Производственные ресурсы предприятия


1.1. Предприятие как субъект и объект предпринимательской деятельности

Предприятие занимает центральное место в народно-хозяйственном комплексе любой страны. Это первичное звено общественного разделения труда. Именно здесь создается национальный доход.
Предприятие выступает как производитель и обеспечивает процесс воспроизводства на основе самоокупаемости и самостоятельности.
От того, насколько продуктивно работают предприятия, каково их финансовое состояние, зависят эффективность всей экономики и индустриальная мощь государства. Если схематично представить всю систему хозяйственного управления в стране в виде пирамиды, то ее основанием являются предприятия. Государственное, региональное, ведомственное управление может рассматриваться по отношению к процессам, происходящим на уровне предприятия, только как надстроечные, вторичные явления.
Предприятие самостоятельный хозяйственный субъект, производящий продукцию, выполняющий работы и оказывающий услуги в целях удовлетворения общественных потребностей и получения прибыли.
Предприятие это юридическое лицо (организация, фирма, концерн), отвечающее определенным признакам, установленным законодательством страны. К числу признаков юридического лица относятся: наличие своего имущества; самостоятельная имущественная ответственность; право приобретать, пользоваться и распоряжаться собственностью, а также осуществлять от своего имени иные дозволенные законом действия; право от своего имени быть истцом и ответчиком в суде и арбитраже, иметь самостоятельный бухгалтерский баланс, расчетный и иные счета в банке.
При любой форме хозяйствования предприятия играют важнейшую роль в экономике государства. С макроэкономических позиций предприятия являются основой для:

  • увеличения национального дохода, валового внутреннего продукта, валового национального продукта;
  • возможности существования всего государства и выполнения им своих функций. Это связано с тем, что значительная часть государственного бюджета формируется за счет налогов и сборов с предприятий;
  • обеспечения обороноспособности государства;
  • простого и расширенного воспроизводства;
  • развития национальной науки и ускорения научно-технического прогресса;
  • повышения материального благосостояния граждан страны;
  • развития медицины, образования и культуры;
  • решения проблемы занятости и многих других социальных проблем.
Эту роль предприятия будут выполнять только в том случае, если они эффективно функционируют.
Предприятия различаются между собой по многим характеристикам, по которым и ведется их классификация. Основными признаками классификации предприятий по группам являются:

  • отраслевая и предметная специализация;
  • структура производства;
  • мощность производственного потенциала (размер предприятия);
  • по организационно-правовым различиям и т.д.
Одним из главных до недавнего времени считались отраслевые различия выпускаемой продукции, в том числе ее назначение, способы производства и потребления. Уже при создании предприятия четко определяется, для какого конкретного вида продукции (вида работ) оно предназначено. В зависимости от этого предприятия разделяются на:

  • промышленные предприятия по выпуску продуктов питания, одежды и обуви; по изготовлению машин, оборудования, инструментов, добыче сырья, производству материалов, выработке электроэнергии и др.;
  • сельскохозяйственные предприятия по выращиванию зерна, овощей, скота, технических культур;
  • предприятия строительной индустрии, транспорта.
По структуре производства предприятия делятся на узкоспециализированные, многопрофильные, комбинированные.
Узкоспециализированными считаются предприятия, которые изготовляют ограниченный ассортимент продукции массового или крупносерийного производства, например производство чугуна, стального проката, литья, поковок для машиностроения, выработка электроэнергии, производство зерна, мяса и т. д.
К многопрофильным относят предприятия, которые выпускают продукцию широкого ассортимента и различного назначения. Такие предприятия чаще всего встречаются в промышленности и сельском хозяйстве. В промышленности они могут специализироваться одновременно, скажем, на изготовлении компьютеров, морских судов, автомобилей, детских колясок, холодильников, станков, инструмента и т. д., в сельском хозяйстве на выращивании зерна, овощей, фруктов, откорме скота, производстве кормов и т. п.
Комбинированные предприятия в классическом виде чаще всего встречаются в химической, текстильной и металлургической промышленности, в сельском хозяйстве. Суть комбинирования производства состоит в том, что один вид сырья или готовой продукции на одном и том же предприятии превращается параллельно или последовательно в другой, а затем в третий вид. Например, выплавленный в доменных печах чугун (наряду с его реализацией на сторону) используется собственным предприятием, где он переплавляется в стальные слитки.
Часть стальных слитков поступает в продажу потребителям в качестве готовой продукции, а часть идет в дальнейшую переработку в стальной прокат на собственном заводе. В текстильной промышленности практикуется комбинирование на изготовлении волокна из сырья, пряжи из волокна и полотна из пряжи.
Группировка предприятий по мощности производственного потенциала (размеру предприятия) получила наиболее широкое распространение. Как правило, все предприятия делятся на три группы: малые, средние и крупные. При отнесении предприятий к одной из указанных групп используются следующие показатели: численность работающих, объем выпуска продукции в стоимостном выражении, стоимость основных производственных фондов.
Рассмотрим более подробно классификацию предприятий по институциональным (организационно-правовым) различиям, связанную в первую очередь с юридическими принципами закрепления собственности (см. 1.1.1).
Самая многочисленная группа предприятий хозяйственные товарищества и общества.
Хозяйственные товарищества и общества коммерческие организации с разделенным на доли (вклады) учредителей (участников) уставным (складочным) капиталом. Имущество, созданное за счет вкладов учредителей (участников), а также произведенное и приобретенное хозяйственным товариществом или обществом в процессе его деятельности, принадлежит ему на праве собственности.
Хозяйственные товарищества могут создаваться в форме полного товарищества и товарищества на вере.
Полное товарищество товарищество, участники которого в соответствии с заключенным между ними договором занимаются предпринимательской деятельностью от имени товарищества и несут ответственность по его обязательствам принадлежащим им имуществом.
Товарищество на вере (коммандитное товарищество) товарищество, в котором наряду с участниками, осуществляющими от имени товарищества предпринимательскую деятельность и отвечающими по обязательствам товарищества своим имуществом (полными товарищами), имеются один или несколько участников-вкладчиков, которые несут риск убытков, связанных с деятельностью товарищества, в пределах сумм внесенных ими вкладов и не принимают участия в осуществлении товариществом предпринимательской деятельности.
О6щество с ограниченной ответственностью учреждается одним или несколькими лицами общества, уставный капитал которого разделен на доли, определенными учредительными документами; участники общества с ограниченной ответственностью не отвечают по его обязательствам и несут риск убытков, связанных с деятельностью общества, в пределах стоимости внесенных ими вкладов.
Общество с дополнительной ответственностью учреждается одним или несколькими лицами общества, уставный капитал которого разделен на доли, определенными учредительными документами; участники такого общества несут солидарную субсидиарную ответственность по его обязательствам своим имуществом в одинаковом для всех кратном размере к стоимости их вкладов, определяемом учредительными документами общества.
Акционерное общество общество, уставный капитал которого разделен на определенное число акций. Участники акционерного общества (акционеры) не отвечают по его обязательствам и несут риск убытков, связанных с деятельностью общества, в пределах стоимости принадлежащих им акций. Законом предусмотрены открытые и закрытые акционерные общества.
Открытое акционерное общество акционерное общество, участники которого могут отчуждать принадлежащие им акции без согласия других акционеров. Такое акционерное общество проводит открытую подписку на выпускаемые им акций и их свободную продажу. Открытое общество ежегодно публикует для всеобщего сведения годовой отчет, бухгалтерский баланс, отчет о прибылях и убытках.
Закрытое акционерное общество акционерное общество, акции которого распределяются только среди его участников (учредителей) или иного заранее определенного круга лиц. Такое общество не вправе проводить открытую подписку на выпускаемые им акции.
Дочернее хозяйственное общество это такое общество, если другое общество (основное) или товарищество в силу преобладающего участия в его уставном капитале, либо в соответствии с заключенным договором имеет возможность определять решения, принимаемые таким обществом.

Анализ уровня себестоимости


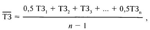
Эти расходы исчисляются, как правило, без учета внутризаводского оборота. Для анализа уровня себестоимости на различных предприятиях или ее динамики за разные периоды времени, затраты на производство должны приводиться к одному объему. Себестоимость единицы продукции (калькуляция) показывает затраты предприятия на производство и реализацию конкретного вида продукции в расчете на одну натуральную единицу. Калькуляция себестоимости широко используется в ценообразовании, хозяйственном расчете, планировании и сравнительном анализе.
Показатель снижения себестоимости сравнимой товарной продукции применяется для анализа изменения себестоимости во времени при сопоставимом объеме и структуре товарной продукции на тех предприятиях, которые имеют устойчивый по времени ассортимент изделий. Под сравнимой понимают такую продукцию, которая производилась серийно или массово в предшествующем году. К ней относится и частично модернизированная продукция, если эти изменения не привели к введению новых моделей, стандартов и технических условий.
Затраты на один рубль товарной (реализованной) продукции - наиболее известный на практике обобщающий показатель, который отражает себестоимость единицы продукции в стоимостном выражении обезличенно, без разграничения ее по конкретным видам. Он широко используется при анализе снижения себестоимости и позволяет, в частности, характеризовать уровень и динамику затрат на производство продукции в целом по промышленности.
Остальные встречающиеся на практике показатели себестоимости можно подразделить по следующим признакам:

  • по составу учитываемых расходов - цеховая, производственная, полная себестоимость;
  • по длительности расчетного периода - месячная, квартальная, годовая, за ряд лет;
  • по характеру данных, отражающих расчетный период,- фактическая (отчетная), плановая, нормативная, проектная (сметная), прогнозируемая;
  • по масштабам охватываемого объекта - цех, предприятие, группа предприятий, отрасль, промышленность и т.п.
Себестоимость продукции является одним из основных показателей работы предприятия. Исчисление себестоимости единицы отдельных видов продукции, работ или услуг и всей товарной продукции называется калькуляцией. Различают плановую, нормативную и отчетную (или фактическую) калькуляции.
Плановой калькуляцией определяют среднюю себестоимость продукции или выполненных работ на плановый период (год, квартал). Составляют их из прогрессивных норм расхода сырья, материалов, топлива, энергии, затрат труда, использования оборудования и нормы расходов по организации обслуживания производства. Эти нормы расходов являются средними для планируемого периода.
Разновидностью плановых являются сметные калькуляции, которые составляют на разовые изделия или определение цен, расчетов с заказчиками и других целей.
Нормативные калькуляции составляют на основе действующих на начало года, месяца, норм расхода сырья, материалов и других затрат (текущих норм затрат). Текущие нормы затрат соответствуют производственным мощностям предприятия на данном этапе его работы. Текущие нормы затрат в начале года, как правило, выше средних норм затрат, заложенных в плановую калькуляцию, а в конце года, наоборот, ниже.
Поэтому и нормативная себестоимость продукции в начале года, как правило, выше, а в конце года - ниже.
Отчетные или фактические калькуляции составляют по данным бухгалтерского отчета о фактических затратах на производство продукции и отражают фактическую себестоимость произведенной продукции или выполненных работ. В фактическую себестоимость продукции включают и не планируемые непроизводственные расходы.
Калькулирование себестоимости произведенной продукции осуществляют различными методами. Под методом калькуляции понимают систему приемов, используемых для исчисления себестоимости калькуляционной единицы. Выбор метода калькулирования себестоимости продукции зависит от типа производства, его сложности, наличия незавершенного производства, длительности производственного цикла, номенклатуры вырабатываемой продукции.
На промышленных предприятиях применяют нормативный, позаказной, попередельный, попроцессный (простой) методы учета затрат и калькулирования фактической себестоимости продукции.
Нормативный метод учета затрат на производство или калькулирования себестоимости продукции применяют, как правило, в отраслях обрабатывающей промышленности с массовым и серийным производством разнообразной и сложной продукции.
Сущность его заключается в следующем: отдельные виды затрат на производство учитывают по текущим нормам, предусмотренным нормативными калькуляциями; обособленно ведут оперативный учет отклонений фактических затрат от текущих норм с указанием места возникновения отклонений, причин и виновников их образования; учитывают изменения, вносимые в текущие нормы затрат в результате внедрения организационно-технических мероприятий, и определяют влияние этих изменений на себестоимость продукции. Фактическая себестоимость продукции определяется алгебраическим сложением суммы затрат по текущим нормам, величины отклонений от норм и величины изменений норм:
Зф=Зн+О+И,
где: Зф - затраты фактические, Зн - затраты нормативные, О - величина отклонений от норм, И - величина изменений норм.
При этом фактическую себестоимость изделия можно установить двумя способами. Если объектом учета производственных расходов являются отдельные виды продукции, то и отклонения от норм, а также их изменения можно отнести на эти виды продукции прямым путём. Фактическую себестоимость этих видов продукции определяют способом прямого расчёта по приведенной формуле.
Если субъектом счёта производственных расходов являются группы однородных видов продукции, то фактическую себестоимость каждого вида продукции устанавливают распределением отклонений от норм и изменений норм пропорционально нормативным затратам на производство отдельных видов продукции.
Применение нормативного метода учета затрат на производство и калькулирование себестоимости продукции требует разработки нормативных калькуляций на основе норм основных затрат, действующих на начало месяца, и квартальных смет расходов по обслуживанию производства и управлению. На предприятиях, отличающихся относительной стабильностью технологических процессов, нормы затрат изменяются редко, поэтому плановая себестоимость мало отличается от нормативной. На этих предприятиях вместо нормативных калькуляций можно использовать плановые.
Отклонения фактических затрат от установленных норм по отдельным расходам определяют методом документирования или инвентарным методом.
Текущий учет затрат по нормам и отклонений от них ведут, как правило, только по прямым расходам (сырье и материалы, заработная плата). Отклонения по косвенным расходам распределяют между видами продукции по истечении месяца. Аналитический учет затрат на производство продукции осуществляют в карточках или особого рода оборотных ведомостях, составляемых по отдельным видам или группам продукции.
Позаказной метод учет производственных затрат аккумулирует затраты по отдельным работам, подрядам и заказам. Такой метод калькуляции применяется тогда, когда продукция производится отдельными партиями или сериями или, когда она изготовляется в соответствии с техническими условиями заказчиками. При данном методе объектом учета и калькулирования является отдельный производственный заказ. Под заказом понимают изделие, мелкие серии одинаковых изделий или ремонтные монтажные и экспериментальные работы.
При изготовлении крупных изделий с длительным процессом производства заказы выдают не на изделие в целом, а на его агрегаты, узлы, представляющие законченные конструкции.
Позаказная калькуляция широко используется производителями, работающими на основе заказов в таких сферах как печатное дело, авиационная промышленность, строительство, ремонт автомобилей, профессиональные услуги.
В целях регистрации различных производственных затрат для учета незавершенного производства используют ведомость калькуляции затрат по заказу и видам работ. Для каждого заказа заводится отдельная ведомость, в которой аккумулируются затраты по прямым материалам, прямому труду и заводским накладным расходам, относимых на этот заказ по мере его прохождения через процесс производства. В зависимости от потребностей компании форма ведомости может быть различной.
Теперь остановимся на аккумуляции затрат. При позаказной калькуляции затрат они отслеживаются следующим образом. Прямые материалы и прямой труд относятся непосредственно на конкретный вид работ, затраты, прямо не прослеживаемые, такие как заводские накладные расходы, относят на отдельные работы с использованием заданной ставки (распределения) накладных расходов.
Применение отнесенной ставки накладных расходов необходимо при сезонных колебаниях деловой активности, тогда можно вывести баллы, близкие по значениям показателям удельной себестоимости. Если же применить фактические величины накладных расходов, то в силу сезонного характера деловой активности месячные показатели удельной себестоимости могут получиться искаженными.



Дефицит машинного времени, материалов


То, что один и тот же продукт в один месяц учитывается по одной ставке заводских накладных расходов, а во второй - по другой, не является логичным. Эта разница в ставках накладных расходов не отражает месячные, нормальные условия производства. Средняя месячная норма, определяемая расходами, исходя из годового объема производства, более точно, чем фактические месячные показатели, отражает типичный характер отношений между полными заводскими накладными расходами и объемом производства.
Степень готовности изделия, используемая для определения ставки заводских накладных расходов, в разных функциональных подразделениях разная. Это зависит от того, какой вид затрат наиболее соответствует действительности на данном производстве и какова, связанная с этим динамика затрат. В одном подразделении для определения коэффициента использования, целесообразно исходить из прямых трудозатрат в человеко-часах, в другом имеет смысл опираться на показатель в машино-часах как наиболее характерный для данного производства.
Сравнение отнесенных накладных расходов с фактическими, позволяет определить в каких случаях в течение года на производственную себестоимость было отнесено слишком мало накладных расходов (недопоглощенные накладные расходы), а в каких слишком много (избыточно поглощенные заводские расходы).
В конце года разница между фактически отнесенными накладными расходами и отнесенными накладными расходами, если она существует и несущественна, исчерпывается в себестоимости реализованной продукции. Если же эта разница существенна, то тогда затраты на незавершенное производство, себестоимость готовой и реализованной продукции на конец года корректируются, соответственно в единицах продукции или денежных единицах, пропорционально величине отклонения фактических накладных расходов от распределенных.
Типичные записи в журнале при учете операций позаказной калькуляции затрат имеют следующий вид:
отнести прямые затраты и прямой труд на продукт-заказ “А”
отнести заводские накладные расходы на незавершенное производство по продукту-заказу “А”
занести в учет фактические накладные расходы по заказу “А”
переместить обработанные изделия по заказу “А”
занести в учет продажу готовой продукции по заказу “А”
Здесь же нужно уделить внимание характеристикам производственной мощности.
Термин мощность означает «степень сдерживания», «верхний предел». Дефицит машинного времени, материалов и т. д. может решающим образом сказаться на ограничении производства и продаж. Администрация в целях текущего планирования и контроля устанавливает верхний предел мощности предприятия, принимая во внимание технические и экономические факторы.
Обычно именно администрация, а не внешние факторы определяют верхнюю границу производственных мощностей. При определении пределов производственной мощности руководство учитывает собственные решения относительно приобретения основных средств. В свою очередь, менеджеры, изучив возможный эффект от этих капитальных затрат, при ведении хозяйственных операций на годы вперед, подготавливают решения по станкам и оборудованию.
Очень важно выяснить различные характеристики (знаменателя) производственной мощности, поскольку это влияет на оценку плановых показателей и определение результатов деятельности. Это также отражается на избыточной и недостаточной поглощаемости заводских накладных расходов.
Производственная мощность - это способность производить продукцию в течение заданного периода времени. Ее верхний предел обуславливается наличием помещений, оборудования, трудовых ресурсов, материалов и капитала. Производственная мощность может выражаться в единицах продукции, денежных единицах, трудозатратах и т.д. Существует четыре основных уровня производственной мощности:
теоретическая - представляет собой объем хозяйственных операций, который может быть достигнут в идеальных условиях работы с минимально возможным отрицательным результатом. Это максимально возможный выход продукции, называемый также идеальной, паспортной или максимальной производственной мощностью;
практическая - это наивысший уровень производства, который достигается предприятием при сохранении приемлемой степени эффективности с учетом неизбежных потерь производственного времени (отпуска, выходные и праздничные дни, ремонт оборудования), также называется максимальной практической производственной мощностью;
нормальная - производственная мощность которая представляет собой средний уровень хозяйственной деятельности, достигаемый для удовлетворения спроса на производимые предприятием товары и услуги в течение целого ряда лет с учетом сезонных и циклических колебаний спроса, тенденций его роста или сокращения.
Ожидаемый годовой объем производства. Это понятие близкое к нормальной производственной мощности, но с тем отличием, что оно ограничено одним определенным годом. Эту характеристику называют также плановой производственной мощностью.
В зависимости от того, какой уровень производственной мощности будет выбран для определения ставки заводских накладных расходов, зависит потенциально долгосрочный эффект на избыточную и недостаточную поглощаемость накладных расходов.
Можно также отметить, что можно использовать калькуляцию по нормативным затратам в сочетании с позаказной калькуляцией. Калькуляция нормативных затрат является тем инструментом, который может дополнить позаказную калькуляцию. Позаказная калькуляция применяется тогда, когда определенными затратами предусматривается одной составной единицы продукции, или небольшой партии самостоятельных изделий.
Единицы продукции индивидуализируются сообразно специфическим требованиям покупателей. Установление нормативных затрат может быть полезным при предварительном производстве расчетов по прямым материалам, нормативным заводским накладным расходам, прямому труду необходимым для выполнения каждого заказа. Оно и понятно, т. к. это сочетание позволяет реально оценить степень риска при производстве, упростить жизнь менеджера и бухгалтера, сократить затраты времени при анализе конечных результатов деятельности предприятия на определенном отрезке времени.
При попроцессном методе производственные затраты аккумулируются по одинаковым продуктам производства. Компания может применять для одних продуктов производства попроцессную калькуляцию, а для других - позаказную. При попроцессной калькуляции производственные затраты группируются по подразделениям или по производственным процессам. Полные производственные затраты аккумулируются по двум основным статьям -прямым материалам и конверсионным затратам (сумме прямых затрат на оплату труда и отнесенных на себестоимость готовой продукции заводских накладных расходов). Удельная себестоимость получается путем деления полной себестоимости, относимой на счет центра затрат, на объем производства этого центра затрат.
В этом смысле удельная себестоимость есть усредненный показатель. Попроцессная калькуляция удобна для тех компаний, которые производят сплошную массу одинаковой продукции посредством ряда операций или процессов. В общем плане попроцессная калькуляция используется в таких отраслях как нефтяная, угольная, химическая, текстильная, бумажная и т. д. Поскольку удельная себестоимость при попроцессной калькуляции представляет собой усредненный показатель, то и попроцессная система учета требует меньшего числа хозяйственных операции, чем позаказная система. Именно поэтому многие компании предпочитают пользоваться попроцессной калькуляцией затрат. В любом случае, прежде чем остановиться на конкретной системы, необходимо уяснить принципиальные особенности каждой системы в более широком плане. Обычно выбор того или иного метода калькулирования в значительной степени зависит от характеристик производственного процесса и видов производимой продукции.
Если это продукция одного типа, она продвигается от одного технологического участка к другому непрерывным потоком, предпочтительным является метод попроцессной калькуляции затрат. Однако если затраты на производство различных видов продукции значительно отличаются друг от друга, то применение попроцессной калькуляции не сможет обеспечить производителя адекватной информацией, поэтому здесь более уместно воспользоваться методом позаказной калькуляции.
Некоторые компании могут посчитать необходимым применить смешанный вариант использования этих двух систем, исходя при этом из характера движения продукции по производственным цехам, например, в условиях параллельных технологических процессов.
Наиболее подходят для попроцессной калькуляции предприятия, имеющие следующие особенности:

  • качество продукции однородно;
  • отдельный заказ не оказывает влияния на производственный процесс в целом;
  • выполнение заказов покупателя обеспечивается на основе запасов производителя;
  • производство является серийным массовым и осуществляется поточным способом;
  • применяется стандартизация технологических процессов и продукции производства;
  • спрос на выпускаемую продукцию постоянен;
  • контроль затрат по производственным подразделениям является более целесообразным, чем учет на основе требований покупателя или характеристик продукции;
  • стандарты по качеству проверяются на уровне производственных подразделений; например, технический контроль проводится на уровне производственных подразделений непосредственно на линии в ходе производственного процесса;
Существует три различных способа организации движения продукции связанного с попроцессной калькуляцией затрат:



Дивизиональная структура управления


Для предприятий такого типа более подходят дивизиональные структуры. Дивизиональная структура управления
Особенности и области применения. Необходимость данного подхода к организации управления была вызвана резким увеличением размеров предприятий, диверсификацией их деятельности и усложнением технологических процессов в условиях динамично меняющейся внешней среды. Первыми перестройку структуры по этой модели начали крупнейшие организации, которые в рамках своих гигантских предприятий (корпораций) стали создавать производственные отделения, предоставляя им определенную самостоятельность в осуществлении оперативной деятельности. В то же время администрация оставляла за собой право жесткого контроля по общекорпоративным вопросам стратегии развития, научно-исследовательских разработок, инвестиций и т.п.
Поэтому данный тип структуры нередко характеризуют как сочетание централизованной координации с децентрализованным управлением (децентрализация при сохранении координации и контроля).
Ключевыми фигурами в управлении организациями с дивизиональной структурой становятся не руководители функциональных подразделений, а управляющие (менеджеры), возглавляющие производственные отделения.
Структуризация организации по отделениям производится обычно по одному из трех критериев: по выпускаемой продукции или предоставляемым услугам (продуктовая специализация), по ориентации на потребителя (потребительская специализация), по обслуживаемым территориям (региональная специализация).
Организация подразделений по продуктовому принципу ( 5.1.4) является одной из первых форм дивизиональной структуры, и в настоящее время большинство крупнейших производителей потребительских товаров с диверсифицированной продукцией используют продуктовую структуру организации.


Дивизиональная структура управления


4.1.4. Продуктовая структура управления

При использовании дивизионально-продуктовой структуры управления создаются отделения по основным продуктам. Руководство производством и сбытом какого-либо продукта (услуги) передаются одному лицу, которое является ответственным заданный тип продукции. Руководители вспомогательных служб подчиняются ему.
Некоторые предприятия производят большой ассортимент товаров или услуг, которые отвечают запросам нескольких крупных групп потребителей или рынков. Каждая группа или рынок имеет четко определенные, или специфические, потребности. Если два или более таких элемента становятся особенно важными для предприятия, но может использовать организационную структуру, ориентированную на потребителя, при которой все ее подразделения группируются вокруг определенных групп потребителей ( 4.1.5)
Данный тип организационной структуры находит применение в достаточно специфичных областях, например в сфере образования, где в последнее время наряду с традиционными общеобразовательными программами возникли специальные отделения для обучения взрослых, повышения квалификации и т.д. Примером активного использования организационной структуры, ориентированной на потребителя, являются коммерческие банки.


Дивизиональная структура управления


4.1.5. Организационная структура, ориентированная на потребителя

Основные группы потребителей, пользующихся их услугами, индивидуальные клиенты (частные лица), пенсионные фонды, трастовые фирмы, международные финансовые организации. Организационные структуры, ориентированные на покупателя, в равной степени характерны для торговых форм, торгующих оптом и в розницу.
Если деятельность предприятия охватывает большие географические зоны, особенно в международном масштабе, то может оказаться целесообразной организационная структура по территориальному принципу, т.е. по месту расположения ее подразделений (рис 4.1.6). Региональная структура облегчает решение проблем, связанных с местным законодательством, обычаями и нуждами потребителей. Такой подход упрощает связь предприятия с клиентами, а также связь между его подразделениями.


Дивизиональная структура управления


5.1.6. Региональная организационная структура


Хорошо знакомым примером региональных организационных структур могут служить сбытовые подразделения крупных предприятий. Среди них зачастую можно встретить подразделения, деятельность которых охватывает весьма обширные географические зоны, которые в свою очередь делятся на более мелкие подразделения, поделенные на еще более мелкие блоки.
Преимущества и недостатки. Различные типы дивизиональной структуры имеют одну и ту же цель обеспечить более эффективную реакцию предприятия на тот или иной фактор окружающей среды.
Продуктовая структура позволяет легко справиться с разработкой новых видов продукции, исходя из соображений конкуренции, совершенствования технологии или удовлетворения потребностей покупателей. Региональная структура позволяет более эффективно учитывать местное законодательство, социально-экономическую систему и рынки по мере географического расширения рыночных зон. Что касается структуры, ориентированной на потребителя, то она дает возможность наиболее эффективно учитывать запросы тех потребителей, от которых предприятие более всего зависит.
Таким образом, выбор дивизиональной структуры должен быть основан на том, какой из этих факторов наиболее важен с точки зрения обеспечения реализации стратегических планов предприятия и достижения его целей.
Дивизиональная структура существенно ускоряет реакцию предприятия на изменения, происходящие во внешней среде. В результате расширения границ оперативно-хозяйственной самостоятельности отделения рассматриваются как центры прибыли, активно использующие предоставленную им свободу для повышения эффективности работы.
В то же время дивизиональные структуры управления привели к росту иерархичности, т.е. вертикали управления. Они потребовали формирования промежуточных уровней управления для координации работы отделений, групп и т.п. Дублирование функций Управления на разных уровнях в конечном счете привело к росту затрат на содержание управленческого аппарата.
Адаптивные структуры управления
Особенности и области применения. Адаптивные, или органические, структуры управления обеспечивают быструю реакцию предприятия на изменения внешней среды, способствуют внедрению новых производственных технологий. Эти структуры ориентируются на ускоренную реализацию сложных программ и проектов, могут применяться на предприятиях, в объединениях, на уровне отраслей и рынков.
Обычно выделяют два типа адаптивных структур: проектный и матричный.
Проектная структура формируется при разработке организацией проектов, под которыми понимаются любые процессы целенаправленных изменений в системе, например модернизация производства, освоение новых изделий или технологий, строительство объектов и т.п. Управление проектом включает определение его целей, формирование структуры, планирование и организацию выполнения работ, координацию действий исполнителей.
Одной из форм проектного управления является формирование специального подразделения проектной команды, работающей на временной основе. В ее состав обычно включают необходимых специалистов, в том числе и по управлению. Руководитель проекта наделяется так называемыми проектными полномочиями.
В их числе ответственность за планирование проекта, за состояние графика и ход выполнения работ, за расходование выделенных ресурсов, в том числе и за материальное поощрение работающих. В связи с этим большое значение придается умению руководителя сформировать концепцию управления проектом, распределить задачи между участниками команды, четко определять приоритеты и ресурсы, конструктивно подходить к разрешению конфликтов. По завершении проекта структура распадается, а сотрудники переходят в новую проектную структуру или возвращаются на свою постоянную должность (при контрактной работе увольняются). Такая структура обладает большой гибкостью, но при наличии нескольких целевых программ или проектов приводит к дроблению ресурсов и заметно усложняет поддержание и развитие производственного и научно-технического потенциала организации как единого целого.
При этом от руководителя проекта требуется не только управление всеми стадиями жизненного цикла проекта, но и учет места проекта в сети проектов данной организации.
С целью облегчения задач координации в организациях создаются штабные органы управления из руководителей проектов или используются так называемые матричные структуры.
Матричная структура ( 4.1.7) представляет собой решетчатую организацию, построенную на принципе двойного подчинения исполнителей: с одной стороны, непосредственному руководителю функциональной службы, которая предоставляет персонал и техническую помощь руководителю проекта, с другой руководителю проекта (целевой программы), который наделен необходимыми полномочиями для осуществления процесса управления в соответствии с запланированными сроками, ресурсами и качеством. При такой организации руководитель проекта взаимодействует с двумя группами подчиненных: с постоянными членами проектной группы и с другими работниками функциональных отделов, которые подчиняются ему временно и по ограниченному кругу вопросов. При этом сохраняется их подчинение непосредственным руководителям подразделений, отделов, служб.



Доходы и расходы по судебным искам


8.1. Форма собственности и ее изменение
8.2. Правовой статус предприятия
8.3. Профилактика правонарушений
8.4. Доработка юридических документов фирмы
8.5. Доходы и расходы по судебным искам
9. Издержки предприятия
9.1. Себестоимость, маржа и прибыль по каждому продукту
9.2. Постоянные и переменные издержки
9.3. Смета затрат на производство
9.4. Снижение издержек предприятия за счет инноваций
9.5. Издержки, прибыль и убытки по предприятию и подразделениям
9.6. Период достижения безубыточности по новым това| и инвестиционным проектам
10. Финансовый план
10.1. Долгосрочный план финансирования инвестиций^
10.2. Кредитный план
10.3. Финансовые издержки
10.4. Объем продаж по видам деятельности
10.5. Баланс предприятия
10.6. Распределение прибыли предприятия
10.7. Формирование и увеличение уставного капитала
10.8. Бюджет предприятия (поквартальный и годовой)
10.9. Финансовые показатели предприятия
11. Сопроводительные документы
Для малого предприятия бизнес-план значительно меньше по объему, но в нем обязательно должны быть следующие разделы:
резюме;
описание бизнеса;
план маркетинга;
производство продукции;
финансовый план.
Изложение коммерческого замысла должно быть четким, ясным, простым.


8.6. Организация финансирования и кредитования

Финансирование промышленного предприятия представляет собой систему финансово-экономических отношений, которые возникают в процессе кругооборота основного капитала и оборотных средств в сфере производства и обращения, образования и использования денежных доходов и фондов денежных ресурсов. Оно выполняет функции обеспечения предприятий денежными ресурсами, распределения денежных доходов, контроля и стимулирования.
Основой финансирования предприятий является финансовый план, который отражает в денежной форме баланс доходов и расходов, а также финансовые результаты хозяйственной деятельности.
Финансовый план включает следующие разделы:
доходы и поступления средств (доходы, составляющие денежные накопления предприятия, доходы, являющиеся результатом внутреннего перераспределения средств, поступления средств из внешних источников);
расходы и отчисления средств (затраты на расширение производства и совершенствование его технологии, расходы на культурно-бытовое обслуживание работников предприятия, амортизационные отчисления и т. п.);
кредитные взаимоотношения (взаимоотношения с банком);
взаимоотношения с бюджетом (взаимоотношения предприятия государством платежи в бюджет).
В процессе выполнения финансовый план может корректироваться в результате изменения качественных и количественных показателей производственного плана.
При составлении финансового плана собственные оборотные средства ежегодно уточняются. Прирост собственных оборотных средств в основном обеспечивается за счет внутрипромышленных источников, прибыли и устойчивых пассивов (суммы периодически образующейся задолженности). Кроме того, используются кредит и целевое финансирование.
Для финансирования основного капитала может быть использован кредит, а также собственные средства. Собственным источником финансирования капитальных вложений в создание и обновление основного капитала является фонд развития производства. За счет собственных средств, в частности прибыли и амортизационных отчислений, финансируются техническое перевооружение, реконструкция и расширение промышленного предприятия (создание новых рабочих мест).
Кредитование промышленного предприятия может быть краткосрочным (до 1 года) и долгосрочным (от 2 до 5 лет). Краткосрочный кредит предоставляется для обеспечения сверхнормативных запасов сырья и материалов, на своевременную выплату заработной платы и на временное восполнение недостатка собственных оборотных средств. Краткосрочный банковский кредит может быть получен на внедрение новой техники, технологии, механизацию и автоматизацию производственных процессов, на выпуск продукции повышенного качества и т. д.
Налоги на пользование банковским кредитом уплачиваются из прибыли предприятия по установленным дифференцированным процентным ставкам за краткосрочный кредит.
Долгосрочный кредит банка выдается на реконструкцию и расширение действующих предприятий, строительство новых предприятий при условии возмещения затрат в пределах 5 лет. Погашение кредита производится за счет прибыли и амортизационных отчислений в сроки, установленные обязательствами, с одновременной уплатой соответствующих процентов.
Выпуск ценных бумаг мобилизует личные средства работающих на предприятии, которые могут быть использованы на решение производственных задач.
Финансовый контроль за хозяйственной деятельностью предприятия со стороны банка осуществляется на основе использования плановых стоимостных показателей и охватывает производство, распределение, обращение и потребление товарно-материальных ценностей в денежном выражении.
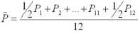
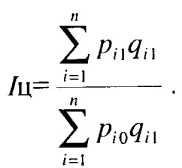
Для оценки потока реальных денежных средств используется информация, представленная в табл. 8.5.1 8.5.4.
Проанализировав данные табл. 8.5.4, можно установить изменение по каждой из статей активной и пассивной частей баланса. Например, основные средства и прочие внеоборотные средства в (t + 2)-м году возросли в 1,76 раза, а их доля по сравнению с t-м годом сократилась с 90 до 54,4%.
Расчеты с кредиторами возросли почти в 40 раз, а их доля составила 7,3% по сравнению с 0,5% в t-м году.
Показатели финансового состояния промышленного предприятия могут варьировать в зависимости от специфики отрасли, целей развития предприятия (инвестиционного проекта) и других факторов.
Анализ финансового состояния промышленного предприятия показывает, какое воздействие на размещение средств предприятия, состояние источников их формирования, результаты хозяйственной деятельности и деловой активности оказывают следующие показатели:
объем производства;
валовая и чистая прибыль, а также их удельная величина, т. е. рентабельность продукции и производства;
длительность и скорость оборачиваемости оборотного капитала и товарно-материальных запасов, что непосредственно отражается на уровне рентабельности производства;
обеспеченность капитальных вложений и источников финансирования (устанавливается их влияние на инвестирование программы по этапам капитального строительства).
Финансовое состояние предприятия характеризуется его ликвидностью и финансовой устойчивостью.
Таблица 8.5.1.
Показатели, характеризующие поток реальных денежных средств от инвестиционной деятельности


№ строки
Наименование показателя
Обозна-чение*
Значение показателя по годам
1
2
3

i-й
Год ликви-дации
1
Земля
З






П






2
Здания, сооружения
З






П






3
Машины и оборудование, передаточные устройства
З






П






4
Нематериальные активы
З






П






5
Итого вложения в основной капитал (стр. 1+2 + + 3 + 4)
З






П






6
Прирост оборотных средств
З






П






7
Всего инвестиций (стр. 5 + 6)
З






П







* 3 затраты на приобретение активов и увеличение капитала, учитываемые со знаком «минус»; П поступления от их продажи уменьшения капитала, учитываемые со знаком «плюс».

Ликвидность предприятия отражает платежеспособность и оценивается с помощью следующих показателей:
коэффициент текущей ликвидности - отношение оборотных активов к краткосрочным обязательствам (краткосрочные кредиты и займы, включая краткосрочную кредиторскую задолженность);
коэффициент быстрой или критической ликвидности оборотные активы плюс дебиторская задолженность, со сроком погашения до 12 месяцев, отнесенные к краткосрочным обязательствам;
коэффициент абсолютной ликвидности - высоколиквидные активы (денежные средства и краткосрочные финансовые вложения), отнесенные к краткосрочным обязательствам.
Финансовое состояние предприятий считается благоприятным при соблюдении следующих условий: коэффициент текущей ликвидности должен быть не менее двух единиц, коэффициент быстрой ликвидности не менее единицы, коэффициент абсолютной ликвидности - в пределах от 0,2 до 0,5.
Финансовая устойчивость предприятия оценивается с помощью следующих показателей:
коэффициент автономии отношение собственного капитала к сумме активов (валюта баланса) не должен превышать 0,5;

Таблица 8.5.2.
Поток реальных денег от операционной (эксплуатационной) деятельности


№ строки
Наименование показателя
Значение показателя по годам
1
2

i-й
Год ликви-дации
1
Объем продаж





2
Цена





3
Выручка* (стр. 1
Доходы и расходы по судебным искам
стр. 2)





4
Внереализационные доходы





5
Переменные затраты





6
Постоянные затраты





7
Амортизация оборудования





8
Амортизация зданий, сооружений





9
Проценты по кредитам





10
Прибыль до вычета налогов**





11
Налоги и сборы





12
Проектируемый чистый доход (стр. 10 -стр. 11)





13
Амортизация (стр. 7 + стр. 8)





14
Чистый приток oт операции (стр. 12 + стр. 13)







Функция формирования эффективного работника


Оптимизирующая функция проявляется в обеспечении полного соответствия уровня организации труда прогрессивному уровню технического вооружения производства, в достижении научной обоснованности норм труда и интенсивности труда, в обеспечении соответствия уровня оплаты труда его конечным результатам. Оптимизация в современных условиях центральное направление в поиске путей решения различных задач в области организации труда.
Функция формирования эффективного работника. Это осуществление на научной основе профессиональной ориентации и профессионального отбора работников, их обучения, систематического повышения квалификации. Требования к качеству подбора работников и к их профессиональному мастерству в условиях перехода к рыночным отношениям существенно возрастают.
Увеличение сложности используемой техники ведет к росту ответственности исполнителей за своевременные и правильные решения и действия. Научный подход к формированию кадров и к их подготовке таково веление времени, и это становится важной функцией НОТ.
Трудощадящая функция проявляется в создании благоприятных, безопасных и здоровых условий труда, в установлении рационального режима труда и отдыха, в использовании режима гибкого рабочего времени, в облегчении тяжелого труда до физиологически нормальной величины.
Забота общества об охране и укреплении здоровья людей дело первостепенной важности. Проблемы здоровья людей в значительной мере определяются производственными условиями. Одна из функций НОТ в том и состоит, чтобы способствовать сохранению здоровья трудящихся на производстве.
Функция возвышения труда. Это чрезвычайно важная функция организации общественного труда в цивилизованном государстве. Нельзя говорить о НОТ, сколь бы экономичен ни был труд, если при этом забывают о самом человеке, с его социальными запросами и стремлением к высоко содержательному, престижному труду.
Возвышает труд создание на производстве условий для гармоничного развития человека, повышение содержательности и привлекательности труда, искоренение рутинных и примитивных трудовых процессов, обеспечение разнообразия труда и его гуманизации.
Воспитательная и активизирующая функции направлены на выработку дисциплины труда, развитие трудовой активности и творческой инициативы. Высокий уровень организации труда способствует формированию этих качеств работника, а чем выше качества исполнителей, тем выше и уровень организации труда.
Понимание функций НОТ позволяет обеспечить всесторонний, комплексный подход к решению проблем организации труда на предприятии, более четко представить механизм воздействия НОТ на работника и само производство. Функции НОТ это ее свойства и признаки. Для научной организации труда должно быть характерным единство указанных функций.
Подбор, подготовка, переподготовка и повышение квалификации работников. Работа с кадрами относится к организации труда, потому что без обеспечения определенного уровня умелости работника, без его профессионализма нельзя рассчитывать на сколько-нибудь эффективную деятельность на производстве.
Подготовке кадров должен предшествовать профессиональный отбор кандидатов на то или иное рабочее место. В нашей стране профессиональный отбор получил распространение пока лишь для укомплектования должностей и профессий, которые предъявляют очень высокие требования к психофизиологическим качествам работника и к его здоровью. Однако задача профессионального отбора определение пригодности человека к выполнению конкретной работы и подбор наиболее эффективных исполнителей и руководителей если не для всех, то для большинства рабочих мест и должностей такая задача становится актуальной в системе рыночных отношений.
Профессиональная пригодность устанавливается путем проверки состояния здоровья, измерения определенных психофизиологических параметров человека, необходимых для избранной им профессии, использования тестового и других методов контроля. При профессиональном отборе необходимо обращать особое внимание на наличие или отсутствие тех свойств личности, которые не поддаются изменению, тренировке, формированию и которые определяются генотипом человека в отличие от фенотипа совокупности свойств человека, которые можно формировать или изменять. Перечень необходимых для конкретной профессии личных качеств исполнителя отражается в профессиограммах документах, и которых формулируются требования к предполагаемым исполнителям или работникам вообще.
Подготовка рабочих для современного производства осуществляется через систему профессионально-технического образования и через обучение на производстве.
Профессиональное обучение на производстве охватывает подготовку новых рабочих, переподготовку и обучение вторым профессиям, повышение их квалификации.
Подготовка новых рабочих на производстве осуществляется в форме индивидуальной и групповой подготовки на рабочих местах и курсовой системы обучения на учебно-производственной базе предприятия или в учебно-курсовых комбинатах. На предприятиях подготовка молодых рабочих проводится под руководством не освобожденных от основной работы квалифицированных рабочих, в учебно-курсовых комбинатах под руководством мастеров производственного обучения.
Переподготовка преследует цель обучения рабочих новым профессиям в соответствии с требованиями научно-технического прогресса.
Обучение вторым профессиям направлено на расширение производственного профиля рабочих, на возможность совмещения профессий в целях повышения производительности труда, повышения его содержательности и привлекательности.
Современное производство требует постоянного роста профессионального мастерства рабочих, совершенствования их знаний, навыков, умений. Этому способствует система повышения квалификации рабочих, которая осуществляется путем обучения на производственно-технических курсах, курсах целевого назначения (или овладения новой техникой и технологией), на курсах бригадиров и др. Большое значение приобретает в современных условиях переподготовка работников в соответствии с требованиями рынка труда.
Эту работу организует Федеральная служба занятости населения.
Важным элементом организации труда является разделение труда, т.е. обособление видов трудовой деятельности между работниками, бригадами и другими подразделениями на предприятии. Это отправной пункт организации труда, который, исходя из целей производства, состоит в закреплении за каждым работником и за каждым подразделением их обязанностей, функций, видов работ, технологических операций. Решение этого вопроса должно предусматривать наряду с требованием наиболее рационального использования рабочего времени и квалификации работника такую его специализацию, чтобы сохранялась содержательность труда, не допускалась его монотонность, обеспечивалась гармонизация физических и психических нагрузок.
Различают следующие формы разделения труда на предприятиях:
функциональное в зависимости от характера выполняемых работниками функций на производстве и участия их в производственном процессе. По этому признаку работники делятся на рабочих, служащих, младший обслуживающий персонал, сторожевую и пожарную охраны, учеников. В свою очередь рабочие могут составлять функциональные группы основных рабочих и вспомогательных. Среди последних выделяются группы ремонтных и транспортных рабочих, контролеров качества, рабочих по энергетическому обслуживанию и т.д.;
технологическое по фазам, видам работ, изделиям, узлам, деталям, технологическим операциям. Оно определяет расстановку работников в соответствии с технологией производства и в значительной степени влияет на уровень содержательности труда. При узкой специализации в работе появляется монотонность, при слишком широкой специализации повышается вероятность некачественного выполнения работ.
Ответственная задача организатора труда состоит в нахождении оптимального уровня технологического разделения труда. Разновидностями этой формы разделения являются под стальное, предметное и пооперационное разделение труда;
профессиональное по специальностям и профессиям. Исходя из этой формы разделения труда устанавливается потребная численность работников разных профессий;
квалификационное по сложности и точности работ в соответствии с профессиональными знаниями и опытом работы. Разделение труда здесь осуществляется по уровню квалификации работников исходя из требуемой квалификации работ.
Органически связана с разделением кооперация труда, т.е. установление системы производственной взаимосвязи и взаимодействия работников и подразделений между собой.
Существуют следующие формы кооперации труда:
межцеховая кооперация специализированных цехов, направленная на обеспечение слаженного их взаимодействия по выпуску конечной продукции предприятия;
внутрицеховая кооперация специализированных участков, цель которой взаимоувязка их деятельности по выпуску конечной продукции цеха;
внутриучастковая кооперация отдельных работников или производственных бригад по выпуску закрепленной за участком продукции;
внутрибригадная кооперация, объединяющая рабочих, совместно выполняющих единое для бригады производственное задание и несущих коллективную ответственность за результаты труда бригады.



Продукция предприятий отрасли, ее конкурентоспособность


2.1. Основные фонды: сущность основных фондов, их состав и структура

Основные фонды являются наиболее значимой составной частью имущества предприятия и его внеоборотных активов.
Основные средства это основные фонды, выраженные в стоимостном измерении.
Основные средства это средства труда, которые неоднократно участвуют в производственном процессе, сохраняя при этом свою натуральную форму, а их стоимость переносится на производимую продукцию частями по мере снашивания.
Закон воспроизводства основного капитала выражается в том, что в нормальных экономических условиях его стоимость, введенная в производство, полностью восстанавливается, обеспечивая возможность для постоянного технического обновления средств труда. При простом воспроизводстве за счет средств амортизационного фонда предприятия формируют новую систему оплаты труда, равную по стоимости изношенным. При больших масштабах используемого основного капитала крупные и крупнейшие предприятия имеют возможность за счет средств амортизационного фонда финансировать не только простое, но и в значительной мере расширенное воспроизводство средств труда.
К основным фондам относятся средства труда со сроком службы более одного года и стоимостью более 100 ММЗП за единицу (ММЗП минимальная месячная заработная плата).
Для учета, оценки и анализа основные средства (фонды) классифицируются по ряду признаков ( 2.1.1).
По принципу вещественно-натурального состава они подразделяются на: здания, сооружения, передаточные устройства, рабочие и силовые машины и оборудование, измерительные и регулирующие приборы и устройства, вычислительная техника, транспортные средства, инструмент, производственный и хозяйственный инвентарь и принадлежности, рабочий и продуктивный скот, многолетние насаждения, внутрихозяйственные дороги и прочие основные средства, а также земельные участки, находящиеся в собственности предприятия, учреждения.
По функциональному назначению основные фонды делятся на производственные и непроизводственные. К производственным основным фондам относятся те средства труда, которые непосредственно участвуют в производственном процессе (машины, оборудование и т.п.), создают условия для его нормального осуществления (производственные здания, сооружения, электросети и др.) и служат для хранения и перемещения предметов труда.
Непроизводственные основные фонды это основные фонды, которые непосредственно не участвуют в производственном процессе (жилые дома, детские сады и ясли, школы, больницы и др.), но находящиеся в ведении промышленных предприятий.
По принадлежности основные фонды подразделяются на собственные и арендованные.
Основные производственные фонды в зависимости от степени их воздействия на предмет труда разделяют на активные и пассивные.
К активным относятся такие основные фонды, которые в процессе производства непосредственно воздействуют на предмет труда, видоизменяя его (машины и оборудование, технологические линии, измерительные и регулирующие приборы, транспортные средства).
Все остальные основные фонды можно отнести к пассивным, так как они непосредственно не воздействуют на предмет труда, а создают необходимые условия для нормального протекания производственного процесса (здания, сооружения и др.).


Продукция предприятий отрасли, ее конкурентоспособность


2.1.1. Классификация основных средств (фондов)

Физический и моральный износ основных средств
Физический износ основных средств. Основные средства, участвующие в процессе производства, постепенно утрачивают свои первоначальные характеристики вследствие их эксплуатации и естественного снашивания. Под физическим износом понимается потеря средствами труда своих первоначальных качеств.
Уровень физического износа основных средств зависит от: первоначального качества основных фондов; степени их эксплуатации; уровня агрессивности среды, в которой функционируют основные фонды; уровня квалификации обслуживающего персонала; своевременности проведения ППР и др. Учет этих факторов в работе предприятий может в значительной мере повлиять на физическое состояние основных фондов.
Для характеристики степени физического износа основных фондов используется ряд показателей.
Коэффициент физического износа основных фондов (Ки.ф.):
Ки.ф. =
100 ,
где И сумма износа основных фондов (начисленная амортизация) за весь период их эксплуатации;
Пс первоначальная (балансовая) или восстановительная стоимость основных фондов.
Коэффициент физического износа основных фондов может быть определен по отдельным инвентарным объектам и на основе данных о фактическом сроке их службы.
Для объектов, фактический срок службы которых ниже нормативного, расчет ведется по формуле:
Киф =
100 ,
где Тф и Тн фактический и нормативный сроки службы данного инвентарного объекта.
Для объектов, у которых фактических срок службы равен нормативному или превысил его, коэффициент физического износа рассчитывается по следующей формуле:
Киф =
100 ,
где Тв возможный остаточный срок службы данного инвентарного объекта сверх фактически достигнутого в данный момент срока службы. Чаще всего он определяется экспертным путем.
Коэффициент физического износа зданий и сооружений может быть рассчитан по формуле:
Киф =
,
где di удельный вес i-го конструктивного элемента в стоимости здания, %;

процент износа i-го конструктивного элемента здания.
Коэффициент годности основных фондов укрупнено характеризует их физическое состояние на определенную дату и исчисляется по формуле:
Кгф =
100 ,
Коэффициент годности основных фондов может быть определен и на основе коэффициента физического износа:
Кгф = 100 Киф ,
Все эти формулы предполагают равномерное физическое изнашивание основных фондов, что не всегда совпадает с реальной действительностью.
Моральный износ основных фондов. Наряду с физическим износом основные фонды претерпевают моральный износ (обесценивание). Сущность морального износа состоит в том, что средства труда обесцениваются, утрачивают стоимость до их физического износа, до окончания срока своей физической службы.
Моральный износ проявляется в двух формах.
Первая форма морального износа заключается в том, что происходит обесценивание машин такой же конструкции, что выпускались и раньше, вследствие удешевления их воспроизводства в современных условиях.
Вторая форма морального износа состоит в том, что происходит обесценивание старых машин, физически еще годных, вследствие появления новых, более технически совершенных и производительных, которые вытесняют старые.
На каждом предприятии процесс физического и морального износа основных фондов должен управляться. Основная цель этого управления недопущение чрезмерного физического и морального износа основных фондов, особенно их активной части, так как это может привести к негативным экономическим последствиям для предприятия. Управление этим процессом происходит через проведение определенной политики воспроизводства основных фондов.
Амортизация основных фондов Амортизация это процесс перенесения стоимости изношенной масти основных фондов на создаваемую продукцию, выполняемую работу, оказываемые услуги. В соответствии с нормативами часть стоимости основных фондов включается в издержки производства или себестоимость продукции.
В основе амортизационной системы лежит ее воспроизводственная функция. Она является источником денежных средств целевого назначения. Сохранность этой функции должна обеспечиваться как ее объемами, определяемыми с учетом инфляции, так и целевым использованием.
Первое условие может выполняться при своевременном изменении норм амортизации и текущей индексации стоимости основных фондов, второе при хранении и использовании амортизационных средств на счетах в банках или специальном инвестиционном банке.
Объектами для начисления амортизации являются основные фонды предприятий, действующих как в сфере материального производства, так и в непроизводственной сфере.
Сумма амортизации это величина износа основных фондов, выраженная в денежной форме, за определенный период. Она определяется исходя из балансовой стоимости по каждому виду основных фондов с учетом ввода в эксплуатацию новых и выбытия изношенных, а также установленных норм амортизации в процентах. Сумма амортизации рассчитывается по формуле:
А = Ф n / 100 ,
где Ф балансовая стоимость основных фондов;
п норма амортизации.
Норма амортизации это установленный в процентах размер амортизационных отчислений по каждому виду основных фондов за определенный период. При этом за балансовую стоимость принимается стоимость основных производственных фондов по данным последней переоценки или их первоначальная стоимость:
п = А / Т Ф ,
где Т нормативный срок службы;
А полная сумма амортизации, начисленная за нормативный срок службы, руб.;
Ф первоначальная стоимость основных производственных фондов, руб.
Новым аспектом в политике амортизационных отчислений является введение для организаций и хозяйств права ускоренной амортизации. При введении ускоренной амортизации норма годовых амортизационных отчислений увеличивается не более чем в 2 раза и должна быть согласована в установленном порядке. Действие права на ускоренную амортизацию относится только к машинам, оборудованию и транспортным средствам, введенным в действие после 01.01.1991 г.



