Прогнозирование национальной экономики


1. МЕТОДИЧЕСКИЕ ОСНОВЫ СОЦИАЛЬНО-
ЭКОНОМИЧЕСКОГО ПРОГНОЗИРОВАНИЯ

Первая глава посвящена изучению методических основ социально-экономического прогнозирования. Во-первых, показаны роль социально-экономического прогнозирования в системе государственного регулирования экономики и взаимосвязь между планированием и рыночной экономикой. Во-вторых, приведены основные понятия и термины, используемые при прогнозировании национальной экономики. В-третьих, раскрываются задачи, функции и принципы прогнозирования.
В-четвертых, рассматриваются признаки классификации прогнозов, раскрыта их сущность.

Ключевые слова: прогнозирование, планирование, предсказание, предвидение, научное предвидение, ненаучное предвидение, эмпирическое предвидение, гипотеза, прогноз, план, прогностика, программа, принципы прогнозирования, признаки классификации прогнозов.

1.1. Социально-экономическое прогнозирование
в системе государственного регулирования экономики.
Планирование и рыночная экономика.

Глобальная функция государства в рыночных условиях заключается в создании условий жизнеобеспечения общества.
Следует помнить, что экономика не в состоянии одномоментно перейти на рыночные отношения. Формирование рыночного механизма предполагает наличие определенного временного периода и требует разработки программы реформ с определением конкретных этапов, обеспечивающих необходимые изменения в социально-экономической жизни страны. Важное значение в этом процессе играют планирование и прогнозирование, позволяющие предвидеть возможности и последствия всех изменений.
Прогнозирование и планирование наряду с координацией и контролем являются важными элементами формирования целостной системы управления экономикой. Реальная экономическая политика государства в общих чертах выражается в определении степени и методов воздействия на все субъекты экономических отношений. Особенно важно для государства иметь возможность снизить (или ликвидировать) влияние негативных факторов на социально-экономические процессы и стимулировать воздействие позитивных факторов.
Именно прогнозирование может обеспечить выявление таких взаимосвязей.
В условиях рыночных отношений государство может прямо и косвенно воздействовать на эономику.
Прямое воздействие осуществляется в следующих формах: а) финансовая помощь и финансовое участие государства (в деятельности регионов, предприятий); б) антимонопольный контроль; в) контроль за ценами; г) контроль за трудовым и социальным законодательством и т.д.
Формами косвенного воздействия выступают: а) налоговая политика; б) региональная политика; в) регулирование занятости и профессиональной подготовки и переподготовки; г) планирование и прогнозирование и т.д.
Таким образом, прогнозирование является одной из форм косвенного воздействия государства на экономику.
Экономическое прогнозирование получило широкое развитие почти во всех индустриально развитых странах мира. Причина кроется в том, что в условиях рынка государство вынуждено управлять экономикой, а следовательно, предвидеть последствия принимаемых решений.
Дискуссия о том, возможно ли сочетание плана и рынка, длилась на протяжении многих десятилетий ХХ века. Существуют две противоположные позиции.
1. По мнению известного экономиста Фридриха фон Хайека, в рыночной экономике прогнозировать можно только развитие несложных экономических систем (микроуровень - фирмы, предприятия), но если экономическая система усложняется, то на ее развитие оказывают влияние многие факторы, и учесть их все одному плановому органу невозможно. Выход один - децентрализация планирования именно на уровне предприятия, фирмы. Однако Ф. фон Хайек замечает, что предприятия добьются успеха в том случае, если будут координировать свои планы с планами других предприятий, т.е. координация необходима. По его мнению, координация - это система мер, обеспечивающая отдельные субъекты рынка информацией для согласования их действий.
В качестве механизма передачи информации он называет систему цен, чутко реагирующую на изменение спроса и предложения на рынке.
2. Лауреат нобелевской премии известнейший американский экономист русского происхождения Василий Леонтьев считает, что планирование должно являться неотъемлемой частью рыночного регулирования экономики. Он приводит два довода в пользу своей позиции: а) экономические системы в наше время усложняются, НТП обеспечивает высокие темпы развития, в этих условиях неизбежно стратегическое планирование, особенно на уровне страны, на национальном уровне; б) в мире существует два способа управления экономикой страны (с помощью проб и ошибок, такой метод дает положительные результаты, но имеет большие издержки и с помощью стратегического планирования, на этом пути ошибок меньше, а результаты выше).
На современном этапе индустриального развития страны решают вопрос план или рынок? по следующему принципу: рынок - насколько возможно, план - насколько необходимо. Можно выделить страны, где преобладают рыночные начала (США, Германия), и страны, где превалирует плановое начало (Япония, Франция, Южная Корея).
Большинство экономистов современности придерживаются следующей позиции о соотношении плана и рынка: между ними нет противоречия, но план-приказ, план-директива несовместим с рыночной экономикой.
Прогнозирование экономики расширяет базу для устойчивых и долговременных отношений между хозяйствующими субъектами и государственными органами управления. И тем и другим прогнозы необходимы для выработки долгосрочной экономической политики. Во многих странах успешно применяются национальные и региональные программы и стратегические планы развития экономики, в основе разработки которых лежат экономические прогнозы.

1.2. Основные понятия и определения

Прогнозирование означает специальное научное исследование, направленное на выявление перспективы развития явления или процесса. Термин прогнозирование в переводе с греческого означает знание наперед, т.е. это процесс разработки прогноза, суть которого заключается в том, чтобы определенными методами обработать имеющуюся информацию об объекте прогнозирования и получить представление о направлениях его эволюции на основе анализа тенденций его развития.
Результатом познавательной деятельности человека является получение знания о будущих событиях, которое может выражаться в различных формах.
Предсказание и предвидение - это близкие понятия, содержащие различный смысл. Предсказание - это суждение о состоянии субъекта или объекта в будущем, основанное на логических умозаключениях. Предвидение - это суждение о состоянии объекта в будущем, основанное на познании закономерностей развития объекта.
Различают три формы предвидения: научное, ненаучное и эмпирическое. Научное предвидение представляет собой результат научной теории, который строится на основе выявленных научными методами закономерностей развития природы, общества, мышления (прогноз погоды, прогноз развития страны и т.д.). Ненаучное предвидение основано на нереальных, фантастических взаимосвязях (гадание, ясновидение, предсказания Нострадамуса).
Эмпирическое предвидение базируется на повседневном опыте людей (например, народные приметы).
Научное предвидение имеет три формы: гипотеза, прогноз и план. Гипотеза - это предположение о развитии того или иного явления, которое может произойти, а может и не произойти. На уровне гипотезы даются, как правило, качественные характеристики о развитии исследуемого объекта, общие его закономерности и черты. Прогноз - это вероятное научно обоснованное суждение о состоянии объекта в будущем, об альтернативных путях и сроках его достижения.
По сравнению с гипотезой он имеет большую определенность, содержит не только качественные, но уже и количественные характеристики. План представляет собой постановку четко определенной цели и предвидение конкретных детальных событий исследуемого явления, объекта.
Прогноз должен удовлетворять следующим требованиям: а) в момент высказывания нельзя однозначно определить его истинность и ложность, так как прогноз касается ненаблюдаемого события; б) он должен содержать указания на пространственный и временной интервал, внутри которого произойдет прогнозируемое событие; в) в момент высказывания необходимо располагать методами, с помощью которых можно оценить точность и надежность прогноза. Такие методы называются методами верификации прогноза (оценка его точности и надежности).
Общие черты прогноза и плана: 1) социальная функция, т.е. прогноз и план разрабатываются для лучшего удовлетворения потребностей населения с целью улучшения условий жизни людей; 2) это продукт духовной деятельности людей, результат предвосхищающего сознания; 3) методологическая общность, т.е. часто прогнозы и планы разрабатываются одними и теми же методами, хотя планирование и прогнозирование имеют и свои специфические методы.
Различия между прогнозом и планом: 1) план носит директивный характер, прогноз - рекомендательный; 2) в разработке плана всегда предшествует разработка прогноза; 3) прогноз многовариантен, а план нет.
Следом за разработкой прогноза и плана наступает период конкретных мероприятий, их выработки. Часто этот процесс осуществляется в форме выработки программы.

Анализ объекта прогнозирования начинается с описания.


3. По степени детерминированности (определенности) объекты бывают детерминированные и схоластические. Детерминированные могут быть описаны математическими формулами (например, уровень безработицы, размер товарооборота на душу населения). Схоластические трудно описать с помощью математических формул, так как на их развитие оказывают влияние факторы, которые трудно выразить количественно (например, ввод жилья в городе).
4. По характеру развития во времени объекты прогнозирования можно подразделить на дискретные, апериодические и циклические. Дискретные (прерывные) – объекты, у которых развитие происходит скачками (например, курс доллара). Апериодические – объекты, чей тренд развития имеет четко выраженную тенденцию.
Циклические – объекты с трендом циклического характера, т.е. спад сменяется подъемом (например, спрос на товары, имеющие сезонный характер).
5. По степени информационной обеспеченности выделяют объекты прогнозирования: с полным обеспечением количественной информацией в ретроспективном периоде; с наличием качественных показателей в ретроспективном периоде; с полным отсутствием ретроспективной информации.

2.2. Задачи и основные принципы анализа
объектов прогнозирования

Целью и главной задачей анализа объектов прогнозирования является разработка прогнозной модели. Анализ объекта прогнозирования начинается с его описания. Он должен содержать сведения о наиболее обобщенных ключевых показателях, характеристиках данного объекта, о структуре объекта и взаимосвязях между частями структуры.
Анализ структуры объекта осуществляется двумя путями:
1) агрегированием, т. е. объединением частных детальных характеристик в более общие. Применение целесообразно, когда структура исследуемого объекта сложная (например, экономика страны, области). Данный путь требует помощи экспертов, интуитивных методов;
2) дезагрегированием, т. е. углублением детализации структуры от более обобщенных характеристик к более частным. Целесообразно использовать для объектов прогнозирования менее масштабных (например, численности населения города, области) с использованием формализованных методов.
Основные методологические принципы анализа объектов прогнозирования:
1) системность (объект прогнозирования рассматривается как система взаимосвязанных характеристик);
2) специфичность (при прогнозировании учитываются специфические черты, закономерности объекта прогнозирования);
3) оптимизация описания объектов прогнозирования (описание объектов прогнозирования должно обеспечивать высокую достоверность и точность расчетов);
4) аналогичность (при анализе свойства объекта прогнозированPя постоянно сопоставляются со свойствами сходных, известных более изученных процессов с целью минимизации затрат на разработку прогноза).

2.3. Моделирование объектов прогнозирования

В экономической литературе модель (в переводе с латинского - мера, образец) - это математическое описание объекта, а также формула, определяющая законы его функционирования. В прогнозировании - это модель объекта, которая позволяет получить информацию о возможных состояниях объекта в будущем и путях достижения этого состояния.
В научной экономической литературе с точки зрения теории моделирования и управления выделяют несколько классов моделей.
1. Функциональные модели, которые описывают функции, выполняемые основными составными частями системы.
2. Модель физического процесса, строящаяся на основе выявления математических зависимостей переменных процесса производства.
3. Экономические модели, базирующиеся на определении зависимости между различными экономическими показателями системы.
4. Процедурные модели, описывающие порядок и содержание управленческих воздействий в системе.
5. Экспертные модели, представляющие собой специальные формулы для обработки экспертных оценок и позволяющие описать функционирование объекта моделирования.
Из существующих форм описания, используемых в прогнозных моделях, можно выделить следующие: а) словесное описание - наиболее простой способ, применяемый в экспертных оценках (сценарный прогноз); б) графическое описание - используется на ранних стадиях прогнозирования (методы экстраполяции); в) блок-схема, матрицы-решения (метод дерево целей); г) математическое описание в виде формул, математических моделей (метод скользящей средней).
Анализ объекта прогнозирования должен проводиться с учетом некоторых методических принципов: системности, природной специфичности, оптимизации описания, аналогичности, верификации.

Контрольные вопросы

2.1. Что является объектом прогнозирования?
2.2. По каким признакам классифицируются объекты прогнозирования?
2.3. В чем заключается главная задача анализа объекта прогнозирования?
2.4. Какими путями осуществляется анализ структуры объекта прогнозирования?
2.5. Что описывают процедурные модели объектов прогнозирования?
2.6. Какие существуют формы описания в прогнозных моделях?
2.7.Перечислите основные методологические принципы анализа объекта прогнозирования?

3. МЕТОДЫ ПРОГНОЗИРОВАНИЯ

В третьей главе рассматриваются методы прогнозирования. Представлена классификация методов прогнозирования. Раскрывается сущность формализованных методов: экстраполяции, моделирования, интуитивных методов: индивидуальных экспертных оценок, коллективных экспертных оценок.
Даются методы отбора экспертов.

Ключевые слова: метод прогнозирования, формализованные методы, интуитивные методы, экстраполяция, скользящая средняя, экспоненциальное сглаживание, наименьшие квадраты, информационное моделирование, патентный метод, публикационный метод, статистическое моделирование, логическое моделирование, дерево целей, метод интервью, анкетный опрос, аналитический метод, написание сценария, мозговая атака, метод Дельфи, экспертная комиссия, коллективная генерация идей,

3.1. Классификация методов прогнозирования

В настоящее время существует приблизительно 150 методов прогнозирования, но на практике используются около 20-30 основных методов.
Метод прогнозирования - это способ исследования объекта прогнозирования, направленный на разработку прогнозов. Методика прогнозирования - это совокупность специальных приемов и правил разработки конкретных прогнозов. Прием прогнозирования - это математическая или логическая операция, направленная на получение конкретных результатов в процессе разработки прогнозов.
Классификация методов прогнозирования осуществляется по трем основным признакам: 1) по степени формализации методов; 2) по общему принципу действия; 3) по способу получения прогнозной информации (рис. 1).
По степени формализации методы прогнозирования делятся на формализованные и интуитивные.
Формализованные методы используются в том случае, когда информация об объекте прогнозирования носит в основном коли-
Рис1 на отдельной странице, в отдельном файле









чественный характер, а влияние различных факторов можно описать с помощью математических формул.
Интуитивные методы применяются тогда, когда информация количественного характера об объекте прогнозирования отсутствует или носит в основном качественный характер и влияние факторов невозможно описать математически.
В свою очередь эти две группы можно разделить по общему принципу деятельности и способу получения прогнозной информации. Формализованные методы подразделяются на методы экстраполяции и методы моделирования.
К методам экстраполяции относятся метод скользящей средней, метод экспоненциального сглаживания, метод наименьших квадратов, а к методам моделирования – методы информационного моделирования (патентный и публикационный), статистического моделирования, логического моделирования (прогнозной аналогии, дерево целей).
Интуитивные методы прогнозирования делятся на индивидуальные и коллективные экспертные оценки. Причем индивидуальные экспертные оценки основаны на обобщении мнений отдельных экспертов, выраженных независимо друг от друга. К ним относятся: метод интервью, метод анкетного опроса, аналитический метод, метод написания сценария.
Коллективные экспертные оценки базируются на получении объединенной оценки от всей группы специалистов-экспертов, выработанной при непосредственном контакте. К таким методам относятся метод Дельфи, метод мозговой атаки, метод экспертных комиссий.
В экономическом прогнозировании применяются два принципиально отличающихся друг от друга подхода – поисковый и нормативный.
Поисковый прогноз можно определить как условное продолжение в будущее наблюдаемых тенденций исследуемого явления или процесса, закономерности развития которых в прошлом и настоящем достаточно хорошо известны. Причем, если возможные организационные решения способны существенно видоизменить наметившиеся тенденции, от них следует абстрагироваться. Основная цель поискового прогноза состоит в том, чтобы выяснить, что может произойти, какие проблемы могут возникнуть при сохранении существующих тенденций развития.
Нормативный прогноз основан на экстраполяции от будущего к настоящему, т.е. на определении оптимального состояния изучаемого объекта на период прогнозирования с использованием средств целеполагания по заранее сформулированным критериям. При нормативном прогнозе сначала задается некоторая цель развития объекта прогнозирования, а затем определяется траектория движения прогнозируемого процесса или явления. Цель данного подхода – выявление альтернативных путей достижения оптимума.



Анализ прироста сбережений населения.


ЛРД = ВНП - А - НПК + ТП - Н,
где ВНП – валовой национальный продукт страны (стоимость всех произведенных товаров и услуг в стране);
А - амортизация (износ оборудования, основных средств или денежные средства, отложенные на восстановление основных средств);
НПК - нераспределенная прибыль коммерческих организаций;
ТП - трансферты платежи (выплаты по социальному страхованию, пособия по безработице, выплаты инвалидам и т.д.);
Н - налоги.
Если из полученной суммы ЛРД вычесть сбережения населения, то получим сумму доходов населения, которая может быть использована на потребление духовных и материальных благ и услуг.
Второй способ осуществления прогнозных расчетов доходов населения носит название расчет по составным элементам. Рассмотрим методику его применения.
На первом этапе расYчитываются денежные доходы населения, складывающиеся из следующих составных элементов:
а) заработная плата;
б) доходы от собственности;
в) поступления из финансовой системы;
г) пенсии, стипендии;
д) прочие поступления
На втором этапе определяются денежные расходы населения (обязательные и добровольные), формирующиеся из следующих элементов:
а) налоги, сборы и другие обязательные платежи;
б) взносы в общественные организации;
в) приобретение ценных бумаг;
г) выплаты процентов по кредитам, займам;
д) прочие нетоварные расходы;
Третий этап предусматривает анализ прироста сбережений населения.
На четвертом этапе определяются денежные доходы населения, используемые на приобретение товаров и услуг:
ДП=ДД –ДР+(-)С,
где ДП – размер денежных доходов населения, используемых на приобретение товаров и услуг;
ДД - размер всех денежных доходов населения;
ДП – размер денежных расходов населения, за исключением расходов на приобретение товаров и услуг;
С – сбережения населения.
На пятом этапе определяются натуральные доходы, полученные населением от домашних, фермерских хозяйств, предприятий, организаций.
Шестой этап формирует размер бесплатно предоставляемых услуг.
Седьмой этап. На нем рассчитывается проигрыш (выигрыш) населения от динамики цен.
На восьмом этапе определяются конечные (реально используемые доходы населения):
КД=ДП+НД+БУ+(-)ДЦ,
где КД – конечные (реально используемые) доходы населения;
ДП - размер денежных доходов населения, используемых на приобретение товаров и услуг;
НД – размер натуральных доходов, полученных населением от домашних, фермерских хозяйств, предприятий и организаций;
БУ - размер бесплатно предоставляемых услуг;
ДЦ - проигрыш (выигрыш) населения от динамики цен.
Третий способ расчета прогнозных значений денежных доходов и расходов населения основан на использовании баланса денежных доходов и расходов населения.
7.3. Построение прогнозов на основе баланса денежных доходов и расходов населения.

Баланс денежных доходов и расходов населения позволяет спрогнозировать общий размер доходов населения, их структуру, общий размер расходов населения и их структуру, реальный, номинальный, и реально используемые денежные доходы населения, покупательную способность, размер доходов на душу населения.
Типовая схема баланса денежных доходов и расходов населения страны


Статьи доходов/Удельный вес в общей структуре доходов населения
Статьи расходов/Удельный вес в общей структуре расходов населения
1. Оплата труда, включая доходы населения от предприятий и организаций помимо оплаты труда – 40%
1. Покупка товаров и
оплата услуг:
а) жилье и коммунальные услуги,
б) бытовые услуги,
в) услуги системы образования, культуры, транспорта, связи и т.д. – 69%
2. Социальные трансферты (пенсии, пособия, стипендии) – 15%
2. Обязательные платежи и добровольные взносы (налоги, сборы, взносы в организации, возврат ссуд, процентов) - 9
3. Доходы от собственности – 6 %
3. Прирост сбережений населения по вкладам и ценным бумагам - 2
4. Доходы от предпринимательской деятельности, от продажи сельскохозяйственной продукции – 39%.
4. Покупка валюты, недвижимости - 20
Всего денежные доходы-
100%
Всего денежные расходы-
100%

Баланс денежных доходов и расходов населения разрабатывается в целом по стране, а также по отдельным регионам и по социальным группам населения.
Номинальные доходы – это сумма всех поступления по доходной части баланса.
Реальные доходы – это размер номинальных доходов за вычетом стоимости обязательных услуг и платежей (за жилье и коммунальные услуги и т.д.).
Реально – используемые доходы – это затраты населения на приобретение материальных благ и услуг.
Размер среднедушевых доходов населения страны – это частное от деления размера доходной части баланса денежных доходов и расходов населения на среднегодовую численность населения страны.
Размер среднедушевых расходов населения страны – это частное от деления размера расходной части баланса денежных доходов и расходов населения на среднегодовую численность населения страны.

7.4. Разработка прогнозов величины прожиточного минимума

Прожиточный минимум – это уровень дохода, необходимый для приобретения человеком количества продуктов питания не ниже физиологических норм, а также удовлетворения на самом низком уровне его потребностей в одежде, обуви, оплате жилья, транспортных услугах, предметах санитарии и гигиены.
Существует несколько способов расчета величины прожиточного уровня:
1. Статистический - прожиточный минимум устанавливается по уровню доходов, которыми располагают 10-20 % самых малообеспеченных граждан страны;
2. Нормативный - прожиточный минимум определяется по фактической стоимости товаров и услуг, входящих в потребительскую корзину;
3. Комбинированный или нормативно-статистический – в этом случае расходы на питание определяются по нормативам, расходы на непродовольственные товары исходя из затрат на эти цели самых малообеспеченных граждан страны;
4. Субъективный – расчет прожиточного минимума осуществляется исходя из мнения граждан страны, выявленного по итогам социологических опросов;
5. Ресурсный – прожиточный минимум рассчитывается исходя из реальных возможностей экономики страны обеспечить минимальный стандарт проживания;
6. Медианный – прожиточный минимум берется равным половине среднедушевого показателя доходов населения страны;
7. Социальный минимум – при данном способе расчет прожиточного минимума опирается на утвержденную потребительскую корзину, однако перечень непродовольственных товаров более расширен.
Госкомстат РФ использует комбинированный способ расчета прожиточного минимума, используя продовольственный набор, обоснованный институтом питания Российской академии наук, исходя из принятых в мире стандартов потребления продуктов питания и национальных традиций.
В продовольственный набор ПМ входят около 25 наименований товаров, объединенных в 11 агрегированных групп: хлебопродукты, картофель, овощи и д.т.
Состав и стоимость продовольственной корзины меняется по восьми климатическим зонам страны.
Структура бюджета прожиточного минимума помимо расходов на питание включает расходы на непродовольственные товары, услуги, налоги и другие обязательные платежи. Нормативы на эти цели устанавливаются исходя из средних фактически сложившихся затрат в бюджете самых низкодоходных семей.

