяет легко справиться с разработкой новых видов продукции, исходя из соображений конкуренции, совершенствования технологии или удовлетворения потребностей покупателей. Региональная структура позволяет более эффективно учитывать местное законодательство, социально-экономическую систему и рынки по мере географического расширения рыночных зон. Что касается структуры, ориентированной на потребителя, то она дает возможность наиболее эффективно учитывать запросы тех потребителей, от которых предприятие более всего зависит.
Таким образом, выбор дивизиональной структуры должен быть основан на том, какой из этих факторов наиболее важен с точки зрения обеспечения реализации стратегических планов предприятия и достижения его целей.
Дивизиональная структура существенно ускоряет реакцию предприятия на изменения, происходящие во внешней среде. В результате расширения границ оперативно-хозяйственной самостоятельности отделения рассматриваются как центры прибыли, активно использующие предоставленную им свободу для повышения эффективности работы.
В то же время дивизиональные структуры управления привели к росту иерархичности, т.е. вертикали управления. Они потребовали формирования промежуточных уровней управления для координации работы отделений, групп и т.п. Дублирование функций управления на разных уровнях в конечном счете привело к росту затрат на содержание управленческого аппарата.
3. Адаптивные структуры управления
Особенности и области применения
Адаптивные, или органические, структуры управления обеспечивают быструю реакцию предприятия на изменения внешней среды, способствуют внедрению новых производственных технологий. Эти структуры ориентируются на ускоренную реализацию сложных программ и проектов, могут применяться на предприятиях, в объединениях, на уровне отраслей и рынков. Обычно выделяют два типа адаптивных структур: проектный и матричный.
Проектная структура формируется при разработке организацией проектов, под которыми понимаются любые процессы целенаправленных изменений в системе, например, модернизация производства, освоение новых изделий или технологий, строительство объектов и т.п. Управление проектом включает определение его целей, формирование структуры, планирование и организацию выполнения работ, координацию действий исполнителей.
Одной из форм проектного управления является формирование специального подразделения проектной команды, работающей на временной основе. В ее состав обычно включают необходимых специалистов, в том числе и по управлению. Руководитель проекта наделяется так называемыми проектными полномочиями.
В их числе ответственность за планирование проекта, за состояние графика и ход выполнения работ, за расходование выделенных ресурсов, в том числе и за материальное поощрение работающих. В связи с этим большое значение придается умению руководителя сформировать концепцию управления проектом, распределить задачи между участниками команды, четко определять приоритеты и ресурсы, конструктивно подходить к разрешению конфликтов. По завершении проекта структура распадается, а сотрудники переходят в новую проектную структуру или возвращаются на свою постоянную должность (при контрактной работе увольняются). Такая структура обладает большой гибкостью, но при наличии нескольких целевых программ или проектов приводит к дроблению ресурсов и заметно усложняет поддержание и развитие производственного и научно-технического потенциала организации как единого целого.
При этом от руководителя проекта требуется не только управление всеми стадиями жизненного цикла проекта, но и учет места проекта в сети проектов данной организации.
С целью облегчения задач координации в организациях создаются штабные органы управления из руководителей проектов или используются так называемые матричные структуры.
Матричная структура ( 11.7) представляет собой решетчатую организацию, построенную на принципе двойного подчинения исполнителей: с одной стороны, непосредственному руководителю функциональной службы, которая предоставляет персонал и техническую помощь руководителю проекта, с другой руководителю проекта (целевой программы), который наделен необходимыми полномочиями для осуществления процесса управления в соответствии с запланированными сроками, ресурсами и качеством. При такой организации руководитель проекта взаимодействует с двумя группами подчиненных: с постоянными членами проектной группы и с другими работниками функциональных отделов, которые подчиняются ему временно и по ограниченному кругу вопросов. При этом сохраняется их подчинение непосредственным руководителям подразделений, отделов, служб.

11.7. Матричная структура управления
Полномочия руководителя проекта могут варьироваться от полной власти над всеми деталями проекта до простых канцелярских полномочий. Руководитель проекта контролирует работу всех отделов над данным проектом, руководители функциональных отделов работу своего отдела (и его подразделений) над всеми проектами.
Матричная структура представляет собой попытку использовать преимущества как функционального, так и проектного принципа построения организации и по возможности избежать их недостатков.
Преимущества и недостатки
Матричная структура управления позволяет достичь определенной гибкости, которая никогда не присутствует в функциональных структурах, поскольку в них все сотрудники закреплены за определенными функциональными отделами. В матричных структурах можно гибко перераспределять кадры в зависимости от конкретных потребностей каждого проекта. Матричная организация дает большую возможность координации работ, характерную для дивизиональных структур.
Организация проведения ремонтных работ
На основе вышеприведенных нормативов строится готовый график планово-предупредительного ремонта, охватывающий все имеющееся в эксплуатации оборудование, рассчитывается трудоемкость и материалоемкость ремонтных работ, а также численность ремонтного персонала.
Произведенные расчеты включаются в систему текущего внутрипроизводственного планирования с соответствующим ассигнованием средств и последующим учетом затрат на производство продукции.
Организация проведения ремонтных работ
Снижение расходов на выполнение ремонтных работ одна из целей эффективного ведения хозяйства. Поэтому выполнению ремонтных работ предшествует техническая, материальная и организационная подготовка.
Техническая подготовка характеризуется выполнением проектных работ по разборке и последующей сборке оборудования, составлением ведомости дефектов, поломок и неисправностей. Их устранение требует соответствующей проработки восстановительных работ и операций. В свою очередь материальная подготовка осуществления ремонтных работ сводится к составлению ведомости материалов, комплектующих деталей, инструментов и приспособлений.
Материальная подготовка предполагает наличие достаточного и необходимого запаса сменных деталей, узлов, а также транспортно-подъемных средств.
Организационная подготовка проведения ремонтных работ может быть выполнена с применением одного из следующих методов: централизованным, децентрализованным и смешанным.
Централизованный метод характеризуется тем, что все виды ремонтных работ выполняются силами заводского ремонтно-механического цеха. В том случае, когда они выполняются цеховой службой ремонта, метод называется децентрализованным. Надо отметить, что эти методы имеют очевидные недостатки в виде сложной и дорогостоящей системы организации выполнения работ.
Что касается смешанного метода, то он позволяет с меньшими затратами осуществить ремонтные работы и характеризуется тем, что все виды технического обслуживания и ремонтов, за исключением капитального, выполняет цеховая служба ремонтного хозяйства, а капитальный ремонт ремонтно-механический цех. При этом можно успешно пользоваться приемами узловой замены изношенных блоков путем их изъятия и ремонта на восстановительной базе, а можно выполнять работы по ремонту во время технологического и междусменного простоя оборудования.
- Материально-техническое снабжение предприятия
Основной задачей службы материально-технического снабжения является своевременное и бесперебойное обеспечение предприятия сырьем и материалами, комплектующими и сопутствующими изделиями, разнообразными средствами производства при использовании эффективной и рациональной схемы их закупки.
Служба (отдел) материально-технического снабжения представляет собой организационно-структурное подразделение предприятия, в обязанности которого входят поставка на предприятие основных и вспомогательных материалов, топлива, покупных полуфабрикатов, инструментов и технологической оснастки, оборудования, станков, аппаратов и агрегатов.
В состав звеньев системы материально-технического снабжения входят отдел материально-технического снабжения и находящиеся в его подчинении снабженческие склады.
Характерными видами деятельности служб материально-технического снабжения являются: классификация и индексация материалов, нормирование расходов и запасов материалов, определение потребности предприятия в материалах, организация складского хозяйства и системы обеспечения цехов средствами производства.
Классификация и индексация материалов
Современные предприятия испытывают потребность в разнообразных материалах широкой номенклатуры и ассортимента. С целью удешевления производства, поиска новых материалов, позволяющих улучшить свойства и качество продукции, оздоровления условий производства на предприятии необходимо осуществлять классификацию и индексацию используемых материалов. Эта работа нужна и для совершенствования системы оперативного и бухгалтерского учета.
В основе классификации лежит группировка материалов по однородности характерных признаков с последующим распределением на разделы, подразделы, виды и т.д. Каждому из разделов присваивается соответствующий индекс по десятичной системе.
Классификация и индексация осуществляется в виде таблиц, в которых каждому разделу присвоен индивидуальный индекс классификатора, со ссылкой на технические условия, стандарты или сертификаты, с указанием цены продавца и цены приобретения.
Цена продавца представляет собой цену поставщика и указывается им при заключении договора-поставки. Цена приобретения включает цену продавца, а также все расходы, связанные с приобретением и доставкой материалов, наценку посреднических организаций, транспортные тарифы, затраты по доставке грузов на склады предприятия и цехов.
Нормирование расхода материалов
Классификация материалов служит отправной точкой для нормирования расхода материалов по каждой позиции номенклатуры. В свою очередь нормы расхода материалов закладывают основу для определения потребности is материалах на изготовление единицы продукции с последующим составлением плана снабжения предприятия, расчета себестоимости продукции, выработки стратегии экономного использования материальных ресурсов.
Под нормой расхода материала следует понимать достаточное и необходимое его количество для изготовления единицы продукции. Иными словами, норма расхода материала это определенная мера затрат, которая отражает не сложившуюся ситуацию в производстве продукции, а дает ориентир, придает целенаправленный характер в совершенствовании производства, техники, технологии, вида, фасона выпускаемой продукции. В практике нормирования расхода материалов нашли применение следующие методы установления норм: расчетный и графоаналитический.
Расчетный метод основан на подетальном расчете расхода материалов по чертежам и в целом по технологической документации; графоаналитический метод заключается в сопоставлении фактических расходов материалов и данных протоколов, отражающих количество израсходованного материала при изготовлении опытных образцов с последующим графическим представлением и анализом с применением специальных электронных программ.
Разрабатывая нормы расхода материалов, следует учитывать не только так называемый полезный расход материала, но и невозвратные потери и неутилизируемые отходы, обусловленные несовершенством технологии, организационными причинами, низкой квалификацией работающих.
Качество установленных норм можно оценить следующими показателями: удельный вес отходов производства путем сопоставления массы изделия до обработки и после, коэффициент использования материала по детали и изделию в целом, процент выхода годных изделий.
Разработанные нормы расхода материалов фиксируются в специальных документах по расходу материалов: в картах по детальных норм расхода материалов, в картах раскроя материалов и в ведомостях сводных норм расхода материалов на изделие. Кроме этих документов отдельно разрабатывается форма извещения об изменении норм расхода материалов и правила их ввода в технологический процесс.
Нормирование запасов материалов
Особое внимание в практике нормирования расхода материалов должно быть обращено на нормирование их запаса.
Величина запаса должна обеспечивать предприятию устойчивую, стабильную работу в течение определенного времени и при этом не оказывать ощутимого воздействия на оборачиваемость вложенных в них оборотных средств.
Под нормой запаса материалов понимается их минимальное количество, необходимое для обеспечения текущей потребности производства при установленной схеме завоза материалов, режиме их расходования и запуска в производство.
Запасы материалов можно представить в текущем и страховом запасе.
Переменной частью всего запаса материалов на предприятии является текущий запас, который изменяется от максимального размера в момент завоза материалов почти до нуля, когда вся партия будет израсходована и на очереди новая поставка. Величина текущего запаса зависит от двух показателей: среднесуточного расхода материалов и периодичности завоза материалов.
Страховой запас выполняет иную задачу. Он предназначен для поддержания производственного ритма в заданных параметрах в случае перебоев в поставке материалов или при увеличении объема выпускаемой продукции. Страховой запас зависит от двух величин: среднесуточного расхода материалов и длительности восстановления текущего запаса.
Таким образом, материально-техническое снабжение, выполняя функции обеспечения предприятия производственными ресурсами, способствует не только рациональной организации технологических процессов, но и экономному, рачительному ведению хозяйства.
Организация складского хозяйства
Склады материально-технического снабжения, подчиняясь соответствующему отделу этой службы, входят в общую систему заводского складского хозяйства.
Сущность складского обслуживания сводится к приемке, хранению, учету, подготовке к отпуску и передаче материалов цехам-потребителям.
Подготовка к приемке материалов на складе включает определение места складирования груза, осуществление приемо-сортировочных операций, обеспечение наличия контрольных и весоизмерительных приборов и приспособлений.
Организация внутризаводских перевозок
В свою очередь шахматная таблица с учетом пространственной планировки предприятия является исходным материалом для составления схемы грузопотоков.
Анализ грузопотоков и грузооборота за учетный период дает основание для совершенствования организации транспортного хозяйства, ликвидации чрезмерно дальних перевозок, встречных, возвратных, пустых и не полностью загруженных транспортных средств.
Организация внутризаводских перевозок
Если на предприятии сложились стабильные, устойчивые грузопотоки, а это характерно в основном для массового производства, то перевозки осуществляются согласно графику по постоянным маршрутам и с одинаковой интенсивностью. При неустойчивых грузопотоках в условиях серийного и единичного производства перемещение грузов возможно на основе разовых заданий или укрупненного сменного графика.
Выполнение межцеховых перевозок можно осуществлять, используя одну из схем. Первая схема получила название «маятниковая», или «веерная», а вторая «кольцевая». Для первой схемы характерно одностороннее, двустороннее и веерное движение транспортных средств. Одностороннее движение характеризуется тем, что транспорт перемещает груз только в одну сторону, например, детали перевозятся из гальванического цеха в сборочный. Двустороннее движение осуществляется путем взаимодействия цехов, например, перевозка деталей из механического цеха в термический и обратно.
Собственно маятниковая схема, или веерная, применима при включении в нее склада и поставки через него материалов и деталей в цеха. При этом следует отметить один существенный недостаток этой схемы движения грузов. Транспортные средства, отправляясь со склада в цех, имеют максимальную загрузку, а вот возвращаются пустые.
Это снижает эффективность грузоперевозок по этой схеме и заставляет обратить внимание на кольцевую схему движения транспортных средств. Суть ее состоит в том, что маршрут движения составляется так, чтобы можно было, загрузившись на складе, объехать по очереди цеха и вернуться на склад за новой порцией грузов. Подобная схема получила название «кольцевая с затухающим грузооборотом».
В принципе подобные схемы можно применять при осуществлении как межзаводских, так и межцеховых и внутрицеховых процессов перемещения грузов. В качестве примера приведем организацию процесса перемещения тарно-штучных грузов, что является характерным для большинства предприятий машиностроительного профиля. Для этого, прежде всего, следует осуществить выбор средств механизации и автоматизации процессов перемещения тарно-штучных грузов.
Выбор средств механизации и автоматизации процессов перемещения тарно-штучных грузов является составной частью разработки процессов перемещения и осуществляется на основе принятого технологического процесса производства и экономической оценки сопоставимых вариантов.
Выбранные средства механизации и автоматизации процессов перемещения тарно-штучных грузов должны обеспечивать:
сокращение прямых затрат труда и материальных средств на выполнение операций перемещения;
совершенствование организации производства;
целесообразное применение средств автоматического управления процессами перемещения;
сокращение потерь времени производственных рабочих и повышение коэффициента использования технологического оборудования;
минимальное количество перегрузок;
оптимальное сочетание средств механизации и автоматизации на отдельных этапах процесса перемещения;
гибкость процесса производства и способность к перестройке трассы, маршрута, темпа перемещения при изменении условий производства;
сохранение в процессе перемещения постоянства целесообразно укрупненной грузовой единицы;
необходимые резервы пропускной способности, а также образование запасов и заделов, определяемых условиями производства;
ликвидацию тяжелого физического труда;
безопасность условий труда.
Основным показателем при оценке сопоставимых вариантов средств механизации и автоматизации процессов перемещения грузов является наименьшая величина приведенных затрат.
Выбор средств механизации и автоматизации процессов перемещения тарно-штучных грузов осуществляется таким образом. Сначала проводится анализ и учет факторов, влияющих на выбор, а затем производится непосредственно выбор и определение транспортных средств и производится экономическое обоснование.
При выборе средств механизации и автоматизации процессов транспортировки необходимо учитывать такие факторы, как транспортные свойства грузов (габариты, масса, подверженность повреждениям, огне- и взрывоопасность, необходимость соблюдения пространственной ориентации при перемещении). Кроме того, следует учесть условия перемещения, в состав которых входят количество перемещаемых грузов, маршрут и расстояние перемещения, строительные характеристики зданий, особые условия перемещения грузов. Данные факторы следует учитывать при всех видах перевозок.
Однако необходимо указать на особенности выбора средств перемещения грузов при перевозках между предприятиями, цехами, при внутрицеховых и складских перевозках.
Выбор средств транспортировки при межзаводских перемещениях должен преследовать цели по сокращению стоимости транспортировки грузов, их консервации, упаковки, снижению грузовой массы, рациональной организации труда в местах разгрузки.
Стоимость транспортировки грузов может быть снижена за счет эффективного использования транспортных средств, их вместимости и грузоподъемности, соответствия грузовой единицы размерам транспортных средств, ускорения их оборачиваемости, сохранности груза в пути.
Межцеховые перевозки требуют соблюдения таких условий, как наличие необходимого объема накопления грузов в начале и в конце маршрутов, взаимосвязь и согласованность технологии перемещения с сопряженными с ними внутрицеховыми или складскими операциями, обеспечение фронта загрузки и разгрузки и рациональной организации рабочих мест транспортных рабочих.
При организации складских перевозок необходимо учитывать номенклатуру хранимых материалов, оборачиваемость грузов, периодичность их поступления и выдачи со склада, выполнение на складе операций комплектования, упаковки, выборочного контроля, вид транспорта, поставляющего грузы на склад и со склада в цеха.
Выбирая транспортные средства для внутрицеховых межоперационных перевозок, следует иметь в виду технологию производства и структуру производственного процесса в цехе, влияние выбора средств механизации и автоматизации на создание поточных и механизированных линий обработки и сборки изделий. В свою очередь рациональная организация рабочего места должна обеспечивать наименьшие затраты сил и времени рабочего на выполнение перемещений грузов в ходе производственного процесса.
- Система сбыта продукции
Организация сбыта продукции является завершающей стадией производственного цикла. В условиях рыночной экономики это один из важнейших этапов работы всего предприятия и каждого работника.
Сбыт продукции оказывает влияние на ход производства. Для создания четкой, ритмичной работы предприятия следует уделять внимание равномерному распределению объемов производства по кварталам и месяцам с тем, чтобы продукция ритмично поступала в товаропроводящую сеть. В конечном итоге результативность хозяйственной деятельности предприятия определяется выполнением договоров по номенклатуре и срокам поставок.
Особенности процесса реализации
Процесс реализации продукции можно разделить на четыре периода. Первый период фактически сводится к заключению договоров на поставку продукции. Второй включает составление плана реализации продукции и остатков нереализованной продукции на складе отдела сбыта предприятия. В третьем периоде реализации происходит отгрузка продукции потребителям.
Важное значение этот период имеет при оценке выполнения обязательств по реализации продукции с учетом соблюдения предприятием условий подписанных договоров-поставок. Процесс реализации заканчивается четвертым периодом, который характеризуется поступлением денег на расчетный счет предприятия-поставщика.
На процесс реализации оказывают влияние многие факторы, среди которых можно назвать следующие:
установленные сроки поставки продукции;
увеличение выпуска продукции за счет прироста и улучшения использования производственных мощностей и основных фондов;
производительность труда;
ввод в действие новых мощностей и оборудования;
обеспечение равномерной загрузки производственных подразделений;
повышение серийности производства;
количество рабочих дней в каждом квартале;
сезонность и сменность работы;
сезонность реализации продукции;
возможность выбытия основных фондов, а также остановки отдельных цехов по различным производственно-техническим или организационным причинам;
снятие с производства устаревших, нерентабельных изделий, не находящих потребителей.
Подразделение по сбыту
Решение проблемы повышения надежности, стабильности и доходности производства диктует необходимость создания действенного структурного подразделения предприятия по реализации продукции. Данное подразделение может быть представлено товаропроводящей сетью, в состав которой входят магазины оптовой и розничной торговли, сеть фирменных магазинов и товарных баз.
Основная часть производственного процесса.
Непосредственное взаимодействие этих трех основных факторов и образует содержание производственного процесса.
Принципы рациональной организации
Принципы рациональной организации производственного процесса можно разделить на две категории: общие, не зависящие от конкретного содержания производственного процесса, и специфические, характерные для конкретного процесса.
Общие принципы это принципы, которым должно подчиняться построение любого производственного процесса во времени и пространстве. К ним относятся следующие:
принцип специализации, означающий разделение труда между отдельными подразделениями предприятия и рабочими местами и их кооперирование в процессе производства;
принцип параллельности, предусматривающий одновременность осуществления отдельных частей производственного процесса, связанного с изготовлением определенного изделия; принцип пропорциональности, предполагающий относительно равную производительность в единицу времени взаимосвязанных подразделений предприятия;
принцип прямоточности, обеспечивающий кратчайший путь движения предметов труда от запуска сырья или полуфабрикатов до получения готовой продукции;
принцип непрерывности, предусматривающий максимальное сокращение перерывов между операциям;
принцип ритмичности, означающий, что весь производственный процесс и составляющие его частичные процессы по изготовлению заданного количества продукции должны строго повторяться в равные промежутки времени;
принцип технической оснащенности, ориентированный на механизацию и автоматизацию производственного процесса, устранение ручного, монотонного, тяжелого, вредного для здоровья человека труда.
Содержание производственного процесса
Производственный процесс включает ряд технологических, информационных, транспортных, вспомогательных, сервисных и других процессов.
Производственные процессы состоят из основных и вспомогательных операций. К основным относятся операции, которые непосредственно связаны с изменением форм, размеров и внутренней структуры обрабатываемых предметов, и сборочные операции. Вспомогательными являются операции производственного процесса по контролю качества и количества, перемещению обрабатываемых предметов.
Совокупность основных операций называют обычно технологическим процессом. Он составляет основную часть производственного процесса. Характер технологического процесса в наибольшей степени определяет организационные условия производства построение производственных подразделений, характер и размещение складов и кладовых, направление и протяженность транспортных маршрутов.
Операция часть производственного процесса, выполняемая на одном или нескольких рабочих местах, одним или несколькими рабочими (бригадой) и характеризуемая комплексом последовательных действий над определенным предметом труда.
Основными параметрами производственного процесса являются темп и такт операции. Темп операции это число предметов, запускаемых на операцию (или выпускаемых с нее) за единицу времени. Темп операции (оп) определяется отношением однократного запуска (выпуска) операции (оп) к ее такту (оп):

где t продолжительность выполнения операции; k число рабочих мест для выполнения операции.
Такт операции это время, в течение которого с операции выпускается предмет труда или партия:
Классификация производственных процессов
Различные отрасли промышленного производства, как и предприятия одной отраслевой принадлежности, значительно отличаются друг от друга по характеру создаваемой продукции, используемых средств производства и применяемых технологических процессов. Эти различия порождают исключительное многообразие производственных процессов, протекающих на предприятиях. Важнейшими факторами, определяющими специфику производственных процессов в промышленном производстве, являются: состав готового продукта, характер воздействия на предметы труда (технологический процесс), степень непрерывности процесса, значение различных видов процессов в организации производства продукции, тип производства.
Готовый продукт влияет на производственный процесс своей конструкцией (сложностью и размерами форм), а также требуемой точностью составных частей, физическими и химическими свойствами.
С точки зрения организации производства большое значение имеет также количество компонентов изготовляемого продукта. По этому признаку все производственные процессы разделяются на процессы производства простых и сложных продуктов. Производственный процесс изготовления сложного продукта образуется в результате сочетания ряда параллельных процессов производства простых продуктов и называется синтетическим. Процессы, в результате которых из одного вида сырья получают несколько видов готовой продукции, называются аналитическими.
Чем сложнее продукт и разнообразнее методы его изготовления, тем сложнее и организация производственного процесса.
Преобладание на предприятии того или иного типа процесса производства оказывает большое влияние на его производственную структуру. Так, при синтетических процессах имеет место разветвленная система заготовительных цехов, в каждом из которых происходит начальная переработка сырья и материалов. Затем процесс переходит в более узкий круг обрабатывающих цехов и завершается одним выпускающим цехом.
В этом случае весьма трудоемки работы по материально-техническому обеспечению, внешнему и внутризаводскому кооперированию, управлению заготовительным производством.
При аналитическом процессе один заготовительный цех передает свои полуфабрикаты в несколько обрабатывающих и выпускающих цехов, специализирующихся на изготовлении различного рода продукции. В этом случае предприятие производит значительное число различных видов продукции, имеет большие и разветвленные связи по сбыту, на таких предприятиях обычно развиты побочные производства,
По характеру воздействия на предметы труда производственные процессы разделяются на механические, физические, химические и т.д. По степени непрерывности на непрерывные (отсутствуют перерывы между различными операциями) и дискретные (с технологическими перерывами).
По стадии изготовления готового продукта выделяют заготовительные, обрабатывающие и отделочные производственные процессы.
По степени технической оснащенности бывают ручные, частично и комплексно-механизированные.
4. Производственный цикл
Производственный цикл один из важнейших технико-экономических показателей, который является исходным для расчета многих показателей производственно-хозяйственной деятельности предприятия. На его основе, например, устанавливаются сроки запуска изделия в производство с учетом сроков его выпуска, рассчитываются мощности производственных подразделений, определяется объем незавершенного производства, и осуществляются другие планово-производственные расчеты.
Производственный цикл изготовления изделия (партии) представляет собой календарный период нахождения его в производстве от запуска исходных материалов и полуфабрикатов в основное производство до получения готового изделия (партии).
Структура цикла
Структура производственного цикла включает время выполнения основных, вспомогательных операций и перерывов в изготовлении изделий ( 8.2).

8.2. Структура производственного цикла
Время выполнения основных операций обработки изделий составляет технологический цикл и определяет время, в течение которого осуществляется прямое или косвенное воздействие человека на предмет труда.
Перерывы могут быть разделены на две группы: 1) перерывы, связанные с установленным на предприятии режимом работы, нерабочие дни и смены, междусменные и обеденные перерывы, внутрисменные регламентированные перерывы для отдыха рабочих и т.п.; 2) перерывы, обусловленные организационно-техническими причинами, ожидание освобождения рабочего места, ожидание на сборке комплектующих узлов и деталей, неравенство производственных ритмов на смежных, т.е. зависимых друг от друга, рабочих местах, отсутствие энергии, материалов или транспортных средств и т.д.;

При расчете длительности производственного цикла учитываются лишь те затраты времени, которые не перекрываются временем технологических операций (например, затраты времени на контроль, транспортирование изделий). Перерывы, вызванные организационно-техническими неполадками (несвоевременное обеспечение рабочего места материалом, инструментами, нарушение трудовой дисциплины и т.п.), при расчете плановой длительности производственного цикла не учитываются.
При расчете продолжительности производственного цикла необходимо учитывать особенности движения предмета труда по операциям, существующим на предприятии. Обычно используется один из трех видов; последовательный, параллельный, параллельно-последовательный.
При последовательном движении обработка партии одноименных предметов труда на каждой последующей операции начинается лишь тогда, когда вся партия прошла обработку на предыдущей операции.
Допустим, что требуется обработать партию, состоящую из трех изделий (п = 3), при этом число операций обработки (т = 4), нормы времени по операциям составляют, мин: t1 = 10, t2 = 40, t3 = 20, t4=10.
Основная заработная плата производственных рабочих
При группировке по статьям калькуляции затраты объединяются по направлениям их использования, по месту их возникновения: непосредственно в процессе изготовления продукции, в обслуживании производства, в управлении предприятием и т.д.
Типовая группировка затрат по статьям калькуляции имеет следующий вид:
1) сырье, основные материалы, полуфабрикаты, комплектующие изделия (за вычетом возвратных отходов);
2) вспомогательные материалы;
3) топливо на технологические цели;
4) энергия на технологические цели;
5) основная заработная плата производственных рабочих;
6) дополнительная заработная плата производственных рабочих;
7) отчисления на социальные нужды по заработной плате производственных рабочих;
8) расходы на содержание и эксплуатацию оборудования;
9) расходы на подготовку и освоение нового производства;
10) цеховые расходы;
Цеховая себестоимость
11) общепроизводственные расходы;
12) потери от брака:
Производственная себестоимость товарной продукции
13) внепроизводственные расходы;
Полная себестоимость товарной продукции.
В приведенной классификации первые семь статей затрат осуществляются непосредственно на рабочем месте и прямо относятся на себестоимость каждого вида продукции. Все другие статьи являются комплексными, собирающими затраты по обслуживанию и управлению производством.
Расходы по содержанию и эксплуатации оборудования включают затраты на техническое обслуживание машин и механизмов, расходы на текущий и капитальный ремонт оборудования, цехового транспорта и инструментов, амортизацию основных фондов, закрепленных за цехами, износ малоценных и быстроизнашивающихся предметов и др. В статью «Расходы на подготовку и освоение нового производства» входят затраты некапитального характера: совершенствование технологии, переналадка оборудования, изготовление специального оборудования и оснастки и т.д. В состав цеховых расходов включаются затраты на управление цехов основного производства: заработная плата цехового персонала, расходы на амортизацию, текущий ремонт, отопление, освещение, уборку зданий и цеховых помещений, износ инвентаря и малоценных предметов общецехового назначения и др. «Общепроизводственные расходы» направляются на покрытие затрат по управлению и обслуживанию общехозяйственных нужд предприятия: аппарата управления, содержание зданий, территории, транспорта и проч., имеющих общепроизводственное назначение.
Внепроизводственные расходы включают затраты, связанные с реализацией продукции (упаковка, отгрузка, реклама, сбытовая сеть, комиссионные и др.), а также различного рода отчисления и платежи.
Определение себестоимости продукции
Расчет себестоимости единицы конкретного вида продукции или работ осуществляется посредством калькулирования по установленным статьям затрат. Различают плановую, нормативную, сметную и фактическую калькуляции. Плановая калькуляция отражает планируемые затраты на изготовление продукции на предстоящий период. Нормативная калькуляция включает затраты, исчисленные на базе установленных (как правило, оптимальных, желаемых для достижения) норм материальных и трудовых затрат и смет по обслуживанию производства.
Сметные калькуляции разрабатываются на новую продукцию, впервые выпускаемую предприятием, которая требует разработки соответствующей нормативной базы. Фактическая калькуляция это отчетная калькуляция, отражающая общую сумму фактически использованных затрат на производство и реализацию продукции.
При разработке калькуляции на единицу продукции затраты, как известно, подразделяются на прямые и косвенные. Прямые затраты можно сразу же отнести на себестоимость единицы каждого вида изделий: сырье, материалы, энергия технологическая, заработная плата основных рабочих и т.д.
Прямые материальные затраты включаются в себестоимость на основе установленных норм расхода и цен на данный вид ресурса. Основная заработная плата производственных рабочих определяется исходя из действующих норм труда (выработки, времени) и сдельных расценок (при сдельной оплате труда), или нормативных ставок оплаты (при повременной оплате труда).
После определения возможного набора прямых затрат все остальные затраты относятся к косвенным и распределяются между всеми видами продукции пропорционально выбранной базе. Так, дополнительная оплата труда и отчисления на социальные нужды распределяются пропорционально основной заработной плате. Цеховые и общепроизводственные расходы могут быть разделены либо в соотношении прямых затрат, либо по доле расходов на содержание и эксплуатацию оборудования.
Иногда расходы по содержанию оборудования невозможно отнести на определенную продукцию. Тогда их учитывают в составе цеховых расходов и соответственно распределяют.
Для определения объема косвенных затрат предварительно разрабатываются сметы вспомогательных и обслуживающих цехов, расходов на управление и др. На их основе планируются затраты по комплексным статьям калькуляции: расходы на содержание и эксплуатацию оборудования, цеховые и общепроизводственные расходы, расходы на подготовку нового производства. Эти затраты планируются в сметном и калькуляционном разрезе и используются как для определения себестоимости единицы изделий, так и всей товарной и валовой продукции.
Расчет себестоимости на основе установленных норм прямых затрат и разработки плановых комплексных статей принято называть методом норм, или методом прямого счета. Надежность расчетов обеспечивается экономически обоснованной системой норм и нормативов затрат. Несмотря на высокую трудоемкость расчетов, этот метод планирования себестоимости является основным на предприятиях.
При предварительных расчетах и на ранних стадиях разработки бизнес-планов используется метод расчетов по технико-экономическим факторам, или аналитический. Его сущность заключается в определении влияния отдельных факторов в плановом периоде на установленный базовый показатель уровень затрат на рубль продукции. В качестве основных факторов, как правило, принимаются: изменение спроса на продукцию и объема производства, сдвиги в ассортименте продукции, повышение технического уровня производства, совершенствование организации производства, труда, управления и проч.
Учитывается влияние и внешних факторов.
При разработке перспективных бизнес-планов калькулирование себестоимости может производиться параметрическим методом, устанавливающим взаимосвязи между динамикой себестоимости изделий и изменениями их базовых качественных характеристик: надежности, долговечности, мощности, веса, скорости и проч. Этот метод требует достаточной информации, обоснованного выбора параметров продукции, применения достоверных экономико-математических моделей и программ.
В условиях перехода к рыночной экономике предприятия самостоятельно выбирают плановые периоды, методы и формы планирования затрат и себестоимости. С 1997 г. предприятия определяют два варианта себестоимости: один для целей бухгалтерского учета, другой для целей налогообложения. В себестоимость продукции возможно включать все фактически произведенные затраты, что позволяет установить их достоверный уровень, определить реальную себестоимость продукции, прибыль и рентабельность. Фактический объем затрат необходим для ценообразования, для планирования финансовых результатов.
Для целей налогообложения фактическая себестоимость корректируется с учетом утвержденных норм, нормативов и лимитов, устанавливаемых государством по отдельным лимитируемым элементам затрат. Так, расходы на командировки, рекламу, оплату процентов по кредитам банков, по бюджетным ссудам и т.д. включаются в себестоимость в суммах фактических затрат, а для целей налогообложения они учитываются только в установленных пределах либо вообще не принимаются в расчет (например, проценты по просроченным ссудам, ускоренная амортизация, использованная не по назначению и т.п.). Вместе с тем значительный круг затрат по-прежнему принимается в обоих вариантах в пределах установленных нормативов. Так, платежи за выбросы загрязняющих веществ в природную среду в пределах допустимых норм включаются в себестоимость продукции, а за выбросы свыше этих норм покрываются из прибыли.
С 1996 г. предприятиям разрешено включать в себестоимость затраты на создание страховых фондов (резервов) в размере не более 1% объема реализуемой продукции (работ, услуг). Лимитируется стоимость бесплатно выдаваемой одежды, затрат на горюче-смазочные материалы и т.д.
В перспективе предполагается, что предприятия всех видов собственности и организационно-правовых форм будут представлять в государственные органы в качестве открытой финансовой отчетности только сумму затрат на валовую продукцию в разрезе элементов сметы. Калькуляция себестоимости единицы изделий и товарного выпуска продукции, относимая к системе управленческого (производственного) учета, будет использоваться только внутри предприятия ограниченным кругом руководителей.
При планировании себестоимости предприятие кроме калькуляции и сметы затрат на производство разрабатывает сводную шахматную таблицу затрат на производство и реализацию продукции, отражающую взаимосвязи экономических элементов и калькуляционных статей затрат.
Первоначальная сумма вклада называется текущей стоимостью.
Первоначальная сумма вклада называется текущей стоимостью.
При начислении сложного процента находят будущую стоимость путем умножения текущей стоимости на (1 + ставка процента) столько раз, на сколько лет делается расчет:
FV = PV (1+ r)n
где FV будущая стоимость; PV текущая стоимость; r ставка процента; п число лет.
Предположим, что нужно определить, каков должен быть первоначальный вклад, чтобы к концу третьего года он составил 1 руб. 33 коп. исходя из ставки процента 10% в год. Этот неизвестный нам вклад называется текущей стоимостью будущей стоимости в 1 руб. 33 коп.
Процесс определения этой текущей стоимости, обратный начислению сложного процента, и будет дисконтированием.
При дисконтировании находят текущую стоимость путем деления будущей стоимости на (1 + ставка процента) столько раз, на сколько лет делается расчет:
Дисконтирование, как и начисление сложного процента, базируется на использовании процентной ставки. Чтобы упростить расчеты при начислении сложного процента и при дисконтировании, используются специальные таблицы, в которых для каждого года и для каждой процентной ставки заранее вычислены величины (1+ r)n и (1+ r)-n. Эти величины называются соответственно «фактор сложного процента» (множитель наращения) и фактор дисконтирования» (дисконтный множитель).
Как определить ставку процента для дисконтирования, так называемую ставку дисконта? В экономическом анализе ее определяют как уровень доходности, который можно получить по разным инвестиционным возможностям. При финансовом анализе, за ставку дисконта берут типичный процент, под который данная фирма может занять финансовые средства.
Если банки кредитуют фирму по ставке 90%, то это и будет ставкой дисконта.
И в экономическом, и в финансовом анализе дисконтирование это приведение друг к другу потоков доходов (выгод) и затрат год за годом на основе ставки дисконта с целью получения текущей (сегодняшней) стоимости будущих доходов (выгод) и затрат.
В проектном анализе эффективность проекта измеряется его доходностью. Главными показателями доходности проекта являются чистая приведенная стоимость и внутренняя норма доходности.
Показатели доходности проекта
Чистая приведенная стоимость (чистая приведенная величина дохода) определяется как разница между текущей приведенной стоимостью потока будущих доходов (выгод) и текущей приведенной стоимостью потока будущих затрат на реализацию и функционирование проекта во время всего цикла его жизни:

где NPV чистая приведенная стоимость; Rt доход (выгода) от проекта в году t; Ct; затраты на проект в году t; i ставка дисконта, п число лет цикла жизни проекта.
Внутренняя норма доходности (окупаемости) это расчетная процентная ставка, при которой получаемые выгоды (доходы) от проекта становятся равными затратам на проект, т.е. расчетная процентная ставка, при которой чистая приведенная стоимость равняется нулю.
Вычисление внутренней нормы доходности осуществляется обычно на компьютере по специальной программе.
Наряду с рассмотренными есть и другие показатели эффективности проектов, такие, как показатели наименьших затрат, рентабельности, срока окупаемости.
Показатель наименьших затратэто величина расходов на проект по наименее дорогому варианту.
Рентабельность проекта определяется как соотношение между всеми дисконтированными доходами от проекта и всеми дисконтированными расходами на проект.
Срок окупаемости проекта показывает, за какой период времени окупается проект; он рассчитывается на базе недисконтированных расходов. Этот показатель применим для быстрой оценки при выборе альтернативных проектов, но он не учитывает фактора времени. Например, проект с затратами в 100 млн. руб., приносящий ежегодно доходы по 20 млн. руб., имеет 5-летний срок окупаемости, так же как и проект с затратами в 100 млн. руб., который принесет доход в 1 млн. руб. в первый год и 99 млн. руб. в пятый год.
-
Капитальные вложения
Капиталообразующие инвестиции это вложения в новое строительство, расширение, реконструкцию, техническое перевооружение и поддержание действующего производства, а также вложения средств в создание товарно-производственных запасов, прирост оборотных средств и нематериальных активов.
Капитальные вложения составная часть капиталообразующих инвестиций. Они представляют собой затраты, направляемые на создание и воспроизводство основных фондов. Капитальные вложения являются необходимым условием существования предприятия.
Пренебрегая ими, фирма может увеличить свои прибыли в краткосрочном периоде, но в долгосрочном периоде это приведет к потере прибыли, неспособности фирмы конкурировать на рынке.
В состав капитальных вложений входят: затраты на строительно-монтажные работы; затраты на приобретение основных фондов (станки, машины, оборудование); затраты на НИОКР, проектно-изыскательские работы и т.д.; инвестиции в трудовые ресурсы; прочие затраты.
Направления использования
Важнейшими направлениями использования капитальных вложений являются:
новое строительство, т.е. строительство новых предприятий на вновь осваиваемых площадях;
расширение действующих предприятий путем сооружения их вторых и последующих очередей, введения в строй дополнительных цехов и производств, расширение уже функционирующих основных и вспомогательных цехов;
реконструкция, т.е. осуществляемое в процессе деятельности предприятия частичное или полное переустройство производства без строительства новых или расширения действующих основных цехов. Вместе с тем к реконструкции относится расширение существующих и сооруженных новых объектов вспомогательного назначения, а также возведение новых цехов взамен ликвидированных;
техническое перевооружение действующего предприятия, т.е. повышение технического уровня отдельных участков производства и агрегатов путем внедрения новой техники и технологии, механизации и автоматизации, процессов модернизации изношенного оборудования.
Выбор фирмой того или иного направления капитальных вложений зависит от целей, которые она преследует при осуществлении инвестиций. Однако чаще эффективнее осуществлять капитальные вложения на реконструкцию и ехническое перевооружение действующего производства, что позволяет значительно сократить сроки ввода в действие производственных мощностей (как правило, отпадает необходимость сооружения вспомогательных цехов, коммуникаций, линий электропередачи систем водоснабжения), с относительно меньшими капитальными вложениями, чем при строительстве новых или расширении действующих предприятий. Окупаются такие затраты в среднем в три раза быстрее.
Необходимость капитальных вложений обусловлена долгосрочными прогнозами сбыта, которые определяют мощность и форму производственных процессов, в отдельных случаях на много лет. К примеру, сталелитейная и химическая отрасли содержат сложные капиталоемкие производственные процессы, поэтому существенное увеличение их основных производственных мощностей может быть осуществлено только за счет переоборудования существующих заводов или строительства новых. Естественно, решение о капитальных вложениях такого масштаба принимаются не часто.
Кроме капитальных вложений в средства производства фирма может также инвестировать в человеческий капитал. Инвестиции в человеческий капитал это любое действие, которое повышает квалификацию и способности или производительность труда рабочих. Эти затраты можно рассматривать как инвестиции, ибо текущие расходы (издержки) осуществляются с тем расчетом, что эти затраты будут многократно компенсированы возросшим потоком доходов в будущем.
Источники финансирования
Предприятие, производящее капиталовложение, обычно имеет несколько альтернативных возможностей финансирования, которые не исключают друг друга, и могут использоваться одновременно, что часто и происходит на практике. Наиболее важные источники инвестиций и их классификация представлены на 17.2.
Внутренние источники
|
|
Заемные средства
|
|
Привлеченные средства
|
Собственные средства:
- Амортизация
- Прибыль
- Накопления
- Средства по страхованию
|
|
- Банковские кредиты
- Государственные кредиты
|
|
1. От продажи акций
2. Паевые взносы трудового коллектива
3. Иностранные инвестиции
|
17.2. Источники формирования капитальных вложений
Структура инвестиционных средств предприятия является важным показателем его финансовой активности.
Классической формой самофинансирования являются собственные средства предприятия в виде нераспределенной прибыли и амортизации, которые дополняются определенной долей эмиссии ценных бумаг и кредита, полученного с рынка ссудного капитала. Основным показателем уровня самофинансирования является коэффициент самофинансирования (Кс), который определяется следующим образом:
где Сс собственные средства предприятия; Ба бюджетные ассигнования; Пс привлеченные средства; 3с заемные средства.
Уровень самофинансирования считается высоким, если удельный вес собственных источников инвестиций достигает 60 и более процентов от общего объема финансирования инвестиционных затрат.
Амортизационные отчисления как источник инвестирования имеют большое значение.
Планирование нового продукта
В процессе разработки концепции определяются различные показатели: разнообразие видов и разновидностей товаров (с учетом типологии потребителей); уровень и частота обновления ассортимента; уровень и соотношение цен на товары данного вида и др. Обычно прогнозируется лишь тенденция развития ассортимента (а более точно ассортиментная структура спроса и товарного предложения). Планирование, формирование и управление ассортиментом продукции непрерывный процесс, продолжающийся в течение всего жизненного цикла продукта, начиная с момента зарождения замысла о его создании и кончая изъятием из товарной программы.
Искусство планирования ассортимента продукции состоит в умении воплощать уже имеющиеся и/или потенциальные технологии и материальные возможности в продуктах, которые, принося производителю прибыль, обладают потребительской ценностью, удовлетворяющей покупателя. Иными словами, производитель занят не просто созданием и производством товаров, но также формированием клиентуры и удовлетворением ее специфических потребностей.
Планирование нового продукта
Если речь идет о новом или усовершенствованном продукте, предназначенном для дополнения существующего ассортимента либо замены уже выпускаемого продукта, то очередной шаг заключается в том, чтобы дать предварительную оценку замыслу, который сложился на основе выводов проведенного исследования рынка. Если замысел оценивается как перспективный, то на продукт составляется спецификация исходя из требований потребителя. После утверждения спецификация передается в производственный или проектно-конструкторский отдел, который изготовляет образцы и осуществляет предварительную проверку возможностей массового производства с учетом возможностей производственных мощностей, квалификации и опыта инженерно-технического персонала, а также потребностей в новых материалах, комплектующих, оборудовании и т.д.
Если предварительная калькуляция издержек производства показывает возможность получения приемлемой нормы прибыли, то выпускается небольшое количество изделий для испытания с помощью потенциальных потребителей. Одновременно разрабатываются предварительные планы и определяются бюджеты сбыта и рекламы, с тем, чтобы проверить выгодность сбыта нового продукта для предприятия. Результаты испытаний покажут, нужно ли вносить в продукт какие-либо изменения до того, как он будет выпущен на рынок.
По итогам испытаний и оценкам специалистов определяется жизнеспособность продукта и его возможность стать удачным дополнением к товарному ассортименту предприятия. В случае положительного решения все предложения, касающиеся продукта и его реализации, с подробным описанием того, как, когда, где, при каком уровне себестоимости и прибыли он должен быть выпущен на рынок, передаются руководству для утверждения. Утвержденные руководством рекомендации используются при составлении плана продвижения товара на рынок, который служит основой для координации работы всех подразделений предприятия.
План реализации продукции
В плане реализации продукции предприятия устанавливаются объем и структура поставок выпускаемой продукции, а также планируемая сумма выручки и прибыли от реализации продукции.
Основными источниками для составления плана реализации продукции являются: портфель заказов и заключенные на этой основе договоры по поставкам; данные о запасах продукции на складах предприятия на начало и конец планового года; оптовые цены и себестоимость изделий, подлежащих реализации; сроки освоения новых видов продукции; мероприятия по повышению эффективности производства; расчеты по освоению и использованию производственных мощностей; плановые технико-экономические нормы и нормативы за предшествующий год.
При планировании реализации продукции исходят, прежде всего, из потребности в продукции, являющейся предметом специализации предприятия. Масштабы потребности сопоставляются с наличной производственной мощностью. В результате этого сопоставления определяется необходимость в расширении или реконструкции предприятия и возможные масштабы производства и реализации продукции.
Для определения объема выпуска и реализации продукции применяются натуральные и стоимостные измерители. Натуральныe измерители могут применяться лишь при выпуске однородной продукции. Стоимостные показатели обычно включают показатели выпуска товарной продукции и объема валовой продукции.
Эти показатели определяются в оптовых ценах. Товарная продукция это продукция, которая идет на сторону и не потребляется внутри предприятия. Валовая продукция характеризует объем всей продукции, произведенной на предприятии.
Она складывается из товарной продукции, изменения остатков незавершенного производства, полуфабрикатов и инструмента собственного производства на начало и конец планового периода.
К незавершенному производству относится еще не изготовленная продукция, находящаяся на разных стадиях производственного процесса от запуска материалов в производство на первую операцию до сдачи законченных производством изделий и включения их в товарную продукцию.
Определение размера незавершенного производства имеет большое значение для предприятия: его завышение влечет за собой дополнительные непроизводственные расходы; вызывает замедление оборачиваемости оборотных средств, а занижение нарушает ритмичный ход производства, приводит к простоям. Расчет незавершенного производства осуществляется по-разному в зависимости от типа производства.
Показатель валовой продукции используется при определении динамики объема продукции, численности основных рабочих, производительности труда и фондов оплаты труда, составления плана материально-технического обеспечения и сметы затрат на производство. Объем товарной продукции не отражает полностью действительное состояние указанных технико-экономических показателей.
При значительных изменениях в структуре выпускаемой продукции или изменении объема кооперированных поставок для обоснования объема производства может быть использован показатель валового оборота, который в отличие от валовой продукции точно определяет объем производственной деятельности предприятия. В валовой оборот включается стоимость валовой продукции, выработанной основными, вспомогательными и обслуживающими цехами предприятия, и стоимость услуг и работ промышленного характера независимо от их назначения. Валовой оборот равен сумме валовой продукции всех цехов предприятия и превышает валовую продукцию предприятия на внутризаводской оборот.
К внутризаводскому обороту относятся: стоимость собственного производства, стоимость израсходованного инструмента и всех видов энергии собственной выработки, услуги заводского транспорта и ремонтных цехов и т.п. Расчет валового и внутризаводского оборотов производится на основе выявления потребности каждого цеха в продукции и услугах других цехов, включая вспомогательные и обслуживающие цехи.
4. Производственная программа и производственные мощности предприятия
Производственная программа представляет собой систему плановых заданий по выпуску продукции установленной номенклатуры, ассортимента и качества, предназначенной для удовлетворения различных потребностей.
Варианты производственной программы
Работа по составлению производственной программы имеет свои особенности для разных типов производства. Для единичного и мелкосерийного производства производственная программа разрабатывается на основе графика изготовления изделий в соответствии с утвержденными сроками сдачи продукции потребителям. Календарный график запуска-выпуска изделий разрабатывается в порядке, обратном ходу технологического процесса, на основе длительности производственного цикла по всем видам работ (испытание, сборка, механическая обработка, подача заготовок).
Для серийного производства планирование выпуска продукции на протяжении года производится с учетом незавершенного производства на всех стадиях производственного процесса и изменения номенклатуры запускаемых в производство изделий.
Массовое производство осуществляется обычно поточным методом, и в связи с этим производственная программа разрабатывается одновременно по предприятию и всем основным цехам, с разбивкой по кварталам и месяцам.
Несмотря на то, что по определенным видам продукции сроки изготовления (сдачи) устанавливаются по договорам с заказчиком, предприятие имеет возможность разрабатывать различные варианты производственной программы выпуска продукции во времени в целях достижения полной и равномерной загрузки оборудования и рабочих мест. Число вариантов распределения (комбинации) выпуска изделий при любом типе производства может быть значительным. Наиболее целесообразные варианты можно получить путем использования методов программирования.
Показатели производственной программы
Основными показателями производственной программы являются: номенклатура, содержащая наименование продукции с указанием количества, качества и сроков сдачи; товарная продукция; незавершенное производство; валовая продукция.
Определенные на основе расчетов размеры выпуска продукции в натуральном выражении еще нельзя рассматривать как реальное задание по ее производству, т.е.
Платежи поступают в виде регулярных взносов.
Региональные и местные органы власти могут полностью или частично освобождать от платежа земельного налога, как определенные категории плательщиков, так и отдельных плательщиков, понижать им ставки земельного налога, предоставлять отсрочку его выплаты. Такого рода льготы устанавливаются для:
юридических лиц и граждан в случаях стихийных и других бедствий;
благотворительных организаций;
лесохозяйственных предприятий, выполняющих работы по лесовосстановлению, лесоразведению, выращиванию, охране и защите лесов за счет госбюджета.
Земельный налог не взимается с юридических лиц и граждан за земельные участки, находящиеся в стадии сельскохозяйственного освоения. При этом период освоения согласовывается с местными органами власти.
Нормативная цена земли используется при передаче земли в собственность, передаче по наследству, дарении, получении банковского кредита под залог земельного участка и в некоторых других случаях. Нормативная цена земли определяется в размере 50-кратной ставки земельного налога. В соответствии с правительственными документами нормативная цена земли не должна превышать 75% уровня рыночной цены на типичные земельные участки соответствующего целевого назначения.
Платежи в размере нормативной цены земли осуществляются одновременно с приобретением основных фондов и не подлежат включению в состав затрат на производство продукции.
Платежи за водопользование
Механизм определения платы за воду был разработан в начале 80-х гг. и применялся только по отношению к промышленным предприятиям. Он основывался на расчете тарифов (ставки) за забираемую промышленными предприятиями воду на основе затрат водохозяйственных организаций, при котором игнорируется дефицитность воды на конкретной территории и прочие факторы.
При таком методе расчета платежей за воду повторно используемая вода обходилась предприятию вдвое втрое дороже, чем свежая. И хотя создание замкнутых систем водоснабжения эффективно с народнохозяйственных позиций, для предприятий оно было невыгодно.
До 90-х гг. ввод новых мощностей водооборотных систем осуществлялся не за счет собственных средств предприятий, а за счет финансирования из централизованных источников. Это требовало централизованного контроля всех основных моментов процесса водопользования. И по сей день до предприятий доводятся лимиты потребления воды, а до недавнего времени и планы ввода в действие очистных сооружений, водооборотных систем и т.п.
В настоящее время рычаги централизованного управления водопользованием косвенным путем выполняют те функции, которые впоследствии все более будут выполняться с помощью рыночных экономических стимулов.
Существенные изменения претерпел экономический механизм водопользования с принятием нового Водного кодекса Российской Федерации в октябре 1995 г.
Платежи за пользование водными объектами осуществляют граждане и юридические лица, имеющие лицензию на водопользование, которая выдается органами Министерства природных ресурсов РФ. За выдачу лицензий на водопользование взимается сбор, размер которого определяется исходя из расхода на экспертизу заявок на пользование водными объектами, организационных и других расходов, связанных с выдачей лицензии, и утверждается органами исполнительной власти субъектов РФ по представлению Министерства природных ресурсов РФ.
Платежи не взимаются с организаций, подведомственных Министерству природных ресурсов (таких, например, как управления эксплуатации водохранилищ и водохозяйственных систем, организации, осуществляющие ведение государственного мониторинга водных объектов и т.п.).
Платежи поступают в виде регулярных взносов. Размеры платежей дифференцируются по субъектам РФ и устанавливаются их органами исполнительной власти.
Льготы по платежам устанавливаются федеральным законом. Законами и иными нормативными правовыми актами субъектов РФ могут устанавливаться льготы по платежам, направляемым в их бюджеты.
Система платежей, связанных с пользованием водными объектами. включает;
плату за пользование водными объектами (водный налог);
плату, направляемую на восстановление и охрану водных объектов.
Водный налог поступает в федеральный бюджет и бюджеты субъектов РФ, на территориях которых осуществляется использование водных объектов, и распределяется в следующем соотношении: федеральный бюджет 40%, бюджет субъекта РФ 60%.
Плата, направляемая на восстановление и охрану водных объектов, вносится за:
1) использование водных объектов без изъятия воды в соответствии с условиями лицензии на водопользование;
2) изъятие воды из водных объектов в пределах установленного лимита;
3) сверхлимитное изъятие воды;
4) сброс сточных вод нормативного качества в водные объекты в пределах установленных лимитов;
5) сброс в водные объекты сточных вод, содержание вредных веществ, в которых превышает установленные нормативы;
6) сброс в водные объекты сточных вод нормативного качества сверх установленных лимитов.
За сверхлимитное изъятие воды, а также в двух последних случаях устанавливается повышенная плата.
В случаях с первого по четвертый включительно платежи поступают в федеральный бюджет и бюджеты субъектов РФ в следующем соотношении: федеральный бюджет 40%, бюджет субъекта РФ 60%. При этом платежи в федеральный бюджет направляются на формирование федерального целевого бюджетного фонда восстановления и охраны водных объектов, а платежи, поступающие в бюджеты субъектов РФ, используются для финансирования мероприятий по рациональному использованию, восстановлению и охране водных объектов, проводимых на их территории.
В пятом и шестом случаях платежи поступают в федеральный бюджет, бюджеты субъектов РФ и в местные бюджеты в следующем соотношении: федеральный бюджет 10%, бюджет субъекта РФ 30%, местный бюджет 60%. Эти платежи используются не менее чем на 80% для финансирования мероприятий по восстановлению и охране водных объектов, включая платежи в федеральный бюджет, которые направляются на формирование федерального целевого бюджетного экологического фонда (порядок расходования средств этого фонда определяется Правительством РФ).
Государственным организациям, осуществляющим свою деятельность в социальной сфере, а также водопользователям, использующим водные объекты для сельского хозяйства, устанавливаются льготные предельные размеры платы, направляемой на восстановление и охрану водных объектов, в соответствии с законодательством РФ.
Платежи за недра
В настоящее время действует следующая система платежей за недра:
платежи за право пользования недрами;
отчисления на воспроизводство минерально-сырьевой базы (на геологоразведочные работы);
акцизный сбор по отдельным видам добываемого сырья;
отчисления в фонд ценового регулирования Минфина России при поставках нефти и природного газа;
сбор за выдачу лицензий за право пользования недрами;
платежи за право пользования акваторией и участками морского дна.