Производственная структура предприятия, его инфраструктура


3.1. Рынок. Понятие и разновидности.

Существует несколько определений рынка. Рынок это обмен, организованный по законам товарного производства и обращения, совокупность отношений товарного обмена. Рынок- это механизм взаимодействия покупателей и продавцов, иными словами, отношение спроса и предложения. Рынок- это сфера обмена внутри страны и между странами, связывающая между собой производителей и потребителей продукции.
Углубленное понимание категории рынок требует учета его места во всей системе общественного производства. Эта система включает в себя четыре сферы экономической деятельности: производство, распределение, обмен, потребление.
Естественной целью экономической жизни является потребление, важнейшей сферой экономики является производство. Без его развития не может быть рынка, именно производство рождает товарную массу. В изменении производственной сферы ключ ко всем изменениям в других сферах экономики. Это особенно важно для формирования рыночных отношений там, где их еще нет. Однако между производством и потреблением находятся и другие сферы.
За производством следует распределение, т.е. система, определяющая, кому достанутся непосредственные результаты производства, кто станет собственником произведенной продукции. Распределение играет огромную роль в определении социальных отношений между людьми и материального положения различных слоев общества. Но распределение - это не только следствие производства. От того, как распределяются результаты труда, во многом зависит эффективность производственного процесса. Хотя обмен занимает третье место, он, подобно распределению, оказывает сильное обратное воздействие на производство.
Это становится наглядным при рассмотрении функций рынка, о которых будет сказано ниже. Во всяком случае, сфера обмена играет огромную роль во всей системе общественного хозяйства, а поэтому и развитие рынка как совокупности отношений товарного обмена приобрело чрезвычайную историческую значимость. С одной стороны мы встречаем единственного производителя, господствующего на рынке, с другой - обнаруживаем тысячи и тысячи фирм, каждая из которых поставляет незначительную часть рыночной продукции.
Между этими крайностями располагается почти безграничное разнообразие рыночных структур. Рынок как развитая система отношений товарного обмена представляет собой систему отдельных взаимосвязанных рынков: рабочей силы, финансовый, средств производства, потребительский, услуг, технологии, духовных благ и др. Таким образом, рынок охватывает элементы материального и денежного обращения. Он связан и с непроизводственной сферой, и даже со сферой духовной. Однако его элементы не одинаковы по своему значению.
Рынок начинается с возможности приобретения рабочей силы (трудовых ресурсов) и средств производства (инвестиционных ресурсов). Без этих элементов производительных сил, без их соединения с помощью капитала не может функционировать производство. Огромное экономическое значение имеет потребительский рынок, т.е. рынок продовольствия, одежды, обуви, легковых автомашин и других предметов потребления. Без его развития теряется общественный смысл отношений обмена.
От состояния потребительского рынка зависит обеспеченность населения, уровень потребления, устойчивость денежного обращения. Финансовый рынок (рынок ссудных капиталов) обеспечивает подвижность капиталов, их перелив в наиболее прибыльные, наиболее важные, перспективные отрасли производства. Это один из самых комплексных рынков, он часто разбивается на: денежный рынок (краткосрочных кредитных операций, казначейских и коммерческих векселей, других краткосрочных денежных бумаг) и на рынок капиталов (средне- и долгосрочных ценных бумаг, т.е. акций и облигаций). Впрочем, комплексными являются и все остальные рынки. Рынок услуг существует в тех условиях, когда установлена плата за самые различные услуги.
Степень его развития определяет обеспеченность населения и предприятий услугами, их качество и своевременность. Рынок распространяется и на духовную сферу, превращая в объект купли-продажи технологию и духовные идеи и стимулируя материально их рождение, распространение, использование. Несомненно, что каждый элемент рынка имеет свое самостоятельное значение, но только тесное взаимодействие между ними приводит к плодотворному функционированию всего рыночного хозяйства. Степень развития рынка определяет и его масштабы.
Первоначально - при простом товарном хозяйстве - возникает сравнительно узкий рынок, где реализуются преимущественно предметы потребления. В дальнейшем, в особенности с переходом к капитализму, сфера товарного обращения необычайно расширяется. Возникает и развивается система рынков, на которых продаются и покупаются потребительские товары и средства производства, рабочая сила и т.д.
Со временем в ходе развития внешних экономических отношений складывается мировой рынок.
Утвердившиеся в обществе рыночные отношения оказывают огромное воздействие на все стороны хозяйственной жизни, выполняя ряд существенных функций.
Функция информационная. Через постоянно меняющиеся цены, процентные ставки на кредит рынок дает участникам производства объективную информацию об общественно необходимом количестве, ассортименте и качестве тех товаров и услуг, которые поставляются на рынок. Стихийно протекающие операции превращают рынок в гигантский компьютер, собирающий и перерабатывающий колоссальные объемы точечной информации и выдающий обобщенные данные по всему тому хозяйственному пространству, которое он охватывает.
Это позволяет каждому предприятию постоянно сверять собственное производство с меняющимися условиями рынка.
Функция посредническая. Экономически обособленные производители в условиях глубокого общественного разделения труда должны найти друг друга и обменяться результатами своей деятельности. Без рынка практически невозможно определить, насколько взаимовыгодной является та или иная технологическая и экономическая связь между конкретными участниками общественного производства. В нормальной рыночной экономике с достаточно развитой конкуренцией потребитель имеет возможность выбора оптимального поставщика (с точки зрения качества продукции, ее цены, сроков поставки, после сбытового обслуживания и других параметров).
В то же время продавцу предоставляется возможность выбрать наиболее подходящего покупателя.
Функция ценообразующая. На рынок поступают обычно продукты и услуги одного назначения, но содержащие неодинаковое количество материальных и трудовых затрат. Но рынок признает лишь общественно необходимые затраты, только их согласен оплатить покупатель.
Здесь, формируется отражение общественной стоимости, благодаря этому устанавливается подвижная связь между стоимостью и ценой, чутко реагирующая на изменения в производстве, в потребностях, в конъюнктуре.
Функция регулирующая самая важная. Она связана с воздействием рынка на все сферы экономики и, прежде всего, на производство. Рынок дает ответ на вопросы: что производить, для кого производить, как производить. Рынок не мыслим без конкуренции. Внутриотраслевая конкуренция стимулирует снижение затрат на единицу продукции, поощряет рост производительности труда, технический прогресс, повышение качества продукции.
Межотраслевая конкуренция путем перелива капиталов из отрасли в отрасль формирует оптимальную структуру экономики, стимулирует расширение наиболее перспективных отраслей. Сохранение и поддержание конкурентной среды - одна из важнейших задач государственного регулирования в странах с развитой рыночной системой.
Важную роль в рыночном регулировании имеет соотношение спроса и предложения, существенно влияющие на цены. Растет цена - необходимо расширять производство, падает - соответственно сокращать. В результате стихийные действия предпринимателей приводят к установлению более или менее оптимальных экономических пропорций. Предприниматель имеет в виду лишь свой собственный интерес, преследует собственную выгоду, причем в этом случае он невидимой рукой направляется к цели, которая совсем не входила в его намерения.
Преследуя свои собственные интересы, он часто более действенным способом служит интересам общества, чем тогда, когда сознательно стремится служить им.
В современных условиях экономика управляется не только «невидимой рукой», но и государственными рычагами, однако регулирующая роль рынка продолжает сохраняться, во многом определяя сбалансированность народного хозяйства.
Функция санирующая. Рыночный механизм это не благотворительная система. Ей присуще социальное расслоение, беспощадность по отношению к слабым.
С помощью конкуренции рынок очищает общественное производство от экономически неустойчивых, нежизнеспособных хозяйственных единиц и, напротив, дает возможность к существованию более предприимчивым и эффективным. В результате этого непрерывно взаимодействия повышается средний уровень устойчивости всего хозяйства в целом.
Средний цикл малого бизнеса не превышает шести лет. Нередко гибнут в конкурентной борьбе и крупные фирмы. Разумеется, в условиях конкуренции производства и капитала монополизация деформирует санирующий механизм рынка.



Планирование на предприятии


4.1. Понятие организации, организационного взаимодействия, организационной структуры

К понятию организация можно подходить с двух точек зрения - структурной и поведенческой. При структурном подходе организацию рассматривают как таковую, способы распределения производственных обязанностей и то, каким образом передаются полномочия и ответственность в рамках организации. При поведенческом подходе в центре исследования находится человек.
Независимо от того, насколько тщательно продумана структура организации, деятельность будет определяться в первую очередь людьми, входящими в состав этой организации, их способностями и мотивацией к труду.
Организация как процесс заключается в решении вопросов формирования структуры, касающихся:
ответственности, посредством которой поставленные перед предприятием задачи распределяются между отдельными руководителями и служащими,
формальных внутренних взаимоотношений между служащими предприятия по поводу разделения ответственности.
Организовать - значит спланировать и определить те функции и действия, которые необходимы для выполнения той или иной работы, а также объединить эти функции и действия в рамках группы, сектора, отдела, подразделения.
Организационное взаимодействие - это формальные отношения между отдельными позициями управления в рамках структуры.
Организация состоит из лиц, которые имеют перед собой некую цель, работают в одной команде, группе, используют определенные знания и технические приемы, выступают как единый целостный организм.
Организационная структура это состав (перечень) отделов, служб и подразделений в аппарате управления, системная их организация, характер соподчиненности и подотчетности друг другу и высшему органу управления фирмы, а также набор координационных и информационных связей, порядок распределения функций управления по различным уровням и подразделениям управленческой иерархии.
Базой для построения организационной структуры управления предприятием является организационная структура производства.
Многообразие функциональных связей и возможных способов их распределения между подразделениями и работниками определяет разнообразие возможных видов организационных структур управления производством. Все эти виды сводятся в основном к четырем типам организационных структур: линейным, функциональным, дивизиональным и адаптивным.
Линейная структура управления
Особенности и области применения. Сущность линейной (иерархической) структуры управлений состоит в том, что управляющие воздействия на объект могут передаваться только одним доминантным лицом руководителем, который получает официальную информацию только от своих, непосредственно ему подчиненных лиц, принимает решения по всем вопросам, относящимся к руководимой им части объекта, и несет ответственность за его работу перед вышестоящим руководителем ( 4.1.1).
Данный тип организационной структуры управления применяется в условиях функционирования мелких предприятий с несложным производством при отсутствии у них разветвленных кооперированных связей с поставщиками, потребителями, научными и проектными организациями и т.д. В настоящее время такая структура используется в системе управления производственными участками, отдельными небольшими цехами, а также небольшими фирмами однородной и несложной технологии.

Планирование на предприятии

4.1.1. Линейная структура управления: Р руководитель: Л линейные органы управления (линейные руководители); И исполнители
Преимущества и недостатки. Преимущества линейной структуры объясняются простотой применения. Все обязанности и полномочия здесь четко распределены, и поэтому создаются условия для оперативного процесса принятия решений, для поддержания необходимой дисциплины в коллективе.
В числе недостатков линейного построения организации обычно отмечается жесткость, негибкость, неприспособленность к дальнейшему росту и развитию предприятия. Линейная структура ориентирована на большой объем информации, передаваемой от одного уровня управления к другому, ограничение инициативы у работников низших уровней управления. Она предъявляет высокие требования к квалификации руководителей и их компетенции по всем вопросам производства и управления подчиненными.
Возрастание масштабов производства и его сложности сопровождается углублением разделения труда, дифференциацией функций деятельности производственной системы. При этом рост объема работ по управлению сопровождается углублением функционального разделения управленческого труда, обособлением функций и специализацией подразделений управления. При этом создается функциональный тип структуры управления.
Функциональная структура управления
Особенности и области применения. Функциональная структура ( 4.1.2) сложилась как неизбежный результат усложнения процесса управления. Особенность функциональной структуры заключается в том, что хотя и сохраняется единоначалие, но по отдельным функциям управления формируются специальные подразделения, работники которых обладают знаниями и навыками работы в данной области управления.

Планирование на предприятии

4.1.2. Функциональная структура управления: Р руководитель; Ф функциональные органы управления (функциональные руководители);
И исполнители
В принципе создание функциональной структуры сводится к группировке персонала по тем широким задачам, которые он выполняет. Конкретные характеристики и особенности деятельности того или иного подразделения (блока) соответствуют наиболее важным направлениям деятельности всего предприятия.
Традиционные функциональные блоки предприятия это отделы производства, маркетинга, финансов. Это широкие области деятельности, или функции, которые имеются на каждом предприятии для обеспечения достижения его целей.
Если размер всей организации или данного отдела велик, то основные функциональные отделы можно, в свою очередь, подразделить на более мелкие функциональные подразделения. Они называются вторичными, или производными. Основная идея здесь; состоит в том, чтобы максимально использовать преимущества специализации и не допускать перегрузки руководства.
При этом необходимо соблюдать известную осторожность с тем, чтобы такой отдел (или подразделение) не ставил бы свои собственный цели выше общих целей всего предприятия.
На практике обычно используется линейно-функциональная, или штабная, структура, предусматривающая создание при основных звеньях линейной структуры функциональных подразделений ( 4.1.3).

Планирование на предприятии

4.1.3. Линейно-функциональная структура управления: Рруководитель: Ф функциональные органы управления (функциональные руководители): Л линейные органы управления: И исполнители
Основная роль этих подразделений состоит в подготовке проектов решений, которые вступают в силу после утверждения соответствующими линейными руководителями.
Наряду с линейными руководителями (директорами, начальниками филиалов и цехов) существуют руководители функциональных подразделений (планового, технического, финансового отделов, бухгалтерии), подготавливающие проекты планов, отчетов, которые превращаются в официальные документы после подписания линейными руководителями.
Эта система имеет две разновидности: цеховую структуру управления, характеризующуюся созданием при начальнике цеха функциональных подразделений по важнейшим функциям производства, и безцеховую структуру управления, применяющуюся на небольших предприятиях и характеризующуюся делением не на цехи, а на участки.
Основным достоинством этой структуры является то, что она, сохраняя целенаправленность линейной структуры, дает возможность специализировать выполнение отдельных функций и тем самым повысить компетентность управления в целом.
Преимущества и недостатки. К преимуществам функциональной структуры можно отнести то, что она стимулирует деловую и профессиональную специализацию, уменьшает дублирование усилий и потребление материальных ресурсов в функциональных областях, улучшает координацию деятельности.
Вместе с тем специализация функциональных отделов нередко является препятствием для успешной деятельности предприятия, поскольку затрудняет координацию управленческих воздействий.
Функциональные отделы могут быть более заинтересованы в реализации целей и задач своих подразделений, чем общих целей всей организации. Это увеличивает вероятность конфликтов между функциональными отделами. Кроме того, на крупном предприятии цепь команд от руководителя до непосредственного исполнителя становиться слишком длинной.
Опыт показывает, что функциональную структуру целесообразно использовать на тех предприятиях, которые выпускают относительно ограниченную номенклатуру продукции, действуют в стабильных внешних условиях и для обеспечения своего функционирования требуют решения стандартных управленческих задач. Примерами такого рода могут служить предприятия, действующие в металлургической, резинотехнической промышленности, в отраслях, производящих сырьевые материалы.
Функциональная структура не подходит для предприятий с широкой или с часто меняющейся номенклатурой продукции, а также для предприятий, осуществляющих свою деятельность в широких международных масштабах, одновременно на нескольких рынках в странах с различными социально-экономическими системами и законодательством.



Инвестиционная деятельность предприятия


5.1. Организация планирования на предприятии. Составление производственной программы

Планированию деятельности предприятия предшествует разработка его стратегии развития и существования. Актуальность планирования работы предприятия является наилучшим способом оценить шансы на успех, уберечься от коммерческой деятельности, обреченной на провал, взглянуть на свое предприятие со стороны, выявляя его слабые и сильные стороны. Планирование является средством формирования целей фирмы и способов их достижения. Непременное условие эффективного планирования знание экономических законов. Например, закон стоимости требует, чтобы цена товара устанавливалась исходя из общественно необходимых затрат на производство и реализацию продукции.
Закон накопления проявляется в необходимости использования части прибыли для расширенного воспроизводства капитала. Без инвестиций в активы не стоит рассчитывать на победу в конкурентной среде. Закон повышающейся производительности труда ориентирует на снижение трудовых и материальных затрат при использовании инноваций.
Исходя из того, что планирование деятельности фирмы должно осуществляться с учетом законов экономической науки, его сущность можно сформулировать следующим образом. Планирование это центральное звено управления, процесс разработки планов, программ и проектов на основе использования экономических законов и передового опыта.
Планирование деятельности предприятия в зависимости от принятой в государстве политики регулирования экономических процессов может быть централизованным или децентрализованным. При административно-командной модели планирование осуществляется сверху вниз в виде директивных плановых заданий по выпуску продукции и поставке ее потребителям, которые заранее указаны вышестоящими ведомствами. При рыночной модели экономики производитель самостоятельно ищет покупателя своей продукции.
Результат хозяйственной деятельности прибыль или убыток в административной системе является предметом перераспределения, а в рыночной экономике отражается в приросте или потере капитала.
Планирование деятельности предприятия явление многогранное, оно может быть систематизировано в теории и на практике в зависимости от ряда факторов.
Существует следующая классификация планирования:
по видам стратегическое и текущее, которое подразделяется на технико-экономическое и оперативно-производственное;
по времени долгосрочное, среднесрочное, краткосрочное;
по объекту планирования план предприятия, цеха, отдела, бригады, участка, рабочего места;
по видам документов бизнес-план, программа, проект, прогноз, задание, заказ-наряд;
по методам планирования балансовый, нормативный, сетевой, графический, программно-целевой, экономико-математический;
по предмету планирования план объема продаж в натуральном и стоимостном выражении, численности работающих и оплаты труда; доходов, расходов и прибыли; финансирования инвестиций, кредитования и финансовых издержек; научных исследований и эффективности предприятия.
Долгосрочные планы разрабатываются на несколько лет. Они могут быть детерминированными, то есть установленными на определенный срок (57 лет), или скользящими. Планы ежегодно пересматриваются, уточняются показатели планируемого года исходя из отчетного. Последующие плановые периоды также претерпевают изменения.
Скользящие планы более объективно отражают ориентировки предприятия в условиях динамичной рыночной ситуации, чем жесткие пятилетние.
Стратегический план предприятия разрабатывается на 810 лет исходя из анализа, который предусматривает исследование внутренней среды предприятия с точки зрения сильных и слабых сторон, а также внешней среды с точки зрения возможностей и угроз.
Пример результата SWOT-анализа.
Внутренние сильные стороны:
достаточные финансовые ресурсы;
хороший имидж среди покупателей;
преимущества в себестоимости;
эффективный производственный менеджмент. Внутренние слабости:
нет четкого стратегического направления;
устаревшее оборудование;
отставание в научных разработках. Внешние возможности:
способность обслужить дополнительных клиентов;
новые технологии;
снятие таможенных барьеров на пути к привлекательным рынкам.
Внешние угрозы:
поступление на рынок дешевой продукции иностранного конкурента;
изменение потребностей и вкусов покупателей;
негативные сдвиги в курсе обмена валюты.
Основные разделы стратегического плана:
1. Динамика рынка и объема продаж.
2. Исследования и инновации.
3. Структурные изменения предприятия.
4. Долгосрочный план финансирования инвестиций.
Большое значение в практике планирования имеют знание и умение пользоваться различными методами составления планов, проектов, прогнозов, программ.
Под производственной программой предприятия понимается научно обоснованное плановое задание по объему, номенклатуре, ассортименту и качеству выпускаемой продукции, разработанное на основе заключенных договоров и утвержденное на предприятии соответствующим органом.
Производственная программа планируется на всех предприятиях, выпускающих продукцию для реализации потребителям или выполняющих отдельные виды работ и услуг. Она включает расчеты объема производства продукции (работ, услуг) и их обоснование производственными мощностями, материальными и трудовыми ресурсами. Содержание производственной программы зависит от различных факторов. Например, в зависимости от сферы производства различают продукцию материального производства (промышленная, сельскохозяйственная, строительная и др.) и услуги сферы нематериального производства (торговля, обучение, лечение и т.д.). В каждой отрасли производства выделяют группы и подгруппы выпускаемой продукции и оказываемых услуг.
Так, в промышленности есть автомобилестроение, станкостроение, ткацкое, швейное и обувное производство. Услуги также классифицируются по группам и подгруппам. Например, транспортные услуги подразделяются на железнодорожные, морские, воздушные, автомобильные и другие перевозки.
Различные виды товаров и услуг называются номенклатурой производственной программы. Ассортимент продукции (услуг) характеризует соотношение удельных весов отдельных видов изделий (работ) в производственной программе.
Таким образом, производственная программа предприятия представляет собой перечень и количество выпускаемой им продукции (выполняемых работ и оказываемых услуг) для потребителей. При разработке производственной программы учитывается основная цель предприятия увеличение объема продаж при росте прибыльности продукции и рентабельности капитала. Для достижения этой цели составляется стратегия развития предприятия на несколько лет вперед. При выработке долгосрочной стратегии необходимо учитывать стадии жизненного цикла основной номенклатуры производственной программы предприятия. Каждый товар проходит четыре стадии жизненного цикла: начало, развитие, зрелость, старение.
Выручка от реализации продукции и объем продаж изменяются по фазам жизненного цикла.
Натуральные измерители (штуки, тонны, метры и т.д.) характеризуют производственную специализацию предприятия и его долю на рынке. В расчете на единицу продукции устанавливаются технологические нормы расхода сырья, энергии, рабочего времени и рассчитывается себестоимость изделия (услуги). Без натуральных измерителей невозможно определить потребность в производственной мощности и ее использование.
Натуральные измерители наиболее полно и правильно характеризуют рост производительности труда, но применимы только для продукции однородного назначения.
Трудовые измерители часы и минуты рабочего времени применяются во внутрипроизводственном планировании для оценки трудоемкости единицы продукции и производственной программы. Наиболее распространенный показатель трудоемкость, или нормированные затраты рабочего времени на изготовление продукции, выполнение услуги, рассчитываемые в нормо-часах. Если работа не подлежит нормированию по различным причинам, то показатель трудоемкости определяется в человеко-часах.
Кроме того, для измерения работы оборудования используется такой показатель, как станко-часы.
Показатели трудоемкости производственной программы (нормо-часы, человеко-часы, станко-часы) на первый взгляд вполне приемлемы для измерения объема производства. Однако в связи со снижением трудоемкости продукции человеко-часы не сопоставимы в динамике, поэтому трудовые измерители используют часто во вспомогательных расчетах. Трудоемкость производственной программы, измеряемая в человеко-часах, представляет собой объем производства, который должен выполнить коллектив цеха, предприятия.
Производственная программа состоит из следующих разделов:
I. Плановое задание по объему, номенклатуре и ассортименту выпускаемой продукции.
II. Плановое задание по качеству выпускаемой продукции.
Ш. План по специализации и кооперированию.
При разработке производственной программы необходимо соблюдать следующие принципы:
научное обоснование использования производственных мощностей, материальных, трудовых и финансовых ресурсов;
систематическое обновление номенклатуры и ассортимента выпускаемой продукции и повышение ее качества;



Инновационная деятельность предприятия


6.1. Понятие инвестиций и их экономическое содержание

Экономическое развитие общества в целом и благополучие каждого человека определяются в конечном итоге успехами в осуществлении инвестиционных проектов. Инвестиции это вложения в активы предприятия с целью выпуска новой продукции, повышения ее качества, увеличения количества продаж и прибыли. Инвестиции предприятия обеспечивают простое и расширенное воспроизводство капитала, создание новых рабочих мест, прирост заработной платы и покупательской способности населения, приток налогов в государственный и местный бюджеты.
Инвестиции несут в себе риск. Если прогноз прибыльности не подтвердится, это грозит потерей вложенных в дело средств.
Инвестиции представляют собой капитальные затраты в объекты предпринимательской деятельности для получения дохода в краткосрочном или долгосрочном периоде. Понятия «инвестиции» и «капиталовложения» тождественны. Термин «капиталовложения» применялся в директивной экономике.
Экономическая категория «инвестиции» используется в рыночной экономике.
С экономической точки зрения инвестиции рассматриваются как накопление основного и оборотного капитала. С финансовой точки зрения инвестиции это замораживание ресурсов с целью получения доходов в будущем периоде. С бухгалтерской точки зрения инвестиции это объединение произведенных капитальных затрат в одну или несколько статей активов и пассивов баланса.
Существует следующая классификация инвестиций:
по натурально-вещественному воплощению материальные, нематериальные и финансовые;
по назначению прямые, направленные на приобретение основных и оборотных средств, и портфельные для покупки ценных бумаг по источникам финансирования собственные (амортизация, прибыль и выручка от реализации имущества) и заемные (кредит, лизинг и др.);
по происхождению национальные и иностранные;
по цели для получения прибыли, социальных или экологических результатов;
по срокам осуществления краткосрочные, среднесрочные и долгосрочные;
по объекту производственные и непроизводственные;
по направлению для обновления основного капитала, для прироста недвижимости и оборотного капитала, для создания новой и повышения качества выпускаемой продукции.
На предприятии важно согласовать во времени инвестиционные планы и финансовые возможности.


6.2. Критерии оценки эффективности инвестиций. Классификация показателей экономической эффективности инвестиций

Количественная оценка экономической эффективности инвестиций выражается соотношением прибыли и вложенного в дело капитала (рентабельность) или капитала и прибыли (срок возврата капитала).
Если рентабельность инвестиций выше процентной ставки банка, это свидетельствует о целесообразности осуществления инвестиционного проекта. Если рентабельность ниже, то лучше деньги положить в банк и ожидать дивиденды.
Существует два подхода к расчету эффективности инвестиций. Первый это метод расчета народнохозяйственной экономической эффективности, который применялся в плановой директивной экономике. В этом случае срок окупаемости рассчитывается путем деления капиталовложений на наибольшую годовую прибыль.
Например, стоимость вложения в активы предприятия 50 млн. руб., годовая прибыль также 50 млн. руб. Тогда простой срок окупаемости будет равен одному году, а рентабельность 100 %. Периоды вложения средств и получения прибыли не принимаются во внимание. Однако 50 млн. руб. прибыли третьего года не равны 50 млн. руб. инвестиций, затраченных в первом году по причине инфляции и возможности увеличения денег при вложении их в банк, а не в активы предприятия.
Традиционный расчет показателей абсолютной и сравнительной народнохозяйственной эффективности производится в статике, не учитывается динамика притока и оттока наличности.
Методология обоснования инвестиционных проектов, принятая в рыночной экономке, принципиально отличается. Она базируется на дисконтировании потоков денежной наличности. Дисконт это коэффициент увеличения или уменьшения стоимости, зависящий от процентной ставки по кредитам. Например, 50 млн. руб. положены в банк на 3 года (t = 3) под 20 % годовых (R = 0,2).
Через 3 года вклад составит 86,4 млн. руб. Расчет ведется с учетом коэффициента дисконтирования (Кд) наращивания стоимости по формуле
Кд = (1 +R)'; Кд = 1,2
Инновационная деятельность предприятия
1,2
Инновационная деятельность предприятия
1,2 = 1,728;
50
Инновационная деятельность предприятия
(1 + 0,2)3 = 86,4.
Чтобы сопоставить 50 млн. руб. прибыли третьего года с инвестициями первого года, необходимо воспользоваться коэффициентом дисконтирования потери стоимости по формуле
Кд = 1 / (1 + Я)'; Кд = 1 / (1,2
Инновационная деятельность предприятия
1,2
Инновационная деятельность предприятия
1,2) = 0,5787;
50
Инновационная деятельность предприятия
1 / (1 + 0,2)3 =28,93.
Приведенные цифры свидетельствуют о том, что прибыль будущих периодов значительно меньше в сравнении с годом начала инвестиций.
Абсолютные показатели вложений в активы (отток) и доходов с последующих лет (приток) несопоставимы, их необходимо дисконтировать. Дисконтированная разница оттока и притока наличности, накопленная за период функционирования проекта, называется чистой текущей стоимостью (ЧТС). Год, в котором отрицательное значение оттока наличности перекрывается положительным притоком наличности, а чистая текущая стоимость равна нулю, является динамическим сроком возврата инвестиций.
Расчет срока окупаемости инвестиционного проекта по динамике притока и оттока наличности с учетом пороговой нормы рентабельности капитала (или внутренней нормы рентабельности) является общепринятой мировой практикой рыночной экономики.
В некоторых странах используют различные модификации этого метода. Так, по методологии ЮНИДО необходимо дисконтировать не только притоки, но и оттоки наличности. Во Франции инвестированный капитал не дисконтируется.
В Израиле пороговую норму рентабельности для дисконтирования называют коэффициентом потерь (например, 30 %, или 0,3). В Европейском Союзе основным показателем оценки эффективности инвестиционного проекта считается внутренняя норма рентабельности. Ее можно рассчитать, если будет задан срок возврата капитала, то есть период, при котором разница оттока и притока дисконтированной наличности будет равна нулю.
Расчет осуществляется по следующей формуле:
ЧТС = 0 =
Инновационная деятельность предприятия
(+Приток наличности - Отток наличности) /
Инновационная деятельность предприятия
,
где R внутренняя норма рентабельности;
t = установленный срок возврата капитала.
В практике инвестиционного проектирования применяется такой метод обоснования, когда пороговая норма рентабельности и внутренняя норма рентабельности не отождествляются, а рассчитываются методом подбора. Например, задается пороговая норма рентабельности по трем вариантам (10, 20 и 30 %) и прогнозируемый срок возврата капитала (4 года), рассчитывается чистая текущая стоимость и откладывается на графике.
Исходя из приведенных выше методических подходов к дисконтированию денежных потоков при расчете коэффициента дисконтирования величина R рассматривается с различных точек зрения.
R это процентная ставка банка. Такая позиция вполне правомерна, если в составе инвестиций заемные средства занимают незначительный удельный вес. Она означает, что инвесторы планируют рентабельность инвестиций ниже стоимости кредита.
R это пороговая норма рентабельности, которая в 1,5 2 раза выше процентной ставки банка. Инвесторы устанавливают для себя более быструю рентабельность и определяют срок окупаемости вложений.
R это внутренняя норма рентабельности, рассчитанная по формуле чистой текущей стоимости при заданном плановом сроке возврата капитала.
Критерий экономического обоснования инвестиционного предпринимательского проекта: динамический срок возврата капитала меньше нормативного при внутренней норме рентабельности, превышающей процентную ставку банка по долгосрочным кредитам.
Если в результате расчетов получены нежелательные значения, от такого проекта следует отказаться и искать более выгодное приложение капитала. Можно пересмотреть все исходные данные, принятые для технико-экономического обоснования с целью снижения капитальной стоимости и себестоимости товара. Итоговые показатели при многовариантном подходе к выбору инвестиционного проекта, представленные финансовым профилем проекта, покажут более эффективный вариант инвестиций.
В качестве критерия эффективности инвестиций также может быть высокая внутренняя норма рентабельности при малом сроке возврата капитала.
Выбор критериев эффективности инвестиционных проектов и их количественного выражения одна из основных задач, стоящих перед руководителем предприятия при принятии решения об инвестировании. Финансовые показатели, которые будут достигнуты в будущем, должны контролироваться и измеряться. Однако на выбор инвестиционного проекта оказывают влияние факторы, не поддающиеся количественной оценке.
Высшее руководство фирмы, принимающее стратегическое решение об инвестициях, учитывает цели, задачи и риск потери вложенных средств. Руководители и специалисты имеют собственное представление о качественной и количественной характеристике инвестиций. Все это создает объективные и субъективные трудности в выборе оптимального варианта инвестиционной деятельности предприятия.
Качество обоснования инвестиционного проекта считается отличным, если фактические результаты отклоняются от расчетных на ±10 %, и хорошими, если отклонение составляет ±20 %.



Финансовые ресурсы предприятия. Доходы и расходы предприятия.


7.1. Понятие инноваций и инновационной деятельности

Каждое предприятие должно развиваться и совершенствовать свою продукцию (работы, услуги). В противном случае оно не будет обладать конкурентным преимуществом, что приведет к потере рынков сбыта. По этой причине предприятие постоянно находится в поиске новых идей, которые могут быть коммерциализированы.
Нововведения, или инновации, распространяются на новые продукты, способы их производства, новшества в организационной и финансовой сфере.
Инновация это усовершенствование деятельности субъекта хозяйствования, приносящее положительный экономический, социальный или экологический результат. Инновация представляет собой использование научных достижений в коммерческих целях.
Методология системного описания инноваций предполагает выделение их отдельных элементов и особенностей (табл. 7.1.1).
Таблица 7.1.1.
Классификатор инноваций

Признаки классификации
Значения признаков
Широта воздействия и масштабность
Глобальное
Отраслевое
Локальное
Степень радикальности инноваций
Базисная
Улучшающая
Псевдоинновация
Источник идеи
Открытие
Изобретение
Рационализаторское предложение
Прочие
Вид новшества
Конструкция и устройство
Технология
Материал, вещество
Живые организмы
Способ замещения существующих аналогов
Свободное замещение
Системное замещение



К глобальной инновации последних лет относится создание мировой информационной сети Интернета. Отраслевой инновацией, например, в радиоэлектронной промышленности является переход от катушечных к кассетным магнитофонам. Приведенные инновации называются продуктовыми и охватывают созидание новых или усовершенствование ранее существовавший товаров.
Существуют также процессные инновации, которые касаются технологии и организации производства, труда, управления. Применение нового продукта воспринимается как базовая инновация. Улучшающие инновации затрагивают имеющийся на рынке товар и выражаются в использовании более эффективных компонентов или частичного изменения систем сложного продукта.
Под псевдоинновацией понимается модернизация или рационализация средств труда, направленная на частичное улучшение устаревших машин. Рационализаторские предложения в деятельности предприятия также являются разновидностью инноваций. Более важными и значительными вехами инновационного процесса являются открытия и изобретения, относящиеся к понятию интеллектуальной собственности.
Выделяют две стадии инновационного процесса фундаментальные и прикладные исследования. Только крупные и эффективные корпорации могут финансировать полный цикл инновационного процесса. Фундаментальные исследования направлены на получение новых научных знаний и финансируются, как правило, за счет государственного бюджета.
Прикладные исследования необходимы для изучения возможностей практического применения открытых ранее явлений и процессов. Они включают следующие этапы:
научно-исследовательскую работу (НИР);
опытно-конструкторскую работу (ОКР);
технологическую подготовку производства (ТПП);
организационно-экономическую подготовку (ОЭП).
Инновационная деятельность включает стратегический анализ ретроспективы и перспективы инноваций, разработку инновационной политики, составление плана инноваций, материальное стимулирование творчества персонала.
Работа персонала предприятия, направленная на использование результатов научных исследований для расширения и обновления номенклатуры и улучшения качества выпускаемой продукции, совершенствования техники, технологии и организации, также относится к инновационной деятельности.
Исходной позицией в инновационной деятельности являются маркетинговые исследования рынков сбыта и поиск новых потребителей; информационное обеспечение конкурирующих фирм; поиски новаторских идей и партнеров для финансирования инновационных проектов. Большое значение в организации инновационной деятельности для предприятия имеет инновационная инфраструктура: бизнес-инкубаторы, инновационные центры, технопарки, консалтинговые фирмы и другие субъекты рыночной экономики. С помощью инновационной инфраструктуры производственное предприятие может получить следующие виды услуг:
доступ к информационным базам и банкам данных на различных условиях;
проведение квалифицированной экспертизы инновационных проектов;
финансовая поддержка инновационных проектов;
сертификация наукоемкой продукции;
продвижение наукоемкой продукции на различные рынки, включая рекламную и выставочную деятельность;
патентно-лицензионная работа и защита интеллектуальной собственности.
В рыночной экономике функционируют инновационные предприятия, которые специализируются на том или ином виде инновационной деятельности или осуществляют комплекс инновационных услуг на коммерческой основе. Крупные корпорации имеют материальные, финансовые возможности и высокопрофессиональный кадровый потенциал, которые обеспечивают непрерывность инновационного процесса и лидирование на национальном и зарубежных рынках.


7.2. Оценка экономической эффективности инноваций

При оценке научного и технического уровня проекта, возможностей его выполнения и эффективности принимаются решения о целесообразности и объеме финансирования.
Процедуры оценки проектов, юридического оформления соглашений и контрактов, а также формы и методы контроля за их исполнением действуют во всех странах с развитой рыночной экономикой. Большое значение имеют сроки проведения оценки, согласование, продолжительность периода от подачи заявок и предложений до открытия финансирования. Постоянно совершенствуются методы контроля за ходом реализации проектов, использованием средств по целевому назначению, увеличивается число обязательных условий, которым должен соответствовать проект.
Существуют несколько методов экспертизы инновационных проектов:
описательный;
сравнение положений «до» и «после»;
сопоставительная оценка.
Описательный метод широко распространен во многих странах. Его суть состоит в том, что рассматривается потенциальное воздействие результатов осуществляемых проектов на ситуацию на определенном рынке товаров и услуг. Получаемые результаты обобщаются, составляются прогнозы и учитываются побочные процессы.
Он позволяет учитывать, например, взаимодействие сферы НИОКР с патентным правом, налоговым законодательством, образованием, подготовкой и переподготовкой кадров.
Основной недостаток этого метода в том, что он не позволяет корректно сопоставить два и более альтернативных варианта.
Метод сравнения положений «до» и «после» позволяет принимать во внимание не только количественные, но и качественные показатели различных проектов. Однако этому методу присуща высокая вероятность субъективной интерпретации информации и прогнозов.
Сопоставительная оценка состоит в сравнении положения предприятий и организаций, получающих государственное финансирование и не получающих его. В этом методе обращается внимание на сравнимость потенциальных результатов осуществляемого проекта, что составляет одно из требований проверки экономической обоснованности конкретных решений по финансированию краткосрочных и быстроокупаемых проектов. Этот метод также имеет недостатки, в частности, он неприменим при выработке долгосрочных приоритетов государственной политики.
Плюсы и минусы различных методов оценки инновационных проектов обусловливают их комбинированное применение.
Специальной комиссией ОЭСР рекомендовано руководствоваться следующими принципами проведения экспертиз:
наличие независимой группы исследователей, выступающих арбитрами в спорных ситуациях по результатам экспертизы, по подбору специалистов, ее проводящих, и методам контроля;
при расчете добавленной стоимости деятельность в области исследований и нововведений рассматривается как производственная;
проведение предварительного прогнозирования и планирования расходов на среднесрочную перспективу, чтобы иметь возможность определить предполагаемую эффективность и время для контроля;
методы контроля должны быть увязаны с перспективами развития системы руководства научно-технической политикой на государственном уровне.
При оценке проектов должно быть учтено потенциальное воздействие результатов исследований или разработок на социальную, экономическую и экологическую среду. Оценка дается на основе анализа научного содержания проекта и научного потенциала автора (или авторского коллектива). При анализе научного содержания проекта учитываются:
четкость изложения замысла проекта (четкое, нечеткое);
четкость определения цели и методов исследования (четко, нечетко);
качественные характеристики проекта (проект имеет: фундаментальный характер; междисциплинарный или системный характер; прикладной характер);
научный задел (имеются: существенный научный и методологический задел в решении сформулированной в проекте проблемы; публикации по заданной теме; научно-методическая проработка решения проблемы отсутствует).
новизна постановки проблемы (автором впервые сформулирована и научно обоснована проблема исследования; автором предложены оригинальные подходы к решению проблемы; сформулированная в проекте проблема исследования известна науке и автором не предложены оригинальные подходы к решению проблемы).



Аналитическая деятельность на предприятии


8.1. Планирование издержек производства

Каждая фирма в своей стратегии ориентируются на получение максимальной прибыли. Как же этого достичь? Общий принцип выбора следующий: фирма должна использовать такой процесс производства, который при одном и том же уровне выпуска продукции позволял бы применять наименьшее количество вводимых факторов производства, т.е. был бы самым эффективным.
Поэтому фирма должна использовать такой производственный процесс, при котором один и тот же объем готовой продукции обеспечивается с наименьшими затратами на вводимые факторы производства.
Затраты на приобретение вводимых факторов производства или экономических ресурсов, называются издержками производства. Значит, наиболее экономически эффективным методом производства, какого либо товара считывается такой, при котором происходит минимизация издержек производства.
Для оценки деятельности фирмы определяющее значение имеет категория вмененных издержек. Затраты на использование какого то ресурса, измеренные с точки зрения выгоды, которая «упущена» из за не использования этого ресурса наилучшим альтернативным путем, называется вмененными издержками (издержками упущенных возможностей или альтернативными издержками).
Чтобы исчислить вмененные издержки фирмы, необходимо для каждого вводимого фактора производства оценить в денежной форме ту выгоду, которую фирма упустила, используя ресурс данным, а не наилучшим альтернативным путем.
Максимизация прибыли и минимизация расходов на организацию производства определяют поведение менеджера и являются главным действующим мотивом экономической деятельности фирмы или отдельного предпринимателя.
Издержки производства формируют нижнюю границу цены. Для обеспечения рациональной ценовой политики, необходимо сопоставлять структуру издержек с планируемыми объемами производства и рассчитывать краткосрочные средние издержки (на единицу продукции). При увеличении выпуска продукции издержки единицы вначале снижаются до достижения определенного объема производства.
Однако если наращивать производство и дальше, то возникают дополнительные затраты изза перегрузки оборудования, дополнительного ремонта, нарушений производственного ритма, простоев и т.д., а поэтому, чтобы избежать убытков от увеличения издержек производства существует система управления издержками производства действующая на предприятиях как в зарубежной так и в отечественной практике в системе рыночной экономике.
Главным показателем, характеризующим степень экономической эффективности деятельности фирмы, является соотношение «затраты выпуск». Производство продукции, как и любого товара, требует затрат экономических ресурсов, которые имеют определенные цены. Количество потребляемых ресурсов и их рыночная стоимость составляют издержки производства (затраты). Ресурсы, используемые в производстве ограничены. Предприятие, определяя свою возможность производить товары, старается выбрать наиболее эффективную комбинацию ресурсов, обеспечивающую наименьшую величину денежных затрат.
Затраты на производственные товары называются экономическими издержками производства.
Различают внешние и внутренние издержки производства.
Внешними издержками называется плата за ресурсы поставщикам, не принадлежащим к собственникам фирмы.
Внутренние издержки это издержки на собственные, неоплачиваемые ресурсы.
К ним относятся: амортизация на восстановление основных средств, оплата труда владельцев фирмы и т.д.
Общие издержки производства это сумма всех издержек внешних и внутренних, необходимых для того, чтобы привлечь и удерживать ресурсы в пределах, обеспечивающих экономически обоснованное функционирование предприятия.
Издержки производства имеют сложную структуру, которая определяет характер и условия использования в процессе производства.
Различают постоянные и переменные издержки производства.
Постоянными называются издержки, величина которых не изменяется в зависимости от объема производства. К ним относятся затраты на приобретение, содержание и поддержание земли, зданий и сооружений, оборудования. Переменные это издержки, величина которых зависит от объемов производства.
Величина переменных издержек изменяется с объема производства, возрастая или уменьшаясь вместе с этим объемом.
К переменным издержкам относятся затраты на приобретение сырья, оплату труда, транспорта, тепловых и энергетических ресурсов и т.д.
Общими издержками называется сумма постоянных и переменных издержек.
Для анализа и управления состоянием фирмы большое значение имеют также средние и удельные издержки, а также предельные издержки производства.
Средними и удельными издержками называются издержки на производство единицы готовой продукции. Различают средние общие, средние постоянные и средние переменные издержки.
Предельными издержками называют дополнительные издержки, связанные с производством еще одной (дополнительной) единицы продукции.
Сумма постоянных и переменных издержек, а также величина удельных и предельных издержек составляют технологический набор издержек производства, определяемый уровнем технологии и организации производства и уравнением рыночных цен на ресурсы или факторы производства.
Анализ динамики предельных издержек производства позволяет руководству предприятия определить объем производства, приносящий наибольшую прибыль и границу выгодного объема производства.
Изменение предельных издержек имеет свои границы.
Предприятие интересует не прибыль на единицу продукции, а максимум общей прибыли, которая зависит от величины издержек производства и объема реализуемой продукции.
Охарактеризуем вышесказанное:

  1. Величина издержек производства зависит от цены ресурсов, рациональности их комбинаций и количества применяемых ресурсов. Она является функцией технологии и организации производства.
  2. Экономическая эффективность производства зависит от соотношения «затраты (издержки производства) выпуск (доход фирмы)». Это соотношение определяет размер прибыли, используемой фирмой для дальнейшего развития производства.
  3. Уменьшение величины издержек производства при увеличении объема производства до определенного предела и соответствующее изменение величины прибыли объективно действующий экономический закон.
Классификация затрат:
по месту возникновения затрат (производствам, цехом, технологическим пределам);
по календарным периодам, в течении которых затраты включаются в себестоимость продукции;
по видам продукции, работ и услуг;
по видам расходов (статьям и элементам затрат).
Затраты на производство продукции группируются по характеру производств, т.е. подразделяются на расходы основного и вспомогательного производства.
К вспомогательным относятся следующие производства:
по обслуживанию энергией, газом, паром и водой;
по обслуживанию транспортом;
по обслуживанию ремонтом;
лесотарные производства;
производство огнеупорных керамических изделий;
по прочему обслуживанию литейные цехи т.п.
Развитие рыночных отношений в России, международных финансовых и хозяйственных связей вызывает необходимость совершенствования методических указаний по определению себестоимости. Важнейшими принципами методических рекомендаций по калькулированию себестоимости продукции :
соответствие методов и приемов определения себестоимости современным хозяйственным отношениям;
расширение спектра методов и повышения самостоятельности предприятий при безусловном выполнении требований законодательных и исполнительных органов власти по составу затрат;
соответствие методических подходов к определению себестоимости установившимся международным нормам.
Целью является формирование современного механизма управления издержками производства и обеспечения условий для повышения эффективности производства, увеличения прибыли предприятий и доходов бюджета.
Важнейшие задачи следующие:

  1. Четкое определение состава издержек и их разграничение с прибылью как условие эффективного функционирования системы налогообложения прибыли;
  2. Определение единого порядка, единых правил и нормативов формирования издержек в организациях всех форм собственности как условия развития здоровой конкуренции между ними;
  3. Правильное отражение в себестоимости рыночных отношений, включая сумму налогов, страхования, кредитные отношения и т.д., в интересах обеспечения нормального функционирования предприятий и производств;
  4. Обеспечение единообразного формирования финансовых результатов, учитываемых при налогообложении прибыли;
  5. Определение методики прогнозирования и планирования затрат в организациях в системе бизнес планов как механизма управления затратами;
  6. Разработка методологических положений по калькулированию затрат, повышение значения калькуляций в управлении затратами и в качестве базы для формирования цен;
Себестоимость продукции определяется единообразно на основе законов и нормативных актов, устанавливающих состав затрат на производство и реализацию продукции, включаемых в себестоимость .
Плановые калькуляции себестоимости используются при обосновании цены продукции, в частности, при выполнении заказов, а также при составлении бизнес планов, планов финансового оздоровления и т.п.



