Управление федеральной собственностью в условиях переходной экономики


Управление федеральной собственностью лежит в основе государственного регулирования экономики всех промышленно развитых стран. В той или иной степени именно право собственности государства используется для его прямого и косвенного воздействия на экономику страны в целом.
Долгое время опыт ведущих мировых стран в этом направлении служил объектом изучения отечественных экономистов и деятелей практического управления лишь в той мере, в какой это было необходимо для критики, содержавшей значительную составляющую идеологии. Приемы и методы централизованного, бюрократического управления федеральной собственностью при этом воспринимались как нечто само собой разумеющееся и самодостаточное.
Ситуация коренным образом изменилась в период экономического реформирования отечественной экономики. Изначальный импульс развития стихийных рыночных отношений постепенно сменяется зрелым сознанием особой регулирующей роли государства в этих процессах.
Современное состояние этого вопроса характеризуется как полным отсутствием в отечественной экономической науке сколько-нибудь разработанной теории этого вопроса, так и явным недостатком опыта реального использования органами государственной власти возможностей воздействия на экономические процессы через осознанное распоряжение той частью национального богатства, которая находится в федеральной собственности.
Наиболее актуальными задачами в области практического управления федеральной собственностью сегодня можно считать уточнение структуры и состава федеральной собственности, формализацию целей, задач и принципов ее функционирования, определение критериев эффективности управления, которые, в свою очередь, требуют поиска и обоснования методических подходов к решению конкретных экономических задач – оценки отдельных объектов федеральной собственности и определения эффективных направлений их структурного развития.
В данной работе на основе анализа известных отечественных и зарубежных разработок и исследований по рассматриваемой проблеме, а также результатов исследований, проведенных авторами, разработана методология управления федеральной собственностью в условиях переходной экономики, в которой определены сущность, цели и критерии эффективного управления федеральной собственностью; проведена классификация федеральной собственности по видам, отраслевому признаку, степени ликвидности, величине госпакета акций, степени закрепления государственных пакетов, степени индустриализации, степени участия на рынке производимой продукции; изложены методы управления государственными унитарными предприятиями, пакетами акций, находящихся в собственности государства, и федеральным недвижимым имуществом.
Кроме того, в монографии на примере Тульской области рассмотрены региональные аспекты управления государственной собственностью и описаны особенности управления федеральной собственностью на уровне субъектов Федерации.
Глава 1. Проблемы управления государственной собственностью § 1.1. Государственная собственность как объект управления Любое общество располагает некоторой совокупностью материальных благ, которые в рамках отдельного государства формируют его национальное богатство. Потребление национального богатства, осуществляемое для удовлетворения потребностей и интересов субъектов общества (граждан и различных общественных институтов), реализуется путем его присвоения. Присвоение в своем историческом развитии проходит различные формы, приобретая наиболее развитую – форму собственности.
Процесс этого развития закрепляется в системе юридических норм, которые в настоящее время рассматривают право собственности в триединстве владения, распоряжения и пользования.
С этой точки зрения понятие собственности прежде всего является юридическим и характеризует определенный перечень прав по отношению к отдельным элементам национального богатства. Другими словами, собственность – это отношение между человеком и группой или сообществом субъектов с одной стороны, и любой субстанцией материального мира (объектом), с другой стороны, заключающееся в постоянном или временном, частичном или полном отчуждении, отсоединении, присвоении объекта собственности. Реализация права собственности предполагает выделение субъекта и объекта этого процесса.
Субъект собственности – активная сторона отношений собственности, имеющая возможность и право обладания объектом собственности.
Объект собственности – пассивная сторона отношений собственности в виде предметов природы, имущества, вещества, информации, духовных и интеллектуальных ценностей.
В Гражданском кодексе Российской Федерации, действующем в настоящее время, возможные субъекты права собственности определены следующим образом: это граждане, юридические лица, Российская Федерация, субъекты Российской Федерации, муниципальные образования.
Если учесть, что производственное и непроизводственное потребление национального богатства формирует цели и систему интересов любого субъекта собственности, то данную выше их классификацию следует признать исчерпывающей, так как она предусматривает возможность реализации личных (индивидуальных) интересов отдельных граждан, коллективных (групповых) интересов работников предприятий и организаций, а также населения муниципальных и территориальных образований и федеральных интересов в целом.
Реализация систем интересов субъектов собственности по поводу потребления различных благ осуществляется ими через их присвоение, которое отражает совокупность общественных условий, необходимых для совершения каких либо действий над ограниченными элементами национального богатства.
Реальным проявлением присвоения является пользование, означающее применение объекта собственности в соответствии с его назначением, с целью извлечения пользы и предполагающее наличие совокупности условий потребления, специфичных для конкретного потребителя.
Не следует отождествлять право пользования и реальное пользование. Это право может быть делегировано собственником другому пользователю на определенных условиях. С другой стороны, пользование может быть реализовано в отсутствие прав при развитии теневых отношений присвоения или нарушения условий пользования, установленных собственником.
Реальное пользование предполагает его обязательное совмещение с другой формой присвоения – распоряжением, в контексте изменения характера пользования и (или) смены потребителя. Распоряжение представляет собой такую форму присвоения, которая означает возможность иных, помимо потребления, действий над объектами собственности – продажи, безвозмездной или платной передачи в пользование, в том числе, ограниченное. Эту форму присвоения можно определить как право регулирования использования ограниченных благ, из которого формируется функция управления.
Управление в этом случае можно определить как комплекс возможных воздействий субъекта собственности на объект.
Распоряжение предполагает возможность распределения различных функций между несколькими субъектами и означает возможность делегирования прав нескольким персонифицированным субъектам, каждый из которых может распоряжаться объектом собственности только в пределах предоставленных ему полномочий, которые определяются доступной ему областью контроля.
Реальная область распоряжения может не совпадать с областью предоставленных прав, формируя его теневую составляющую.
Собственность как наиболее полная форма присвоения, соединяющая пользование и распоряжение, означает, что собственник выполняет любые действия над принадлежащими ему благами, целиком присваивает полезный результат и несет всю полноту материальной ответственности за свои действия. Другие формы присвоения ограничивают в той или иной форме свободу действий субъекта пользования и (или) владения на объект собственности, одновременно уменьшая его реальную ответственность, предусматривая гарантии со стороны ограничивающего эту свободу собственника.
Особой формой присвоения можно считать владение, отражающее юридическую, документально закрепленную фиксацию субъекта собственности либо факт реального обладания объектом. Оно предполагает реализацию всей полноты прав пользования и лишь часть прав распоряжения, предоставленных владельцу собственником на определенных условиях.
Схематично логику взаимной обусловленности и дифференциации отношений собственности в единстве пользования, распоряжения и владения можно представить в виде графа, показанного на рис. 1.1.










Рис. 1.1. Граф взаимной обусловленности и дифференциации отношения собственности
Таким образом, право собственности означает возможность передачи объекта собственности в пользование, распоряжение или владение другим субъектам без утраты самого права собственности с установлением правил, которые те обязаны соблюдать.
Общественное разделение труда, которое представляет собой внешний фактор формирования и развития отношений собственности, предопределяет объективную необходимость и возможность разделения субъектов собственности, пользования и распоряжения. Материальные предпосылки этого разделения создаются числом и разнообразим объектов собственности.

Анализ проблем управления федеральной собственностью


В качестве рекомендаций по повышению эффективности системы управления федеральной собственностью предлагается процессы на рынке федеральной собственности регулировать Правительству Российской Федерации через Координационный Межведомственный совет.
Как показывает мировой опыт, в странах с переходной экономикой регулирующие функции государства на рынке собственности выполняет единый орган, которому государство или делегирует эти полномочия или наделяет его этими полномочиями.
Каждый из органов системы управления регулирует свой сегмент рынка собственности или выполняет отдельные функции на нем. Например, ФКЦБ России регулирует рынок ценных бумаг, РФФИ продает федеральную собственность, а ФСДН и ФО выполняет функцию банкротства несостоятельных субъектов рынка или их финансового оздоровления.
§ 1.3. Анализ проблем управления федеральной собственностью в условиях переходной экономики Как известно, в настоящее время перед российским государством особенно остро стоит проблема увеличения доходной части бюджета. На наш взгляд, одним из направлений решения этой проблемы является повышение эффективности управления федеральной собственностью. В первую очередь это, естественно, имущество, находящееся в хозяйственном ведении государственных унитарных предприятий, федеральные пакеты акций акционерных обществ, доли государства в различных хозяйствующих обществах и другие виды федерального имущества. При этом нельзя сбрасывать со счетов и излишки недвижимости, находящейся в оперативном управлении федеральных учреждений.
На сегодняшний день процесс управления федеральной собственностью испытывает, на наш взгляд, существенные проблемы.
В частности, Министерством государственного имущества (МГИ) России была проведена инвентаризация зданий, сооружений и помещений, закрепленных и используемых федеральными органами государственной власти и иными организациями, финансируемыми из государственного бюджета. К указанной работе были привлечены все заинтересованные министерства и ведомства.
Общее количество объектов, закрепленных и используемых государственными органами федеральной власти и иными организациями, финансируемыми из федерального бюджета, составляет 124,3 тыс. объектов, общая площадь которых более 142 млн. кв. м. Из них около 111,7 тысяч объектов общей площадью 134,4 млн. кв. м находятся у указанных учреждений на балансе. Из 8 млн. кв. м площадей, арендуемых федеральными учреждениями 70% составляют площади, являющиеся собственностью субъектов Российской Федерации, муниципальной и частной собственностью.
Наибольшее количество объектов федерального недвижимого имущества (более 3000 объектов в регионе), закрепленного за бюджетными учреждениями, располагается в следующих регионах: Приморском, Ставропольском, Хабаровском краях, Кировской, Курганской, Нижегородской, Ростовской областях и в г. Москве.
К памятникам истории и культуры относятся 17% зданий и сооружений, закрепленных за бюджетными учреждениями.
Менее половины бюджетных учреждений не имеют документов технического учета на закрепленные за ними здания и сооружения. Только 38% учреждений имеют необходимую техническую документацию и своевременно осуществляют переоценку закрепленных за ними объектов, а договор с Мингосимуществом России и его территориальными агентствами о порядке использования закрепленного за ними имущества – лишь 30% бюджетных учреждений.
Основная масса зданий и сооружений (55%) введена в эксплуатацию с 1961 по 1990 годы, а каждое пятое здание было построено до 1917 года (табл. 1.1, рис. 1.10).
Таблица 1.1
Распределение объектов федерального недвижимого имущества в зависимости от срока ввода в эксплуатацию


№П/П
Год ввода в эксплуатацию
Кол-во объектов
1
до 1917
21 009
2
1918-1941
4 527
3
1942-1960
12 642
4
1961-1970
18 624
5
1971-1980
22 428
6
1981-1990
20 014
7
после 1991
12 456


Всего
111 700
Из общего количества объектов более 30% практически не пригодно к эксплуатации (табл. 1.2, рис. 1.11).
Наибольшее количество объектов, непригодных для нормального функционирования и использования, расположены в Адыгее, Бурятии, Дагестане, Приморском крае, Кемеровской, Липецкой, Магаданской, Нижегородской и Томской областях.



Анализ проблем управления федеральной собственностью

Рис. 1.10. Удельный вес объектов по годам ввода в эксплуатацию
Таблица 1.2
Структура объектов по степени износа

№П/П
Процент износа
Кол-во объектов
1
более 100%
13 745
2
80-100%
21 174
3
79-65%
9 110
4
64-50%
11 598
5
49-30%
19 569
6
менее 29
36 504


Всего
111 700



Анализ проблем управления федеральной собственностью

Рис. 1.11. Распределение объектов, закрепленных за федеральными учреждениями в зависимости от степени их износа
Проведенная в 1998 году инвентаризация выявила следующее:
1. В аренду сторонним организациям, которых насчитывается около 10 тысяч сдано 3385 тыс. кв. м федеральных площадей, что составляет около 5% от общего количества проинвентаризированных площадей.
2. Превышение норматива площади, закрепляемой за одним сотрудником, в административных зданиях и помещениях (табл. 1.3).
Таблица 1.3
Превышение фактически занимаемых площадей над нормативным значением

Регион
Ведомства
Фактически занимаемая площадь
Удмуртская
ГНИ по Красногорскому р-ну
38,3 кв. м/чел
Республика
ГНИ по г. Глазову
27,7 кв. м/чел


Министерство лесного хозяйства УР
28,4 кв. м/чел


Центр занятости г. Можги
27,2 кв. м/чел


Центр занятости с. Яр
25,6 кв. м/чел
Чувашская Республика
Государственный комитет ЧР по лесному хозяйству
26,3 кв. м/чел


Чувашский центр стандартизации, метрологии и сертификации Госстандарта России
42,6 кв. м/чел


Министерство юстиции ЧР
32,4 кв. м/чел
Приморский край
Приморский центр научно-технической информации
134 кв. м/чел


Админ. корпус Дальневосточного научно-исслед-ского, проектно-конструкторского и технол. института по строительству
95 кв. м/чел


Пограничная инспекция по карантину растений
74 кв. м/чел


Приморский центр геодезии и картографии
50 кв. м/чел
Курганская область
Областной комитет государственной статистики




ГНИ по Курганской области




Курганская таможня


Мурманская
Мурманское управление лесами
19,4 кв. м/чел
область
Территориальное агентство ФУДН по Мурманской обл.
39,8 кв. м/чел


ГНИ по Мурманской обл.
20,0 кв. м/чел


ГНИ по г. Апатиты
23,7 кв. м/чел
Омская область
Управление юстиции администрации Омской области
620 кв. м


ГНИ по Кировскому р-ну г. Омска
2343,5 кв. м


Омская таможня
654,8 кв. м
Самарская
ГНИ по г. Отрадному
28,1 кв. м/чел
область
ГНИ по г. Новокуйбышевску
34,5 кв. м/чел


Департамент ФГСЗН по Самарской области
56,9 кв. м/чел.
3. Предоставление бюджетными организациями закрепленных за ними площадей в аренду сторонним организациям без согласования с МГИ России или его территориальными агентствами либо переданных на иных основаниях.
Можно привести следующие примеры:

  • Управление государственной почтовой связи по Карачаево-Черкесской Республике – свободная площадь 572,2 кв. м сдается по договору о сотрудничестве “Связь-банку”;
  • Алтайский край: УФСНП по Алтайскому краю незаконно сдает в аренду здание коммерческой структуре;
  • Приморский край: г. Находка – Дальневосточное мореходное училище – незаконно сдано 1889 кв. м;
  • Ставропольский край: научно-исследовательские учреждения Минсельхозпрода России (в т. ч. Всероссийский НИИ овцеводства и козоводства) – незаконная сдача в аренду коммерческим структурам.
  • Псковская область: незаконная сдача в аренду свободных помещений таможенными организациями – всего 3843 кв. м.
По результатам проведенного анализа выявлено 180 арендаторов федеральных площадей, указанных в представленных карточках учета и не имеющих надлежаще оформленного договора аренды, что составляет 2% от их общего количества. Общая площадь по этим договорам составляет 80 тыс. кв. м. При соблюдении установленного порядка заключения договоров общая сумма доходов составит 4 млн. рублей.
Кроме того, в процессе инвентаризации рабочие группы территориальных комитетов по управлению имуществом выявляли факты незаконной сдачи в аренду федерального недвижимого имущества. Так, например, в Приморском крае выявлены 200 таких арендаторов, которым предложено либо выселиться, либо надлежаще оформить свои права на арендуемые помещения.
4. Наличие дополнительно арендуемых площадей у организаций, финансируемых из федерального бюджета и одновременно сдающих закрепленные за ними площади сторонним организациям. Выявлено 38 таких учреждений.
5. Наличие свободных, неиспользуемых площадей. Причинами, по которым площади не используются их владельцами, являются следующие:

  • невозможность эксплуатации объектов, требующих проведения капитального ремонта, и отсутствие средств на его проведение;
  • удаленность от населенных пунктов;
  • изменение экономического положения в регионе и др.
В качестве примера можно привести наличие свободных зданий и помещений в следующих субъектах Российской Федерации:



Цели, задачи и критерии эффективности управления федеральной собственностью


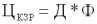
В результате такого закрепления происходит изменение правового статуса отдельных объектов собственности, что влияет на выбор способов управляющих воздействий на объекты со стороны собственника. В рамках описанного цикла, структура системы управления ГС определяется этапами и их целями (табл. 3.1).

Цели, задачи и критерии эффективности управления федеральной собственностью

Функция управления федеральной собственностью имеет несколько аспектов. С одной стороны, государство является единственным субъектом публичной власти, устанавливающим нормы хозяйственного законодательства. Эта часть функции управления экономикой определяется как нормативная.
С другой стороны, государство является одним из субъектов рынка, объекты собственности которого функционируют в коммерческом секторе экономики, подчиняясь нормам и правилам, созданным в результате нормативного управления. Эта часть управленческих функций государства определяется как продукционная.
Реализация нормативной функции управления достигается формированием институциональных объектов, к числу которых относятся органы федерального управления (в т.ч. функциональные министерства), организации и некоммерческие фонды. Функционирование этой части федеральной собственности обеспечивает решение различных задач, к числу которых можно отнести поддержание обороноспособности, развитие науки и культуры, здравоохранения и образования, содержание законодательной, судебной и исполнительной власти и т. д.
Одна из главных задач управления госсобственностью – обеспечить формирование предпосылок научно-технического прогресса в виде комплекса общеприменимых технологий, которые после их коммерческой адаптации могут создать стратегические конкурентные преимущества отечественным фирмам.
Продукционное управление объектами госсобственности должно быть направлено на их структурное развитие (в т. ч. через взаимодействие с негосударственными субъектами рынка) для повышения инновационной активности и повышения конкурентного потенциала путем формирования соответствующих конкурентных структур.
Это обстоятельство сегодня является одним из наиболее значимых для повышения инвестиционной привлекательности таких фирм. Необходимый толчок в системе интересов конкурентных структур к поиску и формированию инновационных, факторов дает система государственных интересов, вводя соответствующие ограничения природопользования.
С учетом этого вывода может быть сделана конкретизация задач управления федеральной собственностью. Содержательно эти задачи должны быть направлены на достижение стратегических и тактических целей развития национального хозяйства.
В качестве стратегических целей могут выступать:

  • рост национального богатства;
  • повышение благосостояния населения;
  • увеличение занятости;
  • снижение темпов инфляции;
  • оптимизация платежного баланса.
Тактика достижения этих целей заключается в использовании следующих механизмов:

  • регулирование соотношения спроса и предложения;
  • сглаживание производства и занятости;
  • регулирование уровня ставки рефинансирования;
  • регулирование денежного обращения;
  • снижение дефицита федерального бюджета.
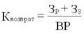
Выбор наиболее важных задач экономического развития при этом определяется особенностями текущего состояния экономики на современном этапе. Денежные доходы государства как владельца в виде части прибыли и платежей в бюджет входят в доходную часть федерального бюджета; другая часть дохода, выраженная в форме приращения ценности имущества, соответствует росту ценности федерального имущества без инвестиций из федерального бюджета.
В общем случае доход государства от деятельности предприятия определяется выражением:

Цели, задачи и критерии эффективности управления федеральной собственностью
, (3.1)
где
I – доход государства;
P – чистая прибыль предприятия;
T – налоговые и иные платежи в бюджет;
d – доля государства в имуществе предприятия (0 < d < 1; для частных предприятий d = 0, для государственных (унитарных) предприятий d = 1).
Прибыль разлагается на выплаты собственникам (в случае акционерного предприятия – дивиденды) D и приращение его имущества ΔA, так что:

Цели, задачи и критерии эффективности управления федеральной собственностью
. (3.2)
При этом поступления в бюджет (B) определяются равенством:

Цели, задачи и критерии эффективности управления федеральной собственностью
, (3.3)
а составляющая d*ΔA соответствует приращению федерального имущества.
Плата за использование природных ресурсов включает:

  • возмещение общественных затрат (включая неявные) по вовлечению ресурсов в хозяйственный оборот и их воспроизводству;
  • экономическую ренту, определяемую редкостью ресурса и спросом на него.
В связи с вышесказанным, рассмотрим критерии эффективности управления ГС

Критерии эффективности управления федеральной собственностью

Для оценки эффективности управления ГС можно использовать две Концепции:

  1. Концепция управления финансовыми потоками (cash flow), основанная на росте прибыли от управления.
  2. Концепция портфеля собственности, основанная на совокупном росте стоимости ГС, входящей в данный портфель.
Рассмотрим кратко эти концепции.
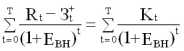
Первая концепция основана на построении модели финансовых потоков, в которой прибыль государства от управления ГС равна:

Цели, задачи и критерии эффективности управления федеральной собственностью
,
где
Дгс – доходы от управления госсобственностью,
Згс – затраты на управление госсобственностью.
Доходы включают следующие составляющие:

  • доходы от продажи (приватизации) ГС;
  • доходы от управления госпакетами акций (дивиденды);
  • доходы от управления казенными предприятиями и др.
Затраты на управление ГС делятся на постоянные и переменные:
Постоянные затраты, не зависящие от совокупной стоимости ГС:

  • затраты на содержание госаппарата (Министерство государственного имущества, Территориальные комитеты управления государственным имуществом, и т. д.);
  • затраты на содержание казенных предприятий, и т. д.
Переменные затраты:

  • затраты на проведение тендеров;
  • текущие операционные затраты для осуществления уставной основной деятельности государственных унитарных предприятий;
  • текущие операционные затраты предприятий с госдолей, пропорциональные этой доле и т. д.
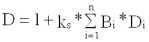
Затратный показатель эффективности управления государственной собственностью может быть представлен в виде:

Цели, задачи и критерии эффективности управления федеральной собственностью
,
где
k – коэффициент, учитывающий налогообложение объектов ГС (например, государственные унитарные предприятия платят налоги от своей хозяйственной деятельности).
Ресурсный показатель эффективности управления определяется выражением:

Цели, задачи и критерии эффективности управления федеральной собственностью
,
где
Сгс – совокупная стоимость объектов ГС.
Основным условием повышения эффективности управления ГС является оптимизация показателей Эз (Эр), то есть максимизация доходов при заданных расходах или минимизация расходов при заданных доходах.
Вторая концепция основана на рассмотрении интегральной совокупности элементов ГС как портфеля собственности (совокупности портфелей собственности – ПС).
Главным принципом этой концепции является повышение совокупной стоимости ПС, состоящей из суммы рыночных стоимостей ее элементов.
Следовательно, текущая рыночная эффективность ПС:

Цели, задачи и критерии эффективности управления федеральной собственностью
,
где
СгсТП – стоимость ГС текущая портфельная;
СгсНП – стоимость ГС начальная портфельная.
В данном критерии дивиденды по госпакетам обычно не учитываются, так как они опосредовано влияют на рыночную (текущую) стоимость элементов ПС.
Основным условием повышения эффективности управления ГС является максимизация показателя Этп.
На практике очень часто используют интегральный показатель эффективности управления ГС:
Эгс = а1 * Эз (Эр) + а2 * Этп,
при этом вместо взвешенной суммы критериев можно использовать их произведение.
Выделение федеральной собственности и ее структуризация По действующей Конституции в Российской Федерации признаются и защищаются равным образом частная, государственная, муниципальная и иные формы собственности.
Вместе с тем, проводимые в отношении собственности преобразования не снимают с федеральных органов задач по ее управлению.
Во-первых, часть объектов собственности осталась закрепленной за государством, формирует понятие федеральной собственности и нуждается в управляющих воздействиях, направленных на достижение общегосударственных целей.
Во-вторых, государство обладает достаточными властными полномочиями для решения вопросов об изменении форм собственности на конкретные объекты. Главным направлением здесь является проведение второго этапа приватизации, в ходе которого часть федеральной собственности преобразуется в частную на возмездной основе. В отдельных случаях возможен и обратный процесс, который по своей сути представляет собой национализацию.



Чем больше ЧДД, тем эффективнее схема.


где
Rt – результаты, достигаемые на t-ом шаге расчета;
Зt – затраты, осуществляемые на том же шаге;
Т – горизонт расчета (равный номеру шага расчета, на котором производится ликвидация объекта);
Эt = (Rt – Зt) – эффект, достигаемый на t-ом шаге.
Если ЧДД производственной схемы положителен, схема является эффективной (при данной норме дисконта) и может рассматриваться вопрос о ее принятии для реализации. Чем больше ЧДД, тем эффективнее схема. При отрицательном ЧДД руководство ФПГ рискует потерять свои средства, т. е. проект неэффективен.
Индекс доходности (ИД) представляет собой отношение суммы приведенных эффектов к величине капиталовложений (К):
ИД =
Чем больше ЧДД, тем эффективнее схема.
. (3.5)
Индекс доходности тесно связан с ЧДД. Он строится из тех же элементов и его значение связано со значением ЧДД: если ЧДД положителен, то ИД > 1 и наоборот. Если ИД > 1, производственная схема эффективна, если ИД < 1 – неэффективна.
Внутренняя норма доходности (ВНД) представляет собой ту норму дисконта (ЕВН), при которой величина приведенных эффектов равна приведенным капиталовложениям.
Иными словами ЕВН (ВНД) является решением уравнения:

Чем больше ЧДД, тем эффективнее схема.
. (3.6)
Если расчет ЧДД производственной схемы дает ответ на вопрос, является он эффективным или нет при некоторой заданной норме дисконта (Е), то ВНД схемы определяется в процессе расчета и затем сравнивается с требуемой руководством нормой дохода на вкладываемый капитал.
В случае, когда ВНД равна или больше требуемой нормы дохода на капитал, инвестиции в данную производственную схему оправданы, и может рассматриваться вопрос о ее организации. В противном случае инвестиции в данную производственную схему нецелесообразны.
Если сравнение альтернативных (взаимоисключающих) вариантов производственной схемы по ЧДД и ВНД приводят к противоположным результатам, предпочтение следует отдавать ЧДД.
Срок окупаемости – минимальный временной интервал (от начала осуществления цикла производства), за пределами которого интегральный эффект становится и в дальнейшем остается неотрицательным. Иными словами – это период (измеряемый в месяцах, кварталах или годах), начиная с которого первоначальные вложения и другие затраты, связанные с осуществлением производственного процесса, покрываются суммарными результатами его осуществления.
Результаты и затраты, связанные с осуществлением производственного процесса, можно вычислять с дисконтированием или без него. Соответственно получится два различных срока окупаемости, но рекомендуется определять с использованием дисконтирования.
На практике эффективность производства государственного унитарного предприятия анализируется в следующем порядке:
1. Сравнивается среднесрочная рентабельность схем со средней ставкой банковского процента за этот период.
2. Схемы сравниваются с точки зрения страхования от инфляционных потерь.
3. Сравниваются периоды окупаемости инвестиций.
4. Сравниваются размеры требуемых инвестиций.
5. Рассматривается стабильность поступлений в ходе функционирования технологической цепочки.
6. Сравнивается рентабельность инвестиций в целом за весь срок производства определенного вида продукции.
7. Сравнивается рентабельность инвестиций в целом с учетом дисконтирования.
Диспетчирование деятельности государственного унитарного предприятия Для повышения эффективности необходимо четко определить приоритеты управления, то есть разделить решаемые задачи на первоочередные и второстепенные. Следовательно, в процессе управления возникает структура решаемых задач (рис. 3.5), с помощью которой управляющая команда может своевременно и полно проводить весь цикл управляющих мероприятий.


















Рис. 3.5. Структура решаемых задач
Исполнение первоочередных задач возлагается на службу диспетчеров, в компетенцию которых входит регулирование товарных и финансовых потоков по объемам и времени. Основанием для регулирования служит организационный план производства, в котором рассчитаны контрольные объемы и даты проведения операций между предприятиями.













Рис. 3.6. Процесс диспетчирования деятельности предприятия
Процесс диспетчирования (рис. 3.6) представляет собой двухполюсную систему с обратной связью. Обратная связь необходима для получения полной и своевременной информации в обоих направлениях.
Таким образом, процесс диспетчирования сопровождает весь цикл управления эффективностью и его этапы повторяются многократно в ходе функционирования государственного унитарного предприятия.
Контроль за деятельностью государственного унитарного предприятия Контроль деятельности государственного унитарного предприятия – это неотъемлемый этап процесса управления, который состоит из нескольких последовательных шагов (рис. 3.7), включающих анализ финансовой отчетности и факторный анализ предприятия.





















Рис. 3.7. Схема контроля деятельности государственного унитарного предприятия
Как показывают проведенные исследования, в результате осуществления цикла управления эффективностью государственного унитарного предприятия можно существенно повысить прозрачность его деятельности, и, как следствие, увеличить собираемость налогов, отчисления от прибыли и снизить социальную напряженность на самом предприятии.
§ 3.3. Методика управления долями в уставных капиталах и пакетами акций Критерий эффективности использования федеральных пакетов акций Как и любое федеральное имущество пакеты акций представляют собой инструмент пополнения доходной части бюджета. В этой связи необходимо определить и сформулировать механизм оценки эффективности федеральных пакетов акций, а также определить цикл управления их эффективностью.
Для расчета основных показателей, без которых оценить эффективность использования каждого конкретного пакета акций не представляется возможным, в качестве базового момента приведения разновременных платежей, как правило, берется начальная дата формирования инвестиционного портфеля (это может быть дата начала приватизации или другая).
Для оценки эффективности использования федеральных пакетов акций используются следующие показатели: доходность к погашению, дивидендная ставка, ликвидность, динамика курсовой стоимости.
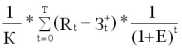
Доходность к погашению Расчет доходности к погашению состоит в исчислении суммы дохода, приходящегося на рубль вложенных средств. Это позволяет оценить эффективность инвестиций и сравнить различные бумаги между собой.
Доходность к погашению рассчитывается как отношение дохода выплачиваемого по ценной бумаге к стоимости ее приобретения:

Чем больше ЧДД, тем эффективнее схема.
, (3.7)
где
R – доходность к погашению;
Pr – price of return – цена погашения ценной бумаги;
Pb – price of buying – цена приобретения ценной бумаги.
Если необходимо рассчитать текущую доходность то в формуле (3.7) цена погашения заменяется текущей рыночной стоимостью ценной бумаги. Таким образом, в любой момент времени можно измерить текущую стоимость и доходность инвестиционного портфеля.
Дивидендная ставка Дивидендная ставка используется для оценки привлекательности акций корпораций на финансовом рынке, обычно рассматривается в динамике и позволяет судить об объемах получаемой корпорацией-эмитентом прибыли.
Ликвидность Каждая ценная бумага имеет определенную цену в каждый момент времени, то есть текущую стоимость. Эта стоимость зависит от многих параметров, но практически всегда она опосредовано отражает ситуацию в организации – эмитенте. В такой ситуации в связи с понятием стоимости и текущей цены бумаг возникло понятие ликвидности. Ликвидность ценной бумаги отражает уровень потерь при реализации ценной бумаги немедленно.
Поэтому ликвидность может быть измерена как соотношение цены спроса и цены предложения, причем чем меньше эта разница, тем ликвиднее бумага и наоборот.
В этом случае ликвидность равна

Чем больше ЧДД, тем эффективнее схема.
,
где
ЛЦБ – ликвидность ценной бумаги;
Pd – demand price – текущая цена спроса;
Pof – offer price – текущая цена предложения.
Вполне закономерно, что могут существовать и другие формулы для определения ликвидности, но экономический смысл ликвидности от этого не изменится.
Динамика курсовой стоимости Каждая ценная бумага имеет определенную курсовую стоимость на биржевом или внебиржевом рынке. Курсовая стоимость отражает реальную стоимость ценной бумаги, поэтому она может отличаться от номинальной во много раз. Динамика курсовой стоимости показывает как меняются предпочтения участников рынка ценных бумаг по отношению к конкретной бумаге.
Если курсовая стоимость колеблется вместе с колебаниями фондовых индексов, то бумага имеет среднюю надежность.