Платежи за право пользования недрами осуществляются с целью:
создания у местных органов управления экономической заинтересованности в разработке минеральных ресурсов на соответствующей территории и выдаче разрешения на их разработку;
стимулирования рационального и комплексного использования различных видов полезных ископаемых;
приведения общей системы условий пользования недрами в России в соответствие с общемировыми тенденциями рыночных отношений;
создания устойчивого финансирования мероприятий по развитию минерально-сырьевой базы регионов и на охрану минеральных ресурсов.
Плата за право пользования недрами может взиматься в форме денежных платежей, а также части объема добытого минерального сырья или иной производимой недропользователем продукции, в форме выполнения работ или предоставления услуг либо путем зачета сумм предстоящих платежей в федеральный, региональный или местный бюджет в качестве долевого вклада в уставный фонд создаваемого горного предприятия. Форма внесения платы, размеры и условия платежей по каждому объекту недропользования устанавливаются в лицензии, которая выдается совместно региональным органом власти и Министерством природных ресурсов РФ или его территориальными подразделениями.
Платежи за право пользования недрами взимаются в форме разовых взносов и (или) регулярных платежей в течение срока реализации предоставленного права. Разовые взносы выплачиваются в размерах и сроки, указанные в лицензии, а регулярные платежи в течение всего периода эксплуатации месторождения.
Платежи за право пользования недрами в свою очередь включают три группы платежей:
платежи за право добычи полезных ископаемых;
платежи за право на использование отходов горнодобывающих и перерабатывающих производств;
платежи за право строительства и эксплуатации подземных сооружений, не связанных с добычей полезных ископаемых.
Регулярные денежные платежи за право добычи полезных ископаемых устанавливаются в размере процентов от стоимости добытой продукции, рассчитанной на основе оптовых цен предприятий (обычно от 1 до 8%), в зависимости от вида добываемого сырья.
Платежи за право на использование отходов в горнодобывающих и перерабатывающих производствах устанавливаются в размере 2550% платежей за право на добычу соответствующих полезных ископаемых.
Платежи за пользование лесными ресурсами
И в том и в другом случае платежи включаются в затраты на добычу (производство) сырья.
Размер платежей за право строительства и эксплуатации подземных сооружений, не связанных с добычей полезных ископаемых, определяется в пределах 1-3% от сметной стоимости объекта и стоимости предоставляемых услуг его эксплуатации. Платежи включаются в стоимость сооружений.
Платежи за право пользования недрами поступают в федеральный, региональные (республик, краев, областей, автономных образований) и местные (районов, городов) бюджеты в соответствии с территорией, на которой осуществляется пользование недрами, и распределяются в установленной пропорции.
Отчисления на воспроизводство минерально-сырьевой базы производятся от стоимости товарной продукции из добытых предприятиями полезных ископаемых. Эти отчисления взимаются только в денежной форме. Ставки отчислений по полезным ископаемым и их компонентам утверждаются Правительством РФ на соответствующий период в виде процентов от стоимости товарной продукции (от 2 до 17%) в зависимости от видa полезных ископаемых.
Отчисления на воспроизводство минерально-сырьевой базы, включаются в себестоимость добычи и перечисляются в соответствующие бюджеты раз в месяц, или квартал, или год в зависимости от объема отчислений.
Распределение этих отчислений по бюджетам разного уровня осуществляется в том же порядке, как и платежей за право пользования недрами.
Введение акцизного сбора по отдельным видам добываемого минерального сырья производится специальным законодательным актом Российской Федерации по тем видам сырья, которое добывается из месторождений с относительно лучшими горно-геологическими и экономико-географическими характеристиками при получении пользователями недр сверхнормативной прибыли, содержащейся в цене продукции. Примером подобных отчислений может служить акцизный сбор на нефть, включая газовый инденсат, взимаемый с ряда нефтеперерабатывающих предприятий.
Размер сборов за выдачу лицензий на право пользования недрами и порядок их взимания определяется Министерством природных ресурсов РФ по согласованию с Министерством финансов РФ исходя из расходов на экспертизу заявок на получение лицензий, организацию конкурсов и аукционов, оплату пакетов геологической информации и иных расходов, связанных с предоставлением лицензий.
Платежи за право пользования акваторией и участками морского дна устанавливаются в зависимости от арендуемой площади, ее конфигурации, мощности водной толщи, целей пользования недрами, продуктивности акватории, а также с учетом наличия навигационных путей, коммуникаций и технических сооружений в районе работ. Размер платежей устанавливается органами, предоставляющими лицензию на право пользования конкретной акваторией и участками морского дна, по согласованию с Минприроды России и другими компетентными органами.
Платежи за право пользования акваторией и участками морского дна в границах территориального моря (12-мильной зоны) поступают как в региональный (60%), так и в федеральный бюджет (40%).
Платежи за право пользования акваторией и участками морского дна в пределах морской экономической зоны (200-мильной зоны) поступают полностью в федеральный бюджет.
Платежи за пользование лесными ресурсами
Современная система платежей за пользование лесными ресурсами включает:
арендную плату за участки леса;
лесные подати (плата за право пользования лесными ресурсами).
Размеры арендной платы за участки лесного фонда, сроки ее внесения и порядок распределения устанавливаются договором.
Участки лесного фонда предоставляются в аренду на основании решений органов государственной власти субъектов РФ, принимаемых по представлению территориальных органов Рослесхоза (это представление, в свою очередь, подготавливается с участием органов местного самоуправления и лесопользователей).
Арендная плата определяется на основе ставок лесных податей.
Лесные подати являются платой, взимаемой за все виды лесопользования, в том числе:
древесину, отпускаемую на корню (за лесозаготовку);
заготовку живицы (смолы деревьев) и других лесных материалов, сенокошение, пастьбу скота, промысловую заготовку древесных соков, дикорастущих плодов, ягод, грибов, лекарственных растений, технического сырья, размещение ульев и пасек и за другие виды побочных лесных пользований;
пользование лесами для нужд охотничьего хозяйства;
пользование лесами в культурно-оздоровительных, туристических и спортивных целях.
В составе лесных податей взимается плата за землю лесного фонда.
Лесные подати взимаются в виде разового или регулярных платежей с начала пользования участком лесного фонда в течение всего срока действия документа, разрешающего пользование лесным фондом.
Лесные подати взимаются со всех лесопользователей, за исключением арендаторов.
Ставки лесных податей устанавливаются органами государственной власти субъектов РФ по согласованию с территориальными органами Рослесхоза или определяются по результатам аукционов. При этом минимальные ставки платы за древесину, отсекаемую на корню (лесозаготовку), устанавливаются Правительством РФ.
Часть лесных податей и арендной платы в размере минимальных ставок платы за древесину, отпускаемую на корню, поступает в федеральный бюджет и бюджеты субъектов РФ в следующем соотношении: федеральный бюджет 40%, бюджет субъекта РФ 60% (в тех субъектах РФ, в которых расчетная лесосека не превышает 1 млн. м3, эти средства полностью поступают в бюджет соответствующего субъекта РФ). Часть указанных средств, поступивших в бюджет субъекта РФ, направляется соответствующему территориальному органу Рослесхоза на финансирование расходов на воспроизводство лесов в соответствии с нормативами, определяемыми Рослесхозом,
Оставшаяся часть лесных податей и арендной платы поступает лесхозам Рослесхоза, приравнивается к бюджетным средствам и используется для нужд лесного хозяйства.
Выводы
1. Развитие хозяйственной деятельности приводит к усилению негативного влияния на окружающую среду.
С целью охраны окружающей природной среды разработана система контроля и надзора за ее состоянием. Она включает государственный, общественный и производственный контроль.
Задачами экологического контроля являются: наблюдение за состоянием окружающей среды, ее изменениями под воздействием хозяйственной и иной деятельности; проверка выполнения планов и мероприятий по охране природы, рациональному использованию природных ресурсов, оздоровлению окружающей природной среды, соблюдению требований природоохранного законодательства и нормативов качества окружающей природной среды.
2. Основными государственными мерами охраны окружающей среды являются: экологическая экспертиза хозяйственной деятельности предприятия проверка соответствия ее экологической безопасности; экологическая сертификация товаров и оказываемых услуг, т.е. подтверждение экологической безопасности их производства, а также экологического качества или чистоты реализуемой продукции; экологические платежи, введение экологического паспорта предприятия.
3. Экологические платежи осуществляют различные хозяйственные субъекты, независимо от форм собственности и отраслевой принадлежности, за загрязнение окружающей природной среды, сбросы и выбросы вредных веществ в атмосферу и водные источники, а также за размещение отходов производства и потребления.
К ним относятся также выплаты предприятий и организаций в качестве возмещения вреда, причиненного залповым или аварийным загрязнением природы, а также штрафы за нарушение природоохранного законодательства.
4. В настоящее время законодательными актами введены следующие платежи: за загрязнение окружающей среды; за землепользование; за водопользование; за пользование недрами и лесными ресурсами. Платежи устанавливаются отдельно за экологическое загрязнение в пределах нормативов и за сверхнормативное загрязнение.
5. Экологический паспорт предприятия дает комплексную оценку влияния предприятия на окружающую среду, организационно-технического уровня природоохранной деятельности предприятия, объема затрат на эту деятельность.
Термины и понятия
Эколого-экономические нормативы
Экологические платежи
Экологический фонд
Экологический паспорт
Экологическая экспертиза
Платежи за загрязнение окружающей среды
Платежи за землепользование
Платежи за водопользование
Платежи за недра
Платежи за пользование лесными ресурсами
Вопросы для самопроверки
1. Какие виды экологических платежей предприятия устанавливаются в законодательном порядке?
2. Укажите особенности взимания платежей за загрязнение окружающей среды (размер и виды платежей, льготы, предоставляемые предприятию, учет и контроль за выплатами).
3. Что включает система экологических фондов России? Каковы цели и задачи фондов?
4. Какие платежи входят в состав платежей за землю?
5. Охарактеризуйте порядок взимания платежей за землю и льготы, предоставляемые землепользователям.
6. Какие платежи входят в состав платежей за водопользование?
7. Какие платежи вносятся за пользование недрами?
8. Какова роль государства в управлении природопользованием?
9. Охарактеризуйте систему государственных органов, отвечающих за природоохранную деятельность.
10. Что входит в механизм организации рационального природопользования?
Платежи за землепользование
Ко второй группе показателей относятся такие, как:
1) оснащенность источников загрязнения очистными устройствами (количество источников вредных выбросов, количество неорганизованных источников вредных выбросов);
2) пропускная способность имеющихся очистных сооружений (количество и мощность основного технологического оборудования, функционирование которого сопровождается выделением определенных видов загрязнений; доля определенного вида загрязнений, образующихся при производстве единицы основной продукции; количество и мощность природоохранного оборудования, предназначенного для очистки);
3) прогрессивность применяемого очистного оборудования (КПД применяемого очистного оборудования; доля очистного оборудования с высоким КПД; доля вредных выбросов, очищаемых на оборудовании с высоким КПД);
4) возможность контроля за функционированием очистного оборудования (уровень обеспеченности очистного оборудования контрольно-измерительной аппаратурой; коэффициент фактического использования контрольно-измерительной аппаратуры; доля прогрессивных приборов в общем количестве применяемых контрольно-измерительных приборов; доля очистных сооружений, работающих под контролем прогрессивных приборов; доля очистного оборудования, работающего под централизованным контролем над выбросами, в общем количестве оборудования, работающего под контролем);
5) рациональность существующей организационной структуры природоохранной деятельности предприятия (наличие природоохранных служб и отделов, уровень централизации управления природоохранной деятельностью, оперативность руководства природоохранных служб и отделов при принятии решений; оснащенность природоохранных служб и отделов вычислительной техникой; информационная обеспеченность; степень экономической самостоятельности природоохранных служб и отделов);
6) удельные показатели организационно-технического уровня природоохранной деятельности предприятия (отношение результата природоохранной деятельности к стоимости основных производственных фондов, очистного оборудования, используемых материалов при природоохранной деятельности; к общей численности работников и к численности работников, занятых природоохранной деятельностью).
Третья группа показателей включает в качестве общего показателя отношение экономического эффекта от применения природоохранных мероприятий к общей величине затрат на их проведение и совокупность частных показателей. К ним относятся:
доля капитальных затрат на природоохранные мероприятий в общем объеме капитальных затрат предприятия;
доля текущих затрат на природоохранную деятельность в общем объеме текущих затрат предприятия;
доля затрат на охрану воздушного бассейна в общем объеме затрат на природоохранную деятельность;
доля затрат на охрану и рациональное использование водных ресурсов в общем объеме затрат на природоохранную деятельность;
доля затрат на уничтожение и обезвреживание твердых и жидких отходов в общем объеме затрат на природоохранную деятельность;
доля затрат на разработку и внедрение прогрессивных технологий (малоотходных, безотходных, бессточных и т.п.) в общих затратах на НИОКР;
доля затрат на оплату услуг сторонних организаций на природоохранную деятельность в общем объеме этих затрат предприятия.
Составление экологического паспорта является достаточно сложной процедурой, поэтому обычно он составляется не самим предприятием, а по его поручению коммерческой организацией, имеющей соответствующую лицензию. Затем паспорт представляется в районное отделение охраны окружающей среды и природных ресурсов для проверки расчетов и согласования, после чего он направляется в региональное отделение Госкомэкологии для получения разрешения на выбросы (сбросы) указанных в экологическим паспорте объемов загрязняющих веществ.
Работа по составлению экологического паспорта оплачивается предприятием по договоренности с коммерческой организацией. При выдаче разрешения на выбросы (сбросы) загрязняющих веществ региональное отделение Госкомэкологии получает от предприятия сумму в размере 10% договорной стоимости составления экологического паспорта коммерческой организацией.
Экологический паспорт подписывается руководителем предприятия и руководителем районной организации охраны окружающей среды и природных ресурсов. В последующем этот документ уточняется, в него вносятся необходимые изменения.
Платежи за землепользование
Право землепользования предоставляется местными органами власти, которые выдают разрешение на землепользование либо заключают договор на аренду.
Существует две формы включения юридических лиц и граждан в землепользование бессрочное (постоянное) пользование земельными участками и временное пользование земельными участками.
Право бессрочного (постоянного) пользования земельным участком удостоверяется государственным актом, который выдается и регистрируется соответствующими местными органами власти.
В соответствии с Земельным кодексом предельный срок временного пользования землей в России устанавливается не более трех лет.
Право аренды и временного пользования земельными участками удостоверяется договорами. К договору прилагается план земель, предоставленных во временное пользование, аренду.
По решению местной администрации земельные участки собственников земли, землевладельцев и землепользователей могут по согласованию с ними предоставляться во временное пользование для государственных и общественных нужд в порядке, установленном Земельным кодексом.
Документ, удостоверяющий право собственности, владения или пользования (аренды) земельным участком, является основанием для установления и взимания платы за землю.
Формами платы за землю являются: арендная плата, земельный налог, нормативная цена земли.
Размер арендной платы, условия и сроки внесения устанавливаются договором аренды. Арендная плата, получаемая собственником земли, используется им по своему усмотрению. Величина арендной платы включается в себестоимость продукции предприятия.
Размер земельного налога не зависит от результатов хозяйственной деятельности и устанавливается в виде стабильных платежей за единицу земельной площади в расчете на год.
В соответствии с Законом РФ «О плате за землю» от 11 октября 1991 г. ставки земельного налога определяются отдельно по категориям земель основного целевого назначения, видам и подвидам угодий, природным зонам, группам почв, городам, поселкам, зонам крупных населенных пунктов.
Так, например, с учетом целевого назначения весь земельный фонд подразделяется на земли:
1) сельскохозяйственного назначения;
2) населенных пунктов (городов, поселков, сельских населенных пунктов);
3) промышленности, транспорта, радиовещания, телевидения, информатики и космического обеспечения, энергетики, обороны и иного назначения;
4) природоохранного, природно-заповедного, оздоровительно, рекреационного и историко-культурного назначения;
5) лесного фонда;
6) водного фонда;
7) запаса.
Если землепользование ведется на земельных участках, облагаемых налогами по различным ставкам, то общий размер налога определяется суммированием налога по этим земельным участкам.
Расчет платежей за землю производится ответственными исполнителями службы по охране природы предприятий.
Предприятие ежегодно должно представлять в налоговые органы расчет причитающихся с него налогов по каждому земельному участку в установленные сроки с учетом местных условий.
Ответственность за правильность начисления и своевременность уплаты налога на земельные участки, предоставленные предприятиям, возлагается на их руководителей.
Основная часть земельных налогов поступает на специальный местный бюджетный счет. Другая часть поступает на специальный бюджетный счет Российской Федерации. Платежи земельного налога направляются только на цели, связанные с финансированием мероприятий по землеустройству, ведению земельного кадастра и мониторинга земель, охране земель, повышению их плодородия, освоению новых земель, на компенсацию собственных затрат земле пользователя на эти цели, а также на погашение ссуд, выданных под указанные мероприятия, процентов за их использование, на фиксированные выплаты землепользователям, ведущим сельскохозяйственное производство на землях низкого качества, на инженерное и социальное обустройство территории.
От уплаты земельного налога освобождены природные заповедники, национальные парки, ботанические сады, научные организации, экспериментальные и учебно-опытные хозяйства сельско и лесохозяйственного профиля, если их работа не связана с коммерческой деятельностью. Такой же порядок распространяется на учреждения культуры, образования, здравоохранения, спортивно-оздоровительные комплексы, финансируемые из бюджета.
Освобождаются от уплаты земельного налога государственные предприятия связи, правоохранительные органы, предприятия городского коммунального хозяйства, мусороперерабатывающие заводы, полигоны для захоронения неутилизированных производственных и бытовых отходов, впервые организующиеся фермерские хозяйства в течение пяти лет с момента предоставления им земельных участков.
Льготы по взиманию земельного налога, установленные региональными и местными органами власти, предоставляются в пределах сумм земельного налога, остающихся в распоряжении этих властей.
Показатели использования основных фондов предприятия
5. Показатели использования основных фондов предприятия
Улучшение использования основных фондов решает широкий круг экономических проблем, направленных на повышение эффективности производства: увеличение объема выпуска продукции, рост производительности труда, снижение себестоимости, экономию капитальных вложений, увеличение прибыли и рентабельности капитала и, в конечном счете, повышение уровня жизни общества.
Анализ показателей использования фондов
Для характеристики использования основного капитала применяется система обобщающих, стоимостных, относительных и натуральных показателей (табл. 5.1). В условиях рыночной экономики наиболее общим показателем, характеризующим эффективность деятельности предприятия, является рентабельность капитала отношение прибыли к авансированной среднегодовой стоимости основного и оборотного капитала.
Этот показатель может быть определен по отношению к основным фондам и составлен в динамике.
К числу обобщающих показателей уровня использования основного капитала относятся фондоотдача и фондоемкость. Фондоотдача выражает отношение стоимости продукции, изготовленной за год (или задругой период времени), к среднегодовой стоимости основных производственных фондов. Этот показатель может быть рассчитан по объему продаж, реализованной или отгруженной продукции. Фондоемкость величина, обратная фондоотдаче, она выражает отношение стоимости основных фондов к объему продукции.
При расчете этих показателей среднегодовую стоимость капитала следует исчислять не как средне балансовую, а исходя из расчета среднегодовых цен. Фондоемкость может быть определена на единицу продукции в натуральном выражении и на рубль ее стоимости. Фондоотдача показывает, сколько продукции получено с каждого рубля действующего основного капитала; показатель фондоемкости отражает величину стоимости основных фондов, необходимую для получения данного объема продукции.
Показатели фондоотдачи (капиталоотдачи) применяются в основном для анализа уровня использования действующих фондов, а показатель фондоемкости главным образом для планирования потребности в основных фондах и капитальных вложениях при перспективном планировании или разработке новых проектов.
Пример 5.3.
Если стоимость основного капитала предприятия составляет 12 млрд. руб., а продукции выпущено за год на 24 млрд. руб. то фондоотдача составит 2 руб., а фондоемкость 50 коп. Если фондоотдача увеличится на 20 коп, объем продукции составит 26,4 млрд. руб., а фондоемкость снизится до 45 коп., то прирост продукции за счет лучшего использования фондов составит: 12 (2,202.0) 240 млн. руб. Относительная экономия капитальных вложений будет равна:
26,4 (50 45) = 1,33 млрд. руб.
Если предположить, что средняя выработка на предприятии составила 16 млн. руб., то относительное высвобождение работающих за счет лучшего использования основных фондов составит: (26,4 26.0): 16 = 150 чел. При среднегодовой заработной плате 7500 тыс. руб., экономия затрат на заработную плату составит:
7500 150= 1125 млн. руб.
Снижение себестоимости за счет амортизационных отчислений можно подсчитать, умножив экономию на капитальных вложениях на среднегодовую норму амортизации, сложившуюся на предприятии в базисном году. Предположим, что она составила 9%. Тогда 1,32 0,09 = 118,8 млн. руб.
Если в каждом рубле продукции 10 коп. составляла прибыль, то увеличение прибыли за счет роста фондоотдачи составило: (26,4 24,0) 0,1 = 240 млн. руб.
Даже на условном примере видно, что повышение фондоотдачи дает огромный экономический эффект.
Из числа других показателей эффективности использования основных фондов в практике работы предприятий наиболее часто применяются коэффициент сменности и коэффициент загрузки оборудования. Первый определяется отношением числа отработанных машиносмен к общему числу установленного оборудования. Если в цехе установлено 300 единиц станочного оборудования, из которых в первую смену работало 270, а во вторую 160, то коэффициент сменности составит: (270 + 160): 300 = 1,43.
Коэффициент загрузки оборудования определяется как отношение затрат станочного времени в станко-часах (рассчитанных по трудоемкости работ, выполняемых на данном оборудовании) к полезному фонду времени работы оборудования при принятом режиме использования (2-х или 3-х сменном). Этот показатель широко используется в расчетах производственной мощности для синхронизации пропускной способности различных видов оборудования.
Достигнутый уровень использования возможной производительности технологического оборудования измеряется коэффициентом интенсивности использования станочного парка, который определяется отношением фактического объема выпущенной продукции к установленной производственной мощности оборудования (пропускной способности).
Система резервов улучшения использования основных фондов
Резервы роста к а питал о отдач и связаны с мобилизацией как экстенсивных факторов увеличение времени полезного использования машин, так и интенсивных факторов повышение производительности оборудования в единицу времени. Главным фактором повышения эффективности использования основных фондов является их обновление и техническое совершенствование. Внедрение достижения НТП повышает уровень механизации и автоматизации производства, повышает производительность труда рабочих, способствует экономии материальных затрат, повышает культуру и безопасность производства.
Значительные резервы находятся в увеличении времени работы машин и механизмов. Основными причинами целосменных и целосуточных простоев оборудования являются ремонт, неисправность и наладка, а также организационные неполадки: отсутствие материалов, заготовок, инструмента, энергии и др.
Система резервов улучшения использования основных фондов предприятия может быть представлена следующим образом.
I. Техническое совершенствование средств труда:
техническое перевооружение на базе комплексной автоматизации и гибких производственных систем;
замена устаревшей техники, модернизация оборудования;
ликвидация узких мест и диспропорции в производственных мощностях предприятия;
механизация вспомогательных и обслуживающих производств;
внедрение прогрессивной технологии спецоснастки;
развитие изобретательства и рационализации.
II. Увеличение времени работы машин и оборудования;
ликвидация бездействующего оборудования (сдача в аренду, лизинг, реализация и проч.);
сокращение сроков ремонта оборудования;
снижение простоев: целосменных и внутрисменных.
III. Улучшение организации и управления производством:
ускорение достижения проектной производительности вновь введенных производственных систем;
внедрение научной организации труда и производства;
улучшение обеспечения материально-техническими ресурсами;
совершенствование управления производством на базе ЭВМ;
развитие материальных стимулов у работников, способствующих повышению эффективности производства.
Выводы
1. Основные фонды предприятияэто стоимостное выражение средств труда, которые переносят свою стоимость на продукт частями, по мере износа. Закон воспроизводства основного капитала выражается в том, что его стоимость, введенная в производство, полностью восстанавливается, обеспечивая возможность технического обновления средств труда.
2. Основные фонды подразделяются на производственные и непроизводственные, имеют отраслевой разрез, классифицируются по видам, которые формируют активную и пассивную их части.
3. В управлении основными фондами используется дифференцированная система стоимостных оценок, базовыми из которых являются первоначальная: восстановительная и остаточная стоимость.
4. Переоценки основных фондов осуществляются экспертным и индексным методами силами самих предприятий или с привлечением специалистов независимых экспертных организаций.
5. Различают физический и моральный износ средств труда, формирующие их нормативные сроки службы и нормы амортизации.
Амортизация процесс перенесения стоимости фондов на продукт. Применяются пропорциональные и регрессивные методы начисления амортизации.
6. Предполагаемые изменения в системе амортизации имеют своим направлением резкое сокращение норм, повышение их уровня, развитие методов ускоренной амортизации, снятие ограничений в переоценке основных фондов.
7. Амортизационный фонд особый денежный резерв, предназначенный для воспроизводства основного капитала. Предприятиям предоставлено право самостоятельно решать вопрос о его использовании. Необходимо усиление контроля за целевым использованием средств фонда.
Термины и понятия
Основные фонды предприятия
Износ основных фондов
Моральный износ
Физический износ
Амортизация
Амортизационный фонд
Ускоренная амортизация
Коэффициент прироста основных фондов
Коэффициент обновления основных фондов
Коэффициент выбытия основных фондов
Фондоотдача
Фондоемкость
Коэффициент сменности
Коэффициент загрузки оборудования
Вопросы для самопроверки
1. В чем сущность основных фондов? Каковы закономерности и показатели их воспроизводства?
2. Как характеризуется состав и структура основных фондов?
3. В чем состоит назначение классификации основных фондов?
4. Какие существуют виды оценок основных фондов?
5. Каковы методы переоценки основных фондов?
6. Какие существуют виды износа средств труда? Каково значение их учета в системе амортизации?
7. Какие существуют методы начисления амортизации? Каков порядок расчета амортизационных отчислений равномерным методом? Какие методы ускоренной амортизации применяются в России?
8. Каков порядок использования амортизационного фонда?
9. Какие существуют показатели использования основных фондов?
10. Каковы резервы повышения эффективности использования основных фондов?
Показатели премирования рабочих
В качестве показателей премирования рабочих используются:
рост производительности труда;
улучшение качества продукции, работ;
освоение новой техники и технологии;
снижение материальных затрат и т.д.
Рабочих, занятых обслуживанием основного производства, премируют по показателям, непосредственно характеризующим улучшение качества их работы: обеспечение бесперебойной и ритмичной работы оборудования по выпуску продукции, улучшение коэффициента его использования, бесперебойное обеспечение рабочих мест инструментами, энергией, транспортными средствами и т.д.
Надбавки и доплаты
Важную роль в материальном стимулировании труда играют доплаты, надбавки к заработной плате, различные типы выплат.
Обычно доплаты и надбавки делятся на две группы: компенсационные и стимулирующие.
Размер компенсационных выплат (за условия труда, отклоняющиеся от нормальных, за работу в вечернее и ночное время и т.д.) определяется предприятием самостоятельно, но должен быть не ниже размеров, установленных соответствующими решениями Правительства РФ или других органов по его поручению.
Стимулирующие выплаты (доплаты и надбавки за высокую квалификацию, профессиональное мастерство, работу с меньшей численностью, премии, вознаграждения и т.д.) определяются предприятиями самостоятельно и производятся в пределах имеющихся средств. Размеры и условия их выплат определяются в коллективных договорах.
В настоящее время все виды компенсационных доплат и надбавок можно разделить на две большие группы.
Во-первых, это доплаты и надбавки, которые не имеют ограничений по сферам трудовой деятельности, и обычно являются обязательными для предприятий всех форм собственности. В первую группу входят доплаты; за работу в выходные и праздничные дни, в сверхурочное время; несовершеннолетним работникам в связи с сокращением их рабочего дня; рабочим, выполняющим работы ниже присвоенного им тарифного разряда (разница между тарифной ставкой рабочего, исходя из присвоенного ему разряда, и ставкой по выполняемой работе); при невыполнении норм выработки и изготовлении бракованной продукции не по вине работника до среднего заработка в условиях, предусмотренных законодательством; рабочим, в связи с отклонениями от нормальных условий выполнения работы.
Во вторую группу входят доплаты и надбавки, которые применяются в определенных сферах труда.
Основания для их начисления могут быть различными. Одни, например, устанавливаются для того, чтобы компенсировать дополнительную работу, не связанную непосредственно с основными функциями работника. Другие виды надбавок применяются к работам с неблагоприятными условиями труда.
Третьи объясняются особым характером выполняемой работы. Предприятия имеют возможность в процессе установки доплаты и надбавки учесть все особенности работы на разных участках.
Для стимулирования работников обычно применяются такие наиболее распространенные и значимые доплаты, как доплаты за совмещение нескольких профессий (должностей); за расширение зон обслуживания или увеличение объема выполняемых работ; выполнение обязанностей отсутствующего работника; рабочим за профессиональное мастерство; специалистам за высокие достижения в труде и высокий уровень квалификации; бригадирам из числа рабочих, не освобожденных от основной работы. Выплачиваются также доплаты за выполнение обязанностей мастера учебных мастерских; руководство подсобным сельским хозяйством; ведение делопроизводства и бухгалтерского учета; обслуживание вычислительной техники.
Условия и размеры доплат регулируются предприятием самостоятельно. На предприятии должно быть принято специальное положение о введении той или иной стимулирующей надбавки. Доплаты и надбавки можно регулировать в отраслевом соглашении и соответственно отражать в коллективных договорах, заключаемых на предприятиях.
Доплаты и надбавки чаще всего вызваны особыми условиями работы конкретного работника. Премии же рассчитаны обычно на то, чтобы поощрить достижение на производстве какого-либо определенного результата. Доплаты и надбавки носят стабильный характер, премии непостоянный. Премия чаще всего стимулирует результаты коллективного труда, а всевозможные доплаты и надбавки персональной работы.
Премия, которая установлена для всех, имеет более обширное поле действия, а потому часто (если судить по результатам труда) она эффективнее некоторых видов доплат, так как ее стимулирующее воздействие распространяется на весь коллектив.
Доплаты и надбавки обычно устанавливаются в относительных размерах и корректируются при изменении тарифных ставок и окладов с учетом инфляции.
Антиподом тарифного выступает так называемый бестарифный (распределительный) вариант организации заработной платы на предприятии. Для него характерны следующие признаки;
тесная (полная) зависимость уровня оплаты труда работника с фондом заработной платы, начисляемой по коллективным результатам работы (в этом качестве бестарифные системы принадлежат к классу коллективных систем оплаты труда);
присвоение каждому работнику постоянных (относительно постоянных) коэффициентов, комплексно характеризующих его квалификационный уровень и определяющих его трудовой вклад в общие результаты труда по данным о предыдущей трудовой деятельности работника или группы работников, относимых к этому квалификационному уровню [своего рода «базовый» коэффициент трудового участия (КТУ), применяемый в коллективных системах оплаты];
присвоение каждому работнику КТУ в текущих результатах деятельности, дополняющего оценку его квалификационного уровня (по содержанию напоминает механизм определения фактического КТУ на основе «базового» в бригадных системах распределения заработка).
Индивидуальная заработная плата каждого работника при бестарифном варианте представляет собой его долю в заработанном всем коллективом фонде заработной платы (фонде оплаты труда).
Помимо тарифных и бестарифных систем в качестве новых форм оплаты труда можно выделить смешанные системы, а в их числе, прежде всего комиссионную форму оплаты труда и так называемый дилерский механизм. Смешанными эти системы называют по той причине, что они имеют признаки одновременно тарифных и бестарифных форм оплаты труда, коллективной и индивидуальной организации заработной платы.
Комиссионная форма предполагает оплату действий работника по заключению какой-либо сделки (договора) от лица предприятия в комиссионных процентах от суммарного размера этой, сделки. Такой метод вполне приемлем, например, для работников подразделений сбыта, внешнеэкономической службы предприятия и т.п.
Дилерский механизм предусматривает закупку работником части продукции предприятия за свой счет с последующей ее реализацией собственными усилиями работника. Иными словами, это выплата зарплаты авансом в виде «натуры» с последующим перерасчетом.
Должностные оклады
Для специалистов, служащих и руководителей используется система должностных окладов. Должностной оклад абсолютный размер заработной платы, устанавливаемый в соответствии с занимаемой должностью.
Труд руководителей оценивается по результатам работы всего коллектива, по степени выполнения возложенных на них функций, достигнутому уровню организации труда. А труд специалистов и служащих исходя из объема, полноты, качества и своевременности выполнения должностных обязанностей. Премии начисляются за основные результаты хозяйственной деятельности.
Для упорядочения оплаты труда руководителей государственных предприятий было принято постановление Правительства РФ от 23 марта 1994 г. «Об условиях оплаты труда руководителей государственных предприятий при заключении с ними трудовых договоров».
Постановление обязательно для применения на государственных предприятиях производственных и непроизводственных отраслей, а также в акционерных обществах, в которых пакет акций, находящихся в государственной собственности, обеспечивает более 50% голосов на собрании акционеров. Для тех акционерных обществ, где доля государственной собственности меньше, подобный порядок может быть установлен для генерального директора решением совета директоров или собрания акционеров. Подобная система регулирования заработной платы не касается администрации бюджетных организаций.
Согласно постановлению для директоров установлены 2 вида возможных выплат:
оклад, максимальный размер которого не может превышать 16-кратную тарифную ставку 1-го разряда рабочего основной профессии на предприятии;
вознаграждение по результатам финансово-хозяйственной деятельности предприятия.
Фактическая сумма вознаграждения определяется с помощью специально рассчитанного норматива суммы прибыли по балансу (после вычета из нее налогов, других обязательных платежей и средств, направляемых на потребление). Премирование директоров убыточных предприятий не предусмотрено. Прямая связь между прибылью предприятия и заработной платой должна стимулировать директора предприятия к более разумному руководству с целью максимизации прибыли, что отразится и на заработной плате всего персонала предприятия.
Пример 7.1. Исходные данные для расчета норматива и вознаграждения:
Показатели технического уровня и эффективности новой техники и технологии
К ним относят:
материально-технические, характеризующие уровень развития НИОКР, оснащенность опытно-экспериментальным оборудованием, материалами, приборами, оргтехникой, компьютерами, автоматическими устройствами и проч.;
кадровые, характеризующие состав, количество, структуру, квалификацию персонала, обслуживающего НИОКР;
научно-теоретические, характеризующие результаты поисковых и фундаментальных теоретических исследований, лежащих в основе научного задела, имеющегося на предприятии;
информационные, характеризующие состояние информационных ресурсов, научно-технической информации, текущей научной периодики, научно-технической документации в виде отчетов, регламентов, технических проектов и другой проектно-конструкторской документации;
организационно-управленческие, включающие необходимые методы организации и управления НИОКР, инновационными проектами, информационными потоками;
инновационные, характеризующие наукоемкость, новизну и приоритетность проводимых работ, а также интеллектуальный продукт в виде патентов, лицензий, ноу-хау, рационализаторских предложений, изобретений и т.д.;
рыночные, оценивающие уровень конкурентоспособности новшеств, наличие спроса, заказов на проведение НИОКР, необходимые маркетинговые мероприятия по продвижению новшеств на рынок и проч.;
экономические, характеризующие экономическую эффективность новшеств, затраты на проводимые исследования, рыночную стоимость интеллектуальной продукции; показатели, оценивающие стоимость как собственных, так и сторонних патентов, лицензий, ноу-хау и других видов интеллектуальной собственности;
финансовые, характеризующие инвестиции в НИОКР, нематериальные активы, источники финансирования (возможность выпуска акций и облигаций, привлечения зарубежного и частного инвестора и т.д.).
-
Показатели технического уровня и эффективности новой техники и технологии
Принципиальные отличия инновационной деятельности предприятия от текущего производства заключаются в том, что оценка текущего состояния предприятия, в том числе и техники и технологии, строится на выявлении условий успеха на основании прошлого опыта и сложившихся тенденций. Для такого анализа характерно применение ретроспективной корреляции между итогами хозяйственной деятельности и издержками. Характерными подходами являются: комплексный экономический анализ эффективности хозяйственной деятельности, анализ технико-организационного уровня производства, анализ использования производственных ресурсов и анализ взаимосвязи себестоимости, объема продукции и прибыли.
Для анализа инновационной деятельности предприятия необходим анализ-прогноз будущих факторов успеха в условиях неопределенности и обоснование затрат будущего периода. В отличие от детерминированных экономических процессов текущего производства процессы внедрения новой техники и технологии с их последующей коммерциализацией имеют стохастический характер. Поэтому анализ влияний на прибыль следует строить на основе методов прогнозирования, методов экспертных оценок, множественного регрессионного анализа, а также ситуационного и имитационного моделирования.
Показатели технического уровня новшества
В условиях рыночной экономики анализ эффективности инновационной деятельности усложняется, приобретая многоступенчатый и многостадийный характер. На первом этапе анализа эффективности новой техники и технологии следует применять традиционные обобщающие и частные показатели технического уровня и эффективности новой техники и технологии. Классификация показателей технического уровня новшества дана на 16.3.
Новизна
|
|
Производительность
|
|
Надежность
|
Патентная чистота
|
|
Скорость
|
|
Безопасность,
|
Уровень стандартизации и унификации
|
|
Параметры и габариты
|
|
стабильность
|
Управляемость
|
Производительность, мощность
|
Затраты на НИОКР
|
|
Оптимальная структура
|
|
Технологичность
|
Экономическая эффективность
|
|
Оптимальность функционирования
|
|
Длительность жизненного цикла
|
Наукоемкость
|
|
Надежность, безопасность
|
|
Экономичность
|
Дизайн
|
Конструкторская преемственность
|
|
Экономические показатели:
|
|
Эксплуатационные расходы
|
Сложность изделия
|
|
трудоемкость,
|
|
Наличие
|
Способность к модификациям
|
|
материалоемкость,
фондоемкость,
|
|
комплектующих и запчастей
|
Эргономические показатели
|
|
себестоимость,
производительность
|
|
Ремонтопригодность, гарантийные
|
Эстетические показатели
|
|
труда,
удельные
|
|
обязательства
|
Безопасность
|
|
капиталовложения,
|
|
|
Экологические показатели
|
|
Уровень механизации, автоматизации
|
|
|
16.3. Классификация показателей технического уровня новой техники и технологии
Для успешной реализации новшества необходимо выбрать адекватное технологическое решение и соответствующий уровень организации и производственного аппарата. Анализ уровня применяемой техники и технологии требует исследования не только новизны и приоритетности, но и таких важных свойств, как способность к адаптации в уже имеющихся условиях, способность к переналаживанию производственного аппарата. Особо следует выделить такое свойство техники, технологии и организации, как гибкость.
В условиях расширяющегося рыночного пространства, множественной диверсификации усиливаются темпы обновления, и увеличивается разнообразие видов продукции и применяемых для их производства техники и технологии. В производстве одновременно оказываются товары, техника и технология на разных стадиях жизненного цикла, принадлежащие к разным моделям и поколениям. В связи с этим резко возрастает изменчивость технологии и необходимость приспособления производственного аппарата к этим изменениям.
Растет необходимость специальными приемами увеличить эффект «приживаемости» новых технологических решений к уже существующим производственным условиям. Система «техника технология продукт» конструируется по специальным методикам на основе так называемой встроенной гетерогенности, т.е. умелого сочетания по функциональным признакам фрагментов вновь разработанных технологических решений с уже имеющимися производственными процессами.
Показатели технического уровня производства
Методологически следует различать показатели экономической эффективности повышения технико-организационного уровня и показатели самого уровня, т.е. состояния техники, технологии, организации, управления и НИОКР. Примерная схема важнейших показателей достигнутого технико-организационного уровня производства приведена на 16.4.
Повышение технико-организационного уровня производства в конечном итоге проявляется в уровне использования основных элементов производственного процесса: труда, средств труда и предметов труда. Вот почему такие экономические показатели, как производительность труда, фондоотдача, материалоемкость, оборачиваемость оборотных средств, отражающие интенсивность использования производственных ресурсов, являются показателями экономической эффективности повышения уровня применяемой новой техники и технологии. Вышеуказанные показатели (производительности труда, фондоотдачи, материалоемкости и оборачиваемости оборотных средств) называются частными показателями интенсификации. Их анализ следует производить по факторам технико-организационного уровня.
Наряду с частными показателями используются и обобщающие.
Все обобщающие показатели, характеризующие повышение экономической эффективности мероприятий по техническому и организационному развитию, объединяются в следующие группы:
приращение производительности труда, относительное отклонение численности работающих и фонда оплаты труда;
приращение материалоотдачи (снижение материалоемкости), относительное.
Уровень НИОКР
|
Ритмичность
|
Технологическая интенсивность
|
Производитель техники
|
Наукоемкость продукции
|
Длительность производственного цикла
|
Техническая управляемость
|
Техническая и энергетическая вооруженность труда
|
Обновление продукции
|
Рациональная организация процессов:
непрерывность,
замкнутость,
последовательность,
параллельность
|
Гибкость и адаптивность технологии
|
Степень механизации и автоматизации
|
Обновление оборудования
|
Новизна и приоритетность
|
Обновление организационно-технологических структур
|
Возврат основных фондов
|
Технологическая безопасность
|
Стадийность производства
Эстетика и культура производства
|
Безотходность и экологичность
|
Моральный износ оборудования
|
Экономическая эффективность инновационной деятельности
|
Структура парка оборудования
|
Эргономичность
|
16.4. Схема показателей технико-организационного уровня производства отклонение в затратах материальных ресурсов
приращение фондоотдачи (снижение фондоемкости) основных производственных фондов, относительное отклонение основных производственных фондов;
приращение скорости оборота оборотных средств, относительное отклонение (высвобождение или связывание) оборотных средств;
приращение объема выпуска продукции за счет интенсификации использования трудовых, материальных и финансовых ресурсов;
приращение прибыли или себестоимости продукции;
приращение показателей финансового состояния и платежеспособности предприятия.
Положения классического портфельного инвестирования
Например, для активного портфеля: акции 60%, корпоративные облигации 30%, государственные и муниципальные краткосрочные ценные бумаги 10%. При пассивной стратегии управления: акции 15-20%, государственные и муниципальные краткосрочные обязательства 60-80%, валютные фьючерсы до 10%. Поскольку происходят колебания стоимости того или другого вида ценных бумаг, наступают сроки их погашения, то необходимо периодически просматривать портфель, чтобы сохранить в нем первоначальное соотношение финансовых инструментов.
Особенности развития отечественной экономики позволили подойти к определению портфельных инвестиций с двух различных сторон:
формирование инвестиционного портфеля на основе классического подхода;
формирование инвестиционного портфеля с учетом реального состояния экономики,
Важно сравнить эти два подхода, чтобы показать их свойства и различия. Сначала сформулируем положения классического портфельного инвестирования:
1. Инвестор в течение определенного периода располагает ресурсами, которые должны быть наиболее оптимально инвестированы и получены вместе с прибылью в конце периода.
2. Изменение структуры портфеля в течение этого периода не предусматривается.
3. Портфель всегда дивидендный (что не исключает роста его курсовой стоимости).
4. Включенные в портфель ценные бумаги характеризуются двумя параметрами; ожидаемым доходом и стандартным отклонением, показывающим диапазон расхождения ожидаемого и реального дохода.
Теперь рассмотрим отличительные черты реального портфеля:
- Портфель курсовой, т.е. доход по нему складывается из роста курсовой стоимости входящих в него бумаг.
- Если в классическом портфеле возврат вложенных средств считается событием почти достоверным, то в реальном весьма вероятно их уменьшение, что и повышает значимость портфельного подхода как метода снижения риска.
- Структура портфеля может меняться. При этом применяется метод долгосрочного планирования, т.е. цель управления таким портфелем получение прибыли не от ежедневных колебаний, а на основе долгосрочных тенденций.
Для промышленного предприятия инвестиционный портфель, хотя и не является самоцелью, но может принести довольно большую прибыль.
Инвестиционный портфель для промышленного предприятия является эффективным инструментом реструктурирования оборотных средств (части оборотных средств, находящихся в форме свободных денежных активов и ценных бумаг предприятия). Это уже и есть готовый инвестиционный портфель, состоящий из акций приватизированных предприятий (рискованная часть), государственных ценных бумаг и денежных средств (резерва). В таком виде портфель является комбинированным, т.е. сочетающим в себе элементы рискованного и традиционного консервативного портфеля.
Промышленное предприятие должно решить, какой результат оно желает получить, и в течение какого срока будут «свободны» денежные средства, составляющие резерв. Ответы на эти вопросы позволяют выделить, какой из следующих трех типов инвестиционных портфелей характерен для предприятия: рискованный, консервативный, комбинированный, и определить продолжительность «жизни» этого портфеля. Важным фактором для определения типа портфеля является также оценка текущей конъюнктуры фондового рынка в целом и бумаг, уже имеющихся у предприятия.
Довольно сложно определить, какой из типов портфелей может оказаться выгодным при нынешней нестабильности фондового рынка, но специалисты придерживаются следующих мнений по вышеперечисленным трем типам портфелей:
вложения в рискованный портфель в настоящий момент могут оказаться неоправданными. Рискованный портфель создается обычно на срок не менее шести месяцев, и вложения в него должны составлять несколько сот тысяч долларов, при том, что риск вложения средств в этот портфель компенсируется возможностью получения высокой прибыли. С точки зрения специалистов, сейчас инвестиции в рискованный портфель не могут быть оптимальным вложением, так как есть большая возможность потери части или даже всех этих средств;
вложения в комбинированный портфель (сочетающий в определенной пропорции государственные и корпоративные ценные бумаги) являются менее рискованными, но срок его «жизни» также должен быть достаточно продолжительным;
вложения в краткосрочный консервативный инвестиционный портфель. Основными составляющими для консервативного портфеля являются высоколиквидные государственные ценные бумаги, которые за предыдущие периоды приносили и приносят в настоящем стабильный высокий доход.
При успешном становлении фондового рынка инвестирование средств предприятиями в вышеперечисленные государственные ценные бумаги может явиться стабильным финансовым вложением, гарантирующим довольно высокий доход. И приоритетным в этом плане будет являться именно консервативный финансовый портфель.
Выводы
1. Инвестиции вложение капитала как внутри страны, так и за рубежом с целью получения прибыли (дохода) и положительного социального эффекта. Инвестиции могут быть в виде денежных средств, целевых банковских вкладов, паев, акций и других ценных бумаг, кредитов, займов, залогов, технологий, земли, зданий, сооружений, машин, оборудования, лицензий, товарных знаков, любого другого имущества или имущественных прав, интеллектуальных ценностей.
2. Инвестиционная деятельность совокупность практических действий по реализации инвестиций. Она может осуществляться за счет собственных финансовых ресурсов и внутрихозяйственных резервов предприятия, а также заемных и привлеченных финансовых средств инвесторов, инвестиционных ассигнований из государственного бюджета, иностранных инвестиций.
3. Инвестиционная деятельность может быть в виде капиталообразующих и финансовых инвестиций. Капиталообразующие инвестиции предполагают увеличение производственных материальных и нематериальных активов предприятия. Инвестиции, направляемые на создание и воспроизводство основных фондов, имеющие обычно долгосрочный характер, называют капитальными вложениями.
Финансовые (портфельные) инвестиции помещение средств в финансовые активы предприятия в виде акций, облигаций и других ценных бумаг.
4. Прежде чем осуществлять инвестиции, предприятию необходимо провести комплексный анализ проекта, включающий технический, коммерческий, институционный, социальный, финансовый, экономический анализы, а также анализ окружающей среды.
5. Осуществление портфельных (финансовых) инвестиций предполагает анализ рисков инвестирования и доходности ценных бумаг. Главной целью формирования инвестиционного портфеля является максимально возможное взаимопогашение рисков, связанных с той или иной формой вложения капитала, что обеспечивает надежность вклада и получение наибольшего гарантированного дохода.
Термины и понятия
Инвестиции
Венчурный капитал
Прямые инвестиции
Портфельные инвестиции
Капитальные вложения
Аннуитет
Дисконтирование
Проектный анализ
Текущая стоимость
Будущая стоимость
Чистая приведенная стоимость
Инвестиционный портфель
Диверсифицированный портфель ценных бумаг
Управление портфелем ценных бумаг
Вопросы для самопроверки
1. Дайте определение понятий «инвестиции», «капитальные вложения», «венчурный капитал».
2. Что представляют собой прямые инвестиции?
3. Что представляют собой портфельные инвестиции?
4. В чем состоят особенности аннуитета как формы инвестиций?
5. Каковы базовые принципы инвестиционной деятельности?
6. Какие приемы и методы проектного анализа Вы знаете?
7. В чем суть дисконтирования, применяемого в экономическом и финансовом анализе?
8. Что показывает и как исчисляется внутренняя норма доходности?
9. Прокомментируйте значение основных источников формирования капитальных вложений.
10. Как определяется эффективность портфельных инвестиций?
11. Что является главной целью формирования диверсифицированного инвестиционного портфеля?
Понятие качества продукции
В современных условиях конкуренция между предприятиями развертывается главным образом на поле качества выпускаемой продукции.
Понятие качества продукции
Понятие качества продукции регламентировано в Российской Федерации государственным стандартом, ГОСТ 15467-79 «Управление качеством продукции. Основные понятия. Термины и определения»: «Качество совокупность свойств продукции, обусловливающих ее пригодность удовлетворять определенные потребности в соответствии с ее назначением»
1.
Покупатель считает качественной ту продукцию, которая отвечает условиям потребления независимо от того, какие специфические потребности ей предназначалось удовлетворять.
Действительно, совокупность свойств продукции может быть той же (т. е. качество не изменилось), но для потребителя эта продукция может быть неприемлемой.
Совокупность свойств не может быть плохой или хорошей вообще. Качество может быть только относительным. Если необходимо дать оценку качества продукции, то надо сравнить данный набор свойств (совокупность свойств) с каким-то эталоном.
Эталоном могут быть лучшие отечественные или международные образцы, требования, закрепленные в стандартах или технических условиях. При этом применяется термин «уровень качества» (в зарубежной литературе «относительное качество», «мера качества»).
Но любой документ или эталон узаконивает определенный набор свойств и характеристик лишь на какой-то период времени, а потребности непрерывно меняются, поэтому предприятие, изготовляя продукцию даже в точном соответствии с нормативно-технической документацией, рискует выпускать ее некачественной, не устраивающей потребителя.
Таким образом, основное место в оценке качества продукции или услуг отводится потребителю, а стандарты, законы и правила (в том числе и международные) лишь закрепляют и регламентируют прогрессивный опыт, накопленный в области качества.
Следовательно, качество как экономическая категория это общественная оценка, характеризующая степень удовлетворения потребностей в конкретных условиях потребления той совокупности свойств, которые явно выражены или потенциально заложены в товаре.
Показатели качества продукции
Потребности обычно выражаются в свойствах, в их сравнении с аналогичными свойствами базового, или эталонного, образца.
Такими свойствами могут быть вес, габариты, производительность, цвет, надежность, долговечность и др. Все свойства продукции выделены в группы: показатели назначения (производительность, модность, диапазон измерения); показатели надежности и технологичности; показатели унификации и стандартизации; эстетические показатели; эргономические показатели; показатели транспортабельности; патентно-правовые показатели; экологические показатели; показатели безопасности.
В зависимости от потребности используется тот или иной показатель. Так, например, в целях безопасности эксплуатации важен показатель безотказности; в целях экономии финансовых средств на проведение ремонтов ремонтопригодность, а в целях снижения затрат на поддержание изделия в работоспособном состоянии долговечность.
Показатели назначения характеризуют основную функциональную величину полезного эффекта от эксплуатации изделия. Показатели надежности характеризуют изделие с точки зрения надежности эксплуатации безотказность, ремонтопригодность, долговечность и т.д.
Показатели технологичности показатели, обеспечивающие рациональное использование материалов, средств труда и времени в процессе технологического цикла. Показатели стандартизации и унификации характеризуют насыщенность продукции стандартными, унифицированными и оригинальными составными частями, а также уровень унификации по сравнению с другими изделиями. Все изделия могут быть подразделены на стандартные, унифицированные и оригинальные.
Чем выше коэффициент стандартизации и унификации изделия, тем лучше с точки зрения производства и эксплуатации.
Экономические показатели отражают удобство эксплуатации изделия человеком. Взаимодействие человека с изделием выражается через комплекс антропометрических, физиологических и психологических свойств человека. Эстетические показатели характеризуют композиционное совершенство изделия (сочетание цветов, выразительность формы).
Показатели транспортабельности отражают степень возможности транспортировки изделия различным транспортом без нарушения его свойств. Патентно-правовые показатели характеризуют патентную защиту и патентную чистоту продукции. Экологические показатели отражают степень влияния вредных воздействий на окружающую среду, которые возникают при хранении, эксплуатации или потреблении продукции.
Показатели безопасности определяют степень безопасности эксплуатации и хранения изделия, т.е. обеспечивают безопасность при соблюдении условий эксплуатации, ремонта, простоя.
Указанные показатели в совокупности создают базу для сравнения с другой аналогичной продукцией, позволяют оценить их технический уровень и качество.
Понятие конкурентоспособности
В условиях рынка удовлетворенность конкретного потребителя совокупностью предлагаемых ему свойств в товаре находит выражение в акте купли-продажи. Такое совпадение свойств, характеристик товара и требований потребителя, при котором соблюдаются интересы производителя и потребителя, означающее полное соответствие товара условиям рынка, называется его конкурентоспособностью.
Товары, таким образом, должны не только обладать набором технических, эстетических, эргономических и других свойств, но и отвечать условиям их реализации (цена, сроки поставки, сервис, престиж фирмы, реклама и т.д.). Конкурентоспособность продукции определяется комплексом потребительских (качественных и количественных) характеристик, позволяющих удовлетворять особые условия рынка. Конкурентоспособная продукция легко и быстро реализуется на рынке по наименее затратным каналам сбыта. Фактически товар проходит проверку на степень удовлетворения общественным потребностям. Они диктуются вкусами и предпочтениями определенной группы покупателей (сегментом рынка), поэтому понятие конкурентоспособности всегда конкретно.
Коммерчески выгодный сбыт товара возможен лишь на конкретном рынке в определенных условиях конкуренции.
Каждый покупатель приобретает тот товар, который максимально удовлетворяет его личные потребности. В целом покупатели приобретают тот товар, который более полно соответствует общественным потребностям по сравнению с другими. Поэтому степень удовлетворенности покупателя товаром тоже складывается из совокупности мнений единичных покупателей и формируется еще в преддверии появления его на рынке, на любом этапе жизненного цикла изделия до момента утилизации.
В это время и происходит острая конкурентная борьба за потребителя. Конкурентоспособность зависит от степени удовлетворенности покупателя товаром.
Конкурентоспособность товара определяется (в отличие от качества) только той совокупностью свойств, которые представляют несомненный интерес для определенной группы покупателей, и обеспечивает удовлетворение данной потребности. Прочие характеристики и свойства продукции во внимание не принимаются. Товар с более высоким уровнем качества может быть менее конкурентоспособен, если его стоимость значительно повысилась за счет придания товару новых свойств, не затребованных группой потребителей, для которых он предназначен.
Кроме того, один и тот же продукт может быть конкурентоспособен на внутреннем рынке и неконкурентоспособен на внешнем, и наоборот.
Многие компании индустриально развитых стран (Япония, США, Франция, ФРГ) позволяют добиваться конкурентоспособности товаров лишь на внутреннем рынке, будучи уверенными в возможности сбыта своих товаров и на внешнем рынке.
'Таким образом, при неизменности качественных характеристик товара его конкурентоспособность может меняться в широких пределах, реагируя на изменение конъюнктуры рынка, воздействия рекламы и на проявления других внутренних и внешних по отношению к товару факторов.
Показатели конкурентоспособности
Оценка способности товара конкурировать производится путем сопоставления параметров анализируемой продукции с параметрами базы сравнения. За базу сравнения принимается либо потребность покупателя, либо образец. Обычно образец это аналогичный товар, имеющий максимальный объем продаж и наилучшую перспективу сбыта в будущем. Если за базу сравнения принимается потребность, то расчет единичного показателя конкурентоспособности можно производить по формуле:
где gi единичный параметрический показатель конкурентоспособности по i-му параметру; Пi, величина i-го параметра для анализируемой продукции; Пin величина i-го параметра, при котором потребность удовлетворяется полностью; n количество анализируемых параметров.
