Боголюбов В.С. - Экономика туризма
Введение
Туризм на сегодняшний день является показателем развития цивилизации, методом познания окружающей действительности, способом повышения культурного уровня и восстановления здоровья людей.
В конце XX в. туризм становится массовым явлением, а туристский бизнес переживает настоящий бум. Поскольку туризм выгодная сфера инвестирования, с начала реформ в России этим бизнесом стали заниматься люди, очень далекие от предпринимательской деятельности, так как сфера тур изма привлекала и привлекает многих предпринимателей своей кажущейся легкостью.
Во второй половине 1990-х гг. на рынке туристских услуг резко обострилась конкуренция. Оказалось, что российские фирмы не в состоянии успешно конкурировать с иностранными ни по уровню сервиса, ни по стоимости услуг. Кроме того, иностранные предприниматели (в отличие от отечественных) предоставляют своим клиентам более достоверную информацию о своих возможностях.
В настоящее время развитие туризма в России сдерживается комплексом факторов: низким профессионализмом, высоким налогообложением, экономической нестабильностью и т.д. Однако по прогнозам специалистов наша страна в состоянии войти в число регионов наиболее популярных среди туристов. Для успешной работы туристского бизнеса требуется осуществить значительные инвестиции в инфраструктуру отрасли, подготовить квалифицированные кадры, научить предпринимателей успешно конкурировать на этом рынке, организовать более эффективную помощь государства.
Туристский бизнес предполагает сло жную систему отношений между поставщиками и потребителями соответствующих услуг, между турфирмами и их конкурентами, а также между партнерами по бизнесу. Деятельность турфирмы на рынке включает: выбор рыночной ниши; разработку туристского продукта; определ ение объема оказываемых услуг; совершенствование ценообразований; расширение рекламной деятельности; научных исследований; привлечение инвестиций; взаимодействие с другими компаниями; взаимоотношения с государственными органами.
Практически невозможно пере числить все отрасли экономики, связанные с индустрией туризма, однако грамотное управление бизнесом требует глубокого понимания отраслевых характеристик и процессов, которые и нашли отражение в данном учебнике.
Существующие на сегодняшний день определения туризма могут быть объединены в две группы. В первую группу вошли определения, которые носят узкоспециальный характер, касаются отдельных экономических, социальных, правовых аспектов туризма или его видовых особенностей и выступают в качестве инструмента для решения конкретных задач (например, для статистических исследований). Во вторую группу вошли дефиниции, которые охватывают предмет в целом, раскрывают внутреннее содержание туризма, выражают единство всего многообразия свойств и отношений, и позволяют отличить его от сходных, часто взаимосвязанных, но инородных явлений.
По определению, принятому ООН в 1954г.: «Туризм - это активный отдых, влияющий на укрепление здоровья, физическое развитие человека, связанный с передвижением за пределами постоянного места жительства». В 1980г. на Филиппинах была принята Манильская декларация по мировому туризму, которая провозгласила: «Туризм понимается как деятельность, имеющая важное значение в жизни народов в силу непосредственного воздействия на социальную, культурну ю, образовательную и экономическую области жизни государств и их международные отношения».
В материалах Всемирной конференции по туризму, проведенной Всемирной туристской организацией (ВТО) в 1981г. в Мадриде, туризм определяется как один из видов активног о отдыха, представляющий собой путешествия, совершаемые с целью познания тех или иных районов, новых стран и сочетаемые в ряде стран с элементами спорта. В 1993 г. статистическая комиссия ООН приняла более широкое определение туризма: «Туризм - это деятельность лиц, которые путешествуют и осуществляют пребывание в местах, находящихся за пределами их обычной среды, в течение периода, не превышающего одного года подряд, с целью отдыха, деловыми и прочими целями».
В научной литературе также существует много ра зличных подходов к определению туризма. Так, например, П.Бернекер определяет туризм как совокупность взаимоотношений и услуг, связанных с временной и добровольной сменой путешественником места жительства по некоммерческим или непрофессиональным причинам. В. Азар формулирует понятие туризма как большую экономическую систему с разнообразными связями между отдельными элементами в рамках как народного хозяйства отдельной страны, так и связей национальной экономики с мировым хозяйством в целом».
Универсальность форм туристского общения позволяет давать также расширенную трактовку понятия туризма как особого рода межличностную деятельность, которая в условиях интернационализации жизни превратилась в средство межличностных связей в процессе политических, экономичес ких и культурных контактов, в один из факторов, определяющих качество жизни.
Широкое распространение получило сущностное определение туризма, предложенное Международной ассоциацией научных экспертов в области туризма. Согласно ему туризм рассматривается как совокупность отношений и явлений, которые возникают во время перемещения и пребывания людей в местах, отличных от их постоянного проживания и работы.
Также популярным определением туризма стало следующее: туризм временное перемещение людей из места свое го постоянного проживания в другую страну или местность в пределах своей страны в свободное время в целях получения удовольствия и отдыха, оздоровительных, гостевых, познавательных или в профессионально-деловых целях, но без занятия оплачиваемой работой в посещаемом месте.
Определение туризма в Федеральном законе «Об основах туристской деятельности в Российской Федерации» от 24.11.1996 № 132-ФЗ звучит следующим образом: «Туризм временные выезды (путешествия) граждан Российской Федерации, иностранных граждан и лиц без гражданства (далее граждане) с постоянного места жительства в оздоровительных, познавательных, профессионально-деловых, спортивных, религиозных и иных целях без занятия оплачиваемой деятельностью в стране (месте) временного пребывания».
Туристская индустрия или отрасль это взаимоувязанная система предприятий, предоставляющих туристам все необходимые и достаточные туристские услуги, работы и товары, т. е. совокупность средств размещения, транспортных средств, пунктов питания, объектов развлекательного, познавательного, делового, оздоровительного, спортивного и иного назначения, экскурсионные услуги и услуги гидов - переводчиков. Бурное развитие массового туризма в мире вызвало активное развитие и других отраслей мирового и национальных хозяйств, науки и культуры, системы образования.
Туристская индустрия располагает солидной материально -технической базой, обеспечивает занятость большого числа людей и (прямо или косвенно) взаимодействует со всеми отраслями экономического комплекса.
В зависимости от источника финансирования туризм делится на социальный и коммерческий; исходя из способа передвижения на пешеходный, авиационный, морской, речной, автомобильный, железнодорожный, велосипедный, смешанный; по числу участников на индивидуальный, семейный и групповой; по организационной форме на организованный и неорганизованный.
В основе туризма лежат две субсистемы: субъект туризма и объект туризма. Под субъектом туризма понимается участник туристского мероприятия или турист, который ищет возможности удовлетворения своих потребностей путем получения специфических туристских услуг. Названные услуги предоставляются объектом туризма.
Под объектом туризма понимается все, что может стать для субъекта туризма (туриста) целью путешествия. Объект туризма (туристская отрасль) включает в себя три основных компонента: туристский регион (место), туристскую организацию и туристское предприятие.
Под туристским регионом следует понимать географическую территорию (место, регион), которую гость или туристский сегмент выбирает с целью путешествия. Такая территория содержит все сооружения, необходимые для пребывания, размещения, питания и организации досуга туристов. Таким образом, регион представляет собой единый туристский продукт и конкурентоспособную единицу.
Туризм сегодня не только крупнейшая, но и наиболее быстро развивающаяся отрасль мирового хозяйства, темпы роста которой почти в 2 раза превосходят темпы роста других отраслей экономики.
Международный туризм входит в число трех крупнейших экспортных отраслей, уступая не фтедобывающей промышленности и автомобилестроению. По другим источникам туризм является самой рентабельной сферой мирового хозяйства.
Именно экономические выгоды являются основной движущей силой туристского развития.
Международное потребление туристского продукта можно считать невидимым экспортом из принимающей страны, тогда как внутренний туризм может быть рассмотрен как экспорт между регионами страны и даже как заменитель импорта в национальную экономику.
В последние годы в экономике многих стран наблюда лся рост сферы услуг, тогда как более традиционные сельскохозяйственные и промышленные сектора переживали спад. Поскольку индустрия туризма базируется на сфере услуг и таким образом причастна к ее росту, значение туризма в мире постоянно возрастает, что св язано с увеличением его влияния на экономику отдельных стран.
В странах ЕС и других промышленно развитых странах доходы от туризма составляют примерно 5,5% от внутреннего валового продукта (ВВП).
Экономическое значение туризма зависит не только от уровня туристской деятельности, но и от типа и характера рассматриваемой экономики.
Экономическое значение туристской деятельности (например, для развивающейся страны) может быть оценено с точки зрения ее способности генерировать приток иностранных туристов или предоставлять средства для обеспечения более гибких цен в ее экспортной промышленности. В развитой же или индустриальной стране можно отметить способность туристской индустрии содействовать разнообразию национальной экономики и противостоять неустойчивости р егиональной экономики.
Значение туризма для экономики страны можно оценить с учетом ее относительной доли в общемировом числе. Таким образом можно оценить относительное значение отдельных стран для мирового туризма.
С другой стороны, значение туризма может быть исследовано с учетом важности туристской деятельности для экономики каждой отдельной дестинации. Наилучший результат даст рассмотрение этих аспектов вместе, что поможет установить, почему же одни страны лидируют по отправке туристов, а другие попали в зависимость от своей туристской деятельности.
Туризм так или иначе оказывает воздействие на экономику практически по всем аспектам фундаментального определения этой сферы жизни общества.
Современный туризм как экономическое явление:
• имеет индустриальную форму;
• выступает в виде турпродукта и услуг, которые не могут накапливаться и транспортироваться;
• создает новые рабочие места и выступает зачастую пионером освоения новых районов и катализатором ускоренного развития национальной экономики;
• представляет собой механизм перераспределения национального дохода в пользу стран, специализирующихся на туризме;
• является мультипликатором роста национального дохода, занятости и развития местной инфраструктуры и роста уровня жизни местного населения;
• характеризуется высоким уровнем эффективности и быстрой окупаемостью инвестиций;
• возникает как эффективное средство охраны природы и культурного наследия, поскольку именно эти элементы составляют основу его ресурсной базы;
• совместим практически со всеми отраслями хозяйства и видами деятельности человека, поскольку именно их дифференциация и дискретность создают ту разность потенциалов рекреационной среды, которая вызывает потребность людей к познанию и перемене мест своего пребывания.
Приведенные выше данные о вкладе туризма в мировую экономику создают представление об эффективности туризма только в самом общем виде. К сожалению, все еще не существует единой методики по оценке вклада туризма в национальное и мировое хозяйства, и пока для иллюстрации в клада туризма в экономику (его экономического эффекта) используют следующие переменные:
• вклад туризма в создание национального дохода;
• туризм и платежный баланс;
• туризм и налоговые поступления в бюджет;
• туризм и рост числа рабочих мест;
• влияние туризма на региональное развитие. Значимость каждой из этих составляющих для оценки эффекта
от туризма известна, хотя теоретическая разработка оценки каждой из них требует дальнейших исследований. Особенно слабо обстоит дело с оценкой роли туризма в национальном доходе.
Таким образом, туризм способен оказывать влияние на экономику региона (или страны), в котором он развивается, на его хозяйственную, социальную и гуманитарную основы.
Внушительные количественные показатели туризма создают некую «иллюзию благополучия», но если произвести подробный качественный анализ, то открываются и другие характеристики этой отрасли.
Прежде всего, туризм существенно отличается от других отраслей экономики: это очень сложный сектор. Имеется огромное разнообразие туристских программ: от нескольких дней в обычном месте отдыха (для гражданина среднего достатка) до роскошного праздника (для состоятельных людей); от простых экскурсий до поездки на арендованной яхте с экипажем.
Характерно, что прибыль от туризма отнюдь не всегда получает тот, кто несет издержки. Крупнейшие корпорации вкладывают средства в строительство новых объектов в развивающихся странах, используя дешевую рабочую силу; они получают большие прибыли, а уровень благосостояния местного населения почти не увеличивается.
Туристы нередко нарушают спокойное течение жизни людей и их социальный уклад, а местные органы самоуправления вынуждены расходовать больше средств на строительство и эксплуатацию водоочистных установок и дорог, необходимых для обслуживания большого числа гостей и т. д.
Историография работ по проблемам российской экономики туризма до начала третьего тысячелетия была невелика. Кроме того, учебники и учебные пособия, вышедшие до 2003 г., посвящены туризму в целом, что (учитывая тот факт, что туризм представляет собой достаточно сложный феномен развития современного общества) делает невозможным детальное описание всех его сторон и граней. Так, например, в научных работах до 2002г. подходы к изучению туристской деятельности примерно одинаковы:
история ее развития (с той или иной степенью детализации);
определения туристской деятельности;
виды и формы туризма;
структура и краткая характеристика инфраструктуры туристкой деятельности и некоторые другие аспекты.
Начиная примерно с 2002г., работы по туристской деятельности стали носить более узконаправленный, специализированный характер, и общие вопросы (такие, как например виды и формы туристской деятельности) в них уже не рассматриваются.
Глава 1.
1.1. Отрасль экономики и отраслевая классификация
Структура единого народнохозяйственного комплекса. Развитие производительных сил является главным фактором общественного разделения труда и формирования отраслей и крупных отраслевых групп. Экономика народного хозяйства имеет много структур. Это обусловлено многообразием процессов производства, общим его прогрессом, присвоением производственных благ. Структура отражает строение экономики, соотношение ее подсистем и звеньев, пропорции и взаимосвязи между ними. Внедрение в широких масштабах достижений науки и техники в производство, изменение социально -экономических условий жизни ведет к изменениям структуры народного хозяйства: возникают и ускоренно развиваются все новые виды производства, которые обособляются в отдельные отрасли и подотрасли. Вместе с тем прои сходит устаревание ранее производимой продукции, и некоторые традиционные отрасли и подотрасли теряют свое значение.
Изучение различных структур связано с выяснением места и роли в народном хозяйстве составляющих его комплексов, определением путей их более эффективного функционирования. Организационная структура экономики характеризует соподчиненность и взаимосвязь между различными звеньями общественного производства как по вертикали, так и по горизонтали. В настоящее время эта система структур включает сотни тысяч объединений, предприятий и организаций производственного комплекса и непроизводственной сферы.
Структуру единого народнохозяйственного комплекса страны (производственного комплекса и непроизводственной сферы) можно представить в следующем виде:
• отраслевые (межотраслевые) народнохозяйственные
комплексы (промышленность, сельское
хозяйство, строительство, транспорт и т.д.);
• функциональные комплексы (машиностроительный, топливно -энергетический,
аграрно-промышленный, строительный и т.д.);
• региональные комплексы (часть единого комплекса страны на определенной территории);
• территориально-производственные комплексы (ТПК) с их основной отраслью специализации;
• промышленные узлы как звено ТПК (промышленные производства на сравнительн о
ограниченной территории);
• социально-производственные комплексы (сельский район, город).
Отрасль экономики это совокупность предприятий и производств, обладающих общностью производимой продукции, технологий и удовлетворяемых потребностей.
По законодательству России отрасль экономики составляют производители аналогичного или непосредственно конкурирующего товара, на долю которых приходится основная часть (более 50 %) объема производства такого товара.
Статистическая комиссия ООН во введении к третьем у варианту Международной стандартной отраслевой классификации (МСОК) дает следующее определение отрасли: отрасль экономики совокупность всех производственных единиц, осуществляющих преимущественно одинаковый или сходный вид производственной деятельности.
Любая отрасль состоит в свою очередь из большого количества взаимосвязанных подотраслей и производств. Возникновение отдельной самостоятельной отрасли народного хозяйства, ее отраслевая дифференциация это постоянный процесс, обусловленный разделением обще ственного труда. Существуют общее, частное и единичное разделения общественного труда.
Общее разделение труд а выражается в разделении общественного производства на материальное производство и нематериальную сферу: промышленность, сельское хозяйство, транспорт, здравоохранение, физическая культура и социальное обеспечение, народное образование, культура и искусство и т.д.
Частное разделение труда проявляется в обособлении отдельных отраслей и производств внутри промышленности, сельского хозяйства, строительства и других отраслей как материальной, так и нематериальной сферы.
Единичное разделение труда находит свое выражение в разделении и организации труда непосредственно на предприятиях. Производство той или иной продукции или услуг становится самостоятельной отраслью или самостоятельным производством при условии наличия ряда однородных предприятий, специально занятых изготовлением отдельных видов продуктов,
Отрасль промышленности, например, представляет собой совокупность субъектов хозяйственной деятельности независимо от их ведомственной принадлежности и форм собственности, разрабатывающих и (или) производящих продукцию (выполняющих работы и оказывающих услуги) определенных видов, которые имеют однородное потребительское или функциональное назначение.
Под структурой отрасли понимается состав, количественные соотношения и формы взаимосвязи отдельных отраслей и производств. Структура отдельной крупной отрасли страны формируется под воздействием многих факторов, важнейшими из которых можно назвать:
• научно-технический прогресс;
• планируемые темпы развития всей отрасли и ее отдельных подотраслей;
• концентрацию, специализацию, кооперирование и комбинирование производства;
• рост материального благосостояния и культурного уровня населения;
• общественно-исторические условия, в которых происходит развитие отрасли;
• международное разделение труда;
• укрепление позиций страны на мировом рынке.
Прогрессивность отраслевой структуры характеризуется такими количественными соотношениями отдельных отр аслей и производств, при которых обеспечивается наиболее эффективное использование достижений научно -технического прогресса, форм и методов организации производства, материальных и трудовых ресурсов.
Общие понятия о классификации отраслей и кодировании товаров и услуг. Рассмотрим различные стандарты и номенклатуры.
Понять принципы классифицирования объектов по различным категориям помогает изучение структуры товарной номенклатуры внешнеэкономической деятельности (ТН ВЭД). Так, например, ведение ТН ВЭД, классификация и кодирование товаров являются важными составными элементами таможенного дела. Выполнение этих функций таможенными органами важно с точки зрения правильного применения к тем или иным товарам мер таможенного регулирования.
От правильной классификации товаров зависит установление их стоимости и, следовательно, обоснованное начисление и взимание таможенных платежей.
Правильная классификация товаров имеет большое значение для ведения таможенной статистики внешней торговли, которая используется при выработке таможенной политики страны и принятии конкретных мер по ее реализации.
Номенклатура это система (совокупность) названий, терминов, употребляемых в отрасли науки, техники, практической деятельности, а товарная номенклатура термин, применяемый во многих отраслях, в том числе и в производстве, торговле, таможенном деле, внешнеэкономической деятельности, где приходится оперировать сотнями тысяч наименований товаров. Таким образом, товарная номенклатура это совокупность названий товаров, с которыми сталкиваются в своей деятельности таможенные органы и декларанты.
Учитывая, что товаров великое множество и изучить каждый товар в отдельности нелегко, его можно включить в отдельные разделы, группы, позиции по каким-либо общим элементам, т.е. систематизировать. При осуществлении таможенного регулирования внешнеторговых потоков систематизация товаров является одним из основных вопросов использования классификации товаров, т.е. разбиения множества объектов (товаров) на определенные подмножества (классы, подкласс ы, группы, подгруппы, виды, подвиды).
В зависимости от стоящих задач система классификации может быть сгруппирована по отраслям производства, материалам изготовления, степени обработки, назначению, где этим разделам (группам) могут присваивать цифры или ко ды.
Под товарной номенклатурой понимается подробный перечень товаров, распределенных по соответствующей системе классификации.
Кодирование товаров технический прием, в котором товар представлен в виде знака или группы знаков по правилам, установленным данной системой классификации.
Кодовая система товарной номенклатуры создается, чтобы информация была в удобной форме для ее сбора, проверки, передачи и обработки. Таким образом, классификация товаров с помощью товарной номенклатуры позволяет:
• осуществлять кодирование товаров;
• выполнять таможенные экономические операции (взимать таможенные платежи, определять
таможенную стоимость, вести отчетность, планирование и
т.д.);
• изучать товарную структуру внешней торговли.
В настоящее время в таможенных органах России используется ТН ВЭД; она построена на основе гармонизированной системы (ГС) описания и кодирования товаров, используемой в мировой практике. Созданию ГС предшествовала длительная история (с середины XIX в., когда в Европе начала развиваться внешняя торговля).
Впервые проблема классификации и унификации товаров обсуждалась в 1853г. на Первом Международном статистическом конгрессе в Брюсселе, где были приняты рекомендации по данному вопросу. В 1890г. на Международном конгрессе по таможенным вопросам в Париже договорились о принятии унифицированной номенклатуры. Через 60 лет после Первого Международного статистического конгресса (в 1913г.) в Брюсселе 29 стран подписали Конвенцию о предоставлении Международному бюро внешнеторговой статистики данны х по единой классификации и товарной номенклатуре. Она состояла из 5 разделов, включающих 186 базисных товарных позиции (в скобках):
1) живые животные (7);
2) продовольственные товары (42);
3) сырье и полуфабрикаты (49);
4) готовые изделия (84);
5) золото и серебро (4). ,
В 1938г. товарная номенклатура была переработана, и все товары были распределены на 17 разделов, а разделы на 50 групп и 456 базисных товарных позиций. В последующие годы товарная номенклатура также развивалась и совершенствовалась. Так, до 1990-х гг. в практике внешнеторговой деятельности использовалось три системы классификации товаров:
1) Номенклатура совместного таможенного сотрудничества (НСТС), или Брюссельская
таможенная номенклатура (БТН);
2) Единая таможенная номенклатура внешней торговли стран членов СЭВ (ЕТН ВТ СЭВ);
3) Стандартная международная торговая классификация ООН (СМТК ООН).
В СССР применяли вторую систему (с 1962 по 1991г.) и семизначный код, которые периодически дополняли и изменяли.
В западных странах применяли систему НСТС, которую также изменяли и дополняли. На ее основе впоследствии была создана комбинированная номенклатура (КН) Европейского экономического сообщества.
Система цифрового кодирования товарной номенклатуры позволяет представить всю необходимую информацию, используемую для сбора, передачи, практической деятельности, в автоматизированной системе в удобной для пользования форме. Товарная номенклатура предусматривает пять уровней детализации товаров:
1 раздел (например, отрасль с ельского хозяйства);
2 группа (например, зерновые культуры);
3 товарные позиции (например, зерновые делятся на рожь, пшеницу и т.п.);
4, 5 более низкие уровни детализации (например, пшеница твердых сортов).
Основные критерии классификации:
• материал, из которого товар выполнен;
• функции, которые товар выполняет;
• степень обработки (изготовления).
Всего товарная номенклатура состоит из 97 групп и 21 раздела; она утверждается Правительством РФ. В этой номенклатуре строго соблюдаются принц ипы однозначного отнесения товаров к той или иной группе.
Рассмотрим международные стандарты экономической деятельности, которые позволят приблизиться к рассмотрению туристской деятельности. С 1 января 1976г. в нашей стране действовал Единый классификатор «Отрасли народного хозяйства», который с учетом изменений и дополнений до 2003г. представлял собой Общероссийский классификатор «Отрасли народного хозяйства» (ОКОНХ). Этот документ представлял группировку видов деятельности по отраслям, отличающимся характером функций, т.е. позволял анализировать структуру народного хозяйства и использовался в статистической практике для идентификации видов деятельности.
Поскольку ОКОНХ был упразднен фактически недавно, именно с него целесообразно начинать анализировать под ходы к структурированию народного хозяйства. Этот классификатор выделял иерархию отраслей. Внутри крупных отраслей народного хозяйства выделялись более дробные отрасли совокупность предприятий, производящих более однородную продукцию или выполняющих однородные общественные функции. Предприятия, учреждения, организации, состоящие на самостоятельном балансе, являлись классификационными единицами отрасли, поскольку каждое из них относится к определенной отрасли народного хозяйства. Именно от их слияния и обра зуются отрасли, подотрасли, виды, группы и подгруппы, которые и образуют иерархическую структуру ОКОНХ.
Коды ОКОНХ группировались по первому знаку кода:
Отрасли производственной сферы:
• 10 000 промышленность;
• 20 000 сельское хозяйство;
• 30000 лесное хозяйство;
• 50 000 транспорт и связь;
• 60 000 строительство;
• 70 000 торговля и общественное питание;
• 80 000 материально-техническое снабжение и сбыт;
• 81 000 заготовки;
• 82 000 информационно-вычислительное обслуживание;
• 83 000 операции с недвижимым имуществом;
• 84 000 общая коммерческая деятельность по обеспечению
функционирования рынка;
• 85 000 геология и разведка недр, геодезическая и гидрометеорологическая службы;
• 87 000 прочие виды деятельности сферы материального производства.
Отрасли непроизводственной сферы:
• 90 000 жилищно-коммунальное хозяйство;
• 90 300 непроизводственные виды бытового обслуживания населения;
• 91 000 здравоохранение, физическая культура и
социальное обеспечение;
• 92 000 народное образование;
• 93 000 культура и искусство;
• 95 000 наука и научное обслуживание;
• 96 000 финансы, кредит, страхование и пенсионное обеспечение;
• 97 000 управление;
• 98 000 общественные объединения.
Отрасли народного хозяйства (с точки зрения характера общественного труда и участия в создании совокупного общественного продукта и национального дохода) подразделяются на сферу материального производства и непроизводственную сферу. Туризм не представлен отдельно ни в перечне отраслей, в которых предприятия (в них входящие) создают материальные блага в форме продуктов, энергии, перемещения грузов, хранения продуктов и других функций, ни в перечне предприятий, относящихся к непроизводственной сфере.
Необходимо отметить, что статистическая характеристика российской экономики в соответствии с действующей отраслевой классификацией значительно отличается от описания рыночной экономики развитых стран в соответствии с классификацией по видам экономической деятельности различных хозяйствующих субъектов. Указанный классификатор не обеспечил достоверного отражения существовавшей в 2003 г. хозяйственной инфраструктуры, поэтому дальнейшее его применение было упразднено.
Учитывая вышеизложенное и в соответствии с постановлением Правительства РФ от 01.11.99 № 1212,
Госстандартом России было принято постановление «О принятии и введении в действие Общероссийского классификатора видов экономической деятельности» (ОКВЭД) от 06.11.2001 № 454 -ст.
На сегодняшний день в общероссийских классификаторах используют международные классификации.
* Международный стандарт ИСО 3166-93 «Коды для представления названий стран».
• Международная стандартная отраслевая классификация всех видов экономической деятельности
(МСОК).
• Международный классификатор основных продуктов (МКОП).
• Международный классификатор стандартов (МКС).
• Международная стандартная классификация образования (МСКО).
• Международный стандарт ИСО 4217-94 «Коды для представления валют и фондов».
• Международная стандартная классификация занятий (МСКЗ).
• Стандарты ООН по международной системе национальных счетов.
• Международная классификация единиц измерения ЕЭК ООН «Коды для единиц измерения, используемых в международной торговле».
• Международный стандарт ИСО 31/0-92 «Величины и единицы измерения. Часть 0. Общие принципы».
Международный стандарт ИСО 1000-92 «Единицы СИ и рекомендации по применению кратных единиц и некоторых других единиц».
Так, например, СМТК ООН принята за основу построения национальных внешнеторговых классификаций большинством развитых стран. На базе СМТК рассчитывают групповые индексы, а по ним общие индексы внешней торговли. Основной признак распределения товаров по разделам, группам и подгруппам степень обработки продуктов. Разработчик Департамент международных экономических и социальных вопросов Статистического управления ООН. Объектами классификации являются товары и услуги, учитываемые во внешнеторговой статистике. Назначение данной классификации обеспечение сопоставимости данных внешнеторговой статистики национальных статистических служб. СМТК соотносится с ГС.
Вернемся к рассмотрению ОКВЭД. Он предназначен для классификации и кодирования видов экономической деятельности, заявляемых хозяйствующими субъектами при регистраци и.
Коды ОКВЭД группируют по разделам.
Раздел А. Сельское хозяйство, охота и лесное хозяйство.
Раздел В. Рыболовство, рыбоводство.
Раздел С. Добыча полезных ископаемых.
Раздел D. Обрабатывающие производства.
Раздел Е. Производство и распределение электроэне ргии, газа и воды.
Раздел F. Строительство.
Раздел G. Торговля автотранспортными средствами и мотоциклами, их техническое обслуживание и ремонт. Оптовая торговля.
Раздел Н. Оптовая торговля (продолжение).
Раздел I. Розничная торговля. Ремонт бытовых издели й и предметов личного пользования.
Раздел /. Транспорт и связь.
Раздел К. Финансовая деятельность.
Раздел L. Операции с недвижимым имуществом, аренда и предоставление услуг.
Раздел М. Государственное управление и обеспечение военной безопасности; обязатель ное социальное обеспечение.
Раздел N. Образование.
Раздел О. Здравоохранение и предоставление социальных услуг.
Раздел Р. Предоставление прочих коммунальных, социальных и персональных услуг.
Раздел Q. Предоставление услуг по ведению домашнего хозяйства.
Раздел К Деятельность экстерриториальных организаций.
Приведенные выше классификаторы не выделяют туристскую деятельность в отдельную отрасль или отраслевую подгруппу, однако многие из отраслевых подгрупп объединяют предприятия, учреждения и организации, про изводящие товары и услуги, необходимые для обслуживания туристов и экскурсантов, для удовлетворения их потребностей.
В ОКВЭД достаточно широко представлены различные виды туризма и классы туристской продукции и услуг. Это говорит о том, что рассмотрение туризма как вида деятельности уже опирается на авторитетные международные стандарты и должно учитываться при решении вопросов об управлении туризмом.
1.2. Межотраслевой баланс как инструмент изучения межотраслевых связей
Одним из важных разделов современн ой системы национальных счетов (СНС) является межотраслевой баланс (МОБ) производства и использования товаров и услуг, который детализирует счета товаров и услуг, производства и образования доходов; отражает процессы, происходящие на нынешнем этапе развития экономики; позволяет проводить системный счет основных показателей и анализ взаимосвязей между отраслями экономики, выявлять главные экономические пропорции, изучать структурные сдвиги и особенности ценообразования в экономике и т.д.
Балансовые модели (как динамические, так и статистические) широко используются при экономико -математическом моделировании экономических систем и процессов. В основе создания этих моделей лежит балансовый метод, т. е. метод взаимного сопоставления имеющихся материальных, трудо вых и финансовых ресурсов и потребностей.
Если описывать экономическую систему в целом, то под балансовой моделью понимается система уравнений, каждое из которых выражает требование баланса между производимым отдельными экономическими объектами количеством продукции и совокупной потребностью в этой продукции. При таком подходе рассматриваемая система состоит из экономических объектов, каждый из которых выпускает некоторый продукт; первая часть его потребляется другими объектами системы, а вторая выводится за пределы системы в качестве ее конечного продукта. Если вместо понятия «продукт» ввести понятие «ресурс», то под балансовой моделью следует понимать систему уравнений, которые удовлетворяют требованиям соответствия наличия ресурса и его использования.
Межотраслевой баланс один из важнейших видов балансовых моделей. Основу их информационного обеспечения в экономике составляет матрица коэффициентов затрат ресурсов по конкретным направлениям их использования. В модели МОБ такую роль играет так называемая технологическая матрица таблица МОБ, состоящая из коэффициентов (нормативов) прямых затрат на производство единицы продукции в натуральном выражении.
По многим причинам исходные данные реальных хозяйственных объектов не могут быть использованы в балансовых моделях непосредственно, поэтому подготовка информации для ввода в модель является весьма серьезной проблемой. Так, при построении модели МОБ используется специфическое понятие «чистая» (или технологическая) отрасль, т. е. условная отрасль, объединяющая все производства данного продукта, независимо от ведомственной (административной) подчиненности и форм собственности предприятий и фирм.
Переход от хозяйственных отраслей к чистым требует специального преобразования реальных данных хозяйственных объектов (например, агрегирования отраслей, исключения внутриотраслевого оборота и др.).
Межотраслевой баланс производства и распределения продукции в народном хозяйстве отражает производство и распределение общественного продукта в отраслевом разрезе, межотраслевые производственные связи, использование материальных и трудовых ресурсов, создание и распределение национального дохода.
Принципиальная схема МОБ производства и распределения совокупного общественного продукта в стоимостном выражении приведена в табл. 1.1. В основу этой схемы положено разделение совокупного продукта на две части: промежуточный и конечный; все народное хозяйство представлено в виде совокупности п отраслей (имеются в виду чистые отрасли), при этом каждая отрасль фигурирует в балансе как производя щая и потребляющая.
Рассмотрим схему МОБ в разрезе его крупных составных частей. Выделяются четыре части, имеющие различное экономическое содержание, они называются квадрантами баланса и на схеме обозначены выделенными цифрами.
Первый квадрант МОБ это шахматная таблица межотраслевых материальных связей. Показатели, помещенные на пересечении строк и столбцов, представляют собой величины межотраслевых потоков продукции и в общем виде обозначаются ху, где / и j соответственно номера производящих и потребляющи х отраслей. Так, величина х32 понимается как стоимость средств производства, произведенных в отрасли 3 и потребленных в качестве материальных затрат в отрасли 2. Таким образом, первый квадрант по форме представляет собой квадратную матрицу порядка п, сумма всех элементов которой равна годовому фонду возмещения затрат средств производства в материальной сфере.
Во втором квадранте представлена конечная продукция всех отраслей материального производства, при этом под конечнымпонимается продукт, выходящий из сф еры производства в область конечного использования (на потребление и накопление). В табл. 1.1 этот раздел дан укрупненно в виде столбца величин Y,. В развернутой схеме баланса конечный продукт каждой отрасли показан дифференцированно по направлениям исполь зования на личное потребление населения, общественное потребление, на накопление, возмещение потерь, экспорт и др. Итак, второй квадрант характеризует отраслевую материальную структуру НД, а в развернутом виде также распределение НД на фонд накопления, фонд потребления, структуру потребления и накопления по отраслям производства и потребителям.
Третий квадрант МОБ также характеризует НД, но со стороны стоимостного состава как сумму чистой продукции и амортизации; чистая продукция понимается при этом как оп лата труда и чистого дохода отраслей. Сумму амортизации (cj) и чистой продукции (vj + т]) некоторой у'-й отрасли будем называть условно чистой продукцией этой отрасли и обозначать в дальнейшем Zj.
Четвертый квадрант баланса находится на пересечении столбцов второго квадранта (конечной продукции) и строк третьего квадранта (условно чистой продукции). Этим определяется содержание квадранта: он отражает конечное распределение и использование НД. В результате перераспределения первоначально созданного НД образуются конечные доходы населения, предприятий, государства. Данные четвертого квадранта важны для отражения в межотраслевой модели баланса доходов и расходов населения, источников финансирования капиталовложений, текущих затрат непроизводственной сферы, для анализа общей структуры конечных доходов по группам потребителей. Общий итог четвертого квадранта, так же как второго и третьего, должен быть равен созданному за год НД.
Таким образом, в целом МОБ в рамках единой модели объединяет балансы отраслей материального производства, баланс совокупного общественного продукта, балансы НД, финансовый баланс и баланс расходов и доходов населения. Следует особо отметить, что хотя валовой общественный продукт не входит в рассмотренные выше четыре квадранта, он представле н в принципиальной схеме МОБ в двух местах в виде столбца, расположенного справа от второго квадранта, и в виде строки ниже третьего квадранта. Эти столбец и строка валовой продукции замыкают схему МОБ и играют важную роль как для проверки правильности заполнения квадрантов (т.е. проверки самого баланса), так и для разработки экономико-математической модели МОБ. Если, как показано на схеме, обозначить валовой продукт некоторой отрасли буквой X с нижним индексом, равным номеру данной отрасли, то можно записать два важнейших соотношения, отражающих сущность МОБ и являющихся основой его экономико-математической модели.
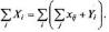
Во-первых, рассматривая схему баланса по столбцам, можно сделать очевидный вывод, что итог материальных затрат любой потребляющей отрасли и ее у словно чистой продукции равен валовому продукту этой отрасли. Данный вывод можно записать в виде следующего соотношения:
X) = +Zi* j = J и.
і
Напомним, что величина условно чистой продукции Zj равна сумме амортизации, оплате труда и чистого дохода у' -й отрасли. Соотношение (1) охватывает систему из п уравнений, отражающих стоимостной состав продукции всех отраслей материальной сферы.
Во-вторых, рассматривая схему МОБ по строкам для каждой производящей отрасли, можно видеть, что валовая продукция той или иной отрасли равна сумме материальных затрат отраслей, потребляющих ее продукцию, и конечной продукции данной отрасли:
Хі = 4 Yi, і = I, .... n.
J
Формула (2) описывает систему из п уравнений, которые называются уравнениями распределения продукции отраслей материального производства по направлениям использования.
Просуммируем по всем отраслям уравнение (1), в результате получим

Аналогичное суммирование уравнений (2) дает

Левые части обоих равенств равны, так как представляют собой весь валовой общий продукт. Первые слагаемые правых частей этих неравенств также равны; их величина равна итогу первых квадрантов; следовательно, должно соблюдаться соотношение
X*frZK / *
Левая часть уравнения (3) сумма третьего квадранта, а правая часть итог второго квадранта. В целом же это уравнение показывает, что в МОБ соблюдается важнейший принцип единства материального и стоимостного состава НД.
Выше было отмечено, что основу информационного обеспечения модели МОБ составляет технологическая матрица, содержащая коэффициенты прямых материальных затрат на производство единицы продукции. Эта матрица является также основной экономико-математической моделью МОБ. Предполагается, что для производства единицы продукции необходимо определенное количество затрат промежуточ ной продукции /-й отрасли, равной а0. Оно не зависит от объема производства в отрасли и является довольно стабильной величиной во времени. Величины ац называют коэффициентами прямых материальных затрат и рассчитывают следующим образом:
= XqfXj, ij = 1, .... л.
Коэффициент прямых материальных затрат показывает, какое
количество продукции /-и отрасли необходимо, если учесть только
прямые затраты, для производства единицы продукции у-и отрасли.
С учетом формулы (4) систему уравнений баланса (2) можно
записать в следующем виде:
х, + і = \.....&
J
Если ввести в рассмотрение матрицу коэффициентов прямых материальных затрат А = {ау}, вектор столбец валовой продукции X и вектор столбец конечной продукции Y, то система уравнений
(5) в матричной форме примет следующий вид: х ^ лх + г.
Система уравнений (5), или в матричной форме (6), называется экономико-математической моделью МОБ (моделью Леонтьева, или моделью «затраты выпуск»).
1.3. Условия формирования отрасли туризма
Туризм, не будучи на сегодняшний день (по общероссийским классификаторам) выделяем в отдельную самостоятельную отрасль народного хозяйства, является экономическим явлением, которое многие исследователи с некоторой долей условности называют агрегированной отраслью экономики.
Рассмотрим понятие «агрегирование». Агрегирование объединение, укрупнение показателей по какому -либо признаку. С
математической точки зрения агрегирование рассматривается как преобразование модели в модель с меньшим числом переменных и ограничений агрегированную модель, дающую приближенное (по сравнению с исходным) описание изучаемого процесса или объекта. Его сущность в соединении однородных элементов и превращении их в более крупные.
Некоторыми теоретиками термин «агрегирование» понимается также как переход от микроэкономического к макроэкономическому взгляду на изучаемые экономические явления.
В экономико-математических моделях агрегирование необходимо потому, что ни одна модель не в состоянии вместить всего многообразия реально сущес твующих в экономике продуктов, ресурсов, связей. Даже крупноразмерные модели, насчитывающие десятки тысяч показателей, неизбежно являются продуктом агрегирования.
В процессе управления при переходе от низшей ступени к высшей показатели агрегируются, а числ о их уменьшается, но при этом часть информации теряется (при сведении воедино заказов на материалы, например, уже неизвестно, каких именно марок и размеров они нужны каждому заказчику) и приходится вести расчеты приближенно, на основании статистических закономерностей. Поэтому всегда надо сопоставлять выгоду (от сокращения расчетов) с ущербом, который наносит потеря части информации.
Особенно затруднено агрегирование в динамических моделях, поскольку с течением времени меняется соотношение элементов, входящих в укрупненную группу (возникает структурная неоднородность).
Агрегирование имеет большое значение в методе МОБ, где оно означает объединение различных производств в отрасли, продуктов в обобщенные продукты и укрупнение таким путем показателей балансовых расчетов. Межотраслевой баланс обычно оперирует чистыми отраслями, т.е. условными, каждая из которых производит и передает другим отраслям один агрегированный продукт. Количество их ограничивается вычислительными возможностями и некоторыми обстоятельства ми математического характера, однако в принципе, чем больше детализация МОБ, тем точнее расчеты, тем лучше он отражает действительность.
Агрегирование в МОБ возможно двух типов: вертикальное и горизонтальное. Вертикальное означает объединение продукции по технологической цепочке. Например, в соответствии с этим принципом в одну группу могут быть объединены железная руда, чугун, сталь, прокат (тогда отрасль дает потребителям один продукт прокат), в другую пряжа, суровая ткань, готовая ткань, в третью целлюлоза, бумажное производство. При этом все показатели, прежде всего затраты, относятся на избранную единицу агрегированного продукта (в данных примерах, это: 1 т готового проката, 1 млн м готовой ткани, 1 т бумаги).
Выбрать правильное объединение сложно, поскольку та же сталь может отпускаться потребителям (для литейных производств) не в виде проката, а в виде слитков; целлюлоза может поступать не только на бумажные комбинаты, но и на заводы искусственного волокна, где из нее делают вискозную пряжу, и т.д.
При горизонтальном агрегировании в одну группу объединяются, например, продукты, сходные между собой либо по экономическому назначению (различные виды зерна, топлива), либо по техническим условиям производства. Это связано, однако, с дополнительными трудностями. Логично объединить в одну группу всю электроэнергию, но структура затрат на ее производство на тепловых и гидравлических станциях в корне различна. Любой сдвиг в соотношениях внутри такой объединенной отрасли резко скажется на ее показателях, необходимых для расчета. Наиболее рациональные способы агрегирования отраслей и продуктов определяются путем экономико-математических расчетов. Основным инструментом агрегирования почти во всех экономических расчетах является цена.
Между тем агрегированный характер туристской отрасли зачастую приводит к недооценке вклада туризма как в национальную, так и в региональную экономики. Оказывая воздействие на развитие многих других секторов деятельности (включая гостиничное хозяйство, транспорт и коммуникации, строительство, сельское хозяйство, розничную торговлю, производство и торговлю сувенирами и др.), туризм является катализатором развития целого блока отраслей и секторов экономики, что зачастую «размывается» в традиционной статистике, учитывающей генерируемые тури змом доходы по другим отраслям. Таким образом, экономическое воздействие туризма определяется по значительно заниженным показателям. Отсюда и проистекают абсолютно не соответствующие действительному положению вещей оценки доли доходов от туризма в ВВП России (менее 1 %), затрагивающие лишь самый первый слой доходы от продажи непосредственно турпутевок.
Недооценка значимости туристского комплекса, вызванная отсутствием подхода к нему как к единому целому, является существенным тормозом на пути его развития. Неблагоприятно складывающаяся система приоритетов в широком спектре практических инициатив от реальной экономической политики правительств и администраций до распределения частных инвестиций во многом базируется на размытости статистики туризма и неразвитости анализа его экономического воздействия.
Рассмотрим предмет экономики туризма. Изначально термин «экономика» рассматривался в двух значениях:
1) народное хозяйство, включающее отрасли материального производства и непроизводственной сферы;
2) научная дисциплина, занимающаяся изучением отраслей народного хозяйства страны или отдельных регионов, а также отдельных секторов и некоторых условий и элементов производства.
Предметом экономики туризма являются экономические отношения, которые возникают и развиваю тся в сфере туризма в процессе производства, распределения и потребления туристских продуктов и услуг, предназначенных для удовлетворения потребностей потребителя.
Экономика туризма представляет собой научную дисциплину, которая исследует отраслевые аспект ы экономических отношений в этой сфере деятельности, а также процессы и явления, происходящие в процессе производства, формирования обмена и потребления туристских продуктов и услуг как на внутреннем, так и на внешнем рынках.
В сложившихся на сегодняшний день условиях экономика туризма рассматривает туризм как сложный социально -экономический организм с множеством собственников и субъектов деятельности, хотя дискуссия о том, является ли туризм отраслью хозяйства или межотраслевым комплексом, продолжается до сих пор.
Деятельность этого сложного социально -экономического организма в свою очередь оказывает существенное влияние на функционирование:
отдельных экономических субъектов (микроэкономика);
национальной экономики в целом (макроэкономика);
определенных подсистем национальной экономики или отраслей народного хозяйства (мезоэкономика);
мировой экономики в целом (метаэкономика).
Современное развитие туризма и производство туристских продуктов невозможно представить обособленным, изолированным, функционирующим и развивающимся вне национальной экономики. В реальной хозяйственной жизни оно базируется на межотраслевой производственной кооперации, связывающей туризм и сопряженные с ним отрасли экономики: транспорт, сельское хозяйство, строительство, которые, с одной стороны, поставляют туризму необходимые средства и технические условия производства, т. е. формируют материально -техническую базу туризма, а с другой доводят произведенные туристские продукты до потребителя.
На основе взаимодействия различных отраслей и возникает туристский комплекс функциональная многоотраслевая система, выражающая взаимосвязь, взаимодействие собственного турпро -дукта и сопряженных с ним отраслей экономики по производству туристских продуктов, товаров и услуг и их реализации.