Динамика региональных различий в денежных доходах


В "Основных положениях региональной политики в Российской Федерации" регион определяется как "часть территории Российской Федерации, обладающая общностью природных, социально-экономических, национально-культурных и иных условий. Регион может совпадать с границами территории субъекта Российской Федерации, либо объединять территории нескольких субъектов Российской Федерации. В тех случаях, когда регион выступает как субъект права, под ним понимается только субъект Российской Федерации". В соответствии с экономическим районированием на территории Российской Федерации выделяются 11 экономических районов: Северный, Северо-Западный, Центральный, Центрально-Черноземный, Волго-Вятский, Поволжский, Северо-Кавказский, Уральский, Западно-Сибирский, Восточносибирский, Дальневосточный. Кроме этого, территория России делится на две экономические зоны – Западную (Европейская часть России и Урал) и Восточную (Сибирь и Дальний Восток). В Западной зоне три субрегиона – Север и Центр Европейской части России, Урало-Поволжье и Европейский Юг.
В Восточной зоне два субрегиона – Сибирь и Дальний Восток.
Проанализируем соотношение основных экономических показателей по экономическим районам. Для характеристики районов можно использовать такие наиболее важные показатели, как структура денежных доходов населения по регионам и структура региональных инвестиций (табл. 4.1, 4.2, рис.
4.1).
По данным табл. 4.1 и рис. 4.1 можно отметить следующее. Макроэкономическая стабилизация, преодоление инфляции оказали определяющее воздействие на динамику финансов населения в 1997 году, главное – на рост реальных доходов населения и снижение их дифференциации.
Среднедушевые денежные доходы населения в 1997 году составили около 900 тыс. руб. в месяц (в ценах 1997 г.), прирост реальных располагаемых денежных доходов превысил 3%.
Таблица 4.1
Динамика региональных различий в денежных доходах



Среднедушевые денежные доходы (в месяц, тыс. руб.)
Соотношение денежных доходов и прожиточного минимума (в %)


1994
1995
1996
1997
1995
1996
1997
Российская Федерация
206,3
515,4
764,2
888,1
195
207
214
Северный район
236,4
600,3
798,1
897,9
197
172
187
Северо-Западный район
196,4
553,2
782,3
829,6
224
212
199
Центральный район
316,7
791,2
1131,3
1421,2
370
305
359
Волго-Вятский район
143,8
346,7
474,2
546,3
187
153
158
Центрально-Черноземный район
135,2
345,6
509,6
577,0
204
188
189
Поволжский район
146,3
365,3
520,5
619,0
205
165
184
Северо-Кавказский район
129,9
310,4
453,9
522,2
163
146
164
Уральский район
162,3
402,2
582,9
706,0
168
153
193
Западно-Сибирский район
228,2
593,6
847,6
1011,9
248
211
221
Восточно-Сибирский район
205,5
521,9
740,7
815,6
197
167
173
Дальневосточный район
281,7
638,5
927,3
975,4
173
153
186
Калининградская область
167,7
378,8
502,1
588,3
213
145
168



Динамика региональных различий в денежных доходах

Рис. 4.1. Распределение общего фонда денежных доходов
Особенно благоприятная динамика реальных располагаемых денежных доходов фиксировалась во втором квартале 1997 г., когда прирост относительно соответствующего периода 1996 г. составил около 6%, что связано, главным образом, с интенсивным проведением мероприятий по погашению задолженности перед населением бюджетов всех уровней.
Таблица 4.2
Структура инвестиции по регионам России (в % к итогу)



1992
1993
1994
1995
1996
1997
Инвестиции – всего
100,0
100,0
100,0
100,0
100,0
100,0
из них по районам:












Северный
5,5
4,4
4,4
4,5
3,9
3,3
Северо-Западный
3,6
3,2
4,0
4,2
4,6
4,0
Центральный
16,0
18,0
21,1
20,5
20,3
20,6
Волго-Вятский
4,3
4,8
3,6
3,5
3,5
3,3
Центрально-Черноземный
4,7
3,8
3,2
3,4
3,8
3,1
Поволжский
11,0
10,6
8,9
9,6
9,3
9,3
Северо-Кавказский
7,1
7,0
6,5
9,3
7,4
6,1
Уральский
15,2
13,7
12,4
13,3
14,2
12,3
Западно-Сибирский
24,0
21,1
17,7
19,8
21,1
21,2
Восточно-Сибирский
3,6
5,9
5,6
6,0
6,5
4,8
Дальневосточный
7,3
6,9
6,1
5,2
5,1
4,6
Калининградская область


0,4
0,4
0,3



При общей благоприятной динамике денежных доходов возросла их межрегиональная дифференциация – по данным за первые три квартала 1997 г., реальные доходы выросли лишь в 36 регионах России, причем, в нескольких регионах темпы роста были значительно выше среднероссийского (в г. Москве – 126,5%, в Оренбургской области – 123%, в Самарской области – 119% при среднероссийском показателе за соответствующий период 102,8%). Среднедушевые доходы населения в Москве были в 5-7 раз выше соответствующих показателей в областях Центрального района, Тюменская область опережала остальные области Западно-Сибирского района по данному показателю в 3-5 раз. Таким образом, возобновившийся в 1997 г. рост реальных денежных доходов населения привел к улучшению материального положения примерно 30-35% населения России.
Центральный район занимает ведущее место по объемам денежных доходов. Результаты анализа регионов с точки зрения их инвестиционной привлекательности свидетельствуют о следующем.
Инвестиционная привлекательность региона определяет эффективность управления государственной собственностью, поскольку приватизация и различные мероприятия в рамках единой региональной системы управления государственной собственностью основаны на привлечении финансовых ресурсов. В условиях рынка финансовые ресурсы перетекают в регионы с наиболее привлекательными предприятиями и инвестиционным законодательством. Основываясь на этих тезисах можно заключить, что Западно-Сибирский и Центральный районы являются наиболее инвестционно привлекательными.
Основываясь на вышесказанном, по нашему мнению, необходимо провести всесторонний анализ одного из субъектов Российской Федерации. Рассмотрим один из субъектов Российской Федерации, находящийся в Центральном экономическом районе. Тульская область в соответствии со своим статусом выступает как субъект права со всеми вытекающими отсюда полномочиями. Отличительными особенностями региона являются:
1) географическая (пространственная) целостность;
2) развитые внутрирегиональные производственно-экономические, социально-демографические, культурные и другие связи;
3) экономическая целостность, проявляющаяся в своеобразии структуры хозяйства, его специализации и комплексности развития, в относительно самостоятельном воспроизводственном процессе (в части населения, природы, региональной и местной системы жизнеобеспечения и др.);
4) органическая взаимосвязь с социально-экономическим комплексом Российской Федерации.
Наиболее важные структурные элементы (части) и подсистемы региона, позволяющие обособить регион как объект исследования, следующие:
1) население и его среда обитания;
2) природно-ресурсный блок;
3) производственная подсистема;
4) социальная подсистема;
5) духовная сфера;
6) организационная подсистема.
Каждая из выделенных частей (подсистем) обладает свойствами самоорганизации, определенной автономии и развивается в соответствии с присущими ей закономерностями.
В каждом отдельно взятом регионе необходим особенный подход к регулированию сбалансированного развития подсистем. Это вызвано разными природными и экономическими условиями регионов, усиливающимся обострением социальных, экологических и других проблем в связи с перестройкой экономических отношений и сознания людей, а также с необходимостью постоянного согласования целей и задач развития с федеральными органами власти.
Таким образом, региональная система регулирования отношений собственности может быть построена по следующему принципу (рис. 4.2).











Рис. 4.2. Система регулирования отношений собственности
У каждого субъекта хозяйствования и управления имеются свои цели и предпочтения, некоторые из них неизбежно оказываются конкурирующими или противоречащими. Кроме того, следует отметить неравноправие субъектов и как следствие получение доходов одними в ущерб другим. Это создает предпосылки для возникновения многочисленных социально-экономических конфликтов.
Например, в обобщенном виде экономические отношения между различными субъектами, интересы которых пересекаются в отдельно взятом регионе, можно представить в виде таблицы (табл. 4.3).
Как видно из таблицы отношения собственности занимают региональной структуре особое место, так как пронизывают практически все отношения. Вообще экономическое содержание региона и возможности управления комплексным развитием в большой степени могут быть раскрыты при рассмотрении отношений собственности, формирующихся сегодня в субъектах федерации. В регионах пересекаются интересы субъектов хозяйствования всех форм собственности.
При этом от лица основного субъекта региона – населения – выступают региональные органы управления.
Таблица 4.3
Экономические отношения основных субъектов хозяйствования и управления в регионе



Формирование цикла управления федеральными пакетами акций


Понижательная тенденция в изменении курсовой стоимости является следствием неблагоприятных известий. В случае, если курсовая стоимость бумаги растет, то можно сделать вывод о ее инвестиционной привлекательности. Существуют различные модели прогноза курсовой стоимости, в соответствии с которыми можно с определенной степенью уверенности прогнозировать ее изменения. Однако как и любой прогноз, результаты прогноза курсовой стоимости могут быть недостоверными, потому что на рынок оказывает влияние большое количество факторов.
Помимо формализованных критериев при принятии решения об эффективности использования пакета акций учитываются различные ограничения и неформальные критерии. Например, в качестве ограничений могут выступать предельный срок использования оборудования, требования по охране окружающей среды, безопасности персонала и др.
Меры по повышению эффективности управления пакетами акций, находящихся в федеральной собственности Причины низкой эффективности управления федеральными пакетами акций акционерных обществ и долями в уставных капиталах предприятий носят как объективный, так и субъективный характер:

  • слабый контроль за деятельностью представителей государства в акционерных обществах со стороны органа исполнительной власти, от которого назначен тот или иной представитель государства;
  • отсутствие материальной заинтересованности федеральных служащих в этой работе, поскольку по сути она является дополнительной служебной нагрузкой (без каких-либо вознаграждений) при исполнении ими, в полном объеме, своих функций по основному месту работы;
  • представители государства не несут персональной ответственности за свою деятельность.
Одним из путей решения данной проблемы может быть сокращение количества закрепленных пакетов акций. На наш взгляд, можно выделить три группы акционерных обществ, решения по которым должны носить стратегический характер и приниматься на самом высоком уровне:

  • работающие в сферах естественных монополий как общероссийского, так и регионального значения;
  • занимающие доминирующее положение на соответствующем товарном рынке и требующие реструктуризации в целях создания конкурентной среды;
  • пакеты акций которых используются для создания интегрированных образований при проведении структурной перестройки в оборонной отрасли, на транспорте и в иных отраслях экономики.
Управление закрепленными пакетами акций должно строиться в соответствии со степенью важности акционерного общества для экономики страны. На наш взгляд, дивидендная политика каждого акционерного общества должна быть индивидуальной. То есть решения о выплате дивидендов и их размерах должны тщательно анализироваться представителями государства в акционерных обществах.
Эта работа должна вести к повышению платежей по дивидендам, но и не наносить ущерб развитию этих компаний.
Важным аспектом повышения эффективности использования находящихся в федеральной собственности пакетов акций является повышение их курсовой стоимости. Следует признать, что до настоящего времени этим вопросом никто кроме самих акционерных обществ целенаправленно не занимается.
Формирование цикла управления федеральными пакетами акций В рамках общего цикла управления федеральной собственностью, а также с учетом специфики данного объекта нами предлагается следующий адаптированный цикл управления пакетами акций, который, по нашему мнению, позволить повысить эффективность их использования (рис. 3.8).














Рис. 3.8. Цикл управления федеральными пакетами акций
Предлагаемый цикл позволит упорядочить работу по повышению эффективности использования федеральных пакетов и создать систему реализации функций государства по управлению закрепленными пакетами акций.
В качестве вариантов использования каждого конкретного пакета акций, находящегося в федеральной собственности, можно предложить следующие наиболее распространенные:

  • приватизация, то есть продажа пакета негосударственному инвестору;
  • передача в доверительное управление (траст).
В зависимости от степени ликвидности, оцениваемой на втором этапе цикла по каждому конкретному пакету, могут быть осуществлены следующие мероприятия:
1. Ликвидные незакрепленные и закрепленные федеральные пакеты акций:

  • инвентаризация;
  • оценка эффективности использования;
  • аудит эмитента;
  • двухэтапная приватизация:
1 этап – передача менеджменту на конкурсной основе для повышения инвестиционной привлекательности госпакета акций;
2 этап – приватизация добросовестному инвестору.
2. Неликвидные незакрепленные федеральные пакеты акций:

  • инвентаризация;
  • оценка эффективности использования;
  • реструктуризация;
  • повышение ликвидности;
  • повышение инвестиционной привлекательности;
  • приватизация или передача в траст.
3. Закрепленные федеральные пакеты акций:

  • инвентаризация;
  • оценка эффективности использования;
  • раскрепление определенных федеральных пакетов акций;
  • повышение ликвидности;
  • повышение инвестиционной привлекательности;
  • приватизация или передача в траст.
Программа реализации федеральных пакетов акций Получение максимально возможной финансовой отдачи от продажи пакетов акций возможно только после проведения комплекса мероприятий, направленных на создание и развитие вторичного рынка акций. Эти действия будут способствовать повышению интереса инвесторов к ценным бумагам приватизируемых предприятий (в том числе и к федеральным пакетам) и, как следствие, росту их ликвидности и значительному увеличению их стоимости на рынке. В этой связи может быть сформирована эмиссионная стратегия акционерного общества на фондовом рынке.
Одной из основных задач разработки эмиссионной стратегии является определение целей и задач для решения долгосрочных производственных и финансовых проблем.
Итогом реализации указанных мероприятий может стать концепция развития ликвидного рынка акций акционерного общества с учетом долгосрочных и краткосрочных перспектив, утверждаемая Советом директоров, включающим представителей государства.
При этом повышения эффективности работы федеральных служащих в качестве представителей государства можно добиваться двумя путями. Один путь – через материальное поощрение, размеры которого увязываются с результатами работы компании, в том числе и при проведении мероприятий по повышению инвестиционной привлекательности акций, второй –персональная ответственность (прежде всего должностная) за действия, наносящие ущерб интересам государства.
Необходимо четко определить критерии оценки работы представителей государства. По нашему мнению, это должны быть следующие показатели:

  • выполнение АО обязательств перед бюджетами всех уровней и перед государственными внебюджетными фондами;
  • рост курсовой стоимости акций общества;
  • выплата дивидендов по акциям;
  • сохранение доли государства в уставном капитале, если иных решений не приняло Правительство;
  • специфические отраслевые технико-экономические показатели.

Проведение предварительной работы

В рамках эмиссионной стратегии обязательным условием повышения инвестиционной привлекательности акционерного общества является комплекс мер, включающий подробное и детальное изучение его финансового состояния, анализ бухгалтерской отчетности, выработку рекомендаций по оптимизации структуры пассивов.
Это также предполагает проведение экспертизы учредительных документов с целью приведения их в соответствие с требованиями законодательства к акционерным обществам.
Ключевым моментом при отработке концепции развития ликвидного рынка акций является формирование пакетов акций необходимых размеров для выполнения той или иной задачи в процессе вывода ценных бумаг на внутренний и внешний фондовые рынки.
С учетом имеющихся временных и законодательных ограничений комбинированная и согласованная по срокам стратегия формирования рынка акций, как правило, включает в себя основные блоки, представленные на рис. 3.9.

















Рис. 3.9. Этапы эмиссионной политики акционерного общества с федеральным участием
Каждый блок включает в себя ряд мероприятий, которые обеспечат успешное выполнение реализации эмиссионной стратегии конкретной корпорации с федеральным участием (рис. 3.10).

Управление пакетами акций и отладка рыночной инфраструктуры

Первым этапом является консолидация пакета акций, цель которой –сохранение контроля над управлением акционерным обществом и привлечение денежных средств для финансирования проектов. В этой связи возможны следующие варианты:

  • затратный (скупка акций);
  • требующий незначительных затрат (коммандитное товарищество).







































Рис. 3.10. Структура эмиссионной политики акционерного общества с федеральным участием
В дальнейшем акционерное общество осуществляет операции на вторичном рынке в рамках согласованной политики с целью воздействия на курсовую стоимость акций, обращающихся на вторичном рынке, для максимизации прибыли от операций с собственными ценными бумагами (купля/продажа) и создания благоприятных условий размещения дополнительных пакетов акций.
Купля/продажа ценных бумаг на биржевом и внебиржевом рынках в целях его стабилизации и регулирования включает в том числе и консолидацию крупных пакетов акций для их последующего размещения среди инвесторов.



Французское правительство часто использовало “золотую акцию”.


долларов. Приватизационная кампания способствовала увеличению числа акционеров во Франции в 1994 году с 4,5 млн. до 5,7 млн., то есть на 27%. Отличительной чертой французской программы является сохранение правительством значительного контроля за приватизированными компаниями. Во Франции впервые были опробованы методы, которые позднее были использованы в других странах, в частности, во франкоговорящих странах Африки. Они включают методы:
1) автоматическое распределение акций между сотрудниками приватизированных компаний;
2) частное размещение крупных блоков акций у “стабильного ядра” (noyau dur) институциональных инвесторов, которые не будут использовать эти акции в спекулятивных целях, способствуя таким образом их будущему твердому положению на фондовом рынке.
Французское правительство часто использовало “золотую акцию”. Однако это использование предотвратило выгодную операцию по слиянию Рено с Вольво в 1994 году, когда акционеры Вольво отказались одобрить эту сделку, предоставляющую неограниченные полномочия французским властям (Приложение 2).
Недавние проблемы с предложением акций в широкую продажу во Франции связаны с тем, что у инвесторов сложилось впечатление, что французское правительство и после приватизации будет продолжать свое постоянное вмешательство. Это одна из причин, по которой от продажи акций вместо планируемых 11 млрд. долларов удалось получить только 4 млрд. долларов. Еще одной проблемой общего характера является относительная слабость внутреннего рынка капитала в стране.

Италия

Приватизация в Италии была начата в 1992 г. правительством Амато с целью продажи нескольких государственных банков, страховых компаний, производственных предприятий и крупных компаний коммунальных услуг. Сюда вошли три крупнейшие государственные организации: IRI (Индустриальное реконструкционное агентство), ENI (энергетическая группа) и ENEL (электрическая компания). Хотя и предыдущие правительства продавали некоторые предприятия, в Италии еще не было приватизации в таких широких масштабах.
Общий закон о приватизации был принят в 1992 г., согласно которому все ГП превращались в совместные предприятия, целиком принадлежащие итальянскому министерству финансов и для их продажи не требовалось дальнейшего одобрения парламента. До 1996 г. правительство получило около 17 млрд. долларов в виде поступлений от продаж, и итальянские власти предполагают получить еще 64 млрд. долларов в ближайшие пять лет после того, как будут проданы крупные компании, такие как ENI и STET (телекоммуникационная холдинговая компания). Правительство также надеется получить еще 12,9 млрд. долларов от продажи своих банковских авуаров и принадлежащей ему недвижимости.
Основной целью приватизации является погашение государственного долга и сокращение бюджетного дефицита с 7,4% от ВВП в настоящее время до 3%, чтобы удовлетворить требования Европейского валютного союза.
Правительство надеется расширить число держателей акций, всячески стимулируя мелких акционеров, чтобы создать в стране более крупный рынок для будущих выпусков акций.
Эти стимулы включают в себя добавочные дивиденды, сопоставимые акции, скидки и сокращение налогов на дивиденды. Учитывая исторически недоразвитые рынки капитала в Италии, это является одной из первоочередных задач данной программы приватизации ГП.
В июне 1994 г. был принят закон, позволяющий правительству держать у себя “золотую акцию” в стратегически важных предприятиях, в частности в естественных монополиях и предприятиях коммунальных услуг, таких как STET и ENEL.

Канада

Реализация программы приватизации в Канаде началась в 1985 г. и продолжается до сегодняшнего дня. Программа полностью придерживается принципов индивидуального подхода к приватизации каждого отдельного предприятия, пользуясь предложением акций на фондовом рынке для населения, продажей посредством тендера и продажей посредством переговоров. К 1997 году было приватизировано 26 государственных предприятий, включая государственную авиалинию, государственную железнодорожную и объединенную нефтяную компанию, а также компанию по обогащению урана, телекоммуникационные компании и компании, производящие самолеты и оружие.
Поступления от приватизации составили 7,6 млрд. долларов, из которых приблизительно 6 млрд. получило Правительство.
Финансовое положение Канады стало особенно трудным в начале 90-х годов, в 1993 г. дефицит государственного бюджета превысил 5 процентов от ВВП, а национальный долг (включая долг канадских провинций) составил почти 100% от ВВП. В 1995 г. нынешнему правительству Канады удалось сократить уровень дефицита до 4% от ВВП. Доходы от приватизации, составившие примерно 2,8 млрд. долларов в 1995 г., позволили правительству сократить займы.
Программа приватизации в Канаде расширила рынки капитала и явно способствовала росту эффективности бывших государственных предприятий.

Испания

В Испании программа приватизации существует с 1982 года и проводится то с большей, то с меньшей интенсивностью. Преобладающей формой приватизации является предложение акций в широкую продажу через Испанскую фондовую биржу и на международных рынках капитала.
С 1985 года правительство получило более 8 млрд. долларов в виде поступлений от приватизации и надеется получить в два раза больше в ближайшие годы. Бюджетный дефицит, составляющий 5,9% от ВВП, и высокий уровень государственного долга стали основными факторами, влияющими на темпы и объемы испанской программы приватизации (к 1998 году необходимо было сократить дефицит в два раза для того, чтобы удовлетворять требованиям Европейского Валютного Союза).
Правительство заявило, что оно ускорит темпы приватизации, но его сдерживает относительная незрелость местных рынков капитала и небольшое число держателей акций среди широких слоев населения. В конце июня 1996 г. кабинет одобрил программу массовой распродажи ГП для того, чтобы погасить национальный долг Испании, он же стал инициатором проведения всеобъемлющей реструктуризации убыточных предприятий.
Из предприятий, ожидающих приватизации, можно назвать такие, как нефтяной гигант Репсойл, банковская группа Аргентария, телекоммуникационная группа Телефоника де Еспанья, компания Табакалера, на 52 процента находящаяся в государственной собственности, компания по снабжению электроэнергией Эмпреса Насьональ де Электрисидад, авиалиния Иберия и другие.
Стратегия правительства заключается в том, чтобы приватизировать крупные государственные активы через выпуск акций, а более мелкие предприятия, нуждающиеся в реструктуризации и специальной технологии, методом прямых частных продаж.

Новая Зеландия

В ходе приватизации в Новой Зеландии уже приватизировано более 30 государственных предприятий. Начиная с 1988 года общая сумма доходов от приватизации составила 9 млрд. долларов. Основным методом передачи права собственности были прямые точечные продажи, тогда как предложение акций в широкую продажу использовалось довольно редко.
Широкое владение акциями не было основной целью программы приватизации, являющейся частью программы коренной перестройки новозеландской экономики за последние 15 лет.
Благодаря мерам, принятым правительством Новой Зеландии, поступления от приватизации составили почти 14% от годового ВВП. Власти страны обращают особое внимание на регулирование деятельности монополий в постприватизационный период (Приложение 3).
Была введена золотая правительственная акция ("акция Киви"), которая устанавливает директивы по перебалансировке тарифов и общих положений о предоставлении услуг. Например, приватизированный гигант Телеком согласно договоренности в рамках “акции Киви” не может увеличивать свои тарифы быстрее, чем идет рост инфляции цен на товары народного потребления.

Аргентина

С момента начала программы приватизации в 1989 г. правительство Аргентины получило около 20 млрд. долларов, сократив тем самым свой внешний долг более чем на 11 млрд. долларов путем операций типа “своп”, т. е. обмена облигаций на акции, получив при этом 8 млрд. долларов от продаж. Оно передало в частный сектор большинство предприятий по производству и передаче электроэнергии, все предприятия, занимающиеся распределением электроэнергии, все газопроводные и транспортные компании, большинство своих акций нефтегазового сектора и всю национальную нефтяную компанию YPF. В 1994 г. в Аргентине была введена система частных пенсионных фондов, в целях широкого развития внутреннего рынка капитала.
Акции YPF и Телеком стали “любимцами” брокеров на международных рынках капитала. От их продажи получено соответственно 17 и 50 процентов всего дохода, полученного от приватизации.
Однако существуют еще проблемы с качеством услуг приватизированных предприятий. В некоторых случаях уровень инвестиций и качество услуг находятся гораздо ниже, чем это было предусмотрено в контракте о приватизации, результатом чего явилось применение санкций против нескольких приватизированных компаний. От повышения цен, практикуемого приватизированными монополиями и олигополиями, страдают потребители.
Это происходит потому, что государство недостаточно регулирует их деятельность.



ФЗК на любом этапе его создания;


Учет и инвентаризация – мероприятия внесения в реестр, структуризации и определения основных характеристик учитываемого имущества. Это отправные точки процесса управления, формирующие предпосылки для определения вариантов дальнейшего использования.
Процедура инвентаризации может быть представлена в виде последовательности мероприятий, основная цель которых – внесение объекта недвижимости (например, помещения) в базу данных и определение возможных вариантов его использования (рис. 3.12).






















Рис. 3.12. Технологическая схема проведения инвентаризации
Результатом учета и инвентаризации недвижимого имущества является федеральный кадастр недвижимости (ФКН), представляющий собой единую систему федерального учета объектов недвижимости и прав на них.
Единство системы федерального учета позволяет вносить следующие сведения в ФКН:

  • федеральный учет объектов недвижимости, который обеспечивает ведение реестра объектов ФКН, содержащего сведения о пространственно-площадных и иных физических характеристиках объектов недвижимости;
  • федеральная регистрация прав на недвижимое имущество и сделок с ним, которая обеспечивает ведение реестра прав ФКН, содержащего сведения о правовых характеристиках (правовом статусе) объектов недвижимости;
  • федеральная регистрация оценок объектов недвижимости, которая обеспечивает ведение реестра оценок ФКН, содержащего сведения о стоимостных и иных экономических характеристиках объектов недвижимости;
  • федеральный учет территориальных зон, который обеспечивает ведение каталога зон ФКН, в котором содержатся сведения о пространственно-площадных характеристиках территориальных зон и правилах регулирования имущественных отношений в пределах этих зон.
Связь между сведениями, содержащимися в ФКН, Едином федеральном реестре прав (ЕФРП) и других реестрах объектов недвижимости и относящимися к одному и тому же объекту недвижимости, осуществляется по кадастровому номеру объекта недвижимости, который присваивается объекту на этапе его федерального учета. Функционирование кадастра недвижимости обеспечивается также следующими процессами:
1. Формирование объектов недвижимости, как неразрывная совокупность следующих дел:

  • дел правоустанавливающих документов, содержащих документы, необходимые для регистрации прав на объект недвижимости;
  • кадастровых дел объекта недвижимости, в которые включаются документы, содержащие сведения, необходимые для осуществления федерального учета объекта недвижимости;
  • экономических дел объектов недвижимости, которые содержат документы, необходимые для федеральной регистрации оценок данного объекта.
2. Формирование территориальных зон и, как результат, кадастровое дело определенной зоны, содержащее описание ее границ и характеристик. В этом случае:
ФКН – совокупность характеристик, которые должны быть актуальными, юридически значимыми, систематизированными и доступными;
ФКН – обеспечение государством гарантии прав граждан и юридических лиц на недвижимость; формирование доходной части бюджета за счет налогообложения и использования недвижимого имущества; контроль за состоянием и использованием недвижимости, находящейся в федеральной собственности.
Кадастровый учет – это необходимая составная часть системы регистрации прав и системы управления недвижимостью. В этой связи, можно выделить различия между техническим и кадастровым учетом.
2.1. Технический учет – описание технических характеристик объектов недвижимости (материалы стен, кровли; год постройки; год последнего капремонта и т. п.).
2.2. Кадастровый учет – определение географического местоположения контура объекта с указанием минимального количества необходимых для учета права характеристик (общая, полезная площадь, привязка к почтовому либо милицейскому адресу и т. п.).
3. Федеральный земельный кадастр (ФЗК) как функционально самостоятельная компонента федерального кадастра недвижимости.
3.1. Структура и организация ФЗК:

  • ФЗК – охватывает всю территорию РФ и содержит сведения о земельных участках, являющихся федеральной собственностью, а также о территориальных зонах, образованных федеральными органами власти;
  • земельные кадастры субъектов РФ – охватывают территорию субъекта РФ и содержат сведения о находящихся на них земельных участках, являющихся федеральной собственностью, а также о находящихся на этой территории территориальных зонах, образованных органами государственной власти РФ и субъекта РФ.
3.2. Принципы создания ФЗК:

  • единство правил создания ФЗК;
  • доступность информации ФЗК на любом этапе его создания;
  • одновременное вовлечение в процесс создания ФЗК всех регионов России;
  • постоянный контроль за актуальностью сведений ФЗК;
  • разделение приоритетов для земель различного подчинения;
  • обеспечение приоритета низовых органов и др.
После проведения инвентаризации и учета объектов недвижимости, результатом которых является кадастр недвижимости, можно переходить к следующему этапу цикла управления недвижимым имуществом.
Оценка стоимости и правового положения объекта недвижимого имущества

Набор методов оценки

Методы оценки объектов недвижимости базируются в основном на трех подходах:

  • с точки зрения сравнимых продаж;
  • на основе затрат;
  • с точки зрения капитализации дохода.
В случае проведения оценки объектов недвижимости в рамках данных подходов обычно используют следующие методы:

  • метод оценки по сравнимым продажам (метод сравнения продаж);
  • методы соотнесения (переноса) и экстракции;
  • метод капитализации земельной ренты (метод развития);

Метод оценки по сравнимым продажам

Метод оценки по сравнимым продажам наиболее приемлем и широко используется в странах с развитым земельным рынком. Он основан на сравнении и сопоставлении соответствующих данных по уже проданным аналогичным объектам недвижимости на момент проведения оценки. При этом наилучшим образом отражает рыночные условия цена текущих продаж аналогичных объектов, хотя можно проводить оценку и с учетом анализа рыночных цен спроса и предложения.
Для определения сопоставимости объектов недвижимости необходимо использовать следующие шесть элементов сравнения:

  • финансовые условия (условия финансирования сделки);
  • условия продажи;
  • рыночные условия (время сделки);
  • местоположение объекта;
  • физические характеристики;
  • показатели доходности.
После получения оценки обычно проводится ее коррекция на основе тщательного анализа каждого из факторов.
В качестве единицы сравнения обычно используется процент повышения или понижения рыночной цены за счет влияния данного фактора. Коррекция цены проводится в стандартизованной последовательности с нарастающим итогом в абсолютном выражении. То есть формула оценки по сравнимым продажам может быть следующей:

ФЗК на любом этапе его создания;
,
где
ЦСП – цена по сравнимым продажам;
ЦБ – цена базовая;
ki – коэффициент i-того элемента сравнения, выраженный в долях единицы (причем, знак коэффициента определяется направлением влияния: положительное влияние – знак положительный, отрицательное – отрицательный).
Очевидно, что если сумма отрицательных влияний больше суммы положительных, то конечная цена будет ниже базовой и наоборот.

Методы соотнесения и экстракции

Метод соотнесения применяется при сравнении цен продаж сопоставимых объектов недвижимости путем разнесения общей цены продажи между двумя ее составными частями: собственно объектом недвижимости и улучшениями.
Главное – правильно определить соотношение этих частей. Для этого на первом шаге анализа определяется рыночная стоимость всех улучшений, сделанных на объекте. Для корректного использования данной методики требуется максимально полное статистическое обеспечение.
Метод экстракции фактически является разновидностью метода соотнесения и также предусматривает выделение вклада улучшений из общей цены продажи недвижимости. Однако он применяется обычно для таких объектов, где вклад улучшений в полную стоимость недвижимости невелик.