Если за базу сравнения принимается образец, то в знаменателе дроби следует поставить величину i-го параметра для изделия, принятого за образец.
Иногда параметры продукции не имеют физической меры. В этом случае для оценки этих характеристик используются методы оценки в баллах.
Описанный метод (дифференциальный) позволяет лишь констатировать факт необходимости повышения или снижения параметров продукции для обеспечения конкурентности, но не отражает влияние каждого параметра при выборе товара потребителем.
Поступления средств от других предприятий.
Эти платежи, хотя и не поступают непосредственно в доход соответствующих бюджетов, а имеют целевую направленность для решения тех или иных социальных задач, однако в силу своей обязательности носят для плательщиков налоговый характер. Все они включаются в себестоимость продукции (работ, услуг) предприятий и организаций.
Наряду с обязательными платежами в государственные внебюджетные фонды социального назначения все предприятия, организации и учреждения, осуществляющие хозяйственную деятельность на территории Российской Федерации, должны вносить обязательные платежи в дорожные фонды РФ, которые осуществляются в форме уплаты налога на пользователей автомобильных дорог, налога на владельцев транспортных средств, налога на приобретение автотранспортных средств, а также налога на реализацию горюче-смазочных материалов. За счет средств этих фондов (федерального и региональных) осуществляется финансирование затрат, связанных с содержанием, ремонтом, реконструкцией и строительством автомобильных дорог общего пользования.
Помимо обязательных отчислений в государственные внебюджетные социальные и дорожные фонды по отдельным отраслям народного хозяйства (электроэнергетика, металлургия и т.д.), а также для предприятий определенного профиля предусмотрены отчисления в ряд отраслевых внебюджетных фондов, за счет которых осуществляется решение общеотраслевых проблем. Решения об отчислениях в такие фонды принимаются Правительством РФ.
5. Финансовый план предприятия
Финансовый план разрабатывается на основе других разделов плана экономического и социального развития предприятия. В свою очередь разработка финансового плана оказывает существенное влияние на формирование плана себестоимости, использование материальных и других ресурсов. При составлении финансового плана непременно должны учитываться имеющиеся резервы производства, так как в нем устанавливаются задания по улучшению использования ресурсов, повышению рентабельности производства.
Поэтому перед разработкой финансового плана необходимо всесторонне проанализировать имеющиеся отчетные и другие материалы по выполнению производственного плана.
Структура финансового плана
Финансовый план составляется в виде баланса доходов и расходов, который выражает в денежной форме результаты хозяйственно-финансовой деятельности, взаимоотношения с бюджетом, банками, вышестоящими организациями. Финансовый план (баланс доходов и расходов) предприятия состоит из четырех разделов: доходы и поступления средств, расходы и отчисления, кредитные взаимоотношения, взаимоотношения с бюджетом. Размер плановых доходов и расходов определяется на основе обоснованных расчетов, которые составляются по каждой статье баланса.
В разделе «Доходы и поступления средств» отражается доход в виде прибыли, амортизационных отчислений, других внутренних доходов предприятия, а также разного рода поступлений из внешних источников. В составе прибыли основную часть занимает прибыль от реализации товарной продукции. В общую балансовую прибыль предприятия входит прибыль от реализации прочей продукции и услуг непромышленного характера.
Планирование амортизационных отчислений осуществляется по каждому виду или группе основных фондов, числящихся на балансе предприятия. Сумма амортизационных отчислений определяется умножением среднегодовой стоимости этих фондов на соответствующие нормы амортизационных отчислений.
В разделе «Расходы и отчисления средств» предусматриваются централизованные капитальные вложения, затраты на капитальный ремонт, расходы на прирост норматива собственных оборотных средств, убытки от эксплуатации жилищно-коммунального хозяйства, расходы на содержание зданий и сооружений, отчисления на образование фондов экономического стимулирования расходы на НИОКР, подготовку кадров и премирование работников за создание и внедрение новой техники, для оказания финансовой помощи, другие расходы и отчисления.
Примерное содержание разделов финансового плана можно представить следующими основными статьями доходов и расходов.
I. Доходы и поступления средств
1. Прибыль от реализации продукции, работ, услуг.
2. Прибыль от прочей реализации (основных средств, других активов).
3. Планируемые внереализационных доходы, в том числе:
доходы от долевого участия в уставном капитале других предприятий;
доходы, полученные от ценных бумаг;
доходы от хранения денежных средств на депозитных счетах в банках и других финансово-кредитных учреждениях;
доходы от сдачи имущества в аренду.
4. Амортизационные отчисления на полное восстановление основных фондов и нематериальных активов.
5. Поступления средств от других предприятий.
II. Расходы и отчисления средств
1. Налоги, уплаченные из прибыли (по видам налогов).
2. Распределение чистой прибыли, в том числе:
на накопление (по направлениям использования);
на потребление (по направлениям использования).
3. Долгосрочное инвестирование (по формам инвестиций), в том числе:
за счет амортизационных отчислений;
за счет других источников финансирования (по видам источников).
4. Прочие расходы.
Взаимосвязь доходов и расходов
При составлении плана особое внимание уделяется правильному расчету источников финансирования капитальных вложений, которые по характеру образования можно подразделить на четыре группы: внутренние ресурсы строительства, средства основной (промышленной) деятельности, ассигнования из бюджета и долгосрочный кредит банка.
Плановая потребность в финансировании капитальных вложений в первую очередь должна обеспечиваться за счет мобилизации внутренних ресурсов в капитальном строительстве, осуществляемом хозяйственным способом, амортизации, отчисляемой на восстановление фондов и части прибыли основной деятельности.
Основным источником финансирования капитальных вложений предприятия является фонд развития производства, направляемым на техническое переоснащение действующих производств, и фонд социально-культурных мероприятий и жилищного строительства в части, расходуемой на строительство жилого фонда.
В качестве источника покрытия других расходов и отчислений используется прибыль предприятия.
Значительное внимание в современных условиях уделяется определению экономически обоснованных нормативов оборотных средств.
Собственными (закрепленными) оборотными средствами предприятия являются средства, которые создаются за счет уставного фонда, прибыли. Приравненными к собственным оборотным средствам предприятия являются средства, находящиеся в его распоряжении по условиям (расчетам) взаимоотношений предприятия с рабочими и служащими, заказчиками и т.д. Такие средства называются устойчивыми пассивами.
К ним относятся переходящая минимальная задолженность по заработной плате рабочим и служащим и отчислениям на социальное страхование, задолженность резерва предстоящих платежей, по авансовым платежам заказчиков и др.
Заемными являются средства, получаемые предприятием от банков в виде ссуды, а также кредиторская задолженность.
Необходимость деления оборотных средств на, нормируемые и ненормируемые вытекает из требований, обусловливающих планомерное развитие производства и непременное достижение наибольших результатов с наименьшими затратами на единицу продукции.
Установлением плановых нормативов по отдельным статьям оборотных средств обеспечивается непрерывная и ритмичная работа производства (подробнее см. гл. 6).
Весьма важным вопросом разработки финансового плана предприятия является определение размеров фонда материального поощрения, фонда социально-культурных мероприятий и жилищного строительства, а также фонда развития производства.
При планировании раздела «Кредитные взаимоотношения» рассчитывается размер привлекаемых долгосрочных кредитов по каждому их виду, необходимых для обеспечения эффективной производственно-хозяйственной деятельности предприятия и входящих и него подразделений.
Полученный от коммерческих банков кредит погашается после завершения работ в первую очередь за счет средств фонда развития производства и других фондов, а при недостаточности за счет прибыли, получаемой от проведения прокредитованных мероприятий.
В условиях рыночной экономики коммерческие банки широко представляют как краткосрочные, так и долгосрочные кредиты на капитальное строительство. Использование банковских ссуд вместо безвозмездного (как было ранее) финансирования капитальных вложений значительно повышает ответственность предприятий, требует более тщательного обоснования экономической целесообразности затрат, более реалистического подхода к определению действительной потребности в средствах, создает заинтересованность в ускорении окупаемости капитальных вложений.
При определении взаимоотношений предприятия с бюджетом рассчитывается размер платежей (плата за производственные фонды, фиксированные платежи, свободный остаток прибыли, налоги) и ассигнований из бюджета в целом и по отдельным направлениям.
В настоящее время действует общий порядок распределения прибыли предприятий, определяющий его характер взаимоотношений с бюджетом.
Общий порядок предусматривает, что плановая прибыль предприятия после определения размеров взносов в бюджет в виде платы за производственные фонды, фиксированных платежей, а также сумм, предназначенных для уплаты за банковский кредит, направляется на формирование фондов предприятия.
Для обеспечения полной взаимосвязи статей финансового плана и определения окончательных взаимоотношений с государственным бюджетом при завершении расчета баланса доходов и расходов (в виде приложения к нему) составляется проверочная (шахматная) таблица, в которой по горизонтали приводятся источники финансирования (отраженные в подразделе «Доходы и поступления»), а по вертикали статьи расхода (из подраздела «Расходы и отчисления»), равнозначные в общей сумме по итогу.
Таким образом, в балансе доходов и расходов (финансовом плане) предприятий практически находит отражение широкий комплекс финансовых отношений предприятия с финансово-кредитной системой, с другими предприятиями и организациями. От того, насколько экономически обоснован финансовый план и как он выполняется, во многом зависит положение предприятия, его финансовая устойчивость, своевременность выполнения обязательств по платежам в бюджет, расчетам с поставщиками и других предусмотренных планом затрат.
Выводы
1. Финансовые ресурсы предприятия это денежные ресурсы, находящиеся в его распоряжении. Они могут быть собственными и заемными. Собственные финансовые ресурсы формируются за счет уставного капитала, учредительских взносов, амортизационных отчислений, прибыли, путем выпуска дополнительных акций предприятия, обязательств и др.
Они используются на производственное и научно-техническое развитие, формируют активы предприятия. Заемные средства это финансовые ресурсы сторонних организаций и физических лиц (кредиты, займы, финансовая помощь других предприятий, средства, привлекаемые в результате выпуска облигаций, благотворительные взносы и т.д.).
Соотношение собственных и заемных средств в структуре капитала предприятия может быть разным в зависимости от политики руководства предприятия, отраслевых особенностей, целей привлечения средств.
2. Прибыль предприятия характеризует эффективность его деятельности. Она является основным источником финансовых ресурсов предприятия, обеспечивающим его функционирование и развитие. Прибыль характеризуется системой показателей; балансовая прибыль, налогооблагаемая и не облагаемая налогом прибыль, чистая прибыль, прибыль, полученная от реализации продукции, работ, услуг, доходы по внереализационным операциям, прибыль от реализации имущества.
3. Предприятие планирует свои доходы и расходы на краткосрочный и долгосрочный периоды. От этого зависит его финансовая устойчивость, ритмичность всей хозяйственной деятельности, своевременность платежей и различные государственные фонды, налоговые органы, местные бюджеты, а также расчеты с поставщиками.
4. Основной формой финансового планирования является баланс доводов и расходов, состоящий из разделов: доходы и поступления средств, Расходы и отчисления средств, кредитные взаимоотношения, взаимоотношения с бюджетом. Финансовый план отражает результаты хозяйственно-финансовой деятельности предприятия, его взаимоотношения с бюджетом, банками и другими организациями.
Термины и понятия
Финансовые ресурсы предприятия
Уставный капитал
Амортизационный фонд
Выручка предприятия
Прибыль предприятия
Убыток предприятия
Балансовая прибыль
Валовая прибыль
Прибыль от реализации продукции
Прибыль от реализации имущества
Прибыль от внереализационных мероприятий
Чистая прибыль
Налог
Налог на прибыль
Налог на имущество
Косвенные налоги
НДС
Акциз
Таможенные пошлины
Платежи во внебюджетные фонды
Платежи в дорожные фонды
Финансовый план предприятия
Вопросы для самопроверки
1. Дайте определение понятия финансовых ресурсов предприятия. Каковы источники их формирования?
2. В чем отличие собственных и заемных средств предприятия?
3. Охарактеризуйте процесс формирования чистой прибыли предприятия. Какова система показателей прибыли?
4. В чем состоят особенности распределения прибыли на предприятиях различных организационно-правовых форм?
5. Каков порядок и методы планирования прибыли?
6. Какие налоги и платежи вносит предприятие в бюджет и во внебюджетные фонды?
7. Каковы цели и задачи финансового планирования?
8. Дайте характеристику финансового плана предприятия.
Предприятия акционерного типа имеют преимущества
Общество с ограниченной ответственностью (ООО) это форма организации предприятия, участники которого вносят определенный паевой взнос в уставный капитал и несут ограниченную ответственность в пределах своих вкладов.
Обществом с ограниченной ответственностью может быть признано только предприятие, имеющее разделенный на паевые доли уставный капитал. Паи распространяются между учредителями без проведения публичной подписки и должны быть обязательно именными. Размер долей определяется учредительными документами. Нижняя граница величины уставного капитала обычно оговаривается национальным законодательством.
Кроме того, государственные нормы могут предусматривать возможность внесения вклада с рассрочкой, т.е. минимальный размер взноса на момент регистрации и срок полного внесения суммы вклада.
Члену ООО, полностью оплатившему пай, выдается письменное свидетельство, которое не является ценной бумагой, не может дробиться и быть продано другому лицу без разрешения общества. Пай дает право его владельцу на участие в общих собраниях пайщиков, на получение дивидендов и части имущества компании при ее ликвидации.
ООО имеет ряд характерных особенностей, отличающих его от других форм предприятий:
наличие (создание) паевого капитала;
предприятия в форме ООО по большей части мелкие и средние организации, более мобильные и гибкие, чем акционерные общества. В законодательных актах различных стран минимальный уровень капитала для организации ООО ниже, чем для акционерных обществ;
паевые свидетельства в отличие от акций не являются ценными бумагами, а соответственно, и не обращаются на рынке. Обычно паевые свидетельства передаются другим вкладчикам денежных средств только с согласия партнеров. Как правило, публичной подписки в ООО не производится. В некоторых странах, например в Англии, специально оговорено, что пай в отличие от акции не может дробиться и должен принадлежать одному лицу;
если акционер должен только оплатить акцию, и это будет считаться его единственной обязанностью перед акционерным обществом, то в ООО пайщик может быть при определенных обстоятельствах обязан вносить дополнительные средства в уставный капитал общества;
структура обществ с ограниченной ответственностью является более простой. Управление делами общества и заключение сделок от имени общества осуществляют один или несколько распорядителей, которые могут быть членами общества, а могут и не быть ими;
ООО часто используется для создания объединений предпринимателей, хорошо знающих друг друга, в том числе семейных объединений;
число участников общества может быть ограничено в законодательном порядке;
ООО не обязательно публиковать свой устав, данные о балансе, изменениях размера капитала и перемещениях в составе директората. Это представляет большое удобство для предпринимателей, так как дает им возможность при ограничении ответственности за обязательства общества только своим вкладом осуществлять всевозможные операции, не предавая их гласности.
Учредительный договор о создании ООО включает обычно следующие положения; наименование общества, его местонахождение, сведения об учредителях, цели создания ООО, порядок образования имущества, уставный фонд, размер и характер вкладов участников, сведения о расчетном счете, порядок и сроки внесения вкладов участников, права и обязанности членов ООО, распределение прибыли общества, сведения о прекращении деятельности ООО, срок заключения договора.
В отличие от учредительного договора устав ООО должен содержать более полную информацию по указанным вопросам, Кроме того, в него обычно включают такие положения; обязательства общества и его членов (чаще всего в уставе содержится указание на то, что участники не отвечают по обязательствам ООО, а ООО не отвечает по обязательствам участников); сведения о дочерних предприятиях, филиалах и представительствах; компетенция органон управления ООО; порядок принятия решений органами общества; возможность передачи пая третьему лицу; порядок принятия и исключения членов; распределение средств ООО после его ликвидации и некоторые другие положения.
Общество с дополнительной ответственностью (ОДО) это разновидность хозяйственных обществ. Особенностью ОДО является то, что при недостаточности имущества общества для удовлетворения требований кредиторов участники ОДО могут быть привлечены к имущественной ответственности по долгам общества их личным имуществом, причем в солидарном порядке. Однако размер этой ответственности ограничен; он касается не всего их имущества, как в полном товариществе, а только его части одинакового для всех кратного размера к сумме внесенных вкладов (например, трехкратный, пятикратный и т.п.).
Важной особенностью ОДО является и то, что в случае банкротства одного из участников его дополнительная ответственность пропорционально (или в ином порядке, установленном учредительными документами) распределяется между остальными участниками, как бы «прирастая» к их «долям».
Общество с дополнительной ответственностью занимает промежуточное положение между товариществами с их неограниченной ответственностью участников и обществами, вообще исключающими такую ответственность.
Акционерное общество (АО) представляет собой форму предприятия, средства которого образуются за счет выпуска и размещения акций, а участники предприятия (акционеры) несут ответственность, ограниченную только той суммой, которая была уплачена за приобретенные акции, т.е. вкладом в капитал акционерного общества. По обязательствам акционерного общества своим имуществом отвечает только само общество.
Руководство всей текущей деятельностью АО и выступление от его имени при заключении сделок поручается, как правило, одному из распорядителей (управляющих) или нескольким распорядителям, входящим в правление фирмы. Акционерные общества обязаны публиковать годовые отчеты о своей деятельности (отчет правления, балансы и счета прибылей и убытков) по истечении каждого финансового года. Акционерное общество является юридическим лицом.
Предприятия акционерного типа имеют следующие преимущества:
способность привлекать дополнительные инвестиции путем выпуска акций;
ограничение ответственности акционеров при общем экономическом интересе и эффективной деятельности предприятия;
снижение предпринимательского риска;
облегчение перелива капитальных средств из отрасли в отрасль;
уменьшение зависимости АО от состава акционеров;
наличие апробированного механизма деятельности АО, основанного на акционерном законодательстве.
Форма акционерного общества является в настоящее время наиболее распространенной формой организации предприятий.
Акционерное общество образуется на основе устава, разрабатываемого и утверждаемого учредителями общества. Уставом определяется максимальная сумма, на которую могут быть выпущены акции, именуемая уставным капиталом, и их номинальная стоимость.
Уставный капитал АО представляет собой определенную сумму денег, состоящую из взносов акционеров за членство в акционерном обществе. Размер уставного капитала определяется учредителями АО исходя из потребностей в денежных средствах для начала деятельности общества. Акционерное общество несет ответственность перед кредиторами не только на указанную величину уставного фонда, но и всем имуществом общества.
Имущество АО может быть как большим, так и меньшим по сравнению с уставным капиталом. Законодательные нормы часто предусматривают необходимость превышения стоимости имущества над уставным капиталом (в противном случае может быть ограничено распределение прибыли между акционерами). Если АО в данном году понесло финансовые убытки, что привело к уменьшению имущества по сравнению с уставным капиталом, то в следующем году общество должно использовать часть полученной прибыли для достижения указанного в уставе соотношения.
Уставный капитал АО образуется двумя способами:
через публичную подписку на акции;
через распределение акций среди учредителей.
В первом случае образуется открытое акционерное общество, во втором закрытое.
Ценной бумагой, удостоверяющей участие в акционерном обществе и позволяющей получать долю в его прибыли, является акция. Акции могут быть различных видов: именные и акции на предъявителя; простые и привилегированные акции и т.д. Еще одним видом ценных бумаг, выпускаемых АО, являются облигации.
Выпуск облигаций представляет собой один из источников кредитования акционерного общества. Облигация ценная бумага, дающая право ее владельцу на получение фиксированного процента (в этом определенное сходство между облигацией и привилегированной акцией). Облигации могут быть именными и на предъявителя.
Органы управления АО могут иметь двух- и трехзвенную структуру. Двухзвенная структура включает правление и общее собрание акционеров, при трехзвенной структуре к ним прибавляется наблюдательный совет.
Общее собрание акционеров позволяет реализовать право управления членов АО. Количество принадлежащих акционеру акций определяет и количество его голосов на общем собрании. Собрание правомочно решать такие вопросы, как: определение генеральной линии развития общества, изменение устава, создание филиалов и дочерних предприятий, утверждение результатов деятельности АО, избрание правления и др.
Принципы построения организационной структуры управления
Это достигается за счет создания должности руководителя проекта, который координирует все связи между участниками проекта, работающими в различных функциональных отделах.
Среди недостатков матричной организации обычно подчеркивается сложность, а иногда и непонятность ее структуры, наложение вертикальных и горизонтальных полномочий подрывает принцип единоначалия, что часто приводит к конфликтам и к трудностям в принятии решений. При использовании матричной структуры наблюдается более сильная, чем в традиционных структурах, зависимость успеха от личных взаимоотношений между сотрудниками.
Несмотря на все эти сложности, матричная организация используется во многих отраслях промышленности, особенно в наукоемких производствах (например, в производстве электронной техники), а также и в некоторых организациях непроизводственной сферы.
5. Принципы построения организационной структуры управления
Многосторонность содержания структур управления предопределяет множественность принципов их формирования. Прежде всего, структура должна отражать цели и задачи организации, а, следовательно, быть подчиненной производству и меняться вместе с происходящими в нем изменениями. Она должна отражать функциональное разделение труда и объем полномочий работников управления; последние определяются политикой, процедурами, правилами и должностными инструкциями и расширяются, как правило, в направлении более высоких уровней управления.
В качестве примера можно привести типовую схему управления предприятием ( 11.8).
Полномочия руководителя любого уровня ограничиваются не только внутренними факторами, но и факторами внешней среды, уровнем культуры и ценностными ориентациями общества, принятыми в нем традициями и нормами. Другими словами, структура управления должна соответствовать социально-культурной среде, и при ее построении надо учитывать условия, в которых ей предстоит функционировать. Практически это означает, что попытки слепо копировать структуры управления, действующие успешно в других организациях, обречены на провал, если условия работы различны.
Немаловажное значение имеет также реализация принципа соответствия между функциями и полномочиями, с одной стороны, и квалификацией и уровнем культуры с другой.
Любую перестройку структуры управления необходимо оценивать, прежде всего,
11.8. Принципиальная схема структуры аппарата управления предприятием
с точки зрения достижения поставленных перед ней целей. В условиях нормально развивающейся (не кризисной) экономики реорганизация направлена чаще всего на то, чтобы путем совершенствования системы управления повысить эффективность работы организации, при этом главными факторами улучшения являются рост производительности труда, ускорение технического развития, кооперация в принятии и реализации управленческих решений и т.д. В кризисный период изменения в структурах управления направлены на создание условий для выживания организации за счет более рационального использования ресурсов, снижения затрат и более гибкого приспособления к требованиям внешней среды.
В целом рациональная организационная структура управления предприятием должна отвечать следующим требованиям:
обладать функциональной пригодностью, гарантировать надежность и обеспечивать управление на всех уровнях;
быть оперативной, не отставать от хода производственного процесса;
иметь минимальное количество уровней управления и рациональные связи между органами управления;
быть экономичной, минимизировать затраты на выполнение управленческих функций.
Выводы
1. Под структурой управления предприятием понимается состав и соподчиненность его управленческих звеньев, выполняющих определенные функции управления производством.
2. На структуру управления влияет значительное число факторов, к важнейшим из которых относятся: отраслевая принадлежность предприятия, масштаб и номенклатура производства, особенности применяемых технологических процессов, уровень специализации, кооперирования и комбинирования предприятия. От степени рациональности структуры управления в значительной степени зависит уровень технико-экономических показателей производства. Правильно построенная структура управления предприятием создает предпосылки высокой оперативности управления, согласованной работы всех структурных его подразделений.
3. Существуют следующие типы структуры управления: линейная (иерархическая), функциональная, дивизиональная, адаптивная.
4. Однако ни одна из перечисленных структур управления в чистом виде не применяется, за исключением линейной, и то лишь на малом предприятии. На подавляющем большинстве предприятий используется смешанный тип управления. В одних случаях это простое сочетание перечисленных четырех форм, когда в нижнем звене на уровне бригады применяется линейная, в среднем на уровне цеха функциональная, а на уровне предприятия линейно-функциональная и частично матричная форма.
Чаще, однако, встречается синтез различных форм, когда они действуют солидарно на всех уровнях хозяйственной иерархии.
Термины и понятия
Организационная структура управления предприятием
Линейная структура управления
Функциональная структура управления
Дивизиональная структура управления
Адаптивная структура управления
Проектная структура
Матричная структура
Вопросы для самопроверки
1. Что понимается под организационной структурой управления предприятием?
2. Назовите основные типы организационных структур управления. В чем состоят преимущества и недостатки каждого из перечисленных типов управления структур?
3. Какие факторы влияют на выбор той или иной управленческой структуры?
4. Что может служить показателем эффективности применения управленческих структур?
РАЗДЕЛ IV
ЭКОНОМИЧЕСКИЙ МЕХАНИЗМ ФУНКЦИОНИРОВАНИЯ ПРЕДПРИЯТИЯ
Содержание раздела
Процедура банкротства
В реальном хозяйственном процессе к банкротству предприятия могут приводить различные факторы, усиливающие или ослабляющие взаимное воздействие. Тем не менее, если удается условно выделить преобладающий фактор, то банкротство предприятия обычно подразделяется на:
банкротство, связанное с неэффективным управлением предприятием, непродуманной маркетинговой стратегией и т.д.;
банкротство, вызванное недостатком инвестиционных ресурсов для осуществления расширенного воспроизводства пользующейся спросом продукции;
банкротство, обусловленное производством неконкурентоспособной продукции.
Процедура банкротства
В настоящее время процесс банкротства в России регламентируется Федеральным законом «О несостоятельности (банкротстве)» от 8 января 1998 г.
Понятие «несостоятельность» указывает на неспособность предприятия удовлетворить требования кредиторов по оплате товаров (работ, услуг). Отсутствие на расчетном счете денежных средств, необходимых для уплаты налогов, обязательных страховых взносов и т.п., также является признаком несостоятельности предприятия. В то же время оно не может быть признано несостоятельным за неуплату штрафов, пени, неустоек, поскольку суммы санкций не образуют кредиторской задолженности.
Однако далеко не во всех случаях наличие кредиторской задолженности свидетельствует о возможности предъявления требований о признании предприятия-должника банкротом. В соответствии с Законом о несостоятельности (банкротстве) предприятий принимается во внимание лишь такая сумма задолженности, которая превышает стоимость имущества должника. Исключения составляют случаи, когда подобного превышения нет, но имеет место неудовлетворительная структура баланса должника (такое соотношение его имущества и обязательств, при котором за счет первого не может быть обеспечено своевременное выполнение вторых в связи с недостаточной степенью ликвидности упомянутого имущества).
Официально предприятие может считаться банкротом только при наличии решения арбитражного суда либо решения предприятия о добровольной ликвидации. Законодательство о банкротстве обычно предусматривает не только ликвидационные, но и реорганизационные процедуры. Последние включают внешнее управление и санацию.
Внешнее управление
Под внешним управлением имуществом должника понимается процедура, направленная на продолжение деятельности предприятия-должника, назначаемая арбитражным судом по заявлению должника, собственника предприятия или кредитора и осуществляемая на основании передачи функций по управлению предприятием-должником арбитражному управляющему.
Основанием для назначения внешнего управления имуществом должника является наличие реальной возможности восстановить платежеспособность предприятия-должника с целью продолжения его деятельности путем реализации части его имущества и осуществления других организационных и экономических мероприятий. Управление имуществом осуществляется арбитражным управляющим, который назначается арбитражным судом (возможно, на конкурсной основе). Арбитражный управляющий должен быть профессиональным юристом или экономистом, обладать опытом хозяйственной работы, а также не иметь судимостей.
Функциями арбитражного управляющего являются:
распоряжение имуществом предприятия-должника;
руководство предприятием-должником;
отстранение при необходимости руководителя предприятия от выполнения обязанностей;
прием на работу и увольнение работников;
созыв собрания кредиторов;
разработка плана проведения внешнего управления имуществом должника и организация его выполнения.
Разработанный план предоставляется на обсуждение собрания кредиторов не позднее чем через 3 месяца после назначения арбитражного управляющего. В случае неодобрения плана управляющий может быть заменен арбитражным судом. Полномочия внешнего управляющего не могут превышать 18 месяцев.
На период проведения внешнего управления вводится мораторий на удовлетворение требований кредиторов к должнику, тем самым предприятию предоставляется возможность использовать суммы, предназначенные для оплаты денежных обязательств, для улучшения финансового состояния предприятия.
Арбитражный управляющий обращается в арбитражный суд с заявлением о завершении внешнего управления имуществом должника в случаях:
если цель внешнего управления имуществом должника (вывод из кризиса) достигнута;
если стало очевидно, что достижение этой цели невозможно. В зависимости от результатов проведения внешнего управления и характера заявления арбитражного управляющего арбитражный суд может:
принять решение о прекращении внешнего управления имуществом должника, признании его банкротом и об открытии конкурсного производства;
вынести определение о завершении внешнего управления имуществом должника и прекращении производства по делу о банкротстве предприятия;
вынести определение о проведении дальнейшего внешнего управления имуществом должника в пределах 18-месячного срока.
Санация
Санация (оздоровление) предприятия-должника является реорганизационной процедурой предприятия, в ходе осуществления которой предприятию-должнику оказывается финансовая помощь кредитором или иными лицами.
Ходатайство о проведении санации может быть подано должником, собственником предприятия-должника или кредитором. Основанием для проведения санации является наличие реальной возможности восстановить платежеспособность предприятия для продолжения его хозяйственной деятельности. Арбитражный суд не вправе разрешать проведение санации, если дело о несостоятельности предприятия возбуждено повторно на протяжении трех последних лет.
В случае удовлетворения ходатайства о санации арбитражный суд объявляет конкурс желающих принять в ней участие, к которому допускаются юридические (в том числе и иностранные), физические лица, а также члены трудового коллектива предприятия-должника.
Участники санации проводят собрание и вырабатывают соглашение, в котором содержится обязательство обеспечить удовлетворение требований всех кредиторов в согласованные с ними сроки, указывается предполагаемая продолжительность санации, распределение ответственности между участниками. Участники санации несут солидарную ответственность за выполнение обязательств перед кредиторами, если соглашением не предусмотрено иное.
При формировании условий соглашения участников санации необходимо учитывать, что по истечении 12 месяцев с начала санации должно быть удовлетворено не менее 40% от общей суммы требований кредиторов, а продолжительность санации не должна превышать 18 месяцев (она может быть продлена не более чем на 6 месяцев). Достижение цели санации дает основание для прекращения дела о несостоятельности предприятия.
Законодательные акты не предусматривают одновременного проведения санации и внешнего управления.
Принудительная ликвидация
Реорганизационные процедуры направлены на восстановление нормального функционирования предприятия. Если они оказываются неэффективными, арбитражный суд начинает ликвидационные процедуры, которые ведут к прекращению деятельности предприятия. Ликвидационные процедуры предполагают принудительную или добровольную ликвидацию.
Принудительная ликвидация предприятия-должника осуществляется по решению арбитражного суда по признании предприятия несостоятельным. Это решение вступает в силу по истечении срока на подачу кассационной жалобы или протеста. Отличие процедуры принудительной ликвидации предприятия от ликвидации в обычном порядке состоит в том, что реализация имущества предприятия-должника и удовлетворение требований кредиторов осуществляются в порядке конкурсного производства.
Решение об открытии конкурсного производства принимает арбитражный суд. Цель конкурсного производства соразмерное удовлетворение требований кредиторов и объявление должника свободным от долгов. Решение о признании должника несостоятельным и об открытии конкурсного производства публикуется в «Вестнике Высшего Арбитражного Суда Российской Федерации».
С момента открытия конкурсного производства запрещается передача либо другое отчуждение имущества должника, погашение его обязательств, прекращается начисление пени и процентов. Сроки исполнения всех долговых обязательств предприятия считаются наступившими, т.е. кредиторы вправе предъявлять свои претензии в двухмесячный срок.
Конкурсное производство закрывается после распродажи имущества предприятия-должника, окончания расчетов с кредиторами и составления отчета конкурсным управляющим. Конкурсный управляющий назначается арбитражным судом. Он распоряжается имуществом должника, осуществляет анализ его финансового состояния, изучает, признает или отклоняет требования кредиторов, управляет предприятием, созывает собрание кредиторов, формирует конкурсную массу.
Конкурсная масса имущество должника, на которое может быть обращено взыскание кредиторов.
После удовлетворения требований и погашения претензий кредиторов предприятие-должник считается полностью освобожденным от долгов. После утверждения отчета конкурсного управляющего арбитражный суд выносит решение о завершении конкурсного производства. После этого предприятие-должник исключается из государственного реестра и считается ликвидированным.
Проверка осуществляется по заранее разработанному плану.
создать необходимые условия конкурентоспособности и успешной работы на рынке.
Международные стандарты и системы качества
Развитие внешнеэкономических связей привело к необходимости выработки стандартного подхода к понятию «производство качественной продукции». Международная организация по стандартизации (ИСО) и Международная техническая комиссия (МЭК) разработали международные стандарты. Основное назначение международных стандартов это создание на международном уровне единой методической основы для разработки новых и совершенствования действующих систем качества и их сертификации.
Система качества (МС ИСО 8402) представляет собой совокупность организационной структуры, методик, процессов и ресурсов, необходимых для осуществления общего руководства качеством ( 15.1).
Система качества создается и внедряется на предприятии как средство, обеспечивающее проведение политики в области качества достижение поставленных стратегических целей.
Система качества охватывает все жизненные циклы продукции. Типичные этапы жизненного цикла в своей совокупности образуют «петлю качества» ( 15.2).
В соответствии с международными стандартами ИСО 900 выделяются основные направления деятельности в области качества:
планирование качества;
управление качеством;
обеспечение качества;
улучшение качества.
15.1. Функциональная структура системы качества
Маркетинг и изучение рынка
Монтаж и ввод в эксплуатацию
15.2. «Петля качества»
Эти функции распространяются на каждый этап «петли качества» и имеют свою специфику.
Так, например, планирование качества включает в себя: определение требований к качеству продукции, ее оценку, выработки положений по улучшению качества, подготовку программы качества, планирование затрат на достижение необходимого уровня качества, проверок системы качества и другое.
В состав процедур управления качеством входят: контроль качества, разработка и реализация мер корректирующего воздействия. Основная функция управления качеством выявлять каждое отклонение от установленных требований к качеству, обусловленное проектированием продукции, соответствием продукции проекту и материально-техническим обеспечением.
Обеспечение качества включает в себя деятельность по созданию уверенности в выполнении требований к качеству продукции у руководства предприятием и деятельность, направленную на обеспечение уверенности потребителей, что все элементы системы качества функционируют в управляемых условиях.
Международный опыт организации систем качества на предприятиях отражен в стандартах МС ИСО 9004 «Общее руководство качеством и элементы системы качества».
Стандарт рекомендует выбор основных элементов системы качества предприятия-изготовителя и определяет их место в общей системе руководства качеством. В основе организации систем качества лежат шесть принципов:
соответствия
документирования
единоначалия
подконтрольности
комплексности
законности.
Хорошо структурированная организационная система качества является залогом реализации функций и успешного общего руководства системой качества.
В зарубежных фирмах ответственным руководителем по общему руководству качеством является вице-президент компании. Его главная задача состоит в обеспечении требуемого уровня качества и поддержании уверенности потребителя в том, что все условия контракта на поставку продукции будут выполнены.
Принцип соответствия воплощается и в организации самой системы качества, т.е. в эффективности ее организации.
Считается, что система качества соответствует своему назначению при выполнении следующих условий:
работа ее элементов обеспечивает предупреждение и нейтрализацию причин, вызывающих снижение качества;
выполняются требования потребителя к продукции;
работа самой системы экономически оправдана система качества документируется в соответствии с МС ИСО 90011.
В документах подробно описываются процедуры по обеспечению качества, а для выполнения этих процедур разрабатываются инструкции.
Многолетний опыт функционирования систем управления качеством показывает, что эффективное управление возможно лишь при наделении каждого работника правами и обязанностями, однако и мера участия и ответственности руководителя предприятия несоизмеримо выше. Обычно в компетенцию руководителей входит: определение направлений деятельности и установление их приоритетности, построение организационной структуры управления качеством, определение уровня подготовки кадров и их квалификации.
Эффективность работы системы качества зависит от достоверности получаемой информации, ее адекватности, скорости прохождения сигналов обратной связи о дефектах и отклонениях и адекватности применяемых мер. Поэтому в системе качества осуществляется постоянный контроль организуются регулярные проверки. Основная задача состоит в выявлении фактов и причин отклонений всех элементов системы, разработка соответствующих предложений и рекомендаций по их ликвидации и дальнейшему совершенствованию системы.
Проверка осуществляется по заранее разработанному плану. Процедура проверки заключается в установлении степени соответствия фактического состояния работ требованиям, установленным документами системы. В этих целях специально разрабатывается блок-вопросник, содержащий 300 вопросов, разбитых по 35 функциям системы качества. Результаты внутренней проверки представляются в формализованном виде по трехбалльной оценке соответствия каждой из 300 характеристик установленным нормам и требованиям. Системы управления качеством могут контролироваться или проверяться на соответствие установленным требованиям не только внутренней комиссией, но и внешней.
В этом случае результаты проверки оформляются соответствующим документом-сертификатом.
Принцип комплексности означает, что достижение целей системы качества возможно лишь при создании необходимых условий и включении всех факторов, влияющих на качество, В Международном стандарте ИСО 9004 отмечается, что реализация целей системы качества обеспечивается техническими, административными и человеческими факторами, влияющими на качество. Стабильности выпуска продукции хорошего качества можно достигнуть при эффективной организации маркетинговой деятельности, использовании новейших средств контроля и испытания продукции, автоматизации процессов управления, использовании прогрессивных методов организации в системе качества активизации человеческого фактора и других мер, обеспечивающих гармоничное функционирование ее частей и повышение координации системы в целом.
Накапливаемый опыт в области обеспечения качества постоянно нуждается в осмыслении, анализе и систематизации. Вопросами этого опыта и юридическим его оформлением занимается Международная организация по стандартизации (ИСО). Основной задачей ИСО является разработка международных стандартов для содействия международной торговле, ликвидации «нетаможенных» барьеров, возникающих в силу действия различных национальных стандартов, изданных правительствами законов и правил.
В 1987 г. были одобрены и введены в действие пять международных стандартов серии ИСО 9000 на системы качества: МС ИСО 9000; МС ИСО 9001; МС ИСО 9002; МС ИСО 9003; МС ИСО 9004.
В это же время Европейская организация по стандартизации выпустила Европейские стандарты Е № 29000 и Е № 29004, основные требования которых совпадают с требованиями международных стандартов к системам качества.
В настоящее время все развитые страны мира признают и используют международные стандарты для совершенствования действующих в фирмах систем качества.
-
Развитие систем управления качеством
В решении проблемы обеспечения качества выделяют пять этапов: индивидуальный контроль качества, цеховой контроль качества, контроль качества при приемке продукции, статистический контроль продукции (статистический контроль качества), комплексное управление качеством.
Опыт управления качеством
До недавнего времени при решении проблем качества предприятия ориентировались на технический уровень качества продукции без учета потребностей рынка. Вопросами управления качеством занимались отделы технического контроля и анализа качества. В их функции входила проверка параметров (свойств) изделий, применяемого сырья, материалов на каждой операции производственного процесса, контроля точности работы оборудования, сбор информации по обнаруженным дефектам продукции, анализ и установление их причин.
Обобщение информации позволяло разработать конкретные мероприятия, направленные на регулирование параметров качества продукции и координацию деятельности по повышению его уровня.
На ряде предприятий и объединений создавались системы комплексного управления качеством. В числе таких систем отметим Саратовскую БИП (бездефектное изготовление продукции), Львовскую КС УПК (комплексная система управления качеством продукции), Краснодарскую КС УПЭП (комплексная система управления эффективностью производства), Днепропетровскую КС УКП и ЭИРС (комплексная система управления качеством продукции и эффективным использованием ресурсов). Однако из рассмотрения проблемы обеспечения управления качеством почти полностью были исключены вопросы маркетинга и послепродажного обслуживания.
Рабочие места не имеют глубокой специализации.
Так, машиностроительные заводы могут не иметь своих литейных и кузнечных цехов, а получать литье и поковки по кооперации от специализированных предприятий.
Все цехи и хозяйства промышленного предприятия можно разделить на цехи основного производства, вспомогательные цехи и обслуживающие хозяйства. На отдельных предприятиях могут быть подсобные и побочные цехи.
К цехам основного производства относятся цехи, изготовляющие основную продукцию предприятия. Основные цехи делятся на заготовительные (кузнечные, литейные), обрабатывающие (механический, термический, деревообрабатывающий) и сборочные (комплектация изделий).
Главными задачами основного производства являются обеспечение движения продукта в процессе его изготовления, организация рационального технико-технологического процесса.
Задача вспомогательных цехов изготовление инструментальной оснастки для производственных цехов предприятия, производство запасных частей для заводского оборудования и энергетических ресурсов. Важнейшими из этих цехов являются инструментальные, ремонтные, энергетические. Количество вспомогательных цехов и их размеры зависят от масштаба производства и состава основных цехов.
К подсобным цехам относятся, как правило, цехи, осуществляющие добычу и обработку вспомогательных материалов, например тарный цех, изготовляющий тару для упаковки продукции.
Побочные цехи это цехи, в которых изготавливается продукция из отходов производства либо осуществляется восстановление использованных вспомогательных материалов для нужд производства (например, цех по регенерации отходов и обтирочных материалов).
Назначение обслуживающих хозяйств обеспечение всех звеньев предприятия различными видами обслуживания; инструментальным, ремонтным, энергетическим, транспортным, складским и т.п. Важное место в производственной структуре предприятия занимают службы снабжения и подготовки новых изделий и прогрессивной технологии. Последняя включает экспериментальный цех, различные лаборатории по испытанию новых материалов, готовой продукции, технологических процессов.
Система обслуживания производственного процесса имеет целью обеспечение его бесперебойного и эффективного функционирования.
При усилении ориентации предприятий на нужды потребителя в значительной мере расширился состав подразделений сервисного обслуживания, изучающих конъюнктуру спроса на продукцию, занимающихся комплектацией готовой продукции, обеспечивающих надзор и контроль за использованием продукции, проводящих монтаж, наладку и гарантийный ремонт продукции у потребителя. Сервисные службы имеют необходимый запас деталей, узлов и агрегатов, позволяющих ремонтировать реализованную продукцию.
Также большую роль на предприятии имеют подразделения социальной инфраструктуры, которые призваны обеспечить социальное обслуживание рабочих, прежде всего реализацию мероприятий по улучшению охраны труда, технике безопасности, медицинскому обслуживанию, организации отдыха, спорта, бытового обслуживания и т.п.
На 8.1. приведена производственная структура машиностроительного предприятия.
Факторы, влияющие на производственную структуру
Анализ, оценка и обоснование направлений совершенствования структур предприятий должны проводиться с учетом факторов и условий их формирования.
Факторы, влияющие на формирование производственной структуры предприятия, можно разделить на несколько групп.
Общеструктурные (народнохозяйственные) факторы определяют комплексность и полноту структуры предприятия. К их числу относятся: состав отраслей хозяйства, соотношение между ними, степень их дифференциации, предполагаемые темпы роста производительности, внешнеторговые связи и т.п. К числу отраслевых факторов относятся: широта специализации отрасли, уровень развития отраслевой науки и проектно-конструкторских работ, особенности организации снабжения и сбыта в отрасли, обеспеченность отрасли услугами других отраслей.
Региональные факторы определяют обеспеченность предприятия различными коммуникациями: газо- и водопроводами, транспортными магистралями, средствами связи и т.п.
Общеструктурные, отраслевые и региональные факторы образуют в совокупности внешнюю среду функционирования предприятий. Эти факторы необходимо учитывать при формировании структуры предприятия.
Значительное число факторов, влияющих на производственную структуру и инфраструктуру, являются внутренними по отношению к предприятию. Среди них обычно выделяются:
особенности зданий, сооружений, используемого оборудования, земли, сырья и материалов;
характер продукции и методы ее изготовления;
объем выпуска продукции и ее трудоемкость;
степень развития специализации и кооперации;
мощность и особенности организации транспорта;
оптимальные размеры подразделений, обеспечивающих управляемость ими с наибольшей эффективностью;
специфика принимаемой рабочей силы;
степень развития информационных систем и т.д.
При переходе предприятий к рыночным условиям возрастает значение факторов, обеспечивающих коммерческую эффективность производственно-хозяйственной деятельности предприятия, ритмичность производства, снижение издержек.
-
Типы промышленного производства
Тип производства классификационная категория производства, выделяемая по признакам широты номенклатуры, регулярности, стабильности объема выпуска изделий, типа применяемого оборудования, квалификации кадров, трудоемкости операций и длительности производственного цикла. Обычно различают единичное, серийное и массовое производства.
Единичное производство
Единичное производство характеризуется широким ассортиментом продукции и малым объемом выпуска одинаковых изделий. Образцы или не повторяются, или повторяются нерегулярно. Рабочие места не имеют глубокой специализации. Единичное производство характеризуется наличием значительного незавершенного производства, отсутствием закрепления операций за рабочими местами, применением уникального оборудования, частой переналадкой оборудования, высокой квалификацией рабочих, значительным удельным весом ручных операций, общей высокой трудоемкостью изделий и длительным циклом их изготовления, высокой себестоимостью выпускаемой продукции.
Разнообразная номенклатура делает единичное производство более мобильным и приспособленным к условиям колебания спроса на готовую продукцию.
Единичное производство характерно для станкостроения, судостроения, производства крупных гидротурбин, прокатных станов и другого уникального оборудования.
Серийное производство
Серийное производство характеризуется изготовлением ограниченного ассортимента продукции. Партии (серии) изделий повторяются через определенные промежутки времени. В зависимости от размера серии различают мелкосерийное, среднесерийное и крупносерийное производства.
В серийном производстве удается специализировать отдельные рабочие места для выполнения подобных технологических операций. Уровень себестоимости продукции снижается за счет специализации рабочих мест, широкого применения труда рабочих средней квалификации, эффективного использования оборудования и производственных площадей, уменьшения, по сравнению с единичным производством, расходов на заработную плату.
Продукцией серийного производства является стандартная продукция, например машины установившегося типа, выпускаемые обычно в более значительных количествах (металлорежущие станки, насосы, компрессоры, оборудование химической и пищевой промышленности).
Массовое производство
Массовое производство характеризуется изготовлением отдельных видов продукции в больших количествах на узкоспециализированных рабочих местах в течение продолжительного периода. Механизация и автоматизация массового производства позволяют значительно снизить долю ручного труда. Для массового производства характерны неизменная номенклатура изготовляемых изделий, специализация рабочих мест на выполнении одной постоянно закрепленной операции, применение специального оборудования, небольшая трудоемкость и длительность производственного процесса, высокая автоматизация и механизация.
Себестоимость продукции массового производства по сравнению с продукцией единичного и серийного производства минимальна. Этот тип производства экономически целесообразен при достаточно большом объеме выпуска продукции. Необходимым условием массового производства является наличие устойчивого и значительного спроса на продукцию.
В условиях экономического кризиса массовое производство становится наиболее уязвимым.
Характеристика типов производств представлена в табл. 8.1.
3. Организация производственного процесса
Производственный процесс представляет собой совокупность отдельных процессов труда, направленных на превращение сырья и материалов в готовую продукцию. Содержание процесса производства оказывает определяющее воздействие на построение предприятия и его производственных подразделений. Производственный процесс является основой деятельности любого предприятия.
Основные факторы производственного процесса, определяющие характер производства, это средства труда (машины, оборудование, здания, сооружения и т.д.), предметы труда (сырье, материалы, полуфабрикаты) и труд как целесообразная деятельность людей.
Рациональность поведения потребителя.
Общее правило заключается в том, что предприятие всегда стремится к достижению наилучшего результата: если объем использования ресурсов известен, то максимизируется результат (объем производства, выручка от продажи); если известен результат, которого необходимо достичь, минимизируется объем ресурсов.
Предприятие рассматривает различные варианты комбинаций применяемых ресурсов до того момента, пока отдача всех факторов не сравняется (последняя денежная единица рубль, доллар и т.п., затраченная на каждый ресурс, дает одинаковую отдачу). Для конкурентных рынков это правило может быть сформулировано и таким образом; каждый ресурс используется до тех пор, пока его предельный продукт в денежном выражении не станет равен цене,
Предложение предприятия
Предложение предприятия формируется с учетом трех групп факторов: предъявляемым платежеспособным спросом потребителей его продукции; имеющимся и потенциальным (планируемым) уровнем издержек производства (затрат предприятия на производство блага); общей рыночной ситуацией и поведением конкурентов.
Современная экономическая наука имеет достаточно разработанную теорию поведения потребителя, описывающую закономерности формирования спроса потребителей. Напомним вкратце ее основные постулаты.
Потребитель покупает какое-либо благо потому, что ожидает получить от него удовлетворение своей потребности. Способность блага удовлетворить одну или несколько человеческих потребностей называется полезностью блага.
Полезность блага при условии постоянства вкусов потребителя изменяется с изменением количества потребляемого блага потребляемые последовательно части какого-либо блага обладают для потребителя убывающей полезностью. Максимум удовлетворения потребностей достигается в том случае, когда предельная полезность блага (добавочная полезность или удовлетворение, извлекаемое потребителем из одной дополнительной единицы конкретного блага) будет равна нулю.
В теории потребительского выбора потребитель не пресыщен ни одним из экономических благ, т.е. предельная полезность всех экономических благ всегда положительна.
Теория, далее, исходит из постоянства и определенной согласованности вкусов потребителя. Покупатели прекрасно представляют предельную полезность всех благ, что позволяет им при существующих предпочтениях сравнивать и классифицировать все наборы потребительских благ и услуг. Предпочтения потребителя транзитивны, иными словами, если потребитель предпочитает набор благ А набору благ Б, а набор Б набору В, то он также предпочтет набор А набору В. Данное положение объясняет рациональность поведения потребителя.
Покупатель предпочитает большее количество товара минимуму он согласен отказаться от небольшого количества блага А, если ему предложат большее количество блага-субститута.
Денежный доход потребителя всегда ограничен, поэтому потребитель стремится максимизировать совокупную полезность всех потребляемых благ через их различные комбинации. Функция полезности максимизируется в том случае, когда денежный доход потребителя распределяется таким образом, что каждая последняя денежная единица (рубль, доллар и т.п.), затраченная на приобретение любого блага, приносит одинаковую предельную полезность. При этом цены на потребительские блага не зависят от количества приобретаемых благ.
Учет закономерностей формирования потребительского выбора очень важен для предприятия, разрабатывающего ту или иную товарную стратегию. Кроме того, предприятие должно попытаться максимально точно определить функциональные зависимости спроса на производимый продукт от различных факторов. Этому может способствовать расчет соответствующих коэффициентов эластичности спроса (по цене, по доходу, а также перекрестной эластичности).
Для более подробного анализа важен учет и иных характеристик спроса на товар (этап жизненного цикла спроса, наличие различных социальных эффектов эффект присоединения к большинству, эффект сноба и т.п.).
Качественные и количественные оценки существующего и потенциального спроса на продукт позволяют предприятию принимать решения относительно возможного изменения объема продукции, установления того или иного уровня цен, максимального размера издержек и ожидаемой прибыли.
Более подробно практическое применение основных постулатов теории фирмы и теории потребительского выбора будет рассмотрено при анализе соответствующих аспектов деятельности предприятия.
Выводы
1. Рынок это обмен, организованный по законам товарного производства и обращения, совокупность отношений товарного обмена, механизма взаимодействия покупателей и продавцов, т.е. отношения спроса и предложения.
2. Предприятие в условиях рынка обладает самостоятельностью в организации производства и коммерческой свободой. Оно определяет пути и способы реализации своей продукции, экономические связи закрепляются договорами. Важным условием коммерческой свободы является также свободное ценообразование.
3. На поведение каждого предприятия влияет характер, тип рынка, на котором оно функционирует.
4. Основными составляющими рыночного механизма являются спрос, предложение и цена.
5. Равновесие достигается под влиянием конкурентной среды рынка, иначе говоря, на конкурентном рынке равновесная цена и соответствующее ей количество товара определяется рыночным спросом и предложением.
6. Мера реакции одной величины на изменение другой называется эластичностью. Эластичность показывает, на сколько процентов изменится одна переменная экономическая величина при изменении другой на один процент.
Термины и понятия
Рынок
Рыночная структура
Конкуренция
Спрос
Закон спроса
Функция спроса.
Закон предложения
Функция предложения
Законы рыночного ценообразования
Рыночное равновесие
Эластичность
Полезность блага
Предельная полезность
Закон убывающей предельной полезности
Совершенная конкуренция
Несовершенная конкуренция
Чистая монополия
Монополистическая конкуренция
Олигополия
Ценовая война
Ценовая дискриминация
Монополия
Двусторонняя монополия
Производственная функция
Факторы производства
Предельная производительность
Закон убывающей отдачи
Предельная доходность ресурса
Вопросы для самопроверки
1. Дайте определение понятия «рынок». Каковы условия его возникновения?
2. В чем состоят основные функции рынка?
3. Назовите и охарактеризуйте основные типы рынков.
4. Дайте определения понятий «рыночный спрос» и «рыночное предложение».
5. Какие факторы влияют на спрос и предложение?
6. Изобразите графически функции спроса и предложения.
7. Почему и как изменяется рыночное равновесие?
8. Что такое ценовая эластичность спроса?
9. Как ценовая эластичность спроса может быть использована для измерения реакции объема спроса на изменения в цене товара?
10. Чем обусловлены различия в величинах коэффициента ценовой эластичности спроса на различные товары?
11. Что означает эластичность спроса по доходу и как она рассчитывается?
12. Что такое перекрестная эластичность спроса и как она рассчитывается?
13. Что такое ценовая эластичность предложения и как она рассчитывается?
14. Какие факторы влияют на предложение предприятия в рыночной экономике?
РАЗДЕЛ II
ЭКОНОМИЧЕСКИЕ РЕСУРСЫ ПРЕДРПИЯТИЯ
Содержание раздела
Распределение прибыли товарищества
Распределение прибыли на предприятиях различных
организационных форм
Прибыль полного товарищества распределяется между участниками в соответствии с учредительным договором, в котором определяются доли его участников. Определение долей в договоре имеет значение не только при распределении прибыли, но и для решения вопроса о покрытии убытков.
Каждый участник, получив часть прибыли полного товарищества, учитывает ее в составе своей балансовой прибыли в качестве внереализационного дохода и с общей суммы балансовой прибыли в установленном порядке исчисляет налог, который вносит в бюджет ( 20.4):
= + + + +
Рис, 20.4. Распределение прибыли товарищества
В учредительном договоре могут быть предусмотрены и другие условия распределения прибыли. При недостаточности прибыли вкладчики могут получить меньший процент прибыли на свой вклад, но и в этом случае договором могут быть предусмотрены иные условия (например, выплата недостающей части прибыли вкладчикам в следующем году и т.д.).
В коммандитном товариществе из полученной балансовой прибыли, прежде всего, вносится в бюджет налог на прибыль, исчисленный в соответствии с порядком, установленным для юридических лиц. После этого часть прибыли направляется вкладчикам (коммандитистам) в доле, соответствующей их вкладу в капитал товарищества, затем прибыль направляется на развитие предприятия и другие цели. Остаток прибыли распределяется между действительными членами (полными товарищами).
Если прибыль не получена или получена в меньшем объеме, нежели предполагалось, то возможны следующие варианты:
при отрицательных финансовых результатах действительные члены обязаны отдать вкладчикам их долю прибыли, продав имущество товарищества;
при недостаточности средств может быть принято решение о невыплате пайщикам прибыли.
Прибыль общества с ограниченной ответственностью облагается налогом и распределяется в общем порядке, установленном для юридических лиц. При подведении итогов хозяйственной деятельности за год каждому участнику (пайщику) выплачивается доля прибыли, соответствующая его вкладу в уставный капитал, после внесения в бюджет налогов, других обязательных платежей, направления прибыли на развитие предприятия и материальное поощрение работников.
Наиболее сложным является порядок распределения прибыли акционерных обществ. Общие механизмы распределения прибыли и порядок выплаты дивидендов фиксируется в уставе общества.
Для определения ставки дивидендов, необходимо рассчитав потенциальный размер прибыли, которая может быть выплачена акционерам без ущерба для деятельности АО.