Практически все отрасли национальной экономики прямо или косвенно участвуют (или могут участвовать) в функционировании туристского комплекса, несмотря на то что вычленить туристскую составляющую и провести четкую его границу инструментами современной статистики чрезвычайно сложно. В документах Всемирной туристской организации отмечается, что когда учитывается косвенное воздействие туризма, только одна отрасль оборонная не испытывает никакого влияния. Однако и это утверждение оспаривается (например, Ю. В.Темным и Л. Р.Темной).
Стадии жизненного цикла отрасли. Развитие отрасли определяется как результат влияния определенных внешних сил на предприятия и квалифицируется четырьмя стадиями жизненного цикла. Внешние силы в общем случае не контролируются предприятиями, хотя допускается, что возможно оказывать некоторое влияние на них при определенных условиях (например, при репозиции продукта на стадии зрелости или внедрении нового продукта), основываясь на новых технологиях.
Различные стадии жизненного цикла отрасли характери зуются изменениями во времени в объемах продаж, движении наличности и прибыли производства в целом.
Приведем характеристики четырех стадий зрелости отрасли.
1. Рождение. Отрасль, находящаяся на этой стадии, возникла недавно как осознание существования некот орой неудовлетворенной потребности группы потребителей или путем развития рынков товаров, основанных на новых технологиях, ранее не существовавших или не использовавшихся, для удовлетворения определенных потребностей потребителя. Основными характеристиками такой отрасли являются изменения в технологии, энергичный поиск новых потребителей и фрагментарность предложений на быстро меняющемся рынке. Объем продаж быстро растет; прибыли, как правило, нет, но растут только инвестиции, поэтому поток денежной налично сти здесь пока еще отрицательный. Идет поглощение денежной наличности для развития отрасли.
2. Рост. На этой стадии продукция отрасли начинает пользоваться спросом у все большего числа покупателей, и конкуренты начинают бороться за получение все больших дол ей увеличивающегося «доходного пирога». На стадии роста покупатели, доли и технологии становятся известны гораздо лучше, и вхождение в отрасль новых «игроков» оказывается гораздо более трудным делом. Объем продаж быстро увеличивается; появляется прибыль, объемы которой быстро нарастают, хотя поток денежной наличности все еще может быть отрицательным.
3.Зрелость. На данной стадии происходит полное насыщение рынка. Большинство потенциальных покупателей приобретает продукцию достаточно регулярно. Зрелость хара ктеризуется стабильностью известных покупателей, технологий, распределения долей на рынке, хотя конкуренция на рынке за его перераспределение все еще может продолжаться. Объем продаж достигает предельно высокого уровня, после чего наступает замедление роста и затем полная остановка; прибыли достигают предельно высокого уровня и остаются на этом уровне или начинают немного снижаться, в то время как движение наличности остается позитивным.
4.Старость. На данной стадии покупатели постепенно теряют интерес к продукций либо потому, что новые и более качественные ее заменители начинают вытеснять старую продукцию, либо потому, что меняются потребительские предпочтения или вкусы покупателей. Главными характеристиками этой стадии являются падение спроса, уменьшение числа конкурентов и (во многих аналогичных производствах) сужение ассортимента товаров. Объем продаж резко падает, прибыли снижаются, движение наличности падает медленно; все параметры сходятся к нулю.
Абсолютных правил определения, когда отрасль переходит от одной стадии к другой, не существует. Отрасль, находящаяся на стадии зарождения (как например, производство электронной измерительной аппаратуры), характеризуется быстрым ростом и непостоянством размеров рынка. Отрасль на стадии роста (например, производство микрокомпьютеров) характеризуется быстрым ростом, стабилизацией размеров рынка и отработкой технологии. Вместе с тем начинают возникать барьеры, мешающие проникновению новичков на этот рынок. Отрасль на стадии зрелости (например, сталелитейная промыш ленность) отличается стабильными размерами рынка, постоянством доли на нем и установившейся технологией. Наконец, для отрасли на стадии старения (например, производство черно -белых телевизоров) характерны низкая рентабельность, падающий спрос и уменьшение конкурентной борьбы.
Основные характеристики стадий жизненного цикла отрасли приведены в табл. 1.2.
Экономическая деятельность представляет собой процесс создания материальных и духовных благ, необходимых для существования и развития человека. Она включает в себя следующие основные элементы: производство, распределение и потребление.
Цель производства создание благ, отвечающих нуждам и потребностям людей. И производство, и распределение, и потребление связаны с человеком и его потребностями. В результате взаимодействия факторов производства появляются продукты, предназначенные для производственного или личного потребления (инвестиционные и потребительские товары).
Инвестиционные товары в виде средств производства возвращаются в производство для использовани я, а потребительские товары (продукты питания, одежда, жилье, услуги) предлагаются для удовлетворения конечных потребностей людей.
Производственная деятельность осуществляется по трем направлениям:
1) первичное производство (сельское и лесное хозяйство, охота и рыболовство, производство энергии, добыча полезных ископаемых);
2) вторичное производство, или дальнейшая переработка (отрасли, производящие основные материалы, средства производства, потребительские товары, ремесла);
3) третичное производство, или услуги (транспортные предприятия, гостиницы и рестораны, кредитные институты, учреждения образования, науки, культуры).
Экономическая деятельность в рамках последнего направления связана с обслуживанием отраслей первого и второго направлений или отдельных лиц. Основные участники этой сферы финансовые институты, страховые, торговые, туристские, транспортные, развлекательные и другие предприятия.
Перечисленные направления производственной деятельности объединяют в две большие группы: производственный сектор, который охватывает отрасли первых двух направлений, и сферу услуг. Группы различают по темпам роста, структуре цен, размерам и географической ориентации.
Производственный сектор включает в себя добывающую и обрабатывающую промышленности, строительство, сельс кое хозяйство, а сектор услуг оптовую и розничную торговлю, транспортные предприятия и биржи, консультативные, кредитные и страховые компании, ярмарки и выставочные комплексы, образовательные и научные учреждения, туристские фирмы, гостиницы и рестораны, телекоммуникации.
Между этими двумя секторами отсутствует конкуренция, так как они представляют собой взаимодействующие и взаимозави -сящие друг от друга части единого целого. Соотношение секторов в экономике страны зависит от степени развития общества. Общемировой тенденцией является перемещение ресурсов из сферы материального производства в сферу услуг. Состояние сферы услуг стало показателем уровня развития современной экономики. Количество работников, занятых в сфере услуг разных стран, превышает число трудящихся в других отраслях вместе взятых. Темпы роста сферы услуг во всех странах мира в два раза превышают темпы роста производственной сферы. В последние несколько десятилетий произошли глубокие изменения в структуре экономики практически всех стран. В индустриальных странах сектор услуг составляет 60 70 % в общем объеме национального производства (табл. 1.3).
В результате производственной деятельности создается продукт, предназначенный для распределения и потребления. В обществе формируется сложная сис тема его движения к потребителю. Распределение туристских услуг происходит так же, как и в других сферах экономики. Обычно оно осуществляется по прямому каналу «производитель потребитель», иногда через посредника. В любом случае ключевым звеном получения потребителем продукта для удовлетворения своих нужд является предприятие.
Предприятия могут различаться по размерам, местоположению, степени диверсификации и интегрированности, характеру собственности. Они могут находиться в индивидуальном частном владении; их деятельность может быть направлена на получение прибыли или на функционирование как бесприбыльные организации; может принимать любую организационно -правовую форму (частное предприятие, товарищество, общество с ограниченной ответственностью, акционерн ое общество).
Предприятие выступает юридически самостоятельным участником рынка и независимым хозяйствующим субъектом, т. е. само решает, что производить, как производить и как использовать полученный результат. Если предприятие является коммерческой организацией, то его существование обеспечивается за счет разницы между стоимостью реализованной продукции и затратами (издержками) на привлекаемые факторы производства. При превышении совокупной выручки над издержками у предприятия появляется прибыль.
Экономика туризма основывается на общей экономической теории и предполагает микро- и макроэкономический анализ. Это означает, что при исследовании поведения предприятия необходимо рассматривать микро- и макросреду, в которых оно действует, а также его внутреннее строение.
Макросреда предприятия формируется под влиянием взаимодействующих между собой природных, экономических, демографических, социальных и политических факторов. Например, изменение социально-политических и экономических условий в России подтолкнуло развитие туризма внутри страны и стимулировало желание части населения путешествовать за ее пределами. Появление сети Интернет изменило систему отношений между партнерами в индустрии туризма.
Макроэкономика исследует экономику как единое целое. Она дает ответы на вопросы: как достичь полной занятости и как обеспечить экономический рост, что приводит к изменению общего уровня цен? К макроэкономическим относятся проблемы достижения устойчивого экономического роста, полной занятости и минимального уровня инфляци и.
Когда говорят «микросреда», то имеют в виду факторы, которые воздействуют непосредственно на поведение предприятия и влияют на его способность обслуживать клиента. Микросреду фирмы создают ее конкуренты, партнеры, посредники, потребители, а также государство, т. е. непосредственные участники рыночных отношений.
Микроэкономика изучает производство, потребление, инвестиции, сбережения и другие экономические явления с точки зрения поведения отдельных хозяйственных единиц (потребителя, домашнего хозяйства, предприятия, объединения и т.д.).
Наряду с макро- и микросредой в экономической науке выделяется внутрифирменная среда, природа которой раскрывается с помощью таких понятий, как «структура управления», «ресурсы», «кадровая политика», «уровень менеджмента» и др.
В настоящее время жесткое разделение макро - и микроанализа в экономической теории не является достаточно аргументированным. В действительности эти два уровня тесно взаимосвязаны. Огромное количество экономических решений принимается участниками рынка с учетом складывающейся экономической ситуации не только на микро -, но и на национальном и даже мировом уровнях.
1.4. Условия функционирования отрасли туризма
Туристская деятельность это сфера экономической деятельности, направленная непосредственно на п редоставление услуг людям, которые желают путешествовать. Туристы выступают как потребители разнообразных товаров и услуг.
Связи между производством и потреблением, производителями и звеньями общественного производства, обеспечивающими реализацию валового национального продукта, формируют рынок, который определяет поведение каждого человека, организации, государства. В экономической литературе существуют различные подходы к определению природы рынка. В узком смысле рынок это место, где встречаются спрос и предложение товаров и услуг и формируются их цены; или совокупность сделок, осуществляемых в определенной сфере экономики и на конкретной территории. В широком смысле рынок сложнейший экономический организм, обеспечивающий обращение потребительских товар ов, услуг, средств производства, денег, капиталов, жилья, технологий и др.
Итак, туристский рынок (рынок туристских услуг) это общественно-экономическое явление, объединяющее спрос и предложение для обеспечения процесса купли -продажи специфических туристских товаров и услуг в данное время и в данном месте. Принято считать, что рынок эффективно функционирует в том случае, если соблюдаются три основных условия:
свободная конкуренция производителей;
наличие одинаковых правил в области качества и безопасности выпускаемой продукции и оказываемых услуг;
возможность свободного выбора потребителей.
Рынок можно представить как механизм, который позволяет сбалансировать спрос, предложение и цену, и как способ поведения хозяйствующих субъектов. Экономика развитых стр ан приводится в движение рынком. Он выступает в качестве важнейшего фактора экономической среды. На рынке формируется система отношений, в которой координация действий осуществляется в процессе взаимодействия потребителей и производителей при минимальном вмешательстве государства.
Рыночная экономическая система функционирует на принципах саморегуляции. Здесь все решения принимаются самостоятельно отдельными лицами, домашними хозяйствами, предприятиями, компаниями, государственными учреждениями, странами. Поведение продавцов и покупателей координируется через механизм цен, который поддерживает равновесие между производством и потреблением, спросом и предложением. Поток товаров и услуг между хозяйствующими субъектами уравновешивается потоком денежных платежей.
Обмен один из способов удовлетворения потребностей. В результате общественного разделения труда и его специализации у людей появилась возможность создавать больше продуктов, чем если бы каждый человек все производил для себя сам, поэтому потребности полнее удовлетворяются при обмене одних товаров на другие. Чтобы получить желаемое, необходимо взамен предложить что-то свое другой продукт или деньги. Это и происходит на рынке. Для нормального обмена предполагается наличие двух договаривающихся сторон и торговой операции, совершаемой ими.
Самой примитивной формой обмена товаров и услуг является бартер. Бартерная форма обмена очень несовершенна и на внутреннем рынке применяется только при неразвитой торговле (в условиях дефицита или высокой инфляции). Владелец товара вынужден сам искать того, кто испытывает нужду в его товаре. Акты купли-продажи не совпадают во времени и пространстве, продавцы и покупатели вступают в непосредственные отношения друг с другом. Зачастую производитель покупает ненужный ему товар, чтобы в последующем обменять его на необходимый. Эти проблемы легко решаются с помощью денег. Их использование значительно упростило обмен. Деньги в качестве посредника (товар деньгитовар) дают возможность приобретать любые товары и услуги, поскольку являются всеобщим платежным средством.
Функции рынка. Рынок это регулятор общественного производства. Он способствует устранению диспропорций между производством и потреблением, приводит производство в соответствие с общественными потребностями. Вместе с тем рынок, активизируя человеческий фактор, выступает как стимулятор повышения эффективности общественного производства через инициативу, расширение возможностей для принятия самостоятельных решений, развитие и реализацию индивидуальных способностей человека. И хотя все производители формально обладают одинаковыми возможностями для участия в рыночных отношениях, однако в более выгодном положении оказываются те из них, которые точнее определили направление развития общества и у которых ниже затраты и выше производительность факторов производства.
Важной функцией рынка является также информационная. Через постоянно меняющиеся цены рынок информирует производителей и потребителей о состоянии экономики. Производитель, чтобы удержаться на рынке, вынужден постоянно заботиться об уровне издержек, и если они выходят за пределы определенной общественной (рыночной) нормы, то товары и услуги не находят сбыта, и предприятие терпит убытки. В конце концов оно будет вынуждено уйти с рынка, который в этом случае выполняет санирующую (оздоровительную) функцию.
Структура рынка. Общие принципы поведения предприятия на рынке определяются структурой рынка. Под структурой рынка понимают его внутреннее строение, наличие устойчивой связи между его элементами, каждый из которых имеет свою с пецифику. Существует множество критериев для ее характеристики, но наиболее распространенным является состояние конкурентной среды: численность продавцов и покупателей, степень
дифференциации конкурирующих и схожести продаваемых товаров, уровень барьеров для проникновения новых конкурентов, способность продавцов и покупателей воздействовать на цены, величина издержек и структура затрат. Когда речь идет о структуре рынка, то имеется в виду не столько количество компаний и фирм, действующих на рынке, сколько острота конкуренции между ними.
Конкуренция необходимое условие существования рынка. Обычно под конкуренцией понимают борьбу двух или более соперников на конкретных рынках. Содержание конкуренции раскрывается в ее функциях.
Во-первых, при наличии конкуренции фирмы создают только те товары и услуги, которые они в состоянии реализовать. Конкуренция воздействует на производство таким образом, чтобы оно максимально отвечало требованиям потребителей, иначе товар будет продан по низкой цене или останется нереали зованным.
Во-вторых, конкуренция заставляет производителя рационально использовать ресурсы и постоянно повышать производительность труда, выбирая наиболее эффективную комбинацию факторов производства.
В-третьих, рыночная конкуренция заставляет производител я постоянно предлагать потребителю совершенно новую продукцию или улучшать уже существующую, чтобы получить более высокую прибыль.
Острота конкуренции непосредственно зависит от характера отношений между участниками рынка, находящимися на стороне предложения, и от их экономической мощи, однако на поведение фирмы оказывают влияние и другие немаловажные факторы, например темпы развития отрасли, степень дифференциации производимой продукции, скорость наращивания мощностей, сложность перелива капитала из одной отрасли в другую.
На туристском рынке степень остроты конкуренции усиливается тем, что спрос на этот вид услуги носит сезонный характер. При разработке стратегии поведения фирмы на рынке следует учитывать прежде всего такой важный компонент конкурентной среды, как количество продавцов и покупателей. Существуют рынки, где действует много фирм с небольшим объемом бизнеса. Каждая из этих фирм ничем не выделяется среди множества других, но они все внимательно следят друг за другом. Есть рынки, где действует малое количество продавцов, но они являются достаточно крупными, чтобы повлиять на рынок в целом.
Другой важный компонент конкурентной среды, влияющий на стратегию фирмы, степень схожести продаваемых товаров. При определении стратегии конкурентного поведения компании в зависимости от данного фактора обычно опираются на три основных критерия:
1) идентичные товары и услуги производятся в рамках одной отрасли. Например, товары ресторанов быстрого обслуживания McDonald's, Burger King, Wendy's, Hardee's. Если продукция идентична, то покупатели не выказывают предпочтения определенной фирменной марке. Когда товары разных фирм одной отрасли имеют тенденцию заменять друг друга, то между компаниями, производящими идентичную продукцию, возникает внутриотраслевая конкуренция;
2) в рамках одной отрасли производятся не идентичные, а схожие товары. Эта схожесть может быть и очень близкой, и отдаленной (например, продукция ресторанов быстрого обслуживания и других предприятий, специализирующихся на приготовлении пищи);
3) борьба за потенциальных клиентов идет между фирмами из разных отраслей (например, для ресторанов конкурентами являются продовольственные магазины). Эта форма конкуренции получила название межотраслевой. Обычно она осуществляется с помощью товаров-заменителей.
Если анализировать рынок, опираясь на такие показатели, как количество продавцов и покупателей, а также доля продукции каждой фирмы на рынке, то получим четыре основных его вида:
1) совершенная конкуренция;
2) чистая монополия;
3) монополистическая конкуренция;
4) олигополия.
Рынок совершенной (свободной, чистой) конкуренции это такая рыночная структура, где действует большое число продавцов и покупателей стандартизированной продукции. Этот рынок характеризуется высшей степенью схожести товара и открыт для каждого. Необходимое условие совершенной конкуренции отсутствие возможности сговора между продавцами о цене.
Признаки рынка. Назовем основные признаки рынка совершенной конкуренции.
1. Товары разных производителей идентичны по своим свойствам. При идентичности имеющихся на рынке продуктов потребителю безразлично, у кого покупать товар, поэтому он ориентируется на цену и отдает предпочтение тому товару, который дешевле. Если потребитель обладает необходимой информацией о действующих ценах, то продавец не может их поднять без риска растерять своих покупателей, поэтому убыточная фирма не может спасти себя за счет повышения цен. При росте цен неизбежно происходит отток покупателей к тому производителю, который продает этот товар по более ни зкой цене, и наоборот снижение цены обеспечивает приток покупателей.
2. Количество продавцов и покупателей очень велико, и никто из них не может решающим образом воздействовать на рыночную цену товара. Каждая отдельная покупка настолько мала по сравнению с совокупным объемом продаж на отраслевом рынке, что решение одной фирмы увеличить или уменьшить (даже в несколько раз) производство своей продукции не сможет оказать никакого заметного влияния на рыночную ситуацию, поскольку доля этого товара на рынке останется ничтожной, поэтому отдельный производитель в условиях совершенной конкуренции не может воздействовать на рыночные процессы. Он продает столько продукции, сколько сможет продать по рыночной цене.
3. Происходит беспрепятственное выравнивание цен в различных частях рынка. На рынке совершенной конкуренции все факторы производства полностью свободны и максимально подвижны. Продавцы, действуя независимо друг от друга, беспрепятственно приходят на рынок и покидают его. Ресурсы относительно сво-
'бодно переливаются из одного вида деятельности в другой. Конкуренту противостоит не конкретная фирма, а рынок в целом. Проблемы поиска поставщиков не существует. Новым производителям легко проникнуть в отрасль, а уже существующим выйти из нее в случае, если она стала приносить убытки.
4. Продавцы и покупатели обладают одинаковой информацией
о ценах, товарах, спросе, предложении и др. Для рынка
совершен
ной конкуренции характерна определенность: производители знают
свои издержки и доходы, потребители хорошо осведомлены о ценах
всех фирм, владельцы факторов производства обладают точной
информацией, по какой цене их покупают.
В реальной жизни почти нет рынков, удовлетворяющих всем требованиям совершенной конкуренции, которая в чистом виде никогда не существовала. Совершенная конкуренция предполагает идеальную экономику. Тем не менее рынок совершенной конкуренции как поле деятельности множества малых фирм, продающих идентичную продукцию, следует изучать.
Противоположностью совершенной конкуренции является чистая монополия. На рынке чистой монополии одному продавцу противостоит множество покупателей и полностью отсутствует конкуренция. Такой рынок должен соответствовать следующим условиям:
• товар производится и продается единственным продавцом;
• товар не имеет близких заменителей;
• продавец продает только свои товары;
• существует дефицит;
• рынок закрыт для новых продавцов.
Существуют отрасли, где монополия необходима. Речь идет о естественной монополии. Она возникает там, где производство определенного вида продукции обходится дешевле, если им занимается только одна фирма. Типичные монополисты продавцы газа, тепла, электроэнергии, что определяется самим характером подобного производства. Проникновение в такую отрасль других производителей приводит к увеличени ю издержек.
Если в условиях совершенной конкуренции благополучие производителя зависит от снижения издержек производства при неизменных ценах, то в условиях чистой монополии он выигрывает за счет роста цен при неизменных и даже растущих издержках производства. Монополизированный рынок закрыт для конкурентов. Монополия позволяет в течение определенного периода регулировать соотношение спроса и предложения таким образом, чтобы потребитель оплачивал самые высокие издержки и обеспечивал тем самым производителю желаемую прибыль. К тому же происходит искусственный рост издержек производства в отраслях, потребляющих продукцию предприятий -монополистов, что, в конечном счете, отражается на жизненном уровне населения.
Как уже подчеркивалось выше, совершенная конкуренц ия и чистая монополия на практике встречаются редко. Тем не менее в экономической литературе им уделяется много внимания как своеобразному эталону, с которым сравниваются все другие виды рынков. В действительности рынок не существует без конкуренции, но он не может обойтись и без элементов монополии. Конкуренция подталкивает развитие производства, разрушает диктат производителя по отношению к потребителю, а монополия упорядочивает конкуренцию, делает ее целенаправленной и, соответственно, более эффективной.
На практике формируются рынки с разным соотношением конкуренции и монополии. Центральное место по степени развития занимает рынок монополистической конкуренции.
Современный рынок это рынок несовершенной, или монополистической конкуренции, который характе ризуется чертами как монополии, так и конкуренции. В основе данного типа рынка лежит диверсификация производства. Каждая фирма производит схожую продукцию, которая отличается от продукции других компаний некоторыми техническими характеристиками: использованными при ее изготовлении материалами, дизайном, качеством, торговой маркой и т. п.
Подавляющее большинство крупных компаний действует в нескольких отраслях. Одноотраслевые корпорации в промышленно развитых странах являются исключением. Расширение деятельности компаний связано с их стремлением повысить свою устойчивость на рынках сбыта и максимально использовать достижения технического прогресса.
Диверсификация и конгломерация производства становятся общей тенденцией развития экономики. Рынок монополистичес кой конкуренции отличается от рынка совершенной конкуренции тем, что здесь продается схожая, но не идентичная продукция, которая производится относительно большим числом фирм, стремящихся выделить свой товар, подчеркивая его индивидуальность через качество, внешнее оформление, рекламу, товарные знаки и др.
В условиях диверсифицированного производства монополизация возможна в отношении не всей выпускаемой продукции, а только отдельных товаров. Поскольку каждая компания производит не идентичную, а схожую продукцию, то производитель стремится выделить свой товар, подчеркивая исключительность его потребительских свойств. Для этого используют популярные торговые марки, оригинальный дизайн и упаковку товара, специальную рекламу и др. Создание для некоторых своих товаров монопольного положения позволяет компаниям повышать на них цены. Рынок монополистической конкуренции характерен для таких сфер, как розничная торговля, услуги, производство одежды, предметов гигиены и др.
Олигополия представляет собой тип рынка, где действуют несколько крупных и близких по объему продаж и степени влияния компаний, которым противостоит основная масса покупателей. Доля каждого производителя так велика, что изменение объема продаж любого из них ведет к колебаниям цен и оказывает определенное воздействие на поведение конкурентов, вызывая их ответную реакцию. Каждая компания может сама влиять на цены, как и при монополии, но рыночная цена определяется в результате действий всех продавцов.
Как и монополистическая конкуренция, олигополия олицетворяет собой наиболее ярко выраженную форму переплетения монополии и конкуренции. Олигополистический рынок практически монополизирован несколькими крупнейшими производителями, конкурирующими между собой. Речь идет о гигантских компаниях, вырастающих из рынка, мощь которых базируется на концентрации производства, техническом, технологическом и финансовом превосходстве, наличии высококвалифицированной рабочей силы, высоком качестве управления и ряде других факторов.
Формально олигополистический рынок нельз я считать абсолютно закрытым. Олигополии вынуждены постоянно отстаивать свое положение в конкурентной борьбе, а это предполагает непрерывное совершенствование производства.
Конкуренция не дает возможности отдельному производителю в течение длительного периода присваивать более высокую по сравнению с другими фирмами прибыль.
Следует отличать монополию как единственного поставщика продукции в отрасли от монополии как формы господства не только над потребителями, но и над более мелкими производителями. С этих позиций олигополия представляет собой форму монополизированного рынка. Господствующее положение уже укрепившихся на таком рынке фирм создает определенные препятствия для проникновения на него новых продавцов, однако формально его нельзя считать абсолютно закрытым рынком. В результате концентрации производства и капитала практически во всех отраслях высокоразвитой экономики устанавливается определенная иерархия компаний.
Распределение мест в отрасли происходит стихийно, в ожесточенной конкурентной борьбе, ко гда проверяются возможности каждой компании в сфере производства и обращения, мощность их финансовой и научной базы. Быть лидером отрасли это значит иметь возможность сильнее, чем другие, воздействовать на рыночные процессы. Это положение необходимо посто янно отстаивать, что предполагает непрерывное совершенствование производства. Чтобы удерживать свои лидирующие позиции, компании стремятся:
• найти возможности и средства для увеличения совокупного спроса;
• увеличить свою долю в рынке, даже если он не растет;
• постоянно снижать издержки;
• защищать завоеванные позиции.
Крупные объединения соперничают с ограниченным количеством участников рынка. В современных условиях деление рынка на олигополистический и монополистический носит условный характер, поскольку олигополиям нетрудно установить монопольное положение, а чистой монополии на открытом рынке не существует. Для олигополии характерно деление рынка между его участниками посредством сговора, который создает неблагоприятную ситуацию для потреби телей. Фактически олигополистический рынок является рынком неполной монополии. По отношению к некоторым товарам фирмы -производители в рамках монополистической конкуренции выступают как олигополии, а национальные олигополии на мировом рынке сталкиваются с достаточно большим количеством конкурентов. Если на внутреннем рынке крупная компания в состоянии ограничить объем производства и тем самым увеличить цену единицы товара, то на мировом рынке это осуществить сложнее.
Перед авиакомпаниями, железнодорожными фирмами, круизными линиями, сетями ресторанов быстрого обслуживания, компаниями по аренде автомобилей всегда остро стоит проблема расширения рынка и увеличения рыночной доли. В меньшей степени это касается отелей и курортов, для которых наиболее важными показателями являются заполняемость, средняя цена номера, эффективность работы обслуживающего персонала, состав клиентов. Тем не менее все без исключения участники рынка стремятся увеличить свою рыночную долю.
Если фирма не увеличивает свое производство, то, желает она того или нет, ее доля на рынке будет сокращаться в пользу новых конкурентов, поэтому крупные компании, достигнув своего прочного положения на отраслевом рынке, препятствуют появлению на нем новых продавцов, используя для этой цели рыночные барьеры.
Острота конкуренции зависит от того, насколько трудно проникнуть и закрепиться на конкретном рынке. Каждый рынок имеет свою специфику и характеризуется различной степенью сложности «входа» и «выхода». При этом большую роль играют уровень капиталоемкости отрасли и структура издержек. (Например, для открытия ресторана или учреждения турфирмы требуется относительно небольшой первоначальный капитал, который в основном вкладывается в переменные издержки. Однако учредители вскоре обнаруживают, что у них появи лось несколько новых конкурентов.)
На рынке услуг невозможно длительное время сохранять господствующее положение. Особую сложность для гостиничного бизнеса представляет перелив капитала и уход с рынка. Капитал, вложенный в отели, не позволяет закрывать их даже при наличии убытков, поскольку велика доля постоянных издержек. В этой сфере существует самая острая борьба за клиентов.
Каждый продавец в своем желании укрепить собственные позиции на рынке всегда мечтает об ограничении конкуренции.
Наиболее эффективным способом создания труднопреодолимых барьеров для проникновения новых конкурентов в отрасль является концентрация производства, которая ведет к росту доли на конкретном рынке одной или нескольких фирм. От степени концентрации зависит острота конкуренции , механизм формирования цен, высота барьеров для проникновения на этот рынок новых продавцов. В результате роста гигантских хозяйственных организаций, вытеснения с рынка менее мощных фирм достигается главная цель ограничение конкуренции и сосредоточение экономической власти у нескольких субъектов рынка. Свободное вхождение в отрасль с высокой концентрацией производства возможно чисто теоретически. На практике оно под силу только обладателю огромного капитала и связано с преодолением сговора между фирмами, уже действующими на данном рынке. В данном случае уже действующие компании договариваются о создании таких условий, которые мешают новой фирме на равных конкурировать с ними.
Наличие монополистических тенденций в сфере туристского бизнеса, отход от принципов совершенной конкуренции имеет под собой объективную основу. Большую часть требований клиента могут удовлетворить лишь крупные, диверсифицированные фирмы, которые охватывают предприятия из разных отраслей, обладающих несколькими самостоятельными центрами деловой активности.
Рост производства ведет к экономии, поскольку большие компании в состоянии снизить издержки за счет собственной инфраструктуры, специализации, массового производства и возможности экономить на использовании более совершенного оборудования. Возникает эффект масштаба, который отражает зависимость удельной себестоимости (издержек) от объема производства. Он позволяет относительно крупным фирмам производить и сбывать продукцию с более низкими средними издержками по сравнению с небольшими пр едприятиями. По мере роста объема оказываемых услуг происходит экономия затрат по управлению компанией, на закупках ресурсов большими партиями, на финансировании проектов, в распределении рисков. Нельзя не учитывать роль человеческого фактора и новой техно логии. Крупные компании в состоянии более рационально использовать как квалифицированных специалистов (прежде всего в сфере управления), так и новейшее оборудование. Указанные факторы неизбежно ведут к изменению соотношения сил на конкретном рынке. В сфере туризма эффект масштаба достигается за счет увеличения спроса на определенные туры при переходе к групповому обслуживанию или диверсификации.
Однако концентрация производства сама по себе не гарантирует соответствующий рост доли рынка: необходим высокий уровень удовлетворения потребительских запросов, поэтому серьезным барьером для проникновения на определенный рынок является дифференциация производства, которая позволяет предложить потребителям больше разнообразных товаров, обладающих дополнительными потр ебительскими свойствами (услуги, гарантии и т.д.) и удовлетворяющих конкретную потребность покупателя. Однако чрезмерное увлечение дифференциацией может привести к росту издержек, и будущие конкуренты должны основательно подумать, прежде чем вступить в борьбу на новом рынке.
В сфере производства барьером для проникновения в отрасль выступает собственность на невоспроизводимые ресурсы и монопольный доступ к источникам сырья. Любая монополия неразрывно ! связана с ограниченностью ресурсов, что ведет к концентрации в руках крупнейших компаний не только необходимого сырья, высококвалифицированных специалистов, но и результатов научных исследований. Это позволяет крупным объединениям создавать практически непреодолимые барьеры для проникновения в конкретную отрас ль и контролировать производство определенного товара.
Обладая мощной материально -технической базой, научно -исследовательскими центрами и громадными денежными ресурсами, крупные компании владельцы патентов на новые изобретения в состоянии контролировать производство определенного товара или внедрение нового технологического процесса. Монопольное право на изготовление конкретного товара является важнейшим преимуществом крупных объединений по отношению ; к небольшим фирмам, которые лишены возможности применять j новые методы или осваивать новые изделия без разрешения патентовладельцев. Широко используются также такие рычаги, как | ноу-хау, налаженные связи с государственными учреждениями, ; позволяющие получить дополнительные льготы, наличие опыта работы на данном рынке, выгодное местоположение, проведение _ мощных рекламных кампаний и т.д.
1.5. Развитие отрасли: темпы и факторы
Для того чтобы выявить особенности современного этапа развития туризма, необходимо хотя бы в общих чертах рассмотреть историю его возникновения.
Современный туризм явление, с одной стороны, молодое, так как массовым он стал всего лишь после Второй мировой войны; с другой стороны, туризм имеет глубокие исторические корни, ибо путешествия известны человечеству с древнейших времен.
В истории развития туризма мы различаем четыре этапа:
1) до начала XIX в. предыстория туризма;
2) начало XIX начало XX вв. элитарный туризм; зарождение специализированных предприятий по производству туристских услуг;
3) начало XX в. до Второй мировой войны начало становления социального туризма;
4) после Второй мировой войны (современный этап) массовый туризм, формирование туристской индустрии как межотраслевого комплекса по производству товаров и услуг для туризма.
В основу данной периодизации положены следующие критерии: технико-экономические и социальные предпосылки, целевые функции туризма на разных этапах развития. Рассмотрим кратко особенности развития туризма на каждом этапе.
Первый этап предыстория туризма. В античные времена основными мотивами путешествия были торговля, образовательные цели, паломничество, лечение. Можно сказать, что в Древней Греции зародились и спортивные поездки, участники и зрители Олимпийских игр собирались со всей страны.
В средние века усиливается религио зный фактор путешествия поклонение святыням христианства и мусульманства. Эпоха Ренессанса и Просвещения ослабляет религиозные мотивы и усиливает индивидуальный характер и образовательную направленность поездок. Молодые дворяне нередко отправлялись в своеобразный «гран-тур» по Европе, прежде чем вступить на поприще профессиональной или политической деятельности. В Англии, например, маршрут такого путешествия начинался в Лондоне, вел во Францию, с длительным пребыванием в Париже, затем в Италию: Генуя, Милан, Флоренция, Рим. Обратный путь пролегал через Швейцарию, Германию, Нидерланды. По мере усиления общественных позиций третьего сословия его представители в XVIII начале XIX вв. все чаще предпринимают аналогичные образовательные туры.
Отличительные черты путешествий до середины XIX в.: примитивизм средств передвижения; путешествие не самоцель, а необходимое условие и средство к достижению определенной цели (решение торговых дел, расширение образовательного кругозора, лечение, паломничество); элитарность п утешествия.
Объединяло всех путешественников то, что они относились к меньшинству, занимавшему привилегированное положение в обществе, а большинство «маленьких людей» оставалось в стороне.
Развитие мануфактурного производства и промышленные перевороты XVIII XIX вв. в ведущих европейских державах внесли коренные изменения в экономическую жизнь общества. В результате развития фабричного способа производства происходит четкое разграничение рабочего времени, отчужденного от человека, и свободного времени, находящегося в полном распоряжении работника. Кроме того, промышленные революции XVIII XIX вв. привели к значительному увеличению рабочего времени по сравнению с античностью и средними веками.
Второй этап элитарный туризм и зарождение массового туризма. Важнейшую роль в развитии туризма сыграли революционные изменения в развитии транспорта: изобретение в 1807 г. парохода, в 1814 г. паровоза, совершенствование почтовой связи, сопровождавшееся расширением сети дорог в Европе. Все это обусловило большие надежность и скорость передвижения при снижении расходов на путешествия. Вследствие массового наплыва переселенцев из Старого Света в Америку, бурными темпами развивается морское сообщение, в результате чего в середине XIX в. возникают крупные пароходные компании.
Научно-технический прогресс и социальная борьба трудящихся, а также растущее благосостояние общества обусловили постепенное уменьшение рабочего времени в пользу свободного: введение гарантированных неоплачиваемых (а впоследствии и оплачиваемых) отпусков.
Повышение качества и надежности транспортных перевозок в совокупности с их удешевлением, а также постепенное сокращение рабочего времени обусловили существенное увеличение потоков путешествующих. Соответственно возникли первые предприятия, специализировавшиеся на обслуживании временных посетителей. На смену скромным пансионам и «комнатам для гостей» в домах священнослужителей, монастырях и религиозных миссиях приходят первые гостиницы. В Германии на рубеже XVIIIXIX вв. возникают первые курорты минеральных во д. Швейцарский исследователь туризма профессор К. Каспар отмечает: «В этот период становления туризма строились в первую очередь роскошные гостиницы, которые обслуживали представителей аристократических кругов, "нового дворянства", высшего офицерства». В зависимости от времени года элита либо пребывала на французской или итальянской Ривьере, либо отдыхала на термальных курортах Швейцарии и Германии, либо предпринимала длительные путешествия в Северную Африку, Египет, Грецию.
Во второй половине XIX в. индустрия отдыха расширяет сферу своего производства: к предприятиям гостиничного хозяйства добавляются первые бюро путешествий, в задачу которых входила организация туристских поездок и реализация их потребителю. Хрестоматийным примером первого тура, продаваемого по единой цене, является групповой тур на отдых, организованный англичанином Томасом Куком в 1841 г. Комплекс услуг включал в себя 20-мильную поездку по железной дороге, чай и булочки в поезде, духовой оркестр. Вся поездка, в которой приняли участие 570 человек, стоила каждому из них 1 шиллинг. Интересно, что Т.Кук преследовал при этом, скорее, социальные, чем коммерческие цели. Будучи председателем местного союза трезвенников, он стремился подобной акцией привлечь внимание к возможностям целесообразного использования свободного времени, найти новых сторонников для руководимого им союза.
Так или иначе, идея прижилась, и в последующие 20 лет в Англии возникло множество новых бюро путешествий. Начиная с 1862 г. появляются и первые каталоги туристских поездок, что положительно отразилось на процессе расширения туристского спроса.
Итак, в 1841 г. предприимчивый англичанин Т.Кук впервые организовал массовое путешествие железнодорожным составом от Ланкастера до Лонгоборуга. В 1845г. была организована массовая экскурсия в Ливерпуль. С 1847г. общество Кука стало распространять специальные билеты на путешествия и экскурсии не только в пределах Англии, но и за рубеж. В 1863г. Т. Кук организовал первую туристскую фирму, создав группу, которая совершила поездку в Швейцарию. В 1865г. Т.Кук посетил США в целях организации поездок как англичан в США, так и американцев в Европу. В 1867г. пятимесячное путешествие парохода «Квейкер-сити» положило начало морским туристским поездкам. Среди 60 туристов, принимавших участие в это м путешествии, был знаменитый писатель Марк Твен.
В 1882г. состоялось первое в мире кругосветное путешествие Т. Кука. Не ограничиваясь заключением договоров с железнодорожными и пароходными компаниями, владельцами гостиниц и ресторанов, общество внимательн о изучало спрос, составляло маршруты поездок и программы пребывания.
Третий этап начало становления социального туризма. Первая мировая война, экономическая депрессия 1930-х гг. и Вторая мировая война оказали негативное влияние на развитие туризма. Вместе с тем именно в период между двумя мировыми войнами появляются ростки массового туризма.
Четвертый этап массовый туризм. В послевоенные десятилетия туризм приобретает действительно массовый характер из предмета роскоши он становится потребностью для боль шинства населения высокоразвитых индустриальных стран. Формируется мощная индустрия отдыха со своими институтами, продуктом, производственным циклом, методами организации и управления производством.
Важнейшим показателем завершения процесса формирования массового туризма мы считаем интенсивность туризма в той или иной стране, которая показывает, какая часть населения страны ежегодно совершает хотя бы одну туристскую поездку (нетто -интенсивность), и рассчитывается как процентное отношение ко всему населению страны или к той его части, которая старше 14 лет. Когда интенсивность туризма превышает 50%, то можно говорить о сформировавшемся массовом туризме, в котором принимает участие большая часть населения.
После Второй мировой войны в спросе и предложении на рынке туризма произошли коренные изменения, которые дают основание говорить о том, что массовый конвейерный туризм трансформировался в массовый дифференцированный. Что мы вкладываем в данные понятия? Прежде всего отметим, что и в первом, и во втором случаях речь идет о массовом туризме, в котором принимают участие не только элита, но и средний класс, а начиная с 1980-х гг., и население с низким уровнем доходов. Конвейерный туризм предполагает относительный примитивизм и однородность потребностей и мотивации туристов и, соответственно, обезличенно -конвейерный характер производимых услуг.
Дифференцированный туризм отличают разнообразная парадигма потребностей и мотиваций туристов, множественность узкоспециализированных сегментов в туристском спросе, разнообразие предлагаемых услуг и ярко выраженная специализация туристского предложения. Для
дифференцированного туризма характерен не столько широкий, сколько глубокий ассортимент услуг. Иными словами, турфирма предлагает не огромное количество видов турпродукта, а ограниченное число видов, каждый из которых имеет большое число вариантов. Переход от конвейерного к дифференцированному туризму совершался одновременно с переходом от рынка производителей к рынку потребителей. Определяющим мотивом поведения потребителя туристских услуг в этот период являлся рекреационный аспект туризма: отдыха как средство восстановления физических сил после повседневного тяжелого труда с целью продолжения этого труда. Расширение объемов спроса на туристском рынке сопровождалось увеличени ем количества предприятий туризма. Туристские услуги стандартизируются и предлагаются потребителю в виде комбинированных «пэкидж-туров»; формируется так называемый конвейерный массовый туризм.
Повышение уровня благосостояния массового потребителя, продолжающийся экономический подъем, постепенное изменение соотношения рабочего и свободного времени в пользу последнего изменили мотивацию и приоритеты в психологии потребления. На рубеже 1860-1870-х гг. формируется общество потребления материальных благ потребле ния ради потребления. Рынок производителей сменяется рынком потребителей. Усложняется мотивация туристского спроса: наряду с рекреационным растущее значение приобретают образовательный, коммуникативный и инвестиционный аспекты туризма. (Все названные выше процессы сохраняли актуальность на протяжении 1980 -х гг.)
В туристском предложении в конце 1860-х начале 1870-х гг. наблюдаются активные концентрационные процессы. Вследствие расширения объемов туристского спроса и предложения в отрасль трансформируется капитал из других сфер народного хозяйства: особую активность проявляют транспортные предприятия и торговые фирмы владельцы крупных универмагов. Рыночную стратегию туристских фирм на данном этапе отличают «универсализм» производимого продукта при отсутствии существенной специализации на отдельных узких сегментах спроса. Данный этап мы характеризуем как расцвет конвейерного туризма.
Со второй половины 1870-х гг. одновременно с дифференциацией туристского спроса в предложении усиливается тенденция к специализации и диверсификации, причем последняя находит выражение как в расширении ассортимента предоставляемых услуг в рамках специализации фирмы, так и в проникновении туристских фирм в другие области сферы услуг. Насыщение рынков товаров и услуг, замедление тем пов экономического роста, экономический и структурный кризисы середины 1870-х гг. стимулировали формирование дифференцированного туризма и доминирование последнего в 1880-е гг.
Данные изменения протекают в контексте общемировых тенденций, свидетельствующих о кризисе индустриального общества и формировании основ постиндустриальной цивилизации.
Какие же факторы обусловили бурное развитие туризма в первые десятилетия после Второй мировой войны? В качестве важнейших можно назвать:
• рост общественного богатства и доходов населения;
• сокращение рабочего времени и рост времени свободного;
• успехи в развитии автомобильного транспорта, авиастроения, средств коммуникации и информационных технологий;
• урбанизация;
приоритеты в системе духовных ценно стей общества.
На сегодняшний день, являясь одной из крупнейших, высокодоходных и наиболее динамичных отраслей, уступая по доходности лишь добыче и переработке нефти, туризм (по данным Всемирной туристской организации) обеспечивает 10 % оборота производственно-сервисного рынка планеты. На сферу туризма приходится около 6% мирового валового национального продукта, 7% мировых инвестиций, 11% мировых потребительских расходов, 5% всех налоговых поступлений, каждое 16-е рабочее место.
По данным ВТО ежегодно одна треть населения Земли принимает участие в поездках. Согласно прогнозам прирост международного туризма будет составлять ежегодно 4%. Эти цифры характеризуют прямой экономический эффект функционирования индустрии туризма.
Помимо чисто экономического эффекта сфера туризма обеспечивает восстановление жизненных сил человека и рациональное использование им своего свободного времени. Научно-техническая революция ведет к снижению чисто физической усталости и увеличению нервного напряжения.
Рассмотрим глобальные изменения индустрии международного туризма. В 1998г. число туристских прибытий выросло на 2,5 % и составило 635 млн. человек, а поступления от туризма (не включая транспорт) увеличились на 0,28 %, до уровня 439 млрд. долл. США. Такие показатели были определе ны главным образом снижением туристской активности в Восточной Азии и Океании, что выразилось в более низких показателях в мире.
За последнее время международный туризм как отрасль мирового хозяйства показал тенденции устойчивого роста основных показателей (табл. 1.4).