Метод капитализации земельной ренты (метод развития)

При использовании метода капитализации дохода (земельной ренты) оценивается текущая стоимость будущих доходов от владения имуществом. Потоки доходов и выручка от перепродажи (реверсия) капитализируются в текущую общую стоимость.
Соответствующие расчеты проводятся по следующим формулам:

ФЗК на любом этапе его создания;
,
где
ЦКЗР – цена при капитализации земельной ренты;
Д – доход;
НК – норма капитализации.

ФЗК на любом этапе его создания;
,
где
Ф – фактор капитализации.
Норму или фактор капитализации, используемые при расчетах методом капитализации доходов, определяют на основе исследования приемлемых ставок дохода от эксплуатации аналогичных объектов недвижимости с учетом анализа факторов риска и дисконта.
После тщательного установления доходов и расходов, потоки доходов и расходов дают возможность определить величину чистого операционного дохода, которая в процессе капитализации преобразуется в текущую стоимость земельного участка.
После завершения оценок по всем перечисленным методам (используется не менее двух методов) проводится сопоставительный анализ полученных результатов на основании экспертных оценок, вносятся соответствующие коррекции, в том числе с учетом назначения оценки, и определяется итоговая оценочная рыночная стоимость данного земельного участка.



Этапы процесса управления по целям


Одним из рычагов воздействия на руководителя подчиненного предприятия может быть процедура перераспределения прибыли от предприятия в пользу государства. Другим рычагом может быть делегирование конкретных полномочий от предприятия к уполномоченному органу, оговоренное в Уставе государственного унитарного предприятия.
Управление государственным унитарным предприятием сос стороны органа федеральной власти может быть построено по следующему принципу. Орган федеральной власти определяет стратегию развития предприятия, а руководители предприятия порядок деятельности своих предприятий в соответствии с интересами государства. Поскольку каждое предприятие имеет определенные цели функционирования, процесс управления должен вестись в соответствии с этими целями. Этапы управления по целям представлены на рис.
3.3.










Рис. 3.3. Этапы процесса управления по целям
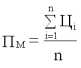
Эффективность деятельности государственного унитарного предприятия Для того, чтобы управлять эффективностью, необходимо четко определить, что такое эффективность именно государственного унитарного предприятия, а также уметь измерять значение эффективности функционирования. Для измерения эффективности функционирования можно применять ресурсный показатель – общую рентабельность предприятия – рассчитываемый по формуле:

Этапы процесса управления по целям
,
где
Э – эффективность функционирования предприятия;
П – чистая прибыль предприятия;
ВА – валовые активы предприятия.
Сравнивая полученное расчетное значение с плановым, можно сделать вывод о том, насколько предприятие отклонилось от плановых показателей в ту или иную сторону.
Анализ возможностей государственного унитарного предприятия Анализ возможностей – это комплексное исследование, которое проводится с целью определения основных аспектов его функционирования. Результаты анализа позволяют судить о текущем состоянии предприятия, отсечь начальные точки для определения эффективности. На первом этапе проводится анализ продукции предприятия.
Если производство продукции неэффективно, то исследуется структура спроса на виды продукции, производство которых можно наладить на имеющемся оборудовании без принципиального изменения технологии, анализируется эффективность производства такой продукции. В случае если такое производство неэффективно, изучается структура спроса на продукцию смежных отраслей. И так далее – с помощью метода последовательных приближений.
Основной критерий отбора вида продукции и организации его производства – эффективность функционирования государственного унитарного предприятия.
Анализ внутренней структуры Анализ внутренней структуры предприятия проводится для выявления тех внутренних резервов, которые оно может использовать для повышения эффективности функционирования и обеспечения выпуска требуемого количества товарной продукции.
Для начала необходимо оценить потенциал предприятия по нескольким разделам. Для оценки потенциала могут применяться различные экономические расчеты. Например, для сравнения качества управления на различных предприятиях можно соотнести сумму чистой прибыли предприятия за конкретный период и сумму, выплачиваемую руководству этого предприятия в качестве вознаграждения за труд (заработная плата, премии и т. д.) за тот же самый период.
В целом, подбор информации следует проводить по сопоставимым показателям, используя различные приемы и методы. Информация для укрупненного анализа возможностей предприятия может содержать данные о:

  • местонахождении предприятия;
  • степени известности;
  • производственном потенциале;
  • технологическом оборудовании;
  • длительности изготовления вида продукции;
  • качестве продукции;
  • персонале;
  • уровне расходов.
Анализ внутренней структуры производится на основе перечисленной информации путем сопоставления значений соответствующих показателей конкретного предприятия со среднеотраслевыми показателями. Для изучения каждой из выше перечисленных составляющих внутренней структуры предприятия используется ряд показателей, расчет которых производится в стоимостном выражении.
Для оценки местоположения предприятия используется показатель местонахождения (Пм). Его значение позволяет анализировать транспортные расходы предприятия и более грамотно планировать процесс функционирования.

Этапы процесса управления по целям
,
где
Цi – цена доставки от предприятия до i-того транспортного узла;
n – количество транспортных узлов, на которые может быть доставлена продукция предприятия для последующей отправки потребителям.
Показатель степени известности (СИ) позволяет в цифровом выражении оценить эффективность маркетинговой политики предприятия, а также долю занимаемого предприятием рынка выпускаемой продукции. Если значение показателя СИ равно 1, изучаемое предприятие является монополистом по данному виду продукции. Степень известности измеряется по формуле:

Этапы процесса управления по целям
,
где
КП – количество предприятий, сотрудничающих с изучаемым предприятием;
КО – количество предприятий – потребителей вида продукции, производимого изучаемым предприятием.
Качество и количество производственного потенциала и технологического оборудования можно измерять с помощью показателя степени износа нематериальных активов и оборудования соответственно, а также с помощью коэффициента выбытия и коэффициента обновления соответствующих компонентов необоротных активов.
Длительность изготовления вида продукции определяется по технологическим нормам изготовления единицы продукции, затем длительность изготовления единицы умножается на количество единиц в отгрузочной норме (вагон, контейнер и т. д.).
Качество продукции определяется коэффициентом возврата (Квозврат) и вычисляется как соотношение затрат на ремонт или замену продукции, возвращенной потребителями, как некачественную, и общей суммы выручки от реализации этой продукции (ВР).

Этапы процесса управления по целям
,
где
ЗР – затраты на ремонт некачественной продукции;
ЗЗ – затраты на замену некачественной продукции.
Персонал можно оценить по средней производительности производственного персонала, а также по средней выручке на одного работника.
Уровень расходов определяется по данным финансовой отчетности.
После анализа внутренней структуры предприятия следует так называемый анализ внешнего окружения, который включает изучение поставщиков и потребителей.
Анализ внешнего окружения В процессе анализа внешнего окружения готовится информация по всем аспектам, связанным с предприятиями поставщиками сырья и потребителями продукции. Изучение поставщиков сырья проводится с целью выявления наиболее выгодных по критерию "цена на складе предприятия". Это связано с отличием отпускных цен у различных производителей.
Но выбирать сырье только по отпускной цене ошибочно, поскольку она существенно увеличивается за счет стоимости транспортировки от склада поставщика до склада предприятия. Таким образом, повысить эффективность производства можно за счет формирования четкой снабженческой политики.
С другой стороны, изучается спрос на продукцию, производимую на предприятии. Поскольку на предприятии может производиться несколько видов продукции, основная задача – разделить продукцию на потребляемую оптовыми и розничными покупателями.
Это связано, во-первых, с различиями в стратегии маркетинга, зависящей от типа потребителя. Но и оптовых и розничных потребителей можно в целом сгруппировать на несколько групп (рис. 3.4).
При проведении анализа внешнего окружения также изучаются поставщики сырья, поставщики энергоресурсов, другие контрагенты, а также те аспекты деятельности предприятия, которые в основном зависят от внешних по отношению к нему воздействий.
Результаты трех составляющих анализа возможностей используются на следующих этапах цикла управления. В частности, результаты оценки потенциала предприятия применяются на этапе планирования, информация о доле рынка используется при постановке задачи на производство того или иного вида продукции.













Рис. 3.4. Структура потребителей вида продукции, производимого государственным унитарным предприятием (ГУП)
Таким образом, анализ возможностей – это начальный этап цикла управления, в соответствии с результатами которого строится дальнейшая деятельность предприятия.
Планирование эффективности Эффективность производственного проекта характеризуется системой показателей, отражающих соотношение затрат и результатов применительно к предприятию-производителю, к которым относятся:

  • чистый дисконтированный доход (ЧДД) или интегральный эффект;
  • индекс доходности (ИД);
  • внутренняя норма доходности (ВНД);
  • срок окупаемости;
  • другие показатели, отражающие интересы участников или специфику проекта.
Чистый дисконтированный доход (ЧДД) определяется как сумма текущих эффектов за весь расчетный период, приведенная к начальному шагу, или как превышение интегральных результатов над интегральными затратами.
Если в течение расчетного периода не происходит инфляционного изменения цен или расчет производится в базовых ценах, то величина ЧДД для постоянной нормы дисконта вычисляется по формуле:
ЧДД
Этапы процесса управления по целям
, (3.4)



Этапы реализации процесса управления федеральной собственностью


В условиях, когда предприятия с государственным участием играют в российской экономике большую роль, предоставлять краткосрочные кредиты с государственной гарантией предприятиям, деятельность которых находится под инвестиционным контролем и у которых может быть лучше, чем у других, проконтролировано и обеспечено использование средств кредита.
Другими словами, предлагается предоставлять этим предприятиям кредиты для финансирования будущей заработной платы и обязательств перед поставщиками за фьючерсные поставки.
Предпосылкой функционирования этой системы является то обстоятельство, что накопившиеся обязательства перед поставщиками, невыплаченные налоги и заработная плата консолидируются и переводятся в разряд среднесрочных обязательств, которые могут быть погашены, например, из таким же образом консолидированных старых требований.
Конкретно возможен следующий технологический процесс:
1. Соответствующее предприятие представляет инвестиционному куратору доказательство надежности заключенных договоров, для выполнения которых необходим краткосрочный кредит для пополнения оборотных средств.
2. Кредит предоставляется или напрямую, или посредством выставления гарантии на кредит отечественного банка.
3. Использование кредита контролируется со стороны инвестиционного куратора (напрямую или через какую-то контролирующую организацию).
4. Возврат кредита обговаривается таким образом, чтобы он совпал со сроками оплаты, обговоренными по договору.
5. На кредит выставляется вексель, который кредитор может поместить в свой портфель или же при необходимости дисконтировать в Центральном банке.
6. Конкретный кредит должен быть возвращен в договоренные сроки В противном случае предприятие должно рассчитывать на банкротство, менеджеры на увольнение, а частные инвесторы на потерю имущества в рамках процедуры банкротства.
7. Для финансирования новых заказов в период действия старого кредита могут быть предоставлены новые кредиты.
За предоставленные подобным образом кредиты должна требоваться оплата гарантии, например, процентная ставка, которая по отношению к нормальной банковской ставке содержит определенную надбавку для того, чтобы предприятия сами проявляли заинтересованность с годами все меньше и меньше прибегать к помощи этого инструмента
Приватизация как задача управления госдолями При определении целей приватизации необходимо иметь в виду, что посредством нее должна быть создана здоровая экономическая структура с разумным балансом числа малых, средних и крупных предприятий, достаточной степенью конкуренции между предприятиями в отдельных отраслях, чтобы стимулировать производительность и стремление к нововведениям, достаточным участием иностранных инвесторов, чтобы таким путем гарантировать приток новейших технологий, в которых другие страны лидируют, в народное хозяйство.
Еще одной целью приватизации предприятий является улучшение условий их развития по сравнению с государственными предприятиями посредством лучшего доступа к собственному капиталу для развития, большей автономии и ускоренного процесса принятия решений на предприятии.
Запланированные в концепции предприятия инвестиции должны быть зафиксированы в договоре на продажу. При невыполнении этих условий должны выплачиваться договорные штрафы.
Это положение распространяется и на предусматриваемое в концепции предприятия сохранение (увеличение) в будущем числа рабочих мест.
Управление государственными предприятиями должно строиться на следующих основных принципах:

  • стимулирование целенаправленной промышленной и отраслевой политики посредством предоставления предприятиям государственных дотаций или дополнительных средств;
  • государство как акционер использует свои возможности для заключения соглашений об ограничениях конкуренции между предприятиями, находящимися в государственной собственности;
  • объединение или слияние государственных предприятий с целью ограничения конкуренции;
  • предприятия, находящиеся в государственной собственности не должны использоваться для трудоустройства людей ненужных или нежелательных государственному аппарату.
Для решения задач необходимо с учетом зарубежного опыта разработать методологию управления федеральной собственностью, включающую различные приемы и методы, учитывающие многообразие и особенности видов и типов этой собственности.
глава 3. Методология управления государственной собственностью в условиях переходной экономики Процесс управления государственной собственностью (ГС) и одной из ее составляющих – федеральной собственностью (ФС) – должен быть эффективным, то есть, должен осуществляться таким образом, чтобы затраты на ее содержание и управление не превышали доходов, полученных от процесса управления. Для этого в процессе управления необходимо применять некий набор методов и приемов управления, которые в совокупности составляют единую методологию управления федеральной собственностью в переходной экономике.
Теоретический (качественный) анализ объекта управления, базирующийся на социально-экономической основе, всегда предшествует его детальному изучению и является необходимым условием правильной организации процесса управления и безошибочного толкования его финансовых результатов. Необходимым условием успешного управления федеральной собственностью является понимание сущности объекта управления или технологического процесса, знание причин развития и особенностей конкретной обстановки.
На наш взгляд, для описания и раскрытия сущности процесса управления федеральной собственностью в условиях переходной экономики необходимо провести структурирование методов и приемов управления и ввести некоторые понятия и определения, по существу оказывающие влияние на разработку и принятие управленческих решений при осуществлении управления объектами ГС.
В этой связи, на наш взгляд, целесообразно провести классификацию:
1) федеральной собственности, как совокупности различных объектов управления;
2) методов управления федеральной собственностью.
Кроме этого, на основании проведенной классификации необходимо сформулировать критерии эффективности управления ГС в условиях переходной экономики.
§ 3.1. Сущность, критерии эффективности и методы управления государственной собственностью Содержание процесса управления федеральной собственностью Формирование реальных схем управления федеральной собственностью следует осуществлять исходя из принципов эффективного менеджмента, используя базовые положения гражданского и хозяйственного законодательства. Практическая реализация этих задач одновременно может служить своеобразной проверкой создаваемых механизмов управления, которые осуществляются в рамках единого замкнутого процесса управления (рис. 3.1).

























Рис. 3.1. Процесс управления федеральной собственностью
Одна из главных особенностей управления федеральной собственностью заключается в том, что эта собственность отличается абсолютным масштабом обобществления, затрудняющим реализацию оперативных управляющих воздействий собственника на объекты собственности. Поэтому при управлении федеральной собственностью наиболее типичным является передача отдельных объектов конкретным юридическим или физическим лицам, что позволяет локализовать управляющие воздействия на них.
Таблица 3.1
Этапы реализации процесса управления федеральной собственностью


Этап (цель)
Результат (документ)
1
Инвентаризация (получение и обобщение данных существовании объекта ГС и внесение его в опись)
Опись ГС
2
Учет (проверка юридической чистоты объекта, его классификация в соответствии с утвержденными признаками и внесение в реестр ГС)
Реестр ГС
3
Оценка (проведение мероприятий по установлению рыночной цены для различных вариантов использования: сдача в аренду, передача в доверительное управление, продажа (приватизация), реструктуризация и т. д.)
Кадастр ГС
4
Анализ возможностей использования (выработка и экономическая оценка вариантов использования объекта ГС)
Проекты Указов Президента РФ, постановлений (распоряжений) Правительства РФ
5
Планирование использования (разработка последовательности мероприятий для реализации наилучшего варианта по этапу 4)
Проекты Указов Президента РФ, постановлений (распоряжений) Правительства РФ
6
Организация и подготовка мероприятий (маркетинг, кадровые решения, инфраструктурные преобразования для реализации этапа 8)
Указы Президента РФ, постановления (распоряжения) Правительства РФ
7
Мотивация исполнителей (утверждение порядка поощрения федеральных участников этапа 8)
Указы Президента РФ, постановления (распоряжения) Правительства РФ
8
Проведение мероприятий (реализация последовательности этапов 4-7)
Указы Президента РФ, постановления (распоряжения) Правительства РФ
9
Контроль проведения мероприятий (сбор, обобщение и анализ результатов выполнения этапа 8)
Постановления (распоряжения) Правительства РФ, распоряжения МГИ РФ, заключения Счетной палаты Федерального Собрания РФ
10
Регулирование процесса управления на любом этапе (в соответствии с результатами этапа 9: корректировка исходных данных расчетов, кадровых решений, плановых заданий, последовательности проведения мероприятий и т. д.)
Указы Президента РФ, постановления (распоряжения) Правительства РФ, распоряжения МГИ РФ


Комплексное развитие территорий городов и районов





Субъекты хозяйствования и управления
Цели и задачи
Объекты управления
Методы и способы управления
Федеральные органы управления
1. Политическая и социальная стабильность
2. Обеспечение устойчивого развития
Объекты федеральной собственности
1. Административное и правовое регулирование
2. Государственные программы развития
3. Госзаказ
Региональные органы управления
1. Эффективное функционирование систем обеспечения жизнедеятельности населения
2. Обеспечение доходов бюджета
3. Социальная защита населения
4. Экологическая безопасность
Объекты региональной собственности
1. Законодательные решения и инициативы
2. Региональные программы развития
3. Госзаказ
Местные органы управления
Комплексное развитие территорий городов и районов
Объекты муниципальной собственности
Административные и экономические меры (косвенное регулирование хозяйственной деятельности)
Отраслевые министерства и ведомства
Эффективная деятельность подведомственных предприятий
Подведомственные предприятия
1. Программы развития отрасли
2. Отраслевые нормативы
Хозяйствующие субъекты
Максимизация чистой прибыли
Трудовые ресурсы, основные и оборотные средства, финансовые ресурсы
1. Бизнес-планирование
2. Оперативное управление
3. Маркетинг
4. Текущий мониторинг рынка
Население
1. Максимизация доходов
2. Удовлетворение материальных и духовных потребностей
Имущество в личной собственности ( в том числе знания и навыки)
1. Трудовая деятельность
2. Участие в голосованиях
3. Представительство в общественных организациях
Таким образом, на региональном уровне практически во всех элементах системы управления государственной собственностью присутствуют нормативные правовые аспекты. Поэтому, на наш взгляд, необходимо проанализировать нормативное правовое обеспечение процесса управления государственной собственностью в Тульской области.
§ 4.2. Нормативное правовое регулирование отношений и порядка управления государственной собственностью в Тульской области Законодательная база в Тульской области Материальной основой экономических преобразований в регионе служит региональная собственность. На территории и в введении региона можно выделить три формы собственности, которые являются главными инструментами регулирования его социально-экономического положения: федеральная, субфедеральная (областная) и муниципальная. Первые две являются предметом совместного ведения федеральных и областных властей, а муниципальная – объект совместного ведения органов трех уровней: федерального, областного и муниципального.
До 1992 года в России, как известно, была только единая государственная собственность. Начало процессу ее разделения на три вышеуказанных уровня было положено с принятием в конце 1991 года Закона РФ "О собственности в РСФСР", который в общей форме определил, какое имущество может находиться в собственности Федерации и ее субъектов, а какое – в собственности субъектов федерации или в муниципальной собственности. Основным критерием, по которому проводилось разделение государственной собственности на федеральную и собственность субъектов РФ, являлось признание необходимости объектов собственности для обеспечения самостоятельности национально-государственных и административно-территориальных объединений РФ.
Можно сказать, что этот закон положил начало процессам трансформации собственности в России, в частности, в нем впервые была выделена муниципальная собственность как особый институт, не относящийся к государственной собственности. Последовавшие за ним Постановление Верховного Совета РФ №3020-1 от 27.12.1991 г. "О разграничении государственной собственности в Российской Федерации на федеральную собственность, государственную собственность республик в составе РФ, краев, областей, автономной области, автономных округов, городов Москвы и Санкт-Петербурга и муниципальную собственность" и распоряжение Президента России от 18.03.1992 г. №114-РП "Об утверждении Положения об определении пообъектного состава федеральной, государственной и муниципальной и порядке оформления прав собственности" определили перечень объектов и соответственно доходы субъектов собственности, которые впоследствии были получены ими в результате первого этапа приватизации и дальнейшей хозяйственной деятельности по управлению имуществом.
Согласно вышеуказанным законодательным актам под юрисдикцию области не попали многие объекты собственности, приносившие (и приносящие) основной доход в бюджеты всех уровней. На каком-то этапе возникла правовая неопределенность по вопросам разделения полномочий в области использования и управления природными ресурсами, некоторыми объектами социально-культурного и коммунально-бытового назначения между Федерацией и ее субъектами, что в ряде случаев привело к неэффективной приватизации и управлению объектами собственности.
Четкое законодательное регулирование на региональном уровне в сфере управления государственной собственностью является одним из основных условий эффективности экономической деятельности и процветания региона. В вопросах управления собственностью в Тульской области в настоящее время прежде всего руководствуются следующими законодательными актами: Конституцией РФ ст. 71-78 (основные принципы федерализма), Гражданским Кодексом РФ (раздел 2) о праве собственности и других вещных правах, Законом РФ от 21.07.1997 г. "О приватизации государственного имущества и об основах приватизации муниципального имущества в РФ", Уставом Тульской области (Основной закон области), Законом Тульской области от 28.05.1998 г. "О государственной собственности Тульской области", а также договорами между Российской Федерацией и областью.
В частности, Закон "О государственной собственности Тульской области" определяет перечень объектов, находящихся в собственности области. К ним относятся:

  1. Земля и другие природные ресурсы, за исключением объектов, отнесенных к федеральной, муниципальной и иным формам собственности.
  2. Имущество коммерческих и некоммерческих организаций, созданных или приобретенных на средства области либо на другом законном основании.
  3. Имущественные объекты областной собственности, находящиеся во владении и пользовании юридических лиц.
  4. Средства областного бюджета и внебюджетных фондов, созданных органами государственной власти области.
  5. Доли, относящиеся к областной собственности, в уставных капиталах хозяйственных обществ.
  6. Ценные бумаги.
  7. Нематериальные объекты собственности, созданные или приобретенные на средства области (информационные ресурсы области, интеллектуальная собственность, права обозначения).
  8. Дороги общего пользования, относящиеся к областной собственности.
  9. Другие объекты собственности.
Органами, осуществляющими управление областной собственностью, являются:

  1. Областная Дума, обеспечивающая законодательное регулирование и контроль в сфере управления областной собственностью.
  2. Администрация области, осуществляющая нормативное регулирование в сфере управления и распоряжения областной собственностью в рамках ее компетенции в соответствии с законодательством.
  3. Уполномоченные органы по управлению областной собственностью, коими являются:
  • Комитет по управлению имуществом Тульской области;
  • Фонд имущества Тульской области;
  • Финансовое управление администрации области;
  • Комитет по земельным ресурсам и землеустройству области;
  • иные органы исполнительной власти, уполномоченные в соответствии с законодательством области управлять областной собственностью.
Основным документом, определяющим деятельность вышеперечисленных органов по управлению объектами областной государственной собственности является "Программа формирования и развития областной собственности", которая разрабатывается в сроки и в порядке, аналогичными общероссийской программе, то есть, ежегодно выносится Администрацией области на рассмотрение и утверждение Областной Думе вместе с областным бюджетом. Программа содержит:

  • перечень сфер производственной и иных видов деятельности, важнейших для развития области, в которых целесообразно дополнительное создание предприятий, учреждений, организаций с использованием областного имущества;
  • систему критериев и методов определения эффективности приобретения в областную собственность пакетов акций, внесения и использования областного имущества в виде вкладов в складочный и уставный капитал вновь создаваемых и действующих хозяйственных обществ;
  • перечень акционерных обществ, отчуждение (залог) контрольного пакета акций которых из областной собственности не допускается;
  • перечень объектов областной собственности, передаваемых в федеральную и муниципальную собственность;
  • минимальные (базовые) ставки платежей за пользование находящимися в областной собственности природными ресурсами, за аренду объектов нежилого фонда области и других видов областного имущества.
Таким образом, программа определяет стратегию деятельности по управлению собственностью, оперативное же управление и конкретные решения по отдельным вопросам осуществляются уполномоченными органами под контролем Областной Думы и Администрации.



Объекты предназначенные для выполнения общегосударственных задач.


В-третьих, по отношению к объектам любой формы собственности на государство возлагается целый ряд обязанностей: регистрация прав собственности, защита прав собственности, юридическое обеспечение взаимоотношений между разными собственниками и т. п.
В-четвертых, эффект отдачи собственности существенным образом зависит от состояния экономической среды, в которой она функционирует. Таким образом. государство имеет возможность косвенно участвовать в управлении всеми формами собственности через создание рыночных механизмов, через финансовое, валютное, кредитное, таможенное регулирование, через проведении соответствующей фискальной политики, через контроль над монополиями.
Постановка локальной проблемы выбора методов управления федеральной собственностью требует ее структуризации с целью выделения однотипных групп объектов, для которых целесообразно использовать одинаковые управляющие воздействия. При формировании перечня объектов, которые должны быть включены в состав федеральной собственности, прежде всего их, по нашему мнению, следует разделить на три группы по степени значимости и функциональному назначению.
1 группа. Объекты предназначенные для выполнения общегосударственных задач. К их числу следует отнести объекты прямо связанные с:

  • обеспечением обороны и безопасности;
  • защитой государственных границ, территориального моря и воздушного пространства;
  • проведением внешней политики и поддержанием международных отношений;
  • управлением государственными экономическими службами, включая Центральный банк Российской Федерации;
  • функционированием органов государственной власти (законодательной, исполнительной, судебной);
  • проведением фундаментальных научных исследований;
  • контролем за природопользованием и охраной окружающей среды;
  • охраной памятников истории и культуры;
  • хранением государственных запасов и резервов;
  • эксплуатацией и обслуживанием крупных транспортных магистралей.
В эту же группу должна быть включена большая часть природных ресурсов – недра, лесной фонд, водные ресурсы, воздушное пространство.
На данную группу должно распространяться исключительное право федеральной собственности, позволяющее прямо и оперативно применять все возможные методы управления, формулируемые исходя из меняющейся политической ситуации и оптимизируемые по критериям эффективности.
2 группа. Объекты, обеспечивающие поддержание и развитие экономического потенциала страны. В их состав могут быть включены предприятия:

  • электроэнергетики;
  • по добыче и переработке нефти и газа;
  • по добыче и переработке драгоценных металлов и камней, радиоактивных и редкоземельных элементов;
  • авиакосмической техники;
  • атомного машиностроения;
  • по разработке и производству систем вооружения и боеприпасов;
  • трубопроводного транспорта и другие.
Перечень объектов этой группы с течением времени может меняться. По мере развития рыночного хозяйства и улучшения общей экономической ситуации в стране число таких объектов в составе федеральной собственности может сокращаться за счет их перехода в негосударственные формы, причем передача должна осуществляться только на основании критериев эффективности.
Для объектов 2 группы наряду с федеральной допустимо существование совместной собственности. Однако в условиях переходной экономики государство должно обладать бульшим объемом функций по управлению подобными объектами, например, через закрепление за собой контрольных пакетов акций или специального права, предоставляемого "Золотой акцией".
3 группа. Объекты, через которые государство берет на себя функции проведения централизованной социально экономической политики и социальной защиты населения. В их числе могут быть:

  • учреждения и организации здравоохранения;
  • высшие и средние специальные учебные заведения;
  • общеобразовательные школы;
  • учреждения культуры и искусства;
  • федеральные органы социального страхования и социального обеспечения;
  • учреждения социальной защиты (дома престарелых, реабилитационные центры для инвалидов и др.).
На большинство объектов этой группы должно распространяться полное право федеральной собственности. Вместе с тем, цели и методы управления имуществом таких объектов должны учитывать некоммерческий характер их деятельности и ориентироваться на рационализацию расходования федеральных средств, направляемых на соответствующие цели. В рамках рассмотренных групп, на наш взгляд, нужно провести более детальную классификацию объектов федеральной собственности.
Классификация федеральной собственности Федеральная собственность может быть классифицирована по видам, рассмотренным ниже:
1. По видам федеральной собственности:

  • недвижимая собственность (недвижимое имущество, недвижимость) – земельные участки, участки недр, обособленные водные объекты и все, что прочно связано с землей (то есть объекты, перемещение которых без несоразмерного ущерба их назначению невозможно, в том числе леса, здания и сооружения), а также подлежащие федеральной регистрации воздушные и морские суда, суда внутреннего плавания, космические объекты и другое имущество;
  • движимая ФС – имущество, не относящееся к недвижимому, включая деньги и ценные бумаги;
  • информация;
  • результаты интеллектуальной деятельности, в том числе исключительные права на них (интеллектуальная собственность);
  • другая собственность.
2. По отраслевому признаку:

  • объекты ФС, включенные в состав конкретной отрасли экономики и имеющие специфические отраслевые особенности, например ТЭК, транспорт, связь, АПК и др. (в каждой крупной отрасли имеются подотрасли, в которые включаются объекты ФС со своими особенностями);
  • памятники культуры.
3. По степени ликвидности:

  • низколиквидные (неликвидные) объекты ГС, например, госпакеты акций, у которых рост индекса курсовой стоимости меньше (существенно меньше) либо равен индексу инфляции;
  • стабильные, среднерисковые объекты ГС, например, госпакеты акций, у которых рост индекса курсовой стоимости меньше либо равен 1,5 индекса инфляции;
  • высоколиквидные объекты ГС, например, госпакеты акций, у которых рост индекса курсовой стоимости больше 1,5 индекса инфляции;
  • акции голубых фишек (blue chips) – акции компаний, ликвидность которых на рынке является наивысшей.
4. По величине госдоли (госпакета акций):

  • 100% у государства – АО или государственные унитарные предприятия;
  • 75% + 1 акция – у государства квалифицированное большинство акций;
  • 50% + 1 акция – у государства контрольный пакет акций;
  • 25% + 1 акция – у государства блокирующий пакет;
  • "Золотая акция" – специальное право государства на блокирование решений общего собрания акционеров.
5. По степени закрепления госдоли (госпакета акций):

  • казенные предприятия;
  • предприятия с закрепленным у государства пакетом акций (не подлежат продаже);
  • предприятия с частично закрепленным госпакетом акций (продажа по постановлению Правительства РФ);
  • предприятия с незакрепленным госпакетом акций (продажа в обычном порядке);
6. По степени индустриализации:

  • объекты промышленности;
  • объекты АПК;
  • памятники культуры;
7. По степени участия на рынке производимой продукции:

  • монополии (более 35% продукции);
  • не монополии и др.
Классификация методов управления ГС Методы управления, на наш взгляд, должны учитывать специфику субъекта управления и могут быть разделены на:

  • административные;
  • экономические;
  • законодательные и нормативные правовые;
  • организационные.
При этом, указанные методы управления могут быть разделены на уровни применения субъектами управления:

  • федеральный;
  • уровень субъектов Федерации или отраслей народного хозяйства;
  • муниципальный или отдельных предприятий и объединений.
В целом приведенная классификация видов госсобственности и методов управления ее объектами позволяет перейти к изложению конкретных методик управления определенными типами собственности, основными из которых, по нашему мнению, являются:

  • государственные унитарные предприятия;
  • пакеты акций, находящиеся в собственности государства;
  • федеральное недвижимое имущество.
Процесс управления всеми этими видами ФС, на наш взгляд, будет строиться в рамках общего цикла управления, однако в соответствии со спецификой объектов управления данный цикл может трансформироваться для повышения эффективности функционирования того или иного объекта федеральной собственности.
§ 3.2. Методика управления государственными унитарными предприятиями Сущность управления государственным унитарным предприятием состоит в реализации цикла управления для достижения максимальной эффективности его функционирования.
По нашему мнению, наиболее приемлемым для государственного унитарного предприятия является расширенный цикл управления, содержащий семь этапов (рис. 3.2).