Индивидуальный рейтинг проекта


Научный потенциал авторского коллектива оценивается с учетом анализа научного содержания проекта (автор/участники в состоянии выполнить заявленную работу; эксперт сомневается в возможности выполнить заявленную работу).
Индивидуальный рейтинг проекта рассчитывается по формуле
R = r1 + r2 + r3 ,
где R - общий рейтинг проекта, r1, r2 коэффициенты, учитывающие соответственно научную ценность проекта и реальность выполнения проекта в срок, r3 - коэффициент коррекции суммарной оценки r1 и r2, R может принимать значения от 2 до 13.
Коэффициент r1 оценивает вероятность того, что выполнение проекта может привести к новым принципиальным результатам; обеспечить существенное продвижение в рамках данного направления; оказать влияние на прогресс в данной или смежной научной области.
Коэффициент r2 учитывает научный уровень руководителя и потенциал возглавляемого им коллектива; научный задел и публикации по теме; информационное, лабораторное и материальное обеспечение проекта; корректность распределения задачи по этапам, результатам и срокам работы.
Необходимо обеспечить выбор качественного инновационного проекта. Представленные инвесторам инновационные проекты, должны быть сопоставимы и подвергаться анализу с помощью единой системы показателей. Это значит, что информационная база, точность и методы определения стоимостных и натуральных показателей по вариантам должны быть сопоставимы.
Сопоставимость представленных проектов определяется по:
объему работ, производимых с применением новых методов (технологий, оборудования и т.п.);
качественным параметрам инноваций;
фактору времени;
уровню цен, тарифов; условиям оплаты труда.
Один из важнейших принципов обеспечение многовариантности мероприятий.
При сравнении вариантов необходимо соблюдение принципов системного подхода. Здесь требуется учесть важнейшее свойство систем эмерджентность, которое обусловливает неравенство совокупного эффекта от комплекса мероприятий и величины эффектов от раздельного их проведения. В основе сравнения инновационных вариантов лежит принцип комплексного подхода, требующий учета всей совокупности мероприятий, которые необходимо осуществить при реализации данного варианта решения.
Одинаковые по величине затраты, осуществляемые в разное время, экономически неравнозначны. Значительная продолжительность жизненного цикла инноваций приводит к экономической неравноценности осуществляемых в разное время затрат и получаемых результатов. Это противоречие устраняется с помощью так называемого метода приведенной стоимости, или дисконтирования, т. е. приведения затрат и результатов к одному моменту.
В качестве такого момента времени можно принять, например, год начала реализации инноваций.
Дисконтирование основано на том, что любая сумма, которая будет получена в будущем, в настоящее время обладает меньшей ценностью. С помощью дисконтирования в финансовых вычислениях учитывается фактор времени. Идея дисконтирования состоит в том, что для фирмы предпочтительнее получить деньги сегодня, а не завтра, поскольку будучи инвестированы в инновации, они завтра уже принесут определенный дополнительный доход.
Кроме того, откладывать получение денег на будущее рискованно: при неблагоприятных обстоятельствах они принесут меньший доход, чем ожидалось, а то и совсем не поступят.
Коэффициенты дисконтирования рассчитываются по формуле сложных процентов:
at=(1+I)tp ,
где I процентная ставка, выраженная десятичной дробью (норматив дисконтирования), tp год приведения затрат и результатов (расчетный год), t год, затраты и результаты которого приводятся к расчетному.
При условии приведения к году начала реализации инноваций имеем tp=0 и, следовательно,

Индивидуальный рейтинг проекта

При положительной величине нормы процента на капитал i коэффициент дисконтирования всегда меньше единицы (в противном случае деньги сегодня стоили бы меньше, чем деньги завтра).
Метод начисления по сложным процентам заключается в том, что в первом периоде начисление производится на первоначальную сумму кредита, затем она суммируется с начисленными процентами и в каждом последующем периоде проценты начисляются на уже наращенную сумму. Таким образом база для начисления процентов постоянно меняется. Иногда данный метод называют «процент на процент».
Чем ниже ставка процента и меньше период времени t, тем выше современная величина будущих доходов.
С помощью дисконтирования определяется чистая текущая стоимость проекта. Чистую текущую стоимость называют также «чистым приведенным доходом» (W).
Общее правило при принятии решения таково: инновации следует осуществлять, если ожидаемый уровень дохода на капитал не ниже (или равен) рыночной ставки процента по ссудам. Процент выполняет важнейшую роль в решении задачи эффективного распределения ресурсов в рыночном хозяйстве, выборе наиболее доходного из возможных инновационных решений. Сравнение уровня дохода на капитал с процентной ставкой это один из способов обоснования эффективности инноваций.
Кроме чистого приведенного дохода, для отбора инновационных проектов используют и другие показатели: срок окупаемости (Ток); период окупаемости (Пок) внутреннюю норму доходности (Вд); рентабельность (R).
Метод перечня критериев. Суть метода отбора инвестиционных проектов с помощью перечня критериев заключается в следующем: рассматривается соответствие проекта каждому из установленных критериев и по каждому критерию дается оценка проекту. Метод позволяет увидеть все достоинства и недостатки проекта и гарантирует, что ни один из критериев, которые необходимо принять во внимание не будет забыт, даже если возникнут трудности с первоначальной оценкой.
Критерии, необходимые для оценки инвестиционных проектов, могут различаться в зависимости от конкретных особенностей организации, ее отраслевой принадлежности и стратегической направленности. При составлении перечня критериев необходимо использовать лишь те из них, которые вытекают непосредственно из целей, стратегии и задач организации, ее ориентации долгосрочных планов. Проекты, получающие высокую оценку с позиции одних целей, стратегий и задач, могут не получить ее с точки зрения других.
Основными критериями для оценки инвестиционных проектов являются:
1. Цели организации, стратегия, политика и ценности.
Совместимость проекта с текущей стратегией организации и долгосрочным планом.
Оправданность изменений в стратегии организации (в случае, если этого требует принятие проекта).
Соответствие проекта отношению организации к риску.
Соответствие проекта отношению организации к нововведениям.
Соответствие проекта требованиям организации с учетом временного аспекта (долгосрочный или кратко срочный проект).
Соответствие проекта потенциалу роста организации.
Устойчивость положения организации.
Степень диверсификации организации (то есть количество отраслей, не имеющих производственной связи с основной отраслью, в которой осуществляет свою деятельность организация, и их доля в общем объеме ее производства), влияющая на устойчивость ее положения.
Влияние больших финансовых затрат и отсрочки получения прибыли на современное состояние дел в организации.
Влияние возможного отклонения времени, затрат и исполнения задач от запланированных, а также влияние неудачи проекта на состояние дел в организации.
2. Финансовые критерии Размер инвестиций (вложения в производство, вложения в маркетинг; для проектов НИОКР затраты на проведение исследования и стоимость развития, если исследование успешно).
Потенциальный годовой размер прибыли.
Ожидаемая норма чистой прибыли.
Соответствие проекта критериям экономической эффективности капиталовложений, принятым в организации.
Стартовые затраты на осуществление проекта.
Предполагаемое время, по истечении которого данный проект начнет приносить расходов и доходов.
Наличие финансов в нужные моменты времени.
Влияние принятия данного проекта на другие проекты, требующие финансовых средств.
Необходимость привлечения заемного капитала (кредитов) для финансирования проекта, и его доля в инвестициях.
Финансовый риск, связанный с осуществлением проекта.
Стабильность поступления доходов от проекта (обеспечивает ли проект устойчивое повышение темпов роста доходов фирмы, или доход от года к году будет колебаться).
Период времени, через который начнется выпуск продукции (услуг), а, следовательно, возмещение капитальных затрат.
Возможности использования налогового законодательства (налоговых льгот).
Фондоотдача, то есть отношение среднего годового валового дохода, полученного от проекта, к капитальным затратам (чем выше уровень фондоотдач и, тем ниже в общих расходах организации доля постоянных издержек, не зависящих от изменения загрузки производственных мощностей, а, следовательно, тем меньше будут убытки в случае ухудшения экономической конъюнктуры; если уровень фондоотдачи в данной организации ниже среднеотраслевого, то в случае кризиса у нее больше шансов разориться одной из первых).
Оптимальность структуры затрат на продукт, заложенный в проекте (использование наиболее дешевых и легко доступных производственных ресурсов).



Инвестиционная деятельность предприятий




6.4. Инвестиционная деятельность предприятий

Инвестиционное проектирование это разработка комплекса технической документации, содержащей технико-экономическое обоснование (чертежи, пояснительные записки, бизнес план инвестиционного проекта и другие материалы, необходимые для осуществления проекта). Его неотъемлемой частью является разработка сметы, определяющей стоимость инвестиционного проекта.
Проект - это технические материалы (чертежи, расчеты, макеты вновь созданных зданий, сооружений, машин, приборов и т.п.), предварительный текст какого либо документа (плана, договора), план, замысел. Понятие "проект" может включать в себя замысел (проблему), средства его реализации (решение проблемы) и
Разработка и претворение в жизнь инвестиционного проекта, в первую очередь производственной направленности, осуществляется в течение длительного периода времени от идеи до ее материального воплощения. Любой проект малозначим без его реализации.
При оценке эффективности инвестиционных проектов с помощью рыночных показателей необходимо точно знать начало и окончание работ. Для исследователя, ученого, проектировщика началом проекта может быть зарождение идеи, а для деловых людей (бизнесменов) первоначальное вложение денежных средств в его выполнение.
Инвестора, финансирующего проект, интересует не сам процесс его выполнения, а прибыль, которую он будет получать от его реализации; для организаций, участвующих в проекте исполнителями отдельных работ, их окончание. Для отдельных проектов моментом их завершения могут быть прекращение финансирования, достижение заданных результатов, полное освоение проектной мощности, вывод объекта из эксплуатации и т.д. Начало и окончание работы над проектом должно подтверждаться документально.
Период времени между началом осуществления проекта и его ликвидацией принято называть инвестиционным циклом. Он необходим для анализа проблем финансирования работ по проекту, принятия необходимых решений и подразделяется на стадии (фазы, этапы). На практике такое деление инвестиционных циклов может быть различным.
Важно, чтобы оно позволяли наметить некоторые важные периоды в состоянии объекта проектирования, при прохождении которых он существенно изменялся бы, и представлялась бы возможность оценки наиболее вероятных направлений его развития.
Осуществление проекта требует выполнения определенной совокупности мероприятий, связанных с его реализацией, разработкой технико-экономического обоснования и рабочего проекта, заключением контрактов, организацией финансирования, ресурсным обеспечением, строительством и сдачей объектов в эксплуатацию. Поэтому каждая выделенная стадия может в свою очередь делиться на стадии следующего уровня.
Так, инвестиционный цикл принято делить на три стадии (фазы), каждая из которых имеет свои цели и задачи;
прединвестиционную от предварительного исследования до окончательного решения о принятии инвестиционного проекта.
инвестиционную проектирование, заключение договора или контракта, подряда на строительство;
производственную стадию хозяйственной деятельности предприятия (объекта). Каждая из них в свою очередь подразделяется на этапы, периоды, которые имеют свои цели, методы и механизмы реализации.
Прединвестиционная и инвестиционная стадии относятся к области инвестиционного проектирования, а производственная к области изучения специальных организационно-управленческих дисциплин (организация производства и труда, планирование, финансирование, анализ, менеджмент и др.).









Инвестиционная деятельность предприятий



6.4.1. Прединвестиционный и инвестиционный периоды
На прединвестиционной стадии проекта изучаются возможности будущего объекта проектирования, предприятие (фирма-инвестор, организатор проекта) принимает предварительное решение об инвестициях и выбирает (назначает) руководителя (управляющего, директора строящегося объекта). Изучение различных вариантов осуществления проекта, его технико-экономическое обоснование и оценка эффективности могут выполняться как собственными силами предприятия, так и специализированными учреждениями, например проектными, архитектурными, строительно-консультационными и др.
Затраты на выполнение прединвестиционной стадии проекта в индустриально развитых странах при нормальном стечении обстоятельств составляют примерно 1,5-5,5 % от стоимости проекта, в том числе на формирование инвестиционных возможностей (замысла, идеи проекта) - 0,2-1,0%, на обоснование инвестиций - 0,25-1,5%, на технико-экономические исследования для небольших проектов - 1,0-3,0% и для крупных - 0,2-1,2 %.
На начальных стадиях проекта важно избежать неожиданностей и возможных рисков на последующих стадиях работы, найти самые экономичные пути достижения заданных результатов; оценить эффективность проекта и разработать его бизнес-план. При этом следует придерживаться принципа, заключающегося в том, чтобы вовремя остановиться, т.е. более целесообразно отказаться от неудачного проекта в начале работ, чем в конце, когда инвестиции израсходованы, а результат оказался не тем, каким ожидался.
До принятия решения о целесообразности осуществления проекта следует рассмотреть все его аспекты, возникающие в течение жизненного цикла. Это позволит избежать проектов с быстрой отдачей вложенных средств, но неэффективных во времени и проектов, медленно окупаемых, но приносящих значительные долгосрочные выгоды.
Вторая инвестиционная стадия проекта включает выбор проектной организации, подготовку проектных чертежей и моделей объекта, детализированный расчет стоимости, предварительные планы проектных и строительных работ, детальные чертежи и спецификации, схемы строительной площадки и т.д. На этой стадии определяются генеральный подрядчик и субподрядчики, утверждается план платежей, оформляются краткосрочные займы для оплаты субподрядчиков и поставщиков.
Выполняемые на инвестиционной стадии многовариантные расчеты позволяют выбрать конкретный проект, его технологию и оборудование, организацию строительства (производство новой техники и т. д.). Принимаемые на этой стадии решения во многом предопределяют технический уровень, структуру и эффективность производственных фондов. В процессе детального проектирования, выбора оборудования, планирования сроков строительства создаются предпосылки для ускорения этапов осуществления проектов, оптимизации затрат с целью обеспечения необходимых конечных результатов.
От принятых решений зависят не только затраты на осуществление проекта, но и расходы на его эксплуатацию.
Процесс проектирования формально можно разбить еще на два этапа: предпроектный (осуществляются предварительная оценка сметы расходов с учетом потребностей и финансовых возможностей заказчика и выбор наиболее рациональных технологических и технических решений, способствующих экономии ресурсов и повышению эффективности объекта) и непосредственного проектирования. Непосредственное проектирование включает также две стадии: предварительную и окончательный проект. На каждом этапе уточняется смета будущего объекта.
В процессе проектирования решаются основные вопросы будущего объекта, его соответствие своему назначению, прогрессивным эксплуатационным требованиям, выполнение в короткие сроки с наименьшими затратами труда, материальных и денежных средств. Отечественная практика разработки проектов предприятия обычно включает следующие разделы: общая пояснительная записка, технико-экономическая часть, генеральный план, технологическая часть с разделом по автоматизации технических процессов, организация труда и системы управления производством, строительная часть, организация строительства, сметная документация, жилищно-гражданское строительство и др.
На каждой стадии (каждом этапе) работы над инвестиционным проектом выполняется его стоимостная оценка. В зарубежной практике их насчитывают, по меньшей мере, четыре вида и их степень точности возрастает в порядке разработки проекта. Так, на стадии (этапе) исследования инвестиционных возможностей реализации проекта осуществляется предварительная стоимостная оценка, ее допустимая погрешность считается равной 25 - 40 %.
Таким образом, на каждой стадии разработки и реализации инвестиционного процесса обосновывается экономическая эффективность проекта, анализируется его доходность, иными словами, проводится проектный анализ, позволяющий сопоставлять затраты с полученными (прогнозируемыми) результатами (выгодами).


6.5.Организация и механизмы инвестиционной деятельности

Инвестиционная деятельность предприятия состоит из следующих составных частей: инвестиционная стратегия, стратегическое планирование, инвестиционное проектирование, анализ проектов и фактической эффективности инвестиций.
Инвестиционная стратегия это выбор путей развития предприятия на длительную перспективу при имеющихся собственных источниках финансирования и возможности получения заемных средств, а также прогнозирование объема и рентабельности совокупных активов.
Стратегическое прогнозирование предполагает уточнение инвестиционной стратегии, согласование с перечнем инвестиционных проектов и планом долгосрочного финансирования инвестиций.



Исследование рынка: местного, регионального, национального


Основным источником финансирования капитальных вложений предприятия является фонд развития производства, направляемым на техническое переоснащение действующих производств, и фонд социально-культурных мероприятий и жилищного строительства в части, расходуемой на строительство жилого фонда.
В качестве источника покрытия других расходов и отчислений используется прибыль предприятия.
Значительное внимание в современных условиях уделяется определению экономически обоснованных нормативов оборотных средств.
Собственными (закрепленными) оборотными средствами предприятия являются средства, которые создаются за счет уставного фонда, прибыли. Приравненными к собственным оборотным средствам предприятия являются средства, находящиеся в его распоряжении по условиям (расчетам) взаимоотношений предприятия с рабочими и служащими, заказчиками и т.д. Такие средства называются устойчивыми пассивами.
К ним относятся переходящая минимальная задолженность по заработной плате рабочим и служащим и отчислениям на социальное страхование, задолженность резерва предстоящих платежей, по авансовым платежам заказчиков и др.
Заемными являются средства, получаемые предприятием от банков в виде ссуды, а также кредиторская задолженность.
Необходимость деления оборотных средств на нормируемые и ненормируемые вытекает из требований, обусловливающих планомерное развитие производства и непременное достижение наибольших результатов с наименьшими затратами на единицу продукции.
Установлением плановых нормативов по отдельным статьям оборотных средств обеспечивается непрерывная и ритмичная работа производства.
Весьма важным вопросом разработки финансового плана Предприятия является определение размеров фонда материального поощрения, фонда социально-культурных мероприятий и жилищною строительства, а также фонда развития производства.
При планировании раздела «Кредитные взаимоотношения» рассчитывается размер привлекаемых долгосрочных кредитов по каждому их виду, необходимых для обеспечения эффективной производственно-хозяйственной деятельности предприятия и входящих в него подразделений.
Полученный от коммерческих банков кредит погашается после завершения работ в первую очередь за счет средств фонда развития производства и других фондов, а при недостаточности за счет прибыли, получаемой от проведения прокредитованных мероприятий.
В условиях рыночной экономики коммерческие банки широко представляют как краткосрочные, так и долгосрочные кредиты на капитальное строительство. Использование банковских ссуд вместо безвозмездного финансирования капитальных вложений значительно повышает ответственность предприятий, требует более тщательного обоснования экономической целесообразности затрат, более реалистического подхода к определению действительной потребности в средствах, создает заинтересованность в ускорении окупаемости капитальных вложений.
При определении взаимоотношений предприятия с бюджетом рассчитывается размер платежей (плата за производственные фонды, фиксированные платежи, свободный остаток прибыли, налоги) и ассигнований из бюджета в целом и по отдельным направлениям.
В настоящее время действует общий порядок распределения прибыли предприятий, определяющий его характер взаимоотношений с бюджетом.
Общий порядок предусматривает, что плановая прибыль предприятия после определения размеров взносов в бюджет в виде платы за производственные фонды, фиксированных платежей, а также сумм, предназначенных для уплаты за банковский кредит, направляется на формирование фондов предприятия.
Для обеспечения полной взаимосвязи статей финансового плана и определения окончательных взаимоотношений с государственным бюджетом при завершении расчета баланса доходов и расходов составляется проверочная таблица, в которой по горизонтали приводятся источники финансирования (отраженные в подразделе «Доходы и поступления»), а по вертикали статьи расхода (из подраздела «Расходы и отчисления»), равнозначные в обшей сумме по итогу.
Таким образом, в балансе доходов и расходов (финансовом плане) предприятий практически находит отражение широкий комплекс финансовых отношений предприятия с финансово-кредитной системой, с другими предприятиями и организациями. От того, насколько экономически обоснован финансовый план и как он выполняется, во многом зависит положение предприятия, его финансовая устойчивость, своевременность выполнения обязательств по платежам в бюджет, расчетам с поставщиками и других предусмотренных планом затрат.


8.5 Бизнес-планирование

Процесс составления плана, детальный анализ, который предшествует его написанию, заставляют представить собственный бизнес в конкретных действиях, ориентированных на успех. План, оформленный в документах, цифрах, графиках, образцах нового товара (услуги), это прекрасный способ довести свои идеи до сотрудников. Бизнес-план предназначен также для акционеров, чтобы убедить их приобрести акции и профинансировать дело.
Он необходим как доказательство перспективности инвестирования средств, чтобы убедить банкиров в целесообразности кредитования.
Бизнес-план это обоснование деятельности предприятия в рыночных условиях и рабочий инструмент, который при умелом использовании поможет управлять фирмой. Он составляется как для действующей, так и для вновь создаваемой фирмы. Применительно к новому предприятию бизнес-план разрабатывается в соответствии с общепринятой в экономической практике методикой, изложенной в главе 20. Для работающего предприятия бизнес-план составляется после проведения тщательного всестороннего анализа успехов и неудач фирмы.
Содержание и объем бизнес-плана зависят от различных факторов: размеров предприятия (для малого бизнеса 1020 страниц, для крупной фирмы 4050); полноты составных частей (укрупненный или детализированный); назначения (для внутреннего использования, для инвесторов, как заявка на банковский кредит); периода планирования (на один год или несколько лет); квалификации составителей и практического опыта подготовки технико-экономического обоснования.
Процесс составления плана и детальный анализ, который предшествует его написанию, заставляют руководителя непредвзято и беспристрастно взглянуть со стороны на свое предприятие.
Сравнение с аналогичными фирмами поможет выявить слабые и сильные стороны, заранее предвидеть возможные технические проблемы и финансовые затруднения, которые могут привести к неплатежеспособности.
Если предприятие находится на грани банкротства, бизнес-план покажет, почему дешевле отказаться от сомнительных коммерческих операций и как найти способы повышения платежеспособности и рентабельности. Тщательно составленный бизнес-план дает возможность довести идеи до других людей сотрудников, инвесторов, кредиторов, общественности.
Приведем структуру бизнес-плана для действующего крупного и среднего предприятия.
Титульный лист (обложка бизнес-плана)
Резюме ,
1. Описание бизнеса. Цель деятельности предприятия
1.1. Основной товар (работа или услуга)
1.2. Потребности рынка
1.3. Потребители продукции (услуги)
1.4. Размер рынка и возможные тенденции его развития
1.5. Местонахождение предприятия
1.6. История создания и деятельности фирмы
1.7. Стратегия выхода на рынок
1.8. Потребительские качества продукции (услуги)
1.9. Концепция бизнеса
1.10. Оценка рынка и объем продаж
2. План маркетинга и реализации товара (услуги)
2.1. Существующие и потенциальные потребители (более детальное изложение)
2.2. Исследование рынка: местного, регионального, национального, мирового
2.3. Способы продвижения товара к потребителю
2.4. Послепродажное обслуживание потребителя и rapai
2.5. Ценообразование
2.6. Конкуренция и конкурентное преимущество
2.7. Реклама
2.8. Реализация продукта: транспортировка, страхование, кредитование, таможенные сборы
2.9. Общая стратегия маркетинга
3. План инноваций
3.1. Состояние продукта: характеристика и риск
3.2. Улучшение изделий и новые продукты
3.3. Затраты на научные исследования
3.4. Создание и использование объектов интеллектуальной собственности
3.5. План финансирования инноваций
3.6. План расширения предприятия
4. Производство продукции
4.1. Производственная мощность использование и развитие
4.2. Производственный цикл, запасы и сезонные колебания
4.3. Производственный график выпуска изделий
4.4. Стратегия снабжения
4.5. Развитие сферы услуг
5. Управление
5.1. Организационная структура фирмы
5.2. Главные руководители предприятия: послужной список, обязанности и ответственность
5.3. Совет директоров, профессиональные советники
5.4. Компании-партнеры
5.5. Подбор и мотивация труда работников
5.6. Структура собственности и инвесторы
6. Персонал
6.1. Численность персонала
6.2. Потребность в специалистах
6.3. Подготовка кадров, стоимость обучения
6.4. Формы и системы оплаты труда
6.5. Расходы на оплату труда
6.6. Планирование роста производительности труда
7. Оценка риска и страхование
7.1. Виды рисков, с которыми может столкнуться предприятие
7.2. Профилактика рисков
7.3. Размеры возможных рисков
7.4. Затраты на страхование
8. Юридический план



Источники и показатели интенсификации и эффективности


Применение предлагаемого подхода обусловлено тем, что в условиях рынка требуются многовариантные пути решения задач. Выбор соответствующего варианта или нескольких альтернативных вариантов может основываться на минимизации вероятностной ошибки, что позволит установить уровень рентабельности, необходимый для решения финансово-производственных проблем предприятия. Пример комплексной оценки эффективности деятельности предприятия на основе пятифакторной модели рентабельности активов

Взаимосвязь источников эффективности (производственные ресурсы), показателей интенсификации использования производственных ресурсов (прямых и обратных) и показателей эффективности, имеющих два направления: текущее потребление ресурсов, т.е. себестоимость, и применение ресурсов, т.е. авансирование основного и оборотного капитала характеризуют данные табл. 9.1.
Моделирование показателя рентабельности активов предприятия обеспечивает создание пятифакторной модели рентабельности, включающей в себя все пять показателей интенсификации использования производственных ресурсов:

,
где P прибыль; B активы предприятия; N выручка от продажи товаров, продукции, работ, услуг; F основные производственные средства; E оборотные активы, U оплата труда персонала, M материальные затраты.
Последнее преобразование показателя рентабельности активов позволяет выделить пять факторов интенсификации:
U/N оплатоемкость продукции, отражающая трудоемкость в стоимостной форме (обозначим
);
M/N материалоемкость продукции (
);
A/N амортизациеемкость продукции (
);
F/N фондоемкость продукции по основным средствам (внеоборотным активам) (
);
E/N оборачиваемость оборотных активов (коэффициент закрепления оборотных активов на 1 руб. продукции
).
Показатель рентабельности активов предприятия поэтому и называют самым обобщающим показателем эффективности хозяйственной деятельности, что он вбирает в себя результаты всей интенсификации использования производственных и финансовых ресурсов. Это главный регулятор конкуренции в рыночной экономике.
Таблица 9.1.
Источники и показатели интенсификации и эффективности

Источники эффективности
Показатели интенсификации
Показатели эффективности
Производственные ресурсы (средства и предметы труда, живой труд)
Производительность труда (N/Q или N/U) или трудоемкость (Q/N или U/N)
Потребление ресурсов, т.е.е полная себестоимость (S/N = U/N + M/N + A/N)
Материалоотдача предметов труда (N/M) или материалоемкость (M/N)
Амортизациеотдача средств труда (N/A) или амортизациеемкость (A/N)
Фондоотдача основных производственных средств (N/F) или фондоемкость продукции (F/N)
Применение (авансирование) ресурсов (величина основных производственных средств (внеоборотных активов) и оборотных активов) (B = F + E)
Оборачиваемость оборотных активов (N/E) или коэффициент закрепления оборотных активов на 1 руб. продукции (E/N)


Пятифакторная модель рентабельности активов (авансированного капитала)примет в новых обозначениях следующий вид:

.
Анализ рентабельности проведем на примере условных данных предприятия (табл. 9.2).

Таблица 9.2.
Базовые показатели по предприятию


Показатели
Единица измерения
1-й год
2-й год
1
2
3
4
1. Проданная продукция (в продажных ценах)
тыс. руб.
79700
83610
2. а) Производственный персонал
чел.
381
382
б) Оплата труда с начислениями
тыс. руб.
11628
11900
3. Материальные затраты
тыс. руб.
50228
52428
4. Амортизация
тыс. руб.
8311
8726
5. Основные производственные средства (внеоборотные активы)
тыс. руб.
74350
78581
6. Оборотные активы
тыс. руб.
16007
16241


На основе базовых показателей рассчитываем показатели интенсификации производственных ресурсов (табл. 9.3).

Таблица 9.3.
Показатели интенсификации использования производственных ресурсов

Показатели
Условные обозначения
Единица измерения
1-й год базовый (0)
2-й год отчетный (1)
1
2
3
4
5
1. Оплатоемкость (трудоемкость) продукции

руб.
0,145897
0,142327
2. Материало-емкость продукции

руб.
0,630213
0,627054
3. Амортизацие-емкость продукции

руб.
0,104279
0,104365
4. Фондоемкость продукции

руб.
0,932873
0,939852
5. Коэффициент закрепления оборотных средств

руб.
0,200841
0,194247

Методику анализа пятифакторной модели рентабельности активов проиллюстрируем методом цепных подстановок.
Найдем значение рентабельности для базового и отчетного годов:
а) базовый год


(0) =
,

т.е. 10,55%
б) для отчетного года


(1) =


т.е. 11,13%
Разность в коэффициентах рентабельности отчетного и базового годов составила 0,0058, что в процентах будет 0,58 %
В динамике показателя рентабельности активов отражается динамика всесторонней интенсификации хозяйственной деятельности, поэтому рентабельность активов является наиболее обобщающим показателем эффективности работы предприятия.


9.2. Анализ деятельности предприятия

Общее количество финансовых показателей, используемых для анализа деятельности предприятия весьма велико. Если задаться целью перечислить все когда-либо использованные финансовые показатели, то можно насчитать их более сотни. В данном параграфе будут рассмотрены лишь основные коэффициенты и показатели и, соответственно, основные выводы, которые на их основе можно сделать. С целью более упорядоченного рассмотрения и анализа финансовых показателей их принято подразделять на группы.
Такое подразделение можно сделать различными способами. Результаты деятельности данного конкретного предприятия интересуют самых различных людей. Основные заинтересованные группы это собственники (инвесторы), руководители компании, кредиторы, работники компании, рабочие организации (профсоюзы), правительственные учреждения и общество в целом, как потенциальные инвесторы и потребители разнообразных социальных благ, генерируемых данным предприятием.
Различные группы рассматривают деятельность компании с разных позиций, и их оценка часто охватывает не только финансовые данные, а более широкий спектр ценностей, которые не обязательно имеют количественное измерение. Учитывая важность влияния, можно рассматривать оценку деятельности предприятия с точки зрения трех основных групп: руководство предприятия, владельцы, кредиторы. Несомненно, такое деление нельзя считать незыблемым, и показатели каждой группы могут использоваться различными заинтересованными лицами.
Возможно также упорядочение рассмотрения финансовых показателей по группам, характеризующим основные свойства деятельности компании: 1) ликвидность и платежеспособность, 2) эффективность менеджмента предприятия, 3) прибыльность (рентабельность) его деятельности.
Ниже представлено более подробное разделение финансовых коэффициентов на группы, характеризующие различные особенности деятельности предприятия.
1. Операционный анализ
Коэффициент изменения валовых продаж
Коэффициент валового дохода
Коэффициент операционной прибыли
Коэффициент чистой прибыли
2. Анализ операционных издержек
Коэффициент производственной себестоимости реализованной продукции
Коэффициент издержек по реализации
Коэффициент общих и административных издержек
Коэффициент процентных платежей
3. Управление активами
Оборачиваемость активов
Оборачиваемость постоянных активов
Оборачиваемость чистых активов
Оборачиваемость дебиторской задолженности
Средний период погашения дебиторской задолженности
Оборачиваемость товарно-материальных запасов
Оборачиваемость товарно-материальных запасов по себестоимости
Оборачиваемость кредиторской задолженности
Средний период погашения кредиторской задолженности
4. Показатели ликвидности
Коэффициент текущей ликвидности
Коэффициент быстрой ликвидности
Коэффициент абсолютной ликвидности
5. Показатели прибыльности (рентабельности)
Рентабельность оборотных средств
Рентабельность активов
Рентабельность собственного капитала
Рентабельность используемого капитала (Рентабельность чистых активов)
6. Показатели структуры капитала
Отношение задолженности к активам
Отношение задолженности к капитализации
Соотношение заемного и собственного капитала
Отношение задолженности к собственному капиталу.
Коэффициент капитализации
7. Показатели обслуживания долга
Показатель обеспеченности процентов
Показатель обеспеченности процентов и основной части долга
8. Рыночные показатели
Прибыль на одну акцию
Рост цены акции
Дивидендный доход
Общая доходность обыкновенных акций
Коэффициент выплат
Коэффициент цена/прибыль на 1 акцию.
Рассмотрим их более подробно.
Показатели операционного анализа.
Коэффициент изменения валовых продаж служит целям количественной характеристики приращения объема продаж текущего периода по отношению к объему валовых продаж предыдущего периода. Расчет данного показателя производится по формуле

Источники и показатели интенсификации и эффективности

Естественным опасением при использовании данного показателя является влияние инфляции. Инфляция искажает значение данного показателя, так как объем выручки за текущий год по сравнению с предыдущим содержит инфляционную компоненту.



Экономические и организационные методы снижения рисков


К функциям управления рисками относим:

  • маркетинг;
  • оптимизация риска;
  • планирование работ по управлению рисками;
  • организация выполнения плана;
  • учет и контроль;
  • мотивация достижения высоких результатов;
  • регулирование процесса управления рисками.
К экономическим вопросам управления риском относим следующие:

  • исследование внешних и внутренних факторов риска;
  • анализ профессионализма субъекта риска;
  • анализ параметров объекта риска;
  • разработка предложений но улучшению параметров объекта и субъекта риска;
  • экономическое обоснование эффективности работ по управлению риском;
  • стимулирование достижения высоких результатов.
К организационным вопросам управления рисками относим следующие:

  • формулирование принципов организации управления рисками;
  • разработка организационной структуры управления рисками;
  • выбор моделей управления рисками;
  • сбор, обобщение и переработка информации;
  • защита результатов оптимизации рисков на ученом (техническом) совете;
  • корректировка материалов и сдача их ЛПР (заказчику).
К принципам организации управления рисками относим следующие:

  • правовая регламентация управления рисками путем создания единого федерального нормативно-методического документа по рискам. По крупным федеральным объектам важно не только экономически обосновывать и оптимизировать риск, но и поделить его между участниками инновационного проекта или другого объекта;
  • обеспечение высокого научного уровня процесса управления рисками путем анализа действия экономических законов функционирования рыночных отношений и законов организации, научных подходов и принципов;
  • обеспечение адаптивности управленческих процессов к изменениям факторов внешней и внутренней среды;
  • обеспечение сопоставимости альтернативных вариантов управленческих решений;
  • автоматизация управления;
  • регламентация процессов;
  • выполнение принципов рациональной организации управленческих и производственных процессов;
  • оптимизация рисков.
Для повышения качества управления рисками рекомендуется устанавливать количественные корреляционные (парные) зависимости между важнейшими показателями сфер (факторов) внешней среды объекта и уровнем риска.
К факторам микросферы организации относятся следующие: поставщики и их конкуренты; потребители и их конкуренты; контактные аудитории (средства массовой информации, группы содействия, общественные организации, контролирующие органы и др.); маркетинговые посредники на входе и выходе системы; местные органы власти.
К внутренним факторам риска относятся несоответствия, низкая надежность, непропорциональность, слабость отдельных компонентов системы управления организацией, ее производственной и организационной структуры, элементов функциональных видов маркетинга и менеджмента. Другими словами, к внутренним факторам риска относятся все слабости и «болезни» организации как черного цикла, т. е. ее субстанции: всех видов ресурсов в статике и динамике, системы управления.
Сначала рекомендуется анализировать внешние факторы риска только потом внутренние. Среди внешних факторов риска могут быть непреодолимые в текущее время и в перспективе слабости и «болезни», которые делают бессмысленными усилия по снижению внутренних ресурсов. Можно затратить огромные средства на снижение внутренних рисков и получить нулевой результат, если внешние факторы риска шляются непреодолимыми. Прежде чем инвестировать проект, развитие объекта, изучи внешнее окружение этого объекта.
Наличие непреодолимых внешних факторов риска делает бессмысленным инвертирование в развитие данного объекта. К сожалению, на практике следуя утвердившемуся понятию, что система это совокупность взаимосвязанных элементов, анализ инвестиционной ситуации начинают с внутренней, а не внешней среды. Затратив огромные средства на развитие самой системы, на втором этапе этапе анализа факторов внешней среды сталкиваются с непреодолимыми препятствиями (неустойчивые инструменты рыночного механизма, некачественная инфраструктура и т. д.), делающими проект бесперспективным, а затраты на развитие внутренней структуры уже не вернешь.
Основными методами анализа факторов риска являются общеизвестные четные методы сравнения: индексный, балансовый, элиминирования, графический, функционально-стоимостный, факторный анализ, системный анализ и др. Главная цель этого анализа выявление узких, мест, слабостей, «болезней», непропорциональностей субстанции, структуры, производственных и управленческих процессов в системе, повышающих риск вложения инвестиций в ее функционирование или развитие. Поэтапная оптимизация риска представляет собой:

  • отбор и ранжирование факторов внешней и внутренней среды объекта и субъекта риска с применением методов факторного анализа (математико-статистические и экспертные);
  • установление зависимостей между отобранными факторами риска и объектом риска (доходом, прибылью и др.);
  • стохастическая оптимизация риска.
Целью снижения рисков является снижение неопределенности во внешней среде и внутренней структуре организации, повышение точности прогноза количественных значений факторов риска, т. е. уменьшение среднеквадратического отклонения каждого фактора. Для этого, с одной стороны, необходимо повышать точность прогнозов факторов риска путем совершенствования информационного обеспечения управления рисками (организацией), а с другой применять известные экономические и организационные методы снижения рисков. Сначала следует повышать научный уровень управления рисками (нельзя забывать, что оптимизированный риск дает прибыль), и только потом применять экономические и организационные методы снижения рисков.
Без повышения научного уровня управления поле допуска прогноза фактора риска и социально-экономических показателей будет большим (до 50-100 и более процентов от капитала), что снизит качество управления организацией, инвестициями, инновациями и рисками до минимума. На практике так и получается.
Организации, менеджеры, инвесторы, экономисты применяют экономические и организационные методы снижения рисков и повышения обоснованности инвестиций без проработки истоков научного уровня управления. В конечном счете, но генеральной совокупности инновационных и инвестиционных проектов, в рамках народного хозяйства получается отрицательный результат: эффективность использования ресурсов, конкурентоспособность, качество жизни падают. К профилактике в экономике и управлении относятся стратегический маркетинг (стратегическая сегментация рынков, прогнозирование потребности и ценностей, нормирование конкурентоспособности объектов, разработки стратегии); повышение научного уровня управления (законы, научные подход принципы, методы, модели).
Экономические и организационные методы снижения рисков:
1. Метод уклонения от рисков основан на отклонении инвестиционного проекта в случае обнаружения каких-либо ненадежных действий партнеров, контрагентов, поставщиков, разработанных и представленных заказчику документов. Чем выше уровень неопределенности внешних факторов риска, тем больше будет отклоненных проектов или их исполнителей.
2. Метод распределения рисков между участниками проекта, его соисполнителями, субподрядчиками. Применяется при большой потенциальной эффективности проекта, ожидании положительных сдвигов в экономике, но одновременно большой неопределенности текущей и стратегической ситуации.
3. Метод диверсификации (распределения) рисков путем деления инвестиций на разные проекты. Этот метод применяется при наличии нескольких, примерно с одинаковой степенью надежности, объектов инвестиций для инвестора. Диверсификация может быть любых сфер деятельности организации.
4. Метод локализации источников риска используется в тех сравнительно редких случаях, когда удается достаточно четко и конкретно вычленить и идентифицировать источники риска. Выделив экономически наиболее опасный этап или участок деятельности, можно сделать его контролируемым и таким образом снизить уровень финального риска предприятия. Подобные методы давно применяют многие крупные производственные компании, например, при внедрении инновационных проектов, освоении новых видов продукции, коммерческий успех которых вызывает большие сомнения, и т. п. Для рисковых частей проекта задаются венчурные дочерние фирмы, при условии допущения их к научно-производственному потенциалу материнской компании.
5. Метод диссипации риска представляет собой более гибкие инструменты управления рисками. Один из основных методов диссипации заключается в распределении общего риска путем объединения (с разной степенью интеграции) с другими участниками, заинтересованными в успехе общего дела. Метод диссипации отличается от метода распределения рисков тем, что в первом случае риск (инвестиции) делится с посторонними физическими или юридическими лицами, а во втором с участниками одного и того же проекта. Интеграция может быть либо вертикальной (или диагональной) объединение нескольких предприятий одного подчинения или одной отрасли для проведения согласованной ценовой политики, для разделения зон хозяйствования, для совместных действий против «пиратства» и т.



Коэффициент валового дохода


Следует иметь ввиду, что инфляция является объективным отражением экономических закономерностей текущего периода, т.е. ее присутствие закономерно сказывается на изменении показателей предприятия. Коэффициент валового дохода показывает, какую долю валовый доход занимает в выручке предприятия. Расчет коэффициента производится по формуле

Коэффициент валового дохода

Валовый доход зависит от соотношения цен, объема продаж и себестоимости проданной продукции. Любое изменение в соотношении цен и себестоимости произведенных или приобретенных товаров может повлечь за собой изменение в валовом доходе. Коэффициент валового дохода является предтечей полной оценки прибыльности продаж предприятия. Следует помнить, что валовый доход по определению призван покрыть издержки, связанные с общим управлением компании и реализацией готовой продукции и, кроме того, обеспечить прибыль предприятию.
В этом смысле коэффициент валового дохода показывает способность менеджмента компании управлять производственными издержками (стоимостью сырья и прямых материалов, затратами на прямой труд и производственными накладными издержками). Чем выше этот показатель, тем более успешно менеджмент компании управляет производственными издержками.
Коэффициент операционной прибыли показывает эффективность основной (операционной) деятельности предприятия вне связи с финансовыми операциями и нормами фискального регулирования, принятыми в стране. Расчет этого коэффициента осуществляется по формуле:

Коэффициент валового дохода
.
В данной формуле мы подчеркнули содержание операционной прибыли: это прибыль, которая получается после вычитания из валового дохода общих, административных и реализационных издержек. Таким образом, в числителе этой формулы учтены все издержки, кроме финансовых платежей и налога на прибыль. И поэтому данный показатель показывает, насколько эффективна собственно производственная деятельность предприятия.
Прибыльность продаж (коэффициент чистой прибыли) является итоговой характеристикой прибыльности основной деятельности предприятия за период времени. Расчет этого показателя производится по формуле

Коэффициент валового дохода
.
Если предыдущие два коэффициента характеризовали эффективность отдельных сторон деятельности предприятия в части обеспечения прибыльности, то данный коэффициент показывает, насколько эффективно “сработала” вся менеджерская команда, включая производственных менеджеров, маркетологов, финансовых менеджеров в части основной деятельности компании. Роль финансового менеджера в данном контексте свелась к добыванию заемных финансовых ресурсов, а эффективность его деятельности оценивается тем, какова стоимость (процентная ставка) этих ресурсов. Процентные платежи учтены в расчете чистой прибыли, и чем выше эти платежи, тем ниже прибыльность продаж.
Полученное снижение прибыльности продаж по элементам уже было объяснено выше при анализе предшествующих показателей прибыльности. Следует также добавить, что относительное снижение этого показателя менее существенно по сравнению со снижением показателя операционной прибыли. Этого говорит о том, что финансовый менеджер компании, за счет привлечения не очень дорогих кредитов смог слегка улучшить положение компании, не допустив драматического снижения показателя чистой прибыли.
Существует еще один способ оценки прибыльности продаж, который исключает все уплаченные проценты из налогооблагаемой прибыли. Аргумент в пользу этого подхода таков. И прямой, и кредитный инвестор предприятия вкладывает в предприятие деньги, рассчитывая на вознаграждение. В соответствии с нормами налогообложения прибыли проценты за использования заемного капитала относятся на себестоимость, а дивиденды выплачиваются из прибыли. В то же время дивиденды не вычитаются при оценке прибыльности продаж, а процентные платежи вычитаются до налога на прибыль.
Отсюда веский аргумент в пользу того, чтобы исключить проценты из расчета чистой прибыли, уравняв тем самым отношение к собственному и заемному капиталу при оценке прибыльности продаж. Расчет коэффициента чистой прибыли теперь производится по формуле:

Коэффициент валового дохода
.
Смысл формулы таков: поскольку процентные платежи вычитались из налогооблагаемой прибыли, мы просто добавляем эту сумму вычтенных процентов, но с учетом налога на прибыль. Итоговый характер данного показателя привлекает пристальное внимание собственников компании. Собственники компании, как правило, не имеют достаточного времени и квалификации для того, чтобы подробно анализировать все элементы деятельности компании. В то же время ключевые показатели они контролируют с особой тщательностью.
Данный показатель относится к разряду основных с точки зрения собственников.
Показатели операционных издержек
Анализ операционных издержек производится с целью оценки относительной динамики долей различных видов издержек в структуре совокупных издержек предприятия и является дополнением операционного анализа. Анализ операционных издержек позволяет выяснить истинную причину изменения показателей прибыльности компании.
В частности, коэффициент производственной себестоимости реализованной продукции, который рассчитывается по следующей формуле

Коэффициент валового дохода
,
и является дополнением коэффициента валового дохода в том смысле, что эти два коэффициента в сумме должны составлять 100%.
Показатели эффективности управления активами
При анализе состояния компании важно определить, насколько эффективно менеджмент управляет активами, доверенными ему владельцами компании. По балансу предприятия можно судить о характере используемых компанией активов. Большая сумма накопленной амортизации по отношению к имеющимся недвижимому имуществу, машинам и оборудованию дает основания полагать, что у компании старое оборудование, требующее обновления.
Если в балансе появились большие суммы денежных средств, можно предположить, что имеются излишние деньги, которые могли быть использованы с большей пользой. Для выявления тенденций в использовании имеющихся у компании ресурсов используется ряд коэффициентов, основанных на соотношении товарооборота и величины капитала, необходимого для обеспечения такого объема операций.
Коэффициент оборачиваемости активов вычисляется в нескольких вариантах. Могут быть использованы коэффициенты
оборачиваемости активов,
оборачиваемости постоянных активов и
оборачиваемость чистых активов.
Расчеты этих показателей производятся по формулам:

Коэффициент валового дохода
,

Коэффициент валового дохода


Коэффициент валового дохода

Чаще всего используется оборачиваемость активов всего и оборачиваемость чистых активов, или нетто-активов. С помощью этих показателей можно определить, какое количество вложенных активов необходимо для обеспечения данного уровня реализации продукции, то есть какая сумма дохода получается на каждый, например, доллар или гривну вложенных активов. Применение нетто-активов исключает из расчетов текущие обязательства. Объясняется это тем, что текущие обязательства (счета к оплате, подлежащие выплате налоги, подлежащая выплате доля долгосрочной задолженности, начисленная заработная плата и другие начисленные обязательства) в основном непосредственно связаны с операциями компании и не находятся в ее распоряжении в процессе ее деятельности.
Таким образом, сумма используемых компанией активов эффективно уменьшается за счет этой постоянной текущей кредиторской задолженности и прочих текущих обязательств. Это соображение особенно важно при анализе деятельности торговых фирм, у которых сумма счетов поставщиков, подлежащих оплате, достигает значительной доли в общем итоге баланса.
Показатель оборачиваемости постоянных активов показывает, какая сумма дохода получается на единицу денежного выражения основных средств предприятия. Этот показатель является наиболее “болезненным” для украинских предприятий в настоящий период развития экономики страны с характерным неполным использованием производственных мощностей.
Необходимо отметить, что данные показатели являются весьма приближенными, поскольку в балансах большинства предприятий самые различные активы, приобретенные в различное время, показываются по первоначальной стоимости. Балансовая стоимость таких активов часто не имеет ничего общего с их реальной стоимостью, при этом такое расхождение усугубляется в условиях инфляции и при повышении стоимости таких активов. Именно такие несоответствия балансовой и реальной стоимости у большинства инвесторов вызывают желание к поглощению данной компании, чтобы реализовать заложенную в ней дополнительную стоимость.
Еще одно искажение реального положения может быть связано с разнообразием видов деятельности компании: в то время как значительная часть производственной деятельности требует вовлечения большого количества активов, другие виды деятельности (например, сфера обслуживания или оптовая торговля) требуют относительно меньшего количества активов для получения определенного объема дохода.
Управление оборотными активами. Особое внимание при анализе использования активов уделяется ключевым статьям оборотных средств: товарно-материальным запасам и дебиторской задолженности (счетам к получению). Главная цель анализа состоит в том, чтобы установить признаки уменьшения величины или, напротив, избыточного накопления товарно-материальных запасов и счетов дебиторов.



Конкурентоспособность товара


Под конкурентоспособностью товара понимается совокупность его качественных и стоимостных характеристик, которая обеспечивает удовлетворение конкретной потребности покупателя и выгодно для покупателя отличается от аналогичных товаров-конкурентов.
Абсолютно конкурентоспособными, исходя из этой посылки, являются новые виды товаров, не имеющие аналогов на рынке.
Практика определения конкурентоспособности товара основывается на сравнительном анализе его совокупных характеристик с товарами-конкурентами по степени удовлетворения конкретных потребностей и по цене потребления.
Конкурентоспособность продукции может быть выражена количественно через показатель конкурентоспособности.
Известно несколько способов определения этого важнейшего показателя. Остановимся на более распространенных.
Первый способ. Критерием для определения конкурентоспособности техники является цена потребления этого товара, которая определяется из выражения
Цп = Цпр + Ип
где Цп цена потребления;
Цпр цена продажная;
Ип издержки у потребителя этой продукции за весь нормативный срок ее службы.
Для покупателя все расходы делятся на две основные категории. Во-первых, это постоянные затраты, которые осуществляются единовременно и в дальнейшем не изменяют своей величины, т.е. покупная цена изделия, расходы на установку, монтаж и пр. Во-вторых, это переменные затраты, осуществляющиеся в процессе пользования изделием; они включают эксплуатационные расходы (энергия, сырье, рабочая сила и т.п.), текущий ремонт и обслуживание и др.
Величину переменных затрат (Ип) для юридических лиц можно определить по формуле
Ип = (ЗП + Ирем + Имр + А + Ипр) Тн ,
где ЗП годовой фонд заработной платы обслуживающего персонала с отчислениями на социальные нужды;
Ирем годовые затраты на текущий ремонт и обслуживание;
Имр годовые расходы на топливо, энергию, горюче-смазочные и другие материалы, связанные с эксплуатацией техники;
А годовая величина амортизации;
Ипр прочие годовые издержки, связанные с эксплуатацией техники;
Тн нормативный срок службы.
По мере старения изделия сумма переменных затрат возрастает, и соответственно увеличивается их доля в цене потребления.
На основе этих противоположных тенденций формируется удельная цена потребления, которая в определенный момент достигает своего минимума, т.е. становится оптимальной. Период, за который достигается оптимальный уровень цены потребления при нормальной интенсивности эксплуатации, называется экономическим ресурсом изделия.
С выработкой этого ресурса потребитель должен прекратить пользоваться данным изделием и заменить его новым или провести его капитальный ремонт, т.е. восстановить в той или иной степени экономический ресурс, который должен находиться в непосредственной близости к установленным срокам полного амортизационного списания.
Таким образом, для покупателя цена потребления товара означает очень многое, в первую очередь как этот товар проявит себя при его эксплуатации. Поэтому чем ниже цена потребления товара, тем выше его конкурентоспособность.
Рассматриваемый способ применяется, если сравниваемый товар одинаковый по производительности и сроку службы. Если эти параметры разнятся, то необходимо привести варианты в сопоставимый вид.
Технические параметры при этом методе определения конкурентоспособности как бы явно не участвуют, но косвенно они все же учитываются в стоимостных параметрах (в продажной цене и цене потребления).
Второй способ. При определении конкурентоспособности товара по этому способу учитываются два критерия: себестоимость производства и реализации товара и уровень его качества.
Явно более конкурентоспособным является тот товар, у которого издержки на производство и реализацию являются минимальными, а уровень качества более высокий по сравнению с товаром-конкурентом.
При одинаковом уровне качества товаров-конкурентов более конкурентоспособным является тот, у которого ниже себестоимость.
Третий способ. Этот способ основан на сопоставлении товаров-конкурентов с учетом их технического уровня и продажной цены.
Согласно этому методу вначале определяются количественные показатели уровня качества сравниваемого и базового образца (товара) по формуле
КП = КПэ
Конкурентоспособность товара
КПт
Конкурентоспособность товара
КПн
где КП комплексный показатель уровня качества товара;
КПэ комплексный показатель эстетико-эргономического уровня;
КПт комплексный показатель технического уровня;
КПн комплексный показатель надежности.
На втором этапе определяются показатели конкурентоспособности сравниваемого образца и товара, принятого за базу сравнения:
Пкi =
Конкурентоспособность товара
; Пк2б =
Конкурентоспособность товара
,
где Пкi , Пк2б показатель конкурентоспособности сравниваемого образца и товара-эталона;
КПi , КПб комплексный показатель уровня качества сравниваемого образца и товара-эталона;
Цi , Цб предполагаемая или фактическая цена реализации рассматриваемого образца и товара-эталона.
Если Пкi Пкб, то сравниваемый товар является более конкурентоспособным; если Пкi Пкб менее конкурентоспособным; если Пкi = Пкб конкурентоспособность одинакова.
Наиболее наглядное представление дает относительный показатель конкурентоспособности (ОПк):
ОПк =
Конкурентоспособность товара
.
Если ОПк
Конкурентоспособность товара
1, то показатель конкурентоспособности рассматриваемого образца превышает или равен показателю конкурентоспособности базового.
Недостаток данного метода заключается в том, что он учитывает только продажную цену сравниваемых товаров, а не их цену потребления, т.е. этот метод не учитывает, насколько хороши эти товары в эксплуатации.
Четвертый способ. При этом методе уровень конкурентоспособности определяется на основе сопоставления как технических, так и экономических параметров. При этом из технических параметров выбираются только такие, которые, в наибольшей степени интересуют покупателя. Далее рассчитываются индексы по каждому техническому параметру, а на их основе определяются сводные параметрические индексы (Iтп) по каждому сравниваемому изделию:
Iтп =
Конкурентоспособность товара
,
где Ii индивидуальный индекс i-го технического параметра;
аi вес i-го параметра.
Создание весовой базы технических параметров это наиболее ответственная и сложная часть всего анализа конкурентоспособности. Основным источником данных для построения весовой базы являются рыночные исследования спрос потребителей, выставка образцов. На практике чаще всего помимо оценки мнения потребителей (а иногда и без таковой) оценку дают специалисты, связанные со сбытом товаров, в той или иной степени знакомые с требованиями потребителей.
Сопоставление сводных технических параметров по каждому изделию дает возможность определить наиболее предпочтительное из них для покупателя. Более конкурентоспособным считается то изделие, у которого значение Iтп является максимальным.
Сводный индекс по экономическим параметрам (Iэп) определяется из выражения
Iэп =
Конкурентоспособность товара
,
где Цпi , Цпо цена потребления соответственно сравниваемого и базового образца.
Если Iэп 1, то это означает, что сравниваемый образец является более конкурентоспособным по сравнению с базовым по экономическим параметрам; если Iэп 1 наоборот; если Iэп = 1 изделия равнозначны.
Для определения уровня конкурентоспособности как по техническим, так и по экономическим параметрам определяется интегральный показатель конкурентоспособности (Ки):
Ки =
Конкурентоспособность товара
,
где Iтп сводный индекс по техническим параметрам;
Iэп сводный индекс по экономическим параметрам.
Данный метод является более предпочтительным по сравнению с предыдущим, так как позволяет учитывать, насколько хороши сравниваемые изделия в эксплуатации.