Правда, рост поступлений снизился с 10 % в период с 1989 по 1993 гг. и до 5,7 % в период с 1994 по 1998 гг. Однако все эти изменения нужно оценивать достаточно осторожно, так как доллар США (основная валюта для различных сравнений данных) испытывал достаточно острые колебания курса за рассматриваемый период. В 1998 г. рост на 0,28 % над показателями 1997 г. являлся отражением достаточно высокого курса доллара США по сравнению с валютами других наиболее активных участников мирового туристского рынка. Так, на наиболее важных направлениях, таких как Франция, Италия, Испания, рост прибытий в долларовом исчислении составил 6,5 %, показав тем самым подъем туристской активности.
Тенденции среднегодового роста прибытий туристов являются надежными индикаторами, отражающими рост всей туристской индустрии в целом (хотя данные по отдельным странам не создают полной картины).
Рост прибытий туристов между 1989 и 1993 гг. на 5 % продемонстрировал, что туризм как отрасль оказался устойчив к колебаниям в мировой экономике и другим важным проблемам. Во второй половине 1990-х гг. между 1994 и 1998 гг. средний рост прибытий снизился до 3,5 % в год. Но этот показатель необходимо рассматривать на фоне слабого экономического оживления и высокого уровня безработицы в течение достаточно долгого времени в промышленно развитых странах, а также с учетом влияния азиатского финансового кризиса, который в той или иной степени затронул большую часть стран и повлиял определенным образом на развитие всего мирового хозяйства.
Целесообразно ли говорить о росте прибытий туристов в условиях, когда население мира тоже растет? Сравним ряд показателей 1990-х гг. Это можно сделать с помощью табл. 1.5.
Исходя из данных этой таблицы, можно сделать некоторые выводы: за рассматриваемое десятилетие население мира выросло на 12 % (темпы роста постепенно снижаются), а число прибытий туристов на 38 %, т. е. число туристов растет в несколько раз быстрее численности населения, что также говорит об устойчивости развития туризма как отрасли мирового хозяйства, а рост населения увеличивает количество новых потенциальных туристов.
Динамика международных туристских прибытий в мире по регионам до 2002 г. включительно приведена в прил. 1. Там же указаны страны-лидеры международного туризма.
Контрольные вопросы и задания
1. Дайте определение отрасли экономики.
2. Поясните сущность различных классификаций экономической деятельности отрасли.
3. Раскройте понятие межотраслевого баланса.
4. Что означает понятие «туризм агрегированная отрасль экономики»?
5. Перечислите этапы жизненного цикла отрасли.
6. Поясните особенности туризма как отрасли экономики.
ГЛАВА 2 СТРУКТУРА ОТРАСЛИ И ОРГАНИЗАЦИОННО -ЭКОНОМИЧЕСКИЕ ПРОЦЕССЫ
2.1. Экономическая сущность результата деятельности отрасли
Туристская индустрия представляет собой целый межотраслевой комплекс, а рынок туристских услуг и товаров имеет сложную структуру и свойственные только ему экономические показатели.
Туристский рынок, как и любой другой, только в исключительных случаях представляет собой к омпактную, закрытую и гомогенную единицу. Как правило, он состоит из множества частей или сегментов. Выявление основных составляющих спроса и предложения мы отождествляем с сегментированием рынка. Тщательное сегментирование рынка имеет важное значение не только для маркетинговых исследований, но и для совершенствования статистики в области туризма, что, в конечном итоге, способствует получению объективной информации о народнохозяйственном значении туристской индустрии.
Под сегментированием рынка понимают де ление «рынка вообще» на (по возможности) однородные удельные рынки. Сегментирование рынка это, собственно говоря, определение пластов рынка. Ф.Котлер рассматривает сегментирование рынка только применительно к спросу. В.Фрейер употребляет термин «разграничение» рынков, которое в теории и на практике происходит прежде всего на основе пространственного и временного аспектов, а также в зависимости от специфики производимого продукта.
Критерии сегментирования рынка, предлагаемые различными авторами, в значительной степени сходны между собой. Вместе с тем следует подчеркнуть, что какого -либо единого метода сегментирования рынка не существует. Необходимо опробовать варианты сегментирования на основе разных переменных параметров, одного или нескольких сразу, учитыв ая при этом специфику структуры спроса и предложения на данном рынке.
Считается, что сегментирование рынка предполагает выявление составляющих компонентов как в спросе, так и в предложении. В этом отношении следует различать сегменты рынка и субрынки. Мы говорим о сегментах рынка, если анализируем спрос, т.е. когда среди потребителей (товаров или услуг) есть группы лиц или организаций, которые существенно различаются по своим потребностям и установкам в отноше нии услуг,, предлагаемых производителем, и, следовательно, имеют различные модели поведения в процессе приобретения и потребления товаров и услуг.
Термин «субрынки» употребляют в том случае, когда рынок препарируют на сегменты в зависимости от особенностей (в основном технических) продукта, иными словам и, когда анализируется структура предложения на данном рынке.
Итак, туристский рынок (рынок туристских услуг) это общественно-экономическое явление, объединяющее спрос и предложение для обеспечения процесса купли -продажи специфических туристских товаров и туристских услуг в данное время и в данном месте.
Основным сегментационным критерием при выявлении компонентов предложения является турпродукт, т. е. характеристика производимых товаров и/или услуг, но проблема сегментирования туристского предложения на о снове данного критерия напрямую связана с проблемой дефиниции туризма и туриндустрии.
Результатом деятельности отрасли туризма, как и любой другой, является продукт, который производится для удовлетворения потребностей, т. е. потребления.
В российской литературе по туризму зачастую результат деятельности туристского предприятия по удовлетворению соответствующих потребностей туристов называется туруслугой, однако это определение слишком широкое и не дает возможности понять различия между туруслугой и турпрод уктом. Поэтому рассмотрим понятия «турпродукт» и «туруслуга» более конкретно.
В Законе РФ «Об основах туристской деятельности в Российской Федерации» туристский продукт определяется, как «...право на тур, предназначенное для реализации туристу», а тур, как «...поездка, сопровождающаяся комплексом услуг по размещению, перевозке, питанию туристов, экскурсионные услуги, а также услуги гидов-переводчиков и другие услуги, предоставляемые в зависимости от целей путешествия».
Под туристским продуктом (турпродуктом ) понимается совокупность вещественных (товара) и невещественных (услуги) потребительных стоимостей, необходимых для удовлетворения потребностей туриста, возникающих в период путешествия (поездки) и вызванных именно этим путешествием.
Таким образом, туристский продукт целенаправленная совокупность услуг, работ и иных товаров, материальных и нематериальных объектов, необходимая и достаточная для удовлетворения потребностей туристов, отвечающая целям туризма и предлагаемая к реализации, а также предоставляем ая туристу.
На практике под турпродуктом понимают три основных вида возможных предложений на рынке.
1. Тур, комплексная туристская услуга. Тур, предлагаемый фирмами, туроператорами (организаторами), может быть продан потребителю для личного пользования (в розницу), а также оптовым покупателям (фирмам-посредникам, турагентствам) для извлечения экономической выгоды. Тур, предлагаемый к продаже в розницу, продается в соответствии с установленными фирмами правилами продаж туристских путевок.
2. Отдельные туристские услуги, к которым можно отнести: транспортные услуги, услуги по размещению, оформлению заграничных паспортов и виз стран пребывания, страховку, экскурсионную программу, прокат автомобиля и многое другое.
3. Товары туристского назначения, включая различного рода информационные материалы (каталоги, справочники, карты, словари, путеводители, сувенирная продукция и т. д.), которые необходимы туристу и путешественнику в стране пребывания.
В то же время туристская услуга это совокупность действий в сфере обслуживания, направленная на обеспечение и удовлетворение потребностей туриста, отвечающая целям туризма, характеру и направленности турпродукта и не противоречащая принципам морали.
Туристские услуги составляют значительную часть потребляемых населением услуг и имеют специфический социально-оздоровительный характер, т. е. отдых, возможность развития личности, познания исторических и культурных ценностей, занятия спортом, участия в культурно -массовых мероприятиях, т. е. туризм сочетает в себе эконом ический, социальный, гуманитарный, воспитательный и эстетический факторы.
Термин «услуга» установлен ИСО/МЭК 2; определения термина даны в международных стандартах ИСО 8402:1994 и ИСО 9004.2:1991. В отечественную практику этот термин был введен ГОСТом Р 5064694, в котором дается следующее определение: «Услуга это результат непосредственного взаимодействия исполнителя и потребителя, а также собственной деятельности исполнителя по удовлетворению потребности потребителя».
Понятие «услуга» включает в себя:
обслуживание, т.е. взаимодействие потребителя и исполнителя;
непосредственно процесс оказания услуги, т. е. процесс выполнения определенной работы исполнителем;
результат этих действий в виде «преобразованной продукции» или «результата услуги».
С точки зрения производства туристский продукт (услуга) представляет собой совокупность определенного количества и качества товаров и услуг преимущественно рекреационного характера, подготовленных в данный конкретный момент для реализации потребителем. Для потребителей туристский продукт (услуга) не имеет вещественного выражения: это потенциальная возможность, абстрактный потребительский продукт, состоящий из благ, источники которых находятся в природе как в материальной (туристские товары, сооружения, инфраструктура), так и в нематериальной (услуги, общественная среда) форме. Объединение всех этих благ в одно понятие и является объективной необходимостью, так как потребитель не может удовлетворить свои разнообразные потребности в восстановлении жизненных сил только за счет одного вида туристских товаров или услуг, но лишь в комплексе и при этом в определенной обстановке. Таким образом, можно говорить о двойственности туристского продукта (услуги), который обладает характеристиками как материального товара, так и услуг.
Туристским услугам присущи отличительные черты. Рассмотрим некоторые из них.
Несохраняемость услуги определяется тем, что ее нельзя законсервировать для повторного использования. Кроме того, услуги нельзя складировать. Стокомнатный отель, в котором сегодня заполнены только 60 номеров, не может завтра сдать 140 номеров. Потери от несданных 40 комнат это невосполнимые потери.
Предоставляемость услуги (неосязаемость) выражается в том, что мы можем представить себе результат, который будем иметь после получения услуги, но никакую услугу невозможно ощутить до ее получения. Ни получатель услуги, ни тот, кто ее предоставляет, не могут полностью предсказать или гарантировать получение какого-либо планируемого результата. Чтобы уменьшить неопределенность, порождаему ю неосязаемостью услуги, клиент, прежде чем обратиться за услугой, ищет нечто осязаемое, свидетельствующее в какой -то мере о качестве этих услуг: внешний вид фирмы, персонала и т.д.
Варъированностъ качества услуги определяется тем, что качество услуги может измениться в каждый момент ее исполнения, т.е. услуга может быть весьма различной по качеству даже при условии ее однородности. Есть несколько причин этой изменчивости: во-первых, услуги такого рода оказываются и потребляются одновременно, что ограничива ет возможность контролировать их качество; во -вторых, временная неустойчивость спроса делает проблематичным сохранение качества обслуживания в периоды, когда спрос становится повышенным.
Неотделяемость потребителя от предоставляющего услугу лица или фирмы. Эта характерная черта услуги состоит в том, что комплексная туристская услуга состоит из нескольких составляющих.
Формы организации обслуживания туристов обусловлены особенностями потребления. В отличие от товара, который только тогда готов к потреблению, когда закончит передвижение от места производства к месту потребления, туристские услуги и товары потребляются тогда, когда турист доставлен к месту их производства.
Предлагаемые в туризме услуги, как правило, разделены территориально. Одни из них (информ ационные, посреднические и т.д.) туристы получают в месте их постоянного проживания, другие во время путешествий (транспортные, информационные и т.д.), а третьи в местах туристского назначения (питание, ночлег, развлечения, лечение, деловые встречи и т.д.). Кроме того, услуги предоставляются различными предприятиями и организациями сферы туризма и рекреации, находящимися в состоянии территориальной разобщенности.
Несоответствие по времени и месту акта купли-продажи и предоставления услуг создает объективн о большие организационные сложности в сфере туризма. Рассматриваемый процесс является триединым, включающим обслуживание при купле-продаже комплекса услуг, путешествии и пребывании в туристских пунктах. Таким образом, туристское обслуживание охватывает одновременно деятельность в производстве, предложении и реализации услуг и товаров.
Туристские услуги и товары производятся и предоставляются при высоких требованиях к среде, обстановке или материально -технической базе туризма. Для основных и дополнительных у слуг и товаров наличие материальной базы является условием, без которого не может быть совершено потребление. Следовательно, деятельность по созданию и поддержанию материально -технической базы туризма обусловливает производство и продажу услуг и товаров, и поэтому она также включается в туристское обслуживание.
Непосредственное обслуживание это своеобразный процесс сложных взаимоотношений между обслуживающим персоналом и туристами, в котором осуществляется одновременно создание, предложение и потребление б ольшей части услуг и товаров.
Стандартный комплекс услуг, предоставляемый туристу в зависимости от целей путешествия, называется пэкидж -туром. Кроме того, по желанию клиента туристские организации могут разработать специальный тур по индивидуальному заказу. Такой комплекс услуг носит название эксклюзив-тур. Это, как правило, дорогостоящие и элитные услуги. В России они часто привлекают туристов благодаря действию «эффекта снобизма», или «эффекту Веблена», когда высокая цена и уникальность таких туров рассматриваются туристами как демонстрация благосостояния и престижа, что и является стимулом к покупке.
Качество турпродукта формируют различные факторы, что является следствием его сущности, поскольку туристский продукт это совокупность сложных элементов, удо влетворяющая потребности туристов во время путешествий и представляющая собой результат усилий многих предприятий.
Туристскую услугу в условиях товарно -денежных отношений можно и нужно рассматривать как обыкновенный товар, продукт человеческого труда (деятельность работников туристской индустрии), предназначенный для обмена и потребления. Как и всякий товар, туристская услуга должна обладать двумя свойствами:
1) быть потребительной стоимостью (т.е. быть полезной для туриста и способной удовлетворить его определенные потребности);
2) быть меновой стоимостью (т.е. обмениваться в определенной пропорции на другие товары или услуги). В развитой рыночной экономике меновые пропорции фиксируются в деньгах как всеобщем эквиваленте всех товаров (услуг).
Тур как комплексная туристская услуга должен обладать теми же свойствами, что и отдельная услуга: быть потребительной и меновой стоимостью, т. е. быть товаром. Тур как товар, представленный комплексом туристских услуг, продается и покупается. Денежное выражение меновой стоимости тура и есть его цена. Необходимо также помнить, что ресурсы любой туристской организации (как и общества в целом) ограничены; следовательно, ограничена ее деятельность по оказанию услуг. Человек же как потенциальный потребитель туристских у слуг обладает безграничными потребностями.
Таким образом, тур как экономическая категория должен отвечать следующим требованиям:
• быть объективным явлением, в основе которого лежит ограниченность туристских ресурсов;
• выражать отношения между туристской организацией и ее клиентами по производству, формированию, продвижению и реализации туристских услуг;
• иметь активное, стимулирующее начало, быть побудительным мотивом как для туристского предприятия, так и для его клиентов;
• в его формировании должны участвовать как объективные, так и субъективные факторы;
• обладать потребительной и меновой стоимостью, т.е. быть товаром.
В течение последних лет стремление предприятий к расширению своей деятельности стало общей тенденцией. Это проявляется в характере и направлениях производственной дифференциации, под которой понимается выпуск многих разновидностей одного продукта (услуги). Производство обширной номенклатуры одного функционального назначения позволяет фирме в любой момент расширить спектр услуг д ля удовлетворения потребностей потенциальных потребителей. Улучшение качества обслуживания предполагает дополнительные расходы, тем не менее процветающие компании рассматривают затраты на более полное удовлетворение запросов своих клиентов как долгосрочные и высокоприбыльные инвестиции.
На практике сложились различные направления производственной дифференциации:
• компания начинает выпускать товары, производство которых технологически связано с изготовлением ее традиционных продуктов, причем для сбыта товаров необходимо привлекать новых покупателей. Например, фирма может увеличить свою доходность, реализуя дополнительные услуги. Для отелей и курортов существует возможность получения высоких доходов за счет продажи гостиничных номеров, организации встречи туристов в аэропорту и доставки их в отель и т.д. Выгодность данного направления состоит в том, что можно увеличить объем продаж при небольших дополнительных затратах. Это направление широко используют некоторые крупные отели;
• компания осваивает производство новых товаров, которое технологически не связано с изготовлением традиционных продуктов, однако эти товары представляют интерес для клиентов фирмы. Например, туристская компания организует для своих клиентов продажу сувениров. Некоторые фирмы произ водят и продают футболки со своей символикой, тем самым увеличивая объем продаж и одновременно рекламируя компанию;
• фирма участвует в бизнесе, который имеет отдаленное отношение к тому, чем занимается она сама. Например, компания «Thomas Cook» предост авляет не только туристские, но и финансовые услуги.
Дифференциация производства имеет свои пределы. Излишне расширяя сферу своей деятельности, предприятие может выйти -за границы своей компетенции. Производитель должен найти оптимальное соотношение между величиной издержек и дифференциацией производимой продукции.
При изменении технологии производства дифференциация может вызвать рост издержек, который предпринимателю не удастся компенсировать расширением ассортимента, во -первых, потому, что в условиях низкой покупательной способности населения не многие потребители нуждаются в широком ассортименте товаров и услуг; во -вторых, быстрое увеличение ассортимента однотипных товаров может достичь такого уровня, что потребителю сложно будет разобраться в их особенн остях. Когда на рынке появляется огромное количество схожих товаров, потребитель начинает судить об их качестве лишь по цене. В этом случае у производителя возникают такие проблемы, как повышение расходов на рекламу, появление товаров -заменителей, усиление ценовой конкуренции.
Существует еще одно направление, которое можно рассматривать как частный случай дифференциации производства. Оно ориентировано на обслуживание относительно узкого сегмента потребителей, которые предъявляют особые требования. Следование данной стратегии предполагает наличие достаточно крупных групп потребителей, которые нуждаются в услугах более высокого порядка по сравнению со среднестатистическими, а также клиентов с нестандартными потребностями. Такого рода обслуживанием занимаются ф ирмы, обладающие относительно небольшими ресурсами, что не позволяет им организовать массовое производство.
Углубление дифференциации ведет к исчезновению различий в предлагаемых товарах. Покупатели рассматривают производимую продукцию как схожую и являющу юся взаимозаменяемой.
2.2. Специализация и кооперация в отрасли
Специализация производства является эффективной формой общественного разделения труда. Специализация ведет к повышению однородности производства, что означает усиление конструктивной и технол огической общности выпускаемой продукции, ограничение разнообразия применяемого оборудования и технологических процессов, исходных материалов, а также форм организации производства.
Различают специализацию отрасли, предприятия, специализацию внутри предприятия. Специализация отрасли выражается в расщеплении существующих подотраслей и создании новых производств, выпускающих определенную продукцию, а также в разделении труда между предприятиями данной отрасли.
Специализация предприятия и его отдельных производственных подразделений означает сосредоточение их деятельности на выпуске определенной продукции или выполнении отдельных видов работ.
Процесс специализации в отрасли осуществляется по следующим направлениям:
• создание или выделение отраслей и предпри ятий, специализирующихся на выпуске определенных готовых изделий;
• расчленение процесса изготовления продукта на ряд частичных процессов и концентрация на предприятиях обособленного производства отдельных частей этого продукта;
• выделение и создание самостоятельных предприятий по выполнению отдельных технологических операций (стадий).
В соответствии с названными направлениями имеются две основные формы специализации производства: предметная и технологическая (стадийная). Предметная специализация охватывает предприятия и отрасли, выпускающие какой -либо вид однородной продукции (автомобили, трактора, станки, турбины и т.д.). Предметная специализация предприятия сопровождается углублениемее внутри предприятий (объединений), где создаются специализированные филиалы.
Технологическая специализация характерна для предприятий, производящих материалы, полуфабрикаты и выполняющих отдельные технологические операции.
Конкретные формы специализации, их удельной вес и значение зависят от особенностей и уровня развития каждой отрасли.
Для оценки и планирования развития специализации производства пользуются следующей системой показателей:
• количество подотраслей и отраслевая структура;
• удельный вес специализированного производства в общем выпуске данного вида продукции;
• удельный вес продукции, соответствующей профилю данной отрасли или предприятия в общем объеме выпускаемой продукции;
• удельный вес продукции предприятий, специализированных подетально и технологически, в общем объеме выпускаемой продукци и;
• количество групп, видов и типов технологически однородных изделий, выпускаемых отдельными предприятиями.
Научно-технический прогресс ведет к концентрации в одном продукте затрат труда работников все большего количества специализированных отраслей, что усложняет производственные связи и вызывает развитие кооперирования.
Под кооперированием понимаются планово-организованные производственные связи между предприятиями, совместно изготовляющими какой-либо вид продукции. Являясь следствием развития специализации, производственное кооперирование характеризуется относительным постоянством и устойчивостью связей, строгим соблюдением технических условий предприятий -смежников. Производственное кооперирование существенно отличается от материально-технического обеспечения, которое не вытекает непосредственно из форм специализации и не всегда основано на длительных производственных связях. Если кооперирование охватывает производственные связи по деталям, узлам, агрегатам, полуфабрикатам, определенным технологическим операциям, которые осуществляются с конкретными предприятиями, то материально -техническое обеспечение включает в себя поставки сырья, материалов, топлива, машин, оборудования и других средств производства любому потребителю.
В промышленности кооперирован ные связи могут различаться по отраслевому и территориальному признакам. По отраслевому признаку различают внутриотраслевое кооперирование, когда производственные связи устанавливаются между предприятиями одной отрасли, и межотраслевое между предприятиями разных отраслей.
По территориальному признаку кооперирование делится на внутрирайонное, когда производственные связи устанавливаются между предприятиями одного экономического района, и межрайонное между предприятиями, расположенными в разных экономических районах страны.
Уровень производственного кооперирования характеризуется следующими показателями:
• коэффициент кооперирования, или удельный вес покупных изделий и полуфабрикатов в общем объеме продукции отрасли или предприятия;
• количество предприятий-смежников, участвующих в производстве продукции головного предприятия;
• соотношение объемов внутрирайонных и межрайонных, внутриотраслевых и межотраслевых кооперированных поставок;
• доля предметного и технологического (стадийного) кооперирования в общих кооперированных поставках;
• средний радиус кооперирования отдельного предприятия и в целом по отрасли.
Специализация важный фактор повышения эффективности общественного производства, так как она открывает простор для широкого использования новой высокопроизводительной техники для все более полной автоматизации производства, делает экономически оправданным ее применение в массовом производстве, ибо это резко повышает производительность труда и качество выпускаемой продукции. Специализация, таки м образом, способствует научно-техническому прогрессу.
Рациональное развитие специализации оказывает большое влияние на все стороны совершенствования общественного производства и на повышение его эффективности. Для определения экономической эффективности с пециализации производства используют три основных показателя:
1) экономия текущих затрат на производство продукции и транспортных расходов на ее доставку потребителям;
2) экономия капитальных вложений и срок их окупаемости;
3) годовой экономический эффект от специализации производства продукции.
Комбинирование это объединение в одном предприятии нескольких технологически связанных специализированных производств разных отраслей. В зависимости от характера связей между производствами комбинирование делят на три вида:
1) вертикальное совмещение последовательных ступеней переработки сырья в полуфабрикаты и готовую продукцию;
2) горизонтальное получение разноотраслевой продукции уже на первой ступени переработки сырья;
3) смешанное сочетание двух первых видов комбинирования.
2.3. Концентрация производства в туризме
Одним из важнейших условий повышения эффективности производства является совершенствование форм его общественной организации: концентрации, специализации, кооперирования, комбинирования и размещения.
Концентрация выражает процесс сосредоточения производства на все более крупных предприятиях. Этот процесс характеризуется увеличением размеров предприятий и ростом доли крупных предприятий в общем выпуске продукции отрасли. Концентрация производства находится в тесной взаимосвязи с другими формами общественной организации производства и имеет среди них определяющее значение. Высокий уровень концентрации является обязательной предпосылкой применения новейшей высокопроизводительной техни ки, осуществления рациональных форм специализации, кооперирования и комбинирования.
Сущность концентрации производства проявляется в укрупнении размеров предприятий (абсолютная концентрация) и в распределении общего объема производства подотраслей между предприятиями разного размера (относительная концентрация).
Относительная концентрация формируется под воздействием абсолютной, поэтому при анализе и планировании первостепенное значение имеет определение абсолютной концентрации.
Концентрация производства мо жет осуществляться в т р е х о с-новных формах:
1) концентрация разнородных производств на предприятиях универсального типа;
2) концентрация производства однородной продукции на специализированных предприятиях;
3) концентрация на основе комбинирования взаимосвязанных производств в рамках одного предприятия.
С точки зрения основных направлений процесса укрупнения отрасли концентрация имеет такие формы, как собственно концентрация и централизация. Собственно концентрация представляет собой рост промышленн ости за счет производственного накопления. Она реализуется через создание новых крупных предприятий и реконструкцию и расширение действующих.
Весьма эффективной формой концентрации отрасли является централизация. Она означает создание крупных производствен ных комплексов при слиянии отдельных предприятий, теряющих при этом свою индивидуальную самостоятельность.
Увеличение масштабов производства в процессе концентрации и централизации осуществляется по следующим трем направлениям:
1) горизонтальная интеграция слияние двух или более компаний, занятых в одной сфере производства;
2) вертикальная интеграция комбинация разноотраслевых компаний, производство в которых связано единой технологической цепью;
3) комбинация разноотраслевых компаний, технологически не связанных между собой.
Для характеристики концентрации производства и ее отраслевых особенностей могут быть использованы (в зависимости от поставленных задач) как отдельные показатели, так и их система.
Абсолютные размеры предприятия определяются с помо тттью следующих показателей:
• объем производства продукции за год;
• среднегодовая численность промышленно -
производственного персонала;
среднегодовая стоимость основных производственных
фондов.
Уровень концентрации производства в отраслях, наприме р в про
мышленности, определяется с помощью следующих показателей:
• объем выпуска продукции за год, приходящийся в среднем на одно предприятие;
• удельный вес продукции, вырабатываемой крупными предприятиями, в общем объеме производства валовой продукц ии;
• удельный вес числа крупных предприятий в общей их численности в целом;
• удельный вес численности промышленно -производственного персонала или рабочих крупных предприятий в общей их численности;
• удельный вес основных производственных фондов, сосредоточенных на крупных предприятиях, в общей их стоимости в отрасли;
• удельный вес потребления электроэнергии крупными предприятиями в общем потреблении ее отраслью.
Главным среди перечисленных показателей является объем производства продукции, который с большей объективностью характеризует данную форму общественной организации производства.
Экономический эффект концентрации заключается в улучшении технико-экономических показателей изготовления продукции в результате увеличения размеров производства и предприятий. Сосредоточение больших производственных мощностей, материальных и трудовых ресурсов на одном предприятии позволяет более эффективно и экономично использовать все основные элементы производства (оборудование, сырье и материалы, рабочую силу) и на этой основе повысить производительность труда и снизить себестоимость продукции. Крупные предприятия обеспечивают более высокую эффективность производства (поэтому гостиничные предприятия, например, стремятся к объединению в гостиничные цепи).
На крупных предприятиях производительность труда значительно выше, чем на мелких. Преимущества крупных предприятий сводятся к следующим основным моментам:
• на крупном предприятии, как правило, внедряется оборудование большой единичной мощности, что дает наибольший экономический эффект, проявляющийся в удешевлении единицы мощности, так как возрастание производительной способности оборудования сопровождается значительно меньшим ростом его стоимости;
• укрупнение предприятий создает условия для повышения уровня заводской специализации, способствуя тем самым внедрению и лучшему использованию высокопроизводительного оборудования, более совершенной технологии, а также улучшению организации производства и труда;
• издержки предприятия, которые растут не пропорционально росту объема производства (содержание административно-управленческого персонала, расходы, связанные с освещением и отоплением зданий, и др.), в условиях крупного производства составляют значительно меньшую часть себестоимости единицы продукции, чем на мелком предприятии;
• крупное производство позволяет более экономно использовать сырье, материалы, топливо, что достигается сокращением расходных норм сырья и материалов на единицу продукции в результате применения более совершенной техники и более совершенных методов технологии производства. Кроме того, на крупных предприятиях создается возможность утилизации отходов и организации производства побочных продуктов;
• на крупных предприятиях имеются необходимые возможности и экономическая целесообразн ость непосредственного соединения науки с производством, т.е. создание научно-исследовательских лабораторий, мощных конструкторских и технологических бюро, опытных установок. Затраты на их содержание составляют небольшую долю в себестоимости изделий, но они содействуют научно-техническому прогрессу и росту эффективности общественного производства.
Однако чрезмерное укрупнение заводов и фабрик не является целесообразным с народнохозяйственной точки зрения: существует граница, за пределами которой увеличение масштабов производства уже не вызывает улучшения экономических показателей. На небольших же специализированных предприятиях может быть сосредоточено и уникальное мелкосерийное производство.
Как общие, так и специфические факторы действуют в тесной взаимосвязи, и при определении оптимального размера предприятий учитывается влияние той или иной совокупности факторов.
Наряду с этим при экономическом обосновании оптимальных размеров предприятий должны приниматься во внимание следующие условия:
общественная потребность в данном виде продукции; обеспечение выполнения требований научно -технического прогресса;
• повышение эффективности капитальных вложений;
• наиболее полное использование всех имеющихся ресурсов, снижение себестоимости продукции и повышение рентабельности производства;
• организационные и экономические границы эффективного хозяйственного управления предприятиями.
Структура туристского рынка также в значительной мере определяется масштабами производства (концентрацией производства). Процесс концентрации в экономике это явление мирового масштаба. Оно выражается в том, что в ходе образования олигополии и монополий происходит непрерывное укрупнение хозяйствующих единиц. Большие предприятия постепенно вытесняют мелкие, занимая господствующие пози ции на рынке. В их руках сосредоточивается огромная экономическая власть.
Концентрация протекает крайне неравномерно на отдельных предприятиях, в разных отраслях и странах. В отличие от отраслей материального производства, где еще на рубеже XIXXX вв. доминирующее положение получили крупные предприятия, в туризме этот процесс начался сравнительно недавно (только в 1970-х гг.), однако он проходит очень бурно, охватив все секторы туристской индустрии. В сферах размещения и общественного питания сформировались гигантские гостиничные и ресторанные цепи; среди туристских фирм выделился ряд туроператоров, установивших контроль над основными рынками организованных путешествий, а рынок воздушных перевозок оказался поделенным между ведущими авиакомпаниями мира.
Современный этап развития туризма характеризуется наличием большого числа мелких предприятий (в основном семейного типа), кустарных и полукустарных производств, которые сосуществуют с несравнимо более мощными и влиятельными корпорациями.
Среди фирм, участвующих в рыночных операциях в туризме, в количественном отношении преобладают малые формы бизнеса. Во Франции на 70 % предприятий гостиничного типа численность обслуживающего персонала на каждом из них не превышает 5 человек. Половина всех занятых в отелях, кафе и ресторанах приходится на предприятия с численностью работников менее 10 человек.
Среди турагентств доля фирм, на которых работает менее 6 человек, составляет 57,5 %. При таком большом количестве они обеспечивают работой только 13,9 % от общего числа занятых в туристском секторе Франции, дают 8,4% торгового оборота и приносят 9,5 % добавленной стоимости. Вместе с тем на 26 самых крупных турагентств страны (1,9 % общего их количества), с численностью персонала более 100 человек каждое, приходится 46,3 % всех занятых в турагентствах, 49,2 % торгового оборота и 56,6 % добавленной стоимости. Эти цифры свидетельствуют о заметной роли крупных фирм на рынке туристских услуг.
Более высокие уровни концентрации отмечаются в туроператорском секторе. Пять ведущих франц узских туроператоров, включая «Средиземноморский клуб», контролируют половину рынка пэкидж -туров, а десять доминирующих фирм 67 %. Близкие значения коэффициент рыночной концентрации принимает в других развитых туристских странах. На два первых туроператор а приходится в Японии 30 % совокупного объема продаж пэкидж-туров, в Бельгии 60%, в Нидерландах 70%. Рыночная доля трех первых туроператоров составляет в ФРГ 42%, в Швейцарии более 60 %, в
Великобритании 75 %.
В основе процесса концентрации в туризме лежат те же причины, что и в других отраслях экономики,
прежде всего эффект масштаба производства. Наряду с ними можно выделить специфические факторы, определяющие динамизм и разнообразие форм концентрации туристского рынка. Толчком к его монополизации служит недолговечность туристских предприятий (главным образом отелей), вследствие утяжеленной структуры издержек, и турагентств. Их частые банкротства и поглощения становятся массовыми в периоды экономических кризисов. Другой, вытекающий из первого, фактор высокие коммерческие риски операций на рынках путешествий. Туристские компании страхуют риски, расширяя географию своего представительства, а также спектр предлагаемых продуктов. Они выходят на внешние рынки стран, лидирующих по отправке или приему между народных туристских потоков, открывают в них свои филиалы, создают транснациональ -йые цепи. Для большей устойчивости они проникают в смежные секторы туризма. Кроме них, прямой интерес в туризме часто обнаруживают фирмы других отраслей и сфер экономики: от пищевой и текстильной промышленности до черной металлургии, а также банковского сектора. Эти компании также получают прибыль от реализации туристских продуктов.
Концентрация производства в туристской индустрии осуществляется двумя путями: внутренним и внешним. В первом случае укрупнение происходит в рамках отдельной хозяйствующей единицы вследствие капитализации прибыли (внутреннего роста). Во втором случае экономическая власть у монополистического образования сосредоточивается в результате сотрудничества (кооперации) или объединения (слияния) широкого круга предприятий. Специалисты различают три формы объединения: интеграция, диверсификация и конгломерация.
1. Интеграция. Это объединение технологически однородных производств (горизонтальная интеграция) или производств, образующих единую технологическую цепочку, начиная от обработки сырья и заканчивая выпуском готовых продуктов (вертикальная интеграция).
В туризме, как и в других отраслях, существуют разные способы интеграции от поглощения конкурента до при обретения его контрольного пакета акций. Широко практикуются перекрестное владение акциями разных компаний, объединение усилий в области менеджмента, заключение договоров о консорциуме. Они делают интеграцию более гибкой и потому получают преобладающее значение в туристской индустрии. С этим связана еще одна особенность интеграции в туризме. Туристская компания имеет больше экономических преимуществ за счет экономии от масштаба производства, если она расширяется не путем наращивания производства на своем ед инственном предприятии, а создает цепь хозяйствующих единиц. Такой подход одновременно отвечает потребностям клиентов. Во -первых, эти цепи «стягивают» пространственно разделенные районы, генерирующие туристские потоки, и дестинации, принимающие их. Во-вторых, лучше производить целый туристский продукт по частям, что соответствует комплексному его восприятию потребителями, чем концентрировать усилия на оказании одного вида туристских услуг.
Интеграция имеет несколько разновидностей. Самой ранней ее формой в туризме, не потерявшей актуальности и сегодня, считается горизонтальная интеграция. Ей обязаны своим появлением первые гостиничные цепи.
Туристские предприятия, находящиеся на одной ступени технологического процесса, т.е. выпускающие одинаковую продукцию или оказывающие аналогичные услуги, объединяются для того, чтобы получить экономию от масштаба производства, нарастить объем поставок или сбыта, ограничить или устранить конкуренцию. Каждое предприятие в отдельности либо ощущает недостаток капитала, произво дственных мощностей и маркетинговых ресурсов для дальнейшей самостоятельной деятельности, либо боится рисковать, либо видит в альянсе с другими предприятиями немалые выгоды для себя.
Экономические преимущества, которые получают крупные предприятия, стали очевидны с превращением туризма в массовое явление современности. Вместе с ростом спроса на путешествия поднималась волна горизонтальных объединений.
На авиатранспорте горизонтальная интеграция продиктована, скорее стремлением авиакомпаний удержать клиентов на остроконкурентных рынках воздушных перевозок, нежели достичь экономии от масштаба производства. Она принимает простые формы: партнерство, обмен идентификационными кодами между авиакомпаниями, совместная рекламная деятельность. Поглощение одним перевозч иком другого встречается реже, поскольку оно связано с большими капитальными затратами. Горизонтальная интеграция способствует более эффективному использованию парков воздушных судов (главным образом снижению простоев транспортных средств путем совместной их эксплуатации), позволяет значительно увеличить число комбинаций маршрутов, обеспечивает доступ к новым сбытовым каналам, в частности расширяет возможности использования глобальных компьютерных систем бронирования.
Вышесказанное в основном относится к го стиничному хозяйству и другим секторам туризма, в которых эффективность понимается как установление контроля над потребительским спросом в целях приведения его в соответствие с фиксированным предложением. Гостиничные и мотельные цепи получают экономический эффект благодаря централизованному управлению и совместным маркетинговым усилиям, включая создание общих сбытовых служб.
В отличие от авиаперевозок и гостиничного дела туроператорская и турагентская деятельность характеризуется низкой капиталоемкостью, по этому среди посредников процессы горизонтальной интеграции часто протекают в виде слияний или путем приобретения контрольных пакетов акций. Подавляющая часть созданных таким образом крупных туроператоров и турагентств остается в пределах национальных грани ц, и только некоторые образуют широкие международные цепи.
Горизонтальную интеграцию в туризме следует отличать от вертикальной. Наибольший эффект она приносит в сфере распределения. В результате интеграции образуются вертикальные маркетинговые системы, бр осающие вызов традиционным каналам сбыта. В обычной товаропроводящей цепочке каждое звено является отдельным независимым предприятием, стремящимся обеспечить себе максимально возможные прибыли, даже в ущерб структуре в целом. При переходе к вертикальной маркетинговой системе действующие субъекты (производитель, оптовые и розничные торговцы) не меняются, однако они выступают как единый организм. В этом случае один из членов канала обладает экономической мощью, обеспечивающей их сотрудничество. Доминирующей силой в рамках вертикальной маркетинговой системы может быть как производитель, так и оптовик или розничный торговец.
Вертикальные маркетинговые системы возникли как средство контроля поведения маркетингового канала и предотвращения конфликтов между его отдельными членами, преследующими собственные цели. Они экономичны с точки зрения своих размеров, обладают большой рыночной властью и исключают дублирование усилий.
В туризме вертикально интегрированные маркетинговые каналы получили широкое распространение. Инициатива их создания часто исходит от крупных туроператоров, которые открывают собственные агентские представительства, или от поставщиков туристских услуг. Повышенную активность здесь проявляют авиакомпании. Они проникают в смежные области, раздвигая рамки производственно-сбытового процесса в «прямом направлении», к рынку потребителей (приобретение туроператора или турагентства), или в «обратном направлении» к источникам сырья (покупка поставщиком продуктов питания для авиапассажиров). В конечном счете авиакомпании сосредоточивают в своих руках управление всем технологическим процессом производства и реализации туристского продукта.
Внедрение авиаперевозчиков в сферу деятельности туристских фирм составляет характерную особенность современного этапа развития индустрии путешествий.
Наряду с туроператорской и турагентской сферами деятельности воздушные перевозчики проникают в сектор размещения, включаясь в процессы комплементарной интеграции.
Начиная с 1970-х гг., практически все ведущие авиакомпании мира занимаются гостиничным бизнесом. «Юнайтед Эйрлайнз» и «Америкэн Эйрлайнз», «Люфтганза» и КЛМ, «Бритиш Эйрвейз» и САС, «Свиссэйр» и «Алиталия» вкладывают капиталы в строительство и приобретение действующих отелей, выступая инициаторами создания гостиничных це пей.
Аналогичную политику проводят предприятия других секторов индустрии туризма. Гостиничные компании проникают в сектор общественного питания. Туроператоры приобретают отели и мотели, чтобы гарантировать размещение своим клиентам, используя этот факт в качестве веского аргумента в пользу предлагаемых ими пакетов услуг. Туристские группы нередко расширяются, объединяясь с автотранспортными предприятиями в целях повышения надежности наземных трансферов и выполнения экскурсионных программ. Они также могут создавать при себе объекты развлечений для привлечения потребителей.
2. Диверсификация вторая форма концентрации производства. В отличие от интеграции она предполагает объединение функционально и технологически разнородных предприятий.
Туристские компании редко простирают свои интересы за пределы отрасли. В основной массе они имеют небольшие размеры и недостаточно прочную финансовую базу для диверсификации. Немногочисленные крупные туристские предприятия, занимающие устойчивые позиции на рынке, связывают свой коммерческий успех с относительно высокими темпами роста туризма и продолжают наращивать масштабы производства в рамках последнего.
Инициатива диверсификации исходит, как правило, от предприятий других отраслей экономики. Их привлекает сфера туризма в силу ряда обстоятельств: низких барьеров выхода на рынок путешествий (включая невысокие капитальные затраты в ряде его секторов), ускоренного развития туристского бизнеса, сложившегося представления о туризме (часто ошибочного) как об очень приятном или легком виде деятельности. Кроме того, с ним связывается возможность компенсации убытков и рисков на предприятиях других отраслей, входящих в диверсифицированные компании.
В современных условиях диверсифицированные компании становятся трудно различимыми. Они приобретают все больше общих черт с конгломератами.
3. Конгломерация это объединение под единым финансовым контролем фирм (предприятий), не имеющих производственных связей и принадлежащих не только к разным видам производства, но и к различным сферам экономи ки. В туризме они чаще встречаются в США и Японии.
Целью создания конгломератов является получение больших прибылей за счет операций с ценными бумагами: выпуск акций и облигаций, их обмен. Для осуществления конгломератных слияний и поглощений необходимы со ответствующие финансовые ресурсы и осведомленность о состоянии дел в фирмах. И то и другое способны обеспечить лишь банки и финансовые компании.
Последние составляют списки потенциальных кандидатов для поглощения, получая за информацию не только комиссионн ые, но и возможность манипулирования с ценными бумагами поглощающих и поглощаемых фирм.
Отличительной чертой современного процесса концентрации в туризме является широкое участие в нем банковских структур. В Германии ведущие банки страны (Дрезднер Банк, Ко ммерц-банк, Дойче Бундесбанк) и ряд страховых компаний также расширяют свое присутствие на туристском рынке. Они выступают акционерами или входят в совет директоров многих туроператоров, объединений, турагентств, авиакомпаний и розничных торговых фирм, которые контролируют туристские группы.
В результате внутреннего роста отдельных предприятий и укрупнения хозяйствующих единиц путем интеграции, диверсификации и конгломерации происходит усиление концентрации туристского рынка. Выпуск туристских продуктов сосредоточивается на все меньшем числе фирм. Каким будет уровень концентрации производства в секторах индустрии туризма в будущем, определить трудно. Он зависит от двух противодействующих факторов: первый постоянный спрос туристов на новые впечатления и турис тские продукты. Он поддерживает развитие большого числа самых разных предприятий и ведет к снижению уровня концентрации производства; второй совершенствование технологий. В туризме, особенно на авиатранспорте, инновационный процесс часто сопряжен со значительными инвестициями. Для эффективного использования технологий требуются большие масштабы производства и массовые рынки сбыта туристских продуктов, а также объединение усилий предприятий по рекламе. В этом контексте уровень концентрации в туризме будет во зрастать.
2.4. Территориальное размещение предприятий отрасли
Размещение производства по территории страны одна из важнейших проблем экономического развития народного хозяйства, так как от этого фактора во многом зависит эффективность затрат общественног о труда.
Размещение предприятий отрасли это одна из форм общественного разделения труда, выражающаяся в пространственном распределении предприятий и производства на территории экономического района или страны в целом. Оно выступает как важный фактор повыш ения эффективности общественного производства. Правильное географическое размещение предприятий предпосылка для эффективного использования рекреационных и трудовых ресурсов страны, более полного удовлетворения потребностей населения, роста его благосостояния. В процессе размещения производства решаются не только чисто экономические, но и социально -политические задачи: преодоление существенных различий между экономическим развитием регионов страны, повышение экономического уровня развития в прошлом отсталых районов страны, рост в них высококвалифицированных кадров.
Важнейшим принципом размещения предприятий любой отрасли является приближение производства к источникам сырья, к районам потребления при условии производства необходимой продукции с минимальными затратами общественного труда.
Равномерное распределение производства по территории страны на базе специализации туризма и использования всех природных богатств, культурно -исторических, рекреационных и трудовых ресурсов следует рассматривать как один из основополагающих принципов размещения. Однако на сегодняшний день неравномерное размещение предприятий туризма отличительная особенность развития этой отрасли народного хозяйства.,
Все более равномерное размещение предприятий по всей стране, однако, не означает, что во всех экономических районах должны развиваться все подотрасли туризма: одни районы характеризуются наличием лечебно -оздоровительных ресурсов, другие культурно-познавательных и т.д. Задача размещения туристских предприятий состоит в том, чтобы р азвивать туризм в районах, располагающих необходимыми экономическими, социальными, культурными и природными предпосылками.
Важным принципом размещения производительных сил является рациональное территориальное разделение труда в целях наиболее эффективной специализации отдельных экономических районов по видам туризма и создание территориально -производственных туристских комплексов.
Воздействие указанных принципов на конкретный процесс размещения осуществляется через ряд факторов. В качестве одного из них выступает обеспеченность районов туристской инфраструк турой и ее технический уровень. Инфраструктура туризма это совокупность путей сообщения (дороги, подъездные пути, аэродромы, вокзалы, порты), а также иные объекты и коммуникации (коммуникационные сети и системы), системы связи, учреждения сферы обслуживания (бытового, медицинского, спортивного) и иных систем, объектов, предприятий, необходимых для обеспечения туризма.