Рис. 3.2. Цикл управления государственным унитарным предприятием
Для осуществления представленного на рис. 3.2 цикла управления, орган уполномоченный орган государственного управления должен определить и согласовать с подчиненным предприятием перечень, структуру и объем информации о функционировании.
Перечень должен содержать достаточное количество информации для получения полной и достоверной картины о ситуации на предприятии, и в то же время быть кратким.



Общая структура первичного предложения


Общая структура первичного предложения на рынке была крайне эффективной. Число подписчиков на все серии значительно превзошло количество выпущенных акций – в 4-5 раз, поэтому правительству пришлось увеличить выпуск до 140 млн. акций с первоначальных 110 млн. Через три месяца цена акций YPF составляла 27 долларов за штуку, что было на 50% выше первоначальной цены.
Это увеличило интерес инвесторов к аргентинской приватизации и ее акциям.
В общей сложности приватизация YPF принесла денежных средств на сумму в 5,1 млрд. долларов США при затратах в 13,5 млн. долларов. Совместные предприятия со стратегическим подразделением, занимающимся добычей, концессии и продажи принесли 1,8 млрд. долларов, а прямая продажа стратегического нефтедобывающего подразделения принесла 272 млн. долларов. В дополнение к доходам от этой операции новая YPF заплатила в виде налогов соответственно 109 и 99 млн. долларов.
Дивиденды выросли с 23,9 млн. долларов в 1992 году до 87 млн. долларов в 1994 году. Прибыльность компании выросла более чем в два раза, производительность также увеличилась.

Уроки приватизации Аргентинской сталелитейной компании (SOMISA)

Как показывает международный опыт, цели и процедуры приватизации компаний, переживающих сложные экономические проблемы, и компаний с перспективами здорового роста, различны.
В отличие от передачи права собственности в случаях с “Телмекс” и YPF, приватизация Аргентинской сталелитейной компании Sociedad Mixta Siderurgia Argentina (SOMISA) сопровождалась определенными концептуальными и процедурными ошибками, из которых необходимо извлечь уроки и учесть их при приватизации предприятий в неблагополучных отраслях промышленности (например, сталелитейная, угледобывающая отрасли).
SOMISA является крупнейшим производителем продуктов из углеводородистой стали в Аргентине, и ее производственная мощность превышает 1,5 млн. тонн в год. В 1990 году количество непосредственно занятых в компании составляло от 12000-15000 человек. Компания рассматривалась как стратегически важное предприятие и находилось под контролем Министерства обороны страны.
В середине 1991 года после того, как в течение определенного времени SOMISA несла огромные производственные убытки, правительство приняло решение о ее приватизации и наняло для этого в качестве технических советников компании Braxton Assiciates и Deloitte Touche Tohmatsu International. Позднее для осуществления самой продажи была нанята компания Salomon Brothers.
Правительство провело:
активное реструктурирование SOMISA, включая сокращение на 50% численности занятых;
значительное сокращение денежных убытков, составлявших 20-30 млн. долларов в месяц;
закрытие не приносящих прибыль производственных линий;
реструктурирование долга;
продажу в октябре 1992 года 80% компании всего за 140 млн. долларов.
Эта сумма была значительно ниже стоимости ее активов, составлявшей примерно 3 млрд. долларов, и едва превосходила ликвидационную стоимость после вычета затрат на остановку производства. Такой провал был вызван многими причинами.
Из него можно извлечь следующие уроки:
1. Продавец должен полностью понимать специфику окружения, в котором работает предназначенное для приватизации ГП. Правительство Аргентины недооценило масштабы того кризиса, в котором оказалась SOMISA после быстрого падения спроса внутри страны в конце 1980-х годов и одновременной либерализации иностранной торговли. Из-за жесткой мировой конкуренции цен SOMISA оказалась в состоянии технической несостоятельности, поскольку производительность ее была в 2,5 раза ниже, чем средние мировые показатели.
Ожидаемое соглашение о свободной торговле с Бразилией, Уругваем и Парагваем (MERCOSUR), открывающее аргентинский рынок для эффективно работающих бразильских производителей стали, рассматривалось в качестве последнего удара по шансам SOMISA быстро выправить положение. Правительство надеялось решить эту проблему “малой кровью”, введя ограничения на свободу действия индивидуальных инвесторов для сведения к минимуму негативного воздействия на общество. Это еще больше снизило предполагаемую стоимость предприятия.
2. Продавец должен понимать, что в глазах индивидуального инвестора стоимость предприятия имеет мало общего с балансовой стоимостью его активов. Сначала правительство Аргентины пыталось назначить цену, исходя из балансовой стоимости активов минус пассивы, и, таким образом, рассчитывало получить в виде доходов около 2 млрд. долларов. Консультанты предложили другую систему оценки, основывающуюся на таких факторах, как стоимость ликвидации минус затраты на остановку производства, используемую в качестве “минимальной цены”, анализ дисконтированного денежного потока и анализ аналогичных сделок.
Правительство с неохотой использовало последние два метода, поскольку, они занижали стоимость компании до уровня близкого к “минимальной цене”, что казалось неприемлемым.
3. Как только решение о приватизации безнадежно терпящей убытки компании принято, оно должно быть быстро проведено в жизнь, поскольку отсрочка может снизить оценочную стоимость компании в глазах потенциальных инвесторов. В данном случае получение доходов должно рассматриваться как второстепенная задача. Промедлив с передачей права собственности, правительство Аргентины вызвало неопределенность, результатом которой стал порочный круг падения производства и дальнейшее сокращение рабочих мест (6000 человек), что сопровождалось высокими затратами на выплату пенсионных пособий и волнениями рабочих, а также потерей доверия со стороны кредиторов и инвесторов.
Попытки правительства увеличить привлекательность SOMISA до приватизации путем широкой реструктуризации привели лишь к дестабилизации компании и снизили ее стоимость.
Приложение 5
Смешанная продажа Мексиканской телефонной компании (“Телмекс”)
В 1989 году правительство Мексики объявило о своем намерении приватизировать вторую по величине компанию в стране Telefonos de Mexico SA de CV (“Телмекс”) в рамках осуществления программы модернизации национальной экономики. Основные цели этой приватизации заключались в:

  • повышении качества телефонного обслуживания и телефонной системы;
  • защите прав рабочих компании;
  • предоставлении рабочим права владения акциями компании;
  • поощрении новых технических и научных разработок;
  • продолжении правительственного регулирования телекоммуникационного сектора;
  • обеспечении контроля Мексики над “Телмекс”.
Приватизация была осуществлена в два этапа в виде смешанной продажи.
На первом этапе был продан с торгов контрольный пакет “Телмекс” (акции АА) консорциуму мексиканских и иностранных компаний.
Вторым этапом стало открытое размещение акций на международных рынках. У “Телмекса” было три вида акций: акции АА, на которые приходилось 20,4% акционерного капитала и обеспечивавшие 51% голосов; акции А, на которые приходилось 19,6% акционерного капитала, а также акции L, представлявшие 60% акционерного капитала и обладавшие ограниченным правом голоса.
Прошедший на первой стадии процесс предложения привлек шестнадцать международных телекоммуникационных компаний, включая Nippon Telephone and Telegraph, Nynex International, US Sprint, STET и другие. В декабре 1990 года контрольный пакет Телмекс был продан консорциуму, состоявшему из финансовой группы Carso Group (Мексика) и двух иностранных компаний – Southwestern Bell (США) и France Cable et Radio (филиал France Telecom, Франция) за 1,76 млрд. долларов. Были проданы акции АА, которые позволили консорциуму приобрести контроль над “Телмекс”.
Carso Group получила 10,4% всех акций “Телмекс”; французская и американская компании получили по 5,1% каждая. Позднее, в ходе вторичного размещения, члены консорциума приобрели еще акции L, на которые приходилось 5,1% акционерного капитала.
Сумма прямых иностранных инвестиций, полученных мексиканским правительством за “Телмекс”, превзошла все ожидания. Согласно документам, спустя всего три месяца после приватизации прибыль компании в пересчете на год составила почти 2 млрд. долларов. Увеличение цены акций АА на Нью-Йорской бирже принесло их новым владельцам прибыль в размере 88,9 млн. долларов.
Второй этап приватизации оказался также успешным. К июню 1991г. правительство продало 1745 млн. акций типа L, которые предлагались на мировых биржевых рынках в виде Американских депозитарных расписок (АDR) по цене 27,25 доллара за акцию. Профсоюз рабочих, занятых в телефонной отрасли, используя кредит правительства Мексики на сумму 325 млн. долларов, приобрел 187 млн. акций А или 4,4 % общего числа акций Телмекс.
Одновременно акции были также предложены к продаже в Мексике, США, Японии, Канаде, Франции, Германии, Швейцарии и Великобритании посредством прямых продаж и через международное предложение. Тот факт, что среди владельцев и управляющих Телмекс находились престижные международные компании, а также успешная продажа акций “Телмекс” на иностранных рынках резко увеличили стоимость этой компании. За 12 месяцев после начала приватизации она выросла в 12 раз.
В результате приватизации “Телмекс”, закончившейся в мае 1992г., у мексиканского правительства осталось только 5% акций этой компании, а его доходы от продажи Телмекс достигли почти 5 млрд.долларов.













Подписано в печать 04.01.99 г.
Сдано в набор 11.01.99 г.
Формат 62 х 94/32
Гарнитура "Times"
Печать офсетная. Усл. печ. л. 10,7
Тираж 500 экз.
1 Харвей. Экономика городских земель. Изд. Макмиллан, 1993 г.



Оценка эффективности использования объектов недвижимости


Оценка эффективности использования объектов недвижимости Под эффективностью использования федеральных объектов недвижимости может пониматься степень соответствия направления использования данных объектов интересам государства как сложной социальной системы. Это не синоним максимальности, скорее критерием эффективности может выступать рациональность размещения разнообразных объектов с учетом специфики положения и уровня развития различных районов страны, а также сочетания общегородских и местных интересов природопользования, экологии и т. д.
Выделяют три аспекта, с позиций которых оценивается эффективность использования недвижимого имущества:
1. Земельный.
2. Градостроительный.
3. Природоохранный.
С позиций первого аспекта эффективность выражается максимальной суммой собираемых земельных платежей; с позиций второго – созданием пространственных условий развития материальной базы многоотраслевого комплекса города; с позиций третьего – максимальным сохранением ценных природных ландшафтов и обеспечением экологического равновесия, положительно сказывающегося, в конечном итоге, на здоровье населения.
В общем случае эффективность использования объекта недвижимости характеризуется отношением фактического ресурсопотребления на конкретном объекте к проектируемому. Показатель эффективности использования объектов недвижимости (E) рассчитывается как величина, обратная показателю уровня диспропорций (D) между существующим и проектируемым использованием данного объекта:

Оценка эффективности использования объектов недвижимости
.
Безразмерный комплексный показатель диспропорций (расхождений) между существующим и проектируемым использованием объекта определяется следующим образом:

Оценка эффективности использования объектов недвижимости
,
где
ks – коэффициент "жесткости" политики штрафных санкций за неэффективное использование объекта недвижимости;
Bi – весовой коэффициент дефицитности i-того вида ресурсов;
Di – показатель уровня диспропорций по i-тому виду ресурсов.
Чем меньше безразмерный комплексный показатель диспропорций, тем выше показатель эффективности использования объекта недвижимости. Максимальное значение последнего (100%) означает полное соответствие существующего ресурсопотребления проектируемому. При этом все частные диспропорции отсутствуют.
Коэффициент "жесткости" политики штрафных санкций определяет, во сколько раз сумма дополнительных штрафных платежей за неэффективное использование объекта может превышать величину исходной арендной платы. При ks = 1 максимальная величина штрафов не сможет превысить исходной арендной платы; иначе говоря, наименее эффективное использование объекта удваивает плату за пользование землей; при ks = 2 – утраивает и т. д.
Значения Bi – весовых коэффициентов дефицитности i-того вида ресурсов – чаще всего определяются экспертно.
На основании оценки эффективности использования объектов недвижимости можно проводить планирование вариантов использования объекта недвижимости. Кратко рассмотрим лишь возможные варианты использования федеральных объектов недвижимого имущества.
Планирование вариантов использования недвижимости Основными вариантами использования объекта недвижимости могут быть:

  • продажа;
  • сдача в аренду;
  • передача в управление;
  • передача в залог;
  • внесение в качестве вклада в уставный (складочный) капитал создаваемого общества.
Общим основанием для планирования проведения любого из перечисленных мероприятий является определение реальной рыночной стоимости объекта недвижимости. Основным критерием отбора варианта является максимальный дисконтированный доход от реализации того или иного варианта использования объекта недвижимости.
Однако после выбора варианта дальнейшие мероприятия должны быть направлены на повышение эффективности использования объекта с учетом выбора. Для этого проводится комплекс действий по реализации запланированного варианта.
Реализация запланированных мероприятий

Алгоритм реализации мероприятий

Повышение эффективности использования объекта недвижимости, на наш взгляд, целесообразно осуществлять в виде следующего алгоритма:

  • предпродажная подготовка;
  • проведение открытого конкурса по приобретению запланированных прав;
  • заключение договора на реализацию прав с победителем конкурса;
  • передача прав на объект победителю конкурса.

Проведение открытого конкурса

Решение о проведении конкурса принимается соответствующим органом исполнительной власти, либо им же совместно с соответствующим органом законодательной власти по тем объектам, по которым такая процедура предусмотрена законодательством (далее – Орган).
Для организации и проведения конкурса Орган формирует комиссию, наделенную специальными функциями (рис. 3.13), в состав которой включаются представители подразделений, ведающих вопросами архитектуры и градостроительства, управления жилищным фондом, федеральным имуществом, финансами по представлению руководителей соответствующих подразделений.
Для экспертизы и оценки инвестиционных проектов комиссия может привлекать на возмездной и безвозмездной основе экспертные, консультативные, проектные группы, сторонних специалистов и специализированные организации.
Инвестиционный проект, представляемый на конкурс, должен содержать:

  • титульный перечень работ по капитальному ремонту или реконструкции объекта, необходимых для поддержания его в пригодном для эксплуатации состоянии;
  • объем предлагаемых инвестиций, необходимых для выполнения указанных работ;
  • сроки выполнения проекта;
  • планируемый объем площадей, предоставляемых инвестору в собственность при выполнении инвестиционного проекта.















Рис. 3.13. Функции Комиссии по проведению конкурса
Комиссия организует конкурс в следующем порядке:

  • определяет условия конкурса;
  • организует публикацию информации о проведении конкурса;
  • принимает заявки на участие в конкурсе;
  • организует ознакомление участников с объектом;
  • осуществляет процедуру конкурса;
  • обеспечивает проведение экспертизы и оценки инвестиционных проектов;
  • определяет победителя;
  • организует публикацию информационного сообщения об итогах конкурса.
Информационное сообщение о проведении конкурса должно содержать следующие сведения:

  • местонахождение и технико-экономические характеристики объекта;
  • порядок ознакомления с объектом;
  • условия участия в конкурсе и критерии выявления победителя;
  • окончательный срок приема заявок и других документов на участие в конкурсе;
  • сумма задатка и расчетный счет Комитета, на который он должен быть перечислен;
  • дата, место и время вскрытия предложений;
  • срок подписания победителем итогового протокола и других документов.
Очевидно, что дальнейшее использование федерального недвижимого имущества должно контролироваться федеральными органами, поэтому, на наш взгляд, необходимо описать процедуры контроля использования федеральной недвижимости.
Контроль использования федерального недвижимого имущества Процедура контроля использования федерального недвижимого имущества включает в себя мероприятия и действия, направленные на мониторинг текущего состояния объектов имущества, правильности и законности их использования, принятие решений по недобросовестному использованию объектов недвижимости. В целом всю совокупность мероприятий и действий можно представить в виде схемы (рис. 3.14).


















Рис. 3.14. Структура и порядок контроля использования федеральных объектов недвижимости
Основные функциональные задачи мониторинга:

  • систематическое выявление изменений в состоянии фонда объектов недвижимости и обновление банка данных федерального кадастра объектов недвижимого имущества;
  • изучение и оценка текущих процессов;
  • использование и анализ данных контроля за использованием и охраной объектов недвижимости;
  • информационное обеспечение кадастровой оценки объектов.
Для получения необходимой информации при осуществлении мониторинга основными методами представляются:

  • дистанционное зондирование, при котором изучается внешнее окружение объекта недвижимости;
  • непосредственные наземные специальные наблюдения;
  • современный и ретроспективный анализ данных, получаемых в результате инвентаризации объектов, проверок, обследований, контрольно-ревизионной работы.
Таким образом, цикл управления федеральным недвижимым имуществом завершается принятием решения о продолжении конкретного использования объекта, причем решение может быть одним из следующих:

  • расторжение договора на использование объекта недвижимого имущества ввиду незаконности или неэффективности использования;
  • пересмотр условий договора;
  • продолжение работы на тех же условиях.
Как показал проведенный анализ, цикл управления федеральной собственностью является наиболее приемлемым способом реализации всех функций государства по пополнению доходной части бюджета. Грамотная и четкая реализация всех этапов цикла для всех видов федеральной собственности позволит, на наш взгляд, повысить эффективность использования федеральной собственности.
Глава 4. Региональные аспекты управления государственной собственностью § 4.1. Экономические аспекты регионального развития На современном этапе развития общества экономические аспекты регионального развития приобретают все большее значение, а само понятие регион отождествляется с основной формой территориальной организации производительных сил в России.



Организация управления госдолями


Таковыми являются:
  • точное и примерное исполнение законодательства по труду, обязанностей уплаты налогов, законодательства по защите окружающей среды и т. д.;
  • принятие во внимание государственных целей в области занятости сотрудников, в особенности;
  • активное обучение профессиональных кадров и т. д.;
  • активная деятельность в области собственных специфичных для предприятия исследований и разработок, а также стимулирование необходимых для этого квалифицированных кадров;
  • содействие в создании рабочих мест на определенном предприятии и на предприятиях-поставщиках без угрозы для конкурентоспособности и рентабельности предприятия.
Организация управления госдолями Управление госдолями должно быть принципиально организовано таким образом, чтобы государство как собственник предприятия предоставляло менеджменту по возможности большую самостоятельность в практическом управлении предприятием С другой стороны, государство должно иметь достаточную возможность влиять на то, чтобы предприятие было обязано добиваться достижения указанных целей государства и чтобы исполнение этих обязательств контролировалось.
В организационном отношении это предполагает, что в министерстве и / или в его региональных административных звеньях создается аппарат, который по своему кадровому составу и квалификации сотрудников в состоянии взять на себя задачи по управлению и контролю предприятиями, получающими бюджетные кредиты. Для этого государство должно располагать достаточно большим потенциалом квалифицированных кадров с опытом работы в управлении предприятиями, которые будут работать по поручению государства в наблюдательных органах предприятий (наблюдательных советах). Они будут стремиться не вмешиваться в оперативное управление предприятиями, но в то же время обеспечивать следование государственной стратегии.
Должен быть дополнительно создан контрольный орган в министерстве, не вовлеченный непосредственно в инвестиционное управление, который мог бы по возможности оперативно проверять, выполняют ли инвестиционное управление и представители государства в наблюдательном совете согласованно свои задачи.
Для организации инвестиционного управления ведомство по управлению государственной собственностью в Германии, которое на первом этапе должно было управлять 9000 предприятиями, выработало относительно хорошо действующее решение Ведомство по управлению государственной собственностью имело в Берлине свою центральную резиденцию и 15 филиалов в крупнейших окружных городах Восточной Германии (в среднем один филиал на миллион жителей).
Центральный орган был ответственен за примерно 25% предприятий от их общего количества Это были большие предприятия с числом занятых свыше 1500 человек в каждом. Они давали примерно 65% общего объема производства. Филиалы были ответственными за оставшиеся 75% предприятий, которые были соответственно меньше и давали в целом 35% общего объема производства.
Каждое предприятие было подчинено или конкретному филиалу, или центральному органу. Изменения ответственности были возможны только в исключительных случаях и требовали особого процесса согласования, при котором изменение ответственности разрешалось и принималось к сведению всеми заинтересованными органами.
Существенной составной частью этой организации было то, что филиалы в своей повседневной деятельности обладали высокой автономией и большинство решений могли принимать сами, но в целом во всем диапазоне общих согласований, а также в особо важных отдельных случаях были неограниченно подчинены центральному органу в Берлине.
Федеральные органы были вовлечены в эту систему таким образом, что, с одной стороны, они были представлены в Административном совете Ведомства по управлению государственной собственностью и имели там примерно одну четверть мест, а с другой стороны каждый региональный филиал имел совещательный совет из представителей общественности.
Руководство филиала было подотчетно этому совету. Совет имел право обсуждать происходящие процессы и высказывать свои рекомендации, но не имел никакого распорядительного права по отношению руководства филиала Таким правом обладало центральное управление в Берлине.
Для эффективного управления госдолями потребность в кадрах была очень значительна.
Сотрудники, управлявшие собственностью, были заняты исключительно в центральном аппарате и в его филиалах. При управлении средними и малыми предприятиями оптимальной интенсивностью кураторства считалась нагрузка порядка десяти-двенадцати предприятий на одного сотрудника Потребность в кадрах для больших предприятий должна рассматриваться в каждом отдельном случае.
Штатные менеджеры предприятий должны выбираться только по критерию соответствия их квалификации конкретным задачам Они не должны иметь обязательств ни по интересам государства, ни по интересам других акционеров.
По-другому это обстоит с членами наблюдательного совета как контрольного органа Государство должно использовать здесь персонал, который, с одной стороны, готов четко представлять интересы государства, как владельца, а с другой стороны, располагает необходимыми знаниями, чтобы эффективно выполнять эти задачи в наблюдательном совете.
Как показала практика, рациональным оказалось то, что в каждом случае в наблюдательный орган делегировался штатный инвестиционный куратор. Если государство располагает дополнительными местами в наблюдательном органе, то оно должно направлять туда специалистов из коммерческих структур, преимущественно не чиновников из министерств.
Этими специалистами могут быть, например, штатные руководители предприятий с государственным участием, которые имеют специфические знания в соответствующей отрасли, но такое выдвижение не должно приводить к конфликту интересов с их собственными предприятиями. Выдвижение в наблюдательный совет или же предложение о выборе в наблюдательный совет должны проводиться в каждом случае на основе формального соглашения между инвестиционным руководством и членом наблюдательного совета, согласно которому член наблюдательного совета обязуется учитывать интересы государства при исполнении своей должности и отказаться в любое время от своего мандата по желанию инвестиционного руководства.
Контрольный орган должен работать с достаточным кадровым составом. Примерным соотношением могло бы быть один сотрудник контрольного органа на десять до пятнадцати сотрудников – инвестиционных кураторов.
Возможные направления использования в отечественной практике опыта зарубежных стран по управлению федеральной собственностью Как показывают исследования, условия проведения приватизации в России и развитых капиталистических странах различаются кардинально. Однако вышеизложенный зарубежный опыт вполне может быть использован и учтен в российской практике,
Это касается прежде всего индивидуального подхода к приватизации многих крупных государственных объектов, разнообразия способов передачи государственной собственности в частные руки, стремления сохранить существующие хозяйственные связи, нацеленность не на быструю смену собственника, а на рост эффективности предприятия, организацию процесса приватизации государственным аппаратом.
Одним из важнейших вопросов при проведении эффективной приватизации является вопрос обеспечения населения и инвесторов достоверной информацией. Любопытно также решение многих тактических вопросов: конкретные методы оценки стоимости государственного имущества, опыт урегулирования споров, использование государством права вето на приватизированных предприятиях и т.п.
Представляется, что значение западного опыта для нас постепенно возрастает в связи с окончанием массовой, в существенной степени принудительной, "ваучерной" приватизации и проведением коммерческой, "денежной" приватизации. Западный опыт может стать хорошим подспорьем, когда главной задачей становится поиск эффективного собственника, а не массовость.
В целом же следует подчеркнуть, что различие исходных условий предопределяет необходимость лишь учета западного опыта, но никак не значительного прямого заимствования или копирования.
Рассмотрим некоторые моменты зарубежного опыта по управлению федеральной собственностью, которые целесообразно учесть в отечественной практике.
Независимо от результатов хозяйственной деятельности, российским предприятиям не хватает оборотных средств, чтобы выполнять текущие обязательства по платежам. Поэтому не выплачиваются зарплаты и не платятся налоги, а в отношении поставщиков и клиентов денежную экономику подменяет обменная (бартерная) экономика. Во многих случаях зарплата сотрудникам, которые втянуты в этот обмен, выплачивается натурой.
С точки зрения народного хозяйства эта обменная экономика неэффективна и должна быть заменена денежной экономикой.
Это принципиально реализуемо, если предприятиям предоставляются краткосрочные кредиты, которые обеспечиваются государством и с помощью которых предприятия оплачивают заработную плату, услуги поставщиков и свои налоги.
Однако при этом возможен большой риск, состоящий в том, что в условиях неконтролируемой ситуации эти кредиты могут быть использованы не для предусмотренных целей, а для накопления или нелегального экспорта капитала.



Основные цели создания корпоративных ГП


Приватизацию предполагалось провести в ближайшем будущем, но по второму вопросу о золотой акции у шведских акционеров имелись серьезные аргументы. По плану слияния предполагалось, что французское правительство будет владеть непосредственно 47 процентами, а “Вольво” 18 процентами компании “Рено-Вольво” (так намеревались назвать объединенную фирму). Еще 35 процентов акций должны были контролироваться холдинговой группой под названием RVC, 51% из этих акций должен был принадлежать французскому правительству и остальные акции – “Вольво”. Все, прямо или косвенно, сводилось к тому, что “Вольво” будет принадлежать 35 процентов новой европейской автомобильной компании, а французскому правительству – все остальное. Но золотая акция давала бы французскому правительству возможность ограничивать права любых акционеров, включая “Вольво”, предоставляя им лишь одну пятую прав голоса в компании в том случае, если “Рено” решил бы разорвать договор с акционерами, который предстояло заключить после слияния. В Швеции были опасения, что при такой договоренности интересы Франции всегда будут на первом месте.
Как раз в это же время французское правительство не выполнило свое обещание относительно сокращений рабочих мест в государственной компании “Эр Франс”, и это еще более обострило ситуацию.
В Швеции выражалась озабоченность по поводу того, что если “Рено-Вольво” придется снизить себестоимость, как это попытался сделать глава “Эр Франс”, то в первую очередь будут сокращаться не французские, а шведские рабочие места. Но французская сторона настаивала, что золотая акция является лишь оборонительным оружием, к которому она прибегнет только в том случае, если какая-нибудь американская или японская автомобильная компания попытается завладеть “Рено-Вольво”. После длительных переговоров, в ходе которых французская сторона настаивала на сохранении у себя “золотой акции”, взаимовыгодная сделка так и не была заключена.
Приложение 3
Акционирование в Новой Зеландии
Как известно, акционирование ослабляет правительственный контроль за ГП, поскольку изменяет его организационную форму и управленческие структуры, делая их подобными коммерческим предприятиям частного сектора. Опыт Новой Зеландии демонстрирует, что акционирование может быть прелюдией к приватизации.
Когда в середине 1984г. в Новой Зеландии в результате выборов к власти пришло лейбористское правительство, эта страна испытывала серьезные экономические, финансовые и структурные проблемы. Развитие экономики сильно сдерживалось широким государственным регулированием, вмешательством и субсидиями. В ответ на финансовый кризис правительство провело экономические и социальные реформы, чтобы продвинуть Новую Зеландию вперед к экономике свободного рынка.
Частью этих реформ было акционирование предприятий и приватизация. Принятый в 1986г. Закон "О государственных предприятиях..." создал рамки для работы государственных предприятий и обеспечил условия для акционирования. Основными целями создания корпоративных ГП были:
1. Разделение коммерческой и некоммерческой деятельности. ГП продолжали заниматься коммерческой деятельностью, в то время, как правительство продолжало финансировать только некоммерческую деятельность. Между социальными целями и целями бизнеса была проведена ясная разграничительная черта, оставляющая обязательной для правительства некоммерческую деятельность, в отношении которой заключались специальные контракты и осуществлялось специальное финансирование.
2. Привнесение рыночных механизмов в деятельность ГП. Отношение к акционированным ГП было такое же, как и к частным предприятиям. Они должны были платить налоги, не получали никаких субсидий, должны были зарабатывать прибыль, и их долги не гарантировались правительством.
Акционирование стало успешным инструментом для финансовой и организационной реструктуризации государственного сектора в Новой Зеландии. В последствии оно облегчило процесс продажи активов частному сектору. Около половины предприятий, приватизированных к декабрю 1995г., первоначально являлись акционированными предприятиями.
Приложение 4
Примеры приватизации аргентинских компаний

Приватизация Аргентинской нефтяной компании (YPF)

Компания Yacimentos Petroliferos Fiscales (YPF) была создана как объединенный производитель нефти в начале нынешнего века, с целью развития в Аргентине нефтяной промышленности. К 1991 году она превратилась в самую большую в Аргентине компанию, годовой торговый оборот которой превышал 4 млрд. долларов. Она также стояла четвертой в списке самых крупных работодателей в стране, обеспечивая занятость 13 процентов всей рабочей силы государственного сектора.
До 1989 года YPF обладала почти абсолютной монополией в нефтяной промышленности. Цель приватизации YPF заключалась в преобразовании этого предприятия в эффективную, конкурентоспособную, объединенную компанию по производству нефти и природного газа.
В 1989-1991гг. Правительство Аргентины проводило политику дерегулирования и введения конкуренции в нефтегазовую промышленность. Все ограничения на разведку, производство и продажу сырой нефти, газа и нефтепродуктов были отменены.
После Закона о приватизации от 1992 года многие активы в сфере добычи и производства YPF были проданы или отданы в концессию частным компаниям, что принесло к 1994 году 1,4 млрд. долларов. Для того чтобы компания была конкурентоспособной в условиях дерегулирования экономики, а также для подготовки к приватизации, ее новое руководство, назначенное в 1991 году, приступило к осуществлению комплексного плана по организационной и финансовой реструктуризации и реструктуризации сферы занятости, который основывался на стратегических целях, разработанных фирмой "Маккинли и Ко".
Он предусматривал:
значительные дополнительные продажи не являвшегося критически важным имущества;
создание двух стратегических бизнес-подразделений – для добычи, производства и реализации продукции;
разработку программы снижения затрат, предусматривавшую значительное сокращение числа занятых (с 51000 до 8000).
Финансовое реструктурирование включало в себя приведение в порядок балансовой отчетности: списание накопившихся долгов и принятие на себя правительством всех кредитов и долговых обязательств, за исключением 2,7 млрд. долларов (появившихся после 11 декабря 1990 года). Для того чтобы сделать свои акции более привлекательными, YPF было предложено выплатить специальные дивиденды.
Реструктуризация не сопровождалась вливанием новых инвестиций, ее цель заключалась в устранении негативных элементов из структуры YPF и оптимизации остающихся частей.
Продаже предшествовали оценка стоимости и маркетинг имущества YPF. Оценка была произведена независимыми консультантами, чьи решения были обязательными для покупателей. Первоначальная цена акций для публичного предложения в размере 19 долларов за акцию была установлена совместно Министерством экономики, менеджерами YPF и андеррайтерами.
Она основывалась на условиях спроса и предложения, данных о деятельности и финансовом положении компании, уровне дивидендов, продажах, информации о доходах и расходах, показателях соотношений цена/доходы и цена/денежный поток, рыночной цене акций иностранных компаний, занимающихся аналогичным бизнесом и имеющих аналогичные активы.
Маркетинг активов и деятельности YPF был осуществлен с помощью различных консалтинговых фирм и нескольких рекламных мероприятий в США и Европе. Например, бывший министр экономики Доминго Кавайо за месяц до начала продажи акций YPF провел серию презентаций, рассчитанных на определенную категорию инвесторов. Кроме того, в 29 финансовых центрах по всему миру была проведена тщательно спланированная и рассчитанная на 4 недели рекламная кампания по привлечению инвесторов. Имевшая огромный успех кампания помогла укрепить доверие к аргентинским рынкам капиталов и убедить международных институциональных инвесторов вложить деньги в эту страну.
Даже традиционно скептически настроенные мелкие инвесторы откликнулись на интенсивную рекламную кампанию в крупнейших газетах и на телевидении, предлагавшей премиальные акции за лояльность для тех, кто не изымал первоначальные инвестиции в течение двух лет.
Многосерийный, зарегистрированный Комиссией по биржам и ценным бумагам глобальный выпуск акций YPF с регистрацией на Нью-йоркской фондовой бирже (NYSE), завершенный в июле 1993 года, явился на тот момент самой крупной приватизацией в Латинской Америке. Денежные поступления от него превысили 3 млрд. долларов. Всего было предложено к продаже 160 млн. акций: серия из 40 млн. – в Аргентине, 74 млн. – в США и 46 млн. – в других странах мира (включая субсерию в Америке для удовлетворения всех потенциальных источников спроса).
Последняя серия была осуществлена в виде Американских депозитарных расписок (ADR), поскольку действующие на международных рынках капитала правила не допускают прямое предложение первоначального выпуска для широкой продажи. Глобальными координаторами были Credit Suisse First Boston (CSFB) и Merill Linch с десятками выполнявших роль вспомогательных менеджеров и старших вспомогательных менеджеров (Citibank, Deutsche Bank, Kleinwort Benson, Baring Brothers, Nomura International, Dresdner Bank, SG Warburg Securities, Credit Lionnais Securities и др.).