Контрольные вопросы

7.1. В чем заключается главная задача прогноза уровня жизни населения?
7.2. Какие показатели используют в прогнозах уровня жизни населения?
7.3. В каких документах осуществляется прогнозирование уровня жизни населения?
7.4. На использовании какого макроэкономического показателя основан расчет прогнозных значений доходов населения?
7.5. Что позволяет прогнозировать баланс денежных доходов и расходов населения?
7.6. На каком территориальном уровне разрабатывается баланс доходов и расходов населения?
7.7. Какие способы используется для расчета величины прожиточного минимума?
7.8. Что лежит в основе нормативного и ресурсного способов расчета прожиточного минимума?
7.9. Каким способом осуществляется расчет прожиточного минимума на основе мнения населения?




























8. ПРОГНОЗИРОВАНИЕ РАЗВИТИЯ ОТРАСЛЕЙ
СОЦИАЛЬНОЙ СФЕРЫ В РОССИЙСКОЙ ФЕДЕРАЦИИ

Данная глава посвящена методологическим аспектам прогнозирования развития отраслей социальной сферы, основу которой составляют системы образования и здравоохранения, жилищно-коммунальное хозяйство. Сформулирована цель разработки прогнозов, дана методика разработки прогнозов системы образования с разбивкой на прогноз сети детских дошкольных учреждений, прогноз сети общего и среднего образования, прогноз развития высшего образования. Представлены основные показатели прогноза развития сети здравоохранения и жилищно-коммунального хозяйства и их расчеты.

Ключевые слова: сеть детских дошкольных учреждений, спрос на детские дошкольные учреждения, коэффициент обеспеченности детскими дошкольными учреждениями, наполняемость классных комнат, коэффициент сменности работы школ, потребность в профессорско-преподавательском составе, минимальный социальный стандарт, федеральные стандарты.

8.1. Построение прогнозов развития системы образования
в Российской Федерации



Достоинство метода экспертных комиссий


Достоинство метода экспертных комиссий заключается в возможности роста информированности экспертов, так как при обсуждении они обмениваются точками зрения, что благоприятно влияет на точность прогноза. К недостаткам можно отнести следующие факторы: 1) группа экспертов в своих суждениях руководствуется логикой компромисса; 2) отсутствие анонимности может привести к тому, что эксперты присоединят свои голоса к более компетентным, авторитетным лицам при своем отличном мнении и в итоге дискуссия может свестись к полемике авторитетов; 3) существенным фактором при выработке коллективного мнения может стать акZивность некоторых экспертов, которые не являются наиболее компетентными; 4) в результате отсутствия анонимности некоторые эксперты могут не пожелать изменять свое мнение в результате того, что они его уже высказали публично, хотя большинству удалось их переубедить.
Группа методов коллективных экспертных оценок основана на том, что при коллективном мышлении, во-первых, выше точность результата и, во-вторых, при обработке индивидуальных независимых оценок, выносимых экспертами, могут возникнуть продуктивные идеи.

Контрольные вопросы

3.1. Дайте определение понятиям метод прогнозирования, методика прогнозирования, прием прогнозирования, формализованный прогноз, поисковый прогноз.
3.2. Перечислите признаки классификации методов прогнозирования.
3.3. В каких случаях применяются интуитивные методы прогнозирования?
3.4. К каким методам прогнозирования относятся методы экстраполяции?
3.5. Какие методы относится к методам экстраполяции?
3.6. Какие методы входят в состав интуитивных методов прогнозирования?
3.7. К какой группе методов относится метод Дельфи?
3.8. Выделите три основных признака классификации методов прогнозирования?
3.9. Дайте определение следующим понятиям: экстраполяция, тренд, период упреждения, база прогноза, доверительный интервал прогноза, патентный метод
3.10. Раскройте сущность метода скользящей средней
3.11. Выделите достоинства и недостатки метода экспоненциального сглаживания
3.12. Что лежит в основе метода наименьших квадратов?
3.13. В чем заключаются достоинства методов экстраполяции?
3.14. Какое допущение предполагают методы экстраполяции?
3.15. На чем базируется публикационный метод прогнозирования?
3.16. Что является источником информации опережающих методов прогноза?
3.17. В каких случаях приемлемы методы прогнозирования по аналогии?
3.18. На чем основан метод математической аналогии?
3.19. В какую группу методов входит метод исторической аналогии?
3.20. Для прогнозирования каких объектов используется метод дерево целей?
3.21.Для каких процессов применяются интуитивные методы прогнозирования?
3.22.Перечислите внешние факторы, влияющие на способность эксперта прогнозировать?
3.23. Какие методы используются для отбора экспертов?
3.24. На чем основаны методы индивидуальных экспертных?
3.25. Перечислите достоинства и недостатки метода интервью.
3.26. В чем заключается сущность аналитический метод прогнозирования?
3.27. К каким методам относится метод коллективной генерации идей?
3.28. Перечислите шесть главных правил проведения метода мозговой атаки.
3.29. Кто входит в состав рабочей группы в методе мозговой атаки?
3.30. Сформулируйте особенности метода Дельфи?
3.31. Выделите основные критерии отбора эксперта.
3.32. Раскройте сущность метода экспертных коTиссий.
3.33. Перечислите достоинства и недостатки метода экспертных комиссий и метода Дельфи.



4. Прогнозирование темпов экономического
роста и макроэкономических показателей

Данная глава посвящена вопросам прогнозирования темпов, качества экономического роста и макроэкономических показателей. Дается понятие экономического роста, рассматривается как объекты прогнозирования экономический рост, макроэкономические цели, макроэкономические показатели и макроэкономические счета. Формулируются макроэкономические цели и система макроэкономических показателей.
Раскрывается сущность основных методов, используемых для прогнозирования макроэкономических показателей и экономического роста приводятся формулы.

Ключевые понятия: экономический рост, сбалансированный экономический рост, годовые и среднегодовые темпы роста и прироста, валовой национальный продукт (ВНП), валовой внутренний продукт (ВВП), чистый национальный продукт (ЧНП), национальный доход (НД), конечная продукция, номинальный ВНП, реальный ВНП, дефлятор ВНП, потенциальный ВНП, лаг ВНП, система национальных счетов, методы экстраполяции, экономико-математические модели, факторные модели, метод дефляции, производственный метод, распределительный метод, метод конечного использования ВВП.

4.1. Экономический рост как объект прогнозирования

Под экономическим ростом понимается увеличение производственных ресурсов, расширение масштабов производства, увеличение национального дохода, выпуска продукции и ее потоков, идущих как на текущее непроизводственное потребление, так и на пополнение производственных и непроизводственных ресурсов.
Экономический рост – это результат к которому стремится развитие общественного производства в любой стране. Конечной целью экономического роста является увеличение потребления и благосостояния людей.
Сбалансированный экономический рост – подразумевает оптимальное соотношение между производственным потенциалом страны и степенью удовлетворения общественных потребностей. При рыночной системе сбалансированность достигается опосредованно с помощью таких экономических рычагов как цена, налоги, финансы или товарно-денежные отношения.
Экономический рост может быть различным. Для характеристики его изменения используется динамика общественного производства, показателем которой являются темпы роста и прироста.
В практике экономического прогнозирования различают и используют годовые и среднегодовые темпы роста и прироста.
Годовые темпы роста рассчитываются как отношение показателей, характеризующего экономический рост за два определенных года:
Достоинство метода экспертных комиссий
,
где
Достоинство метода экспертных комиссий
– годовой темп роста, %;
Достоинство метода экспертных комиссий
и
Достоинство метода экспертных комиссий
– уровни показателя в прогнозируемом и базисном периодах.
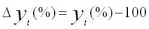
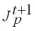
Годовые темпы прироста (
Достоинство метода экспертных комиссий
) могут быть определены как разница между темпами роста и 100 %:
Достоинство метода экспертных комиссий

Среднегодовые темпы роста (прироста) рассчитываются исходя из темпов роста (прироста) показателя по годам прогнозируемого периода.
Темпы и качество экономического роста зависят от потенциала национальной экономики и эффективности его использования, а также от внешнеэкономических и внешнеполитических факторов.

4.2. Макроэкономические цели, макроэкономические показатели и макроэкономические счета как объекты прогнозирования

Для эффективного управления экономикой необходимо ориентироваться на макроэкономические цели.
Согласно экономической теории, к основным макроэкономическим целям относятся: стабильный рост национального объема производства; стабильный уровень цен; высокий уровень занятости; поддержание равновесного внешнеторгового баланса. Эти цели взаимосвязаны и взаимозависимы.
Существует две основных методики измерения национального объема производства: первая базируется на марксисткой теории расширенного воспроизводства, вторая – принятая ООН, именуемая как система национальных счетов (СНС). В настоящее время осуществляет переход всех государств к единой методике ООН.
Макроэкономические показатели. Система макроэкономических показателей включает показатели, характеризующие производство, занятость, средний уровень цен и заработной платы, внешнеторговые потоки, налоговые поступления и государственные расходы, денежную массу и др. макроэкономические показатели. Они служат для предсказания развития экономики, выявления тенденций, причин их изменения и выработки экономической политики для достижения намеченных целей.
Центральное место в системе макроэкономических показателей отводится показателям, характеризующим развитие производства продукции и услуг.
В систему макроэкономических показателей, применяемую в нашей стране входят: совокупный общественный продукт (СОП), валовой национальный продукт (ВНП), валовой внутренний продукт (ВВП), номинальный ВНП (ВВП), реальный ВНП (ВВП), потенциальный ВНП (разрыв между потенциальным и реальным ВНП называется лагом ВНП), чистый национальный продукт (ЧНП), национальный доход (НД), конечный продукт.
Расчеты макроэкономических показателей на прогнозируемый период должны осуществляться в увязке с системой национальных счетов. Знание сущности счетов необходимо для установления взаимосвязи макроэкономических показателей и формирования общеэкономических и межотраслевых пропорций.
Макроэкономические счета. В системе национальных счетов (СНС) различают рыночное производство товаров и услуг, предназначенных для реализации с целью получения прибыли, нерыночное производство товаров и услуг, производимых для собственного потребления (крестьянскими и личными подсобными хозяйствами), а также производство товаров и услуг, предоставляемых бесплатно или по ценам, не имеющим экономического значения, другим институциональным единицам, включая коллективные услуги, финансируемые из государственного бюджета (государственное управление, оборона и т.д.).



Две основные цели его разработки


Прогноз социально-экономического развития на среднесрочную перспективу разрабатывается на период от трех до пяти лет и ежегодно корректируется. Порядок разработки прогноза социально-экономического развития на среднесрочную перспективу определяется Правительством РФ. Прогноз социально-экономического развития на среднесрочную перспективу подлежит опубликованию.
Первое после вступления в должность Президента РФ послание, с которым он обращается к Федеральному Собранию, содержит специальный раздел, посвященный концепции социально-экономического развития РФ на среднесрочную перспективу. В данном разделе характеризуется состояние экономики страны, формулируются и обосновываются стратегические цели и приоритеты социально-экономической политики государства, направления реализации указанных целей, важнейшие задачи, подлежащие решению на федеральном уровне, приводятся важнейшие целевые макроэкономические показатели, характеризующие социально-экономическое развитие РФ на среднесрочную перспективу.
Правительство РФ разрабатывает программу социально-экономического развития РФ на среднесрочную перспективу исходя из положений, содержащихся в послании Президента РФ.
Порядок разработки программы социально-экономического развития РФ на среднесрочную перспективу определяется Правительством РФ.
В программе социально-экономического развития РФ на среднесрочную перспективу должны быть отражены:
1) оценка итогов социально-экономического развития РФ за предыдущий период и характеристика состояния экономики РФ;
2) концепция программы социально-экономического развития РФ на среднесрочную перспективу;
3) макроэкономическая политика;
4) институциональные преобразования;
5) инвестиционная и структурная политика;
6) аграрная политика;
7) экологическая политика;
8) социальная политика;
9) региональная экономическая политика;
10) внешнеэкономическая политика.
Программа социально-экономического развития РФ на среднесрочную перспективу официально представляется Правительством РФ в Совет Федерации и Государственную Думу на рассмотрение и утверждение.
Прогноз социально-экономического развития РФ на краткосрочную перспективу разрабатывается ежегодно. Можно выделить две основные цели его разработки:
1. предоставление оперативной информации Правительству для принятия решений в области экономической и социальной политики;
2. параметры ежегодного прогноза используются для разработки показателей проекта государственного бюджета.
Ежегодное послание Президента РФ, с которым он обращается к Федеральному Собранию, содержит специальный раздел, посвященный анализу выполнения программы социально-экономического развития РФ на среднесрочную перспективу и уточнению указанной программы с выделением задач на предстоящий года.
Правительство РФ одновременно с предоставлением проекта Федерального бюджета предоставляет Государственной Думе следующие документы и материалы:
итоги социально-экономического развития РФ за прошедший период текущего года;
прогноз социально-экономического развития страны на предстоящий год;
проект сводного финансового баланса по территории РФ;
перечень основных социально-экономического проблем (задач), на решение которых направлена политика Правительства РФ в предстоящем году;
перечень федеральных целевых программ, намеченных к финансированию за счет средств федерального бюджета на предстоящий год;
перечень и обемы поставок продукции для федеральных государственных нужд по укрупненной номенклатуре;
намечаемые проектировки развития государственного сектора экономики.
В перечне федеральных целевых программ, намеченных к финансированию указываются:
краткая характеристика каждой из принятых к реализации федеральных целевых программ, включая указания целей, основных этапов и сроков их выполнения;
результаты выполнения основных этапов для переходящих федеральных целевых программ;
требуемые объемы финансирования каждой из принятых к реализации федеральных целевых программ в целом и по годам с указанием источников финансирования;
объемы финансирования федеральных целевых программ за счет средств федерального бюджета в предстоящем году;
государственные заказчики программ.
Намечаемые проектировки развития государственного сектора экономики включают показатели его функционирования и развития, получения и использования доходов от распоряжения государственным имуществом. В них представлены оценки эффективности использования федеральной собственности и пакетов акций, а также программы повышения эффективности использования федеральной собственности.
Порядок рассмотрения представленных документов и материалов определяется Государственной Думой при обсуждении проекта федерального бюджета на предстоящий год.
Итоги социально-экономического развития РФ за предыдущий год предоставляются Правительством РФ в Совет Федерации и Государственную Думу не позднее февраля текущего года и подлежат опубликованию.
Правительство РФ и Центральный банк РФ обеспечивают ежемесячный мониторинг состояния экономики страны и публикуют информационно-статистические данные о социально-экономическом положении РФ.


10.3. Организация государственное прогнозирование
социально-экономического развития Российской Федерации

Непременным условием эффективного регулирования и прогнозирования социально-экономического развития страны является система четкого функционирующих органов. Такая система в России создана и включает в себя законодательные и исполнительные органы власти.
Организационная структура государственного прогнозирования, сложившаяся в РФ, представлена в таблице.



Участник процесса государс-твенного прогнозирования

Выполняемые функции
1
Министерство экономического развития и торговли РФ
Разработка, исполнение прогнозов социально-экономи-ческого развития страны
2
Министерство финансов РФ
Разработка и контроль за ис-полнением федерального бюджета на год, в т.ч. по кварталам
3
Центральный банк РФ
Определение параметров де-нежно-кредитной и валют-ной поитики страны
4
Государственный ко-митет по статистике
Составление статистических мониторингов итогов соци-ально-экономического развития страны, что позволяет оценить качество прогнозов, создать массив данных для новых прогнозов
5
Научно-исследовательские институты: Информационно-аналитическое управление Аппарата Совета Федерации Федерального Собрания РФ;
Институт макроэкономических исследований при Министерстве экономического развития и торговли РФ;
Институт экономики РАН;
Совет по размещению производительных сил и др.
Проводят научные исследования и разрабатывают прогнозы по заказам

Законодательные органы - это государственная Дума и Совет Федерации. Они устанавливают правовую базу прогнозирования, рассматривают и утверждают выносимые Правительством страны проекта прогнозных документов.
Исполнительные органы - это Правительство, которое в лице своих рабочих органов осуществляет всю практическую работу по государственному прогнозированию.
В систему рабочих органов Правительства входят:
Министерства РФ: экономического развития и торговли; финансов, природных ресурсов, труда и социального развития и др.;
Государственные комитеты РФ: по статистике; по связи и информации, жилищной и строительной политики, охраны окружающей среды и др.
Технология разработки годового прогноза социально-экономического развития страны:
1. Основанием для разработки прогноза служит Постановление Правительства РФ О разработке прогноза СЭР страны на _____ год, которое выходит в начале года, предшествующего прогнозному.
2. Министерство экономического развития и торговли разрабатывает прогнозы основных индикаторов социально-экономического положения страны на предстоящий год, в частности:
объем и динамика ВВП;
прогноз инфляции;
объем производства и реализации товаров, работ и услуг;
объем инвестиций в основной капитал по всем источникам финансирования;
расчеты фонда оплаты труда;
объемы прибыли (доходов),
показатели экспорта и импорта;
прогноз курса рубля и ставок рефинансирования Центрального банка РФ;
основные характеристики финансового баланса страны.
Данные показатели разрабатываются как правило в двух вариантах, которые в комплекте с методическими материалами доводятся до Министерств, ведомств и регионов в начале марта.
3. Министерства ведомства и регионы с учетом исходных показателей, предложенных Министерством экономического развития, разрабатывают подробные собственные прогнозы и направляют их на рассмотрение в Министерство экономического развития в конце мая - начале июня.
4. Министерство экономического развития обобщает полученную информацию, уточняет, балансирует прогнозные параметры и формирует прогноз социально-экономического развития страны. Прогноз направляется в Правительство на рассмотрение и уточнение. После одобрения Правительства прогноз становится основой для разработки проекта федерального бюджета.
Этот этап завершается в июне.
5. Начиная работу параллельно с Министерством экономического развития на основе предложенных на первом этапе индикаторов социально-экономического положения Министерство финансов разрабатывает проект бюджета и также направляет его в Правительство. В начале осени прогноз социально-экономического развития страны и проект бюджета направляется Правительством в Государственную Думу на рассмотрение и утверждение.



Формализованные методы прогнозирования


Поисковый и нормативный прогнозы не взаимоисключают, а дополняют друг друга. Как правило, поисковый прогноз составляет первый этап разработки прогнозного исследования, на котором получается сравнительная оценка возможных вариантов развития. На втором этапе осуществляется разработка нормативного прогноза, который исходит из познанных общественных закономерностей, тенденций, потребностей развития, а также формулировка программы возможных путей, мер и условий для достижения поставленных целей с привлечением необходимых ресурсов и средств.

3.2. Формализованные методы прогнозирования

3.2.1. Сущность методов экстраполяции

Экстраполяция - это метод научного исследования, который основан на распространении прошлых и настоящих тенденций, закономерностей, связей на будущее развитие объекта прогнозирования. Методы экстраполяции наиболее распространенные в группе формализованных. Цель методов экстраполяции – показать, к какому состоянию в будущем может прийти объект, если его развитие будет осуществляться с той же скоростью или ускорением, что и в прошлом.
Методы экстраполяции достаточно широко применяются на практике, так как они просты, дешевы, и не требуют для расчетов большой статистической базы. Использование методов экстраполяции предполагает два допущения: а) основные факторы, тенденции прошлого сохранят свое проявление в будущем; б) исследуемое явление развивается по плавной траектории, которую можно выразить, описать математически. Названные допущения в большинстве случаев характерны для экономических процессов.
Как поступить, если условия формирования тренда (тренд – тенденция, определяющая общее направление развития) изменились? В этом случае предполагается использование такого искусственного приема, как исправление тренда. Отсекаются показатели ряда, которые были сформированы отжившими факторами, но при разделении старых и новых тенденций следует быть осторожным (можно воспользоваться экспертными оценками).
Прогноз должен иметь высокую точность, ошибка прогноза будет тем меньше, чем меньше период (срок) упреждения и чем больше база прогноза.
Период (срок) упреждения - это интервал времени, на который разрабатывается прогноз. База прогноза - это статистическая информация за ряд лет, на которую мы опираемся при построении расчетов. Срок упреждения должен составлять не менее 1/3 базы прогноза.
Построенные с помощью методов экстраполяции прогнозы нельзя рассматривать как конечный этап прогнозирования, ибо полученный показатель следует оценить с помощью экспертов и в случае необходимости скорректировать, если экономические, политические и другие условия в стране (городе) меняются.
Процедура экстраполяции - это чисто механический прием, следовательно, большое значение здесь имеет расчет доверительного интервала, т.е. диапазона отклонения полученной прогнозной оценки. Доверительный интервал рассчитывается двумя способами: формальным и неформальным. Формальный основан на применении специальных математических формул, а неформальный – на использовании экспертных оценок, заключений.
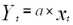
Метод скользящей средней дает возможность выравнивать динамический ряд на основе его средних характеристик. При экстраполяции с помощью среднего уровня ряда используется принцип, при котором прогнозируемый уровень принимается равным среднему значению уровней ряда в прошлом.
Данный метод дает прогнозную точечную оценку и более эффективно используется при краткосрочном прогнозировании. Преимущество данного метода состоит в том, что он прост в применении и не требует обширной информационной базы.
Метод экспоненциального сглаживания дает возможность выявить тенденцию, сложившуюся к моменту последнего наблюдения, и позволяет оценить параметры модели, описывающей тренд, который сформировался в конце базисного периода. Этот метод адаптируется к меняющимся во времени условиям, а не просто экстраполирует действующие зависимости в будущее.
Метод экспоненциального сглаживания наиболее эффективен при разработке кратко- и среднесрочных прогнозов. Его основные достоинства заключаются в простоте вычисления и учете весов исходной информации, т. е. новые данные или данные за последние периоды имеют больший вес, чем данные более отдаленных периодов.
При использовании для прогнозирования данного метода возникают следующие затруднения: а) выбор значения параметра сглаживания; б) определение начального значения экспоненциально взвешенной средней.
Метод наименьших квадратов основан на выявлении параметров модели, которые минимизируют суммы квадратических отклонений между наблюдаемыми величинами и расчетными. Модель, описывающая тренд, в каждом конкретном случае подбирается в соответствии с рядом статистических критериев. На практике наибольшее распространение получили такие функции, как линейная, квадратическая, экспоненциальная, степенная, показательная.
Преимущества метода наименьших квадратов заключаются в том, что он прост в применении и реализуется на ЭВМ. К недостаткам метода можно отнести жесткую фиксацию тренда моделью, небольшой период упреждения, сложность подбора уравнения регрессии, который осуществляется с помощью использования типовых компьютерных программ, например Excel.