Если прибыль, планируемую как результат хозяйственной деятельности общества за год, обозначим как П0 (общая прибыль); прибыль, которая будет направлена в виде налогов в бюджет, Пн прибыль, направляемую на развитие общества, Пр прибыль, отчисляемую в резервный фонд, Прф тогда прибыль, направляемая на выплату дивидендов. Пд, будет равна:
Пд = П0 Пн Пр Прф
Прибыль как чистый доход АО формируется в процессе его хозяйственной деятельности и реализуется после продажи произведенной продукции, выполнения работ, оказания услуг. ЕЕ величина зависит от итогов работы общества, эффективное и использования привлеченных финансовых ресурсов. Обобщающим результатом хозяйственной деятельности АО является балансовая прибыль, которая исчисляется в общеустановленном порядке.
В качестве финансового ресурса используется чистая прибыль, оставшаяся в распоряжении общества после уплаты налогов.
Особенностью распределения прибыли АО является формирование резервного фонда (и других аналогичных по назначению фондов гарантийных, страховых и т.п.), который создается каждым обществом. Величина резервного фонда не может быть менее 10 и более 25% величины оплаченного уставного капитала. Размер отчислений в резервные фонды устанавливается общим собранием акционеров, но они не могут составлять более 50% налогооблагаемой прибыли.
Резервный и другие фонды предназначены для покрытия убытков АО и используются, если прибыли отчетного года недостаточно для выплаты доходов по ценным бумагам.
К расходам АО, связанным с развитием производства и финансируемым из чистой прибыли, относятся расходы по выпуску и распространению акций и облигаций (приобретение бланков ценных бумаг, уплата вознаграждения посредникам за первичное размещение ценных бумаг). Часть прибыли, используемой на накопление может быть направлена на увеличение уставного капитала АО или в качестве взноса в уставный капитал дочернего общества.
Если это предусмотрено уставом, часть прибыли направляется для распределения между работниками в виде денежного вознаграждения или в виде акций. Общий порядок распределения прибыли АО представлен на 20.5.
20.5. Распределение прибыли акционерного общества
Политика АО в области распределения прибыли обычно вырабатывается Советом директоров и подлежит утверждению на общем собрании акционеров.
При планировании распределения чистой прибыли АО необходимо учитывать виды выпущенных акций. Так, по привилегированным акциям предусматривается обязательная выплата дивидендов по утвержденным ставкам. Вопрос о выплате дивидендов по простым акциям решается в зависимости от финансовых результатов деятельности общества и с учетом перспектив его развития. В целях развития предприятия при недостаточности прибыли может быть принято решение о реинвестировании дивидендов по простым акциям и невыплате доходов их владельцам. Распределение прибыли на инвестируемую часть, и дивиденд является важнейшим моментом финансового планирования, так как от этого зависит развитие АО и его возможности выплачивать дивиденды в будущем.
Слишком высокие дивиденды, выплачиваемые в рекламных целях, приводят к «проеданию» основного капитала. В то же время невыплата дивидендов снижает рыночный курс акций общества и создает сложности при размещении очередного выпуска акций.
Государственные предприятия, функционирующие на территории Российской Федерации, могут осуществлять свою деятельность как государственные унитарные предприятия и как казенные предприятия. Распределение прибыли этих субъектов экономической деятельности имеет свою специфику.
Государственные унитарные предприятия по закону обладают значительной самостоятельностью в вопросах осуществления финансово-хозяйственной деятельности. Государство не регламентирует распределение прибыли в таких предприятиях после уплаты соответствующих налогов и перечисления части прибыли в доход бюджета. Размер прибыли, перечисляемой в бюджет, определяется в уставе предприятия при его образовании.
Прибыль, изымаемая государством у предприятия, выступает не в виде налогов или сборов, а в виде арендной платы, уплачиваемой арендатором (предприятием) собственнику (государству) за пользование имуществом.
Порядок распределения прибыли на казенных предприятиях регулируется Типовым уставом казенного завода (фабрики, хозяйства) и Порядком планирования и финансирования деятельности казенных заводов, утвержденными Правительством РФ.
В соответствии с этими документами прибыль от реализации продукции (работ, услуг), произведенной в соответствии с планом-заказом и в результате разрешенной ему самостоятельной хозяйственной деятельности, направляется на финансирование мероприятий, обеспечивающих выполнение плана-заказа, плана развития завода и на другие производственные цели, а также на социальное развитие по нормативам, ежегодно устанавливаемым уполномоченным органом. Порядок установления таких нормативов утверждается Министерством финансов РФ. Свободный остаток прибыли, остающийся после ее направления на указанные цели, подлежит изъятию в доход федерального бюджета.
Особенности распределения прибыли предприятия с участием иностранного капитала представлены на 20.6.
20.6. Распределение балансовой прибыли предприятия с участием иностранного капитала
4. Налоги и платежи, вносимые предприятиями в бюджет
и во внебюджетные фонды
Налоги являются одним из наиболее действенных методов государственного управления экономикой в условиях рыночных отношений. Система налогообложения должна решать определенные задачи: содействовать деловой активности, росту производства и повышению заинтересованности работников в результатах труда, побуждать предприятия эффективно использовать основные производственные фонды, минимизировать производственные запасы, сокращать непроизводственные расходы, обеспечивать формирование доходов бюджета в объеме, достаточном для формирования расходов государства и выполнения им своих функций.
Виды налогов
В соответствии с законодательством все действующие на территории Российской Федерации налоги и сборы делятся на три группы: федеральные, региональные (налоги республик в составе Федерации, краев, областей и автономных образований) и местные. С вступлением в действие Конституции РФ налоговое право органов государственной власти на местах существенно расширилось. Теперь им предоставлено право самостоятельно вводить дополнительные налоги и обязательные отчисления на основе общих принципов, устанавливаемых в федеральном налоговом законодательстве.
Размеры уставного капитала
Уставный капитал в денежном выражении, как правило, используется на приобретение зданий, сооружений, оборудования и других активов, которые не предназначены для продажи.
Размеры уставного капитала
Уставный капитал не может быть меньше размера, предусмотренного соответствующими законами об АО. Для образования АО законодательные акты большинства стран требуют оплаты не всего капитала, а только его части остальная часть может быть внесена в течение установленного времени.
По российскому законодательству минимальный размер уставного капитала закрытого АО составляет 100-кратную сумму минимального размера оплаты труда, а открытого АО 1000-кратную сумму минимального размера оплаты труда. Для регистрации АО необходимо представить в регистрирующий орган помимо учредительных документов справку из банка, подтверждающую оплату не менее 50% уставного капитала. Для этих целей до регистрации предприятия открывается накопительный счет для взносов учредителей в уставный капитал.
Порядок и способ расчета величины уставного капитала зависят, в первую очередь, от условий образования АО.
Акционерное общество может создаваться на основе ранее действующего общества с ограниченной ответственностью и хозяйственного товарищества. В этом случае уставный капитал АО может быть равен собственному капиталу ранее действовавшего предприятия, необходимо только переоформить учредительные документы.
Если создается новое предприятие путем объединения капиталов учредителей, то важно оценить необходимый размер уставного капитала, который позволил бы акционерному обществу нормально функционировать и получать прибыль.
Расчет величины уставного капитала входит в проект бизнес-плана, осуществляется на основе необходимых технико-экономических и сметно-финансовых расчетов и предварительной оценки прибыльности проекта.
Для соответствующих расчетов можно использовать данные, полученные из опыта аналогичных предприятий, или опираться на расчеты специалистов в этой области предпринимательства. Прежде всего, необходимо определить единовременные и текущие вложения капитала, себестоимость и рентабельность единицы продукции, и другие показатели.
Размеры уставного капитала не являются неизменной (постоянной) величиной. Уставный капитал может изменяться по решению общего собрания акционеров, в связи с изменением размеров имущества АО.
Акционерное общество обязано ежегодно проводить оценку своих чистых активов. Если по окончании второго и каждого последующего финансового года стоимость таких активов окажется меньше уставного капитала, то АО обязано объявить и зарегистрировать уменьшение уставного капитала. Изменение уставного капитала можно осуществить только по решению общего собрания акционеров следующим образом:
аннулировать или выкупить часть акций без изменения их номинала либо уменьшить номинал акций без изменения их числа;
сохранить стоимостной размер уставного капитала путем консолидации (объединения) существующих акций или путем деления их на акции меньшего номинала;
выпустить дополнительные акции при условии, что уставный капитал полностью сформирован.
Если собрание акционеров приняло решение об изменении уставного капитала, то соответствующие изменения должны быть внесены в учредительные документы АО.
Изменение величины уставного капитала может быть связано с переоценкой имущества (основных фондов) предприятия в связи с инфляцией. В России, например, переоценка основных фондов АО проводилась на 1 июля 1992 г. и на 1 января 1994 г.
Увеличение уставного капитала в результате переоценки может осуществляться путем увеличения стоимости акций, выпущенных ранее, или с помощью дополнительного выпуска акций на сумму увеличения капитала.
Увеличение стоимости от переоценки недвижимости называют излишком капитала. Из излишков капитала не выплачиваются дивиденды. Они увеличивают общую стоимость капитала.
Основной и оборотный капитал
Капитал в материально-вещественном воплощении подразделяется на основной и оборотный капитал.
К основному капиталу относятся материальные факторы длительного пользования, такие, как здания, сооружения, машины, оборудование и т.п. Оборотный капитал расходуется на покупку средств для каждого производственного цикла (сырья, основных и вспомогательных материалов и т.п.), а также на оплату труда. Основной капитал служит в течение ряда лет, оборотный полностью потребляется в течение одного цикла производства.
Основной капитал в большинстве случаев отождествляется с основными фондами (основными средствами) предприятия. Однако понятие основного капитала шире, так как кроме основных фондов (зданий, сооружений, машин и оборудования), представляющих его значительную часть, в состав основного капитала включается также незавершенное строительство и долгосрочные инвестиции денежные средства, направленные на прирост запаса капитала.
Выводы
1. Каждое предприятие обладает имуществом совокупностью материально-вещественных и нематериальных элементов, используемых в производственной деятельности.
2. Капитал предприятия представляет собой денежную оценку имущества предприятия.
3. По источникам формирования капитал предприятия делится на собственный и заемный капитал.
4. Особое значение в собственном капитале предприятия имеет уставный капитал основа создания и функционирования предприятия. Уставный капитал сочетает право владения и распоряжения собственностью и функции гаранта имущественных прав акционеров.
5. Определенные особенности имеет формирование уставного капитала акционерных обществ. Уставный капитал состоит из определенного количества акций разного вида с установленным номиналом.
Порядок формирования и изменения уставного капитала регулируется соответствующими законодательными актами.
6. При создании акционерного общества следует определить необходимую и достаточную величину уставного капитала.
Термины и понятия
Имущество предприятия
Материальные и нематериальные активы (имущество)
Капитал предприятия
Собственный капитал предприятия
Заемный капитал предприятия
Уставный (складочный) капитал предприятия
Основной капитал
Оборотный капитал
Вопросы для самопроверки
1. Дайте определение имущества предприятия, капитала предприятия.
2. По каким признакам капитал предприятия делится на собственный и заемный?
3. Назовите основные источники собственного и заемного капитала и прокомментируйте их значение в деятельности предприятия.
4. Что такое уставный капитал предприятия? В чем особенности уставного капитала АО?
5. Как определяется величина уставного капитала АО?
6. Дайте определение основного и оборотного капитала.
ГЛАВА 5. ОСНОВНЫЕ ФОНДЫ ПРЕДПРИЯТИЯ
1. Экономическая сущность и воспроизводство основных фондов
Экономическая сущность основных фондов
Основные производственные фонды предприятия это стоимостное выражение средств труда. Главным определяющим признаком основных фондов выступает способ перенесения стоимости на продукт постепенно: в течение ряда производственных циклов; частями: по мере износа. Износ основных фондов учитывается по установленным нормам амортизации, сумма которой включается в себестоимость продукции. После реализации продукции начисленный износ накапливается в особом амортизационном фонде, который предназначается для новых капитальных вложений.
Таким образом, единовременно авансированная стоимость в уставный капитал (фонд) в части основного капитала совершает постоянный кругооборот, переходя из денежной формы в натуральную, в товарную и снова в денежную. В этом состоит экономическая сущность основных фондов.
Основные производственные фонды предприятия это средства труда, участвующие во многих производственных циклах, сохраняющие свою натуральную форму и переносящие стоимость на изготовляемый продукт частями, по мере износа. Закон воспроизводства основного капитала выражается в том, что в нормальных экономических условиях его стоимость, введенная в производство, полностью восстанавливается, обеспечивая возможность для постоянного технического обновления средств труда. При простом воспроизводстве за счет средств амортизационного, фонда предприятия формируют новую систему орудий труда, равную по стоимости изношенным. Для расширения производства: требуются новые вложения средств, привлекаемые дополнительно из прибыли, взносов учредителей, эмиссии ценных бумаг, кредита и др.
При больших масштабах используемого основного капитала крупные и крупнейшие предприятия имеют возможность за счет средств амортизационного фонда финансировать не только простое, но и в значительной мере расширенное воспроизводство средств труда.
Закономерности и показатели воспроизводства основных фондов
Процесс воспроизводства основного капитала представляет собой основу жизнедеятельности и эффективности производства. Его движение регулируется и контролируется на всех уровнях управления хозяйством. Важнейшими воспроизводственными характеристиками оборота основных фондов являются показатели их прироста, обновления и выбытия.
Коэффициент прироста отражает увеличение основного капитала за рассматриваемый период и исчисляется как отношение вновь введенных основных фондов к их стоимости на начало периода.
Региональные аспекты структурной перестройки
Инфраструктура, как производственная, так и социальная, обеспечивает целостность и комплексность народного хозяйства на различных его уровнях. Велика роль инфраструктуры в процессе освоения новых территорий, сырьевых и топливно-энергетических ресурсов в восточных и северных районах страны.
Особое значение среди отраслей инфраструктуры России имеет транспорт.
Транспорт выполняет огромную работу по перемещению грузов и людей. Суммарные затраты на перевозку грузов и пассажиров и на погрузочно-разгрузочные работы составляют десятки миллиардов рублей. Соответственно велика и доля этих затрат (транспортная составляющая) в стоимости промышленной продукции, достигающая в среднем 13%, а в отдельных отраслях в черной металлургии, угольной промышленности и др. значительно больше.
Для сокращения транспортных издержек в народном хозяйстве необходимо снизить материалоемкость производства на основе прогрессивных технологий, рационализировать транспортно-экономические связи предприятий и районов, рационально разместить и специализировать производство, усилить комплексность в развитии хозяйства регионов и районов.
Однако роль транспортного фактора нельзя сводить только к доле транспортных затрат. Осуществляя производственные связи между отраслями и районами, транспорт является непременным условием и активным рычагом специализации и комплексного развития экономических районов и целых стран, т.е. процессов, оказывающих прямое влияние на эффективность общественного производства и рынка. Само развитие территориального разделения труда, специализации районов немыслимо без наличия межрайонных транспортных путей, а комплексное развитие хозяйства республики или района без внутренних связей и соответствующей им транспортной системы.
Поэтому наряду с необходимостью снижения транспортных издержек как одного из факторов повышения эффективности развития производства стоит и более глобальная задачаснизить издержки на функционирование всей территориальной организации производства. Критерием оптимальности в этой задаче выступает минимизация не отдельных видов издержек производства, а суммарных затрат на производство и транспортировку продукции до потребителя.
Отрасли инфраструктуры, в значительной степени определяющие общую эффективность производства, являются, как показывает опыт стран с развитой рыночной экономикой, малопривлекательными для частного капитала. Обычно они характеризуются значительными капитальными вложениями, медленной окупаемостью инвестиций, отсутствием сверхприбыли.
Сбалансированное развитие российской экономики требует ускоренного развития отраслей производственной и социальной инфраструктуры, что объясняется их определенным отставанием в прошлом, диспропорциональностью (особенно территориального и регионального) развития. Очевидно, что это может быть достигнуто только при значительном участии государства.
Структурная перестройка экономики предполагает также сглаживание неравномерности технического оснащения отсталых отраслей и предприятий, преодоление сохраняющихся тенденций к монополизации, снижение уровня концентрации в отдельных отраслях и видах производств.
Наиболее высокий уровень концентрации наблюдается в промышленности. Особенно это типично для тяжелой индустрии, прежде всего таких ее отраслей, как электроэнергетика, черная металлургия, нефтехимия. Однако за последнее время наметилась тенденция строительства относительно небольших предприятий, например, в машиностроении, черной металлургии, текстильной промышленности.
Этот процесс связан, в частности, с необходимостью развития малых и средних городов путем размещения в них специализированных производств, филиалов предприятий и объединений, дублирующих производств, что способствует созданию условий для рынка.
Региональные аспекты структурной перестройки
Огромная территория России, разница природных условий, различные условия предшествующего развития порождают большое региональное разнообразие, особую специфику региональных интересов и условий формирования рыночных отношений. С точки зрения отраслевой структуры экономики обычно выделяют три группы российских регионов:
добывающие (Тюмень, Якутия, Ханты-Мансийский и Ямало-Ненецкий округа и др.);
промышленные, ориентированные на общероссийский рынок (Центральная Россия, Урал, Кузбасс и др.);
агропромышленные (Черноземье, Поволжье, Кубань, Ставрополье и др.).
Переход к рыночным условиям хозяйствования является неравномерным в разных регионах. Так, например, явным лидером является Москва, где сосредоточена основная часть коммерческих банков и различных финансовых институтов, в то время как в преимущественно сельских регионах во многом сохраняются старые хозяйственные формы.
Лишь незначительная часть регионов имеет стабильные внутренние источники капитала для своего развития, остальные зависят от внерыночного перераспределения средств через федеральный бюджет.
Одним из способов уменьшения региональной дифференциации является развитие внутри- и межрегиональных, в том числе и производственных, связей, а также создание региональных ассоциаций, объединенных общностью экономических интересов и условий.
Первоначально ассоциации возникали на основе географической близости регионов друг к другу, в последнее время преобладает экономический фактор, т.е. общность экономических интересов регионов. Например, создана группировка регионов-доноров МоскваХанты-Мансийск.
Сближение и консолидация интересов различных регионов, с одной стороны, свидетельствуют о том, что региональные руководители сознают выгоды экономической и политической интеграции и готовы к совместным действиям в общих интересах.
С другой стороны, подобная практика может иметь и негативные последствия: усиление одних региональных групп может приводить к нежелательной конкуренции территорий, стремлению «огородить» местные рынки административными барьерами.
Не следует упускать из виду, что начавшийся процесс активного развития рыночных отношений также способен порождать или усиливать структурные диспропорции в народном хозяйстве. Опыт прошедшего пятилетия показывает, например, что осуществление рыночных реформ в России ликвидировало существовавшую несбалансированность между товарной и денежной массами, но привело к значительному превалированию финансового капитала над промышленным. Более того, переход к рыночным условиям хозяйствования осуществляется по-разному в разных отраслях.
Так, например, в финансово-кредитной сфере происходит быстрое развитие современных форм и видов деятельности, вполне соответствующих странам со зрелой рыночной экономикой, в то время как в сельском хозяйстве продолжают воспроизводиться старые формы и условия хозяйствования, развиваются примитивные рыночные формы.
Выводы
1. Народнохозяйственный комплекс отражает экономическое и социальное развитие общества, углубление разделения труда, интеграционные процессы, происходящие в мире.
2. Экономика подразделяется на различные сферы и подразделения: материальное производство и непроизводственную сферу, сектор нефинансовых и финансовых корпораций, сектор государственных учреждений и домашних хозяйств, сектор науки и «остальной мир».
3. Отраслевая структура отражает основные виды производственно-хозяйственной деятельности: рыночное и нерыночное производство, отрасли, производящие товары или оказывающие услуги, смешанные отрасли.
4. Предприятие необходимо рассматривать в системе национальной экономики. Процессы, происходящие в народнохозяйственном комплексе, влияют на все стороны деятельности предприятия, определяют направления его дальнейшего развития.
5. Знание тенденций развития экономики на макроуровне необходимо для разработки перспективной политики предприятия, повышения его конкурентоспособности.
6. Государственная экономическая политика регулирует процессы, происходящие в народнохозяйственном комплексе, непосредственно затрагивает различные аспекты деятельности предприятия.
7. Структурная перестройка экономики отражает процессы, происходящие в различных сферах экономики: отраслях, регионах, в области капитальных вложений и инвестиций.
Термины и понятия
Национальное (народное) хозяйство
Народнохозяйственный комплекс
Структура экономики
Структурная перестройка
Сфера экономики
Отрасль экономическая
Сектор экономики
Межотраслевой комплекс
Агропромышленный комплекс
Инфраструктура
Вопросы для самопроверки
1. Дайте определения понятий «народнохозяйственный комплекс», «сфера экономики».
2. Что понимается под отраслями экономики?
3. Что понимается под межотраслевыми народнохозяйственными комплексами?
4. Что понимается под экономической структурой экономики? Назовите основные типы экономических структур.
5. Каковы особенности и направления структурной перестройки экономики в России?
6. Дайте характеристику основных направлений развития важнейших отраслей промышленности.
7. Каковы основные направления структурной перестройки в агропромышленном комплексе?
8. В чем состоят региональные особенности структурной перестройки российской экономики?
Роль страховых организаций в деятельности предприятий
Казначейские обязательства государства ценные бумаги, удостоверяющие внесение их держателями денежных средств в бюджет. Они выпускаются на разные сроки, а выплата дохода по ним предусмотрена ежегодно по купонам или при погашении обязательств путем начисления процентов.
Депозитные (сберегательные) сертификаты - письменное свидетельство кредитного учреждения (банка) о внесении денежных средств, удостоверяющее права вкладчика на получение депозита и процентов по нему по истечении установленного срока. Сертификаты могут быть на предъявителя или именными.
Сделки, совершаемые на фондовой бирже, подразделяются на кассовые и срочные. По кассовым сделкам расчет совершается непосредственно после их заключения. Обычно срок выполнения кассовой сделки составляет от 1 до 3 дней.
Срочными называются сделки, по которым продавец передает, а покупатель оплачивает ценные бумаги не сразу, а по истечении определенного установленного срока. На биржах сроком ликвидации сделки является последний день месяца. Срочные сделки могут заключаться на срок от одного до нескольких месяцев. В свою очередь они подразделяются на твердые и условные (сделки с премией).
По первому виду сделки к моменту истечения срока стороны обязаны выполнить условия сделки.
Условные сделки (с премией) предполагают, что одна из сторон, выплатив заранее обусловленную премию, может отказаться от исполнения сделки. Такое поведение покупателя объясняется тем, что изменились условия котировок приобретаемых им ценных бумаг. Если, например, заключена сделка на покупку 100 акций по 2000 руб. за штуку, из которых премия составляет 100 руб., то в день исполнения этой сделки покупатель либо, заплатив 200 тыс. руб., получит 100 акций, либо, уплатив премию в 10 тыс. руб., откажется от сделки. Покупателю выгоднее будет уплатить премию в том случае, если в момент завершения сделки курс упадет, например, до 1850руб. за акцию, поскольку он может приобрести в кассе 100 акций за 185 тыс. руб.
С учетом премии его расходы составят 195 тыс. руб. против 200 тыс. руб. Если же курс акций в момент исполнения сделки составит 2100 руб., покупатель, купив их по 2000 руб. и тут же продав их на бирже по текущему курсу, получит доход в 10 тыс. руб.
Другой разновидностью сделки с премией является сделка с опционом. Премией в этом случае оплачивается право покупателя в любой день в течение оговоренного срока купить у продавца определенное количество акций по заранее обусловленной цене. Если, например, заключается сделка с опционом на покупку 100 акций по 2000 руб. за штуку сроком на 6 месяцев и при этом премия, выплаченная продавцу, составляет 200 руб. за акцию, то покупатель воспользуется своим правом в тот момент в течение этого срока, когда текущий курс этих акций по кассовым сделкам составит 2350 руб. Приобретая у продавца 100 акций по 2000 руб. (с учетом выплаченной премии в 20 тыс. руб. общий расход составит 220 тыс. руб.), он тут же может их продать по текущему курсу за 235 тыс. руб., получив при этом доход в 15 тыс. руб. Если же курс за все обусловленное в сделке время не поднимается выше определенного в сделке уровня, покупатель может вообще отказаться от покупки акций.
При этом его потери составят величину выплаченной премии.
- Роль страховых организаций в деятельности предприятий
Страхование это отношение по защите имущественных интересов физических и юридических лиц при наступлении особых событий из специально формируемых денежных фондов.
Принципы страхования
Страхование это экономическое отношение, в котором участвуют две стороны (или два субъекта). Одна из них это страховое общество (частное или государственное), или страховщик, которое вырабатывает условия страхования и предлагает их своим клиентам юридическим и физическим лицам. Если условия устраивают клиентов, то они подписывают договор установленной фирмы и регулярно вносят по нему страховщику денежные взносы согласно договору.
Из этих взносов у страховщика образуется особый денежный фонд.
Другой стороной (субъектом) данного экономического отношения являются юридические или физические лица, называемые страхователями.
Если в результате страхового случая (стихийные бедствия, несчастный случай и т.д.) страхователю будет нанесен ущерб (экономический или здоровью), то страховщик в соответствии с условиями договора выплачивает страховое возмещение.
Страховщик и страхователь регулируют страховое отношение специальным договором. В мировой практике он называется страховым полисом. Этот документ (именной или на предъявителя) удостоверяет заключение страхового договора и содержит обязательство страховщика выплатить страхователю при наступлении страхового случая определенную сумму денег.
Для заключения договора страхования, а им может быть страховой полис либо страховое свидетельство, страхователь представляет страховщику определенный набор документов.
Основная цель представления документации определение степени страхового риска. Изучив клиента, страховщик устанавливает страховую премию (взнос) в процентах к страховой сумме и дифференцированной в зависимости от срока страхования.
После уплаты премии договор вступает в силу. Если по договору страхования к установленному сроку поступит менее исчисленной суммы платежа, то такие договоры считаются несостоявшимися, а поступившие платежи возвращаются страхователю.
Наиболее существенными моментами в страховании являются: размер ответственности, принимаемой страховщиком, определение страхового случая и возмещение убытков.
Условия страхования четко оговаривают срок, в течение которого страхователь обязан сообщить о наступлении страхового случая путем подачи заявления. Обычно действует 5-дневный срок для извещения о произошедшем событии. Размер страхового возмещения определяется в зависимости от объема ответственности страховщика, исходя из суммы непогашенной задолженности на установленную кредитным договором дату.
Условия страхования предусматривают порядок возмещения убытков. Одновременно страховая организация оставляет за собой право отказать в выплате страхового возмещения. Свой отказ страховщик связывает, во-первых, с недостоверностью сообщенных страхователем сведений, которые могли иметь существенное значение для суждения о страховом риске, во-вторых, если страхователь не выполнил обязанностей, возложенных на него условиями страхования.
В момент заключения договора эти условия должны формулироваться сторонами конкретно, во избежание дальнейших споров.
Виды страхования
Традиционное страхование подразделяется наличное, имущественное страхование и страхование ответственности. Различные виды страхования имеют разное значение в хозяйственной деятельности предприятия. Рассмотрим основные виды страхования, используемые отечественными предприятиями.
Имущественное страхование. Страхованию подлежат здания, сооружения, передаточные устройства, силовые, рабочие и другие машины, транспортные средства, суда, орудия рыбного лова, объекты незавершенного производства, инвентарь, готовая продукция- сырье, материалы и другое имущество.
Не подлежат страхованию наличные деньги, ценные бумаги и другое имущество, находящееся в зоне, которой угрожает стихийное бедствие, с момента объявления о такой угрозе или составления компетентными органами соответствующего документа, подтверждающего факт угрозы.
Предприятие, застраховавшее принадлежащее ему имущество, имеет страховую защиту не только тех материальных ценностей, которые были у него на момент заключения договора страхования, но и имущества, поступившего в период действия договора страхования. Причем такое имущество считается застрахованным без взыскания страховых платежей. Если часть имущества выбыла в период договора, страховые платежи не возмещаются.
Предусмотрены следующие виды договоров страхования имущества:
основной договор договор страхования всего имущества, принадлежащего предприятию;
дополнительный договор договор страхования всего имущества, полученного предприятием по договору имущественного найма (если оно не застраховано у наймодателя) или принятого им от других организаций и граждан для переработки, ремонта, перевозки, на комиссию, хранение и т.д.;
договор выборочного страхования части имущества, как принадлежащего предприятию, так и принятого им;
специальные договоры, заключаемые для обеспечения страховой зашиты имущества в период проведения экспериментальных и исследовательских работ, а также во время экспонирования на выставке.
Договоры страхования имущества с предприятиями заключаются на один год и на неопределенный срок с ежегодным пересчетом стоимости имущества и суммы платежей.
Договор, заключенный на неопределенный срок, считается продленным на следующий срок при условии внесения до окончания года, за который уплачены платежи, не менее 25% суммы страховых платежей, рассчитанной на следующий год.
С предприятиями, деятельность которых носит сезонный характер, а также при страховании имущества, принятого от других организаций и граждан (дополнительный договор), страховании на время проведения экспериментальных и исследовательских работ, экспонирования на выставке (специальный договор) может быть заключен договор на срок менее одного года (краткосрочный договор).
Россия является страной с развитой промышленностью.
Необходимость структурной перестройки объясняется сменой приоритетов в формировании народнохозяйственной структуры. Прежняя структура народнохозяйственного комплекса оказалась нежизнеспособной и экономически неэффективной в условиях либерализации экономики, развития рыночных методов хозяйствования. Существовавшая структура характеризовалась крайне высокой степенью огосударствления всех экономических процессов, сверхмонополизацией производства, искаженной структурой народнохозяйственного комплекса со значительным развитием добывающих отраслей, гипертрофированным военно-промышленным комплексом при значительном отставании отраслей, работающих на потребительский рынок.
Специфика структурной перестройки в России заключается в том, что она осуществляется в условиях трансформационного спада, сопровождающего всякий переход от одной экономической системы к другой, который в условиях нашей страны наложился на структурный кризис, начавшийся еще в 80-х гг. Структурная перестройка осуществляется в условиях изменения форм и методов государственного воздействия на экономику, значительного сокращения государственных расходов и централизованного кредитования.
Основными направлениями структурной перестройки являются свертывание и перепрофилирование объективно ненужных и недееспособных предприятий, замедление падения и стабилизация выпуска продукции, пользующейся спросом на внутреннем и внешнем рынках; создание условий для оживления и развития перспективных видов деятельности, формирующих реальный экономический потенциал страны.
Тенденции развития промышленности
Россия является страной с развитой промышленностью. На ее долю приходится 3/5 суммарного валового общественного продукта, более 2/5 национального дохода, около 1/2 производственных основных фондов и вместе со строительством примерно 2/5 занятого в общественном производстве населения. Промышленность в первую очередь определяет производственный и научно-технический потенциал, степень и эффективность использования природных, материальных и трудовых ресурсов.
Она служит основой формирования территориально-производственных комплексов.
В составе промышленности интенсивность развития отдельных отраслей различна, что объясняется особенностями их формирования в прошлом, необходимостью соблюдения тех или иных межотраслевых пропорций, требованиями научно-технического прогресса и другими причинами. При этом обращает на себя внимание стабильность следующих тенденций: приоритетный рост отраслей, обеспечивающих научно-технический прогресс; значительное расширение производства предметов потребления во всех отраслях промышленности.
Преобразования, осуществляемые в ходе экономической реформы, уже привели к тому, что на структурные сдвиги в экономике все большее влияние оказывают рыночные механизмы. Они в основном и будут определять перспективы развития отдельных отраслей.
Достаточно очевидными являются и необходимые изменения в направлениях и пропорциях развития промышленного производства: усиление его интенсификации, повышение технического уровня и конкурентоспособности, рационализация структуры производства, более пристальное внимание к проблемам ресурсосбережения, охраны окружающей среды.
За время рыночных реформ в России происходили существенные изменения в отраслевой структуре промышленности (%):
1991г. 1992г. 1993г.
Вся промышленность ........... 100 100 100
В том числе:
добывающая промышленность ....... 15,6 17,0 17,2
обрабатывающая промышленность 84,4 83,0 82,8
Доля добывающих отраслей в общем объеме промышленной продукции имеет тенденцию к росту, что противоречит общемировой тенденции последних лет, состоящей в опережающем росте обрабатывающей промышленности. Более того, развитие отраслей добывающей промышленности во многом ориентируется на спрос, формирующийся на внешнем рынке, вне пределов национальной экономики. Россия все сильнее втягивается в международное разделение труда в качестве поставщика топливно-сырьевых ресурсов и потребителя готовых промышленных изделий. Изменение структуры экспорта и импорта промышленной продукции характеризуется следующими данными (%) :
Составлено по: Финансовые известия. 1996. 19 дек. № 114 (348).
Произошли структурные изменения в самой обрабатывающей промышленности. Например, доля материалов, полуфабрикатов и комплектующих изделий в общем объеме продукции обрабатывающей промышленности увеличилась. В 1991 г. она составляла 40%, а в 1995 г. 43,4%.
Некоторое увеличение наблюдалось в производстве товаров народного потребления и продовольственных товаров: в 1991 г. они составляли 6,6 и 12,2%, а в 1995 г. 8,4 и 14,6% соответственно.
Существенное сокращение произошло в производстве машин и оборудования, их доля в общем объеме продукции обрабатывающей промышленности снизилась с 25,6% в 1991 г. до 17,7% в 1995 г.
С учетом потребностей структурной перестройки экономики, наметившихся негативных тенденций развития промышленного производства Правительством РФ была разработана концепция промышленной политики государства до 2010 г.
Намечаемые структурные сдвиги в промышленности не означают возврата к структуре 1990 г. Они предполагают снижение доли добывающих отраслей (с 16% в 1995 г. до 10% в 2010 г.) и повышение доли перерабатывающих отраслей (с 84% в 1995 г. до 90% в 2010 г.). В течение ближайших 23 лет приоритетными отраслями будут: нефтедобывающая, газовая, нефтеперерабатывающая промышленность, деревообработка, добыча и переработка алмазов, машиностроительные производства.
Правительство намечает целую систему мер поддержки и стимулирования развития этих отраслей: формирование институциональных и законодательных условий, реформирование налоговой системы, внешнеэкономическая поддержка, стимулирование государственных, частных и иностранных инвестиций.
Промышленная политика предполагает разные стратегии развития для разных отраслей и производственных групп.
Так, для отраслей с большим научно-техническим потенциалом, способных в короткие сроки создать конкурентоспособные изделия для мирового и внутреннего рынка (самолетостроение, ракетно-космические производства, атомная промышленность, вооружения и военная техника, электротехника, тяжелое станкостроение, биотехнологии и др.), намечаются государственные инвестиции, закупки и субсидии, экспортные кредиты.
Экспортоспособные отрасли добывающей промышленности (нефтяная, газовая, алмазная, лесная) имеют реальные возможности развития на собственной финансовой базе. Поэтому политика в отношении этих отраслей будет ориентирована на их самостоятельное финансирование. Для этого планируется дифференцировать плату за пользование недрами, акцизы, учитывая качество и расположение месторождений, а также степень их освоенности для нефтяной промышленности, цены на газ по стоимости транспортировки и распределения в газовой промышленности.
В нефтедобывающей промышленности основным направлением дальнейших институциональных преобразований будет продолжение процесса формирования вертикально интегрированных компаний, осуществляющих комплекс работ по добыче и переработке нефтяного сырья.
При нефтепереработке будут предприниматься меры по улучшению экономической обстановки в районах размещения нефтеперерабатывающих заводов. Высокий внутренний и внешний спрос на продукцию газовой промышленности сохранит ее привлекательность для инвесторов и кредиторов. Основные методы промышленной политики для отраслей, не способных быстро перестроиться в силу технической отсталости производства (автомобильная промышленность, транспортное, дорожное, сельскохозяйственное машиностроение, легкая и пищевая промышленность), заключаются в постепенном снижении защитных импортных тарифов до уровней, допускаемых международными нормами, а также методы нетарифного регулирования.
В этих отраслях не предполагается прямой государственной поддержки.
В отдельных отраслях промышленности приоритетными будут следующие основные направления развития.
В черной металлургии, и в частности в прокатном производстве, основным направлением совершенствования структуры будет расширение ассортимента и повышение качества металлопродукции.
Рентабельность в черной металлургии составила в 1996 г- 8,2%, т.е. произошло снижение за год в 3,1 раза. Выход из сложившейся ситуации техническое перевооружение металлургических предприятий за счет увеличения методов применения эффективных технологий и оборудования. Перспективно техническое перевооружение трудового процесса.
Кроме того, прогнозируемый рост мировых цен практически на все металлы в конце 90-х гг. может повысить привлекательность данной отрасли для инвесторов, способствовать притоку финансовых средств и росту ликвидности акций металлургических предприятий.
В цементной промышленности совершенствование структуры будет осуществляться в основном за счет увеличения выпуска цемента, получаемого энергосберегающим «сухим» способом, и организации производства многокомпонентных цементов, обеспечивающих получение прочных и долговечных бетонных и железобетонных изделий,
В химической промышленности перспективными направлениями, вытекающими из ожидаемой структуры спроса, являются расширение ассортимента и увеличение выпуска прогрессивных видов синтетических волокон и нитей; наращивание производства пользующихся устойчивым спросом шин для малотоннажных автомобилей и организация выпуска крупногабаритных и сверх крупногабаритных шин.
Ручной труд целесообразно заменить машинным.
Платой за адаптацию является резкое снижение текущей доходности. Даже акции и облигации сразу выгодно перепродать не получается, если их реальный курс падает. Потеря времени означает омертвление капитала, снижение его доходности. Адаптационные же издержки производственного инвестирования еще больше.
Предположим, оборудование установлено, технология отлажена. Но конъюнктура рынка изменилась, и принимается решение поменять технологию, а, следовательно, и оборудование. Например, ручной труд целесообразно заменить машинным. Это потребует известных адаптационных издержек (прямых и косвенных). Перечислим хотя бы некоторые из них: переподготовка кадров; продажа старого и установка нового оборудования; выплата компенсаций рабочим и служащим, потерявшим работу в результате соответствующих сокращений; неустойки по старым контрактам, сохраняющим свою силу, и др.
Поэтому адаптационные издержки необходимо включить в расчет цены, по которой предприятие будет продавать новую продукцию. Чем больше эта цена сможет превысить цену предложения сырья, материалов, технологии, оборудования для производства, тем предпочтительнее данный вариант вложения капитала. Чем больше спрос на продукцию, тем больше адаптационные издержки, которые предприятие может себе позволить.
Опыт показывает, что чем больше и, главное, дольше цена спроса превышает цену предложения, тем эффективнее будет инвестирование, даже, несмотря на адаптационные издержки.
Принцип мультипликатора (множителя). Принцип мультипликатора опирается на взаимосвязь отраслей. Это означает, что рост спроса, скажем, на автомобили автоматически вызывает рост на технологически сопутствующие товары: металл, пластмассу, резину и т.д.
Знание технологии производства позволяет вычислить коэффициент корреляции. Например, если по данным биржевой котировки акций намечается подъем машиностроения, известна технологическая связка машиностроения с другими отраслями, то можно заранее просчитать мультипликационный эффект данной связи. Фирма, к примеру, занимающаяся изготовлением пластмасс для машиностроения, может оценить перспективу своих доходов.
Мультипликатор, следовательно, выражает реально существующую зависимость между отраслями, характеризует эти связи количественно.
Мультипликатор дает возможность заранее знать время и экономическую силу конкретного воздействия, выгодно использовать эту информацию: прекратить невыгодное инвестирование и заняться новым бизнесом заблаговременно, опережая конъюнктуру. Подобное заблаговременное действие может быть осуществлено и в форме перепродажи акций, и в форме перепрофилирования производства.
Эффект мультипликатора слабеет, затухает по мере удаления от отрасли-генератора спроса и доходности. Более того, эффект мультипликатора затухает и во времени. А вскоре генерирующей может стать другая отрасль, что означает необходимость снова корректировать стратегию инвестирования.
Q принцип. Q-принцип это определение зависимости между оценкой актива на фондовой бирже и его реальной восстановительной стоимостью. Показатель этой зависимости Q-отношение:
Если дробь больше единицы, то инвестирование выгодно. Причем чем больше, тем выгоднее. Так, рост рыночной (биржевой) оценки домов по отношению к текущей стоимости их строительства стимулирует жилищное строительство, поскольку рыночная цена больше, чем текущие издержки замещения данного дома на новый.
Таким образом, выгодность инвестирования привязывается к соотношению между ценой спроса и ценой предложения. Так, в случае инвестирования в покупку целого предприятия (фирмы) определяем:
В целом отметим, что данный принцип тем меньше применим, чем больше степень государственного регулирования. Для России, следовательно, значение такого подхода оценки эффективности должно возрастать по мере снижения государственного контроля над промышленностью, роста значения товарно-сырьевых и фондовых бирж как форм оценки и переоценки стоимости основного и оборотного капитала предприятий.
Опыт показал, что Q-принцип особенно хорошо применим в таких отраслях, как транспорт, автомобилестроение, авиастроение, цветная металлургия, резинотехническая промышленность, производство пластмасс, но он неприменим в отраслях, регулируемых государством: нефтедобыча, газовая отрасль и т.п.
-
Приемы и методы проектного анализа
Планируемые, реализуемые и осуществленные инвестиции принимают форму капитальных (инвестиционных) проектов. Однако эти проекты нужно оценить, и прежде всего на основе сопоставления затрат на проект и результатов его реализации. Для этого осуществляют проектный анализ (анализ инвестиционных проектов).
Проектным анализом называется анализ доходности капитального проекта на основе сопоставления затрат на проект и выгод, которые будут от него получены.
Виды анализа
На всех стадиях проекта (и особенно на стадии разработки) необходим анализ его основных аспектов. Различают следующие виды анализа.
1. Технический анализ, на основе которого определяется наиболее подходящая для данного инвестиционного проекта техника и технология.
2. Коммерческий анализ, охватывающий анализ рынка сбыта той продукции, которая будет производиться после реализации инвестиционного проекта.
3. Институциональный анализ, в задачу которого входит оценка организационно-правовой, административной и даже коммерческой среды, в которой будет реализовываться проект и приспособление его к этой среде, особенно к требованиям государственных организаций. Другой важный момент приспособление самой организационной структуры предприятия к проекту.
4. Социальный (социально-культурный) анализ, задача которого состоит в том, чтобы исследовать воздействие проекта на жизнь местных жителей, добиваться благожелательного или хотя бы нейтрального отношения к проекту.
5. Анализ окружающей среды, на основе которого выявляется и дается экспертная оценка ущербу, наносимому проектом окружающей среде, и одновременно формируются предложения по смягчению или предотвращению этого ущерба.
6. Финансовый анализ.
7. Экономический анализ.
Финансовый и экономический анализы являются ключевыми, и они должны быть рассмотрены особо. Оба базируются на сопоставлении затрат и выгод от проекта, но отличаются подходами к их оценке. Если экономический анализ оценивает доходность проекта с точки зрения всего общества (страны), то финансовый анализ только с точки зрения предприятия и его кредитора.
Методы анализа
Анализируя доходность инвестиционного проекта, целесообразно сравнивать две будущие альтернативные ситуации: фирма осуществила свой проект; фирма не осуществила свой проект. В модифицированном виде этот прием можно представить в виде формулы:
где Ринв доходность инвестиционного проекта; Рпр изменения в выгодах (доходах) благодаря проекту; Спр изменения затрат вследствие внедрения проекта.
На практике бывают случаи, когда выгоды заранее заданы, но их трудно оценить в денежном измерении. Тогда используют метод (прием) наименьших затрат. Предположим, что руководство предприятия поставило задачу: обеспечить за счет фирмы содержание детей в детских садах. Для решения этой задачи и получения тем самым выгоды (хотя ее очень трудно перевести в рубли) разрабатывают несколько альтернативных проектов.
Например, предприятие может: а) построить и содержать один крупный детский сад; б) содержать в нескольких районах города несколько небольших детских садов; в) оплачивать сотрудникам содержание их детей в других детских садах города.
Предположим, что качество обслуживания детей будет во всех проектах одинаково, значит, и выгода у всех проектов одна и та же. А вот затраты различны, но соизмеримы в денежном отношении.
Отсюда вывод: для решения поставленной задачи нужно найти наименее дорогостоящий проект, т.е. наиболее эффективный способ осуществления затрат для достижения поставленной цели.
Метод дисконтирования
Один из принципов проектного анализа состоит в том, что необходимо сопоставлять затраты и доходы (выгоды), возникающие в разное время. Известно, что затраты на создание и реализацию проекта растягиваются во времени, а доходы от проекта, помимо растягивания во времени, возникают обычно после осуществления затрат.
Предположим, что вместо того, чтобы потратить один рубль сейчас, мы ссужаем его еще на один год, получив взамен долговое обязательство. В результате мы как бы лишаем себя возможности потратить этот рубль на себя сейчас. Однако мы предполагаем, что через год, нам вернут не рубль, а больше: ведь рубль, истраченный сейчас, стоит больше, чем рубль через год.
Поэтому говорят о таком понятии, как стоимость денег во времени, означающем, что рубль, полученный раньше, стоит больше чем рубль, полученный позже,
В экономическом и финансовом анализе используют специальную технику для измерения текущей и будущей стоимости одной денежной меркой. Этот технический прием называется дисконтированием.
Дисконтирование является процессом, обратным исчислению сложного процента. Начислением сложного процента называется процесс роста основной суммы вклада за счет накопления процентов, а сумму, полученную в результате накопления процентов, называют будущей стоимостью суммы вклада по истечении периода, на который осуществляется расчет.
Склады и кладовые инструмента
Так, в инструментально-раздаточных кладовых текущие запасы по каждому типоразмеру инструментов определяются исходя из дневной потребности в инструменте и периода времени, через который израсходованный инструмент возобновляется. Практически нерегулярно потребляемый инструмент в. цеховых инструментально-раздаточных кладовых обычно держат в размере месячной потребности, а инструмент, применяемый регулярно, в полумесячной и декадной потребности.
Эксплуатационный цеховой фонд инструментов состоит из инструментов, находящихся на рабочих местах, в заточке и в ремонте. Для оснастки инструмента длительного срока пользования (штампы холодопрессовых цехов, металлические модели, приспособления и т.п.) запасы в эксплуатации, как правило, не создаются.
Количество инструмента на рабочих местах определяется в зависимости от числа станков, где применяется запасной инструмент, количества смен работы этих станков и количества инструментов, находящихся у каждого рабочего, т.е. для передачи инструмента из смены в смену- Наличие инструмента на рабочих местах будет тем меньше, чем чаще происходит замена затупившегося инструмента.
Наличие инструмента в заточке зависит от величины поставляемых в заточку партий и времени пребывания инструмента в заточке, включая время пролеживания перед заточкой, нахождения в заточке и время после заточки до поступления его в ИРК.
Склады и кладовые инструмента
Хранение и комплектация инструмента осуществляются в ряде звеньев, в том числе и в ЦИСе, который обеспечивает приемку, хранение, регулирование запасов и выдачу инструмента цехам. ЦИС состоит из отделений и участков, специализированных по группам инструментов. Нормальный (универсальный) инструмент располагается по типоразмерам, специальный по изделиям, деталям и операциям, для производства которых он предназначен.
В соответствии с системой «максимум-минимум» по каждому номеру инструмента ведутся учет и пополнение запасов. Кроме хранения, учета и регулирования запасов в ЦИСе ведется постоянная работа по снабжению инструментом цеховых инструментально-раздаточных кладовых в пределах установленных лимитов.
ИРК организуются в основных и вспомогательных цехах для обеспечения рабочих мест инструментом и своевременной замены затупившегося и пришедшего в негодность инструмента. Годный затупившийся инструмент ИРК обменивает в отделении заточки на заточенный и снабжает им рабочих. Пришедший в негодность инструмент направляется в сортировочный пункт или участок инструментального цеха для проверки возможности дальнейшего его использования. ИРК ведет ежедневный учет расхода и движения инструмента на специальных инструментальных картах.
Снабжение рабочих мест инструментом и оснасткой является одной из основных функций ИРК.
Для нормального хранения и своевременной подачи инструмента особое значение имеет организация современного автоматизированного складского хозяйства, в котором создается комплексный запас инструмента и обеспечивается бесперебойная его подача в цехи.
Наличие в производстве больших запасов инструмента, учитывая его стоимость и значительный расход, делают проблему экономии инструмента одной из наиболее важных в организации инструментального хозяйства. Экономия инструментов достигается улучшением условий его работы и правильной эксплуатацией.
- Организация ремонтного хозяйства
Основной задачей функционирования ремонтного хозяйства предприятия является обеспечение бесперебойной эксплуатации оборудования. Служба ремонтного хозяйства в системе управления предприятием подчинена главному инженеру. В ее состав входят: ремонтно-восстановительная база предприятия, склады, цехи и общезаводские отделы ремонтного хозяйства (технологический, оборудования, диспетчерский).
В зависимости от масштабов производства ремонтно-восстановительная база предприятия может содержать ремонтно-механический цех, выполняющий ремонт технологического оборудования; ремонтно-строительный цех, выполняющий ремонт зданий, сооружений, производственных, складских и служебных помещений; электроремонтный цех, подчиненный главному энергетику и выполняющий ремонт энергооборудования, а также склады оборудования и запасных частей. Кроме того, в цехах целесообразно создание ремонтных баз, подчиненных цеховому механику, главной задачей которых является поддержание в работоспособном состоянии технологического оборудования, осуществление профилактических осмотров, разнообразных ремонтных работ.
Общезаводские отделы ремонтного хозяйства подчиняются главному механику наряду с ремонтно-механическим и ремонтно-строительным цехами. Вместе с этими подразделениями в его службе можно организовать бюро планово-предупредительного ремонта и планово-производственное бюро.
Характерными работами для ремонтного хозяйства предприятия являются:
паспортизация и аттестация оборудования;
разработка технологических процессов ремонта и их оснащения;
планирование и выполнение работ по техническому обслуживанию и ремонту оборудования;
модернизация оборудования.
Виды ремонтных работ
Одним из условий эффективной организации работы любого предприятия является наличие отлаженного механизма выполнения ремонтных работ. Чем ниже удельный вес расходов на ремонт, обслуживание и содержание оборудования в себестоимости продукции, тем выше эффективность производства и самого ремонтного хозяйства. Для предупреждения нерациональных потерь в производстве и сокращения затрат на ремонт служит система планово-предупредительного ремонта.
Системой планово-предупредительного ремонта называется совокупность различного вида работ по техническому уходу и ремонту оборудования, проводимых по заранее составленному плану с целью обеспечения наиболее эффективной эксплуатации оборудования.
Таким образом, работы по уходу, надзору, обслуживанию и ремонту оборудования с целью предотвращения нарастающего износа, предупреждения аварийных ситуаций и, как следствие, поддержания оборудования в постоянной готовности к работе является сущностью системы планово-предупредительного ремонта. В ее основе заложены работы по техническому обслуживанию оборудования и по выполнению плановых ремонтов текущих, средних и капитальных.
Техническое обслуживание включает работы по осмотру оборудования, проверке на точность, промывке, смазке и т.д. Эти виды работ выполняются по заранее составленному графику и носят апериодический характер с четко выраженной повторяемостью.
Плановые ремонты по содержанию выполняемых работ, трудоемкости и периодичности подразделяются на текущий, средний и капитальный.
Текущий ремонт осуществляется в процессе эксплуатации оборудования путем замены отдельных деталей, частей с последующей проверкой на точность, центровкой и т.п.
Средний ремонт носит более расширенный и углубленный характер, поскольку связан с заменой основных деталей, узлов, трущихся поверхностей.
Капитальный ремонт представляет собой самый трудоемкий, длительный и дорогостоящий процесс, связанный с полной заменой основных деталей, узлов, разборкой двигателей, трансформаторов. Капитальный ремонт, как правило, сопровождается снятием оборудования с фундамента, с последующей сборкой и испытание м-
Система планово-предупредительного ремонта имеет профилактическую сущность. Однако в практике эксплуатации оборудования возникают аварийные ситуации, связанные с отказом техники, неполадками. Затраты, связанные с устранением последствий аварий, относятся к внеплановым расходам и сказываются на результативности работы предприятия негативным образом.
Система планово-предупредительного ремонта строится на использовании следующих нормативов:
ремонтные циклы и их структура;
длительность межремонтных периодов и периодичность технического обслуживания;
категории сложности ремонта;
нормативы трудоемкости;
нормы запаса деталей и оборотных узлов.
Под ремонтным циклом следует понимать время между двумя капитальными ремонтами, а первый ремонтный цикл начинается с ввода оборудования в эксплуатацию до первого капитального ремонта. В этот промежуток времени включается выполнение всех мероприятий по техническому обслуживанию и всех видов ремонтов. Очередность их выполнения может быть представлена следующей примерной схемой:
КР ТО ТО МР1 ТО МР2 ТО СР ТО ТО МР3 ТО КР,
где КР капитальный ремонт; СР средний ремонт; МР малый ремонт; ТО техническое обслуживание.
При составлении ремонтного цикла необходимо учитывать различные факторы: тип производства, вид и свойства обрабатываемых материалов, эксплуатационные условия, квалификация персонала, степень загрузки оборудования.
Межремонтный период, периодичность выполнения ремонтных работ, а также их трудоемкость и материалоемкость зависят от конструктивных особенностей оборудования. Исходя из этого, все оборудование на предприятии группируется по категориям ремонтной сложности. Каждой группе соответствует определенное число единиц сложности ремонта, которые устанавливаются по справочнику, и в конечном итоге формируется категория сложности ремонта.
Причем отдельно оценивается категория сложности ремонта электрической и механической частей оборудования, а их итог дает искомую величину категорию сложности ремонта конкретного оборудования.
Содержание бизнес-плана
Традиционно он выступал инструментом малого и среднего бизнеса, нуждавшегося во внешней помощи (партнера или инвестора) для реализации проектов, которые в одиночку было трудно осилить. Сегодня бизнес-планы, не утратив своего традиционного назначения, разрабатываются практически всеми ведущими зарубежными компаниями на постоянной основе. Они являются как бы стержнем всей системы внутрифирменного планирования.
Бизнес-планы разрабатывают заводы и отделы, производственные подразделения и филиалы. Бизнес-планы структурных подразделений анализируются и обобщаются в бизнес-планы корпораций.
Возрастание роли бизнес-плана в планировании особенно отчетливо проявилось в последние десятилетия. Связано это было со следующими причинами:
1. Возрастание сложности внешней хозяйственной среды потребовало от компаний высокой гибкости в управлении, умения постоянно просчитывать множество вариантов управленческих решений в комплексе, с учетом всех факторов.
2. Возросла роль стратегического маркетинга, умения находить и оценивать возможные новые, перспективные направления хозяйственной деятельности. Но мало найти перспективную возможность на рынке, нужно еще и оценить, чего она стоит. Для этого и нужен бизнес-план.
3. Расширилась самостоятельность производственных подразделений. В современных условиях увидеть все варианты хозяйственного развития можно лишь на нижнем уровне, а оценить их привлекательность с точки зрения корпорации в целом, проанализировать с учетом интересов владельцев капитала можно на высшем уровне. Обособление хозяйственных систем при необходимости интеграции решений по части инвестиционной политики и сделало бизнес-план столь популярным инструментом планирования бизнеса.
В России вместо вполне обоснованного изменения функций бывших планово-экономических отделов, внедрения в практику их работы разработки бизнес-планов многие российские предприятия пошли по пути почти полной ликвидации функции хозяйственного планирования, якобы ненужного и невозможного в непредсказуемых условиях рынка. И дело не в том, что такой подход сам по себе снижает вероятность получения оптимального управленческого решения в случае возникновения сложной ситуации на рынке, поскольку изначально ограничивается круг просчитанных и проанализированных возможных вариантов действий, из которых придется делать выбор. Куда серьезнее проблема определения перспективных направлений хозяйственного развития предприятия, поиска эффективных путей развития и диверсификации производства, отбора наиболее выгодных проектов с точки зрения приложения капитала.
Бизнес-план это план развития бизнеса на предстоящий период, в котором сформулированы предмет, основные цели, стратегии, направления и географические регионы хозяйственной деятельности, в котором определены ценовая политика, емкость и структура рынка, условия осуществления поставок и закупок, транспортировки, страхования и переработки товаров, факторы, влияющие на рост/снижение доходов и расходов по группе товаров и услуг, являющихся предметом деятельности предприятия.