Значительное влияние на размещение предприятий туризма оказывает географическая среда, т.е. климатические условия, рельеф территории. Климатические условия оказывают влияние на размещение предприятий в связи с неодинаковыми потребностями человека в туристских услугах в разных районах. В районах с неблагоприятными климатическими условиями, во зможно, будут выше капитальные вложения при строительстве туристских предприятий и издержки по их эксплуатации, а также будет ярко выражен фактор сезонности туристских услуг.
На размещение промышленности огромное влияние оказывает распределение по стране трудовых ресурсов. Фактор рабочей силы имеет значение буквально для всех отраслей, но его влияние сокращается по мере снижения трудоемкости производства: чем больше трудоемкость производства и доля заработной платы в себестоимости продукции, тем сильнее зав исимость размещения производства от географии трудовых ресурсов и наоборот. При этом следует учитывать структуру и квалификационный состав трудовых ресурсов в отдельных регионах страны.
Технико-экономические факторы размещения предприятий обусловлены научно-техническим прогрессом и рациональными формами организации производства.
В тесной связи с научно-техническим прогрессом находится общественная организация производства, которая выступает в таких формах, как концентрация, специализация, кооперирование и комбинирование.
Концентрация производства оказывает влияние на размещение предприятий, которое осуществляется, прежде всего, так, чтобы крупные предприятия имели сопутствующую инфраструктуру. Вместе с укрупнением размеров предприятий расширяется круг поставщиков необходимых для них средств производства и потребителей выпускаемой ими продукции. Для крупных предприятий значительно усложняется выбор мест их размещения, мероприятия по созданию инфраструктуры и т.п. Повышается значение транспортного фактора при о босновании размещения предприятия, потому что экономические преимущества крупного предприятия могут исчезнуть в результате роста издержек по прибытии туда туристов.
Специализация производства (в зависимости от ее видов) оказывает различное влияние на разме щение предприятий отрасли. Так, предметная специализация определенным образом локализирует предприятия.
Кооперирование действует в направлении, противоположном специализации. Если специализация приводит к территориальному расчленению единого производственного процесса, т.е. вызывает дифференциацию производства, то кооперирование, наоборот, вызывает появление определенных сочетаний разных по профилю предприятий в рамках одной и той же территории, способствует интеграции производства.
Контрольные вопросы и задания
1. Дайте определения понятиям «турпродукт» и «туруслуга».
2. По каким направлениям осуществляется процесс специализации в отрасли?
3. В чем заключается экономический эффект концентрации производства?
4. Назовите принципы территориального размещения предприятий туризма.
ГЛАВА 3 ОСОБЕННОСТИ СПРОСА В ТУРИЗМЕ
3.1. Спрос в туризме
С точки зрения спроса можно выделить три типа туризма: внутренний, въездной и выездной. Категории туризма включают международный и национальный туризм, а также туриз м в пределах страны (рис. 3.1). Ночующие посетители считаются туристами, а однодневные посетители экскурсантами. В качестве экскурсантов выступают и туристы, прибывшие в страну на круизном судне, если они не используют для ночевки местные средства размещения.
Какие же параметры характеризуют структуру туристского спроса! Можно выделить три группы критериев:
1) географические;
2) социо-демографические;
3) психолого-поведенческие. Рассмотрим каждую из них подробнее. Сегментирование по географическим параметрам предполагает

Рис. 3.1. Типы и категории туризма
разделение спроса на различные географические единицы:
• внутренний, въездной и выездной туризм в зависимости от страны постоянного проживания туриста;
• туризм по частям света, странам, регионам, кантонам, городам в зависимости от географической цели туристской поездки.
Приведем примерный перечень социо -демографических и психолого-поведенческих критериев сегментирования туристского спроса.
Социо-демографические критерии (характеристика) туриста:
• возраст;
• пол;
• профессия;
• профессия главы семьи;
• величина населенного пункта, где постоянно проживает турист;
' количество членов семьи, сопровождающих туриста; тип семьи;
; национальность;
• религиозные убеждения;
• наличие или отсутствие в семье личных транспортных средств;
• доход семьи;
• доход на одного члена семьи. Психолого-поведенческие критерии (характеристика) туристского
поведения:
мотив поездки;
психологический портрет туриста; сезонность;
организация поездки (туроператор); форма поездки;
• используемые транспортные средства;
• используемые средства размещения;
• дальность поездки;
• длительность поездки;
• источники финансирования поездки;
консультанты и посредники в принятии решения о совершении турпоездки.
Приведем примеры сегментирования спроса по некоторым из приведенных критериев. По возрастному признаку различают, например, молодежный туризм и туризм «сениоров»; имеет свои особенности спрос на туристские услуги со стороны возрастных групп от 30 до 45 лет, от 45 до 55 лет и т.д. Растущее значение приобретают женский туризм, професси ональный специализированный туризм (например, туры для банковских служащих, работников сельского хозяйства, различных отраслей промышленности и т.п.). В зависимости от типа семьи спрос разделяется на семейный туризм с детьми и без детей, туризм одиночек, туризм семей из 5 и более человек и т.д. Отдельные сегменты образуют религиозный и этнический туризм, дорогие эксклюзивные и дешевые туристские поездки.
Спрос на туристские услуги претерпел за последние 30 лет значительные изменения, и на современном этапе тенденции в спросе таковы:
• переход от активного к пассивному отдыху;
• специализация и индивидуализация в спросе;
• экспансия выездного туризма;
• экологизация мышления потребителя;
• расщепление основного отпуска;
• интенсификация туристского отдыха.
Начиная с 1950 г. международный туризм показал себя «здоровым» и надежным видом экономики вопреки многим отрицательным факторам, таким как политическая и экономическая нестабильность во многих частях мира, усиление терроризма и т.д. Как правило, во время экономического спада спрос или оставался неизменным, или (вскоре после «выздоровления» экономики) возвращался на прежний уровень, однако этот процесс не распространялся равномерно между всеми туристскими центрами. Многие из них исчезли из-за того, что становились немодными или не могли обеспечивать достаточную безопасность туристам.
Начало 1980-х гг. ознаменовалось спадом в мировой экономике, который стал причиной сокращения международных путешествий вплоть до 1984 г. Этот и следующий (1985) год стали рекордно удачными для европейских туристских центров, однако авария на Чернобыльской АЭС в СССР в 1986 г., а также террористические акты ливийских экстремистов, ослабление американского доллара по сравнению с валютами других стран привели к сокращению туристских потоков в мире.
Во второй половине 1980-х гг. положение нормализовалось. В этот период некоторые страны Тихоокеанского бассейна (Австралия, Гонконг, Таиланд и Китай), а также страны Европы (Португалия и Турция) испытали бурный рост, а друг ие, наоборот, спад (например, некогда процветавший и славившийся своей индустрией туризма Ливан).
Девяностые годы также начались неблагоприятно для развития международного туризма: главную роль сыграла война в Ираке, названная «Буря в пустыне». Вскоре после начала войны были прекращены путешествия в этот регион, а также на восточное Средиземноморье и в Северную Африку, тем самым замедлив темпы роста международного туризма. Последующий экономический спад, охвативший многие индустриальные страны, еще больше усугубил положение.
Статистика ВТО показывает, что за 20 лет число международных туристов почти утроилось: со 160 млн. человек в 1970 г. до 460 млн. в 1990 г. Однако в 1991 г. международный туризм потерпел значительную неудачу, и рост прибытий туристов составил всего 1,5%. Очередной подъем наблюдался в 1992 г., когда рост прибытий составил 8 %. При этом общее число прибытий туристов в этом году составило 504 млн. человек, в 1993 г. 518 млн., а в 1994 г. 546 млн. человек.
Годовые поступления средств от международного туризма (не включая поступлений от транспорта) начали возрастать в 1980 -х гг.
и в 1996 г. достигли 423 млрд. долл. США (рис. 3.2). Поступления от туризма растут быстрее и регулярнее, чем число туристов, путешествующих в мире, но это связано не столько с инфляционными процессами, происходящими в мире, сколько с повышением эффективности отрасли.
Страны Западной Европы отстают от США по поступлениям денежных средств от международного туризма. Европа более других регионов привлекает к себе туристов, однако число их растет медленнее. Страны Европы принимают 60 % гостей со всего мира, и только 50 % всех поступлений от туризма в мире приходится на их долю. Успех Европы объясняется следующими факторами:
• большой сегмент населения имеет крупные реальн ые доходы;
• большая часть населения некоторых европейских стран (например, Германии, Франции, Великобритании) предпочитает проводить отпуск за рубежом, но не очень далеко от своей страны;
• имеется множество культурно -исторических памятников, созданных природой и человеком;
• спрос на международные путешествия удовлетворяется крупной индустрией туризма и необходимой инфраструктурой.
Некоторые из этих факторов присущи и Северной Америке. Большая часть туристов из США и Канады также предпочитает путешествовать в своем регионе, однако значительная часть населения этих стран все же проводит свой ежегодный отпуск в отдаленных регионах земного шара.
Анализ развития мирового туризма, проведенный ВТО, показывает значительные изменения, которые произошли в прибытиях иностранных туристов и поступлениях от международного туризма. Если доля прибывающих в Европу туристов в 1985 1996 гг. снизилась с 65 до 59 %, а доля поступлений с 53 до 51 %, то за этот же период страны Восточной Азии и Тихоокеанского региона (ВАТ) заметно увеличили свою долю (с 9 до 15 % и с 11 до 19,5 % соответственно) по числу туристов и поступлениям от них. В 19501960 гг. доля этого региона в общих мировых прибытиях составляла всего 1 %, в 1970 г. она достигла 3 %, в 1980 г. 7, в 1990 г. 11 и в 1996 г. 15 %. Доля поступлений от международного туризма в этом регионе также постоянно росла: 1950 г. 1,4%, 1960 г. - 2,8, 1970 г. - 6,2, 1980 г. -7,3, 1990 г. - 14,4, 1996 г. 19,5 %. Это демонстрирует рост, происходящий в высококонкурентной среде та ких стран, как Австралия, Гонконг, Индонезия, Корея, Сингапур, Таиланд.
Доли стран Африки, Ближнего Востока и Южной Азии в международном туризме с 1950-х по 1990-е гг. были небольшими, но претерпевали значительные колебания. Эти регионы не могут конкурировать с Европой, Северной Америкой и ВАТ ни по прибытиям иностранных гостей, ни по поступлениям от международного туризма. Причина этого кроется в экономических проблемах. Туристские центры этих регионов являются специфическими рынками для многих туристгенер ирующих стран. Хотя здесь часто происходят негативные для сектора международного туризма акты терроризма и военные действия, в основном они страдают из-за спада деловой активности в соответствующих генерирующих странах.
В табл. 3.1 приведен перечень лидирующих стран мира важнейших туристских центров шести регионов, обозначенных ВТО, а также основных стран, генерирующих в эти страны туристские потоки.
Основные туристские потоки в мире сосредоточены внутри Европы (из Великобритании во Францию, из Германии в Испанию), Америки (между США и. Канадой) и региона ВАТ (из Японии в Таиланд). Что касается туристских потоков между регионами, то здесь лидируют потоки между Америкой и Европой.
• имеется множество культурно-исторических памятников, созданных природой и человеком;
• спрос на международные путешествия удовлетворяется крупной индустрией туризма и необходимой инфраструктурой.
Некоторые из этих факторов присущи и Северной Америке. Большая часть туристов из США и Канады также предпочитает путешествовать в своем регионе, однако значительная часть населения этих стран все же проводит свой ежегодный отпуск в отдаленных регионах земного шара.
Анализ развития мирового туризма, проведенный ВТО, показывает значительные изменения, которые произошли в прибытиях иностранных туристов и поступлениях от международного туризма. Если доля прибывающих в Европу туристов в 1985 1996 гг. снизилась с 65 до 59 %, а доля поступлений с 53 до 51 %, то за этот же период страны Восточной
Азии и Тихоокеанского региона (ВАТ) заметно увел ичили свою долю (с 9 до 15 % и с 11 до 19,5 % соответственно) по числу туристов и поступлениям от них. В 19501960 гг. доля этого региона в общих мировых прибытиях составляла всего 1 %, в 1970 г. она достигла 3 %, в 1980 г. 7, в 1990 г. 11 и в 1996 г. 15 %. Доля поступлений от международного туризма в этом регионе также постоянно росла: 1950 г. 1,4%, 1960 г. - 2,8, 1970 г. - 6,2, 1980 г. -7,3, 1990 г. - 14,4, 1996 г. 19,5 %. Это демонстрирует рост, происходящий в высококонкурентной среде таких стран, к ак Австралия, Гонконг, Индонезия, Корея, Сингапур, Таиланд.
Доли стран Африки, Ближнего Востока и Южной Азии в международном туризме с 1950-х по 1990-е гг. были небольшими, но претерпевали значительные колебания. Эти регионы не могут конкурировать с Европой, Северной Америкой и ВАТ ни по прибытиям иностранных гостей, ни по поступлениям от международного туризма. Причина этого кроется в экономических проблемах. Туристские центры этих регионов являются специфическими рынками для многих туристгенерирующих стра н. Хотя здесь часто происходят негативные для сектора международного туризма акты терроризма и военные действия, в основном они страдают из-за спада деловой активности в соответствующих генерирующих странах.
В табл. 3.1 приведен перечень лидирующих стран м ира важнейших туристских центров шести регионов, обозначенных ВТО, а также основных стран, генерирующих в эти страны туристские потоки.
Основные туристские потоки в мире сосредоточены внутри Европы (из Великобритании во Францию, из Германии в Испанию), Америки (между США и. Канадой) и региона ВАТ (из Японии в Таиланд). Что касается туристских потоков между регионами, то здесь лидируют потоки между Америкой и Европой.
Это первенство является результатом увеличения предложений перелетов через Атлантику и сни жения соответствующих тарифов для большего сегмента рынка. Другие лидирующие направления: из Европы в ВАТ, на Ближний Восток и в Африку; из ВАТ в Америку и Европу.
Структура туристских потоков по целям поездок российских граждан (выехавших за границу) и иностранных граждан (прибывших в Россию) приведена в прил. 2 5.
3.2. Поведение потребителя комплексной туристской услуги
Туризм давно стал насущной необходимостью и неотъемлемой частью жизни людей. Рано или поздно человек ощущает потребность отправиться в путешествие. Его стремление к разнообразию впечатлений приобретает четкие очертания, когда он приходит к решению провести свободное время вне дома, рассчитывая с переменой мест снять нервное напряжение и усталость, порождаемые работой.
Чем человек руководствуется при выборе поездки, места туристского назначения, характера деятельности во время путешествия? Что заставляет его сделать так, а не иначе? Одним из ключевых моментов, позволяющих ответить на эти вопросы, является мотивация путешествия и выбора ту ристского продукта.
Туристская мотивация может быть определена как побуждения человека, направленные на удовлетворение рекреационных потребностей, в зависимости от его индивидуальных физиологических и психологических особенностей, системы взглядов, ценност ей, склонностей, образования и т.д.
В мире насчитывается свыше 300 видов и подвидов путешествий, которые постоянно дополняются новыми разновидностями, способными удовлетворить самые разнообразные желания и потребности туристов. Туристская поездка имеет в своей основе мотивацию, которая является одним из важнейших факторов принятия решения о путешествии и выбора туристского продукта и его составных элементов. Мотивация выбора туристского путешествия (время, продолжительность, направление, вид, затраты, характер деятельности) важнейшая характеристика, влияющая на поведенческие инициативы туриста при планировании им отдыха, выборе, приобретении и свершении тура.
Туристские мотивы важнейшие составные элементы системы туристской деятельности, которые можно расс матривать как определяющие компоненты спроса, основу выбора поездки и программы отдыха.
Мотивы человека в определенной степени формируют его поведение в качестве покупателя и потребителя товаров и услуг, особенно в туризме. Нет такого продукта, который мож ет быть реализован на рынке, если он не произведен в соответствии с потребительским спросом. Адресность туристского продукта является залогом его продажеспособности. Понимание мотивов потенциального туриста имеет огромное значение при планировании, формировании и организации процесса реализации туристского продукта. Это дает возможность производить и предлагать на рынок тот туристский продукт, который в наибольшей степени соответствует потребительским ожиданиям.
Туристская мотивация это та необходимая база, на которой должна строиться эффективная система планирования, разработки и реализации туристского продукта.
Мотивов, которыми руководствуется турист, много, причем у туриста всегда присутствует целая гамма побудительных мотивов, из которых лишь определенные могут иметь существенную значимость и влиять на механизм и результат принятия окончательного решения. Однако любой мотив в конкретной ситуации под воздействием определенных обстоятельств способен оказывать влияние на поведение потребителя в процессе пр инятия им решения о путешествии и выборе турпродукта.
Нередко туристская программа изменяется под воздействием не основных, а побочных мотивов. Например, человек, отправившийся на отдых в определенное место, порой посещает другие интересные места и достопримечательности, объясняя свой поступок таким мотивационным исходом: «Когда здесь еще побываю? Надо все увидеть». Мотивы обусловливают совершенствование, развитие и внедрение новых туристских программ.
Активное и закономерное участие различных предприятий и организаций в развитии туризма вызывает насущную необходимость не только выявления, изучения и понимания туристских мотивов, но и их использования и усиления к ним профессионального внимания.
Понимание туристских мотивов позволяет обеспечивать соответствие спроса и предложения и приводит к повышению конкурентоспособности предприятия за счет удовлетворения потребностей туриста в конкретном туристском продукте.
Выявление, знание и использование туристских мотивов должны стать важнейшей стратегией туристского предприятия, ориентированной на определение рыночных потребностей и создание таких видов турпродукта, которые отражают требования определенных сегментов рынков. Туристские мотивы как определяющий компонент спроса должны быть положены в основу деятельности турфирмы с расчетом, что производимый туристский продукт сможет обеспечивать туристский спрос. При этом важен двуединый и взаимодополняющий подход:
с одной стороны, тщательное, всестороннее изучение и использование мотивов потребителя, ориентация на них производства, адресность турпродукта;
с другой активное воздействие на существующие мотивы, их формирование.
Первоначальное отличие туристских мотивов предопределяет не только решение о путешествии и выбор конкретного туристского продукта, но и многочислен ные возможности появления и развития новых мест туристского назначения, а также новых форм и видов туризма. Четкое знание того, что именно побуждает человека к путешествию и выбору конкретной поездки, является залогом успешного продвижения туристского направления.
Таким образом, актуальность и практическая значимость мотивационных аспектов в туризме очевидны. Понимание, знание и использование туристских мотивов, влияющих на выбор конкретного туристского продукта и принятие решения о путешествии, могут стать залогом успешного функционирования туристского предприятия, продвижения и популяризации туристского направления. Выявив мотивы, можно вырабатывать эффективные приемы, способствующие привлечению туриста и придания ему статуса постоянного, что, в конечном и тоге, прямым или косвенным образом может повлиять на характер и объем спроса и сбыта.
Мотивы в определенной степени предопределяют поведение человека в качестве покупателя турпродукта, влияя на выбор практически всех его составных элементов. Не все туристс кие мотивы могут быть четко сформулированы и определены, но их можно систематизировать.
Цели путешествия являются основой первоначального отличия туристских мотивов. Среди целей путешествия можно выделить:
• отдых, досуг, развлечение;
• познание;
• спорт и его сопровождение;
• лечение;
• паломничество;
• деловые цели;
• гостевые цели.
.Виды отдыха позволяют составить условную классификацию туристских мотиваций при выборе путешествия.
Забота о здоровье туры культурно-оздоровительные, лечебные, с использованием оздоровительных видов спорта, а также экзотические туры (например, для желающих бросить курить).
Занятия спортом туры, содержащие разнообразные виды спорта.
Обучение туры, связанные с изучением иностранных языков и разговорной практикой, предусматривающие ежедневные занятия и различные виды рекреационной деятельности; туры, обучающие различным видам спорта; туры, предлагающие профессиональные программы обучения (менеджмент, маркетинг, экономика и др.).
Наибольшую группу составляют обучающие туры по интересам (например, кулинария, астрономия и т.д.).
Возможность самовыражения и самоутверждения приключенческие туры: высококатегорийные туристские походы, сафари, охота, покорение горных вершин, экспедиции и пр.
Возможность заняться любимым делом (хобби) в среде единомышленников специальные туры для автолюбителей, фанатов и спортивных болельщиков на спортивные соревнования, чемпионаты и олимпиады; туры для паломников, коллекционеров, гурманов. (Например, существуют «сырный тур» по Швей царии и «пивной тур» по Чехии.)
Решение деловых проблем деловые, конгресс-туры и др. В частности, крупнейший российский туроператор ВАО «Интурист» предлагает специализированные деловые поездки и инсентив -туры, организует конгресс-обслуживание, культурную и туристско-экскурсионную программу, а также весь комплекс необходимого обеспечения для проведения такого рода мероприятий.
Развлечение и потребность в общении с людьми путешествия в праздничные дни и туры с развлекательно -познавательными программами.
Удовлетворение любопытства и повышение культурного уровня мотив реализуется во всех вышеперечисленных турах, но наиболее характерен для познавательных туров (например, туры по известным городам, столицам, историческим и культурным центрам).
Специфические интересы различных туристских групп позволяют выделить четыре категории туристских мотивов, Элементы которых определяют выбор туриста.
Природные и климатические мотивы рельеф местности, растительность, температура воздуха и другие благоприятные факторы чрезвычайно привлекательны для туриста и играют существенную роль в создании таких форм туризма, как спортивный, водный, горнолыжный и т.д. Кроме того, все это восполняет психологические и биологические потребности населения урбанизированных городов, которое ище т в туризме отдых и смену окружающей обстановки.
Культурные мотивы исторические места, музеи, картинные галереи, выставки, археологические памятники, народные ремесла и многое другое составляют культурное наследие страны.
Экономические мотивы стоимость жизни в месте туристского назначения, стоимость путешествия и т.д.; играют существенную роль в формировании недорогостоящих пакет -туров, оказывают большое влияние на количество туристов со средним доходом.
Психологические мотивы побуждают человека путешествовать, отвечают психологическим потребностям туриста. Доказано, что не многие туристы приезжают снова в те места, где они уже были, за исключением случаев, когда туристом движут сентиментальные причины или сильный экономический мотив.
При выборе турпродукта турист, как правило, руководствуется целой гаммой мотивов, из которых лишь определенные имеют существенную значимость. Эти мотивы часто объединяются в многокомпонентные комплексы ощущений и желаний, в значительной мере усиливающих свое влияние на механизм и результат принятия потребителем окончательного решения. Таким образом, потенциальным туристом может быть принято решение о выборе путешествия, соответствующего одновременно нескольким мотивационным исходам.
Соотношение главной и вторичных целей отдыха, которые определяют выбор туриста, позволяет классифицировать мотивационные исходы следующим образом.
1. Единый, четко преобладающий и обоснованный мотивационный исход оказывается решающим при выборе места туристского назначения (например, горнолыжною ку рорта элитного и дорогостоящего вида отдыха и развлечения). Подготовленный турист окажет предпочтение горнолыжному маршруту на известном курорте с хорошо оснащенной лыжной станцией и, по возможности, будет максимально использовать предлагаемые туристские ресурсы для реализации своей главной цели катания на лыжах. Все остальные цели вторичные, и не имеют решающего значения при выборе.
При выборе туристами этой поездки преобладают следующие мотивы:
• спортивный интерес катание на лыжах по горным склонам и (или) участие в различных спортивных соревнованиях, а также (в зависимости от опыта) в спортивно -развлекательных лыжных шоу;
• развлекательный интерес элитарное общество, интересные знакомства, встречи, общение, приятное времяпрепровождение, присутствие в качестве зрителя на соревнованиях, показательных выступлениях по фристайлу и сноубордингу, лыжных развлекательных супершоу;
• оздоровительный интерес свежий воздух, отличные, хорошие или сносные (по средствам) условия проживания и питания, интенсивные нагрузки, весенний загар.
Положительный комплекс туристских впечатлений (хороший курорт, отдых и общество) способен оказывать влияние на выбор туристом данного места отдыха в течение многих лет.
2. Один превалирующий мотивационный исход и нескол ько вторичных (или ожидаемых) исходов, решение о выборе которых может быть принято при соответствующем стечении обстоятельств
во время поездки. Таковы познавательные туры в желаемую страну, например во Францию, где набор экскурсий и развлечений часто отдается на выбор туристам: одни могут посетить Евро -Диснейлэнд, другие Лувр и т.д. При выборе данной поездки определяющими являются следующие мотивы:
• познавательный посещение страны, достопримечательности которой (Эйфелева башня, Монмартр, Сена) известны каждому с детства из литературных произведений;
• престижно-имиджевый отрицательный ответ на вопрос: «Как, вы не были во Франции?» может поставить собеседника в неловкое положение;
• культурно-развлекательный посещение Лувра, других музеев, спектаклей Л ид о и т.д.
Несмотря на то что мотивы поездки четко ограничиваются группой близких познавательных целей, возможны различные направления тура. На принятие решения о познавательной поездке во Францию, Италию или другую страну могут повлиять разные обстоятельства, однако два раза в одно и то же место с четко выраженными познавательными целями турист, как правило, не поедет.
3. Основной мотивационный исход и несколько четко выделенных сопутствующих исходов (например, при выборе пляжного отдыха). Выбор геогра фического направления (конкретного курорта) и уровня отдыха в значительной степени зависит от компании, наличия денежных средств и опыта предыдущих поездок. Как правило, для отдыха на пляже достаточно двух-трех дней, далее его хорошо дополнить развлечениями, экскурсиями, другой активной деятельностью.
При выборе такой поездки выдвигаются следующие мотивы:
• пляжно-оздоровительный море привлекает всех, кто не проживает в прибрежной полосе; морской воздух и морская вода полезны для укрепления здоровья;
• пляжно-активный и спортивный море располагает не только к пассивному отдыху, но и к активным развлечениям;
• транжирно-покупательный отдых на море не препятствует, а, наоборот, способствует проявлению интереса к трате накопленных средств (приобретен ие легкой одежды и пляжных атрибутов, сувениров и безделушек);
• развлекательный по мере пресыщения процессом загорания на пляже у туриста появляется интерес к различным видам развлечений.
Изучение мотивационных исходов лучше всего проводить на примере среднестатистического туриста, который совершает путешествие в период своего ежегодного отпуска (полного или частичного).
Цели путешествия позволяют классифицировать мотивационные исходы следующим образом.
Отдых. Турист задается целью:
• снять стресс, накопленный за определенный период времени;
• сменить обстановку и природно -климатические условия;
• побыть в окружении других людей;
• познакомиться с другой культурой, образом жизни других людей, их бытом;
• сравнить чужой образ жизни со свои м в целях самоутверждения, правильности его организации или заимствования новшеств;
• побыть в новой для себя роли получить за определенный период времени высокий уровень обслуживания и ухода;
• ощутить волнующие переживания (непременно с благополучным исходом), чтобы потом рассказывать об этом друзьям и знакомым;
• получить удовольствие от необычных ощущений;
• принять участие в азартных играх;
• испытать романтическое приключение, легкий (в разумных пределах) флирт;
• расслабиться вне дома;
• потратить деньги, которые (независимо от уровня дохода) турист всегда копит на отдых.
Познание. Цель туристской поездки:
• увидеть достопримечательности и явления природы, красивые виды и пейзажи, национальные парки и др.;
• познакомиться с достижениями культуры, науки и техники (музеи, галереи, архитектурные ансамбли и т.п.);
• побывать на экологически чистых или, наоборот, очень загрязненных объектах;
• увидеть экзотический животный и растительный мир;
• посетить исторические места и с ооружения;
• сделать уникальные фотографии, снять видеофильм. Развлечение. Турист предполагает:
• посетить аттракционы (тематические и аквапарки);
• посетить известные театры, цирки, казино, кабаре, стриптиз-шоу;
• побывать на карнавалах, фести валях, национальных праздниках;
• посмотреть крупные спортивные состязания, игры.
Лечение. Любой отдых может иметь оздоровительные цели, а
лечение различную функциональную нагрузку и (в экстремальном случае) быть основной целью поездки. В зависимости о т доли лечебной составляющей целевой функции выделяют следующие виды мотивационных исходов:
• оздоровительный общая цель всех туров (климат, отдых, полезные для здоровья моральные и физические воздействия);
• лечение в качестве сопутствующей программы, т.е. не как основная цель;
• лечение по предписанию врача как основная цель туристского путешествия (посещение курорта, водолечебницы, специализированного санатория, клиники и пр.).
Паломничество. При паломничестве предполагается:
• празднование культовых обрядов;
• самосовершенствование и утверждение духовного состояния;
• достижение внутренних конфессиональных целей, служащих для утверждения в сане и занятия определенного положения в общине;
познание духовного «нового», получение заряд а духовной
энергии.
Решение о путешествии предполагает принятие других взаимосвязанных решений и включает не только оценку и выбор единственного турпродукта из альтернативного ряда, но и на выбор подходящей смеси из различных услуг, предлагаемых предприятиями индустрии туризма. В идеале каждый из элементов этой смеси должен быть оценен индивидуально, чтобы цель максимально возможное удовлетворение потребностей была достигнута.
Процесс покупки конкретного туристского продукта начинается задолго до свершения акта купли-продажи. На принятие потребителем решения о покупке большое влияние оказывают факторы культурного, социального, личностного и психологического характера. Путь к принятию решения о покупке состоит из нескольких этапов.
Осознание нужды или проблемы. Потребитель осознает цель путешествия (например, отправиться к святым местам).
Поиск информации. Потребитель обращается к источникам: личным (семья, друзья), коммерческим (реклама) и общедоступным (средства массовой информации). В результате сбора инф ормации повышается осведомленность об имеющихся на туристском рынке производителях, их предложениях и т.д. Потребитель использует информацию, чтобы составить комплект вариантов, из которых сделает окончательный выбор.
Оценка вариантов. Потребитель оценивае т варианты, рассматривая туристское предложение как определенный набор свойств (например, гостиница рассматривается
месторасположение, специализация, категория, стоимость, обслуживание и др.). Каждый считает для себя приоритетными свойства, имеющие отношение непосредственно к личным нуждам и мотивам. Решение о покупке. Оценка вариантов ведет к ранжированию объектов в комплекте выбора, формируя намерение совершить покупку наиболее предпочтительного варианта, с учетом ожидаемого семейного дохода, цены тура и выгод от его приобретения.
На принятие окончательного решения о покупке могут оказать влияние два фактора: отношение других людей и непредвиденные факторы обстановки.
В первом случае супруг может настаивать на выборе тура с проживанием в более дешевой гостинице. Это уменьшит вероятность покупки другого варианта.
Непредвиденные факторы обстановки могут возникнуть внезапно и изменить намерение совершить конкретную покупку (например, знакомый потребителя может поделиться с ним своими разочарованиями от поездки на данный курорт).
Кроме того, у потребителя существуют определенные приоритеты при выборе туристской фирмы. Согласно данным блиц-опроса приоритеты распределились следующим образом, %: Советы друзей и знакомых 31,6 Цены 26,7
Наличие лицензии 18,1
Набор услуг 15,6
Сроки и опыт работы на рынке 14,8
Личный опыт общения с этой фирмой . 13,0
Советы специалистов 11,3
Доброжелательность сотрудников 8,8
Рейтинги туристских фирм 4,7
Реклама 3,7
Упоминание туристской фирмы в с правочниках 3,4 Хороший офис . 2,5
Удобное месторасположение 2,5 Другие показатели 5,9
Реакция на покупку. Потребитель получает (или не получает) удовлетворенность от приобретенного турпродукта, степень которой измеряется соотношением между ожиданиями и конкретно воспринимаемыми свойствами турпродукта. Ожидания потребителя формируются на основе информации, получаемой потребителем от сотрудников туристских предприятий, друзей и из других источников.
Если характеристики турпродукта завышаются, у потребителя могут сложиться слишком высокие ожидания, которые, вероятнее всего, обернутся разочарованием. Чем больше разрыв между ожидаемыми и действительными свойствами турпродукта, тем острее неудовлетворенность потребителя. Соответствие ожиданиям дает потребителю удовлетворенность, превышение ожиданий
большую удовлетворенность, несоответствие ожиданиям неудовлетворенность. Удовлетворенность или
неудовлетворенность турпродуктом может отразиться на последующем поведении потребителя и его туристских мотивациях.
Таким образом, можно утверждать, что потребитель редко приступает к действиям, руководствуясь лишь одним побудительным мотивом. Реальное поведение потребителя на рынке предопределено разнообразием туристских мотивов, часто не совпадающих во време ни и отражающих его личные интересы и потребности, что в каждом конкретном случае приводит к разному результату.
В общем представлении туризм это удовольствие, активный или пассивный отдых, досуг и развлечение. Однако каждый человек представляет себе туризм достаточно индивидуально в зависимости от возраста, образования, жизненного опыта, семейного положения, дохода и других факторов. С достаточной степенью приближенности можно выделить группы населения, которые имеют некоторую общность в понимании принципо в желаемого отдыха и принимают аналогичные решения при выборе путешествия.
Существует ряд факторов, оказывающих влияние на туристские мотивы, которые необходимо учитывать при изучении спроса на турпродукт и при формировании программ обслуживания. Принято выделять доминирующие и побочные факторы туристской мотивации, обладающие определенными возможностями усиливать свое влияние на поведение потребителя и процесс принятия им решения о путешествии и выбор турпродукта. Перечислим некоторые из них.
Возраст. Мотивация выбора путешествия в значительной степени зависит от возраста и самостоятельности в принятии решения или возможности влиять на его выбор:
• дети (до 2 лет) решений самостоятельно не принимают, но опосредованно оказывают большое влияние на выбор р одителями вида отдыха;
• дети дошкольного возраста (до 7 лет) путешествуют с родителями (за редким исключением в организованных группах), решений самостоятельно не принимают, но могут оказывать давление на родителей или лиц, их сопровождающих. Концепц ия отдыха ориентирована на потребности ребенка;
• школьники (до 18 лет) в основном финансово зависимы, обладают ограниченной самостоятельностью, чаще всего следуют на отдых в составе групп, отличаются высокой любознательностью. Предпочитают познавательный и активный отдых;
• молодежь, студенты (до 25 лет) как правило, имеют достаточное образование, высокую требовательность к удовлетворению познавательных исходов, активному отдыху, склонны к самостоятельности, индивидуальному или самодеятельному туризму, коммуникабельны, с ярко выраженными приключенческими мотивами. Согласно преобладающей на Западе концепции до создания семьи предпочитают посмотреть мир, что учитывается турфирмами при разработке турпродукта: для этой категории туристов существует много предложений и наибольшее количество скидок;
• туристы (25 35 лет) обычно семейные, с малолетними детьми, связаны необходимостью закрепления своего положения в обществе, служебной карьерой; на отдых выделяют мало времени и средств, направляя их в основном н а укрепление финансового положения семьи. Исключение составляют туристы из категории «новых русских», мотивации которых непредсказуемы и могут свестись к интенсивному разбрасыванию денежных средств, требованию особого рода развлечений, даже не столько в це лях получения острых ощущений, сколько для привлечения к себе внимания окружающих;
• туристы (35 50 лет) предпочитают активный, менее
познавательный, более спокойный отдых, чаще без детей и без партнера; как правило, обеспечены, знают цену деньгам и развлечениям. Основной мотив за свои деньги получить отличный отдых, адекватный вложенным средствам и жизненному опыту;
• туристы (от 50 лет и старше), за редким исключением, обладают относительно слабыми физическими возможностями, склонны к недомоганиям (им показаны существенные климатические ограничения); предпочитают познавательный отдых, как правило, вне сезона, а также опосредованно связанный с лечением. Основная мотивация возможность спокойного отдыха, исключительная мотивация «успеть увидеть». У этой группы туристов высокие требования к внешним воздействиям.
Образование. Этот фактор инициирует желание увидеть непосредственно явления, достопримечательности, культурно -зрелищные события. Выделяют такие уровни образования: начальное, среднее, среднее профессиональное, высшее и т.д. Не исключение туристы, у которых нет образования, а есть только жизненный опыт.
При комплектовании групп сотрудникам турфирм желательно учитывать уровень образования туристов, что позволит выявлять общность интересов при пос ещении культурных и развлекательных центров, упростит обслуживание и сопровождение групп.
Социальная принадлежность. Этот фактор оказывает существенное влияние на мотивацию выбора отдыха. Выделяют следующие социальные группы:
• рабочие и служащие занятые, как правило, монотонной работой; они стремятся к активному отдыху и составляют значительный контингент туристов. В развитых странах имеют четко оговариваемый трудовым договором отпуск и могут планировать туристскую поездку. Доход, как правило, достато чен, чтобы выделить часть средств на туризм;
• учащиеся и студенты в силу своих возрастных и социальных особенностей и характерных в связи с этим стремлений к расширению и подтверждению знаний они составляют подавляющую часть групп познавательного туризма; испытывают большое влияние познавательных исходов;
• пенсионеры в большинстве стран они имеют льготы и дотации, использование которых (в условиях ограничений климатического характера) позволяет им совершать туристские поездки в «средний» и «низкий » сезоны;
• фермеры и работники подсобных хозяйств из-за отсутствия четко регулируемого отпуска или возможности выделения времени на отдых эта группа является исключительно неблагоприятной для туризма. В западных странах фермеры составляют туристский контингент в «средний» и «низкий» сезоны, а также в зимнее время. Активно участвуют в рождественских и новогодних турах.
Менталитет. Данный фактор определяется в основном воздействием общества, в котором человек проводит большую часть своего времени, что в свою очередь зависит от уровня образования и занимаемого в обществе положения. При выборе вида отдыха этот фактор имеет большое значение, особенно для туристов старше 18 лет, в период становления личности (с возрастом растут компромисность и приспособляемо сть). Тезис «бытие определяет сознание» очень актуален при изучении принципов мотивации. Обычно во время отдыха имеет место стремление к восполнению недостающих эмоций и ощущений.
Конфессия. Влияние этого фактора проявляется в том, что верующие, как правило, отторгают развлекательные программы (варьете, казино). Представители религиозных групп совершают туры, которые отвечают их убеждениям и удовлетворяют познавательные и духовные интересы соответственно образу жизни, вероисповеданию, возможностям совершени я обрядов и молитв.
Доход. Данный фактор играет в туризме существенную роль. Турист выбирает уровень туристского обслуживания и вид путешествия исходя из их стоимости и своих материальных возможностей. Люди обеспеченные путешествуют избирательно. Люди с низким доходом совершают наименьшее число туристских поездок. Повышение жизненного уровня меняет приоритеты. Доходность различных категорий населения, составляющих потенциальный контингент туристов, влияет на формирование планируемого отдыха.
Семейное положение. Этот фактор существенным образом влияет на мотивацию выбора путешествия. Выделяют следующие группы семейной принадлежности:
• дети и школьники способны оказывать влияние на родителей в выборе тех стран, где были их школьные товарищи;
• молодежь свободна от семьи и поэтому имеет все предпосылки для активных путешествий;
• супруги с детьми или лица, сопровождающие детей, стремятся обеспечить отдых ребенка. Относительно ограничены в возможности выбора вида отдыха и развлечений;
• семейные пары как правило, располагают достаточными средствами для предпочтительного им вида отдыха, обладают преимуществом не подыскивать себе партнера на период путешествия. Реже выбирают познавательные туры, чаще пляжный отдых.
Работа. Ее вид, характер, напряженность опосредованно оказывают влияние на формирование мотивов выбора путешествия, так как именно на работе человек проводит большую часть времени и подвержен сильному влиянию вида трудовой деятельности (умственной или физической) и трудового коллектива.
Отпуск. Его наличие, продолжительность, а также дотации к отпуску влияют на мотивацию путешествия и выбор туристского продукта. Отсутствие отпуска лишает человека возможности совершать длительные туры, оставляя ему лишь маршруты выходного дня.
Исследования известной консультационной фирмы «Horwath UK» подтвердили тенденцию к сокращению (причем быстрыми темпами) отпускного времени, что в будущем может отразиться на развитии международного туризма. Судя по результатам исследований, продолжительность отпусков в будущем может составлять 3 4 дня, включая выходные, но они будут
предоставляться с большей частотой. Люди будут проводить такие отпуска в регионе, где они проживают, в одном часовом поясе.
Исследования фирмы «Horwath UK» выявили нового потребителя туристских услуг с более высоким уровнем дохода, но с лимитированным временем. Это значит, что туристским организациям предстоит разрабатывать новую маркетинговую стратегию и создавать новый турпродукт для потребителя, который вправе требовать от туристской и ндустрии предоставления ему высокоэффективных методов выбора и приобретения турпродукта без отсрочки и ожидания.
Здоровье. Физическая подготовка, иммунитет, спортивные навыки в значительной мере определяют выбор путешествия. Человек, никогда не стоявший на лыжах, не выберет отдых по программе «Ski-extreme», как и человек, страдающий морской болезнью, морской круиз или яхтинг. Боязнь высоты не позволит совершить восхождение на горную вершину. Человек, страдающий каким-либо недугом, постарается выбрать путеш ествие, дающее возможность лечения, оздоровления, принятия процедур. Значительная часть курортов предлагает такие услуги, что существенным образом влияет на принятие решения о путешествии и покупке турпродукта.
Инвалиды и люди с физическими недостатками мо гут составить специфический сегмент потребительского рынка, если средства и условия их приема будут соответствовать специфике данного сегмента. Исследования подтверждают, что все большее число людей с физическими недостатками предпочитает проводить свободное время в путешествиях.
Семьи, в которых есть люди с физическими недостатками, скрупулезно подходят к планированию и выбору туристской поездки, учитывают возможные трудности и специфику отдыха. В мире существуют курорты, рассчитанные на прием данной категории туристов (например, в Колорадо создан горнолыжный курорт со специальными программами для слепых, калек и т.д.). Туристская индустрия предлагает специальные услуги для данного сегмента потребительского рынка (в частности, некоторые авиакомпании программы обслуживания, гостиницы помещения, сконструированные с учетом специфики данной категории туристов).
Существует ряд не явно выраженных физических недостатков, которые ограничивают туристскую активность, но, как правило, редко учитываются работниками сф еры туризма (например, диабет, фобии). Следует помнить, что высокий процент людей с физическими недостатками может создать предпосылки для возникновения экстренных ситуаций во время путешествия.
Численность туристской группы. Принято выделять следующие гру ппы туристов:
• индивидуальный тур или малая группа (до 10 человек) для туриста этой группы предполагается наибольшая степень учета его потребностей, высокая степень самостоятельности, малая коммуникабельность и приспособляемость к интересам группы. Туроператор при составлении тура учитывает все возможные пожелания туриста;
• группа более 30 человек слабоуправляема, с существенными отличиями в требованиях к организации отдыха. Для такой группы требуются более разнообразные возможности выбора туристских услуг по их содержанию и уровню цен.
Участие в групповом туре характеризуется следующими мотивационными исходами:
• подавление избыточного индивидуализма требований в целях приспособления к общим интересам;
• избавление от негативных моментов (незна ние языка, географии, культуры и обычаев посещаемой страны, страх потеряться, подвергнуться нападению, остаться без поддержки и др.) при посещении незнакомых мест;
• возможность обрести новых знакомых и друзей;
• наличие компаньона во время путешеств ия.
Географическое направление. Мотив выбора географического
направления может быть неопределенным и во многом зависит от удаленности и доступности места туристского назначения. На выбор географического направления в значительной степени влияет подготовленность туриста (в том числе сведения, полученные им из учебной, популярной и другой литературы, средств массовой информации, образующие фундамент его географических, краеведческих и страноведческих знаний). Решение относительно путешествия концентрируется в округ выбора места туристского назначения. Выбор определяется оценкой возможных способов развлечения, удовлетворения туристских потребностей. Географическое направление может привлекать месторасположением (при-родные или искусственные факторы, культурные элементы и пр.), событием (фестиваль, спортивные игры и др.), возможностями для определенной деятельности (например, для занятий спортом), а также состоянием материальной базы, транспортной инфраструктуры и т. п.
Сезонность. Туристские ресурсы в силу их гео графического положения и климатических особенностей обладают сезонной привлекательностью (никто не поедет в Индию в период муссонных дождей). В туристской практике годовой цикл принято делить на сезоны, способствующие или, наоборот, препятствующие отдыху в конкретной местности в определенный период времени. Выделяют следующие сезоны:
высокий период, наиболее благоприятный для отдыха в конкретной местности в определенное время;
средний период, когда отдых возможен, но при менее комфортных условиях, чем в «высокий» сезон;
низкий относительно неблагоприятный период для отдыха в конкретном месте в определенное время.
Турист предпочитает посещать курорт именно в «высокий» сезон, и в мире всегда можно найти место с наиболее благоприятными условиями для отдыха в определенное время.
Активность. Туризм предполагает пассивный и активный виды отдыха. Мотивация выбора наиболее привлекательного д ля туриста вида отдыха зависит от его возраста, характера, образа жизни, устойчивых принципов, влияния общества и других факторов, но главное от здоровья. Физическая активность на работе генерирует желание спокойного отдыха, и наоборот, умственный труд необходимость физической нагрузки, эмоциональной встряски и т. д. На склонность туриста к пассивному отдыху также может влиять сезонность.
