Булатов А. С. - Экономические потребности, блага и ресурсы

90% товаров было переведено на рыночную основу.


Однако эти позитивные моменты «шоковой терапии» оплачиваются, как правило, довольно дорогой ценой: резко снижается жизненный уровень населения, прежде всего его малообеспеченных и занятых в некоммерческой сфере слоев; сокращается инвестиционный спрос и, следовательно, капитальные вложения, особенно в производство; падает объем производства продукции, в первую очередь в отраслях промышленности, выпускающих потребительские товары, в результате общего сокращения платежеспособного спроса населения; растет безработица.
Классическим примером проведения «шоковой» финансовой стабилизации явилась Польша. В результате применения описанного выше комплекса мер дефицит госбюджета уменьшился с 6% ВВП в 1991 г. до 2,8% в 1993 г. Годовой прирост розничных цен снизился с 70,3% в 1991 г. до 35,3% в 1993 г. Однако доля безработных в экономически активном населении выросла с 6,5% в 1990 г. до 16,4% в 1993 г., а реальные доходы в расчете на душу населения за 19901993 гг. сократились на 32%.
Ввиду жесткости такой стабилизационной политики условиями ее проведения становятся: отсутствие иных способов остановить дальнейшее углубление экономического кризиса; поддержка (хотя бы пассивная) наиболее экономически значимых категорий населения; проведение этих мер политическим руководством, пользующимся доверием общества или, по меньшей мере, политически активных его слоев.
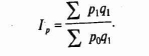
В странах, избравших градуалистскую модель, экономическая динамика не укладывается в описанную выше схему. В Китае, несмотря на некоторый рост инфляции, она никогда не достигала таких размеров, которые потребовали бы специальной стратегии финансовой стабилизации. Во Вьетнаме меры «шоковой терапии» были проведены в 1989 г. В обоих случаях рыночные реформы привели к немедленному ускорению роста производства (в Китае среднегодовой темп прироста ВВП в 90-е гг. составил 9%, а во Вьетнаме 7%).
3. Промежуточные итоги реформ в странах с переходной экономикой
Либерализация экономики Основные меры по либерализация экономики в странах Восточной Европы были проведены на протяжении весьма непродолжительного периода (19891991 гг.), когда были ликвидированы органы директивного централизованного планирования, материально-технического снабжения, отменена монополия внешнеэкономической деятельности и т.д.
В России основная часть перечисленных мероприятий по либерализации экономики пришлась на 19911993 гг.
Иначе сложились отношения государства и рынка в ходе экономических реформ в Китае. В основе проводимых в Китае экономических преобразований лежит идея о том, что в экономике должны сочетаться государственный план и рынок. Такое сочетание должно создать стимулы для повышения производственной активности и обеспечить высокие темпы развития народного хозяйства.
Вместе с тем в Китае до сих пор не решен вопрос об определении наиболее рационального соотношения между планом и рынком.
В результате проводимой с 1979 г. экономической реформы в Китае сформировалась двухсекторная модель экономики. Рыночные механизмы стали главными регуляторами в производстве потребительских товаров и в значительной степени охватывают производство инвестиционных товаров. Особенностью Китая является переплетение рыночных и административных методов регулирования в обоих секторах экономики.
Либерализация цен наиболее последовательно была проведена в Польше, где с января 1990 г. установление цен на 90% товаров было переведено на рыночную основу. В большинстве стран Восточной Европы и бывшего СССР в течение двух-трех лет после начала реформ сохранялось государственное регулирование цен на социально значимые товары и услуги (хлеб, квартирная плата, коммунальные услуги, транспортные тарифы), а в России и на энергоносители. И на последующих этапах реформ в этих странах в сфере государственного контроля остаются цены на 1020% производимых товаров и услуг.
В Китае переход к рыночному ценообразованию занял почти 15 лет. Правительство выбрало путь создания трехуровневой системы цен, при которой наряду с фиксированными государственными существуют плавающие (для них устанавливаются верхние и нижние пределы) и рыночные цены. Стратегия реформы заключалась в постепенном расширении сферы действия рыночных цен и сокращении доли фиксированных государственных цен.

Противоречия либерализации.
Несмотря на значительную либерализацию экономики в России, других странах СНГ, ЦВЕ, рыночные регуляторы еще не стали преобладающими в поведении экономических субъектов.
Своеобразным анклавом административно-командной системы, где переход к рыночным отношениям осуществляется с немалыми трудностями, остается повсеместно крупная государственная промышленность, а в России, Белоруссии и на Украине еще и сельское хозяйство. В этих отраслях не удалось радикально изменить хозяйственное поведение крупных предприятий (даже формально ставших частными), которые остаются «на плаву» не за счет эффективности своей работы, а вследствие прямого и косвенного субсидирования из госбюджета (см. гл. 32).
Хронически неэффективными остаются и многие крупные государственные промышленные предприятия Китая. В этой стране отвергается идея приватизации как средства повышения эффективности деятельности крупных и средних предприятий. Допускается лишь преобразование убыточных предприятий в акционерные общества с продажей части акций государственным и частным инвесторам, но при обязательном сохранении за государством контрольного пакета акций.