Бизнес-план всегда носит вероятностный характер, предполагает возможность различных вариантов делового поведения предприятия. В этом его коренное отличие от технико-экономического обоснования, в котором существует достаточно жесткая увязка с определенной технологией, присутствует конкретная проектно-сметная документация и т.п. Бизнес-план это план возможных действий предприятия на рынке.
Любая информация, представленная в бизнес-плане (хозяйственная стратегия, формулы распределения прибыли, схемы работы с поставщиками и субподрядчиками и т.п.), может стать предметом обсуждения, дальнейшего анализа.
Бизнес-план всегда имеет адресата. Им может быть партнер, инвестор, вышестоящее руководство или органы государственного управления, поэтому в любом случае в бизнес-плане должны быть учтены интересы того, кому он адресован.
Содержание бизнес-плана
Стандартный бизнес-план имеет определенную структуру, последовательность разделов. Бизнес-план включает следующие содержательные блоки.
Резюме краткое изложение предмета бизнес-плана, т.е. обоснование привлекательности нового бизнеса, коммерческого предложения или инвестиционного проекта для адресата бизнес-плана. С самого начала в бизнес-плане обосновывается, какие ресурсы или какая помощь необходима новому бизнесу, и какую отдачу этот бизнес сможет обеспечить.
Общая часть, в которой описываются цели (финансовые и нефинансовые) и стратегии бизнес-плана, предмет бизнес-плана, своеобразие продукции или услуг, текущее состояние рынка сбыта, история фирмы-разработчика и перспективы развития нового бизнеса; демонстрируется, в чем, собственно, состоит неудовлетворенная потребность, диктующая необходимость создания или развития данного бизнеса; описывается управленческая команда, которая будет заниматься проектом. Главное назначение этой части бизнес-плана продемонстрировать адресату бизнес-плана, что именно данная фирма (структурное подразделение), люди ее возглавляющие, по своим знаниям, опыту работы в состоянии наилучшим образом реализовать цели нового бизнеса, что именно им (и почему) можно доверить деньги инвестора или иные ресурсы партнера или вышестоящего руководства.
План маркетинга показывает результаты исследования рынка для нового бизнеса, оценивает профиль потребителя, сильные и слабые стороны конкурентов, географические и иные факторы рынка. Здесь находят отражение результаты маркетингового исследования, которое лежит в основе бизнес-плана.
Назначение данного раздела бизнес-плана показать, что на рынке имеется достаточное число потребителей данного продукта, обосновать, что потребители предпочтут именно эту продукцию или торговую марку конкурентам, показать, на чем следует сделать основные акценты в стратегии рекламы и сбыта продукции, в ценовой политике.
Оперативные планы это планы создания и развития производства товаров и услуг, являющихся предметом бизнес-плана. Здесь описывается механизм запуска нового бизнеса, последовательность шагов по созданию производственных мощностей, организации каналов сбыта, формы и бюджет рекламы, сети снабжения, состав и численность необходимой рабочей силы и т.п.
Другие планы, входящие в состав бизнес-плана, это план капитальных вложений (подробно расписанный по видам затрат), план исследований и разработок, технической доработки продукции и услуг, модернизации технологии производства.
Каждый раздел бизнес-плана должен иметь выход на финансовый раздел, т.е. содержать цифры, данные, по которым можно рассчитывать соответствующую позицию финансовых планов.
Финансовый раздел бизнес-плана обязательно включает 3 основных документа (план доходов и расходов, план движения денежных средств и расчетный баланс), а также предварительные замечания своего рода комментарий по финансовым условиям бизнеса (порядок расчетов с поставщиками и потребителями, сроки возврата кредитов и проценты по ним, методы определения себестоимости продукции и т.п.).
Не менее важно составить наиболее вероятный оптимистический и пессимистический прогнозы финансовых результатов, а также рассчитать издержки по подготовке к пуску производства (табл. 12.1).
Один из основных документов финансового раздела это план доходов и расходов (табл. 12.2). Он показывает финансовую осуществимость нового предприятия и готовится, используя прогноз продаж и соответствующие ему производственные затраты.
Таблица 12.1. Издержки подготовки производства
Единовременные расходы
|
|
Оборудование, машины, движимое имущество
|
|
Стоимость установки оборудования
|
|
Благоустройство территории и реконструкция производственных помещений
|
|
Начальные запасы сырья и материалов
|
|
Различного рода единовременные выплаты
|
|
Плата за лицензии и допуски
|
|
Регистрация и презентация
|
|
Наличность для неожиданных расходов
|
|
Итого единовременных расходов
|
|
Текущие (повторяющиеся) расходы за три месяца
|
|
Вся заработная плата и вознаграждения
|
|
Аренда
|
|
Реклама
|
|
Транспортные расходы
|
|
Эксплуатационные расходы
|
|
Страхование всех типов
|
|
Налоги (государственные и местные)
|
|
Выплата процентов по займам и кредитам
|
|
Ремонт и профилактика
|
|
Расходы по подготовке персонала
|
|
Неожиданные расходы
|
|
Общие текущие расходы за три месяца
|
|
Итого издержек подготовки производства
|
|
Для составления плана доходов и расходов необходимо, прежде всего, рассчитать объемы продаж (по месяцам), а также предусмотреть все возможные статьи расходов и правильно спланировать их динамику по месяцам. При прогнозировании общефирменных издержек следует иметь и виду, что план не должен содержать заниженных оценок расходов, и если уж ошибаться, так лучше в сторону их завышения. Если финансовый план покажет, что даже при таких издержках можно получить прибыль, значит, предприятие имеет неплохие шансы на успех.
Составляя данный план, необходимо определить и точку безубыточности, т.е. такое состояние, при котором разность между всеми расходами и доходами равна нулю (по сути, это состояние, при котором предприятие не получает прибыли, но и не несет убытков).
Соглашения о разделе продукции
долл., но только 9 млрд. долл. непосредственно вложено в производство (прямые инвестиции).
Деятельность иностранных инвесторов в России, в том числе и организация предприятий с иностранными инвестициями, регулируется рядом федеральных законов, указами Президента и постановлениями Правительства РФ. Главный из законодательных актов закон «Об иностранных инвестициях в РСФСР» от 4 июля 1993 г. с последующими изменениями и дополнениями.
Иностранными инвестициями являются все виды имущественных и интеллектуальных ценностей, вкладываемые иностранными инвесторами в объекты предпринимательской и иной деятельности в целях получения прибыли (дохода).
Иностранные инвестиции могут вкладываться в любые объекты, не запрещенные действующим законодательством. Они могут включать в себя вновь создаваемые и модернизируемые основные фонды и оборотные средства во всех отраслях и сферах народного хозяйства, если они не зарезервированы исключительно для государственных предприятий
1, ценные бумаги, целевые денежные средства, научно-техническую продукцию, права на интеллектуальные ценности, имущественные права. Доли участия, паи, акции и другие ценные бумаги иностранные инвесторы могут приобретать как за иностранную валюту, так на заработанные в стране рубли, реинвестируя их.
Ограничения деятельности иностранных инвесторов, кроме указанных выше, касаются участия в банковской и страховой деятельности, а также участия в покупке государственных ценных бумаг.
Ограничения имеются также в отношении земли и природных ресурсов.
В России зарегистрировано более 20 тыс. предприятий с иностранными инвестициями (ПИИ), и их число возрастает. Однако нужно помнить, что из числа зарегистрированных фирм и компаний действовали примерно две трети, и подавляющее их большинство мелкие. За исключением немногих крупных иностранных компаний, действующих в сфере нефтяной, газовой, пищевой, автомобильной промышленности, общественного питания и связи, в России пытаются работать рисковые фирмы с небольшими возможностями и малоизвестные на родине.
Но мелкие и средние фирмы как бы прокладывают дорогу крупному капиталу, способствуя созданию рыночной инфраструктуры и испытывая на себе экономико-правовой механизм.
По количеству ПИИ основная часть (37%) приходится на торговлю и общественное питание и 30% на промышленность. Далее следуют строительство и сфера услуг, прежде всего наука и научное обслуживание. В структуре произведенной продукции преобладает промышленность (40%), далее следуют торговля и общественное питание (23%), строительство, наука и научное обслуживание.
Большинство налогов и обязательных платежей ПИИ уплачивают практически в том же порядке, что и другие российские предприятия, хотя имеют некоторые льготы.
Соглашения о разделе продукции
Особой формой привлечения иностранного капитала выступают соглашения о разделе продукции. Это практика, которая широко применяется в различных странах, где иностранные инвесторы участвуют в разработке месторождений полезных ископаемых.
Федеральный закон «О соглашениях о разделе продукции» от 30 декабря 1995 г. будет способствовать созданию в России более благоприятного инвестиционного капитала в области недропользования, поскольку он гарантирует частному капиталу как отечественному, так и иностранному налоговую стабильность. Соглашения касаются поисков, разведки и добычи минерального сырья на предоставленных в пользование участках недр.
Схема действия соглашения о разделе продукции следующая. Предприятия добывающей промышленности получают возможность, заключив соглашение с государством, рассчитаться с ним долей произведенной продукции, вместо уплаты многочисленных налогов и других платежей. При этом сохраняется необходимость получения лицензии на право пользования недрами в соответствии с законом «О недрах». Взимается также налог на прибыль.
Каждое соглашение индивидуально определяет долю государства (Федерации и субъекта Федерации) в зависимости от местных условий. Доля, полученная инвестором, может быть реализована как на внутреннем, так и на внешнем рынке. Соглашение о разделе продукции реализуется на основе гражданско-правового регулирования, споры между государственными органами и частными инвесторами разрешаются в арбитражных судах, в том числе и международных.
Свободные экономические зоны в экономике России
Свободные экономические зоны (СЭЗ), или зоны свободного предпринимательства в мировой практике, это специально выделенные территории с льготным таможенным, налоговым, валютным режимами, в которых поощряется приток иностранного капитала в промышленность и услуги, совместные с иностранным капиталом производственная торговля и иные виды предпринимательской деятельности, развитие экспортного капитала.
Мировая практика показывает, что при определенных условиях СЭЗ ускоряют включение национальной экономики в мирохозяйственные связи, стимулируют экономическое развитие страны в целом, выступают как полюсы экономического роста. СЭЗ могут служить в качестве инструментов государственного регулирования внешнеэкономических связей и региональной политики.
С функциональной точки зрения СЭЗ можно подразделить на внешнеторговые, где беспошлинная торговля сочетается с развитием транспортных и складских услуг и экспортным производством; технологические парки и технополисы, ориентированные на инновационные процессы, разработку и освоение высоких технологий; комплексные производственные зоны, ориентированные на экспортное производство нематериалоемких товаров массового потребления (от игрушек до электроники), оффшорные зоны, где на ограниченных территориях создаются льготные условия для операций нерезидентов с иностранной валютой с точки зрения регистрации, налогообложения, банковской тайны и т.д.
На территориях СЭЗ может применяться режим свободной (беспошлинной) таможенной зоны. Участникам зон экспортного производства предоставляются существенные льготы по федеральным налогам, которые могут быть дополнены субъектами Федерации за счет местных налогов:
освобождение от налога на прибыль на срок 5 лет со дня регистрации;
уменьшение налогооблагаемой прибыли на сумму прибыли, направленной на инвестиции, по истечении 5 лет;
снижение на 50% налога на добавленную стоимость на товары собственного производства, реализуемые на территории РФ (тоже на срок 5 лет со дня регистрации);
освобождение от НДС услуг по транспортировке товаров. В любом случае СЭЗ требуют вложения крупных бюджетных средств для их организации и создания необходимой инфраструктуры.
Выводы
1. Предприятия любой формы собственности имеют право участвовать во внешнеэкономической (включая внешнеторговую) деятельности, заключать экспортные и импортные сделки с иностранными партнерами. В той или иной мере многие тысячи предприятий включены во внешнеэкономическую предпринимательскую деятельность. При этом за некоторым исключением, для участников внешнеэкономической деятельности не требуются ни особая регистрация, ни специальные разрешения.
2. Роль государства в регулировании внешнеэкономической деятельности заключается в формировании концепции и стратегии внешнеэкономических связей, выработке законодательной базы их осуществления, заключении международных договоров и соглашений. Государственная внешнеторговая политика осуществляется путем таможенно-тарифного регулирования, нетарифных ограничений, а также государственного стимулирования экспорта.
3. Внешнеэкономическая деятельность предприятий осуществляется путем заключения международных контрактов. Внешнеторговый контракт представляет собой договор о заключении сделки (купли-продажи, проведения работ, оказания услуг и т.д.) между двумя и более контрагентами, находящимися в разных странах. Различаются сделки по экспорту, импорту товаров и сделки по встречной торговле.
4. Иностранные инвестиции, прежде всего прямые частные вложения в реальном секторе российской экономики, одно из условий преодоления инвестиционного кризиса в России. Для привлечения иностранных капиталов необходимо создание благоприятного инвестиционного климата. Иностранные капиталовложения могут осуществляться в виде создания предприятий с иностранными инвестициями (как в форме совместных предприятий, так и со 100% иностранной собственностью), а также в виде соглашений о разделе продукции.
Перспективно привлечение иностранных инвестиций на льготных условиях в свободных экономических зонах.
Термины и понятия
Внешнеэкономическая деятельность
Внешнеторговая политика
Таможенные пошлины
Таможенная стоимость
Внешнеторговый контракт
Иностранные инвестиции
Иностранные инвесторы
Инвестиционный климат
Соглашения о разделе продукции
Свободная экономическая зона
Вопросы для самопроверки
1. Дайте определение внешнеэкономической деятельности. Какими нормативными актами регулируется внешнеэкономическая деятельность?
2. Охарактеризуйте основные инструменты государственного регулирования ВЭД.
3. Какие меры предпринимаются для зашиты российского рынка и российских товаропроизводителей?
4. Как осуществляется в России государственная поддержка экспорта?
5. Что такое внешнеэкономическая сделка?
6. Перечислите элементы внешнеэкономического (внешнеторгового) контракта.
7. Какими документами обеспечиваются операции по экспорту и импорту товаров?
8. Какие виды расчетов применяются при экспорте и импорте товаров?
9. Каково налогообложение предприятия при осуществлении внешнеторговых сделок?
10. Кто считается иностранным инвестором по российскому законодательству? В каких формах иностранные инвесторы могут участвовать в экономике России?
11. Что такое «соглашения по разделу продукции»? Как они применяются в России?
12. Дайте определение свободной экономической зоны.
РАЗДЕЛ V
ФИНАНСОВЫЕ РЕЗУЛЬТАТЫ И ЭФФЕКТИВНОСТЬ ХОЗЯЙСТВЕННОЙ ДЕЯТЕЛЬНОСТИ ПРЕДПРИЯТИЯ
Содержание раздела
Состав и классификация основных фондов
Степень обновления производственного аппарата измеряется коэффициентом обновления отношением стоимости введенных основных фондов к их общей стоимости на конец рассматриваемого периода. Показатели прироста и обновления основного капитала взаимосвязанные величины: чем выше доля прироста, тем выше уровень обновления, и наоборот. Существенные коррективы в эту взаимосвязь может внести коэффициент выбытия фондов, представляющий собой отношение выбывших из эксплуатации основных фондов в данном периоде к их стоимости на начало периода.
Как на уровне народного хозяйства в целом, так и на предприятиях разрабатываются плановые и отчетные балансы основных фондов, отражающие количественные характеристики их воспроизводства: наличие на начало периода, стоимость на конец периода.
2. Состав и классификация основных фондов
Для учета и планирования основных фондов государством разрабатывается единая для всего народного хозяйства классификация. Средства труда объединяются по их видам, группам, подгруппам, а также по отраслям народного хозяйства и сферам деятельности, что позволяет их типизировать, кодировать, формировать единые формы учета и отчетности. Под влиянием научно-технического прогресса, направлений экономической и амортизационной политики государства классификация основных фондов в бывшем СССР и РФ пересматривалась в 1923, 1930, 1972 и 1996 гг.
Классификация фондов по срокам производства, секторам экономики и отраслям
Стоимость основных фондов Российской Федерации на начало, 1998 г. превысила 20 трлн руб., что составляет более 90% национального богатства страны (без стоимости земли, лесов, недр).
Наиболее общим классификационным делением фондов является их структура по сферам деятельности: производственные, функционирующие в материальном производстве, составляют около 80% и непроизводственные, обслуживающие жилищно-коммунальное хозяйство, здравоохранение, просвещение, науку, культуру более 20%. Это деление имеет важное экономическое значение для всех уровней хозяйственного управления, в том числе и для предприятия. Непроизводственные основные фонды, находящиеся на балансе предприятия, не воспроизводят свою стоимость, она утрачивается. Их содержание и развитие осуществляется, в основном, из прибыли.
В новых условиях хозяйствования многие организации непроизводственной сферы преобразованы в коммерческие предприятия, и отраслевое деление фондов перестало отражать эту пропорцию. В действующем с 1996 г. Общероссийском классификаторе основных фондов предусмотрена иная группировка по секторам экономики: отрасли, производящие товары (52%), и отрасли, оказывающие рыночные и нерыночные услуги (48%).
Классификация основных фондов по секторам и отраслям народного хозяйства позволяет отслеживать и корректировать направления развития экономики: эффективнее использовать стимулирующие рычаги развития прогрессивных и приоритетных отраслей. В промышленности России сосредоточено более 34% стоимости основных фондов, 13% в сельском хозяйстве, 4% в строительстве, 13% на транспорте и в связи, 18% в жилищном хозяйстве; на здравоохранение, образование, культуру и искусство приходится всего 6,5% стоимости фондов, а на науку 1,3%- Отраслевая структура основных фондов должна быть перестроена: удельный вес отраслей, непосредственно занятых обслуживанием жизни населения, будет возрастать. В этом направлении изменится и отраслевая структура основных фондов промышленности, которые более чем на 80% сосредоточены в отраслях тяжелой промышленности, а в легкой несколько более 2%, в пищевой 6%.
Повышение конкурентоспособности предприятий легкой и пищевой промышленности связано, прежде всего, с интенсивным техническим переоснащением их производственного аппарата и повышением их удельного веса в общей стоимости основных фондов промышленности.
Функционально-видовая классификация и структура основных фондов
Для управления основным капиталом на всех уровнях хозяйствования первостепенное значение имеет функционально-видовая группировка средств труда. Она позволяет получить информацию о важнейших качественных изменениях, происходящих в экономическом потенциале предприятий. Динамика видовой структуры отражает изменения в технической оснащенности производства, темпах внедрения инноваций, развитии специализации, концентрации и комбинирования и др.
Действующая классификация объединяет основные фонды в 10 групп:
1. Здания (из них выделяются жилые здания).
2. Сооружения.
3. Передаточные устройства.
4. Машины и оборудование.
5. Транспортные средства.
6. Инструмент, производственный и хозяйственный инвентарь (в том числе мебель).
7. Рабочий скот.
8. Продуктивный скот.
9. Многолетние насаждения.
10. Другие, не перечисленные выше виды основных фондов.
Каждая группа состоит из множества разнообразных средств труда. Стоимость зданий в составе промышленно-производственных основных фондов России занимает 28%. В группу сооружений (составляющую, соответственно, 21%) включаются горные выработки, нефтяные и газовые скважины, подземные и гидротехнические сооружения, мосты, путепроводы и др.
К передаточным устройствам относятся трубопроводы, водопроводы и канализация, электропередача, связь и т.д. (6%).
Особо многочисленный и разнообразный состав имеет четвертая группа «Машины и оборудование». Сюда включаются силовые машины и оборудование (турбины, электродвигатели, генераторы, теплотехническое оборудование и проч.); рабочие машины и оборудование (металлорежущие станки, кузнечно-прессовые машины, литейное и электротехническое оборудование, подъемно-транспортные машины и др.); измерительные и регулирующие приборы и лабораторное оборудование; с 1972 г. в отдельную подгруппу выделена вычислительная техника. Удельный вес группы машин и оборудования составлял в 1996 г. 28%, а в 199040% в общей стоимости фондов промышленности.
Доля транспортных средствавтомобили, автобусы, электрокары, автодрезины и т.п. возросла соответственно с 2% до 14%. В составе основных фондов учитываются только те инструменты, производственный и хозяйственный инвентарь, которые служат более одного года и стоят более одного миллиона руб. за единицу до переоценки на 1 января 1996 г. (после деноминации 1000 руб.). Остальные относятся к оборотным средствам.
Рабочий скот (лошади, быки, волы, верблюды и др.) выделен в отдельную группу с 1996 г. В состав основных фондов входит и продуктивный скот взрослые животные, дающие продукцию и приплод (коровы, овцематки, свиноматки и др.). Стоимость молодняка скота и животных на откорме включается в состав оборотных средств сельскохозяйственных предприятий. К основным фондам относятся многолетние насаждения: плодоносящие сады, ягодники, лесозащитные полосы.
Видовая структура основных фондов существенно различается по секторам и сферам экономики, а также по их отраслям. Так, в электроэнергетике основную долю занимают передаточные устройства (32%) и силовые машины и оборудование (33%); в топливной промышленности более половины стоимости основных фондов приходится на долю сооружений (58%); в отраслях машиностроения более 45% занимают машины и оборудование; в легкой промышленности надолго зданий приходится 42% стоимости фондов, в том числе в швейной 60%.
Прогрессивность изменений в видовой структуре производственных фондов выражается в увеличении доли их активной части, т.е. средств труда, непосредственно участвующих в создании продукта (машины, оборудование, транспортные средства, приборы, инвентарь и др.). К пассивной части фондов, как правило, относят первые две группы: здания и сооружения, т.е. фонды, обеспечивающие условия осуществления производственного процесса. Чем выше доля активной части фондов, тем большими возможностями располагает предприятие по увеличению выпуска продукции.
Деление основных фондов на активную и пассивную части в значительной мере условно. Нередко совершенствование производства заключается в увеличении стоимости сооружений или передаточных устройств, что приводит к прогрессивным изменениям в технологическом процессе. Во многих отраслях промышленности (нефтедобыча, газодобыча и др.) сооружения и передаточные устройства являются наиболее активной частью фондов.
Динамика видовой структуры основных фондов весьма инерционна. В условиях стабильной экономики она изменяется медленно. Так, за последние 50 лет, в промышленности бывшего СССР она практически была одинаковой.
Соотношение активной и пассивной частей мало изменилось, главным образом потому, что огромный поток инвестиций в промышленность направлялся на создание новых предприятий, дублирующих в основном действующую структуру и технологические процессы.
Структура основных фондов промышленности современной России заметно отличается от соотношений отдельных групп, сложившихся в советское время. Это, прежде всего, относится к резкому снижению доли машин и оборудования и увеличению удельного веса транспортных средств и прочих основных фондов. Пассивная часть фондов несколько возросла.
Эти сдвиги в функционально-видовой структуре основных фондов нельзя считать положительными. Безусловно, в эти годы имело место реальное уменьшение производственных мощностей ряда отраслей промышленности, реализация части станочного парка в другие секторы экономики.
Современные проблемы управления качеством
Современный анализ применяемых ранее систем управления качеством продукции акцентирует внимание на использовании принципов системного подхода к управлению качеством продукции, полностью проявившихся в Комплексной системе управления качеством продукции. Отечественная система внесла существенный вклад в развитие системного подхода во всем мире. Процесс управления впервые был разделен на отдельные функции, в которые включалась и функция определения потребности.
Разработанные стандарты впервые использовались как средство правового и информативного обеспечения функционирования КС УКП.
Однако внедрение этих систем в практику предприятий для решения проблемы качества не привело к значительному повышению его уровня. Это объясняется тем, что монополизированный характер производства и погоня за увеличением объема выпуска продукции не позволяли резко повысить требования к качеству продукции без модернизации техники, замены оборудования, внедрения новых технологий и автоматизированных средств регулирования и контроля качества продукции. Созданный организационный механизм управления качеством на предприятиях не был ориентирован на потребителя продукции.
Длительный срок внедрения достижений науки и техники, слабая материальная заинтересованность предприятий, отсутствие обратной связи потребителя с производителем резко снизили эффективность Комплексной системы управления качеством продукции. Вместе с тем сопоставление комплексных систем управления качеством продукции (КС УКП), действующих на отечественных предприятиях, с положением Международной системы ИСО 9004 показывает, что они, хотя и базируются на общей методологии комплексного управления, имеют принципиальные отличия:
1. Система КС УКП, главным образом, охватывала организацию производственной деятельности предприятия для достижения планового уровня качества, слабо связанного с запросами потребителя. Система качества, регламентированная МС ИСО 9004, охватывает весь жизненный цикл изделия от проектирования до утилизации и распространяется на такие элементы системы, как маркетинг, материально-техническое обеспечение, сбыт, обслуживание.
2. В системах качества, регламентированных МС ИСО, прослеживается прямая взаимосвязь между программой обеспечения качества и экономическими результатами деятельности предприятия. В отечественных системах такая взаимосвязь практически отсутствовала.
3. Система качества ИСО содержит такие отсутствующие в КС УКП элементы, как политика предприятия в области качества, внутренняя проверка системы, организация учета и оценка затрат на качество.
Современные проблемы управления качеством
Основными проблемами, стоящими перед отечественными производителями в направлении совершенствования управления качеством продукции, являются: включение в систему управления качеством продукции механизма маркетинговой деятельности; ориентация систем управления качеством, как и всей производственной деятельности, на потребителя; усиление механизма воздействия систем управления качеством на все этапы жизненного цикла продукции. Современные проблемы ограниченности их внедрения носят уже не методологический, а чисто практический характер, причинами которых являются отсутствие квалифицированных кадров, ограниченность организационно-технической и материальной базы предприятия, недостаточный опыт массового использования статистических методов, отставание в автоматизации технологических и управленческих процессов.
Опыт показывает, что внедрение международных стандартов ограничивается не только высокими требованиями к организации материально-технического снабжения, финансирования, программного обеспечения, но и препятствиями социально-психологического характера, вызванными стереотипами старого мышления. Предприятия, внедряющие стандарты, сталкиваются с непониманием необходимости осуществления этой работы в существующих условиях. Условия, принципы и требования, закрепленные в уже переработанных стандартах, на практике выполняются не в полном объеме, что противоречит системному подходу в решении задач качества. Причины невыполнения состоят в нестабильности производственных, сбытовых, экономических процессов, происходящих на предприятии.
Большую трудность представляет организация маркетинговой деятельности и осуществление прогноза необходимого уровня качества изделия.
Поэтому решить задачу достижения и поддержания качества продукции на уровне, обеспечивающем постоянное удовлетворение установленных или предлагаемых требований потребителя на внутреннем рынке, пока достаточно сложно. Кроме того, большинство промышленных предприятий России на сегодняшний момент не могут обеспечить потребителю уверенность в том, что намеченное качество поставляемой продукции достигается или будет достигнуто.
Развитие системы сертификации
Совершенствование системы стандартизации, применение международных стандартов неплохая предпосылка для создания предприятиями систем обеспечения качества, способных значительно повысить конкурентоспособность отечественной продукции. Важно признание таких систем потребителем. Этого можно достичь с помощью сертификации. Сертификация продукции в момент покупки позволяет проверить соответствие товара требованиям стандартов.
Сертификация устанавливает, что продукция испытана, проверена достаточно объективно.
Сертификация совокупность действий и процедур с целью подтверждения (посредством сертификата соответствия или знака соответствия) того, что товар соответствует требованиям стандартов.
В развитии сертификации отмечается смещение акцента от сертификации продукции к сертификации используемых на предприятиях систем обеспечения качества. В последнем случае она может осуществляться по моделям, установленным МС ИСО и соответствующими государственными стандартами. Российское предприятие может выбрать модель, сообразуясь с потребностями рынка и конкретных потребителей.
В Российской Федерации в апреле 1992 г. был принят Закон о защите прав потребителей, в котором нашли отражение и вопросы сертификации, а в июле 1992 г. постановление Правительства России по этапному введению обязательной сертификации товаров и услуг.
Политика предприятия в области качества
Современная политика передовых отечественных и зарубежных предприятий в области качества заключается во взаимосвязанности и неотделимости ее от общей политики предприятия. Техническая, экономическая и социальная политика рассматриваются как естественный результат или средство успешного решения задач качества. К таким задачам относятся:
расширение или завоевание новых рынков;
достижение технического уровня продукции, превышающего уровень ведущих предприятий;
улучшение важнейших показателей качества продукции;
снижение уровня дефектности изготовляемой продукции;
развитие сети сервисных услуг;
увеличение сроков гарантии на выпускаемую продукцию. Для успешной реализации этих задач необходимо выделить основные направления и определиться в общих принципах действий в области качества.
Направления в области качества по существу и являются стратегией развития, разработка которой даст возможность предприятию хорошо взвесить реальные возможности в осуществлении своих планов.
Определение направлений подразумевает выделение приоритетных направлений деятельности и расстановку акцентов в приложении усилий работников предприятия при решении ранее обозначенных задач. Их разработка осуществляется на основе альтернативных (прогнозных) вариантов расчета прибыли, возможных издержек по каждому из направлений и выбору оптимального с учетом позитивных моментов.
Политика в области качества оформляется документально, в виде основополагающего документа. Качество этого документа и степень детализации дают представление об общем отношении и придаваемом значении этой проблеме на предприятии.
С позиций предприятия существует два подхода для достижения определенного уровня качества. Первый подход заключается в возможности достижения заданного уровня качества за один цикл, или этап. Второй подход поэтапное финансирование повышения уровня качества по мере накопления финансовых средств на эти цели. В условиях рыночной экономики любой из рассматриваемых подходов может быть тактически оправданным.
Очевидно, что реализация первого подхода подвержена большему риску в связи с большим периодом прогнозирования и планирования и требует более тщательной проработки.
Обычно предприятие пользуется таким подходом на локальном рынке при модернизации изделий, внесении в конструкцию изменений с целью постепенного улучшения уровня качества и удовлетворения специфических потребностей рынка. В условиях ограниченности средств предприятие не в состоянии выделить необходимые ресурсы для проведения крупномасштабных акций по улучшению качества. Поэтому выпускает на рынок определенный объем продукции невысокого качества, но пользующейся спросом у определенной группы потребителей, довольствуясь временным, небольшим успехом.
Поэтапное достижение заданного уровня качества связано с дополнительными затратами времени, необходимого для накопления финансовых средств и осуществления нового витка качества на более высоком уровне.
Способы снижения риска
Критический объект производства (Окр) можно представить в следующем виде:
где Ц цена изделия (единицы продукции), руб.; Зпост постоянные затраты, руб.; 3пер переменные затраты, руб.
Некоторые зарубежные авторы называют критический объем производства порогом рентабельности и используют этот показатель для оценки финансовой устойчивости предприятия. Чем больше разность между фактическим объемом производства и критическим, тем выше финансовая устойчивость.
Любое изменение объема производства (продаж) оказывает существенное влияние на прибыль. Данная зависимость называется эффектом производственного (или операционного) левериджа. Производственный леверидж показывает степень влияния постоянных затрат на прибыль (убытки) при изменениях объема производства.
Производственный леверидж (Лпр) можно представить в следующем виде:
Лпр = (В- 3пер) : П= (Зпост + П) : П,
где П балансовая прибыль от реализации (до выплаты налога на прибыль, процентов по кредитам и дивидендам); В выручка от реализации; 3пер переменные затраты; Зпост постоянные затраты.
Из приведенного соотношения следует, что чем больше удельный вес постоянных затрат в общей сумме издержек при некотором объеме производства, тем выше производственный леверидж, а следовательно, тем выше предпринимательский риск. Работать с высоким производственным левериджем могут только те предприятия, которые в состоянии обеспечить большие объемы производства и сбыта, имеют устойчивый спрос на свою продукцию.
Способы снижения риска
Деятельность предприятия, так или иначе, связана с риском. Задачей руководства предприятия является снижение степени риска. Для этого используются различные способы: диверсификация, страхование, лимитирование, резервирование средств на покрытие непредвиденных расходов, распределение риска, получение большей информации о предстоящем выборе и результатах. Диверсификация это распределение капиталовложений между разнообразными видами деятельности, результаты которых непосредственно не связаны. Предприятие, неся убытки по одному виду деятельности, может получить прибыль за счет другой сферы деятельности.
Диверсификация позволяет повысить устойчивость предприятия к изменениям в предпринимательской среде.
Страхование это передача определенных рисков страховой компании- Для снижения степени риска используются имущественное страхование и страхование от несчастных случаев. Имущественное страхование может иметь следующие формы: страхование риска подрядного строительства, страхование оборудования, страхование грузов и др. Страхование от несчастных случаев включает: страхование общей гражданской ответственности и страхование профессиональной ответственности.
Широко используется и такой вид страхования, как хеджирование страхование цены товара от риска либо нежелательного для производителя падения, либо невыгодного для потребителя увеличения.
По целям и технике проведения операции хеджирование делятся на хеджирование продажей, т.е. заключение производителем или товаровладельцем фьючерсного контракта с целью страхования от снижения цены при продаже в будущем товара, либо уже имеющегося в наличии, либо еще не произведенного, непредусмотренного к обязательной поставке в определенный срок; хеджирование покупкой, т.е. заключение потребителем или продавцом фьючерсного контракта с целью страхования от увеличения цены при покупке в будущем необходимого товара.
Лимитирование предполагает установление лимита, т.е. определенных сумм расходов, продажи товаров в кредит, сумм вложения капитала и т.п.
Резервирование средств на покрытие непредвиденных расходов предполагает установление соотношения между потенциальными рисками и размерами расходов, необходимых для преодоления последствий этих рисков. Такой способ снижения рисков обычно используют при выполнении различных проектов. В общем случае резерв используется для финансирования дополнительных работ, компенсации непредвиденных изменений материальных и трудовых затрат, накладных расходов и других затрат, возникающих в процессе осуществления проекта.
Распределение риска предполагает разделение риска между участниками проекта. Рост размеров и продолжительности инвестирования, внедрение новых технологий, высокая динамичность внешней среды увеличивает риск проекта. Способом разделения риска являются операции факторинга. В практике зарубежных банков развитие факторинговых операций связано главным образом с потребностью отдельных поставщиков в ускоренном по лучении платежей, которые представляются сомнительными. Как правило, в этих ситуациях имеет место риск неуплаты претензий плательщиком вообще.
Банк, выкупивший такие претензии у поставщика, в этом случае может понести убытки. Операции факторинга относятся к операциям повышенного риска. Размер комиссионного вознаграждения зависит как от степени риска (от уровня «сомнительности» выкупаемого долга), так и от длительности договорной отсрочки.
В некоторых случаях он доходит до 20% от суммы платежа.
Любое управленческое решение принимается в условиях, когда результаты не определены и информация ограниченна. Следовательно, чем полнее информация, тем больше предпосылок сделать лучший прогноз и снизить риск. Стоимость полной информации рассчитывается как разность между ожидаемой стоимостью какого-нибудь мероприятия (проекта приобретения), когда имеется полная информация, и ожидаемой стоимостью, когда информация неполная.
Общими в хозяйственной практике являются три основных принципа снижения риска:
не рисковать больше, чем позволяет собственный капитал;
не забывать о последствиях риска;
не рисковать многим ради малого.
- Понятие и процедура банкротства
В условиях рыночной экономики принцип ответственности предприятий за результаты финансово-хозяйственной деятельности реализуется в случае образования убытков, неспособности предприятия удовлетворять требования кредиторов по оплате товаров (работ, услуг) и обеспечивать финансирование производственного процесса, т.е. при наступлении банкротства предприятия.
Причины банкротства
Успехи и неудачи деятельности предприятия являются результатом взаимодействия целого ряда факторов: внешних, на которые предприятие не может влиять вообще или может оказывать лишь слабое влияние, и внутренних, зависящих от организации работы самого предприятия.
К числу внешних факторов, влияющих на деятельность предприятия, обычно относятся: размер и структура потребностей; уровень доходов и накоплений населения, а следовательно, и его покупательная способность (сюда же может быть отнесен уровень цен и возможность получения потребительского кредита); политическая стабильность и направленность внутренней политики; развитие науки и техники, которое определяет все составляющие процесса производства товара и его конкурентоспособности; уровень культуры, проявляющийся в привычках и нормах потребления, предпочтении одних товаров и отрицательном отношении к другим.
Одним из наиболее сильных внешних факторов банкротства являются так называемые технологические разрывы. Для каждой производственной (технологической) системы существуют определенные пределы роста объемов деятельности те же самые процессы, которые сформировали систему, на поздних этапах развития становятся ее ограничителями. Дальнейшее развитие требует скачка в базовых характеристиках системы. В экономической литературе эти моменты называются переломными точками, технологическими разрывами. Переход от электронных ламп к полупроводникам, от грампластинок к магнитной ленте и т.д. является примером технологических разрывов.
В результате хозяйственное (технологическое) развитие приобретает форму последовательных S-образных кривых с разрывами между концом одной и началом другой. Перемены готовятся подспудно, незаметно для большинства, но происходят лавинообразно. В результате предприятие, имеющее престиж лидера, почти сразу оказывается безнадежно отставшим. По оценкам специалистов, при технологических разрывах семь из десяти лидеров становятся отстающими.
Для основной массы предприятий значение имеют не только крупные научно-технические сдвиги, но и мелкие оригинальные изменения, которые подрывают их преимущества в данной сфере деятельности. Идея проката детских пеленок, например, нанесла ущерб экономике предприятий, ориентированных на их продажу, а последующее изобретение одноразовых пеленок отразилось на деятельности фирм, производящих текстильные изделия.
К внешним причинам банкротства следует также отнести усиление международной конкуренции. Зарубежные предприятия в одних случаях выигрывают за счет более дешевого труда, а в других за счет более совершенных технологий.
Внешним фактором, способным привести к банкротству предприятия, является общий экономический спад. Нередко на стадии циклического подъема осторожность покидает даже банковские структуры, которые начинают увеличивать сверх меры кредиты предприятиям. Предприятия, в которые они вкладывают средства, выглядят устойчивыми и сильными.
Но их крах наступает почти мгновенно из-за резкого спада рентабельности, который является результатом столь же резкого изменения цен на товары.
Сравнительная экономическая эффективность новой техники и технологии
НИОКР, лежащие в основе разработки новой технологии, не конкурентоспособны;
не проведен реальный анализ экономической конъюнктуры, фирменной структуры и сегментации рынка;
отсутствует потенциальный спрос;
неверно выбрана стратегия маркетинга;
не учтено поведение возможных конкурентов;
не выявлено влияние фирменных факторов (имиджа фирмы, ее товарного знака, ее отраслевой принадлежности и т.д.).
Последнее заслуживает дополнительного объяснения, так как в структурно слабых или старых отраслях появление новинки высокого качества, но не соответствующей цене, может вызвать резкое падение спроса, в том числе и на модели предыдущего поколения. Для устранения неэффективности принимаемых технологических решений важно выявить взаимосвязь внедряемой технологии с конкурентоспособностью фирмы и ее поведением. Такая взаимосвязь выявляет следующие стратегические технологические факторы:
1) инвестиции в НИОКР (доля затрат на НИОКР в прибыли, доля затрат от объема продаж);
2) позиции в конкуренции (лидерство в НИОКР, лидерство в продукции, лидерство в технологии);
3) динамику новой продукции (длительность жизненного цикла, частота появления новой продукции, технологическая новизна продукции);
4) динамику технологии (длительность жизненного цикла, частота появления новых технологий, число конкурирующих технологий);
5) динамику конкурентоспособности (технологические различия в производстве продукции, технология как орудие конкуренции, интенсивность конкуренции).
Приведенные стратегические технологические факторы выявляют зависимость рыночной стратегии фирмы от характеристики НИОКР и применяемой технологии. Для успеха необходимы такие качества новой технологии, как адаптивность, гибкость, способность к «встроенности» в старое производство, возможности синергизма, четкая стратегия НИОКР и наличие патентов и лицензий на технологию, высококвалифицированный персонал, адекватные организационно-управленческие структуры. Все эти понятия свести к каким-либо единым показателям невозможно, поэтому в рыночной экономике арбитром и экспертом качества технологии выступает рынок, а критерием всего многообразия свойств может быть только экономическая эффективность.
3. Сравнительная экономическая эффективность новой техники
и технологии
При проектировании, разработке и внедрении новой техники и технологии в условиях традиционных подходов к субъекту хозяйствования процедура определения экономической эффективности этих мероприятий состоит из четырех этапов. Первый этап это определение необходимых затрат для реализации инновационных мероприятий; второй определение возможных источников финансирования: третий оценка экономического эффекта от внедрения новой техники и технологии; четвертый оценка сравнительной эффективности новшества путем сопоставления экономических показателей.
Экономическая эффективность характеризуется соотношением экономического эффекта, полученного в течение года, и затрат, обусловленных внедрением данного мероприятия. При сравнении различных вариантов новой техники и технологии сопоставляются общие и удельные капиталовложения, себестоимость единицы продукции и проч. Однако в случае нововведений более низкие затраты могут сопровождаться не только несоответствующими показателями технического уровня и качества новшества, но и более высокими удельными капиталовложениями.
Простое сопоставление технико-экономических показателей не позволяет выявить наилучший вариант. В этом случае требуется определить общий показатель сравнительной эффективности вариантов на основе сопоставления данных экономии на приведенных затратах.
Особо следует сказать о выборе базового варианта техники и технологии. Выбор базы необходим для сравнения и приведения вариантов в сопоставимый вид. Так, при оценке уровня технологии производства и выбора технологического решения необходимо провести градацию видов технологий на следующие:
устаревшие;
базовые;
модернизированные и улучшенные;
принципиально новые.
При выборе базового варианта техники и технологии обследованию подвергается вся совокупность разновидностей имеющихся решений. Затем генеральная совокупность разбивается на группы, однородные в качественном отношении, с последующим проведением отбора по каждой группе. Иногда следует прибегать к агрегированию мелких технологических решений до укрупнения групп с целью получения единой базовой модели.
Выбор базы сравнения
Выбор базы для сравнения исходных показателей новой техники и технологии имеет важное значение при определении экономического эффекта, так как сравнительная экономическая эффективность варианта новых технических и технологических решений определяется на основе сопоставления величин показателей внедряемого и базового варианта. При этом следует иметь в виду:
выбор базы зависит от этапа жизненного цикла новой техники и технологии;
выбор базы и варианта нового решения должен проводиться на разных стадиях жизненного цикла;
необходимо оценить показатели эффективности новой конструкции (образца) по сравнению с базовой на стадии НИОКР;
следует провести анализ эффективности новых решений на стадии, как внедрения, так и производства и эксплуатации новшества.
Все вышеуказанные принципы имеют значение при системном анализе инноваций, т.е. при оценке экономической эффективности новшества с показателями, приведенными в сопоставимый вид.
Сопоставимый вид проводится по признакам: объему выпускаемой продукции, структуре номенклатуры, качеству продукции, приведенным затратам, срокам изготовления, социальному и экологическому эффекту. Кроме того, необходимо привести варианты новых решений к одинаковому составу производственных ресурсов, т.е. выявить дополнительное оборудование, дополнительную рабочую силу, дополнительные производственные площади и т.д., необходимые для внедрения новшеств. На основе этого следует предусмотреть дополнительные капиталовложения на осуществление новых технических или технологических решений.
Помимо приведения и корректировки величин общих капитальных вложений и себестоимости продукции надо учитывать, что различные статьи расходов по-разному изменяются в зависимости от изменения объемов производства и объемов продаж.
Наиболее ярко это проявляется в динамике изменения постоянных и переменных затрат.
Затраты на внедрение новой техники
Под затратами на внедрение новой техники понимают совокупность капитальных вложений, оборотных фондов и живого труда. Экономический эффект рассчитывается по следующей формуле:
Эт = Рт Зт
где Эт экономический эффект от внедрения новой техники и технологии за расчетный период «т», руб.; Рт стоимостная оценка результатов за расчетный период «т», руб.; Зт стоимостная оценка затрат на мероприятия по разработке, внедрению и освоению новой техники и технологии за расчетный период «т», руб.
Приведение разновременных затрат за весь период внедрения новшества осуществляется следующим образом:
где Рт стоимостная оценка результатов нововведений за расчетный период «т»; рt стоимостная оценка в t-м году; t коэффициент приведения затрат.
Затраты и капитальные вложения последующих лет по вариантам следует проводить с учетом фактора времени, т.е. коэффициента приведения затрат t:
t =(1+Е)Т
где t коэффициент приведения затрат; Е принятый норматив приведения разноразмерных затрат; т период времени, отделяющий год затрат и результатов от года, к которому они приводятся (с базисного момента времени). Норматив приведения Е исчисляется по-разному в зависимости от применяемой методики, отрасли, типа хозяйственной деятельности предприятия и форм собственности. В традиционных подходах Е= 0,08 0,10, а в проектном подходе (см. ниже) Е исчисляется как норма дисконта, равная приемлемой для инвестора норме дохода на капитал.
Технически целесообразно приведение к базисному моменту времени затрат, результатов и эффектов, имеющих место на «т» отрезке расчета, используя при этом коэффициент дисконтирования (приведения):
По существующим методикам можно рассчитать также и приведенные капитальные вложения на инновации. Обычно приведенные затраты производства и использования новой техники определяют как сумму себестоимости и нормативной прибыли:
Зт = Ст + Ен Куд
где Зт - приведенные затраты на единицу продукции на период «т», руб.; Ст. себестоимость в период «т»; Ен нормативный коэффициент эффективности; Куд капитальные вложения на единицу продукции, руб.; Ен Куд нормативная прибыль, руб.
Эффект от внедрения новой техники
Годовой экономический эффект новой техники и технологии определяется по формуле:
Энт = (Збаз Знов) Nнов = [(Cбаз + ЕнКбаз) (Снов + ЕнКнов)] Nнов
где Энт экономический эффект новой техники, руб.; Збаз приведенные затраты на производство единицы продукции с помощью базового варианта техники и технологии, руб.; Знов приведенные затраты на производство продукции с помощью новой техники или технологии, руб.; Nнов годовой объем производства продукции с помощью новой техники и технологии, ед.; Cбаз себестоимость продукции базового варианта, руб.; Снов себестоимость продукции на основе новой техники и технологии, руб.; Кбаз капиталовложения на единицу продукции базового варианта, руб.; Кнов капиталовложения на единицу продукции на основе новой техники и технологии, руб.; Ен нормативный коэффициент эффективности.
Ставки первого разряда
схемы должностных окладов служащих, включая руководителей, специалистов и т.д., построенные с учетом сложности выполняемых ими должностных обязанностей;
тарифно-квалификационные справочники работ и профессий рабочих, квалификационные справочники должностей руководителей, специалистов и служащих или соответствующие описания работ на предприятии как инструменты тарификации рабочих и служащих.
Предприятие может самостоятельно проводить работу по тарификации рабочих и служащих, однако обычно для этих целей используется Единый тарифно-квалификационный справочник работ и профессий рабочих (ЕТКС). Кроме того, знакомство с методиками, используемыми в ЕТКС, может способствовать построению рациональной системы оплаты труда на предприятии.
Ставки первого разряда
Практика показывает, что многие предприятия используют дифференциацию тарифных ставок первого разряда по следующим трем основным признакам (тарифообразующим факторам):
1) по формам оплаты: применяются тарифные ставки первого разряда для сдельщиков (более высокие) и повременщиков;
2) по отдельным профессиональным группам: выделяются, например, группы с повышенной интенсивностью труда (станочники, рабочие на конвейерах), с повышенной ответственностью, связанной с работой с особыми техническими средствами (рабочие на высокопроизводительных машинах и агрегатах);
3) по условиям и тяжести труда: тарифные ставки повышаются в определенном проценте при отклонении условий и степени тяжести труда на рабочем месте от нормальных.
Эти признаки дифференциации ставок могут быть приняты предприятием полностью, частично или заменены другими, вытекающими из его специфики.
При разработке системы вертикальной дифференциации ставок первого разряда сначала рассчитывается минимальная часовая тарифная ставка для рабочих-повременщиков, работающих в нормальных условиях труда, исходя из принятой минимальной месячной тарифной ставки для предприятия и установленной на нем среднемесячной продолжительности рабочего времени (среднемесячным фондом рабочего времени). Этот фонд рабочего времени, установленный в законодательном порядке, в настоящее время составляет: для 40-часовой рабочей недели 169,2 часа, для 36-часовой рабочей недели ~ 152,3 часа, для 30-часовой рабочей недели 126,9 часа.
Для 40-часовой рабочей недели с месячным фондом рабочего времени 169,2 часа и при размере минимальной ставки оплаты в размере, допустим, 200 000 рублей, часовая тарифная ставка рабочего повременщика составит 200 000 : 169,2 = 1182 руб.
Дальше строится вертикаль ставок первого разряда на основе принятых на предприятии условий дифференциации тарифных ставок между рабочими-сдельщиками и рабочими-повременщиками и дифференциации ставок по видам работ.
Если предположить, что на предприятии используется 3 группы ставок первого разряда для разных видов работ, причем большая по размерам 1-я группа ставок на 21% превышает меньшую (3-ю) и на 8% 2-ю группу ставок, и что для всех трех групп ставок предусмотрена их дифференциация между рабочими-сдельщиками и рабочими-повременщиками в размере 7%, то вертикаль ставок первого разряда будет следующей, руб.;
1-я группа ставок:
для рабочих-повременщиков 1430 (11828 1,21)
для рабочих-сдельщиков 1520 (1430 1,07)
2-я группа ставок:
для рабочих-повременщиков 1324 (1430 : 1,08)
для рабочих-сдельщиков 1417 (1324 1,07)
3-я группа ставок:
для рабочих-повременщиков 1182 (200 000 : 169,2)
для рабочих-сдельщиков 1265 (1182 7 1,07)
Рассчитанные таким способом ставки первого разряда, могут увеличиваться на принятый предприятием размер доплат к ставкам за отклоняющиеся от нормальных условия труда и другие доплаты тарифного характера. Вместо дифференциации ставок первого разряда по этому фактору предприятие может устанавливать надбавки в равном абсолютном размере всем рабочим, работающим в одинаковых условиях труда, независимо от их квалификации (разряда).
Тарифная сетка
Тарифная сетка это соотношение тарифных ставок по разрядам.
По ЕТКС работ и профессий рабочих, например, подавляющее большинство рабочих «тарифицируется» по 6 основным разрядам, иными словами, в ЕТКС предусмотрена 6-разрядная сетка с соотношением ставок крайних разрядов 1:1,8. Для ограниченного круга работ в машиностроении, в основном производстве черной металлургии, при добыче сырья для черной металлургии, для некоторых работ в электроэнергетике используются 2 дополнительных разряда тарификации работ и рабочих седьмой и восьмой, применение которых расширяет диапазон дифференциации тарифных ставок до 1:2. Межразрядные соотношения тарифных ставок в 8-разрядной сетке составляют:
Тарифные разряды
|
1
|
2
|
3
|
4
|
5
|
6
|
7
|
8
|
Тарифные коэффициенты
|
1,0
|
1,008
|
1,204
|
1,350
|
1,531
|
1,800
|
1,892
|
2,0
|
Абсолютное возрастание тарифных коэффициентов, ед.
|
-
|
0,088
|
0,116
|
0,146
|
0,181
|
0,269
|
0,092
|
0,108
|
Относительное возрастание тарифных коэффициентов, %
|
-
|
8,8
|
10,7
|
2,1
|
3,4
|
17,6
|
5,1
|
5,7
|
Если предприятие сохраняет эти размеры дифференциации тарифных ставок по сложности труда, то оно рассчитывает горизонталь ставок по разрядам, исходя из принятой минимальной ставки первого разряда и ее вертикальной дифференциации.
Для расчета системы ставок может быть взята тарифная сетка с другими параметрами, изменения которых по разрядам зависят от задач, которые предприятие решает при помощи дифференциации тарифных ставок. Из практики построения тарифных сеток известны следующее четыре основных типа 6-разрядных сеток, отличающихся по характеру изменения тарифных коэффициентов от разряда к разряду.
1. Прогрессивное абсолютное и относительное возрастание тарифных коэффициентов:
Тарифные разряды
|
1
|
2
|
3
|
4
|
5
|
6
|
Тарифные коэффициенты
|
1,0
|
1,13
|
1,29
|
1,48
|
1,71
|
2,0
|
Абсолютное возрастание тарифных коэффициентов, ед.
|
|
0,13
|
0,16
|
0,19
|
0,23
|
0,29
|
Относительное возрастание тарифных коэффициентов, %
|
|
13,0
|
14,1
|
14,7
|
15,6
|
16,9
|
2. Прогрессивное абсолютное и постоянное относительное возрастание тарифных коэффициентов:
Тарифные разряды
|
1
|
2
|
3
|
4
|
5
|
6
|
Тарифные коэффициенты
|
1,0
|
1,15
|
1,32
|
1,52
|
1,74
|
2,0
|
Абсолютное возрастание тарифных коэффициентов, ед.
|
|
0,15
|
0,17
|
0,20
|
0,22
|
0,26
|
Относительное возрастание тарифных коэффициентов, %
|
|
15
|
15
|
15
|
15
|
15
|
3. Постоянное абсолютное и регрессивное относительное возрастание тарифных коэффициентов:
Тарифные разряды
|
1
|
2
|
3
|
4
|
5
|
6
|
Тарифные коэффициенты
|
1,0
|
1,2
|
1,4
|
1,6
|
1,8
|
2,0
|
Абсолютное возрастание тарифных коэффициентов, ед.
|
-
|
0,2
|
0,2
|
0,2
|
0,2
|
0,2
|
Относительное возрастание тарифных коэффициентов, %
|
|
20
|
16,7
|
14,3
|
12,5
|
11
|
4. Регрессивное абсолютное и относительное возрастание тарифных коэффициентов:
Тарифные разряды
|
1
|
2
|
3
|
4
|
5
|
6
|
Тарифные коэффициенты
|
1,0
|
1,26
|
1,49
|
1,69
|
1,86
|
2,0
|
Абсолютное возрастание тарифных коэффициентов, ед.
|
-
|
0,26
|
0,23
|
0,20
|
0,17
|
0,14
|
Относительное возрастание тарифных коэффициентов, %
|
-
|
26
|
18
|
13
|
10
|
8
|
Приведенные выше типы тарифных сеток могут быть изменены предприятием в необходимом для него направлении: может быть увеличен или уменьшен диапазон сетки, т.е. соотношение ставок крайних разрядов, может быть взят смешанный характер построения параметров сетки, использующий сочетание прогрессивного, регрессивного и равного относительного и абсолютного возрастания тарифных коэффициентов (одной из разновидностей такой сетки является 8-разрядная сетка, приведенная выше).
Число разрядов в разрабатываемой предприятием тарифной сетке (шесть, семь и восемь) определяется по ЕТКС работ и профессий рабочих и предусмотренной в нем тарификации работ и профессий рабочих по производствам и видам работ.
Для всех учреждений, организаций и предприятий, находящихся на бюджетном финансировании, обязательным является применение единой тарифной сетки:
Разряды оплаты трупа
|
1
|
2
|
3
|
4
|
5
|
6
|
7
|
8
|
9
|
Тарифные коэффициенты
|
1,00
|
1,12
|
1,27
|
1,44
|
1,62
|
1,83
|
2,07
|
2,34
|
2,6
|
Разряды оплаты
Труда
|
10
|
11
|
12
|
13
|
14
|
15
|
16
|
17
|
18
|
Тарифные коэффициенты
|
2,98
|
3,37
|
3,81
|
4,31
|
4,87
|
5,50
|
6,11
|
6,78
|
7,54
|
Размер тарифной ставки (оклада) первого разряда устанавливается Правительством РФ. Ставки (оклады) работников остальных разрядов единой тарифной сетки устанавливаются путем умножения тарифной ставки (оклада) первого разряда на соответствующий тарифный коэффициент. Разряды оплаты труда работников в соответствии с ETC были определены по результатам аттестации служащих и перетарификации рабочих в соответствии с квалификационными требованиями в IV квартале 1992 г.
5. Материальное стимулирование труда
Система материального стимулирования включает заработную плату, денежные премии, и иногда в качестве инструмента материального стимулирования используется система участия работников в прибыли предприятия.
Стратегии второго типа
Данная стратегия оказывает положительное воздействие на динамику эффективности производства за счет как снижения затрат (освоение новых технологий), так и увеличения результата. В условиях рынка для успешной борьбы с конкурентами предприятия при высоких темпах НТП вынуждены не просто приспосабливаться к сложившейся продуктовой структуре, а часто кардинально менять ее, формируя рынки новых товаров и услуг.