Максимизация прибыли


Эабс.т.п = Зтнб - ЗтппТП
Максимизация прибыли
100
Исходя из тех же данных определяют процент снижения затрат на 1 руб. товарной продукции в планируемом периоде в сравнении с отчетным периодом (Sт.п):
Sт.п= Зтпб - Зтпп
Максимизация прибыли
100,
где Зтпб - затраты на 1 руб. товарной продукции в отчетном периоде, коп.;
Зтпп - то же, в плановом периоде;
ТП - стоимость товарной продукции в плановом периоде, тыс. руб.
Следует иметь в виду, что на уровень затрат оказывает влияние целый ряд факторов, в том числе изменение норм расхода и цен на материалы, рост производительности труда, изменение объема производства и др. В связи с этим при расчете необходимо определить влияние каждого из них в общем эффекте.
Себестоимость представляет собой суммарные затраты на производство и реализацию продукции. Их можно считать как по фактическим расходам, так и по нормативным. В западных фирмах также имеются нормативы на расходы, но они рассчитываются в рамках каждой отдельной фирмы и представляют коммерческую тайну.
В России на госпредприятиях нормативы носят отраслевой характер и никакой коммерческой тайны не представляют. К сожалению, во многих случаях нормативы не играют роль стимула в снижении расходов предприятий на производство продукции. Практика позволяет утверждать, что они зачастую являются среднеотраслевыми.
Предприятия всегда имеют возможность доказать, что они работают в особых условиях и отраслевые нормативы для них неприемлемы.
Главный мотив деятельности любой фирмы в рыночных условиях - максимизация прибыли. Реальные возможности реализации этой стратегической цели во всех случаях ограничены издержками производства и спросом на выпускаемую продукцию. Поскольку издержки это основной ограничитель прибыли и одновременно главный фактор, влияющий на объем предложения, то принятие решений руководством фирмы невозможно без анализа уже имеющихся издержек производства и их величины на перспективу.
С позиций трудовой теории стоимости К.Маркс в “Капитале” рассматривал издержки как затраты на заработную плату, материалы, топливо, амортизацию средств труда, т.е. на производство товара. К ним он добавлял затраты на заработную плату работникам торговли (оптовой и розничной), содержание торговых помещений, транспорт и т.п. Первые издержки Маркс называл издержками производства, вторые - издержками обращения. При этом он не учитывал рыночной ситуации и ряда других обстоятельств.
Маркс исходил из того, что стоимость товара образуют издержки производства и те издержки обращения, которые представляют собой продолжение процесса производства в сфере обращения, например упаковка, фасовка и т.п.
Современная экономическая теория совершенно по иному подходит к трактовке издержек. Она исходит из редкости используемых ресурсов и возможности их альтернативного использования. Под альтернативным использованием понимается, например, возможность производства из дерева строительных материалов, мебели, бумаги, ряда химических продуктов. Поэтому когда фирма решает производить какой-то определенный товар, например мебель из дерева, то она тем самым отказывается от производства из дерева блоков для дачных домиков. Отсюда делается вывод, что экономические, или вмененные, издержки определенного ресурса, используемого в данном производстве равны его стоимости (ценности) при наиболее оптимальном способе его использования для производства товаров.
Таким образом, экономические издержки - это плата поставщику, осуществляемая фирмой, или доходы поставщика ресерсов, обеспечиваемые фирмой, а также внутренние издержки на то, чтобы ресурсы были применены именно данной фирмой и для определенного варианта производства.


8.3. Сущность, состав и структура цены продукции предприятия. Ценовая политика предприятия

Ориентация цен на внутренние факторы (издержки производства):
а) цена должна обеспечить возмещение затрат и получение прибыли в количестве необходимом для развития предприятия;
б) цена определяется эффективностью использования факторов производства.
Ориентация цен на внешние факторы (спрос, предложение, потребительские свойства товара и т. д.):
а) выше спрос выше цена;
б) выше предложение ниже цена;
в) выше потребительские свойства выше цена.
Комбинированный (внутренние факторы определяют кривую предложения, внешние спроса).
Методы ценообразования:
Нормативный
(Ц = С/С + П) ,
где себестоимость и прибыль рассчитываются по нормам и нормативам.
Параметрические методы (Ц = f (технико-экономического параметра)):
метод удельных показателей (Ц = f (главного параметра);
метод балльных оценок (Ц = f (наиважнейших параметров));
экономико-математические методы (определяется корреляционная зависимость цены от технико-экономических параметров изделия).
Затратный метод
(Ц = С/С + П) ,
где себестоимость определяется исходя из затрат предприятия.
Агрегатный метод (Цм = S Ц отдельных частей конструкции).
Метод экспертных оценок (используется для прогнозирования уровня цен).
Комбинированные методы
В общем виде розничную цену (РЦ) можно представить в следующем виде:

Максимизация прибыли

где С/С себестоимость; П прибыль; А акциз; ССН снабженческо-сбытовая наценка (доход оптовых торговцев); ТН торговая наценка (доход розничной торговли); 1 оптовая цена предприятия; 2 отпускная цена предприятия без НДС; 3 отпускная цена предприятия с НДС; 4 оптовая цена промышленности.
Механизм ценовой политики и ценообразования
Ценовая политика разрабатывается в несколько этапов:
1 Установление целей ценообразования (максимизация прибыли, доли на рынке, демпинг и т. д.).
2 Оценка спроса (размер, эластичность).
3 Анализ собственных возможностей (структуры затрат, каналов сбыта и т. д.).
4 Анализ возможностей конкурентов (для определения ценовой политики).
5 Выбор ценовой стратегии и метода ценообразования (критерий - получение максимальной прибыли).
6 Анализ и учет факторов, влияющих на установление цен (инфляция, колебания конъюнктуры и т. д.).
7 Окончательное принятие цены.
Методы государственного регулирования цен:
1. Установление предельных тарифов
2. Установление фиксированных цен и тарифов
3. Установление предельных коэффициентов
4. Установление предельных уровней рентабельности
5. Декларирование изменения цен и тарифов.
На величину цены оказывают воздействие внутренние и внешние факторы.
К числу внутренних факторов относятся цели организации и маркетинга, стратегии по отношению к отдельным элементам комплекса маркетинга, издержки, организация ценообразования.
Возможными общими целями организации, влияющими на политику ценообразования, являются цели выживания и развития. Так, может сложиться ситуация, когда из-за ужесточения конкуренции, изменения потребностей потребителей, тяжелого экономического положения страны предприятие лишь частично использует свои производственные мощности, Чтобы не остановилось предприятие, продукция для увеличения спроса может продаваться по низким ценам. В благоприятных для предприятия условиях, когда существует высокий спрос и положительно действуют другие факторы, могут назначаться более высокие цены.
Цена должна покрывать все издержки: производственные, товародвижения и продаж, связанные с продвижением, и принести определенную прибыль с учетом риска ее получения. Важнейшей составляющей общих издержек является себестоимость выпускаемой продукции. Важнейшие факторы снижения себестоимости масштабный фактор производства и обучение в процессе освоения производственного процесса.
К числу внешних факторов относятся: тип рынка; оценка соотношения между ценой и ценностью продукта, осуществляемая потребителем; конкуренция; экономическая ситуация; государственное регулирование; возможная реакция посредников.
Тип рынка, на котором реализуются продукты организации, как это отмечалось ранее, также влияет на цену.
В конце концов, является или нет цена правильной, решает потребитель. Поэтому хорошее ценообразование начинается с выявления потребностей и оценок соотношения между ценой и ценностью продукта.
Одним из методов ценообразования является расчет точки безубыточности. Точка безубыточности (BEP) рассчитывается по следующей формуле:
BEP = CC / (P VC)
CC - постоянные издержки, VC - переменные издержки на единицу продукции, Р цена единицы продукции.
Единственным достоинством данного метода является простота. Практическое применение его существенно ограничено, если вообще возможно. Все три функции, не являются линейными, и если по отношению к линиям издержек такое упрощение модели еще терпимо, то рассматривать функцию объёма продаж как однофакторную, зависящую лишь от цены продаж просто экономически безграмотно.
На политику в области ценообразования сильное влияние оказывают цены конкурентов и их возможная реакция на изменение цен на рынке. Отсюда следует, что изучение цен конкурентов важный элемент деятельности в области ценообразования. Когда в основу цены кладется цена конкурентов, издержки или спрос перестают быть решающими факторами, особенно когда сложно измерить эластичность последнего, то есть определить влияние изменения цены на спрос.
В данном случае могут использоваться следующие методы ценообразования:



Методы оценки норматив оборотных средств


По сферам оборота оборотные средства подразделяются на оборотные производственные фонды (сфера производства) и фонды обращения (сфера обращения).
Оборотные средства функционируют одновременно в сфере производства и в сфере обращения, проходя три стадии кругооборота: снабжение, производство и сбыт (реализация). Более наглядно кругооборот оборотных средств представляет собой:
Д ПЗ ... П ... ГП Д1.
На денежные средства (Д) предприятие приобретает все необходимые предметы труда для производства продукции, которые приобретают форму производственных запасов (ПЗ), затем идет непосредственно процесс производства (П), в результате которого получается готовая продукция (ГП), она реализуется, и предприятие за нее получает определенные денежные средства (Д1). Таким образом средства совершают один оборот, затем все повторяется вновь.
По элементу оборотных средств на:
а) производственные запасы (сырье, основные материалы и покупные полуфабрикаты, вспомогательные материалы, топливо, тара, запасные части для ремонтов, малоценные и быстроизнашивающиеся предметы);
б) затраты на незаконченную продукцию (незавершенное производство и полуфабрикаты собственного изготовления, расходы будущих периодов);
в) готовую продукцию (продукция на складах, отгруженная продукция);
г) денежные средства и средства в расчетах (денежные средства, дебиторская задолженность и прочие расчеты);
По охвату нормированием на нормируемые (производственные запасы, затраты на незаконченную продукцию, продукция на складах. Они включают все оборотные средства, находящиеся в сфере производства. В сфере обращения нормируется только та часть оборотных средств, которая овеществлена в готовой продукции.) и ненормируемые (отгруженная продукция, денежные средства и средства в расчетах, дебиторская задолженность);
По источнику формирования на собственные оборотные средства (прибыль, устойчивые пассивы) и заемные оборотные средства (кредиты, денежные средства и средства в расчетах).
Под структурой оборотных фондов понимается соотношение их отдельных элементов во всей их совокупности. Знание и анализ структуры оборотных средств на предприятии имеют очень важное значение, так как она в определенной мере характеризует финансовое состояние на тот или иной момент работы предприятия. Структура оборотных средств на предприятиях различных отраслей промышленности не одинакова и зависит от:
специфики предприятия. На предприятиях с длительным производственным циклом (например, в судостроении) велика доля незавершенного производства; на предприятиях горного профиля большая доля расходов будущих периодов. На предприятиях, у которых процесс производства продукции скоротечный, наблюдается большой удельный вес производственных запасов;
качества готовой продукции. Если на предприятии выпускается продукция низкого качества, которая не пользуется спросом у покупателей, то резко повышается доля готовой продукции на складах;
уровня концентрации, специализации, кооперирования и комбинирования производства;
ускорения научно-технического прогресса.
При всем этом необходимо иметь ввиду, что одни факторы носят долговременный характер, другие кратковременный.

2.3. Методы оценки норматив оборотных средств

В практике нормирования и планирования оборотных средств используется несколько методов: метод прямого счета, аналитический, опытно-лабораторный, отчетно-статистический и коэффициентный.
При аналитическом методе оценки норматив оборотных средств устанавливается по фактической величине оборотных средств за определенный период с учетом поправок на излишки и ненужные запасы, а также на изменение в условиях производства и снабжения. Поэтому данный метод предусматривает классификацию оборотных средств на две группы: зависящие от изменения объема производства (сырье, основные материалы, покупные изделия и полуфабрикаты, топливо, тара, незавершенное производство и готовая продукция) и независящие (запасные части, малоценные и быстроизнашивающиеся предметы, расходы будущих периодов). Данный метод наиболее часто применяется при определении норматива оборотных средств в перспективе.
При опытно-лабораторном методе норматив оборотных средств устанавливается на основе данных опытов и лабораторных исследований. Этот метод широко применяется при нормировании расхода вспомогательных материалов.
При отчетно-статистическом методе норматив оборотных средств определяется на основе отчетно-статистических данных за тот или иной отчетный период. Норма на планируемый период разрабатывается с учетом ее тенденции к сокращению в прошлом периоде.
При коэффициентном методе норматив оборотных средств на планируемый период устанавливается с помощью норматива предшествующего периода и с учетом изменения объема производства и ускорения оборачиваемости оборотных средств.
Величина нормируемых оборотных средств должна всегда удовлетворять реальной потребности производства. При занижении норматива предприятие не сможет обеспечить производство необходимыми запасами, своевременно расплатиться с поставщиками, рабочими, служащими и т. п. При завышении норматива образуются значительные сверхнормативные запасы, происходит замораживание средств, что ведет к потерям. Завышенный норматив способствует сокращению уровня рентабельности, увеличению размера выплаты за увеличение стоимости имущества предприятия.
Для определения оптимальной величины нормируемых оборотных средств большое значение имеет нормирование расхода материальных ресурсов, т. е. установление максимально допустимого количества сырья или материалов, необходимого для изготовления продукции или выполнения работы с учетом проведения намеченных организационно-технических мероприятий по совершенствованию производства. Нормирование расхода материальных ресурсов направлено на выявление и мобилизацию внутренних резервов предприятия для более рационального использования материальных ресурсов.
Нормы расхода материальных ресурсов подразделяются на пять групп в зависимости от назначения нормируемого материала, времени действия нормы, масштаба действия, объекта нормирования, номенклатуры материалов. В зависимости от назначения нормируемого материала они классифицируются на нормы расхода основных и вспомогательных материалов.
Нормы расхода вспомогательных материалов подразделяются на шесть подгрупп:
нормы расхода вспомогательных материалов, вещественно входящих в готовую продукцию;
нормы расхода вспомогательных материалов;
нормы расхода вспомогательных материалов на тару и упаковку;
нормы расхода топлива и других вспомогательных материалов;
нормы расхода электроэнергии.
Последняя подгруппа, в свою очередь, подразделяется в зависимости от характера использования электроэнергии на три вида: двигательную электроэнергию, электроэнергию на технологические цели и на освещение.
По времени действия различают годовые (квартальные) и оперативно-технические нормы расхода.
Годовые нормы отражают предельный расход материальных ресурсов на единицу продукции (или работы) в среднем за год. Они могут включать квартальные нормы. Такого рода деление целесообразно при установлении нормы расхода материалов, величина которого может изменяться в зависимости от времени года, например расход кокса в доменном производстве.
Оперативно-технические нормы определяют предельный расход сырья и материалов для конкретных условий технологического процесса и заданного уровня организации производства.
В зависимости от масштаба действия нормы расхода материальных ресурсов подразделяются на единичные (индивидуальные) и сводные. Единичные нормы устанавливают расход материалов на конкретную единицу продукции, изготовляемую на определенном заводе или определенном виде оборудования, например норма расхода цветного металла на трактор определенной модели. Сводные нормы характеризуют расход материалов на одну и ту же продукцию (работу), изготовляемую несколькими однородными предприятиями промышленности.
В зависимости от объекта нормирования различают нормы на изделие и нормы на деталь (узел). Нормы на изделие определяют плановый расход материалов на изделие в целом, нормы на деталь расход материалов на детали данного изделия (например, нормы расхода металла на полуось).
В зависимости от номенклатуры нормируемых материалов различают нормы расхода материалов в укрупненной номенклатуре и нормы расхода материалов в детальной номенклатуре. Нормы расхода в укрупненной номенклатуре применяются для расчета годовой потребности предприятия в материальных ресурсах, а также для выявления и анализа общих результатов предприятия в работе по экономии материалов. Нормы расхода в детальной номенклатуре необходимы для разработки ежеквартальных заявок на материалы и для снабжения цехов конкретными профилями, сортами, марками и размерами материалов.
Нормирование оборотных средств начинается с определения среднесуточного расхода сырья, основных материалов к покупных полуфабрикатов в плановом периоде. Среднесуточный расход рассчитывается по группам, причем в каждой группе выделяются важнейшие виды сырья, материалов, которые составляют примерно 80% общей стоимости материальных ресурсов соответствующей группы.



Норматив производственных запасов


Среднесуточный расход материальных ресурсов (Р) это частное от деления суммы всех плановых годовых расходов на годовой календарный период (360 дней). Норматив производственных запасов включает:

  • текущий запас, который предназначен для обеспечения производства материальными ресурсами между двумя очередными поставками и определяется как произведение среднесуточного расхода (Pсут) на интервал между поставками в днях (И), т. е. ТЗ = Рсут И. Текущий запас достигает максимальной величины в момент очередной поставки. По мере использования он уменьшается и к моменту очередной поставки полностью потребляется;
  • страховой запас, который определяется как половина произведения среднесуточного расхода материала (Рсут) на разрыв в интервале поставок (И = Ифакт - Иплан) : СЗ - Рсут (Ифакт - Иплан) 0,5.
При укрупненной оценке он может приниматься в размере 50% текущего запаса. Когда предприятие-потребитель расположено вдали от транспортных путей либо используются нестандартные, уникальные материалы, норма страхового запаса может быть доведена до 100%. При поставке материалов по прямым договорам страховой запас сокращается до 30%.
Страховой запас возникает в результате нарушения времени поставки материала со стороны поставщика;

  • транспортный запас создается, если нарушение времени поставки связано с транспортной организацией. Он рассчитывается аналогично страховому запасу: Тр3 = Р (Ифакт - Иплан) 0,5;
  • технологический запас создается в тех случаях, когда поступающие материальные ценности не отвечают требованиям технологического процесса и до запуска в производство проходят соответствующую обработку. Технологический запас равен произведению коэффициента технологического материала Ктех (устанавливается комиссией из представителей поставщика и потребителя) на сумму запасов:
Тех3 = (ТЗ + СЗ + Тр3) Ктех.

2.4.Показатели и пути улучшения использования оборотных средств предприятия

Важнейшими показателями использования оборотных средств на предприятии являются коэффициент оборачиваемости оборотных средств и длительность одного оборота.
Коэффициент оборачиваемости оборотных средств (Коб) показывает, сколько оборотов совершили оборотные средства за анализируемый период (квартал, полугодие, год). Он определяется по формуле
Коб =
Норматив производственных запасов
,
где Vp объем реализации продукции за отчетный период;
Оср средний остаток оборотных средств за отчетный период.
Продолжительность одного оборота в днях (Д) показывает, за какой срок к предприятию возвращаются его оборотные средства в виде выручки от реализации продукции. Он определяется по формуле:
Д =
Норматив производственных запасов
, или Д =
Норматив производственных запасов
,
где Т число дней в отчетном периоде.
Ускорение оборачиваемости оборотных средств позволяет при неизменной стоимости объема производства высвободить часть оборотных средств. Высвобождение оборотных средств может быть абсолютным и относительным. Абсолютное высвобождение возникает, когда фактическая потребность меньше плановой, т. е. это разница между плановой потребностью на данный период и фактической суммой средних остатков нормируемых оборотных средств.
Относительное высвобождение это разница между плановой и расчетной потребностью в оборотных средствах.
Так же для анализа и планирования расхода материальных ресурсов могут быть использованы следующие показатели: коэффициент использования, коэффициент раскроя, выход продукта (полуфабриката), коэффициент извлечения продукта из исходного сырья.
Коэффициент использования характеризует степень использования сырья и материалов и определяется отношением полезного расхода (массы, теоретического расхода) к норме расхода материалов, установленной на изготовление единицы продукции (работы).
Коэффициент раскроя показатель, характеризующий степень полезного использования листовых, полосных, рулонных материалов в заготовительном производстве; определяется отношением массы (площади, длины, объема) производственных заготовок к массе (площади, длине, объему) исходной заготовки раскраиваемого материала.
Расходный коэффициент показатель, обратный коэффициенту использования и коэффициенту раскроя. Он определяется как отношение нормы расхода материальных ресурсов, установленной на производство единицы продукции (работы), к полезному их расходу.
Выход продукта (полуфабриката) выражает отношение количества произведенного продукта к количеству фактически израсходованного сырья.
Коэффициент извлечения продукта из исходного сырья характеризует степень использования полезного вещества, содержащегося в соответствующем виде исходного сырья. Он определяется отношением количества извлеченного полезного вещества из исходного сырья к общему его количеству, содержащемуся в этом сырье.
Важнейшим обобщающим показателем уровня использования всех материальных ресурсов на предприятии является материалоемкость продукции (Ме); обратный показатель материалоемкости продукции материалоотдача (Мо). Они определяются по формулам:
Ме =
Норматив производственных запасов
, Мо =
Норматив производственных запасов
;

Ме =
Норматив производственных запасов
, Мо =
Норматив производственных запасов
,
где МЗ количество израсходованных материальных ресурсов на предприятии;
ТП выпуск товарной продукции на предприятии;
Vp объем реализованной продукции.

2.5. Организация труда на предприятии
Организация труда или организационные отношения это форма, в которой реализуются экономические результаты трудовой деятельности. Поэтому организация труда рассматривается как составная часть экономики труда.
В условиях рыночной экономики возрастает значение различных факторов, которые воздействуют на эффективность производства, так как в силу возрождающейся конкуренции результативность деятельности становится решающей предпосылкой существования и развития предприятий. Среди факторов эффективности существенное место занимает организация труда. Так, даже самое современное оборудование и высокопроизводительная техника не дадут желаемого результата при низкой организации их обслуживания и наоборот, при научной организации труда можно получить от соответствующего технического оснащения производства максимальный результат.
Что же понимается под организацией труда на предприятии? Для ответа на этот вопрос необходимо знать, что термин «организация» имеет несколько значений.
В одном случае под организацией понимают строение, устройство чего-нибудь, его структуру, внутреннюю упорядоченность, взаимное расположение частей какого-либо целого явления и т.д. В этом смысле организация обозначает некоторую систему, нечто установленное, продуманное, обладающее определенными свойствами. Определение, раскрывающее понятие «организация труда» в указанном выше смысле, называют атрибутивным (от слова «атрибут» существенный признак, неотъемлемое свойство чего-либо), так как такое определение должно характеризовать существенное свойство рассматриваемого явления.
В этом смысле организация труда на предприятии это система производственных взаимосвязей работников со средствами производства и друг с другом, образующая определенный порядок осуществления трудового процесса. Существенным свойством организации труда является порядок трудового процесса в отличие от беспорядка как признака отсутствия организации труда.
В другом случае под организацией труда понимают функцию управления, связанную с установлением, изменением или упорядочением чего-нибудь. Это так называемый функциональный смысл термина «организация». В этом значении организация труда "на предприятии это действия по установлению или изменению порядка осуществления трудового процесса и связанных с ним производственных взаимодействий работников со средствами производства и друг с другом.
После раскрытия сущности организации труда на предприятии необходимо установить ее содержание, т.е. показать, из каких составных частей или элементов складывается тот самый порядок трудового процесса, о котором шла речь выше.
Для этого отметим, что порядок осуществления трудового процесса предполагает, во-первых, установление цели деятельности; во-вторых, руководствуясь технологией производства, установление перечня производственных операций и их последовательности; в-третьих, разделение всех видов работ между работниками и установление между ними системы взаимодействия, т.е. определенной кооперации труда; в-четвертых, приспособление рабочих мест для удобства работы; в-пятых, организацию обслуживания рабочих мест всякого рода вспомогательными работами; в-шестых, разработку рациональных приемов и методов труда; в-седьмых, установление норм труда и системы его оплаты. Для обеспечения соответствующей организации труда необходимы также создание на предприятии безопасных и здоровых условий труда, планирование и учет труда, воспитание дисциплины труда, подбор и подготовка кадров.
Решение перечисленных задач составляет содержание организации труда на предприятии, а ее элементами будут:
1. Подбор, подготовка, переподготовка и повышение квалификации работников.
2. Разделение труда, т.е. расстановка работников по рабочим местам и закрепление за ними определенных обязанностей.
3. Кооперация труда, т.е. установление системы производственной взаимосвязи между работниками.
4. Организация рабочих мест.
5. Организация обслуживания рабочих мест.



Обслуживание рабочих мест


Чтобы организовать обслуживание рабочих мест, необходимо решить следующие вопросы:
определить, в каких видах обслуживания нуждается каждое рабочее место;
по каждому виду обслуживания установить его норму, т.е. обосновать объем обслуживания в смену, месяц, год;
установить регламент обслуживания, т.е. график, периодичность и последовательность;
закрепить выполнение обязанностей по обслуживанию за строго определенными исполнителями.
По способам установления плановых заданий и учета выполненной работы можно выделить:
индивидуальную форму организации труда, когда задание устанавливается каждому работнику отдельно, ведется индивидуальный учет выполненной работы и начисляется индивидуальный заработок работнику;
коллективную форму организации, когда производственное задание устанавливается всему коллективу в целом, учет выработки продукции также ведется по конечным результатам работы коллектива и всему коллективу начисляется заработок.
Коллективные формы организации труда по способу разделения и кооперации подразделяются на коллективы:
с полным разделением труда, когда каждый работник занят только выполнением работы строго по своей специальности на одном рабочем месте;
с частичной взаимозаменяемостью, когда работники владеют двумя или большим числом профессий и могут выполнять работы не только на своем рабочем месте, но и по совмещаемой профессии;
с полной взаимозаменяемостью, когда каждый член коллектива может работать на любом рабочем месте или меняться рабочими местами по заранее продуманной схеме.
По способу формирования средств для осуществления деятельности различаются следующие формы организации труда: индивидуальная трудовая деятельность, подряд, аренда, кооператив, малое предприятие.
Форма организации труда зависит также от формы его оплаты. Различают следующие формы оплаты труда.
По способам взаимодействия с вышестоящими органами могут быть следующие формы организации труда: прямое подчинение, договор подряда, договор аренды, контракт.
По способам управления коллективом различают: полное самоуправление, частичное самоуправление, без самоуправления.
По размерам трудовых коллективов и их месте в иерархии управления на предприятии коллективные формы организации труда могут быть: звеньевыми, бригадными, участковыми, цеховыми, групповыми и др.
Все указанные формы организации труда и их разновидности могут соединяться в различных комбинациях, например, бригадная форма организации труда с полной взаимозаменяемостью, бригадный подряд, аренда предприятия и др.
Каковы же условия эффективности форм организации труда? Для этого нужно выделить прогрессивные элементы, характерные для отдельных форм. Прогрессивными можно считать те элементы, которые обеспечивают автономию и свободу выбора средств для решения производственных задач, перемену труда и гармоничное развитие людей в процессе труда; создают условия для самоуправления, проявления творчества и инициативы; способствуют экономии времени, росту производительности труда; повышают ответственность за результаты труда.
К таким элементам относятся:
частичная или полная взаимозаменяемость работников в коллективе;
планирование по единому наряду и оплата только за конечный результат;
подрядные и арендные отношения;
самоуправление трудового коллектива; -
использование дополнительных средств в виде различных коэффициентов для распределения коллективного заработка между работниками трудового коллектива;
планирование и учет не только выпуска продукции, но и тех средств, которые необходимо затратить на этот выпуск, поощрение за экономию эксплуатационных затрат;
сквозное построение подразделений, работающих в многосменном режиме.
Если формируются коллективы, в которых присутствуют все или большинство из названных элементов эффективности, то можно быть уверенным, что работа их будет успешной. При этом не следует забывать, что необходимо предварительное обоснование принимаемых решений и проектирование всяких организационных новшеств.
Четкое представление о сущности, содержании, формах и функциях организации труда на современном предприятии, в учреждении необходимо каждому специалисту и руководителю любого ранга.


3.4. Оценка конкурентоспособности товара

Различают два понятия: технический уровень продукции и уровень качества продукции как более широкое понятие.
Качество продукции может быть выражено математически через уровень качества.
Уровень качества продукции относительная характеристика продукции, основанная на сопоставлении значений показателей, характеризующих техническое и эстетико-эргономическое совершенство комплексных показателей надежности и безопасности использования оцениваемой продукции, с базовыми значениями соответствующих показателей. Базовыми значениями показателей качества обладает базовая модель, за которую должен быть принят отечественный или зарубежный аналог наивысшего на данное время качества.
Потребительские свойства товаров, их потребительская полезность определяются рядом показателей.
Функциональные свойства определяют соответствие предмета потребления его целевому назначению. Они характеризуют совершенство выполнения основной функции, вспомогательных операций, дополнительных функций. Например, к функциональным свойствам стиральных машин можно отнести способность отстирывать белье, телевизоров возможность приема различных телепрограмм.
Вспомогательными операциями является заточка ножей электробритвы во время ее работы. Дополнительные функции наличие микрокалькулятора в электронных часах.
Социальное назначение характеризует соответствие свойств товара потребностям различных групп населения. Например, товары для детей, любительская фотоаппаратура, диетические продукты, мотоколяски для инвалидов и т.д.
Эргономические свойства обусловливают удобство и комфорт при использовании товара, оптимизацию физической и психической нагрузки человека в момент эксплуатации изделия. Например, расположение систем управления автомобилем, панель управления автоматической стиральной машины, форма ручки утюга и др.
Эстетические свойства характеризуют способность товара выражать в чувственно воспринимаемых признаках формы свою общественную ценность (социально-культурную значимость, степень целесообразности, полезность, рациональность и др.); соответствие формы особенностям функционально-конструктивного решения (рациональность формы); органическую композиционную связь частей и целого (целостность композиции); совершенство исполнения и стабильность товарного вида (качество отделки и др.). Например, модная одежда, сервисный набор посуды, цветовая гамма женских летних зонтов и др.
Экологические свойства: определяют тем, насколько вредным для окружающей среды может быть процесс потребления данного товара. Учитывается не только непосредственный акт потребления, но и все сопутствующие ему процессы (хранение, транспортировка и др.). Например, концентрация вредных примесей при выхлопе двигателей внутреннего сгорания, . биологическая чистота стиральных порошков, воздействие на воздух аэрозольных упаковок, содержание фреона в бытовых машинах и т.п.
Гигиенические свойства характеризуют возможность неблагополучного влияния предмета потребления на организм человека и его работоспособность в процессе эксплуатации. Это влияние может осуществляться как непосредственно, так и косвенно. Гигиенические свойства характеризуются уровнем освещенности, вентиляции, температуры, влажности и т.д.
Например, гигроскопичность тканей, содержание вредных примесей в бытовых пластмассовых изделиях, воздухопроницаемость обуви и др.
Надежность товара в потреблении предусматривает возможность предмета потребления в процессе его использования сохранять свои основные характеристики и параметры в течение определенного времени и в заданных режимах эксплуатации. Определяется долговечностью, сохранностью, безотказностью, ремонтопригодностью и т.п. Так, надежность электропылесоса может измеряться количеством проработанных часов, тканей сохранением цветовой окраски после стирки или чистки и др.
Оценка уровня качества продукции это совокупность операций, включающая выбор номенклатуры показателей качества оцениваемой продукции, определение значений этих показателей при оценке качества продукции.
Технический уровень продукции относительная характеристика качества продукции, основанная на сопоставлении значений показателей, характеризующих техническое совершенство оцениваемой продукции, с соответствующими базовыми значениями (ГОСТ 15467-79).
Согласно ГОСТ 15467-79, под оценкой технического уровня продукции понимается совокупность операций, включающая выбор номенклатуры показателей, характеризующих техническое совершенство оцениваемой продукции, определение значений этих показателей и сопоставление их с базовыми.
В современных условиях возникает необходимость в смене ориентации и критериев оценки разрабатываемой и выпускаемой продукции. Одним из таких критериев может служить конкурентоспособность продукции.
Различают два понятия: «конкурентоспособность предприятия» и «конкурентоспособность товара».
Под конкурентоспособностью предприятия понимается способность предприятия производить конкурентоспособную продукцию за счет его умения эффективно использовать финансовый, производственный и трудовой потенциал.



Оценка ликвидности


Для того чтобы правильно оценить данный коэффициент, необходимо установить качество ценных бумаг и дебиторской задолженности. Покупка не внушающих доверия ценных бумаг и увеличение количества сомнительных дебиторов может создать благоприятное впечатление при расчете коэффициента быстрой ликвидности. Но велика вероятность того, что при продаже таких ценных бумаг компания потерпит убыток, а дебиторская задолженность не будет выплачена вообще или же будет погашена через довольно большой промежуток времени, что равносильно невыплате. Существует еще более жесткая оценка ликвидности, которая допускает, что дебиторская задолженность также не сможет быть погашена в срок для удовлетворения нужд краткосрочных кредиторов. Эту наиболее жесткую оценку ликвидности называют коэффициентом абсолютной ликвидности и рассчитывают по формуле:

Оценка ликвидности
.
Рассмотренные показатели по существу годятся лишь для жесткой оценки на случай катастрофы. С точки зрения деятельности компании целесообразнее проводить анализ ожидаемых в будущем общих поступлений денежных средств, в том числе от продажи основных средств. Соотнесение текущих активов и текущих обязательств обычно охватывает только небольшую долю этих общих возможных денежных поступлений.
Показатели прибыльности (рентабельности)
Показатели прибыльности (рентабельности) позволяют дать оценку эффективности использования менеджментом предприятия его активов. Эффективность работы менеджмента определяется соотношением чистой прибыли, определяемой различными способами, с суммой активов, использованных для получения этой прибыли. Данная группа показателей формируется в зависимости от фокуса исследования эффективности. Эксперта могут интересовать эффективности использования оборотных средств, основных активов, собственного капитала и т.д.
Исходя их целей анализа, формируются компоненты показателя: величина прибыли (чистая, операционная, прибыль до выплаты налога) и величина актива или капитала, которые порождают эту прибыль. Рентабельность оборотного капитала иллюстрирует способность компании получать прибыль от осуществления основной деятельности, т.е. своих обычных хозяйственных операций. Прибыль от основной деятельности исключает элементы прибыли от продажи активов или владения корпоративными правами других предприятий. Поскольку оборотные средства предприятия это та часть активов, которые непосредственно и практически ежедневно используются в процессе деятельности предприятия, при оценке эффективности их использования целесообразно сопоставить операционную прибыль со средним значением оборотных средств за период.
В этом случае мы исключаем из рассмотрения финансовые издержки и налог на прибыль, что является прерогативой всей комплексной (а не только операционной) деятельности предприятия. Расчет данного показателя производится по формуле

Оценка ликвидности
.
Данный показатель сопрягается с показателем оборачиваемости оборотных активов, равным отношению выручки к средней величине оборотных средств за период времени и показателем прибыльности продаж, который в данном случае основан на отношении величины операционной прибыли (т.е. прибыли до выплаты процентов и налога на прибыль, которая не включает прибыль от не основной деятельности).
Рентабельность активов оценивается путем сопоставления чистой прибыли с общей суммой активов по балансу. Этот показатель является одним из наиболее важных для характеристики рентабельности предприятия. Данный показатель наиболее целесообразно рассчитывать по следующей формуле:

Оценка ликвидности
.
Суть показателя рентабельности состоит в характеристике того, насколько эффективно был использован каждый привлеченный рубль. По этой причине мы должны исключить из рассмотрения доходы, которые являются вознаграждением владельцам капитала, как собственного, так и заемного. Но вознаграждение владельцам заемного капитала уже было учтено при расчете чистой прибыли. Поэтому мы должны исключить из чистой прибыли величину процентных платежей, выплаченных до налога на прибыль.
Этим и объясняется появление дополнительного члена в числителе формулы для определения рентабельности активов.
Как и в предыдущем случае, рентабельность активов связана с прибыльностью продаж и оборачиваемостью активов. При этом расчет прибыльности продаж основан на чистой прибыли в сочетании с эффектом исключения процентных платежей.
Рентабельность собственного капитала характеризует эффективность использования только собственных источников финансирования предприятия. При расчете этого показателя используется чистая прибыль предприятия в сочетании с величиной собственного капитала предприятия. Расчет производится по формуле:

Оценка ликвидности
.
Здесь мы не исключаем из рассмотрения процентные платежи, так как при оценке эффективности использования собственного капитала учитывается в том числе эффективность того, насколько менеджмент предприятия способен эффективно для его владельцев привлекать и использовать заемные денежные средства.
Важной характеристикой эффективности деятельности предприятия является сопоставление характеристик рентабельности его активов и собственного капитала.
Рентабельность используемого капитала (или рентабельность чистых активов) рассчитывается путем сопоставления чистой прибыли предприятия, скорректированной на величину процентных платежей по долгосрочным задолженностям, со средней величиной капитала компании в течение года. Смысл этого показателя состоит в анализе эффективности использования капитала компании. Под капиталом здесь понимается указанная в балансе сумма собственного капитала и долгосрочных обязательств.
То же самое может быть получено путем вычитания из суммы активов величины краткосрочных задолженностей. Для расчета данного показателя используется формула:

Оценка ликвидности
,
где расчет чистых активов производится с помощью выражения:

Оценка ликвидности
.
Следует подчеркнуть, что указанные в данной формуле процентные платежи имеют отношение только к долгосрочным обязательствам.
Показатели структуры капитала
Показатели структуры капитала имеют предназначение показать степень возможного риска банкротства предприятия в связи с использованием заемных финансовых ресурсов. Действительно, если предприятие не использует заемных средств вообще, то риск банкротства предприятия равен нулю. При увеличении доли заемного капитала увеличивается риск банкротства, так растет объем обязательств предприятия. Данная группа финансовых коэффициентов в первую очередь интересует существующих и потенциальных кредиторов компании. Руководство компании и собственники оценивают предприятие как непрерывно действующий хозяйственный объект.
У кредиторов другой подход. Кредиторы заинтересованы в том, чтобы финансировать деятельность успешно действующего предприятия, развитие которого будет соответствовать ожиданиям. Наряду с этим они должны учитывать возможность негативного развития событий и возможные последствия непогашения задолженности и ликвидации компании.
От успешной работы компании кредиторы не получают никаких выгод: просто своевременно происходит выплата процентов и погашение капитальной суммы долга. Поэтому они должны тщательно проанализировать риски, существующие для погашения задолженности в полном объеме, особенно если заем предоставляется на длительный срок. Часть этого анализа состоит в том, чтобы определить, насколько весомым будет требование о возмещении долга, если компания будет испытывать значительные затруднения.
Как правило, задолженность обычных кредиторов погашается после выплаты налогов, погашения задолженности по заработной плате и удовлетворения претензий кредиторов по обеспеченным займам, которые предоставлялись под конкретные активы, например, здание или оборудование. Оценка ликвидности компании позволяет судить о том, насколько защищен обычный кредитор. Рассматриваемая ниже группа финансовых коэффициентов помогает определить зависимость компании от заемного капитала и сопоставить позиции кредиторов и собственников.
Отдельную группу образуют финансовые показатели, характеризующие возможности компании по обслуживанию долга за счет средств, получаемых компанией от своих непрерывных операций.
Успешное использование заемных средств способствует увеличению прибыли владельцев предприятия, поскольку им принадлежит прибыль, полученная на эти средства сверх выплаченных процентов, что ведет к увеличению собственного капитала компании.
С точки зрения ссудодателя задолженность в виде процентных платежей и погашения основной (капитальной) сумма долга, должна быть ему выплачены и в том случае, если полученная прибыль меньше суммы причитающихся ему платежей. Владельцы компании через ее руководство должны удовлетворить претензии кредиторов, что может весьма отрицательно повлиять на собственный капитал компании.
Отношение задолженности к активам представляет собой первичную и самую широкую оценку, которую можно сделать, стремясь оценить риск кредитора. Этот показатель рассчитывается по формуле:

Оценка ликвидности
.
Расчет по этой формуле производится для момента времени, а не за период. Этот коэффициент определяет долю "чужих денег" в общей сумме претензий против активов компании. Чем выше этот коэффициент, тем больше вероятный риск для ссудодателя.



Оценка основных фондов


с нормативным сроком службы более трех лет. Ускоренная амортизация не распространяется на транспортные средства, нормативный срок службы которых установлен в зависимости от фактической загрузки (например, для автомобилей от фактического пробега). Имеются и другие ограничения.
При нарушении установленного порядка применения ускоренной амортизации дополнительно начисленные суммы исключаются из издержек производства и обращения. Такой подход связан с тем, что ускоренная амортизация, с одной стороны, приводит к росту себестоимости продукции (работ), а с другой занижает прибыль организаций, что ведет к уменьшению величины взимаемых налогов, соответственно и доходной части бюджета, а это в условиях бюджетного дефицита является нежелательным. Оценка основных фондов
В экономике основные фонды предприятия принято учитывать в стоимостных единицах измерения. Основные фонды в их денежном выражении называются основными средствами.
Оценка основных фондов предприятия может вестись: по первоначальной (балансовой) стоимости, восстановительной и остаточной стоимости.
Первоначальная стоимость основных фондов стоимость, слагающаяся из затрат по их возведению (сооружению) или приобретению, включая расходы по их доставке и установке, а также иные расходы, необходимые для доведения данного объекта до состояния готовности к эксплуатации по назначению.
В условиях переходного периода к рыночным отношениям расширяются возможности поступления основных средств на предприятия. Поэтому в зависимости от способа поступления активных основных средств их первоначальная стоимость определяется следующим образом:
внесенных учредителями в счет их вклада в уставный капитал предприятия по договоренности сторон;
изготовленных на самом предприятии, а также приобретенных за плату у других предприятий и лиц исходя из фактически произведенных затрат по возведению (сооружению) или приобретению этих объектов, включая расходы по доставке, монтажу и установке;
полученных от других предприятий и лиц безвозмездно, а также в качестве субсидий правительственного органа экспертным путем или по данным документов приемки-передачи;
долгосрочно арендуемых по договоренности сторон.
Первоначальная (балансовая) стоимость (Сп) отдельных видов ОФ:
Сп = Соб + Ст +См ,
где Соб стоимость приобретенного оборудования;
Ст затраты по транспортировке оборудования;
См стоимость монтажа или строительных работ.
При длительном использовании ОФ, особенно в условиях высоких темпов инфляции, первоначальная стоимость ОФ перестает соответствовать ее реальной оценке. Поэтому для устранения искажающего влияния ценового фактора применяют оценку ОФ по их восстановительной стоимости, т.е. по стоимости их производства или приобретения в условиях и по ценам данного года.
На предприятии периодически проводится работа по переоценке имеющихся ОФ, преследующая следующие цели:

  • получение полных и точных данных о наличии и структуре ОФ на предприятии;
  • определение восстановительной стоимости ОФ;
  • определение степени износа ОФ;
  • обоснование условий учета издержек производства, т.е. себестоимости продукции, уровня рентабельности производства.
Восстановительная стоимость основных фондов это стоимость их воспроизводства в современных условиях. Величина отклонения восстановительной стоимости основных фондов от их первоначальной стоимости зависит от темпов ускорения НТП, уровня инфляции и др. Своевременная и объективная переоценка основных фондов имеет очень важное значение, прежде всего для их простого и расширенного воспроизводства.
В условиях инфляции переоценка основных фондов на предприятии позволяет:
объективно оценить истинную стоимость основных фондов;
более правильно и точно определить затраты на производство и реализацию продукции;
более точно определить величину амортизационных отчислений, достаточную для простого воспроизводства основных фондов;
объективно устанавливать продажные цены на реализуемые основные фонды и арендную плату (в случае сдачи их в аренду).
Остаточная стоимость представляет собой разницу между первоначальной или восстановительной стоимостью и суммой износа, т.е. это та часть стоимости основных средств, которая еще не перенесена на производимую продукцию.
Оценка основных средств по их остаточной стоимости необходима прежде всего для того, чтобы знать их качественное состояние, в частности определить коэффициенты годности и физического износа и составления бухгалтерского баланса.
Стоимостная оценка основных фондов необходима для их учета, анализа и планирования, а также для определения объема, структуры капитальных вложений.
Для расчета экономической эффективности использования ОФ обычно используют оценку фондов по их среднегодовой стоимости (Сср.г.). Величину Сср.г. можно определить двумя методами.
По первому методу ввод и выбытие основных фондов приурочивается к середине месяца. Среднегодовая хронологическая стоимость основных фондов может быть определена по формуле:
Сср.г. = (0,5 Ч Сн.г. +
Оценка основных фондов
+ 0,5 Ч Cк.г.i) : 12 ,
где Сн.г., Cк.г. соответственно стоимость основных фондов на начало (на 1 января) и конец (31 декабря) отчетного года;

Оценка основных фондов
суммарная стоимость основных фондов на первое число каждого месяца начиная с февраля (i = 2) и кончая декабрем текущего года.
По второму методу ввод и выбытие основных фондов приурочивается на конец анализируемого периода:
Сср.г. = Сн.г. + [
Оценка основных фондов
: 12] [
Оценка основных фондов
(12 Тi) : 12] ,
где Сввi, Слi соответственно стоимость вводимых и выводимых (ликвидируемых) i-х основных фондов;
Тi продолжительность эксплуатации введенных и ликвидированных основных фондов в рамках рассматриваемого отчетного года;
n, т количество мероприятий по вводу и ликвидации ОФ.
Продолжительность эксплуатации вводимых и ликвидируемых ОФ учитывается в месяцах. Для введенных ОФ Тi равно полному количеству месяцев начиная с 1-го числа месяца, следующего за вводом их в эксплуатацию. Для ликвидируемых ОФ значение Тi исчисляется в полных месяцах до 1-го числа месяца, следующего зa их выбытием.
Показателями использования основных производственных фондов являются фондоотдача, фондоемкость, фондовооруженность.
Фондоотдача выпуск продукции на 1 руб. стоимости основных производственных фондов по предприятию. Она определяется по формуле:
Фо = ВП / Ф ,
где ВП объем выпущенной продукции (товарной, валовой, реализованной) или в натуральном выражении за определенный период (год);
Ф среднегодовая стоимость основных производственных фондов, руб.
Среднегодовая стоимость основных производственных фондов
определяется по формуле:
Ф = Фн + (Фв tв) / 12 + (Фл tл) / 12 ,
где Фн стоимость основных фондов на начало года, руб.;
Фв и Фл стоимость соответственно вновь вводимых и ликвидируемых основных фондов, руб.;
tв число полных месяцев эксплуатации вновь введенных основных фондов;
tл число месяцев, остающихся со времени выбытия основных фондов до конца года.
Фондоотдача показатель, определяемый также по активной части основных производственных фондов и по прибыли предприятия.
Фондоемкость показатель, обратный фондоотдаче и характеризующий стоимость основных производственных фондов для выполнения единицы объема работ. Она определяется по формуле:
Фе = Ф / ВП или Фс = 1 / Фо.
Фондовооруженность показатель, характеризующий степень вооруженности рабочих основными производственными фондами. Она определяется по формуле:
Фв = Ф / Чср.р ,
где Чср.р среднесписочная численность рабочих основного и вспомогательного производства.
Баланс основных производственных фондов определяется по формуле:
Фк = Фн + Фв Фл ,
где Фн, Фк стоимость основных производственных фондов соответственно на начало и конец года;
Фв, Фл стоимость соответственно вводимых и ликвидируемых основных фондов.

2.2. Оборотные средства: сущность оборотных средств, их структура

Оборотные средства наряду с основными и рабочей силой являются важнейшим элементом (фактором) производства. Недостаточная обеспеченность предприятия оборотными средствами парализует его деятельность и приводит к ухудшению финансового положения.
Различают два понятия: оборотные средства и оборотные фонды.
Под оборотными фондами понимается часть средств производства, которые единожды участвуют в производственном процессе и свою стоимость сразу и полностью переносят на производимую продукцию.
К оборотным фондам относятся: сырье, основные и вспомогательные материалы, комплектующие изделия, не законченная производством продукция, топливо, тара и другие предметы труда.
Оборотные средства как экономическая категория шире, чем оборотные фонды. Оборотные средства складываются из оборотных фондов и фондов обращения.
К фондам обращения относятся средства, обслуживающие процесс реализации продукции: готовая продукция на складе, товары, отгруженные заказчикам, но еще не оплаченные ими, средства в расчетах, денежные средства в кассе предприятия и на счетах в банках.
Таким образом, оборотные средства это денежные средства предприятия, предназначенные для образования оборотных производственных фондов и фондов обращения.
Для изучения состава и структуры оборотные средства группируются по четырем признакам: 1) сферам оборота; 2) элементам; 3) охвату нормированием; 4) источникам финансирования.