3.2.2. Методы моделирования

Методы информационного моделирования были разработаны и впервые использованы для построения прогнозов, связанных с НТП. В настоящее время эти методы все более и более применяются при прогнозировании экономических процессов.
Методы информационного моделирования (или опережающего прогнозирования) основаны на свойстве научно-технической информации предварять внедрение достижений НТП в практическую деятельность.
В группе методов информационного моделирования рассмотрим два вида: патентный и публикационный.
Патентный метод – это опережающий метод прогнозирования, позволяющий рассчитать момент внедрения в практику изобретений по динамике даты их патентования и даты внедрения.
Для того чтобы построить прогноз данным методом, необходимо рассмотреть и проанализировать следующую информацию:
1) дату патентования изобретения;
2) дату внедрения изобретения в производство или в любую другую деятельность;
3) разрыв во времени между первой и второй датой.
Публикационный метод аналогичен и базируется на оценке взаимосвязи между датой опубликования информации о каком-либо достижении НТП и датой внедрения его на практике.
В основу применения методов информационного моделирования положены следующие два допущения:
1) существует связь между динамикой предоставления научно-технической информации и динамикой внедрения достижения в производство;
2) научно-техническая информация на некоторый интервал времени опережает внедрение достижения в производство.
Основными источниками информации, используемой в опережающих методах прогнозирования, являются:
1) патентная документация (патенты, свидетельства);
2) патентно-ассоциируемая документация (лицензии, коммерческая информация, каталоги, прайсы и т.д.);
3) публикации в периодической печати и издания научно-тMхнической литературы, используемые при публикационном методе.
Ретроспективная обработка названных источников информации позволяет проанализировать динамику патентования и опубликования. В результате анализа исследователи решают две задачи: 1) определяют возможную дату внедрения технического решения в производство; 2) оценивают перспективу различных направлений науки и техники.
В настоящее время данные методы широко используются при экономических прогнозах. С их помощью исследователи-прогнозисты выявляют и изучают взаимосвязь между появлением публикаций о правительственных перестановках и ростом цен на определенные товарные группы, изменением курса национальной валюты, в результате чего получают довольно точные результаты, уходя от сложных математических расчетов.
Методы логического моделирования. К данной группе методов прежде всего относятся методы прогнозирования по аналогии и метод дерево целей.
Методы прогнозирования по аналогии приемлемы в том случае, когда появление одного события сопровождается появлением другого и эта взаимосвязь носит устойчивый характер - характер закономерности. В группе прогнозирования по аналогии рассмотрим два метода: 1) математической аналогии; 2) исторической аналогии.
Метод математической аналогии основан на установлении аналогии математических описаний различных по природе объектов (например, закона гравитации и торгового тяготения городов). Для математического описания и прогнозирования менее изученного явления (торгового тяготения) используется математическое описание более изученного явления (гравитации).
Метод исторической аналогии – это метод прогнозирования, основанный на выявлении и использовании аналогии объекта прогнозирования с одинаковым по природе объектом, опережающим объект прогнозирования в своем развитии.
Применяя метод исторической аналогии в прогнозировании, следует иметь в виду, что этот метод не основан на неизбежности и необходимости полного повторения событий. Он базируется на допущении, что основные события прошлых лет повторятся в будущем, если факторы, их порождающие, сохранят свое значение.



Интуитивные методы прогнозирования


Применение аналогии в прогнозировании связано со следующими трудностями: часто сложно отличить истинную причину от мнимой, что ведет к ошибкам; для повышения точности прогнозов необходимо обеспечить представительность выборки (наблюдений), достаточно полно отражающей совокупность всех возможных ситуаций, которые могут иметь место в будущем. Прогнозирование по аналогии обычно применяется в сочетании с другими методами (экспертных оценок).
Метод дерево целей используется для прогнозирования сложных экономических процессов, систем, в которых возможно выделение многих структурных или иерархических уровней.
Процедура построения дерева целей представляет собой формулировку генеральной цели прогноза с последующим разбиением ее на ряд подцелей 1-го уровня, который является результатом реализации подцелей 2-го уровня, и т.д. При этом разбиение генеральной цели происходит как бы из будущего в настоящее с установлением промежуточных событий и фиксацией причинно-следственных связей между ними.
Дерево целей формируется с помощью экспертов, причем при переходе от уровня к уровню состав экспертов меняется. При приближении к более высокому уровню остаются более крупные эксперты в конкретных областях. В обязанности экспертов входят: а) формулировка системы целей (подцелей); б) присвоение коэффициентов относительной важности или весов элементам различных уровней дерева целей.
Построение дерева целей заканчивается, когда мы доходим до конкретных практических мероприятий, которые нельзя представить как результат реализации других мероприятий.
Этапы построения Дерева целей: 1) формулировка генеральной цели прогноза; 2) формулировка перечня подцелей различных уровней; 3) непосредственно построение дерева целей; 4) установление коэффициентов относительной важности различных узловых моментов дерева целей (с помощью экспертов); 5) разработка конкретных мероприятий по реализации поставленных целей прогноза; 6) выбор наиболее оптимальных мероприятий; 7) определение состава и объема ресурсов, необходимых для реализации выбранных мероприятий.

3.3.. Интуитивные методы прогнозирования

3.3.1. Сущность интуитивных методов прогнозирования.
Методы отбора экспертов.

Интуитивные методы прогнозирования применяются для тех процессов, которые невозможно описать математическими формулами. Использование данных методов дает возможность получить прогнозную оценку состояния развития объекта в будущем независимо от информационной обеспеченности. Сущность интуитивных методов заключается в построении рациональной процедуры интуитивно-логического мышления человека в сочетании с количественными методами оценки и обработки полученных результатов.
Решение проблемы в этом случае базируется на обобщенном мнении экспертов.
Методы экспертных оценок широко применяются на практике и имеют характерные особенности: 1) научно обоснованная организация проведения всех этапов экспертизы, обеспечивающая наибольшую эффективность работы на каждом этапе; 2) применение количественных методов как при организации экспертизы, так и при оценке суждений экспертов и формальной групповой обработке результатов.
Организация процедуры экспертной оценки включает несколько этапов: формирование репрезентативной экспертной группы; подготовку и проведение экспертизы; статистическую обработку полученных результатов опроса.
Методы отбора экспертов. В практике прогнозирования нередки случаи, когда количественная информация об объекте либо отсутствует, либо носит ограниченный характер. В этих условиях применение формализованных методов затруднено, им на смену приходят интуитивные методы или экспертные оценки.
Слово эксперт - латинского происхождения и означает опытный, сведущий. Интуитивные методы в отличие от формализованных появились очень давно. Один из наиболее распространенных интуитивных методов - метод Дельфи - получил свое название по названию города Дельфы, который прославился своими мудрецами и предсказателями, жившими в нем еще до нашей эры.
Формализованные методы разработаны и нашли свое применение лишь в ХХ веке.
На способность эксперта строить прогноз оказывают влияние внутренние и внешние факторы. Внутренние факторы зависят от индивидуальных качеств эксперта, т.е. от его опыта, знаний, интеллекта, способности предвидеть будущее. Внешние факторы - это те, которые в значительной степени не зависят от личности эксперта, а определяются внешними условиями, ограничениями, например, степенью доступа эксперта к информации; правильностью постановки задаваемых вопросов; погрешностью модели опроса.
При отборе экспертов, как правило, необходимо руководствоваться следующими основными критериями:
1) степень компетентности эксперта. При ее оценке следует учитывать должностное положение эксперта, ученое звание, количество опубликованных работ, количество ссылок на эти работы;
2) стаж работ эксперта в области, связанной с объектом прогнозирования;
3) устойчивость взглядов кандидата в эксперты, умение отстаивать свои позиции и преодолевать ранее сложившиеся стереотипы;
4) способность к нелинейному мышлению, к рассмотрению проблемы с разных сторон, с разных позиций.
Из всего разнообразия методов отбора экспертов можно выделить:
а) документальный метод - предусматривает подбор экспертов с учетом их научных знаний, стажа работы, возраста, количества публикаций и ссылок на них, т.е. изучается вся документально подтверждаемая информация о кандидате в эксперты;
б) экспериментальный метод - заключается в проверке эффективности работы эксперта в прошлом;
в) метод самооценки –эксперту предлагается самостоятельно оценить свою компетентность в области объекта прогнозирования;
г) методы голосования (имеют несколько разновидностей: прием исключения, попарное сравнение кандидатов, метод приятелей).
Прием исключения. Несколько специально подобранных выборщиков (специалистов) составляют предварительный список кандидатов. Организаторы изучают его, выделяя наиболее ценные кандидатуры.
Попарное сравнение кандидатов. Из предварительного списка берется произвольно два кандидата, и при сравнении один из них обязательно исключается.
Метод приятелей предполагает отбор экспертов из числа знакомых. Эксперты-выборщики предлагают свои кандидатуры, дальше эти кандидаты предлагают свои кандидатуры - нарастание числа потенциальных кандидатов происходит по принципу снежного кома.
В зависимости от организации экспертной оценки и формы опроса экспертов различают методы индивидуальных и коллективных экспертных оценок.

3.3.2. Методы индивидуальных экспертных оценок

Методы индивидуальных экспертных оценок базируются на использовании в качестве источника информации мнения одного человека. К данной группе относятся: метод интервью, метод анкетного опроса, аналитический метод, метод написания прогнозного сценария.
Метод интервью. Основная особенность данного метода заключается в том, что исследователь (опрашивающий) и эксперт находятся в непосредственном контакте. Необходимая информация извлекается в ходе беседы. Направление беседы задает опрашивающей по заранее составленным вопросам относительно перспектив развития прогнозируемого объекта. Ему принадлежит ведущая роль в проведении беседы.
Эксперт выступает в роли источника прогнозной информации.
Есть три основные формы проведения интервью: свободная беседа; интервью по типу вопрос-ответ; интервью в форме перекрестного допроса (последняя форма интервью осуществляется с привлечением нескольких интервьюеров, как правило двух. Они стремятся получить максимум информации по проблеме, одновременно проверяя ее на непротиворечивость).
Достоинство метода интервью заключается в том, что непосредственный контакт эксперта и интервьюера позволяет направить беседу в необходимом направлении. Недостатки метода: 1) влияние на прогнозные оценки субъективных факторов (например, психологическое давление интервьюера на эксперта); 2) не каждый эксперт может делать экспромтом хорошие и грамотные заключения.
Идеальный интервьюер должен иметь здоровый вид, быть спокойным и уверенным, внушать доверие, быть искренним, веселым, проявлять интерес к беседе, быть опрятно одетым, ухоженным. Эмпирическим путем установлено, что наиболее подходящие интервьюеры это женщины в возрасте 35-40 лет с высшим образованием и достаточным жизненным опытом.
Метод анкетного опроса. Для получения информации эксперту предлагается для заполнения анкета, содержащая набор вопросов, каждый из которых логически связан с центральной задачей исследования. Анкета заполняется экспертами самостоятельно, поэтому все вопросы должны быть сформулированы предельно ясно и однозначно.
В зависимости от целей исследования при составлении анкет используются вопросы двух видов: открытые и закрытые. В формулировке закрытых вопросов содержатся возможные варианты ответов. На вопросы открытые (свободные) ответы экспертом могут быть даны в любой форме.
Достоинство открытых вопросов – возможность обнаружить с помощью эксперта новые, оригинальные варианты решения проблемы, а их недостаткок – трудоемкость анализа ответов, так как возможен широкий диапазон ответов и трудно сформулировать общегрупповое мнение.



Источники информации построения прогнозов рынка труда


Источники информации построения прогнозов рынка труда:

  • официальная статистика;
  • социологические опросы населения;
  • выборочные обследования предприяZий,
  • разовые или систематические более глубокие исследования какого-либо отдельного сегмента рынка труда (например, молодежь и безработица; женское население и безработица; вторичная безработица).

6.2. Методы, используемые для построения прогнозов
рынка труда

Построение прогноза рынка труда можно осуществлять двумя путями.
Первый путь - вскрытие причинно следственного механизма изучаемого явления, иными словами, выявление факторов, определяющих развитие рынка труда. Этот путь оправдан, если прогнозные значения по выявленным факторам имеются в наличии или их расчет не представляет труда. Первый путь ведет к экономико-математическому моделированию, построению многофакторных моделей.
Второй путь - прогнозирование рынка труда на основе анализа динамики одного выбранного показателя-фактора (например, уровень безработицы). При этом не выявляется и не учитывается взаимосвязь показателя-фактора с другими показателями; чаще всего на данном пути используются методы экстраполяции.
Достаточно широко при прогнозировании состояния рынка труда особенно на уровне города используются экспертные оценки. Опыт подобных оценок имеется в г. Екатеринбурге, причем в качестве экспертов привлекались руководители предприятий как крупных, так и небольших. В задачу опросов входило: сбор информации о перспективах сокращениях и создании рабочих мест, о потребностях предприятий в специалистах различного профиля, о путях стабилизации ситуации на рынке труда.
При прогнозировании спроса на рабочую силу используют в качестве отдельного самостоятельного метода – баланс рабочих мест, в его основу положен показатель – число рабочих мест. Формула баланса рабочих мест:
РМк=РМн-РМв+РМвв,
где РМк – количество рабочих мест на конец прогнозируемого периода,
РМн – количество рабочих мест на начало прогнозируемого периода,
РМв – выбытие рабочих мест в прогнозируемом периоде по различным причинам;
РМвв – прирост рабочих мест в прогнозируемом периоде.
Количество вводимых в прогнозируемом периоде новых рабочих мест является функцией объема инвестиций по предприятиям всех форм собственности и стоимости новых рабочих мест. Показатели объема инвестирования в отраслевом разрезе приводятся в прогнозе развития страны, а стоимость нового рабочего места определяется с учетом его усложнения и темпов инфляции.

6.3. Прогнозирование рынка труда с использованием методов
математического моделирования

В качестве примера использования методов математического моделирования рассмотрим прогнозный расчет абсолютного и относительного числа безработных в регионе (городе).
Основные принципы построения прогнVзной модели рынка труда:
1. Как любое экономическое явление безработица не возникает сама по себе, а формируется в следствии действия ряда факторов. Эти факторы и сила их влияния могут быть выражены количественно. Следовательно, лишь при наличии гипотез (прогнозов) развития факторов возможно построение прогнозов безработицы;
2. Каждый регион (город) индивидуален по своему социально-экономическому положению. Поэтому набор факторов, формирующих рынок труда, и сила их влияния существенно варьируется от территории к территории. Попытки построить единую модель, так называемого среднего региона не дают хороших результатов.
Но в данный момент построение прогноза уровня безработицы отдельно для каждого региона (города) очень затруднительно, поскольку для этого необходимо обладать огромным количеством надежных статистических данных, которые в ряде регионов (городов) просто отсутствуют. Оптимальный вариант - группировка регионов (городов), однородных по своему социально-экономическому развитию и, как правило, по показателям, характеризующим состояние рынка труда. В результате прогнозная модель строится не для каждого представителя группы, а для группы в целом. При этом предполагается, что изменение показателей безработицы, занятости в регионах (городах) одной группы будет зависеть от одних и тех же факторов;
3. При прогнозировании на основании экономико-математической модели предполагается, что сила и направления связи между параметрами безработицы и факторами ее определяющими на весь прогнозный период остаются неизменными.
Построение прогнозной модели, описывающей уровень безработицы осуществляется по следующим трем этапам:
первый этап: отбор экономических, социальных и демографических показателей, которые по мнению исследователя могут оказать воздействие на развитие безработицы;
второй этап: определение и статистическая оценка связи конкретного фактора и показателя безработицы. Отобранные факторы в последующем будут применены при построении моделей;
третий этап: построение многофакторной модели, описывающей уровень безработицы в регионе. Общий вид многофакторной модели:
у = а + в*х1 + с*х2 + d*х3 +… ,

где а,в,с – расчетные параметры уравнения,
х1,х2 …. – наиболее значимые факторы, определяющие уровень безработицы в регионе.
Практические исследования показали, что наиболее значимыми факторами, определяющими уровень безработицы в регионе (городе) являются:

  • удельный вес убыточных предприятий в общем числе предприятий региона (города);
  • доля занятых в малом бизнесе в общей численности трудовых ресурсов территории;
  • численность (абсолютная и отностиельная) экономически активного населения в регионе (городе);
  • среднесписочная численность работников, масштабы их приема и увольнения;
  • заявленная предприятиями потребность в работниках;
  • численность обратившихся в службу занятости;
  • наличие вакантных мест.

6.4. Прогнозирование рынка труда с помощью методов
экстраполяции

На начальных этапах разработки краткосрочных прогнозов рынка труда оправдано применение методов экстраполяции в сочетании с экспертными оценками.
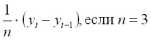
Хорошо зарекомендовал себя на практике при построении прогнозов отдельных характеристик рынка труда (например, уровня безработицы) метод экспоненциального сглаживания, осуществляемый по формуле:
Источники информации построения прогнозов рынка труда

где
Источники информации построения прогнозов рынка труда
число безработных в прогнозном периоде;
Источники информации построения прогнозов рынка труда
параметр сглаживания;
Источники информации построения прогнозов рынка труда
количество зарегистрированных безработных за период, предшествующий прогнозному;
Источники информации построения прогнозов рынка труда
число зарегистрированных безработных, рассчитанное как экспоненциально взвешенного среднее (для периода, предшествующего прогнозному).
Кроме того, методы экстраполяции используются при прогнозировании численности экономически активного населения региона. Данный прогноз состоит из двух частей:
1) прогноз численности населения региона по полу и возрасту;
2) прогноз коэффициентов занятости различных половозрастных групп населения.
Процедуру разработки прогноза численности экономически активного населения региона (города) можно представить следующим образом (строится отдельно для мужского и женского населения):

Возрастные группы
Численность женщин (прогноз)
Коэффициент занятости на 1000 чел (прогноз)
Число активного женского населения
(прогноз)
10-19
Х0
I0
X0*I0
20-29
X1
I1
X1*I1
и т.д.




Коэффициент занятости определяется отдельно для каждой поло - возрастной группы на начальном этапе расчетов с помощью методов экстраполяции. Рассчитанный коэффициент корректируется с помощью экспертных оценок. Например, в последние годы происходит резкое снижение занятости среди лиц пенсионного возраста. Причем падение тем сильнее, чем старше поло - возрастная группа.
Подобные изменения последних лет нельзя полностью учесть с помощью методов экстраполяции, поэтому в данной ситуации экспертные оценки незаменимы.

6.5. Баланс трудовых ресурсов и его использование при
прогнозировании рынка труда

Баланс трудовых ресурсов - система показателей, отражающих наличие трудовых ресурсов и их распределение по сферам и видам деятельности. Баланс трудовых ресурсов составляется ежегодно по стране в целом и по отдельным субъектам РФ с подразделением на городскую и сельскую местность.
Баланс трудовых ресурсов состоит из двух частей – ресурсной и распределительной. Первая часть характеризует наличие трудовых ресурсов и источники их формирования. Во второй части трудовые ресурсы распределяются на экономически активное население и экономически неактивное население с выделением в отдельную позицию учащихся в трудоспособном возрасте, обучающихся с отрывом от производства.

Схема баланса трудовых ресурсов за 200__ г.
по _____________________
(субъект Федерации)
(тыс. чел.)


п/п
Показатели
Всего
в т.ч.
Город
Село
01
Всего трудовых ресурсов,
в т.ч.



02
Трудоспособное население в трудоспособном возрасте



03
Лица старших возрастов и подростки, занятые в экономике
из них



04
Лица старших возрастов



05
подростки




Распределение трудовых ресурсов



06
Всего занято в экономике (без лиц, занятых в личном подсобном хозяйстве),
в т.ч. в



07
Промышленности



08
Сельском хозяйстве



09
Лесном хозяйстве



10
Транспорте



11
Связи



12
Строительстве



13
Торговле



14
Общественном питании



15
Материально-техническом снабжении и сбыте



16
Заготовках



17
Информационно-вычислительном обслуживании



18
Операциях с недвижимым имуществом




……..



30
Служители религиозных культов



31
Занятые в ведении частного домашнего хозяйства по найму



32
Учащиеся в трудоспособном возрасте, обучающиеся с отрывом от производства



33
Трудоспособное население в трудоспособном возрасте, незанятое экономической деятельностью и учебой



34
Итого в процентах к общему количеству трудовых ресурсов
(стр. 33*100/стр01)





Методика составления БТР


Ресурсная часть баланса – численность трудовых ресурсов – формируется исходя из суммы численности трудоспособного населения в трудоспособном возрасте и работающих лиц, находящихся за пределами трудоспособного возраста (пенсионеры и подростки).
Методика составления БТР

Номер строки

Порядок расчет
Источник информации, методы прогнозирования исходных показателей
02
Численность трудоспособного населения в трудоспособном возрасте = численность постоянного населения в трудоспособном возрасте - численность неработающих инвалидов в трудоспособном возрасте, получающих пенсию в органах социальной защиты - численность неработающих пенсионеров в трудоспособном возрасте, получающих пенсию + численность иностранных работников, занятых на территории страны
1. методы передвижки возрастов и когорт;
2. информация органов социальной защиты;
3. данные Федеральной миграционной службы РФ.
03
Лица старших возрастов и подростки, занятые в экономике
данные выборочных обследований населения по проблемам занятости
06-30
Занятые в различных отраслях экономики:
ЧР=Чспис + Чдог
ЧР – численность работников;
Чспис - численность работников списочного состава;

Чдог – численность работников, занятых по договорам подряда и прочим гражданско-правовым договорам.


1. сведения предприятий и организаций о численности занятых;
2. данные материалов обследования населения по проблемам занятости;

3. данные органов государственной службы занятости о численности безработных, официально зарегистрированных;
4. данные учебных заведений о численности обучающихся по дневной форме обучения.

31
Занятые по найму у отдельных граждан
данные выборочных обследований населения по проблемам занятости.

32
Учащиеся в трудоспособном возрасте, обучающиеся с отрывом от производства
Данные Министерства образования РФ, ВУЗов. Из общего числа обучающихся исключаются лица совмещающие обучение с работой. Их численность определяется по данным выборочных обследований.
33
Трудоспособное население в трудоспособном возрасте, незанятое экономической деятельностью, учебой (безработные) = фактические данные на начало каждого месяца используются для расчета среднего показателя за период
Данные службы занятости, корректируемые с учетом данных выборочных обследований



Контрольные вопросы

6.1. Какая часть населения является трудовыми ресурсами?
6.2. Что является объектами прогнозов рынка труда?
6.3. Какой показатель положен в основу прогноз спроса на рабочую силу?
6.4. В чем заключается важнейший принцип прогнозирования рынка труда?
6.5. Раскройте сущность пассивного прогноза рынка труда?
6.6. На чем основан активный прогноз рынка труда?
6.7. Перечислите источники информации построения прогнозов рынка труда?
6.8. Дайте определение понятия баланс трудовых ресурсов
6.9. Из каких частей состоит баланс трудовых ресурсов и что содержит каждая часть?