3.3. Детерминанты туристского спроса
При выборе сегмента потребительского рынка следует четко разграничивать виды отдыха, для каждого из них находить своего потребителя, более точно и полно учитывать его потребности и уровень развлечения. Для участия в туре высокой категории сложности следует вводить ограничения по возрасту и медицинским показаниям, согласовывая их предв арительно с врачом и требуя от туриста рекомендацию или разрешение на участие в туре.
Таким образом, туристские мотивы как существенный элемент спроса являются объектом целого ряда влияний, которые могут быть не связаны напрямую с туризмом, но при этом воз действуют как на объем, так и на формы спроса и выбора туристского продукта и услуг. Одни из этих влияний могут быть доминирующими, другие побочными, однако все они обладают определенной возможностью усиливать свое воздействие на принятие решения о путеше ствии и выбор турпродукта.
Существуют причины, по которым человек либо не путешествует, либо делает это чрезвычайно редко. Эти причины можно назвать барьерами к путешествию. Для большей части населения барьерами к путешествию являются следующие причины.
Стоимость турпродукта. Потребитель действует в условиях ограниченности денежной массы и при составлении бюджета вынужден прежде всего учитывать другие статьи расхода (например, на приобретение предметов первой необходимости). Суждение, что путешествие являет ся слишком дорогим удовольствием, можно рассматривать как мнение о сомнительной полезности туризма. С другой стороны, следует учитывать, что стоимость туристской поездки является для туриста объективной и принципиальной причиной того, чтобы оставаться дома.
Дефицит времени. Многие люди не могут оставить работу (дела) ради путешествия.
Ограничения по здоровью. Плохое здоровье или физические недостатки не позволяют человеку покинуть свой дом, заставляют отказаться от путешествия.
Жизненный цикл семьи. Родители малолетних детей не путешествуют часто из-за семейных обязанностей или возможных неудобств, связанных с переездом. Одинокий человек (вдовец), как правило, не путешествует из-за отсутствия в поездке попутчика.
Дефицит интереса. Незаинтересованность, как и незнание тех видов туристской деятельности и туристских направлений, которые могут принести необходимую удовлетворенность от поездки, часто являются серьезным барьером к путешествию.
Страх и безопасность. Туристская поездка предполагает столкновение с новым, что часто пугает туриста. Войны, беспорядки, негативные публикации в средствах массовой информации о конкретной местности оставляют в душе потенциального туриста страх и предубеждение относительно конкретного туристского направления. Серьезным барьером, не только сдерживающим, но и дискредитирующим туризм, является терроризм.
Достаточно сильный мотив к путешествию способен преодолеть любые барьеры, хотя они и оказывают определенное влияние на выбор вида отдыха и туристского направления. Как показывает практика, большинство туристов с трудом преодолевает такие барьеры, как дефицит интереса, страх и безопасность.
На первый взгляд, эти факты не столь существенны, чтобы быть принятыми всерьез, однако сегмент незадействованных групп потенциальных туристов слишком широк, чтобы его игнорировать. Существенную часть потенциальных потребителей можно убедить, что и за рамками их дома существует Много интересных мест и объектов туристского назначения. В этих целях целесообразно активизировать рекламную кампанию среди различных групп населения.
Анализ причин, способствующих возникновению дефицита интереса, раскрыл конфликт между желанием познания нового и потребностью в безопасности. Для человека место его проживания является гарантией надежности и безопасности по прин ципу: «Мой дом моя крепость», но постоянное пребывание в знакомой среде может вызвать скуку и непреодолимое желание сменить обстановку. Таким образом, человек может оказаться подверженным двум достаточно сильным мотивам: стремлению к безопасности и стремлению к познанию, противоречие которых необходимо ослабить. Этого легко достичь, предложив потребителю выбрать путешествие по хорошо знакомой местности в компании знакомых людей. Таким образом, угроза безопасности со стороны неизвестного будет предотвращена, но сила познания и впечатлений от путешествия окажется снижена.
3.4. Статистика международного и внутреннего туризма
Проблемы статистического учета являются центральными в исследованиях туризма. Исследование международного туризма требует количественных показателей, в основе которых лежат статистические данные. Начало систематическому учету туристских потоков было положено в первой половине XX в. В 1929 г. Австрию посетили около 2 млн человек, Швейцарию 1,5 млн, Италию . свыше 1 млн человек. На волне ту ристского движения в ряде европейских стран складывалась статистика путешествий, однако тогда она еще не имела самостоятельного значения. Сбор и обработка сведений осуществлялись в интересах национальной безопасности, контроля за миграционными процессами и соблюдения законодательства о налогообложении. Собственно туристские цели отходили на задний план: туристов учитывали наряду с другими путешествующими лицами, не вычленяя в качестве особой категории.
Новый этап в развитии статистики международного туризма наступил в конце 1940-х начале 1950-х гг. После войны европейские страны столкнулись со многими хозяйственными проблемами: разрухой, хаосом в управлении, развалом товарной и финансовой систем. Стабилизация ситуации требовала целого комплекса скоординированных действий. В этих условиях правительства обратились к международному туризму, возлагая на него большие надежды. С ним связывали активизацию платежного баланса, достижение финансового равновесия и, в конечном итоге, долгосрочный экономический подъем.
В 1960-е гг. внимание правительств индустриальных стран Запада и международных организаций было сфокусировано на положении развивающихся стран. Генеральная ассамблея ООН приняла Декларацию о предоставлении независимости колониальным странам и народам (1960 г.) и объявила текущее десятилетие «Декадой развития». Для стран «третьего мира» консультанты разработали программы преодоления экономической отсталости, в которых туризму отводилось существенное место.
С ростом объема и экономического значения туризма шло развитие статистики. Постепенно простые учетные операции усложнялись и стали включать элементы анализа туристской миграции. В настоящее время статистика туризма, охватывая большой круг вопросов, ведется в целях оценки вклада международного туризма в эконо мику страны, в частности его влияния на платежный баланс; выявления основных направлений и тенденций развития туризма для планирования его материально -технической базы; проведения маркетинговых исследований и продвижения туристского продукта к потенциальн ым потребителям.
За каждым из перечисленных направлений статистических наблюдений стоит конкретный пользователь информацией. Правительства, национальные туристские администрации и предприятия это производители туртоваров и услуг. В процессе работы все они нуждаются в новейшей информации о туризме и определяют ее содержание, объем, формы и периодичность представления.
Статистика международного туризма включает два основных раздела: статистика туристских потоков и статистика туристских доходов и расходов. Для каждого из них ВТО разработала перечень основных показателей, информативных и относительно легко измеряемых. Важнейшими показателями туристских потоков являются количество прибытий (отбытий) и продолжительность пребывания.
Под количеством прибытий (отбыт ий) понимается число зарегистрированных туристов, прибывших в ту или иную страну (выбывших из нее) за определенный период времени, обычно календарный год.
Поскольку турист может посетить несколько стран в течение года и даже в ходе одной поездки побывать в разных государствах, фактическая численность туристов меньше количества прибытий.
Статистика прибытий (отбытий) содержит количественное описание туристских потоков в мире. К концу 90 -х гг. XX в. число международных туристских поездок превысило 650 млн. Н есмотря на кратковременные колебания и спады в отдельные годы, в развитии туризма прослеживается устойчивая тенденция к повышению. Средние ежегодные темпы прироста туристских прибытий за период с 1950 по 1999 гг. составили 7 %. Статистические данные о приб ытиях группируют по целям путешествия, видам используемого транспорта, месяцам заездов, регионам и странам происхождения туристов.
Региональное распределение международных туристских потоков сложилось давно. С начала массовых туристских обменов по настоящее время на мировом рынке туризма заметно выделяется Европа (386 млн прибытий в 1999 г.). Этот регион пользуется большой популярностью у самих европейцев, а также жителей США и Канады. Вторую позицию долгие годы прочно удерживает Америка (127 млн прибытий в 1999 г.). Европа и Америка (прежде всего Северная) являются ключевыми туристскими регионами: на них приходится 4/5 всех прибытий в мире.
Количество прибытий (отбытий) служит основным показателем, характеризующим туристское движение. Прибытия (отбытия) учитываются в абсолютном выражении в виде числа поездок за тот или иной отрезок времени. Однако абсолютные показатели туристских потоков не позволяют судить об уровне туристской активности, так как они зависят от общей численности населения, а поэтому для оце нки интенсивности туристских обменов количество прибытий (отбытий) рассчитывается на 100 человек населения, т.е. выражается в виде относительной величины.
По данным ВТО на 100 человек приходится в среднем 10 поездок. По отдельным регионам и субрегионам зна чения показателя существенно отклоняются от среднемирового уровня. Если в Центральной Африке и Южной Азии в 1995 г. регистрировали 0,5 прибытий на 100 человек населения, то в Карибском бассейне и Океании не менее 40.
Самая высокая туристская активность отмечается в Европе. Во всех субрегионах Западной, Северной, Южной, Центральной и Восточной Европе количество прибытий, а также поездок за границу в расчете на 100 человек больше среднемирового уровня. Максимальные значения показателя активности в Южной и Западной Европе свыше 60 прибытий на 100 человек; для поездок за границу в Северной и Западной Европе более 70 отбытий на 100 человек.
Наряду с количеством прибытий (отбытий) в статистике туристских потоков используется другой показатель продолжительность пребывания. Она измеряется в часах для однодневных поездок и ночевках для посещений -пребываний. Под ночевкой понимают одни сутки, проведенные одним туристом в данной стране (месте назначения).
Продолжительность пребывания всех туристов в стране в течение определенного временного периода (т.е. общее количество ночевок) рассчитывается как произведение числа туристских прибытий на среднюю продолжительность пребывания одного туриста в стране.
Учет ночевок лишь на первый взгляд кажется простым и легким делом. Между тем можно привести немало примеров из жизни, ставящих в тупик даже самых опытных специалистов. Осуществляет ли ночевку автомобилист, совершающий путешествие и останавливающийся в мотеле на несколько часов, чтобы принять душ, отдохнуть и в тот же ден ь снова отправиться в путь? А что можно сказать о человеке, который навещает родственников (за пределами своей обычной среды) и возвращается домой после полуночи? Для ответа на эти и другие аналогичные вопросы ВТО рекомендует руководствоваться следующим: д аты прибытия в место назначения и выбытия из него должны различаться, а путешествующее лицо фактически ночевать во время отсутствия на постоянном месте жительства.
В зависимости от продолжительности пребывания (числа ночевок) выделяют несколько сегментов рынка путешествий. Краткосрочные поездки (1 3 ночевки) предпринимаются для
отдыха и развлечений в выходные и праздничные дни, а также с деловыми целями. Во вторую группу (4 7 ночевок) входят поездки с разными мотивами, осуществляемые преимущественно во в ремя дополнительного отпуска. Этот сегмент рынка развивается опережающими темпами. Среднесрочные поездки (8 28 ночевок) посетители совершают, находясь в продолжительном отпуске, главным образом для отдыха. И, наконец, поездки продолжительностью 29 91 и 92 365 ночевок относятся к долгосрочному туризму. Одна часть лиц (прежде всего экономически неактивных) предпринимают такие поездки для отдыха, развлечений и лечения, другая с деловыми и профессиональными целями (монтаж оборудования и пр.).
По данным ВТО общее количество туристских ночевок в мире в 1994 г. составило 8,2 млрд. Основная их доля около 70 % приходится на внутренний туризм. Статистические данные о ночевках группируются по календарным месяцам, типу и категории средств размещения, а также территориальному признаку. Продолжительность пребывания туристов неодинакова по странам. Эти различия обусловлены туристской специализацией принимающей страны (деловой туризм или путешествия ради развлечения и отдыха), уровнем цен на ее внутреннем рынке, характером туристских потоков (транзитные или конечные), отдаленностью от основных рынков выездного туризма и некоторыми другими факторами. В зависимости от их сочетания средняя продолжительность пребывания (например, в странах Азиатско-Тихоокеанского региона) меняется от трех ночевок в Сингапуре до 24-х в Австралии.
В отличие от статистики прибытий, дающей общее представление об объеме туристских потоков, статистика продолжительности пребываний содержит характеристику туристских путешествий: учитываются ночевки внутренних и иностранных туристов в коллективных средствах размещения.
Аккумулируемая информация о транзитных и конечных поездках используется при изучении спроса разных групп туристов на услуги по размещению.
Рассмотренные выше показатели туристских пото ков применяются при статистическом учете не только иностранных туристов, но и местного населения, отбывающего за границу или путешествующего в пределах своей страны. Тем самым обеспечивается сопоставимость баз данных въездного, выездного и внутреннего туризма.
Статистика туризма наряду со статистикой туристских потоков включает второй, не менее важный раздел статистику туристских доходов и расходов. Он содержит стоимостные оценки туризма, необходимые при изучении его влияния на национальную экономику (в частности, платежный баланс страны), а также для характеристики секторов самой индустрии туризма.
Ключевым понятием второго раздела статистики туризма являются туристские расходы. Они прямо увязываются с конечным потреблением товаров и услуг и отражаются в с истеме национальных счетов. Туристские расходы это общая сумма потребительских расходов, которые несет посетитель или (от его имени) любое другое лицо при подготовке и в ходе поездки, а также во время пребывания в пункте назначения.
В основу концепции туристских расходов положен ряд принципов. Согласно рекомендациям ВТО учету подлежат только те расходы посетителей, туристов и экскурсантов, которые являются экономически значимыми. Их может нести сам посетитель либо (от его имени) любое другое физическое или юридическое лицо. Например, в путешествии глава семьи, распоряжающийся бюджетом, оплачивает товары и услуги от имени всех ее членов. Расходы во время пребывания у родственников и знакомых нередко берет на себя принимающая сторона. Поездки финансируются также юридическими лицами: предприятиями, когда речь идет о служебных командировках или поощрительных турах по итогам работы; благотворительными учреждениями, организующими поездки для детей, пожилых людей и некоторых социально ущемленных групп населения. В ряде случаев туризм со спортивными, лечебными и образовательными целями субсидирует государство.
Расходы посетителя определяются стоимостью товаров и услуг, приобретаемых им для удовлетворения потребностей. Как и сами запросы, они чрезвычайно разнообразны: от услуг по перевозке, размещению и питанию до небольших предметов длительного пользования, товаров текущего туристского потребления и сувениров. Все они потребляются лично посетителем, за исключением подарков. Однако и в этом случае, несмотря на то, что их обладателем становится другое, не путешествующее лицо, понесенные расходы относятся к туристским.
Объем туристских расходов рекомендуется устанавливать по фактическим затратам на товары и услуги с учетом действующих скидок и наценок, чаевых и прочего, в не зависимости от формы их оплаты наличными деньгами, дорожными чеками, по кредитным карточкам или иным способом.
Одной из главных и наиболее сложных проблем статистики туризма остается упорядочение состава туристских расходов, который обусловлен временем, когда посетитель несет затраты (при подготовке, в ходе или по окончании поездки), а также типом туризма. Соответственно выделяются внутренние туристские расходы, связанные с путешествиями резидентов по своей стране, и международные. Важное значение для понимания экономической природы последних имеет направление движения посетителя из страны происхождения в страну назначения. Выездной туристский поток соотносится с категорией международных туристских расходов, а въездной с поступлениями от международного туризма.
В материалах ВТО международные туристские расходы определяются через расходы постоянных жителей какой -либо страны во время их путешествия за границей. В числе прочего они включают оплату услуг иностранных транспортных компаний по международным перевозкам, а также предоплату товаров и услуг, приобретаемых за рубежом. В балансе текущих расчетов в качестве парного используется показатель поступлений от международного туризма. Он рассчитывается как сумма всех расходов иностранных посетителей в стране назначения. Оба показателя строятся по единой методике и отражают только те затраты, которые связаны с трансграничным движением денежных средств.
В целях унификации положения и обеспечения сопоставимости туристских расходов ВТО рекомендует следующую их группировку:
• комплексные туры, представляющие собой набор услуг и реализуемые по единой цене без разбивки на составные элементы;
• размещение;
• питание;
• транспортные услуги;
• рекреационные, культурные и спортивные товары и услуги, включая входную плату в учреждения культуры, отдыха и развлечений, затраты на покупку, ремонт и эксплуатацию спортивного инвентаря во время поездки, оплату обучения отдельным видам спорта, непродолжительных экскурсий, а также услуг гидов;
• магазинные покупки;
• прочие статьи страховые платежи, комиссионные сборы, стоимость проявки фотопленки и распечатки фотографий и т.д.
Величина и структура расходов туристов во время отпуска зависят от ряда обстоятельств. В частности, выделяют 5 основных факторов:
1) страна происхождения туриста ее социокультурный облик оказывает сильное влияние на покупательское поведение туристов. Кроме того, со страной происхождения туриста связан так называемый «эффект обмена валюты». Он часто определяет выбор той или иной дестинации (страны посещения), а если выбор уже сделан, объем планируемых туристом расходов. Это относится прежде всего к странам, входящим в зону»доллара или немецкой марки, а с недавнего времени и к Японии;
2) район и место отдыха проведенные в Италии исследования показали, что поездки по городам искусств обходятся туристам дороже, чем отдых на море, в горах или на озерах.
Величина расходов также различается по туристским центрам (в Венеции они, как правило, выше, чем в Падуе и Вероне);
3) тип размещения объем расходов зависит от вида размещения (отель, кемпинг, туристская деревня и т.д.) и его категории;
4) продолжительность отдыха влияет на выбор вида транспорта для проезда на курорт, тип размещения, а также размер покупок товаров и услуг, совершаемых туристом на отдыхе, т. е. отражается на главных статьях туристских расходов;
5) время отдыха (сезон, несезон, межсезонье) величина туристских расходов меняется вслед за сезонными колебаниями цен на проезд и проживание на курорте.
Каждая поездка отличается определенным соотношением этих пяти характеристик, влияющим на выбор туристом тех или иных товаров и услуг и, следовательно, на размер и структуру затрат.
Основные расходы на международный туризм по данным ВТО несет население индустриально развитых стр ан, главным образом США, Германии, Великобритании и Японии. На долю этих четырех стран приходится около трети всех расходов. Кроме них, заметную роль в формировании международных туристских расходов, их величины и структуры играют другие члены «большой сем ерки» Франция, Италия и Канада.
Во второй половине 1990-х гг. в группу стран со значительными расходами на международный туризм входили скандинавские страны (Швеция, Норвегия, Финляндия), некоторые западноевропейские страны (Австрия, Швейцария, страны
Бенилюкс), новые индустриальные страны Латинской Америки (Бразилия, Аргентина, Венесуэла), а из стран Азии Китай, Сингапур, Малайзия.
Доля стран Центральной и Восточной Европы в общем объеме международных туристских расходов пока невелика. Среди них выделяются Российская Федерация, входящая в число лидеров по этому показателю, и Польша, которая демонстрирует рекордный рост международных туристских расходов. За 5 лет, с 1991 г. (начало массовых поездок поляков за границу) по 1995 г., они увеличились в 40 раз.
Субрегион Австралии и Новой Зеландии занимает очень скромные позиции на мировом туристском рынке. В 1995 г. на него приходилось 0,6 % всех зарубежных туристских поездок (отбытий) и около 2 % расходов на международный туризм в мире. Однако по такому показателю, как туристские расходы населения в расчете на одну поездку за границу, этот регион является бесспорным лидером. Высокие затраты на путешествие объясняются удаленностью субрегиона от основных центров туризма. Они слагаются из затрат на международные тр анспортные перевозки, доля которых достигает 30 % стоимости поездки, и столь же больших затрат во время пребывания в месте назначения (как правило, продолжительного), чтобы оправдать транспортные расходы. Населению Австралии и Новой Зеландии поездка за границу в 1995 г. обходилась в среднем в 2604 долл. США (включая транспортные расходы), что в 3 раза превышало среднемировой уровень.
Величина расходов на поездку существенно различается по регионам и (особенно) субрегионам мира. Разброс значений показателя достигает 10-кратной величины. На одном из последних мест находится Центральная и Восточная Европа. Граждане бывших социалистических стран оказались наиболее бережливыми туристами. В 1990 г. они тратили на поездку за границу (включая транспортные расходы) в среднем 25,3 долл. США. Не имея достаточно средств, но одержимые желанием увидеть мир, они экономили на всем. Отправлялись в дорогу на личном автотранспорте, запасались провиантом и бензином (по возможности, на целую поездку), везли с собой походные палат ки, которые разбивали в парковой зоне столичных городов. Постепенно условия путешествий становились более комфортными, что требовало дополнительных затрат. В 1995 г. средние расходы на поездку составляли 220 долл. США: почти в 9 раз больше, чем в 1990 г. Несмотря на значительный рост, сохраняется отставание по этому показателю Центральной и Восточной Европы от других субрегионов мира.
Статистика международного туризма использует разные формы сбора информации. Статистическое наблюдение может осуществляться через отчетность или посредством специально проводимых обследований.
При использовании статистических наблюдений через отчетность статистические сведения получают от предприятий, учреждений, организаций и других структур по установленным формам в определенные сроки. На основе данных оперативного и бухгалтерского учета они заполняют отчетность и передают ее в органы статистики. Именно отчетность содержит основную массу сведений о туризме.
В статистике туристских потоков информация о количестве прибытий и продолжительности пребывания также может быть получена из отчетности иммиграционных служб или средств размещения. В настоящее время около 60 стран мира регистрируют туристов на границе и 40 в средствах размещения.
Учет на границе ведется посредством иммиграци онного контроля при въезде в страну и выезде из нее. Он осуществляется на контрольно-пропускных пунктах, в аэропортах, в морских портах и т.д. Основными источниками информации о путешествующих лицах служат специальные регистрационные формы въездные (выездные) карточки, а также заграничные паспорта и визы. Они содержат сведения о возрасте и поле туриста, стране его постоянного проживания (гражданстве) и стране назначения, цели, сроках поездки и пр. Сбор этих данных предпочтительнее осуществлять при выезде п осетителей.
На обратном пути туристы могут сообщить более точную информацию, чем при въезде, когда они исходят из своих намерений. Сроки и маршрут путешествия часто корректируются в ходе поездки по разным обстоятельствам (изменение погодных условий, ухудшение состояния здоровья, дополнительная информация о новых интересных достопримечательностях и пр.).
Метод учета на границе применяется во многих странах. Некоторые из них наладили тесное двустороннее сотрудничество в области пограничной статистики. Наприме р, Канада собирает сведения о своих гражданах, возвращающихся из поездок по США, и предоставляет эту информацию национальной туристской администрации Соединенных Штатов Америки. Пограничная статистика прибытий ведется не только в США и Канаде, но и в Великобритании, Ирландии, Испании, на Кипре, в Португалии, Австралии, Сингапуре, Турции, государствах Центральной и Восточной Европы (в Польше, Венгрии, Болгарии) и многих других странах мира.
Въездные (выездные) карточки не содержат информации о местах посещений туристами, продолжительности пребывания (количество ночевок), размещении, поэтому (кроме учета на границе) применяется также метод статистического наблюдения регистрация прибытий в средствах размещения. Он удачно дополняет пограничную статистику, а в о тдельных странах заменяет ее.
Данные, собираемые в ходе статистических наблюдений в отелях и иных средствах размещения, позволяют судить о распределении прибытий по районам страны, выявлять предпочтения международных и внутренних туристов при выборе типа размещения, а также контролировать загрузку гостиничной базы. Этот метод сравнительно прост, но требует от работников рецепции, выполняющих первичные учетные операции, повышенной внимательности, аккуратности и
дисциплинированности.
При поселении туристам выдаются специальные формуляры гостевые карточки. Они заполняются каждым посетителем в отдельности или (что нередко допускается на Западе) только главами семей с указанием числа сопровождающих их лиц. Кроме заполнения указанных в карточке граф в ряде отелей деловых туристов просят также назвать адрес местонахождения компании и вид оплаты гостиничных услуг (наличными, с помощью кредитной карточки или по перечислению). В регистрационной форме могут быть указаны основные правила пользования отелем и внутреннего распорядка в нем (в частности требования противопожарной безопасности). Подпись клиента подтверждает достоверность сообщаемых им сведений, свидетельствует о том, что он ознакомлен с правилами проживания, которые обязуется соблюдать, а также с действующим и расценками на услуги размещения и делает заказ на обслуживание.
Формы гостевых карточек различают по странам. Для унификации положения и сопоставимости информации по предприятиям размещения на международном уровне ВТО составила типовой образец формуляра.
Исходные сведения из гостевой карточки переносят в Книгу регистрации прибытий и дублируют в Книге загрузки номерного фонда.
В первой книге делают записи о заездах и выбытиях гостей, движении посетителей.
Во второй показывают пропускную способность средст в размещения, состав номерного фонда и его использование.
Накапливаемая в книгах информация позволяет определить количество прибытий, среднюю продолжительность использования средств размещения, а также загрузку номеров. В крупных отелях, оснащенных компьютерными системами, используют специальные программы для выполнения первичных учетных операций и последующей обработки материала. Для полноты и достоверности картины статистическое наблюдение должно: вестись круглый год, не ограничиваясь «высоким» туристским сезоном; охватывать всех гостей, останавливающихся в отеле или ином средстве размещения.
Книги регистрации прибытий и загрузки номеров служат основой для заполнения соответствующей формы статистической отчетности. Она представляет собой таблицу, в которой содержится характеристика самого средства размещения (тип, категория, количество мест, число занятых работников и т.д.), отражаются ежедневные прибытия и выбытия клиентов в разрезе стран постоянного их проживания, а в итоговой части загрузка номеров и количество заездов за месяц. На обратной стороне формы даны подробная инструкция по ее заполнению и гарантии органа статистики о конфиденциальности информации.
Действующие формы отчетности заполняются предприятиями размещения и ежемесячно в установленные сро ки представляются в национальные туристские администрации или органы статистики. Здесь полученный статистический материал о туристских прибытиях и ночевках, средней продолжительности пребывания, количестве номеров и мест размещения, численности занятых, загрузке номерного фонда сводится по стране в целом и группируется по календарным месяцам,» странам постоянного проживания туристов, типам и категориям средств размещения, их местонахождению.
Успех такой большой учетной работы зависит от наличия сведений от всех средств размещения, осуществляющих регистрацию гостей, но некоторые из этих предприятий не возвращают заполненные формы, опасаясь того, что сообщаемая ими информация привлечет внимание налоговой службы и обернется серьезными неприятностями.
При составлении сводных таблиц и выполнении обобщающих расчетов, когда чрезвычайно важен полный охват изучаемого явления, в отношении них используются данные за предшествующий период. Это не может исказить итоговую картину, поскольку такие средства размещения обычно имеют небольшой размер и оборот.
Регистрация прибытий в средствах размещения ведется в Германии, Швейцарии, Испании, Марокко, Тунисе, Нигере, Сенегале, Танзании и других странах.
Рассматриваемый метод статистического наблюдения получил широкое распространение, между тем он не лишен ряда недостатков.
Во-первых, из статистического исследования выпадают однодневные посетители, а собственно туристы регистрируются наряду с другими гостями и часто не выделяются в самостоятельную категорию. Например, на Западе го стями отелей нередко становятся местные жители. Уставшие от монотонности жизни, они стремятся изменить окружающую их повседневность и временно переселяются из квартир в ближайшие отели, где, как и туристы, подлежат регистрации.
Во-вторых, далеко не все средства размещения обязаны предоставлять соответствующую статистическую отчетность. Во многих странах регистрацию прибытий не ведут в пансионатах, меблированных комнатах, на частных квартирах и в других средствах размещения.
Наконец, при этом методе нельзя избежать двойного счета туристов, меняющих средства размещения во время путешествия.
Сведения о прибытиях, полученные в средствах размещения, могут сильно отличаться от данных пограничной статистики. Например, в Чехии по материалам статистической службы в 1 998 г. на границе было зарегистрировано 102,8 млн прибытий, а в средствах размещения 5,5 млн.
Туристские доходы и расходы, как и физические туристские потоки, учитываются разными способами. Стоимостные показатели международного туризма могут быть получены из соответствующих форм отчетности предприятий индустрии туризма или банковской отчетности. Банковский метод состоит в сборе информации о валютных операциях, совершаемых международными туристами.
Центральный (национальный) банк осуществляет учет туристских расходов через коммерческие банки и пункты обмена валюты, которые предоставляют сведения о продаже и покупке иностранных банкнот по линии туризма. Банковский метод используется во Франции и других государствах. Его широкое применение обусловлено рядом пр еимуществ. Он не требует дополнительной информации от туристов и не усложняет пограничные формальности и работу статистических органов. Обработку данных выполняет центральный (национальный) банк при составлении платежного баланса.
Регулярно и оперативно си стематизируемый материал позволяет вести анализ туристских расходов в динамике и отслеживать их изменения. При хорошо поставленном учете и жестком контроле за валютно-финансовым рынком банковский метод дает относительно надежные стоимостные оценки международного туризма, однако и в этом случае не удается полностью исключить погрешности.
Подлинный размер туристских расходов может искажаться по многим причинам:
• из-за наличия параллельных рынков валюты и финансовых злоупотреблений. В тех странах, где существует «черный рынок», часть валютных потоков минует банковские каналы, хотя и проведение валютных операций с участием банковских структур еще не гарантирует их регистрации. Мелкие обменные пункты нередко скрывают факты купли -продажи иностранных банкнот, стремясь облегчить налоговое бремя, и тем самым занижают показатель размера туристских расходов;
• вследствие отказа физических и юридических лиц использовать наличную валюту в качестве платежного средства. В работе туристских предприятий и организаций ш ироко применяется клиринг, т.е. система взаимозачетов -компенсаций при обмене туристами. Эти операции, а также оплата туристских товаров и услуг посетителями по кредитным карточкам не учитываются при банковском методе;
• в случае регистрации международных валютных операций в особо крупных размерах. В некоторых странах установлен высокий пороговый уровень для транснациональных операций, подлежащих регистрации. Средние туристские расходы, как правило, не превышают этой величины и не отражаются в статистической отчетности;
• при наличии у иностранных туристов местной валюты без обмена в стране временного пребывания. Объем международных туристских расходов измеряется суммой национальной валюты, обмененной банками на иностранную. Та часть местной валюты, которую туристы обменяли на родине и привезли с собой или одолжили у родственников и знакомых за границей с последующей компенсацией во время ответных визитов, не подпадает под статистический учет банковским методом.
Наконец, банковский метод не дает правильн ого представления о туристских расходах в территориальном разрезе. Учет ведется по странам происхождения денежных единиц. Некоторые из них имеют очень широкую зону хождения и предъявляются к обмену туристами из разных государств. В такой ситуации распредел ить валютные операции по этим странам оказывается не только затруднительно, но и невозможно.
Точность учета туристских потоков и расходов возрастает при сочетании главных методов статистики туризма регистрации прибытий на границе и в средствах размещения, а также банковского метода со специально организуемыми наблюдениями. Отчетность, предоставляемая иммиграционной службой, предприятиями по приему туристов, банками и пунктами обмена валюты, служит основным источником статистической информации, но она не в состоянии охватить все стороны туризма как сложного общественно -экономического явления, поэтому часть данных о нем получают с помощью специальных статистических наблюдений.
Они обычно организуются в виде обследований. Поступающая в ходе них информация (которая систематизируется и обрабатывается) пополняет отчетность и позволяет детально изучить отдельные аспекты туристской деятельности.
Проведение обследований весьма сложное дело, требующее большой подготовительной работы, которая должна обеспечить полноту получаемых сведений, их достоверность, единообразие, своевременность и сравнимость. Сбор данных осуществляется по заранее разработанному плану, в котором находят отражение методологические, методические и организационные вопросы наблюдения. В нем ставится цель, выделяются объект и единицы наблюдения, содержится программа обследования.
При планировании любого статистического наблюдения прежде всего точно формулируется его цель. Именно она, конкретизируемая в перечне задач; определяет те сведения, которые должны быть получены в процессе статистического обследования. Наиболее распространенной целью туристских обследований является установление числа прибытий (выбытий для выездного потока) по отдельным странам, определение состава посетителей по полу, возрасту, семейному положению, гражданству, уровню образования и т. д. Особое внимание уделяется характеристикам самой поездки: месту назначения, покрытому расстоянию, виду транспорта, продолжительности пребывания, типу размещения и пр.
Одновременно с выбором цели выделяется объект наблюдения, т. е. та совокупность единиц, сведения о которых должны быть получены. При определении объекта наблюдения требуется точно провести границы изучаемой статистической совокупности, решить, кто должен быть обследован в процессе наблюдения. В одних случаях это лица, совершающие поездки с деловыми целями; в других лица, путешествующие на личных автомобилях; в третьих обследуются только те туристы, которые прибывают из Европы или какого -либо другого региона (страны).
Объектом наблюдения может выступать вся совокупность посетителей. Объект наблюдения состоит из элементов, или единиц. Они подлежат статистической характеристике, позволяющей изучить объект в целом. В отношении этих единиц, наделенных рядом отличительных черт, ведется ре гистрация интересующих сведений (признаков). Значение этого признака у каждой единицы различно, поэтому статистика стремится прежде всего определить общую для всей совокупности величину признака или итог по совокупности.
Единицей наблюдения в туризме служит отдельно взятый посетитель или глава путешествующей группы (семьи), предоставляющий информацию обо всех сопровождающих его лицах. Например, в США при изучении туристских расходов предпочтение отдается опросу глав путешествующих групп. При этом обязательно уточняются размер и состав группы. Иногда сведения о единице наблюдения получают не от него самого, а от организационной ячейки (предприятия, учреждения и т.д.). Так, данные о продолжительности пребывания туристов в стране можно собрать в средствах размещения.
Для того чтобы составить представление об объекте наблюдения, совсем не обязательно опрашивать все входящие в него единицы. Это удлинило бы сроки обследования, потребовало значительных финансовых затрат, отвлекло внимание большого числа актива, да и само обследование оказалось бы весьма громоздким. По этой причине подавляющая часть статистических наблюдений является не сплошной, а выборочной: по известным правилам отбирается определенное количество людей для участия в обследовании в качестве респонде нтов.
Размер выборки устанавливается исходя из цели и задач наблюдения: если они ограничиваются общей характеристикой туристского потока, достаточно опросить 1,5 2 тыс. посетителей. Для решения более сложных задач (например, при изучении особенностей поведения туристов разных возрастных групп или стран) потребуется более крупная выборка. От того, насколько правильно сделана выборка, в огромной степени зависит качество и достоверность статистической информации.
После определения объекта и единицы наблюдения разрабатывается программа статистического наблюдения, т. е. перечень тех вопросов, на которые должны быть получены ответы. При составлении программы необходимо решить, какие вопросы следует задавать респонденту, в какую форму их облекать и в какой последовательности ставить.
На первый взгляд, нет ничего легче и проще, чем сочинить вопросник: каждый человек в повседневной жизни постоянно задает вопросы окружающим. Однако в прикладной социологии и статистике вопрос выполняет функцию исследовательского инструмента, поэтому к его формулировке предъявляются особые требования: она должна быть ясной, краткой, понятной и не допускать разночтений.
Другая опасность, подстерегающая разработчика программы статистического наблюдения, состоит в слишком длинном перечне вопросов. Очевидно, что простым увеличением их числа нельзя повысить точность результатов наблюдений, однако очень трудно устоять перед соблазном включить в программу дополнительно вопросы, на многие из которых (как становится ясно позднее) не стоит отвечать. В результате программа «разбухает», а собранная информация часто называется некачественной, поэтому, прежде чем задать вопрос респонденту, надо взвесить, помогает ли ответ на него достичь цели наблюдения или нет. В последнем случае его лучше опустить.
Вопросы, содержащиеся в анкете, различаются: по содержанию (вопросы о фактах сознания, о фактах поведения и о личности респондента); функции (основные и неосновные); форме (открытые и закрытые). Рассмотрим их подробнее. Вопросы о фактах сознания людей направлены на выявление мнений, пожеланий, ожиданий, планов на будущее и т.п. В туристских обследованиях они обычно касаются качества обслуживания посетителем. Вопросы о фактах поведения выявляют поступки, действия посетителей и их результаты. Вопросы о личности респондента входят во все анкеты. Они образуют «паспортичку», или социально-демографический блок вопросов о поле, возрасте, семейном положении, профессии, образовании и т.д.
По функции вопросы делятся на основные и неосновные. Основные вопросы анкеты напр авлены на сбор информации о содержании исследуемого явления. Неосновные на вычленение адресата основного вопроса (вопросы -фильтры), проверку искренности ответов (контрольные вопросы).
Необходимость в вопросах-фильтрах возникает тогда, когда исследователю нужно получить данные, характеризующие не всю совокупность опрашиваемых, а только некоторую ее часть. Для того чтобы отделить интересующую группу респондентов от остальных, он задает вопрос-фильтр. Когда опрос посетителей для большей полноты охвата совокуп ности проводится одновременно в средствах размещения и у туристских достопримечательностей, содержательный блок анкеты, распространяемой в самых посещаемых туристами местах, начинается с вопроса -фильтра: «Остановились ли вы в каком-либо средстве размещения?» Этот вопрос позволяет избежать двойного счета: отсечь ночующих посетителей (туристов), опрашиваемых в средствах размещения, и сконцентрировать усилия на неночующих посетителях (экскурсантах).
К контрольным вопросам исследователи прибегают, если требуется проверить достоверность ответов. Их используют главным образом в разделе анкеты о туристских расходах, который заполняется респондентами особенно неохотно, иногда с искажением информации. Они могут стоять как перед, так и после основных вопросов. Например, основной вопрос сформулирован следующим образом: «Какова величина ваших расходов на размещение?» Контрольный вопрос идет за ним: «Вы путешествуете один или в группе?» Необходимость в нем возникает в данном случае потому, что турист может путешествовать в группе (семье) и указать общие, а не индивидуальные расходы.
По форме вопросы бывают закрытые и открытые. К закрытому вопросу в анкете прилагается полный перечень вариантов ответа.
Задача респондента состоит в том, чтобы выбрать один или несколько вариантов ответа, совпадающих с его мнением. Такая форма вопроса существенно экономит время при заполнении анкеты и ее последующей обработке.
Открытые вопросы (в отличие от закрытых, например: «Что вы думаете об авиакомпании «Аэрофлот Российские Авиалинии»?») не содержат подсказок и не навязывают респонденту вариант ответа. Они позволяют выразить свою точку зрения во всей полноте и мельчайших подробностях, поэтому при помощи открытых вопросов можно собрать более богатую по содержанию информацию. Открытые вопросы предпочтительнее формулировать при отсутствии заранее известного и единообразного перечня возможных вариантов ответа.
Кроме формулировки важное значение имеет порядок расположения вопросов. В анкете им предшествует краткое вступление (обращение к респонденту), где излагаются тема, цель, задачи опроса и называется организация, его проводящая, а также объясняется техника заполнения анкеты. Затем помещаются вопросы наиболее простые, нейтральные по смыслу. Они выполняют не только свою прямую познавательную функцию, но и обеспечивают завязку беседы, формируют психологическую установку на сотрудничество. Они должны заинтересовать собеседника, ввести в курс обсуждаемых проблем.
Более сложные вопросы, требующие анализа, размышлений, активизации памяти, размещаю тся в середине анкеты. К концу работы с анкетой вопросы становятся менее трудными. В заключительную ее часть обычно выносят «паспортичку», с помощью которой получают данные о личности опрашиваемого.
Несмотря на возможные неудачи, результаты большинства обследований содержат ценную информацию.
Обследование имеет большое практическое значение. Полученные в ходе опроса материалы могут быть использованы туристскими фирмами, в частности при стратегическом планировании и выработке маркетинговой политики. Знание подлинной и ложной корреляции между разными характеристиками потенциальных клиентов помогает в поиске эффективных путей продвижения туристского продукта на рынок. Так, организаторы обследования, проведенного в штате Огайо, рекомендуют туристским фирмам, ра ботающим на греческом направлении, шире привлекать в рекламных целях греческие газеты и журналы, распространяемые в США, и греческое радио, вещающее на Америку. Эти сравнительно недорогие средства рекламы позволяют выйти на адресата и целевым образом довес ти до него необходимую информацию. Методика обследования американских греков может быть распространена на другие диаспоры, этнические меньшинства.
Сведения об американских греках собирались путем опроса наиболее популярным методом обследования. Его особен ность состоит в том, что источником первичных данных выступает сам человек непосредственный участник изучаемых социальных процессов и явлений. В зависимости от формы общения с респондентами (устной или письменной) различают два вида опроса: интервью и анкетные опросы. В ряде случаев обследования опираются на смешанную стратегию: по результатам анкетирования у отдельной группы респондентов берется интервью по углубленной программе.
При сборе первичных сведений счетчик не всегда вступает в прямой контакт лицом к лицу с респондентами. Иногда он может получить необходимые данные опосредованно (например, с помощью ЭВМ). В последнее время компьютерное интервью все чаще применяется на Западе. При такой форме интервьюирования вопросы считываются респондентом с экрана монитора. Ответы заносятся в память ЭВМ без предварительного кодирования и редактирования, что позволяет сэкономить время и снижает вероятность ошибки. Компьютеры для опросов часто устанавливают в холлах отелей. К ним обеспечивается свободный доступ, и каждый гость может сделать соответствующую запись, отражающую его мнение, пожелание или предложение.
Опрос широко распространенный, но не универсальный метод наблюдений. В статистической и социологической практике бывают ситуации, когда он недостаточно эфф ективен. В подобных случаях специалисты прибегают к иным методам (анализу документов, экспертным оценкам и пр.) или их сочетанию с опросом.
При сборе статистических данных о туристских расходах также используют разные методы. Один из них дневниковый. С его помощью определяют средние расходы одного посетителя в сутки. Общую сумму поступлений получают расчетным путем как произведение количества туристских прибытий на средние расходы одного посетителя в сутки и среднюю продолжительность пребывания одного посетителя в стране.
В начале поездки посетителям раздают специальные бланки (дневники) с просьбой заполнить их во время путешествия и вернуть по окончании поездки. В них заносятся расходы с указанием обшей суммы и ее разбивкой по статьям затрат и дням, отмечаются цель посещения, главное место назначения, районы пребывания и количество ночевок. При более углубленных обследованиях в дневники вводят дополнительные разделы, содержащие характеристику посетителя (возраст, пол), вид транспорта и мест, где были произ ведены расходы.
Дневниковый метод имеет как сильные, так и слабые стороны. Он позволяет получить подробные сведения о туристских расходах. К достоинствам метода относится и то, что все платежные операции фиксируются в дневнике сразу после их совершения, когда посетитель еще помнит о них и может сообщить точную информацию.
Вместе с тем дневниковому методу присущи некоторые недостатки. Важнейший из них невысокий коэффициент заполнения дневниковых форм и неполный их возврат, что само по себе снижает надежность собираемой информации. На первый взгляд, этот недостаток легко устраним: достаточно лишь увеличить количество раздаваемых дневников. Однако такое решение верно только в том случае, когда причиной неполных заполнений и невозвратов дневников являются случа йные обстоятельства. Результаты же специальных исследований показывают, что они обусловлены действием систематических факторов. Наименее активно участвуют в обследованиях деловые туристы, которые несут более высокие расходы в расчете на поездку, поэтому совокупность лиц, заполнивших и сдавших дневники, по своей структуре всегда отличается от генеральной совокупности посетителей. Очевидно, что увеличением числа раздаваемых дневников указанное отклонение не ликвидировать.
Одна из центральных методико -организационных задач, стоящих при планировании и проведении наблюдения дневниковым методом, стимулирование возврата заполненных бланков. Возврат 74 75 % дневников обеспечивает достаточно высокую надежность результатов. Существуют реальные способы достижения этого уровня. Все они направлены на создание у респондентов положительной установки на участие в обследовании. В комплексе мер составление кратких и легко понимаемых дневниковых форм, гарантия анонимности ответов, разработка четких правил возврата заполненны х бланков, обращение интервьюера к респонденту с личной просьбой вести дневник, разъяснение потенциальной пользы от результатов обследования для респондента, использование материальных и иных поощрений за ответы.
Качество собранной информации и достовернос ть результатов статистического наблюдения в равной мере зависят от решения научно-теоретических, методических и организационных вопросов. Действительно, неграмотно составленный бланк опроса ведет к грубым ошибкам в исследовании, неподготовленность интервьюеров оборачивается неорганизованностью сбора первичных сведений, а чрезмерная растянутость во времени того или иного этапа работы грозит утратой актуальности наблюдения. Во избежание разного рола огрехов программно -методологическая часть плана наблюдения должна быть дополнена описанием организационно-технических процедур и операций. В соответствующем разделе определяются субъект наблюдения, место и время обследования.
При планировании статистического наблюдения решается вопрос о субъекте наблюдения, т.е. о том, кто будет осуществлять сбор первичных данных. В одних случаях это органы статистики со своими кадровыми работниками, в других широкий круг общественности, который может быть задействован наряду со специалистами-статистиками. К обследованию может также привлекаться население, если оно самостоятельно заполняет анкеты. Например, в США для опросов туристов интервьюеры набираются из числа коммуникабельных, высокообразованных людей с хорошим знанием иностранного языка. Ими обычно становятся преподаватели б изнес-школ и университетов.