Организация технологических процессов


6. Разработка рациональных приемов и методов труда.
7. Установление обоснованных норм труда.
8. Создание безопасных и здоровых условий труда.
9. Организация оплаты и Материального стимулирования труда.
10. Планирование и учет труда.
11. Воспитание дисциплины труда.
Исходя из сказанного, организация труда на предприятии это, с одной стороны, система производственных взаимосвязей работников со средствами производства и друг с другом, образующая определенный порядок трудового процесса, который складывается из разделения труда и его кооперации между работниками, организации рабочих мест и организации их обслуживания, рациональных приемов и методов труда, обоснованных норм труда, его оплаты и материального стимулирования, планирования и учета труда и который обеспечивается подбором, подготовкой, переподготовкой и повышением квалификации кадров, созданием безопасных и здоровью условий труда, а также воспитанием дисциплины труда.
Организация труда на предприятии это, с другой стороны, действия по установлению, упорядочению или изменению порядка осуществления трудового процесса и связанных с ним производственных взаимодействий работников со средствами производства и друг с другом.
Требование системного похода к производству как одно из главных условий его эффективности определяет важность раскрытия взаимосвязей и взаимообусловленности всех организационных явлений и процессов на производстве.
В законченном виде организация производства как динамичная система может быть представлена в виде совокупности трех подсистем: организации технологических процессов, организации труда и организации управления.
Требует пояснения понятие «организация технологических процессов». Это та совокупность организационных решений, которая определяет порядок функционирования средств производства, их сочетание и пространственное размещение, а также порядок осуществления технологических операций и процедур, составляющих существо каждого вида производственной деятельности.
Принципиальная схема организации производства может быть представлена в виде матричной таблицы, в которой слева по вертикали указываются виды деятельности на промышленном предприятии. Они могут быть детализированы или укрупнены, их можно дать в любой группировке: по фазам производства, по структурным подразделениям или по другим признакам. При этом должно соблюдаться обязательное требование: необходимо указывать все виды деятельности на предприятии.
Сверху по горизонтали в таблице указывается система организации производства в составе ее трех подсистем: подсистемы организации технологических процессов (ОТП), подсистемы организации труда (ОТ) и подсистемы организации управления (ОУ). Предположим, что процесс промышленного производства складывается из следующих видов деятельности:
1. Технико-технологическая подготовка производства (разработка технической и технологической документации на орудия производства, технологию, предметы труда, готовые изделия).
2. Подбор, подготовка, переподготовка и повышение квалификации кадров.
3. Материальная подготовка производства, снабжение его всем необходимым: машинами, механизмами, оснасткой, сырьем, материалами, полуфабрикатами, энергией и т.д.
Эти виды деятельности предшествуют производству материальных благ и являются основными компонентами процесса производства.
4. Осуществление основного производственного процесса по выпуску продукции в соответствии со специализацией предприятия.
5. Осуществление вспомогательных и обслуживающих производственных процессов (ремонтные работы, энергетическое и транспортное обслуживание, контроль качества продукции, хранение сырья, материалов и готовой продукции, хозяйственные работы и др.).
6. Маркетинг.
7. Финансовая деятельность.
8. Управление производством (предприятием) менеджмент.
Эффективность обслуживания рабочих мест может быть достигнута лишь при соблюдении: принципа предупредительности обслуживания, предусматривающего выполнение соответствующих работ до того, как процесс производства прервется в силу несвоевременного их выполнения; принципа оперативности обслуживания быстроты реагирования на возможные сбои производства; принципа комплексности, выражающегося в обеспечении разностороннего обслуживания по всем его видам; принципа плановости, заключающегося в проведении расчетов потребности в видах, сроках и объемах обслуживания каждого рабочего места.
Прогресс в системах обслуживания рабочих мест состоит в переходе от дежурного обслуживания, т.е. обслуживания по вызову с места остановки производства, к стандартному обслуживанию, основанному на расчетах норм обслуживания и реализации планово-предупредительного проведения обслуживающих работ.
Достижение эффективных решений по организации рабочих мест и систем их обслуживания облегчается использованием разработанных типовых проектов организации труда для массовых профессий рабочих и служащих. Типовой проект организации труда это, как Правило, средоточие передового опыта организации труда, в котором находят отражение все принципиальные вопросы организации труда, в том числе вопросы оснащения и планировки рабочих мест, организации их обслуживания.
Составным элементом организации труда является установление технически обоснованных норм труда. Норма труда венчает процесс установления определенной организации труда и является отправным пунктом для ее дальнейшего совершенствования.
Условия труда это совокупность факторов внешней среды, оказывающих влияние на работоспособность и здоровье человека в процессе труда. На работника в производственной среде воздействует большое количество внешних факторов, которые по своему происхождению могут быть разделены на две группы. Первая включает в себя факторы, не зависящие от особенностей производства, среди них географо-климатических, которые обусловлены географическим районом и климатической зоной размещения предприятия, и социально-экономические. Последние зависят от социально-экономического строя общества и определяют положение трудящегося в обществе в целом.
Они находят свое выражение в трудовом законодательстве, в совокупности социальных благ и гарантий.
Вторая группа включает в себя факторы, зависящие от особенностей производства и его коллектива. Эти факторы формируются, с одной стороны, под воздействием особенностей техники, технологии, экономики и организации производства (производственно-технические), а, с другой под воздействием особенностей трудового коллектива (социально-психологические).
Группа производственно-технических факторов наиболее обширна. В нее входят:
технико-технологические факторы особенности техники и технологии, уровень механизации и автоматизации труда, степень оснащенности рабочих мест, режим труда и отдыха. Под воздействием этих факторов формируются физическая тяжесть труда, характеризуемая объемом физической работы и статической нагрузкой за смену, и нервно-психическая напряженность, определяемая объемом перерабатываемой информации, интенсивностью внимания, напряженностью анализаторно-мыслительной деятельности, степенью монотонности труда, темпом работы;
санитарно-гигиенические факторы температура, влажность, скорость движения воздуха в рабочем помещении; уровни шума, вибрации, запыленности, загазованности, излучений; освещенность, контакт частей тела работника с водой, машинным маслом, токсичными веществами, общее состояние производственных помещений;
факторы безопасности, гарантирующие защиту работнике» от механических повреждений, поражений током, от химического и радиационного загрязнения;
инженерно-психологические факторы комфортность на рабочих местах, совершенство конструкции и планировки техники, органов управления и средств контроля за ходом технологического процесса, удобство обслуживания машин и механизмов;
эстетические факторы архитектурно-планировочные решения интерьера и экстерьера, эстетически выразительная форма и цвет средств труда, спецодежды, соответствующее оформление зон отдыха и пр.;
хозяйственно-бытовые факторы организация внутрисменного питания работников; наличие и состояние бытовок, умывальников, душевых, туалетов; организация стирки, химчистки и ремонта спецодежды, уборки помещений и территории и т.д.
Социально-психологические факторы социально-демографическая структура коллектива, совокупность интересов, ценностных ориентации работников, стиль руководства в подразделениях и на предприятии в целом, масштаб и характер деятельности общественных организаций. Эти факторы формируют морально-психологический климат в коллективе.
Таким образом, на человека и его работоспособность воздействует большая и сложная совокупность факторов, которые необходимо учитывать, чтобы создать наиболее благоприятную обстановку для высокопроизводительного труда, что и является одной из задач его организации.
Необходимой составной частью организации труда служат его планирование и учет. Планирование труда как установление пропорций труда, его производительности, численности персонала, фонда заработной платы для выполнения производственной программы часть общей системы, обеспечивающей функционирование труда.



Организация воспроизводственного инвестиционного процесса


п., либо горизонтальной по последовательности технологических переделов, операций снабжения и сбыта. 6. Метод компенсации рисков относится к упреждающим методам управления (управление по возмущению) путем стратегического планирования деятельности организации. Для этого на стадии планирования мы должны в плановых показателях компенсировать будущие трудности и неопределенности путем создания резервов.
7. Метод страхования риска заключается в образовании специального страхового фонда, его распределении и использовании для преодоления разного рода потерь и ущерба путем выплаты страхового возмещения. Страхователь вносит страховые платежи в соответствующий фонд страховщика; последний выплачивает страхователю страховую сумму (как правило, значительно превышающую величину страховой пошлины) при наступлении рисковых ситуаций, оговоренных в страховом соглашении (договоре).
В зависимости от системы страховых отношений, выделяются различные виды страхования: страхование (несколько страховщиков, каждый по своей доле, и один страхователь); двойное страхование (два страховщика одной и той же суммы); перестрахование (сумма первого страховщика перестраховывается вторым страховщиком); самострахование (создание денежных и натуральных страховых фондов непосредственно в хозяйствующих субъектах, т. е. у страхователя).
8. Метод хеджирования заключается в страховании, снижении риска от потерь, обусловленных неблагоприятными для организации изменениями рыночных цен на товары в сравнении с теми, которые учитывались при заключении договора. Суть хеджирования состоит том, что продавец (покупатель) товара заключает договор на его продажу (покупку) и одновременно осуществляет фьючерскую сделку (сделку по текущим ценам, с предоплатой, но при условии покупки будущем) противоположного характера, т. е. продавец заключает сделку на покупку, а покупатель на продажу товара. Таким образом, любое изменение цены приносит продавцам и покупателям проигрыш по одному контракту и выигрыш по другому.
Благодаря этому в целом они не терпят убытка от изменения цен на товары, которые надлежит купить или продать в будущем.


6.7. Организация воспроизводственного инвестиционного процесса на предприятиях

Воспроизводство основного капитала на предприятиях может осуществляться следующими путями либо за счет прямых инвестиций, либо путем передачи объектов основного капитала учредителями в счет взносов в уставный капитал, либо при безвозмездной передаче юридическими и физическими лицами. Основным методом расширенного воспроизводства основного капитала являются прямые инвестиции (капитальные вложения). В состав капиталовложений (прямых инвестиций) включаются затраты на строительно-монтажные работы, приобретение оборудования, инструмента, инвентаря, прочие капитальные работы и затраты (проектно-изыскательские, геологоразведочные и буровые работы, затраты по отводу земельных участков и переселению в связи со строительством, на подготовку кадров для вновь строящихся предприятий и др.).
Под расширением производства понимается строительство дополнительных производственных комплексов и производств, а также сооружение новых либо расширение существующих цехов основного назначения.
Реконструкция представляет собой полное или частичное переоборудование и переустройство предприятия (без строительства новых и расширения действующих цехов основного производственного назначения, за исключением при необходимости создания новых и расширения существующих вспомогательных и обслуживающих объектов) с заменой морально устаревшего и физически изношенного оборудования, механизацией и автоматизацией производства, устранением диспропорций в технологических звеньях и вспомогательных службах. В результате реконструкции достигается увеличение объема производства на базе новой, более современной технологии, расширение ассортимента или повышение качества продукции, улучшение ее конкурентоспособности на рынке. Реконструкция может осуществляться также в частности для изменения профиля предприятия и организации производства новой продукции на имеющихся производственных площадях.
Техническое перевооружение включает комплекс мероприятий (без расширения производственных площадей) по повышению до современных требований технического уровня отдельных участков производства, агрегатов, установок путем внедрения новой техники и технологии, механизации и автоматизации производственных процессов, модернизации и замене устаревшего и физически изношенного оборудования новым, более производительным; совершенствованию организации и структуры производства. Как перечисленные, так и другие организационно-технические мероприятия призваны обеспечивать рост производительности труда, объема выпуска продукции, улучшение ее качества, условий и организации труда и остальных показателей деятельности предприятия.
Капитальные вложения отражаются в балансе по фактическим затратам для застройщика (инвестора). Объекты капитального строительства, находящиеся во временной эксплуатации, до ввода их в постоянную эксплуатацию не включаются в состав основных средств, а отражаются как незавершенные капитальные вложения.
Затраты по строительству объектов группируются по технологической структуре расходов, определяемой сметной документацией на:
строительные работы;
работы по монтажу оборудования;
приобретение оборудования, требующего монтажа;
приобретение оборудования, не требующего монтажа, инструмента и инвентаря; оборудования требующего монтажа, по предназначенного для постоянного запаса;
прочие капитальные затраты;
затраты, не увеличивающие стоимость основных средств.
Работы по строительству предприятий, объектов, сооружений выполняются либо непосредственно силами предприятий и хозяйственных организаций, осуществляющих капитальные вложения (хозяйственный способ строительства), либо специальными строительными и монтажными организациями по договорам с заказчиками (подрядный способ строительства).
При хозяйственном способе строительства на каждом предприятии создаются строительные подразделения, для них приобретают механизмы и оборудование, привлекают рабочих-строителей, формируют производственную базу.
Подрядный способ означает, что работы по строительству выполняются созданными для этой цели строительными и монтажными организациями на основании договоров с заказчиками. Выполнение работ по договорам обеспечивает взаимный контроль заказчика и подрядчика, способствует более эффективному, экономному использованию материальных, трудовых и денежных ресурсов.
Таким образом, при подрядном способе строительство ведется постоянно действующими организациями. Это обеспечивает условия для создания устойчивых кадров рабочих необходимой квалификации и оснащения строительных организаций современной техникой. Подрядные организации систематически накапливают производственный опыт и могут на высоком уровне выполнять строительные работы.
К законченному строительству относятся принятые в эксплуатацию объекты, приемка которых оформлена в установленном порядке актами приемки-передачи основных средств. В учете застройщика затраты по данным объектам в размере их инвентарной стоимости, а также другие расходы списываются со счета «Капитальные вложения» на счета учета приходуемого имущества или источников их финансирования. Инвентарная стоимость законченных строительством объектов и других долгосрочных активов определяется в порядке, установленном Положением по бухгалтерскому учету долгосрочных инвестиций от 30 декабря 1993 г.
На практике существуют два подхода к определению реальных инвестиций затратный и ресурсный. Если исходить из количественных оценок, то до недавнего времени в народном хозяйстве преобладал затратный подход. Поэтому нарастала критика такого подхода, вызванного несбалансированностью между движением материальных и денежных ресурсов.
С точки зрения ресурсного подхода под капитальными вложениями понимаются финансовые ресурсы, предназначенные для расширенного воспроизводства основных фондов. Реальные инвестиции целесообразно рассматривать не в статике, а в динамике, т.е. в процессе смен форм стоимости и превращения их в конечный продукт инвестиционной деятельности данного периода, т.е. это часть дохода предприятия за данный период, которая не может быть использована на потребление.
Реальные инвестиции проходят ряд превращений:
ресурсы (ценности) вложения (затраты)
получение эффекта (дохода или прибыли) в результате инвестирования.
Без получения дохода (прибыли) отсутствуют и стимулы к инвестированию.
Главными этапами инвестирования являются:
преобразование ресурсов в капитальные вложения (затраты), т.е. процесс трансформации инвестиций в конкретные объекты инвестиционной деятельности (собственно инвестирование);
превращение вложенных средств в прирост капитальной стоимости, что характеризует конечное потребление инвестиций и получение новой потребительной стоимости (в форме сданных в эксплуатацию объектов и производственных мощностей);
прирост капитальной стоимости в форме дохода (прибыли), т.е. реализуется конечная цель инвестирования.
Таким образом, начальная и конечная цепочки замыкаются, образуя новую взаимосвязь: доход ресурсы конечный результат, т.е. процесс накопления повторяется.
Процесс накопления финансовых ресурсов, не входя в инвестиционную деятельность, является ее необходимой предпосылкой. Инвестиционная деятельность основа индивидуального кругооборота фондов на предприятии. Инвестиционный цикл (период) включает один оборот инвестиций, т.е. движение стоимости, авансированной в капитальное имущество, от момента аккумуляции денежных средств у застройщика (инвестора) до момента их возмещения.
Государство стимулирует инвестиционную деятельность предприятий путем предоставления им налогово-амортизационных преференций (льгот по налогообложению или льготных норм амортизации).
Инвестиционная деятельность представляет собой совокупность практических действий юридических лиц, граждан и государства по реализации инвестиций. Объектами инвестиционной деятельности являются:
вновь создаваемые и реконструируемые основные фонды производственного и непроизводственного назначения, а также оборотные активы (средства) во всех отраслях народного хозяйства;
ценные бумаги (акции, облигации и др.), т.е. финансовые инвестиции;
целевые денежные вклады юридических лиц и граждан в банках;
научно-техническая продукция и другие объекты собственности, имущественные права и права на интеллектуальную собственность.
Субъектами инвестиционной деятельности являются:
инвесторы (застройщики);
исполнители работ (подрядчики);
пользователи объектов инвестиционной деятельности;
поставщики товарно-материальных ценностей, оборудования, проектной продукции для строительства объектов;
финансовые посредники (коммерческие и инвестиционные банки, страховые компании, инвестиционные фонды, фондовые биржи и др.);
иностранные юридические и физические лица государства и международные организации.
Субъекты инвестиционной деятельности действуют в инвестиционной сфере, где происходит практическая реализация инвестиций. В состав инвестиционной сферы включаются:
сфера капитального строительства, где происходит вложение инвестиций в основные фонды отраслей хозяйства (отраслевых комплексов) Эта сфеpa объединяет деятельность (на рынке инвестиционных товаров) заказчиков-инвесторов, подрядчиков, проектировщиков, поставщиков оборудования и материалов, граждан по индивидуальному строительству и других субъектов инвестирования;
инновационная сфера, где реализуются научно-техническая продукция и интеллектуальный потенциал;
сфера обращения финансового капитала (денежного, ссудного, финансовых обязательств в различных формах);
сфера реализации имущественных прав субъектов инвестиционной деятельности (рынок движимого и недвижимого имущества), где применяются залоговое право и ипотечный кредит.
Все инвесторы имеют равные права на осуществление инвестиционной деятельности. Инвестор самостоятельно определяет объемы, направления, размеры и эффективность инвестиций. Инвестор, не являющийся пользователем объектов инвестиционной деятельности, вправе контролировать их целевое использование и осуществлять в отношениях с пользователем таких объектов другие права, предусмотренные договором (контрактом).
Инвестору предоставляется право владеть, пользоваться и распоряжаться объектами и результатами инвестиций.
Процесс инвестирования на территории РФ затруднен те только из-за инфляции, но и из-за существенных диспропорций в инвестиционной сфере. Нарастание деформаций вызвано главным образом неудачным внедрением отдельных элементов рыночных отношений без разработки комплексного подхода к решению проблем инвестирования.







Осуществление непосредственных производительных функций


Частное предпринимательство есть форма осуществления экономической активности от имени предприятия (если оно зарегистрировано в качестве такового) или предпринимателя (если такая деятельность осуществляется без найма рабочей силы, в форме индивидуальной трудовой деятельности).
Конечно, каждый из этих видов государственное и частное предпринимательство имеет свои отличительные признаки, но основные принципы их осуществления во многом совпадают. И в том и в другом случае осуществление такой деятельности предполагает инициативность, ответственность, инновационный подход, стремление к максимизации прибыли. Схожей является и типология обоих видов предпринимательства.
Предпринимательство как форма инициативной деятельности, направленной на извлечение прибыли (предпринимательского дохода), предполагает:
1) осуществление непосредственных производительных функций, т. е. производство товара (продукта) или оказание услуги (например, машиностроительная фирма, туристская компания, инжиниринговая фирма или конструкторское бюро);
2) осуществление посреднических функций, т. е. оказание услуг, связанных с продвижением товара на рынок и его передачей в надлежащем (общественно приемлемом) виде от непосредственного производителя такого товара его потребителю.
Посредническая предпринимательская деятельность, ее наличие и усложнение до разумных пределов ведет:
1) к увеличению производительности труда непосредственных производителей товаров на основе углубления специализации;
2) к ускорению темпов оборачиваемости (кругооборота) капитала;
3) к насыщению товарных рынков до объективно требуемых размеров и функционированию непосредственных товаропроизводителей в соответствии с интересами конечных потребителей (поскольку посредник специализируется главным образом на изучении потребительского спроса и заказе или приобретении только той продукции, потребительский интерес к которой он уже выявил; любую продукцию, производимую непосредственным товаропроизводителем, он приобретать не будет).
Предпринимательская деятельность, связанная с непосредственным производством товаров, может носить:
1) традиционалистский характер (традиционалистское предпринимательство),
2) инновационный характер (инновационная предпринимательская деятельность, инновационное предпринимательство).
Предпринимательство в сфере непосредственного производства товаров может, таким образом, ориентироваться на производство и поставку на рынок традиционных или инновационных товаров. Практика предпринимательской деятельности в любой ее форме включает в себя инновационный процесс. Приводимое выше деление типов предпринимательской деятельности основывается на убеждении, что производство и поставка на рынок традиционных товаров осуществляется также с использованием каких-то новых методов или приемов, связанных с организацией производства, техническими элементами производства или изменениями качественных характеристик производимого товара.
Логика предпринимательской деятельности непосредственного производителя товаров сводится к тому, что вместо обращения к изучению рынка и рыночной ситуации он может получить экспертную оценку предпринимательской идеи, обратившись к посреднику. По этой причине чаще всего между этими двумя субъектами производственных связей устанавливаются доверительные партнерские отношения, основанные на взаимной передаче требуемой информации, ибо каждый из них сознает, что достижение цели (получение предпринимательского дохода) во многом зависит именно от таких их взаимных действий.
Итак, тип предпринимательской деятельности определяется главным образом тем местом, которое предприниматель занимает в процессе удовлетворения потребительского интереса.
Условием существования рыночной экономики вообще является присутствие на рынке товаропроизводителя.
Главное отличие товаропроизводителя - форма собственности, которая является первоосновой любого предприятия:

  • частная;
  • государственная;
  • коллективная;
  • иностранная.
Они отражают внутреннюю организационную специфику предприятия, а это отличает предприятия одно от другого по формам владения капиталом, распределения и использования доходов и финансового результата - прибыли.
Отношения собственности выделяют предприятия:

  • коллективные (различные формы товариществ);
  • акционерные общества;
  • арендные предприятия;
  • разнообразное участие денег собственников в создании и формировании капитала (по разному распределяется ответственность).
Существуют и дополняют друг друга различные предприятия, находящиеся в отношениях конкурентной борьбы. Это обеспечивает соревнование в повышении эффективности производства, экономии затрат живого и овеществленного труда.
Собственник предприятия по своему усмотрению может владеть, пользоваться и распоряжаться всем принадлежащим ему имуществом, может передавать свои полномочия другому лицу. Использовать имущество в качестве залога. Совершать в отношении своего имущества любые действия, не противоречащие закону.
Предпринимательская деятельность осуществляется самим собственником или субъектом, управляющим его имуществом.
Собственник имущества решает ограничивать или не ограничивать права владения и управления при передаче его другому лицу.

1.3. Виды и формы собственности

В соответствии с формами собственности в Российской Федерации могут действовать предприятия следующих видов:
1) индивидуальные, основанные на личной собственности и на его труде (без найма);
2) семейные, основанные на собственности и труде граждан одной семьи, проживающих совместно;
3) частное предприятие, основанное на собственности отдельного гражданина с правом найма рабочей силы;
4) коллективное, основанное на собственности трудового коллектива, кооператива или другого уставного общества;
5) государственное или коммунальное, основанное на собственности административно-территориальных единиц (муниципалитетов);
6) государственное предприятие, основанное на федеральной (общегосударственной) собственности;
7) совместное, основанное на базе объединения имущества разных форм собственности (смешанная форма собственности).
Предприятия являются юридическими лицами: и, следовательно, организует собственную финансовую деятельность. Каждое предприятие использует следующие основания для организации:

  • обособление имущества предприятия, которым данное юридическое лицо отвечает по своим обязательствам. Это обособление имущества фиксируется в Уставе предприятия, а затем в балансе;
  • ведение самостоятельного баланса
  • использование собственного имени при совершении сделок и принятии ответственности по ним;
  • полученные доходы являются собственностью предприятия, а следовательно, распределение и использование их происходит на правах собственности.
За счет каких источников обеспечивается формирование имущества предприятия?

  • денежные и материальные взносы учредителей или участников предприятия;
  • полученные предприятием доходы от всех видов деятельности;
  • проценты, дивиденды, полученные в результате владения различными ценными бумагами;
  • кредиты банков;
  • средства кредиторов;
  • временное владение чужими средствами в обороте;
  • субсидии, дотации, инвестиции из бюджетных и внебюджетных фондов и другие виды сонаций;
  • арендная плата;
  • благотворительные взносы;
  • доходы от долгосрочных финансовых вложений.
Формы собственности накладывают определенный отпечаток на внешние отношения предприятий.
Для ООО положительным является возможность сокращения различных видов отчетности, но с другой стороны отсутствуют способы привлечения внешних финансовые средств, которые есть у ОАО;
ОАО - отличительная особенность в свободном хождении акций. Широкие возможности привлечения финансовых ресурсов путем дополнительного выпуска акций и облигаций. Специфические отношения с учредителями, возникающие при распределении акционерного дохода и выплаты дивидендов.
Если предприятие арендное, то собственностью арендаторов является не только произведенная продукция, но и полученный доход и, как часть, арендная плата.
Государственную форму собственности отличает специфика отношений распределения дохода, каналы распределения оказываются иными, поскольку собственником является государство, поэтому несколько большая часть дохода оказывается в собственности предприятия еще до момента распределения. Государство несет ответственность за результаты деятельности, финансовый результат.
Основные черты:

  • лицензирование деятельности хозяйствующих субъектов;
  • государство теми или иными актами регулирует систему денежного обращения в стране;
  • налоговая система;
  • основные принципы ценообразования и формирования затрат;
  • система и организация расчетов;
  • внешнеэкономическая деятельность;
  • организация фондового рынка;
  • взаимоотношения с бюджетной системой;
  • определение государственных гарантий.
Государство формирует хозяйственную среду фирм. Государственное регулирование имеет совершенно определенное воздействие на финансы предприятий, которое определяется нормативными актами, регламентирующих действия государства на рынке. В зависимости от этих законодательных актов предприятия и формируют свои отношения с государством и другими предприятиями.






Отношение задолженности к капитализации


Однако нельзя однозначно утверждать, что приведенный показатель является абсолютно корректной оценкой того, насколько компания может погашать свои долги. Дело в том, что балансовая сумма активов совсем не всегда соответствует реальной экономической стоимости этих активов или даже их ликвидационной стоимости. Кроме того, этот коэффициент не дает нам никакого представления о том, как может изменяться сумма получаемой компанией прибыли, что может повлиять на выплату процентов и погашение капитальной суммы долга.
Отношение задолженности к капитализации представляет собой показатель, который формируется с помощью отношения долгосрочной задолженности к сумме капитализации. Этот показатель дает более точную картину риска компании при использовании заемных средств. Под капитализацией будем понимать общую сумму пассивов предприятия за исключением его краткосрочных обязательств. Расчет данного показателя производится по формуле:

Отношение задолженности к капитализации
.
По определению капитализация включает сумму долгосрочных требований против активов компании, как со стороны ссудодателей, так и владельцев, но не включает текущие (краткосрочные) обязательства. Общая сумма соответствует тому, что мы называем чистыми активами, если не были сделаны никакие корректировки, например, исключение из расчета отсроченных налогов.
Этому коэффициенту уделяется большое внимание, поскольку многие договора о предоставлении займа данной компании, будь то закрытая частная компания или открытое акционерное общество, содержат определенные условия, регулирующие максимальную долю заемного капитала компании, выраженную соотношением долгосрочной задолженности и капитализации.
Аналогичною характеристику, но выраженную в виде другого отношения, представляет собой показатель соотношения заемного и собственного капитала. Этот показатель прямо связан с предыдущим и может быть рассчитан непосредственно с его помощью. В самом деле, пусть D сумма долгосрочной задолженности, E величина собственного капитала компании, а y обозначает отношение долга к капитализации, т.е. y = D / (D+E).
Если теперь с помощью z = D / E обозначить отношение долга к собственному капиталу, то нетрудно получить, что z = y / (1 - y). Данный показатель легко интерпретирует состояние структуры капитала.
Отношение задолженности к собственному капиталу оценивает долю используемых заемных финансовых ресурсов и рассчитывается как отношение общей суммы задолженности, включающей текущие обязательства и все виды долгосрочной задолженности, и общего собственного капитала компании. Этот коэффициент показывает в другом виде относительные доли требований ссудодателей и владельцев и также используется для характеристики зависимости компании от заемного капитала.
Существование различных вариантов показателей структуры подчеркивает, как внимательно разрабатываются правила финансового анализа и условия, регулирующие предоставление конкретного займа. Но коэффициенты дают лишь первое общее представление о соотношении риска и вознаграждения при использовании заемных средств.
Показатели обслуживания долга
Какой бы коэффициент из характеризующих структуру капитала мы ни выбрали, анализ доли заемного капитала, по сути, остается статическим и не принимает во внимание динамику операционной деятельности компании и изменения ее экономической стоимости. Анализ целиком основывается на данных баланса, который является статической характеристикой финансового положения компании на определенный момент времени. По этой причине данные показатели не дают полного представления о платежеспособности компании и ее возможностях оплачивать проценты и основную сумму долга в оговоренные сроки, то есть обслуживать долг.
Показатель обеспеченности процентов используется для характеристики возможности компании обслуживать долг. Для расчета используется отношение чистой прибыли (выручки) до выплаты процентов и налогов к сумме процентов по долгу, подлежащих оплате в данном отчетном периоде. Расчет производится по формуле:

Отношение задолженности к капитализации
.
При расчете этого коэффициента исходят из предположения, что основным источником средств для обслуживания долга будет прибыль от операционной деятельности компании, и любое значительное изменение в этом соотношении может служить сигналом возможных затруднений. Но значительные колебания размера прибыли - это лишь один вид риска. Не существует четко выработанных критериев, каким должно быть это соотношение.
Обычно кредиторы требуют включения в договор о предоставлении ссуды условия, оговаривающего сколько раз прибыль должна покрывать сумму подлежащих уплате процентов.
Показатель обеспеченности процентов и капитальной суммы долга более полно характеризует возможности компании обслуживать долг. При расчете показателя учитывается не только сумма процентных платежей, но и величина погашения тела кредита. Проблема здесь состоит в том, что расходы по выплате процентов вычитаются из налогооблагаемой прибыли (то есть доля прибыли, используемая на эти цели, не облагается налогом), а суммы на погашение капитальной суммы долга от налога не освобождаются. Поэтому мы всегда должны принимать во внимание сопоставимость показателей.
Корректировка может быть проведена путем приведения погашаемой капитальной суммы долга к размеру до выплаты налогов. Расчет показателя производится с помощью следующей формулы:

Отношение задолженности к капитализации
.
Для более полной оценки возможности компании погашать имеющуюся у нее задолженность целесообразно проанализировать структуру прибыли и поступления денег за достаточно длительный период, чтобы определить операционные и циклические колебания, которые являются обычными для данной компании и данной отрасли деятельности.
Такой анализ может включать финансовые отчеты за несколько лет или за несколько соответствующих периодов, на которые воздействуют сезонные колебания. Это необходимо сделать, чтобы определить типичный верхний и нижний предел в получаемой прибыли и в требуемых ресурсах. Полученная структура затем может быть спроецирована на будущие периоды, чтобы определить, какой "запас прочности" останется в будущем для оплаты процентов по долгу и погашения его основной суммы.
Если предприятию свойственны значительные колебания в поступлении наличных средств с учетом уплаты налогов, ссудодатели с неохотой будут предоставлять кредиты, если сумма, необходимая для обслуживания долга не покрывается несколько раз в нижней точке производственного цикла компании. Предприятие с более равномерным производством получит ссуды с большей легкостью.
Фактически, данный анализ предприятия в динамике есть не что иное, как построение финансовых моделей, которые могут включать большое количество возможных сценариев, каждый из которых соответствует вполне определенному допущению о параметрах деятельности предприятия.
Рыночные показатели
Рыночные показатели предприятия являются основным фокусом интересов владельцев предприятия и его потенциальных инвесторов. Главный интерес для собственника предприятия (в случае акционерной компании - держателя акций) представляет прибыльность компании. В настоящем контексте имеется в виду прибыль, полученная благодаря усилиям руководства компании на средства, инвестированные владельцами компании. Собственников также интересует распределение принадлежащей им прибыли, тоесть какая ее часть вновь инвестируется в предприятие, и какая доля выплачивается им в качестве дивидендов. Иными словами, их интересует влияние результатов деятельности компании на рыночную стоимость их инвестиций, особенно если акции компании свободно обращаются на рынке.
Выше при характеристике рентабельности предприятия один из таких показателей, а именно, рентабельность собственного капитала уже был рассмотрен. Ниже будут представлены показатели, которые непосредственно привязаны к акциям компании, которые находятся в обращении.
Прибыль на акцию является наиболее распространенной характеристикой прибыльности и часто принимается во внимание в процессе принятия решения о покупке/продаже акций на фондовом рынке. При анализе финансового состояния большое внимание всегда уделяется прибыли на одну акцию. Этот коэффициент рассчитывается делением суммы чистой прибыли на обыкновенные акции на среднее количество обыкновенных акций в обращении за отчетный период.
Большое внимание показателю прибыли на одну акцию уделяют как руководство компании, так и акционеры. Именно на его основе происходит, в значительной степени, оценка акций. Этот показатель используется в стратегическом планировании для формулирования конкретных целей и задач.
Обычно исследователю не приходится рассчитывать этот коэффициент, поскольку компании публикуют его в своих годовых отчетах и делают расчеты по кварталам.
Для расчета этого показателя сумма используемой в расчетах чистой прибыли сначала уменьшается на величину дивидендов, выплаченных держателям привилегированных акций, а также на сумму других обязательных платежей. Затем оценивается среднее количество обыкновенных акций, находящихся в обращении. Расчет показателя прибыли на акцию производится с помощью формулы:

Отношение задолженности к капитализации
.

Инвестиционные аналитики и эксперты уделяют большое внимание изучению этого показателя за прошлые отчетные периоды, причем как за квартал, так и за год.



Овладение смежными профессиями


Важнейшими направлениями совершенствования разделения и кооперации труда являются совмещение профессий, расширение зон обслуживания, многостаночная работа. Большой простор для проявления инициативы рабочих ^целесообразной кооперации труда дает организация труда в комплексных бригадах с частичной или полной взаимозаменяемостью.
Совмещение профессий это выполнение в течение нормальной продолжительности рабочего дня, наряду с работами по основной профессии, работ по второй или нескольким профессиям. Совмещение профессий целесообразно применять на тех работах, где имеются продолжительные технологические перерывы при выполнении работ по основной специальности, а также там, где при работе на станках (при обслуживании агрегатов) имеется машино-свободное время, то есть время, в течение которого рабочий при работающем станке (агрегате) свободен от необходимости его обслуживания.
Овладение смежными профессиями имеет большой экономический и социальный смысл даже в тех случаях, когда свободного времени в течение рабочего дня нет, но работа отличается монотонностью. В таких условиях целесообразна перемена труда, смена операций, переход по определенному графику с одного рабочего места на другое, что ведет к увеличению разнообразия труда, повышению его содержательности и привлекательности, благоприятно сказывается на здоровье и настроении работников, на экономических результатах труда.
Овладение смежными профессиями необходимо также на тех участках производства, где отсутствует стабильная загрузка работников, на работах малопрестижных и физически тяжелых.
На работах, выполняемых рабочими одной профессии, получило распространение расширение зон обслуживания, которое преследует цель более рационального использования рабочего времени, а также более полной загрузки оборудования (например, многостаночное обслуживание, когда одним или группой рабочих одновременно обслуживаются несколько станков). Ручные операции на каждом из обслуживаемых станков осуществляются последовательно, после чего станок до следующей ручной операции работает в автоматическом режиме.
Главным условием организации многостаночного обслуживания является наличие машино-свободного времени на каждом из обслуживаемых станков, равного сумме ручного времени работы на всех других обслуживаемых одним рабочим станках.
При разделении и кооперации труда решается вопрос: кто и что будет делать, как и с кем будет взаимодействовать. Для организации высокопроизводительного труда необходимо также решить и такой вопрос: как, каким образом следует выполнять работу.
Достигается это установлением рациональных методов и приемов труда. Конечно, способ выполнения работы в значительной степени определяется технологией, но каждая технологическая - операция может быть выполнена по-разному: с большим или меньшим количеством движений, более или менее умело, с затратой различного количества времени и физиологической энергии. Установление способа наиболее экономного выполнения каждого действия, приема, операции, каждой работы это ответственная задача организатора труда.
Она предполагает анализ и разработку всех частей трудового процесса, включая построение и координацию движений, выбор удобной рабочей позы, способа владения инструментом и управления машинами и механизмами.
Основной единицей разделения труда является производственная операция, под которой понимают часть трудового процесса, выполняемую одним или группой рабочих на одном рабочем месте, над одним предметом труда. Изменение хотя бы одного из этих признаков означает завершение одной операции и начало другой. Операция, в свою очередь, складывается из приемов, трудовых действий и движений.
Трудовое движение представляет собой однократное перемещение рук, ног, корпуса рабочего в процессе труда.
Трудовое действие это совокупность трудовых движений, выполняемых непрерывно и имеющих частное целевое назначение.
Трудовой прием это совокупность трудовых действий, объединенных одним целевым назначением и представляющих собой законченную элементарную работу.
Способ выполнения производственного задания, характеризующийся определенным составом и последовательностью действий, приемов, операций образует метод труда. Методы выполнения трудовых процессов должны проектироваться вместе с проектированием технологического процесса, а результаты проектных разработок заносят в карты приемов и методов труда, карты организации труда, в инструкционные или технологические карты. Их используют для обучения рабочих рациональным приемам и методам труда, для контроля и анализа работы; они служат отправной точкой для дальнейшего совершенствования трудового процесса.
Большое значение для предприятия имеет выявление и распространение опыта работы новаторов производства, изучение применяемых ими приемов и методов труда. Приемы и методы труда заслуживают внимания, если рабочие, их применяющие, получают высокие и устойчивые результаты труда, характеризующиеся экономией по сравнению с нормативными значениями трудозатрат, сырья, материалов, инструментов, энергии, рациональным использованием оборудования, улучшением качества продукции при достижении оптимальной интенсивности труда.
Задача выявления рациональных приемов труда решается путем изучения непосредственно на производстве труда рабочих, значительно перевыполняющих нормы труда, применяющих эффективные способы ведения трудового процесса.
При изучении и отборе наиболее целесообразных и экономных приемов труда рекомендуется обращать внимание на:
короткие и наименее утомительные движения рук, ног, корпуса тела работающего, устранение резких перемен в направлении этих движений, уменьшении массы перемещаемых вручную грузов;
непрерывные и плавные движения по дуговой линии, которые более -экономны, чем движения прямолинейные с резкими остановками;
одновременные и симметричные движения рук;
сокращение движений путем исключения лишних, совмещения движений;
достижение удобного положения рабочего, обеспечение переменной позы «сидя стоя», чередование периодов труда и отдыха в зависимости от тяжести и нервно-психической напряженности труда.
Рациональные приемы и методы труда, опыт новаторов производства распространяются разными способами. Для этих целей используют систему подготовки и повышения квалификации кадров, семинары, выставки, учебные курсы и др.
Необходимая часть организации труда организация рабочих мест. Рабочее место это первичное звено производства, зона трудовой деятельности рабочего или группы рабочих (если рабочее место коллективное), оснащенная необходимыми средствами для выполнения производственного задания. Под организацией рабочего места понимается система его оснащения и планировки, подчиненная целям производства.
Эти решения, в свою очередь, зависят от характера и специализации рабочего места, от его вида и роли в производственном процессе.
В зависимости от специфики производства рабочие места могут быть специализированными и универсальными, индивидуальными и коллективными, стационарными и подвижными, одностаночными и многостаночными, постоянными и временными, а также рабочими местами ручной работы, механизированными, автоматизированными, аппаратными, рабочими местами служащих и др.
Оснащение рабочего места складывается из совокупности средств, необходимых для осуществления производственного процесса. К ним относятся: основное технологическое и вспомогательное оборудование; технологическая оснастка рабочий и мерительный инструмент, приспособления, запасные части; организационная оснастка средства связи и сигнализации, рабочая мебель, тара; рабочая документация; средства коммуникации для подачи на рабочее место сырья, материалов, энергии; хозяйственный инвентарь для поддержания чистоты и порядка и др.
Полное и комплектное оснащение рабочего места позволяет наилучшим образом организовать процесс труда. Для этого необходима рациональная планировка средств оснащения размещение их на рабочем месте так, чтобы обеспечивалось удобство их обслуживания, свободный доступ к механизмам и их отдельным узлам, требующим регулирования и контроля, экономия движений и перемещений работника, удобная рабочая поза, хороший обзор рабочей зоны, безопасность труда, экономия производственной площади, наличие проходов, подъездов и проездов для транспортных средств, взаимосвязь со смежными рабочими местами и с местом бригадира, мастера, другого руководителя.
Проводимые аттестации рабочих мест позволяют выявлять отступления от нормативных требований к ним и совершенствовать организацию рабочих мест в соответствии с требованиями научной организации труда. По результатам аттестации малоэффективные рабочие места могут упраздняться, при этом появляется возможность более рационального использования производственных площадей, установки современного высокопроизводительного оборудования и интенсификации производственного процесса.
Уровень организации труда на рабочем месте зависит также от совершенства системы его обслуживания. Организация обслуживания рабочих мест предполагает своевременное обеспечение рабочих мест всем необходимым, включая техническое обслуживание наладку, смазку, регулировку; ремонтное и межремонтное обслуживание; обеспечение сырьем, материалами, полуфабрикатами, комплектующими изделиями, инструментом; подачу необходимых видов энергии тепла, электроэнергии, сжатого воздуха; межоперационный и финишный контроль качества продукции; хозяйственное обслуживание уборку, чистку оборудования; транспортное обслуживание и т.д.



Планирование инноваций


Отчисления на социальные нужды 36 %. Срок службы модернизированного оборудования 4 года. Рассчитаем экономическую эффективность модернизации:
Экономия металла = (0,46 - 0,41)
Планирование инноваций
100 000
Планирование инноваций
2,1 = 10 500 руб.
Экономия заработной платы = (16 10)
Планирование инноваций
100 000 / 60
Планирование инноваций
7,5
Планирование инноваций
1,1
Планирование инноваций
1,3 = 107250руб.
Снижение начислений на заработную плату = 10 7250
Планирование инноваций
0,36 = 38 610 руб.
Увеличение амортизационных отчислений = 80 000
Планирование инноваций
0,25 = 20 000 руб.
Годовая экономия от снижения себестоимости продукции = 10 500 + 107 250 + 38 610 20 000 = 136 360 руб.
Простой срок окупаемости = 80 000 /136 360 = 0,6 года
Б. Основные положения определения экономической эффективности инноваций за счет увеличения объема продаж: продукции (работ, услуг)
I. Прирост прибыли при увеличении количества проданного товара
Годовая прибыль = Прибыль на единицу товара
Планирование инноваций
Количество проданного товара за год
II. Стоимость капитальных затрат, необходимых для осуществления инноваций (К)
К = Стоимость недвижимости + Стоимость прироста оборотных средств
III. Простой срок окупаемости капитальных вложений (Т)
Т = Стоимость капитальных затрат / Годовая прибыль
Пусть, например, осваивается выпуск новой продукции для лечения терапевтических заболеваний в домашних условиях медицинского аппликатора (пластмассовая пластина с металлическими иглами), на изготовление которого приобретено право пользования ноу-хау стоимостью 200 тыс. руб. В соответствии с плановой калькуляцией себестоимость изделия составит 25 руб., оптовая цена 28 руб. Годовой объем производства 40 тыс. шт.
Рассчитаем экономическую эффективность:
Годовая прибыль = (28 - 25)
Планирование инноваций
40 000 = 120 000 руб. Простой срок окупаемости = 200 000 /120 000 =1,7 года. Если инвестиции в инновационные проекты осуществляют в течение двух и более лет, а прибыль будет получена в последующие годы, то рассчитывается динамический срок возврат капитала.


7.3. Планирование инноваций

Развитие предприятия осуществляется по всем направлениям его деятельности. Выделим следующие основные блоки планирования инноваций:
научно-исследовательская и опытно-конструкторская работа по созданию новой продукции (НИОКР);
капитальное строительство новых производственных и административных зданий;
реконструкция, модернизация и обновление основных фондов;
техническое и организационное совершенствование производства, труда и управления;
рационализация и изобретательство.
Источниками финансирования инноваций являются: прибыль, амортизационные отчисления, капитал собственников в виде очередной эмиссии акций или вклада; заемные средства, которые затем возвращаются из прибыли. Перечень инновационных проектов, запланированных на год, должен содержать информацию о капитальных и текущих затратах (табл. 7.3.1), а также об их экономической эффективности (табл.
7.3.2).
План инновационной деятельности включает укрупненную структуру работ или подробный перечень всех инновационных проектов, нуждающихся в финансировании за счет капитальной стоимости. Кроме того, необходимо планировать мелкие организационно-технические мероприятия, на осуществление которых; предусматриваются текущие издержки, относящиеся на себестоимость продукции.
Для финансирования текущих издержек составляются соответствующие сметы затрат по комплексным статьям калькуляции. Для финансирования научно-исследовательских и опытно-конструкторских работ, технологической и организационной подготовки производства за счет части чистой прибыли составляются сметы расходов по темам НИР, по каждому виду продукции и в целом по предприятию.
Если длительность цикла подготовки новой продукции не превышает год, то затраченные по смете средства относятся на один из счетов оборотного капитала «Расходы будущих периодов».
Таблица 7.3.1.

План финансирования инноваций предприятия на … год, млн. руб.


Разделы плана (виды инноваций)
Затраты по источникам финансирования
Всего
В том числе
прибыль
себестоимость
амортизация
собствен-ные средства вкладчиков
заемные средства
прочие
НИОКР
1,3
0,5
0,8




Строительство цеха, создание торговой фирмы
3,9
1,5


1,5
0,9

Модернизация и обновление основных фондов
1,2


1,2



Повышение качества, стандартизация и сертификация продукции
1,6

1,1


0,5

Совершенствование технологии производства
1,8
0,6
0,8


0,4

Совершенствование управления, планирование и организация производства
0,7
0,3
0,4




Экология предприятия
1,1
0,4




0,7
Рационализация и изобретательство
0,4

0,3



0,1
итого
12
3,3
3,4
1,2
1,5
1,8
0,8

Эти затраты затем списываются в течение года на выпускаемую продукцию по частям в соответствии с принятой на предприятии учетной политикой. Аналогичным образом капитализируются расходы на подготовку и освоение производства по продукции со сроком осуществления инновационного проекта более года. Они представляют собой стоимость интеллектуального продукта, относятся к нематериальным активам и по мере реализации новой продукции частям через амортизацию переносятся на ее себестоимость.
Текущие затраты, связанные с техническим и организационным совершенствованием производства, сертификацией и стандартизацией изделий, экологизацией и рационализацией производства включаются в расходы по содержанию и эксплуатации оборудования, общехозяйственные и коммерческие статьи затрат. Они предусматриваются в соответствующих калькуляционных статьях при планировании себестоимости продукции и в бухгалтерском учете.
Процедуру планирования экономической эффективности инноваций можно разбить на три части. Одна группа инноваций имеет четко выраженные капитальные и текущие затраты, которые отражаются в расчете потребности финансирования (см. табл. 7.3.1), но результат не поддается прямому расчету.
Так, выпуск новой продукции, по которой в течение нескольких лет проводились НИОКР, обусловлен не только инновацией, но и использованием имеющихся активов и трудовых ресурсов. Мероприятия, связанные с охраной природы, как правило, также имеют прямые затраты и косвенные результаты.
Вторая часть инноваций крупные инвестиционные проекты, которые нуждаются в специальном технико-экономическом обосновании. Бизнес-планы инвестиции входят в систему планирования инноваций как с точки зрения затрат, так и с точки зрения основного результата динамического срока возврата капитала при дисконтировании денежных потоков за ряд лет.
Третья группа инноваций, представляющая собой мелкие организационно-технические мероприятия для снижения себестоимости продукции, имеет исходные данные для расчета показателей экономической эффективности инноваций. В табл. 7.3.1 систематизированы все инновации и затраты, в табл.
7.3.2 представлены только те мероприятия, по которым можно запланировать снижение издержек. Эти показатели необходимы для планирования снижения себестоимости продукции по технико-экономическим факторам и роста производительности труда.

Таблица 7.3.2.
Экономическая эффективность инноваций


Виды инноваций
Затраты, всего, млн. руб.
Результаты
Прибыль и годовая экономия, млн. руб.
Экономия от снижение себестоимости до конца года, млн. руб.
Высвобождение персонала до конца года, чел.
Простой срок возврата капитала, лет
Динамический срок возврата капитала, лет
Освоение новой продукции
0,2




1,2
Строительство цеха
2,9




2,5
Создание торговой фирмы
1,0




2,8
Модернизация оборудования
0,9
0,9
0,3
5
1

Совершенствование технологии производства
1,8
3,6
3,8
10
0,5

Совершенствование управления, планирования и организации
0,7
1,2

4
0,6

Итого
7,5
5,7
3,1
19










Планируемый размер снижения себестоимости


Во втором случае, когда установленные нормы выработки и расценки не изменяются, величина затрат на заработную плату рабочих в себестоимости единицы продукции не уменьшается. Но с ростом производительности труда увеличивается объем производства, что приводит к экономии по другим статьям расходов, в частности сокращаются расходы по обслуживанию производства и управлению. Происходит это потому, что в цеховых расходах значительная часть затрат (а в общезаводских почти полностью) - условно-постоянные расходы (амортизация оборудования, содержание зданий, содержание цехового и общезаводского аппарата и другие расходы), не зависящие от степени выполнения плана производства. Это значит, что их общая сумма не изменяется или почти не изменяется в зависимости от выполнения плана производства.
Отсюда следует, что, чем больше выпуск продукции, тем меньше доля цеховых и общезаводских расходов в ее себестоимости.
С ростом объема выпуска продукции прибыль предприятия увеличивается не только за счет снижения себестоимости, но и вследствие увеличения количества выпускаемой продукции. Таким образом, чем больше объем производства, тем при прочих равных условиях больше сумма получаемой предприятием прибыли.
Важнейшее значение в борьбе за снижение себестоимости продукции имеет соблюдение строжайшего режима экономии на всех участках производственно-хозяйственной деятельности предприятия. Последовательное осуществление на предприятиях режима экономии проявляется прежде всего в уменьшении затрат материальных ресурсов на единицу продукции, сокращении расходов по обслуживанию производства и управлению, в ликвидации потерь от брака и других непроизводительных расходов.
Материальные затраты, как известно, в большинстве отраслей промышленности занимают большой удельный вес в структуре себестоимости продукции, поэтому даже незначительное сбережение сырья, материалов, топлива и энергии при производстве каждой единицы продукции в целом по предприятию дает крупный эффект.
Предприятие имеет возможность влиять на величину затрат материальных ресурсов, начиная с их заготовки. Сырье и материалы входят в себестоимость по цене их приобретения с учетом расходов на перевозку, поэтому правильный выбор поставщиков материалов влияет на себестоимость продукции. Важно обеспечить поступление материалов от таких поставщиков, которые находятся на небольшом расстоянии от предприятия, а также перевозить грузы наиболее дешевым видом транспорта.
При заключении договоров на поставку материальных ресурсов необходимо заказывать такие материалы, которые по своим размерам и качеству точно соответствуют плановой спецификации на материалы, стремиться использовать более дешевые материалы, не снижая в то же время качества продукции.
Основным условием снижения затрат сырья и материалов на производство единицы продукции является улучшение конструкций изделий и совершенствование технологии производства, использование прогрессивных видов материалов, внедрение технически обоснованных норм расходов материальных ценностей.
Сокращение затрат на обслуживание производства и управление также снижает себестоимость продукции. Размер этих затрат на единицу продукции зависит не только от объема выпуска продукции, но и от их абсолютной суммы. Чем меньше сумма цеховых и общезаводских расходов в целом по предприятию, тем при прочих равных условиях ниже себестоимость каждого изделия.
Резервы сокращения цеховых и общезаводских расходов заключаются прежде всего в упрощении и удешевлении аппарата управления, в экономии на управленческих расходах. В состав цеховых и общезаводских расходов в значительной степени включается также заработная плата вспомогательных и подсобных рабочих. Проведение мероприятий по механизации вспомогательных и подсобных работ приводит к сокращению численности рабочих, занятых на этих работах, а следовательно, и к экономии цеховых и общезаводских расходов. Важнейшее значение при этом имеют автоматизация и механизация производственных процессов, сокращение удельного веса затрат ручного труда в производстве.
Автоматизация и механизация производственных процессов дают возможность сократить и численность вспомогательных и подсобных рабочих в промышленном производстве.
Сокращению цеховых и общезаводских расходов способствует также экономное расходование вспомогательных материалов, используемых при эксплуатации оборудования и на другие хозяйственные нужды.
Значительные резервы снижения себестоимости заключены в сокращении потерь от брака и других непроизводительных расходов. Изучение причин брака, выявление его виновника дают возможность осуществить мероприятия по ликвидации потерь от брака, сокращению и наиболее рациональному использованию отходов производства.
Масштабы выявления и использования резервов снижения себестоимости продукции во многом зависят от того, как поставлена работа по изучению и внедрению опыта, имеющегося на других предприятиях.
По степени однородности все затраты подразделяются на простые (одноэлементные) и комплексные. Простые затраты имеют однородное содержание: сырье и материалы, топливо, энергия, амортизация, заработная плата. Комплексные расходы включают разнородные элементы.
К ним относятся, например, расходы по содержанию и эксплуатации оборудования, общецеховые расходы и др.
По признаку зависимости от изменения объема производства затраты подразделяются на переменные и условно-постоянные. К переменным (пропорциональным) относятся затраты, размер которых изменяется пропорционально изменению объема производства. Эти затраты включают: расходы на основные материалы, режущий инструмент, основную заработную плату, топливо и энергию для технологических целей и др. Условно-постоянными (непропорциональными) являются расходы, размер которых не зависит от изменения объема производства.
К ним относятся: заработная плата административно-управленческого персонала, расходы на отопление, освещение, амортизация и т.п.
Себестоимость продукции характеризуется показателями, выражающими: а) общий объем затрат на всю произведенную продукцию и выполненные работы предприятия за плановый (отчетный) период - себестоимость товарной продукции, сравнимой товарной продукции, реализованной продукции; б) затраты на единицу объема выполненных работ - себестоимость единицы отдельных видов товарной продукции, полуфабрикатов и производственных услуг (продукции вспомогательных цехов), затраты на 1 руб. товарной продукции, затраты на 1 руб. нормативной чистой продукции.
Себестоимость продукции является качественным показателем, характеризующим производственно-хозяйственную деятельность производственного объединения, предприятия. Себестоимость продукции - это затраты предприятия в денежном выражении на ее производство и сбыт. В себестоимости как в обобщающем экономическом показателе находят свое отражение все стороны деятельности предприятия: степень технологического оснащения производства и освоения технологических процессов; уровень организации производства и труда, степень использования производственных мощностей; экономичность использования материальных и трудовых ресурсов и другие условия и факторы, характеризующие производственно-хозяйственную деятельность.
В зависимости от объема включаемых затрат различают цеховую, производственную и полную себестоимость. В цеховую себестоимость входят затраты отдельных цехов на изготовление продукции. Она является исходной базой для определения промежуточных внутризаводских планово-расчетных цен при организации внутризаводского хозяйственного расчета.
Производственная себестоимость охватывает затраты предприятия на производство продукции. Помимо цеховой себестоимости в нее входят общезаводские расходы. Полная себестоимость продукции включает все затраты, связанные с ее производством и реализацией.
Она отличается от производственной себестоимости на величину внепроизводственных расходов и исчисляется только по товарной продукции.
Снижение себестоимости планируется по двум показателям: по сравнимой товарной продукции; по затратам на 1 руб. товарной продукции, если в общем объеме выпуска удельный вес сравнимой с предыдущим годом продукции невелик. К сравнимой товарной продукции относят все ее виды, производимые на данном предприятии в предыдущем периоде в массовом или серийном порядке.
Планируемый размер снижения себестоимости определяется на основе следующих расчетов.
По показателю сравнимой товарной продукции. Сначала определяется абсолютный размер экономии по формуле:
Эабс.ср.т.п = NniCbi NniCni.
Определив размер абсолютной экономии в планируемом периоде, рассчитывают искомый процент снижения себестоимости в плановом периоде (Sср.т.п):
Sср.т.п = Эабс.ср.т.п
Планируемый размер снижения себестоимости
100,
где Эабс.ср.т.п - абсолютная экономия от снижения себестоимости сравнимой товарной продукции, тыс. руб.;
NniCbi - плановый выпуск сравнимой товарной продукции по себестоимости отчетного периода;
NniCni - то же, по себестоимости планового периода;
n - число видов сравнимой товарной продукции.
По показателю затрат на 1 руб. товарной продукции. Абсолютная экономия от снижения себестоимости товарной продукции в планируемом периоде рассчитывается по формуле:



Планируемый уровень среднечасовой оплаты труда.