7. ПРОГНОЗИРОВАНИЕ УРОВНЯ ЖИЗНИ НАСЕЛЕНИЯ

Данная глава посвящена основам прогнозирования уровня жизни населения. В ней рассматривается уровень жизни населения как объект прогнозирования, показатели, используемые при разработке прогнозов уровня жизни населения, способы построения прогнозов доходов населения, построение прогнозов на основе баланса денежных доходов и расходов населения и разработка прогнозов величины прожиточного минимума.

Ключевые слова: условия жизни населения, уровень жизни населения, качество жизни населения, синтетические, натуральные, структурные показатели, номинал ьныедоходы, денежные доходы, натуральные доходы, косвенные доходы, реальные доходы, конечные доходы, баланс денежных доходов и расходов населения, среднедушевые доходы, прожиточный минимум.

7.1. Уровень жизни населения как объект
прогнозирования. Показатели, используемые при
разработке прогнозов уровня жизни населения

Условия жизни населения - это объективные обстоятельства жизнедеятельности населения (занятость, оплата труда, формы расселения, характер жилища, развитие системы социальных выплат, отраслей социальной сферы и т.д.).
Уровень жизни - это обеспеченность населения необходимыми для жизнедеятельности материальными и духовными благами, достигнутый уровень их потребления и степень удовлетворения потребностей людей в этих благах (обеспеченность жильем, телефонами, автомобилями).
Качество жизни - это понятие характеризующие, с одной стороны, самого человека (продолжительность его жизни, уровень физического и психического здоровья, образования, культурного и интеллектуального потенциала), а с другой стороны, комфортность и удобство жизненных условий, состояние среды обитания людей.
Гавная задача прогноза уровня жизни населения - не допустить его снижение и создать предпосылки для повышения качества жизни населения.
Прогнозирование уровня жизни населения России осуществляется в следующих документах:
1) в специальных разделах прогноза социально-экономического развития страны;
2) в Комплексных программах социально-экономического развития РФ – в рабочих документах Правительства по развитию национальной экономики;
3) в Федеральных целевых программах, направленных на разрешение отдельных острых социальных проблем;
4) в региональных прогнозах социально-экономического развития и региональных программах;
5) в прогнозах развития городов, населенных пунктов и административных районов населенных пунктов.
Выделяют три основные группы показателей, используемых при разработке прогнозов уровня жизни населения: синтетически; натуральные; структурные.
Синтетические показатели уровня жизни населения включают:
а) показатели, характеризующие поддержание жизни населения (коэффициенты рождаемости, смертности, естественный прирост населения в целом и по отдельным социальным группам);
б) показатели сохранения и защиты здоровья населения (продолжительность жизни; уровень заболеваемости);
в) показатели удовлетворения потребности населения в труде (занятость экономически активного населения; уровень безработицы; продолжительность рабочей недели; доля низкоквалифицированного, тяжелого труда и т.д.);
г) показатели развития личности (образовательная структура населения; доля средств, расходуемых на образование в семейном бюджете; доля средств расходуемых на образование в структуре расходов Федерального бюджета и в совокупном доходе населения);
д) показатели, характеризующие состояние окружающей среды (уровень концентрации вредных веществ в воде, почве, воздухе и т.д.);
е) показатели уровня и качества обеспеченности жильем (общая площадь жилья, приходящаяся на одного человека; число членов семьи в расчете на одно жилое помещение и т.п.);
ж) среднедушевые показатели производства ВВП, ВНП, национального дохода.
2 группа показателей - натуральные показатели, измеряющие объем потребления конкретных материальных благ (состав потребительской корзины, объем потребления мяса, молока и т.д. на душу населения).
3 группа - структурные показатели, выражающие пропорции и структуру распределения благосостояния (распределения населения по уровню доходов; разрыв между уровнем доходов наиболее состоятельных и наиболее бедных граждан страны и т.д.).

7.2. Способы построения прогнозов доходов населения

Все доходы, получаемые населением страны, можно охарактеризовать как номинальные, реальные и реально используемые.
Номинальные доходы представляют собой совокупность денежных, натуральных и косвенных доходов, получаемых населением страны.
Денежные доходы - это доходы, полученные населением от предприятий и организаций всех форм собственности в качестве оплаты труда. Общая сумма денежных доходов населения за отчетный год определяется на основе данных бюджетных обследований, проводимых Госкомстатом России, а также с использованием отчетных балансов денежных доходов и расходов населения. На перспективу денежные доходы определяются на основе прогнозного баланса денежных доходов и расходов населения и экспертных оценок.
Натуральные доходы – доходы, полученные в личном подсобном, фермерском хозяйствах и в форме оплаты от предприятий и организаций. Они определяются на основе использования межотраслевого баланса производства и распределение продукции и услуг.
Косвенные доходы – доходы, полученные в процессе использования услуг, представленных бесплатно или с частичной оплатой учреждениями сферы обслуживания. Они рассчитываются на основе данных отчетного и прогнозного федерального бюджета.
Реальные доходы - определяются путем вычета из размера номинальных доходов сумм, уплаченных населением в виде налогов и других обязательных платежей с учетом индекса цен.
Реально используемые (конечные) доходы - представляют собой ту часть реальных доходов населения, которая используется непосредственно на приобретение материальных благ и услуг. В объем реально используемых доходов населения не входят: денежные сбережения, взносы в общественные организации, суммы, израсходованные в порядке спонсорства и т.п.
Способы расчета прогнозных значений денежных доходов населения.
Первый способ базируется на использовании в расчетах объема и структуры валового национального дохода. Для этого предварительно требуется рассчитать лично - располагаемый доход населения:



Методы, используемые при построении демографических прогнозов


Прогнозирование демографического развития, как правило, осуществляется в нескольких вариантах. Варианты демографических прогнозов отражают возможное влияние экономических, социальных, экологических, внешнеэкономических, внешнеполитических и других факторов на демографическую ситуацию в стране. Выделяют следующие основные варианты демографических прогнозов: минимальный, максимальный, средний (или наиболее вероятный).
Их совокупность отражает возможные основные тенденции демографического развития. Средний (или наиболее вероятный) прогноз является основным ориентиром для обоснования управленческих решений на федеральном и региональном уровнях. Особую практическую значимость имеют минимальный и максимальный варианты, т.к. они определяют границы демографического развития.
В современных условиях развития рыночных отношений, реализации принципов федерализма, становления местного самоуправления возрастает роль региональных демографических прогнозов. Состав демографических факторов, характер их влияния своеобразны для каждого региона. Для одних огромное значение имеет миграционный фактор (Ставропольский край, Ростовская область), для других – природно-климатический (Север России), для третьих – последствия событий прошлых лет (Центральные районы России), для четвертых – национальные особенности (Юг России) и др. Региональные демографические прогнозы разрабатываются на уровне крупных, средних и малых регионов.
Последовательность разработки прогнозов на каждом из уровней может быть разной. Например, региональный демографический прогноз может быть первоначально разработан на уровне крупного региона - автономной республики или крупного экономического района (в частности, Уральского экономического района), затем – на уровне среднего – края, области (в частности, Свердловской области), и затем на уровне малых регионов – городов, районов (в частности, г. Екатеринбурга). При такой последовательности прогнозные показатели верхнего уровня детализируются на последующих нижних уровнях.
Допустима и обратная последовательность, при которой показатели верхних уровней разрабатываются на основе показателей нижних уровней.

5.3. Методы, используемые при построении демографических прогнозов

При разработке демографических прогнозов наиболее часто используют следующие четыре группы методов:
1) методы экстраполяции;
2) экономико-математические методы, позволяющие разработать многофакторные динамические модели;
3) методы передвижки возрастов и когорт;
4) методы экспертных оценок.
Методы экстраполяции. Широкое их использование при демографическом прогнозировании объясняется тем, что данные процессы в большинстве случаев достаточно инерционны в своем развитии. Методы экстраполяции применяются не только для оценки будущей численности населения, но и для расчета характеристик движения населения (например, коэффициентов рождаемости, смертности, миграции).
Общий недостаток построенных с помощью методов экстраполяции прогнозов – это то, что они опираются на средние тенденции динамики населения, зачастую игнорируя особенности отдельных половозрастных групп.
В качестве примера применения методов экстраполяции рассмотрим расчет общей численности населения на основании уравнения экспоненциальной кривой.
Методы, используемые при построении демографических прогнозов

Его формула:
где
Методы, используемые при построении демографических прогнозов
- численность населения в прогнозный период;
Методы, используемые при построении демографических прогнозов
- численность населения в период, предшествующий прогнозному;
е - основные натурального логарифма (2,7182);
p - коэффициент естественного прироста населения, выраженный в долях единиц, рассчитанный по формуле:
Методы, используемые при построении демографических прогнозов

где ЧР - число родившихся за период;
ЧУ – число умерших за период;
ЧН – средняя численность населения за период;
t- период, на который разрабатывается прогноз.
Пример 1: Численность населения города составила на 01.01.2006 г. – 520 тыс. чел., на 01.01.2007 г. - 518 тыс. чел. Постройте прогноз численности населения города на 01.01.2008 г. и 01.01.2009 г. При расчете используйте коэффициент естественного прироста, если известно, что за 2001 г. в городе родились 4,3 тыс. человек, умерли 6,05 тыс. человек. Методика вычислений:
1) определим коэффициент естественного прироста населения в городе по данным за 2001 г.:
р = (4,3-6,05)/(520+518):2= -1,75:519= -0,0034
Методы, используемые при построении демографических прогнозов

2) построим прогноз, используя уравнение экспоненциальной кривой:
Методы, используемые при построении демографических прогнозов


Если необходимо определить, через какое время t население города достигнет заданной величины
Методы, используемые при построении демографических прогнозов
, то используем следующую формулу, полученную в результате преобразования (логарифмирования) уравнения экспоненциальной кривой:
Методы, используемые при построении демографических прогнозов


Пример 2: Рассчитать, через какой период времени население города составит 500 тыс. человек при условии сохранения сложившихся характеристик естественного движения. Решение:
Методы, используемые при построении демографических прогнозов

Ввиду того, что уровень естественного прироста населения в течении длительного периода времени не остается постоянной величиной, следует иметь в виду, что применение уравнения экспоненциальной кривой оправдано для краткосрочного прогнозирования.
Вторая группа методов, достаточно часто используемых при прогнозирование демографического развития - экономико-математические методы. Итогом их применения являются динамические модели, которые позволяют учесть влияние новых факторов, проявивших себя в последние периоды. Функция исследователя-прогнозиста заключается в том, чтобы из перечня факторов, оказывающих влияние на изучаемый процесс выбрать наиболее значимые и рассчитать параметры многофакторной модели.
В составе факторов, влияющих на характер демографического развития, различают две основные группы:
первая группа - объективные факторы, на характер действия которых система органов управления повлиять не может, например, сложившиеся традиции, религиозные представления населения, состояние международной обстановки, последствия войн, иных социальных потрясений;
вторая группа - факторы, влияние которых в большей или меньшей степени управляемо (например, прогресс в медицинской науке, качество медицинского обслуживания, культурно-образовательный уровень населения, уровень жизни населения по различным аспектам – жилищная обеспеченность, бытовые условия, размер доходов и др.). Влияние каждого фактора рассчитывается отдельно, после чего определяется суммарное взаимодействие всех факторов.
Существует взаимозависимость между различными факторам, т.е. с изменением характера влияния одних факторов изменяется характер влияния других. Поэтому в прогнозных расчетах используются экономико-математические методы, разрабатываются многофакторные динамические модели, в которых значения демографических показателей представлены как функции, а факторы – как аргументы. В интегральной форме совокупное влияние всех факторов может быть выражено в виде следующей формулы:
Методы, используемые при построении демографических прогнозов

где
Методы, используемые при построении демографических прогнозов
- прогнозное значение демографического показателя;
Методы, используемые при построении демографических прогнозов
- количественные значения различных факторов в прогнозируемом периоде;
n – количество факторов, учитываемых в расчетах.
В составе прогнозируемых показателей наиболее значимы следующие: численность населения страны по годам прогнозируемого периода, темпы роста численности, структура населения, ее динамика, трудовой, экономический, потребительский потенциалы населения, жизненный фонд населения и др.
Особенности прогнозирования миграционных процессов. Как было отмечено выше, методика построения прогнозов миграционных процессов является менее разработанной по сравнению с прогнозированием прочих демографических процессов. Наиболее часто при разработке прогнозов миграции используются:
1) расчеты, основанные на экстраполяции основных тенденций;
2) моделирование миграционных процессов.
Рассмотрим методика осуществления расчетов, основанных на экстраполяции основных тенденций. Например, требуется рассчитать коэффициенты миграции для каждого из городов Свердловской области на предстоящий период. Осуществить подобные расчеты отдельно по каждому городу – задача весьма трудоемкая и зачастую невозможная в силу отсутствия соответствующих статистических наблюдений. Поэтому обоснованным являет я следующий путь:
а) группировка городов, сходных по своим социально-экономическим условиям в группы (итогом будут являться 3-4 группы);
б) выделение в каждой группе одного города - наиболее типичного представителя группы;
в) подробный анализ показателей, характеризующих протекание миграционных процессов за ряд периодов, по выбранным городам – типичным представителям и построение прогнозов;
г) распространение полученных прогнозных оценок для одного типичного представителя группы на всю группу.
Моделирование миграционных процессов. Зарубежные исследователи-прогнозисты достаточно широко при моделировании миграционных процессов используют так называемые гравитационные модели. Они строятся по аналогии с понятием гравитация как физическое явление и представляют собой анализ потоков населения между двумя или более центрами притяжения (населенными пунктами).
Отечественные исследователи при построении модели миграции используют чаще всего многофакторные регрессионные модели.
Общая формула многофакторной модели миграции может иметь следующий вид:
У = А*х1+В*х2+С*х3+... , где А,В,С, ... - расчетные параметры модели; х1, х2, х3, ... - факторы, оказывающие влияние на миграцию. Например, в модель могут быть включены:



Методы коллективных экспертных оценок


Таким образом, использование анкет с вопросами закрытого типа обосновано, когда необходимо получить согласованную позицию экспертов, и нежелательно, когда прогнозируется сложный процесс, у которого может быть несколько вариантов, путей развития.
Анкетирование может быть очным и заочным. Плюсы заочного анкетирования – возможность привлечения экспертов, живущих в разных городах, меньшая нагрузка на организаторов. Минусы - возможное неправильное истолкование вопросов, затяжки с ответами.
Минус очного анкетирования - влияние организаторов на эксперта.
Аналитический метод предполагает проведение экспертом логического анализа какой-либо прогнозной ситуации, и его результатом является аналитическая докладная записка. Он предполагает самостоятельную работу эксперта над анализом тенденций, состояния и путей развития прогнозируемого объекта.
Метод написания прогнозного сценария основан на определении логики развития экономического процесса во времени при различных условиях. В сценарии указывается генеральная цель развития объекта прогнозирования, выявляются основные факторы (и положительные, и негативные), влияющие на развитие объекта, формулируются критерии для оценки различных процессов, связанных с развитием объекта прогнозирования. Ценность сценария тем выше, чем меньше степень неопределенности, т.е. чем больше степень согласованности мнений экспертов об осуществимости событий, развитии процесса.
Таким образом, методы индивидуальных экспертных оценок базируются на возможности максимального использования индивидуальных способностей экспертов и минимизации психологического давления, которое может быть оказано на отдельных работников.




3.3.3. Методы коллективных экспертных оценок

Методы коллективных экспертных оценок включают: метод коллективной генерации идей, метод Дельфи, метод экспертных комиссий и др.
Метод коллективной генерации идей (мозговой атаки, мозгового штурма) представляет собой способ получения прогнозных оценок в ходе совместного обсуждения как результата коллективного творчества людей. Он включает два элемента: выявление вероятностных вариантов развития объекта прогнозирования и их оценку.
Следует выделить шесть главных правил проведения мозговой атаки.
1. Запрещается всякая критика предлагаемых идей на начальных этапах.
2. Время одного выступления ограничено (1-2 минуты).
3. Допустимы многократные выступления одного и того же участника.
4. Приоритет выступления имеет эксперт, развивающий мысль предыдущего высказывающего.
5. Обязательная фиксация всех высказанных идей.
6. Оценка идей, выдвинутых на предыдущих этапах.
Метода мозговой атаки реализуется шесть этапов:
1 этап - формирование группы участников мозговой атаки (по численности и составу). Число участников может быть различным в зависимости от сложности объекта прогнозирования. Опыт показывает, что наиболее продуктивны группы в 10-15 человек. Группа участников может состоять из лиц одного ранга, если участники знают друг друга, и из лиц разного ранга, если участники не знакомы.
Специализация участников в области объекта прогнозирования необязательна, даже рекомендуется на первом этапе привлекать специалистов из разных областей знаний, разбирающихся в вопросах объекта прогнозирования.
2 этап - составление проблемной записки. Проблемная записка составляется рабочей группой (организаторами опроса) и содержит два описания: описание самого метода мозговой атаки, его правил, приемов; описание проблемной ситуации, которое содержит раскрытие причин возникновения проблемы, их анализ, возможные последствия проблемной ситуации, анализ мирового опыта решения проблемы (если он имеется), некоторые статистические показатели, характеризующие объект прогнозирования, раскрытие целей, которые преследуют организаторы опроса.
3 этап – генерация идей или непосредственно опрос экспертов. Этот этап начинается с того, что ведущий раскрывает содержание проблемной записки, концентрирует внимание экспертов на решаемых вопросах, на правилах проведения метода. Активная роль ведущего предполагается только в начале 3 этапа. После подъема активности участников процесс выдвижения идей идет спонтанно.
Третий тур по времени должен занимать от 20 минут до 1 часа в зависимости от активности экспертов. Целесообразно записывать все высказывания.
4 этап - систематизация идей, высказанных на третьем этапе. Последовательность: а) составляется номенклатурный перечень всех высказанных идей; б) определяются дублирующие и дополняющие идеи, которые объединяются и формулируются в виде одной комплексной идеи; в) составляется перечень идей по группам. В каждой группе идеи располагаются от более общих к частным.
Это делается рабочей группой (организатором опроса).
5 этап - деструирование (разрушение, критика) систематизированных идей. На этом этапе состав экспертов меняется, рекомендуется оставить небольшое число лиц (5-8 человек), наиболее высококвалифицированных в рассматриваемой области. Экспертам сообщаются результаты четвертого этапа и предлагается высказаться с критическими замечаниями по вопросу практической реализации высказанных идей. Наиболее ценными на данном этапе являются контридеи, высказанные вслед за проведенной критикой. Рекомендации по продолжительности пятого тура - не более 1,5 часов.
Данный этап продолжается, пока каждая из систематизированных групп идей не подвергнется критике.
6 этап – оценка критических замечаний и составление списка практически приемлемых идей. Рабочая группа отбирает те идеи, которые не подверглись критике на пятом этапе, или наиболее интересные контридеи, которые и закладываются в основу разработки прогноза.
Достоинствами этого метода являются возможность получения результата за короткий промежуток времени и возможность вовлечения в творческий процесс одновременно большого количества экспертов.
Метод Дельфи - один из наиболее распространенных интуитивных методов прогнозирования. Он был разработан в 1963 г. американской корпорацией Рэнд и использован впервые для построения прогноза числа изобретений в различных отраслях науки к 2010 г. В России он начал применятся с 70-х годов.
Метод Дельфи позволяет обобщить мнения экспертов и сформулировать единое групповое мнение. Оценка будущего развития получается в форме ответов на вопросы, задаваемые участникам по несколько раз.
Этот метод имеет три особенности: а) анонимность экспертов, т.е. участники не знакомы, а если знакомы, то не знают, что они участники; б) многотуровая процедура опроса экспертов посредством их анкетирования; в) использование результатов предыдущего тура.
В результате обработки анкет экспертов организаторами формулируется коллективное мнение. Эта информация сообщается экспертам, их просят переосмыслить свои высказывания и в случае несогласия объяснить причины этого. Данная процедура повторяется 3-4 раза, в результате чего организаторы добиваются сужения диапазона экспертных заключений.
Статистическая характеристика группового ответа заключается в том, что организаторы составляют прогноз, содержащий точку зрения большинства экспертов.
Американская практика показала, что организация и процедура проведения прогнозов с помощью МД обходится инициаторам в 50% случаев до 5000 долларов, известны случаи и до 100000 долларов. Общее время реализации процедуры составило в 75% случае от 6 до 8 месяцев.
Этапы (туры) метода Дельфи.
1) определяется коллектив экспертов, им рассылается первый вариант вопросов в специально составленных анкетах;
2) после сбора и получения анкет выделяются те варианты, за которые высказалось большинство. Организаторы оценивают в балльной системе варианты по определенной схеме;
3) все участники получают результаты второго тура, и их просят подумать над вопросом и, если сочтут нужным, поменять свое мнение ( выдается анкета другого вида);
4) организаторы собирают анкеты и обрабатывают их. Экспертам вновь выдаются анкеты с тем же вопросом по форме 3-го тура. Задача организаторов - добиться сужения диапазона высказываний экспертов, чтобы четко выделить одно, за которое проголосует большинство.
Количество туров может быть 5-6, если оценки экспертов не меняются, то опрос прекращается.
Данный метод имеет следующие недостатки: невозможно учесть влияние, оказываемое организаторами на экспертов при составлении анкет; велики затраты времени и средств.
Метод экспертных комиссий основан на открытой дискуссии по обсуждаемой проблеме для выработки единого мнения экспертов. Дискуссия происходит за круглым столом, рекомендуемое число участников 15-20 человек. Для получения оценки данным методом создается рабочая группа, которая осуществляет назначение экспертов, проведение опроса, обработку материалов, анализ результатов коллективной экспертной оценки.
В процессе работы уточняются основные направления развития объекта, составляется матрица, отражающая генеральную цель, подцели и средства их достижения, т.е. направления научных исследований и разработок, результаты которых могут быть использованы для достижения цели.
Далее разрабатываются вопросы для экспертов, содержание которых определяется спецификой прогнозируемого объекта. Опрос экспертов и статистическая обработка материалов характеризуют обобщенное мнение и степень согласованности индивидуальных оценок экспертов. Полученные данные служат исходной базой для синтеза прогнозных гипотез и вариантов развития исследуемого явления или процесса. Результат представляет собой совокупность оценок относительной важности, назначенных экспертами для каждого из оцениваемых направлений исследования, и разработок, выражающихся в баллах и принимающих значения от 0 до 1, от 0 до 10, от 0 до 100 и т.д.
Эти оценки по определенному вопросу сводятся в таблицы, строки которой соответствуют направлениям исследования, а столбцы – порядковым номерам экспертов.