Интервьюер оказывает заметное влияние на результаты обследования. Это влияние (часто неосознанное) получило название эффекта интервьюера и проявляется оно не только в разговорном общении, но и в разнообразных косвенных, скрытых формах: в общем эмоциональном настрое беседы, поведении ее участников, мимике и т.д. Замечено, что респонденты нередко стремятся дать такой ответ, который бы понравился интервьюеру. Последние же, основываясь на сложившемся у них стереотипном образе определ енной группы путешествующих лиц, иногда отражают не столько мнение респондентов, сколько свои ожидания по поводу того, какими ответы должны быть, поэтому правильный отбор и обучение интервьюеров одна из ключевых задач, требующих своего разрешения на подго товительной стадии наблюдения. Перед началом полевого этапа они проходят инструктаж по технике опроса: знакомятся с целью, задачами и особенностями предстоящего обследования, предъявляемыми требованиями и порядком работы, правилами заполнения статистического формуляра.
Наряду с субъектом наблюдения, в плане оговариваются сроки и место обследования. Для наблюдения за туристскими потоками, величина и структура которых меняются в зависимости от времени года, важно правильно выбрать календарный период. ВТО рекомендует все 12 месяцев сгруппировать по туристским сезонам («высокий», «низкий», «промежуточный»), затем из каждого сезона выбрать по одному месяцу для наблюдения. Конкретные сроки сбора сведений о туристах устанавливают в плане, исходя из численного соста ва актива, программы и количества единиц обследования.
Определение места наблюдения сводится к решению вопроса, где производить наблюдение. Выбор этого места зависит от многих факторов, главными из которых считаются размер территории и степень ее открытости. Если территория является закрытой, т.е. имеет непрозрачные административные или естественные границы (например, страна или небольшой остров), обследования Проводят в пунктах въезда (выезда) и транспортных средствах (автобусах, самолетах, круизных судах и пр.). На открытой территории, в районе или городе статистические наблюдения организуют в средствах размещения и объектах показа, открытых для посещения на платной основе.
В результате статистического наблюдения образуется груда сырого материала, нуждающегося в обработке, сведении разрозненных данных воедино. Собранная статистическая информация систематизируется, классифицируется (группируется). Подводятся групповые и общие итоги, рассчитываются производные показатели (средние, относительные величины). Научно организованная обработка материалов позволяет по данным, относящимся к отдельным единицам наблюдения, охарактеризовать совокупность в целом. Обработанная информация подвергается затем анализу. В ходе него закладывается прочный фундамент фактов, необход имый для формулировки выводов и разработки конкретных практических предложений. Иногда статистическое исследование дополняется статистическим прогнозом.
Тщательно разработанный план статистического наблюдения залог успеха в получении достоверных данных о туризме, но как бы досконально ни был он продуман и как бы скрупулезно ни стремились счетчики выполнять инструкции, при любом статистическом наблюдении могут возникнуть ошибки (погрешности). Они появляются по разным причинам: в результате оговорок, округлений, неправильного заполнения формуляра и т.д.
В статистике все ошибки подразделяются на преднамеренные и непреднамеренные. Последние в свою очередь носят случайный или систематический характер. Случайные погрешности возникают по вине как отвечающего, так и регистраторов вследствие описок, оговорок, незнания и пр. Они не столь серьезно сказываются на результатах наблюдения, поскольку такие ошибки одинаково часто встречаются и в сторону преуменьшения, и в сторону преувеличения и при широкомасштабном наблюден ии взаимопогашаются, нейтрализуются.
Непреднамеренные систематические погрешности имеют место главным образом при опросах за счет округлений количественных показателей (возраста посетителя, его дохода, числа ночевок и т. п.). Замечено, что при регистрации возраст часто округляется вокруг чисел, оканчивающихся на 0 и 5, и получается, например, что 40-летних туристов по записям значительно больше, чем 39- и 41-летних. Это явление получило в статистике название аккумуляции возрастов. Такие погрешности исправля ются уже при обработке собранного статистического материала.
Преднамеренные ошибки, как говорит само название, возникают в силу сознательного стремления респондентов скрыть истину. Эти ошибки искажают сведения в одном направлении либо занижая величину показателя (например, оборот туристской фирмы), либо завышая его значения. Преднамеренные погрешности наиболее опасны для статистического исследования. Необходимо приложить много усилий, чтобы их обнаружить и устранить.
Правильность содержащейся в статистических формулярах информации проверяется логическим и арифметическим путями. Входе логического контроля определяется соответствие ответа поставленному вопросу или соответствие между ответами на разные вопросы программы.
Например, если в графе «цель поездки» з начится «американец», то ясно, что ответ не соответствует вопросу, а ошибка вызвана записью не в той графе.
В количественных ответах, полученных как сумма, разность, произведение или часть других показателей (туристские расходы и их разбивка по статьям, а также дням путешествия), логический контроль дополняется проверкой правильности вычислений.
При несплошных (выборочных) обследованиях в силу их специфики кроме рассмотренных выше ошибок регистрации встречаются ошибки репрезентативности (представительности) . Они возникают при неправильном отборе единиц наблюдения.
Все обнаруженные ошибки по возможности должны быть исправлены. Для этого порой приходится производить контрольные опросы, делать запросы почтой, по телефону. По мнению экспертов ВТО погрешность при дорогостоящих обследованиях не должна превышать 5 %, а при пилотажных исследованиях 13 %.
После сверки собранная информация подготавливается к дальнейшей обработке: ее заносят в таблицы, а затем используют при расчете средних величин и значений других ос новных статистических показателей.
В статистике туризма существуют три главные проблемы. Первая из них сопоставимость баз данных. Она предполагает возможность сравнения информации в целях выявления тенденций, закономерностей развития туризма, изменений, происходящих в нем, в пространстве и во времени; оценки соотношения величин одноименных показателей, относящихся к разным странам, и т. п. Статистические данные часто оказываются несопоставимыми в силу различий их предметного содержания, методики расчета ил и единиц измерения, однако во многих случаях несравнимые данные можно привести к сопоставимым.
Еще совсем недавно имелась путаница в туристской терминологии и классификации путешествующих лиц. Неодинаково трактовалось, например, такое ключевое понятие, как «турист». Расхождения касались длительности пребывания вне постоянного местожительства (от 1 5 ночевок и более), возраста путешествующих лиц (от 14 лет и старше), а также цели поездки. Некоторые разночтения сохраняются по сей день. Около 40 % стран не учитывают экскурсантов в числе посетителей, а 10 % стран исключают из них лиц, путешествующих с деловыми целями. В одних случаях регистрация прибытий ведется по странам постоянного проживания посетителей, в других по гражданству. Все это затрудняет междунар одные сравнения.
Другая проблема статистики туризма полнота и достоверность статистической информации, иными словами, каким образом можно получить всю необходимую информацию о международном туризме и как заполнить пробелы в собранном массиве данных достоверными сведениями.
В 1998 г. ВТО опубликовала «Экономический отчет по туризму», в котором обобщила свой многолетний опыт в области статистики туризма. Один из его разделов посвящен проблемам сбора и сводки статистической информации. ВТО представила методику расчета недостающих первичных данных для получения обобщающей информации о международном туризме.
Недостающую информацию ВТО получает расчетным путем, применяя методику поэтапной оценки. Первоначально все страны разбивают на сравнительно однородные групп ы: их объединяют по субрегионам мира, а внутри них по уровню жизни (ВНП на душу населения). Для каждой группы рассчитывают средний доход с одного прибытия и средние расходы на одну поездку за границу, на основе которых с помощью несложных математических о пераций эксперты ВТО определяют значения главных показателей статистики туристских потоков и статистики туристских доходов и расходов.
Для стран, не располагающих данными о поступлениях от международного туризма, их объем находят как произведение количества международных туристских прибытий на средний доход с одного прибытия для соответствующей группы стран. Если требуется определить число международных туристских прибытий в страну, поступления от международного туризма делят на среднюю величину дохода с од ного прибытия для соответствующей группы стран.
Проблемы полноты и сопоставимости статистической информации предстают в новом свете при проведении исследований макроэкономического воздействия туризма. Оценить значимость туризма как производительного сектор а, обеспечивающего ускоренный экономический рост и более высокий уровень занятости населения, важнейшая задача статистики туризма. Ее решение затруднено из-за несовершенства методологии статистического учета, причина которого коренится в самой индустрии туризма, ее сложной и не типичной для отраслей природе.
Отрасль экономики представляет собой сложившуюся совокупность предприятий и организаций, объединенных общностью функций, выполняемых ими в системе общественного разделения труда. В статистической практ ике предприятие относят к той или иной отрасли, исходя из вида деятельности и назначения производимого продукта.
В туризме в отличие от всех остальных отраслей характерным признаком которых является однородность выпускаемой продукции, вопрос о том, станет ли предлагаемый продукт туристским или нет, зависит от того, кто, когда, где и зачем его приобретает. Конечное потребление продукта определяет границы, состав и структуру туристской индустрии. Такая ее трактовка не соответствует общепринятой дефиниции инду стрии, а статистика индустрии туризма, по существу сводящаяся к статистике туристского потребления, выпадает из отраслевой статистики. Показатели туристских прибытий, доходов и расходов, содержащие ценные характеристики покупательского поведения посетителе й, не дают представления о туристском продукте и его составляющих, видах деятельности, включаемых в индустрию туризма. Узость информационной базы, отсутствие методологического единства и сопоставимости с показателями других отраслей приводят к недооценке экономической роли туризма. Хотя значимость туристского сектора для экономики очевидна, она не нашла должного отражения в статистике.
Контрольные вопросы и задания
1. Какие параметры характеризуют структуру туристского спроса?
2. Перечислите факторы, влияющие на темпы роста международного туризма.
3. Что лежит в основе мотивации туристских путешествий?
4. Что является барьерами к путешествию?
5. Что включает в себя статистика туризма?
ГЛАВА 4 ФУНКЦИОНИРОВАНИЕ ОТРАСЛИ ТУРИЗМА
4.1. Туристская дестинация
Туристская дестинация решающий элемент туристской системы. Ее можно охарактеризовать как центр (территорию) со всевозможными удобствами, средствами обслуживания и услугами для обеспечения всевозможных нужд туристов. Другими словами, туристская дестинация включает в себя наиболее важные и решающие элементы туризма, необходимые для туристов. Регион туристской дестинации является одним из самых важных в туристской системе, так как сами туристские дестинации и их имидж привлекают туристов, мотивируют визит, таким образом активизируют всю туристскую систему. Само слово «дестинация» в переводе с английского означает «местонахождение; место назначения». Термин «туристская дестинация» был введен Лейпером в середине 1980-х гг. Сейчас дестинация это географическая территория, имеющая определенные границы, которая может привлекать и удовлетворять потребности достаточно широкой группы туристов.
Для того чтобы территория была дестинацией, необходимо выполнение следующих условий:
, наличие на этой территории ме ст размещения, питания, развлечений (должен быть определенный уровень качества услуг) и высокоразвитой транспортной системы;
• наличие достопримечательностей, интересующих туристов (наличие фактора привлекательности является одним из главных факторов конкуренции между дестинациями, следовательно, должна быть определенная изюминка для привлечения туриста на территорию дестинации);
• наличие информационных (например, глобальных информационных систем «Amadeus», «Galileo», «Worldspan», «Sabre») и коммуникационных систем, так как это необходимый инструмент информирования туристского рынка о дестинации.
Каждой дестинации свойственны свои собственные черты, но все же можно выделить и четыре общие.
1. Дестинация представляет собой совокупность следующих компонентов: достопримечательность (природные богатства или созданные человеком, т.е. то, что побуждает туриста совершать путешествие); удобства (размещение, питание, развлечения, а также розничная торговля и другие предприятия сферы услуг, такие как банки, обменные пункты, парикмахерские, медицинские предприятия, т.е. все то, что не только обеспечивает приют и пищу, но и создает общее ощущение радушного приема туристов данной дестинацией); доступность (удаленность дестинации от туристских рынков делает их уязвимыми к понижениям спроса, так как до подобной дестинации можно добраться только путем длительных поездок. Следовательно, развитие и поддержание эффективных транспортных связей с туристскими рынками необходимо для успеха дестинации. Но для туристов важна не только физическая доступность дестинации, т.е. внешние транспортные связи с ней, но и наличие развитых внутренних транспортных связей. Другими словами, для них важны такие услуги, как прокат автомобилей, предоставление местного транспорта для проведения об зорных экскурсий и трансферов до мест размещения в дестинации); вспомогательные службы, которые предоставляют такие услуги, как реклама дестинации, координация и управление ее развитием, предоставление населению и организациям необходимой информации и услуги по резервированию, обеспечению оборудованием (предприятия питания, спорта и т.д.), обеспечение дестинации руководящим персоналом.
2. Дестинация представляет собой культурную ценность: посетители должны считать дестинацию привлекательной и заслуживающей времени и денег, потраченных на путешествие. Таким образом, важно поддерживать отличие условий дестинации от обычных «домашних» условий с помощью хорошего дизайна и управления, чтобы избежать разработки «унифицированного туристского ландшафта».
3. Дестинация неразделима, т.е. туристский продукт потребляется там, где он непосредственно производится, и, чтобы его испытать, туристы должны физически присутствовать в дестинации. Следует отметить, что процессы производства и потребления туристского продукта совпадают не только в пространстве, но и во времени, т.е. дестинации не могут быть запасены впрок (номера в гостиницах, театральные билеты и т.д. не могут быть отложены в «межсезонье» для последующей их продажи во время, например, театрального сезона). Та ким образом, сезонность дестинации является наиболее важной проблемой, так как снижает их доходность и делает неэффективными с точки зрения использования основных средств дестинации. Для сезонной дестинации пик сезона (3 4 месяца) должен принести основной вклад в покрытие постоянных издержек, которые подлежат оплате в течение года.
4. Услугами и удобствами дестинации пользуются не только туристы, но и другие люди: местные жители и работники данной дестинации. Таким образом, предприятия дестинации не могут быть ориентированы только на местных жителей или только на туристов, они должны ориентироваться на тех и других.
Отвечая на вопрос о дестинации как элементе туристской системы, нужно упомянуть о типологии дестинации. Выделяют три типа дестинации.
Первый тип это крупные столичные города или приравненные к ним (столицы или города типа Санкт-Петербурга), которые привлекают туристов своими достопримечательностями (познавательный туризм), хорошими возможностями для решения проблем бизнеса (конгрессы, бизнес -туризм, семинары, выставки). Существенную роль играет туризм с целью посещения знакомых и родственников, а также административных центров для решения задач управления. Поэтому в крупных городах существуют исторические, административные, торговые, бизнес -центры и рекреационные зоны.
Второй тип делится на две подгруппы:
• центры целенаправленного развития туризма деревни, города, в которых сохраняются обычаи, история, культура (например, музей деревянного зодчества в Суздале). Для привлечения туристов отели строят на небольшом расстоянии от этих городов и деревень;
• притягательные для туристов центры не столицы, но города, имеющие высокую степень привлекательности благодаря своей истории, культуре, науке (например, академгородок под Новосибирском).
Третий тип это центры, специально построенные для туристов («Disneyland» в Калифорнии и во Франции; «Naturebornholm» на о. Борнхольм, Дания).
_Немаловажно различать понятия «туристская дестинации»
и «курорт». Туристская дестинация это более широкое понятие, чем курорт; это регион, который нас больше всего привлекает (например, для японца Западная Европа это «туристская дестинация», а Лазурный берег курорт; если же мы хотим посетить Кота-дель-Соль, то это место является курортом, так как мы прежде всего едем в Испанию, которая является дестинацией).
Важным является понятие «жизненный цикл» развития дестинации, продолжающийся в среднем не менее 20 25 лет.
Условно можно выделить восемь фаз развития туристской дестинации.
1. Дотуристская фаза на этой фазе привлекательность дестинации состоит в том, что она еще не подверглась изменениям под воздействием туризма.
2. Рост численности туристов в этот период реагирует сектор бизнеса, т. е. красота нетронутой природы и культура дестинации начинают привлекать туристов, в результате формируются основы туристской инфраструктуры.
3. Продвижение местные власти начинают предпринимать усилия по обеспечению отдыха туристов и рекламе дестина -ции, следствием чего является устойчивый рост туристских потоков. В результате формируется туристский рынок, таким образом, перед сектором бизнеса стоит задача по обеспечению инфраструктуры дестинации. Ведется политика активного продвижения де -стинации на рынке, в результате чего происходит дальнейшее увеличение потока туристов.
4. Инвестиции в туризм инфраструктура не справляется с объемом прибытий туристов: строятся магазины, пабы, бары, гостиницы, казино, т.е. все необходимые средства обслуживания, способные изменить облик дестинации.
5. Создание новых рабочих мест в дестинацию приезжают работать люди из-других регионов и даже стран, оседают там, продолжают прибывать туристы, внося свои обычаи, культуру. В результате начинаются конфликты между ними и местными жителями (возникают социальные, экологические, экономические проблемы). Эта дестинация уже более не является модной и становится, как и остальные, унифицированной.
6. Сокращение потоков туристов туристы хотят посещать интересные, необычные места, а не типичные дестинации.
7. Средства обслуживания практически не используются (например, пустуют гостиницы) и, как следствие, несут убытки.
8. Скидки, новая ценовая политика или новая идея развития дестинации поиск или создание нового фактора привлекательности.
4.2. Социально-культурное и экологическое воздействие туризма
Социально-культурное воздействие. Туристы, приезжающие в ту или иную страну для знакомства с местными достопримечательностями и для отдыха, оказывают социально -культурное воздействие в результате контактов с местным населением. Можно выделить три основные категории этих контактов:
• когда туристы покупают продукты и услуги у местного населения;
• когда местные жители и туристы вместе пользуются предоставляемыми услугами (например, морскими пляжами, транспортом, рестораном и т.д.);
когда туристы и местное население вместе проводят
культур
ные мероприятия.
Однако не обязательно называть социальным воздействием любой непосредственный контакт туристов с местными жителями. Новые виды коммуникаций, транспорта и инфраструктуры, предлагаемые для развития туризма, а также новые средства труда вызывают социальные изменения и без непосредственного контакта. Их можно охарактеризовать как косвенные социальные эффекты.
Помимо социального воздействия туризма, следует учитывать телевизионную рекламу потребите льских товаров, а также в целом радио и телевидение, которые вместе с увеличением доходов населения вызывают у него разные потребности и тем самым еще больше углубляют процесс социальных изменений.
Величина прямого социально -культурного воздействия связана с развитием туризма и определяется различием в социально-культурных уровнях гостей и местного населения. Это и традиции, и религия, и образ жизни, и нормы поведения, и привычки, и многое другое.
Социально-культурное влияние может рыть как положительным, так и отрицательным. К положительному можно отнести обмен культурной информацией. Интерес туристов к культурному наследию страны может вызвать ответное чувство гордости у местных жителей, стимулируя их сохранять свои национальные традиции, ремесла. Негатив ное влияние часто проявляется в результате прямого контакта, но может возникать и из-за непропорционального развития туризма и неэффективности реализации потенциальных возможностей.
Привлечение иностранной рабочей силы, а также создание новых высокооплачиваемых рабочих мест за счет получения иностранных инвестиций могут вызвать недовольство той части местных жителей, которые не могут найти подходящую работу или получают относительно маленькую заработную плату.
Проблема социального напряжения может углублять ся и за счет разного уровня благосостояния гостей и местных жителей. У последних создается впечатление, что туристы богаче их, поскольку они демонстрируют расточительность, не свойственную им в повседневной жизни у себя на родине. При этом местные жители забывают о том, что туристы находятся в отпуске и могут позволить себе немного лишнего. Это может вызвать чувство зависти у местных жителей, а иногда это приводит к открытому возмущению поведением туристов. Часто подобные трения возникают в период многочисл енных туристских потоков в районах их большой концентрации. Во избежание таких проблем туристские потоки необходимо направлять в районы, где концентрацию туристов можно контролировать (например, с помощью относительного увеличения цен), что ограничит поток и международных туристов. При этом большие доходы компенсируются небольшим количеством туристов, прибывающих в страну.
Экологическое воздействие. В процессе туристской деятельности неизбежно происходит изменение окружающей среды. Проблемы охраны окружающей среды и ее улучшения занимают важное место во многих исследованиях. Ранее исследованиям по анализу туристской деятельности уделялось мало внимания, да и то рассматривали влияние туризма только в определенных точках земного шара или воздействие только отдельных его видов.
Влияние туризма на окружающую среду может быть прямым, косвенным и побудительным, а также положительным и отрицательным. Туризм не может развиваться без взаимодействия с окружающей средой, однако с помощью управления развитием туризма и четкого планирования возможно уменьшить негативное воздействие и увеличить положительное.
Международный туризм оказывает положительное влияние на охрану и реставрацию исторических памятников, создание национальных парков и заповедников, защиту берегов и рифо в, сохранение лесов и т. д. Однако во многих развивающихся странах не предпринималось никаких шагов для защиты и сохранения природы из-за отсутствия необходимых финансовых средств, а полученные от туризма доходы перекачивались в другие, приоритетные сферы, считавшиеся экономически более выгодными.
При оценке влияния туризма на природу важно также, с какой точки зрения она ведется: ведь то, что считается положительным с точки зрения туристов, может оказаться негативным с точки зрения местных жителей. (Например, сохранение парков может стать причиной сокращения пастбищ для скота и, следовательно, причиной спада производства пищевых продуктов.)
Негативные воздействия туризма на природу, к сожалению, часто берут верх над положительными. В частности, ухудшается качество воды в реках, морях, озерах и качество воздуха из -за применения транспортных средств с двигателями внутреннего сгорания на масляном топливе ухудшаются; повышается уровень шума от деятельности различных развлекательных заведений; уничтожается местная и дикая фауна туристами, разжигающими костры; разрушаются исторические памятники вандалами, оставляющими на них надписи. Это примеры лишь незначительных повреждений, причиняемых окружающей среде.
Политика строительства новых гостиничных комплексов и инфраструктур вдоль побережья (особенно в 1970-е гг.),
отрицательно повлиявшая на природную среду, в последние годы стала неактуальна. В некоторых странах применяются ограничения на строительство зданий в непосредственной близости к морю.
Так как в туристской сфере употребляется продукция многих других отраслей, прямо не производящих туристский продукт, воздействие их на окружающую среду также следует учитывать.
Политика по защите окружающей среды должна быть нацелена на долгосрочный период для обеспечения продолжительной туристской деятельности, однако многие (особенно развивающиеся) страны игнорируют это, предпочитая коммерческую и финансовую сиюминутную выгоду.
Для оценки влияния туризма на окружающую природную среду приняты разные модели. В некоторых туристс ких местах слабо действуют нормативные акты, а природоохранные службы отсутствуют. Однако отсутствие нормативной базы, обеспечивающей защиту окружающей среды, не должно остановить процесс планирования развития туризма. Специалисты в этой области должны про водить собственную оценку воздействия на среду. Следует отметить, что защита окружающей среды является более простой и дешевой мерой, чем исправление нанесенного вреда в будущем.
Политика развития туризма с учетом его экологического воздействия на окружающую среду становится все более актуальной, и ВТО предложила много программ по ее охране.
4.3. Воздействие туризма на национальную экономику
Применительно к индустрии туризма существуют такие понятия, как «видимая» и «невидимая» торговля, «видимый» и «невидимый» экспорт и импорт.
Видимая торговля имеет дело с экспортом и импортом материальной продукции такой, как товары и сырье. При этом торговым балансом страны называется разница между стоимостью видимого экспорта и стоимостью видимого импорта.
Невидимая торговля имеет отношение к импорту и экспорту сферы услуг. Большая часть дохода от невидимого экспорта туристских услуг поступает от прибывающих иностранных туристов, а также от продажи им билетов на отечественный транспорт и другие услуги в стране пребыван ия. Невидимый импорт страны составляют деньги, потраченные ее гражданами во время зарубежных поездок, оплата ими транспортных расходов и других услуг в странах пребывания, а также оплата дивидендов иностранным инвесторам индустрии туризма.
Экспорт продукции, товаров и услуг (включая потребление продукции, товаров и услуг в стране пребывания иностранными туристами) обеспечивает доход страны. Расход страны заключается в оплате импорта продукции, товаров и услуг из других стран (включая потребление продукции, товаров и услуг гражданами страны во время их пребывания за рубежом).
Разница между полным доходом страны от экспорта (видимого и невидимого) и полной стоимостью импорта (явного и неявного) называется платежным балансом. Платежный баланс может быть отрицательным (дефицит) и положительным. В случае большого дефицита происходит утечка денежных ресурсов страны, поэтому не только малые страны, но и такие промышленно развитые государства, как США, Англия и Германия, стремятся к увеличению доходов от туризма и пр едпринимают серьезные усилия для привлечения в страну иностранных туристов.
Все международные операции страны отражаются в платежном балансе. Туристские потоки и связанные с ними поступления валюты или утечка иностранной валюты также отражаются в платежном балансе страны. Так, если резидент страны путешествует за рубежом, то он там и тратит валюту; это отражается отрицательно на балансе его страны и положительно на балансе принимающей страны. По направлению движения валюты можно определить, что для страны, отправляющей своего резидента за рубеж, расходы туриста являются импортом, а для принимающей страны экспортом, который как бы несравним с импортом и экспортом товаров. Все это отражается на счете «Туризм». Если счет положительный, то это означает, что ра сходы приехавших в страну туристов превышают расходы туристов, выезжающих из страны, и положительно влияют на ее платежный баланс. Однако здесь не учитываются тарифы международных транспортных перевозок и вторичное воздействие расходов туристов в стране.
ВТО провела классификацию стран по положению туризма в их платежном балансе, т. е. по поступлениям от международного туризма и платежам резидентов страны для осуществления путешествий. Поступления и расходы, связанные с потоком капиталов, затраты на импорт товаров и услуг, предназначенных для потребления туристами, и платежи от инвестиций и работы за рубежом были исключены из баланса. Баланс текущего туристского счета отражает экономическую ситуацию страны и может характеризовать ее как с положительным, так и с отрицательным балансом.
Текущий туристский баланс, как правило, положителен в странах Средиземноморья. Это Франция, Италия, Испания, Кипр, Мальта, а также Австрия и Швейцария. Из развивающихся стран к ним можно отнести, например, Тунис, Таиланд, Мекси ку, страны Карибского бассейна и др.
Отрицательный текущий туристский баланс в основном присущ индустриальным странам с высоким уровнем жизни, например скандинавским странам, Германии, Канаде и нефтедобывающим странам Персидского залива.
В большинстве развивающихся стран ситуация почти безнадежна. Эти страны имеют отрицательный туристский баланс из-за того, что они не обладают необходимой инфраструктурой для привлечения туристов из других стран и часто обязаны импортировать многие продукты, потребительские товары и оборудование для инфраструктуры. Кроме того, они платят из валютных выручек от туризма проценты за взятые за рубежом кредиты, а также заработную плату иностранному персоналу, который помогает управлять фирмами. Часть денег уходит в виде репатриированной прибыли транснациональным корпорациям и др. Воздействие международного туризма на платежный баланс страны зависит от остальных составляющих платежного баланса, т. е. от текущего платежного баланса и баланса движения капиталов. В результате разных комбинаций этих составляющих суммарный баланс может быть как положительным, так и отрицательным. В свою очередь туризм может оказать влияние на движение капиталов, и, следовательно, последние также должны тщательно анализироваться для точного определения воз действия туризма на платежный баланс, да и на всю экономику.
Оценить точно влияние туризма на платежный баланс очень сложно. В последнее время ведется разработка единого международного счета туризма на базе сбора всей финансовой статистики о международном туризме.
Однако не все деньги, потраченные иностранными туристами в стране пребывания, могут автоматически улучшить ее платежный баланс. Мировой практике известен ряд расходов, которые несет принимающая туристов сторона. В первую очередь это расходуемые предметы и товары, привычные для иностранного туриста, но не производимые или не потребляемые в стране пребывания, начиная от строительных и отделочных материалов гостиниц, гостиничного и ресторанного оборудования, мебели, спортивного инвентаря и заканчивая пищевыми продуктами, напитками и сувенирами. Увеличение приема иностранных туристов создает дополнительную нагрузку на местную инфраструктуру: водо- и электроснабжение, канализацию, уборку мусора, дороги, транспорт, связь, службу безопасности.
Выявляется необходимость расширения и развития аэропортов, вокзалов, морских или речных портов, гостиниц, дорог и т.д., для чего необходимо инвестировать огромные средства. В странах, развивающих индустрию туризма, это делается, как правило, за счет иностранных инвес торов.
Привлечение же зарубежных инвесторов приводит к необходимости возвращения части полученных ими доходов в страну инвестора. В ряде стран развитие туризма приводит к необходимости привлечения иностранных сезонных рабочих, что также вызывает дополнительные валютные расходы и нагрузку на местную сферу обслуживания. Для государства важно так сбалансировать доходы, получаемые от въездного туризма, с расходами на него (включая возврат валюты стране -инвестору, долгосрочные расходы на строительство и благоуст ройство гостиниц, дорог, аэропортов, средств связи, подготовку персонала для создания комфортных условий пребывания иностранным туристам), чтобы в конечном итоге обеспечить устойчивый положительный платежный баланс страны по статье «Туризм».
Конференцией ООН по туризму и путешествиям (с учетом рекомендаций ВТО) была разработана и принята Методика учета доходов и расходов страны по международному туризму. Согласно рекомендациям Международного валютного фонда в актив платежного баланса по статье «Туризм» включаются следующие доходы:
• от продажи товаров и туристских услуг въездным и внутренним туристам;
• экспорта товаров туристского спроса и оборудования для туристских предприятий;
• продажи прочих услуг (подготовка кадров, предоставление услуг специалистами страны
зарубежным партнерам);
• транспортных расходов въездных туристов на внутренний и международный транспорт в стране
пребывания;
• инвестиций иностранного капитала в индустрию отечественного туризма;
• кредитов, предоставленных другим странам (проценты и возмещение капитала) для развития
туризма.
В пассив платежного баланса по статье «Туризм» включают следующие расходы:
• на приобретение туристских услуг и товаров выездными туристами в стране пребывания;
• импорт товаров, необходимых для обслуживания въездных туристов, в том числе на прямой и
косвенный импорт;
• йриобретение прочих услуг (подготовка кадров за рубежом, оплата труда иностранных рабочих и
специалистов, занятых в сфере туризма);
• перевозки выездных туристо в зарубежными
транспортными компаниями;
• зарубежные инвестиции на развитие туризма в других странах;
• долгосрочные кредиты (проценты и возмещение капитала), вложенные в развитие
отечественного туризма.
Организация экономического сотрудничества и р азвития опубликовала статистические материалы по развитию туризма в государствах Европы, США, Канаде, Японии и др. (табл. 4.2 4.4).
Оценка экономического воздействия туризма основана на расходах туристов. Здесь очень важно рассматривать разные аспекты экономики, которые испытывают на себе воздействие расходов туристов.
Расчет экономического воздействия расходов туристов производится с помощью мультипликатора.
Так как местные предприятия зависят от других предприятий -снабженцев, любые сдвиги расходов турист ов в туристской местности приведут к изменениям на производственном уровне экономики, дохода, занятости, обменного курса. Мультипликатор туризма это отношение изменений одного из ключевых экономических показателей (например, производства, занятости, дохода и т.д.), к изменению расходов туристов. Определение мультипликатора базируется на кейсианском анализе.
Существует некий коэффициент, на который должны умножаться расходы туристов. Для оценки общего изменения производства применяется мультипликатор произв одства. Для оценки изменений общего дохода используется другой коэффициент, на который также должны умножаться расходы туристов.
Из рис. 4.1 видно, что расходы в первую очередь идут на предприятия, непосредственно обслуживающие туристов. Далее эти деньги тратят фирмы. Часть денег уходит из экономического оборота на оплату импорта товаров и напитков, которые туристы потребляют на месте пребывания, или на оплату услуг, предлагаемых туристскими предприятиями, находящимися за пределами данной местности. Деньги, потраченные туристами на эти виды продуктов и услуг, в дальнейшем не играют роли в генерировании экономической деятельности. Поэтому количество де-нег, активно циркулирующих в местной экономике, сокращается на эту сумму. Оставшиеся деньги используются на покупку местных товаров и услуг, оплату труда, покрытие налогов и разных поборов. В каждом цикле расходования некоторая часть денег оседает у местных жителей в виде доходов,(заработная плата, прибыль и т.д.). Определенная часть этих денег накапливается и прекращает свой оборот в экономике. Доход, который не накапливается, тратится на импорт и уходит в виде налогов в бюджет государства. Таким образом, доходы сокращаются, и в каждом цикле происходит утечка капитала из рассматриваемой системы. Доходы расходуются в большем объеме в результате дальнейшего генерирования экономической деятельности за счет расходов туристов.
Однако надо отличать мультипликатор от акселератора: первый это отношение новых инвестиций к увеличению производства и доходов, а второй отношение дополнительного потребления к росту производства и доходов.
При оценке значения мультипликатора важно не только выбрать методику, но и определить вид мультипликатора. Каждый вид выполняет свои специфические функции.
Мультипликатор продаж измеряет дополнительные обороты бизнеса в результате увеличения расходов туристов.
Мультипликатор производства измеряет объем дополнительного производства в экономике за счет увеличения расходов туристов. Принципиальное различие между этими двумя видами заключается в том, что в мультипликаторе производства не все купли-продажи связаны с текущим производством (например, некоторые продажи совершаются из складских запасов произведенной продукции).
Мультипликатор доходов измеряет дополнительные доходы (заработная плата, арендная плата, проценты от ссуд и прибыли), образующиеся в экономике в результате увеличения расходов туристов.
Мультипликатор занятости характеризует количество рабочих мест, созданных за счет дополнительных расходов туристов.
Туризм это многопродуктивная индустрия, непосредственно связанная с большим числом секторов экономики, и, следовательно, для расчета мультипликатора требуется большая база данных.
Существующие модели расчетов мультипликатора международного туризма имеют недостатки, которые преодолеваются на практике.
Ограничение, связанное с неэластичностью предложения, может стать сдерживающим фактором при предложении необходимого количества и качества товаров и услуг при увеличении расходов туристов. Как уже отмечалось выше, если излишний спрос не удовлетворяется местным производством, то дополнительные расходы туристов создают инфляцию, и недостающие продукты и услуги импортируются, а поэтому размер мультипликатора сокращается.
Многие виды мультипликатора по своей природе статичны и негибки. Для устранения этих ограничений могут быть построены динамические модели. Ограниченность модели заключается в том, что производственная функция и функция потребления линейны, и характер внутрисекторных расходов стабилен, отсюда и предположение, что дополнительные расходы туристов оказывают такое же воздействие на экономику, как и равное количество предыдущих расходов. Следовательно, когда увеличивается производство, предполагается, что товары будут покупаться в таких же пропорциях, что и раньше, без учета уровня б удущих сбережений. Статичность мультипликатора также не учитывает продолжительность времени мультипликативного воздействия на экономику.
Значения мультипликатора различны в зависимости от характера местной экономики и меры взаимосвязанности разных ее секторов. Для разработки политики и планирования мультипликатор дохода, например, является наиболее ценным, так как он обеспечивает информацией о национальном доходе прежде, чем произведены продукция или оборот.
В результате проведенных ВТО расчетов мультипликатора продаж в туризме и доходов от него получены следующие значения мультипликатора продаж: для Доминиканской Республики 1,2, Бермудских островов 1,1, восточного Карибского бассейна 1,07, Антигуа 0,88, Багамских островов 0,78, Каймановых островов 0,65 и т.д.
Подробный анализ мультипликаторов производится в целях анализа эффективности инвестиций государственных или частных секторов в туристские проекты на национальных и региональных уровнях, проверки относительных величин воздействия различных видов туризма и воздействия туризма по сравнению с другими секторами экономики.
Итак, туристы тратят деньги в отелях, ресторанах, транспорте и таким образом проникают в экономику страны пребывания. Это проникновение можно исследовать с помощью оценки прямого и косвенного проникающего воздействия. Прямое воздействие это объем расходов туристов за вычетом объема импорта, необходимого для полного обеспечения товарами и услугами туристов. Предприятия, к которым непосредственно поступают расходы туристов, также нуждаются в покупке товаров и услугах других секторов местной экономики (например, гостиницы пользуются услугами строителей, коммунальных организаций, банков, страховых компаний, производителей пищевых продуктов и др.). Таким образом, генерированная экономическая активность, полученная из этих последовательных этапов расходования, и является косвенным воздействием. Однако оно не охватывает все расходы туристов во время прямого воздействия, так как часть денег выходит из оборота через импорт и налогообложение.
Во время прямого и косвенного расходования у местного населения накапливается доход в форме заработной платы, арендной платы и др. Этот дополнительный доход местные жители могут расходовать на покупку отечественных товаров и услуг, создавая тем самым новый вито к экономической активности.
Туризм, однако, может оказать и негативное воздействие на экономику. Производство туристской продукции и услуг требует переброски ресурсов из других сфер экономики, где потребность в них также высока (например, при перемещении т рудовых ресурсов в туристскую сферу из сельских местностей происходит сокращение работников в производстве сельскохозяйственной продукции и создается сверхнапряжение в городской местности из -за дополнительных мест в больницах, школах и т.д.). Поэтому для составления полной картины надо учитывать и определять цену использования редких ресурсов для туризма взамен использования их в других сферах.
Инфляция может привести к сокращению количества употребляемых местным населением продуктов. Этот инфляционный риск особенно велик в развивающихся странах из-за неэластичности предложения и невозможности импортировать качественные продукты по причине низкого курса местной валюты по отношению к твердым валютам. Инфляцию можно приостановить с помощью уменьшения спроса со стороны иностранных и местных потребителей или увеличения импорта за счет финансовых средств, получаемых от тех же иностранных гостей.
Экономическая эффективность туризма означает получение экономического эффекта (или, другими словами, выигрыша) от организации туризма в масштабах государства, туристского обслуживания населения региона, производственно -обслуживающей деятельности туристской фирмы.
Любое государство, развивающее туризм, стремится достичь максимальной выгоды. Развитие туризма может оказать существенное влияние на экономику и развитие региона, способствуя притоку валюты: будут появляться новые рабочие места, улучшится инфраструктура, то есть будут строиться новые отели, дороги, парки, магазины и т.д.
Экономические выгоды являются основной движущ ей силой туристского развития. Для того чтобы получить максимальную выгоду от развития туризма, государству необходимо разработать туристскую политику, которая является одним из видов социально -экономической политики государства. Туристская политика государства это совокупность форм, методов и направлений воздействия государства на работу сферы туризма для осуществления конкретных целей развития социально -экономического комплекса.
Стратегия, на которой базируется государственная туристская политика, заключается в разработке концепции развития и составления целевых программ по развитию туризма как на уровне федерации в целом, так и на уровне отдельного субъекта федерации.
Для реализации целевых программ по развитию туризма требуются большие финансовые ресурс ы. Помимо этого, государство осуществляет регулирование туристской деятельности путем:
• создания нормативных правовых актов, направленных на совершенствование отношений в сфере
туристской индустрии;
• содействия в продвижении туристского продукта на внутреннем и мировом рынках;
• прямых бюджетных ассигнований на разработку и реализацию федеральных целевых программ
развития туризма.
Политика государства по отношению к туризму основывается на стратегии и тактике. Под стратегией понимается общее направление и способ использования средств для достижения конкретной цели. Для достижения целей в конкретных условиях применяется туристская тактика, т. е. конкретные меры и приемы.
Задача туристской тактики есть выбор оптимального решения в данной хозяйственной ситуации.
Экономический эффект от развития туризма многоуровневый. В результате туристской деятельности образуется бюджетный эффект результат пополнения бюджетов различных уровней за счет налоговых поступлений.
Говоря о понятии эффективности развития туризма, необходимо помнить не только о прибыли и доходе, которые получит государство, но и о затратах, которые их обеспечили. Основой оценки эффективности является соотношение затрат и результатов. Источниками затрат могут быть реконструкции памятников архитектуры, финансируемые за счет государственного бюджета, затраты, связанные с коммерческой деятельностью предприятий, обслуживающих туристов.
Высокий эффект экономика туристской дестинации, населенные пункты дестинации и страна в целом получат от въездного туризма. Здесь интегрируются интересы туристов, которые удовлетворяют свои познавательные и другие потребности, местных региональных и федеральных бюджетов, так как увеличиваются налоговые поступления, и интересы населения, чей культурный уровень и з анятость повышаются.
Туризм это вид деятельности, непосредственно влияющий на социальную, культурную, образовательную, экономическую сферы региона. Эффективность от туристской деятельности определяется либо количеством туристов-посетителей, либо объемом деятельности коммерческих туристских структур, производящих туристский продукт.
Эффективность от туристской деятельности определяется либо количеством туристов-посетителей в регионе, либо объемом деятельности (среднегодовая занятость коечной базы в днях, товарооборот на одно место в предприятиях общественного питания, доход от экскурсий и других культурных мероприятий, валютный обмен на одного туриста и др.) коммерческих структур, производящих специфический туристский продукт. Поскольку туризм охватывает шир окий диапазон видов деятельности и выходит за рамки традиционного представления о нем как о явлении, связанном только с отдыхом, то эффект от него должен рассматриваться с точки зрения спроса особого типа потребителя.
Эффективность управления туризмом расс матривается в двух направлениях: экономическом и социальном.
Основными и наиболее простыми являются расчеты частоты поездок и интенсивность путешествия, что в какой -то мере позволит сделать вывод об эффективности внедрения предлагаемых мероприятий и развития туризма как подотрасли экономики в целом в дестинации.
Частота поездок показывает, сколько путешествий предпринимает человек в среднем за определенный период времени:

где Чп частота поездок; Кп количество поездок; Пв период времени.
Определение показателя интенсивности путешествий принимает во внимание не отдельного
человека, а все население региона:
ип
(2)
где Ип интенсивность путешествий (%); Кт количество туристов; Чн численность населения.
Данная информация позволит вести статистический учет и формировать базу для дальнейшего прогнозирования.
Многие исследователи отмечают, что в связи с тем, что туристский бизнес относится к высокорентабельной коммерческой деятельности, основными оценочными показателями принято считать прямые экономические. Социальные показатели фактически не относятся к критериальным. На самом деле, кроме прямого экономического эффекта существуют косвенный и социальный экономические эффекты. Косвенный экономический эффект связан с повышением рентабельности сопутствующих (сопряженных) с туризмом отраслей (торговли, общественного питания, транспорта и т.д.), а также с дополнительными налоговыми поступлениями в местные и государственные бюджеты.
Социальный эффект во многих случаях не рассчитывается и либо носит декларативный характер, либо выступает в фо рме ограничений, например экологических. Если экономический эффект можно выразить количественно, то систему показателей социального плана измерить очень сложно и практически невозможно.
Развитие рекреационно -туристского комплекса,
обеспечивающего создание условий для эффективного использования уникальных природно-климатических ресурсов и расширение материально-технического потенциала курортнотуристских предприятий, является одним из приоритетных направлений развития дестинации.
Тем не менее в качестве некоей общей концепции социально -экономической оценки развития туризма для крупного туристского центра или региона можно принять модель, предлагаемую Ю. И. Блохиным.
С точки зрения экономики города и региона в целом туризм можно условно рассматривать как одну из ее отраслей. В этом случае сравнительную оценку эффективности различных вариантов развития туризма следует проводить с учетом влияния этой отрасли на функционирование других отраслей. Однако, так как на сегодняшний день методы и формы полного учета косв енного экономического эффекта нуждаются в уточнении, то в первом приближении, абстрагируясь от указанного влияния других отраслей, можно в качестве критерия оптимальности принять прибыль, получаемую социально -экономической сферой города (региона) от туристской деятельности.
В общем случае указанный критерий ASr может быть представлен в следующем виде:
ASr=Sl+(l-a)S2-Sr, (3)
где S1 доходы, получаемые от въездного туризма; а коэффициент передачи; S2 доходы, получаемые от выездного туризма; Sr расходы, которые несет экономика города на развитие туристской деятельности.
Можно отметить следующие особенности предложенного под -
кода.
Указанная прибыль АSr представляет собой ту часть прибыли, получаемой отраслью, которая поступает в распоряжение города (региона) и расходуется вне самой отрасли (т.е. часть прибыли, затраченная на расширенное воспроизводство отрасли туризма, не учитывается).
Доходы S1 и S2 складываются из налоговых поступлений на турфирмы, а также из дохода предприятий социально -экономической сферы города, связанных с туризмом, и, возможно, из платы за кредиты, предоставляемые городом (регионом) турфирмам.
Поскольку составной частью расходов Sr являются инвестиции города (региона) в инфраструктуру туризма, которые окупается только со временем, прибыль ASr должна быть дисконтирована к началу периода:
AS, = J [S, (t) + (1 - a) S2 (t) - Sr (0] (1 + y)(1”° , (4)
t=\
где у ставка процента.
Таким образом, принимаемые управленческие решения (и в том числе коэффициент передачи а) представляют собой функции времени.
Основные зависимости для расходов и доходов от туризма могут быть выражены следующим образом.
Показатели Su S2, Sr являются функциями въездного (N{) и выездного (N2) потока туристов. Величины Nt и N2 сами представляют собой функции времен и и могут быть записаны в следующем виде:
N, = л [a(.t),YTl(t)M)], N2 = j2 [Q2(t),YT2(t)}, (5)
137
где Qi(t), Q2(t) характеристики социально-экономических условий в стране и городе, влияющие соответственно: на въездные и выездные туристские потоки соответственно; Yt1(t), Yt2(t) характеристики уровня состояния инфраструктуры и сферы услуг соответственно въездного и выездного туризма, а также характеристики рекламной деятельности туристских фирм и города (региона); R1(t), R2(t) функции, определяющие продвижение соответственно: въездного и выездного тур продукта городскими структурами.