Основные принципы функционального подхода


Быстрому созданию кадастра способствовало то, что землемерные работы не выполнялись, а в качестве топоосновы брались данные старого межевания и определения границ отдельных имений. При этом все земли классифицировались на 7 типов, каждый из которых включал не более 8 классов по качеству. Выборочной проверке подверглись только 15% всех площадей.
Созданная вертикальная структура из окружных комиссий и окружных комиссаров представляла в Центральную комиссию данные о доходности земли, основанной на ценах сельскохозяйственной продукции за период с 1837 по 1860 годы, а жесткие сроки кадастра потребовали привлечь к оценочным работам более 7000 человек, из которых 3000 проверяли землемерные измерения, а остальные занимались непосредственно оценочной работой.

Кадастр Вюртемберга

Этот кадастр считался лучшим в Западной Европе. Он начал создаваться с 1820 года, когда для целей наполнения казны королевства было решено провести переоценку недвижимости. Землемерные работы закончились в 1840 году, а в1873 году был прининят новый закон об оценке земель, строений и промыслов.
Характерной особенностью этого кадастра явилось то, что в его основе лежал главный принцип – налог должен изыскиваться с доходов, а не с имущества. Не менее важным являлось также создание оценочной организации при министерстве финансов из особых лиц, не занимающихся другой деятельностью в налоговых или иных органах. Была разработана единая методика, по которой работали на местах комиссии, состоящие из представителей центра и местных органов.
Порядок оценки предполагал оценку доходности земель различного типа на базе цен сельскохозяйственной продукции за последние 15 лет.
Леса оценивались по стоимости древесного запаса разных пород при обоснованном периоде рубки. Для получения чистого дохода из годового дохода по ценам 1855-1869 годов вычитались расходы на содержание леса.
Интересным выводом вюртембергского кадастра, который стремился найти чистую доходность недвижимости, является то, что при изменяющейся рыночной конъюнктуре главную роль играет не количество продукта, а цена на него. Именно поэтому кадастровый метод для налогообложения не будет успевать за изменением рыночной ситуации, явно проигрывая гибкому и динамичному подоходному налогообложению.

Кадастр Англии

Он был противоположен французскому кадастру. В соответствии с английским законодательством вся земля принадлежит Короне и может находится формально лишь в арендном пользовании, поэтому основой оценки являлись арендные договоры, которые могли корректироваться в любое время. Следует отметить, что сроки договоров аренды могли быть сотни лет и договоры могли быть многоступенчатые, вложенные друг в друга по срокам пользования и цепочкам арендаторов и субарендаторов.
Именно из-за простоты применяемого подхода, основанного на удобстве расчетов, в Англии была возможность проводить оценку земли ежегодно.

Кадастр США

Способ оценки земли в США был аналогичен английскому, с той лишь разницей, что вследствие неразвитости рынка аренды в качестве основы для оценки использовались цены покупки земли. Несмотря на то, что цены покупок зависят от многих факторов, часто не имеющих непосредственного отношения к земле, этому способу оценки отдавали предпочтение по сравнению со сложными расчетными по определению доходности земли.
Главным достоинством системы, практикуемой в Англии и США, являлась ее подвижность, позволяющая оперативно реагировать на изменения ценности и доходности земли.
§ 2.3. Основные принципы управления в США и Германии Принципы американского подхода к управлению Стержнем системы управления в США является такое понятие как skill ("умение", "навык"). Совершенствование управления в США, прямо связано с глобальной конвейеризацией труда. Именно конвейер, то есть разбиение любой большой и сложной задачи на цепь локальных, простых, стандартных задач, позволяет среднему человеку работать с максимальной эффективностью, а управляющему – творить чудеса планирования и организации.
Со временем усложняется лишь структура "конвейера", но принцип остается.
Основы функционального подхода К основным принципам функционального подхода относятся:
1. Принцип "сосредоточься на том, что ты делаешь успешнее всего".
Это позволяет выполнять операции с наибольшей эффективностью и отдачей. При этом одновременно развиваются профессиональные навыки и умения.
2. Принцип "конструктора". Если в процессе четко выделены все элементы, то решать задачи можно, либо заменив одну задачу другой, либо добавив к цепочке операций новые, либо отсекая лишние.
Так поступили компании hi-tech в начале 90-х, когда им на пятки стали наступать азиатские производители. В управлении инновациями в IBM, Intel, Microsoft появились группы, отвечающие за "интеграцию технологий". Это резко расширило спектр технологических решений, и наметившаяся тенденция к отставанию была преодолена.
Функциональный подход позволил американцам быстрее других осознать, что нечто, не являющееся основой бизнеса, можно перепоручить профессионалам. Отсюда выделение в структуре экономики новых специализированных звеньев, расцвет аудита, консалтинга, инжиниринга, рекрутмента, а в последние годы – аутсорсинга (вывод за рамки компании вспомогательных функций ее бизнеса, например, бухгалтерии, технического обслуживания, транспорта).
3. Принцип профессиональной вертикали. Оптимальным считается профессиональный рост людей строго по оси специализации: на эту ось нанизываются все новые и новые skill, повышающие квалификацию специалиста. Принцип профессиональной вертикали отражается и при переходе человека из компании в компанию с целью занять рабочее место, строго соответствующее его специализации и квалификации.
4. Социалистический принцип оплаты по труду. Труд измеряется сложностью и продолжительностью, квалификация плюс жесткое нормирование и почасовая оплата. Эта схема идеально сочетается с американской системой профессионального роста.
Функциональный подход к кадрам Американская система, где человек подчинен конвейеру, функции, вовсю производит и новые идеи, и лидеров для их воплощения, а японская система, где человек более ценен, чем его функция, испытывает недостаток ярких индивидуальностей, духа предпринимательства.
Откуда же в конвейерной системе берутся лидеры и творческие личности? Не считая присущего американцам индивидуализма, работает все тот же функциональный подход к управлению.
С одной стороны, он облегчает руководителям делегирование полномочий: делегировать что-то легче и безопаснее, когда это "что-то" детально прописано и может быть точно оценено. А децентрализация управления – прямой путь к массовому проявлению лидерских качеств.
С другой стороны, с учетом известного соотношения творчества и рутины в процессе труда, можно сказать, что, одержав победу над рутиной, сделав ее технологичной, американцы развязали себе и другим руки для творчества.
Функциональный подход к управлению Проведя исследования и выяснив, что основная работа менеджера – думать о продуктах, рынках и покупателях и реализовывать возникшие идеи, они начинают выяснять, как это делается, то есть строить конвейер мысли. Отсюда – всевозможные матрицы, помогающие американцам со школьной скамьи структурировать аморфную действительность.
Отсюда – деление сотрудников на экстравертов и интравертов, получающих информацию всеми пятью чувствами и интуитивно, постепенно приходящих к решению или быстро – чтобы правильно разместить их по рабочим местам и "включить в работу все мозги компании". А если сам менеджер до чего-нибудь не додумается, это сделает мощная индустрия аутсорсинга деловой мысли – исследователи при многочисленных школах бизнеса. Они вовремя подскажут, что парадигма меняется.
Например, недавно в Harvard Business Review появилась статья. Оказывается, сейчас ключевой момент для выживания американской производственной компании – изменения в производстве. Между тем основной корпус менеджмента по старинке думает о финансовых, маркетинговых проблемах и давно по цехам не ходил.
И авторы рекомендуют: срочно всем от генерального директора до среднего менеджерского персонала ехать на заводы – к себе, к конкурентам, за рубеж. И главное – инструктируют, на что по ходу экскурсии должен обращать внимание высший менеджер (Chief Executive Officer, СЕО), а на что рядовой клерк. И естественно поедут, и производство наладят.
Потому что знают, где главное звено, где в каждый конкретный момент находится точка опоры.
Цели управления госдолями в Германии Задача управления госдолями обычно состоит в том, чтобы с помощью находящихся в распоряжении владельца правовых возможностей:

  • обеспечивать долгосрочное повышение стоимости предприятия;
  • достигать текущей, по возможности выплачиваемой по дивидендам, прибыли;
  • обеспечивать в любое время сохранность платежеспособности предприятия;
  • наращивать собственный капитал для повышения эффективности работы предприятия.
Если государство является владельцем или совладельцем предприятия, то в рамках управления госдолями должны достигаться дополнительные специфические государственные цели.



Предприятие как имущественный комплекс


  • собственности – Союзу ССР (требуется доказательство и переоформление прав собственника на Российскую Федерацию);
  • собственности – бывшей Российской Империи (требуется доказательство и переоформление прав собственности на Российскую Федерацию).
Эти объекты могут:

  • находиться в розыске или быть оформленными в розыск;
  • требовать доказательства из-за неправомерного отчуждения (оформленного или неоформленного) государствами, юридическими и физическими лицами.
Объекты собственности могут находиться под двойной юрисдикцией: Российской Федерации и иностранного государства.
8. Субъектами управления собственностью Российской Федерации является Российская Федерация, субъекты Российской Федерации, федеральные органы исполнительной власти, иностранные государства, российские и иностранные юридические и физические лица.
Кроме того, субъектами могут быть государства, иностранные и российские юридические и физические лица, неправомерно удерживающие объекты в своем управлении, владении, пользовании и распоряжении.
9. Право собственности относится к категории вещных прав, сущность которых заключается в прямом господстве над вещью, подразумевающем использование ее управомоченным лицом в своих интересах, и в исключительности осуществления данной возможности.
Субъективное право собственника распадается на три основных правомочия: владения, распоряжения, пользования.
Под правомочием владения понимается юридически обеспеченное господство над вещью, то есть возможность иметь данную вещь у себя, содержать ее в собственном хозяйстве.
Правомочие распоряжения – это возможность определения юридической судьбы вещи путем изменения ее принадлежности, состояния и назначения.
Правомочие пользования – юридически обеспеченная возможность использования вещи путем извлечения из нее любых полезных свойств.
Эти правомочия не полностью характеризуют право собственника. Это лишь основные правомочия с точки зрения отечественной доктрины.
10. Управление – элемент, функция организованных систем различной природы, обеспечивающая: сохранение их определенной структуры; поддержание режима деятельности; реализацию их программ и целей.
Управление осуществляется (реализуется) системой федеральных органов власти и управления, а также другими (в том числе общественными) организациями с целью достижения максимального народно-хозяйственного эффекта.
Управление собственностью – как текущее управление федеральной собственностью, так и стратегические преобразования структуры собственности в стране, направленные на ее оптимизацию в смысле поставленных целей и проводимые в рамках промышленной (реструктуризационной) политики государства в отношении собственности.
11. Система – совокупность объединенных одной целью объектов, их функций и связей.
12. Приватизация федеральной собственности – возмездное отчуждение находящихся в собственности Российской Федерации и ее субъектов объектов приватизации в собственность юридических и физических лиц.
Здесь приватизация рассматривается как средство оптимизации структуры собственности, направленное, с одной стороны, на сужение границ госсобственности, позволяющее государству сконцентрировать усилия по текущему управлению его объектами, а с другой – на рост настоящих и будущих доходов бюджета за счет продажи госсобственности эффективному собственнику.
13. Деприватизация – обращение федерального имущества, например, за счет дополнительной эмиссии акций и последующей передачи их эффективному собственнику (по заранее определенным критериям эффективности).
В рамках рассмотренных понятий и определений в первую очередь необходимо рассмотреть существующие проблемы управления федеральной собственностью. В рамках классификации федеральной собственности, принятой в настоящее время (на наш взгляд, она нуждается в углублении и детализации, что будет показано ниже), выделяются насколько видов собственности:

  • недвижимое имущество;
  • государственные унитарные предприятия;
  • пакеты акций, находящиеся в федеральной собственности.
§ 1.2. Рынок государственной собственности В качестве основы процесса обращения государственной собственности, как правило, используется классификация собственности в системе определений ГКРФ: объекты, субъекты, формы и права собственности. Обращение к ГК РФ в качестве логической первоосновы для определения собственности как объекта управления, а в дальнейшем для определения допустимых правовых и других операций – класса управляющих воздействий на собственность понимается как гарантия строгого, законодательно обоснованного правового пространства управления собственностью.
Система определений собственности Рассмотрим систему определений собственности (объектов, субъектов, форм и прав собственности), опираясь на систему определений Гражданского Кодекса Российской Федерации.
Объекты гражданского права классифицированы в ГК РФ в следующей последовательности: виды объектов гражданского права, недвижимые и движимые вещи (ст. 128, 130, 132, 138) (рис. 1.4):








Рис. 1.4. Объекты гражданского права
Структура объектов движимого и недвижимого имущества может в свою очередь классифицироваться на несколько достаточно крупных блоков. Это позволяет выделить следующие составляющие движимого и недвижимого имущества (рис. 1.5, 1.6).











Рис. 1.5. Виды недвижимого имущества
Примечание
1. Кроме указанного к недвижимости, в порядке исключения, отнесены подлежащие регистрации воздушные и морские суда, суда внутреннего плавания, космические объекты (ст. 130). Ключевым в отнесении этих объектов к недвижимости явилась общность требуемых процедур государственной регистрации.
2. К недвижимости относятся также отдельные, составные части сложных объектов недвижимости (зданий), как квартиры и помещения.
Известно, что ГК РФ как основополагающий законодательный документ дает только базовые определения и регулирующие положения, которые при необходимости, более подробно раскрываются в других законодательных документах: кодексах и законах. В их числе: водный и лесной кодексы, законы о недрах, градостроительном развитии, строительстве и т.д.
Например, Водный кодекс РФ (подписан Президентом РФ 16.11.95) приводит следующую систему определения водных объектов (ст.1):
Водный объект – сосредоточение вод на поверхности суши в формах ее рельефа либо недрах, имеющее границы, объем и черты водного режима...
Водохозяйственный объект – сооружение, связанное с использованием, восстановлением и охраной водных объектов...
Обособленный водный объект (замкнутый водоем) – небольшой по площади и непроточный искусственный водоем, не имеющий гидравлической связи с другими поверхностными водными объектами.
Статья 22 ВК РФ определяет оборотоспособность водных объектов так: "...продажа, залог и совершение других сделок, которые влекут или могут повлечь отчуждение водных объектов (всех видов, кроме обособленных водных объектов), не допускаются. Обособленные водные объекты могут переходить от одного лица к другому в порядке, предусмотренном гражданским законодательством и земельным законодательством Российской Федерации ...".
Приведенная система определений из ВК РФ позволяет видеть тесную связь всех типов водных объектов с земельными участками и участками недр. В то же время, эта система выделяет ограничительные признаки обособленного водного объекта в сравнении с остальными водными объектами.








Рис. 1.6. Виды движимого имущества
В свою очередь, из законодательных определений таких объектов, как участки недр и леса, также следует их тесная взаимосвязь с земельными участками и, соответственно, с регулирующими положениями фактически первенствующего для всех названных типов объектов недвижимости земельного законодательства.
Движимые вещи Гражданским кодексом РФ определены как вещи, не относящиеся к недвижимости.
Предприятие как имущественный комплекс Очень важным является определение в ГКРФ (ст. 132) предприятия как некоего имущественного комплекса. В состав такого имущественного комплекса, согласно ГКРФ, включают все виды движимого и недвижимого имущества, обеспечивающие деятельность данного предприятия (рис.
1.7).









Рис. 1.7. Структура имущества предприятия как имущественного комплекса
Примечание
1. Права обозначения индивидуализируют предприятие и его продукцию, работы и услуги. Это могут быть, например, товарные знаки, фирменные наименования – нематериальные активы.
2. Права требования, в том числе обязательства предприятия (облигации и векселя).
Более детальное наполнение содержания имущественного комплекса предприятия, включая подробные финансовые аспекты, можно найти в документации бухгалтерского учета, как например, в позициях 120-122 и 131 (в разделе Активы) бухгалтерского баланса предприятия, выполненного в соответствии с текущей нормативной базой Министерства финансов РФ.
Понятие имущественного комплекса как сложной вещи, объединяющей неразрывно связанные недвижимые и движимые компоненты, является очень важным. К подобной схеме можно привести такие сложные объекты недвижимости, как:

  • памятники истории, культуры и архитектуры,
  • охранные зоны,
  • ландшафтные комплексы и т.п.
Общим для приведенного перечня может быть неразрывная связь составляющих их отдельных объектов недвижимости (как земельные участки, здания и сооружения, обособленные водные объекты и многолетние насаждения) и движимых вещей (как выдающиеся элементы интерьера, культурные ценности, исторические вещи, уникальные библиотеки и коллекции, именные знаки принадлежности и т.д.).



Приватизация "Бритиш Телеком"


М., Высшая школа, 1994.
  • Львов Д.С. Реформа с позиций современной науки: Сб. Научные труды международного союза экономистов и вольного экономического общества. М., С-П., 1995.
  • Мильнер Б.З. Кризис управления. Вопросы экономики, № 1, 1993.
  • Михайлов С. О некоторых итогах приватизации в 1993г. экономика и жизнь, № 14, 1993.
  • Научные труды международного союза экономистов и вольного экономического общества. М., С-П., 1995.
  • Неллис Джон. Последние данные о приватизации в странах с переходной экономикой. С.-П., июль 1997.
  • Носова С. Плюрализм форм собственности. В сб. Отношения собственности и новые формы хозяйствования. М., РЭА им. Плеханова, 1992.
  • Панорама приватизации № 2 (77), январь, 1996.
  • Политическая экономия. Под ред. А.В. Сидоровича и М.Ф. Волкова, МГУ, 1993.
  • Послание Президента РФ Государственному Собранию “Россия, за которую мы в ответе (О положении в стране и основных направлениях политики Российской Федерации)”.
  • Право собственности. М., Закон № 2, 1993.
  • Программа Правительства РФ “Реформы и развитие российской экономики в 1995-1997 годах”.
  • Пчелинцев О. “Приватизация” против частной собственности. М., Свободная мысль № 3, 1992.
  • Радыгин А.Д. Реформа собственности в России: на пути из прошлого в будущее. М., Республика, 1994.
  • Русская философия собственности. С-П. , 1993.
  • Руссо Ж. Трактаты. М., 1969.
  • Сажина М. Разгосударствление и приватизация. М., РЭЖ № 9, 1994.
  • Стэнлейк Дж. Экономика. М., Республика, 1994.
  • Суханов Е. Общие положения о праве собственности и других вещих правах. МГУ, 1993.
  • Чубайс А.Б. Итоги приватизации в России и задачи следующего этапа. Вопросы экономики № 6, 1994.
  • Шупыро В. М. Преобразование государственной собственности в период экономических реформ. М., ВШПП, 1997.
  • Управление государственной собственностью (учебник). Под редакцией Кошкина В.И., Шупыро В.М. М., Инфра-М, 1997.
  • Уэлч Дик. Подход к точечной приватизации. С.-П., июль 1997.
  • Файн Гэри. Российская приватизация: продажа остаточных пакетов акций. Всемирный банк, Вашингтон, 09.96.
  • Экономические и организационные аспекты управления собственностью в условиях развития рыночных отношений. ГКИ. “Нива России”, 1997.
  • Приложения Приложение 1
    Приватизация компаний “Бритиш Телеком” и “Бритиш Гэз”

    Приватизация "Бритиш Телеком"

    Приватизация “Бритиш Телеком” была первой крупной приватизацией государственной компании, предоставляющей услуги населению Великобритании, и до настоящего времени этот пример считается одним из самых успешных в мире. В частности, успех состоял в том, что продажа принесла максимальный чистый доход, и сделала владельцами акций компании широкие слои населения. Участие в этом процессе сотрудников компании было также значительным.
    В сентябре 1979г. правительство Великобритании объявило о своих планах вывести из-под правительственного контроля телекоммуникационную отрасль страны, и в июле 1981г. был принят закон о телекоммуникационной отрасли в Великобритании, согласно которому был создан “Бритиш Телеком”, который был выведен из состава государственной почтовой службы. В июле 1984г. правительство превратило “Бритиш Телеком” в акционерную компанию с ограниченной ответственностью, и 51% ее акций были проданы в ходе первичного предложения в ноябре 1984г.
    С 1981 по 1984 годы в “Бритиш Телеком” была проведена:
    реструктуризация, в результате которой были сокращены штаты;
    улучшено соотношение долговых обязательств и акционерного капитала путем превращения задолженности в находящиеся у правительства облигации и привилегированные акции;
    повышено качество обслуживания.
    Увеличив коммерческую привлекательность компании, правительство выпустило на внутреннем и внешнем рынках 3 млрд. акций на сумму в 4,8 млрд. долларов (50,2% от всего акционерного капитала), причем, подписка на эти акции превысила их выпуск почти в девять раз.
    Примерно 10% предложенных акций (301 млн.), согласно ESOP, было зарезервировано для сотрудников и пенсионеров “Бритиш Телеком”. Наряду с широкими слоями населения, было приглашено около 2000 британских институциональных инвесторов подписаться на 2,6 млрд. акций на приоритетных условиях. Оставшиеся 415 млн. акций были выделены для покупателей в США, Канады и Японии.
    После того как распределение было полностью завершено, 47% акций оказались у британских и швейцарских институциональных инвесторов, пользовавшихся приоритетными правами, 14% - у инвесторов США, Канады и Японии, 5% - у сотрудников и пенсионеров “Бритиш Телеком”, а оставшаяся часть – у 2 млн. индивидуальных британских инвесторов.
    Акции были зарегистрированы на нескольких мировых биржах. Благодаря этому выпуску в Великобритании появились 2,2 млн. новых держателей акций. До приватизации у “Бритиш Телеком” было 250000 клиентов, ожидавших установления телефона.
    Теперь же, согласно исследованию журнала “Евромани” (февраль 1996 г.), подключение к телефонным линиям обычно занимает 2 дня.
    Правительство продолжало регулировать деятельность “Бритиш Телеком” и приобрело привилегированные акции компании со специальными правами (“золотые акции”), что позволяет ему:
    накладывать вето на любые изменения в Уставе компании, требующем, чтобы исполнительный директор компании являлся британским гражданином и ни одно индивидуальное лицо не имело более 15% голосующих акций;
    делегировать своего представителя на общие собрания акционеров с правом выступления;
    назначать двух директоров в состав совета директоров “Бритиш Телеком”;
    требовать письменного согласия при решении определенных вопросов, касающихся ограничений на выпуск акций и изменений прав голоса.

    Приватизация компании "Бритиш Гэз"

    Приватизация компании “Бритиш Гэз” была вторым примером приватизации государственного предприятия коммунальных услуг Великобритании. Правительство придерживалось той же самой модели приватизации, которая была успешно использована в случае с приватизацией “Бритиш Телеком”.
    В мае 1986г. правительство Великобритании заявило о своем намерении приватизировать “Бритиш Гэз”. После этого был принят соответствующий закон, называемый Закон о газе 1986 года. Кабинет рассмотрел продажу компании “Бритиш Гэз” через серию выпусков акций, начиная с предложения 51%, как это было с компанией “Бритиш Телеком”.
    Однако в конечном итоге было принято решение одновременно предложить все акции на рынке в надежде, что рынок в состоянии поглотить односерийный выпуск.
    Основное предпочтение было отдано британским индивидуальным инвесторам, затем британским институциональным инвесторам и далее зарубежным инвесторам.
    21 ноября 1986г. правительство предложило к продаже 4 млрд. простых акций, представляющих 97% от общего количества простых акций, при этом удерживая 125 млн. льготных акций для сотрудников и пенсионеров компании. В результате данного выпуска владельцами 1,6 млрд. акций оказались институциональные инвесторы, 1,6 млрд. акций - граждане, включая клиентов, сотрудников и пенсионеров “Бритиш Гэз”, и 795,5 млн. акций оказалось за рубежом.
    Подписка на акции “Бритиш Гэз” в четыре раза превзошла предложение, поэтому количество акций проданных иностранным и британским институциональным инвесторам было сокращено и предпочтение отдано британским индивидуальным инвесторам. Окончательное распределение акций было таково: 62% – широким слоям населения, 23% – британским институциональным инвесторам, 11% – иностранным инвесторам и остающиеся 4% правительство оставило за собой. В первый же день продажи 8 декабря 1986г. цена акции подскочила на 25%.
    29 мая 1997г. акции “Бритиш Гэз” продавались по цене на 138% выше частично оплаченной цены. Общие скорректированные поступления от продажи акций составили 5,6 млрд. фунтов стерлингов (8,6 млрд. долларов США).
    Несмотря на то, что правительство выполнило поставленные перед собой бюджетные цели - за короткий срок добилось роста эффективности работы компании и увеличило число акционеров в стране - выражались мнения, что компания “Бритиш Гэз” была передана в частный сектор как уже полностью сформировавшаяся монополия и что ведомству Офгаз, регулирующему ее работу, не было предоставлено достаточно регулирующих полномочий. Поэтому существует мнение, что эффективность работы “Бритиш Гэз” и качество обслуживания потребителей являются далеко не оптимальными.
    Приложение 2
    "Золотая акция" в действии: пример запланированного слияния ”Рено-Вольво”
    После сотрудничества, продолжавшегося в течение трех лет, когда обе фирмы использовали одинаковые компоненты, французская государственная автомобильная компания “Рено” заявила в сентябре 1996г. о своем намерении слиться со шведской фирмой “Вольво”. Слияние было намечено на 1 января 1994г.
    Однако к 1 ноября набралось достаточное количество шведских институциональных держателей акций, заявивших о своем намерении голосовать против этой сделки и отложить общее собрание акционеров.
    У возражающей шведской стороны было две жалобы. Первая – это то, что Франция так и не назначила дату приватизации “Рено”, вторая – это то, что после приватизации правительство Франции решило оставить за собой “золотую акцию” в слившемся предприятии.



    Приватизация в социально-экономической структуре общества.