ОРГАНИЗАЦИЯ ГОСУДАРСТВЕННОГО прогнозирования


Программа работ по МОБ включает разработку комплекса таблиц, характеризующих сложившуюся систему производственных связей на отраслевом уровне. Все таблицы взаимосвязаны между собой.
Информационная основа составления МОБ – это данные обследования результатов экономической деятельности хозяйствующих субъектов всех отраслей экономики и текущей статистики. Также для построения МОБ Госкомстат РФ проводит выборочные обследования состава затрат на производство и реализацию продукции и услуг. Отбор предприятий осуществляется дифференцировано по отраслям экономики с учетом их специфических особенностей.
Назначение МОБ:
1. Анализ МОБ дает комплексную характеристику процессов, происходящих в экономической системе в целом и ее отдельных частях.
2. МОБ позволяет определить возможные масштабы развития структуры экономики страны с целью выбора наиболее оптимальных вариантов
3. МОБ позволяет как бы проиграть возможные варианты правительственной политики в финансовой сфере, сфере потребления, в частности, цены на товар, услуги, пошлины, налоги, льготы, субсидии.
С помощью балансового метода формируются следующие пропорции:
а) внутриотраслевые (например, в металлургии – это соотношения добычи руды, выплавки стали, производства чугуна и т.д.);
б) межотраслевые (например, взаимосвязи между отраслями добывающими и обрабатывающими);
в) территориальные (устанавливаются взаимосвязи, возникающие внутри регионов и между ними);
г) общеэкономические (между производством и потреблением)

Контрольные вопросы

9. 1. Перечислите объекты отраслевого прогнозирования и раскройте сущность построения их прогнозов.
9.2. По каким признакам осуществляется классификация отраслевых прогнозов? Раскройте их сущность.
9.3. Перечислите основные принципы отраслевого прогнозирования, раскройте их содMржание.
9.4. В чем заключается процедура разработки отраслевых прогнозов? Каковы ее этапы?
9.5. Перечислите основные разделы отраслевого прогноза?
9.6. В чем заключается сущность методологии отраслевого прогнозирования?
9.7. Какую модель применяют в отраслевом прогнозировании и в чем ее сущность?
9.8. Дайте определение понятия межотраслевой баланс
9.9. Какое название имеет в зарубежной практике межотраслевой баланс и кто является автором этой модели?
9.10. В чем заключается назначение межотраслевого баланса?
9.11. Какие пропорции формируются с помощью балансового метода?
10. ОРГАНИЗАЦИЯ ГОСУДАРСТВЕННОГО
ПРОГНОЗИРОВАНИЯ СОЦИАЛЬНО-ЭКОНОМИЧЕСКОГО
РАЗВИТИЯ РОССИЙСКОЙ ФЕДЕРАЦИИ

Данная глава посвящена вопросам организации государственного прогнозирования социально-экономического развития России. В ней показаны сущность государственного прогнозирования, система государственных прогнозов, особенности разработки государственных прогнозов социально-экономического развития РФ на долгосрочную, среднесрочную и краткосрочную перспективы, организационная структура государственного прогнозирования, сложившаяся в РФ.

Ключевые слова: государственное прогнозирование социально-экономического развития страны, концепция социально-экономического развития страны, программа социально-экономического развития страны, федеральные целевые программы, региональные прогнозы, законодательные органы, исполнительные органы, организационная структура государственного прогнозирования.

10.1. Сущность государственного прогнозирования
социально-экономического развития страны

Государственное прогнозирование социально-экономического развития Российской Федерации регламентируются Федеральным Законом от 23.06.95 г. О государственном прогнозировании и программах социально-экономического развития Российской Федерации. Согласно этому документу государственное прогнозирование социально-экономического развития Российской Федерации - это система научно-обоснованных представлений о направлениях социально-экономического развития Российской Федерации, основанных на законах рыночного хозяйствования. Прогноз социально-экономического развития страны является основой для разработки макроэкономических программ.
Система государственных прогнозов, сложившаяся в Российской Федерации:
1) государственные прогнозы социально-экономического развития Российской Федерации на долгосрочную, среднесрочную и краткосрочную перспективы;
2) концепция социально-экономического развития страны - это система представлений о стратегических целях и приоритетах социально-экономической политики государства, важнейших направлений и средств реализации указанных целей;
3) программа социально-экономического развития страны - это рабочий документ правительства, в котором указывается комплексная система целевых ориентиров социально-экономического развития страны, предлагаются конкретные мероприятия и средства их достижения;
4) федеральные целевые программы, направленные на преодоление отдельных острых проблем социально-экономического развития страны.
Разработке государственного прогноза социально-экономического развития Российской Федерации предшествует анализ, осуществляемый по следующим блокам: оценка демографической ситуации в стране; оценка накопленного национального богатства; анализ социальной структуры общества; оценка внешнеэкономической деятельности; оценка научно-технического потенциала; оценка состояния природных ресурсов.
Прогноз социально-экономического развития страны разрабатывается в нескольких вариантах (сценариях). Он включает в себя комплекс количественных и качественных характеристик и состоит из следующих основных блоков(рис. 2).
Первый раздел государственного прогноза социально-экономического развития страны - макроэкономические показатели (сводный раздел). Здесь представлены прогнозные оценки ВНП, национального дохода, объема выпуска продукции, объема и динамики основных фондов, оборотных средств, темпов инфляции, трудовых ресурсов в целом по стране.
Второй раздел прогноза – отраслевые прогнозы. Показатели данного раздела раскрывают размер спроса на продукцию отрасли и отраслевые возможности по выпуску продукции.
Региональные прогнозы – следующий третий раздел. В нем приводятся основные характеристики развития регионов России, которые группируются в соответствии с достигнутым уровнем социально-экономического развития на проблемные, развивающиеся, развитые. В этой части прогноза определяются суммы, выделяемые на поддержку проблемных регионов страны.



















Рис. 2. Типовая структура прогноза социально- экономического
развития страны

Четвертый раздел государственного прогноза социально-экономического развития посвящен прогнозу социального развития и прогнозным оценкам уровня жизни населения. Здесь представлены показатели функционирования сферы обслуживания населения; показатели, характеризующие уровень доходов населения и распределение их по социальным группам.
Прогноз воспроизводства основных фондов и инвестиций – следующий раздел государственного прогноза. В нем приведены показатели ввода и выбытия основных фондов, степень изношенности основных фондов и эффективность их использования.
Прогноз трудовых ресурсов и занятости – обязательный элемент государственного прогноза, содержащий прогнозные оценки уровня безработицы, уровень квалификации трудовых ресурсов, уровня производительности труда (среднего по стране).
Прогноз социально-экономических предпосылок и последствий НТП представляет основные направления НТП, показатели, характеризующие степень влияния НТП на уровень жизни населения, на состояние окружающей среды.
Прогноз экономического использования природных ресурсов - предлагает показатели ввода, вовлечения в экономические процессы основных видов природных ресурсов и расчеты по затратам на восстановительные мероприятия.
Прогноз внешнеэкономических связей и условий – обязательный структурный элемент государственного прогноза, в котором приводятся показатели товарно-географической структуры экспорта и импорта страны, основные показатели платежного баланса страны, объема и структуры средств, полученных от продажи патентов и лицензий на право осуществления внешнеэкономической деятельности.

10.2. Государственное прогнозирование социально-экономического развития Российской Федерации на
долгосрочную, среднесрочную и краткосрочную перспективу

Прогноз социально-экономического развития страны на долгосрочную перспективу разрабатывается один раз в пять лет на десятилетний период. На основе прогноза социально-экономического развития на долгосрочную перспективу Правительство Российской Федерации организует разработку Концепции социально-экономического развития Российской Федерации на долгосрочную перспективу. В Концепции конкретизируются варианты социально-экономического развития Российской Федерации, определяются возможные цели социально-экономического развития страны, пути и средства достижения указанных целей.
Порядок разработки прогноза социально-экономического развития страны и порядок разработки Концепции на долгосрочную перспективу определяются Правительством Российской Федерации. Данные прогноз и Концепция на долгосрочную перспективу подлежат опубликованию.
В целях обеспечения преемственности социально-экономической политики государства данные прогноза социально-экономического развития РФ на долгосрочную перспективу используются при разработке прогнозов социально-экономического развития РФ на среднесрочную перспективу.



Основные показатели прогноза ЖКХ


а) частный – граждан и юридических лиц
б) государственный – ведомственный жилой фонд и жилой фонд субъектов РФ
в) муниципальный жилой фонд – собственность района, города.
г) общественный – собственность общественных организаций
д) жилой фонд в коллективной собственности – находящийся в совместной или долевой собственности различных субъектов частной, государственной, муниципальной собственности, собственности общественных объединений.
Для каждой из форм собственности разрабатывается собственный прогноз.
Основные показатели прогноза ЖКХ:
Жилищный фонд (населенного пункта) – общая площадь, жилая площадь, тыс. м2, в т.ч в среднем на одного жителя;
Размер общей и жилой площади домов
Оборудование жилого фонда (водопроводом, канализацией, отоплением и т.д.)
Количество семей, ожидающих получение жилья.
Основой прогноза эксплуатации жилого фонда является смета доходов и расходов. Главная доходная статья жилищного хозяйства – квартплата. Менее значимая – арендная плата, штрафы, пени, вступительные взносы и т.п.
На основе расчетов обеспеченности населения жилой площадью, динамики доходов населения, конъюнктуры на ынке жилья, определяется необходимый объем капитальных вложений на жилищное строительство.
Финансирование строительства жилья осуществляется из 3 источников:
1. Федеральные средства, направляемые на строительство жилья, предусмотренного соответствующими Федеральными программами
2. Средства местных бюджетов- как правило на строительство жилья муниципального для социально-незащищенных слоев населения.
3. Средства населения и предприятий. Роль этого источника в последние время резко возросло.
Прогнозные расчеты развития коммунального хозяйства предусматривают установление заданий по развитию водопровода, канализации, систем газоснабжения населения.
Основные показатели развития городского транспорта:
эксплуатационная длина пути, в т.ч. по видам транспорта (метрополитен, трамвайные и т.д.);
наличие подвижного состава, в т.ч. по видам транспорта;
общий пробег подвижного состава
количество перевезенных пассажиров или пассажиро-километров
среднее количество поездок в год на 1 жителя населенного пункт
коэффициенты использования и износа подвижного состава
и т.д.
Контрольные вопросы

8.1. Что является целью разработки прогнозов социальной сферы?
8.2. По каким элементам осуществляются прогнозные расчеты системы образования?
8.3. Перечислите основные показатели прогноза сети общего и среднего образования?
8.4. Сформулируйте основные задачи прогноза развития высшего образования?
8.5. Что является основой определения потребности в профессорско-преподавательском составе?
8.6. Перечислите основные показатели прогноза сети здравоохранения?
8.7. Какие стандарты используются при разработке прогнозов жилищно-коммунального хозяйства на уровне РФ?
8.8. Перечислите основные показатели прогноза жилищного хозяйства?
8.9. Перечислите основные показатели прогноза городского транспорта?
8.10. Что лежит в основе прогноза эксплуатации жилого фонда?

9. ОТРАСЛЕВЫЕ ЭКОНОМИЧЕСКИЕ ПРОГНОЗЫ

Данная глава посвящена методологическим основам отраслевого прогнозирования. В первой части главы раскрыта сущность отраслевых экономических прогнозов, определены объекты прогнозирования, представлена классификация отраслевых прогнозов по масштабу прогнозирования, по степени разработанности, по способу предвидения будущего, по временному горизонту, по интервалу прогнозирования. Акцентируется внимание на основных принципах разработки отраслевых прогнозов и на методологии отраслевого прогнозирования. Во второй части рассматриваются понятие и назначение межотраслевого баланса страны

Ключевые слова: отрасль, подотрасль, отраслевые экономические прогнозы, активный прогноз, пассивный прогноз, макроэкономическое прогнозирование, нормативный подход, поисковый подход, межотраслевой баланс, модель затраты-выпуск, ведомственные балансы, территориальные балансы, ресурсные балансы, материальные балансы, трудовые балансы.

9.1. Отраслевые экономические прогнозы: сущность,
объекты прогнозирования

Процесс разработки отраслевых экономических прогнозов осуществляется на двух уровнях: отраслевом; межотраслевом.
На отраслевом уровне отрасль рассматривается как совокупность входящих в нее фирм, предприятий, объединений. Назначение прогноза на этом уровне – выявление тенденций развития отрасли и использование полученных результатов при разработке прогнозов развития отрасли.
На межотраслевом уровне отрасль рассматривается как единое целое. Основное внимание при прогнозировании на этом уровне уделяется достижению согласованности различных отраслевых прогнозов с выходом на макропрогноз развития экономики всей страны.
Определим объекты отраслевого экономического прогнозирования:

  1. Объем выпуска продукции отрасли.
Для построения прогноза данного показателя исследуют тенден-
ции развития экономики всей страны и рассматриваемой отрасли. Общая формула, с опорой на которую разрабатывается прогноз, имеет следующий вид:
Основные показатели прогноза ЖКХ
,
где В – объем выпуска продукции отраслью;
Э – показатель эффективности функционирования отрасли;
З – затраты на производство продукции отрасли.
Например, если Э – фондоотдача основных фондов, то З – размер основных фондов отрасли; если Э – трудоемкость продукции отрасли, то З – затраты трудовых ресурсов; если Э – материалоемкость продукции отрасли, то З – затраты материалов.
2. Потребности экономики страны в продукции (услугах) отрасли
Для выявления данных потребностей исследуют тенденции развития экономики всей страны и рассматриваемой отрасли, устанавливается степень удовлетворения спроса на продукцию отрасли.
Потребность в продукции отрасли может быть определена по следующей формуле:
Основные показатели прогноза ЖКХ
, где
i – количество разновидностей продукции, выпускаемых данной отраслью;
j – количество разновидностей продукции, выпускаемых отраслью-смежником;
Основные показатели прогноза ЖКХ
- среднее потребление i вида продукции данной отрасли на единицу выпуска j вида продукции отраслью-смежником;
Основные показатели прогноза ЖКХ
- объем выпуска j вида продукции отраслью-смежником.
3. Потребность отрасли в ресурсах для осуществления собственного производства
При этом рассматриваются потребности в трудовых и материальных ресурсах, в основных фондах и капиталовложениях.
Потребность отрасли в ресурсах может быть определена по следующей общей формуле:
Основные показатели прогноза ЖКХ
,
где i – количество разновидностей продукции, выпускаемых данной отраслью,
j – количество разновидностей материалов, потребляемых отраслью.
Рj - средний расход материала ( j ),
Вi - объем выпуска продукции ( i ), на который расходуется материал ( j )
9.2. Классификация отраслевых прогнозов

Рассмотрим основные признаки классификации отраслевых прогнозов:
1. По масштабу прогнозирования различают:
а) прогнозирование развития отдельной отрасли (например, животноводство). При этом выявляются тенденции и закономерности ее развития в целом, а также отдельных подотраслей (например, молочного и мясного животноводства). Самостоятельно строится прогноз развития отрасли в территориальном разрезе;
б) одновременное прогнозирование нескольких взаимосвязанных отраслей (например, прогноз пищевой промышленности включает в себя прогнозы чаеразвесочной, кондитерской, хлебопекарной, макаронной, крупяной и т.д.).
в) одновременное прогнозирование всех отраслей в рамках отраслевого комплекса страны (например, прогноз агро - промышленного комплекса).
2. По степени разработанности выделяют следующие разновидности отраслевых прогнозов:
а) прогнозы, доведенные до уровня конкретных рекомендаций;
б) прогнозы, носящие характер ориентировочных концепций развития;
в) прогнозы, имеющие форму общих предложений по проведению дальнейших исследований в конкретных направлениях.
3. По способу предвидения будущего отраслевые прогнозы могут быть:
а) пассивные;
б) активные.
Пассивный прогноз показывает, к какому состоянию может прийти отрасль, развиваясь по инерции, когда тенденции прошлого переносятся на перспективу.
Активный прогноз учитывает возможности активного вмешательства в экономические процессы посредством выдвижения новых целей развития отрасли, перераспределения ресурсов, принятия новых нормативных документов и т.п.
4. По временному горизонту в отраслевом прогнозировании выделяют следующие разновидности прогнозов:
а) оперативные – разработанные на срок до одного месяца;
б) краткосрочные – до 1 года;
в) среднесрочные – период упреждения которых составляет от 1 до 5 лет;
г) долгосрочные – от 5 до 15 лет;
д) дальнесрочные – срок разработки которых составляет свыше 15 лет.
Эта усредненная классификация прогнозов по временному горизонту не приемлема к ряду отраслей. Например, долгосрочным для машиностроения будет прогноз, разработанный на период 15-20 лет, а для лесоводства – свыше, чем на 50 лет. Таким образом, период, на который разрабатывается прогноз, зависит от длительности воспроизводственного процесса отрасли, темпов обновления продукции, техники и технологии.
5. По интервалу прогнозирования отраслевые экономические прогнозы подразделяются на:
а) точечные прогнозы, т.е. разрабатываемые на определенную дату (например, на 01.01.2007 г., на 01.01.2005 г.);



Принципы разработки отраслевых экономических прогнозов


б) интервальные, составляемые на определенный период (интервал) времени (например, 2008-2009 гг.)

9.3.Принципы разработки отраслевых экономических прогнозов

Рассмотрим основные принципы разработки отраслевых прогнозов:
1. Соотносительность отраслевого и макроэкономического прогнозирования. С одной стороны, развитие отраслей связано и определяется общим состоянием экономики страны, целями, задачами, механизмами господствующей в стране экономической политики.
Развитие отрасли не может идти в разрез с заложенными макроэкономическими показателями (например, ВНП, темпами инфляции, размером потребления и др.).
С другой стороны, каждая отрасль – это самостоятельная система, которая развивается по собственным законам. Каждая отрасль влияет на экономику страны в целом.
2. Непрерывность прогнозирования, систематическая корректировка отраслевых экономических прогнозов. Экономические отраслевые прогнозы должны постоянно корректироваться, уточняться с учетом новых явлений в экономике страны.
3. Единство методологической базы разработки отраслевых экономических прогнозов. Данный принцип подразумевает: единый подход во всех отраслях к разработке экономических прогнозов, единство построения классификаций, показателей, представленных в прогнозах различных отраслей.
4. Комплексность прогнозирования. Отраслевой прогноз должен отражать все основные стороны развития рассматриваемой отрасли.
5. Установление иерархии, соподчиненности отдельных видов и направлений прогнозирования. Например, прогнозирование потребности в продукции отрасли должно предшествовать прогнозированию масштабов и структуры производства отрасли и т.д.

9.4. Методология отраслевого прогнозирования

Методология отраслевого прогнозирования основывается на двух основных подходах: нормативном и поисковом.
Основу нормативного подхода составляет постановка целей развития отрасли исходя из макроэкономических задач развития страны. Например, обеспечение определенных подразделений хозяйства страны продукцией отрасли, увеличение поставок на экспорт и др. Сформулированные цели должны быть развернуты в виде дерева целей вплоть до конкретных направлений развития отрасли.
Этому подходу соответствует активный способ прогнозирования экономических процессов.
Поисковый подход состоит в изучении тенденций и выявлении закономерностей в развитии отрасли. В результате определяется уровень развития отрасли, который может быть достигнут в результате сохранения в будущем закономерностей прошлого и настоящего.
Поисковый подход позволяет обнаружить тупиковые проблемы и неблагоприятные тенденции в развитии отрасли.
В случае возникновения разрыва между показателями нормативного и поискового подходов, определяют круг проблем, решение которых позволит заполнить полученный разрыв. Основными источниками заполнения разрыва являются – изменение структуры производимой отраслью продукции, основных фондов, повышение эффективности работы отрасли.
Процедура азработки отраслевых прогнозов включает следующие основные этапы:
1. Формулировка цели и задач отраслевого прогноза;
2. Описание и анализ развития отрасли за прошлый и настоящий периоды, оценка результатов ранее разработанных прогнозов;
3. Прогноз основных направлений развития отрасли на основе поискового подхода;
4. Прогноз основных направлений развития отрасли на основе нормативного подхода;
5. Выявление разрывов между показателями поискового и нормативного подходов, их анализ и выявление проблем развития отрасли. Разработка путей решения проблем и на их основе – вариантов развития отрасли с учетом ограничений внутреннего и внешнего характера.
6. Выбор варианта развития отрасли. Разработка исходной информации для межотраслевого баланса.
Второй и третий этапы являются главными элементами всей организации отраслевого экономического прогнозирования, т.к. в ходе их реализации осуществляется процесс разработки прогноза.
Отраслевой прогноз может состоять из следующих основных разделов:
1. Целевой раздел, в котором обоснованы цели и задачи построения прогноза;
2. Раздел сравнительной оценки прогнозных разработок по данной отрасли в стране в целом и за рубежом;
3. Прогнозный раздел, в котором представлены расчеты и результаты прогноза;
4. Раздел, раскрывающий организационно-технические мероприятия по реализации прогноза;
5. Итоговый раздел, содержащий главные выводы и рекомендации
Выбор методов построения отраслевого прогноза. В отраслевом прогнозировании используют общие методы социально-экономического прогнозирования. Выбор метода прогнозирования зависит от применяемого прогностического подхода.
При нормативном подходе часто используются метод Дерево целей в сочетании с экспертными оценками.
При поисковом подходе наиболее приемлемы – методы экстраполяции, моделирования и патентный метод.
1. Методы экстраполяции. Применительно к отраслевому прогнозированию методы экстраполяции позволяют по данным ряда динамики предсказать изменение изучаемого процесса. На практике методы экстраполяции используются в сочетании с другими методами.
2. Методы экспертных оценок. В отраслевом прогнозировании наибольшее распространение получили метод экпертных комиссиий, метод Дельфи и метод интервью.
Эти методы обычно используются для прогнозирования еще недостаточно изученных экономических процессов.
3. Методы математического моделирования. Результатом их применения являются математические модели (однофакторные или многофакторные), имитирующие реальные хозяйственные процессы.
Основу математического моделирования составляет поиск вида и параметров функций (регрессий), в которых в качестве зависимой переменной выступает прогнозируемый показатель, а независимой – формирующие его факторы.
В отраслевом прогнозировании широко применятся экономико-статистические модели типа производственных функций, описывающие статистическую зависимость результатов производства (зависимая переменная) от затрат различных производственных ресурсов (независимая переменна). Производственные функции могут быть построены для предприятий, отраслей и экономики всей страны. Например, производственная функция для угольной отрасли имеет следующий вид:
Qt=99,2+30,1*Ft+175.3*Lt+2.76*Pt, где
Qt- объем добычи угля, тн; Ft – среднегодовая стоимость основных промышленно-производственных фондов; Lt – численность промышленно-производственного персонала; Pt – горно-геологический фактор (производительность платов).