В свою очередь величины Yn(t), R
At) являются функциями расходов Cri(t) городской администрации на развитие и поддержание инфраструктуры въездного туризма, а величины Yn(t), Дг(0 функциями расходов Cr2(t) городской администрации на развитие и поддержание инфраструктуры выездного туризма.
Дальнейший ход решения требует поиска зависимостей Si = = SiiNi), S2 = S2(N2) и Sr= Sr(N1,N2), а также определения доходных и расходных составляющих, входящих в выражения для N1 и N2. Одной из форм представления этих доходов может быть представление в виде соответствующих сумм:
V }
(6)
где AS1j составляющая j-го вида доходов, поступающих от въездного туризма в городской бюджет;
AS2J составляющая j -го вида доходов, поступающих от выездного туризма в городской бюджет. Все эти доходы обеспечиваются деятельностью турфирм и компонентами инфраструктуры.
В принципе, для обеспечения деятельности туризма город также должен вкладывать в его развитие определенные средства. Как правило, эти городские расходы носят косвенный характер и не всегда направлены на решение только туристских проблем, а относятся к затратам на улучшение городской инфраструктуры в целом. Действительно, гостиницы, дороги, музеи, новые пешеходные зоны и площади нужны не только туризму. Расходы
города можно представить в следующем виде:
«?, -
с* (
і?< ('), ъ ('))+Сиз (лг, (/). м
2 (0)+
+С„.ф (АГ, (г), N
2 (t)) + C
KI (JV, (г), N, (г)) + С,.
K (AT, (г), A'j (/)),
(7)
где Ca(N1(t), Nz(t)) расходы, связанные с содержанием специального управленческого аппарата; CH.3(N1(t), N2(t))
расходы, направленные на создание программ развития туризма и
разработку необходимых городских законодательных и нормативных актов; Сн.фШ(1:), N2(t)) расходы, обусловленные необходимостью создания новых и поддержания на должном уровне существующих компонент инфраструктуры; CR1N1(t), N2(t)) затраты, связанные с продвижением турпродукта, включая рекламу города, при организации въездного туризма; CB.K(N1(t), N2(t)) финансовые потери города, обусловленные вывозом капитала за рубеж и в другие регионы страны при выездном туризме.
Составляющие доходов, входящие в выражение (7), можно представить в развернутом виде (раздельно по приему и отправке туристов).
Прием туристов.
1. Прямые доходы S1H(N1(t)) от въездного туризма в виде различных региональных и федеральных налогов, выплачиваемые турфирмами и другими участниками турист ского бизнеса.
2. Доходы .S1o6(N1(t)) от затрат туристов на обслуживание (проживание, питание, транспорт и
другие виды услуг).
3. Косвенные доходы Slpa3(Ni(t)) от загрузки гостиниц, баров, казино, ресторанов, развлечений,
посещения исторических и культур ных центров.
4. Косвенные доходы S1M(Nj(t)) от создания дополнительных рабочих мест.
Отправка туристов.
1. Прямые доходы S2H(N2(t)) от налогообложения туристской деятельности по отправке туристов, выплачиваемого турфирмами и другими участниками бизнеса.
2. Доходы SlTp(N2(t)) от дополнительной загрузки транспортных средств и других объектов сферы
услуг, привлекаемых при отправке туристов.
3. Косвенные доходы S2M(N2(t)) от создания дополнительных рабочих мест в системе обслуживания по отправке туристов.
В рассматриваемую систему доходов и расходов следует также включить расходы турфирм, которые они несут при проведении туристских мероприятий.
Государство, естественно, пытается переложить все расходы по туристской деятельности на турфирмы; эти расходы и ряд других поборов могут перейти критическую черту, за которой последует коллапс всей системы туризма.
Одним из условий туристской деятельности должно явиться отчисление части доходов от выездного туризма, система которого достаточно хорошо организована в городе, не требует узконаправленных капитальных затрат и может дать городу (в основном за счет налогообложения) до одного триллиона рублей в год. В данной схеме реализуется известный принцип: «Туризм должен развиваться за счет туризма»; в основном эти средства пойдут на инфраструктуру и рекламу города. Конечно, городская казна при этом будет нести определенные потери до тех пор, пока въездной туризм не «встанет крепко на ноги», и тогда все эти потери будут компенсированы.
Однако система туризма может существовать при определенных условиях налогообложения, арендной платы и других поборов. Повышение этого уровня приведет к разрушению городской системы туризма.
Основными показателями оценки уровня туризма являются въездные (N1) и выездные (N2) туристские потоки, которые определяются зависимостями (5). Вычисление по формуле (4), в которой фигурирует коэффициент передачи а, определяет долю от доходов выездного туризма, выделяемую городом на развитие YT1 и R1 , связанных с въездным туризмом.
Из анализа поставленной задач и можно видеть, что для получения общего решения проблемы требуется выполнить основные частные задачи.
1. Определить состояние и развитие социально -экономических условий в регионе с оценкой структурного состава общества по уровням доходов и определением ос новных экономических показателей, а также конкретизацией их влияния на различные виды туризма.
2. Выработать требования к основным показателям, характеризующим уровень состояния и развития туризма, и оценки по ним состояния туристской деятельности в регион е по въездному и выездному туризму.
3. Раздельно рассмотреть вопросы продвижения въездного и выездного туризма (в силу существующих принципиальных их различий), а именно:
• въездной туризм обеспечивается в первую очередь рекламой достоинств региона (в основном вне его территории), которую должна обеспечить городская администрация. Отсюда необходимость создания специальной модели подобных мероприятий с рассмотрением долевых затрат на них среди участников организации и реализации туристского бизнеса;
• проведение турпродукта выездного туризма должно возлагаться непосредственно на сами турфирмы, и доля участия городских структур в этом очень мала, т. е. это другая задача, которая требует другой модели.
4. Для завершения постановки задачи разработать обобщенную модель туристской фирмы с учетом зависимости ее деятельности от социально -экономических условий.
5. Ввести методические принципы оценки городских затрат на туристскую деятельность, которые необходимы для замкнутости поставленной задачи.
6. Определить N1 и N2. Расчеты целесообразно проводить путем осреднения результатов, полученных по двум методикам:
обработка по специальной методике статистических данных
по въезду и выезду с последующим построением прогнозных зависимостей;
построение соответствующих связей вида (6) с последующей оценкой точности полученных усредненных данных.
7. Наполнить построенные модели фактическим содержанием. Это сведется к определению соответствующих компонентов затрат, которые должны производить турфирмы и городская администрация для эффективного функционирования туристских мероприятий.
8. Создать комплекс соответствующих компьютерных программ.
4.4. Планирование развития отрасли туризма
Известно, что туризм представляет собой сложнейшую комплексную систему, вовлекающую в сферу своего влияния различные секторы экономики. Вместе с тем до 1990-х гг. многие страны развивали туризм без какого -либо планирования или рассмотрения его на фоне общих процессов экономического развития общества.
Как показывает опыт бесконтрольного, случайного развития туризма, это привело к многочисленным проблемам экологического, экономического и социального характера, к которым можно отнести деградацию окружающей среды и потерю национальной самобытности, снижающие в свою очередь поток туристов и ведущие к экономическим потерям.
В современном мире, в условиях неконкурентоспособности экономики многих стран на мировом рынке, многие правительства рассматривают туризм как едва ли не единственную возможность своего успешного экономического раз вития. Отношение к туризму как к инструменту развития общества и экономики базируется на его эффективности в качестве мощного ресурса занятости населения, а также увеличения доходов и восстановления утерянных по разным причинам природных и культурных ресур сов.
Известно также, что уровень экономического развития различных стран и регионов отличается широким разнообразием. Некоторые государства процветают, в то время как другие пытаются сдержать процесс общественного и экономического падения. В последнем случае материальная и духовная среда общества чаще всего находятся в упадке, и туризм (как никогда кстати) становится потенциально привлекательной заменой предприятий производственного и иных сфер бизнеса. По этой причине в настоящее время все страны, обладающ ие развитой индустрией туризма, пришли к пониманию того, что планирование туризма составляет основу его цивилизованного развития.
Однако, прежде чем начать изучение и анализ принципов планирования туризма, необходимо сначала усвоить, что такое планирование туризма и почему оно необходимо.
Известнейший американский специалист и международный консультант в области планирования туризма Эдвард Инскип определил это понятие как организация будущего для достижения ряда определенных целей и задач.
Впервые о необходимости и важности планирования туризма было заявлено в знаменитой Гаагской декларации по туризму, принятой на Межпарламентской конференции по туризму, проведенной межпарламентской группой Нидерландов совместно с приглашенными ею Межпарламентским союзом (МП С) и Всемирной туристской организацией в апреле 1989 г. в Гааге. Межпарламентская конференция по туризму объявила Гаагскую декларацию инструментом международного сотрудничества и призвала парламенты правительства, государственные и частные организации, ассоциации и учреждения, отвечающие за туристскую деятельность, профессионалов в области туризма, а также самих туристов тщательно учитывать ее принципы в том виде, в каком они изложены в декларации, и основываться на них в своей деятельности.
Гаагская декларация впервые определила необходимость принятия мер, направленных на то, чтобы туризм составлял часть комплексного плана развития страны наряду с другими приоритетными секторами: сельским хозяйством,
промышленностью, здравоохранением, социальным обеспечение м, образованием и др. Таким образом, туризм был официально назван отраслью, которой государства должны уделять такое же внимание, как и другим видам социально -экономической деятельности.
В этой декларации определяется необходимость принятия эффективных мер для «...содействия комплексному планированию туристского развития на основе концепции устойчивого развития, а также определено, что туризм должен планироваться государственными властями при участии туристской индустрии на комплексной и последовательной ос нове с учетом всех аспектов этого явления».
В настоящее время стало очевидным и принятым на международном уровне не только то, что планирование и контроль развития туризма являются обязательной основой обеспечения его успешного развития, но и то, что подхо ды к планированию туризма, определение его роли и места в развитии страны или региона должны рассматриваться в пределах широкого контекста общественного экономического развития.
Важность планирования туризма подтверждается и тем фактом, что официальным основным приоритетом деятельности Всемирной туристской организации (ВТО), наиболее авторитетной международной межгосударственной организации в мире в сфере туризма, является оказание практической помощи странам в области стратегии планирования туризма, турист ской политики, развития туризма с учетом специфики региона, связи туристской отрасли с национальной экономикой, оценки перспектив развития туризма.
Планирование туризма, направленное одновременно на предотвращение негативных воздействий и вместе с тем выполнение целей и задач развития общества, должно осуществляться, как уже упоминалось, в соответствии с принципами так называемого устойчивого развития. Впервые определение и концепция устойчивого развития были предложены в докладе Всемирной комиссии по окруж ающей среде и развитию в 1987 г., представленном и одобренном на Генеральной ассамблее ООН.
Ко времени Конференции ООН по окружающей среде и развитию, проходившей в Рио-де-Жанейро в июне 1992 г., идея устойчивого развития окончательно устоялась и получила действенную поддержку на мировом уровне. Согласно определению «устойчивым развитием называется процесс, в рамках которого развитие происходит без нанесения ущерба ресурсам и их истощения, что и делает развитие возможным. Это, как правило, достигается либо таким управлением ресурсами, при котором они могут возобновляться с той же скоростью, с какой они используются, либо переключением с медленно возобновляемых ресурсов на быстро возобновляемые. При таком подходе ресурсы могут быть использованы как будущим, т ак и настоящим поколениями».
К основным принципам устойчивого развития отнесены:
• экологическая устойчивость, которая обеспечивает: сбалансированность развития и поддержания основных экологических процессов; развитие, совместимое с культурой, самобытностью и жизненными ценностями местного населения;
• экономическая устойчивость, обеспечивающая экономическую эффективность развития и метод управления ресурсами, позволяющий их использование будущими поколениями.
Таким образом, концепция устойчивого развития представляет собой основу для достижения целей развития без нанесения ущерба окружающей среде и является процессом планируемых изменений, в рамках которых все инструменты развития от эксплуатируемых ресурсов до инвестиционных стратегий и институцион альных элементов приводятся в соответствие не только с настоящими потребностями, но и с интересами будущих поколений.
Туризм планируется на национальном, региональном, местном уровне, а также на уровне планирования «дестинаций», или «территорий туристского развития».
Национальный и региональный уровни (долгосрочный и стратегические уровни планирования туризма) предполагают формирования государственной, республиканской, региональной или областной политики развития туризма, законодательных основ его развития, координацию туристской деятельности как на отечественном, так и на международном уровне, а также рассмотрение других элементов, необходимых для развития и управления туризмом на стратегическом уровне, таких как создание рекламно-информационной системы, обеспечивающей пропаганду образа страны или региона как благоприятного для туризма, создание единых основ системы образования, профессиональной подготовки и переподготовки кадров для сферы туризма, научное обеспечение туристской деятельности и др.
Первостепенной функцией стратегического туристского планирования является формирование национальной туристской политики. Это обусловлено тем, что эта политика играет ключевую роль в определении направления туристского развития и приведении его в соответствие с потр ебностями и интересами населения страны. Создание системы управления туристской политикой также является важнейшим аспектом планирования туризма на национальном уровне. Другие важные задачи, обычно решающиеся в зарубежной и в отечественной практике на национальном уровне, включают в себя:
• стратегическое планирование материальной базы, при котором определяются главные объекты туристского показа, регионы туристского развития и основные транспортные артерии;
• создание национальных стандартов по таким направлениям, как безопасность, подготовка кадров, а во многих странах охрана здоровья.
При этом следует отметить тесную взаимосвязь между различными уровнями государственной исполнительной власти, осуществляющими планирование туризма. Чем более успешно реализуются национальные и региональные программы туристского планирования, тем более вовлеченными в них оказываются местные муниципальные городские и сельские администрации.
Местный оперативный уровень планирования туризма охватывает более детальные локальные программы формирования и развития объектов туристского показа, курортов, рекреационных территорий, различных видов туризма городского, культурного, научного и других, в масштабах не больших, чем город.
В отличие от долгосрочного и стратегического мест ный уровень планирования сосредоточен на выявлении и разрешении срочных вопросов, связанных с конкретными территориями, объектами, услугами или институциональными элементами. При этом следует помнить, что развитие туризма на местном уровне должно осуществляться с учетом регионального и национального развития и не противоречить ему по своему содержанию.
Примерами деятельности, обычно ассоциируемой с планированием туризма на местном уровне, являются:
функциональное зонирование рекреационных территорий, определяющее их планировочное решение, ландшафтное проектирование, размещение и принципы архитектурно -планировочной организации отдельных объектов;
• формирование и соблюдение местных нормативно -правовых актов; содействие участию в процессе реализации все х заинтересованных в развитии туризма людей и организаций;
• планирование местной туристской инфраструктуры, включая определение потребностей в тепло -, электро- и водоснабжении;
• обеспечение доступности всех туристских объектов для местного населения;
• обеспечение рекреационных и бытовых услуг как для туристов, так и для местного населения;
• содействие в предоставлении услуг, связанных с профессиональным образованием, подготовкой и переподготовкой кадров для местной индустрии туризма, а также других услуг, касающихся людских ресурсов;
• финансирование туристского развития;
• маркетинг и продвижение местных достопримечательностей и туристских программ;
• вопросы налогообложения.
В практике большинства стран степень участия местной администрации в процессе туристского планирования меняется по мере реализации программы развития туризма. Например, в случае, когда местная администрация определяет территорию для развития туризма, ее первоначальное участие будет весьма значительным: муниципальные власти нанимают для работы архитекторов, инженеров, экономистов, социологов, экологов и других специалистов. По мере реализации программы администрация постепенно «уходит на задний план» и передает лидерство компаниям частного сектора в вопросах орган изации финансирования, найма специалистов и консультантов, в строительстве и управлении туристскими инфраструктурой и услугами.
Широко распространенный в современной зарубежной туристской практике термин «планирование дестинации» {destination planning) часто используется для определения планирования в масштабах географического региона, который обладает достаточно необходимыми услугами,
достопримечательностями, инфраструктурой и потенциалом для привлечения туристов. Целиком завися от природы и характера туристского развития и территориальных аспектов, дестинация может быть региональной по масштабу, охватывая множество рекреационных территорий и городов, либо она может быть локальной. Для обозначения дестинации также часто используется термин «территория туристского развития». Например, дестинацией, или территорией туристского развития, является Анталия в Турции, включающая в себя семь деревень и три древних города. Примерами отечественных дестинации могут служить территории Сочи (от Адлера до Лазаревской) или Большой Ялты, охватывающие почти весь южный берег Крыма (от Алушты до Симеиза).
Вне зависимости от территориального размера дестинации ее ключевой характеристикой является то, что она представляет собой комплексное пространство, включающее в себя достаточн ое количество средств размещения и туристских достопримечательностей, туристскую инфраструктуру, а также туристскую общественность, способную обеспечить необходимую занятость населения в сфере туризма и необходимые транспортные связи внутри дестинации.
Туристское планирование является весьма трудоемким и сложным делом, поэтому в планировании и реализации любой деятельности в туризме принимают участие люди и организации, способные оказывать реальное воздействие на направления и результаты туристской деятельности. К ним, как правило, относятся:
• местное население;
• сфера бизнеса (иногда даже не связанная с туризмом);
• политические и другие официальные лица;
• профессиональные объединения и общественные организации работников сферы туризма;
• официальные представители правительства или администрации любого уровня, связанные с туристским законодательством и развитием.
Представители каждой из перечисленных категорий вносят свой особый вклад, собственные знания и предложения на общий стол для принятия решений. Следует еще раз подчеркнуть, что их участие особенно важно на ранней стадии процесса планирования для общей поддержки и придания стабильности этому процессу и, таким образом, уменьшает вероятность возникновения проблем в будущем со стороны лиц и организаций, по разным причинам не участвовавших в планировании туризма на первом этапе.
Туристское планирование комплексный процесс, вовлекающий в сферу своего влияния множество людей и организаций из различных областей деятельности. В связи с этим оно может быть подвержено влиянию факторов, оказывающих негативное воздействие на процесс планирования. Это наиболее часто происходит в тех случаях, когда общество ожидает, что туризм сможет разрешить большинство экономических и социальных проблем. К сожалению, такие ожидания чаще всего наблюдаются в странах и регионах, находящихся в стадии экономической депрессии и скованных бюджетными ограничениями, сокращающими возможности правительства финансировать и поддерживать развитие индустрии туризма.
В таких странах правительства, не имеющие возможности полноценно финансировать развитие туристской индустрии, чаще всего направляют свою деятельность на устранение планового развития и регулирования туризма и возлагают эти вопросы на частный сектор. При этом туристский бизнес, как правило, опасается консолидации частного сектора в отрасли из -за боязни снижения собственной конкурентоспособности в нестабильной ситуации на рынке.
Вместе с тем Гаагская декларация гласит: «Туризм может быть эффективным средством содействия со циально-экономическому росту страны, если одновременно принимаются необходимые меры для того, чтобы решить наиболее срочные национальные задачи и позволить национальной экономике достигнуть приемлемого уровня самообеспечения».
Иногда при планировании туризма на местном уровне приходится бороться со скептицизмом населения, основанным на невозможности получения им немедленных личных выгод от туризма. За рубежом распространенным случаем является настороженность местных жителей к туристскому развитию из -за боязни его негативного экологического воздействия.
Очень часто процесс туристского планирования останавливается из-за общественных выступлений в защиту окружающей среды и (особенно) действий со стороны различных инициативных групп по этой защите. При этом сложность и цена пройденного пути планирования могут быть к этому времени достаточно высокими.
Кроме этого при планировании туризма приходится иметь дело с различными видами воздействий, основанных на рыночной конкуренции и являющихся результатом постоянно мен яющихся технологий, появления новых дестинаций и перемен в предпочтениях туристов.
Однако, как показывает международный опыт, при отсутствии предварительного комплексного планирования туризма в туристских центрах со временем возникают проблемы (в основном экологического и социального свойства), становящиеся очевидными прежде всего для туристов. Понятно, что на современном туристском рынке, находящемся под жесточайшим прессом конкуренции, туристы немедленно изберут для себя другие дестинаций.
Планирование туризма так же, как и планирование любого другого вида деятельности, преследует цель достижения успеха и недопущения или устранения проблем.
Известно, что комплексное планирование требует времени и может вызвать длительные дискуссии и споры, так как различны е политические партии, правительственные и административные структуры, местное население преследуют свои собственные цели и интересы.
Однако общий смысл планирования туризма состоит в том, чтобы обозначить его основные направления и виды развития, оценить преимущества, равно как и недостатки предлагаемой концепции развития, а также определить принципы успешного развития, т. е. достижение успеха при условии недопущения или минимизации проблем до начала дискуссий, строительства или того момента, когда соверше нные ошибки станут либо очень дорогостоящими, либо непоправимыми.
Таким образом, туризм может принести множество прямых и непрямых экономических выгод лишь при тщательном и комплексном планировании.
Контрольные вопросы и задания
1. Дайте определение туристской дестинации.
2. Приведите примеры положительного и отрицательного социально-культурного, экологического и экономического воздействия туризма.
3. Для каких стран характерен отрицательный и положительный туристский баланс и почему?
4. Поясните сущность мультипликатора туризма.
5. Дайте определение «устойчивого развития туризма» и перечислите его основные принципы.
ГЛАВА 5 ЭКОНОМИЧЕСКИЕ ЗАКОНОМЕРНОСТИ ФУНКЦИОНИРОВАНИЯ И РАЗВИТИЯ ОТРАСЛИ
5.1. Ресурсы отрасли туризма
Определение рекреационных ресурсов приводится здесь в следующих контекстах:
рекреационные ресурсы как результат антропогенной деятельности (воздействия человека и его деятельности на природу), которые благодаря таким свойствам, как уникальные исторические и художественные ценност и, оригинальность, эстетическая привлекательность и целебно -оздоровительная значимость могут быть использованы для организованных занятий;
рекреационные ресурсы как сочетание различных компонентов, факторов природного и антропогенных ландшафтов, создающих благоприятные условия для разнообразных видов и форм деятельности человека;
рекреационные ресурсы как в определенной степени трансформированные природные условия и культурно -исторические объекты, доведенные до степени технологичности под влиянием общественных потребностей и возможности прямого использования в рекреационном обслуживании.
Следовательно, к рекреационным ресурсам относятся два типа ресурсов: природные и антропогенные.
Природные рекреационные ресурсы это территориальное сочетание природных компонентов с функциональной, временной и территориальной комфортностью рекреационной деятельности.
Комплексный характер рекреационной деятельности и многообразие ее связей с природными условиями обусловливает целесообразность рассмотрения в качестве природног о рекреационного ресурса не только территориальное сочетание природных компонентов, но и результаты антропогенной деятельности человека (так называемый антропогенный фактор в экологии).
Рекреационные ресурсы в рекреационном хозяйстве выступают как условия рекреационной деятельности. Для того чтобы природные условия стали природными ресурсами, необходимы затраты общественного труда на их изучение, оценку и подготовку и доведение их до степени технологичности, необходимой для прямого использования в рекреацио нном хозяйстве.
Ресурсную базу туризма составляют туристско -рекреационные ресурсы, которые тесно связаны между собой. Под туристскими ресурсами понимают совокупность природных и искусственно созданных человеком объектов, пригодных для создания туристского продукта. Как правило, эти ресурсы определяют формирование туристского бизнеса в том или ином регионе.
Туристские ресурсы состоят из различных природных, культурно-исторических, а также социально -экономических объектов и явлений (на данной фазе развития об щества), которые пригодны в качестве основы для предоставления туристских услуг.
Отдельные исследователи к туристским услугам относят и рекреационные ресурсы, т. е. ту часть природных и культурных ресурсов, которая обеспечивает отдых как средство поддержан ия и восстановления трудоспособности и здоровья людей. Они играют важную роль при реализации туристского бизнеса, который осуществляется только при наличии таких составляющих, как капитал, технологии, кадры, земля.
Это означает, что для занятий туризмом не достаточно например, иметь только первые три составляющие. Кроме них необходимо обладать туристско -рекреационными ресурсами или создавать такие ресурсы. Это одна из важнейших специфических особенностей туристского бизнеса в условиях рынка. Так как четвертая составляющая туристские ресурсы является наиболее дешевой в России (в настоящее время нет федерального налога на туристские ресурсы), то в целом это определяет высокую рентабельность туристского бизнеса. Если туризм связан с созданием туристского ресурса (а не потреблением имеющегося), то себестоимость туристского продукта резко возрастает (по статистике в Российской Федерации на конец 2000 г. туристские рекреационные ресурсы экономически оценивались в размере примерно 2 % национального богатства страны 180 260 млрд руб.).
Под ресурсами в широком смысле этого слова понимают:
• экологические ресурсы совокупность средообразующих компонентов, обеспечивающих экологическое равновесие в биосфере и ее подразделяющих;
• культурные и исторические ресурсы объекты и комплексы объектов (включая людей), которые обеспечивают общество информацией о его происхождении и развитии;
• природные ресурсы природные объекты и явления, используемые в настоящее время (использовались в прошлом и будут использоваться в будущем) для прямого и непрямого потребления, способствующие созданию материальных богатств, воспроизводству трудовых ресурсов, поддержанию условий существования человечества, и повышающие качество жизни;
• трудовые ресурсы количество, образовательно -культурный уровень и состояние здоровья людей или части населения, занятой общественно -полезным трудом;
• информационные ресурсы совокупность воздействий и сведений, воспринимаемых человеком через органы чувств и интеллектуально обрабатываемых, в том числе с помощью специальных приборов;
• эстетические ресурсы особо благоприятное сочетание природных факторов, положительно воздействующих на человека через органы чувств; это часть природных и информационных ресурсов;
• антропогенные ресурсы явления, условия и факторы, необходимые для существования людей.
Туристские ресурсы имеют следующие основные отличительные признаки:
• доступность и аттрактивность (привлекательность);
• климатические условия;
• степень изученности;
• экскурсионная значимость;
• пейзажные и экологические характеристики;
• социально-демографические характеристики;
• потенциальный запас;
• способ использования.
Туристско-рекреационные ресурсы используются в оздоровительных, туристских, спортивных и познавательн ых целях и условно подразделяются на две группы: природные и инфраструктурные. Динамичное развитие туристского бизнеса требует наличия обеих групп. Даже при высоких аттрактивных свойствах природных ресурсов (без наличия коммуникаций, средств связи, памятников культуры, искусства и др.) туристский бизнес для широкого круга потребителей невозможен. При этом, несмотря на свою социально-гуманную роль, туризм видоизменяет экологию. Снижение ущерба от воздействия индустрии туризма на экологию регулируется на госу дарственном и международном уровнях за счет: экологического просвещения, ограничения туристско-рекреационной нагрузки на природные ресурсы, налогового регулирования.
При рассмотрении туристско -рекреационных ресурсов чаще всего используются два вида оценок: качественная и количественная.
Количественная оценка включает в себя:
1) показатели объема запасов, необходимых для определения потенциальной емкости территориальных рекреационных систем, оптимизации нагрузок;
2) показатели площади распространения р есурсов, благоприятных для рекреационного использования, установления границ санитарных округов;
3) продолжительность комфортного сезона использования рекреационных ресурсов, определяющих сезонность использования и развития туризма.
Качественная оценка рекреационных ресурсов включает в себя степени благоприятных свойств для определенного вида или цикла рекреационных занятий: выразительность, контрастность, величественность, способность природных рекреационных ресурсов пробуждать положительные эмоции.
Стоимость рекреационных ресурсов, как и природных, в целом должна определяться такими же образом, как стоимость национального богатства страны, причем необходимо делать поправку на рекреационную стоимость территории. Экономические параметры продукции рекреаци онной деятельности и экономическая оценка рекреационных ресурсов тесно связаны с видом ресурса, его качеством, расстоянием от района спроса, технологии использования, состояния окружающей среды. Следовательно, экономическая оценка рекреационных ресурсов должна представлять собой систему показателей, отражающих экономические результаты рекреационной деятельности с учетом их качественных свойств.
Многогранная роль туризма в жизни современного общества (особенно растущая экономическая эффективность отрасли) выдвинула в число главных задач научного исследования рекреационных ресурсов разработку методики их всесторонней (в том числе и экономической) оценки.
Цель экономической оценки необходимость объективно отразить, что теряет народное хозяйство и общество в це лом при уничтожении рекреационного ресурса или отказе от его использования на территории, где этот ресурс предназначен для другой хозяйственной деятельности.
Ответить на этот вопрос очень сложно: во-первых, потому, что этот ресурс может быть уникальным и е го качества и ценность нельзя возместить; во-вторых, в ряде случаев интересы общества и* индивида не совпадают, что может привести к безвозвратной потере ресурса как части национального богатства.
В связи с этим общество в целом каждый раз оказывается перед выбором: как эффективней использовать ту или иную территорию независимо от ее насыщенности рекреационными ресурсами; какой из форм хозяйственного использования территории следует отдать предпочтение; какие отрасли лучше всего дополняют друг друга при исп ользовании одной и той же территории; какое сочетание отраслей недопустимо с точки зрения использования рекреационных ресурсов, поскольку ведет к значительному сокращению экономического эффекта?
Выбор в пользу развития рекреационного хозяйства предпочтителен в том случае, если другие формы хозяйственного использования данной территории имеют меньший экономический эффект, или же развитие других форм на данной территории невозможно из-за непомерных или длительных сроков возвращения капиталовложений, либо развитие туризма (как главной отрасли народного хозяйства на этой территории) не отвечает стратегическим задачам развития региона. При ситуации, когда шансы нескольких отраслей равны, предпочтения часто определяются на основе уникальности и аттрактивности данн ой территории, показанной в системе «затраты выпуск» с учетом социального заказа общества. Однако это всего лишь теория. В практической жизни чаще всего выбор отрасли -доминанты диктуется потребностями общества на соответствующем этапе социально-экономического развития и исходит из тех преимуществ той или иной отрасли, которая обеспечит наиболее быстрое решение возникающих социально -экономических проблем.
Экономический эффект рекреационной деятельности проявляется, с одной стороны, в результативности функционирования учреждений лечения, отдыха и туризма, а с другой в развитии народного хозяйства страны в целом. В связи с этим на практике в зависимости от цели применяются два основных вида оценок: отраслевая (с позиции рекреационной отрасли) и народнохозяйственная (с позиции всего общества). Отраслевая оценка строится на сопоставлении затрат и доходов отрасли, а народнохозяйственная на основе общественных издержек и выигрыша общества от использования рекреационных ресурсов.
На сегодняшний день предложены де сятки различных методик расчета экономической оценки рекреационных ресурсов. Одна из них, в частности, предложена американскими специалистами: в ней за основу принимают сумму затрат, произведенную отдыхающим. Другие берут во внимание лишь транспортные расходы рекреантов на дорогу к месту отдыха и обратно, поскольку они составляют основную часть расходов. В основе такого подхода лежит закономерность, выявленная М. Клаусом в США, подтверждающая тесную связь между расстоянием, транспортными расходами и количес твом посещений туристского центра (например, увеличение транспортных затрат на 1 долл. сокращает количество посещений в расчете на каждую тысячу зрителей ближайшего к туристскому центру района с 500 до 400, из среднеудаленного с 1200 до 800 и из дальнего района со 100 посещений до 0). Основываясь на этой закономерности, стоимость рекреационных ресурсов данного туристского центра можно принимать как разницу между транспортными расходами на туристскую поездку к месту отдыха и обратно и его общими затратами, умноженную на число отдохнувших в течение года.
Часть специалистов предлагает за экономическую оценку рекреационных ресурсов принимать полные затраты отдыхающих за какой-либо период (как правило, за год), поскольку рекреационные ресурсы, будучи в своей ос нове природными, представляют часть национального богатства и являются его постоянным компонентом. Но определять стоимость из расчета затрат за один год, видимо, не совсем точно, так как это не отразит истинной ценности ресурсов, поскольку в случае рациона льного использования их эксплуатация может продолжаться достаточно долго.
Принципы районирования должны учитывать все стороны природы, взятые во взаимодействии. Задача физико -географического районирования заключается в выделении территорий, обладающих общностью природных условий. Таксономический объем географической единицы определяется сложностью их структуры. Как правило, большую площадь занимают более сложные структуры, но это наблюдается не всегда: при одном и том же таксономическом объеме горные районы имеют меньшую площадь, чем равнинные.
При определении районирования необходимо принять определенную систему таксономических единиц.
Нами принята следующая система физико-географического районирования: область и подобласть, округ и подокруг, район и подрайон, местность и более мелкие единицы.
С нашей точки зрения физико-географическое районирование неделимо в отношении климата и в известной мере соответствует климатическому району как последняя ступень макроклиматичес -кого деления, находящегося в зависимости от зональных и долготно-провинциальных климатических процессов. Внутри физико -географического района климат можно считать одинаковым, т.е. климатические различия рельефа в сходных условиях здесь настолько малы, что не отражаются заметно на характеристик ах.
Основные принципы физико-географического районирования включают в себя: учет всех компонентов природы (комплексность); учет структурных и генетических особенностей (ланд -шафтно-генетический принцип); учет хозяйственной деятельности человека; выделение территорий по степени сложности их структуры.
5.2. Эффективность использования туристских ресурсов
Туризм основан на целевом и разумном использовании туристских ресурсов, которые являются объектами туристского интереса, потенциально способными удовлетворя ть потребности людей, возникающие у них в процессе занятий туризмом. Там, где нет каких-либо туристских ресурсов, туризма не может быть в принципе. Отдельные туристские ресурсы предполагают лишь туризм в ограниченных масштабах, поскольку в данном случае посещение объектов туристского интереса может быть связано с опасностью для жизни человека или этот интерес имеет кратковременный ресурс по каким -либо показателям, чаще всего временным. Например, сколько приезжий (не житель пустыни) может созерцать песчаную дюну в Сахаре? Очень недолго во время сафари на комфортабельном джипе, после чего он устремится под прохладу кондиционера или бассейна в приморском отеле. И в то же время он может часами смотреть на море, нежась в струях теплого бриза.
Основой использования туристских ресурсов и туристских объектов для целей туризма является туристский интерес и туристское впечатление.
Туристский интерес перспектива получения туристом объективной информации, положительных эмоций и/или потенциальная возможность удовлетворен ия планируемой потребности в конкретной, частично известной туристской услуге (работе), туристском товаре и туристском продукте, основанных на определенном комплексе туристско -рекреационных ресурсов, выступающих в виде объектов туристского интереса.
Объекты туристского интереса достопримечательности, природные объекты и природно -климатические зоны, социально -культурные объекты показа и иные, способные удовлетворить потребности туриста в процессе осуществления туристской поездки или путешествия и потребления туристских услуг.
Однако для того, чтобы эти объекты были бы реально использованы в целях туризма, необходима надлежащая инфраструктура и индустрия туризма, которая обеспечит:
• доведение до туриста информации о данном туристском объекте, необходимой и достаточной для уверенной мотивации выбора путешествия именно в эту местность и к этому объекту;
• достаточно комфортную и безопасную доставку туриста к этой местности;
• размещение;
• питание;
• развлечение.
Туристское впечатление комплекс эмоций, в большинстве положительных, и душевного и физического состояния туриста, возникших или достигнутых им в результате потребления туристских работ (услуг), приобретения туристского продукта.
Однако, чтобы туризм начал развиваться в каком -либо регионе, необходимо наличие в этом регионе туристских ресурсов, в первую очередь ресурсов рекреационых.
Рекреационные ресурсы это природные и антропогенные геосистемы, тела и явления природы, которые могут создать комфортные условия и имеют потребительную стоимо стью для рекреационной деятельности и могут быть использованы для организации отдыха и оздоровления определенного контингента людей.
Организация развития туризма (как в стране, так и в регионе) должна основываться на преимущественном развитии видов и форм туризма, позволяющих максимально и комплексно использовать имеющиеся туристско -рекреационные ресурсы. Высокий потенциал развития туризма характеризуется объемом и разнообразием таких ресурсов, как природные условия, особенности географического положения, и сторическое наследие, уровень развития материально -технической базы туризма, насыщенность достопримечательностями, их взаимосочетанием и положением по отношению к основным зонам и центрам туризма, степень привлекательности для основной части туристов.
Каждый регион обладает уникальным наследием. Для определения базы, необходимой для развития туризма в регионе, следует ответить на следующие вопросы: «Какими ресурсами (наследием) уникальна конкретная местность относительно других территорий?» и «Каким образом ресурсы (наследие) конкретной местности могут быть использованы в целях туризма?»
Восточным Мичиганским университетом туризма и путешествий были разработаны четыре принципа туризма, базирующегося на уникальных туристско -рекреационных ресурсах, активно способствующих сохранению и их рациональному использованию:
1) активное содействие в сохранении наследия местности культурного, исторического, природного;
2) подчеркивание и выделение уникальности наследия местности относительно других регионов;
3) создание у местного населения чувства гордости и ответственности за уникальные туристско -рекреационные ресурсы;
4) разработка программы развития туризма на основе использования уникальных туристско -рекреационных ресурсов местности.
5.3. Инвестиционные планы и программы развития туризма
Сегодня привлечение инвестиций в реальный сектор экономики, к которому относится туризм и его обслуживающая инфраструктура, вопрос выживания. Инвестиции необходимы в первую очередь для обеспечения расширенного воспроизводства , производства новых услуг с улучшенными количественно -качественными показателями, что придаст им высокую привлекательность и конкурентоспособность. Будут инвестиции будет развитие реального сектора и, следовательно, будет и экономический подъем; не удастся их привлечь неминуемо старение основных фондов, отсутствие возможностей оплачивать внедрение инноваций, относительное возрастание затрат на производство туристских услуг при снижении их качества (например, моральное и физическое старение туристских транспортных средств, отсутствие в них современных удобств ведет к отказу туристов от таких услуг). Происходит свертывание туризма, ухудшение состояния региональной экономики, обнищание и усиление оттока трудовых ресурсов из региона, социальные взрывы и прочие сопутствующие явления.
Любое, даже самое незначительное, повышение инвестиционной привлекательности туристских аттракторов это дополнительные средства, позволяющие сделать шаг к развитию экономики региона. Но шаг это всего лишь шаг, после него инвестиционная привлекательность остается статичной величиной, хотя и несколько более высокой. Улучшить положение дел может лишь динамичное устойчивое движение, планомерное и пропорциональное развитие инфраструктуры туризма, в том числе объектов привлекательности, а не отдельные шаги. Только в этом случае отдельные порции инвестиций могут превратиться в поток, в систему. Развитие мест привлекательности повлечет за собой увеличение туристских потоков и, как следствие, развитие региональной инфраструктуры туризма. Ос уществить это возможно, лишь управляя процессом повышения инвестиционной привлекательности. Именно поэтому вопрос управления инвестиционной привлекательностью региона (в том числе туристской отрасли) ключевой вопрос в решении проблемы устойчивого развития экономики.
Полезно используемое время самый дорогой ресурс, но ничто, кроме распада, не делается само собой. Нужно совершенно отчетливо представлять тот факт, что улучшить положение дел могут только активные, согласованные и масштабные действия всех заинтересованных лиц (туристов, туристских организаций, местных и государственных органов, общественности, населения региона), а для этого необходимо найти или создать общую технологию управления и стимулы инвестиционной привлекательности. Инвестиционная привл екательность отдельно взятых объектов и инвестиции отдельно взятых инвесторов имеют место, но не спасают сегодня положения дел. Поток туристов не увеличится, если места привлекательности придут в упадок, а гостиницы при этом повысят качество обслуживания.
Традиционное понятие «инвестиционная привлекательность» означает наличие таких условий инвестирования, которые влияют на предпочтения инвестора в выборе того или иного объекта инвестирования. Объектом инвестирования может выступать отдельный проект, предприятие в целом, корпорация, дестинация, город, регион, страна. Нетрудно выделить то общее, что ставит их в один ряд: наличие собственного бюджета и собственной системы управления. Объект каждого уровня (и, соответственно, его инвестиционная привлекательность) обладает собственным набором значимых свойств, но регион в этом ряду занимает особое место: в силу особенностей он имеет свою специфику и в то же самое время (в силу целостности структуры) не является уникальным. Именно эта особенность позволяет сравнив ать регионы между собой.
Обобщая накопленный опыт, привлекая экспертов и пользуясь здравым смыслом, можно выделить ряд факторов, оказывающих наибольшее влияние на предпочтения инвесторов. Так, наиболее значимыми для оценки инвестиционного потенциала регион а, в котором имеются туристские потенциалы привлекательности, оказались следующие факторы:
• ресурсно-сырьевой (обеспеченность предприятий запасами основных видов природных ресурсов, в том числе туристско -рекреационных и санаторно-курортных);
• производственный (совокупный результат хозяйственной деятельности населения в регионе), выраженный не только в формировании системы хозяйствующих субъектов (и соответствующих объектов промышленных предприятий, предприятий сельского хозяйства и т.д.), но и в создании системы объектов социально-бытового, культурного обслуживания населения и гостей региона, удобной транспортной сети, объектов туристской инфраструктуры);
• потребительский (рост совокупной покупательной способности населения региона, что приводит к возрастанию расходов на туризм);
• инфраструктурный (экономико-географическое положение региона и его инфраструктурная обустроенность, включая транспортную сеть региона и развитые связи между населенными пунктами);
• интеллектуальный (образовательный и культурный уровень населения, сохранение и развитие местных обычаев, местной культуры);
' институциональный (степень развития ведущих институтов рыночной экономики, качество нормативно -правовой деятельности региональных и местных органов власти);
инновационный уровень внедрения и результативность дос
тижений научно-технического (даже шире общественного про
гресса) в регионе.
Логика рассуждений приводит также к необходимости выявления и оценки следующих инвестиционных рисков:
• экономический (тенденции, темпы и перспективы экономического развития региона);
• политический (поляризация политических симпатий населения по результатам последних парламентских выборов и деструк-тивность в возможном проявлении этой поляризации);
• социальный (уровень социальной напряженности, связанный со степенью социальной защиты населения, качеством жизни);
экологический (уровень загрязнения окружающей среды, включая радиационное);
криминальный (уровень преступности в регионе с учетом тяжести преступлений).
Принципиальный недостаток такого традиционного подхода заключается в том, что инвестиционная привлекательность региона рассматривается как некая данность, практически не предполагающая наличие возможности активного изменения; анализ обозначенных факторов и ри сков показывает, что эти возможности весьма ограничены. Это подтверждают и выводы наших исследований, согласно которым наибольший вклад в формирование инвестиционного потенциала в первую очередь вносят факторы, накопленные в процессе многолетней хозяйственной деятельности: инфраструктурная освоенность территории, инновационный и интеллектуальный потенциалы населения. Единственный параметр, который можно изменить достаточно быстро и без существенных затрат, законодательство. Проблема только в том, что, во -первых, это опять-таки разовое изменение (бессмысленно было бы менять его постоянно); во -вторых, оно малоэффективно, поскольку в нашем обществе не сформирована правовая культура, т. е. законы попросту не выполняются.
Таким образом, в рамках традиционного подхода можно вести речь только об ограниченных единичных возможностях повышения инвестиционной привлекательности, но не о массовой технологии управления этим процессом. Что же в таком случае означает управление инвестиционной привлекательностью?
Традиционный подход не дает (и не может дать) ответа на этот вопрос; известно, что к экспертной оценке (т.е. к мнению практиков-специалистов) прибегают при отсутствии теории. Дело в том, что говорить об управлении инвестиционной привлекательностью можно лишь тогда, к огда существуют отчетливые представления о сущности инвестиционного процесса. Только в этом случае можно выделить те составляющие процесса, целенаправленное воздействие на которые и даст желаемый результат. Управление инвестициями и управление инвестиционной привлекательностью две стороны одной медали; разница лишь в том, кто выступает инициатором, инвестор или управленец. Чтобы понять одно, нужно хорошо понимать другое, поэтому вначале остановимся на основных аспектах управления инвестициями. Главная мысль концепции управление инвестициями в реальном секторе; она заключается в том, что целенаправленное точечное воздействие инвестора на ключевые свойства объекта инвестиций позволяет ему получить глобальный контроль надежности и эффективности собственных в ложений.
На практике это означает следующее. Контроль эффективности вложений возможен только в том случае, если основная деятельность объекта прозрачна. Именно поэтому инвестор, прежде чем вкладывать большие средства в реструктуризацию объекта, предварител ьно инвестирует небольшие средства в создание свойства «стратегичность деятельности», устанавливая тем самым контроль создания и реализации стратегии. Создавая и отлаживая механизмы контроля того, чтобы финансовая политика была подчинена принятой стратегии деятельности, инвестор формирует еще одно ключевое свойство целенаправленность распределения ресурсов, обеспечивая прозрачность финансовой деятельности и устанавливая тем самым необходимый контроль надежности вложений. Наконец, целенаправленно воздействуя на то, чтобы организационная структура соответствовала принятой стратегии деятельности и расстановка руководителей осуществлялась в соответствии с их управленческими способностями, инвестор повышает надежность системы управления, устанавливая тем самым достаточный контроль за надежностью вложений.
Таким образом, осуществляя целевое инвестирование по формированию стратегичности деятельности, целенаправленности распределения ресурсов и надежности системы управления, инвестор берет в руки судьбу своих инвест иций, повышая тем самым инвестиционную привлекательность объекта не только для себя, но и для других инвесторов. Используя незначительные средства для изменения локальных свойств, он имеет возможность вложить сам или привлечь со стороны значительные средст ва для глобальной реструктуризации объекта.