    • результаты процесса управления федеральной собственностью влияют на судьбы многих людей, определяя уровень их жизни, социальную защищенность, состояние здоровья, интеллектуальное развитие, безопасность и многие другие общепризнанные человеческие ценности;
    • федеральная собственность охватывает огромное число объектов, расположенных на всей территории страны и за ее пределами;
    • объекты федеральной собственности отличаются большим организационным и правовым многообразием, охватывают широкий спектр отраслей национального хозяйства и предназначены для использования в самых разнообразных направлениях;
    • реализация права государства на объекты собственности достигается через функционирование системы управления государственной собственностью, представляющей собой трехуровневую иерархическую структуру.
    Объектами управления в рамках госсобственности являются государственные унитарные предприятия, объекты недвижимого имущества, пакеты акций предприятий, принадлежащие государству.
    3. Объекты собственности как товар могут формировать рынок собственности с присущей ему иерархической системой управления ее функциями, связями и другими признаками.
    Объекты рынка собственности могут представлять все формы собственности (частную, государственную, муниципальную и иную), а субъектами могут быть граждане, юридические лица, Россия, Субъекты Федерации, муниципальные образования, общественные и религиозные организации, фонды.
    4. Несмотря на различие исходных условий и подходов к управлению федеральной собственностью в России и развитых странах, некоторые аспекты зарубежного опыта в этой сфере деятельности могут быть использованы в отечественной практике, в частности:

    • дифференцированный подход к приватизации крупных государственных объектов с целью создания экономической структуры с разумным балансом малых, средних и крупных предприятий, с достаточной степенью конкуренции между предприятиями в различных отраслях и с достаточным участием иностранных инвесторов;
    • разнообразие способов передачи государственной собственности в частные руки;
    • предоставление краткосрочных кредитов с гарантией государства предприятиям, деятельность которых находится под квалифицированным контролем, для финансирования заработной платы и обязательств перед поставщиками и др.
    5. Формирование реальных схем управления федеральной собственностью следует осуществлять исходя из принципов эффективного менеджмента, используя базовые положения гражданского и хозяйственного законодательства. Практическая реализация этих задач осуществляется в рамках единого замкнутого процесса управления, включающего идентификацию, учет, оценку эффективности использования, планирование мероприятий по повышению эффективности, оценку возможностей федеральной поддержки планируемых мероприятий и реализацию мероприятий.
    В связи с тем, что федеральная собственность отличается абсолютным масштабом обобществления, затрудняющим реализацию оперативных управляющих воздействий собственника на объекты собственности, при управлении ею используется передача отдельных объектов конкретным физическим и юридическим лицам, что позволяет локализовать управляющее воздействие на них.
    6. Стратегическими целями управления государственной собственностью являются:

    • рост национального богатства;
    • повышение благосостояния населения;
    • увеличение занятости;
    • снижение темпов инфляции;
    • оптимизация платежного баланса.
    Тактика достижения этих целей заключается в использовании следующих механизмов:

    • регулирование соотношения спроса и предложения;
    • сглаживание производства и занятости;
    • регулирование уровня ставки рефинансирования;
    • регулирование денежного обращения;
    • снижение дефицита федерального бюджета.
    Оценка эффективности управления государственной собственностью осуществляется на основе таких критериев, как прибыль государства, затратный показатель, ресурсный показатель, рыночная эффективность портфеля собственности и др.
    7. выбор метода управления государственной собственностью зависит от вида объекта. По степени значимости и функциональному назначению объекты государственной собственности можно разделить на 3 группы:

    • объекты предназначенные для выполнения общегосударственных задач;
    • объекты, обеспечивающие поддержание и развитие экономического потенциала страны;
    • объекты, через которые государство берет на себя функции проведения централизованной социально-экономической политики и социальной защиты населения.
    8. Сущность управления государственным унитарным предприятием состоит в реализации цикла управления для достижения максимальной эффективности его функционирования. Наиболее приемлемым для государственного унитарного предприятия является расширенный цикл управления, содержащий семь этапов: анализ возможностей, планирование, организация, мотивация, диспетчирование, контроль и регулирование.
    9. Пакеты акций, находящиеся в собственности государства, как и любое федеральное имущество, являются инструментом пополнения доходной части бюджета. Для оценки эффективности использования федеральных пакетов акций используются следующие показатели: доходность к погашению, дивидендная ставка, ликвидность, динамика курсовой стоимости.
    В целях повышения эффективности использования государственных акций может быть использован адаптированный цикл управления пакетами акций, включающий:

    • инвентаризацию и учет пакетов;
    • оценку эффективности и ликвидности;
    • планирование повышения ликвидности и вариантов использования пакета;
    • организацию мероприятий и мотивация федеральных служащих;
    • контроль приватизируемых предприятий и трастовых управляющих.
    Цикл управления недвижимостью имеет специфику, определяемую в основном спецификой использования федеральной недвижимости и должен включать:

    • инвентаризацию и учет недвижимости;
    • оценку стоимости и правового положения недвижимости;
    • оценку эффективности использования недвижимости;
    • планирование вариантов использования недвижимости;
    • реализацию запланированных мероприятий;
    • контроль использования федерального недвижимого имущества.
    Таким образом, на основе классификации объектов государственной собственности и классификации методов управления с использованием цикла управления можно существенно повысить эффективность управления государственной собственностью.
    Авторы заранее выражают признательность всем, принявшим участие в обсуждении данной проблемы. Авторы надеются, что материалы монографии будут полезны сотрудникам соответствующих ведомств, в функции которых входит управление государственной собственностью на различных уровнях.
    Список использованных источников
    1. Абалкин Л.И. Производственные отношения социализма. М., Мысль, 1986.
    2. Алексеев Н.Н. Собственность и социализм. Санкт-Петербург, 1993.
    3. Ассекритов С. Совсем не все разделу подлежит. М., Правительственный вестник № 22, 1991.
    4. Ахмедуев А. Противоречия в законах о собственности, предприятиях и предпринимательской деятельности. Вопросы экономики, № 1, 1993.
    5. Богатова Е.Р. Переход от традиционной модели социализма к рынку в странах Восточной Европы и Азии. М., Дело, 1991.
    6. Бузгалин А. Переходная экономика. М., 1994.
    7. Бурков С. Задачи постчекового этапа. М., РЭЖ № 10, 1994.
    8. Витте С.Ю. Воспоминания. М., 1960.
    9. Всероссийская научно-практическая конференция “Экономические реформы и управление собственностью”. М.: Нива России, 1996.
    10. Гайдар Е. Трудный путь от социализма. Экономические реформы. Вып. 1, 1993.
    11. Гайдар Е. Экономические реформы и иерархические структуры. М., Наука, 1990.
    12. Головин К. В. Приватизация по-английски: опыт 80-х годов. Деловой мир №119 от 24 июня 1992г.
    13. Гражданский Кодекс Российской Федерации. М., 1995.
    14. Гровер Р., Соловьев М. Введение в управление недвижимостью. М., Паритет, 1997.
    15. Гутман Г., Лапыгин Ю. На пути к смешанной экономике. Владимир, 1996.
    16. Гутман Г., Лапыгин Ю. Собственность (сущность, формы, социальные последствия). Владимир, 1995.
    17. Гутман Г.В. Приватизация в социально-экономической структуре общества. Владимир, 1994.
    18. Гутман Г.В., Лапыгин Ю. Антимонопольный путь к конкуренции. Владимир, ВГПУ, 1996.
    19. Журавская Е., Радыгин А. Приватизация в России: законодательство и реальный процесс. Экономические реформы. Вып. 1, 1993.
    20. Закон “О собственности в РСФСР”. М., Норма, 1992.
    21. Ильин И.А. О частной собственности. В кн. Русская философия собственности. С-П.,1993.
    22. Кейнс Джон Мейнад. Общая теория занятости, процента и денег. 1936.
    23. Концепция управления государственной собственностью. Вопросы экономики № 10, 1993.
    24. Коуз Р. Фирма, рынок и право. М., 1993.
    25. Кочеврин В. Приватизация как процесс познания. М., Проблемы теории и практики управления. 1991.
    26. Кучеренко В. В поисках хозяина госсобственности. Рос. газета, 02.12.95.
    27. Лексин В. и др. Государственная собственность в динамике рыночных перемен. М., РЭЖ № 10, 1993.
    28. Леонтьев Е. Государственный сектор в рыночной экономике. М., Международный журнал. Проблемы теории и практики управления, № 5, 1995.
    29. Либерман Айра., Петров Олег. Российская приватизация: стратегия на предстоящий период. Всемирный банк, Вашингтон, сентябрь 1996.
    30. Ливщиц А.Я. Введение в рыночную экономику.


    Процессы социальной стагнации.


    Несмотря на то, что многое из оперативной части реструктуризации может быть делегировано внешним консультантам, общее центральное планирование и возможность выборочного вмешательства скорее всего наложат серьезные ограничения на деятельность реструктурируемых фирм. Основным критерием использования инструментов реструктуризации должны быть интересы предполагаемых инвесторов. Таким образом, РТК может и должна осуществлять полный спектр мероприятий по повышению эффективности реструктуризации государственной собственности в регионе. Однако использование такого объема полномочий должно контролироваться внешними органами.
    На оперативном уровне наиболее эффективный контроль за РТК может, по нашему мнению, осуществляться региональной счетной палатой. В рамках своих полномочий палата рассматривает все аспекты деятельности РТК с точки зрения финансовой корректности и экономической ответственности на текущей основе. Ее регулярные и специальные доклады об итогах работы РТК должны не только обобщать информацию о возможных злоупотреблениях внутри РТК, но также анализировать крупные организационные проблемы.
    Роль Областной Думы в контроле за РТК, как правило, может быть ограничена установлением законодательных рамок деятельности РТК и отслеживанием этой деятельности через специальный комитет Думы.
    Методы повышения инвестиционной привлекательности региона В качестве методов, консолидирующих экономику региона и повышающих ее конкурентоспособность на финансовом рынке и, как следствие, инвестиционную привлекательность, можно рассматривать создание региональных инвестиционных корпораций (РИК) на базе отдельных муниципальных образований. Как правило, во многих регионах России этому есть ряд причин:

    • низкая эффективность использования имеющегося финансового потенциала региона и государственной собственности;
    • высокая доля теневой экономики и непрозрачность финансовых потоков субъекта Федерации;
    • "завалы" на пути финансовых потоков и проблема неплатежей;
    • отсутствие механизма привлечения инвестиций.
    Предполагается, что РИК должны сконцентрировать наличествующие активы и финансовый капитал, направить их на развитие территории в рамках комплексных инвестиционных проектов.
    В основе метода лежит идея о необходимости реформирования существующей системы хозяйственного управления. Сочетание горизонтальной и вертикальной составляющих механизма управления определяется индивидуальными особенностями государственного устройства. Наибольшая глубина вертикальной интеграции присуща государствам тоталитарным, с жесткой централизованной властью.
    Такая система значительно ограничивает экономическую самостоятельность территориальных образований, а в основе общей экономической политики устанавливает развитие отдельных отраслей (или развитие государства как единого хозяйства).
    Система хозяйственного управления государств демократических – государств развитой рыночной экономики передает значительные права местному самоуправлению (муниципалитетам). Усиление горизонтальной интеграции (или децентрализации) переносит акцент государственной экономической политики на развитие регионов.
    В силу исторических условий хозяйственно-экономическое управление России было построено по отраслевой схеме. В определенные периоды политика централизованного развития позволяла обеспечить устойчивый экономический рост. К 60-м годам акцент экономической политики в СССР смещается в сторону территорий (регионов). Отражением этих тенденций явилось возрождение совнархозов, которые за свое недолгое существование успели зарекомендовать себя как эффективный экономический инструмент, особенно в развитии отраслей сферы потребления.
    Предлагаемые к созданию РФПГ являются по своей сути этакими рыночными совнархозами.
    Сегодня многие регионы переживают глубокий экономический кризис, порожденный именно затянувшейся политикой централизации. Следствием централизации является замкнутая циркуляция финансового капитала внутри очерченной границами Москвы банковской системы. Более 80% платежей в настоящее время проходит через московские расчетно-кассовые центры и только 20% приходится на регионы.
    Отсюда недостаток средств для развития отдельных территорий. Известны случаи, когда вроде бы "деньги идут в регион", т. е. некий крупный московский банк заявляет о сотрудничестве с той или иной областью. На самом деле эти побуждения обусловлены интересами данного банка к конкретной отрасли, конкретному предприятию, находящемуся на территории области, или к конкретному отдельному проекту.
    При этом, как правило, банки не упускают случая по пути "прихватить" финансовые средства территории, "перекачивая" их на свои московские корреспондентские счета.
    Из понимания именно этих реалий возникла идея региональных финансовых центров – губернских банков (Курск, Екатеринбург), которые должны были бы ограничить отток финансовых ресурсов из регионов.
    За последние годы проводимых реформ тоталитарная командно-административная система "перестроилась" в финансово-олигархическую. Поэтому как прежде, так и сейчас существуют мощные силы, заинтересованные в сохранении централизованного управления. При этом в открытую преследуются сиюминутные собственные интересы в ущерб долгосрочным и общественным.
    Как следствие, проявляются процессы социальной стагнации.
    В то же время ввиду того, что основные производственные мощности расположены в регионах, эта проблема выглядит как нежелание инвесторов вкладывать средства в реальный сектор экономики. Именно туда, в реальный сектор, необходимые инвестиции не доходят, оставаясь в финансово-спекулятивных водоворотах г.Москвы. Поэтому создание региональных инвестиционных корпораций создаст условия, когда средства региона никуда не уходят, а вкладываются в развитие территории.
    Помимо локализации и консолидации финансовых ресурсов региона необходимо обеспечить его привлекательность для внешних инвестиций. Внятность и потенция системы РИК должны обеспечить взаимодействие на равноправных началах с финансовыми структурами Москвы и конкурентоспособность на уровне международных партнеров.
    Одной из ключевых задач РИК является "достройка" общего массива хозяйствующих субъектов региона до рыночного вида. С участием РИК, а возможно и в качестве ее структурных элементов предполагается создание целого ряда компаний и корпораций: трастовых, лизинговых, финансовых, страховых и т.п.
    Имея огромный экономический потенциал, регионы сегодня не обеспечивают его эффективного использования. Центральная задача РИК – инвентаризация активов территориального образования и текущий мониторинг ресурсов. Под активами в данном случае понимаются природный, финансовый, производственный, социальный и другие потенциалы.
    Особое внимание будет уделено государственной, в первую очередь собственности субъектов Федерации, и муниципальной, а также приоритетам ее эффективного использования.
    Предполагается также решить проблему низкой финансово-хозяйственной дисциплины предприятий и развязать узлы взаимозадолженностей, в том числе связанные с бюджетными долгами и долгами энергетикам. Система региональных инвестиционных корпораций позволит "вывести на свет" значительную долю теневого капитала, объемы которого, по различным оценкам, соизмеримы с объемами легальных финансовых потоков.
    Консолидация производственного потенциала региона в рамках совокупности инвестиционных корпораций регионального уровня позволит предприятиям улучшить систему планирования и взаимодействия, повысить свою инвестиционную привлекательность, реализовывать совместные проекты по развитию транспортной и социальной инфраструктуры, ресурсосбережению и экологии.
    В рамках РИК для достижения общих целей должны объединиться средства государства, предпринимателей и населения. Финансовые пирамиды уходят в прошлое. Основу стабильного развития составит вложения в реальный сектор экономики, и сегодня это способны сделать только регионы.
    Заключение Проблема управления государственной собственностью является одной из самых насущных в условиях переходной экономики. Эта проблема особенно актуальна в сложившейся ситуации, когда налицо кризис бюджета и дефицит финансовых ресурсов. В этой связи повышение эффективности управления объектами государственной собственности может стать одним из способов снижения дефицита бюджета и повышения платежеспособности страны.
    Результаты проведенных исследований позволяют заключить следующее:
    1. С юридической точки зрения собственность – это отношение между человеком и группой или сообществом субъектов с одной стороны, и любой субстанцией материального мира (объектом), с другой стороны, заключающееся в постоянном или временном, частичном или полном отчуждении, отсоединении, присвоении объекта собственности.
    Субъект собственности – активная сторона отношений собственности, имеющая возможность и право обладания объектом собственности.
    Объект собственности – пассивная сторона отношений собственности в виде предметов природы, имущества, вещества, информации, духовных и интеллектуальных ценностей.
    2. Особенность отношений между субъектами и объектами собственности на федеральном уровне объясняются следующими обстоятельствами:



    Распределение средств, полученных от приватизации


    По оценкам экспертов, если в 1994 году работники предприятий, приватизированных путем акционирования, владели 50% акционерного капитала, то уже к началу 1997 года эта цифра снизилась примерно до 20%. Такая ситуация в целом характерна для всей России, так как программой приватизации 1992 года смена собственника (упор делался на трудовые коллективы) и являлась основной целью акционирования на первом этапе, так как, с одной стороны, предполагалось, что имея материальную заинтересованность, трудовые коллективы будут работать более эффективно, с другой стороны, при отсутствии у большинства населения средств для того, чтобы стать собственниками чего-либо путем безвозмездной передачи, достигалось относительное социальное спокойствие.
    Начавшийся со второй половины 1994 года этап денежной приватизации характеризовался значительным падением приватизационной активности, так как основное внимание стало уделяться вопросу "как и кому продать выгоднее", а не "как продать быстрее". Наглядным подтверждением этому является тот факт, что только в 1995 году было получено 40% всех доходов от приватизации 1992-1997 гг. Для сравнения, за 1992-1994 гг. было получено около 35% всех доходов и соответственно 25% в 1996-1997 гг.
    Таким образом, налицо рост эффективности продаж, что объясняется совершенствованием приватизационного законодательства, повышением квалификации государственных чиновников, занимающихся приватизацией, развитием информационной среды, ростом благосостояния некоторых слоев населения. В целом за весь период приватизации было получено около 72 млрд. неденоминир. руб. в текущих ценах. В структуре доходов в 1992-1994 гг. преобладали доходы от продажи ранее арендованных предприятий и различных основных фондов (около 65%), в 1995-1996 гг. основной доход был получен от продажи акций АО – порядка 70%. В последние годы в доходах от приватизации большую часть составляют доходы от продажи недвижимого имущества (предприятий, земли и др.). Структура средств, полученных от приватизации за I полугодие 1998 года показана на рис.
    4.6 (общая сумма средств составила 2 750 тыс. руб. в ценах 1998 года).

    Распределение средств, полученных от приватизации
    Рис. 4.6. Распределение средств, полученных от приватизации по источникам доходов

    За последнее время наряду со значительным абсолютным падением доходов от приватизации наметилась тенденция к уменьшению доли средств, направляемых в бюджеты разных уровней: в I полугодии 1998 г. она составила 73% от общей суммы доходов по сравнению с 83% того же периода 1997 года. Таким образом, в настоящее время доходы от приватизации играют незначительную роль в финансировании области (рис. 4.7).

    Распределение средств, полученных от приватизации

    Рис. 4.7. Распределение средств, полученных от приватизации, по адресатам

    В начале приватизации одной из главных ставилась задача замедления темпов падения валового регионального продукта за счет эффективного управления производством новыми собственниками, заинтересованными в результатах труда. Можно сказать, что на сегодняшний день эта задача не выполнена. Это находит подтверждение в основных показателях социально-экономического развития региона и в динамике объемов производства основных видов продукции.
    Как было показано в предыдущем параграфе, государственная собственность занимает важное место в экономике региона и оказывает большое влияние на его социально-экономическое положение. В настоящее время положение большинства предприятий региона бедственное: порядка 70% из них остро нуждаются в модернизации и техническом перевооружении производства, растет задолженность бюджету и работникам, отсутствуют источники финансирования. Отсутствие должного внимания к государственному сектору экономики, безоглядная вера в способность рыночного саморегулирования, недостаток экономического образования и опыта управления в современных условиях у государственных чиновников, общая нестабильность в стране привели к ухудшению экономического положения области.
    § 4.3. Варианты организации эффективного механизма управления государственной собственностью в Тульской области Управление процессом приватизации через Региональную трастовую компанию Региональная собственность является важнейшим средством регулирования экономических отношений в регионе. Это регулирование осуществляется на основе административного управления предприятиями субфедеральной и муниципальной собственности. При этом целесообразны разработка планов и программ развития, формирование системы госзаказов. Что же касается предприятий сферы обслуживания, то здесь регулирование осуществляется через бюджетное финансирование.
    Основным методом регулирования предприятий федеральной собственности является создание института представительства в советах директоров предприятий.
    Как показывает опыт, например, Германии в период объединения, для эффективного управления государственным имуществом в регионе должна быть создана сильная централизованная региональная трастовая компания (РТК), которая должна владеть всеми бывшими государственными фирмами для их дальнейшей реструктуризации, повышения инвестиционной привлекательности и последующей продажи. Основной задачей РТК должно быть практически полное сокращение инсайдерского контроля над приватизируемыми предприятиями. Особенно это актуально для крупных предприятий, фактическая власть на которых по-прежнему остается в руках директоров.
    Проведение такого сокращения необходимо в условиях, когда развал системы внутреннего контроля ведет к большим издержкам для акционеров от деятельности некомпетентных, ленивых или нечестных менеджеров. В данной среде перераспределение прав собственности обеспечивает механизм для замены всей системы внутреннего контроля. Перераспределение полномочий обычно проводится за счет реструктуризации путем разукрупнения или поглощения фирм.
    В ходе процесса поглощения РТК концентрирует владение акциями компании в своих руках путем выкупа их у мелких акционеров, осуществляет ее реструктуризацию, которая, как она предполагает, сделает компанию прибыльной, и продает ее вновь с целью диверсификации своего риска.
    Необходимо заметить, что на конкурентных рынках капитала рыночные условия, а также финансовые и управленческие возможности трастовых компаний определяют, как долго они могут удерживать приобретенную компанию под своим контролем и какая реструктуризация будет предпринята. В условиях переходного периода региональная трастовая компания имеет другие стимулы. В частности, прибыльность не является единственным критерием, определяющим то, как доверительный собственник осуществляет контроль. Возможная схема контроля РТК за компаниями региона представлена на рис.
    4.8.
    РТК должна функционировать как организация с иерархической централизованной структурой и четко определенными децентрализованными полномочиями. При такой структуре непосредственно под надзором регионального центра должны находиться все фирмы с числом занятых более 500 человек, а районные отделения должны контролировать остальные фирмы.













    Рис. 4.8. Схема управления государственной собственностью в регионе
    Жесткий контроль позволит РТК эффективно противодействовать ранним попыткам "сброса" активов и самоприватизации, которые так досаждали переходному процессу во многих восточноевропейских странах.
    В качестве основы будущих действий РТК может быть составление начальных балансов всех государственных предприятий региона. Начальные балансы должны сопровождаться проектом корпоративной стратегии на ближайшие три года, которая должна оцениваться группой экспертов, подобранной ТерКУГИ. Экспертная оценка должна определять, какие фирмы должны быть ликвидированы, если для них нельзя найти покупателей, и какие могли быть эффективно реструктурированы.
    Главные цели РТК должны определяться Законом региона "О трасте государственного имущества в регионе", регламентирующем порядок создания компании и ее организационно-штатную структуру.
    При этом основные вопросы, касающиеся выживания и реорганизации фирм, находящихся под контролем регионального центра, должны решаться непосредственно руководством РТК, а текущие вопросы могут находиться в ведении так называемого "отраслевого директората", несущего ответственность за соответствующую фирму. В рамках РТК может быть создано несколько директоратов в зависимости от наличия предприятий и в соответствии с их разбиением по стандартной отраслевой классификации. В качестве дополнительного уровня контроля ниже центра в наиболее крупных фирмах могут быть созданы наблюдательные советы.
    В таких условиях наиболее важное для каждой фирмы решение – о ликвидации или продолжении существования – должно оставаться за центральным аппаратом и регулярно пересматриваться. Причем продолжение существования, связанное, как правило, с реструктуризацией, должно проводиться на основе предоставления каждой фирме достаточного времени на реструктуризацию, устанавливаемого индивидуально. Фирмы, которые не могут быть с уверенностью приватизированы в обозримом будущем, должны находиться под интенсивным наблюдением и контролироваться индивидуально.
    В этой связи отраслевые директораты РТК должны иметь регулярные контакты со всеми фирмами, проходящими реструктуризацию, контролировать их квартальные отчеты и оценивать их бизнес-планы.



    Схема оборота собственности


    Конструктивной, по нашему мнению, является идея распространения приведенного определения сложного имущественного комплекса на такие крупномасштабные объекты, как Государственное (федеральное и субъектов Федерации) и муниципальное (городское) имущество.
    Тогда, например, комплекс городского имущества можно трактовать как следующую совокупность:
    а) множества объектов недвижимости, в том числе:

    • земельных участков,
    • участков недр (с подземными инженерными коммуникациями и иными подземными сооружениями типа метро, переходов, хранилищ), множества зданий и сооружений, городских лесов и многолетних насаждений, обособленных и иных водных объектов, множества сложных имущественных комплексов (различного рода предприятий, обществ и организаций, ландшафтных и культурно-исторических охранных зон и памятников) в рамках установленных границ города;
    б) множества движимых вещей, составляющих неотъемлемые части отдельных из перечисленных сложных объектов недвижимости, и уникальных символов обозначения имен городов и местностей, отдельных объектов.
    Оборот собственности Схема оборота собственности представлена на рис. 1.8. На схеме показано взаимодействие форм собственности (ст.
    212 ГК РФ): государственной (федеральная собственность и собственность субъектов Российской Федерации), муниципальной, частной и иной на рынке собственности.
    Оборот собственности на рынке включает прямые и обратные процессы трансформации (перехода, передачи) собственности:

    • ФС ? ФС, ФС ? ССФ, ФС ? МС, ФС ? ЧС, ФС ? ИС;
    • ССФ ? МС, ССФ ? ЧС, ССФ ? ИС;
    • МС ? ЧС, МС ? ИС;
    • ЧС ? ЧС, ЧС ? ИС;
    • ИС ? ИС,
    где
    ФС – федеральная собственность;
    ССФ – собственность субъектов Российской Федерации;
    МС – муниципальная собственность;
    ЧС – частная собственность;
    ИС – иная собственность.












    Рис. 1.8. Схема оборота собственности
    На рынке собственности возможны любые процессы трансформации собственности. Они приводят к концентрации собственности, оптимальной с точки зрения собственников, ее распаду или банкротству.
    Как правило, концентрация собственности приводит к образованию высокоинтегрированных структур – корпораций (ФПГ, холдингов, ассоциаций, концернов и др.), в том числе со смешанной формой собственности и балансом корпоративных интересов их участников: государства и других собственников.
    Анализ показывает, что в 1991 – 1996 годах проходили только прямые процессы трансформации собственности из ФС в другие виды: ССФ, МС и ЧС (приватизация, акционирование). С 1997 года в субъектах федерации начались обратные процессы трансформации собственности: ЧС в ССФ и МС (национализация и деприватизация).
    Формы и субъекты собственности В Российской Федерации, согласно ГК РФ (ст. 212), в равной степени признаются несколько форм собственности (рис. 1.8).
    В операциях над собственностью могут участвовать следующие субъекты собственности, указанные на рис. 1.9:
    Среди хозяйственных субъектов (коммерческих организаций) государственной и муниципальной собственности важное место принадлежит унитарным предприятиям (ст. 113 ГК РФ). Унитарное предприятие не наделяется правом собственности на закрепленное за ним государственное или муниципальное имущество (оно принадлежит ему на праве хозяйственного ведения или оперативного управления).








    Рис. 1.9. Участники рынка собственности
    Статья 217 ГК РФ предусматривает возможность приватизации государственного и муниципального имущества – передачу его в собственность граждан и юридических лиц в порядке, предусмотренном соответствующим законодательством о приватизации. В принципе существует и обратная приватизации процедура (как национализация или отчуждение/выкуп частной собственности в соответствии с возникающими общественными потребностями).
    Если процедуры приватизации сопровождаются определенным наполнением государственного бюджета, то национализация и выкуп, как правило, должны сопровождаться различными компенсациями частному собственнику.
    Иные формы собственности – это, как правило, формы смешанной собственности, а также собственности общественных и других некоммерческих организаций. Именно в группе форм смешанной собственности можно найти многообразие современных хозяйственных образований:

    • совместные предприятия (долевое объединение имущественных комплексов иностранных и отечественных собственников, в том числе государственных и муниципальных);
    • кондоминиумы (объединенное имущество, подразделяемое на индивидуальные частные владения и различные элементы совместной собственности);
    • корпорации, тресты и концерны (объединения предприятий и обществ с различными уровнями юридической и хозяйственной самостоятельности) и др.
    Справочно. Общественные и религиозные организации, а также благотворительные и иные фонды, являющиеся собственниками приобретенного или переданного им имущества, могут использовать его (пускать в оборот) на рынке собственности только для определенных их уставами целей.
    Понятие рынка собственности "Рынок – это некая структура, посредством которой покупатели и продавцы собираются вместе, чтобы установить цену, по которой товар может быть обменен"1.
    В рыночной экономике функционирует множество типов рынков: рынки труда, капитала, собственности, в том числе недвижимости, ценных бумаг, товаров, услуг (маркетинговых, консалтинговых, менеджмента), ресурсов и др. Каждый из рынков, как правило, имеет сложный иерархический и многосекторный характер.
    В определенном смысле многие рынки могут быть связаны между собой или обобщены, в частности: единым географическим пространством, различными социально-экономическими условиями и признаками. Например, существуют рынки азиатского региона и рынки европейского сообщества, региональные рынки развивающихся стран, стран с переходной экономикой и др.
    В соответствии с этим формируют и используют региональные (в ряде случаев – предметно ориентированные) и мировые информационные структуризации рынков как по типам товаров, так и типам рыночных отношений и операций.
    Любой вид объектов гражданского права (вещи недвижимые и движимые, работы и услуги, информация, результаты интеллектуальной деятельности, нематериальные блага) из различных форм собственности как товар может формировать свой тип рынка, с присущей только ему системой управления, своеобразной иерархической и разветвленной ее структурой, органами управления, их функциями, связями и отношениями, региональными и прочими признаками.
    В настоящее время на рынке собственности России обращаются достаточно активно только некоторые ее виды: недвижимость и ценные бумаги, хотя в развитых экономических странах обращается все формы и виды собственности.
    Справочно. Отсутствует единая система законодательства по управлению рынком собственности, включающая Федеральные законы Российской Федерации, Указы Президента Российской Федерации, постановления и распоряжения Правительства Российской Федерации, другие нормативные правовые документы, регулирующие деятельность субъектов рынка. Есть Гражданский Кодекс Российской Федерации, Федеральные законы о приватизации, банкротстве, и т. д., но нет законов о собственности и управлению ею, законов о земле, об оценке, о трасте (доверительном управлении), залоге, ипотеке и др.
    Система управления рынком собственности Процессами, протекающими на рынке собственности и его секторах управляют системы управления. С точки зрения теории систем управления они характеризуются своими субъектами, с их функциями, связями и отношениями.
    Процессы на рынке собственности можно моделировать используя модели межрыночных балансов, модели типа "гибель – размножение", а также модели Ланчестера, Боулдинга и др.
    Государство управляет рынком собственности с помощью управляющих воздействий: экономическими (налоговая политика, финансовая: инвестиционно-кредитная политика, тарифная, промышленная, социально-экономическая и другие политики) и административными методами (законодательное, нормативное правовое обеспечение и др.).
    Если система управления замкнута, рынок собственности сбалансирован и эффективно управляется государством, то процессы на нем протекают стабильно (спрос = предложению). При малых входных сигналах рынок самостоятельно или с участием государства отрабатывает их и также приходит в устойчивое состояние.
    Если на вход системы управления подается большой сигнал, который вызывает большое отклонение рынка от устойчивого состояния и регулятор (государство или другой регулирующий орган) не может привести систему в устойчивое состояние, то рынок становится неустойчивым.
    Поэтому главная задача государства как регулирующего органа рынка собственности с помощью управляющих сигналов эффективно им управлять и поддерживать его в устойчивом, стабильном, предсказуемом состоянии. Это приведет к росту доходов всех субъектов рынка, в том числе и бюджета Российской Федерации.
    Анализ показывает, что структуры систем управления секторами рынков государственной и федеральной собственности на федеральном уровне практически совпадают, при этом некоторые субъекты системы выполняют разные функции. Например, субъекты Российской Федерации управляют сектором рынка государственной собственности – рынком собственности субъекта, а на рынке федеральной собственности только принимают участие как субъекты рынка.



    Система управления федеральной собственностью на макроуровне


    Одновременно с этим углубление разделения труда вызывает необходимость разделения субъекта собственности и субъектов управления, что создает основу делегирования распорядительных функций (вертикальное разделение труда) и дифференциацию функций управления (горизонтальное разделение труда). Именно разделение субъекта собственности и субъекта управления из-за неизбежной персонификации последнего создает возможность развития теневых отношений собственности.
    Фундаментом проведения экономических реформ в российской экономике служило радикальное изменение формы собственности путем массовой приватизации собственности государственной или общенародной. При этом, до настоящего времени эта задача существовала только в юридическом аспекте. Из-за неизбежной персонификации распорядительных и управленческих функций так называемая государственная или общенародная собственность в централизованной экономике, де-факто, представляла собой собственность авторитарной бюрократии, и именно эти теневые отношения мимикрировали в условия современного рынка.
    Этим обстоятельством определяется использование теневых источников накопления в ходе приватизации, значительный удельный вес теневого оборота, низкая собираемость налогов, коррумпированность государственной власти и множество иных негативных моментов современной экономической действительности. Решение этих проблем состоит в идентификации реальных отношений собственности современного рынка и их адекватном управлении.
    Для организации процессов управления принципиально важно согласовать юридическое понятие собственности с ее организационным строением, а также рассмотреть экономические аспекты управления федеральной собственностью (рис. 1.2). С этой точки зрения необходимо выделить понятие "объект собственности", который следует рассматривать как точку приложения различных управляющих воздействий. Можно сформулировать следующее определение:
    Объектом собственности является организационно-обособленная часть национального богатства, юридически закрепленная за конкретным собственником или группой собственников.
    В роли объекта собственности могут выступать: отдельная вещь; совокупность имущества; имущественный комплекс; земельный, водный или лесной участок; месторождение полезных ископаемых; зона воздушного пространства; частотный диапазон; обособленная доля в общей собственности и т.д.















    Рис. 1.2. Экономические аспекты управления федеральной собственностью
    Для любого объекта собственник всегда должен быть персонифицирован. Именно он изначально определяет характер управления данным объектом и по его решению часть или все функции могут быть переданы другим физическим или юридическим лицам. На него также ложится бремя содержания объекта собственности.
    Особого рассмотрения заслуживают отношения между субъектами и объектами собственности, складывающиеся на федеральном уровне. Государство, в отличие от других собственников, не может решать проблемы управления находящимися в его собственности объектами на интуитивной основе, ориентируясь на использование метода проб и ошибок. Его особая роль в этом отношении связана с целым рядом важных обстоятельств.
    Во-первых, результаты процесса управления федеральной собственностью влияют на судьбы многих людей, определяя уровень их жизни, социальную защищенность, состояние здоровья, интеллектуальное развитие, безопасность и многие другие общепризнанные человеческие ценности.
    Во-вторых, федеральная собственность охватывает огромное число объектов, расположенных на всей территории страны и за ее пределами. Исключительной собственностью государства являются также объекты воздушного пространства, эфира и ресурсов космических систем в том понимании, в котором они включаются в национальное богатство. До принятия Земельного кодекса вся совокупность земельных, водных, лесных участков, а также все объекты, относящиеся к земным недрам, фактически рассматривается как часть федеральной собственности.
    В-третьих, объекты федеральной собственности отличаются большим организационным и правовым многообразием, охватывают широкий спектр отраслей национального хозяйства и предназначены для использования в самых разнообразных направлениях: производство материальных благ, создание и обслуживание социальной инфраструктуры, федеральное управление и т. д.
    Поэтому разработка системы управления госсобственностью должна основываться на предварительной ее структуризации с целью выделения однотипных групп объектов и описании задач, целей и методов управления ими.
    В-четвертых, реализация права государства на объекты собственности достигается через функционирование системы управления федеральной собственностью (рис. 1.3).





