9.5. Понятие и назначение межотраслевого баланса страны

Нормальное функционирование любой социально-экономической системы требует соблюдения пропорциональности, сбалансированности ее процессов. В противном случае неизбежны разного рода отклонения. На уровне страны это может проявится через инфляцию, дефицит ресурсов, безработицу, разрыв хозяйственных связей и т.п.
Идея использования балансового метода для анализа экономической ситуации в стране зародилась в 17-18 вв. Первую попытку построения статистической модели национальной экономики предпринял в 18 в. французский экономист Ф. Кенэ. Свою модель он назвал Экономическая таблица. Но в ней исследовались процессы простого воспроизводства, которые являются лишь моментом более общего случая – расширенного воспроизводства.
Практическая реализация разработки баланса осуществлена в нашей стране в 1923-1924 гг. Использование балансового метода на практике в зарубежных странах началось позднее, после мирового экономического кризиса 1929-1933 гг. Данный кризис показал, что стихийный характер развития экономики – это не преимущество рынка, а его опасность.
В этот период утверждается идея необходимости активного участия государства в управлении макроэкономическими процессами.
Сущность балансового метода заключается в проведении системы расчетов, увязывающих потребности общества с ресурсами.
Баланс – это система показателей, в которой одна часть, характеризующая ресурсы по источникам поступления равна другой части, характеризующей распределение ресурсов по всем направлениям расходов.
Межотраслевой баланс (МОБ) – это модель экономики страны, показывающая натуральные и стоимостные взаимосвязи в хозяйственном комплексе (между отраслями страны).
В зарубежной практике МОБ носит название модель INPUT-OUTPUT, дословно модель Затраты-выпуск. Применение МОБ для экономических прогнозов связано с именем В.В. Леонтьева. Он утверждал, что экономика страны (региона, мира в целом) представляет собой сложную систему, в которой товары, производимые в одних отраслях, перетекают в др.
Одни из товаров потребляются окончательно, др. – вновь используются в производстве. Таким образом, зная затраты по всем отраслям, можно спрогнозировать выпуск продукции (как в целом по стране, так и по отдельным ее отраслям).
Составление МОБ сложная и трудоемкая работа. Весь цикл ее построения в нашей стране – от подготовительной работы до окончания – составляет от 4,5 до 6 лет (в зарубежных странах – 6-8 лет).
МОБ по развернутой программе с выделением более 100 отраслей экономики разрабатываются в нашей стране 1 раз в 5 лет.
Комплекс работ по составлению МОБ возглавляет Межведомственная рабочая группа, в состав которой входят ведущие специалисты Министерства экономического развития и торговли, Государственного комитета по статистике РФ, Центр экономической конъюнктуры при Правительстве РФ, Центральный Банк, различные НИИ.



Прогностика - это наука о закономерностях разработки прогноза.


Программа - это документ с четко сформулированными целями и задачами, согласованный по срокам исполнения, источникам финансирования и конкретным исполнителям.
Прогностика - это наука о закономерностях разработки прогноза. Она изучает общие принципы построения методов прогнозирования развития объектов любой природы. В ее предмет входят все вопросы, связанные с разработкой способов построения методов прогнозирования и принципов составления прогнозов.

1.3. Задачи, функции и принципы прогнозирования

Экономическое прогнозирование призвано решать двуединую задачу: с одной стороны, давать объективную научно обоснованную картину будущего, опираясь на процессы сегодняшнего дня, а с другой - выбирать направление деятельности и политики современности с учетом прогнозных оценок. Наряду с этим важной задачей прогнозирования можно назвать выявление в настоящем тех факторов, которые будут оказывать свое влияние на исследуемый процесс в будущем.
Главная функция прогнозирования состоит в проведении научного анализа социально-экономических процессов и тенденций, а также в предвидении новых экономических ситуаций и выявлении узловых экономических проблем. Основные функции прогнозирования состоят также в исследовании объективных связей социально-экономических явлений и процессов в конкретных условиях, на определенном этапе развития экономики и общества, в оценке объекта прогнозирования, в выявлении возможных альтернатив развития экономики в перспективе, в принятии оптимальных решений.
Принципы прогнозирования меняются в зависимости от экономических условий, которые существуют на том или ином историческом этапе развития общества. В частности, со сменой социально-экономического строя в нашей стране ушли такие принципы, как партийность прогнозирования, принцип сочетания политики и экономики, принцип директивности планирования.
В рыночных условиях среди основных принципов, на которых базируется процесс прогнозирования, можно выделить следующие:
1) научная обоснованность прогноза (разработка с помощью научных методов, с учетом закономерности развития природы, общества и мышления);
2) непрерывность прогнозирования (прогноз должен постоянно корректироваться с учетом изменения ситуации в стране, экономике);
3) сочетание перспективного и текущего прогнозирования (данные виды прогнозирования осуществляются во взаимосвязи, но приоритет отдается перспективному прогнозированию);
4) согласованность прогнозов (разработанный прогноз должен быть взаимосвязан со смежными прогнозами);
5) многовариантность, альтернативность прогноза (рекомендуется разрабатывать несколько вариантов прогноза, чтобы в случае изменения ситуации использовать другой вариант. Обычно существует три варианта прогноза: оптимистичный, пессимистичный, реалистичный);
6) выбор основных факторов (при прогнозировании должны быть заложены в расчеты основные факторы, оказывающие влияние на исследуемый процесс. Это особенно актуально потому, что экономические процессы сложные, многофакторные и учесть влияние всех факторов невозможно);
7) системность разработки прогноза (процесс прогнозирования следует рассматривать, с одной стороны, как единую целостную систему, а с другой - как сложную систему, состоящую из отдельных самостоятельных блоков);
8) верифицированность прогнозов (прогнозные оценки должны быть достоверны и обоснованны);
9) адекватность (максимальное приближение прогнозной модели к реальной действительности, тенденциям, закономерностям);
10) рентабельность (эффект от разработанного прогноза должен превышать затраты на его разработку).
Принципы прогнозирования обеспечивают методологическое единство разнообразных методов и моделей прогнозирования.

1.4. Классификация прогнозов

Разные исследователи предлагают различные признаки классификации прогнозов.
1. По цели разработки прогнозы делятся на поисковые и нормативные. Поисковые основываются на выяснении будущего развития исследуемого явления при сохранении тенденции прошлого. Нормативные учитывают заранее поставленные цели и определенные пути и сроки их достижения.
Они разрабатываются от заданного состояния в будущем с учетом существующих тенденций.
2. По временному горизонту выделяют оперативные прогнозы, которые разрабатываются на срок до одного месяца и содержат только количественные показатели; краткосрочные прогнозы, разрабатываемые на срок до одного года и содержащие общие количественные показатели; среднесрочные прогнозы, разрабатываемые на срок 1-5 лет и содержащие как количественные, так и общие качественные оценки; долгосрочные прогнозы, разрабатываемые на период 5-15 лет и содержащие общие количественные и общие качественные показатели; дальнесрочные прогнозы, которые разрабатываются на период свыше 20 лет и содержат общие качественные характеристики.
3. По содержанию прогнозы бывают: а) экономические - предоставляют информацию о развитии любого экономического показателя; б) демографические – охватывают движение населения и воспроизводство трудовых ресурсов, уровень и структуру занятости населения и т.д.; в) социальные - представляют информацию об уровне и качестве жизни населения; г) экологический – дает информацию об изменении экологической ситуации в стране, городе, области и пр.; д) прогноз природных ресурсов – содержит информацию о потребностях общества в природных ресурсах и о возможностях их использования, охватывает все виды общественного воспроизводства и природную среду; г) научно-технические – рассматривают достижения научно-технического прогресса.
4. По методам разработки прогнозы делятся на интуитивные и формализованные. Интуитивные опираются на информацию, полученную по оценкам экспертов. В некоторых ситуациях при прогнозировании могут быть использованы только эти прогнозы (например, когда объект прогнозирования новый и о нем нет статистической информации, объект прогнозирования сложный и на его развитие оказывает влияние много факторов).
Формализованные основываются на фактической информации об объекте. Статистические данные обрабатываются специалистами с помощью формализованных методов.
5. По масштабности прогнозирования выделяют: макроэкономические прогнозы (объект прогнозирования - это страна в целом); структурные прогнозы (межрегиональные, межотраслевые и т.п.); прогноз развития отраслевых комплексов; региональные прогнозы (объектом прогнозирования выступает регион); прогноз первичных звеньев экономики (объект - предприятие, фирма); глобальные прогнозы (объект - мир в целом, крупные мировые регионы).
Контрольные вопросы

1.1.К какой форме воздействия государства на экономику относятся прогнозирование и планирование?
1.2. Раскройте сущность взгляда Ф. фон Хайека на возможности прогнозирования в рыночной экономике.
1.3. Что такое демографические прогнозы?
1.4. Дайте определения следующим понятиям: прогноз, гипотеза, прогностика, предсказание
1.5. Перечислите принципы прогнозирования и раскройте их сущность.
1.6. Что такое нормативный прогноз?
1.7. Какие прогнозы выделяют по временному горизонту?
1.8. По каким признакам выделяют формализованные прогнозы?
1.9. В чем заключается главная функция прогнозирования?
1.10. На какой срок разрабатываются среднесрочные прогнозы?
2. АНАЛИЗ ОБЪЕКТА ПРОГНОЗИРОВАНИЯ

Вторая глава посвящена анализу объекта прогнозирования. Дается определение понятия объект прогнозирования, приводятся признаки классификации объектов прогнозирования и раскрывается сущность каждого признака. Показываются цель, главная задача и основные методологические принципы анализа объекта прогнозирования.
Представлены два основных пути анализа структуры объекта прогнозирования. Раскрывается возможность использования моделирования при анализе объектов прогнозирования.

Ключевые слова: объект прогнозирования, признаки классификации, агрегирование, дезагрегирование, системность, специфичность, оптимизация., аналогичность, модель, моделирование, функциональная модель, модель физического процесса, экономическая модель, процедурная модель, экспертная модель, словесное описание, графическое описание, математическое описание, блок-схема.

2.1. Классификация объектов прогнозирования

Объект прогнозирования - это исследуемое явление, процесс, для которого разрабатывается прогноз.
Классификация объектов прогнозирования необходима для того, чтобы выбрать наиболее адекватные им методы анализа и прогнозирования (существует приблизительно 150 методов прогнозирования).
Объекты прогнозирования классифицируются по следующим признакам.
1. По природе объекты прогнозирования делятся на: а) научно-технические (ввод новой техники, появление новых материалов, новых научных открытий и т.д.); б) технико-экономические (прогнозирование технико-экономических показателей производства); в) экономические (любые экономические показатели); г) военно-политические (военные конфликты, военный потенциал страны и т.д.); д) естественно-природные (прогноз погоды, землетрясения, вулканы, штормы и т.д.).
2. По масштабности объекты прогнозирования можно классифицировать в зависимости от числа переменных факторов, входящих в их описание при анализе: сублокальные - с числом значащих переменных факторов от 1 до 3 (численность населения страны); локальные - с числом переменных от 4 до 14 (производительность труда); субглобальные - с числом переменных от 15 до 35 (спрос населения на какой-либо товар); глобальные - с числом переменных от 36 до 100 (транспортная сеть региона); суперглобальные - с числом переменных свыше 100 (развитие какой-либо отрасли, транспортная сеть страны).



ПРОГНОЗИРОВАНИЕ ДЕМОГРАФИЧЕСКОГО РАЗВИТИЯ


Расходы на конечное потребление государственных учреждений и некоммерческих организаций, обслуживающих домашние хозяйства, включают стоимость индивидуальных услуг, оказанных бесплатно этими учреждениями частным лицам (охрана здоровья, социальное обеспечение, физкультура и спорт, просвещение, культура и искусство) и обществу в целом (наука, управление, оборона).
Валовое накопление (I) включает накопление основного капитала и изменение запасов материальных оборотных средств. Валовое накопление основного капитала представляет собой увеличение средств, вложенных хозяйственной единицей в продукцию и объекты длительного пользования со сроком службы более одного года, включая стоимость относящихся к ним услуг (основные фонды, затраты на геологоразведочные и буровые работы, капитальные работы по улучшению земель, незавершенное производство, капитальный ремонт). Запасы материальных средств охватывают все товары, которые имеются в данное время у хозяйственных единиц, не включенные в валовое накопление основных фондов: запасы промышленных продуктов (сырье, материалы, полуфабрикаты, топливо, готовая продукция); запасы сельскохозяйственной продукции из собранного урожая; скот на откорме; запасы государственных материальных резервов.

Контрольные вопросы

4.1.С помощью каких методов осуществляется прогнозирование макроэкономических показателей?
4.2. В чем состоит суть факторных моделей экономического роста?
4.3. Что лежит в основе метода дефляции?
4.4. При прогнозировании какого макроэкономического показателя применяется производственный метод?
4.5. Что входит в состав промежуточного потребления?









5. ПРОГНОЗИРОВАНИЕ ДЕМОГРАФИЧЕСКОГО РАЗВИТИЯ

Данная глава рассматривает особенности прогнозирования демографического развития. Прежде всего, акцентируется внимание на определении объектов демографического прогнозирования и его информационной базе, формулировании основных задач прогнозирования демографического развития. Особое внимание уделяется процессу разработки демографических прогнозов, который разделен на стадии.
Раскрыты методы, используемые при построении демографических прогнозов.

Ключевые слова: демографический прогноз, объект демографических прогнозов, перспективное исчисление, проекция населения, миграция, уравнений экспоненциальной кривой, коэффициент естественного прироста, объективные факторы, прогнозирование миграционных процессов, моделирование миграционных процессов, метод передвижки возрастов, метод когорт, коэффициент дожития, коэффициент рождаемости.

5.1. Население как объект прогнозирования

В составе базовых условий социально-экономического развития страны особую значимость имеют демографические показатели. Это определяется тем, что в каждой стране действует закон соответствия социально-экономического и демографического развития общества. Действие этого закона проявляется в устойчивой зависимости между динамикой количественно-качественных характеристик состояния населения и параметрами развития экономики и социальной сферы.
Нельзя отрицать следующие макроэкономические пропорции и взаимосвязи: между численностью населения и размером национального богатства, объемом валового национального продукта, национального дохода; ростом численности населения и масштабами освоения территории страны, отдельных ее регионов; повышением доли населения трудоспособного возраста в общей численности населения и повышением темпов, масштабов социально-экономического развития страны, и наоборот. Для России это особенно актуально, так как хозяйственная освоенность значительной части ее крайне недостаточна. В результате большой объем ресурсов, прежде всего природных, не используется, что отрицательно влияет на темпы экономического и социального развития страны.
Прогнозы, связанные с оценкой будущего состояния населения называются демографическими.
Объектами демографических прогнозов являются показатели численности населения, темпы роста (снижения) численности населения; рождаемости, смертности, миграции, половозрастной структуры населения, а также трудовой, экономический, потребительский потенциалы, жизненный фонд населения и др.
Общую оценку будущей численности населения называют демографическим прогнозом, а расчет структуры населения (например, половозрастной, территориальной, образовательной) называют перспективным исчислением или проекцией населения. Следует помнить, что изменения динамики населения всегда происходит более интенсивно, чем изменение структуры населения.
Основные задачи прогнозирования демографического развития могут быть сформулированы следующим образом:
управление, регулирование экономическими и социальными процессами, протекающими в стране;
сведение к минимуму смертности и заболеваемости населения;
смягчение избытка или недостатка рождаемости;
организация миграции в направлениях, отвечающих экономическими целям государства;
обеспечение достаточного развития и создание возможно лучших условий жизни для групп населения, находящихся в наименее благоприятных условиях.
Демографические прогнозы разрабатываются на различные периоды времени. В частности, по периоду упреждения различают следующие демографические прогнозы: краткосрочные – разработанные на срок от одного года до 10 лет; среднесрочные – от 10 до 25 лет; долгосрочные – от 25 до 50 лет; сверхдолгосрочные – свыше 50 лет.
С увеличением срока прогнозирования точность прогнозов снижается. По мнению специалистов-демографов, наибольшую практическую ценность имеют прогнозы, разрабатываемые на период до 20 лет. Несмотря на снижающуюся достоверность прогнозов с временным горизонтом свыше 20 лет, потребность в разработке таких прогнозов очевидна. Она определяется тем, что для управления, регулирования экономическими, социальными процессами в стране, такими, как оптимизация размещения производительных сил, разработка генеральных схем развития городов, регионов, рационализация использования природных, трудовых ресурсов, требуется информация, которая может содержаться только в долгосрочных демографических прогнозах.
Наличие долгосрочных демографических прогнозов – обязательное условие достоверности экономических и социальных прогнозов.
Информационную базу демографических прогнозов составляют:
1) текущий статистический учет населения;
2) специально организованные статистические наблюдения, переписи населения.
В особую группу демографических прогнозов включают прогнозы миграции населения, причем механизм прогнозирования миграционных процессов менее разработан по сравнению с другими видами демографических прогнозов.
Миграция как объект прогнозирования отличается от других демографических процессов, прежде всего тем, что изменение параметров естественного движения населения (например, рождаемости, смертности) обычно происходит за достаточно длительный период времени. Существенное изменение характеристик миграции может протекать за очень короткий срок, например, по причине национальных конфликтов, военных действий, вызывающих существенные потоки беженцев и переселенцев.
Демографические прогнозы является базой для построения прогнозов развития экономики региона, прогнозов трудовых ресурсов, прогнозов развития и функционирования сферы обслуживания поэтому прогнозирование демографического развития в большинстве случаев предшествует разработкам других видов прогнозов.

5.2. Процесс разработки демографических прогнозов

Разработка демографических прогнозов - процесс сложный, многостадийный, который протекает по следующим трем основным стадиям. Первая стадия – аналитическая. Ее содержание - анализ демографической ситуации в стране, регионах на начало прогнозируемого периода, оценка демографических результатов развития общества за истекший период, сопоставление их с прогнозными значениями показателей, выявление характера отклонений фактических значений показателей от прогнозных и причин, обусловивших такие отклонения. Очень важно выявить в процессе анализа те диспропорции, негативные тенденции, которые возникли в демографическом развитии страны, и на основе этого обосновать состав демографических проблем, их масштабы и остроту.
Необходимо также выявить положительные тенденции в демографическом развитии для того, чтобы предусмотреть их усиление, развитие в прогнозных периодах.
Вторая стадия – целевая. На этой стадии происходит обоснование целей демографического прогноза. Состав целей определяет меры, которые органы управления должны разработать и реализовать, чтобы повлиять на демографическое развитие в соответствующих направлениях.
В составе дерева демографических целей следует выделить по характеру их возникновения две группы. Первая группа – это цели, достижение которых представляет собой решение тех проблем, которые возникли в демографическом развитии страны за прошлые периоды. Вторая группа – это цели, достижение которых предопределено изменением демографических условий в прогнозном периоде, характером тех требований, которые предъявит развитие экономики и социальной сферы к демографической итуации в стране в прогнозном периоде.
Третья стадия процесса разработки демографических прогнозов – расчетная. Ее содержание заключается в обосновании системы прогнозных показателей: численности населения, естественного прироста, структуры населения (половозрастной, образовательной, территориальной и др.).



ПРОГНОЗИРОВАНИЕ РЫНКА ТРУДА


х1 - густота городских поселений,
х2 - уровень развития сферы обслуживания,
х3 - густота транспортных магистралей,
х4 - уровень индустриального развития территории и т.д.
Состав факторов от территории к территории может существенно изменятся, поэтому перед построением многофакторной модели следует проанализировать социально-экономические показатели данной территории.
Третья группа методов демографического прогнозирования - методы передвижки возрастов и когорт. Они позволяют устранить недостаток методов экстраполяции – прогнозирование на основе средней тенденции динамики населения. Эти методы основаны на том, что показатели рождаемости и смертности, миграции существенно различаются у различных половозрастных групп.
Основой расчета по методу передвижки возрастов служит коэффициент дожития, достигнутый различными половозрастными группами, а основа метода когорт – коэффициент рождаемости, достигнутый различными возрастными группами женщин или когортами.
Четвертая группа методов, достаточно широко применяемых при демографическом прогнозировании – это методы экспертных оценок. Они незаменимы в случаях недостаточного объема статистической информации об объекте прогнозирования, а также и в случаях, когда в новом периоде на изучаемый процесс начинают оказывать влияние новые факторы, влияние которых изучить по данным за предыдущие периоды невозможно.

Контрольные вопросы

5.1. Дайте определение следующим понятиям: демографический прогноз, перспективное исчисление,
5.2. Что является объектом демографических прогнозов?
5.3. На какие сроки могут разрабатываться демографические прогнозы?
5.4. Что является информационной базой демографических прогнозов?
5.5. В чем заключается отличие миграции как объекта прогнозирования?
5.6. Какие прогнозы строятся на базе демографических прогнозов?
5.7. Раскройте сущность стадий процесса разработки демографических прогнозов?
5.8. Какое уравнение используют при расчете общей численности населения?
5.9. Перечислите объективные факторы демографического развития.
5.10. Какие методы используются при разработке демографических прогнозов?
5.11. Какие коэффициенты используется в методе передвижки возрастов и методе когорт?

  1. ПРОГНОЗИРОВАНИЕ РЫНКА ТРУДА, ТРУДОВЫХ
РЕСУРСОВ И ЗАНЯТОСТИ НАСЕЛЕНИЯ

Данная глава посвящена изучению основ прогнозирования рынка труда, трудовых ресурсов и занятости населения. Во-первых, дано определение трудовых ресурсов и их состав, рассматривается рынок труда как объект прогнозирования, приведены формулы прогноза спроса на рабочую силу и прогноза предложения рабочей силы, сформулированы основные задачи и принцип прогнозирования рынка труда. Во-вторых, изучаются источники информации и структура информационной базы построения прогнозов рынка труда.
В-третьих, приводятся методы, используемые для построения прогнозов рынка труда, дается методика построения баланса трудовых ресурсов и возможность его использования при прогнозировании рынка труда.