Естественно, что в реальной хозяйственной практике указанные виды стратегий первого типа тесно переплетаются. Так, по мере увеличения производства новых продуктов, освоения их конкурентами предприятие-первопроходец (или фирма-пионер) на этом рынке для сохранения или увеличения своей доли рынка должно позаботиться уже о более приемлемом для потребителей (в условиях выбора) уровне цен, а значит, и о минимизации издержек производства.
Среди стратегий второго типа можно выделить:
стратегию максимизации (искусственного завышения) издержек производства;
стратегию перекладывания роста издержек производства на ^потребителя (СРМ, от англ. cost pass-along management);
имитационное программирование НИОКР;
стратегию манипулирования «портфелем вложений капитала».
Стратегия максимизации издержек производства направлена на увеличение прибыли за счет государственных или иных субсидий при отсутствии прямой (внутриотраслевой) Ценовой конкуренции. В США, например, эта стратегия получила наибольшее распространение на предприятиях военно-промышленного комплекса.
В рамках СРМ рост издержек производства (например, и результате роста цен на сырье и материалы), и опять же при ослаблении внутриотраслевой конкуренции (например, при введении высоких тарифов на импорт готовых изделий), непосредственно учитывается в цене продукции, т.е. перекладывается на потребителя. Предприятия в условиях высоких темпов инфляции и быстрого обесценения инвестиций с длительным сроком окупаемости стараются не заменять те виды ресурсов, цены на которые возросли, или не начинать внедрение новых ресурсосберегающих технологий, если это требует крупных капиталовложений. Происходит только корректировка отпускных цен при неизменном уровне эффективности производства.
При имитационном программировании НИОКР экономический результат достигается за счет обновления ассортимента продукции за счет «косметических» улучшений в уже имеющихся на рынке продуктах (упаковка, дизайн, цвет и т.п.). Получить краткосрочную прибыль в рамках такой стратегии можно, но вряд ли она может обеспечить конкурентоспособность предприятия на длительную перспективу. Тем более что заметных изменений в уровне и темпах роста эффективности производства в этом случае происходить не будет, поскольку соотношение затрат и результатов не меняется.
В сущности, имитационное программирование НИОКР одно из проявлений стратегии СРМ, но уже применительно к преимущественно неценовой форме конкуренции.
Стратегия манипулирования «портфелем вложений капитала», в рамках которой осуществляются скупка и продажа действующих предприятий и активов фирм, слияния и поглощения одних фирм другими путем операций с ценными бумагами на фондовой бирже, негативно влияет на динамику эффективности производства вследствие непроизводительного отвлечения капитала: техническая модернизация производственных мощностей, прирост капиталовложений в развитие производства не происходит, а финансовые ресурсы используются лишь на перераспределение имеющегося производственного аппарата между собственниками средств производства. Основной акцент при этом делается на улучшение текущего финансового положения предприятия, на повышение его способности удовлетворять запросам той части держателей акций, которые заинтересованы, прежде всего, в стабильном получении высоких дивидендов или в игре на колебаниях курса акций, но никак не в долгосрочном увеличении стоимости ценных бумаг предприятия.
Преобладание каждого из типов стратегий определяется действием ряда факторов хозяйственной деятельности предприятий. Например, для стратегий ведущих японских фирм, прежде всего, характерна растущая диверсификация производства. Она связана с появлением новых идей и технологий (инновационное программирование НИОКР), с необходимостью выхода на новый рынок, когда обнаруживается, что на прежнем рынке наметился спад, появилась возможность захватить более высокую долю на новом рынке (стратегия «доли рынка») или создалась какая-либо иная угроза замедлению темпов роста компании.
Производство диверсифицируется потому, что такова индустриальная политика правительства, предоставляющая дополнительные стимулы тем компаниям, которые осваивают новые отрасли промышленности и новые рынки сбыта, и т.п.
При этом первоначально акцент может делаться на одни виды хозяйственных стратегий, а затем на другие. Японские промышленные компании при освоении новых для себя рынков (отраслей) стремились сначала лидировать по издержкам производства, что позволяло им начинать с небольшой доли рынка, постепенно ее повышая. А по достижении определенной доли рынка все большее значение приобретали инновационная активность и совершенствование производства.
По мере того как снижалась доля издержек на заработную плату в стоимости продукции, компании стремились не увлекаться капиталовложениями в новую технику, а добиваться максимальной отдачи от имеющегося производственного оборудования, тщательно рассчитывая экономическую эффективность инвестиционных программ.
В целом изменение в соотношении стратегий зависит от управления на макроэкономическом уровне и от дальновидности предприятий, их готовности пожертвовать краткосрочной прибылью в обмен на более высокую, долгосрочную.
Выбор типа хозяйственной стратегии
Важнейшим фактором, определяющим соотношение двух типов хозяйственных стратегий, является степень и основные формы рыночной конкуренции. Так называемая совершенная ценовая конкуренция производителей в рамках одной отрасли вынуждает руководство предприятия искать пути по снижению издержек производства, реализовывать нововведения, способствующие этому. Таким образом, высокая степень внутриотраслевой ценовой конкуренции является важным условием, способствующим повышению эффективности производства, диверсификации хозяйственной деятельности.
Однако при определенных обстоятельствах, деформирующих условия внутриотраслевой конкуренции (высокие темпы инфляции или барьеры для импорта, особенности налоговой политики правительства, степень милитаризации экономики или доля госзаказов в объеме производства и др.), предприятия могут предпочитать иной путь диверсификации: продажу или приобретение уже имеющихся предприятий и производственных мощностей в других отраслях вместо создания новых продуктов.
Другим важным фактором, определяющим доминирование того или иного типа хозяйственных стратегий, выступает соотношение темпов роста стоимости рабочей силы и активной части основного капитала, непосредственно замещающего живой труд. Данное соотношение во многом предопределяет, в каких масштабах предприятие будет осуществлять механизацию и автоматизацию производства, внедрять новую трудосберегающую технику и технологию. Если заработная плата возрастает более быстрыми темпами, чем стоимость активной части основного капитала, то у управляющих фирм имеется больше стимулов для увеличения инвестиций в новую технику и технологию, так как это ведет к общему понижению уровня производственных затрат.
Важное значение для процесса формирования хозяйственных стратегий в условиях рынка имеет фактор времени. Ввиду относительно длительного периода оборота основного капитала, существования значительного лага в получении прибыли от инвестиций в производственное оборудование и разработку новых продуктов и технологий, преобладание стратегий первого типа предполагает помимо невысокой инфляции еще и известную устойчивость хозяйственной конъюнктуры, относительно невысокую степень риска новых капиталовложений.
Увеличение темпа инфляции может заставить предприятия отказаться от осуществления инвестиций в разработку и реализацию крупномасштабных проектов перестройки производственного аппарата, поскольку реальный размер прибыли, который может быть получен через несколько лет, будет существенно снижен. Отсюда и стремление предприятий вкладывать средства в быстроокупающиеся проекты даже в ущерб росту эффективности производства или же вообще отрывать средства от производительного использования. С другой стороны, обесценивание ценных бумаг предприятий относительно их активов или искусственное завышение курса акций на фондовой бирже в сравнении с реальной стоимостью активов делает операции на рынке фиктивного капитала куда более выгодными (с точки зрения максимизации текущих финансовых результатов коммерческой деятельности), нежели приобретение существующих предприятий или создание новых.
На соотношение двух типов хозяйственных стратегий в связи с этим фактором может оказать определенное воздействие и структура активов компаний. Так, высокая доля акционерного капитала в активах предприятия может объективно вынуждать управляющих ориентироваться на стратегии второго типа, на получение краткосрочной прибыли.
Структурные изменения в агропромышленном комплексе
Выживаемость фармацевтической промышленности связана с выпуском не уступающих по качеству зарубежным аналогам лекарственных средств.
В целлюлозно-бумажной промышленности реализация намеченных мер создаст условия для повышения эффективности использования древесного сырья, качества и конкурентоспособности лесобумажной продукции и наращивания на этой основе экспортного потенциала лесного комплекса.
В машиностроении и металлообработке целесообразно, в частности, наращивать выпуск оборудования для интенсификации добычи нефти и газа, увеличения глубины переработки нефти, повышения уровня механизации и степени безопасности работ в угольных шахтах и разрезах.
В легкой промышленности возможно расширение ассортимента продукции и увеличение предложения широко размерных хлопчатобумажных тканей, новых видов костюмных, одеяльных и мебельных тканей, детских швейных и трикотажных изделий, обуви с верхом из натуральной кожи. Совершенствование инфраструктуры рынка товаров будет идти путем осуществления мер по ускорению товаропродвижения через развитие межрегиональных и региональных оптовых рынков, мелкооптовых баз, выставочных комплексов, проведения ярмарок.
Структурные изменения в агропромышленном комплексе
Агропромышленный комплекс (АПК) отличается исключительно сложной структурой. Он представляет собой совокупность многих отраслей и производств, взаимосвязанных экономически, технологически и организационно. Его важнейшими отраслями являются сельское хозяйство, отрасли промышленности, перерабатывающие сельскохозяйственное сырье.
В него иногда включают отрасли, обеспечивающие АПК средствами производства (сельскохозяйственное машиностроение и др.). С ним непосредственно связаны строительство, торговля и общественное питание. В составе АПК выделяют также производственную и социальную инфраструктуру (элеваторно-складское хозяйство, ветеринарное обслуживание, ремонтная база, транспортное хозяйство, учреждения культуры и т.п.).
Процесс интегрирования сельского хозяйства и перерабатывающих его сырье предприятий дает возможность преодолеть пространственный разрыв между сырьевыми зонами и районами производства готовой продукции, обеспечить их хозяйственное сближение, сужение границ специализированных ареалов возделывания тех или иных культур.
Развитию АПК уделяется особое внимание в ходе структурной перестройки экономики. Это объясняется существующим отставанием сельского хозяйства, его низкой рентабельностью, нерешенностью проблемы обеспечения населения и промышленности высококачественными отечественными продуктами питания и промышленным сырьем.
В агропромышленном комплексе политика правительства будет направлена на формирование новой институциональной, отраслевой и региональной структуры аграрного сектора на основе обновления производственного потенциала сельского хозяйства и сферы переработки, их максимальной адаптации к работе в рыночной среде с ориентацией на собственные ресурсы.
Исходя из сложившейся ситуации, можно выделить следующие важнейшие направления структурной политики в агропромышленном комплексе:
активизация работы по преобразованию земельных отношений на основе предоставления земли сельскохозяйственным предприятиям и гражданам в собственность, бессрочное постоянное пользование, пожизненное наследуемое владение или аренду, а также развитие земельного рынка;
равноправное развитие всех форм собственности и землевладения;
поддержка разнообразных агропромышленных формирований (сельскохозяйственных, перерабатывающих и обслуживающих предприятий) с полным циклом производства;
привлечение частного капитала в аграрный сектор путем создания сельскохозяйственных и других банков для кредитования сельских товаропроизводителей;
использование централизованного кредитования сельскохозяйственных товаропроизводителей под залог будущего урожая;
стимулирование частных и иностранных инвестиций в перерабатывающую промышленность АПК;
бюджетное финансирование затрат на ведение племенного дела, селекцию и семеноводство, фундаментальные научные исследования, направленные на предупреждение инфекционных заболеваний животных, распространение вредителей растений и охрану окружающей среды.
Совершенствование воспроизводственной структуры экономики
Воспроизводственная структура экономики определяется соотношениями между подразделениями общественного воспроизводства, между потреблением и накоплением. Для России в настоящее время характерно абсолютное и относительное снижение накопления. Структурная перестройка осуществляется в условиях ограниченности инвестиционных ресурсов.
В 1992 г. снижение инвестиций составило 40%, в 1993 г. 12, в 1994 г. 26. При этом изменилась структура капитальных вложений: для не производственных целей их доля возросла, а для производственных сократилась (с 67% в 1992 г. до 55% в 1994 г.).
Анализ динамики капитальных вложений по отраслям показывает, что наименьшее их сокращение было в топливно-энергетическом комплексе и металлургии. Более резко они снизились в химической, легкой и пищевой промышленности (на 4050% в 1993 г. и на 50% в 1994 г. по сравнению с предшествующим годом).
В результате проведения реформ и приватизации изменилась структура капитальных вложений по источникам финансирования: сократилось бюджетное финансирование, но возросли капитальные вложения за счет собственных и привлеченных средств предприятий; снизился объем капитальных вложений за счет льготных государственных кредитов и увеличилась доля государственных внебюджетных инвестиционных фондов.
Структурные изменения в экономике, необходимость приспособления производства к меняющемуся потребительскому спросу, повышение конкурентоспособности отечественных изделий требуют значительных инвестиций в основной капитал. Наращивания оборотных средств и лучшего использования имеющихся мощностей в большинстве случаев недостаточно, особенно в обрабатывающих отраслях, из-за неприспособленности этих мощностей к требованиям рынка.
Однако проблема увеличения инвестиций в основной капитал не может быть решена путем наращивания государственных инвестиций как в силу ограниченности средств государственного бюджета, так и, главным образом, из-за их низкой эффективности. Это означает, что в современных условиях на первый план выдвигается задача повышения эффективности инвестиций, приносящих отдачу в минимальные сроки, способных переломить тенденции спада в производстве, обеспечить рост реальных доходов предприятий, населения и бюджета, увеличивая платежеспособный спрос и не усиливая инфляцию.
Стратегическим направлением совершенствования государственных инвестиций является формирование эффективной структуры государственных расходов. По мнению правительства, затраты на инвестиционные нужды не должны превышать определенной доли ВВП. Если сейчас в консолидированном бюджете концентрируется 2830% ВВП, то в ближайшем будущем планируется 3234% ВВП. Оптимальный уровень государственных инвестиций, в которых 70% приходится на социальные объекты, должен достичь 33,5% ВВП.
В структуре государственных инвестиций расходы на цели промышленной политики должны составлять не менее 30-40%, или 0,9-1,4% ВВП.
Параллельно из хозяйственного оборота намечается вывод неэффективных, не имеющих перспектив предприятий и производств с учетом сохранения или создания новых рабочих мест, поддержания социальной сферы и жизнедеятельности конкретных городов и регионов.
Одним из направлений перестройки воспроизводственной структуры экономики России является изменение существующей пропорции между отраслями материального производства и отраслями, обеспечивающими функционирование этих отраслей, или инфраструктурой.
Инфраструктура обычно подразделяется на производственную и социальную (непроизводственную).
Производственная инфраструктура в основном продолжает процесс производства в пределах процесса обращения. Она обеспечивает перемещение и хранение сырья, топлива, энергии, различных материалов и готовой продукции, передачу информации и т.п., в сельском хозяйстве мелиорацию земель. К производственной инфраструктуре относятся:
1) транспорт (включая не только пути сообщения, но и транспортные средства), связь, складское хозяйство, материально-техническое снабжение;
2) инженерные сооружения и устройства, в том числе ирригационные системы;
3) коммуникации и сети, среди них линии электропередачи (ЛЭП) и распределительные сети, нефтепроводы и газопроводы, телефонные сети и т.п.
Производственная инфраструктура выступает как внутрипроизводственная (для отдельных предприятий, фирм или их объединений) и обычного назначения. Складывается международная инфраструктура, примером которой служат, в частности, инфраструктурные объекты топливно-энергетического назначения: газо- и нефтепроводы, ЛЭП, протянувшиеся по территории бывшего Советского Союза и идущие во многие европейские страны.
Социальную инфраструктуру образуют, прежде всего, пассажирский транспорт, особенно городской, различные городские инженерные сооружения и коммуникации, сети водо- и энергоснабжения, канализации, телефонные сети и т.п., в более широком аспекте коммунально-бытовое хозяйство городов и населенных пунктов вообще.
Таможенные пошлины
Фактические затраты складываются из:
затрат по производству, с учетом отоваривания;
расходов по транспортировке до станции назначения на таможенной территории РФ, включая погрузку, перевозку, выгрузку и страхование груза;
затрат на тару;
затрат на посреднические услуги;
прочих затрат.
Данный момент является основным и самым распространенным в таможенной практике, однако, существуют ограничения в его применении. В частности, участники операции не могут быть зависимыми друг от друга с точки зрения ценообразования. Возможность такой зависимости подтверждается или опровергается декларантом при предъявлении им таможенной декларации.
Признаков, подтверждающих взаимозависимость партнеров, достаточно много, например, участники являются совладельцами предприятия, или связаны трудовыми отношениями, или имеют родственные связи и т.п. В ряду прочих методов определения таможенной стоимости вышеуказанный метод занимает ведущее место, и на него приходится около 93%.
Таможенные пошлины
Таможенная стоимость является расчетной базой для исчисления импортной (ввозной) таможенной пошлины на ввозимые на территорию РФ товары. Государство осуществляет контроль за обоснованностью валютных платежей при импорте товаров, начиная с 1 ноября 1995 г. Основным является сопоставление сведений о платежах российских участников ВЭД за импортируемые товары и реальной стоимости ввозимых товаров. С 1 января 1996 г. введена в действие Инструкция ЦБ РФ и ГКТ РФ от 26 июля 1995 г. «О порядке осуществления валютного контроля на импортируемые товары».
Действие Инструкции распространяется на все сделки, предусматривающие ввоз товаров на таможенную территорию РФ в таможенных режимах «выпуск для свободного обращения» и «реимпорт», по которым таможенное оформление товаров осуществляется после 1 января 1996 г.
В настоящее время таможенное оформление импортируемых товаров требует предоставление Паспорта импортной сделки, открытого и заверенного банком импортера, в таможенные органы РФ.
Следует иметь в виду, что сделки с иностранными контрагентами, предусматривающие превышение срока в 180 календарных дней, могут быть осуществлены только при наличии лицензии ЦБ РФ на осуществление валютных операций, связанных с движением капитала.
Любая импортная операция зависит от характера содержания расчетов с иностранным контрагентом: напрямую, непосредственно с участником сделки или через посредническую фирму.
Вся информация о сделке по импорту заключена в контракте и грузовой таможенной декларации. Учет товаров по импорту, так же, как и по экспорту, ведется в партионном разрезе.
Партия зависит от вида товара и способа доставки. Таким образом, учитывается импорт сырья, продовольственных товаров, товаров массового производства.
Когда в соответствии с условиями контракта поставщик выписывает счет покупателю на каждую транспортную партию, за учетную единицу принимается партия, оформленная одним счетом.
Встречные сделки
Встречная торговля соединяет в себе особенности экспортных и импортных сделок. При проведении встречных сделок экспортер обязуется принять в оплату стоимости своего товара всю или часть стоимости встречного импортного товара покупателя. Примером встречных сделок может служить бартерное сотрудничество на основе товарообмена, которое, однако, в последнее время встречается реже из-за множества нарушений со стороны предприятий и установившегося налогового законодательства России.
Бартерные сделки это наиболее простая форма взаимодействия сторон, без оплаты в денежной форме.
Встречная торговля также может быть реализована:
в рамках совместного предпринимательства;
во встречных поставках, лежащих в основе производственной кооперации;
в участии продавца в реализации товаров покупателя;
Последнее предполагает денежные расчеты между сторонами при согласовании цен на соответствующие товары.
Основным является то, что в счет платежей по экспорту производят платежи по встречным закупкам.
Для заключения подобных сделок оформляется два отдельных контракта:
контракт на экспорт, в котором помимо условий по экспорту продавцу вменяется в обязанность закупить у покупателя товар на определенную долю выручки;
контракт на импорт.
Продавец также может оказывать содействие в закупке товара покупателя третьими лицами.
Обязанности продавца в реализации товара покупателя могут быть различны, поэтому встречная торговля имеет несколько видов:
встречные закупки, при которых продавец обязан организовать на определенную сумму выручки от экспорта закупку товаров покупателя третьей стороной;
авансовые закупки, предварительная компенсация, «связанные сделки», предполагающие сначала закупку продавцом товара, а затем экспорт своего товара;
сделки оффсет, когда контрагенты договариваются о погашении обязательств одной стороны на согласованную сумму экспорта другой стороны;
сделки с передачей товаров, финансовая компенсация сделки типа свитч, когда первоначальный экспортер не принимает на себя обязательство по закупке товаров первоначального покупателя, а обязуется обеспечить их закупку третьей стороной.
Экономическая сущность такого рода сделок заключается в том, что в условиях долгосрочного сотрудничества контрагенту предоставляются: оборудование, материалы, инжиниринговые и прочие услуги для осуществления деятельности на условиях кредита, а он погашает этот кредит за счет поставок продукции данного объекта.
Таким образом, встречная торговля является очень важной формой внешнеэкономической деятельности при осуществлении промышленного сотрудничества и производственной кооперации.
4. Предприятия с иностранными инвестициями
Интеграция России в систему мирохозяйственных связей, внутренние потребности экономического развития страны закономерно требуют притока иностранных инвестиций в разных формах. Обратный процесс российские капиталовложения за рубежом, как в рамках СНГ, так и в дальнем зарубежье также приобретает растущее значение. Вопрос о привлечении иностранных инвестиций стал актуальным с первых подходов к рыночным преобразованиям экономики.
Длительное время во внешнеэкономической практике делается упор на иностранные кредиты по государственной линии, что привело к образованию огромного внешнего долга СССР, все обязательства, по которому Россия полностью взяла на себя, а также к нарастанию внешнего долга в 90-е гг.
Между тем частные иностранные инвестиции имеют целый ряд преимуществ перед государственными кредитами. Они являются источниками капитала для вложения в производство товаров, услуг, информационных систем и других производственных и непроизводственных объектов, что исключительно важно в условиях острого инвестиционного голода в сегодняшней России.
Они обеспечивают трансферт передовых технологий, современных методов менеджмента и маркетинга, способствуют интеграции российских предприятий и мировую экономику благодаря прямым контактам и научно-техническому сотрудничеству.
Имеет значение и то обстоятельство, что частные иностранные инвестиции не увеличивают внешний долг, а объективно способствуют аккумуляции средств для его погашения. Известно, что в мировом хозяйстве обращаются гигантские капиталы, и именно глобализация мировых экономических процессов обеспечивает рост мировой экономики.
Почти все страны мира в той или иной форме привлекают иностранные инвестиции. Однако для притока иностранного капитала необходимо создавать благоприятный инвестиционный климат, т.е. систему ориентиров и ценностей, привлекательных для иностранных инвесторов. Инвестиционный климат определяется, прежде всего, общим экономическим, социальным и политическим положением в стране. Инвестиционный климат имеет экономические, социально-экономические, правовые и политические аспекты.
Экономические аспекты включают валютную, кредитную, налоговую системы. Социально-экономические аспекты это стоимость рабочей силы, ее квалификация, трудовое законодательство, экологические нормативы и т.д. Исключительно важны законодательная база, ее определенность и последовательность, гарантии и льготы для инвесторов, политическая стабильность и последовательность в экономической политике.
В настоящее время инвестиционный климат в России не является благоприятным для иностранного (как и для отечественного) капитала. Инвестиционные риски слишком велики, и иностранный инвестор, особенно серьезный, проявляет большую осторожность. В мировом инвестиционном рейтинге Россия занимает место примерно в середине списка 178 государств.
С другой стороны, Россия имеет много привлекательных моментов для иностранного капитала. Это, в первую очередь, высокий научно-производственный потенциал, особенно в оборонных отраслях, высокая квалификация и образовательный уровень работников при невысокой оплате труда, крупные разнообразные природные ресурсы минеральные, земельные, водные, лесные, а также большая емкость внутреннего рынка.
Поэтому приток иностранного капитала в Россию невелик и не сопоставим с поступлением инвестиций из-за рубежа в страны Центральной Европы и тем более в Китай. В 1997 г. по официальной оценке общий объем иностранных инвестиций в России составил около 20 млрд.
Таможенные сборы
отзывные;
переводные;
делимые (неделимые);
револьверные;
покрытые (непокрытые).
Основным недостатком аккредитивной формы расчетов для пользователей является его большая стоимость, которая зависит от общей суммы аккредитива, а также длительность прохождения документов через банк. В свою очередь, преимуществом данной формы расчетов является надежное обеспечение платежа, которое имеется уже до начала отгрузки. Это является определяющим условием совершения операции экспортера.
Таможенные сборы
Проблема налогового режима страны-экспортера оказывает существенное влияние на эффективность реализации той или иной экспортной сделки.
Закон РФ «О таможенном тарифе» и Таможенный кодекс устанавливают порядок государственного контроля за организацией экспортно-импортных потоков через таможенную границу. Таможенный тариф представляет собой свод ставок таможенных пошлин, взимаемых с участников внешнеэкономической деятельности при пересечении границы.
Таможенная пошлина (налог на экспорт) это размер платежа, взимаемого таможенными органами при ввозе и вывозе товара, исчисленный, как правило, в процентах от таможенной его стоимости.
Таможенная стоимость это цена, фактически полученная или подлежащая уплате за товар при пересечении таможенной границы страны при ввозе. Более подробно вопросы таможенной стоимости будут рассмотрены далее. Для расчета таможенных пошлин могут быть использованы различные виды ставок, например:
адвалорные, рассчитываемые в процентах к таможенной стоимости товара;
специфические, рассчитываемые исходя из установленных ставок за единицу товара;
комбинированные, то есть сочетают в себе особенности вышеперечисленных ставок.
При экспорте товаров последний вид ставок таможенных пошлин не применяется.
Адвалорные ставки исчисляются в процентах и колеблются в пределах от 3 до 25%.
Специфические ставки исчисляются в экю (европейская валютная единица стран Общего рынка) и находится в пределах от 1 до 64000 экю.
Используя гибкий механизм обложения таможенными пошлинами, государство регулирует осуществление внешнеэкономических сделок. Не случайно предусматриваются льготы в виде возврата ранее уплаченной пошлины, снижения ее ставки и освобождения от уплаты пошлины по некоторым группам товаров.
Ставки экспортных пошлин устанавливаются по разнице между мировыми и внутренними ценами с учетом стимулирования производства товаров, поставляемых на экспорт. Международная практика предполагает, что цены экспортных товаров не должны быть ниже мирового уровня. Законодательством Российской Федерации определено, что выручка предприятий-экспортеров не может превышать после уплаты экспортных пошлин суммы поступления от поставок на отечественный рынок более чем на 50%.
Помимо пошлин экспортеры уплачивают акцизы, в случае вывоза подакцизных товаров, а так же оплачивают таможенные процедуры в процентах от фактической стоимости товара.
Особенности расчета экспортных цен
В практике внешней торговли используют множество видов цен, связанных с различными особенностями сделок купли-продажи.
Во внешнеэкономической деятельности предприятие сталкивается с различными видами цен. Основными среди них являются:
мировая цена, определяемая в зависимости от вида товара:
по одним товарам (обычно сырьевым) уровнем цен стран-экспортеров или стран-импортеров, по другим ценами бирж, аукционов, а по готовым изделиям ценами товаров ведущих фирм мира, специализирующихся в производстве и экспорте продукции данного вида;
цена предложения, указанная в оферте (официальном предложении продавца) без скидок;
твердая цена, которая устанавливается в договоре купли-продажи и не подлежит изменению;
скользящая цена, которая устанавливается договором в зависимости от некоторых условий (биржевой котировки, инфляции и т.д.) на определенную дату (например, поставки товара покупателю, фактического получения товара и т.д.);
базисная цена, используемая для определения сорта или качества товара; она согласуется сторонами сделки и служит исходной базой для определения цены фактически поставленного товара. В зависимости от качества поставленного товара базисная цена может уменьшаться или увеличиваться в соответствии с установленными в договоре скидками или надбавками;
фактурная цена, определяемая условиями поставки, обусловленными в контракте. Обычно фактурная цена дополняется термином «Инкотермс», характеризующим особенности оплаты стоимости перевозки, страховки и таможенных расходов;
справочная цена обычно отражает уровень фактически заключенных сделок за некоторый период и используется в переговорах для установления исходной цены. Справочные цены регулярно публикуются в изданиях ООН и других международных организаций.
Основные отличия экспортной цены от внутренних цен заключаются в дополнительных расходах, которые включают:
комиссионные вознаграждения продавцов и покупателей;
импортные таможенные расходы в стране покупателя;
транспортные издержки;
расходы по страхованию;
расходы по упаковке;
резервы, необходимые для покрытия непредвиденных рисков;
расходы по составлению контракта, оформлению сертификатов и прочих бумаг.
3. Операции предприятия по импорту и встречные сделки
Импорт товаров и услуг является составной частью внешней торговой деятельности предприятия. Импортэто покупка товаров (услуг) у иностранного продавца, ввоз его на таможенную территорию страны покупателя. Существует, наряду с этим, реимпорт товаров, представляющий собой таможенный режим, когда российские товары, поставленные на экспорт, вновь ввозятся на таможенную территорию РФ в сроки, установленные Положением о таможенном режиме реимпорта товаров.
Этот режим интересен тем, что методы экономического воздействия со стороны государства применяются ограниченно, в частности, не начисляются таможенные пошлины, налог на добавленную стоимость, акцизы.
Длительное отсутствие таможенной политики в отечественной практике внешней торговли привело к ослаблению защиты внутреннего товаропроизводителя от иностранных товаров. Как следствие, возникла необходимость принять ряд административных и экономических мер по урегулированию импорта.
Началом государственной систематизации методов регулирования импорта можно считать 19921993 гг. В настоящее время данная система предполагает:
лицензирование импорта;
контроль подтверждения безопасности отдельных видов ввозимых товаров;
упорядочение определения таможенной стоимости импорта;
регулирование ввоза в Россию через налоги и тарифы.
Сертификация импортируемых товаров
Импортный товар должен соответствовать ГОСТам РФ и иметь соответствующее подтверждение. Способами подтверждения могут быть:
предоставление сертификата на поставляемую в РФ продукцию по правилам Российской системы сертификации;
предоставление сертификата (заграничного), признаваемого в РФ, в соответствии с международными, двусторонними соглашениями.
Сертификаты могут быть:
сертификат соответствия;
сертификат качества;
сертификат безопасности.
Сертификат соответствия это документ, подтверждающий, что данное наименование товара (работ, услуг) соответствует требованиям конкретного стандарта или другого нормативного документа по системе сертификации ГОСТа РФ.
Сертификат качества это тот же сертификат соответствия, но с более расширенным подтверждением соответствия по всем потребительским показателям стандарта.
Сертификат безопасности имеет более ограниченное значение, чем сертификат соответствия, а именно подтверждает, что продукция (работа, услуга) соответствует требованиям стандарта по показателям безопасности.
Таможенная стоимость импортируемого товара
Важным обстоятельством при импорте товаров и услуг является соответствие заявленной на таможне стоимости поставляемых из-за рубежа товаров (в том числе и из стран СНГ) реальной их стоимости. Это связано, как минимум, с двумя факторами: во-первых, заявленная декларантом стоимость является основой для расчета таможенной пошлины, прочих сборов, а в результате -это база расчетов при налогообложении; во-вторых, государство через контроль над действующими правилами в системе внешнеэкономических операций вырабатывает механизм регулирования импортных потоков по всем направлениям.
Основополагающим документом, который определяет механизм расчета таможенной стоимости товаров, является Закон РФ «О таможенном тарифе» от 21 мая 1993 г. На базе данного Закона выпущен целый ряд нормативных актов, определяющих порядок применения системы таможенной оценки товаров. Важность исчисления таможенной стоимости товара обусловлена интересами, как участников внешнеэкономической деятельности, так и государства в лице таможенных органов.
Таможенная стоимость импортируемого груза может исчисляться различными методами, в частности:
по цене сделки с ввозимыми товарами;
по цене сделки с идентичными товарами;
по цене сделки с однородными товарами;
методом вычитания стоимости;
методом сложения стоимости;
резервным методом.
Допустим, что таможенная стоимость товара определяется первым методом. Тогда в цену сделки включается вся сумма фактически понесенных затрат по приобретению товара на момент пересечения им таможенной границы Российской Федерации.
Технологическая подготовка производства
2. Технологическая подготовка производства
Технологическая подготовка производства является продолжением работ по проектированию изделия. На этой стадии устанавливается, при помощи каких технических методов и средств, способов организации производства должно изготавливаться данное изделие, окончательно определяется его себестоимость и эффективность производства. Такая технология разрабатывается как для каждого нового изделия, так и для традиционной продукции с целью повышения технического уровня и снижения издержек производства, улучшения условий труда, охраны окружающей среды.
Технологическая подготовка производства охватывает проектирование технологических процессов, а именно:
выбор и расстановку оборудования на площади цеха;
определение и проектирование специальной технологической оснастки;
нормирование затрат труда, материалов, топлива и энергии.
Под технологическим процессом понимается совокупность методов изготовления продукции путем изменения состояния, свойств, форм и габаритов исходных материалов, сырья и полуфабрикатов.
В процессе технологической подготовки производства разрабатываются способы механизации и автоматизации производственных процессов, а также решаются некоторые вопросы организации производства, а именно: внедрение поточных методов, организация и оснащение рабочих мест и участков, выбор транспортных средств и средств хранения сырья, полуфабрикатов и продукции и т.п.
Исходя из спроектированного технологического процесса и выбора на этой основе оборудования и режима его работы, определяются основные нормативы расхода рабочего времени, сырья, материалов, топлива, энергии и других элементов производства на единицу продукции.
Этапы технологической подготовки
Технологическое проектирование начинается с разработки маршрутной технологии. Ее содержание заключается в определении последовательности выполнения основных операций и закреплении их в цехах за конкретными группами оборудования. Одновременно осуществляется выбор инструмента, расчет норм времени и установление разряда работ, указывается специальность рабочих с соответствующим уровнем квалификации.
Согласно маршрутной технологии за каждым цехом и участком закрепляются обрабатываемые виды продукции, что обусловливает их специализацию, место и роль в производственной структуре предприятия.
Затем для каждого цеха и участка разрабатывается операционная технология, содержание которой составляют пооперационные технологические карты. Они содержат указания и параметры выполнения каждой производственной операции.
В индивидуальном и мелкосерийном производствах, а также на предприятиях со сравнительно простой технологией разработка технологических процессов обычно ограничивается маршрутной технологией. В массовом же и крупносерийном производствах вслед за маршрутной разрабатывается более подробная пооперационная технология.
Из всех возможных технологий, предлагаемых на этом этапе, затем осуществляется выбор оптимальной. При этом сопоставляются натуральные показатели, и сравнивается себестоимость продукции и работ при разных вариантах.
Выбранная технология производства должна обеспечивать повышение производительности труда, требуемое качество изготовления при наиболее низкой себестоимости продукции по сравнению с другими вариантами. Лучший вариант технологического процесса принимается в качестве типового для данных условий производства на определенный отрезок времени вплоть до разработки более перспективного варианта.
Применение типовых технологических процессов способствует ограничению числа технологических операций. Они позволяют установить единообразие способа обработки однотипных изделий и применяемой технологической оснастки, создают условия для прекращения затрат и продолжительности проектирования технологий.
Разработка типовых технологических процессов предполагает следующие этапы: определение технологического маршрута обработки изделия данной группы; выбор пооперационного технологического процесса; установление способов обработки отдельных элементов (выполняемых технологических операций) для изделия данной группы.
Технологическая подготовка производства предусматривает также разработку проектов, изготовление и наладку специального технологического оборудования, технологической оснастки, необходимых для производства нового (модернизированного) изделия. Это очень трудоемкая и дорогостоящая работа, поскольку при освоении ряда новых моделей (например, автомобилей и других машин) изготавливается по несколько тысяч штампов, приспособлений, моделей, десятки автоматических линий. В связи с этим в отраслях крупносерийного и массового производства, выпускающих продукцию технологически сложного профиля, переход на изготовление нового изделия, как правило, совмещается с реконструкцией и техническим переоснащением предприятий.
Проводя работы по технологической подготовке производства, необходимо учитывать, что организация производства новых видов продукции, модернизация изделий и процессов производства требуют материальной и организационной подготовки. Материальная подготовка производства предусматривает Приобретение, монтаж и наладку нового оборудования, изготовление или закупку инструментов и приспособлений, сырья и материалов, т.е. обеспечение производства всеми материально-техническими, ресурсами. Организационная подготовка включает совершенствование организации производства и труда, и приспособление их к условиям изготовления новой продукции, новой техники и технологии.
Сюда также входит подбор и расстановка кадров в соответствии с новым характером производства, внесение корректив в структуру аппарата управления, в функциональное и иерархическое распределение труда.
Организация технологической подготовки
Технологическую подготовку производства осуществляет отдел главного технолога. Главные задачи, решаемые при этом, группируются по следующим основным функциям:
обеспечение технологичности конструкции изделия;
разработка технологических процессов;
проектирование и изготовление средств технологического оснащения;
организация и управление процессом технологической подготовки производства.
Отправной точкой в технологической подготовке производства является получение исходных документов на разработку и производство новых изделий. Разработка документации по организации технологической подготовки производства осуществляется в три стадии, содержание которых представлено в табл. 9.1. В целом весь процесс разработки предполагает:
обследование и анализ существующей на предприятии системы технологической подготовки производства;
разработку технического проекта системы технологической подготовки производства, в котором определяется назначение, и формируются требования, которым должны удовлетворять как система в целом, так и отдельные ее элементы;
создание рабочего проекта, предусматривающего разработку информационных моделей решения задач, всего комплекса технологических процессов на основе типизации и стандартизации, документации по организации рабочих мест и участков основного и вспомогательного производства на основе типовых и стандартных технологических процессов.
Результатом работы по технологической подготовке производства является выработка правил обеспечения технологичности конструкции изделий.
Таблица 9.1.
Документация по организации технологической подготовки
Стадии разработки
|
Содержание работ
|
Техническое задание
|
Издание приказа, создание подразделений и комплексных бригад по организационно-техническому обследованию системы технологической подготовки производства
|
|
Проведение анализа существующего уровня технологической подготовки производства
|
Разработка предложений по совершенствованию системы технологической подготовки производства
|
|
Разработка, согласование и утверждение технического задания на совершенствование системы технологической подготовки производства
|
Технический проект
|
Разработка рабочей конечной информационной модели системы технологической подготовки производства
|
Разработка схемы структуры управления технологической подготовкой производства
|
Унификация и стандартизация форм документов, используемых в системе технологической подготовки производства
|
Разработка методических материалов и стандартов предприятия на систему классификации и кодирования технико-экономической информации
|
Разработка и утверждение технологических операций, подлежащих автоматизации
|
Рассмотрение и утверждение технического проекта
|
Рабочий проект
|
Разработка рабочей документации системы технологической подготовки производства по функциям:
обеспечение технологичности конструкций изделий;
разработка технологических процессов;
проектирование и изготовление средств технологического оснащения;
организация и изготовление средств технологического оснащения;
организация и управление процессом технологической подготовки производства
|
Создание банка стандартных элементов технологической оснастки
|
Создание трудовых и материальных нормативов на проектирование средств технологического оснащения производства
|
Создание нормативной базы для качественной и количественной оценки технологичности изделий
|
Создание информационных массивов
|
Разработка комплекса рабочих программ для решения технологических задач, подлежащих автоматизации
|
Технологический уровень производства
Предлагаемая система показателей экономической эффективности новой техники едина для всех отраслей материального производства. Методика анализа дана в Методических рекомендациях по комплексной оценке эффективности мероприятий, направленных на ускорение научно-технического прогресса.
Технологический уровень производства
Прогрессивность применяемых технических и технологических решений тесно связана с уровнем производственных возможностей и с так называемым технологическим уровнем производства.
В наибольшей степени технологический уровень производства зависит от технологического метода воздействия на вещество, технологической интенсивности процесса, технологической управляемости процесса, его адаптационно-организационного уровня.
Уровень технологического воздействия характеризуется по виду и степени воздействия, использования технических средств на предмет труда (т.е. по степени механизации, автоматизации, по виду физических, химических, механических или комбинированных воздействий).
Уровень технологической интенсивности процесса характеризуется по степени использования материальных, энергетических и временных параметров технологического процесса. Уровень технологической управляемости показывает гибкость процесса и возможности изменения его параметров под воздействием требований внешних условий с целью максимальной эффективности.
Уровень технологической организации процесса определяется по степени достижения оптимальных структурных связей в технологическом процессе по принципу непрерывности, кратности, безотходности процесса и т.д.
Уровень адаптации технологического процесса характеризуется максимально реальной возможностью функционирования технологии с соблюдением заданного режима во взаимосвязи с уже существующим производством и окружающей средой.
Обобщенные критерии технологического уровня производства представлены в табл. 16.1.
Таблица 16.1.
Обобщенные критерии технологического уровня производства
Критерий
|
Вид реализации
|
Уровень технологического воздействия
|
Степень механизации, автоматизации, химизации, биологизации, электронизации; вид физического, химического, механического, электронного, ионного или иного воздействия. Степень использования ЭВМ. АСУ и т.д.
|
Уровень технологической интенсивности
|
Скорость обработки, выход продукции; расходные нормы сырья, материалов, энергии; длительность технологического цикла; количество отходов производства; повышение качества продукции; степень использования оборудования, производственных площадей и т.д.
|
Уровень технологической управляемости
|
Гибкость процесса и возможности регулирования параметров под воздействием внешних требований с целью максимальной эффективности; возможность автоматического регулирования процесса; сохранение стабильности и надежности; безопасность процесса
|
Уровень технологической организации
|
Комбинация технологических методов; непрерывность процессов; число технологических стадий обработки; направление движения и перемещения материальных потоков; безотходность процессов
|
Уровень адаптации технологического процесса
|
Надежность, безаварийность, безопасность; обеспечение высокого стабильного качества продукции; соответствие орудий труда и технологии требованиям охраны труда, технической эстетики, эргономики, биосферосовместимость и экологическая безопасность процесса
|
Экономическая оценка инноваций
Качество технологического процесса реализуется в его способности создать новшество. Оно оценивается как с позиций технико-технологических характеристик, так и системой экономических показателей. Широко применяемые технико-экономические и функционально-стоимостные методы анализа позволяют установить зависимость между техническими и экономическими показателями процессов и найти алгоритм оптимального функционирования производственных систем.
Как следует из вышеизложенного, весьма важным этапом инновационной деятельности является поиск кардинальных взаимосвязей и взаимозависимостей между показателями технического уровня, качества применяемых новшеств с условиями их производства и эксплуатации и с экономической эффективностью. Дело в том, что в отдельности решить проблему качества и экономической эффективности новой техники и технологии невозможно. Наиболее целесообразно применить обобщенную технико-экономическую модель (или в простейшем варианте блок-схему), которая выявляет воздействие показателей технического уровня на обобщающие технико-экономические показатели: себестоимость, производительность, приведенные затраты и т.д.
Для этого необходимо на самом начальном этапе проектирования новшества избрать альтернативный вариант: 1) оптимальные свойства новшества при максимальной экономической эффективности или 2) максимально совершенный уровень новшества при удовлетворительной экономической эффективности.
Полезный эффект новшества как в производстве, так и в эксплуатации не всегда можно оценить с помощью стоимостных оценок. Поэтому применяют два критерия: критерий минимума приведенных затрат и интегральный (обобщающий) показатель качества новшества. Если невозможно установить количественную функциональную зависимость между частными показателями качества и приведенными затратами, то используют экспертные или статистические методы по определению средневзвешенного обобщенного показателя новшества, рассчитанного как средневзвешенное арифметическое либо как средневзвешенное геометрическое.
Следующим этапом может служить установление зависимости между значением приведенных затрат и обобщающим показателем технического уровня изделия или процесса. Инструментом такого подхода является корреляционное и регрессионное моделирование.
Предлагаемая методика использует как традиционные нормативные подходы, так и метод «затраты эффективность». С изменением хозяйственной ситуации при переходе к рыночной экономике для предприятия произошла переориентация критериев технического и технологического уровня и экономической эффективности нововведений. В краткосрочном плане внедрение нововведений ухудшает экономические показатели, увеличивает издержки производства, требует дополнительных капиталовложений в развитие НИОКР. Помимо того, интенсивные инновационные процессы, в том числе внедрение новой техники и технологии, нарушают стабильность, увеличивают неопределенность и повышают риск производственной деятельности.
Более того, инновации не позволяют полностью использовать производственные ресурсы, снижают загрузку производственных мощностей, могут привести к неполному использованию персонала, к массовым увольнениям.
С одной стороны, инновационная деятельность предприятия является системой последовательно проводимых производственных и коммерческих мероприятий, где качество инноваций всецело зависит от состояния и технико-организационного уровня производственной среды.
С другой стороны, именно рынок выступает решающим арбитром отбора инноваций. Он отвергает самые приоритетные новшества, если они не отвечают коммерческой выгоде и сохранению конкурентных позиций предприятия. Вот почему технологические новшества подразделяются на приоритетные, важные для экономической и технологической безопасности страны, и на коммерческие инновации, необходимые предприятию в условиях перехода к рынку.
Критерии технического уровня и эффективности новых технологий должны быть адекватны и требованиям научно-технической государственной политики, и коммерческой целесообразности, и соответствующим источникам финансирования.
Так, для показателей рентабельности и финансовой устойчивости предприятия новая технология в более чем половине случаев является нежелательной. Более того, изменчивость технологии в отраслях, характеризующихся длительным жизненным циклом, капиталоемких и фондоемких производствах может нанести поправимый ущерб при неправильном прогнозировании, внедрении и эксплуатации.
В наукоемких, прогрессивных отраслях дело обстоит наоборот: именно технологические «сдвиги и прорывы» и внедрение новых технологий резко повышают конкурентоспособность предприятия и ведут к максимизации прибыли в долгосрочном периоде. Более того, с начала 90-х гг. конкурентный статус крупных компаний в значительной мере связывается не только с новыми товарами, но и в большей степени с наличием новейших технологий у фирмы. Так обстоит дело у флагманов мировой экономики «Сони», «Панасоник», «Ай-Би-Эм», «Дженерал Электрик», «Джонсон и Джонсон», а также у российских «Газпрома» и «Росвооружения» и др.
Переход на выпуск новых систем и новых поколений продукции возможен лишь на основе новых технологий. Специальные методы адаптации организации, управления и маркетинга в этом случае необходимы.
При внедрении принципиально новых технологических решений может возникнуть убыточность производственной деятельности не только в краткосрочном, но и в долгосрочном периоде этому можно дать объяснение вследствие нескольких причин:
использование новой технологии начато преждевременно, до того как издержки приведены в соответствие с реальным уровнем цен;
предприятие не имеет достаточного опыта во внедрении и эксплуатации новой технологии;
Технологичность конструкции изделия
Технологичность конструкции изделия
Понятие обеспечения технологичности конструкции изделия охватывает подготовку производства, предусматривающего взаимосвязанное решение конструкторских и технологических задач, направленных на повышение производительности труда, достижение оптимальных трудовых и материальных затрат и сокращение времени на производство, техническое обслуживание и ремонт изделия.
Сведения об уровне технологичности конструкции используются в процессе оптимизации конструктивных решений на стадии разработки конструкторской документации, при принятии решения о производстве изделия, анализе технологической подготовки производства, разработке мероприятий по повышению уровня технологичности конструкции изделия и эффективности его производства и эксплуатации.
Обеспечение технологичности конструкции изделия наряду с отработкой самой конструкции включает ее количественную оценку. Этот показатель рассчитывается с помощью базовых (исходных) данных. К числу основных показателей, характеризующих технологичность конструкции изделий, можно отнести трудоемкость изготовления изделия, его удельную материалоемкость, технологическую себестоимость, трудоемкость, стоимость и продолжительность технического обслуживания, степень унификации конструкции.
При оценке технологичности конструкции следует пользоваться минимальным, недостаточным количеством показателей. Точность количественной оценки технологичности конструкции изделий, а также перечень показателей и методика их определения устанавливаются в зависимости от вида изделия и степени отработки его конструкции и типа производства.
При проведении отработки конструкции изделия на технологичность следует иметь в виду, что в этом случае играет роль вид изделия, степень его новизны и сложности, условия изготовления, технического обслуживания и ремонта, перспективность и объем его выпуска.
Испытание конструкции изделия на технологичность должно обеспечить решение следующих основных задач:
снижение трудоемкости и себестоимости изготовления изделия;
снижение трудоемкости и стоимости технического обслуживания изделия;
снижение важнейших составляющих общей материалоемкости изделия расхода металла и топливно-энергетических ресурсов при изготовлении, а также монтаже вне предприятия-изготовителя и ремонте.
Работы по снижению трудоемкости и себестоимости изготовления изделия и его монтажа сопровождаются повышением серийности изделия посредством стандартизации и унификации, ограничения номенклатуры составных частей конструктивных элементов и используемых материалов, применения высокопроизводительных и малоотходных технологических решений, использования стандартных средств технологического оснащения, обеспечивающих оптимальный уровень механизации и автоматизации производственных процессов.
Снижение трудоемкости, стоимости и продолжительности технического обслуживания и ремонта предполагает использование конструктивных решений, позволяющих снизить затраты на проведение подготовки к использованию изделия, а также облегчающих и упрощающих условия технического обслуживания, ремонта и транспортировки.
В свою очередь комплекс работ по снижению материалоемкости изделия включает:
применение рациональных сортаментов и марок материалов, рациональных способов получения заготовок, методов и режимов упрочнения деталей;
разработку и применение прогрессивных конструктивных решений, позволяющих повысить ресурс изделия и использовать малоотходные и безотходные технологические процессы;
разработку рациональной компоновки изделия, обеспечивающей сокращение расхода материала.
В ходе выполнения технологической подготовки производства различают два вида технологичности конструкции изделия производственную и эксплуатационную.
Производственная технологичность конструкции проявляется в сокращении затрат средств и времени на конструкторскую и технологическую подготовку производства, а также длительности производственного цикла.
Эксплуатационная технологичность конструкции изделия проявляется в сокращении затрат времени и средств на техническое обслуживание и ремонт изделия.
Оценка технологичности конструкции может быть двух видов: качественной и количественной.
Качественная оценка характеризует технологичность конструкции обобщенно на основании опыта исполнителя. Качественная сравнительная оценка вариантов конструкции допустима на всех стадиях проектирования, когда осуществляется выбор лучшего конструктивного решения и не требуется определение степени различия технологичности сравниваемых вариантов. Качественная оценка при сравнении вариантов конструкции в процессе проектирования изделия предшествует количественной и определяет ее целесообразность.
Количественная оценка технологичности конструкции изделия выражается показателем, численное значение которого характеризует степень удовлетворения требований к технологичности конструкции. Количественная оценка рациональна только в зависимости от признаков, которые существенно влияют на технологичность рассматриваемой конструкции.
Виды технологичности, главные факторы, определяющие требования к технологичности конструкции, и виды ее оценки графически представлены на рис 9.1.
9.1. Виды технологичности, факторы и способы оценки технологичности конструкции изделия
Методы сравнения технологических процессов
Технологическая подготовка производства ставит перед технологом задачу: из имеющихся в его распоряжении вариантов изготовления изделия выбрать оптимальный, т.е. наиболее рациональный и экономичный, способ производства, оборудование и технологическую оснастку.
Оптимальный вариант необходимо выбирать с учетом условий производства степени его устойчивости, серийности, сложности. Например, в крупносерийном и массовом производстве, как правило, есть все возможности, чтобы решить эту задачу, так как каждый элемент затрат может быть рассчитан с высокой степенью точности. В серийном же производстве продолжительность выпуска изделий короче из-за довольно частой сменяемости номенклатуры, поэтому сравнительная оценка сопоставляемых технологических процессов должна быть проведена быстро и качественно.
В основе сравнительных расчетов лежит определение технологической себестоимости и установление экономически целесообразного объема годового производства. Технологической себестоимостью называется сумма затрат, изменяющаяся с изменением технологического процесса.
Законченные результаты проектирования технологической подготовки производства оформляются специальной документацией. На предприятиях машиностроения, строительных материалов, мебельных фабриках и в некоторых других отраслях такими документами являются технологические карты. Они представляют описание всего технологического процесса от поступления исходных материалов и комплектующих изделий на склад отдела материально-технического снабжения и до выпуска готового изделия и передачи его отделу сбыта продукции.
Например, в металлургии основной технологической документацией являются нормативно-технологические карты, графики работ, производственно-технические инструкции и разработанные на их основе программы для электронных управляющих машин.
Технологический регламент является основной технологической документацией в ряде отраслей, например, в химической промышленности. В нем дается описание основных параметров, этапов и режимов технологического процесса, рецептуры и порядка ведения операций. В технологическом регламенте устанавливается характеристика готового продукта, перечень и характеристика исходного сырья и материалов.
На предприятиях всех отраслей промышленности технологическая документация обязательно включает: нормы расхода сырья, материалов, энергии, топлива, нормы отходов производства, описание транспортных маршрутов, перечень рабочих инструкций, спецификации оборудования и инструментов.
Выполнение работ по технологической подготовке производства позволяет сосредоточить усилия конструкторов, технологов и организаторов на решении главных задач развития техники, технологии и организации производства, повысить гибкость технологических процессов к переналадке на выпуск новых изделий и снизить затраты на ее проведение приблизительно в два раза.
3. Планирование технической подготовки производства
Техническая подготовка производства является объектом внутризаводского планирования и представляет собой в определенной мере детализацию и конкретизацию планов технического и организационного развития производства.
План технической подготовки
Разработка плана технической подготовки производства является органической частью долгосрочного и среднесрочного планирования. В долгосрочном плане определяются основные направления и стадии технической подготовки, сроки ее начала и окончания с разбивкой по видам работ, конкретным исполнителям, источникам и объектам финансирования. В годовые планы входят те стадии и виды работ, которые должны выполняться в течение планируемого года.
Исходными данными для планирования технической подготовки производства служат: задания плана технического развития предприятия; нормативы для определения состава и объема работ, их продолжительность по всем этапам технической подготовки.
Участие в прибыли предприятия
Прибыль по балансу, млн. руб. .......................... 750
Платежи в бюджет из прибыли, млн. руб. ................... 330
Отвлечено в фонд потребления, млн. руб. ................... 110
Месячный должностной оклад руководителя, млн. руб. .......... 0,45
Соотношение и тарифные ставки первого разряда рабочего основной профессии на предприятии (январь 37 тыс. руб., май 55 тыс. руб.) ..... 1,486
Расчет норматива (N):
N = (0,45 : 1,486) : 12/(750 - 330 - 100) = 0,0114.
Вознаграждение директора (Р) в этом случае составит, руб.;
Р= 320 000 000 0,0114 = 3 650 000.
Участие в прибыли предприятия
В качестве инструмента материального стимулирования может также использоваться система участия работников в прибыли предприятия. Она предусматривает разделение между работниками и фирмой дополнительной прибыли, которая была получена в результате повышения производительности труда, улучшения качества продукции. При этом всегда рассматривается производительность всего предприятия.
Существует несколько систем участия в разделении прибыли. Многие из них связаны не с конечными результатами деятельности предприятия, а с отдельными показателями, отражающими факторы повышения конкурентоспособности,
В качестве примера одной из таких систем участия в прибыли можно привести систему Ракера, разработанную в 50-х гг. Эта система базируется на премировании работников за повышение объема чистой продукции в расчете на единицу заработной платы и применяется на предприятиях капиталоемких отраслей. Применение данной системы предусматривает три этапа:
1) определяется объем условно чистой продукции: из объема продаж вычитаются проценты за кредит, изменение товарных запасов, стоимость сырья и материалов, а также другие выплаты внешним организациям;
2) определяется стандарт Ракера, т.е. доля фонда заработной платы в объеме условно чистой продукции (средняя величина за ряд лет). Этот стандарт устойчив во времени;
3) определяется объем премиального фонда: фактический объем условно чистой продукции умножается на стандарт Ракера и вычитается фактически выплаченная работникам заработная плата.
Целью использования подобных систем является увеличение заинтересованности работников в повышении эффективности своего труда.
6. Рынок труда, занятость, безработица
Рынок труда (рабочей силы) система экономических отношений по поводу купли-продажи такого специфического товара, как рабочая сила, важная сфера экономической и социально-политической жизни общества. На рынке труда фиксируются ставки заработной платы и условия занятости.
Рынок труда, как и любой товарный рынок, основан на спросе и предложении. Спрос в данном случае выступает в форме потребности на занятие свободных рабочих мест и выполнения работ, а предложение в наличии незанятой рабочей силы или желания изменить место работы. Спрос и предложение реализуются в конкурентной борьбе между работниками на занятие того или иного рабочего места или выполнение работы и между работодателями за привлечение нужной рабочей силы, как по своему количественному, так и качественному составу.
Со стороны спроса главным фактором, влияющим на динамику занятости, является состояние экономической конъюнктуры, фаза экономического цикла. Помимо этого серьезное влияние на потребность в рабочей силе оказывает научно-технический прогресс. На спрос и предложение рабочей силы влияет ряд факторов: демографические, миграционные, характеризующие экономическую активность разных групп населения, на предложение рабочей силы, а состояние экономики на спрос.