    Рис. 1.3. Система управления федеральной собственностью на макроуровне
    Органы исполнительной власти на любом уровне имеют полномочия управлять только тем имуществом, которое передано им в их собственность. Каждый уровень управления может быть охарактеризован следующим образом:
    1. Федеральный (макроуровень) – уровень взаимодействия федеральных органов, включающий Президента РФ, Федеральное Собрание РФ, Правительство РФ, субъекты Российской Федерации, владельцев федерального имущества, фискальные и иные министерства, ведомства, иностранные организации и фонды.
    2. Уровень субъектов Федерации или отраслей народного хозяйства (мезоуровень) – уровень взаимодействия элементов системы внутри Министерства государственного имущества, в том числе взаимодействия Аппарата Министерства со своими структурными подразделениями, выделенными в отдельные учреждения (например, вычислительный центр Министерства), и другими организациями.
    3. Муниципальный или отдельных предприятий и объединений (микроуровень) – уровень взаимодействия структурных подразделений Министерства с территориальными органами и объектами системы управления, а также структурных подразделений Министерства между собой.
    До настоящего времени не установлено разграничение прав и обязанностей по отношению к государственной собственности между различными институтами федеральной власти. Практически все названные органы разрабатывают и утверждают в этой области нормативно-правовые документы, принимают решения в отношении конкретных объектов федеральной собственности.
    Повышение эффективности управления государственной собственностью требует обоснования системы участия органов федерального управления в этом процессе. Особую роль в этой системе должно играть Министерство государственного имущества Российской Федерации, которое специализируется на решении задач управления государственной собственностью и поэтому должно быть наделено властными полномочиями, достаточными для выполнения своих основных функций.
    Все указанные выше обстоятельства говорят о важности и сложности вопросов, связанных с управлением федеральной собственностью. Многие моменты, связанные с этим процессом, здесь пока не имеют достаточного теоретического обоснования и требуют проведения широкого круга специальных научных исследований. Для этого, на наш взгляд, необходимо ввести основные понятия и определения, которые будут использоваться в дальнейшем.
    1. Федеральная собственность – совокупность объектов недвижимости, имущественных прав, работ и услуг, информации и технологий, нематериальных благ и других частей национального богатства, право пользования, владения, распоряжения которыми принадлежит только Российской Федерации.
    2. Объект собственности – организационно обособленная часть национального богатства, юридически закрепленная за конкретным собственником или группой собственников.
    3. Объект, находящийся в федеральной собственности, федеральной или собственности субъектов Российской Федерации – представляет собой объект собственности, принадлежащий в том числе: республикам, краям, областям, городам федерального значения, автономным областям и округам. На практике большинство данных объектов закреплено за конкретными собственниками или группой собственников.
    4. Незакрепленная часть федеральной собственности составляет казну Российской Федерации (ГК РФ).
    5. Федеральная собственность включает предприятия трех организационно-правовых форм: казенные предприятия, государственные унитарные предприятия и акционерные общества с федеральной долей собственности.
    6. Объекты права собственности Российской Федерации (объекты управления):

    • недвижимое имущество (здания, сооружения, земельные участки, мосты, и др.);
    • движимое имущество (доли, паи, ценные бумаги, в т.ч. акции, облигации, и др.);
    • денежные средства (валюта, и др.);
    • долги иностранных государств;
    • информация;
    • интеллектуальная собственность и другие результаты интеллектуальной деятельности.
    Объекты собственности Российской Федерации могут принадлежать на праве:

    • собственности – Российской Федерации, юридическим и физическим лицам;
    • хозяйственного ведения – юридическим лицам, в т. ч. религиозным и другим организациям;
    • оперативного управления – федеральным органам исполнительной власти, учреждениям и организациям.
    7. Объекты собственности Российской Федерации, находящиеся за границей, дополнительно могут принадлежать на праве:



    Структура государственной собственности в Тульской области


    На практике в процессе управления экономикой области и управления государственной собственностью в частности принимает участие целый ряд исполнительных органов власти. Например, аппарат Администрации области действует в лице отраслевых и функциональных департаментов:

    • промышленности;
    • сельского хозяйства;
    • транспорта и связи;
    • строительства;
    • коммунального хозяйства;
    • межрегиональных связей;
    • по контролю и кадрам;
    • торговли и бытового обслуживания населения и др.
    Вносят свою лепту и ряд федеральных органов власти и территориальных органов некоторых министерств и ведомств РФ: Главное управление ЦБ РФ по области, Управление Федерального казначейства, Государственная налоговая инспекция, Антимонопольный комитет, Контрольно-ревизионное управление Минфина РФ и др. Деятельность любого из перечисленных органов регулируется в рамках общероссийского и областного законодательства многочисленными нормативными актами, инструкциями и циркулярами выше стоящих инстанций на федеральном и областном уровнях.
    Законом "О государственной собственности в Тульской области" определяются: виды сделок с объектами областной собственности, правовая основа совершения сделок, порядок отчуждения, продажи, обмена, приватизации, передачи в доверительное управление и безвозмездное пользование объектов областной собственности, порядок управления неплатежеспособными предприятиями, арендные отношения, порядок управления пакетами акций, находящихся в областной собственности; прописаны механизмы отношений с областными унитарными предприятиями и учреждениями, учета и контроля за объектами областной собственности.
    Структура государственной собственности в Тульской области Структура собственности в Тульской области сформировалась в нынешнем ее виде в ходе процесса приватизации государственной собственности 1992-1997 гг. Способы и соответствующие им результаты приватизации во многом определили текущее социально-экономическое положение в области (табл. 4.4).
    Таблица 4.4
    Консолидированный бюджет тульской области (в фактически действующих ценах, млрд. рублей)




    1992 г.
    1993 г.
    1994 г.
    1995 г.
    1996 г.
    Доходы, всего
    23,4
    214,8
    928,5
    1985,4
    2352,7
    в том числе: налог на прибыль
    11,0
    112,3
    311,0
    791,6
    467,7
    подоходный налог с физических лиц
    4,5
    43,0
    163,3
    291,6
    428,6
    налог на добавленную стоимость
    4,0
    19,3
    80,5
    151,3
    255,3
    акцизы
    1,3
    11,3
    40,0
    110,0
    145,6
    доходы от приватизации


    2,6
    5,3
    12,9
    8,5
    Расходы, всего
    19,0
    206,8
    912,8
    1982,8
    2605,7
    в том числе на: государственное управление
    0,8
    8,6
    43,8
    99,2
    120,3
    правоохранительную деятельность и обеспечение безопасности



    59,9
    91,5
    экономику области
    7,8
    91,1
    371,0
    829,3
    1063,0
    из нее на:
    промышленность, энергетику и строительство



    40,1
    38,1
    сельское хозяйство и рыболовство



    197,0
    152,4
    социально-культурные мероприятия из них на: образование,
    8,9
    91,8
    326,5
    856,4
    1152,5
    культуру, искусство и средства массовой информации



    377,9
    533,9
    здравоохранения и физическую культуру



    330,9
    423,6
    социальную политику



    147,6
    195,1


    Как известно, в масштабе страны с приватизацией связывалось решение следующих основных задач: стабилизация экономики (замедление падения и начало роста ВНП), создание конкурентоспособного производства, улучшение бюджетных показателей (в первую очередь рост доходной части), создание широкого слоя ответственных собственников, рост благосостояния населения. Те же задачи ставились и в масштабах отдельно взятого субъекта Федерацией. Более того, успешное решение этих задач на общероссийском уровне в основном зависело от конкретных действий региональных органов власти при разработке и осуществлении программ приватизации.
    В Тульской области массовая приватизация началась во второй половине 1992 года в соответствии с курсом, провозглашенным Федеральным центром, и сразу же был взят довольно высокий темп – за шесть с небольшим месяцев изменили форму собственности порядка 24 % всех бывших государственных промышленных предприятий. Об активности процесса разгосударствления в Тульской области можно судить и по динамике изменения доли основных фондов, находящихся в государственной собственности (рис. 4.3).

    Структура государственной собственности в Тульской области

    Рис. 4.3. Динамика доли основных фондов в государственной собственности в 1992-1996 гг., %


    Таким образом в области уже к концу первого периода (чековой) приватизации сформировался довольно крупный негосударственный сектор и были заложены основы образования класса собственников. Ниже приведена сводные таблица и диаграмма (табл. 4.5, рис.
    4.4), отражающие общую динамику процесса приватизации предприятий различных форм собственности с выделением доли предприятий, приватизированных путем акционирования.
    Таблица 4.5
    Структура процесса приватизации в Тульской области

    Годы
    Приватизировано предприятий


    Всего
    В т.ч. путем акционирования, %
    Из них в муниципальной собственности
    Из них в собственности субъектов Федерации
    Из них в Федеральной собственности






    Всего
    В т. ч. путем акц-ния, %
    Всего
    В т. ч. путем акц-ния, %
    Всего
    В т. ч. путем акц-ния, %
    1992
    655
    2.3
    494
    -
    72
    9.7
    89
    9
    1993
    677
    30.3
    437
    1.6
    110
    75.5
    130
    88.5
    1994
    194
    68
    75
    34.7
    45
    84.4
    74
    92
    1995
    27
    29.6
    22
    13.6
    -
    -
    5
    100
    1996
    13
    23.1
    10
    -
    2
    100
    1
    100
    1997
    13
    -
    11
    -
    2
    -
    -
    -
    Итого
    1579
    23
    1049
    3.4
    231
    56.3
    299
    66



    Структура государственной собственности в Тульской области

    Рис. 4.4. Динамика приватизации объектов различных форм собственности в Тульской области

    На 1992-1993 и начало 1994 года приходится этап массовой приватизации предприятий торговли, питания и бытового обслуживания (т. н. малая приватизация): доля таких предприятий в общем количестве приватизированных предприятий составила в 1992 году 81 %, в 1993 – 65%, в в1994 – 36 %. Малая приватизация проводилась в основном путем прямой продажи и выкупа ранее арендованного имущества (последний способ применялся в 1992 году в 98% случаев, в 1993 г. – в 70%).
    Приватизация крупных и средних предприятий в 1992-1996 гг. проходила преимущественно путем акционирования – за пять лет этот способ предпочли 363 предприятия и организации, что составило 23% от общего числа приватизированных предприятий. Пик акционирования пришелся на 1993-1994 годы – 93 % от числа всех акционированных предприятий – и сопровождался безвозмездной передачей крупных пакетов акций большинства предприятий трудовым коллективам (второй вариант) или продажей акций за ваучеры. В этот период были приватизированы 90% всех акционированных предприятий, находившихся на момент приватизации в федеральной и субфедеральной собственности. Суммарный уставный капитал всех созданных акционерных обществ составил 11,6 млрд. руб. (в текущих ценах), причем наиболее крупные по размеру уставного капитала акционерные общества по данным финансово-экономического управления администрации Тульской области созданы на предприятиях федеральной формы собственности и относятся к основным отраслям экономики области: топливной, химической, черной металлургии, энергетике, машиностроению. В настоящее время на этих предприятиях смешанной формы собственности (пакет акций находится в собственности федеральных властей) выпускается порядка 65% объема всей продукции области и занято порядка 63% численности всего промышленно-производственного персонала (рис.
    4.5).

    Рис. 4.5. Распределение объема продукции (работ, услуг) и численности промышленно-производственного персонала по формам собственности по состоянию на 01.01.98 г.

    Анализируя диаграмму, представленную на рисунке 3.5, можно с большой долей уверенности говорить о преобладающей роли государства в экономике региона. В настоящее время в государственной собственности закреплены пакеты акций 11% от общего числа акционерных обществ, в 5% АО за государством закреплена "Золотая акция". Это такие промышленные гиганты области, как "Тулачермет", Косогорский металлургический комбинат, "Щекино Азот", "Азот" (г. Новомосковск), "Тулаэнерго", Черепетская ГРЭС, Ефремовский завод синтетических каучуков.
    Совокупный объем реализации этих предприятий составил в 1997 году примерно 55% всей промышленной продукции области.
    Отрицательным итогом чековой приватизации можно считать низкую эффективность в плане получения государством доходов от передачи имущества, так как именно в этот период акционировались наиболее инвестиционно привлекательные предприятия, о чем говорит и факт превышения продажной цены над начальной почти в 11 раз. Этому способствовали действовавшие в то время правила первичного размещения акций, приводившие к их распылению среди мелких акционеров (членов трудового коллектива, физических участников чековых аукционов), а в последствии к скупке за дешево администрацией и так называемыми "внешними" физическими и юридическими лицами или передаче им в доверительное управление.



    Структура площадей объектов незавершенного строительства


    • Республика Бурятия: Государственный комитет по статистике (г. Улан-Удэ, ул. Толстого, д.3) – общая площадь 5763,4 кв. м, свободная – 960 кв. м (помещение бывшей столовой);
    • Карачаево-Черкесская Республика: Управление государственного казначейства по КЧР – 800 кв. м; Совхоз-техникум “Кавказский” – 1139 кв. м (помещение столовой), 2287 кв. м (общежитие №2);
    • Приморский край: Административный корпус Дальневосточного научно-исследовательского, проектно-конструкторского и технологического института по строительству (г. Владивосток, ул. Бородинская, 14) – 5800 кв. м – в связи с неудовлетворительным техническим состоянием; Приморский центр научно-технической информации (г. Владивосток, Светланская, 115) – 2309 кв. м;
    • Брянская область: Образовательные учреждения – всего 4095 кв. м свободных площадей.
    Кроме того, проводимая МГИ России инвентаризация федеральных учреждений и предприятий показала, что в результате многочисленных реорганизаций и ликвидаций некоторых министерств и ведомств, многие вышестоящие органы государственной исполнительной власти потеряли контроль над предприятиями, уставы которых не приведены в соответствие с Гражданским кодексом, а имущество этих предприятий стало полностью подвластно администрации этих предприятий без участия вышестоящих органов.
    Министерства и ведомства в настоящее время зачастую не имеют перечня подведомственных им предприятий, не ведут учет приватизируемого имущества. Финансово-хозяйственная деятельность подведомственных предприятий не анализируется в полной мере отраслевыми министерствами и ведомствами, а значит не контролируется, как, впрочем, и контракты с руководителями.
    В результате чего подведомственные предприятия самостоятельно распоряжаются федеральным имуществом, зачастую в ущерб федеральным интересам.
    Так, например, в результате проверок только по г. Москве было выявлено, что:

    • на площадях Государственного унитарного полиграфического предприятия "Детская книга" Комитета РФ по печати кроме его подразделений, в нарушение установленного порядка, без согласования с Госкомимуществом России, на основании различного рода договоров размещены 19 сторонних организаций, которые занимают более 10% всех площадей. При этом федеральный бюджет недополучил за период 1996-97 гг. около 800 тыс. рублей;
    • ГП "Центрнаучфильм" Госкомитета России по кинематографии – свободные площади составляют более 60% всех площадей, остальные используются с загрузкой менее 10%. В результате занижения нормативов при расчетах арендной платы федеральный бюджет недополучил более 1 млн. руб. С учетом того, что до настоящего времени дополнительные соглашения со сторонними организациями не заключены, сумма недоплаты в бюджет может составить около 2 млн. руб.;
    • ГУП "Даниловская мануфактура" Минэкономики России – незаконно сдаваемая площадь – около 50% всех закрепленных за ней площадей, задолженность в федеральный бюджет по арендной плате – около 10 млн. руб., неэффективно используемая площадь – около 15% всех площадей.
    Без федерального контроля остаются предприятия, учрежденные федеральными предприятиями на основе Закона СССР “О государственном предприятии (объединении)”. После приватизации предприятий-учредителей они теряют контроль над ими же созданными предприятиями, а у министерств и ведомств зачастую отсутствует информация о таких хозяйствующих субъектах. Приватизация таких структур проводилась по инициативе трудовых коллективов, а в случае ее отсутствия – предприятия, являющиеся федеральными по форме собственности, по сути становились бесхозными, а фактически – вотчиной недобросовестных руководителей.
    Так, например, Специализированное строительное объединение (ССО) “Интернефтегазстрой” Минтопэнерго России и совхоз “Звенигородский” Московской области Минсельхозпрода России учредили и зарегистрировали предприятие “Агроинтер”. Предприятия-учредители приватизировались, а учрежденное предприятие вышло из под их контроля и не попало под контроль государства. С 1989 г. по настоящее время устав предприятия не пересматривался.
    Помимо вышесказанного, в период с января по апрель 1998 года МГИ России была проведена инвентаризация объектов незавершенного строительства, относящихся к федеральной собственности (табл. 1.4). В результате проделанной работы были собраны сведения от министерств и ведомств.
    Согласно полученной информации, суммарная общая площадь объектов незавершенного строительства составляет примерно 450 тыс. кв. м. Общие фактические затраты бюджетных средств составили около 2 млн. руб. (цены 1998 г.) и 59 млрд. руб. (цены 1991 г.) без учета НДС. В настоящее время на основании полученных данных проводится работа с балансодержателями указанных объектов на предмет их дальнейшего использования.
    В процессе этой работы прорабатываются два направления:
    1. В случае необходимости и целесообразности завершения строительства объекта, выясняются возможные источники финансирования (бюджетные или внебюджетные). У балансодержателя объекта запрашиваются документы, подтверждающие его работу в этом направлении (инвестиционные договора, программы).
    Таблица 1.4
    Структура площадей объектов незавершенного строительства по ведомствам

    №№
    Ведомство
    Количество объектов, шт.
    Общая площадь объектов, тыс. кв. м
    Минздрав России
    10
    около 98,0
    Минэкономики России
    11
    127,2
    Минобороны России
    6
    30,0
    Миннауки России
    2
    более 50,0
    МПС России
    4
    63,84,0
    УД Президента России
    3


    МЧС России
    1


    Роспатент
    2
    более 20,0
    Госкомпечать России
    4
    около 80,0
    Госстандарт России
    3
    4,0
    МВД России
    1


    Госкомспорт России
    1
    3,5
    Роскартография
    1
    4,0
    ФАПСИ
    1
    10,0
    Госкомсязи России
    1
    10,72
    Госатомнадзор России
    1
    10,0
    Государственная служба речного флота России
    1
    2,0
    Госстрой России
    1
    10,0
    РАМН
    7
    более 100,0
    РАН
    13
    515,0
    В настоящее время практически завершена совместная работа с Минэкономики России по согласованию Перечня объектов незавершенного строительства, финансирование которых будет осуществляться в 1999 году из федерального бюджета.
    Кроме того, в процессе работы по г. Москве было выявлено 9 объектов, балансодержатели которых представили документы, подтверждающие наличие как бюджетных, так и внебюджетных источников финансирования. Общий объем необходимого финансирования указанных объектов составляет на сегодняшний день около 700 млн. руб.
    2. В случае отсутствия необходимости и целесообразности завершения строительства объекта, балансодержателю предлагается выставить объект на торги с целью продажи.
    Часть балансодержателей г. Москвы уже согласилась с целесообразностью продажи своих объектов и с ними проводится работа по предпродажной подготовке объектов недвижимости. В случае продажи указанных объектов в бюджет по оценке экспертов поступит около 30 млн. руб.
    Кроме того, в настоящее время МГИ России ведется предпродажная подготовка 8 незавершенных строительством объектов различной степени готовности, находящихся в различных регионах Российской Федерации. По предварительным оценкам общая стоимость указанных объектов составит около 20 млн. руб.
    В этой работе необходима помощь министерств и ведомств в составлении перечней незавершенных строительством объектов, подлежащих дальнейшей реализации.
    В этой связи возникает вопрос об арендных отношениях. В настоящее время ситуация может быть охарактеризована следующими фактами:

    • тремя подведомственными Госкомстату России учреждениями предоставлено 59-ти незаконным арендаторам около 9 тыс. кв. м федеральных площадей, в итоге потери федерального бюджета за 1997-1998 года составили около 2 млн. руб.;
    • до 10 тыс. кв. м федеральных площадей незаконно или нерационально используются аппаратом управления Минатомэнерго. Несмотря на наличие согласованных с МГИ РФ договоров, все платежи за использование федерального недвижимого имущества сторонними организациями поступают не в федеральный бюджет, а на счет Минатомэнерго. Ущерб за 1996-1998 гг. составляет свыше 6,5 млн. руб.;
    • Российская медицинская академия последипломного образования – сдано в аренду сторонним организациям без согласования с МГИ России около 60% площадей, остальные площади используются с загрузкой 40-50% или свободны. Материальный ущерб за 1994-1998 гг. – около 12,5 млн. руб.
    Анализ структуры доходов от сдачи федерального недвижимого имущества в аренду по результатам инвентаризации за 1997-1998 гг. показывает следующее.
    В 1997 году проинвентаризированными учреждениями в федеральный бюджет было перечислено лишь 40% средств от общей суммы доходов, полученных от сдачи указанными учреждениями в аренду закрепленных за ними площадей.
    В целом, общая сумма доходов составила около 0,5 млрд. рублей. При этом примерно 45% этих доходов остается в распоряжении федеральных учреждений, в т. ч. из общей суммы остающихся доходов около 30% остается в распоряжении образовательных учреждений, которым в 1997 году было предоставлено такое право в соответствии с федеральными законами “Об образовании” и “О высшем и послевузовском профессиональном образовании”.



    Сводная таблица финансовых потоков, связанных с приватизацией


    Например, в случае с Телеком нормативные правила были разработаны уже после того, как приватизация компании была завершена. В общем и целом, аргентинская программа приватизации с финансовой точки зрения прошла успешно. Она помогла правительству урезать свой бюджетный дефицит до менее 0,5 процента в 1995 г., а также погасить 40 процентов от общей суммы своего долга коммерческим банкам, остававшегося после плана Брейди (после 1989 г). Процесс приватизации YPF – Аргентинской нефтяной компании, а также уроки приватизации Аргентинской сталелитейной компании рассмотрены в Приложении 4.

    Чили

    В Чили начали программу массовой приватизации еще в 1974 году, и первые ее результаты были удовлетворительными. В ходе первой стадии приватизации правительство сосредоточило внимание на передаче прав собственности на крупные финансово-промышленные холдинговые группы. Во время экономического кризиса 1982 года в Латинской Америке эти группы начали пытаться провоцировать системный кризис в финансовом секторе.
    Правительству пришлось вмешаться в деятельность многих этих групп и реприватизировать их активы в ходе второй стадии приватизации.
    Однако в середине 80-х годов началась еще одна широкая приватизационная кампания, но уже с рассмотрением каждого отдельного случая приватизации и использованием различных методов продаж. В период с 1974 по 1996 г. было приватизировано более 550 госпредприятий (90%), что принесло в бюджет страны чуть меньше 3 млрд. долларов. Проводя политику приватизации и жесткую финансовую политику, в последние годы Чили удалось превратить бюджетный дефицит в превышение доходов над расходами и сократить внешний долг до контролируемого уровня путем проведения свопа – обмена долговых обязательств на акции.

    Марокко

    В Марокко одним из наиболее ярких примеров эффективной продажи государственного пакета является приватизация Марокканского банка внешней торговли (МБВТ) путем смешанной продажи. Суть проекта заключалась в следующем.
    К моменту начала приватизации, МБВТ являлся вторым банком Марокко по величине активов. Его баланс составлял 18,7% общего объема кредитов и 17% общего объема депозитов национальной банковской системы. Банк имел 17 филиалов по всей стране и 2778 сотрудников.
    Относительная небольшая часть акционерного капитала котировалась на фондовой бирже Касабланки. Государству – прямо или косвенно – принадлежало 50,01% акций банка, а председатель правления и директор банка имели статус государственных служащих. Иностранным коммерческим банкам принадлежало 12,55% акций, в то время как остальные акции (37,44%) принадлежали частным марокканским инвесторам.
    В 1994 году чистая прибыль составила 29,5 миллионов долларов США.
    Приватизационная сделка была осуществлена в период с декабря 1994 по февраль 1995 года в форме смешанной продажи, сочетавшей в себе проведение открытого тендера на 26% акционерного капитала банка и управленческого контроля, вторичное предложение 14% акционерного капитала на фондовом рынке для мелких инвесторов и паевых инвестиционных фондов и размещение 3% акций среди коллектива банка. В руках государства осталось 7% акционерного капитала банка, закрепленного за государственным учреждением, отвечающим за управление национальной системой социальной защиты.
    Предварительное зондирование национальных институциональных инвесторов выявило наличие серьезного интереса к участию в открытом тендере. Исходя из этого, Министерство приватизации начало и закончило вторичное предложение акций до закрытия открытого тендера. С 16 по 20 января 1995 года акции продавались свободно по цене 38,35 долл.
    США за штуку. Эта операция прошла успешно: в предложении приняло участие более 51 тысячи подписчиков, число которых превысило объем эмиссии в 6,1 раза.
    Сразу после этого было проведено частное размещение акций среди работников банка, приобретавших акции с 15% скидкой. МБВТ также предоставлял своим сотрудникам ссуды на покупку акций. Минимальная цена за одну акцию из 26% была эквивалентна 47% премии к пене вторичного предложения и в 19 раз превышала прогнозируемый размер доходов.

    Чехия

    Продажа стратегическому инвестору автомобильной компании "Шкода" – это наиболее удачный пример приватизации одного из крупнейших предприятий в восточноевропейской стране.
    Основанная в прошлом веке и национализированная в 1945 г. компания "Шкода" выпускала вплоть до 1990 г. практически 100% всех легковых автомобилей в Чехословакии – приблизительно 200 000 машин в год. В 1990 г. предприятие "Шкода" одним из первых в Восточной Европе заключило соглашение с крупной транснациональной фирмой – германским производителем автомобилей фирмой "Фольксваген АГ" (ФВ). Это соглашение стало основой постепенного превращения "Шкоды" в собственность "ФВ".
    До 1990 г. автомобильная промышленность Чехословакии работала в неконкурентной среде и не могла идти в ногу с техническим прогрессом, характерным для мировой автомобильной промышленности. Отсутствие инноваций обусловило выпуск устаревших моделей и низкую производительность труда. В 1989 г. "Шкода" начала поиск потенциальных западных партнеров или владельцев и провела переговоры с такими фирмами, как "Фольксваген", "Пежо-Ситроен", "Рено" и "Фиат", а также с другими производителями автомобилей.
    Официальные предложения поступили от восьми фирм.
    В августе 1990 г. правительство Чехословакии объявило о том, что оно рассматривает предложения двух фирм, готовых гарантировать либо независимость "Шкоды", либо дальнейший выпуск автомобилей под маркой "Шкода" после 1995 г. Одно предложение поступило от "ФВ", второе было совместным предложением фирм "Рено" и "Вольво". Предложенные фирмой "ФВ" покупная цена "Шкоды" и десятилетний план инвестиций на общую сумму в 6,5 млрд. долларов определили выбор "Фольксвагена" в качестве стратегического покупателя "Шкоды".
    "ФВ" согласился заплатить 500 млн. немецких марок (340 млн. долларов США) за приобретение 31% капитала "Шкоды", что после дополнительного вливания по 350 млн немецких марок в 1993 и 1995 гг. увеличилось до 70%. Кроме того, "ФВ" согласился выплатить правительству Чехословакии в рамках трех траншей еще 200 млн немецких марок и таким образом оплатить часть принадлежавших ему акций. В дополнение к этому "ФВ" обязался повысить объем выпуска легковых автомобилей "Шкода" с 200 000 до 450 000 к 2000 г. и осуществлять управление "Шкодой" как отдельной компанией, входящей в группу автомобильных производителей "Фольксваген": "ФВ", "Ауди", "СЕАТ" и "Шкоду".
    Доля государства в размере 30% будет со временем продана в виде неголосующих акций либо через систему купонов, либо в рамках первоначального предложения акций (ИПО). Правительство обязалось управлять государственными акциями (сначала составлявшими контрольный пакет, но затем превратившимися в неконтрольный пакет) как инвестициями и воздерживаться от вмешательства в управление компанией. Для этой цели была создана холдинговая компания "Приско", подотчетная Национальному фонду имущества.
    В 1993 г. "ФВ", в рамках общей стратегии сокращения издержек и чрезмерных инвестиций в Германии и за рубежом, предпринял меры по сокращению своих инвестиционных планов в отношении "Шкоды". "ФВ" объявил о том, что предполагаемый объем инвестиций в "Шкоду" до конца текущего десятилетия будет сокращен в два раза, т.е. с 8,2 млрд. до 3,7 млрд. немецких марок.
    Запланированное расширение производства подлежит сокращению с 450 000 до 300 000 автомобилей. После продолжительных переговоров между правительством и фирмой "Фольксваген" правительство согласилось на это и разрешило фирме увеличить долю своего участия в "Шкоде" до 60% (в декабре 1994 г.). Год спустя "ФВ" довел долю своего участия до 70%.
    Это позволило поднять автомобильную промышленность Чехии на мировой уровень и снять социальную напряженность в стране.
    Подводя итог вышеизложенному, отметим, что за счет приватизации как одного из наиболее часто используемых методов управления государственной собственностью правительства различных стран получают довольно крупные поступления в бюджет и одновременно снимают с себя бремя обслуживания и управления монстрами индустрии своих стран. Финансовые потоки, связанные с приватизацией в различных странах проиллюстрированы в табл. 2.1.
    Таблица 2.1
    Сводная таблица финансовых потоков, связанных с приватизацией (в млрд. долл. США)

    Страна
    Бюджетный дефицит в 1995 г. (в процентах к ВВП)
    Доходы от приватизации (1985-1995 гг.)
    Совокупные поступления от приватизации как процент к среднему годовому ВВП
    Доходы от приватизации в 1996-1998 гг. Цели правительства
    Великобритания
    6,0
    96,7 (с 1979 г.)
    11,9 (1979-1991 гг.)
    Нет данных
    Франция
    5,3
    34,1
    1,5 (1989-1992 гг.)
    11,0
    Италия
    7,4
    17,0
    1,4 (1983-1991 гг.)
    53,2
    Канада
    4,0
    7,6
    0,6 (1984-1990 гг.)
    Нет данных
    Испания
    5,9
    8,3
    0,5 (1986-1990 гг.)
    16,2
    Португалия
    5,2
    5,3
    4,3 (1989-1991 гг.)
    16,3
    Аргентина
    0,4
    18,2 (с 1988 г.)
    9,0 (1990-1994 гг.)
    2,5 (1996)
    Чили
    -1,6
    2,8 (с 1974 г.)
    Нет данных
    0,5 (1996)
    Новая Зеландия
    -0,1
    9,0
    14,1 (1987-1991 гг.)
    1,4 (1996)


    Усовершенствована нормативная база


    2. Усовершенствована нормативная база управления закрепленными в федеральной собственности акциями. Мингосимуществом России был разработан проект Указа Президента Российской Федерации “О совершенствовании управления закрепленными в федеральной собственности акциями акционерных обществ, созданных в процессе приватизации”. Данным проектом предусматривалось определить принципы формирования перечня акционерных обществ, созданных в процессе приватизации и производящих продукцию (товары, услуги), имеющую стратегическое значение для обеспечения национальной безопасности государства, акции которых закреплены в федеральной собственности, а также установить источник финансирования деятельности представителей государства в органах управления открытых акционерных обществ.
    Однако дальнейшая работа над проектом указа представляется нецелесообразной в связи с тем, что указанные вопросы решены с выходом подготовленных в Мингосимуществе России постановлений Правительства Российской Федерации от 17.07.98 №784 "О перечне акционерных обществ, производящих продукцию (товары, услуги), имеющую стратегическое значение для обеспечения национальной безопасности государства, закрепленные в федеральной собственности акции которых не подлежат досрочной продаже" и от 30.06.98 г. №685 "О мерах по обеспечению поступления в федеральный бюджет доходов от использования федерального имущества".
    Во исполнение Федерального закона "О приватизации государственного имущества и об основах приватизации муниципального имущества в Российской Федерации" Мингосимуществом России в начале 1998 года подготовлен, согласован с заинтересованными министерствами и ведомствами и внесен в установленном порядке в Правительство Российской Федерации проект постановления "О порядке осуществления деятельности представителей Российской Федерации в органах управления открытых акционерных обществ". Данный проект позволяет построить согласованно работающий институт представителей государства.
    3. Издано постановление Правительства Российской Федерации "О мерах по обеспечению поступления в федеральный бюджет доходов от использования государственного имущества" от 30 июня 1998 г. №685. Этим постановлением в качестве источника финансирования института представителей государства, как и предлагалось Мингосимуществом России, определены дивиденды по федеральному пакету акций (в размере не более 10% от всей суммы). Порядок расходования этих средств еще предстоит выработать совместно с Минфином России.
    4. Расширено применение механизма доверительного управления закрепленными в федеральной собственности акциями. Принято постановление Правительства Российской Федерации от 17.04.98 №396 “О частичном изменении постановления Правительства Российской Федерации от 07.08.98 №989”, которое позволило начать работу комиссии по проведению конкурсов на право заключения договоров доверительного управления закрепленными в федеральной собственности акциями акционерных обществ, созданных в процессе приватизации. В Правительство Российской Федерации в установленном порядке представлен проект постановления Правительства Российской Федерации и проект указа Президента Российской Федерации о передаче в доверительное управление находящихся в федеральной собственности акций девяти акционерных обществ.
    5. Отменены льготы по перечислению дивидендов в федеральный бюджет. Президентом Российской Федерации 16 апреля 1998 г. подписан Указ №396 "О признании утратившими силу Указов Президента Российской Федерации, касающихся льгот на использование дивидендов по акциям, находящимся в государственной собственности".
    Данный Указ позволяет существенно повысить доходную базу федерального бюджета. Ведь именно основные плательщики дивидендов по федеральным пакетам акций пользовались этими льготами: все нефтяные компании, РАО “ЕЭС России”, ОАО “Транснефть” и “Транснефтепродукт”. Указ полностью соответствует статье 105 Федерального закона "О государственном бюджете на 1998 год" об отмене в 1998 году льготного порядка распределения дивидендов по акциям, находящимся в федеральной собственности.
    В 1997 году только от этих плательщиков можно было получить не менее 500 млрд. руб.
    Кроме того, Мингосимуществом России подготовлены и в установленном порядке представлены в Правительство Российской Федерации проект федерального закона "О внесении в федеральные законы изменений по отмене льготного порядка распределения доходов от сдачи в аренду федерального имущества" и проект постановления Правительства Российской Федерации "О внесении изменений и признании утратившими силу решений Правительства Российской Федерации, касающихся льгот на использование дивидендов по акциям, находящимся в государственной собственности".
    6. В целях реализации Федерального закона "О приватизации государственного имущества и об основах приватизации муниципального имущества в Российской Федерации" и совершенствования учета федерального имущества издано постановление Правительства Российской Федерации "Об организации учета государственного имущества и ведения реестра государственного имущества" от 3 июня 1998 г. №696.
    Постановление регулирует порядок учета и ведения реестра федерального имущества, определяет принципы построения реестра, объекты учета и данные о них, порядок предоставления информации для внесения в реестр. В рамках этого постановления формируется правовое поле для обобщения и систематизации информации о федеральном имуществе для его последующей оценки и выбора методов управления.
    глава 2. анализ зарубежного опыта управления государственной собственностью § 2.1. Анализ опыта приватизации государственной собственности за рубежом Как свидетельствует опыт стран с развитой рыночной экономикой, основой участия государства в экономике являются экономические, в частности фискальные, меры. При этом государства стремятся уменьшить свое непосредственное участие в производственном процессе (например, Германия). В этой связи одним из основных способов управления федеральной собственностью становится приватизация предприятий.
    Рассмотрим опыт различных стран в проведении приватизации.