Ключевые слова: трудовые ресурсы, объекты прогнозирования рынка труда, многовариантность прогнозирования, пассивный прогноз, активный прогноз, баланс рабочих мест, число рабочих мест, баланс трудовых ресурсов, ресурсная часть, распределительная часть,

6.1. Рынок труда как объект прогнозирования

Процесс прогнозирования рынка труда на уровне страны можно представить с помощью следующей схемы:








Трудовые ресурсы – это часть населения, которая в силу совокупности физических способностей, специальных знаний и опыта может участвовать в создании материальных благ или трудиться в сфере услуг.
Критериями для выделения из общей численности населения трудовых ресурсов являются границы трудоспособного возраста, которые устанавливаются государством. В России трудоспособный возраст у мужчин составляет от 16 до 60 лет, для женщин – от 16 до 55 лет.
В состав трудовых ресурсов включаются:
трудоспособное население в трудоспособном возрасте;
работающие подростки (до 16 лет);
население старше рабочего возраста, принимающее участие в общественном производстве.
К трудоспособному населению относятся лица в трудоспособном возрасте, за исключением неработающих инвалидов I и II групп, а также лиц, перешедших на пенсию на льготных условиях раньше установленного в общем порядке рабочего возраста.
В зависимости от отношения к трудовой деятельности в составе трудовых ресурсов выделяются следующие категории:
занятые в общественном производстве;
занятые индивидуальной трудовой деятельностью;
лица, находящиеся на учебе с отрывом от производства;
занятые в домашнем и личном подсобном хозяйстве;
военнослужащие.
Трудовые ресурсы имеют количественные и качественные характеристики. К первым относятся показатели численности и состава (по возрасту, полу, общественным группам и т.д.). Ко вторым – показатели образовательного уровня, профессионально-квалификационной структуры и т.п.
Объектами прогнозирования рынка труда являются:
1.Трудовые ресурсы в целом (или население в трудоспособном возрасте);
2. Отдельные составные части трудовых ресурсов:
а) незанятое население (безработные) - относительные и абсолютные показатели;
б) занятое население - абсолютные и относительные показатели;
в) экономически неактивное население (или лица, обучающиеся с отрывом от производства; лица, занятые в домашнем, личном подсобном хозяйстве, а также лица, не желающие заниматься общественным трудом.)
3. Число рабочих мест
4. Масштабы высвобождения трудовых ресурсов
Прогноз спроса на рабочую силу опирается на следующую общую формулу:
С=З+В,
где С - спрос на рабочую силу;
З - реально существующая занятость;
В- вакансии (количество свободных) рабочих мест.
Прогноз предложения рабочей силы основан на формуле:
П=З+N*Kд ,
где П - предложение рабочей силы;
З - реально существующая занятость;
Н - численность официально зарегистрированных безработных;
Kд - коэффициент досчета, характеризующий соотношение между числом обратившихся в службу занятости и фактически существующим числом безработных.
Пример, если на биржу труда города обращается каждый третий безработный, общее число зарегистрированных в городе безработных составляет 20 тыс. человек, а на всех предприятиях города трудятся 500 тыс. человек, то общий показатель предложения рабочей силы составляет 560 тыс. чел. Расчет:
П=500 + 20*3 = 560.
Основные задачи прогнозирования рынка труда могут быть сформулированы следующим образом:
1. Анализ тенденций формирования рынка труда в регионе, стране. Выявление основных факторов, определяющих рынок труда.
2. Оценка конкурентоспособнсти отдельных социально-де-мографических групп населения, а также возможностей государства и местных органов власти обеспечить защиту социально уязвимых слоев.
3. Предвидение новых тенденций альтернатив развития рынка труда.
4. Расчет вариантов количественных показателей спроса и предложения на рынке труда.
Важнейший принцип прогнозирования рынка труда – принцип многовариантности прогнозирования. Он предполагает необходимость разработки и рассмотрения нескольких возможных сценариев изменения ситуации на рынке труда.
Рекомендуется строить прогноз рынка труда как минимум в двух вариантах: пассивном и активном.
Пассивный вариант предусматривает разработку прогноза, основанного на анализе существующей динамики рынка труда и перенесение тенденций прошлого на будущее.
Активный прогноз строится с учетом целенаправленной деятельности в области политики занятости, направленной на рост трудовой активности населения, а также на решение острых проблем в области занятости.
Постоянное отслеживание изменений на рынке труда - это обязательное условие построения качественного прогноза.
Рассмотрим структуру информационной базы, необходимой для построения прогнозов рынка труда региона (города). Она состоит из следующих основных блоков:
1. Блок данных о населении региона (города) в целом и о числе лиц в трудоспособном возрасте (динамика численности населения; динамика естественного и механического движения населения; половозрастная и образовательная структуры населения);
2. Блок данные о состоянии рынка труда региона (города), о размерах спроса и предложения рабочей силы (уровень безработицы, ее динамика и структура; динамика и структура спроса на труд (в разрезе профессий и возрастов); информации об уровне заработной плате (в зависимости от пола, возраста, уровня образования, отраслевой принадлежности));
3. Блок данных, раскрывающих эффективность работы службы занятости, и результативность реализуемых на региональном (городском) уровне программ (количество безработных, нашедших работу с помощью службы занятости; средняя продолжительность времени, необходимая на поиск работы и т.п.).
4. Блок общеэкономических показателей, т.е. данные о динамике и структуре экономики региона (города) и его окружения. Здесь представляют наибольший интерес показатели:
- динамика производства продукции по отраслям;
- сложившаяся структура экономики;

  • темпы инфляции и уровень доходов населения;
  • уровень развития малого бизнеса в городе;
  • динамика объемов и направлений инвестирования.


Прогнозирование сезонных явлений


2) сложность подбора уравнения регрессии. Эта проблема разрешима при использовании типовых компьютерных программ.

3. Оценка точности прогнозов, построенных методами
экстраполяции

Точность прогноза – это важнейшая его характеристика. Существует несколько способов оценки точности прогнозов:
1) средняя абсолютная оценка:
Прогнозирование сезонных явлений
, (8)
где n – число уровней временного ряда;

2) средняя квадратическая оценка:

Прогнозирование сезонных явлений
. (9)
Чем ближе к нулю первый и второй показатели, тем выше точность прогноза;
3) средняя относительная ошибка:
=
Прогнозирование сезонных явлений
(10)

Интерпретация значений средней относительной ошибки для оценки точности прогнозов:


, %
Интерпретация
10
Точность прогноза высокая
10-20
Точность хорошая
20-50
Точность удовлетворительная
50
Точность неудовлетворительная


4. Прогнозирование сезонных явлений

К сезонным относят такие явления, которые обнаруживают в своем развитии определенные закономерности, регулярно повторяющиеся из месяца в месяц, из квартала в квартал.
Под сезонностью также понимают неравномерность производственной деятельности в отраслях промышленности, связанных с переработкой сельскохозяйственного сырья, поступление которого зависит от времени года. Кроме того, сезонность может возникать из-за сезонного характера спроса на товары, производимые промышленностью, реализуемые торговлей, и т.д.
Исследование сезонности с целью разработки прогноза ставит следующие задачи: численно выразить проявление сезонных колебаний; выявить их силу и характер в условиях отдельных отраслей экономики; вскрыть факторы, вызывающие сезонные колебания; найти экономические последствия проявления сезонности.
Методика прогнозирования сезонного явления следующая:
1. Представить графически фактические значения изучаемого явления, чтобы выяснить, присутствует ли сезонная волна, выявить характер тренда.
2. Рассчитать показатели сезонности (4-квартальные суммы, 4- квартальные средние, центрированные средние, показатели сезонности).
3. Определить индексы сезонности.
4. Вычислить параметры уравнения, описывающего тренд изучаемого явления.
5. Построить прогноз, вычислить его ошибку.
Примеры решения контрольных заданий

Задание 1. Имеются данные использования ВВП за 1992-1999 гг. (трлн. руб.)



1992
1993
1994
1995
1996
1997
1998
1999
Использование ВВП
19,6
101,0
171,5
348,6
493,2
610,7
701,3
875,4

1. Постройте прогноз использования ВВП на 2000 г., используя методы: скользящей средней, экспоненциального сглаживания, наименьших квадратов.
2. Постройте график фактического и расчетных показателей.
3. Рассчитайте среднюю относительную ошибку полученных прогнозов при использовании каждого метода.
4. Сравните результаты.

Решение.

1. Метод скользящей средней. Для того, чтобы рассчитать прогнозное значение необходимо
1. Определить величину интервала сглаживания, например равную 3 (n = 3).
2. Рассчитать скользящую среднюю для первых трех периодов
m 1993 = (У1992 + У1993 + У 1994)/ 3 = (19,6+101,0+171,5)/3 = 97,4
Полученное значение заносим в таблицу в средину взятого периода.
Далее рассчитываем m для следующих трех периодов 1993, 1994, 1995 гг.
m 1994 = (У1993 + У1994 + У 1995)/ 3 = (101,0+171,5+348,6)/3 = 207,0
далее по аналогии рассчитываем m для каждых трех рядом стоящих периодов.

Для решения задачи составим таблицу



Годы
Использова-ние ВВП,
трлн. руб.
Уt
Скользящая средняя

m
Расчет средней отно-сительной ошибки
/Уф - Ур/
Уф * 100
1992
1993
1994
1995
1996
1997
1998
1999
19,6
101,0
171,5
348,6
493,2
610,7
701,3
875,4
-
97,4
207,0
337,8
484,2
601,7
729,1
-
-
3,6
20,7
3,1
1,8
1,5
4,0
-
Итого


34,7
прогноз
2000
2001

787,1
758,5



3. Рассчитав скользящую среднюю для всех периодов строим прогноз на 2000 г. (см. формулу 1).
У2000 = 729,1 + 1/3 (875,4 – 701,3) = 729,1 + 58,03 = 787,1
Определяем скользящую среднюю m для 2000 года.
m = (701,3+875,4+787,1) /3 = 787,9
Строим прогноз на 2001 г.
У 2001 = 787,9 + 1/3 (787,1-875,4) = 758,5
Заносим полученный результат в таблицу.
Рассчитываем среднюю относительную ошибку (см. формулу 10)
= 34,7/6 = 5,8

2. Метод экспоненциального сглаживания.

Определяем значение параметра сглаживания (см. формулу 3).

2/ n+1 = 2/ 8+1 = 0,2

Определяем начальное значение Uo двумя способами:
1 способ (средняя арифметическая) Uo = 3321,3/8 = 415,2
2 способ (принимаем первое значение базы прогноза) Uo = 19,6


Расчетная таблица


Годы
Использова-ние ВВП, трлн. руб.

У t
Экспоненциально взвешенная средняя Ut
Расчет средней
относительной
ошибки
I
способ
II
способ
I
способ
II
способ
1992
1993
1994
1995
1996
1997
1998
1999
19,6
101,0
171,5
348,6
493,2
610,7
701,3
875,4
415,2
336,1
289,1
265,6
282,2
324,3
381,6
445,6
19,6
19,6
35,9
63,0
120,1
194,7
277,8
362,6
20,2
23,3
68,6
23,8
42,8
46,7
45,6
49,1
0
80,6
79,1
81,9
75,6
68,2
60,4
58,6
Итого
3321,3
2739,7
1093,3
320,1
504,4
прогноз
2000



531,6

464,9



Рассчитываем экспоненциально взвешенную среднюю для каждого года, используя формулу 2.
U1992 = 19,6*0,2 +(1-0,2) * 415,2 = 336,1 1 способ
U1993 = 101*0,2+(1-0,2) * 336,1 = 270,9 1 способ и т.д.

U1992 = 19,6*0,2 +(1-0,2) * 19,6 = 19,6 II способ
U1993 = 101*0,2+(1-0,2) * 19,6 = 35,9 II способ
U1994 = 171,5*0,2+(1-0,2) * 35,9 = 63,0 II способ и т.д.
Рассчитываем прогнозное значение, используя формулу 2.
U 2000 =875,4*0,2 + 0,8*445,6 = 531,6 (I способ)
U 2000 =875,4*0,2 + 0,8*362,6 = 464,9 (II способ)
Средняя относительная ошибка (см. формулу 10)
= 320,1/8 = 40,01% (I способ)
= 504,4/8 = 63,05% (II способ)

3. Метод наименьших квадратов.

Для решения используем следующую таблицу.

Годы
Иполь-зовние ВВП, трлн. руб.
Уф
Условное обо-значение
времени

Х




Уф*Х




Х^2




Ур
Расчет средней относительной ошибки

/ Уф - Ур/
Уф * 100
1992
1993
1994
1995
1996
1997
1998
1999
19,6
101,0
171,5
348,6
493,2
610,7
701,3
875,4
1
2
3
4
5
6
7
8
19,6
202,0
514,5
1394,4
2466,0
3664,2
4909,1
7003,2
1
4
9
16
25
36
49
64
-20,6
103,9
228,4
352,9
477,4
601,9
726,4
850,9
2,05
2,87
33,17
1,23
3,20
1,44
3,58
2,8
Итого
3321,3
36
20173
204
3321
50,32
прогноз
2000
2001

975,4
1099,9

9
10





Определим условное обозначение времени как последовательную нумерацию периодов базы прогноза. Рассчитаем графы 4 и 5.
Ур определим по формуле 4, а коэффициенты a и b по формулам 5 ,6.
20173 - (36 * 3321,3) / 8
a = 204 - 36^2 / 8 = 124,5

b = 3321,3/8 – 124,5*36/8 = - 145,1

У1992 = 124,5*1 – 145,1 = -20,6
У1993 = 124,5*2 – 145,1 = 103,9 и т.д.
Заносим полученные результаты в таблицу. Определяем прогнозное значение.
У 2000 = 124,5*9 – 145,1 = 975,4
У 2001 = 124,5*10 – 145,1 = 1099,9
Рассчитываем среднюю относительную ошибку (см. формулу 10)
= 50,32/8= 6,29%
Сравните полученные результаты по прогнозам разработанным различными методами и средней относительной ошибке. Сделайте вывод какой метод позволил получить более достоверные результаты
Задание 2.
В таблице представлен объем продаж товара А в городе.
Постройте график исходных данных и определите наличие сезонных колебаний.
Постройте прогноз объема продажи товара А в городе на 2002 гг. с разбивкой по кварталам.
Рассчитайте среднюю относительную ошибку прогноза.

Решение.
1. Представим исходные данные графически. По оси Х отложим параметр времени (годы и кварталы), а по оси У объем продаж. Определим наличие сезонных колебаний.
2. Составим таблицу (см. ниже).
3. 4-х квартальные суммы рассчитываются суммированием Уф за четыре рядом стоящие квартала.
42,2+55,4+64,8+63,4 = 225,8
55,4+64,8+63,4+48,1 = 231,7 и т.д.
4-х квартальные средние = 4-х квартальные суммы/4 = 225,8/4 =56,45; 231,7/4 = 57,93. В таблице они ставятся в средину суммируемых кварталов.
Центрированные средние рассчитываются как сумма двух 4-х квартальных средних деленная на 2, например
(56,45 + 57,93) / 2 = 57,19; (57,93 + 58,50) / 2 = 58,2 и т.д.
4. Определяем показатели сезонности.
Псезон= Уф / Центр.средние * 100 (или графа 3/на графу 6 * 100).
Так, для 3 квартала 1999 г. Псезон = 64,8 / 57,19 * 100 = 113,31
Для 4 квартала 1999 г. Псезон = 63,4 / 58,21 * 100 = 108,91 и т.д.
Определим индексы сезонности для каждого квартала ( I j ) . Для расчета берутся показатели сезонности, суммируются по квартально и делятся на количество суммированных значений.
Для 1 квартала I 1 = (81,4 + 77,3) /2 = 79,35
Для 2 квартала I 2= (95,8 + 98,8) /2 = 97,3
Для 3 квартала I 3= (113,3 + 115,2) /2 = 114,25
Для 4 квартала I 4= (108,9 + 110,5) /2 = 109,7
6. Определяем в таблице графы 8,9,10.
Прогнозирование сезонных явлений

7. Ур = a * X + b , коэффициенты a и b рассчитываются по формулам 5 и 6.



Год

Квартал
Объем
продаж
млн.руб

Уф
Показатели сезонности
Условное
обозначе
ние вре
мени,

Х



Х^2



Уф*Х



Ур
Расчет
средней
относи
тельной
ошибки
4-квар-
таль-
ные
суммы
4-квар-
таль-
ные
средние
Центри
рован-
ные средние
Показатели
сезон
ности
1
2
3
4
5
6
7
8
9
10
11
12
1999







2000






1

2

3

4

1

2

3

4
42,2

55,4

64,8

63,4

48,1

57,7

69,7

67,1
-

-

-

225,8

231,7

234

238,9

242,6

-

56,45

57,93

58,5

59,73

60,7

60,4

-

-

57,19

58,2

59,1

60,2

60,5

60,7
-

-

113,3

108,9

81,4

95,1

115,2

110,5
1

2

3

4

5

6

7

8
1

4

9

16

25

36

49

64
42,2

110,8

194,4

253,6

240,5

346,2

487,9

536,8
52,88

54,01

55,15

56,28

57,41

58,54

59,67

60,81
25,31

2,51

14,89

11,23

19,36

1,46

14,39

9,37


Разработка прогнозов с помощью метода скользящей средней


6. В ноябре предпрогнозного года Министерство экономического развития проводит уточнение параметров прогноза, учитывая итоги утвержденного бюджета и информацию о текущей экономической ситуации в стране. В декабре Министерство экономического развития направляет итоговый документ в Правительство.
Контрольные вопросы

10.1. Какие документы включает система государственных прогнозов РФ?
10.2. Какие государственные структуры осуществляют разработку прогноза социально-экономического развития страны, федерального бюджета на год, параметров денежно-кредитной политики, правовую базу прогнозирования?
10.3. На какой срок разрабатывается прогноз развития страны на долгосрочную перспективу?
10.4. На преодоление каких проблем направлены федеральные целевые программы?
МЕТОДИЧЕСКИЕ УКАЗАНИЯ ПО ВЫПОЛНЕНИЮ
КОНТРОЛЬНЫХ РАБОТ

Прежде чем приступить к выполнению контрольных заданий, внимательно прочитайте методические рекомендации.
Вам необходимо определить вариант работы, что зависит от начальной буквы вашей фамилии:


1. А – В
2. Г – Е
3. Ж – И
4. К – М
5. Н – П
6. Р – Т
7. У – Х
8. Ц – Ш
9. Щ – Э
10. Ю – Я
Замена одного варианта другим возможна только в исключительных случаях с разрешения кафедры.
Если у вас возникли затруднения при написании контрольной работы, вы вправе обратиться за консультацией к преподавателю в его консультационное время.
Работа должна быть оформлена грамотно и аккуратно. Не допускайте сокращений. Для возможных замечаний рецензента оставьте поля.
Работу подпишите и поставьте дату ее выполнения.
Контрольная работа выполняется на бумажном носителе формата А4 в одном экземпляре компьютерным или рукописным способом на одной стороне листа. Параметры страницы: поля слева – 3 см, справа – 2 см, вверху – 2 см и внизу – 2,5 см. Номер страницы помещается в правом верхнем углу.

1. Разработка прогнозов с помощью метода скользящей средней

Одним из наиболее старых и широко известных методов сглаживания временных рядов является метод скользящих средних. Применяя этот метод, можно элиминировать случайные колебания и получить значения, соответствующие влиянию главных факторов. Сглаживание с помощью скользящих средних основано на том, что в средних величинах взаимно погашаются случайные отклонения.
Это происходит вследствие замены первоначальных уровней временного ряда средней арифметической величиной внутри выбранного интервала времени. Полученное значение относится к середине выбранного периода. Затем период сдвигается на одно наблюдение, и расчет средней повторяется, причем периоды определения средней берутся все время одинаковыми.
Таким образом, в каждом случае средняя центрирована, т.е. отнесена к серединной точке интервала сглаживания и представляет собой уровень для этой точки.
При сглаживании временного ряда скользящими средними в расчетах участвуют все уровни ряда. Чем шире интервал сгаживания, тем более плавным получается тренд. Сглаженный ряд короче первоначального на (n–1) наблюдений (n – величина интервала сглаживания). При больших значениях n колеблемость сглаженного ряда значительно снижается.
Одновременно заметно сокращается количество наблюдений, что создает трудности.
Выбор интервала сглаживания зависит от целей исследования. При этом следует руководствоваться тем, в какой период времени происходит действие, а следовательно, и устранение влияния случайных факторов.
Данный метод используется при краткосрочном прогнозировании. Его рабочая формула:
Разработка прогнозов с помощью метода скользящей средней
=
Разработка прогнозов с помощью метода скользящей средней
+
Разработка прогнозов с помощью метода скользящей средней
, (1)
где t + 1 – прогнозный период;
t – период, предшествующий прогнозному периоду (год, месяц и т.д.);
yt+1 – прогнозируемый показатель;
Разработка прогнозов с помощью метода скользящей средней
– скользящая средняя за два периода до прогнозного;
n – число уровней, входящих в интервал сглаживания;
yt – фактическое значение исследуемого явления за предшествующий период;
yt-1 – фактическое значение исследуемого явления за два периода, предшествующих прогнозному.