Плановые калькуляции себестоимости могут составляться также по требованию собственника предприятия, организации.
Калькуляции себестоимости составляются по каждому виду продукции по требованию общего собрания акционеров, собственника организации, антимонопольных органов.
Каждое предприятие (фирма) в своей деятельности стремится максимизировать прибыль, а для этого оно должно так организовать свое производство, чтобы издержки на единицу выпускаемой продукции были минимальны, при неизменных ценах на продукцию и потребляемые ресурсы. Чтобы минимизировать издержки производства в условиях действующего предприятия, необходимо выявить резервы снижения затрат, связанные с производством и реализацией продукции.
Снижение себестоимости продукции имеет большое значение для повышения эффективности производства. Снижение себестоимости предполагает экономное потребление ресурсов, что говорит не только о количественном, но и качественном воздействии на экономический потенциал страны и его перспективные изменения.
Основным источником резервов снижения себестоимости продукции (РС) является:
увеличение объема производства (РVnn)
сокращение затрат (РЗ) на ее производство за счет повышения уровня производительности труда, экономии использования сырья, материалов, электроэнергии, топлива, оборудования, сокращения непроизводственных расходов, производственного брака и т.д.
Величина резервов может быть определена по формуле:
РС = Св Сф = 3ф - Р3 + Д3 / Vвпф + РVвпVвпф,
где Св, Сф возможный и фактический уровень себестоимости, Дз дополнительные затраты необходимые для освоения резервов увеличения выпуска продукции.
Каждое предприятие независимо от форм собственности разрабатывает ряд мероприятий по снижению затрат и получению наиболее высокой прибыли от реализации предметов своей деятельности.
Основными задачами предприятия по снижению затрат являются:

  • рациональное использование материальных ресурсов и энергоресурсов;
  • установление норм затрат рабочего времени на выполнение работы;
  • снижение потерь от брака;
  • использование передовых технологий;
  • автоматизация технологических процессов;
  • повышение производительности труда;
  • планирование издержек производства и выявление непроизводственных затрат в составе всех затрат;
  • управление издержками производства, включающее контроль и регулирование затрат.
Регулирование затрат предусматривает снижение самих нормативов, что отразится положительно на прибыли полученной за счет экономии затрат.
Снижение (себестоимости продукции) издержек производства выявляется главным резервом повышения доходности предприятия.
Рост объема производства и реализации продукции, рост цен на продукцию приносят, как правило, временный успех в повышении прибыли, т.к. наращивать объем и увеличивать реализацию можно лишь до определенного предела. В снижении уровня затрат находят наибольшие резервы увеличения прибыли.
Резервы снижения себестоимости издержек производства) выявляются в процессе анализа по каждой статье расходов. Экономия затрат может быть получена за счет конкретных организационно- технических мероприятий.
Экономия затрат на материально технические ресурсы (РМЗ) на производство продукции за счет внедрения мероприятий можно определить следующим расчетом
РМЗ=(УР1-УР0)
Планируемый уровень среднечасовой оплаты труда.
V вп пл
Планируемый уровень среднечасовой оплаты труда.
Ц пл , где
УР0, УР1 расход материалов на единицу продукции соответственно до и после внедрения организационно технических мероприятий

  • Экономия затрат по оплате труда (РЗП) в результате внедрения организационно технических мероприятий можно расчитать по формуле :
РЗП = (УТЕ1-УТЕ0)
Планируемый уровень среднечасовой оплаты труда.
ОТпл
Планируемый уровень среднечасовой оплаты труда.
V вп пл., где
УТЕ0 трудоемкость изделий до внедрения соответствующих мероприятий
УТЕ1 трудоемкость изделий после внедрения соответствующих мероприятий.
ОТпл планируемый уровень среднечасовой оплаты труда.
Vвп пл объем продукции по плану.
Резервы экономии накладных расходов выявляются на основе их факторного анализа по каждой статье затрат, за счет разумного сокращения аппарата управления, экономного использования средств, сокращение потерь от порчи материалов и готовой продукции, оплаты простоев и др.
Дополнительные затраты на освоение резервов увеличения производства продукции определяются отдельно по каждому виду. Это в основном заработная плата за дополнительный выпуск продукции, расход материалов, сырья энергии и прочих переменных расходов, которые изменяются пропорционально объему производства продукции.
Для определения их величины необходимо резерв увеличения выпуска продукции умножить на фактический уровень удельных переменных затрат.
Основные факторы снижения себестоимости продукции :
повышение технического уровня производства;
улучшение организации труда и производства;
изменение объема и структуры производственной продукции;
управление затратами на производство и реализацию продукции с помощью прямой и обратной связи.
Управление затратами с обратной связью состоит в сравнении фактических показателей со сметными для выявления отклонений и осуществления корректирующих действий с целью согласования будущих результатов со сметными показателями. При управлении с прямой связью даются оценки будущих результатов и ставится цель установить контроль до того, как возникнут отклонения от требуемых результатов.
Анализ по системе отклонений от нормативных издержек производства дает возможность увидеть причины и факторы, вызвавшие изменения ускорить принятие правильных решений.
На предприятиях серийного и массового производства нормативной базой центра формирования затрат могут быть нормативные калькуляции, которые разрабатываются на каждое без исключения изделие, на все его детали по всему потоки производства.
На основе этих калькуляций определяются и устанавливаются размеры затрат по центрам ответственности (по цехам и участкам). Калькуляции уточняются, как правило, не реже одного раза в квартал, коррективы вносятся по мере изменения трудовых и материальных нормативов.



8.2. Себестоимость промышленной продукции. Планирование и пути снижения себестоимости

В Российском законодательстве себестоимость определяется как стоимостная оценка используемых в процессе производства продукции (работ,услуг) природных ресурсов, сырья, топлива, материалов, энергии, основных фондов, трудовых ресурсов, а также других затрат на её производство и реализацию.
Получение наибольшего эффекта с наименьшими затратами, экономия трудовых, материальных и финансовых ресурсов зависят от того, как решает предприятие вопросы снижения себестоимости продукции.
Выявление резервов снижения себестоимости должно опираться на комплексный технико-экономический анализ работы предприятия: изучение технического и организационного уровня производства, использование производственных мощностей и основных фондов, сырья и материалов, рабочей силы, хозяйственных связей.
Затраты живого и овеществленного труда в процессе производства составляют издержки производства. В условиях товарно-денежных отношений и хозяйственной обособленности предприятия неизбежно сохраняются различия между общественными издержками производства и издержками предприятия. Общественные издержки производства - это совокупность живого и овеществленного труда, находящая выражение в стоимости продукции. Издержки предприятия состоят из всей суммы расходов предприятия на производство продукции и ее реализацию.
Эти издержки, выраженные в денежной форме, называются себестоимостью и являются частью стоимости продукта. В нее включают стоимость сырья, материалов, топлива, электроэнергии и других предметов труда, амортизационные отчисления, заработная плата производственного персонала и прочие денежные расходы. Снижение себестоимости продукции означает экономию овеществленного и живого труда и является важнейшим фактором повышения эффективности производства, роста накоплений.
Наибольшая доля в затратах на производство промышленной продукции приходится на сырье и основные материалы, а затем на заработную плату и амортизационные отчисления.
Себестоимость продукции находится во взаимосвязи с показателями эффективности производства. Она отражает большую часть стоимости продукции и зависит от изменения условий производства и реализации продукции. Существенное влияние на уровень затрат оказывают технико-экономические факторы производства.
Это влияние проявляется в зависимости от изменений в технике, технологии, организации производства, в структуре и качестве продукции и от величины затрат на ее производство. Анализ затрат, как правило, проводится систематически в течение года в целях выявления внутрипроизводственных резервов их снижения.
Для анализа уровня и динамики изменения стоимости продукции используется ряд показателей. К ним относятся: смета затрат на производство, себестоимость товарной и реализуемой продукции, снижение себестоимости сравнимой товарной продукции и затраты на один рубль товарной (реализованной) продукции.
Смета затрат на производство - наиболее общий показатель, который отражает всю сумму расходов предприятия по его производственной деятельности в разрезе экономических элементов. В ней отражены: во-первых, все расходы основного и вспомогательного производства, связанные с выпуском товарной и валовой продукции; во-вторых, затраты на работы и услуги непромышленного характера (строительно-монтажные, транспортные, научно-исследовательские и проектные и др.); в-третьих, затраты на освоение производства новых изделий независимо от источника их возмещения.



Плановая себестоимость


Возрастание любого из этих компонентов затрат дает сигнал администрации о неблагополучии в производственной деятельности подразделения. Данные о производственных затратах, кроме того, помогают руководству в принятии производственных решений. В условиях многономенклатурного и совместного видов производства администрация предприятия часто оказывается перед необходимостью выбора: продавать ли продукт в «точке разделения производственных затрат» (развилки производства, после которой совместно производимые продукты становятся индивидуально различимыми) или продолжать его дальнейшую обработку. При подготовке внешней отчетности администрация может воспользоваться данными о производственных затратах (будь то полные или удельные затраты) в целях распределения затрат совместного производства по различным совместно производимым продуктам, что позволяет составить отчеты о финансовых результатах по отдельным видам продукции.
Основной целью планирования себестоимости является выявление и использование имеющихся резервов снижения издержек производства и увеличение внутрихозяйственных накоплений. Снижая издержки производства в результате сбережения прошлого и живого труда, промышленность добивается наряду с ростом накоплений увеличения объема выпуска продукции. Планы по себестоимости должны исходить из прогрессивных норм затрат труда, использования оборудования, расхода сырья, материалов, топлива и энергии с учетом передового опыта других предприятий.
Только при научно организованном нормировании затрат можно выявить и использовать резервы дальнейшего снижения себестоимости продукции.
Плановая себестоимость определяется путем технико-экономических расчетов величины затрат на производство и реализацию всей товарной продукции и каждого вида изделий. В зависимости от характера производства применяется ряд показателей, характеризующих себестоимость продукции.
При выпуске одного вида продукции себестоимость единицы этой продукции является показателем уровня и динамики затрат на ее производство. Для характеристики себестоимости разнородной продукции в планах и отчетах используются показатели снижения себестоимости сравнимой товарной продукции и затрат на 1 руб. товарной продукции. План предприятия содержит также сводную смету затрат на производство и плановые калькуляции себестоимости отдельных изделий.
Показатель затрат на 1 руб. товарной продукции определяется исходя из уровня затрат на производство товарной продукции по отношению к стоимости продукции в оптовых ценах предприятия.
Показатель затрат на 1 руб. товарной продукции не только характеризует планируемый уровень снижения себестоимости, но и определяет также уровень рентабельности товарной продукции. Его величина зависит как от снижения себестоимости продукции, так и от изменения оптовых цен, ассортимента и качества продукции.
В плане затраты рассчитываются на плановый объем и ассортимент продукции, но фактический ее ассортимент может отличаться от планового. Поэтому плановое задание по затратам на 1 руб. продукции пересчитывается на фактический ассортимент и потом уже сопоставляется с данными о затратах на 1 руб. продукции.
План по себестоимости промышленной продукции составляется по единым для всех предприятий правилам, установленным в инструкциях по планированию, учету и калькулированию себестоимости промышленной продукции. В этих инструкциях содержится перечень затрат, включаемых в себестоимость продукции, и определяются способы калькулирования себестоимости.
Установление общих, единых для всех предприятий правил имеет важное значение для правильного планирования и учета себестоимости продукции. В частности, общим для всех отраслей промышленности является порядок включения в себестоимость продукции только тех затрат, которые прямо или косвенно связаны с производством продукции. Поэтому нельзя включать в плановую себестоимость продукции расходы, не относящиеся к производству продукции, например расходы, связанные с обслуживанием бытовых нужд предприятия (содержание жилищно-коммунальных хозяйств, расходы других непромышленных хозяйств и т.д.), по капитальному ремонту и строительно-монтажным работам, а также расходы культурно-бытового назначения.
Некоторые расходы хотя и учитываются в фактических затратах на производство, однако в силу их особого характера также не могут включаться в плановую себестоимость продукции. К таким затратам относятся разного рода непроизводительные расходы и потери, например обусловленный отступлениями от установленного технологического процесса производственный брак (потери от брака планируются только лишь в литейных, термических, вакуумных, стекольных, оптических, керамических и консервных производствах, а также в особо сложных производствах новейшей техники в минимальных размерах по нормам, устанавливаемым вышестоящей организацией).
В плане по себестоимости продукции на предприятии наряду с затратами на 1 руб. товарной продукции имеются следующие показатели: себестоимость отдельных видов продукции, себестоимость товарной продукции, снижение себестоимости сравнимой продукции.
Определение плановой себестоимости отдельных видов продукции служит основой планирования затрат на производство. Плановая себестоимость всей товарной продукции рассчитывается на основе данных об объеме выпуска товарной продукции и плановой себестоимости отдельных видов изделий.
Оценка выполнения плана по себестоимости всей товарной продукции осуществляется с учетом происшедших в течение отчетного года изменений цен на материалы и тарифов на перевозки и энергию.
Вся товарная продукция при планировании и учете себестоимости на предприятиях подразделяется на сравнимую и несравнимую. Сравнимой считается продукция, выпускавшаяся в предыдущем (по отношению к плановому) году, а также изделия с длительным циклом производства, которые выпускались в прошлом году в единичных экземплярах. В состав сравнимой продукции не включаются работы по заказам на сторону, услуги, оказанные своему капитальному строительству, работы по капитальному ремонту и продукция, изготовлявшаяся в опытном порядке.
К несравнимой относится продукция, освоенная производством в текущем году.
В плане предприятия определяется задание по снижению себестоимости сравнимой продукции. Оно выражается процентом снижения себестоимости продукции по отношению к прошлому году. Наряду с этим может быть указана и сумма планируемой экономии в результате снижения себестоимости сравнимой продукции.
Для определения задания по снижению себестоимости сравнимой товарной продукции составляется расчет себестоимости по всей номенклатуре изделий исходя из предусмотренного планом предприятия объема продукции и с учетом планового показателя по уровню затрат на 1 руб. товарной продукции в оптовых ценах.
Решающим условием снижения себестоимости служит непрерывный технический прогресс. Внедрение новой техники, комплексная механизация и автоматизация производственных процессов, совершенствование технологии, внедрение прогрессивных видов материалов позволяют значительно снизить себестоимость продукции.
Серьезным резервом снижения себестоимости продукции является расширение специализации и кооперирования. На специализированных предприятиях с массово-поточным производством себестоимость продукции значительно ниже, чем на предприятиях, вырабатывающих эту же продукцию в небольших количествах. Развитие специализации требует установления и наиболее рациональных кооперированных связей между предприятиями.
Снижение себестоимости продукции обеспечивается прежде всего за счет повышения производительности труда. С ростом производительности труда сокращаются затраты труда в расчете на единицу продукции, а следовательно, уменьшается и удельный вес заработной платы в структуре себестоимости.
Успех борьбы за снижение себестоимости решает прежде всего рост производительности труда рабочих, обеспечивающий в определенных условиях экономию на заработной плате. Рассмотрим, в каких условиях при росте производительности труда на предприятиях снижаются затраты на заработную плату рабочих. Увеличение выработки продукции на одного рабочего может быть достигнуто за счет осуществления организационно-технических мероприятий, благодаря чему изменяются, как правило, нормы выработки и соответственно им расценки за выполняемые работы. Увеличение выработки может произойти и за счет перевыполнения установленных норм выработки без проведения организационно-технических мероприятий.
Нормы выработки и расценки в этих условиях, как правило, не изменяются.
В первом случае, когда изменяются нормы выработки и расценки, предприятие получает экономию на заработной плате рабочих. Объясняется это тем, что в связи со снижением расценок доля заработной платы в себестоимости единицы продукции уменьшается. Однако это не приводит к снижению средней заработной платы рабочих, так как приводимые организационно-технические мероприятия дают возможность рабочим с теми же затратами труда выработать больше продукции.
Таким образом, проведение организационно-технических мероприятий с соответствующим пересмотром норм выработки позволяет снижать себестоимость продукции за счет уменьшения доли заработной платы в единице продукции одновременно с ростом средней заработной платы рабочих.



Показатель EPS


На основе данных за прошлые периоды часто делаются прогнозы на будущее. Колебания и тенденции в изменении фактических показателей сравниваются с прогнозами и определяются признаки усиления или ослабления компании. Но еще раз следует подчеркнуть, что этот показатель нужно интерпретировать осторожно, учитывая необычные элементы в структуре прибыли и значительные изменения количества акций в обращении. Показатель EPS может быть пересчитан на денежный базис. В этом случае он носит название показателя поступления денег на 1 акцию. Это приблизительный показатель, и он рассчитывается для определения возможностей компании выплачивать дивиденды наличными в результате именно основной деятельности предприятия.
Делается попытка определить движение наличных средств в расчете на одну акцию. К величине чистой прибыли добавляются суммы безналичных списаний, таких как износ материальных и нематериальных активов, поскольку эти бухгалтерские операции не представляют собой движения реальных наличных средств. Таким образом, добавив назад эти бухгалтерские списания, мы примерно определяем, какой денежный доход генерирует прибыль, полученная в результате основной деятельности компании.
Использование данного показателя часто может ввести в заблуждение аналитика, поскольку расчет денежного потока делается по приведенным выше допущениям весьма приближенно. В соответствии с приведенными выше допущениями расчет показателя поступления денег на одну акцию производится по формуле:

Показатель EPS

Изменение рыночной цены акции характеризует также капитализированный доход компании, который рассчитывается по формуле:

Показатель EPS
,
где P0 - рыночная цена акции на начало года, P1 - рыночная цена акции на конец года.
Дивидендный доход представляет собой одну из компонент дохода инвестора владельца обыкновенных акций. Для определения дивидендного дохода размер ежегодных дивидендов сопоставляется с текущей ценой акции на начало года или средней ценой акции. Объявление дивидендов на 1 акцию делается советом директоров компании, причем этому уделяется очень большое внимание, поскольку объявленные и ожидаемые дивиденды на акции данной компании влияют, наряду с другими факторами, на цену этих акций на фондовом рынке. Дивиденды обычно выплачиваются в наличной форме, но довольно часто в виде акций.
При выплате дивидендов акциями движения наличных средств не происходит, выпускаются дополнительные акции и передаются каждому акционеру данной компании. Для расчета дивидендного дохода используют формулу:

Показатель EPS
.
Этот коэффициент характеризует прибыль инвесторов от дивидендов. Однако при анализе дивидендного дохода и сопоставлении этого показателя с другими компаниями нельзя забывать, что компании проводят различную дивидендную политику, и общая сумма дохода акционера складывается из дивидендов и изменения рыночной стоимости акции.
Общая доходность обыкновенных акций. Общая прибыль держателей акций компании определяется сочетанием двух основных компонентов: повышения (или понижения) цены акций и дивидендов, полученных наличными за соответствующий период времени, выбранный для анализа. Поскольку только часть прибыли, принадлежащей акционерам, выплачивается им в виде дивидендов, то значение для них имеет именно сумма реально полученных дивидендов, и, как уже отмечалось, изменение цены акций, а не объявленная сумма прибыли компании на одну акцию. Суммарная доходность вложение денег в собственный капитал предприятия, таким образом, рассчитывается с помощью следующей формулы:

Показатель EPS
,
где D дивиденды, выплаченные владельцам предприятия в рассматриваемом периоде.
Коэффициент цена/прибыль на 1 акцию. И владельцы компании, и руководство часто пользуются этим коэффициентом. Этот коэффициент также называется “кратное прибыли”, и он показывает, как рынок оценивает результаты деятельности компании и ее перспективы.
Расчет очень простой: текущая рыночная цена обыкновенных акций делится на самый свежий из имеющихся показателей показатель прибыли на 1 акцию. Расчет показателя производится по формуле:

Показатель EPS
.
Этот показатель всегда оценивается в случае возможного приобретения компании. Кратное прибыли меняется значительно в зависимости от отрасли деятельности и вида компании. Фактически этот коэффициент показывает, как в целом рынок оценивает риски, связанные с данной отраслью или компанией, по отношению к прошлой и будущей прибыли.
Как обычно, проводится сравнительный анализ, и кратное прибыли по данной компании сопоставляется со средним рыночным коэффициентом и с данными по отобранной для сравнения группе компаний.



Порядок регистрации предприятия


Зависимое хозяйственное общество признается таковым, если другое (преобладающее, участвующее) общество имеет более 20% голосующих акций акционерного общества или 25% уставного капитала общества с ограниченной ответственностью.


Порядок регистрации предприятия

Производственный кооператив (артель) добровольное объединение граждан на основе членства для совместной производственной или иной хозяйственной деятельности (производство, переработка, сбыт промышленной и сельскохозяйственной продукции, торговля, бытовое обслуживание, оказание других услуг), основанной на их личном трудовом и ином участии и объединении его членами (участниками) имущественных паевых взносов. Учредительный документ производственного кооператива устав.
Унитарное предприятие, основанное на праве хозяйственного ведения, создается по решению уполномоченного на то государственного органа или органа местного самоуправления. Собственник имущества предприятия, основанного на праве хозяйственного ведения, не отвечает по обязательствам предприятия.
Унитарное предприятие, основанное на праве оперативного управления, создается на базе имущества, находящегося в федеральной собственности по решению Правительства РФ. Другое название такого предприятия федеральное казенное предприятие. Российская Федерация несет субсидиарную ответственность по обязательствам казенного предприятия при недостаточности его имущества, казенное предприятие может быть реорганизовано или ликвидировано по решению Правительства РФ.

Порядок регистрации предприятия:


  1. Нотариально заверить учредительный договор.
  2. Представить учредительные документы на правовую экспертизу.
  3. Сдать документы на регистрацию в территориальное отделение регистрационной палаты.
  4. Зарегистрировать предприятие в территориальном отделении и получить документы.
  5. Нотариально заверить зарегистрированный устав.
  6. Оплатить регистрационную пошлину
  7. Получить коды классификаторов в городском статистическом управлении ; в отделении регистрационной палаты.
  8. Заверить регистрационные письма полученные в статистическом управлении отделения регистрационной палаты.
  9. Обратится в РУВД за разрешением на изготовление печати.
  10. Изготовить печать.
  11. Нотариально заверить банковскую карточку.
  12. Открыть счет в банке.
  13. Оформить договор на аренду помещений и получить ордер в комитете приватизации.
  14. Стать на учет в налоговой инспекции.
  15. Изготовить бланки, карточки и т.д.
Производство и предложение на рынок товаров и услуг, на который имеется спрос и который приносит прибыль, является целью предпринимательской активности. Два термина «предпринимательство» и «рынок» взаимосвязаны и друг без друга не мыслимы. Самое краткое и емкое определение рыночной экономики звучит просто: «Экономика свободного предпринимательства».

1.2 Предпринимательство, как самостоятельная, инициативная деятельность граждан и их объединений

На сегодняшний день в мире не существует общепринятого определения предпринимательства. Американский ученый, профессор Роберт Хизрич определяет «предпринимательство как процесс создания чего-то нового, что обладает стоимостью, а предпринимателя как человека, который затрачивает на это все необходимое время и силы, берет на себя весь финансовый, психологический и социальный риск, получая в награду деньги и удовлетворение достигнутым». В американской учебной и научной литературе дается множество других определений, характеризующих предпринимательство и предпринимателя с экономической, политэкономической, психологической, управленческой и других точек зрения.
Английский профессор Алан Хоскинг утверждает: «Индивидуальным предпринимателем является лицо, которое ведет дело за свой счет, лично занимается управлением бизнесом и несет личную ответственность за обеспечение необходимыми средствами, самостоятельно принимает решения. Его вознаграждением является полученная в результате предпринимательской деятельности прибыль и чувство удовлетворения, которое он испытывает от занятия свободным предпринимательством. Но наряду с этим он должен принять на себя весь риск потерь в случае банкротства его предприятия».
Предпринимательство это особый вид экономической активности (под которой мы понимаем целесообразную деятельность, направленную на извлечение прибыли), которая основана на самостоятельной инициативе, ответственности и инновационной предпринимательской идее.
Экономическая активность представляет собой форму участия индивида в жизнедеятельности общественном производстве и способ получения финансовых средств, для обеспечения его самого и членов его семьи. Такой формой участия индивида в общественном производстве является одна общественная функциональная обязанность или их комбинация, когда он выступает в качестве:
собственника каких-либо объектов, недвижимости и т. д., приносящих ему постоянный и гарантированный доход (собственник предприятия или дома, сдаваемого в аренду, и т. д.);
наемного работника, продающего свою рабочую силу (токарь на заводе, учитель в школе и т. д.);
индивидуального производителя («свободный» художник, живущий на доходы от реализации своих произведений, или водитель, использующий автомобиль в качестве такси и живущий на доходы от такой деятельности, и т. д.);
государственного или муниципального служащего;
менеджера (управляющий чужим предприятием);
пенсионера (пассивная форма участия в общественном производстве как следствие прошлой активности);
учащегося или студента (как подготовительный этап к участию в будущем общественном производстве в какой-либо конкретной форме);
безработного (как вынужденная форма неучастия или приостановки участия в общественном производстве);
занятого оборонно-охранной деятельностью (армия, милиция, госбезопасность);
вовлеченного в экономически преступную деятельность (рэкет, воровство и др.).
Предпринимательство выступает в качестве особого вида экономической активности, ибо его начальный этап связан, как правило, лишь с идеей результатом мыслительной деятельности, впоследствии принимающей материализованную форму.
Предпринимательство характеризуется обязательным наличием инновационного момента будь то производство нового товара, смена профиля деятельности или основание нового предприятия. Новая система управления производством, качеством, внедрение новых методов организации производства или новых технологий это тоже инновационные моменты.
Субъектами предпринимательской деятельности (предпринимателями) могут быть:

  1. Граждане Российской Федерации и других государств, не ограниченные законом в правоспособности или дееспособности.
  2. Юридические лица всех форм собственности, установленные законом.
  3. Основным субъектом предпринимательской активности выступает предприниматель. Однако предприниматель не единственный субъект, в любом случае он вынужден взаимодействовать с потребителем как основным его контрагентом, а также с государством, которое в различных ситуациях может выступать в качестве помощника или противника. И потребитель, и государство также относятся к категории субъектов предпринимательской активности, как и наемный работник (если, конечно, предприниматель работает не в одиночку), и партнеры по бизнесу (если производство не носит изолированного от общественных связей характера).
При всем многообразии форм предпринимательства существуют ключевые положения, применимые практически во всех областях коммерческой деятельности и для разных фирм, но необходимые для того, чтобы своевременно подготовиться и обойти потенциальные трудности и опасности, тем самым уменьшить риск в достижении поставленных целей.
Важной задачей является проблема привлечения инвестиций, в том числе и зарубежных, в действующие и развивающиеся предприятия. Для этого необходимо аргументировать и обосновать оформление проектов (предложений), требующих инвестиций, составить бизнес-план.
В рыночной экономике бизнес-план является рабочим инструментом, используемым во всех сферах предпринимательства. Бизнес-план описывает процесс функционирования фирмы, показывает, каким образом ее руководители собираются достичь свои цели и задачи, в первую очередь повышения прибыльности работы. Хорошо разработанный бизнес-план помогает фирме расти, завоевывать новые позиции на рынке, где она функционирует, составлять перспективные планы своего развития.
Предпринимательство как особая форма экономической активности может осуществляться как в государственном, так и в частном секторе экономики. В соответствии с этим различают: а) предпринимательство государственное; б) предпринимательство частное.
Государственные предпринимательство есть форма осуществления экономической активности от имени предприятия, учрежденного: а) государственными органами управления, которые уполномочены (в соответствии с действующим законодательством) управлять государственным имуществом (государственное предприятие), или б) органами местного самоуправления (муниципальное предприятие). Собственность такого рода предприятий есть форма обособления части государственного или муниципального имущества, части бюджетных средств, других источников. Важной характеристикой таких предприятий выступает то обстоятельство, что они отвечают по своим обязательствам только имуществом, находящимся в их собственности (ни государство не отвечает по их обязательствам, ни они сами не отвечают по обязательствам государства).



Последовательное перемещение


  • последовательное перемещение;
  • параллельное перемещение;
  • избирательное перемещение;
При последовательном перемещении каждый продукт подвергается одинаковой серии операций. В текстильной промышленности, например, фабрика обычно имеет прядильный цех и цех окраски. Пряжа из прядильного цеха поступает в цех окраски, а затем на склад готовой продукции.
Способ перемещения здесь продукции является последовательным.
При параллельном перемещении отдельные виды работ выполняются одновременно, а затем в определенном процессе сходятся в единую цепочку. По тем видам работ, которые производятся одновременно, может потребоваться применение калькуляции позаказного типа, для учета различий в затратах на одновременное проведение различных видов работ. Такая схема применяется в производстве консервированных продуктов питания.
Так, при изготовлении фруктовых смесей разные виды фруктов очищаются от кожуры и перерабатываются одновременно на разных производственных участках. После этого на заключительных этапах переработки и консервирования они смешиваются и поступают на склад готовой продукции.
При избирательном перемещении продукция проходит технологические ряды внутризаводских подразделений, каждый из которых построен в соответствии с требованиями, предъявляемыми к конечному продукту. В эту категорию попадают мясоперерабатывающие и нефтеперерабатывающие предприятия. При мясопереработке, например, часть мяса после забоя поступает на мясорубку и упаковку, а затем на склад готовой продукции. В то же самое время другая часть проходит обработку копчением, затем упаковывается и поступает на склад.
Этот способ может применяться в разнообразных формах.
Учет затрат методом попроцессной калькуляции содержит четыре основные операции. Суммирование движущихся в потоке вещественных единиц продукции. На первом этапе определяется сумма единиц продукции, подвергшейся обработке в данном подразделении в течение отчетного периода времени.
При этом объем на входе должен равняться объему на выходе. Этот этап позволяет выявить утраченные в процессе производства единицы продукции. Взаимозависимость может быть выражена формулой:
Зпр+I=Зкп+Т
где : Зпр - первоначальные запасы, I - количество продукции на начало периода, Зкп - запасы на конец периода, Т - количество единиц завершенной и переданной далее продукции, определение продукции на выходе в эквивалентных единицах. Для того, чтобы выявить удельную себестоимость в условиях много процессного производства важно установить полный объем работы, выполненной за отчетный период. В обрабатывающих отраслях существует специфическая причина, связанная с тем, как учитывать все еще не завершенное производство, т. е. работы на конец отчетного периода выполненные частично. Для целей попроцессной калькуляции затрат единицы частично завершенной продукции измеряются на основе эквивалентов полных единиц продукции. Эквивалентные единицы представляют собой показатель того, какое число полных единиц продукции соответствует количеству полностью завершенных единиц продукции плюс количество частично завершенных единиц продукции.
Например, 100 единиц продукции со степенью завершенности в 60%, с точки зрения производственных затрат, эквивалентны 60 полностью завершенным единицам.
Определение полных учитываемых затрат и вычисление удельной себестоимости в расчете на эквивалентную единицу. На этом этапе суммируются полные затраты отнесенные на производственное подразделение в отчетном периоде. Удельная себестоимость в расчете на эквивалент составит:
Ус=Пз/Эп,
где Ус удельная себестоимость, Пз полные затраты за период времени, Эп эквивалентные единицы продукции за период времени;
учет единиц завершенной и переданной далее продукции и единиц, остающихся в незавершенном производстве.
Для попроцессной калькуляции затрат используется так называемая сводная ведомость затрат на производство. В ней обобщаются как полные затраты, так и показатели удельной себестоимости, отнесенные на то или иное подразделение, и содержится распределение полных затрат между запасами незавершенного производства и единицами завершенной и переданной далее (или запасами продукции) продукции.
Сводная ведомость затрат на производство охватывает все четыре этапа калькуляции и служит источником для ежемесячного внесения записей в журнал операций. Это удобная процедура, при которой данные о затратах докладываются руководству.
Попередельный метод учета затрат применим в том случае, если сырье и материалы проходят несколько законченных стадий обработки, и после окончания каждой стадии получается не продукт, а полуфабрикат. Полуфабрикаты могут быть использованы как в собственном производстве, так и реализованы на сторону. Затраты на остатки незавершенного производства распределяют по плановой себестоимости определенной стадии производственного процесса. Попередельный метод учета затрат и калькулирования себестоимости продукции может быть:
бесполуфабрикатным - контроль за движением полуфабрикатов осуществляется бухгалтером оперативно в натуральных величинах и без записи на счетах.
полуфабрикатным - себестоимость рассчитывается по каждой стадии производства изделия.
Когда на начало периода остаются запасы или незавершенное производство, продукция, завершенная в процессе производства складывается из различных поступлений, частью за счет частично завершенного производства прошлого периода, а частью за счет единиц нового производства, начатого в текущем периоде. Поскольку затраты способны изменяться от периода к периоду, каждое поступление может изменятся по удельной себестоимости. Стоимость товароматериальных запасов на начало периода может учитываться тремя способами: методом оценки средневзвешенного, методом «первый пришел - первый ушел» (сокращенно называемым FIFO) и методом «последний пришел - первый ушел» (сокращенно называемым LIFO).
Метод среднего взвешенного. При методе оценки среднего взвешенного затраты на незавершенное производство на начало периода совмещаются с затратами на производство, начатого в данном периоде, и отсюда определяется средняя себестоимость. При определении эквивалентности единиц продукции различия в затратах между производством, частично завершенным в прошлом периоде, и единицами продукции, начато и завершено в текущем периоде, не учитывается.
Для полностью завершенного производства показатель себестоимости только один.
Эквивалентные единицы в методе среднего взвешенного определяются следующим образом:
Езп+Сз*Нкп = Эед ,
где: Эед - эквивалентные единицы, Езп - единицы завершенного производства, Нкп - незавершенное производство на конец периода, Сз - степень завершенности в процентах.
Метод ФИФО. В методе «первый пришел - первый ушел» стоимость незавершенного производства отделяется от дополнительных затрат, отнесенных на текущий период. За период учитываются два вида удельной себестоимости:
завершенных единиц незавершенного производства на начало периода;
единиц продукции, производство которых начато и завершено в текущем периоде.
В соответствии с этим методом незавершенное производство предполагается завершить в первую очередь. Эквивалентные единицы в методе ФИФО определяются следующим образом:
Эед=Езп+Нкп*Сз-Ннп*Сз ,
где: Эед - эквивалентные единицы, Езп - единицы завершенного производства, Нкп - незавершенное производство на конец периода, Ннп - незавершенное производство на начало периода, Сз - степень завершенности в процентах.
Что касается метода ЛИФО, то его сущность заключается в том, что поступление запасов в производство оценивается по себестоимости последних по времени закупок, а себестоимость запасов на конец периода определяется исходя из себестоимости наиболее ранних закупок. Данный метод позволяет более точно определить себестоимость реализованной продукции и чистую прибыль от реализации, однако искажает себестоимость запасов на конец периода, но в отличие от метода ФИФО обеспечивает увязку текущих доходов и расходов и позволяет сгладить влияние инфляции. Также понятно, что прибыль отражаемая предприятием в отчетности занижается.
Система попроцессной калькуляции затрат, подобно системе позаказной калькуляции, представляет собой систему аккумуляции затрат, которая выдает показатель производственных затрат на единицу продукции для данного технологического процесса. Учет затрат на единицу продукции применяется в основном при калькуляции себестоимости продукта, оценке товароматериальных запасов и определении доходности. Данные об удельной себестоимости крайне необходимы при установлении цены на произведенную продукцию.
Они используются не только при определении цены на конечную продукцию, но и для выбора «надлежащего» состава продукции с целью обеспечения максимальной прибыли, а также для определения путей достижения максимального объема производства. Пожалуй, наиболее эффективным является применение данных о производственных затратах при их использовании фирмой в системе калькуляции по нормативным затратам. В сочетании с калькуляцией по нормативным затратам данные о производственных затратах дают руководству основание рассматривать затратные характеристики производственного подразделения в качестве центра затрат всех категорий, таких, как прямые материалы, прямой труд, накладные расходы.



Поступления средств от других предприятий.


  1. Исходя из сложившихся на рынке традиций ценообразования.
  2. Следование за ценами рыночного лидера.
В первом случае цены определяются при условии, что каждый продавец данного рынка устанавливает цены, уважая обычаи ценообразования и уровень цен, сложившиеся на рынке. Если производитель улучшил качество товара или повысил уровень предоставляемых услуг, он вправе установить более высокую цену. Такой метод ценообразования обычно используется на рынке недифференцированных массовых товаров металл, зерно, сахар, цемент и т.п.
Во втором случае производитель определяет свои цены исходя из цен рыночного лидера, лидерство которого определяется такими важными показателями, как наибольшая рыночная доля, качество продукта, его престижность и т.п. Так как рыночные позиции других участников рынка слабее позиций рыночного лидера, то цены, ими устанавливаемые, обычно ниже цен лидера. В результате производители, даже специально не договариваясь, продают товары в определенном, как бы согласованном диапазоне цен.
Очевидно, что при определении цены одновременно используются совместно рассмотренные три подхода, хотя удельный вес каждого их них может быть различным.
Ценообразование в случае, если продукт является частью продуктовой номенклатуры, обладает своей спецификой. При этом организация стремится установить цены, максимизирующие суммарную прибыль. Для данного случая выделяют пять стратегий ценообразования:
1. Выстраивание ценовых рядов. Речь идет об установлении одинаковой цены для подобных продуктов одной продуктовой линии, мало отличающихся по себестоимости и по оценкам их свойств покупателями. Часто в пределах одной продуктовой линии выпускается несколько групп однотипных продуктов от простых и дешевых до сложных и дорогих.
Выстраивание ценового ряда это установление ограниченного числа цен для выбранных групп товаров. Такой подход упрощает потребителям выбор нужного товара, так как они в пределах одного ценового ряда исключают из числа оцениваемых факторов цену товара.
Выстраивание ценовых рядов основано на предположении, что спрос в пределах одной группы продуктов неэластичен. Если цены являются привлекательными, потребители сконцентрируют свое внимание на выборе покупок, не обращая внимания на незначительное изменение цен.
2. Одновременное установление цен, как на основной продукт, так и на дополняющие или вспомогательные продукты, например, достаточно дешевый автомобиль доукомплектовывается за дополнительную цену определенным оборудованием.
3. Установление низкой цены на основной продукт и завышенной цены на обязательный сопутствующий продукт.
4. Установление предельно низкой, бесприбыльной цены на малоценные побочные продукты, получаемые, например, при переработке мяса. Поскольку отделение от мяса жил, пленки и т.п. увеличивает стоимость самого мяса, то продажа этих побочных продуктов дает возможность уменьшить цену на основной продукт.
5. Пакетное ценообразование, когда продавец объединяет несколько продуктов, предлагая их по суммарной уменьшенной цене.
Базисные, прейскурантные цены обычно изменяют с учетом различий между клиентами и условий продажи. В этой связи используют следующие стратегии корректировки цен: ценовые скидки, дискриминационное ценообразование, ценообразование по психологическому принципу, стимулирующее ценообразование, ценообразование по географическому принципу.
Ценовая скидка предоставляется производителем оптовым и розничным торговцам, другим клиентам в течение определенного периода времени.
Используют следующие виды ценовых скидок: скидки за оплату наличными снижение цены покупателям, оперативно оплачивающим счета; скидка за количество закупаемого товара снижение цены покупателям, закупающим товар в больших количествах; функциональные скидки снижение цены для организаций системы товародвижения, выполняющих определенные функции по продаже товара, его хранению и др.; сезонные скидки скидки для покупателей, совершающих внесезонные покупки; уменьшения прейскурантной цены на новый товар при условии сдачи старого. Введение временной ценовой скидки может быть обусловлено необходимостью противостоять ценовой политике конкурента или появлению нового товара.
Ценовая скидка может предоставляться производителями оптовым и розничным торговцам для того, чтобы они каким-то образом уделяли особое внимание определенным товарам. Прежде всего, при этом выделяют поддержку рекламной деятельности, компенсирующую затраты торговцев на рекламу, поддержку демонстрационной деятельности, компенсирующую затраты на создание специальных демонстрационных средств.
Стимулирующее ценообразование временное назначение цены ниже прейскурантной цены, иногда ниже себестоимости, с целью активизации продажи на коротком интервале времени. Осуществляется для привлечения покупателей, которые наряду с дешевыми товарами могут купить товары, имеющие обычные наценки, а также для снижения товарных запасов.
Дискриминационное ценообразование продажа товара или услуги по двум или более разным ценам вне зависимости от издержек.


8.4. Финансовое планирование

Финансовый план разрабатывается на основе других разделов плана экономического и социального развития предприятия. В свою очередь разработка финансового плана оказывает существенное влияние на формирование плана себестоимости, использование материальных и других ресурсов. При составлении финансового плана непременно должны учитываться имеющиеся резервы производства, так как в нем устанавливаются задания по улучшению использования ресурсов, повышению рентабельности производства.
Поэтому перед разработкой финансового плана необходимо всесторонне проанализировать имеющиеся отчетные и другие материалы по выполнению производственного плана.
Финансовый план составляется в виде баланса доходов и расходов, который выражает в денежной форме результаты хозяйственно-финансовой деятельности, взаимоотношения с бюджетом, банками, вышестоящими организациями. Финансовый план (баланс доходов и расходов) предприятия состоит из четырех разделов: доходы и поступления средств, расходы и отчисления, кредитные взаимоотношения, взаимоотношения с бюджетом. Размер плановых доходов и расходов определяется на основе обоснованных расчетов, которые составляются по каждой статье баланса.
В разделе «Доходы и поступления средств» отражается доход в виде прибыли, амортизационных отчислений, других внутренних доходов предприятия, а также разного рода поступлений из внешних источников. В составе прибыли основную часть занимает прибыль of реализации товарной продукции. В общую балансовую прибыль предприятия входит прибыль от реализации прочей продукции и услуг непромышленного характера.
Планирование амортизационных отчислений осуществляется по каждому виду или группе основных фондов, числящихся на балансе предприятия. Сумма амортизационных отчислений определяется умножением среднегодовой стоимости этих фондов на соответствующие нормы амортизационных отчислений.
В разделе «Расходы и отчисления средств» предусматриваются централизованные капитальные вложения, затраты на капитальный ремонт, расходы на прирост норматива собственных оборотных средств, убытки от эксплуатации жилищно-коммунального хозяйства, расходы на содержание зданий и сооружений, отчисления на образование фондов экономического стимулирования, расходы на НИОКР, подготовку кадров и премирование работников за создание и внедрение новой техники, для оказания финансовой помощи, другие расходы и отчисления.
Примерное содержание разделов финансового плана можно представить следующими основными статьями доходов и расходов.
1. Доходы и поступления средств
1. Прибыль от реализации продукции, работ, услуг.
2. Прибыль от прочей реализации (основных средств, других активов).
3. Планируемые внереализационных доходы, в том числе:
доходы от долевого участия в уставном капитале других предприятий;
доходы, полученные от ценных бумаг;
доходы от хранения денежных средств на депозитных счетах в банках'и других финансово-кредитных учреждениях;
доходы от сдачи имущества в аренду.
4. Амортизационные отчисления на полное восстановление основных фондов и нематериальных активов.
5. Поступления средств от других предприятий.
2. Расходы и отчисления средств
1. Налоги, уплаченные из прибыли (по видам налогов).
2. Распределение чистой прибыли, в том числе:
на накопление (по направлениям использования);
на потребление (по направлениям использования).
3. Долгосрочное инвестирование (по формам инвестиций), в том числе:
за счет амортизационных отчислений;
за счет других источников финансирования (по видам источников).
4. Прочие расходы.
При составлении плана особое внимание уделяется правильному расчету источников финансирования капитальных вложений, которые по характеру образования можно подразделить на четыре группы: внутренние ресурсы строительства, средства основной (промышленной) деятельности, ассигнования из бюджета и долгосрочный кредит банка.
Плановая потребность в финансировании капитальных вложений в первую очередь должна обеспечиваться за счет мобилизации внутренних ресурсов в капитальном строительстве, осуществляемом хозяйственным способом, амортизации, отчисляемой на восстановление фондов и части прибыли основной деятельности.



Поток реальных денег от финансовой деятельности



* При многономенклатурном производстве выручка определяется по формуле:
РП =
Поток реальных денег от финансовой деятельности
,
где Цi цена единицы i-й продукции; Qi годовой объем i-й номенклатуры продукции; m количество номенклатурных позиций.
** Для предприятия, которое является субъектом инвестиций, прибыль до вычета налогов составит: стр. 10 = (cтp. 3 + стр. 4) - (стр. 5 + стр.
6 + стр. 7 + стр. 8 + стр.
9).
Таблица 8.5.3.
Поток реальных денег от финансовой деятельности


№ строки
Наименование показателя
Значение показателя по годам
1
2

i-й
Год ликви-дации
1
Собственный капитал (акций, субсидии и др.)





2
Краткосрочные кредиты





3
Долгосрочные кредиты





4
Погашение задолженности по кредитам





5
Выплата дивидендов





6
Сальдо финансовой деятельности* (стр. 1 + стр. 2 + стр. 3) - (стр.4)






* При выплате дивидендов стр. 6 = (стр. 1 +стр. 2 + стр. 3) - (стр.
4 + стр. 5).

коэффициент левериджа доля заемного капитала (сумма долгосрочных и краткосрочных пассивов) в общей стоимости собственного капитала, должен быть не менее единицы;
коэффициент маневренности отношение собственных оборотных средств (собственный капитал минус внеоборотные активы) к собственному капиталу, не должен быть менее 0,5;
коэффициент соотношения мобильных и мобилизационных средств отношение материальных оборотных активов плюс денежные средства, краткосрочные капитальные вложения и дебиторская задолженность к внеоборотным активам;
коэффициент обеспеченности оборотными средствами отношение собственных оборотных средств к оборотным активам (материальные оборотные активы плюс денежные средства, краткосрочные капитальные вложения и дебиторская задолженность), не должен быть меньше нуля.


Таблица 8.5.4.
Баланс

Наименование показателя
На начало t-го года, тыс. руб.
На начало (t+1)-го года, тыс. руб.
На начало (t+2)-го года, тыс. руб.
АКТИВ



Основные средства и прочие внеоборотные средства
8324,0
9369,0
14652,0
Запасы и затраты
430,0
490,0
5420,0
Расчеты с дебиторами (задолжники)
170,0
230,0
1486,0
Денежные средства
60,0
110,0
240,0
Расчеты и денежные средства
280,0
360,0
5134,0
БАЛАНС
9264,0
10559,0
26932,6
ПАССИВ



Уставный фонд
720,0
840,0
1510,0
Источники собственных средств
8210,0
9268,0
13160,0
Долгосрочные кредиты и займы
10,0
31,0
3104,0
Краткосрочные кредиты и займы
20,0
45,0
100,6
Кредиты банков для работников
15,0
40,0
110,0
Расчеты с кредиторами, в том числе за полученные сырье и материалы
50,0
80,0
1980,0
Расчеты и прочие пассивы
239,0
255,0
6968,0
БАЛАНС
9264,0
10559,0
26932,0

Снижение значений коэффициентов за пределы нижней границы характеризует ухудшение финансового состояния предприятия, их превышение верхней границы наличие сверхнормативных запасов.
Финансовое положение предприятия тесно связано с показателями финансовой активности, т. е. эффективность использования ресурсов оценивается по следующим показателям:
длительность одного оборота отношение количества дней в году к количеству оборотов оборотных средств;
количество оборотов оборотных средств отношение себестоимости (стоимости) реализованной продукции к среднему остатку оборотных средств;
фондоотдача отношение стоимости произведенной продукции к среднегодовой стоимости основных производственных фондов;
безубыточность равенство выручки от продаж и себестоимости реализованной продукции;
рентабельность отношение балансовой, чистой прибыли или прибыли от реализации к стоимости производственных фондов (сумма основных производственных фондов и среднего остатка оборотных средств), т. е. доля соответствующей разновидности прибыли, приходящаяся на 1 руб. производственных фондов.
Анализ финансового состояния предприятия позволяет рационально использовать располагаемые ресурсы и выполнять всю совокупность функций в процессе хозяйственной деятельности в целях:
максимизации доходности и повышения уровня защиты от предпринимательского риска;
повышения достоверности текущих и перспективных прогнозов использования финансовых ресурсов по основным направлениям хозяйственной деятельности предприятия и с учетом особенностей рыночной экономики;
выбора экономически обоснованных источников финансирования и т. д.





Пример сети с тупиками и контурами.


Второй в условиях нестабильности рыночной ситуации и неполном портфеле заказов на год. Выделение приоритетов необходимо на каждом предприятии и связано в основном с разработкой новых видов продукции на перспективу. В качестве приоритета может выступать переход к энергосберегающим технологиям, поиск средств защиты окружающей среды и т.д. Реализация приоритетов осуществляется путем предоставления режима наибольшего благоприятствования в финансировании программ (проектов, планов).
Комплексность плана обеспечивается при взаимоувязке его составных частей.
Научность планов достигается в том случае, если учтены перечисленные выше основные принципы планирования. В противном Случае план не будет оптимальным, экономичным, стабильным, взаимоувязанным. С таким планом вряд ли можно рассчитывать на успех.
Таким образом, система планирования деятельности предприятия представляет собой совокупность планов, в которых реализуются основные задачи фирмы и принципы планирования


5.3. Сетевые методы планирования

Любая поставленная цель требует ее детальной проработки. Приступая к составлению плана работ, мы можем «сконструировать» весь процесс в виде графика, где часть работ выполняется последовательно, другая часть выполняется параллельно разными исполнителями.
Единую систему выполнения всей программы можно представить в виде совокупности работ, действий и результатов. Математической моделью всего комплекса работ является сетевая модель, широко известная и распространенная в применении в нашей стране и за рубежом.
Целью анализа и расчета сетевой модели является получение параметров, необходимых для принятия решения по сроку, стоимости, маршруту, обеспеченности выбранного плана, прогноза действий. Такими параметрами может быть общая длительность выполнения всего комплекса работ, зависимость стоимости распределений продукта от срока реализации, потребность в ресурсах различного вида и т.д.
Чем шире кооперирование, чем больше фирм задействованы в создании, распределении товаров, тем труднее использовать традиционные методы менеджмента: определять и увязывать время выполнения отдельных этапов работ между собой, добиваться выполнения всего комплекса работ в намеченный срок, определять требующиеся ресурсы.
Рассматриваемая сетевая модель позволяет проводить эксперименты и выяснять к каким результатам приведет то или иное изменение в условия собственной задачи: концентрирует внимание на руководителя фирмы на самых важных работах комплекса, на перераспределении времени, ресурсов или изменении качественных показателей для достижения надежной гарантии выполнения работ в директивно намеченный срок.
Основой всех систем сетевого планирования и управления (СПУ) является использование сетевых моделей. Объектом моделирования являются комплексы работ (например, комплекс работ по научной проблеме, комплекс мероприятий по внедрению нового технологического процесса и т.д.). Объем и характер комплекса могут быть различными. Важными свойствами объекта моделирования являются:
А) возможность предоставления его в виде совокупности отдельных работ;
Б) наличие очередности выполнения между этими работами;
В) наличие цели, для достижения которой предназначаются все работы комплекса.
Работа (операция) основной элемент комплекса. Она представляет собой либо трудовой процесс, в котором участвуют люди, машины, механизмы (например, изготовление детали, проектирование сооружения, проведения эксперимента, решение задачи на ЭВМ, согласование и утверждение плана и т.п.), либо процесс ожидания (твердение бетона, высыхание краски, ожидания летней погоды и т.п.). во всех случаях работа это процесс, происходящий во времени.
Наиболее важная характеристика работы связана с понятием ее объема. Реальный смысл объема работы может быть весьма различным (трудоемкость в человеко-днях или машино-сменах; физические размеры в кубометрах, тоннах, километрах и т.п.; продолжительность в единицах времени; число команд в машинной программе; стоимостной показатель в рублях и т.д.). В наиболее распространенных моделях роль объема играет продолжительность работы.
Событие элемент комплекса, означающий определенное состояние в процессе выполнения комплекса работ. Каждое событие можно охарактеризовать как:
А) появление условий, позволяющих начать одну или несколько работ комплекса (эти работы по отношению к событию называются непосредственно следующими или выходящими, а события по отношению к работам начальными);
Б) окончание одной или нескольких работ комплекса (эти работы по отношению к событию называются непосредственно предшествующими или входящими, а событие по отношению к работам конечным).
Событие, не имеющее непосредственно предшествующих работ, называют исходным, не имеющее непосредственно следующих работ завершающим событием комплекса.
Событие в отличие от работы не является процессом и не имеет продолжительности. В сетевой модели событие обычно характеризуется составом входящих и выходящих работ. Иногда целесообразно давать определение всех или некоторых событий, отраженных в модели (например, план утвержден, акт подписан)
Одним из основных признаков комплекса является наличие отношений порядка между работами. В большинстве случаев эти отношения состоят в том, что некоторые работы не могут быть начаты прежде, чем закончатся другие работы комплекса.
Если работа b не может быть начата до того, как закончиться работа a, то работа a называется предшествующей работе b, а работа b - следующей за работой a.
Если при этом в комплексе не существует ни одной работы g, которая следует за a и предшествует b, то работа a называется непосредственно предшествующей работе b, а работа b - непосредственно следующей за работой a.