Об управлении инвестиционной привлекательностью можно говорить тогда, когда те же самые ключевые свойства объекта создаются по инициативе управленца. На этапе формирования механизмов, обеспечивающих прозрачность деятельности, управление инвестиционной привлекательностью сводится к регулированию доступа инвестора как к созданию этих механизмов, так и к участию в контроле функционирования чем шире доступ, тем выше инвестиционная привлекательность объекта для инвестора. Когда механизмы сформированы и отлажены, управление инвестиционной привлекательностью сводится к регулированию включенности инвестора в принятие стратегических решений и формирование финансовой политики.
При беглом прочтении может сложиться впечатлени е, что все сводится к давно известному. Чтобы не было такого впечатления, следует отметить, что прозрачность деятельности и прозрачность информации это не одно и то же. Прозрачность деятельности предполагает возможность в любой момент проверить достоверность представляемой информации, именно поэтому прозрачная деятельность на порядок привлекательнее прозрачной информации. Это особенно актуально при низкой правовой культуре. С одной стороны, при таком положении дел только от инвестора и его способностей зависит, сможет ли он вовремя отследить появление негативных факторов, чтобы вовремя вмешаться или уйти.
С другой стороны, необходимость обеспечивать прозрачность деятельности (а иначе инвестор просто не придет: слишком велик риск потерь) фактически и будет формировать правовую культуру.
Управление в масштабах региона это, прежде всего, управление тенденциями. Речь идет о создании нормативной базы, формировании структурных механизмов и запуске процессов, функционирование которых дает устойчивый результат тако го масштаба, который позволяет говорить о наличии определенной тенденции. Регион станет привлекательным для массового инвестора только тогда, когда сделает приоритетной задачей изменение таких ключевых свойств реального сектора экономики, как стратегичность деятельности, целенаправленность распределения ресурсов и надежность системы управления, и собственными действиями добьется того, что распространение этих свойств по объектам реального сектора станет устойчивой тенденцией. Все это относится к необходимым системным условиям формирования ресурсной базы и внешней среды для развития в регионе туризма как отрасли экономики.
Целенаправленное воздействие региональных властей на условия, повышающие надежность и эффективность инвестиций, обеспечение прозрачности д еятельности на всех уровнях, протекционизм по отношению к эффективным инвесторам все это и будет тем самым управлением инвестиционной привлекательностью реального сектора экономики региона, и туризм, характеризующийся высокой скоростью оборота капитала, может стать ведущей отраслью экономики региона. По крайней мере, на этом пути будут созданы все необходимые условия.
Важно отметить, что, вместо того чтобы рассматривать предпочтения инвесторов, концепция вскрывает природу их объективных интересов, т. е. по зволяет воздействовать на главное, а не заниматься второстепенным.
Предпочтения категория сугубо субъективная, зависящая от степени продвинутости инвестора. Так, например, выяснилось, что наиболее значимыми факторами инвестиционной привлекательности регионов для зарубежных инвесторов являются транс-портно-географическое положение региона и позиция региональных властей, в то время как российские инвесторы делают ставку на ресурсный и экономический потенциалы региона. В контексте нашего рассмотрения это означает, что на основе предпочтений невозможно создание единой технологии управления инвестиционной привлекательностью то, что предпочтут одни инвесторы, не покажется привлекательным другим.
Объективные интересы вытекают из сущности инвестиционного процесса: любой инвестор, без всяких сомнений, заинтересован в надежности и эффективности собственных вложений. Следовательно, технология управления инвестиционной привлекательностью, построенная на учете этих объективных интересов, будет работать на любом уровне и в любом месте. И дело не в том, чтобы только угодить инвесторам: управление инвестиционной привлекательностью тождественно управлению развитием региона, т.е. помимо объективного интереса инвесторов, здесь явно присутствует объективный интерес общества.
Таким образом, совпадение интересов общества с интересами инвесторов выводит задачу управления инвестиционной привлекательностью из разряда частных в разряд общественно значимых.
5.4. Основные принципы обеспечения устойчивого функционирования и развития отрасли
Определение параметров устойчивого развития и его систематизация достаточно важные задачи. А. А. Бартлетт предложил законы и гипотезы устойчивого развития.
Законы устойчивого развития (по А.Бартлетту).
1.Ни рост численности населения, ни увеличение скорости потребления ресурсов не могут быть устойчивыми.
2.Чем больше численность населения и чем выше скорость потребления им ресурсов, тем труднее привести общество к состоянию устойчивого развития.
3. Время реакции населения на изменения его прироста равн о продолжительности жизни одного человека (исключая период детства), т. е. около 60 лет.
4. Средний уровень жизни находится в обратной зависимости от численности населения, которое может устойчиво существовать на данной территории (т.е. от ее потенциальной емкости).
5. Для достижения устойчивого и желаемого уровня жизни необходимо, чтобы численность населения была меньше или равна потенциальной емкости территории.
6. Выгоды от роста численности населения и увеличения потребления ресурсов достаются немногим, за траты же ложатся на плечи всего общества (трагедия всеобщего достояния).
7. Увеличение скорости потребления невозобновимого ресурса вызывает резкое снижение времени существования остающейся доли ресурса.
8. Когда затрачиваются большие усилия на повышение эффективности использования ресурса, получаемая выгода сравнима с дополнительной потребностью в ресурсе, возникающей вследствие прироста населения.
9. Когда скорость загрязнения превосходит самоочищающую способность окружающей среды, проще продолжать загрязнят ь, чем очищать среду.
10. Люди всегда будут в зависимости от сельского хозяйства, так что почва и другие возобновимые ресурсы будут всегда необходимы.
Гипотезы устойчивого развития (по А.Бартлетту).
1. Судя по среднемировому уровню жизни 1994 г., численнос ть населения Земли превосходит ее потенциальную емкость.
2. Рост численности населения это самая большая и самая коварная угроза демократии.
3. Стоимость программ сокращения роста численности населения мала по сравнению со стоимостью самого роста численности населения.
4. Время, необходимое для планомерного перехода какой -либо страны к устойчивому развитию, возрастает пропорционально размерам населения и средней скорости потребления ресурсов на душу населения.
5. Стабильность общества это необходимое, но не достаточное условие устойчивого развития.
6. Бремя снижения уровня жизни вследствие роста населения и снижения ресурсов ложится главным образом на плечи бедных.
7.Экологические проблемы не могут быть решены посредством увеличения скорости потребления ресурсо в.
8. Состояние окружающей среды не может быть улучшено посредством компромиссов.
9. К тому времени, когда перенаселенность и дефицит ресурсов станут очевидны для большинства людей, потенциал экосферы уже будет превышен, и тогда будет слишком поздно думать об устойчивом развитии.
Понятие устойчивости появляется при переходе системы (природной, антропогенной) из одного состояния в другое, характеризуется способностью сохранять свои определенные свойства в течение определенного времени и противостоять внешним воздействиям без изменения этих свойств или приспосабливаясь к ним. Устойчивое развитие предполагает не смену таких состояний, а создание и планирование таких условий (учитывающих воздействие всех внешних факторов), при которых система, достигнув состояния устойчивости, уже не переходила бы в другие состояния. Поэтому важным является отыскание критериев, позволяющих определить, устойчиво состояние или нет, достигнуты ли пороговые значения. Единых критериев {индикаторов) пока нет, хотя попытки найти один или несколько универсальных индикаторов предпринимаются. Ученый С.Мураи предлагает систему индикаторов страны и показателей устойчивого развития (табл. 5.1).
Она дает представление о возможном наборе основных индикаторов устойчивого развития. Применение для др угих стран индикаторов и критериев состояния устойчивого развития, предлагаемых японским исследователем, требует проверки по широте охвата и показательности набора индикаторов, а также с точки зрения приоритетности показателей устойчивого развития для каждой страны.
«Естественный шаг» был сделан в Швеции в 1989 г., причем начался он с того, что ученые попробовали определиться относительно условий устойчивого развития. Это привело к формулировке четырех, не накладывающихся друг на друга принципов для устойчивого развития. Принципы используются как отправная точка для системы, описывающей такое развитие. В ходе выработки этих принципов ученые и бизнесмены различных отраслей пришли к общим решениям для выявления будущего устойчивого развития. Эти же принципы также использовались в стратегическом планировании в большом количестве корпораций в разных областях деятельности: например, «Interface», «Electrolux» или «JM Construction», «IKEA», «Hemkop», «McDonald's», «Scandic Hotels». Приведем эти принципы:
•определяются и обсуждаются критерии для будущего устойчивого общества;
•текущие действия рассматриваются относительно выбранных критериев и отсеиваются нежизнеспособные (неустойчивые) ;
•рассматривается будущая желательная ситуации (главная идея освободиться от психологических ограничений, вызванных текущей ситуацией);
•стратегии уже определены, что позволяет связать текущую ситуацию с будущей устойчивой целью. На этом этапе важно, чтобы инвестиции (или другие меры) вели в правильном направлении, но еще более важно, что инвестиции формируют широкую и достаточно гибкую платформу для дальнейших инвестиций в правильном направлении.
Сейчас практически все обратили свое внимание на проблему устойчивого развития (и крупные ТНК, и международные организации и целые институты).
В государственном масштабе важным является не только внедрение ресурсосберегающих технологий в производствах, распространение идеологических материалов о важности перехода к устойчивому развитию как стратегии выживания, но и исследования всей сложной системы взаимоотношений природы и общества, которые относятся к новому междисциплинарному направлению экологической экономике (ecological economics), а точнее сказать, геоэкологической экономике, ее можно так же назвать устойчивой экономикой.
Для оценки истинного состояния экономики стран и ее перехода в устойчивое состояние основываются, например, на анализе следующих показателей:
ФУД = (ВНП - АМК) + (РПБ - АПБ - МПУ - ПНУ), где ФУД фактический устойчивый доход; ВНП валовой национальный продукт; АМК амортизация материальнофинансового капитала; РПБ рост национального природного богатства; АПБ амортизация национального природного богатства; МПУ стоимость мер по предотвращению ущерба природным ресурсам; ПНУ потери от непредотвращенного ущерба природным ресурсам.
При этом два первых члена правой части уравнения отражают традиционную оценку состояния экономики, а четыре последующих члена экологическую часть этой оценки.
Группа исследователей Института мировых ресурсов (Вашингтон, США) под руководством Роберта Репетто (1989) попыталась оценить истинные изменения в экономике Индонезии за 1971 1984 гг., учитывая не только ВНП, но и геоэкологические показатели. Экономика страны в эти годы ускоренно развивалась, и ВНП составлял в среднем 7,1 % в год, т.е. объем экономики удваивался каждые 10 лет. Однако если учитывать расходование запасов нефти, сведение лесов и ухудшение состояния почв, то реальный средний рост понижается до 4 % в год. Если же учесть потерю ресурсов вследствие добычи других полезных ископаемых , вылов рыбы, превышающий ежегодный прирост ее запасов, то фактический рост экономики в среднем за год оказывается еще ниже. В сельском хозяйстве Индонезии прирост производства за это время полностью компенсировался снижением плодородия почв, т. е. фактически годовой прирост суммарного капитала в сельском хозяйстве оказался равен нулю. Таким образом, весьма внушительный рост сельскохозяйственного производства был достигнут за счет потери природного плодородия почвы. Экономический кризис, разразившийся в Индонезии в 1998 г., убедительно показал, что значит неустойчивое развитие, несмотря на внушительные макроэкономические показатели.
Подобные расчеты были выполнены и для других стран (например, для Коста-Рики) с аналогичными выводами.
В США группой частных исследователей разработан индекс, отражающий изменения благосостояния этой страны (Genuine Progress Indicator (GPI) Индекс истинного прогресса (ИИП). Он принимает во внимание более двадцати экономических, социальных и экологических индикаторов; основан на д анных ВНП, выражается в денежном исчислении и потому позволяет сравнивать ИИП и ВНП. Вместе с тем ИИП вносит поправки к некоторым показателям, учитываемым в ВНП. ИИП, например, учитывает неравномерность распределения дохода таким образом, что он уменьшается, если бедная часть населения получает меньшую долю национального дохода. ИИП добавляет к ВНП некоторые факторы (например, стоимость домашней или добровольной работы), или вычитает из ВНП такие показатели, как потери общества в связи с ростом преступности или загрязнением окружающей среды. ИИП учитывает ухудшение состояния природных ресурсов. В частности, увеличение объема добычи нефти учитывается как отрицательный показатель, в отличие от ВНП. Ухудшение состояния экосферы (изменение климата, разрушение озонового слоя или рост радиоактивного загрязнения) также приводит к снижению ИИП.
За период с 1950 по 1995 г. ВНП на душу населения США неуклонно увеличивался и вырос более чем вдвое, в то время как ИИП на душу населения возрастал в течение 1960 1970-х гг., но затем с 1970 по 1995 г. сократился на 45 %. При этом скорость падения ИИП увеличивается (рис. 5.1).
Согласно авторам исследования сокращение индекса истинного прогресса (ИИП) для США за последние 25 лет говорит о том, что экономический рост, как будто бы отражаемый в ВНП, на самом деле демонстрирует: а) исправление ошибок и социальных проблем предшествующего периода; б) заем ресурсов из будущего; в) усиление монетаризации экономики без ее фактического прогресса.
Общественные настроения в США и изменени я таких эмоциональных показателей, как ощущения благополучия, безопасно-
18000
16000
14000
12000
1000
8000
6000
4000
|
USD на дущу населения |
|
|
|
|
|
|
|
|
|
|
|
|
|
^ / |
|
|
|
|
|
|
|
|
|
|
|
|
|
|
|
|
|
|
|
|
|
|
|
Валовый национальный продукт 1- |
|
|
|
|
|
|
|
|
|
|
|
|
|
|
|
|
|
|
|
|
|
|
|
|
|
|
|
|
|
|
|
Н |
Інднкагор истинного спроса - |
|
|
|
|
м |
|
|
|
|
|
|
|
|
|
|
|
|
|
|
|
|
|
1950 1955 1960 1965 1970 1975 1980 1985 1990 1995 Год
Рис. 5.1. Значение учета геоэкологических и социальных факторов в комплексной оценке состояния США
сти и счастья, гораздо точнее отражаются через ИИП, чем
через
внп.
Еще сложнее путь к устойчивому развитию не отдельной страны (ТНК), а большей части мирового сообщества (а в будущем и всего мира). В связи с этим возрастает значимость понимания сложности вопроса всеми государствами. Международная деятельность по достижению устойчивого развития идет по многим направлениям, из которых основными являются:
•изменение и либерализация международной торговли (смягчение условий для развивающихся стран);
•демографические проблемы как главное звено на пути решения трудностей сегодняшней ситуации;
•обеспечение более глубокого проникнов ения экологических технологий во все сферы человеческой деятельности;
•привлечение особого внимания к развитию науки как источнику самых передовых идей; подчеркивание ее особой роли в создании мировых баз данных.
Туризм сможет развиваться лишь при рационал ьном использовании природных ресурсов. Защита окружающей среды и охрана природы естественные союзники индустрии туризма. С этим согласны как ведущие экологи, так и руководители туристского бизнеса. Они считают, что туризм будет использовать свой растущий потенциал в интересах охраны природы и окружающей среды на мировом уровне. Сегодня задача дальнейшего развития туризма формируется как сведение к минимуму его отрицательного воздействия на окружающую среду. (Положительная роль туризма в этой области весьма наглядна.) Например, китобои могут организовывать для туристов морские экскурсии и показывать им китов в непосредственной близости; их заработок при этом будет намного выше, чем если бы они занимались промыслом этих животных. Благодаря развитию туризма за последние 50 лет на порядок увеличилось количество природных заповедных зон: сегодня в мире насчитывается почти 10 тыс. национальных парков и заповедников.
В отсутствие надлежащего планирования и управления развитие, связанное с туризмом, может вести к со циально-экономическим проблемам, а также к возникновению таких опасностей для окружающей среды, как эрозия почвы и потеря биологического разнообразия.
Можно выделить следующие виды отрицательного воздействия туризма:
• загрязнение сточными водами и мусо ром;
• шумовое загрязнение и эмиссия воздушного транспорта;
• эрозия берега (пляжа) из-за удаления дюн и выравнивания прибрежных поверхностей;
• чрезмерное использование естественных областей (лесов, горных склонов, озер);
• разрушение естественных областей для размещения объектов туризма;
• нарушение природных связей в цепочке: воздух вод о-земная поверхность живые организмы;
• влияние на культуру местных жителей;
• .потеря исторического и архитектурного наследий;
• единовременное увеличение плотности населения в местах отдыха;
• обострение социально-экономической напряженности;
• распространение использования труда
несовершеннолетних.
Все это лишь неполный набор негативных воздействий туризма. Нередко ситуацию можно исправить или уменьшить остроту проблемы. Рассмотрим подробнее, что происходит вследствие развития туристской индустрии.
Промышленность туризма характеризуется высокой степенью монополии, которая подразумевает концентрацию услуг и прибыли в руках небольшого числа ме жнациональных корпораций. Во многих странах большая часть туристских объектов принадлежит иностранному капиталу. Должен иметься справедливый баланс между местными участниками и инвесторами. Местные жители, как основной источник рабочей силы должны быть заи нтересованы в интересной и хорошо оплачиваемой работе.
Индустрия туризма один из немногих секторов, где развивающиеся страны могут предложить качественный товар на мировом рынке. Эти страны получают доходы от туризма, а сами туристы в подавляющем большинс тве приезжают туда из высокоразвитых и ведущих в экономическом и промышленном отношении государств. Этот очевидный факт свидетельствует о том, что страны, менее обремененные промышленным производством и сохранившие свою природную среду, получают косвенную выгоду от экономического производства промышленно развитых государств, которые добились лидирующего положения в ущерб своей экологии.
В лице заинтересованных сторон нужного направления развития туризма должно выступать правительство как на локальном, так и на национальных и международных уровнях. Именно государство способно выступить в качестве регулирующей силы: посредством законов и налогов разрешать, запрещать, определять условия развития. Учитывая все проблемы, возникающие вследствие развития туристско й индустрии, с которыми приходится сталкиваться туристам, местным жителям, региональным властям, надо заметить, что возникла необходимость комплексного решения сложных ситуаций, и это подразумевает переход к устойчивому развитию. Используя принципы концепц ии устойчивого развития, туризм может не только преодолеть сложности, но и выступить в роли локомотива, который выведет и другие отрасли на путь устойчивого развития. Но этот переход не так прост.
По сравнению с другими, сугубо производственными силами хозяйственной деятельности, индустрия путешествий и туризма никогда не загрязняла атмосферу дымом заводских труб и не уродовала окружающую среду, занимаясь добычей природных ресурсов. Кроме того, подлинные масштабы индустрии туризма, как правило, оставались незамеченными в силу того, что воздушные перевозки, гостиничный бизнес и система общественного питания обычно воспринимались как самостоятельные виды предложения услуг, а не как составные элементы единого комплекса по удовлетворению, прежде всего, имеющегося массового и постоянно растущего спроса на туристские и деловые поездки.
Сейчас в правительственных, промышленных и потребительских кругах растет понимание того, что индустрия путешествий и туризма также может способствовать достижению экологической и социальной устойчивости. Это относится как к молодым рыночным государствам, так и к промышленно развитым странам.
Кратко основные задачи на ближайшее будущее выглядят так:
• заменить культуру интенсивного потребления культурой разумного роста;
• уравновесить экономические и экологические факторы воздействия;
• найти общие интересы туристов и местного населения;
• распределить полученную выгоду среди всех членов общества и, в первую очередь, среди наиболее бедных и неблагополучных категорий населени я.
Прогнозируемые темпы развития сектора туризма и растущее значение этого сектора для многих развивающихся стран (включая малые островные развивающиеся государства) как экономического сектора, в котором занята значительная часть населения и который вносит большой вклад в развитие экономики на местном, национальном, субрегиональном и региональном уровнях, требуют особого внимания взаимосвязи между природоохранной деятельностью и развитием туризма. В этой связи следует особо рассмотреть усилия, которые разви вающиеся страны предпринимают в целях развития не только традиционного туризма, но и туризма культурного и экотуризма, и помощь, которую международное сообщество (включая международные финансовые учреждения) оказывает для решения этих задач.
Устойчивое развитие туризма в конечном итоге может приводить к устойчивому развитию всей территории, при этом осуществляя охрану природы, культуры, социальное и экономическое развитие (рис. 5.2).
По всем показателям туризм наносит гораздо меньший ущерб окружающей среде, чем другие отрасли экономики, однако его устойчивое развитие во благо природной и культурной среды остается приоритетной задачей для руководителей отрасли.
Первоначальные усилия по внедрению устойчивого развития должны свести к минимуму негативные экологи ческие последствия туризма. Эта задача приобретает особую актуальность в свете бурного развития отрасли, которое ожидается в ближайшие годы, и возрастания ее нагрузки на среду, если не будут приняты соответствующие меры. Ведь, в конечном счете, отрасль смо жет развиваться лишь при устойчивом использовании природных ресурсов, поэтому в будущем транспортные и гостиничные услуги, общественное питание, удаление отходов и другие виды обслуживания гостей должны быть организованы с гораздо большей рентабельностью и экологической обоснованностью, чем в прошлом.
Индустрия путешествий и туризма создает рабочие места гораздо легче и быстрее, чем любые другие секторы экономики, что исключительно важно для промышленно развитых государств с высоким уровнем безработицы. Сел ьский туризм способен вдохнуть новую жизнь во многие регионы мира, где по тем или иным причинам земледелие изживает себя. Экотуризм открывает не существовавшие ранее возможности перед небольшими деревенскими поселками в Центральной Америке, Индии и Африке, а так называемый культурный туризм, ставящий целью знакомство с бытовыми и социально -культурными особенностями народов мира, способствует поддержанию местных ремесел и кустарных промыслов там, где еще не сложилась надежная база для промышленного развития.
Поставить туризм на надежные рельсы устойчивого функционирования вот важнейшая задача, требующая партнерства и сотрудничества как в рамках собственно индустрии туризма, так и между нею, государством и самими туристами.
Важна и роль государства, поскольку лишь оно способно разработать столь необходимую стратегическую основу планирования индустрии туризма. Только государство может обеспечивать выявление ценных и особо уязвимых мест обитания, осуществлять базовые исследования и мониторинг, оценивать в целом инфраструктурные потребности и их последствия, устанавливать предельные нормы выбросов, а также требования к размещению и проектированию туристских объектов. По мере возможности необходимо производить оценку воздействия на среду, изучать потенциальную интенсивность использования тех или иных районов и устанавливать их возможности для принятия и размещения туристов, не допуская избыточной нагрузки на природные экосистемы. Международными организациями 2002 г. был объявлен как «Год экотуризма», что отражает происходящие сейчас в мире изменения. Повышенный спрос на услуги, связанные с чистотой экологии, стимулировал развитие разных сфер (в туризме это выразилось в формировании направления «экотуризм»). Сейчас это один из наиболее динамично развивающихся секторов туристской отрасли. Его годовой рост составляет от 10 20 до 30% (для приключенческого туризма, в составе которого он проходит по статистике ВТО за год), а его доля в доходах от международного туризма достигает 1015 %. Но сказать точно, что такое экотуризм, трудно. Во многих источниках приводится определение, данное Обществом экотуризма (США): «Экотуризм это путешествия в места с относительно нетронутой природой с целью, не нарушая целостности экосистем, получить представление о природных и культурно -этнографических особенностях данной территории, который создает такие экономические условия, когда охрана природы становится выгодной местному населению». Проблема в определении понятия «экотуризм» волнует ведущих специалистов. Так, в ходе подготовки к международной конференции было предложено сразу 10 определений. Ниже приведем некоторые из них.
1.Экотуризм любая форма туризма, которая основывается на естественной экологической привлекательности страны (от подводного* плавания у коралловых рифов до путешестви й по саванне).
2.Экотуризм туризм, который включает получение образования и информации об охране окружающей среды. Все элементы основываются на экологически устойчивых принципах.
3.Экотуризм путешествия в уникальные уголки природы со специфическими целями изучения редких растений, животных, особых типов экосистем.
4.Экотуризм туризм, который может способствовать сохранению положительных синергических связей между туризмом, биоразнообразием и местными жителями.
От традиционного туризма экотуризм отличаетс я следующими признаками:
• преобладанием природных объектов туризма;
• устойчивым природопользованием;
• непосредственным участием в социально-экономическом развитии территорий;
• меньшей ресурсе- и энергоемкостью;
• экологическим просвещением туристов.
Специфична и география экотуризма. Если основные международные потоки традиционных туристов направлены из развитых стран в развитые, а среди принимающих стран лидируют Франция, США, Испания, Италия, то экотуристы направляются главным образом из развитых стран в развивающиеся. Последние находятся преимущественно в тропиках, природа которых экзотична и притягательна для обитателей умеренных широт. Здесь лидируют Кения, Танзания, Эквадор, Коста-Рика, Непал, страны Карибского региона и Океании, а также развитые страны тропиков: Австралия, Новая Зеландия и ЮАР. В странах Западной Европы и Северной Америки наряду с емким экотуристским рынком развит и внутренний экотуризм: туристы активно посещают природные территории и сельскую местность своей страны.
Существуют два основных подхода к выделению экологического сектора туризма. В первом случае экотуризмом называют туризм, главным объектом которого является дикая природа. При этом большинство авторов отмечает сложность проведения границы между природой и традиционной культурой и включают последнюю в объекты экотуризма. Но даже в этом случае емкость понятия «экотуризм» полностью не исчерпывается. Широкое распространение получает туризм, целью которого является отдых на природе на территориях, измененных чел овеком. Это особенно характерно для США и стран Западной Европы, где коренных ландшафтов практически не сохранилось, а высокая потребность общения с природой удовлетворяется населением на территориях со «вторичной квазиприродой». Такой туризм часто причисляется к разряду экологического, а его значение для охраны и восстановления среды, народных традиций и экологизации экономического развития становится в некоторых регионах решающим. В качестве примера можно привести агротуризм (посещение ферм и деревень, для того чтобы окунуться в атмосферу сельского образа жизни).
Во втором случае рассматривают экотуризм как пример (вид) устойчивого туризма. Мы считаем это более правильным, так как именно этот вид туризма основывается и успешно реализует на практике главные принципы концепции устойчивого развития (например, природопользование, не приводящее к деградации ресурсов, поскольку для восстановления и охраны последних используется часть выгод от развития экотуризма). При этом подходе объекты туризма могут быть как п риродного, так и искусственного происхождения.
Главной движущей силой бурного развития экотуризма является быстро растущий спрос на рекреацию на природе, который определяется увеличением несоответствия среды обитания современного человека его физиологическ им и психологическим потребностям. Удовлетворение этого спроса и, следовательно, успех развития экотуризма (как никакой другой отрасли) зависит от качества окружающей среды, поскольку туристами ценится именно ее первозданность. Поэтому экологический фактор естественным образом становится экономической категорией: поддержание качества и первозданности окружающей среды (признак устойчивости) экономически выгодно в отличие, например, от пляжного туризма, для организации которого не нужно дикой природы, а достаточно насыпных пляжей или даже бассейнов. Эта выгода проявляется на относительно небольших промежутках времени, тогда как в других отраслях отрицательный экономический эффект от деградации природной среды чаще всего наступает не так скоро по истечении, как правило, срока окупаемости проектов.
Таким образом, экологический туризм это природоориентированный устойчивый туризм. Обе его характеристики подтверждаются объективными причинами: природная ориентация определяется особенностями туристского спроса, а устойчивость экономической выгодой поддержания качества окружающей среды.
Экотуризм открывает определенные перспективы для экономического развития. Рост туристских потоков вносит свой вклад в экономическую интеграцию мирового хозяйства процесс, позволяющий более эффективно использовать ресурсы планеты. Однако действительно существенная выгода от этого достигается лишь в том случае, когда местные общины и страны в целом активно вовлечены в проекты развития. Для экотуризма характерна большая, нежели для традиционного туризма и многих других отраслей, степень вовлечения местных общин.
Бытовое обеспечение туристов требует продуктов сопряженных отраслей. Эти продукты часто завозятся из других стран. Если же местные продукты (питание, жилище, транспорт и т.д.) входят в специфику туристского предложения, а страна делает попытки наладить их производство у себя, то постепенно она может добиться в этом направлении определенных успехов, стимулируя развитие других отраслей и придавая экономике страны большую степень усто йчивости.
Создаваемая при развитии туризма инфраструктура может быть использована для нужд местного населения и для развития экономики. Инфраструктура включает в себя транспорт, бытовые коммуникации, а также социальную («мягкую») инфраструктуру (объекты здравоохранения, информационные центры, клубы и т.п.). В экотуристских проектах доля последней относительно выше, поскольку большую часть продукта составляют явления нематериальной сферы.
Очень благоприятно влияют на развитие экономики и платежный баланс страны поступления от туризма в государственный бюджет (особенно конвертируемой валюты). По данным Всемирного банка 55 % поступлений от туризма «утекают» из развивающихся стран. Переход от традиционного туризма к экологическому может повысить долю прибыли, уд ерживаемой на местах. К началу 1990-х гг. доходы развивающихся стран от экотуризма достигли 12 млрд. долл. США, что составило 1/5 их суммарных поступлений от туризма.
Большинства благоприятных внешних эффектов от развития экотуризма, содействующих устойчив ому развитию территории, можно добиться лишь при комплексном подходе к планированию и управлению его развитием. На местном уровне наибольшая эффективность достигается там, где формируются территориально и функционально организованные рекреационные районы, специализирующиеся на предоставлении экотуристских услуг.
Предлагается называть такие районы экотуристскими территориальными комплексами (ЭТК).
Развитие туризма генерирует средства, часть которых тратится на охрану природы и традиционной культуры, причем покрываются (частично или полностью) не только прямые затраты на различные мероприятия по охране, но и альтернативные затраты, связанные с изъятием территории из хозяйственного использования. В свою очередь охрана природы и культуры обеспечивает возобновление ресурсов для развития туризма. Охрана природы неразрывно связана с охраной культуры, так как способствует возобновлению ресурсов для традиционного природопользования и тем самым позволяет не нарушать складывающиеся веками традиции рационального использо вания природных ресурсов коренными жителями территории. В некоторых случаях эти самые традиции используют при планировании мероприятий по охране природы.
В последние годы число неправительственных организаций, сфера интересов которых захватывает туристскую индустрию, заметно увеличилось, что связано главным образом с ростом сектора туризма, а также усилением экономических, социальных и других эффектов от его развития. Сегодня основная их деятельность заключается в теоретической проработке всех сторон влияния туризма, привлечению внимания к проблемам, но уже «запускаются» маленькие (по масштабу) проекты.
Туризм как таковой является результатом взаимодействия широкого круга заинтересованных сторон: правительств и органов управления на национальном и местном ур овнях, туристов и экономических секторов, обеспечивающих поставку товаров и предоставление услуг в системе туризма, а также собственно индустрии туризма. Только их взаимодействие и сотрудничество способно обеспечить рациональное управление этой сферой, смягчить неблагоприятные последствия туризма и извлечь максимальные выгоды для всех участвующих сторон.
1 октября 1999г. на Генеральной ассамблее Всемирной туристской организации в Сантьяго (Чили) был принят глобальный этический кодекс туризма (его можно назв ать концепцией устойчивого развития в туризме), в основных положениях которого говорится следующее:
• понимание и распространение общечеловеческих этических ценностей в духе терпимости и уважения к разнообразию религиозных, философских и нравственных убежд ений являются одновременно основой и следствием ответственного туризма; участники туристского процесса и сами туристы должны принимать во внимание социально -культурные традиции и обычаи всех народов (включая национальные меньшинства и коренные народы) и признавать их достоинство;
• государственные власти должны обеспечивать защиту туристов и посетителей и их имущества;
• во время путешествий туристы и посетители не должны допускать никаких преступных деяний или действий, которые могут рассматриваться как преступные по законам посещаемой страны, а также поведения, которое может представляться вызывающим или даже оскорбительным для местного населения и которое может нанести ущерб местной среде; туристы и посетители не должны участвовать в обороте наркотиков, о ружия, древностей, охраняемых видов фауны и флоры, а также предметов и веществ, которые опасны или запрещены национальным законодательством;
• туризм деятельность (чаще всего ассоциируется с отдыхом, досугом, спортом и общением с культурой и природой), ко торая должна планироваться и практиковаться как привилегированное средство индивидуального и коллективного совершенствования (когда туризм практикуется с духовным раскрепощением, он становится незаменимым фактором самообразования, терпимости и познания законных различий между народами и культурами и их разнообразия);
• во всех видах туристской деятельности необходимо соблюдать равенство мужчин и женщин; они должны способствовать обеспечению прав человека и особенно специфических прав наименее защищенных гру пп населения, особенно детей, пожилых лиц и инвалидов, этнических меньшинств и коренных народов;
• эксплуатация человека во всех ее формах (особенно сексуальной, и особенно по отношению к детям) противоречит основным целям туризма и является отрицанием тур изма, и в этой связи в соответствии с международным правом должна категорически преследоваться в сотрудничестве всех заинтересованных государств без каких -либо уступок в соответствии с национальным законодательством как посещаемых стран, так и стран происхождения авторов этих деяний, даже когда они совершаются за границей;
• особо полезными формами туризма являются поездки с религиозными, оздоровительными, образовательными целями, а также для культурных и языковых обменов;
• все участники туристского процес са обязаны охранять природную среду и ресурсы в целях обеспечения здорового, поступательного и устойчивого экономического роста на благо равноправного удовлетворения потребностей и устремлений сегодняшних и завтрашних поколений;
• центральные, региональные и местные власти должны оказывать первоочередное внимание (и стимулировать в финансовом плане) тем формам развития туризма, которые позволяют экономить редкие и ценные природные ресурсы (особенно воду и энергию), а также в максимально возможной степени избегать образования отходов;
• с целью уменьшения давления туристской деятельности на окружающую среду и для повышения ее полезного воздействия на туристскую индустрию и местную экономику, следует содействовать более равномерному распределению потоков туристов и посетителей по времени и пространству;
• следует планировать объекты туристской инфраструктуры и виды туристской деятельности таким образом, чтобы обеспечивать защиту природного наследия, которое составляют экосистемы и биологическое разнообразие, а также охранять виды дикой фауны и флоры, которым грозит исчезновение. Участники туристского процесса и особенно профессионалы сферы туризма должны соглашаться с наложением определенных ограничений и пределов на их деятельность, осуществляемую в особо уязвимых местах, которые подходят для создания природных парков или охраняемых заповедников;
• природный туризм и экотуризм признаются как особо обогащающие и ценные формы туризма в силу того, что они способствуют сохранению природного наследия, проявляя уважение к местному населению и тем самым сохраняя потенциал туристских объектов;
• туристские ресурсы являются всеобщим достоянием человечества; сообщества, на территории которых они расположены, обладают по отношению к ним особыми правами и обязанностями;
• туристская политика и деятельность осуществляются на основе уважительного отношения к художественному, археологическому и культурному наследию, способствующего их защите и сохранению для будущих поколений;
финансовые средства, получаемые благодаря посещениям объектов и памятников культуры, следует хотя бы частично использовать для поддержания, охраны, улучшения и реставрации этого наследия;
туристскую деятельность следует планировать таким образом, чтобы обеспечить сохранение и процветание традиционных ремесел, культуры и фольклора, а не вести к их стандартизации и обеднению;
• местное население должно привлекаться к туристской деятельности и участвовать на равноправной основе в получении образующихся экономических, социальных и культурных выгод, особенно в форме прямого и опосредованного создания (в результате этой деятельности) рабочих мест;
• туристская политика должна проводиться таким образом, чтобы она способствовала повышению жизненного уровня населения посещаемых районов и отвечала их потребностям; при градостроительном и архитектурном планированиях и эксплуатации туристских центров и средств размещения необходимо предусматривать их максимальную интеграцию в местную социально-экономическую среду; при равных условиях следует изыскивать в первую очередь во зможность найма местной рабочей силы;
•необходимо уделять особое внимание специфическим проблемам прибрежных зон и островных территорий, а также уязвимым сельским и горным районам, для которых туризм зачастую является одной из редких возможностей развития (в условиях упадка) традиционных видов экономической деятельности;
•профессионалы сферы туризма (особенно инвесторы) должны в рамках правил, установленных государственными властями, проводить исследования воздействия своих проектов развития на окружающую с реду и природу; они также должны с максимальной транспарентностью и объективностью предоставлять информацию о своих будущих программах и их возможных последствиях и содействовать диалогу с заинтересованным населением относительно их содержания;
•транснациональные компании туристской индустрии, которые являются незаменимыми объектами солидарности в деле развития* и динамичного роста международных обменов, не должны злоупотреблять своим доминирующим положением; они должны избегать превращения в средства искус ственного навязывания принимающим сообществам социально -культурных моделей; в обмен на их свободу инвестировать и торговать они должны принимать участие в местном развитии, избегая уменьшения вносимого ими вклада в экономику.
Грамотная реализация всех вышеперечисленных пунктов может, действительно, вывести туризм на путь устойчивого развития.
Уже достаточно было сказано о том, что туризм быстро развивается, но что приносит с собой это развитие? Что будет дальше? По оценкам ВТО в 2010 г. число туристов составит 937 млн. человек. Численность населения мира приблизится к отметке 7 млрд. Нагрузка на все сферы Земли колоссальнейшая, объемы потребляемых ресурсов очень высоки. Повсеместно все старания человечества направлены на активное внедрение принципов устойчивого развития, устранение или смягчение социально -экономической напряженности в ряде стран. Большое внимание уделяется туризму как одной из наиболее эффективных сфер деятельности человека в области экономического и (сейчас уже можно сказать) экологического развития.
XXI век это время колоссальных изменений, и одним из важнейших должно стать распространение устойчивого туризма как единственно возможного. Будет происходить дальнейшая интеграция всех сфер туризма, основанная на принципах концепции устойчивого развития. Это может выглядеть следующим образом: турист прибывает к месту отдыха на
транспорте, который имеет минимальные показатели шума и
выбросов; он размещается в гостинице, где все услуги строго лимитируются и все материалы подлежат повторному использованию; продукты питания предоставляются сельскими хозяйствами, где не используют пестициды и другие химикаты.
Для перехода всех видов туризма на путь устойчивого развития потребуется достаточно много усилий и принятие различных (часто строгих и непопулярн ых мер), но, как показывает опыт развития экологического туризма, устойчивость является вполне достижимой целью. Главное, чтобы движение к
устойчивому туризму шло с двух сторон: во -первых, туристы должны объективно оценивать все свои запросы, быть готовыми к потреблению новых услуг и, во -вторых, принимающей и
обслуживающей стороне следует внедрять и рекламировать только формы, основанные на концепции устойчивого развития. Тогда достижение заветной цели станет более реальным.
Контрольные вопросы и задания
1. Из чего состоят туристские ресурсы?
2. Что включает в себя количественная и качественная оценки туристско-рекреационных ресурсов?
3. Какие характеристики влияют на оценку инвестиционного потенциала региона?
4. Поясните сущность и значение устойчивого развития туризма.
СПИСОК ЛИТЕРАТУРЫ
1. Авдашева С.Б., Розанова Н.М. Теория организации отраслевых рынков: Учебник. М., 1998.
2. Азар В.И, Туманов СЮ. Экономика туристского рынка. М,
1998.
3. Актуальные задачи развития туризма в России на современном этапе и задачи Национальной академии туризма / Под ред. Ю.В.Кузнецова и др. - СПб., 2002.
4. Александрова А. Ю: Международный туризм: Учеб. пособие для вузов. М., 2001.
5. Балабанов И. Т., Балабанов А. И. Экономика туризма: Учеб.пособие. М., 2003.
6. Беликов М. Ю. Города-курорты Краснодарского края: проблемы отраслевой и структурной перестройки в условиях перехода к рынку. Краснодар, 1994.
7. Ситуация на рынке туристских услуг в Санкт -Петербурге / М. Б. Биржаков и др. // Петербургский аналитик. 1999. № 2.
8. Боков М.А. Стратегическое управление рекреационными предприятиями в условиях переходной экономики. СПб., 2001.
9. Боумен К. Основы стратегического менеджмента / Пер. с англ. под ред. Л.Г.Зайцева, М.И.Соколовой. М., 1997.
10. Браймер Роберт А. Основы управления в индустрии гостеприимства. М., 1.995.
11. Бухалков М.И. Внутрифирменное планирование: Учебник. 2-е изд., испр. и доп. М., 2000.
12. Васильева И. Г. Американские методы оценки рекреационных ресурсов. М., 1973.
13. Голуб Л. А. Социально-экономическая статистика: Учеб. пособие. М., 2001.
14. Гостиничный и туристский бизнес / Под ред. А.Д.Чудновского. М., 1998.
15. Ефремова М. В. Основы технологии туристского бизнеса: Учеб. пособие. - М., 1999.
16. Иванов Ю.Н. Экономическая статистика: Учебник. М.,
1999.
17. Ильина Е.Н. Основы туристской деятельности: Учебник. М., 1992.
18. Ильина Е.Н. Туроперейтинг: Стратегия и финансы. М., 2002.
19. Кабушкин Н.И. Менеджмент туризма: Учеб. пособие для вузов. Минск, 1999.
20. Карпова Г. А., Водовода А. В. Концепция устойчивого развития туризма и рекреационная деятельнос ть на охраняемых природных территориях: Материалы научно -практической конференции. СПб., 1997.
21. Квартальное В. А. Иностранный туризм. М., 1999.
22. Квартальное В. А. Стратегический менеджмент в туризме: Современный опыт управления. М., 1999.
23. Квартальное В. А. Туризм: Учебник. М., 2000.
24. Квартальное В. А. Менеджмент туризма: Туризм как вид деятельности: Учебник. М., 2002.
25. Котлер Ф., БоуэнДж. Маркетинг: Гостеприимство и туризм: Учебник для вузов / Пер. с англ. под ред. Р. Б. Ноздревой М., 1998.
26. Купер К, ФлетчерД., Гильберт Д. Экономика туризма: Теория и практика. СПб., 1998.
27. Лопатников Л. И. Экономико-математический словарь: Словарь современной экономической науки. М., 2003.
28. Многомерный статистический анализ в экономике / Л. А. Сошникова и др.; Под ред. В.Н. Томашевича. М., 1999.
29. Основы туристской деятельности: Учебник для туристских лицеев и колледжей / Авт. -сост. Е.Н. Ильина. М., 1992.
30. Папирян Г. А. Международные экономические отношения: Экономика туризма. М., 1999.
31. Папирян Г. А. Маркетинг в туризме. М., 2000.
32. Папирян Г. А. Менеджмент в индустрии гостеприимства: Отели и рестораны. М., 2000.
33. Развитие туризма на современном этапе и задачи Академии туризма / Под ред. Ю. В. Кузнецова. - СПб., 2000.
34. Ревинский И. А., Романова Л. С. Поведение фирмы на рынке услуг: Туризм и путешествия: Учеб. пособие. Новосибирск, 2001.
35. Реймерс Н. Ф. Ресурсология: Экология: Теории, законы, правила, принципы и гипотезы. М., 1994.
36. Российский статистический ежегодник: Регионы России. М., 2001.
37. Сапрунова В. Б. Туризм: Эволюция, структура, маркетинг. М., 1997.
38. Сенин В. С. Организация международного туризма: Учебник. М., 2000.
39. Темный Ю. В., Темная Л. Р. Экономика туризма:
Учебник. М., 2003.
40. Труды Академии туризма: Сб. научных трудов. Вып. 3, 4 / Под ред. Ю.В.Кузнецова, А.Т.Кирилова, Г.А.Карповой.
СПб., 2002.
41. Уникальные территории в культурном наследии и природном наследии регионов: Сб. научных трудов. - М.,
1994.
42. Уокер Джон Р. Введение в гостеприимство. М., 1999.
43. Устойчивое планирование туризма: Пособие для специалистов по местному планированию. Мадрид, 1993.
44. Усыскин Г. С. Очерки российского туризма. СПб., 2000.
45. Федеральная целевая программа «Развитие туризма в Российской Федерации»: Утв. Постановлением Правительства РФ от 28 февраля 1996 г.
46. Федеральный закон «Об основах туристс кой деятельности в Российской Федерации» от 24.11.1996 № 132 -ФЗ.
47. Харрис Годфри, Кац Кеннет. Стимулирование международного туризма в XXI веке: Пер. с англ. М., 2000.
48. Шерер Ф., Росс Д. Структура отраслевых рынков: Пер. с англ. М., 1997.
49. Экономика и менеджмент на транспорте: Сб. научных трудов / Под ред. Г. А.Кононовой. СПб., 1998.
50. Экономика и организация международного туризма / Под ред. Л. Ф. Ходоркова М., 1984.
51. Экономика отрасли / Под ред. проф. А. С. Пелиха.
Ростов н/Д, 2003.
52. Экономика современного тур изма / Под ред. Г.А.Карповой. М., 1998.
53. Яковлев Г. А. Экономика и статистика туризма: Учеб. пособие. М., 2003.
54. Imkeep E. Tourism Planning. An Integrated and Sustainable Development Approach. New York, 1991.
Экономика: Знания - Циклы - Макроэкономика