    Великобритания

    Приватизация в Великобритании началась в 1979 году и продолжается до сих пор. Большую часть общей суммы в 97 миллиардов долларов, поступившей от приватизации в период с 1979 по 1995 гг., правительство Великобритании получило от приватизации 48 крупнейших компаний, таких как Бритиш Телеком, Бритиш Гэз, Бритиш Эйруэйз и Бритиш Петролеум. Среди других основных достижений британской программы приватизации можно назвать:
    1) значительно возросшую эффективность и прибыльность бывших государственных предприятий;
    2) значительный рост числа акционеров (от 4% взрослого населения в 1979 г. до более 25% в середине 90-х годов);
    3) значительное сокращение государственных субсидий ГП.
    Хотя бюджетный дефицит в стране по-прежнему большой, в 1995 году он составлял 6% от ВВП, общее влияние приватизации на состояние государственных финансов Великобритании было положительным. По данным “Евромани” (февраль 1996 г.), в 1981 году затраты на ГП обходились британским налогоплательщикам в 50 млн. фунтов стерлингов в неделю, выплачиваемых в форме субсидий; те же самые компании сейчас вносят в казну страны 55 млн. в неделю в форме налогов. Такой поворот событий не был бы возможен без приватизации.
    Основными чертами британской приватизации являются ее постепенность, акцент на получении прибыли, тщательная подготовка законных и нормативных рамок для каждого отдельного случая продажи.
    Великобритания стимулировала широкое владение акциями посредством особого внимания к их розничному распределению, установления скидок на предлагаемую цену, доступности акций через посредничество банков и широкомасштабных рекламных кампаний в средствах массовой информации, а также создания различных программ стимулирования покупки акций сотрудниками предприятий и структур, предлагающих акции.
    Еще одной характерной чертой была эффективная система регулирования деятельности естественных монополий в послеприватизационный период, включая лицензирование и контроль за ценами, создание режима потолка цен, ограничивающего возможности приватизированных монополий в повышении цен. Регулирование с помощью установления потолка цен срабатывает гораздо лучше, чем традиционное регулирование на основе уровня возврата инвестиций, которое не способствует эффективности.
    В Приложении 1 приведены примеры успешной приватизации государственной компании "Бритиш Телеком" и предприятия коммунальных услуг "Бритиш Гэз".

    Франция

    Французская программа приватизации, начатая в 1986 году правительством Ширака, была приостановлена в 1988 году и возобновлена в 1993 году правительствами Балладура и Жюппе частично из-за озабоченности по поводу бюджета. Франции предстоит сократить свой бюджетный дефицит с 5,3% до 3% от ВВП к 1998 г. с тем, чтобы удовлетворять критериям Маастрихта в отношении членства в Европейском валютном союзе.
    В ходе приватизации до сегодняшнего дня было получено примерно 43 млрд. долларов, в ближайшие два-три года предстоит продать 25 государственных групп, при этом ожидается получить доход в 11 млрд.



    В перечень включено 697 акционерных обществ.


    Из общей суммы доходов от сдачи в аренду федерального недвижимого имущества, закрепленного за бюджетными учреждениями, 15% средств направляется на капитальный ремонт зданий и помещений. В соответствии со ст. 105 Федерального закона “О Государственном бюджете на 1998 год” был отменен ряд льгот по перечислению средств, полученных от сдачи в аренду федерального недвижимого имущества. Таким образом, в федеральный бюджет может быть дополнительно направлено около 300 млн. руб., ранее остававшихся согласно принятым нормативным актам в распоряжении отдельных категорий учреждений.
    Так, например, в результате проведения инвентаризации по г. Москве установлено, что высшие учебные заведения, подведомственные Минобразованию России, сдают в аренду без согласования с МГИ России до 15-20% площадей, закрепленных за ними зданий. Вопреки Федеральному закону “О государственном бюджете на 1998 год”, предусматривающему перечисление арендной платы в бюджет, до сих пор арендная плата поступает на счета ВУЗов. Только по вине четырех ВУЗов федеральный бюджет за последние три месяца недополучил около 15 млн. руб.
    В соответствии с п. 5 постановления Правительства Российской Федерации от 05.01.98 №3 “О порядке закрепления и использования находящихся в федеральной собственности административных зданий, строений и нежилых помещений” договоры на передачу в аренду или безвозмездное пользование находящихся в федеральной собственности объектов недвижимого имущества, заключаемые в соответствии с законодательством Российской Федерации организациями, за которыми эти объекты закреплены в установленном порядке, подлежат учету в МГИ России. Однако это постановление Правительства Российской Федерации не всегда выполняется.
    Необходимо обратить внимание на то, что в то время, когда Правительство Российской Федерации и все органы исполнительной власти принимают меры, необходимые для выполнения заданий по поступлению доходов в федеральный бюджет, некоторые министерства и ведомства пролоббировали принятие изменений в Федеральный закон “О науке и государственной научно-технической политике”, в соответствии с которыми федеральные научные организации, а также РАН и другие отраслевые академии наук наделяются несвойственными им функциями по управлению имуществом, что может привести к значительному снижению доходной части бюджета.
    Особое внимание необходимо уделить вопросам управления акциями, закрепленными в федеральной собственности. В настоящее время в собственности Российской Федерации находится свыше 4800 пакетов акций акционерных обществ и иных предприятий со смешанными формами собственности, представляющие базовые отрасли народного хозяйства, в том числе в топливно-энергетическом комплексе – 700 пакетов, на транспорте – 1300, в военно-промышленном комплексе – 370.
    По величине доли в уставном капитале акционерных обществ акции, находящиеся в федеральной собственности, распределяются следующим образом:


    Доля в акционерном капитале
    Количество предприятий
    более 50 %
    831
    от 25% до 50 %
    2004
    до 25 %
    1400
    специальное право – "золотая акция"
    631
    Таким образом, можно констатировать, что государство осуществляет полный контроль не более, чем в 25% акционерных обществ с федеральной долей. В остальных обществах государство действует как простой акционер.
    Государство управляет принадлежащими ему акциями через институт своих представителей. Их число составляет на сегодня около 2000 человек. Из них – 92 % являются работниками отраслевых министерств и ведомств, 8% – работниками МГИ России, ГКАП России, Министерства финансов Российской Федерации, Российского фонда федерального имущества.
    Таким образом, институт представителей государства на 100 % состоит из федеральных служащих различных должностных рангов: от министров до главных специалистов.
    Проведенный анализ функционирования этого института позволяет констатировать, что работа представителей государства имеет следующие основные недостатки:

    • нерегулярная работа представителей государства в акционерных обществах, что не позволяет им знать состояние дел и принимать соответствующие решения, обеспечивающие защиту интересов государства;
    • число представителей государства в органах управления акционерных обществ не соответствует размеру находящегося в собственности государства пакета акций. Ряд министерств, при наличии контрольного пакета в собственности государства, направляют для работы в Советах директоров по 1-2 представителю;
    • многие представители государства в органах управления акционерных обществ практически не используют свои полномочия по смещению руководителей АО, допускающих длительные задержки зарплаты. Эти полномочия определены постановлением Правительства Российской Федерации от 22 января 1997 г. №214. В соответствии с этим постановлением в случае возникновения задолженности по платежам в бюджет и заработной плате представитель государства имеет право:
    • ставить вопрос о созыве совета директоров, прекращении полномочий исполнительного органа АО;
    • включать в повестку дня собраний органов управления АО вопросов о состоянии задолженности и мерах по ее погашению;
    • нерегулярная отчетность представителей государства об их работе в акционерных обществах. Как правило, отчеты носят чисто формальный характер, нет особого мнения по различным аспектам деятельности представителей государства даже в тех предприятиях, которые имеют неудовлетворительную структуру баланса;
    • слабая профессиональная подготовка представителей государства, особенно в части знания действующего законодательства, что в ряде случаев приводит к неквалифицированным действиям представителей государства в органах управления акционерных обществ;
    • нарушение представителями государства полученных инструкций, касающихся порядка их голосования в органах управления акционерных обществ, что привело в результате к уменьшению доли государства в уставных капиталах ряда акционерных обществ.
    Закрепляя акции в федеральной собственности, Правительство Российской Федерации преследует прежде всего стратегические цели, которые могут даже вступать в противоречие с коммерческими интересами акционерного общества. Поэтому получение дивидендов по закрепленным акциям не является основной целью управления ими. Тем не менее, государство обязано осуществлять эффективную дивидендную политику.
    Дивиденды по федеральным пакетам акций (в ценах 1998 года) составили:

    • в 1995 г. – 115 млн. руб.;
    • в 1996 г. – 118 млн. руб.;
    • в 1997 г. – 271 млн. руб.;
    • за I полугодие 1998 г. – 343 млн. руб.
    Налицо тенденция к росту дивидендов, начисляемых на федеральный пакет акций. Это связано со следующими факторами:

    • усилением контроля со стороны государства (ГНС, МГИ, РФФИ) за использованием дивидендов по федеральным пакетам акций;
    • снижением инфляции и появлением у акционерных обществ оборотных средств. Снизилась потребность в постоянной подпитке деньгами, что позволило направить часть средств на дивиденды;
    • стремлением акционерных обществ повысить привлекательность своих акций для внешних инвесторов. Стабильная выплата дивидендов является одним из основных показателей стабильности положения самого акционерного общества.
    В соответствии с утвержденным Правительством Российской Федерации планом поступления в федеральный бюджет доходов от использования федерального имущества на 1998-2000 годы, в 1998 году дивиденды по находящимся в федеральной собственности акциям должны составить 1,35 млрд. руб. Выполнение указанного задания возможно только в случае проведения эффективной дивидендной политики со стороны представителей государства в акционерных обществах, акции которых находятся в федеральной собственности.
    В настоящее время можно констатировать, что государство владеет большим числом "малых" пакетов акций (по 0,15 процентов в уставном капитале), продать которые по реальной цене невозможно из-за отсутствия котировок и ликвидного рынка этих акций. Как показывает опыт, ожидать активной работы со стороны владельцев контрольных пакетов не приходится. Поэтому необходимо передать такие пакеты трудовым коллективам бесплатно или в доверительное управление для более эффективного использования.
    За 1998 год Мингосимуществом России совместно с другими органами исполнительной власти проделана большая работа по совершенствованию управления федеральной собственностью:
    1. Решена задача оптимизации количества пакетов акций, закрепленных в федеральной собственности. Важным шагом к созданию эффективной системы управления федеральным имуществом стало принятие постановления Правительства Российской Федерации "О перечне акционерных обществ, производящих продукцию (товары, услуги), имеющую стратегическое значение для обеспечения национальной безопасности государства, закрепленные в федеральной собственности акции которых не подлежат досрочной продаже" от 17 июля 1998 г. №784. В перечень включено 697 акционерных обществ.
    Пакеты акций акционерных обществ, не имеющих стратегического значения, необходимо продавать, используя их реальную оценку и предпродажную подготовку для достижения максимального бюджетного эффекта или передавать трудовым коллективам.



    Вхождение в листинг Российской Торговой Системы


    Возможной альтернативой продажи акций является предоставление акций в залог с получением кредита для последующего эффективного управления денежными ресурсами. А также поручение брокерским конторам осуществлять сделки с ценными бумагами предприятия на вторичном рынке в качестве уполномоченного дилера. В этом случае требуются следующие услуги:
    1. Вхождение в листинг Российской Торговой Системы.
    2. Осуществление операций купли-продажи акций предприятия.
    3. Проведение согласованной политики по регулированию курсовой стоимости акций.
    4. Содействие в консолидации крупных пакетов для последующей его продажи российским и иностранным инвесторам.

    Введение акций в листинг Российской Торговой Системы (РТС)

    Введение акций общества в листинг РТС делает их более известными на российском фондовом рынке, так как листинг РТС включает в себя всех эмитентов с развитым рынком акций.
    Обеспечение начала торгов в РТС с участием держателей федеральной доли акций
    Начало торгов в РТС в рамках второго этапа помимо создания ликвидного рынка акций решит задачу повышения котировок в преддверии размещения пятипроцентного пакета (из госдоли или скупленного у населения за собственные средства). В ходе этого этапа инвестиционная компания может выкупить пакеты крупных держателей акций по заключенным ранее договорам-поручениям, когда рыночная цена достигнет предела, определенного поручителями в указанных договорах.
    После укрепления позиций общества на российском фондовом рынке как правило проводится информационная поддержка и создание условий для выпуска АДР. В настоящее время одним из основных требований рынка к корпорациям-эмитентам является информационная открытость и доступность.
    В частности, необходимы ежеквартальные публикации в специализированных изданиях финансовой отчетности и производственных показателей, новостей общества. Упоминания о производственной и инвестиционной деятельности должны регулярно печататься в ведущих центральных периодических изданиях. При этом появляется необходимость создавать требуемый имидж акционерного общества для инвесторов, а также корректировать неблагоприятную конъюнктуру, что приносит среднеи долгосрочные выгоды эмитенту и акционерам в виде повышения курсовой стоимости данных ценных бумаг.
    Воздействие на общественное мнение об акционерном обществе может быть эффективным только при регулярном взаимодействии со СМИ. В этой связи необходимо разработать примерный план мероприятий, например, включающий:


    Проведение пресс-конференций
    2 раза в год
    Проведение брифингов по текущим вопросам
    1 раз в квартал
    Выпуск и распространение пресс-релизов
    1 раза в месяц
    Выступление на радио и телевидении
    6 раз в год
    Выпуск и распространение информационного бюллетеня
    1 раз в квартал
    Интервью представителей высшего руководства корпорации
    не реже 3 раз в год
    Информационное обеспечение инвесторов и проведение маркетинговых мероприятий проводится с целью максимального информирования потенциальных инвесторов о ближайших планах общества, его инвестиционных программах.
    Программа информационного обеспечения инвесторов и маркетинговые мероприятия включают:

    • проведение специальных мероприятий – презентаций среди институциональных инвесторов в России и за рубежом;
    • взаимодействие со средствами массовой информации на регулярной основе.
    Проведение специальных мероприятий – презентаций, приуроченных либо к определенным событиям (размещение нового выпуска акций), либо к маркетинговой политике общества в целом, является исключительно важным и действенным инструментом повышения привлекательности пакетов акций в глазах потенциальных инвесторов.
    Для инвесторов также необходима подготовка информационного (аналитического) обзора, соответствующего международным стандартам с целью широкого распространения среди операторов фондового рынка, заинтересованных российских и зарубежных финансовых и инвестиционных институтов.
    Информационный обзор должен включать:

    • общую информацию об акционерном обществе (история, месторасположение и т. д.);
    • характеристику производственной деятельности и производственного потенциала (в том числе сравнение с конкурентами);
    • структуру управления (в том числе информацию о высшем руководстве);
    • структуру акционерного капитала;
    • финансовую отчетность и анализ финансового положения;
    • стратегию развития общества;
    • стратегию привлечения капитала (новые эмиссии, облигационные займы и т.д.);
    • финансовый прогноз.
    Для обеспечения инвесторов необходимой финансовой информацией в соответствии с международными стандартами проводится Финансовый аудит и приведение финансовой отчетности в соответствие с международным стандартами.

    Вывод акций на международные рынки

    После проведения необходимой информационной подготовки общество может переходить к продвижению акций на зарубежные рынки. Наиболее распространенными и приемлемыми в настоящее время являются Американские Депозитарные Расписки (АДР).
    АДР появились как основной способ, с помощью которого неамериканские эмитенты могут получить доступ на американский рынок акций. Зарубежная компания, стремящаяся получить листинг на биржах США, должна осуществить это через процесс листинга АДР.
    Одним из основных этапов создания ликвидного рынка акций является размещение 5-10% пакета акций среди зарубежных институциональных инвесторов. Продажа акций создаст первоначальный рынок ценных бумаг за рубежом, на несколько порядков повысит доверие к акциям эмитента и позволит значительно повысить котировки на внутреннем рынке.
    Размещение по правилу 144А позволяет размещать АДР среди институциональных инвесторов, при этом отсутствует необходимость регистрации в Комиссии по ценным бумагам и биржам США, а также появляется возможность реализовывать АДР неамериканским инвесторам по правилу S.
    Данная форма размещения предполагает подготовку Информационного меморандума международной компанией-андеррайтером, которая непосредственно осуществляет размещение и ряд подготовительных мероприятий.
    Само размещение осуществляется путем тщательно подготовленной кампании "Road-Show" (презентация) с участием представителей государственных ведомств РФ и руководства общества, по завершении которой проводятся торги с высокой продажной ценой акций.
    В целях финансирования своего развития и формирования устойчивого зарубежного рынка сбыта ряд крупных российских эмитентов привлекает стратегических инвесторов путем продажи определенных пакетов своих акций. Выбор стратегического инвестора должен осуществляться не ранее появления устойчивого спроса на акции эмитента, то есть тогда, когда возникает возможность выбора инвестора на условиях партнерства, более выгодных для эмитента и государства.
    § 3.4. Методика управления федеральным недвижимым имуществом Цикл управления федеральным недвижимым имуществом Каждый из элементов федеральной собственности имеет определенную специфику. Это означает, что для каждого элемента можно описать определенные, присущие только этому объекту свойства, отличающие его от других. В этой связи федеральное недвижимое имущество может быть охарактеризовано как реальные активы, которые приносят доход не за счет создания с их прямым использованием товарной продукции, а как имущество, позволяющее осуществлять вспомогательные и иные функции, например, функции управления (здания федеральных административных учреждений), обучения (здания федеральных общеобразовательных учреждений) и другие.
    Прежде всего, на наш взгляд, необходимо определить базовые положения системы управления федеральной недвижимостью. По нашему мнению, система управления федеральной собственностью в части объектов недвижимого имущества базируется на:

    • знаниях о составе объектов федеральной собственности;
    • определении рыночной стоимости объектов недвижимости и прав пользования ими;
    • создании единого банка данных о всех объектах недвижимости;
    • применении всего разрешенного законодательством инструментария при использовании объектов недвижимости;
    • полноценной защите имущественных прав города и государства;
    • достижении максимальной доходности объектов недвижимости.
    Цикл управления недвижимостью имеет специфику, определяемую в основном спецификой использования федеральной недвижимости. На наш взгляд, цикл управления федеральным недвижимым имуществом может иметь следующий вид (рис. 3.11).



















    Рис. 3.11. Цикл управления федеральным недвижимым имуществом
    На первом этапе необходимо обнаружить и внести в реестр все объекты федерального недвижимого имущества. Далее необходимо оценить стоимость и юридическую чистоту объекта. Оценка эффективности проводится для оценки доходов и расходов конкретного объекта. Результаты оценок используются для планирования дальнейшей судьбы объекта.
    Реализация плана осуществляется путем проведения конкурсов или иных мероприятий по передаче определенных прав на объект, а затем использование этих прав контролируется соответствующими федеральными органами.
    Инвентаризация и учет недвижимого имущества На первом этапе цикла управления федеральным недвижимым имуществом необходимо осуществить процедуру учета и инвентаризации недвижимого имущества.



    Зарубежный опыт ведения земельных кадастров


    § 2.2. Зарубежный опыт ведения земельных кадастров В настоящее время ни у кого не вызывает сомнения необходимость в рыночной оценке активов. Потребителями этой информации являются практически все участники экономических отношений, включая предприятия и организации различных форм собственности, государственные учреждения и физические лица. Вопросы налогообложения, страхования, кредитования, защиты прав потребителей должны решаться только на основе сложившихся на текущий момент экономических условий.
    Хорошо понимая важность проблем оценки активов, исполнительная и законодательная власти России принимают решения, направленные на формирование системы оценки на федеральном уровне, разработку и стандартизацию методологической базы оценки, подготовку специалистов в области оценки и управления активами.
    При этом в качестве основы для законодательных, теоретических и практических разработок используется соответствующий опыт развитых стран с нормально функционирующим рынком недвижимости. Однако практический опыт последних лет по переносу в российскую практику системы, хорошо работающей в той или иной стране, показывает, что в силу особенностей и традиций в наших условиях такие системы или не приживаются или не дают ожидаемого результата.
    Вот почему сегодня настал момент проанализировать зарубежный и исторический опыт особенностей развития оценки недвижимости в России и наметить основные ориентиры будущего развития данной отрасли экономики с учетом национальных особенностей России.
    Исторический опыт разработки кадастров в странах Западной Европы Система оценки недвижимости для целей налогообложения в том виде, в каком ее застала Первая мировая война, складывалась в России под непосредственным влиянием работ, проведенных в странах западной Европы в 18-19 веках. Поэтому, рассматривая те или иные методы, приемы или теоретические положения оценочной деятельности в России, следует иметь в виду их аналоги и исторические корни.
    Поводом для создания системы налогообложения недвижимости в большинстве стран послужила неравномерность распределения налогов при переходе от подушного налогообложения к подоходному. В основе таких систем, называемых кадастром, лежали оценки, основанные либо на стоимости, либо на доходности недвижимости.
    Упоминания о первых подобных оценках относятся к 18 веку – оценка в Миланском герцогстве (1718-1759 гг.) и в Тироле (1771-1784 гг.). Причем следует отметить, что основные принципы оценки, примененные в 18 веке, сохранились в основных чертах и в 19 веке, когда кадастровые работы приняли массовый характер. Наиболее известны по своим описаниям и результатам кадастры Франции, Австрии, Саксонии, Вюртемберга и Пруссии.
    Кратко рассмотрим кадастры этих стран.

    Кадастр Франции

    Он начинает свою историю в 1790 году, когда Национальное собрание издало закон о налоге на недвижимое имущество, который основывался на чистом доходе от земли и построек.
    При оценке земли под доходом понималась арендная плата, определяемая в зависимости от урожайности и издержек производства сельскохозяйственной продукции. Для разработки кадастра все земли были разделены на отдельные участки – парцеллы (parctlles), отличающиеся видом выращиваемой культуры или правом собственности. При описании каждого участка, в ходе которого необходимо было точно измерить и зафиксировать его размеры и местоположение, специальная комиссия приступала к оценке.
    Сущность оценки заключалась в том, что определялся чистый доход участка с последующей проверкой полученного результата данными о величинах существующих арендных плат и продаж, а непосредственными исполнителями являлись общественные комиссии, состоящие из представителей общин, владеющих разными типами недвижимости.
    Вследствие большого количества необходимой информации, отсутствия достаточного количества специалистов по проведению подобных работ, создание кадастра во Франции продолжалось почти 50 лет. За это время потеряли свою актуальность и потребовали пересмотра результаты, полученные в начале работы. Поэтому в 1850 году был принят закон о пересмотре результатов, полученных более 30 лет назад.
    Полностью эта работа была окончена в 1854 году, который считается годом окончания всех оценочных работ.
    К одной из главных причин столь долгого выполнения кадастра следует отнести отсутствие правительственного финансирования оценочных работ и отсутствие четкой идеологии и плана реализации системы оценки для налогообложения недвижимости. Если первоначально предполагалось определять средние урожайности участков в данной местности, то затем верх получило мнение о необходимости оценки земли каждого индивидуального владельца и даже его отдельных парцелл. Именно это привело к неоправданному возрастанию объема работы и породило злоупотребления и неравномерность обложения налогом.
    Для городской недвижимости были выполнены оценочные работы только в нескольких городах разных департаментов. Полученную величину дохода делили на число жителей и получали среднюю величину доходности на одного жителя. Для оценки в остальных городах полученные среднедушевые величины доходности умножали на количество жителей и получали доходность всего городского недвижимого имущества.
    Прибавляя доходность городской недвижимости к доходности земли получали общую доходность всей недвижимости департамента.

    Кадастр Австрии

    В отличие от парцеллярного французского кадастр Австрии по типу относился к реальному, потому что в его основе лежала продажная цена. Разница между ними была в ударении – во французском кадастре определялась доходность одной парцеллы и полученный результат проверялся данными о ценах продажи, а в австрийском кадастре находилась цена продажи, но при этом учитывалась и доходность земли, определяемая путем оценки специальными комиссиями.
    Начало работ по созданию кадастра относится к 1817 году, когда был издан закон о "постоянном кадастре", предполагающий подробную триангуляционную съемку и оценку всех видов недвижимого имущества. Руководство всеми работами возложили на Комиссию при министерстве финансов. В 1825 году была издана инструкция, определявшая порядок действий вертикальной структуры представителей комиссии на местах. Нижним звеном структуры являлись комиссары, в задачу которых входил сбор сведений о способах ведения хозяйства, поголовье скота и площадях, занятых различными культурами и т. д.
    Совместно с представителями общин комиссары проводили классификацию земли по урожайности на основании обычных приемов ведения сельского хозяйства. Далее рассчитывались издержки производства и определялся чистый доход для единицы площади разных земель. Полученные данные собирались инспекторами, проверялись и отправлялись в Центральную комиссию.
    В 1836 году эта работа была закончена, а в 1849 году принят закон о налогообложении земли в размере 16% чистого дохода.
    Однако резкие изменения цен на продукцию сельского хозяйства в разных местностях привели к несоответствию арендных платежей результатам оценки и соответственно к неравномерности налогообложения. Комиссия при министерстве финансов начала рассматривать вариант использования в качестве базы для налогообложения ценность имущества.
    При этом комиссия под ценностью определяла капитализированную доходность, которая может отличаться от продажной цены. Применяя капитализированную доходность можно было несколько снизить неравномерность налогообложения. После долгого обсуждения комиссия доложила императору о том, что она не смогла прийти к единому мнению относительно базы для налогообложения.
    Новый закон об оценке 1869 года оживил работы по регулированию неравномерности налогообложения. В качестве стабилизирующего фактора было принято положение о том, что доходность определяется на основе цен на продукцию не за последний год перед оценкой, а за последние 15 лет. Только к 1883 году работы по созданию кадастра были завершены, а их общая продолжительность составила 65 лет.

    Кадастр Саксонии

    Этот кадастр был разработан за 8 лет, начиная с 1835 года, когда был издан закон об оценке земель. Работа начиналась с определения границ участков судебными органами. Затем землемеры проводили подробную съемку и передавали материал специальным комиссиям, которые и выполняли оценку.
    Принципиальным отличием от австрийского и французского кадастров было то, что правительство заранее установило классификацию земли по доходности (например, 33 класса пахотной земли, 11 классов и 8 подклассов лугов и т.п.), а цены всех продуктов выражались по отношению к стоимости ржи (было установлено, что рожь является повсеместным продуктом, а цены на другие продукты сельского хозяйства изменяются пропорционально изменению цен на рожь).
    При такой постановке вопроса комиссиям не надо было собирать сведения об экономических характеристиках производства. Единственной их задачей было отнесение конкретных участков в соответствии с имеющимся набором признаков к тому или иному классу.

    Кадастр Пруссии

    Он разрабатывался 6 лет, начиная с 1861 года, несмотря на то, что площадь Пруссии в 25 раз больше площади Саксонии. Одной из основных задач прусского кадастра было выполнение его в максимально короткие сроки, так как в течение 12-15 лет ситуация полностью меняется, начиная от персонала оценщиков и заканчивая условиями производства продукции.



    

        Экономика: Знания - Циклы - Макроэкономика