Пример сети с тупиками и контурами.

5.3.1. Отношение предшествования (следования)
Как правило, отношение предшествования (следования) задано лишь для нескольких пар работ комплекса, и есть такие пары работ, из которых ни одна не предшествует другой (работы могут выполняться параллельно).
Реально существующие отношения предшествования между работами, событиями комплекса отражаются с помощью ориентированного графа, представляющим собой совокупность элементов двух родов; элементы первого рода именуются вершинами, второго дугами графа. Каждая дуга соответствует определенной паре вершин (дуга соединяет эти вершины, вершины являться граничными для данной дуги). Для каждой дуги указано, какая из двух ее граничных вершин начальная, какая конечная.
По отношению к начальной вершине дуга называется выходящей, а по отношению к конечной входящей.
Путем в графе называется последовательность различных дуг, в которой конечная вершина каждой предыдущей дуги совпадает с начальной вершиной следующей дуги.
Путь называется циклом, если его начало совпадают с концом. Понятию цикла в сетевом планировании соответствует «контур».
Сетью комплекса называется ориентирование граф, отображающий отношения порядка между работами комплекса, Различают два основных типа сетей:
Сети, в которых работам комплекса сопоставлены вершины, а дуги отражают отношения предшествования между работами (сети типа «работы-вершины»)


5.3.2. Сетевая модель типа «работы-вершины».
Рисунок 5.3.2 предполагает следующую информацию: работа 1 является исходной и она предшествует работам 2 и 3. Все характеристики работ, такие как продолжительность, стоимость и пр., содержатся в прямоугольнике, а дуга, связывающая прямоугольники вершины, не несет в себе количественных характеристик, а является только связующим звеном.
Работе 4 предшествуют работы 2 и 3. Завершающей работой является работа 5, которой предшествует результат работы 4.
Сети, в которых работам комплекса сопоставлены дуги, а вершины соответствуют некоторым событиям (сети типа «работы-дуги»).


5.3.3. Сетевая модель типа «работы-дуги».
Информация, отображенная на 5.3.3., та же самая, что и на 5.3.2. Но на данной сетевой модели каждая дуга отображает процесс работу и, следовательно, работа (i0 1) является по содержанию той же работой, что и работа 1 на 5.5.2., но вся информационная и количественная характеристика работы лежат на дуге, и таким образом, дуга (i0 1) говорит о том, что работа начинается в событии (точке) i0 и заканчивается событием 1; в свою очередь имеет продолжительность во времени. Далее работы (1-2) и (1-3) начинаются после окончания предшествующей работы (i0 1) и т.д.
Необходимо заметить, что системы кодирования (нумерации) событий отличаются, но смысл процесса, заложенный в данных видах моделей один и тот же.
Целесообразность применения сетей различных типов определяется в каждом конкретном случае особенностями комплекса и характером решаемых задач планирования и управления. Хотя построение сетей типа "работы - вершины" проще, однозначно и не требует введения дополнительных элементов (фиктивных работ), во многих случаях предпочитают сети типа "работы " дуги", поскольку в последних отражены события комплекса. Кроме того, при большом числе входящих и выходящих работ сеть типа "работы - дуги" оказывается более экономной (по числу элементов).
Рассмотрим правила построения сети типа "работы - дуги".Для построения сетевого графика приняты определенные условные изображения и обозначения работ, их результатов и связей между ними.
По своему содержанию и изображению в сетевом графике работа подразделяется (5.3.4) на:
работу, требующую затрат времени и труда (изображается на графике сплошной линией со стрелкой);
фиктивную работу (или связь, зависимость), не требующую затрат времени и труда; показывающую логическую связь между событиями и одновременно указывающую, что возможность начала одной работы зависит от результата другой работы (изображается на графике штриховой линией со стрелкой);
ожидание, или работу, требующую затрат времени, но не требующую затрат труда (изображается на графике линией со стрелкой).
По очередности выполнения все работы, изображаемые сетевом графике, могут быть подразделены на последовательные и параллельные.
Последовательной называется работа, которая может быть начата только после окончания другой, ей предшествующей работы.


Рис 5.3.4. Изображение работ в сетевом графике.
Параллельными называются работы, которые могут выполняться одновременно после свершения события, обуславливающего возможность их начала. Для правильного отображения связей между работами и событиями, необходимо использовать (работы-связи) фиктивные работы (5.3.5 и 5.3.6).

Пример сети с тупиками и контурами.

5.3.5. Вариант изображения параллельных работ в сетевом графике с использованием фиктивных работ.

Пример сети с тупиками и контурами.

5.3.6. Изображение связи между параллельными и последовательными работами.
При построении сетевого графика могут возникнуть ошибки, некоторые из которых обнаруживаются формальными приемами анализа сетевого графика. В частности, признаками ошибок, допущенных при построении сети, являются циклы (контуры) и тупики (5.3.7).
Из ошибок, для обнаружения которых можно указать формальные правила, наиболее распространенные следующие:
наличие событий не являющихся исходными событиями, и не имеющих входных работ (тупики первого рода событие В на 5.3.7).
наличие событий, не являющихся завершающими (целевыми) событиями и не имеющих исходящих работ (тупики второго рода -. событие А на 5.3.7).
наличие замкнутых путей-контуров (5.3.7).

Пример сети с тупиками и контурами.

5.3.7. Пример сети с тупиками и контурами.
Ошибки типа неправильно указанного номера события не противоречат основным правилам построения сетей (если они не приводят к появлению тупиков и контуров), поэтому для них нельзя построить формальные правила обнаружения, и они могут быть устранены только путем тщательного просмотра исходных данных модели.
Наличие контура свидетельствует об искажении отношений порядка между работами, входящими в цикл (контур), поскольку каждая из этих работ оказывается предшествующей самой себе и любой другой из работ, образующих цикл, чего не может быть в реальности.
Тупики в сети могут появиться, например, в результате того, что:
в исходной информации о сети пропущены некоторые работы;
в сеть внесены события и работы, которые не являются необходимыми для достижения целей моделируемого комплекса.
Все ошибки (тупики и контуры) должны быть устранены.
Таким образом, сетевая модель будет иметь следующий вид (5.3.8.)

Пример сети с тупиками и контурами.

5.3.8. Сетевая модель
Можно сформулировать основные свойства работ и событий сетевой модели:
1. Событию непосредственно предшествует, по крайней мере, одна работа и, по крайней мере, одна следует за ним (за исключением исходного и завершающего).
2. Ко всем работам, имеющим своим началом некоторое событие, можно приступить только тогда, когда окончены все непосредственно предшествующие ему (событию) работы.






Производственная мощность


согласованность производственной программы предприятия с производственными программами других предприятий, тесно связанных по линии кооперирования;
наиболее полное и рациональное использование всех имеющихся ресурсов на предприятии;
непрерывное наращивание выпуска и реализации продукции, если на нее имеется спрос.
Основой для разработки производственной программы являются результаты маркетинговых исследований, портфель заказов, наличие производственных мощностей и ресурсов на предприятии.
К показателям производственной программы в денежном выражении относятся объем продаж, реализованная продукция, доход, товарная и валовая продукция, чистая и условно-чистая продукция, нормативно-чистая продукция, валовой и внутрипроизводственный оборот, нормативная стоимость обработки.
Количественные (объемные) показатели: объем реализации, объем товарной, валовой и чистой продукции.
Объем реализуемой продукции по плану (Vp) можно определить по формуле
Vp = Vт + Vнп1 Vнп2 ,
где Vт объем товарной продукции по плану, Vнп1 , Vнп2 остатки нереализованной продукции на начало и конец планового периода.
Товарная продукция это готовая продукция, предназначенная для реализации на сторону, а также для удовлетворения собственных нужд как производственного, так и непроизводственного характера. Объем валовой продукции (Vв) включает в себя объем товарной продукции и разницу незавершенного производства, полуфабрикатов и инструмента своего производства на начало и конец планового периода.
Валовая продукция характеризует весь объем работы, выполненной предприятием за определенный период времени (месяц, I квартал, год). В состав валовой продукции входит как законченная, так и незаконченная продукция, так называемое незавершенное производство (НЭП).
Валовая продукция = Товарная продукция ± Изменение остатков незавершенного производства за период
Пусть, например, товарная продукция равна 1 млн. руб. Остатки незавершенного производства на конец периода составили 300 тыс. руб., а на начало 100 тыс. руб.
Тогда валовая продукция = 1 000 100 + 300 = 1 200 тыс. руб. При уменьшении остатков незавершенного производства товарная продукция будет больше валовой на разницу остатков. Если незавершенное производство на начало периода составляло 300, а на конец 100 тыс. руб., то валовая продукция составит 800 тыс. руб. (1 000 300 + 100).
Реализованная продукция (доход), равна товарной продукции в том случае, если остатки готовой продукции на складе на начало и конец периода остались без изменений. При увеличении остатков на складе реализация будет меньше товарной продукции; при уменьшении остатков объем реализации будет больше товарной продукции на величину снижения запасов готовой продукции.
Чистая продукция это вновь созданная стоимость на предприятии. В нее входят оплата труда, выданная в виде заработной платы и не выплаченная, но вошедшая в стоимость товара в виде налогов и различных начислений, а также прибыль. В чистую продукцию не входит перенесенная стоимость, созданная на других предприятиях (оплата сырья, материалов, энергии, топлива и амортизационные отчисления).
Объем чистой продукции (Vчп) может быть определен из выражения
Vчп = Vт МЗ А ,
где МЗ материальные затраты, А амортизация.
Условно-чистая продукция это вновь созданная стоимость, но с учетом амортизационных отчислений.
Условно-чистая продукция = Объем продаж - Материальные затраты
Показатели чистой и условно-чистой продукции используются для анализа структуры стоимости продукции (работ, услуг), планирования фонда оплаты труда.
Нормативно-чистая продукция представляет собой часть цены изделия, включает основную и дополнительную заработную плату персонала с отчислениями на социальные нужды и нормативную прибыль.
Нормативная стоимость обработки включает заработную плату производственных рабочих с отчислениями на социальные нужды, общепроизводственные и общехозяйственные расходы.
Валовой оборот представляет собой сумму стоимости валовой продукции всех подразделений предприятия.
Качественные показатели: сортность, марка, содержание полезного компонента, доля продукции, соответствующая мировым стандартам и превышающая их, доля экспортной продукции, важнейшие технические параметры выпускаемой продукции.
Натуральные и стоимостные показатели: плановый выпуск продукции. В производственной программе этот показатель указывается как в стоимостном, так и в натуральном выражении. Натуральные измерители зависят от специфики выпускаемой продукции, поэтому она может быть указана в погонных метрах, м3, штуках, кг, т, секциях и других единицах, а также в условных.
Объем реализуемой и товарной продукции показывается в действующих оптовых ценах предприятия, в сопоставимых ценах и в оптовых ценах отчетного периода.
Продукция, отправляемая на экспорт, показывается в конвертируемой валюте с последующим пересчетом в рубли в соответствии с действующим курсом. Такая стоимостная оценка необходима не только для планирования производственной программы, но и для анализа ее выполнений.


5.2. Производственная мощность

Производственная мощность является исходным пунктом планирования производственной программы предприятия. Она отражает потенциальные возможности объединений, предприятий, цехов по выпуску продукции. Определение величины производственной мощности занимает ведущее место в выявлении и оценке резервов производства.
Под производственной мощностью предприятия понимается максимально возможный выпуск продукции в номенклатуре и ассортименте планового года при полном использовании производственного оборудования с учетом намечаемых мероприятий по внедрению передовой технологии производства и других инновационных проектов. Производственная мощность определяется в тех же единицах, что и объем производства продукции. Широкая номенклатура приводится к одному или нескольким видам однородной продукции.
Например, производственная мощность завода шестерен измеряется в количестве шестерен; тракторного в количестве тракторов; угольной шахты в миллионах тонн угля; электростанции в миллионах киловатт-часов электроэнергии и т.д.
Производственная мощность зависит от ряда факторов. Важнейшие из них следующие:
количество и производительность оборудования;
качественный состав оборудования, уровень физического и морального износа;
степень прогрессивности техники и технологии производства;
качество сырья, материалов, своевременность их поставок;
уровень специализации предприятия;
уровень организации производства и труда;
фонд времени работы оборудования
Снижение производственной мощности происходит по следующим причинам:
износ оборудования;
уменьшение часов работы оборудования;
изменение номенклатуры продукции;
окончание срока лизинга оборудования.
Расчет производственной мощности предприятия ведется по всем его подразделениям в последовательности:
по агрегатам и группам технологического оборудования;
по производственным участкам;
по основным цехам и предприятию в целом.
Производственная мощность предприятия определяется по мощности ведущих цехов, участков, агрегатов. К.ведущим относятся цехи, участки, агрегаты, в которых выполняются основные наиболее трудоемкие технологические процессы и операции по изготовлению изделий. Перечень ведущих цехов, участков и агрегатов в основном производстве, а также оптимальные уровни их загрузки публикуются в отраслевых рекомендациях по расчету производственной мощности.
В расчет производственной мощности предприятия включается все оборудование, закрепленное за основными производственными цехами, за исключением резервного, опытных участков и специальных участков для обучения рабочих; учитывается культурно-технический уровень кадров, их отношение к труду и достигнутый уровень выполнения норм времени.
При расчете производственной мощности необходимо исходить из имеющегося оборудования и площадей, передовой организации производства, применения полноценного сырья, наиболее совершенных инструментов и приспособлений, режима работы предприятия.
Производственная мощность изменяется в течение года, поэтому различают входную, выходную и среднегодовую мощности.
Входная мощность определяется на начало года по наличному оборудованию. Выходная на конец планового периода с учетом ввода и выбытия мощности за счет капитального строительства, модернизации оборудования, совершенствования технологии и организации производства.
Среднегодовая мощность (Мср) рассчитывается путем прибавления к входной мощности (Мвх) среднегодовой вводимой (Мвв) и вычитания среднегодовой выбывающей мощности (Мвб) с учетом срока действия (Тд):
Мср = Мвх +
Производственная мощность

Увеличение производственной мощности возможно за счет:
ввода в действие новых и расширения действующих цехов;
реконструкции;
технического перевооружения производства;
организационно-технических мероприятий;
увеличения часов работы оборудования;
изменения номенклатуры продукции или уменьшения трудоемкости;
использования технологического оборудования на условиях лизинга с возвратом в сроки, установленные лизинговым соглашением.
Для расчета производственной мощности необходимо иметь следующие исходные данные:



Расчет оборачиваемости товарно-материальных запасов


Обычно эти статьи баланса сопоставляются с суммой дохода от реализации продукции или услуг или с себестоимостью реализованной продукции, поскольку считается, что эти статьи тесно взаимосвязаны. Только на основе данных баланса трудно дать точную оценку товарно-материальным запасам. Обычно используется средняя сумма товарно-материальных запасов на начало и конец отчетного периода. Иногда бывает целесообразно использовать только показатель на конец отчетного периода, если происходит бурный рост компании и товарно-материальные запасы постоянно увеличиваются для обеспечения быстро растущего объема реализации. Важно также учитывать метод списания товарно-материальных запасов на себестоимость продукции метод ЛИФО, ФИФО, по средней стоимости и т. д.
Общую картину может дать соотношение объема продаж (дохода от реализации) и суммы товарно-материальных запасов, но обычно более точным показателем будет считаться соотношение товарно-материальных запасов и себестоимости реализованной продукции, поскольку эти показатели сопоставимы. Дело в том, что доход от реализации включает величину надбавки (на издержки производства), которая не включена в стоимость товарно-материальных запасов.
Расчет оборачиваемости товарно-материальных запасов производится по формулам:

Расчет оборачиваемости товарно-материальных запасов

либо

Расчет оборачиваемости товарно-материальных запасов
.
Первая формула использует в качестве основы выручку от реализации, вторая себестоимость проданных товаров, что более отвечает содержанию товарно-материальных запасов. Данный показатель характеризует скорость, с которой товарно-материальные запасы оборачивались в течение отчетного периода. Обычно, чем выше показатель оборачиваемости товарно-материальных запасов, тем лучше: низкий уровень запасов уменьшает риск, связанный с невозможность реализовать продукцию и указывает на эффективное использование капитала.
Тем не менее, если показатель оборачиваемости запасов на данной фирме значительно выше, чем в среднем по отрасли, это может свидетельствовать о потенциальном дефиците закупаемых товаров и материалов, что может отразиться на качестве обслуживания заказчиков и, в конечном итоге, ослабить конкурентную позицию компании. Окончательный вывод требует дополнительного анализа.
Иногда оборачиваемость запасов вычисляется в количестве дней, в течение которых происходит продажа или использование в производство и затем продажа ТМС. Для вычисления этого показателя необходимо календарную длительность периода (например, 365 дней в году) разделить на показатель оборачиваемости ТМС за этот период.
В крупных промышленных компаниях целесообразно рассчитывать этот коэффициент для отдельных видов или отдельной группы продукции, но финансовые отчеты компаний такую детальную информацию обычно не содержат.
Оборачиваемость дебиторской задолженности основывается на сравнении величины этой статьи с чистым объемом продаж. При анализе данного показателя принципиальным является вопрос, соответствует ли сумма неоплаченной дебиторской задолженности на конец отчетного периода сумме продаж в кредит, которая по логике должна оставаться неоплаченной с учетом предоставляемых компанией условий коммерческого кредита. Например, если компания продает с условием оплаты через 30 дней, то обычно сумма дебиторской задолженности должна равняться объему продаж за предыдущий месяц.
Если в балансе дебиторская задолженность равняется объему реализации за 40 или 50 дней, это может означать, что ряд клиентов имеет трудности с оплатой счетов или нарушает условия кредита, либо для реализации своей продукции компания была вынуждена увеличить срок оплаты.
Точный анализ состояния дебиторской задолженности может быть сделан только путем определения "возраста" всех счетов дебиторов по книгам компании и классификации их по количеству неоплаченных дней: 10 дней, 20 дней, 30 дней, 40 дней и т.д. - и далее путем сравнения этих сроков с условиями кредитования по каждой сделке. Но такого рода анализ требует доступа к внутренней информации компании, поэтому внешний исследователь вынужден довольствоваться довольно приблизительным показателем, сопоставляющим дебиторскую задолженность и объем реализации за 1 день и последующим соотнесением этой величины со средним значением дебиторской задолженности в течение года. Это достигается с помощью использования показателя оборачиваемости дебиторской задолженности, который рассчитывается по следующей формуле:

Расчет оборачиваемости товарно-материальных запасов
.
Аналогичную характеристику представляет показатель среднего срока погашения дебиторской задолженности:

Расчет оборачиваемости товарно-материальных запасов
.
Регулярная оценка оборачиваемости кредиторской задолженности производится по формуле

Расчет оборачиваемости товарно-материальных запасов
.
Аналогично, средний срок погашения кредиторской задолженности составляет

Расчет оборачиваемости товарно-материальных запасов
.
Остановимся теперь на показателе, который замыкает все показатели оборачиваемости краткосрочных активов и пассивов. Этот показатель называется длительностью финансового цикла. Под финансовым циклом принято понимать период, который начинается с момента оплаты поставщикам за материалы (погашения кредиторской задолженности) и заканчивается в момент получения денег от покупателей за отгруженную продукцию (погашение дебиторской задолженности).
Среднее значение длительности финансового цикла рассчитывается как сумма периода оборота (погашения) дебиторской задолженности и товарно-материальных запасов за вычетом периода оборота (выплаты) кредиторской задолженности. По сути данного финансового показателя получается, что чем выше значение финансового цикла, тем выше потребность предприятия в денежных средствах для приобретения производящих оборотных средств.
Показатели ликвидности
Показатели ликвидности призваны продемонстрировать степень платежеспособности компании по краткосрочным долгам. Смысл этих показателей состоит в сравнении величины текущих задолженностей предприятия и его оборотных средств, которые должны обеспечить погашение этих задолженностей.
Первой очевидной характеристикой такой возможности может служить разность между величиной оборотных средств и краткосрочных задолженностей, которая носит название “собственные оборотные средства”, или “рабочий капитал”. Если величина собственных оборотных средств положительна, то это означает принципиальную возможность погашение текущих задолженностей предприятия его оборотными средствами. “Собственными” эти оборотные средства названы потому, что их финансирование осуществляется с помощью долгосрочных источников и, следовательно, не требуется их быстрого использования для погашения задолженностей.
Наряду с показателем собственных оборотных средств для характеристики ликвидности часто используют относительные характеристики, которые основаны на отношении всей суммы оборотных средств или какой-либо ее части к величине суммарных краткосрочных задолженностей.
Коэффициент текущей ликвидности (иногда говорят “коэффициент покрытия”) представляет собой отношение текущих активов к текущим обязательствам:

Расчет оборачиваемости товарно-материальных запасов
.
Этот показатель делает попытку продемонстрировать защищенность держателей текущих долговых обязательств от опасности отказа от платежа. Предполагается, что чем выше этот коэффициент, тем лучше позиции ссудодателей. Представляется, что большее превышение текущих активов над текущими обязательствами поможет защитить претензии ссудодателей, если компания вынуждена будет распродать свои товарно-материальные запасы, и, если возникнут значительные проблемы с погашением дебиторской задолженности.
Кредиторы по краткосрочным обязательствам заинтересованы в большом значении этого показателя, поскольку товары, превращенные в деньги, являются основным источником покрытия краткосрочной задолженности. Кредиторы по долгосрочным обязательствам также заинтересованы в этом, так как неспособность заплатить краткосрочные долги может привести компанию к банкротству, и тогда существенно повышается вероятность непогашения долгосрочных обязательств.
С другой стороны высокий коэффициент текущей ликвидности может означать, что менеджмент работает недостаточно оперативно. Это может свидетельствовать о наличии неиспользуемых денежных средств, избыточных товарно-материальных запасах, превышающих текущие потребности, и о нерациональной кредитной политике, которая приводит к чрезмерному кредитованию и наличию безнадежных долгов.
Обычно считается, что для большинства предприятий коэффициент текущей ликвидности должен быть на уровне 2, поскольку стоимость текущих активов может сократиться даже на 50%, но, тем не менее, сохранится достаточный запас прочности для покрытия всех текущих обязательств. Слабость этого анализа состоит в том, что с его помощью оценивается главным образом статическое состояние предприятия и при этом предполагается, что предприятие находится на грани ликвидации.
Коэффициент быстрой ликвидности - это более жесткая оценка ликвидности предприятия, по-прежнему в статическом положении. Этот коэффициент рассчитывается с использованием только части текущих активов денежных средств, легко реализуемых ценных бумаг и дебиторской задолженности, которые сопоставляются с текущими обязательствами:

Расчет оборачиваемости товарно-материальных запасов
.
Основная концепция состоит в том, что этот показатель помогает оценить на сколько возможно будет погасить текущие обязательства если положение станет действительно критическим, при этом исходят из предположения, что товарно-материальные запасы вообще не имеют никакой ликвидационной стоимости.



Руководители среднего звена


Руководителями среднего звена считаются директора предприятий, генеральные директора всевозможных объединений и их заместители, начальники крупных цехов.
К руководящим работникам высшего звена обычно относятся руководители ФПГ, генеральные директора крупных объединений, руководители функциональных управлений министерств, ведомств и их заместители.
Каждая категория работников в своем составе предусматривает ряд профессий, которые в свою очередь представлены группами специальностей. Внутри специальности работников можно разделить по уровню квалификации.
Профессия это совокупность специальных теоретических знаний и практических навыков, необходимых для выполнения определенного вида работ в какой-либо отрасли производства.
Специальность деление внутри профессии, требующее дополнительных навыков и знаний для выполнения работы на конкретном участке производства.
Квалификация это совокупность знаний и практических навыков, позволяющих выполнять работы определенной сложности. По уровню квалификации рабочих можно разделить: на неквалифицированных, малоквалифицированных, квалифицированных и высококвалифицированных. Квалификация рабочих определяется разрядами.
Специалисты делятся по квалификационным категориям: специалист 1, 2, 3 категории и без категории.
Соотношение перечисленных категорий работников в общей их численности, выраженное в процентах, называется структурой кадров.
Структура кадров любого предприятия с течением времени меняется, и эти изменения обусловлены действием ряда факторов:

  • внедрением достижений научно-технического прогресса;
  • изменением размеров предприятия;
  • изменением в структуре выпускаемой продукции и др.
Подбор кадров для предприятия один из важнейших моментов его деятельности осуществляется на основе определенных принципов и методов. Для каждой должности решающим фактором является квалификация.
Потребность в кадрах планируется раздельно по группам и категориям работающих. При планировании численности персонала на предприятии различают явочный и списочный состав.
Явочный состав число работников, которые в течение суток фактически являются на работу. В списочный состав входят все постоянные и временные работники, в том числе находящиеся в командировках, отпусках, на военных сборах.
Явочное число работников рассчитывается, а списочное их число определяется путем корректировки явочного числа с помощью коэффициента, учитывающего планируемые неявки на работу.
На практике применяют два метода определения необходимой численности рабочих:
1) по трудоемкости производственной программы;
2) по нормам обслуживания.
Первый метод используют при определении численности рабочих, занятых на нормируемых работах, второй при определении численности рабочих, занятых на ненормируемых работах, в основном вспомогательных рабочих. Численность ИТР и служащих определяется по штатному расписанию.
Показатели динамики и состава персонала
Коллектив предприятия по численному составу, уровню квалификации не является постоянной величиной, он все время изменяется: увольняются одни работники, принимаются другие. Для анализа (отражения) изменения численности и состава персонала используются различные показатели.
Показатель среднесписочной численности работников (
Руководители среднего звена
) определяется по формуле:

Руководители среднего звена
,
где P1 , P2 , P3 … P11 , P12 численность работников по месяцам.
Коэффициент приема кадров (Кп) определяется отношением количества работников, принятых на предприятие за определенный период времени, к среднесписочной численности персонала за тот же период:
Кп=
Руководители среднего звена
100 ,
где Рп численность принятых работников, чел.;
Руководители среднего звена
среднесписочная численность персонала, чел.
Коэффициент выбытия кадров (Кв) определяется отношением количества работников, уволенных по всем причинам за данный период времени, к среднесписочной численности работников за тот же период:
Кв=
Руководители среднего звена
100 ,
где Рув численность уволенных работников, чел.;
Руководители среднего звена
среднесписочная численность персонала, чел.
Коэффициент стабильности кадров (Кс) рекомендуется использовать при оценке уровня организации управления производством как на предприятии в целом, так и в отдельных подразделениях:
Кс=1-
Руководители среднего звена
+Рн 100 , Кс=
Руководители среднего звена
100 ,
где
Руководители среднего звена
численность работников, уволившихся с предприятия по собственному желанию и из-за нарушения трудовой дисциплины за отчетный период, чел.;
Руководители среднего звена
среднесписочная численность работающих на данном предприятии в период, предшествующий отчетному, чел.: Pн численность вновь принятых за отчетный период работников, чел.
Коэффициент текучести кадров (КТ) определяется делением численности работников предприятия (цеха, участка), выбывших или уволенных за данный период времени, на среднесписочную численность за тот же период:
КТ=
Руководители среднего звена
100 ,
где Рув численность выбывших или уволенных работников, чел.;
Руководители среднего звена
среднесписочная численность персонала, чел.






Система плановых нормативов и показателей


плановый фонд рабочего времени одного станка;
количество машин;
производительность оборудования;
трудоемкость производственной программы;
достигнутый процент выполнения норм выработки.
Раскроем алгоритм определения фонда времени работы оборудования.
Различают календарный (Фк), режимный (Фр) и плановый фонды времени (Фп)
Фк = Дк
Система плановых нормативов и показателей
24,
где Дк количество календарных дней в году. При непрерывном процессе производства.
Плановый фонд времени рассчитывается исходя из режимного с учетом остановок на ремонт (а, %):
Фп = Фр
Система плановых нормативов и показателей
(1 а / 100),
при прерывном процессе производства:
Фр = Др
Система плановых нормативов и показателей
Тс
Система плановых нормативов и показателей
С,
где Др количество рабочих дней в году, Тс средняя продолжительность рабочей смены с учетом режима работы предприятия и сокращения рабочего дня в предпраздничные дни, С количество смен.
Плановый фонд времени при прерывном процессе производства равен режимному, если ремонты выполняются в выходные и праздничные дни:
Фп = Фр .
В том случае, когда технологическое оборудование используется для выпуска промышленной продукции одного наименования (например, производство электрической энергии на ГЭС), производственная мощность рассчитывается путем умножения количества оборудования на его производительность и плановый фонд рабочего времени. В многономенклатурном производстве расчеты различаются в зависимости от специфики технологии производства. Наибольшую сложность представляют расчеты производственной мощности на машиностроительном заводе.
Далее расчет производственной мощности производится на примере тракторного завода, начиная с агрегата, цеха, участка и заканчивая предприятием.
Рассчитаем производственную мощность агрегата (ПМа). Она зависит от планового фонда времени в течение года (Фп) и его производительности в единицу времени (W):
ПМа = Фп
Система плановых нормативов и показателей
W.
Например, в термическом цехе тракторного завода установлены специальные агрегаты. За час термообработку проходит 500 кг деталей; Фп при двухсменном режиме работы 4 000 часов.
ПМа = 4 000
Система плановых нормативов и показателей
500 = 2 000 000.
На один трактор требуется 70 деталей, вес которых 100 кг. Следовательно, один агрегат обеспечивает термообработку комплекта деталей на 20 000 тракторов (2 000 000 / 100).
Производственная мощность агрегата непрерывного действия в литейном производстве рассчитывается следующим образом:
ПМа =
Система плановых нормативов и показателей
Система плановых нормативов и показателей
B
Система плановых нормативов и показателей
Kг,
где Дц длительность цикла плавки;
В объем завалки на одну плавку;
Кг коэффициент выхода годного литья.
Например, в чугунолитейном цехе установлены вагранки объемом завалки 5 т, время плавки. 2 ч, коэффициент выхода годного литья 0,6. Номенклатура цеха 6 наименований изделий, вес на комплект трактора 400 кг:
ПМа = (4000/2
Система плановых нормативов и показателей
5
Система плановых нормативов и показателей
0,6) /0,4 = 15 000 (тракторов).
Производственная мощность поточной линии сборки тракторов рассчитывается исходя из такта поточной линии (t):
ПМа = Фп / t.
Например, такт поточной линии 2,66 мин, тогда ПМа = 4 000
Система плановых нормативов и показателей
60 / 2,66 = 90 000 (тракторов).


5.3. Система плановых нормативов и показателей: Принципы и методы планирования, виды планирования

Планирование и прогнозирование являются важнейшими составными частями управления предприятием. Они позволяют:
предвидеть перспективу развития предприятия на будущее;
более рационально использовать все ресурсы предприятия;
избежать риска банкротства;
более целеустремленно и эффективно проводить научно-техническую политику на предприятии;
своевременно обновлять и модернизировать выпускаемую продукцию и повышать ее качество в соответствии с конъюнктурой рынка;
повышать эффективность производства и улучшать финансовое состояние предприятия.
Но для того чтобы прогнозирование и планирование могли выполнять эти функции, они должны быть построены на научных принципах и методах.
Под принципами планирования понимаются основные теоретические положения, которыми следует руководствоваться в процессе планирования на предприятии.
К основным принципам планирования относятся:
непрерывность планирования. Этот принцип означает, что на предприятии должны разрабатываться долгосрочные, среднесрочные и краткосрочные (годовые) планы. Среднесрочные и долгосрочные планы должны систематически пересматриваться и корректироваться с учетом изменившихся обстоятельств, а годовые планы должны вытекать из среднесрочных планов. Этим достигается непрерывность планирования на предприятии;
научность. Этот принцип означает, что планирование должно осуществляться на научной основе, т.е. на достоверной информации и научно проверенных методах. Кроме того, этот принцип означает, что в планах должны использоваться самые последние достижения в науке и технике, а также передовые методы работы отдельных предприятий, появившиеся в мировом сообществе государств;
нацеленность планов на рациональное использование всех ресурсов предприятия, на повышение эффективности производства и на достижение максимальной прибыли;
принцип ведущих звеньев и приоритетность их реализации. Это означает, что на предприятии всегда необходимо выбирать ведущие звенья, от реализации которых зависит успех дела, и стремиться их реализовать в первую очередь. Выбор ведущих звеньев должен основываться на глубоком анализе состояния дел на предприятии, и это под силу только настоящим менеджерам;
принцип взаимной увязки и координации. Планирование должно охватывать все производственные подразделения предприятия с целью обеспечения сбалансированности в работе между ними.
В отечественной практике применяются различные методы планирования на предприятии:
балансовый метод, наиболее широко используется при планировании на народнохозяйственном уровне. Он применяется и на уровне предприятия. При использовании этого метода составляются следующие виды балансов:
материальные (балансы топлива, электроэнергии, оборудования, строительных материалов и т.д.);
трудовые (баланс рабочей силы);
финансовые (баланс денежных доходов и расходов, бухгалтерский баланс, кассовый план и др.);
нормативный метод, сущность его заключается в том, что при планировании применяется целая система норм и нормативов использования ресурсов предприятия (нормы расхода сырья и материалов, нормы выработки и обслуживания, трудоемкость, нормы численности, нормативы использования машин и оборудования, нормативы организации производственного процесса, длительность производственного цикла, запасы сырья, материалов и топлива, незавершенного производства).
Этот метод может успешно применяться только, если используется прогрессивная нормативная база, т.е. когда нормы и нормативы пересмотрены с учетом планируемых мероприятии по внедрению новой техники и технологии а также совершенствованию организации производства и труда;
программно-целевой метод, в основном используется при планировании НТП, так как он позволяет:
сосредоточить и направить ресурсы предприятия на выполнение важнейших научно-технических программ;
обеспечить сквозное планирование от идеи до внедрения в производство;
увязать реализацию научно-технических программ с планом экономического и социального развития предприятия;
метод планирования по технико-экономическим факторам, применяется в основном при планировании издержек производства и реализации продукции, производственной программы и других разделов плана экономического и социального развития предприятия.
При этом методе планирования учитываются следующие факторы:
технические (внедрение новой техники и технологии, новых материалов, реконструкция и техническое перевооружение предприятия и др.);
совершенствование организации производства и труда;
изменение объема производства, номенклатуры и ассортимента выпускаемой продукции; инфляция;
особые факторы, связанные со спецификой предприятия и производства.
Этот метод применяется при разработке производственной программы, плана по труду и кадрам, планов по издержкам производства и реализации продукции.
Графические методы планирования могут иметь различные формы, например, в виде сетевого и линейного графика. Сетевой метод применяется при планировании подготовки производства новой продукции. При линейном методе строится график в осях координат XY, где X время работы, Y вид работы.
Как правило, при планировании на предприятии используется не один метод из вышеперечисленных, а весь их комплекс.
Оптимальность планов достигается разработкой альтернативных вариантов решения производственно-технических задач. Тот путь реализации идеи, который обеспечивает наилучшее сочетание затрат и результатов (прибыли на вложенный капитал), является оптимальным.
Стабильность плана необходимый атрибут стабильно! та предприятия. Непредсказуемое развитие событий чревато потерей финансовой устойчивости и банкротством.
Органическое единство планов предприятия и его производственных подразделений достигается двумя путями. Первый директивное жесткое планирование заданий сверху вниз: от директора предприятия к цехам и отделам. Второй индикативное планирование: рекомендации руководства фирмы по отдельным наиболее важным показателям работы внутрифирменных структур. Само же планирование осуществляется снизу вверх. В обоих случаях обеспечивается единство планов подразделений и предприятия в целом.
Первый вариант чаще используется в массовом производстве при наличии государственного заказа или долгосрочного контракта на поставку продукции.



Соответствие проекта стратегии НИОКР


3. Научно-технические критерии (для проектов НИОКР)
Вероятность технического успеха.
Патентная чистота (не нарушено ли патентное право кого-либо из патентодержателей).
Уникальность продукции (отсутствие аналогов).
Наличие научно-технических ресурсов, необходимых для осуществления проекта.
Соответствие проекта стратегии НИОКР в организации.
Стоимость и время разработки.
Возможные будущие разработки продукта и будущие применения новой генерируемой технологии.
Воздействие на другие проекты.
Патентоспособность (возможна ли защита проекта патентом)
Потребности в услугах консультативных фирм или размещении внешних заказов на НИОКР.
4. Производственные критерии Необходимость технологических нововведений для осуществления проекта.
Соответствие проекта имеющимся производственным мощностям (будет ли поддерживаться высокий уровень использования имеющихся в наличии производственных мощностей или с принятием проекта резко возрастут накладные расходы).
Наличие производственного персонала (по численности и квалификации).
Величина издержек производства. Сравнение ее с величиной издержек у конкурентов.
Потребность в дополнительных производственных мощностях (дополнительном оборудовании).
5. Внешние и экологические критерии.
Возможное вредное воздействие продуктов и производственных процессов.
Правовое обеспечение проекта, его непротиворечивость законодательству.
Возможное влияние перспективного законодательства на проект.
Возможная реакция общественного мнения на осуществление проекта.

При выборе проекта, оценке его эффективности следует учитывать факторы неопределенности и риска. Полномасштабное изучение этого вопроса выходит за рамки данного учебного пособия, поэтому остановимся на них лишь вкратце.
Под неопределенностью понимается неполнота или неточность информации об условиях реализации проекта, в том числе сопутствующих затратах и результатах. Неопределенность, связанная с возможностью возникновения в ходе реализации проекта неблагоприятных ситуаций и последствий, характеризуется понятием риска.
При оценке проектов наиболее существенными представляются следующие виды неопределенности и инвестиционных рисков.
Риск, связанный с нестабильностью экономического законодательства и текущей экономической ситуации, условий инвестирования и использования прибыли
Внешнеэкономический риск (возможность введения ограничений на торговлю и поставки, закрытия границ и тому подобное)
Неопределенность политической ситуации, риск неблагоприятных социально-политических изменений в стране или регионе
Неполнота или неточность информации о динамике технико-экономических показателей, параметрах новой техники и технологии
Колебания рыночной конъюнктуры, цен, валютных курсов и тому подобное,
Неопределенность природно-климатических условий, возможность стихийных бедствий
Производственно-технологический риск (аварии и отказы оборудования, производственный брак и тому подобное)
Неопределенность целей, интересов и поведения участников
Неполнота или неточность информации о финансовом положении и деловой ситуации предприятий-участников (возможность неплатежей, банкротств, срывов договорных обязательств).

Наиболее точным является метод формализованного описания неопределенности. Применительно к видам неопределенности, наиболее часто встречающимся при оценке инвестиционных проектов, этот метод включает следующие этапы:
описание всего множества возможных условий реализации проекта (либо в форме соответствующих сценариев, либо в виде системы ограничений на значения основных технических, экономических и тому подобное параметров проекта) и отвечающих этим условиям затрат (включая возможные санкции и затраты, связанные со страхованием и резервированием), результатов и показателей эффективности;
преобразование исходной информации о факторах неопределенности в информацию о вероятностях отдельных условий реализации и соответствующих показателях эффективности или об интервалах их изменения;
определение показателей эффективности проекта в целом с учетом неопределенности условий его реализации - показателей ожидаемой эффективности.
В соответствии с теорией рыночной экономики деятельность субъектов хозяйствования основана на свободе выбора сферы вложения капитала, а функции государства сводятся к выработке правил экономического поведения предприятия. Отсюда вытекает необходимость двух подходов к оценке эффективности инновации: с точки зрения первичного звена экономики (локальные критерии) и с позиции государства (народнохозяйственные количественные и качественные характеристики результативности инновационной деятельности). Можно выделить несколько аспектов оценки эффективности инноваций на предприятии: научно-технический, экономический, социальный и экологический. В свою очередь, экономическая эффективность исходя из объекта инноваций рассматривается на двух уровнях:
инновационная деятельность предприятия за конкретный период (месяц, год, с момента создания);
конкретный инновационный проект.
Инновационная деятельность предприятия неотделима oт хозяйственной деятельности и является его конкурентным преимуществом. По этой причине экономическую эффективность инноваций на предприятии за определенный период можно отождествлять с экономической эффективностью предприятия.
Если инновационный проект рассматривается как основная идея инвестиций с длительным сроком реализации и значительной суммой финансирования, то обоснование его экономической эффективности проводится в соответствии с методологией дисконтирования денежных потоков.
Кроме крупномасштабных инновационных проектов выделяют мелкие, которые относятся к псевдоинновации. Они необходимы и дают значительные результаты с точки зрения технической, организационной и экономической рационализации существующей хозяйственной практики. Целесообразность рационализации и модернизации проверяется при оценке экономической эффективности.
Источниками финансирования инноваций на предприятии являются собственные (новая эмиссия акций, прибыль, амортизация и себестоимость продукции) и заемные средства (кредиты, лизинг, прочие ресурсы, привлеченные на возвратной и безвозвратной основе).
По некоторым инновациям, дающим относительное снижение издержек предприятия и реальное увеличение текущих и капитальных затрат, рассчитывается только стоимость инноваций (по плану и фактически). Относительное снижение себестоимости, не затрагивающее уменьшения норм расхода и не отражающееся в бухгалтерском учете, не сопровождается реальным приростом прибыли или снижением себестоимости. Например, для уменьшения простудных заболеваний по причине сквозняков в цехе необходимо установить специальные самозакрывающиеся и уплотняющиеся двери. Подобная рационализация финансируется за счет амортизационных отчислений зданий и увеличивает их остаточную стоимость.
Результат улучшение условий труда, не поддающееся прямому расчету экономии в стоимостном выражении.
Те инновации, которые приносят реальное снижение норм текущих затрат или прирост прибыли за счет увеличения объема продаж, нуждаются в экономическом обосновании их целесообразности.
А. Основные положения определения экономической эффективности инноваций за счет снижения (увеличения) себестоимости продукции.
I. Изменение себестоимости продукции
1. Экономия (увеличение) материальных затрат (Эм):
Эм = (Норма расхода1 Норма расхода2)
Соответствие проекта стратегии НИОКР
Цена материала
Соответствие проекта стратегии НИОКР
Количество продукции за год
2. Экономия (увеличение) покупных изделий и полуфабрикатов для комплектации сложного изделия (Эк):
Эк = (Стоимость комплектации1 Стоимость комплектации2)
Соответствие проекта стратегии НИОКР
Количество продукции за год
3. Экономия (увеличение) заработной платы (Э3):
Э3 = (Расценка на изделие1 Расценка на изделие2)
Соответствие проекта стратегии НИОКР
Количество продукции за год
Соответствие проекта стратегии НИОКР
Коэффициент премии и дополнительной заработной платы
Э3 = Сокращение (увеличение) численности персонала
Соответствие проекта стратегии НИОКР
Годовая оплата труда
4. Уменьшение (увеличение) отчислений на социальные нужды (Э0):
Э0 = Э3
Соответствие проекта стратегии НИОКР
Ставка платежей
5. Экономия (увеличение) амортизационных отчислений (Эа).
6. Прочая экономия (перерасход) (Эп).
Итого экономия от снижения себестоимости продукции за год (увеличение себестоимости) Эг:
Эг =
Соответствие проекта стратегии НИОКР
Эм
Соответствие проекта стратегии НИОКР
Эк
Соответствие проекта стратегии НИОКР
Э3
Соответствие проекта стратегии НИОКР
Э0
Соответствие проекта стратегии НИОКР
Эа
Соответствие проекта стратегии НИОКР
Эп
Итого экономия от снижения себестоимости продукции до конца года (увеличение себестоимости) Эд:
Эд = Эг
Соответствие проекта стратегии НИОКР
М/12 ,
где М количество месяцев действия инновации с момента внедрения до конца года.
II. Стоимость капитальных затрат, необходимых для осуществления инноваций (К)
К = Стоимость недвижимости + Стоимость прироста оборотных средств
III. Простой срок окупаемости капитальных вложений (Т)
Т = Стоимость капитальных затрат / Годовая экономия от снижения себестоимости товара
Пример расчета по данной методике:
Пусть для модернизации металлорежущего оборудования необходимо 80 тыс. руб. В результате инновации снизится норма расхода материалов на изделие с 0,46 до 0,41 кг и норма времени с 16 до 10 мин. Годовая производственная программа 100 тыс. шт.
Стоимость 1 т металла 2,1 тыс. руб. Часовая тарифная ставка рабочего по данной технологической операции 7,5 руб.; дополнительная заработная плата 10 %, премия 30 %.



Современное предприятие как целостный организм


Полномочия руководителя проекта могут варьироваться от полной власти над всеми деталями проекта до простых канцелярских полномочий. Руководитель проекта контролирует работу всех отделов над данным проектом, руководители функциональных отделов работу своего отдела (и его подразделений) над всеми проектами.
Матричная структура представляет собой попытку использовать преимущества как функционального, так и проектного принципа построения организации и по возможности избежать их недостатков.


Современное предприятие как целостный организм


4.1.7. Матричная структура управления

Преимущества и недостатки. Матричная структура управления позволяет достичь определенной гибкости, которая никогда не присутствует в функциональных структурах, поскольку в них все сотрудники закреплены за определенными функциональными отделами. В матричных структурах можно гибко перераспределять кадры в зависимости от конкретных потребностей каждого проекта. Матричная организация дает большую возможность координации работ, характерную для дивизиональных структур.
Это достигается за счет создания должности руководителя проекта, который координирует все связи между участниками проекта, работающими в различных функциональных отделах.
Среди недостатков матричной организации обычно подчеркивается сложность, а иногда и непонятность ее структуры, наложение вертикальных и горизонтальных полномочий подрывает принцип единоначалия, что часто приводит к конфликтам и к трудностям в принятии решений. При использовании матричной структуры наблюдается более сильная, чем в традиционных структурах, зависимость успеха от личных взаимоотношений между сотрудниками.
Несмотря на все эти сложности, матричная организация используется во многих отраслях промышленности, особенно в наукоемких производствах (например, в производстве электронной техники), а также и в некоторых организациях непроизводственной сферы.
Принципы построения организационной структуры управления
Многосторонность содержания структур управления предопределяет множественность принципов их формирования. Прежде всего, структура должна отражать цели и задачи организации, а следовательно, быть подчиненной производству и меняться вместе с происходящими в нем изменениями. Она должна отражать функциональное разделение труда и объем полномочий работников управления; последние определяются политикой, процедурами, правилами и должностными инструкциями и расширяются, как правило, в направлении более высоких уровней управления.
В качестве примера можно привести типовую схему управления предприятием.
Полномочия руководителя любого уровня ограничиваются не только внутренними факторами, но и факторами внешней среды, уровнем культуры и ценностными ориентациями общества, принятыми в нем традициями и нормами. Другими словами, структура управления должна соответствовать социально-культурной среде, и при ее построении надо учитывать условия, в которых ей предстоит функционировать. Практически это означает, что попытки слепо копировать структуры управления, действующие успешно в других организациях, обречены на провал, если условия работы различны.
Немаловажное значение имеет также реализация принципа соответствия между функциями и полномочиями, с одной стороны, и квалификацией и уровнем культуры с другой.
Любую перестройку структуры управления необходимо оценивать прежде всего с точки зрения достижения поставленных перед ней целей. В условиях нормально развивающейся (не кризисной) экономики реорганизация направлена чаще всего на то, чтобы путем совершенствования системы управления повысить эффективность работы организации, при этом главными факторами улучшения являются рост производительности труда, ускорение технического развития, кооперация в принятии и реализации управленческих решений и т.д. В кризисный период изменения в структурах управления направлены на создание условий для выживания организации за счет более рационального использования ресурсов, снижения затрат и более гибкого приспособления к требованиям внешней среды.
В целом рациональная организационная структура управления предприятием должна отвечать следующим требованиям:

  • обладать функциональной пригодностью, гарантировать надежность и обеспечивать управление на всех уровнях;
  • быть оперативной, не отставать от хода производственного процесса;
  • иметь минимальное количество уровней управления и рациональные связи между органами управления;
  • быть экономичной, минимизировать затраты на выполнение управленческих функций;



4.2.Реструктуризация предприятий


Современное предприятие как целостный организм это:
организационно-правовая структура;
имущественный комплекс;
производственный комплекс;
структурированный финансовый объект;
социально-организационный комплекс.
В условиях переходной экономики неэффективность функционирования организаций порождается неотработанностью механизма государственного регулирования и низким уровнем менеджмента организации.
Понятие «реструктуризация» как процесс комплексного изменения методов и условий функционирования организации появился относительно недавно. Однако и в эпоху административно-плановой экономики процессы реформирования, реорганизации, изменения методов функционирования, как отдельных организаций, так и целых отраслей народного хозяйства постоянно использовались.
В специальной литературе нет единого толкования данных терминов, но процессы изменений в организациях в порядке их усложнения рассматриваются в следующем порядке: реорганизация реформирование реструктуризация.
В узком смысле под реорганизацией понимается преобразование, переустройство организационной структуры и управления предприятием при сохранении основных средств, производственного потенциала предприятия.
Законодательство регистрирует процессы и процедуры реорганизации предприятий и организаций. Так, согласно Гражданскому кодексу Российской Федерации реорганизацией называется перестройка, переустройство юридического лица (лиц), которая означает прекращение деятельности конкретного юридического лица без ликвидации дел и имущества с последующей государственной регистрацией нового юридического лица.
Реорганизация предприятия проводится в следующих случаях:
при признании предприятия банкротом, а структуры его баланса неудовлетворительной. Реорганизационные процедуры при банкротстве включают внешнее управление имуществом должника и санкцию;
с целью повышения эффективности работоспособного (платежеспособного) предприятия. Реорганизационные процедуры проводятся по инициативе юридических лиц;
принудительно по решению федеральных антимонопольных органов в случае, когда коммерческие и некоммерческие организации, осуществляющие предпринимательскую деятельность, занимают доминирующее положение и совершили два и более нарушений антимонопольного законодательства.
В соответствии с законодательством реорганизация юридического лица может быть осуществлена по решению его учредителей (участников) либо органа юридического лица, уполномоченного на то учредительными документами.
Формами реорганизации согласно ГК РФ являются: слияние, присоединение, разделение, выделение, преобразование. ГК РФ и законом РФ «Об акционерных обществах» предусмотрено обеспечение нрав кредиторов в случае реорганизации юридического лица.
Необходимыми этапами реорганизации являются оформление передаточных актов и разделительных балансов. Передаточный акт и разделительный баланс должны содержать положения о правопреемстве по всем обязательствам реорганизованного юридического лица в отношении всех его кредиторов и должников, включая и обязательства, оспариваемые сторонами.
Решение о реорганизации предприятия и конкретная программа мероприятий принимаются собственником предприятия (для государственных унитарных предприятий уполномоченным органом исполнительной власти, для иных коммерческих организаций общим собранием их участников или учредителей).
Реорганизация предприятия предполагает проведение комплекса мероприятий, причем условия и порядок выполнения некоторых из них определены действующим законодательством и иными нормативными правовыми актами. Остальные мероприятия носят индивидуальный для данного предприятии характер, и необходимость их реализации определяется лицами, принимающими решение о реорганизации предприятия, с учетом особенности его функционирования, уровня развития и соответствия современным требованиям тех или иных компонентов менеджмента.
Под реформированием традиционно понимают изменение принципов действия предприятии, способствующее улучшению управления повышению эффективности производства и конкурентоспособности выпускаемой продукции, производительности труда, снижению издержек производства, улучшению финансово-экономических результатов деятельности.
На государственном уровне разработаны Концепция реформирования предприятий и иных коммерческих организаций и ряд методических документов, включая Типовую программу реформы предприятия. Под реформой предприятий понимается, во-первых, изменение принципов их действия, направленное на их реструктуризацию, способствующую улучшению управления, повышению эффективности производства и конкурентоспособности выпускаемой продукции, производительности труда, снижения издержек производства, улучшению финансово-экономических результатов деятельности, а во-вторых, меры государственной поддержки указанных изменений.