В России синонимом понятия «рабочая сила» является понятие «экономически активное население».
Экономически активное население это часть населения страны, обеспечивающая предложение рабочей силы для производства товаров и услуг. Численность экономически активного населения включает занятых и безработных.
К занятым относятся лица, работающие по трудовому договору (контракту) на предприятии любой формы собственности, а также имеющие иную оплачиваемую работу (службу), занимающиеся предпринимательской деятельностью; самостоятельно обеспечивающие себя работой; выполняющие работы по гражданско-правовым договорам. Занятыми считаются и лица, проходящие военную службу и службу в органах внутренних дел, а также учащиеся очной формы профессионального обучения и лица, которые отсутствуют на рабочем месте по уважительной причине (отпуск, нетрудоспособность, переподготовка и др.).
К безработным относятся трудоспособные граждане, которые не имеют работы и заработка, зарегистрированы в органах по вопросам занятости, ищут работу и готовы приступить к ней.
Безработица это социально-экономическое явление. Она характеризуется следующими показателями.
Уровень безработицы определяется как удельный вес численности безработных в численности экономически активного населения. Продолжительность безработицы (продолжительность поиска работы) это промежуток времени, в течение которого лицо ищет работу, с момента начала поиска работы и до рассматриваемого периода, используя при этом любые способы.
Различается безработица естественная и вынужденная. К естественной безработице относятся те формы, которые неустранимы и соответствуют долговременному равновесию рынка рабочей силы, а к вынужденной формы безработицы, существующие помимо естественной и повышающие общий уровень безработицы.
Естественная безработица характеризует наилучший для экономики резерв рабочей силы, способный достаточно быстро совершать межотраслевые и межрегиональные перемещения в зависимости от колебаний спроса и обусловленных им потребностей производства. Естественная безработица включает такие виды, как фрикционная, институциональная и добровольная.
Фрикционная, или текущая, безработица вызвана текучестью кадров, увольнениями с предприятий (учреждений) в большинстве случаев по собственному желанию и носит естественный характер.
Работники меняют место работы в поисках лучших условий труда, возможностей продвижения по службе, более высокой зарплаты и т.п. Нежелательный характер фрикционная безработица приобретает тогда, когда ее уровень превышает средний либо по отношению к показателям других стран, либо за достаточно продолжительный период в данной стране.
Институциональная безработица порождена правовыми нормами, особенностями устройства рынка рабочей силы, факторами, влияющими на спрос и предложение на нее.
Рынок рабочей силы инерционен и, как правило, не способен перестраиваться с той же скоростью, что и производство. Структура профессий, уровни квалификации и иные характеристики рынка труда меняются сравнительно медленно, отстают от потребностей производства, в результате чего появляется особая разновидность институциональной безработицы. Институциональной следует считать и безработицу, возникшую из-за несовершенства информации о свободных рабочих местах.
Добровольная безработица обусловлена тем, что среди трудоспособного населения всегда есть люди, которые по каким-то причинам не желают работать. Очевидно, что такая безработица тоже имеет признаки естественной.
Вынужденная безработица включает технологическую, структурную, региональную и скрытую формы безработицы.
Технологическая безработица особенно заметна в странах, где научно-технический прогресс сочетается с высоким уровнем доходов. Такая комбинация делает сокращение рабочих мест экономически эффективным, превращает его в постоянное явление.
Структурная безработица нормальное явление с точки зрения логики научно-технического развития. Старые производства сокращаются, новые получают развитие. Набор кадров и их профессиональная подготовка требуют определенного времени. Высвобожденные работники не сразу трудоустраиваются, им требуется помощь, как государственных органов, так и предприятий для организации профессиональной подготовки и переподготовки с учетом требований, предъявляемых на новых рабочих местах, а также оказание соответствующей материальной поддержки.
Структурная безработица характеризуется тем, что предложение рабочей силы и спрос на нее постоянно оказываются в несоответствии друг с другом из-за происходящих в хозяйстве структурных изменений.
Региональная безработица возникает в условиях избытка рабочей силы в районах, которые в силу географических или природных факторов оказываются относительно неблагоприятными для экономической деятельности.
Скрытая безработица характерна в основном для стран с глубокими деформациями рыночных механизмов. Например, отсутствие стимулов к труду ведет к низкой производительности, когда работу одного человека выполняют двое, Это свидетельствует о том, что одно рабочее место лишнее, а уровень скрытой безработицы достигает 50%. В состав скрыто безработных входят люди, которые трудятся неполный рабочий день или неделю, а также те, кто отчаялся найти рабочие места и, утратив права на получение пособий, отказался регистрироваться на биржах труда.
Скрытая безработица влечет за собой негативные последствия для эффективности производства, будучи верным спутником депрофессионализации, низкой дисциплины, уравниловки. Она снижает реальную заработную плату и, в конечном счете, противоречит интересам самих работающих.
Экономика России переживает крайне сложный переходный период, что, естественно, отражается на рынке труда. Проблемы занятости, своевременности выплат заработной платы и другие стоят очень остро. Государственная политика на рынке труда, безусловно, нуждается в совершенствовании.
Мировой опыт показывает, что основными направлениями государственного регулирования рынка труда могут быть программы по стимулированию роста занятости, увеличению числа рабочих мест, а также программы, обеспечивающие решение вопросов подготовки и переподготовки рабочей силы.
На российском рынке труда целесообразно:
повышение доступности пособия по безработице и одновременное увеличение его размера для фактически безработных; это могло бы уменьшить боязнь сокращений и позволило бы направлять более существенные ресурсы на скорейшее трудоустройство выбывших;
развитие взаимоотношений работодателей со службой занятости, с тем чтобы местные центры занятости были лучше информированы о нуждах предприятий, и, следовательно, могли предпринимать более адекватные действия;
совершенствование программ обучения работников и механизмов их реализации, что помогло бы предприятиям трудоустраивать высвобождающихся работников и удовлетворять свои потребности в кадрах той или иной квалификации;
развитие межрегионального движения рабочей силы путем создания для этого необходимых социальных условий (например, региональных рынков жилья).
Рыночная экономика предполагает совершенно иной, чем ранее, тип взаимоотношений между работником и работодателем и требует освоения субъектами социально-трудовых отношений новых социальных ролей и соответствующих им функций. Для работодателя это означает формирование нового отношения к оплате труда и установки на эффективное использование персонала. Для работника важное значение приобретает осознание связи между мерой труда и вознаграждением, иное отношение к профессиональному росту и трудовой мобильности.
Именно развитие этих диспозиций у субъектов социально-трудовых отношений создает предпосылки для рационального использования трудовых ресурсов.
Выводы
1. Трудовые отношения это многоаспектная система взаимоотношений между государством и трудящимися, предприятиями (фирмами) и работниками, работодателями и работниками. Они имеют большое значение для деятельности предприятия (фирмы), так как от них зависит уровень производительности труда отдельных работников и всего коллектива в целом и использование капитала, конкурентоспособность предприятия (фирмы) на рынке.
2. Важным элементом рынка труда является кадровая работа на предприятиях (фирмах). Она включает процесс найма рабочей силы, мотивацию труда, профессиональную подготовку и переподготовку кадров.
3. С переходом к рыночным отношениям возникает целый ряд важных социальных задач, связанных с занятостью, и, прежде всего с трудоустройством тех, кто по тем или иным причинам оказался безработным. Эта задача как общества в целом, так и каждого отдельного предприятия.
Термины и понятия
Производственный персонал
Производительность труда
Трудовой договор
Заработная плата
Номинальная и реальная заработная плата
Управление трудом
Мотивация труда
Безработица
Занятые
Квалификация
Вопросы для самопроверки
1. Дайте определение понятия производительности труда. Какие показатели используются для ее измерения?
2. В чем сущность и задачи нормирования труда?
3. Чем определяется дифференциация в оплате труда?
4. Какие формы и методы оплаты труда применяются на практике?
5. В чем состоит государственное регулирование уровня оплаты труда и занятости?
6. Что в экономической статистике понимается под безработицей?
7. Чем занимается биржа труда?
8. Что охватывает кадровая работа на предприятиях?
РАЗДЕЛ III
ПРОИЗВОДСТВЕННАЯ И ОРГАНИЗАЦИОННАЯ СТРУКТУРА ПРЕДПРИЯТИЯ
Содержание раздела
Установление цены на уровне текущих цен.
Цена в этом случае подкрепляет ощущаемую ценность товара.
Установление цены на уровне текущих цен. Назначая цену с учетом уровня текущих цен, фирма в основном отталкивается от цен конкурентов и меньше внимания обращает на показатели собственных издержек или спроса. Она может назначить цену на уровне выше или ниже уровня цен своих основных конкурентов. Этот метод используется как инструмент политики цен в первую очередь на тех рынках, где продаются однородные товары.
Фирма, продающая однородные товары на рынке с высокой степенью конкуренции, имеет очень ограниченные возможности влияния на цены. В этих условиях на рынке однородных товаров, таких, как пищевые продукты, сырьевые материалы, фирме даже не приходится принимать решений по ценам, основной ее задачей является контроль за собственными издержками производства.
Однако фирмы, работающие на олигополистическом рынке, пытаются продавать свои товары по единой цене, так как каждая из них хорошо осведомлена о ценах свои конкурентов. Более мелкие фирмы следуют за лидером, изменяя цены, когда их меняет рыночный лидер, а не в зависимости от колебаний спроса на свои товары или собственных издержек.
Метод ценообразования на основе уровня текущих цен довольно популярен. В случаях, когда эластичность спроса с трудом поддается замеру, фирмам кажется, что уровень текущих цен олицетворяет собой коллективную мудрость отрасли, залог получения справедливой нормы прибыли. И кроме того, они чувствуют, что придерживаться уровня текущих цен значит сохранять нормальное равновесие в рамках отрасли.
Установление цены на основе метода «запечатанного конверта» применяется, в частности, в тех случаях, когда несколько фирм конкурируют друг с другом в борьбе за контракт на машинно-техническое оборудование. Наиболее часто это бывает, когда фирмы участвуют в объявленных правительством тендерах. Тендер представляет собой цену, предложенную фирмой, при определении которой исходят, прежде всего, из цен, которые могут назначить конкуренты, а не из уровня собственных издержек или величины спроса на товар.
Цель состоит в том, чтобы получить контракт, и поэтому фирма пытается установить свою цену на уровне ниже предложенного конкурентами. В тех случаях, когда фирма лишена возможности предвидеть действия конкурентов в ценах, она исходит из информации об их издержках производства. Однако в результате получаемой информации о возможных действиях конкурентов фирма иногда предлагает цену ниже себестоимости своей продукции с тем, чтобы обеспечить полную загрузку производства.
Установление цены на основе закрытых торгов используется в случаях борьбы фирм за подряды в ходе торгов. По своей сути этот метод ценообразования почти ничем не отличается от рассмотренного выше метода. Однако цена, устанавливаемая на основе закрытых торгов, не может быть ниже себестоимости.
Цель, которая здесь преследуется, выиграть торги. Чем выше цена, тем ниже вероятность получить заказ.
Выбрав из перечисленных выше методик наиболее подходящий вариант, фирма может приступить к расчету окончательной цены. При этом необходимо учитывать и психологическое восприятие покупателем цены товара фирмы. Практика показывает, что для многих потребителей единственная информация о качестве товара заключена в цене и фактически цена выступает показателем качества.
Известно немало случаев, когда с ростом цен увеличивается объем сбыта, а, следовательно, и производства.
Модификации цен
Предприятие обычно разрабатывает не одну-единственную цену, а систему ценовых модификаций в зависимости от различных рыночных условий. Эта система цен учитывает особенности качественных характеристик товара, модификаций продукта и различия ассортимента, а также внешние факторы реализации, такие, как географические отличия издержек и спроса, интенсивность спроса на отдельных сегментах рынка, сезонность и др. Используются различные виды модификации цен: система скидок и надбавок, ценовая дискриминация, ступенчатое снижение цен по предлагаемому ассортименту продукции и др.
Модификация цен через систему скидок используется для стимулирования действий покупателя, например, приобретения, более крупных партий, заключения договоров в период спада продаж и т.д. В этом случае используются разные системы скидок: сконто, оптовые, функциональные, сезонные и др.
Сконтоэто скидки или снижение цены товара, стимулирующие оплату за товар наличными, в виде аванса или предоплаты, а также до срока.
Функциональные, или торговые скидки предоставляются тем фирмам или агентам, которые входят в сбытовую сеть предприятия-производителя, обеспечивают хранение, учет товарных потоков и реализацию продукции. Обычно используются равные скидки для всех агентов и фирм, с которыми предприятие сотрудничает на постоянной основе.
Сезонные скидки используются для стимулирования продаж в несезонное время, т.е. когда падает основной спрос на товар. Для того чтобы поддержать производство на стабильном уровне, предприятие-производитель может предоставлять послесезонные или предсезонные скидки.
Модификация цен для стимулирования сбыта зависит от целей фирмы, особенностей товара и других факторов. Например, могут устанавливаться специальные цены во время проведения каких-либо мероприятий, например, сезонных распродаж, где снижаются цены на все товары сезонного потребления, выставок или презентаций, когда цены могут быть выше обычных, и т.д. Для стимулирования сбыта могут использоваться премии или компенсации потребителю, купившему товар в розничной торговле и пославшему соответствующий купон на предприятие-производитель; специальные процентные ставки при продаже товаров в кредит; гарантийные условия и договоры о техническом обслуживании и т.д.
Модификация цен по географическому принципу связана с транспортировкой продукции, региональными особенностями спроса и предложения, уровнем доходов населения и другими факторами. В соответствии с этим могут применяться единые или зональные цены; с учетом затрат на доставку и страхование грузов на основе практики внешнеэкономической деятельности используется цена ФОБ, или система франкирования (франко-склад поставщика, франко-вагон, франко-граница и т.д.).
О ценовой дискриминации принято говорить в том случае, когда предприятие предлагает одинаковые продукты или услуги по двум и более различным ценам. Ценовая дискриминация проявляется в различных формах в зависимости от потребительского сегмента, форм продукта и его применения, имиджа предприятия, времени продажи и т.д.
Ступенчатое снижение цен по предлагаемому ассортименту товаров используется в том случае, когда предприятие производит не отдельные продукты, а целые серии или линии. Предприятие определяет, какие ценовые ступени необходимо ввести по каждой отдельной модификации продукции. При этом помимо различия в издержках необходимо учесть и цены на продукцию конкурентов, а также покупательную способность и ценовую эластичность спроса.
Модификация цен возможна только в пределах верхней и нижней границ установленной цены.
-
Особенности ценообразования при различных моделях рынка
Ценовая политика предприятия, эффективность его ценового поведения на рынке во многом зависят от конкурентной структуры рынка. Обычно выделяют четыре типа рынка (свободная конкуренция, монополистическая конкуренция, олигополия и чистая монополия), каждая из которых характеризуется особыми условиями формирования отраслевых цен и цен на продукцию отдельного предприятия.
Цены рынка свободной конкуренции
Напомним, что рынок свободной конкуренции характеризуется:
наличием множества фирм, причем доля каждой фирмы в общем объеме рыночного предложения продукции настолько мала, что любое ее решение о повышении или понижении цены не отражается на цене рыночного равновесия;
однородностью и взаимозаменяемостью производимых конкурентами товаров;
отсутствием ценовых ограничений.
В условиях свободной конкуренции ни одно предприятие не оказывает заметного влияния на ценообразование; цена на товар складывается исключительно под воздействием совокупного спроса и предложения. Отдельное предприятие не имеет ценовой политики, т.е. способности регулировать цену. Оно может только приспосабливаться к рыночной цене, которая рассматривается как величина данная, задаваемая рынком.
Конкурентный продавец скорее соглашается с ценой, нежели диктует ее. Обычно цена не изменяется и при расширении объемов производства.
Вместе с тем из практики известны случаи воздействия на конъюнктуру рынка путем «случайного» снижения цен. Сначала цена устанавливалась на максимально высоком уровне, а затем происходило ее медленное снижение до уровня рыночных цен. Расчет делался на то, что даже в случае кратковременного использования высоких цен предприятию все же удавалось продать какое-то количество товаров, увеличивая, таким образом, свой доход. Высокая цена должна была создавать впечатление наличия у предприятия дополнительных затрат, связанных с повышением качества.
Обычно это впечатление быстро проходит, поскольку покупатель убеждается в несоответствии реального качества приобретенного им товара установленному уровню цены.
В чем состоит регулирование цен?
Ценообразование в условиях монополистической конкуренции
Рынок монополистической конкуренции состоит из множества покупателей и продавцов, совершающих сделки не по единой рыночной цене, а в широком диапазоне цен. Наличие диапазона цен объясняется способностью продавцов предложить покупателям разные варианты товаров. Реальные изделия могут отличаться друг от друга качеством, свойствами, внешним оформлением.
Различия могут заключаться и в сопутствующих товарам услугах. Нередко предприятия-изготовители разрабатывают разные предложения для различных сегментов потребительского рынка, а также широко используют практику введения марочных названий, различных методов личных продаж, рекламу. Нередко различия в товарах и условиях продаж носят мнимый характер.
Покупатели, видя различия в предложениях, готовы платить разные цены.
Наличие большого числа конкурентов ограничивает контроль каждого из них над ценой. Значительная дифференциация производимых товаров объясняет отсутствие тесной взаимозависимости между ценовой политикой предприятий и ограничивает возможности соглашений о едином уровне цен.
В условиях монополистической конкуренции предприятие формирует цену на производимую продукцию, учитывая структуру потребительского спроса, цены, установленные конкурентами, а также собственные издержки производства.
При монополистической конкуренции предприятия используют разные варианты ценообразования:
установление цен по географическому принципу, когда предприятие реализует продукцию потребителям в разных регионах по разным ценам;
установление цены ФОБ в месте происхождения товара означает, что товар передается транспортной организации на условиях франко-вагон, после чего все права на этот товар и ответственность за него переходят к покупателю, который оплачивает все расходы по транспортировке. Однако для удаленных покупателей продукция предприятия может оказаться слишком дорогой и не выдержать конкуренцию местных производителей;
установление единой цены с включенными в нее расходами по доставке является полной противоположностью метода установления цены ФОБ в месте происхождения товара. В этом случае предприятие назначает единую цену с включением в нее одной и той же суммы транспортных расходов. Метод относительно прост в применении и дает возможность предприятию рекламировать единую цену в общенациональном масштабе;
установление зональных цен представляет собой нечто среднее между методом цены ФОБ в месте происхождения товара и методом единой цены с включенными в нее расходами по доставке. Предприятие выделяет две или более зон, в пределах которых устанавливаются единые зональные цены. Обычно зональные цены увеличиваются по мере удаленности зоны;
установление цены применительно к базисному пункту позволяет продавцу выбрать тот или иной город в качестве базисного и взимать со всех заказчиков транспортные расходы в сумме, равной стоимости доставки из этого пункта, независимо от того, откуда в действительности происходит отгрузка. Для достижения большей гибкости предприятие может выбирать в качестве базисных несколько городов. В этом случае транспортные расходы исчисляются от ближайшего к заказчику базисного пункта;
включение в цену расходов по доставке может быть выгодным для продавцов, заинтересованных в поддержании деловых отношений с конкретными покупателями или с определенными географическими районами. В этом случае обычно предполагается, что стабильность сбытовых отношений позволит расширить объемы деятельности и снизить средние издержки, обеспечивая покрытие дополнительных транспортных расходов.
Ценообразование в условиях олигополии
Олигополия включает различные рыночные ситуации, общими для которых являются немногочисленность продавцов, всеобщая взаимозависимость производителей, а также неспособность отдельного предприятия с уверенностью предсказать ответные действия конкурентов на изменения цены или объема производства.
Обычно выделяется несколько общих черт олигополистического ценообразования:
олигополистические цены изменяются реже, чем цены в условиях совершенной конкуренции, монополистической конкуренции или даже в некоторых случаях чистой монополии;
цены в условиях олигополии имеют тенденцию быть «жесткими», или негибкими;
в случае изменения цены одним производителем велика вероятность того, что другие производители также изменят цены;
олигополистическое ценовое поведение предполагает наличие стимулов и согласованных действий при назначении или изменении цен.
Цены в условиях чистой монополии
При чистой монополии на рынке существует один продавец. Монополистом может быть государственная организация, частная регулируемая монополия или частная нерегулируемая монополия. В каждом из перечисленных случаев ценообразование складывается по-разному.
Государственная монополия может с помощью политики цен преследовать достижение различных целей. Цена может быть установлена ниже себестоимости, если товар имеет важное значение для покупателей, которые не в состоянии приобретать его за полную стоимость. Цена может быть назначена с расчетом на покрытие издержек или получение средних доходов.
Наконец, может быть установлена очень высокая цена для сокращения потребления того или иного товара (такая ситуация возможна, например, при установлении цен на алкогольные или табачные изделия).
В случае регулируемой монополии государство разрешает предприятию устанавливать расценки и тарифы, обеспечивающие получение «справедливой нормы прибыли», которая дает возможность поддерживать производство, а при необходимости расширять его.
Нерегулируемая монополия осуществляет значительный контроль над ценой и может диктовать цену рынку. Однако предприятие-монополист не всегда устанавливает максимальную цену. Это объясняется рядом факторов: опасение введения государственного регулирования, нежелание привлекать конкурентов, а также стремление расширить возможный объем сбыта за счет снижения цен.
В реальной экономической ситуации любой из указанных типов рынка определить в чистом виде довольно сложно. Предприятие может с одним товаром выступить на рынке чистой монополии, а с другим на конкурентном рынке. Сложнее обстоит дело с олигополией, в недрах которой возможно появление, как монополий, так и свободной конкуренции.
Следует помнить, что анализ конкурентной структуры рынка сам по себе не может дать готовых рецептов установления цен; он необходим, прежде всего, для определения закономерностей ценообразования в зависимости от соотношения спроса и предложения.
Выводы
1. Цена является одним из важнейших экономических рычагов в повышении эффективности производства.
2. В зависимости от характера обслуживаемого оборота различают: оптовые цены на промышленную продукцию оптовые цены предприятия, оптовые цены промышленности, розничные цены, закупочные цены, тарифы грузового и пассажирского транспорта, тарифы на платные услуги, цены внешнеторгового оборота, биржевые, аукционные и др.
3. Цены подразделяются на свободные (рыночные), регулируемые и фиксированные, исходя из роли государства в определении цены.
4. Цены классифицируются в зависимости от территории действия на единые, поясные, региональные и т. д.
5. Процесс формирования ценовой политики предполагает постановку целей и задач ценообразования, оценку спроса, издержек производства и цен конкурентов, анализ методов ценообразования, установления окончательной цены и системы модификации цен, разработки ценовой стратегии поведения предприятия на рынке.
6. Ценовая политика предприятия имеет свои особенности на рынке свободной конкуренции, чистой монополии, олигополии и монополистической конкуренции.
Термины и понятия
Свободные цены
Регулируемые цены
Фиксированные цены
Оптовые цены
Розничные цени
Аукционные цены
Биржевые цены
Внешнеторговые цены
Договорные цены
Ценовая политика
Надбавки к цене
Скидки
Вопросы для самопроверки
1. Назовите различные виды цен в зависимости от обслуживаемых ими отраслей и сфер экономики.
2. Покажите различия структуры оптовой цены предприятия, оптовой (отпускной) цены промышленности, закупочной и розничной цены.
3. Какие существуют виды цен в зависимости от их свободы от государственного регулирования?
4. Какие факторы оказываются наиболее важными при определении цены на товар при разных структурах рынка?
5. Какие ценовые стратегии используются фирмой в конкурентной борьбе?
6. Какие возможные цели ценообразования может поставить фирма в своей деятельности?
7. Отличаются ли данные, собираемые службой маркетинга, от информации для принятия решения по ценам?
8. Должна ли фирма иметь информацию о товаре конкурента и какую именно?
9. В чем состоит регулирование цен? Можно ли пренебречь им, если фирма выпускает постоянный ассортимент продукции?
ГЛаВА 15. КАЧЕСТВО И КОНКУРЕНТОСПОСОБНОСТЬ ПРОДУКЦИИ
-
Понятия и показатели качества и конкурентоспособности
Качество продукции относится к числу важнейших показателей деятельности предприятия. Повышение качества продукции в значительной мере определяет выживаемость предприятия в условиях рынка, темпы технического прогресса, внедрения инноваций, рост эффективности производства, экономию всех видов ресурсов, используемых на предприятии.
Валютные операции
В этом случае банк может предоставить денежные средства только на особых условиях, специально предусмотренных в кредитном договоре.
Главными причинами необеспечения кредитоспособности предприятия являются наличие дебиторской задолженности, нарушение обязательств, накопление избыточных производственных и товарных запасов, низкая эффективность хозяйственной деятельности, замедление оборачиваемости оборотных средств и т.п.
Банк осуществляет контроль за выполнением условий кредитного договора, использованием предприятием полученного кредита, своевременным и полным его возвратом. В этих целях осуществляется анализ хозяйственной деятельности предприятия, его финансового положения, при необходимости проводится проверка денежных и расчетных документов, бухгалтерских записей, отчетных материалов,
Если предприятие нарушает условия кредитования, банк применяет к нему санкции меры кредитного воздействия. Банк, например, вправе прекратить полностью или частично кредитование, досрочно взыскать ссуду в случаях возникновения необеспеченной задолженности, использования выданных средств не по целевому назначению или с нарушением установленных правил кредитования, продажи или израсходования заложенных ценностей без обращения полученных сумм на погашение задолженности банку, неудовлетворительного хранения товарно-материальных ценностей, являющихся обеспечением ссуд банка, уклонения от банковского контроля.
При систематическом нарушении сроков погашения ссуд Предприятие теряет право на новый кредит и лишь в отдельных случаях может пользоваться им под особую гарантию (поручительство). Если у предприятия возникла просроченная задолженность, и оно не имеет свободных денежных средств, банк прекращает кредитование и вправе использовать заложенные товарно-материальные ценности (залог) для погашения задолженности по ссудам. Если ссуда была выдана под гарантию другой организации, то при отсутствии средств для ее погашения на расчетном счете предприятия-заемщика задолженность взыскивается в бесспорном порядке со счета гаранта.
По инициативе банка к предприятию-заемщику, не выполняющему обязательств по своевременному возврату полученных кредитов, могут быть предприняты следующие меры:
передача оперативного управления администрации, назначенной с участием банка-кредитора;
реорганизация;
возбуждение в арбитражном суде дела о признании предприятия несостоятельным (банкротом).
Валютные операции
В проведении предприятиями валютных операций особую роль играют коммерческие банки, имеющие соответствующую лицензию Центрального банка России.
Предприятия, осуществляющие внешнеэкономическую деятельность, открывают валютные счета. Для открытия валютного счета предприятие предоставляет в банк заявление, копии устава и документов о государственной регистрации, о постановке на учет в налоговых органах и иные предусмотренные законом документы.
По согласованию с банком предприятие определяет валюту счетов. Конверсия (перевод) валют осуществляется по курсу, существующему на международном валютном рынке на момент совершения операции. Образующаяся при пересчете валют курсовая разница относится на счет предприятия владельца счета.
Вся поступающая в пользу предприятий валютная выручка зачисляется на соответствующие счета в банках. В январе 1995 г. ЦБ РФ были отменены ограничения на осуществление валютных операций по счетам в иностранной валюте. Специальные счета в иностранной валюте были ликвидированы и восстановлены валютные транзитные и текущие счета.
На валютный транзитный счет зачисляются валютные поступления от импортеров в соответствии с подписанными внешнеторговыми договорами. На текущем валютном счете учитываются средства, остающиеся в распоряжении предприятия после обязательной продажи экспортной выручки.
Из поступивших предприятию валютных средств от экспорта товаров и услуг 50% должно быть продано через банк на внутреннем валютном рынке России по рыночному курсу рубля (рублевый эквивалент стоимости валюты зачисляется на расчетный счет предприятия).
Получив от предприятия поручение на продажу валюты, банк переводит подлежащую продаже валюту с транзитного счета предприятия на отдельный лицевой счет в банке, на котором учитываются валютные средства для обязательной продажи на валютном рынке. Оставшаяся часть валютных средств списывается с транзитного счета и зачисляется на текущий валютный счет. Предприятие вправе использовать эти средства на любые цели с учетом действующего законодательства.
Обязательной 50%-ной продаже не подлежат валютные средства, полученные предприятием в качестве платежей от российских юридических лиц (с валютных счетов последних), а также валютные средства, приобретенные данным предприятием на валютном рынке России.
Валютные платежи осуществляются банком по поручению предприятия лишь в пределах остатка средств на его валютном счете. При необходимости банк может потребовать от предприятия, осуществляющего переводы валютных средств за границу на оплату товаров и услуг, предоставления соответствующей информации и документов о законности таких платежей.
Если после обязательной продажи части валютной выручки у предприятия оказывается недостаточно необходимых ему валютных средств, оно может через банк приобрести за рубли валюту на валютном рынке России, но только для проведения текущих валютных операций и для погашения задолженности по валютным кредитам.
Расчеты между российскими и иностранными предприятиями обычно производятся в свободно конвертируемой валюте. Для расчетов с иностранными фирмами российские предприятия и организации могут покупать валюту на внутреннем валютном рынке, а в исключительных случаях для расчетов с российскими юридическими лицами. Купленная предприятием валюта переводится за границу иностранным фирмам за приобретенные у них товары и услуги, а также на оплату услуг по транспортировке, страхованию и экспедированию при международных перевозках на погашение основного долга и процентов по ранее полученным валютным кредитам; для переводов иностранным инвесторам причитающихся им доходов от иностранных инвестиций.
В отдельных случаях расчеты между российскими юридическими лицами могут производиться в валюте, например, оплата услуг предприятий связи (в случае аренды международных каналов связи для российских предприятий); расчеты за транзитные перевозки грузов через российскую территорию; расчеты между поставщиками и субпоставщиками экспортной продукции; при осуществлении валютных операций на внутреннем валютном рынке и др.
Обладая валютными ресурсами, но, испытывая нехватку рублевых средств на расчетном счете, предприятие для обеспечения своевременности расчетов за товары и услуги, для оплаты труда, для расчетов с бюджетом и пенсионным фондом обязано продать имеющиеся у него валютные средства за рубли, чтобы произвести платежи по этим обязательствам.
Российские предприятия могут открывать валютные счета за границей с разрешения ЦБ РФ при невозможности открытия текущих валютных счетов в российских банках и с учетом особенностей проведения необходимых валютных операций. Предприятия обязаны предоставлять данные об остатках средств на таких счетах и о начисленных процентах, переведенных в Россию.
Контроль за проводимыми предприятиями валютными операциями возлагается на коммерческие банки. Руководство предприятий, осуществляющих внешнеэкономическую деятельность и имеющих валютные счета, отвечает за эффективное использование валютных средств. За нарушение правил проведения валютных сделок российские предприятия несут материальную ответственность, они могут быть лишены лицензий и разрешений на их осуществление, а также к ним могут быть применены другие санкции.
Для финансирования внешнеторговых операций банки могут выдавать предприятиям валютные кредиты (под гарантию, залог и т.п.) с обязательным целевым назначением. В первую очередь они предоставляются для финансирования текущей деятельности предприятия, связанной с экспортно-импортными сделками, для создания и развития экспортных производств, под будущие валютные доходы исходя из заключенных экспортных контрактов. Процентные ставки по валютным кредитам определяются на договорной основе.
Задолженность по валютному кредиту погашается за счет средств, находящихся на валютном счете предприятия. Банк контролирует выполнение предприятием условий кредитного договора, в случае их нарушения он может прекратить дальнейшее кредитование либо потребовать досрочного погашения выданного кредита или повысить процентную ставку по уже выданной ссуде.
Лизинговые операции
Значительный интерес для предприятий представляют в современных условиях лизинговые операции, под которыми понимается покупка банком машин, оборудования, транспортных средств и т.п. и их последующая передача в аренду предприятиям на определенный срок.
Привлекательность лизинга состоит в том, что предприятие не расходует единовременно собственные финансовые ресурсы на покупку оборудования, так как банки приобретают его за счет собственных средств. Банки получают доходы в виде арендной платы, которая в конечном счете превышает первоначальные затраты на покупку оборудования.
Виды конкурентной борьбы
Это в свою очередь укрепляет позиции предприятия на внешнем рынке.
Предприятия-экспортеры сталкиваются на внешнем рынке с международной конкуренцией.
Можно выделить следующие виды конкурентной борьбы:
функциональная конкуренция связана с тем, что любую потребность можно удовлетворить разнообразными способами; поэтому все товары, обеспечивающие удовлетворение этих потребностей, являются функциональными конкурентами;
видовая конкуренция следствие того, что товары, предназначенные для удовлетворения конкретной потребности, могут отличаться существенными параметрами;
предметная конкуренция результат того, что идентичные товары могут отличаться лишь качественными характеристиками;
ценовая конкуренция предполагает, что однородные товары предлагаются по разнообразным ценам. При прямой ценовой конкуренции фирмы широко оповещают о снижении цен на выпускаемую или имеющуюся в продаже продукцию;
неценовая конкуренция выдвигает на первый план более высокую, чем у конкурентов, надежность, меньшую цену и более современный дизайн.
Экспорт отличается от внутренней торговли еще и тем, что сопровождается более высоким риском. Обычно выделяются коммерческие и политические риски. Коммерческие риски связаны с реализацией товаров на рынке, перевозкой грузов, приемкой товара покупателем, его платежеспособностью и желанием оплачивать товар, а также связаны с колебаниями валютного курса.
Политические риски определяются политикой государства в области экспорта и импорта, как то: введение запретов на экспорт или импорт, перевод денежных средств и конвертируемость валют и др., а также риски, связанные с забастовками, войнами и т.п.
Экспортные документы
Основным документом, регулирующим экспортные отношения предприятий, является экспортный контракт, или договор купли-продажи. Контракт состоит из двух основных частей. Первая часть имеет непосредственное отношение к обязательствам экспортера. В ней приводятся сведения о:
качестве товара;
количестве товара;
цене товара;
условиях поставки;
времени и месте поставки.
Во второй части контракта излагаются обязательства импортера:
условия принятия товара;
условия платежа.
Важно не допускать неточности в формулировках контракта; для того чтобы снизить вероятность риска при заключении контракта, необходимо определить следующие моменты: кто организует и оплачивает перевозку товара, несет ответственность за сохранность, гибель и порчу товара.
Распределение этих функций производится на основе международных торговых условий «Инкотермс». Они регулярно публикуются Международной торговой палатой. Условия «Инкотермс» становятся составной частью контракта только при наличии обоюдного согласия сторон.
Каждое из условий «Инкотермс» обозначает особое распределение рисков, расходов и ответственности между продавцом и покупателем.
Экспортные сделки должны быть обеспечены различными пакетами документов, подтверждающими исполнение сделки с иностранным партнером на этапах поставки, транспортировки, хранения, таможенного оформления.
Существуют некоторые позиции, без которых документарная база экспортных операций не была бы полной, например:
обеспечение производства экспортных товаров;
подготовка товаров к отгрузке;
хозяйственные и коммерческие документы;
платежно-расчетные операции;
товаротранспортные документы;
страховое, таможенное оформление сделок, товаров.
В зависимости от назначения и содержания документы имеют различный характер. Например, если пакет документов по экспортированию товаров сопровождает груз до пункта назначения, то такие документы называют товаросопроводительными. Если документы характеризуют отгрузку товара, то они являются отгрузочными.
Для оценки количества, качества и стоимости экспортируемого товара предназначены коммерческие документы и счета. Так, основным расчетным документом является коммерческий счет, в котором дается полное и точное описание товара. Документарная группа «коммерческие счета» может подразделяться на следующие функциональные подгруппы:
счета-проформы, в которых отсутствуют требования оплатить те или иные суммы;
счета-фактуры, оформляемые по факту приемки товара;
счета-спецификации, выписываемые при широкой номенклатуре поставляемых товаров;
предварительные счета, используемые при частичных поставках товаров.
Помимо документального оформления расчетных операций по экспорту необходимо охарактеризовать количество поставляемой партии, что отражается в технической документации, спецификации, упаковочном листе.
Качество товара фиксируется в сертификатах качества, что обеспечивает соответствие товара по качеству соответствующим стандартам по данной группе изделий или условиям внешнеэкономического контракта. Качество подтверждается еще и такими документами, как:
гарантийное обязательство;
протокол испытания;
разрешение на отгрузку.
Важно знать для организации экспорта товаров составляющие пакета транспортных документов, в частности, он включает:
товарно-транспортные накладные в зависимости от видов транспортных средств (железнодорожный, авиа и т.д.);
коносаменты в случае морских перевозок;
акты сдачи-приемки;
складские свидетельства и прочее;
грузовая таможенная декларация, предъявляемая для выполнения таможенных формальностей.
Особое внимание следует обратить на внедрение в практику внешнеэкономической деятельности предприятия грузовой таможенной декларации, которая является унифицированным документом в международной торговле.
Грузовая таможенная декларация это нормативный учетный документ, введенный с 1 апреля 1994 г., предназначенный для декларирования совершаемой участником внешнеэкономической деятельности сделки таможенному органу. Грузовая таможенная декларация позволяет перемещать грузы через таможенную границу в обоих направлениях, является гарантом сделки, имеющим юридическую силу для зарубежных контрагентов. Порядок заполнения грузовой таможенной декларации определяется приказом Государственного таможенного комитета России от 25 апреля 1994 г.
Формы расчетов по экспорту
Форма расчетов это способ оформления, передачи, оплаты товаротранспортных документов, сопровождающих груз, а также платежных документов. В условиях России, также как и в мировой практике, наиболее применяемые формы расчетов:
расчеты по открытому счету;
перевод;
инкассо;
аккредитив.
Перечисленные формы применяются при расчетах за наличные, в кредит, но большинство международных расчетов по хозяйственным операциям проводится в безналичной форме через банки.
Расчеты по открытому счету применимы, как правило, в сделках, контрагенты по которым хорошо знакомы друг другу, так как степень риска для поставщика (экспортера) всегда велика. Партнеры ведут учет задолженности, как по товарам, так и по денежным средствам. По мере отгрузки товара увеличивается задолженность покупателя, который погашает ее или путем перевоза денег, или встречными сделками, или каким-либо иным путем в соответствии с условиями договора.
Перевод через банки является также достаточно рискованной для одной из сторон формой расчетов, но имеет и ряд преимуществ. Перевод осуществляется в виде поручения одного банка другому выплатить бенефициару (как правило, экспортеру) определенную сумму.
Перевод предусматривает возможность оплаты товара по факту или предоплату, т.е. оплату авансом. Предприятия, применяющие такую форму расчетов, выигрывают, во-первых, время, так как перевод осуществляется быстро; во-вторых, деньги, так как перевод, как правило, дешев и прост.
Однако экспортер всегда рискует недополучить оплату поставленного товара, импортер же, осуществив предоплату, рискует остаться без товара. Инкассовая форма предполагает большую степень защиты от риска, так как платеж осуществляется против выставления документов. В частности, экспортер поручает своему банку получить от банка импортера или другого банка платеж или другие документы, подлежащие оплате при условии представления документов по отгрузке товара.
В таком случае это будет так называемое документарное инкассо.
Если же представляются только финансовые документы, то это «чистое инкассо». Позитивным в данной форме расчетов является то, что банки осуществляют контроль за платежами, однако этот же факт приводит к тому, что документы проходят через банк очень долго, а значит, задерживается оплата товара. Экспортер рискует не получить свои деньги, так как импортер может оказаться неплатежеспособным к моменту поступления документов в банк или не иметь разрешения на оплату за границу. Инкассовая форма регулируется Унифицированными правилами по инкассо, разработанными Международной торговой палатой.
Впервые эти правила были разработаны в 1936 г., с 1 января 1996 г. действуют правила 1995 г., публикация № 522.
И, наконец, аккредитив это денежное обязательство банка произвести по указанию, за счет покупателя платеж продавцу в объеме стоимости поставленных товаров. В некоторых случаях такие действия осуществляются против предъявления продавцом документов, тогда аккредитив называется документарным.
Бывают аккредитивы следующих видов:
подтвержденные (неподтвержденные);
Виды норм
оценку эффективности от внедрения новой техники;
обоснование плана повышения производительности труда;
расчет производственных программ цехов, участков, групп, отдельных рабочих мест;
определение количества необходимого оборудования;
оценку организационного уровня рабочих мест при проведении аттестации и разработке оптимальных вариантов их организации и обслуживания.
Нормы труда являются основой планирования и организации производства, оплаты труда, стимулирования роста его производительности.
Виды норм
Для нормирования труда используются нормативы и единые (типовые) нормы. На предприятиях рассчитываются (определяются) и устанавливаются нормы времени, трудоемкости операций, выработки, обслуживания, численности, управляемости, а также нормированные задания.
Основное место в нормативных материалах по труду отводится нормам времени.
Норма времени продолжительность рабочего времени, необходимого для изготовления единицы продукции или выполнения определенного объема работ. Норма времени обычно состоит из двух частей;
нормы подготовительно-заключительного времени, которая устанавливается на все заданное количество продукции и не зависит от его величины;
нормы штучного времени, которая включает оперативное время (в том числе основное, которое затрачивается на изменение предмета труда, и вспомогательное время, когда производятся загрузка сырья, съем готовой продукции, управление оборудованием и т.п.), время обслуживания рабочего места, время перерывов, предусмотренных технологией и организацией производства.
Норму времени (Нвр) в целом можно представить как:
а норму штучного времени как:
tш = tз + tв + tоб + tотл + tпт
где tз основное время; tв вспомогательное время; tоб время обслуживания рабочего места; tотл время на отдых и личные надобности работников; tпт время перерывов по оргтехпричинам (регламентировано); tпз подготовительно-заключительное время.
Норма времени обслуживания рабочего места время, затрачиваемое рабочим на уход за оборудованием и поддержание рабочего места в нормальном состоянии. Оно в свою очередь подразделяется на:
время на техническое обслуживание (уход за оборудованием при выполнении данной работы: замена изношенного инструмента, уборка стружки и т.п.);
время на организационное обслуживание (уход за рабочим местом, связанный с выполнением работы в течение всей смены:
раскладка и уборка инструмента в начале и конце смены, смазка оборудования и т.п.).
Норма выработки определяет количество единиц продукции, которое должно быть изготовлено одним работником (бригадой) за определенное время;

где Нвыр норма выработки, ед.; Тд действительный фонд рабочего времени, ч; Нв установленная норма времени на единицу продукции, час.
Норма обслуживания количество производственных объектов (рабочих мест, единиц оборудования), которое работник соответствующей квалификации должен обслужить в течение единицы рабочего времени. Норма применяется как к работникам, обслуживающим автоматизированные производственные процессы, так и к вспомогательным рабочим. Норма обслуживания рассчитывается по формуле:

где Ноб норма обслуживания, ед.; Тд действительный фонд рабочего времени; tоб установленная норма времени на обслуживание единицы оборудования, ч.
Норма численности (Нч) определяет численность работников определенного профессионально -квалификационного состава, необходимых для выполнения данного объема работ.
Нормированное задание устанавливает необходимый ассортимент и объем работ, которые должны быть выполнены бригадой за данный отрезок времени. В отличие от нормы выработки нормированное задание может устанавливаться не только в натуральных единицах, но и в нормо-часах, нормо-рублях.
Норма управляемости определяет количество работников, которые должны быть непосредственно подчинены одному руководителю.
Таким образом, для рациональной организации производства используется система норм труда, отражающих различные стороны трудового процесса. Нормы длительности, трудоемкости и численности являются нормами затрат труда, нормы выработки и нормированные задания нормами результатов труда. Нормы обслуживания и управляемости относятся к нормативным характеристикам организации трудового процесса и характеризуют размеры рабочих мест.
Основное требование к нормам состоит в том, что все они должны соответствовать наиболее эффективным для условий данного участка вариантам технологического процесса, организации труда, производства и управления.
Нормы труда устанавливаются на отдельную операцию (операционная норма) либо на взаимосвязанную группу операций, комплекса работ (укрупненная, комплексная норма).
Методы нормирования
В нормировании труда применяются аналитические и суммарные методы. Аналитический метод базируется на предварительном анализе производственных возможностей рабочего места и определении необходимых затрат на каждый элемент и операцию в целом.
Нормирование аналитическим методом осуществляется в следующем порядке:
1) операция расчленяется на составные элементы;
2) определяются факторы, влияющие на продолжительность каждого элемента (технические, психофизиологические и т.п.);
3) проектируется рациональный состав операции и последовательность выполнения ее элементов;
4) рассчитываются затраты времени на каждый запроектированный элемент и определяется норма времени на операцию в целом.
Аналитический метод имеет две разновидности:
аналитически-расчетный метод, в соответствии с которым затраты времени определяются по заранее разработанным научно обоснованным отраслевым нормативам;
аналитически-исследовательский метод, при использовании которого затраты времени на элемент операции и операцию в целом устанавливаются на основании непосредственных измерений этих затрат на рабочих местах.
При установлении норм аналитически-исследовательским методом основная часть исходной информации получается в результате исследования трудового процесса. Результаты исследования трудового процесса используются и при установлении норм аналитически-расчетным методом для уточнения структуры процесса и проверки норм, рассчитанных по нормативам.
Для исследования трудового процесса целесообразно применять хронометраж (фиксируется длительность исследуемых элементов оперативного времени по конкретному виду продукции), фотографии рабочего дня (устанавливаются затраты времени на все виды работ и перерывы, которые наблюдались в течение определенного отрезка времени), фотохронометраж (применяется для одновременного определения структуры затрат времени и длительности отдельных элементов производственной операции).
Аналитический метод является универсальным для всех типов производства, однако, его применение имеет специфические особенности в условиях различных производственных процессов и разной организации труда.
В автоматизированном производстве помимо норм времени, обслуживания и численности применяется норма производительности автоматизированной линии (т.е. производительность в единицу времени, установленная с учетом использования производственных возможностей оборудования линии в рациональных организационно-технических условиях).
В поточно-массовом производстве следует учитывать взаимодействие рабочих мест с общим тактом работы поточной линии, представляющее частное от деления фонда рабочего времени на программу выпуска деталей.
В условиях гибких производственных систем (ГПС) определяют нормированную технологическую трудоемкость изготовления одной детали как частное от деления нормы времени на изготовление партии деталей в модуле ГПС на количество деталей в партии.
При суммарных методах нормы устанавливаются без анализа конкретного трудового процесса и проектирования рациональной: организации труда на основе опыта нормировщика (так называемый опытный метод) или на основе статистических данных о выполнении аналогичных работ (статистический метод). Нормы, установленные с помощью суммарных методов, обычно называются опытно-статистическими.
4. Тарификация труда
Нормирование труда на предприятии служит основой разработки норм выполнения различных операций, позволяет установить каждому работнику нормируемый (необходимый для выполнения) объем трудозатрат. Целью тарификации является установление расценок (тарифов) на соответствующие виды работ операций, что позволяет организовать работу по определению размеров оплаты труда работников предприятия.
Тарифная система обычно охватывает рабочих и служащих предприятия, но разрабатывается раздельно по различным категориям работников.
Основными составляющими тарифных условий оплаты труда и раздельной их разработке для рабочих и служащих являются:
минимальная ставка оплаты работника как основа для расчета тарифных ставок рабочих и должностных окладов служащих;
тарифные ставки первого разряда, дифференцированные по основным тарифообразующим факторам (интенсивности труда, видам работ, условиям труда) и образующие так называемую вертикаль ставок первого разряда;
тарифные ставки по разрядам рабочих, дифференцированные по сложности выполняемых ими работ (квалификации рабочих) и образующие так называемую горизонталь ставок, или тарифную сетку;
Виды оценки и методы переоценки основных фондов
Вместе с тем на резкое изменение видовой структуры повлияли проводимые переоценки основных фондов и применяемая система разнонаправленных индексов.
3. Виды оценки и методы переоценки основных фондов
Планирование и учет воспроизводства основных фондов осуществляются в натуральных и стоимостных показателях. Натуральные измерители применяются при расчетах производственной мощности предприятий, организации производственного процесса, определении технического состояния средств труда и их качественной характеристики, а также при разработке межотраслевых и плановых балансов основных фондов и оборудования.
В экономике более широкое использование имеет система стоимостных показателей, получившая особое развитие в условиях рынка. В денежном выражении осуществляется сводный учет и планирование на всех уровнях управления воспроизводственным процессом основного капитала, а также начисление и использование амортизационного фонда, включение износа средств труда в себестоимость продукции, планирование объемов и источников финансирования капитальных вложений и др. В связи с приватизацией предприятий, включением средств труда в товарный оборот, развитием коммерческого расчета и рыночных хозяйственных связей роль стоимостной оценки основных фондов существенно возросла, повысились требования к ее реальности и динамичности.
Виды оценки основных фондов
В управлении основными фондами используется дифференцированная система стоимостных оценок, которая определяется целевой установкой измерения стоимости основного капитала: для внутрипроизводственной деятельности и оценки результатов, для начисления амортизации и расчета налогов, для продажи и сдачи в аренду, залоговых операций и др. Базовыми видами оценок основных фондов являются: первоначальная, восстановительная и остаточная стоимость.
Полная первоначальная стоимость основных фондов представляет собой сумму фактических затрат в действующих ценах на: приобретение или создание средств труда: возведение зданий и сооружений, покупку, транспортировку, установку и монтаж машин и оборудования и др. По полной первоначальной стоимости основные фонды принимаются на баланс предприятия, и она остается неизменной в течение всего срока службы средств труда и пересматривается при переоценке основных фондов предприятия или уточняется при модернизации или капитальном ремонте. Амортизация основных фондов также начисляется с полной первоначальной стоимости. По этой цене средства труда планируются и учитываются в повседневной хозяйственной деятельности.
Текущие цены и тарифы на основные фонды постоянно изменяются под влиянием факторов спроса и предложения, инфляции и т.п. С течением времени в первоначальной стоимости основных фондов накапливаются диспропорции и противоречия. Один и тот же станок или машина, приобретенные в разные годы, числятся по разной стоимости. Первоначальная стоимость основного капитала перестает отражать действительную его оценку в сегодняшних (текущих) условиях хозяйственной деятельности. Управление процессом воспроизводства основных фондов затрудняется, возникают препятствия к нормальному осуществлению коммерческой деятельности предприятий.
Показатели, исчисляемые с использованием первоначальной стоимости фондов (капиталоотдача, рентабельность, платежеспособность, ликвидность и др.) перестают отражать их действительный уровень. Крупные проблемы возникают в управлении амортизацией, себестоимостью, а, следовательно, прибылью и налогами. Возникает необходимость переоценки основных фондов и приведения их к единым ценностным измерителям.
Восстановительная стоимость выражает оценку воспроизводства основных фондов в современных условиях на момент переоценки. Она отражает затраты на приобретение и создание переоцениваемых объектов в ценах, тарифах и других нормативах, действующих на установленную дату. Полная восстановительная стоимость это сумма расчетных затратив приобретение или возведение новых средств труда, аналогичных переоцениваемым.
Остаточная стоимость основных фондов представляет собой разницу между полной первоначальной или полной восстановительной стоимостью и начисленным износом, т.е. это денежное выражение стоимости средств труда, не перенесенной на изготовляемую продукцию, на определенную дату. Остаточная стоимость позволяет судить о степени изношенности средств труда, планировать их обновление и ремонт. При проводимых переоценках фондов одновременно уточняется размер начисленного износа по каждой единице средств труда. Также определяется восстановительная стоимость с учетом износа.
Она рассчитывается в процентах к полной восстановительной стоимости на основе данных бухгалтерского учета.
Балансовая стоимость стоимость, по которой, основные фонды учитываются в балансе предприятия по данным бухгалтерского учета об их наличии и движении. На балансе предприятия стоимость основных фондов числится в смешанной оценке: объекты, по которым производилась переоценка, учитываются по восстановительной стоимости на установленную дату, а новые средства труда, приобретенные (или возведенные) после переоценки, по первоначальной стоимости. В практике работы предприятий и в методических материалах балансовая стоимость нередко рассматривается как первоначальная, так как восстановительная стоимость на момент последней переоценки совпадает с первоначальной стоимостью на эту дату.
Методы переоценки основных фондов
Переоценка основных фондов может производиться двумя методами: экспертным и посредством системы индексов цен. При экспертном методе на предприятиях и в отраслях создаются специальные комиссии из числа наиболее опытных и квалифицированных инженеров и экономистов. В бывшем Советском Союзе переоценки основных фондов (их было три в 1925, 1960 и 1972г.) проводились экспертным путем. Централизованно разрабатывались методические документы и руководящие материалы. Так, для переоценки основных фондов на 1 января 1972 г. было составлено 122 ценника на машины и оборудование и 37 сборников укрупненных показателей для оценки зданий и сооружений.
В разработке этих материалов принимали участие 150 научно-исследовательских институтов и 47 промышленных министерств. Определение восстановительной стоимости основных фондов экспертным методом, посредством пообъектной инвентаризации средств труда трудоемкое и дорогостоящее мероприятие,
При индексном методе переоценка осуществляется путем умножения балансовой стоимости объекта на индекс цены, установленный для данной группы основных фондов. Система индексов цен утверждается в специальном постановлении Правительства РФ. Так, для определения восстановительной стоимости на 1 января 1996 г. коэффициенты пересчета цен были дифференцированы по 15 видам основных фондов. Кроме того, в составе машин и оборудования были выделены 7 групп, в транспортных средствах 5. В зависимости от сроков ввода в действие основных фондов индексы были дифференцированы по следующим периодам: до 1980 г.; 1981 1994 гг. и по кварталам 1995 г. Так, по 7-й группе «Машины и оборудование», объединяющей основную часть этого вида средств труда, индексы для определения восстановительной стоимости соответственно периодам составляли: 2,4; 2,7; 2,4; 1,9; 1,5; 1,2.
Такая градация коэффициентов пересчета отражала динамику и уровень инфляции в экономике России.
Службы оценки имущества
В условиях рыночной экономики, когда цена на любые блага, в том числе и средства труда, определяется под влиянием факторов спроса и предложения, директивное управление переоценкой основных фондов вступает в противоречие с общей направленностью реформ, В условиях свободных цен нелогично централизованное управление оценкой имущества предприятий. К тому же устанавливаемая система индексов переоценки не способна учесть конкретные особенности оценки имущества каждого предприятия и каждого объекта основных фондов. В 1996 г. впервые в России было разрешено переоценивать основные фонды в децентрализованном порядке. В 1997 г. эта практика существенно расширена.
Предприятия имеют право самостоятельно выбрать метод переоценки: либо с применением установленных индексов цен, либо путем прямого пообъектного пересчета стоимости. Предприятия могут провести генеральную переоценку средств труда собственными силами или с привлечением независимых экспертов-оценщиков. Результаты переоценки должны быть подтверждены соответствующими документами и экспертными заключениями о рыночной стоимости переоцениваемых объектов.
Становление службы оценки имущества предприятий независимыми экспертными организациями в России находится еще на начальной стадии. Создано Российское общество оценщиков (РОО). В странах с развитой рыночной экономикой специальные службы экспертов-оценщиков сформировались к середине XX в. В США создан специальный правительственный орган по контролю за оценочной деятельностью в стране. Сформирован Фонд оценки, разрабатывающий единые стандарты профессиональной оценки и квалификационные требования к оценщикам. В Англии стандарты оценочной деятельности устанавливаются Королевским институтом оценки.
В 1981 г. создан Международный комитет по стандартам оценки имущества (МК-СОИ) с целью разработки международных стандартов оценки (МСО) и руководства организационно-методологической деятельностью объединений оценщиков.
Вспомогательные производства и обслуживающие хозяйства
В настоящее время вспомогательные производства и обслуживающие хозяйства в рамках одного предприятия могут получить все возможности для функционирования в полном объеме. Однако это довольно дорогостоящие и трудоемкие работы. Сложность еще заключается в том, что хозяйства инфраструктуры вынуждены производить для собственного потребления в неспециализированных условиях инструменты, технологическую оснастку, выполнять все виды ремонтных работ, в том числе и капитальный, изготавливать сменные узлы и детали.
Материальные затраты на содержание вспомогательных и обслуживающих хозяйств такого масштаба могут быть в несколько раз выше, чем на выполнение аналогичных работ специализированными организациями.
Решить проблему снижения расходов на содержание и эксплуатацию служб инфраструктуры можно размещением заказов на обслуживание предприятия специализированными хозяйствами.