2. Прогнозирование на основе метода
экспоненциального сглаживания

Этот метод наиболее эффективен при разработке среднесрочных прогнозов. Он приемлем при прогнозировании только на один период вперед. Его основные достоинства:
простота процедура вычислений;
возможность учета весов исходной информации.
Рабочая формула метода экспоненциального сглаживания:
Разработка прогнозов с помощью метода скользящей средней
(2)
где t – период, предшествующий прогнозному;
t+1– прогнозный период;
Разработка прогнозов с помощью метода скользящей средней
прогнозируемый показатель;
Разработка прогнозов с помощью метода скользящей средней
параметр сглаживания;
Разработка прогнозов с помощью метода скользящей средней
фактическое значение исследуемого показателя за период, предшествующий прогнозному;
Разработка прогнозов с помощью метода скользящей средней
экспоненциально взвешенная средняя для периода, предшествующего прогнозному.
При прогнозировании данным методом возникает два затруднения:
1) выбор значения параметра сглаживания
Разработка прогнозов с помощью метода скользящей средней
;
2) определение начального значения Uо.
От величины будет зависеть, как быстро снижается вес влияния предшествующих наблюдений. Чем больше , тем меньше сказывается влияние предшествующих лет. Если значение близко к единице, то это приводит к учету при прогнозе в основном влияния лишь последних наблюдений; если близко к нулю, то веса, по которым взвешиваются уровни временного ряда, убывают медленно, т.е. при прогнозе учитываются все (или почти все) прошлые наблюдения. Таким образом, если есть уверенность, что начальные условия, на основании которых разрабатывается прогноз, достоверны, следует использовать небольшую величину параметра сглаживания ( >0). Когда параметр сглаживания мал, то исследуемая функция ведет себя как средняя из большого числа прошлых уровней.
Если нет достаточной уверенности в начальных условиях прогнозирования, то следует использовать большую величину , что приведет к учету при прогнозе в основном влияния последних наблюдений.
Точного метода для выбора оптимальной величины параметра сглаживания нет. В отдельных случаях автор данного метода профессор Браун предлагал определять величину , исходя из длины интервала сглаживания. При этом вычисляется по формуле
Разработка прогнозов с помощью метода скользящей средней
, (3)

где n – число наблюдений, входящих в интервал сглаживания.
Задача выбора Uо (экспоненциально взвешенного среднего начального) решается следующими путями:
1) если есть данные о развитии явления в прошлом, то можно воспользоваться средней арифметической, и Uо равен этой средней арифметической;
2) если таких сведений нет, то в качестве Uо используют исходное первое значение базы прогноза Y1.
Также можно воспользоваться экспертными оценками.
Метод экспоненциального сглаживания нередко не срабатывает при изучении экономических временных рядов и прогнозировании экономических процессов. Это обусловлено тем, что экономические временные ряды бывают слишком короткими (15-20 наблюдений), и в случае, когда темпы роста и прироста велики, данный метод не успевает отразить все изменения.

3. Разработка прогнозов методом наименьших квадратов

Сущность метода состоит в минимизации суммы квадратических отклонений между наблюдаемыми и расчетными величинами. Расчетные величины находятся по подобранному уравнению – уравнению регрессии.
Чем меньше расстояние между фактическими значениями и расчетными, тем более точен прогноз, построенный на основе уравнения регрессии. Теоретический анализ сущности изучаемого явления, изменение которого отображается временным рядом, служит основой для выбора кривой. Иногда принимаются во внимание соображения о характере роста уровней ряда. Так, если рост выпуска продукции ожидается в арифметической прогрессии, то сглаживание производится по прямой.
Если же оказывается, что рост идет в геометрической прогрессии, то сглаживание надо производить по показательной функции.
Рабочая формула метода наименьших квадратов:
у t+1 = а*Х + b, (4)
где t + 1 – прогнозный период;
yt+1 – прогнозируемый показатель;
a и b - коэффициенты;
Х - условное обозначение времени.

Расчет коэффициентов a и b осуществляется по следующим формулам:

Разработка прогнозов с помощью метода скользящей средней

где, Уф – фактические значения ряда динамики;
n – число уровней временного ряда;
Разработка прогнозов с помощью метода скользящей средней

Разработка прогнозов с помощью метода скользящей средней

Разработка прогнозов с помощью метода скользящей средней

Сглаживание временных рядов методом наименьших квадратов служит для отражения закономерности развития изучаемого явления. В аналитическом выражении тренда время рассматривается как независимая переменная, а уровни ряда выступают как функция этой независимой переменной. Ясно, что развитие явления зависит не от того, сколько лет прошло с отправного момента, а от того, какие факторы влияли на его развитие, в каком направлении и с какой интенсивностью.
Развитие явления во времени выступает как результат действия этих факторов.
Правильно установить тип кривой, тип аналитической зависимости от времени – одна из самых трудных задач предпрогнозного анализа.
Подбор вида функции, описывающей тренд, параметры которой определяются методом наименьших квадратов, производится в большинстве случаев эмпирически, путем построения ряда функций и сравнения их между собой по величине среднеквадратической ошибки, вычисляемой по формуле

Разработка прогнозов с помощью метода скользящей средней
S =
Разработка прогнозов с помощью метода скользящей средней
, (7)

где yф – фактические значения ряда динамики;
yр – расчетные (сглаженные) значения ряда динамики;
n – число уровней временного ряда;
р – число параметров, определяемых в формулах, описывающих тренд.
Недостатки метода наименьших квадратов:
1) изучаемое экономическое явление мы пытаемся описать с помощью математического уравнения, поэтому прогноз будет точен для небольшого периода времени, и уравнение регрессии следует пересчитывать по мере поступления новой информации;



Разработка прогнозов системы образования



В экономической системе любой страны можно выделить комплекс отраслей, назначение которых удовлетворение духовных и социальных потребностей населения. В Российской Федерации в состав отраслей социальной сферы включены: образование, культура и искусство, здравоохранение, туризм и отдых, физкультура и спорт, жилищно-коммунальное хозяйство.
Все эти отрасли являются объектом государственного регулирования и государственного прогнозирования. Особенность процесса прогнозирования отраслей социальной сферы – его децентрализация, поскольку оно осуществляется, в большинстве своем, городскими и районными органами управления. Прогнозирование максимально приближено к населению и должно учитывать его потребности и местные особенности.
Государство косвенным образом воздействует на данный процесс посредством минимальных государственных стандартов и предоставления финансирования.
Цель разработки прогнозов социальной сферы - удовлетворение потребности населения в услугах первой необходимости
Разработка прогнозов системы образования.
Прогнозные расчета системы образования осуществляются отдельно по всем структурным элементам системы образования: для дошкольного образования; для общего, начального и среднего образования; для вузовского, послевузовского и дополнительного образования.
Прогнозирование сети детских дошкольных учреждений осуществляется с использованием балансового метода.
Например, при прогнозировании предложения мест в детских дошкольных учреждениях можно опираться на следующую формулу:
ПМпрог.= ПМ начало + ВводМ - ВыбМ,
где ПМпрог – предложение мест в детских дошкольных учреждениях в прогнозируемый период;
ПМ начало - предложение мест в детских дошкольных учреждениях на начало прогнозируемого периода;
ВводМ – ввод новых мест в связи с новым строительством и ремонтом;
ВыбМ, - выбытие мест по различным причинам.
Спрос на детские дошкольные учреждения рекомендуется рассчитывать по следующей формуле:
Спрос=Чобщ.*Кобеспеч*Крж.*Кур.дох,,
где Чобщ. - общая численность детей дошкольного возраста;
Кобеспеч - коэффициент обеспеченности детскими дошкольными учреждениями на 100 человек;
Крж. - поправочный коэффициент, учитывающий при разработке прогноза численность работающих женщин;
Кур. дох. - поправочный коэффициент, учитывающий влияние на спрос на детские дошкольные учреждения уровня доходов населения.
Затраты на содержание детских дошкольных учреждений определяется по установленным государственным нормам и корректируется региональными и муниципальными органами власти с учетом уровня цен, сложившимся в том или ином регионе.
Прогноз сети общего и среднего образования. В РФ прогноз сети общего и среднего образования осуществляется отдельно для городской и сельской местности по следующим основным показателям: число учащихся, количество классов, прием и выпуск учащихся, среднее число учащихся в одном классе, сменность занятий, среднее число школ.
Центральное место в этой системе показателей занимает численность учащихся. Основной расчет числа учащихся является метод передвижки возрастов, на основе которого определяют перспективную численность лиц школьного возраста.
Планирование школьной сети начинается с определенного количества необходимых классных комнат:
Разработка прогнозов системы образования

где Чу - численность учащихся;
Нк - наполняемости классных комнат;
Кс - коэффициент сменности работы школ.

Необходимый ввод (строительство) классных комнат определяют как разницу между рассчитанной потребностью в классных комнатах и их фактическим наличием на начало прогнозного периода с учетом выбытия в связи с ветхостью и ремонтом.
Количество ученических мест рассчитывается исходя из стандарта обеспечения одного ученика площадью классной комнаты:
Разработка прогнозов системы образования

Потребность в педагогических кадрах определяется как:
Разработка прогнозов системы образования
,
где К - количество классов в планируемом периоде;
Ск - количество учительских ставок на один класс;
Су - количество ставок на одного учителя.
Прогноз развития высшего образования в РФ. При разработке данных прогнозов решаются следующие задачи:
1. Выявление потребности рынка труда в рабочей силе различных специальностей и уровней квалификаций;
2. Определение источников удовлетворения этих потребностей.
При решение первой задачи исходят из сложившейся профильно-квалификационных структуры работников на начало планируемого периода по предприятиям и организациям всех форм собственности. Данную информацию разработчику прогнозов на Федеральном уровне – Министерству экономического развития и торговли представляет Государственный Комитет по статистике и Министерство труда.
Исходя из конъюнктуры рынка и тенденций в структуре национальной экономики производится досчет возможной емкости рынка услуг специалистов и рабочих различной квалификации.
Используя данных демографического прогноза о половозрастной структуре населения на предстоящий период, данные о возможностях средних и высших учебных заведений по подготовке специалистов, государственным образовательным учреждения устанавливается план приема студентов с разбивкой по специальностям.
Численность студентов по всем формам обучения – это основа для определения потребности в профессорско-преподавательском составе и объемах финансирования ВУЗа. Объем педагогической нагрузки в часах зависит от учебного плана образовательного учреждения; от числа часов, отведенных на изучение каждой дисциплины, входящей в учебный план.
Объем государственного финансирования ВУЗов определяется, исходя из рассчитанного фонда оплаты труда на каждый год, нормативных расчетов материальных ресурсов и услуг коммунального хозяйства.

8.2. Построение прогнозов сети здравоохранения в РФ

За последние годы в РФ произошло ухудшение медико-демографической ситуации. Отмечаются:
снижение продолжительности жизни;
рост показателей общей смертности;
снижение уровня рождаемости;
естественная убыль населения возрастает;
возрастание общей заболеваемости населения;
угроза эпидемиологических вспышек;
резкое сокращение профилактических программ из-за трудностей с финансированием.
В связи с перераспределением полномочий между федеральными органами управления здравоохранением, субъектами РФ и муниципальными образованиями снизилась управляемость системой здравоохранения. Это привело к резкой дифференциации условий и уровней оказания медицинской помощи на различных территориях.
Для прогнозных расчетов изменения и развития сети здравоохранения привлекаются данные демографических прогнозов о численности населения в планируемом периоде, его половозрастной структуре, данные о здоровье населения, о действующей сети учреждений здравоохранения.
Данные показатели является основой для расчета объема финансирования учреждений здравоохранения.
Потребность населения в больничных койках рекомендуется определять по следующей формуле:
Разработка прогнозов системы образования

Н - численность населения;
Г - уровень госпитализации населения (расчет на 1000 человек);
П - среднее число дней, пребывание больного на койке;
Д - число дней использования койки в году.

Необходимая мощность амбулаторно-поликлинических учреждений (их пропускная способность) может быть рассчитана следующим образом:
Разработка прогнозов системы образования
, где
В - расчетное число посещений врача на одного жителя в год;
Н - численность населения;
Д - число дней работы учреждения в году;
К - коэффициент сменности работы учреждения здравоохранения.
Число врачебных должностей на прогнозный период определяется с учетом социальных стандартов и корректируется исходя из прироста (выбытия) учреждений здравоохранения и прироста или сокращения численности населения в регионе.

8.3. Прогнозирование Nилищно-коммунального хозяйства в РФ

В состав комплексной отрасли жилищно-коммунального хозяйства (ЖКХ) входят:
1. Жилищное хозяйство (жилищный фонд, гостиницы и т.п.)
2. Коммунальные предприятия и службы (водопровод, канализация, службы очистки города и т.п.)
3. Внутригородской пассажирский транспорт общего пользования
4. Энергетическое хозяйство (котельные, тепло- и газо- сети)
5. Дорожное и мостовое хозяйство
Стратегические расчеты развития и функционирования сферы ЖКХ должны учитывать современные особенности этой отрасли:
1. Существенные изменения в формах собственности жилого фонда. Доля жилья частной формы собственности достигла 60-65 %, остальные 35-40 % намечается сохранить в государственной и муниципальной собственности. Новая структура собственности на жилье отражается на величине общих затрат бюджетов всех уровней.
2. Перевод ведомственного жилья в распоряжение местных органов власти, что ведет к увеличению т расходов местных бюджетов
3. Введение Федеральных стандартов по оплате жилья и коммунальных услуг, определяющих объем финансирования из федерального бюджета.

На уровне РФ разрабатывается прогноз ЖКХ, который входит составной частью в Комплексный прогноз социально-экономического развития страны. На уровне местных органов власти составляют собственные прогнозы и программы развития ЖКХ. Разработка прогнозных документов на муниципальном уровне осуществляется с выделением объектов прогнозирования по формам собственности. В частности, весь жилой фонд города делится на



В СНС выделяют четыре основных счета


В СНС выделяют четыре основных счета: 1. Счет внутреннего продукта, характеризующий производство; 2. Счет доходов; 3. Счет операций с капиталом (счет накопления); 4. Платежный баланс – счет операций по взаимодействию с внешним миром. По каждому из этих четырех счетов возможны детализации.

4.3. Методы прогнозирования макроэкономических
показателей и экономического роста

Поскольку в настоящее время СОП и НД, рассчитываемые по прежней методологии, теряют свою значимость, ограничимся рассмотрением методов прогнозирования объемов и темпов изменения ВНП (ВВП) – индикатора экономики в условиях рыночных отношений.
В зарубежной практике прогнозирование ВНП (ВВП) осуществляется различными методами. Широко используются методы: экстраполяции; экономико-математические модели; методы дефляции; производственный, распределительный методы и метод конечного использования ВВП. Указанные методы получают распространение в странах СНГ, в том числе в России.
Рассмотрим основные положения указанных методов.
Методы экстраполяции предполагают исследование возможных тенденций изменения рядов динамики макроэкономических показателей (ВВП и др.) с помощью различных временных функций (трендовых моделей). При сохранении условий экономического развития в будущем временные функции могут быть экстраполированы и тем самым найдены прогнозные оценки динамики производства и отдельных факторов.
Зависимость может быть линейной и нелинейной (f(t) = a + bt - линейная;
В СНС выделяют четыре основных счета
- степенная;
В СНС выделяют четыре основных счета
- гиперболическая;
В СНС выделяют четыре основных счета
- показательная и др.; a и b – параметры функций). Следует помнить, что линейная зависимость обычно не рассматривается как очень глубокая для целей прогнозирования.
Экономико-математические модели. Факторные модели экономического роста. Моделирование экономического роста выполняет различные практические функции – аналитические, прогнозные, программные.
Модели экономического роста используются как теоретические аналоги прошлого и вероятного будущего развития.
В результате моделирования осуществляется поиск такой комбинации факторов экономического роста, которая позволит максимально сконцентрировать имеющиеся ресурсы и обеспечить наиболее высокий экономический рост.
Суть факторных моделей экономического роста состоит установлении количественных связей между объемом и динамикой производства ВВП и объемом и динамикой производственных ресурсов. В случае, когда в анализ и прогноз включен один вид производственных ресурсов (например, только основные производственные фонды, или только затраты труда), то результатом будет являться построение однофакторной модели, в случае рассмотрения нескольких видов производственных ресурсов – многофакторные модели.
Рассмотрим простейшие факторные модели, а затем перейдем к более сложным.
Простейшая однофакторная модель имеет вид:
Y = f (x),
где Y – физический объем конечного продукта;
x – физический объем конкретного типа производственных ресурсов.
Первичной формой взаимосвязи между Y и х является:
В СНС выделяют четыре основных счета
(1),
где a – эффективность фактора, неизменная для каждого времени t.
В приведенной функции предполагается, что эффективность a стабильна и равна среднему показателю. Если рассматривать уравнение (1) в динамике, то оно примет вид:
В СНС выделяют четыре основных счета
(2),
т.е. эффективность фактора меняется от периода к периоду. Причем уравнение (2) показывает, что повышение темпа прироста фактора на один пункт дает на один пункт ускорение темпа прироста самого производства конечного продукта.
Но такое допущение не всегда соответствует действительности. Поэтому уравнение (2) может быть модифицировано в функцию:
В СНС выделяют четыре основных счета
(3),
в результате получим, что увеличение фактора
В СНС выделяют четыре основных счета
в n раз дает увеличение
В СНС выделяют четыре основных счета
(объема выпуска) в
В СНС выделяют четыре основных счета
раз.
Если a 1, то эффективность фактора возрастает; если a 1 – эффективность фактора уменьшается.
Однофакторные модели экономического роста основаны на предположении, что физический объем ВНП (ВВП) и его динамика определяются объемом и динамикой какого-то одного фактора производства. Тем самым совокупный результат взаимодействия различных факторов приписывается лишь одному фактору. Недостаток такого подхода очевиден, хотя во многих случаях однофакторные модели дают хорошие результаты при сравнительно небольших затратах времени и средств.
Наиболее приемлемой для прогнозирования макроэкономических показателей является двухфакторная модель в форме производственной функции:
В СНС выделяют четыре основных счета

где
В СНС выделяют четыре основных счета
- два производственных фактора, например, производственные фонды и затраты труда, изменяющиеся во времени.
Параметры a и b характеризуют зависимость (эластичность) объема и динамики продукции (
В СНС выделяют четыре основных счета
) от объема и динамики факторов производства
В СНС выделяют четыре основных счета
, причем a характеризует прирост
В СНС выделяют четыре основных счета
, приходящийся на единицу прироста
В СНС выделяют четыре основных счета
(при
В СНС выделяют четыре основных счета
= const), а b - прирост
В СНС выделяют четыре основных счета
, приходящийся на единицу прироста
В СНС выделяют четыре основных счета
(при
В СНС выделяют четыре основных счета
= const). При этом должно выполняться условие a 0 и b 0. Параметр
В СНС выделяют четыре основных счета
отражает влияние не идентифицированных, т.е. не учтенных в модели факторов и меняющихся условий производства.
Метод дефляции. Дефилирование осуществляется через индексы цен и структуру производства. В частности при расчете прогнозного показателя ВВП используются индексы потребительских цен, оптовых (отпускных) цен, цен экспорта, импорта и прогнозируемые объемы производства. Сущность методики заключается в следующем. Расчет производится по этапам.
Вначале рассматривается реальный ВВП. Все отрасли экономики подразделяются на две группы: сельское хозяйство и несельскохозяйственные отрасли. Такое деление связано с сезонностью сельскохозяйственного производства и существенными колебаниями производства по кварталам. Определяются темпы изменения объема производства по сельскому хозяйству и прочим отраслям по кварталам. При этом используются прогнозные расчеты отраслевых министерств и ведомств.
Учитывая соотношение между сельскохозяйственными и несельскохозяйственными отраслями, темпы изменения объема производства по кварталам находят годовые темпы изменения объема производства. После этого производится расчет реального ВВП на прогнозируемый период по формуле:
В СНС выделяют четыре основных счета
,
где
В СНС выделяют четыре основных счета
– объем реального ВВП в прогнозируемом периоде;
В СНС выделяют четыре основных счета
- объем ВВП в базисном периоде;
В СНС выделяют четыре основных счета
- темпы изменения объема ВВП в прогнозируемом период по сравнению с базисным.
На втором этапе определяется номинальный ВВП по формуле:
В СНС выделяют четыре основных счета
.
В СНС выделяют четыре основных счета
(дефлятор ВВП) рассчитывается исходя из структуры использования ВВП (удельных весов конечного потребления, накопления, экспорта и импорта) и
В СНС выделяют четыре основных счета
(потребительских, оптовых (отпускных) цен, цен экспорт и импорта).
Прогноз дефлятора ВВП можно осуществлять следующим образом:
В СНС выделяют четыре основных счета
,
где
В СНС выделяют четыре основных счета
- прогнозируемый индекс цен;
В СНС выделяют четыре основных счета
- прогнозируемое количество продукции i в период t+1;
В СНС выделяют четыре основных счета
- цены продукции i соответственно в t+1 и t годах.
Сущность производственного, распределительного методов и метода конечного использования ВВП сводится к следующему.
Производственный метод. ВВП определяется как сумма добавленной стоимости путем вычета из прогнозируемого валового выпуска промежуточного потребления.
Валовой выпуск представляет собой стоимость произведенных товаров и услуг. В его состав включается производство промышленной и сельскохозяйственной продукции в стоимостном выражении, перевозка грузов, стоимость строительно-монтажных работ, производство других отраслей. В объем услуг включаются услуги оптовой торговли, материально-технического снабжения и заготовок, услуги связи, здравоохранения, культуры, науки, общественных организаций, органов государственного управления, обороны, услуги финансовых учреждений (банков, страховых компаний), пенсионное обеспечение, услуги различных организаций по обслуживанию предприятий и организаций, т.е. в валовой выпуск включается вся сумма произведенной продукции и услуг в стране.
В состав промежуточного потребления входят: используемая в производственном процессе продукция и материальные услуги (покупные и собственного производства); оплата нематериальных услуг; дополнительные расходы (командировочные расходы, спецодежда, спецпитание и т.д.); покупка продуктов питания и напитков гостиницами, ресторанами, кафе, медицинскими и учебными заведениями; расходы на текущий ремонт; питание и обслуживание военнослужащих; расходы на покупку военной техники. В состав промежуточного потребления включается оплата услуг финансовых посредников.
Распределительный метод. ВВП исчисляется как сумма доходов всех предприятий, учреждений и населения, занятых производством материальных благ и оказанием услуг: сумма первичных доходов (заработная плата, прибыль и другие доходы), перераспределенных доходов (проценты по вкладам, доходы от облигаций, дивиденды, поступления по социальному страхованию и др.) и амортизационные отчисления основных производственных и непроизводственных фондов.
Метод конечного использования ВВП. На прогнозируемый период ВВП рассчитывается по элементам использования: конечное потребление, валовое накопление и экспортно-импортное сальдо (разница между экспортом и импортом). Расчеты базируются на основополагающем уравнении Кейнса:
Y = C + G + I + (Е – М ).
Конечное потребление (C + G ) представляет собой сумму расходов на конечное потребление домашних хозяйств, органов государственного управления и некоммерческих организаций, обслуживающих домашние хозяйства. Расходы на конечное потребление домашних хозяйств включают: покупка товаров в государственном и кооперативном секторах, на колхозном рынке, у частных лиц и лиц, занятых индивидуальной трудовой деятельностью; покупка рыночных потребительских услуг; квартирную плату и оплату коммунальных услуг; оплату бытовых услуг; покупку путевок в санаторий, дома отдыха, пансионаты: платежи за услуги платных медицинских учреждений, расходы на приобретение билетов в кино, театры, зоопарки; оплату услуг транспорта и связи; оплату финансовых и юридических услуг; плату за обучение на курсах, занятия в кружках; торговую наценку на товары, приобретенные через комиссионные магазины; стоимость продуктов, произведенных домашними хозяйствами для собственного потребления.



    Экономика: Знания - Циклы - Макроэкономика