Существуют 4 основных типа рыночных структур.


И все же в капиталистическом мире монополизация нигде не подавляет конкуренцию настолько, чтобы «естественный отбор» прекратился. В повседневной жизни мы все чаще сталкиваемся со словами «конкуренция», «конкурентная борьба», «конкурентный рынок». Первое относится к способам поведения отдельных фирм на рынке, второе к рыночным структурам и охватывает все аспекты рынка любого товара (такие, как количество фирм, технология производства, типы продаваемых товаров и т.д.), которые влияют на поведение и деятельность фирм. Конкурентность рынка определяется теми пределами, в рамках которых отдельные фирмы способны воздействовать на рынок, т.е. оказывать влияние на условия реализации своей продукции, прежде всего на цену. Чем меньше отдельные фирмы оказывают влияние на рынок, где они реализуют свою продукцию, тем более конкурентным становится рынок. Наивысшая степень конкурентности рынка достигается тогда, когда отдельная фирма не оказывает подобного влияния.
Существуют четыре основных типа рыночных структур. Первая из них носит название совершенной чистой конкуренции, вторая несовершенная конкуренция, третья олигополия, четвертая - чистая монополия. Характерные черты четырех основных структур рынка приведены в таблице 3.1.1.


Таблица 3.1.1


Характерные черты четырех основных структур рынка


Структурная характеристика
Совершенная конкуренция
Несовершенная конкуренция
Монополистическая конкуренция
Олигополия
Монополия
Число продавцов
Много
Много
Мало
Один
Барьеры вхождения
Нет
Нет
Обычно есть
Да (нет вхождения)
Дифференциация продукции
Нет
Есть
Возможна
Нет (один продукт)
Примеры
Сельское хозяйство, рынок акций, находящихся с собственности частных лиц
Рестораны, аптеки
Автомобили, готовые завтраки из круп
Алмазы, моментальная фотография



Совершенная конкуренция
Совершенно конкурентный рынок состоит из многих продавцов, ни один из которых не оказывает никакого влияния на цену, по которой он поставляет продукцию. Совершенно конкурентная фирма принимает цену на свою продукцию как данную, не зависящую от продаваемого объема продукции.
Это определение означает, что совершенно конкурентная фирма сталкивается с кривой спроса, которая показана на 3.1.1.

Существуют 4 основных типа рыночных структур.

Рисунок 3.1.1. Кривая спроса совершенно конкурентной фирмы

Фирма может продавать любое количество продукции, которое она может произвести, по существующем рыночной цене P0 или по любой более низкой цене. Но при любой цене, превышающей Р0 объем спроса равен нулю. Совершенно конкурентная фирма теряет всех своих клиентов, если она пытается поднять цену.
При такой кривой спроса фирма, естественно, принимает P0 как данную и не зависящую от количества продукции, которое она решает продавать.
Для возникновения совершенной конкуренции необходимы пять условий. Все продавцы на рынке будут совершенными конкурентами, если:
каждый из них мал относительно рынка в целом;
продукция является однородной;
покупатели хорошо информированы о ценах продавцов;
продавцы действуют независимо друг от друга;
фирмы могут свободно выходить из отрасли и входить в отрасль.
Первое из этих условий гарантирует, что ни одна из фирм не может оказывать заметного влияния на совокупный объем предложения. Это условие четко выполняется на рынках сельскохозяйственных продуктов. Второе условие, согласно которому продукт должен быть однородным, гарантирует, что потребителям будет безразлично у какого продавца покупать товар.
Если продукты однородны и если выполняется третье условие, согласно которому покупатели осведомлены обо всех ценах продавцов, то любой продавец, повышающий цену, растеряет всех своих клиентов. До тех пор пока покупатели хорошо информированы о ценах, ни одна фирма не может запросить больше, чем запрашивают другие. Следующее условие требует, чтобы все фирмы в отрасли действовали независимо. Совершенно конкурентные продавцы не объединяются для установления соглашения о цене, которую они все назначат, или о совокупном объеме предложения. Конечно, каждая фирма заботится о своем собственном бизнесе, пытаясь выбрать подходящий объем выпуска (максимизирующий ее прибыли) в предположении, что она не может влиять на цену.
Последнее, пятое условие, согласно которому фирмы могут свободно входить в отрасль и выходить из нее, гарантирует, что любая фирма, использующая лучший способ производства, может войти в отрасль и что убыточные фирмы могут по своему желанию выйти из отрасли. Свободные вход и выход помогают гарантировать то, что существующие в отрасли фирмы не могут повышать цену посредством соглашения о сокращении выпуска, поскольку любое повышение цены, вероятно, способствует вхождению новых фирм, которые увеличат объем предложения.
Когда выполняются эти пять условий, сфера предложения рынка является совершенно конкурентной. И лишь немного больше требуется для того, чтобы был совершенно конкурентным рынок в целом
Рынок является совершенно конкурентным, если все продавцы в отрасли совершенные конкуренты и имеется много покупателей, каждый из которых хорошо информирован о ценах продавцов и которые малы относительно рынка в целом и действуют независимо.
Однако на несовершенно конкурентных рынках индивидуальные продавцы могут влиять на цену, которую они получают за свою продукцию. На 3.1.2 показана кривая спроса, с которой сталкивается несовершенный конкурент.

Существуют 4 основных типа рыночных структур.

3.1.2. Кривая спроса, с которой сталкивается несовершенный конкурент

Самым крайним случаем несовершенной конкуренции является монополия, т.е. рынок с единственным продавцом и исключающий возможность вхождения в него других. В реальной жизни монополия - это всегда вопрос власти над рынком. Можно было бы утверждать, что каждый бакалейный магазин является монополистом, поскольку не существует даже двух магазинов с абсолютно одинаковым ассортиментом продуктов. Однако такой подход к рассмотрению бакалейного бизнеса, как правило, оказывается непригодным, так как цены, назначенные одним магазином, влияют на спрос, с которым сталкиваются другие расположенные поблизости магазины.
Истинный же монополист не имеет таких идентифицируемых соперников.
Поскольку монополист является единственным поставщиком некоего товара или вида услуг, цена, которую он получает за свою продукцию, определяется рыночной кривой спроса на его продукцию.
Продавец обладает монопольной властью (или властью над рынком), если он может повышать цену на свою продукцию путем ограничения своего собственного объема выпуска.
В таблице 3.1.1 показано также другое важное различие между совершенной конкуренцией и монополией. В условиях совершенной конкуренции не существует никаких препятствий к вхождению в рынок новых производителей. На монопольных рынках существуют барьеры вхождения, которые делают невозможным проникновение на рынок любого нового продавца.
В силу этого монополия может иметь значительный приток прибыли.
Монополистическая конкуренция
Монополистической конкуренции свойственны черты как монополии, так и совершенной конкуренции. Как и в условиях монополии, каждая фирма производит продукцию, которую покупатели полагают отличной от продукции всех других продавцов. Однако здесь имеет место и конкуренция, поскольку множество других продавцов предлагают близкие, хотя и не полностью взаимозаменяемые, продукты.
По существу монополистическая конкуренция это совершенная конкуренция плюс дифференциация продукции.
Рынок характеризуется дифференциацией продукции тогда, когда покупатели рассматривают продукты конкурирующих продавцов как близкие, но не полностью взаимозаменяемые.
Дифференциация продукции дает каждому монополистическому конкуренту некоторую власть над рынком, так как каждый конкурент может слегка повышать цену, не теряя при этом всех своих традиционных покупателей. Продавцы на таком рынке должны четко решать, какие из продуктов производить, и они могут прийти к заключению о выгодности рекламы. Возможность дифференциации продукции ставит также новые и трудные проблемы эффективности.
Является ли оптимальным ассортимент производимых в условиях монополистической конкуренции продуктов? Являются ли оптимальными с общественной точки зрения расходы продавцов на рекламу?
В условиях монополистической конкуренции, как и в условиях совершенной конкуренции, не существует барьеров для вхождения в рынок новых фирм. Открыть новый ресторан, бензоколонку или аптеку в большинстве крупных городов не составляет труда. Но поскольку барьеры вхождения отсутствуют, фирмы в монополистически конкурентных отраслях не рассчитывают на получение значительной прибыли в долгосрочном периоде.
Олигополия
Олигополия подразумевает наличие нескольких продавцов. Олигополистический рынок это такой рынок, на котором большая часть выпускаемой продукции производится горсткой крупных фирм, каждая из которых достаточно велика для того, чтобы оказывать влияние на весь рынок своими собственными действиями. Например, автомобильная и сталелитейная промышленности являются олигополиями.
Отдельные олигополисты могут сами влиять на цену, как и при монополии, но цена определяется действиями, предпринимаемыми всеми продавцами, как и при совершенной конкуренции.



Учет и снижение инвестиционных рисков


Инвестиционный проект может быть представлен в виде технико-экономического обоснования или бизнес-плана. Технико-экономическое обоснование (ТЭО) инвестиционного проекта это исследование технических, экономических, экологических и финансовых возможностей осуществления инвестиций с заданной рентабельностью. ТЭО включает геологические
исследования, технические проекты зданий и сооружений, техническую подготовку производства, экологические исследования влияния на окружающую природную среду, маркетинговые исследования, расчет финансово-экономических показателей.
Бизнес-план инвестиционного проекта это стандартная форма представления инвестиций, общепринятая для всех развитых стран.
Методы планирования и критерии оценки эффективности инвестиционных проектов это экономический язык делового общения, обеспечивающий взаимопонимание собственников, предпринимателей, инвесторов, банкиров, служащих государственных учреждений и международных финансовых организаций. Для крупных инвестиционных проектов ТЭО и бизнес-план отличаются степенью детализации исследований и набором сопроводительных документов. Для небольших инвестиций ТЭО и бизнес-план можно отождествлять.
Далее эти понятия используются как тождественные.
Анализ эффективности инвестиционных проектов состоит из трех частей: общеэкономический, технико-экономический и финансовый.
Общеэкономический анализ представляет собой описание благоприятной или неблагоприятной экономической ситуации и критериев народнохозяйственной значимости инвестиций. Основные критерии целесообразности инвестиций в социально-рыночной экономике насыщение национального рынка товарами и услугами (формирование конкурентной среды); создание рабочих мест и удовлетворение потребительского спроса населения; поступление налогов в государственный и местный бюджеты.
Технико-экономический анализ касается технической части проекта с доказательством экономических преимуществ того или иного технического решения.
Финансовый анализ инвестиций построен на исследовании денежных потоков капитальной и текущей стоимости. Капитальная стоимость рассчитывается в проекте баланса инвестиций (активы и пассивы). Текущая стоимость это выручка от реализации товаров (услуг), себестоимость и налоги. Потоки наличности и финансовый анализ отражаются в финансовой части бизнес-плана инвестиционного проекта


6.7. Учет и снижение инвестиционных рисков

В официальных «Методических рекомендациях по оценке эффективности инвестиционных проектов» риск трактуется как возможность негативных отклонений и ориентирует на использование не средних, а умеренно пессимистических оценок показателей при формировании базисного сценария реализации проекта. Или риск возможность любых (позитивных или негативных) отклонений показателей от предусмотренных проектом их средних значений. Риск это вероятность возникновения потерь, убытков, недопоступлений планируемых доходов, прибыли.
Потери могут быть материальными, финансовыми, трудовыми, временными и др.
На наш взгляд, приведенные определения не в полной мере отвечают условиям дефицитности ресурсов, нестабильности среды и необходимости развиваться. Почему следует исключать ситуацию, когда, рискуя,: опираясь на положительный баланс факторов риска, мы получим прибыль. Эффект риска можно сравнить с аффектом синергии, когда при благоприятном однонаправленном воздействии большинства факторов мы получаем дополнительный рисковый или синергический эффект.
Другими словами, риск может принести как доход, так и убыток.
Таким образом, риск вероятность достижения положительного или отрицательного проектного результата в зависимости от действий внешних и внутренних факторов, определяющих степень неопределенности объекта и субъекта риска или процесса по их функционированию.
Управление риском процесс изучения параметров объекта и субъекта риска, внешних и внутренних факторов, влияющих на объект и поведение субъекта риска, его оптимизации, планирования, учета и контроля, мотивации и регулирования выполнения работ по управлению риском.
Объект риска то, на что направлено воздействие субъекта при принятии решения (инвестиции, проект, система и т. п.).
Субъект риска физическое или юридическое лицо, занимающееся выполнением функций управления риском.
Внешние факторы экономические, политические, техногенные, информационные, социально-демографические, природно-климатические и другие факторы макросреды страны, данного региона и города, в котором находятся субъект и объект риска.
Внутренние факторы риска конкурентоспособность ближайшего окружения субъекта и объекта риска: персонала, технологий, организационно-технического уровня производства, системы менеджмента и др.
Вероятность риска степень воздействия источника риска (события), измеряемая в пределах от 0 до 1.
Уровень риска отношение величины ущерба (прибыли) к затратам на подготовку и реализацию риск-решений; изменяется по величине от 0 до 1.
Степень риска качественная характеристика величины риска и его вероятности. Различают степени: высокую, среднюю, низкую и нулевую (без риска).
Приемлемость риска вероятность риска находится в пределах нормативного (приемлемого) уровня (стандарта) для данной сферы деятельности, который нельзя превысить без правовых нарушений.
Анализ риска разложение структуры объекта на элементы, установление взаимосвязей между ними с целью выявления источников, факторов и причин различного вида риска, сопоставление возможных потерь и выгод.
Оценка риска совокупность процедур анализа риска, идентификации источников его возникновения, определения возможных масштабов последствий проявления факторов риска и определения роли каждого источника риска.
Инвестиционные риски связаны с возможностью недополучения или потери прибыли в ходе реализации инвестиционных проектов. Объектом риска в данном случае выступают имущественные интересы лица, осуществляющего вложения своих средств.
Инвестиционные риски классифицируются в зависимости от особенности реализации им проекта и способа привлечения средств. В общем случае выделяют следующие риски:
а) кредитные;
б) риски, возникающие на первой стадии инвестиционного проекта;
в) предпринимательские, связанные со второй стадией инвестиционного проекта;
г) страховые.
Среди общих рисков, присущих первой стадии реализаций проекта можно выделить следующие:
риски, возникающие вследствие неправильного оформления юридических прав: прав собственности или аренды на земельный участок и объекты недвижимости, а также разрешения на строительство;
риск превышения сметы вследствие удорожания стоимости строительства и др.
В системе управления организацией управление рисками является компонентом подсистемы разработки и реализации управленческих решений. Таким образом, управление рисками осуществляется не ради снижения рисков, а ради повышения качества и обоснованности управленческого (особенно стратегического) решения.
Элементами «входа» процесса разработки решения могут быть параметры возникшей проблемы (технической, экологической, экономической, политической, управленческой и др.), требования к решению проблемы, ее комплексному обеспечению и т. д. Для того чтобы «выход» был качественным, необходимо обеспечить сначала качественный «вход», а затем качественный «процесс». Одним из условий обеспечения высокого качества «входа» является количественное и мерение параметров «входа» и внешней среды, оптимизация количества факторов, регулирующих эти компоненты, т. е. снижение уровня неопределенности в системе управления.
На выходе процесса конкретные (хорошо бы оптимальные) параметры управленческого решения. Для повышения качества «выхода» необходимо, во-первых, неуклонно повышать качество внешней среды и, во-вторых, обеспечивать высокое качество «входа» и само процесса. Факторами повышения качества процесса являются высокий профессионализм лица, принимающего решения (ЛПР), наличие необходимых методов и средств оптимизации параметров решения, Применение научных основ управления.
Элементами процесса разработки и реализации управленческого решения являются:
система «предмет труда» (проблема, задачи и т. п.), «средство труда» (методики, ЭВМ и т. п.), «живой труд» (исполнитель, отдел и т. п.) соединенных в пространстве и во времени;
информация;
методы анализа, прогнозирования, нормирования, оптимизации, оценки эффективности и др.;
научные основы разработки и реализации управленческого решения (экономические законы, законы организации, научные подходы, принципы);
система управления рисками как одно из важнейших условии эффективного развития экономики по инновационному пути.
Как видно из перечня компонентов процесса разработки и реализации управленческих решений, для повышения его качества необходимо сделать многое. Особенно это важно для условий реформирования российской экономики.
Процесс разработки и реализации управленческого решения следует обеспечивать соответствующими нормативно-методическими документами, материально-техническими, финансовыми, трудовыми, информационными ресурсами. Для достижения высокого качества процесса необходимо, чтобы обеспечивающие компоненты тоже были высокого качества.



Учет труда


Учет труда служит необходимой предпосылкой для установления результативности труда, его оплаты и материального стимулирования. Вопросы оплаты и материального стимулирования работников представляются также составной частью организации труда. Эффективная организация труда не может быть достигнута без строгого соблюдения установленных правил и порядка на производстве, т.е. без дисциплины труда.
На практике различают дисциплину трудовую, производственную, технологическую, плановую, финансовую, договорную и др. Такое разнообразие определяется тем, что различные правила, нормы, требования устанавливаются разными органами и ведомствами, которые трактуют соблюдение установленных ими правил как соответствующую дисциплину. Так, соблюдение работниками правил внутреннего трудового распорядка (своевременное начало и окончание рабочего дня, перерыва на обед и отдых), норм внутрипроизводственного поведения относится к трудовой дисциплине. Точное исполнение всех требовании технологии по каждому производственному процессу составляет дисциплину технологическую.
Своевременная и точная реализация производственных задании, выполнение должностных инструкции, бережное отношение к оборудованию, инструменту, оснастке, сырью и материалам, соблюдение правил охраны труда, техники безопасности, производственной санитарии, пожарной безопасности составляют производственную дисциплину. Понятие дисциплины труда объединяет перечисленные разновидности дисциплин и проявляется в сознательном выполнении работниками своих служебных обязанностей.
Организация труда на предприятии подкрепляется трудовой активностью и творческой инициативой трудящихся. Развитие и углубление демократии в обществе и на производстве в ходе реализации реформ политической системы и экономики s стране, возрастание экономической самостоятельности предприятий создают благоприятную обстановку доход предприятия.
В основе формирования оптимальных условий применения труда лежит изучение трудового процесса, которое развивается на основе исследований динамики производительности труда, анализа затрат рабочего времени и заработанной платы, как важнейшего стимула труда.
Заработная плата является формой вознаграждения за труд и важным стимулом работников предприятия, поскольку выполняет воспроизводственную и стимулирующую (мотивационную) функции.
Для работников предприятия оплата их труда в виде заработной платы является их личным доходом, который должен соответствовать личному вкладу в результаты деятельности предприятия. Реальные доходы работника определяются номинальной реальной заработной платой и общественными фондами потребления (последние все в меньшей степени).
Номинальная заработная плата это сумма денег, которую получает работник за свой труд.
Реальная заработная плата показывает, какое количество предметов потребления и услуг можно купить на номинальную заработную плату.
Организация оплаты труда непосредственно на предприятии состоит из следующих основных элементов:

  • формирование фонда оплаты труда,
  • нормирование труда,
  • установление тарифной системы,
  • выбор наиболее рациональных форм и систем заработной платы.
Фонд оплаты труда представляет собой источник средств, предназначенных для выплат заработной платы и выплат социального характера. Нормирование труда дает возможность учитывать качество труда и индивидуальный вклад работника в общие результаты деятельности предприятия.
Тарифная система позволяет соизмерять разнообразные конкретные виды труда, учитывая их сложность и условия выполнения, т.е. качество труда. Она состоит из следующих основных элементов:

  • тарифная сетка, устанавливающая дифференциацию в оплате труда с учетом разряда работы и отраслевой принадлежности предприятия;
  • тарифные ставки, определяющие абсолютный размер оплаты простого труда (1-го разряда) в единицу времени (день, час);
  • тарифно-квалификационные справочники, подразделяющие различные виды работ на группы в зависимости от их сложности;
  • районные коэффициенты к заработной плате, компенсирующие различия в стоимости жизни в различных природно-климатических условиях (регионах);
  • доплаты к тарифным ставкам и надбавки за совмещение профессий, расширение зон обслуживания, сверхурочные работы, работу в праздничные и выходные дни, вредность, работу во вторую и третью смены и др.
В современных условиях на предприятиях применяются различные формы и системы оплаты труда ( 2.5.1), но наибольшее распространение получили две формы оплаты труда: сдельная и повременная.


Учет труда


2.5.1. Формы и системы заработной платы

Сдельная оплата труда это оплата труда за количество произведенной продукции (работ, услуг).
Чаще всего на предприятии применяется не простая сдельная оплата труда, а сдельно-премиальная.
Сдельно-премиальная это такая система оплаты труда, когда рабочий получает не только сдельный заработок, но и премию. Премия обычно устанавливается за достижение определенных показателей: выполнение плана производства продукции, заданий по качеству продукции или экономии в расходовании материальных и ТЭР и др.
Повременная оплата труда это оплата труда за отработанное время, но не календарное, а нормативное, которое предусматривается тарифной системой.
Повременно-премиальная это такая оплата труда, когда рабочий получает не только заработок за количество отработанного времени, но и определенный процент премии к этому заработку.
Целесообразность применения сдельной или повременной системы оплаты труда зависит от многих факторов, которые сложились на момент принятия решения.
Повременную систему оплаты труда наиболее выгодно применять, если:

  • на предприятии функционируют поточные и конвейерные линии со строго заданным ритмом;
  • функции рабочего сводятся к наблюдению и контролю за ходом технологического процесса;
  • затраты на определение планового и учет произведенного количества продукции относительно велики;
  • количественный результат труда не может быть измерен и не является определяющим;
  • качество труда важнее его количества;
  • работа является опасной;
  • работа неоднородна по своему характеру и нерегулярна по нагрузке;
  • на данный момент увеличение выпуска продукции (работ, услуг) на том или ином рабочем месте является нецелесообразным для предприятия;
  • увеличение выпуска продукции может привести к браку или снижению ее качества.
Сдельную систему оплаты труда на предприятии наиболее целесообразно применять в следующих случаях:

  • имеется возможность точного учета объемов выполняемых работ;
  • имеются значительные заказы на производимую продукцию, а численность рабочих ограничена;
  • одно из структурных подразделений предприятия (цех, участок, рабочее место) является «узким» местом, т.е. сдерживает выпуск продукции в других технологически взаимосвязанных подразделениях;
  • применение этой системы отрицательно не отразится на качестве продукции;
  • существует острая необходимость в увеличении выпуска продукции в целом по предприятию.
Сдельную оплату труда не рекомендуется использовать в том случае, если:

  • ухудшается качество продукции;
  • нарушаются технологические режимы;
  • ухудшается обслуживание оборудования;
  • нарушаются требования техники безопасности;
  • перерасходуются сырье и материалы.
Аккордная система оплаты труда это разновидность сдельной оплаты труда, сущность которой заключается в том, что расценка устанавливается на весь объем подлежащих выполнению работ с указанием срока их выполнения. На предприятии наиболее целесообразно применять аккордную оплату труда в следующих случаях:

  • предприятие не укладывается в срок с выполнением какого-либо заказа, и при его невыполнении оно обязано будет заплатить значительные суммы штрафных санкций в связи с условиями договора;
  • при чрезвычайных обстоятельствах (пожаре, обвале, выходе из строя основной технологической линии по серьезной причине), которые приведут к остановке производства;
  • при острой производственной необходимости выполнения отдельных работ или внедрении нового оборудования на предприятии.

2.6. Производительность труда: показатели и методы измерения производительности труда
Труд может быть производительный и менее производительный. Показателем эффективности труда является его производительность. Существует много показателей эффективности производства, но производительность труда считается важнейшим из них.
Повышение производительности труда имеет большое экономическое и социальное значение.
Для измерения производительности труда, эффективности использования трудовых ресурсов в промышленности используются два основных показателя: выработка и трудоемкость.
Выработка измеряется количеством продукции, произведенной в единицу рабочего времени или приходящейся на одного среднесписочного работника или рабочего в год (квартал, месяц). Это наиболее распространенный и универсальный показатель производительности труда.
Выработка в натуральном или стоимостном выражении определяется по формуле
Объем товарной (валовой или реализованной) продукции
Выработка = --------------------------------------------------------------------------- .
Среднесписочная численность работников (или рабочих)



Управление персоналом


Трудоемкость это затраты рабочего времени на производство единицы продукции. В зависимости от состава включаемых в нее трудовых затрат различают технологическую трудоемкость, трудоемкость обслуживания производства, производственную трудоемкость и трудоемкость управления производством.
Производственная трудоемкость (Тпр) представляет собой затраты труда рабочих (основных и вспомогательных) и рассчитывается по формуле
Тпр = Ттехн + Тоб ,
где Ттехн технологическая трудоемкость, в которую входят все затраты труда основных рабочих, как сдельщиков, так и повременщиков;
Тоб трудоемкость обслуживания производства, определяемая затратами труда вспомогательных рабочих.
Полная трудоемкость (Тп) представляет собой затраты труда всех категорий ППП и определяется по формуле
Тп = Ттехн + Тоб + Ту ,
где Ту трудоемкость управления производством, включающая затраты труда ИТР, служащих, МОП и охраны.
Под полной трудоемкостью единицы продукции (Тп) понимается сумма всех затрат живого труда на изготовление единицы продукции, измеряемая в человеко-часах:
Количество отработанного времени.
Тп = ------------------------------------------------- .
Объем произведенной продукции
Преимущество показателя трудоемкости состоит в том, что он позволяет судить об эффективности затрат живого труда на разных стадиях изготовления конкретного вида продукции не только по предприятию в целом, но и в цехе, на участке, рабочем месте, т.е. проникнуть в глубину выполнения того или иного вида работ, чего нельзя сделать с помощью показателя выработки, исчисленного в стоимостном выражении.
Можно выделить три основных метода измерения производительности труда: натуральный, трудовой и стоимостной.
Натуральный метод измерения производительности труда характеризует выработку продукции в натуральной форме в единицу рабочего времени. Натуральные показатели производительности труда: килограммы, метры и т.д. Натуральный метод имеет ограниченное применение и в основном используется при сопоставлении показателей производительности бригад, звеньев и рабочих, а также при определении норм выработки и уровня их выполнения.
Для анализа фактических затрат рабочего времени, определения интенсивности труда рабочего, бригады, звена используется показатель трудоемкости выполнения работ (показатель, обратный по отношению к выработке), который определяется как отношение общего количества затраченного рабочего времени на весь объем работ к числу выполненных единиц работ, т.е. норма времени.
Трудовой метод измерения производительности труда характеризует отношение нормативных затрат к фактическим затратам рабочего времени. Данный метод имеет ограниченное применение из-за сложности расчета и не позволяет учесть влияние роста механовооруженности рабочих и уровня механизации работ в связи с тем, что на механизированные и ручные работы разрабатываются различные нормы, которые под воздействием научно-технического прогресса периодически пересматриваются.
Трудовой метод применяется для определения эффективности использования труда рабочих по сравнению с нормами, уровня выполнения норм выработки или степени сокращения нормативного времени рабочим в процентах.
Стоимостной метод измерения производительности труда получил более широкое применение, особенно на промышленных предприятиях, так как дает возможность учета и сравнения разнообразных видов работ путем приведения их к единому измерителю. Как один из основных показателей для планирования и учета производительности труда применяется показатель выработки в стоимостном выражении на одного работника, занятого в производстве. Однако этот метод не всегда правильно отражает уровень производительности труда, так как на ее стоимостное выражение влияет структура работ и их материалоемкость.
Абсолютный уровень производительности труда в плановом периоде определяется путем умножения выработки базисного периода на рост производительности труда в плановом периоде.
Планируемый процент роста производительности труда (ПТ) может быть определен по формуле
ПТ = 100 (Ппл Пф) / Пф ,
где Ппл и Пф соответственно плановая и фактическая выработка на одного среднесписочного работающего в базисном году (периоде).
Рост производительности труда имеет большое значение и для предприятия; он позволяет:

  • существенно снизить затраты на производство и реализацию продукции, если рост производительности труда опережает рост средней заработной платы;
  • при прочих равных условиях увеличить объем производства и реализации продукции, а следовательно, и рост прибыли;
  • проводить политику по увеличению средней заработной платы работникам;
  • более успешно осуществлять реконструкцию и техническое перевооружение предприятия;
  • повысить конкурентоспособность предприятия и продукции, обеспечить финансовую устойчивость работы.
Факторы роста производительности труда это движущие силы или причины, под влиянием которых изменяется ее уровень. В качестве таких факторов выступают: технический прогресс, совершенствование организации производства, управления и труда и др.
На уровне предприятия (фирмы) можно выделить 5 групп факторов роста производительности труда.
Регионально-экономические (природно-климатические условия, их изменения; сбалансированность рабочих мест и трудовых ресурсов) и экономико-географические факторы (освоенность района месторождения; наличие местных строительных материалов; свободных ресурсов рабочей силы, электроэнергии, воды; рельеф местности; расстояние до коммуникаций и т.п.).
Факторы структурных сдвигов. К ним относятся: сдвиги в изменении доли покупных изделий и полуфабрикатов; относительное сокращение численности работающих в связи с ростом объемов производства.
Факторы ускорения НТП (внедрение новых поколений высокоэффективной техники; применение прогрессивных базовых технологий, использование автоматизированных систем в проектировании; внедрение гибких переналаживаемых производств и т.д.).
Экономические факторы. Современные формы организации и стимулирования труда; научная организация и интенсивность труда; рост квалификации работников; совершенствование распределительных отношений, планирования и управления кадрами.
Социальные факторы. Ими являются: человеческий фактор; сокращение объемов монотонного, вредного и тяжелого труда; улучшение условий труда; факторы социального партнерства.
К сожалению, с переходом на рыночные отношения на многих предприятиях не уделяется должного внимания росту производительности труда: не делается анализ, не разрабатываются и не планируются мероприятия по ее росту на предприятии.

2.7. Управление персоналом: Состав и структура персонала

Во всей совокупности ресурсов предприятия особое место занимают трудовые ресурсы. На уровне отдельного предприятия вместо термина «трудовые ресурсы» чаще используют термины «кадры» и «персонал».
Под кадрами предприятия принято понимать основной (штатный) состав работников предприятия.
В зависимости от участия в производственном процессе весь персонал предприятия делится на две категории: промышленно-производственный персонал (ППП) и непромышленный.
К промышленно-производственному персоналу относятся работники, которые непосредственно связаны с производством и его обслуживанием.
К непромышленному персоналу относятся работники, которые непосредственно не связаны с производством и его обслуживанием. В основном это работники жилищно-коммунального хозяйства, детских и врачебно-санитарных учреждений, принадлежащих предприятию.
В свою очередь, промышленно-производственный персонал в зависимости от выполняемых им функций классифицируется на следующие категории: рабочие; руководители; специалисты; служащие.
К рабочим относятся работники предприятия, непосредственно занятые созданием материальных ценностей или оказанием производственных и транспортных услуг. Рабочие, в свою очередь, подразделяются на основных и вспомогательных. К основным относятся рабочие, которые непосредственно связаны с производством продукции, к вспомогательным обслуживанием производства.
Это деление чисто условное, и на практике иногда их трудно разграничить.
К специалистам на предприятии относятся: бухгалтеры, экономисты, техники, механики, психологи, социологи, художники, товароведы, технологи и др.
К служащим на предприятии относятся: агенты по снабжению, машинистки, секретари-машинистки, кассиры, делопроизводители, табельщики, экспедиторы и др.
Кроме общепринятой классификации ППП по категориям существуют классификации и внутри каждой категории. Например, руководителей на производстве в зависимости от возглавляемых ими коллективов принято подразделять на линейных и функциональных. К линейным относятся руководители, возглавляющие коллективы производственных подразделений, предприятий, объединений, отраслей, и их заместители; к функциональным руководители, возглавляющие коллективы функциональных служб (отделов, управлений), и их заместители.
По уровню, занимаемому в общей системе управления народным хозяйством, все руководители подразделяются на: руководителей низового звена, среднего и высшего звена.
К руководителям низового звена принято относить мастеров, старших мастеров, прорабов, начальников небольших цехов, а также руководителей подразделений внутри функциональных отделов и служб.



Задачи реформирования предприятия


Задачами реформирования предприятия являются:
защита прав участников (учредителей);
четкое разграничение ответственности участников (учредителей) и руководителей предприятий, развитие механизмов корпоративного управления, обеспечение свободного перераспределения прав участия в капитале акционерного общества;
обеспечение инвестиционной привлекательности предприятия;
создание системы хозяйственно-договорной деятельности предприятия, обеспечивающей соблюдение контрактных обязательств;
создание эффективного механизма управления предприятием;
использование предприятием рыночных механизмов привлечения финансовых средств;
повышение квалификации работников предприятия как один из факторов повышения устойчивости развития предприятия.
Критериями реформирования предприятия являются:
ведение реестра акционеров (для акционерных обществ) независимым регистратором;
четкое разграничение полномочий и ответственности между участниками (учредителями) предприятия и его руководителем;
наличие земельного участка, на котором расположено предприятие, в его собственности;
отсутствие задолженности по платежам в бюджеты всех уровней либо ее реструктуризация;
отсутствие задолженности по заработной плате либо наличие конкретной программы мероприятий по ликвидации указанной задолженности;
начисление НДС и акцизов но мере отгрузки;
отсутствие неденежных форм расчетов либо наличие конкретной программы мер по их снижению.
К основным направлениям реформирования предприятий в соответствии с Типовой программой относятся следующие:
выявление и устранение нарушенных прав акционеров (для акционерных обществ);
инвентаризация имущества и осуществление реструктуризации имущественного комплекса предприятия;
рыночная оценка активов предприятия4) анализ положения предприятия на рынке, его финансово-хозяйственной деятельности и эффективности управления предприятием;
формирование стратегии развития предприятия;
подготовка и переподготовка кадров;
анализ положения предприятия на рынке;
анализ существующих сетей сбыта продукции;
анализ существующей системы снабжения;
экономический анализ ассортимента выпускаемой продукции;
анализ финансового состояния и эффективности финансового управления;
анализ сильных и слабых сторон предприятия.
В дополнение к перечисленным направлениям реформирования предприятий, рекомендованным Минэкономразвития России, необходимо в современных условиях анализировать параметры конкуренции на рынках, конкурентных преимуществ и конкурентоспособности кадров, комплектующих изделий, оборудования, технологий, выпускаемой продукции, систем управления и организации в целом. Это главное направление реформирования.
Понятие «реструктуризация» отличается от понятия «реформирование» тем, что, па наш взгляд, реформирование осуществляется по инициативе, под руководством и при всяческой поддержке вышестоящей организации, а реструктуризация осуществляется организацией самостоятельно, по своей идеологии, на свои средства (еще спонсоры могут помочь).
Также понятие реструктуризация понимают как выделение бизнес-единиц, которые наделяются имуществом и самостоятельным балансом, но работ позволяет сохранить целостность и преимущества крупной фирмы. Второй вариант реструктуризации и сохранения единой фирмы это создание дочерних предприятий с юридическим лицом, но с долей капитала материнской фирмы, позволяющей сохранить влияние в сфере управления и финансов. Возможен вариант сложной реструктуризации хозрасчетных отношений.
Существует несколько терминов, характеризующих изменения, происходящие на предприятии: реорганизация, реформирование, реструктуризация, реинжиниринг бизнеса. Выше мы рассмотрели нормативно-законодательный аспект данных понятий, теперь покажем их с экономической точки зрения.
Реорганизацию можно охарактеризовать как изменения организационной и управленческой структуры фирмы при постоянстве финансово-экономических отношений.
Реформирование преобразование экономических и финансовых отношений без изменения структуры.
Реструктуризация предполагает и то, и другое как процесс адаптации хозяйствующих субъектов к новым условиям функционирования на рынке. В современной мировой экономике, где все меняется быстрыми темпами, постоянным является лишь изменение. Этот тезис отражает необходимость реструктуризации и восприятие ее как постоянного процесса.
Реинжиниринг бизнеса это фундаментальное переосмысление и радикальное перепроектирование деловых процессов с целью улучшения финансового положения предприятия.
В рыночной экономике каждое предприятие сталкивается с постоянно меняющимся и полным противоречий внешним окружением. В такой ситуации управление предприятием требует сознательных опережающих действий с учетом:
собственных финансовых, трудовых, материальных и интеллектуальных ресурсов;
существующих и ожидаемых условий внешнего окружения;
стратегической цели и задач предприятия.
От безошибочного выбора стратегии и процедуры реструктуризации зависят конкурентоспособность предприятия и возможности развиваться в своей рыночной нише. Конкурентоспособная позиция тем сильнее, чем лучше фирма сумеет предвидеть свое будущее и управлять неизбежными постоянными изменениями.
Выделяют три стратегии реструктуризации активную, пассивную и смешанную. Активная состоит в принятии опережающих действий, направленных на стимулирование и содействие новым бизнес-единицам, которые могут заменить бесперспективные сферы деятельности. Традиционная означает замедление необходимых преобразований с целью смягчения социальных последствий высвобождения персонала неэффективных производств.
Суть смешанной стратегии реструктуризации состоит в равноправной и параллельной реализации действий при заинтересованности в создании новых видов продукции и смягчении социальных последствий от закрытия устаревших производственных подразделений.
Успех процесса реструктуризации зависит от ее подготовки и осуществления. Этапы реструктуризации следующие: выполнение стратегического анализа, разработка цели и программы, график и порядок выполнения.
Стратегический анализ необходим для подтверждения или опровержения прежних, а также определения будущих направлений и целей деятельности. Он осуществляется в виде внешней и внутренней диагностики.
Данные стратегического анализа используются для разработки стратегии предприятия и программы реструктуризации. Универсальной модели реструктуризации не существует. Проект реструктуризации для каждого предприятия является индивидуальным. Основная цель реструктуризации эффективная работа предприятия в изменяющейся рыночной ситуации.
Основной метод достижения цели осуществление принципов коммерческого расчета.
Программа реструктуризации должна содержать:
целостное представление цели в виде описания и других способов формализации;
этапы продвижения к согласованным целям с учетом времени, финансовых ресурсов и исполнителей;
механизм постоянной адаптации к новым условиям хозяйствования через стимулирование экономической эффективности подразделений, фирмы и персонала.
Для выработки целостного представления о реструктуризации и путях ее осуществления создаются группы профессионалов по проблемам. Это собственные высококвалифицированные кадры предприятия, совместные группы специалистов предприятия и внешних консультантов. Роль консультантов сводится к поддержке собственных групп, предложивших более оптимальный вариант развития.
Программа реструктуризации должна предусматривать систематизацию предполагаемых действий для краткосрочного (до 1 года), среднесрочного (до 3 лет) и долгосрочного (более 3 лет) периодов.
Успех реструктуризации зависит от многих условий. Важнейшие из них:
глубокое изучение текущего состояния субъекта хозяйствования;
открытость и прозрачность информации о действительных проблемах и трудностях при их решении;
наличие ясной, конкретной и понятной для восприятия цели реструктуризации;
осознание всеми партнерами сложности и продолжительности процесса преобразований.
Наиболее распространенным вариантом реструктуризации является создание акционерной материнской фирмы, образующей систему внутренних центров ответственности и сеть дочерних фирм;
Вариант разукрупнения акционерной материнской фирмы основан на реализации многоорбитной схемы разукрупнения. Таким образом, создается единое правовое поле, основанное на договорных отношениях с центральным офисом материнской компании. По тесноте связей с руководством предприятия положение всех структурных единиц можно рассматривать как своеобразные орбиты, расстояние которых от центра, а следовательно, и номер орбиты тем больше, чем больше их хозяйственная самостоятельность.
На первой орбите выделяются те цеха и отделы со всеми характерными для них взаимосвязями, которые не являются хозрасчетными и выполняют работы в соответствии с заданиями руководства предприятия при фиксированном, как правило, фонде оплаты труда.
На второй хозрасчетные единицы, финансируемые за счет предприятия, но имеющие некоторые элементы хозяйственной самостоятельности, например, право самостоятельного начисления вознаграждений.
На третьей центры финансовой ответственности хозрасчетные подразделения, финансируемые за счет разницы между ценой реализации произведенных подразделением товаров или оказанных услуг и величиной издержек, связанных с функционированием подразделения. Они имеют возможность реализации в основном готовой продукции, могут быть организованы в виде бизнес-единиц подразделений, способных выполнять многие функции отдельного юридического лица: от заключения договоров с поставщиками и покупателями до начисления и уплаты налогов, но не выделенных из материнской компании.
На четвертой дочерние фирмы с сильными взаимосвязями и участием основной (материнской) компании в капитале, являющиеся юридическими лицами, но обязанные выполнять указания материнского предприятия, обусловленные преобладающим участием в уставном капитале.
На пятой фирмы со слабыми взаимосвязями и участием основной (материнской) компании в капитале, не обязанные выполнять указания материнской компании, имеющей незначительное участие в их уставном капитале.
На следующих орбитах выступают фирмы, в уставном кали-тале которых имеется не только доля материнской компании, но и доля других хозяйственных организаций. При этом фирмы одновременно находятся на соответствующих орбитах и других организаций. Возникает так называемое пересечение орбит.
Например, на шестой орбите самостоятельные предприятия, работающие в основном в кооперации с материнской компанией на основе договорных отношений. На седьмой орбите самостоятельные предприятия, работающие в основном в кооперации с другими хозяйственными организациями на основе договорных отношений.
Такое модельное представление схемы разукрупнения обусловлено прежде всего готовностью традиционных подразделений фирмы к процессу разукрупнения. Орбитная модель предлагает сосуществование в границах одной бизнес-системы как подразделений, пока не тронутых процессом преобразования (первая и вторая орбиты), что обусловлено наличием в составе фирм ряда вспомогательных и обеспечивающих служб, вовлечение которых в процесс преобразований желательно не форсировать, так и подразделений, получивших различную степень свободы (третья орбита), и даже частей фирмы, выведенных за ее границы в виде самостоятельных юридических лиц (орбиты с четвертой по седьмую).
Широкая палитра возможностей позволяет разработать различные стратегии реорганизации предприятия, повысить управляемость процесса разукрупнения за счет исправления наиболее часто встречающихся ошибок (таких, как, например, создание новых юридических лиц из подразделений компании, не готовых к этому уровню самостоятельности).
Околофирменное интеграционное пространство формируется не только за счет предприятий, вышедших из недр материнской компании, но и за счет внешних предприятий, привлекаемых в это пространство с помощью мер интеграционной стратегии предприятия. Это создает надлежащий уровень конкуренции и обеспечивает благоприятные условия функционирования предприятия








Жизненный цикл изделия


Это обусловливает большую сложность решений олигополистов по сравнению с решениями фирм на других типах рынков. Каждой фирме приходится вырабатывать решения не только относительно того, как будут реагировать покупатели на ее действия, но также и относительно того, как на это откликнутся другие фирмы в отрасли, поскольку их ответная реакция будет влиять на прибыли фирмы. На олигополистических рынках продукция может быть дифференцированной и если дифференциация продукции возможна, фирмы должны побеспокоиться о дизайне и рекламе продукции. Чтобы рассчитать последствия изменений этих переменных, как и последствия изменений цены, олигополист должен предвидеть вероятную реакцию своих соперников.
Олигополия занимает промежуточное положение между монополией и конкуренцией и в другом аспекте. В условиях, когда конкуренция является совершенной, барьеры вхождения в рынок отсутствуют, а монополия не оставляет возможности для проникновения других фирм. На олигополистических рынках обычно существуют некоторые барьеры вхождения, но они не столь жестки для того, чтобы сделать его абсолютно невозможным.
Чем слабее барьеры вхождения, тем более вероятно, что отрасль, в которой продавцы, занимающие прочное положение, получают высокие прибыли, будет привлекать новые фирмы, и, следовательно, тем ниже будут прибыли в отрасли в долгосрочном периоде.


3.2. Жизненный цикл изделия

Любой товар рано или поздно уходит с рынка в силу различных причин, но главным образом вследствие снижения к нему интереса со стороны потребителей. За время своего существования товар проходит несколько фаз развития, что отражается в динамике первоначального нарастания и последующем снижении его сбыта. Период существования товара (от его идеи до прекращения производства и сбыта) называют экономическим циклом жизни изделия, или жизненным циклом товара (ЖЦТ).
Циклический характер жизни товара на рынке обусловливает возникновение у любого товаропроизводителя сложных проблем и вопросов, но вместе с тем подсказывает пути и средства их решения. Проблемы, возникающие в связи с цикличностью жизни товаров, это определение особенностей протекания жизненного цикла товаров, производимых данной фирмой; определение фаз цикла, в котором пребывает каждый из производимых товаров; постоянное слежение за поведением товаров, пребывающих в определенных фазах цикла; осознанная (просчитанная) замена товаров, находящихся в фазе спада и исчерпавших свои рыночные возможности, или продление их нахождения на рынке (путем модернизации, поиска новых ниш, проведения интенсивной рекламы, использующей новые оригинальные, доказательные аргументы в пользу товара, и др.).
Теория жизненного цикла товара выделяет общую для всех товаров закономерность, которая выражается в виде кривой изменения объема продаж товара с течением времени ( 3.2.1). Динамика изменения объема продаж характеризуется сначала медленным, затем бурным ростом, далее объем продаж стабилизируется и в заключение падает. Характеристики каждого этапа приведены в табл.
3.2.1.
Теория ЖЦТ имеет большой практический смысл, творческое следование которому позволяет товаропроизводителям целенаправленно разрабатывать и осуществлять товарную политику, оценивать поведение своих товаров на рынке, более полно использовать весь потенциал маркетинга. Но не следует бездумно следовать положениям теории ЖЦТ. Она справедлива скорее для описательной, нежели для прогнозной модели. Если менеджеры будут механически следовать этой теории, то на фазе зрелости товар может быть лишен маркетинговой поддержки, а освободившиеся средства направлены на разработку товара-заменителя.
Однако без надлежащей маркетинговой поддержки продажи товара непременно снизятся и возникнет срочная необходимость форсировать выдвижение на рынок товара-заменителя, причем без дополнительной технической проверки и рыночного тестирования. Вследствие этого фирма может потерпеть неудачу.














3.2.1. Кривая жизненного цикла товара.


Таблица 3.2.1.
Характеристика этапов жизненного цикла товара


ЖЦТ
Общая характеристика этапа
Характеристика среды
Внешней
Внутренней
Потребители
Конкуренты
Производство

Маркетинг

1
2
3
4
5
6
Разработка товара
Товар отсутствует на рынке
Предъявление неудовлетворенного спроса на товар
Отсутствие прямых конкурентов, имеются потенциальные конкуренты
Значительные затраты на изучение и апробирование идеи нового продукта, ее разработку и воплощение
Маркетинговые исследования, тестирование нового продукта
Выведение товара на рынок
Появление товара на рынке медленное увеличение объема продаж
Слабая осведомленность о товаре и нежелание менять свои привычки, только наиболее активные потребители знакомятся с товаром
Заинтересованность потенциальных конкурентов в получении информации о реакции потребителей на товар, реальных конкурентов нет или немного
Расходы на производство велики, технические проблемы в технологии производства товара еще полностью не устранены
Значительные расходы на рекламу, стимулирование сбыта, повышение качества товара, создание сервиса
Рост
Интенсивное нарастание объема продаж товара
Признание товара потребителями
Появление новых конкурентов, которые предлагают товар с новыми свойствами
Затраты на производство товара стабилизируются, издержки на единицу падают
Большие затраты на рекламную поддержку и создания предпочтения к марке
Зрелость
Продажи успешны, но их объем стабилизируется на одном уровне
Достижение положительного восприятия товара большинством потенциальных покупателей
Обострение конкуренции, снижение цен на товары конкурентов
Увеличение ассигнований на исследования с целью создания новых товаров
Снижение затрат на стимулирование, поддержание приверженности к товару
Спад
Падение сбыта товара
Изменение вкусов потребителей, приверженность сохраняют только консервативные потребители
Уход с рынка многих производителей аналогичных товаров
Рост ассигнований на исследования с целью создания новых товаров
Выполнение гарантийных обязательств и сервисного обслуживания

3.3.Организации труда при создании нового продукта

Изменения техники и технологии производства требуют соответствующего изменения или совершенствования организации труда. Кроме того, наука об организации труда обогащается новыми данными, возникает передовой опыт новых организационных решений.
Если производство чутко реагирует на все новое, что появляется в области организации труда, и систематически внедряет его в свою практику, то мы вправе говорить о научной организации труда (НОТ). Научный подход к организации труда позволяет наилучшим образом соединить в процессе производства технику и людей, обеспечивает наиболее эффективное использование материальных и финансовых ресурсов, снижение трудоемкости и рост производительности труда. Он направлен на сохранение здоровья работников, обогащение содержания их труда.
Важным признаком НОТ является ее направленность на решение взаимосвязанное групп задач:
экономических (экономия ресурсов, повышение качества продукции, рост результативности производства);
психофизиологических (оздоровление производственной среды, гармонизация психофизиологических нагрузок на человека, снижение тяжести и нервно-психической напряженности труда);
социальных (повышение разнообразия труда, его содержательности, престижности, обеспечение полноценной оплаты труда).
Развитием представлений о задачах НОТ являются положения о ее функциях, т.е. специфических особенностях проявления НОТ на предприятии, ее воздействии ни различные стороны производства. Категория «функция» предоставляет возможность конкретизировать общие задачи НОТ, выделить в пределах каждой из них особенные направления воздействия НОТ на производство и его субъект человека, выявить принципиальные различия между организацией труда научной и «обычной», которая зачастую упускает важные моменты в организации трудовой деятельности, что чревато потерями для производства.
Анализ воздействия НОТ на производство позволяет выделить следующие ее функции.
Ресурсосберегающая, в том числе трудосберегающая, направлена на экономию рабочего времени, эффективное использование сырья, материалов, энергии, т.е. ресурсов. Кроме того, экономия труда включает в себя не только экономию средств производства, но и устранение всякого бесполезного труда. Это достигается рациональным разделением и кооперацией труда, применением рациональных приемов и методов труда, четкой организацией рабочих мест и хорошо отлаженной системой их обслуживания. Экономии ресурсов служит и направленность НОТ на повышение качества продукции: лучшее качество равносильно большему количеству. Ресурсосбережение один из главных рычагов интенсификации производства.
В современных условиях прирост потребности в топливе, энергии, металле и других материалах должен быть на 75-80% удовлетворен за счет их экономии. На это необходимо нацелить не только технологию, но и организацию труда. Следовательно, одним из критериев научности организации труда становится ее способность обеспечивать всестороннюю экономию затрат живого и прошлого труда.





    Экономика: Знания - Циклы - Макроэкономика