Спрос на подобного рода услуги создаст условия для формирования целой сети организаций и предприятий по ремонту оборудования, изготовлению сменных деталей и узлов, производству технологической оснастки, монтажу подъемно-транспортного и складского оборудования. Новое развитие получит инструментальная промышленность, так как в условиях специализированного производства дешевле и качественнее можно организовать выпуск стандартного инструмента, освободив предприятия-потребители от его изготовления.
В области энергетического обслуживания целесообразнее всего заключить длительный договор на обслуживание с крупными производителями на поставку электро- и теплоэнергии, инертных газов, технического кислорода, природного газа и других энергоносителей.
Ремонтные работы требуют особого внимания, поскольку их выполнение трудоемко и дорогостояще. В силу этих обстоятельств капитальный ремонт следует осуществлять с помощью специализированной ремонтной организации, а текущее обслуживание проводить собственными силами.
Механизация транспортных, погрузочно-разгрузочных и складских работ является самой застарелой проблемой российских предприятий. Наличие в структуре предприятия полностью механизированных, а тем более автоматизированных складов, несомненно, повысит значимость инфраструктуры. Однако принцип экономической целесообразности и в этом случае должен носить главенствующий характер.
Относительно транспортного хозяйства и перспектив его развития следует отметить, что организация крупных транспортных предприятий даст значительный результат в том случае, если будет осуществлено обслуживание предприятий на основе так называемого кустового расположения потребителей. Это обеспечит значительную экономию бензина, горюче-смазочных материалов, запасных частей.
Отмеченные тенденции развития инфраструктуры предприятия представляют интерес для действующих производств. Однако их не могут не заботить вопросы оперативности в техническом обслуживании, и с этой точки зрения наличие в структуре предприятия подразделений инфраструктуры должно отвечать потребностям и целям эффективного функционирования производства.
Выводы
1. Важным условием нормального бесперебойного хода производства является поддержание в рабочем состоянии оборудования, питание агрегатов энергией, своевременное обеспечение рабочих мест предметами труда, инструментом и приспособлениями, т.е. четкая организация производственной инфраструктуры (вспомогательных и обслуживающих процессов).
2. Инструментальное производство занимает важное место на предприятии. От уровня организации этого хозяйства и качества инструмента зависят интенсивность использования оборудования, технологические параметры его работы, уровень производительности труда и в целом результаты работы всего предприятия.
Инструментальное хозяйство должно решать ряд задач, основными из которых являются: обоснование потребности в различных видах инструмента; обоснование необходимости проектирования нового инструмента; выбор формы обеспечения инструментом; организация материально-технического снабжения инструментом; организация производства инструментов и заточки и др.
Наличие в производстве больших запасов инструмента, высокая его стоимость и значительный расход делают проблему экономии инструмента одной из наиболее важных в организации инструментальных хозяйств.
3. Основной задачей ремонтного производства является предупреждение преждевременного износа машин и механизмов, зданий и сооружений, их своевременный ремонт и обеспечение рабочей готовности оборудования. Это достигается правильной эксплуатацией, квалифицированным межремонтным обслуживанием и профилактическим плановым ремонтом оборудования.
4. Погрузо-разгрузочные и переместительные функции осуществляет внутрипроизводственный транспорт. Он подразделяется на несколько видов по назначению, по применяемым транспортным средствам, способу их формирования.
При организации работы транспортного хозяйства большое значение имеет выбор транспортных средств для отдельных участков предприятия. При этом учитываются их грузоподъемность, скорость, маневренность и ряд других свойств. В современных условиях важным направлением развития внутризаводского транспорта является повышение значения и масштабов использования непрерывных его видов (конвейеров, транспортеров и т.п.)
5. На предприятии перерабатывается огромное количество сырья и материалов; с развитием кооперирования производства они получают множество видов полуфабрикатов, готовых узлов и элементов; большое количество материалов и запасных частей используется во вспомогательных цехах. Все товарно-материальные ценности хранятся на складах.
Задача складского хозяйства состоит в приемке материалов от поставщиков, обеспечении сохранности, качества и количества материальных ценностей, рациональном размещении материальных ценностей на территории склада; контроле и поддержании нормативного уровня и комплектности запасов: формировании рационального состава тары, специально приспособленной для хранения и внутризаводской передачи сыпучих, мелких материалов и узлов.
Количество, состав, емкость и специализация складов образуют структуру складского хозяйства предприятия.
Термины и понятия
Производственная инфраструктура
Инструментальное хозяйство предприятия
Коэффициент оснастки
Классификация инструмента
Индексация инструмента
Стандартизация инструмента
Оборотный фонд инструмента
Ремонтное хозяйство предприятия
Ремонтный цикл
Техническое обслуживание
Материально-техническое снабжение
Норма расхода материалов
Норма запаса материалов
Транспортное хозяйство предприятия
Система сбыта предприятия
Торговые посредники
Грузооборот
Грузопоток
Вопросы для самопроверки
1. Какие функции выполняет инструментальное хозяйство предприятия?
2. С какой целью применяется классификация инструмента?
3. Какие подразделения предприятия входят в состав его ремонтного хозяйства?
4. Какие схемы применяются для материально-технического обеспечения цехов предприятия?
5. С помощью каких показателей оценивается работа транспортного хозяйства предприятия?
6. Что представляет собой товаропроводящая сеть предприятия?
7. Сколько периодов содержит процесс реализации продукции? В чем состоят особенности каждого из них?
8. На каких условиях по реализации продукции функционируют посреднические организации?
Выбор метода ценообразования
Учитывается также и тот психологический момент, что покупатели любят получать сдачу. На самом же деле в выигрыше оказывается продавец за счет увеличения количества проданной продукции и соответственно суммы полученной прибыли.
Стратегия следования за лидером в отрасли или на рынке предполагает, что цена на товар устанавливается исходя из цены, предлагаемой главным конкурентом, обычно ведущей фирмой отрасли, предприятием, доминирующим на рынке.
Нейтральная стратегия ценообразования исходит из того, что определение цены на новую продукцию осуществляется на основе учета фактических издержек ее производства включая среднюю норму прибыли на рынке или в отрасли по формуле:
Ц = С + А + Р (С+А),
где С издержки производства; А административные расходы и расходы по реализации; Р средняя норма прибыли на рынке или в отрасли.
Стратегия установления престижной цены основана на установлении высоких цен на изделия очень высокого качества, обладающие уникальными свойствами.
Выбор одной из перечисленных стратегий осуществляет руководство предприятия в зависимости от целевого ряда факторов:
скорости внедрения на рынок нового товара;
доли рынка сбыта, контролируемой данной фирмой;
характера реализуемого товара (степень новизны, взаимозаменяемость с другими товарами и т.д.);
периода окупаемости капитальных вложений;
конкретных условий рынка (степень монополизации, ценовая эластичность спроса, круг потребителей);
положения фирмы в соответствующей отрасли (финансовое положение, связи с другими производителями и т.п.).
Ценовые стратегии на товары, реализуемые на рынке относительно продолжительное время, могут также ориентироваться на различные виды цен.
Стратегия скользящей цены предполагает, что цена устанавливается почти в прямой зависимости от соотношения спроса и предложения и постепенно снижается по мере насыщения рынка (особенно оптовая цена, а розничная цена может быть относительно стабильной). Такой подход к установлению цены применяется чаще всего по изделиям массового спроса. В этом случае тесно взаимодействуют цены и объемы выпуска товаров: чем больше объем производства, тем больше у предприятия (фирмы) возможностей снизить издержки производства и, в конечном счете, цены. Приданной стратегии ценообразования необходимо:
помешать появлению на рынке конкурента;
постоянно заботиться о повышении качества продукции;
снижать издержки производства.
Долговременная цена устанавливается на товары массового спроса. Действует она, как правило, длительное время и слабо подвержена изменениям.
Цены потребительского сегмента рынка устанавливаются на одни и те же виды товаров и услуг, которые реализуются различным социальным группам населения с неодинаковым уровнем доходов. Такие цены могут, например, устанавливаться на различные модификации легковых автомобилей, на авиабилеты и т.д. Важно при этом обеспечить правильное соотношение цен на различные изделия и услуги, что составляет определенную трудность.
Стратегия гибкой цены основана на ценах, которые быстро реагируют на изменения соотношения спроса и предложения на рынке. В частности, если имеют место сильные колебания спроса и предложения в относительно короткие сроки, то применение этого вида цен оправданно, например, при продаже некоторых продуктов питания (свежей рыбы, цветов и т.д.). Использование такой цены эффективно при небольшом числе уровней управленческой иерархии на предприятии, когда права по принятию решения по ценам делегированы самому нижнему уровню управления.
Стратегия преимущественной цены предусматривает определенное понижение цены на товары предприятием, которое занимает доминирующее положение (доля рынка 7080%) и может обеспечить значительное снижение издержек производства за счет увеличения объемов выпуска и экономии на расходах по реализации товаров. Основная задача предприятия воспрепятствовать внедрению на рынок новых конкурентов, заставить их платить слишком большую цену за право внедрения на рынок, что по карману далеко не каждому конкуренту.
Стратегия установления цен на изделия, снятые с производства, выпуск которых прекращен, предполагает не распродажу по сниженным ценам, а ориентацию на строго определенный круг потребителей, нуждающихся именно в этих товарах. В таком случае цены выше, чем на обычные товары. Например, при производстве запасных частей к легковым автомобилям и грузовикам самых разных марок и моделей (включая снятые с производства).
Существуют определенные особенности установления цен, обслуживающих внешнеторговый оборот. Внешнеторговые цены определяются, как правило, на базе цен основных мировых товарных рынков. На экспортируемые товары внутри страны устанавливаются специальные цены для поставки на экспорт.
Например, для продукции машиностроения, поставляемой на экспорт, до последнего времени применялись надбавки к оптовым ценам за экспортное и тропическое исполнение. По некоторым видам дефицитной продукции при поставке на экспорт к ценам добавляется таможенная пошлина. На импортные потребительские товары во многих случаях устанавливаются свободные розничные цены исходя из соотношения спроса и предложения.
Выбор метода ценообразования
Имея представление о закономерностях формирования спроса на товар, общей ситуации в отрасли, ценах и издержках конкурентов, определив собственную ценовую стратегию, предприятие может перейти к выбору конкретного метода ценообразования на производимый товар.
Очевидно, что правильно установленная цена должна полностью возмещать все издержки производства, распределения и сбыта товара, а также обеспечивать получение определенной нормы прибыли. Возможны три метода ценообразования: установление минимального уровня цены, определяемого затратами; установления максимального уровня цены, сформированного спросом, и, наконец, установление оптимального уровня цены. Рассмотрим наиболее часто используемые методы ценообразования: «средние издержки плюс прибыль»; обеспечение безубыточности и целевой прибыли; установление цены исходя из ощущаемой ценности товара; установление цены на уровне текущих цен; метод «запечатанного конверта»; установление цены на основе закрытых торгов.
Каждый из этих методов имеет свои особенности, преимущества и ограничения, которые надо иметь в виду при разработке цены.
Самой простой считается методика «средние издержки плюс прибыль», которая заключается в начислении наценки на себестоимость товара. Величина наценки может быть стандартной для каждого вида товара или дифференцироваться в зависимости от вида товара, стоимости единицы изделия, объемов продаж и т.д.
Существует два метода расчета наценок: исходя из себестоимости или из продажной цены:
Предприятие-производитель само должно решить, какой именно формулой оно будет пользоваться. Недостаток метода заключается в том, что использование стандартной наценки не позволяет в каждом конкретном случае учесть особенности покупательского спроса и конкуренцию, а, следовательно, определить и оптимальную цену.
И все же методика расчета на основе наценок остается популярной по ряду причин. Во-первых, продавцы больше знают об издержках, чем о спросе. Привязывая цену к издержкам, продавец упрощает для себя проблему ценообразования.
Ему не приходится часто корректировать цены в зависимости от колебаний спроса. Во-вторых, признано, что это самый справедливый метод по отношению и к покупателям, и к продавцам. В-третьих, метод уменьшает ценовую конкуренцию, так как все фирмы отрасли рассчитывают цену по одному и тому же принципу «средние издержки плюс прибыль», поэтому их цены очень близки друг к другу.
Другой метод ценообразования, основанный на издержках, направлен на получение целевой прибыли (метод безубыточности). Этот метод дает возможность сравнить размеры прибыли, получаемой при различных ценах, и позволяет фирме, которая уже определила для себя норму прибыли, продавать свой товар по такой цене, которая при определенной программе выпуска позволила бы в максимальной степени добиться выполнения этой задачи.
В этом случае цена сразу устанавливается фирмой из расчета желаемого объема прибыли. Однако для возмещения издержек производства необходимо реализовать определенный объем продукции по данной цене или же по более высокой цене, но не меньшее ее количество. Здесь особую важность приобретает ценовая эластичность спроса.
Такой метод ценообразования требует от фирмы рассмотрения разных вариантов цен, их влияния на объем сбыта, необходимый для преодоления уровня безубыточности и получения целевой прибыли, а также анализа вероятности достижения всего этого при каждой возможной цене товара.
Установление цены на основе «ощущаемой ценности» товара является одним из самых оригинальных методов ценообразования, когда все большее число фирм при расчете цены начинают исходить из ощущаемой ценности своих товаров. В данном методе затратные ориентиры отходят на второй план, уступая место восприятию покупателями товара. Для формирования в сознании потребителей представления о ценности товара продавцы используют неценовые приемы воздействия; предоставляют сервисное обслуживание, особые гарантии покупателям, право использования товарной марки в случае перепродажи и т.д.
Взаимосвязь валовых, средних и предельных издержек
Основными плановыми и отчетными показателями, определяемыми предприятием по себестоимости продукции, являются:
себестоимость единицы продукции в рублях (тыс. руб.), рассчитываемая на основе плановых и отчетных калькуляций;
затраты на рубль товарной продукции, рассчитываемые как отношение затрат на производство и реализацию продукции к объему выпуска товарной продукции в ценах реализации, показывающее величину затрат в каждом рубле товарной продукции;
процент снижения затрат по сравнимой товарной продукции (к сравнимой относится продукция, которая выпускалась предприятием в предшествующем году).
Расчет себестоимости обычно предполагает разработку плана снижения себестоимости товарной продукции.
-
Издержки фирмы в микроэкономической теории
Общие, средние и предельные издержки
В теории издержек важное значение имеет их классификация на постоянные, переменные, валовые, средние и предельные. Постоянные издержки не зависят от объема производства и реализации продукции. Они включают, например, плату за аренду и содержание помещений, амортизацию, проценты за кредит, накладные расходы и т.д. Постоянные расходы обозначаются «FC» (англ. fixed costs).
К переменным издержкам относятся те, которые увеличиваются или уменьшаются вместе с объемом выпуска продукции, а именно: расходы на сырье, материалы, оплату труда производственных рабочих и другие изменяющиеся затраты. В теории издержек они имеют символ «VC» (англ. variable costs). Сумма постоянных и переменных расходов составляет валовые, или общие, издержки, обозначаемые как «ТС» (англ. total costs).
Средние издержки представляют собой затраты, приходящиеся на единицу изготовляемой продукции, «АС» (англ. average costs). Под предельными издержками «МС» (англ. marginal costs) понимается сумма увеличения расходов, связанная с выпуском дополнительной единицы продукции по сравнению с данным объемом выпуска. При увеличении или сокращении объема производства важно знать средние затраты, приходящиеся на дополнительный выпуск продукции, и сравнить их с фактически сложившимися средними величинами.
Это позволяет определить оптимальный объем продукции с точки зрения минимизации затрат. Предельные издержки рассчитываются на каждую последующую единицу изделий посредством вычитания из суммы валовых издержек их предшествующего значения.
Взаимосвязь валовых, средних и предельных издержек
Взаимосвязь валовых, средних и предельных расходов является ключевым моментом в теории издержек, лежащим в основе расчетов оптимального объема производства, минимизации затрат и максимизации прибыли. Рассмотрим пример: внутренние и внешние факторы производства остаются неизменными, в том числе и цены на ресурсы и продукцию. Используется только два ресурса:
постоянный капитал в сумме 1200ед. (FC) и переменный труд (L), стоимостью каждой единицы в 400 ед. Общий объем произведенного продукта обозначим ТР (англ. total product).
Валовые издержки представляют собой сумму общих постоянных и общих переменных расходов; средние издержки определены путем деления общих издержек на объем продукции:
предельные издержки рассчитаны делением прироста общих издержек (400 ед.) на прирост объема продукции, полученный в результате привлечения дополнительной единицы труда:
Таблица 13.1.
Динамика общих, средних и предельных издержек производства
Кол-во труда L
|
Продукт
|
Общие издержки
|
Пре
дель
ные издержки МС
|
Средние издержки
|
общий ТР
|
при-
рост ГР
|
постоянные TFC
|
переменные TVC
|
Вало-
вые
ТС
|
постоянные AFC
|
переменные AVC
|
общие АТС
|
0
|
|
|
1200
|
|
1200
|
|
|
|
|
1
|
20
|
20
|
1200
|
400
|
1600
|
20
|
60
|
20
|
80
|
2
|
50
|
30
|
1200
|
800
|
2000
|
13
|
24
|
16
|
40
|
3
|
78
|
28
|
1200
|
1200
|
2400
|
14
|
15
|
15
|
30
|
4
|
93
|
15
|
1200
|
1600
|
2800
|
27
|
13
|
17
|
30
|
5
|
97
|
5
|
1200
|
2000
|
3200
|
80
|
12
|
21
|
33
|
6
|
100
|
3
|
1200
|
2400
|
3600
|
133
|
12
|
24
|
36
|
Графическое изображение динамики издержек состоит из двух уровней: верхний график ( 13.1) отражает движение кривых общих издержек, а нижний средних и предельных величин. По оси х отложен общий объем продукции, по оси у на верхнем графике валовые издержки, на нижнем графике средние.
Кривая общих постоянных издержек (TFС) представляет собой линию, параллельную оси х. Кривые валовых и общих переменных издержек имеют общую направленность, с той лишь разницей, что кривая переменных затрат изменяется более круто, а кривая валовых издержек более полого. На нижнем графике кривая средних постоянных издержек представлена ниспадающей линией, вначале с крутым уклоном, а затем со все более замедленным. Графики средних общих и средних переменных издержек во многом схожи в своих очертаниях, но общие затраты вначале быстрее снижаются, а переменные, напротив, круче возрастают.

13.1. Динамика издержек фирмы
Отличительной чертой динамики предельных издержек является как более глубокий спад, так и значительно более высокий угол возрастания. Кривая предельных издержек пересекает все три кривые средних величин.
Правила, или закономерности, движения кривых средних и общих издержек можно сформулировать в следующих положениях:
1. В точке А, где кривая предельных издержек достигает минимального значения, линия ТС общих издержек делает перегиб и из выпуклой становится вогнутой. Это означает, что приросты затрат теперь будут нарастать быстрее, чем темп выпуска продукции, Если вспомнить динамику кривой общего продукта ТР, то в точке максимума предельного продукта МР кривая общего продукта делает тоже перегиб, но она из вогнутой переходит в выпуклую, т.е. приросты продукта начинают снижаться. Здесь же, наоборот: после точки минимума предельных издержек А темп прироста валовых издержек начинает обгонять темп увеличения продукции.
Для деятельности фирмы этот момент имеет важное значение, хотя он не свидетельствует о необходимости прекращения развития производства.
2. Кривая предельных издержек МС пересекает линии средних переменных затрат AVC (точка В) и средних общих затрат АТС (точка С) в точках их наименьших значений. После этих пересечений каждая последующая единица продукта будет содержать все большую величину переменных и общих средних затрат. Кривые AVC и АТС перемещаются на графике вверх и вправо, а до пересечения с МС они снижались.
В точке, где кривая средних издержек АТС достигает минимума, фирма оптимизирует объем производства с точки зрения минимизации затрат. В нашем примере это точка С. С этого момента предельные издержки резко возрастают и увеличивают средние затраты. Оптимальный объем выпуска продукции будет составлять 93 ед.
Дальнейшее расширение производства (при прочих неизменных условиях) будет неэффективно. Незагруженный капитал должен найти другое, более выгодное применение.
4. Если признать, что переменным фактором является только труд и переменными затратами будет его оплата, тогда средние переменные издержки будут равны отношению заработной платы рабочего (W) к его производительности (средней продукции выработке). Это может быть выражено математически:
AVC = TVC: ТР, т.е. средние переменные издержки равны отношению общих переменных издержек к общему количеству продукции. В свою очередь TVC = L W, а ТР = АР L, отсюда;

Производительность труда и издержки на производство находятся в обратно пропорциональной зависимости: пока предельная производительность растет, предельные издержки падают; снижение предельной выработки ведет к росту издержек.
5. При принятых условиях кривая предельного продукта МР и кривая предельных издержек МС имеют зеркальное отражение между собой.
Постоянные и переменные расходы связаны с объемом производства и себестоимостью продукции по-разному. При незначительном объеме производства средние показатели себестоимости отдельных видов продукции формируются в основном за счет постоянных расходов, т.е. они имеют наибольший удельный вес в общих затратах. С ростом объема производства средние издержки снижаются за счет распределения постоянных расходов между большим количеством произведенной продукции.
Переменные расходы, наоборот, с увеличением объема растут, но затем наступает момент, когда реализуется эффект экономии на масштабе производства. Рост переменных издержек замедляется по сравнению с ростом производства. При значительном увеличении производства вступает в силу закон убывающей доходности (отдачи), тогда темпы роста переменных расходов опережают аналогичные показатели производства продукции.
Поэтому важно выбрать «золотую середину» при определении объема производства и цен на продукцию.
Смысл деления затрат на постоянные и переменные состоит в том, что сближаются показатели себестоимости произведенной и реализованной продукции. Это позволяет нормировать затраты, т.е. установить стандартные нормативные затраты. Именно данная форма определения затрат наиболее широко используется в ценообразовании.
Выводы
1. Затраты, издержки, себестоимость важнейшие экономические категории, Их уровень в основном определяет величину прибыли и рентабельности, лежит в основе системы показателей эффективности производства.
2. Затраты на производство и реализацию продукции текущие затраты некапитального характера, финансируемые из выручки от реализации продукции при посредстве оборота оборотных средств. Издержки на производство зарубежных фирм состоят из бухгалтерских и экономических, в состав которых включается нормативная прибыль.
3. В состав затрат на производство продукции входят: материальные затраты, оплата труда, отчисления на социальные нужды, амортизация и прочие расходы.
4. Группировка затрат по элементам сметы отражает общность их экономического содержания, определяет общий объем потребляемых предприятием различных видов ресурсов по их природному назначению.
5. Классификация затрат по статьям калькуляции объединяет их по направлениям использования, по месту возникновения. Она позволяет определить себестоимость единицы продукции, распределить затраты по ассортиментным группам, выявить резервы их снижения.
6. Различают плановую, нормативную, сметную и фактическую калькуляции. При расчете себестоимости единицы продукции прямые затраты включают исходя из установленных норм, цен и тарифов, а косвенные
распределяют в соответствии с избранной базой.
7. Предприятия разрабатывают два варианта себестоимости продукции: для целей бухгалтерского учета и для целей налогообложения.
8. Издержки фирмы классифицируются на постоянные, переменные, валовые, средние и предельные. Кривая предельных издержек пересекает линии средних переменных затрат и средних общих затрат в точках их наименьших значений. В точке, где кривая средних издержек достигает минимума, фирма оптимизирует объем производства с точки зрения минимизации затрат.
Термины и понятия
Альтернативные (вмененные) издержки
Бухгалтерская (финансовая) прибыль
Экономическая прибыль
Нормальная прибыль
Постоянные издержки
Переменные издержки
Валовые (общие) издержки
Средние издержки
Предельные издержки
Вопросы для самопроверки
1. В чем отличие затрат на производство и реализацию продукции от других видов затрат предприятия? В чем состоит сущность издержек производства зарубежных фирм? Каковы особенности их определения?
2. Что включается в состав затрат, включаемых в себестоимость продукции? Каковы их классификации?
3. В чем назначение группировки затрат по экономическим элементам?
4. В чем экономическое назначение классификации затрат по статьям калькуляции?
5. Перечислите основные виды калькуляции. Каков порядок определения себестоимости единицы изделий?
6. Каков порядок определения себестоимости продукции для целей бухгалтерского учета и для целей налогообложения? Какие нормы, нормативы и лимиты затрат используются при расчетах себестоимости?
7. Дайте определение постоянных, переменных, валовых, средних и предельных затрат зарубежной фирмы.
8. Каковы закономерности движения кривых средних и общих издержек?
9. Как определяется оптимум объема производства с точки зрения минимизации затрат фирмы?
Взимание платы по нормативам
суммарные (текущие и капитальные) затраты предприятий на проведение природоохранных мероприятий (они отражаются в льготах при выплате платежей);
затраты региона по компенсациям отрицательных последствий загрязнения окружающей среды.
Расчет платежей за загрязнение осуществляется предприятиями на основе единых нормативов плат за выбросы (сбросы, размещение) вредных веществ.
Взимание платы по нормативам производится за:
выброс в атмосферу загрязняющих веществ от стационарных источников;
выброс в атмосферу загрязняющих веществ от передвижных источников;
сброс загрязняющих веществ в реки, озера и другие места (балки, овраги, поля орошения, поля фильтрации), в том числе осуществляемый предприятиями через системы коммунальной канализации;
размещение отходов.
Устанавливаются три вида базовых нормативов платы:
за выбросы (сбросы) вредных веществ в окружающую среду в пределах ПДВ или ПДС;
за выбросы (сбросы, размещение отходов) загрязняющих веществ в пределах временно установленных лимитов временно согласованных выбросов (ВСВ), временно согласованных сбросов (ВСС);
за превышение лимитных выбросов (сбросов) загрязняющих веществ в окружающую среду (ПДВ, ПДС, ВСВ и ВСС).
В случае загрязнения окружающей среды без оформления в установленном порядке разрешения на выброс (сброс, размещение отходов), вся масса загрязняющих веществ рассматривается как сверхлимитная и плата определяется по нормативам за превышение лимитных выбросов загрязняющих веществ.
Кроме обязательных платежей за загрязнение окружающей среды предприятие может осуществлять добровольные взносы в городской резервный фонд охраны природы. В этот же фонд перечисляются средства предприятия при долевом финансировании крупных природоохранных работ, а также штрафные платежи за нарушение природоохранного законодательства.
Источником платежей за предельно допустимые выбросы (сбросы, размещение) загрязняющих веществ, т.е. загрязнение в пределах ПДВ (ПДС) является себестоимость продукции. За загрязнение в пределах ВСВ или ВСС, а также превышающее ПДВ (ПДС) и ВСВ (ВСС) платежи взыскиваются из прибыли, остающейся в распоряжении предприятий.
Средства, взыскиваемые за загрязнение окружающей среды, перечисляются природопользователями в городской фонд охраны природы и хранятся на специальных счетах.
Расчеты размеров платежей производятся предприятием. Контроль за правильностью этих расчетов осуществляется подразделением Госкомэкологии, на подведомственной территории которого находится предприятие.
Платежи предприятия за загрязнение окружающей среды корректируются с учетом освоенных им средств на природоохранные мероприятия. Корректировку осуществляют территориальные органы Госкомэкологии России. Корректировке подлежат только 90% платежей за загрязнение окружающей среды (напомним, что 10% от суммы платежей за загрязнение направляются в доход федерального бюджета для финансирования деятельности территориальных органов Госкомэкологии).
Для корректировки платежей предприятие составляет план природоохранных мероприятий и согласовывает его в территориальных органах Госкомэкологии РФ.
Госкомэкологии России утвержден Примерный перечень природоохранных мероприятий, в соответствии с которым производится корректировка платежей за загрязнение. При этом расчеты основываются на проектно-сметной документации природоохранных мероприятий и могут уточняться после окончания планового периода в сторону, как увеличения, так и снижения, в зависимости от фактических затрат на природоохранные мероприятия.
Следует отметить, что к природоохранным затратам не относятся затраты, являющиеся составными элементами технологических схем, промышленной санитарии, благоустройства и т.п.
Размер корректировки платежей за загрязнение окружающей среды конкретного предприятия определяется территориальными органами Госкомэкологии России. По представлению документов в счет платежей могут засчитываться только собственные средства предприятия, направленные на природоохранные мероприятия.
Платежи за загрязнение окружающей среды могут также уменьшаться на часть суммы собственных средств предприятия, направленных на реконструкцию и новые технологии, уменьшающие вредные выбросы в окружающую среду.
Участники долевого финансирования мероприятий по охране природы, проводимых в рамках региональных и межрегиональных программ за счет собственных средств, могут освобождаться от платежей за загрязнение на сумму долевого взноса.
Территориальные органы Госкомэкологии России могут частично понизить плату за загрязнение окружающей среды или освободить от нее те предприятия, которые принимают участие в социальной и культурной деятельности города (региона).
В период проведения предприятиями природоохранных мероприятий, согласованных с местными органами природоохраны, предприятия не платят за превышение установленных лимитов загрязнения, с них взимается плата за предельно допустимые выбросы (сбросы, размещение отходов) загрязняющих веществ.
При недостатке собственных средств предприятия могут привлекать банковский кредит (на льготных основаниях) для осуществления предусмотренных мероприятий по охране окружающей среды и рациональному использованию природных ресурсов. Средства местных внебюджетных экологических фондов могут выделяться предприятиям на возвратной основе при отсутствии у них средств на природоохранное развитие и права на получение кредитов.
Учет поступления платы за загрязнение ведется по каждому природопользователю в государственных налоговых инспекциях на карточках лицевых счетов.
В случае занижения размеров платежей за загрязнение окружающей среды с предприятия взыскивается вся сумма заниженных платежей, а также штраф.
Контроль за правильностью расчетов и поступлением средств от платежей за загрязнение в региональные и местные экологические фонды осуществляют соответствующие территориальные комитеты Госкомэкологии России, а за поступлением 10% платы за загрязнение окружающей среды в доход федерального бюджета для финансирования деятельности территориальных органов государственного управления в области охраны природы Государственная налоговая инспекция совместно с территориальными органами Госкомэкологии России.
Внесение платы за выбросы (сбросы, размещение отходов) не освобождает природопользователей от выполнения планов и мероприятий по охране окружающей среды, рациональному использованию природных ресурсов и соблюдения природоохранного законодательства.
Экологический паспорт предприятия
Экологический (эколого-экономический) паспорт предприятия это комплексный документ, содержащий характеристику взаимоотношений предприятия с окружающей средой.
Экологический паспорт предприятия состоит из двух частей. Первая часть содержит общие сведения о предприятии, используемом сырье, описание технологических схем выработки основных видов продукции, схем очистки сточных вод и выбросов в атмосферу, их характеристики после очистки, данные о твердых и других отходах, а также сведения о наличии в мире технологий, обеспечивающих достижение наилучших удельных показателей по охране природы. Вторая часть паспорта содержит перечень планируемых мероприятий, направленных на снижение нагрузки на окружающую среду, с указанием сроков, объемов затрат, удельных и общих объемов выбросов вредных веществ до и после осуществления каждого мероприятия.
В экологическом паспорте предприятия находят отражение три группы показателей:
показатели влияния предприятия на состояние окружающей среды;
показатели организационно-технического уровня природоохранной деятельности предприятия;
общие и частные показатели анализа затрат на природоохранную деятельность.
К первой группе относятся следующие показатели:
1) экологичность выпускаемой продукции (доля продукции с улучшенными экологическими показателями; выпуск экологически чистой продукции);
2) влияние на водные ресурсы (объемы забираемой воды по различным источникам; использование воды на производственные цели; объемы воды, переданной другим предприятиям и организациям; сброшенные сточные воды; доля загрязненных сточных вод; концентрация вредных веществ в загрязненных сточных водах; степень очистки сточных вод; изменение объемов и качества сточных вод);
3) влияние на атмосферный воздух (объем используемого атмосферного воздуха; количество отходящих вредных веществ по видам и источникам; количество вредных веществ, поступающих на очистные сооружения; доля улавливаемых и обезвреживаемых вредных веществ; количество вредных веществ, поступающих в атмосферу после очистки по видам; изменение объемов и качества выбросов вредных веществ в атмосферу по сравнению с предшествующим периодом);
4) влияние на материальные ресурсы и отходы производства (объем утилизируемых вредных веществ, извлеченных из сточных вод; объем утилизируемых вредных веществ, извлеченных из отходящих газов; количество образующихся твердых отходов: количество утилизированных твердых отходов; количество твердых отходов, подлежащих захоронению; степень извлечения основных компонентов из минерального сырья);
5) влияние на земельные ресурсы (коэффициент застройки отношение площади, занятой под зданиями и сооружениями, к общей площади предприятия; объем продукции предприятия, выпускаемой с 1 га земли; соотношение основных, вспомогательных и обслуживающих площадей; величина производственной площади на одного рабочего, единицу оборудования, агрегата; общая площадь либо протяженность коммуникаций, подъездных путей, водоснабжения, канализации, энергоснабжения; площадь земель, отводимых под культурно-бытовое и жилищное строительство; доля площади, занятой под отходы производства; доля площади, занимаемой санитарно-защитной зоной; площадь рекультивируемых земельных участков).
За свою деятельность агент получает вознаграждение.
Предприятие может воспользоваться услугами посредников.
Содержание посреднических функций
Торговый посредник может быть юридическим или физическим лицом, который принимает на себя обязательства содействия и продавцам, и покупателям товаров в установлении договорных связей между ними. Однако посредник может осуществлять закупки товаров для целей последующей их продажи на обусловленных покупателем условиях, которые могут содержать, например, размер партии, срок поставки, способ отгрузки и другие параметры.
Существует большое разнообразие торговых посредников: агенты, дилеры, дистрибьюторы, коммивояжеры. В соответствии с этим весьма разнообразны виды посреднических фирм и организаций. К ним можно отнести снабженческо-сбытовые, оптово-посреднические, розничные фирмы и предприятия, розничные и оптовые магазины, коммерческие центры, торговые дома, агентские фирмы.
Классификацию посреднических фирм, организаций, предприятий можно продолжить по признаку целевых функций и характеру деятельности на рынке, исходя из этого, можно выделить посредничество в товародвижении, распределении товаров, установлении хозяйственных связей и заключении контрактов.
Посредничество в товародвижении, например, заключается в том, что посредник принимает участие лишь в движении продукции от предприятия-изготовителя до покупателя-потребителя, осуществляя хранение и отгрузку продукции со склада или базы в соответствии с условиями, изложенными в договоре поставки.
Посредничество в распределении характеризуется тем, что торговый посредник осуществляет функции распределения в отношении закупленной им продукции. При этом торговый посредник становится собственником данной продукции. Эта услуга называется продажей товара из формируемых товарных (торговых) запасов по заказам клиентов.
В этом случае торговля может осуществляться по образцам и каталогам.
Посредничество в установлении хозяйственных связей и заключении контрактов предполагает участие торговых посредников только на стадии сведения покупателя и изготовителя и заключения хозяйственных договоров. За посреднические услуги торговый посредник получает вознаграждение, но подобный результат он может получить и при трехстороннем договоре. Суть его состоит в следующем.
В подобной сделке торговый посредник становится одним из ее участников, однако движение товара осуществляется транзитом, минуя его. В этом случае торговый посредник становится покупателем товара для изготовителя и продавцом для потребителя. Такого рода сделки возможны и эффективны тогда, когда торговый посредник имеет деловые и долгосрочные контракты с изготовителем продукции.
Кроме того, он может взять на себя обеспечение гарантий поставок товаров покупателям.
Хотя это и несвойственные функции торгового посредника, в жизни происходит постоянное их совмещение. Например, посредничество в установлении хозяйственных связей и заключении договоров (контрактов) часто сочетается с посредничеством в товародвижении.
Спрос на посреднические операции постоянно растет, поскольку это сказывается на снижении издержек производства. Это дает еще больший эффект, если торговый посредник возьмет на себя и финансовый риск, возникающий от колебания цен и изменения таможенных и налоговых ставок и пошлин.
Виды посредников
В роли торгового агента может выступить юридическое или физическое лицо, совершающее сделки по реализации продукции за счет и в интересах предприятия. Отношения между агентом и предприятием регулируются специальным договором. Деятельность агента в данном случае имеет большое сходство с коммерческой, Поскольку он, как самостоятельный коммерсант, действует на основе письменной договоренности, выданной предприятием.
При этом права и обязанности по сделкам, заключенным агентом, возникают для предприятия и приобретают силу обязательства.
За свою деятельность агент получает вознаграждение. Его размер, как правило, устанавливается в виде процента от суммы заключенных сделок, причем независимо от конечных результатов сделки для предприятия.
По объему полномочий, предоставляемых предприятием, агенты подразделяются на универсальных, генеральных и специальных.
Универсальные агенты могут совершать любые юридические действия от имени и по поручению предприятия. В отличие от универсальных агентов генеральные имеют право заключать любые сделки в области деятельности предприятия. В свою очередь специальные агенты уполномочены заключать только те сделки, которые указаны в доверенности.
Вместе с тем со стороны предприятия агенты могут наделяться исключительными правами. Такой агент является единственным лицом, имеющим право заключать сделки от имени предприятия на определенной территории. Причем предприятие также может заключать сделки на данной территории, но при этом агент с исключительными правами получает дополнительное вознаграждение за данные сделки.
Кроме того, агенты могут принимать на себя обязательство делькредере и осуществление консигнационной торговли.
Делькредере представляет собой обязательство агента гарантировать выполнение сделки перед представляемым им лицом, а в случае невыполнения обязательств по сделке агент, принявший на себя делькредере, возмещает предприятию убытки. Если же предприятие само создало ситуацию, вследствие которой исполнение сделки стало невозможным, то агент освобождается от взятых на себя обязательств. Агент за делькредере получает дополнительное вознаграждение, так как делькредере позволяет предприятию исключить или заметно уменьшить коммерческие риски и убытки.
Этому способствует и знание особенностей местного рынка, при этом агент может обеспечить условия для успешного завершения сделок.
Консигнационная торговля представляет собой совершение сделок по продаже товаров со складов, находящихся за рубежом. В таком виде торговли участвует консигнант и консигнатор. Консигнантом может быть предприятие, дающее поручение на организацию консигнационной торговли со склада, находящегося за рубежом. В этом случае предприятие должно четко определить номенклатуру реализуемой продукции, территорию, на которой она будет продаваться, и минимальную ее цену.
При этом предприятие обязано своевременно поставлять на консигнационный склад продукцию в согласованном ассортименте, номенклатуре и количестве, а также оплачивать расходы по содержанию помещения и обслуживающего персонала склада. Консигнант остается собственником продукции до тех пор, пока она не будет продана, или до момента поступления ему средств в счет ее оплаты.
Другим действующим лицом в данных сделках выступает консигнатор. Это юридическое или физическое лицо, которое принимает на себя обязательство исполнять поручение по организации консигнационной торговли от своего имени и за счет консигнанта. В функции консигнатора входит подготовка помещений для организации торговли, наем персонала, страхование и охрана товара. Его вознаграждение зависит от объема проданной продукции или определяется как разница между минимальной ценой, установленной предприятием, и ценой продажи изделий.
Консигнатор не является собственником товара и действует на основе договора-получения, в котором зафиксированы условия его деятельности.
Дилеры, в отличие от агента, осуществляют посреднические торговые операции от своего имени и за свой счет. В системе сбыта продукции они имеют дело с непосредственными ее потребителями.
На конечного потребителя работает и дистрибьютор, который является независимым оптовым посредником. Дистрибьютор осуществляет деятельность по защите продукции с целью ее дальнейшей продажи розничным фирмам и магазинам, а также промышленным предприятиям, кооперативам, мастерским, одновременно оказывая услуги не только по сбыту продукции, но и по подготовке ее к производственному потреблению. Отношения между дистрибьютором и его заказчиком строятся на договорной основе. В договоре отмечаются размеры наценок (скидок) к оптовой цене реализуемого товара.
Их величина зависит от конкретных условий выполнения договора, например, вида продукции, сроков исполнения договора, величины партии поставляемых товаров, порядка и вариантов оплаты, условий доставки и т.д. Эти факторы в основном влияют на величину наценки (скидки), которая является источником доходов дистрибьютора и восполняет его затраты по организации коммерческой деятельности, закупкам, хранению и продаже товаров.
-
Тенденции развития производственной инфраструктуры
В современных условиях повышенные требования к обслуживанию производства предъявляются вследствие перехода предприятии на новые экономические условия, отличительной чертой которых является экономия производственных ресурсов. Это диктует увеличение непрерывности производственных процессов, конструктивное и технологическое совершенствование выпускаемой продукции, улучшение использования основных фондов и оборотных средств. Поэтому специализация функций обслуживания должна играть особую роль в организации инфраструктуры предприятия.
Концентрация производства инструмента и технологической оснастки на основе крупных инструментальных цехов, а также создание специальных служб обслуживания ремонтными работами, подъемно-транспортными, служб снабжения и сбыта продукции, несомненно, повысит значимость и эффективность инфраструктуры производства.
Закон вводит новое определение малого предприятия.
В наиболее развитых странах мира на долю малого бизнеса приходится 5070% прироста числа рабочих мест.
Государственной Думой РФ 12 мая 1995 г. был принят Федеральный закон о государственной поддержке малого предпринимательства в Российской Федерации.
Закон вводит новое определение малого предприятия. Ранее в российском законодательстве определение малого предприятия было сформулировано в постановлении. Совета Министров РСФСР от 18 июня 1991 г.; закон предусматривает иные, нежели предшествующее ему постановление, критерии отнесения тех или иных юридических лиц к малым предприятиям.
В ст. 3 Закона говорится: «Под субъектами малого предпринимательства понимаются коммерческие организации, в уставном капитале которых доля участия Российской Федерации, субъектов Российской Федерации, общественных организаций, религиозных организаций, благотворительных и иных органов не превышает 25%, доля, принадлежащая одному или нескольким лицам, не являющимся субъектами малого предпринимательства, не превышает 25%».
Как видно из данной нормы, обязательным требованием к малым предприятиям является ограниченная возможность участия других юридических лиц в уставном капитале малых предприятий. Другое непременное условие для отнесения предприятий к малым установление предельной средней численности работающих: в промышленности, строительстве, на транспорте 100 человек; в сельском хозяйстве, в научно-технической сфере 60 человек; в оптовой торговле 50 человек; в розничной торговле и бытовом обслуживании населения 30 человек; в других отраслях и при осуществлении других видов деятельности 50 человек.
В стране насчитывается около 900 тыс. малых предприятий.
Распределение малых предприятий по отраслям экономики характеризуется следующими цифрами (данные на 1 января 1997 г., %)
1:
Всего предприятий (тыс.)............................. 877,0
В том числе по отраслям:
промышленность.................................. 14,7
сельское хозяйство ................................ 1,1
транспорт и связь ................................. 2,3
строительство .................................... 16,7
торговля и общественное питание ...................... 42,7
общая коммерческая деятельность по обеспечению
функционирования рынка ........................... 4,8
наука и научное обслуживание ......................... 5,6
финансы, кредит, страхование, пенсионное обеспечение ........ 1,3
прочие ............ 10,7
Вместе с тем доля малых предприятий в объеме валового выпуска товаров и услуг в целом по России соответствует их удельному весу в общей численности занятых. Это свидетельствует о том, что эффективность затрат труда в малом бизнесе не превышает среднего уровня в экономике страны.
Направления и меры по повышению эффективности использования государственных средств, выделяемых для развития малого предпринимательства, сформулированы в Федеральном законе о государственной поддержке малого предпринимательства в Российской Федерации:
налогообложение малых предприятий, предусматривающее, что если изменение налогового законодательства создает менее благоприятные условия для МП по сравнению с ранее действующими условиями, то в течение первых четырех лет своей деятельности указанные субъекты подлежат налогообложению в том же порядке, который действовал на момент их государственной регистрации. Устанавливаются льготы для фондов поддержки малого предпринимательства, инвестиционных и лизинговых компаний, кредитных и страховых организаций, а также предприятий, учреждений и организаций, создаваемых в целях выполнения работ для субъектов малого предпринимательства и оказания услуг;
право субъектов малого предпринимательства применять ускоренную амортизацию основных производственных фондов с отнесением затрат на издержки производства в размере, в два раза превышающем нормы, установленные для соответствующих видов основных фондов. Могут списываться дополнительно как амортизационные отчисления до 50% первоначальной стоимости основных фондов со сроком службы более трех лет;
кредитование субъектов малого предпринимательства, осуществляемое на льготных условиях с компенсацией разницы кредитным организациям за счет средств фондов поддержки малого предпринимательства. При этом кредитные организации, осуществляющие кредитование субъектов малого предпринимательства на льготных условиях, пользуются льготами в порядке, установленном законодательством Российской Федерации и законодательством субъектов Российской Федерации. Фонды поддержки малого предпринимательства вправе компенсировать кредитным организациям полностью или частично недополученные ими доходы при кредитовании субъектов малого предпринимательства на льготных условиях;
создание обществ взаимного кредитования субъектов малого предпринимательства для аккумулирования временно свободных денежных средств участников указанных обществ в целях осуществления и развития системы финансовой взаимопомощи. При этом общества имеют право не размещать обязательные резервы в Центральном банке РФ, поручать управление собственными ресурсами банку-депозитарию или иной кредитной организации, определять размер, периодичность и порядок внесения вкладов (взносов) участниками указанных обществ, а также предельные размеры, сроки и условия оказания финансовой помощи, не предоставлять денежные средства физическим и юридическим лицам, которые не являются участниками указанных обществ;
страхование субъектов малого предпринимательства на льготных условиях для страховых организаций с возможностью компенсации упущенной выгоды со стороны соответствующего фонда поддержки малого предпринимательства;
резервирование для субъектов малого предпринимательства определенной доли заказов на производство и поставку отдельных видов продукции и товаров (услуг) для государственных нужд. Государственные заказчики при формировании и размещении заказов и заключении государственных контрактов на закупку и поставки продукции и товаров (услуг) для государственных нужд по видам продукции, отнесенным Правительством РФ, органами исполнительной власти субъектов Российской Федерации к приоритетным, обязаны размещать у субъектов малого предпринимательства не менее 15% от общего объема поставок для государственных нужд данного вида продукции на основе конкурсов на указанные поставки, проводимых между субъектами малого предпринимательства;
создание сети технопарков, лизинговых фирм, бизнес инкубаторов, производственно-технологических центров и других объектов инфраструктуры, создаваемых в целях поддержки малого предпринимательства, и др.
Исходя из этих направлений государственной поддержки малого предпринимательства, определены дополнительные меры, обусловливающие решение проблем по укреплению финансовой поддержки малых предприятий.
Классификация по формам собственности
Форма собственности лежит в основе юридического статуса предприятия. По формам собственности различают частные, государственные, муниципальные, кооперативные и иные предприятия.
По данным официальной статистики, российские предприятия распределяются по формам собственности следующим образом (по состоянию на 1 января 1997 г., % к общему числу зарегистрированных предприятий)
1;
Всего предприятий (тыс.).............................. 2487
В том числе находящихся:
в частной собственности ............................ 68,0
в государственной собственности ....................... 9,3
в муниципальной собственности ....................... 7,4
в собственности общественных организаций ............... 5,2
в прочих формах собственности (включая смешанную собственность, собственность иностранных лиц, граждан и лиц без гражданства)……… 10,1
Во всех странах с рыночной экономикой большинство предприятий находится в частной собственности.
Частные предприятия могут существовать в виде самостоятельных независимых компаний либо в виде объединений, созданных как на основе системы участия, так и на основе договоренностей между участниками объединения. В зависимости от формы объединения предприятие может быть юридически самостоятельным и само решать хозяйственные вопросы и отвечать по своим обязательствам или быть лишено хозяйственной и юридической самостоятельности, и тогда решение деловых вопросов зависит от материнского предприятия.
Государственные предприятия выступают наряду с частными фирмами контрагентами в хозяйственном обороте. Под государственными предприятиями понимаются как чисто государственные, так и смешанные, или полугосударственные. В чисто государственных предприятиях государству принадлежит обычно весь акционерный капитал, полученный в результате национализации или вновь созданный.
В смешанных государственно-частных компаниях государство в лице какого-нибудь министерства или деражательской компании может владеть значительной частью пакета акций (более 50%), и тогда оно, как правило, осуществляет контроль за их деятельностью.
Государственные промышленные фирмы занимают довольно прочное положение в производстве разных стран. Их удельный вес в выпуске промышленной продукции колеблется в пределах 20-25% по отдельным странам.
Заработная плата основная и дополнительная
В материальные затраты включаются также расходы на тару, упаковочные материалы, инструмент, запасные части и др.
Оценка материальных ресурсов, по которой они включаются в себестоимость продукции, определяется исходя из цены приобретения (без учета налога на добавленную стоимость), всех надбавок и комиссионных снабженческим, посредническим и внешнеторговым организациям, стоимости услуг товарных бирж, таможенных пошлин, а также платы за транспортировку сторонним организациям. Из расходов на материальные ресурсы исключается стоимость возвратных отходов остатков сырья, материалов, полуфабрикатов, теплоносителей, образующихся в процессе производства, которые утрачивают (полностью или частично) потребительские качества исходного ресурса и не могут использоваться по прямому назначению. Возвратные отходы оцениваются в зависимости от возможного их использования.
Затраты на оплату труда отражают участие в себестоимости продукции необходимого живого труда. Они включают заработную плату основного производственного персонала, а также не состоящих в штате работников, относящихся к основной деятельности. Оплата труда включает: заработную плату, начисляемую по сдельным расценкам, тарифным ставкам и должностным окладам в соответствии с системами оплаты труда, принятыми на предприятии; стоимость продукции, выдаваемой в порядке натуральной оплаты; надбавки и доплаты; премии за производственные результаты; оплату очередных и дополнительных отпусков; стоимость бесплатно предоставляемых услуг; единовременные вознаграждения за выслугу лет; надбавки за работу на Крайнем Севере и по районным коэффициентам и другие расходы.
Не включаются в себестоимость выплаты работникам предприятий, не связанные непосредственно с оплатой труда, имеющие своим источником средства специальных фондов, целевых поступлений, фондов профсоюзных организаций и др. (материальная помощь, надбавки и единовременные пособия ветеранам труда, оплата путевок на лечение и отдых, дивиденды, выплачиваемые по акциям, компенсации в связи с повышением цен, оплата проезда к месту работы и проч.).
Отчисления на социальные нужды представляют собой форму перераспределения национального дохода на финансирование общественных потребностей. Начисленные средства направляются во внебюджетные фонды и используются на предусмотренные законом цели. Тарифы страховых взносов ежегодно утверждаются в федеральном законе, принимаемом Государственной Думой и одобряемом Советом Федерации.
В эту группу затрат в настоящее время включаются четыре вида платежей.
1. Отчисления в Фонд социального страхования Российской Федерации. Тариф страховых взносов установлен в размере 5,4% по отношению к начисленной оплате труда по всем основаниям. Эти взносы формируют, в основном, бюджеты профсоюзных организаций, из которых оплачиваются больничные листы, путевки в санатории, материальная помощь и другие социально-культурные нужды трудового коллектива и отдельных работников.
2. Отчисления в Пенсионный фонд Российской Федерации включаются в себестоимость продукции организациями-работодателями в размере 28% (в сельском хозяйстве 20,6%) от начисленного фонда оплаты труда. Индивидуальные предприниматели вносят в этот фонд 5% дохода, полученного от их деятельности, а работающие граждане 1% от заработной платы. Средства фонда используются на выплату всех видов пенсий и пособий пенсионерам и инвалидам.
3. Страховые взносы в Государственный фонд занятости населения Российской Федерации для предприятий-работодателей установлены в размере 1,5% от начисленного фонда оплаты труда. Средства фонда направляются на трудоустройство и помощь лицам, потерявшим работу.
4. Фонд обязательного медицинского страхования формируется из взносов в размере 3,6% от начисленной оплаты труда (из них 0,2% направляется в Федеральный фонд). Отчисления, формирующие этот фонд, направляются на финансирование учреждений здравоохранения.
Кроме вышеназванных фондов в стране действуют многочисленные негосударственные пенсионные фонды, фонды медицинского страхования, службы трудоустройства и т.п., формирование средств которых имеет другие источники, не относящиеся к себестоимости продукции предприятий.
Амортизация основных фондов на их полное восстановление включается в себестоимость продукции в суммах, определяемых на основе балансовой стоимости фондов и действующих норм амортизационных отчислений. Износ начисляется как на собственные основные фонды, так и арендованные (если иное не предусмотрено договором аренды), а также на стоимость помещений, предоставляемых бесплатно предприятиям общественного питания и медицинского обслуживания трудовых коллективов предприятий.
В состав прочих затрат входят разнообразные и многочисленные расходы; налоги и сборы, отчисления в специальные фонды, платежи по обязательному страхованию имущества и за выбросы загрязняющих веществ в окружающую среду, оплата процентов за кредит, суммы износа по нематериальным активам, командировочные и представительские расходы, оплата работ по сертификации продукции, вознаграждения за изобретательства и рационализацию и др.
Расходы, включенные в себестоимость производимой продукции, образуют производственную себестоимость валовой продукции. Если в производственной себестоимости учесть (прибавить или вычесть) изменение остатков незавершенного производства, то определим производственную себестоимость товарной продукции. После прибавления к ней группы внепроизводственных расходов, связанных с реализацией продукции и отчислением средств в вышестоящие организации, получаем полную себестоимость товарной продукции.
Группировка затрат по экономическим элементам (смета затрат на производство)
По методам планирования, учета и распределения затраты классифицируются по экономическим элементам сметный разрез затрат и по месту их осуществления группировка по статьям калькуляции. Эта классификация имеет важное теоретическое и практическое значение, так как в соответствии с ее требованиями организуется экономическая деятельность предприятия.
Группировка затрат по экономическим элементам отражается в смете затрат на производство и реализацию продукции (работ, услуг). В ней собираются затраты по общности экономического содержания, по их природному назначению. Так, по элементу «Оплата труда» показывается весь фонд оплаты труда предприятия вне зависимости от того, какой категории работников он предназначен: производственным рабочим, служащим или младшему обслуживающему персоналу.
Амортизация основных фондов также отражает общую сумму начисленного износа от всех видов основных фондов предприятия: станков, на которых изготавливается продукция; всех видов производственных зданий, в том числе и заводоуправления; грузового и легкового автотранспорта и т.д. Смета затрат включает следующие элементы:
1) сырье, основные материалы, покупные полуфабрикаты, комплектующие изделия (за вычетом возвратных отходов);
2) вспомогательные и прочие материалы;
3) топливо со стороны;
.4) энергия со стороны;
5) заработная плата основная и дополнительная;
6) отчисления на социальные нужды;
7) амортизация основных фондов;
8) прочие денежные расходы.
В смете отражаются затраты, оплачиваемые поставщикам ресурсов со стороны. Если предприятие само производит какой-то вид ресурсов (сжатый воздух, пар, энергию), то издержки на их производство распределяются в смете по соответствующим элементам затрат (топливо, заработная плата, амортизация и т.п.).
Классификация затрат по экономическим элементам имеет для предприятия важное значение. Сметный разрез затрат позволяет определить общий объем потребляемых предприятием различных видов ресурсов. На основе сметы осуществляется увязка разделов производственно-финансового плана предприятия: по материально-техническому снабжению, по труду, определяется потребность в оборотных средствах и т.д.
По смете затрат исчисляется себестоимость валовой продукции, изменение остатка незавершенного производства, списание затрат на непроизводственные счета.
Вместе с тем на основе сметного разреза нельзя определить конкретное направление и место использования затрат (производственный процесс, обслуживание цеха, содержание заводоуправления и т.п.), что не позволяет анализировать эффективность использования затрат, вскрывать резервы их снижения. А главное, на основе элементов сметы невозможно определить себестоимость единицы выпускаемой продукции в разрезе всего ассортимента, а также каждого наименования, группы, вида. Эти задачи решает классификация затрат по статьям калькуляции.
Группировка затрат по статьям калькуляции
Классификация затрат по статьям калькуляции позволяет определить себестоимость единицы продукции, распределить затраты по ассортиментным группам, установить объем расходов по каждому виду работ, производственным подразделениям, аппарату управления, выявить резервы снижения затрат. Калькуляционный принцип группировки затрат лежит в основе построения плана счетов бухгалтерского учета во всех отраслях народного хозяйства в нашей стране и за рубежом. Отчетность также составляется и анализируется преимущественно по статьям калькуляции.
Экономика: Знания - Циклы - Макроэкономика