Преобразование отношений собственности В России, других странах СНГ, ЦВЕ приоритетным направлением рыночных реформ выступала приватизация. Повсеместно довольно быстро и без особых трудностей прошла «малая приватизация» передача малых и средних предприятий через аренду, продажу и реституцию (возвращение прежним владельцам собственности, национализированной после Второй мировой войны); эта последняя форма приватизации использовалась в странах ЦВЕ и Балтии.
Однако приватизация крупных государственных предприятий в странах ЦВЕ проходила с гораздо большими трудностями: местные граждане и коммерческие структуры не располагали достаточными средствами для их приобретения, а сами предприятия не вызывали особого интереса (устаревшее оборудование, чрезмерная занятость и др.).
Вместе с тем опыт преобразования отношений собственности в странах ЦВЕ показал, что для успешного хода рыночных реформ создание новых частных предприятий и изменение условий хозяйствования важнее, чем переход в частные руки старых государственных предприятий. Дело в том, что бывшие государственные предприятия, даже формально став частными, долго не могут освоить рыночную модель поведения, тогда как вновь возникшие частные фирмы сразу начинают действовать по рыночным правилам.
Банковская система в странах ЦВЕ была сознательно слабо приватизирована. Это позволяло государству сохранять контроль за финансовыми и расчетными операциями предприятий, успешнее осуществлять урегулирование неплатежей. Государственные органы в странах ЦВЕ продолжали контролировать слияние и поглощение банков, образование банковских консорциумов.
В Китае приватизация, напротив, отвергается. В 1992 г. был взят курс на создание смешанной формы собственности, при которой общественная собственность и дальше будет играть доминирующую роль. При этом допускается «совместное развитие различных секторов экономики» и их «добровольное хозяйственное объединение в самых разнообразных формах».
Ахиллесовой пятой китайской экономики остается низкая эффективность государственного сектора. Единственным реальным выходом для нерентабельных производств считается акционирование государственной собственности, привлечение иностранного капитала, слияние с успешно работающими государственными предприятиями.
Опыт стран с переходной экономикой приводит к выводу о том, что не столько форма собственности, сколько характер управления предприятиями и наличие конкурентной среды определяют уровень их экономической эффективности и темпы роста производства.
Китай и Россия наглядно показали, что конкуренция более важна для успешного экономического развития, чем смена форм собственности. Китай расширил сферу конкуренции без приватизации государственных предприятий. В России произошла приватизация преобладающей части экономики, но формирование конкурентной сферы проходит довольно медленно. Китай пережил небывалый экономический рост, а Россия глубокий спад. Возможное объяснение этих явлений заключается в том, что при приватизации возникают огромные рентные доходы, вследствие чего предприниматели предпочитают получать контроль над приватизируемыми предприятиями, а не осуществлять инвестирование в создание собственных фирм и тем самым стимулировать рост производства.
Напротив, в результате поощрения конкуренции уменьшаются рентные доходы и увеличиваются стимулы к росту производственной деятельности.
На начальном этапе реформ одной из центральных задач являлось достижение финансовой стабилизации и особенно подавление инфляции. Почти все страны с переходной экономикой (кроме Китая и Вьетнама) были вынуждены прибегать к резким и болезненным для народного хозяйства и населения мерам «шоковой терапии». Успешная финансовая стабилизация наряду с формированием рыночных институтов создает возможности для перехода к экономическому росту. В странах ЦВЕ в основном завершился начальный этап перехода к рынку, в ходе которого в той или иной степени были решены задачи либерализации, институциональных преобразований и финансовой стабилизации.
Экономический спад в странах ЦВЕ оказался относительно непродолжительным (19901993 гг.) и не очень глубоким до 2025% ВВП, а с 19931994 гг. сменился ростом. Уже в 1997 г. Польша и Словения на 25% превысили объем ВВП 1990 г., а Венгрия, Словакия и Чехия вплотную приблизились к дореформенному уровню ВВП. Страны члены СНГ, позднее вступившие на путь преобразований, смогли в определенной мере решить проблемы либерализации и стабилизации, но не реализовали еще значительную часть институциональных реформ.



Административно-правовые средства


Из высших целей госрегулирования вытекают различные ц е л и в т о р о г о п о р я д к а . К ним можно отнести, например, создание благоприятных институциональных условий для увеличения прибыли и развертывания конкуренции, стимулирование умеренного (в соответствии с имеющимися ресурсами) экономического роста, непрерывную модернизацию производственного аппарата в соответствии с требованиями научно-технической революции, сглаживание экономического цикла, обеспечение социально приемлемого уровня занятости самодеятельного населения, предотвращение и нивелирование чрезмерных различий в доходах, поддержание высокой конкурентоспособности национальных производителей на мировом рынке, поддержание внешнеэкономического равновесия (т.е. обеспечение бездефицитности платежного баланса или по меньшей мере терпимого дефицита), удовлетворительное состояние окружающей среды.
Из целей первого и второго порядка вытекают ц е л и т р е т ь е г о п о р я д к а и т.д. Число таких целей неопределенно. Причем в каждой стране одни из них появляются, а другие уходят в небытие по мере их достижения или вследствие обнаруживающейся их недостижимости.
Некоторые из них отходят на задний план, а затем вновь становятся актуальными.
2. Средства государственного регулирования экономики В условиях развитой рыночной экономики государство для реализации отмеченных выше и других целей использует целый набор средств как экономического, так и неэкономического характера. К ним относятся следующие инструменты (термины «средство» и «инструмент» в экономической теории и практике равнозначны и далее используются как синонимы).

Административно-правовые средства
Эти средства нацелены на формирование основ экономического строя. Так, все страны с развитой рыночной экономикой обладают весьма многогранным и совершенным х о з я й с т в е н н ы м п р а в о м , которое последовательно претворяется в жизнь. Попытки обойти его, например, в сфере имущественных отношений или налогов, строго преследуются по закону. Правда, и в развитых странах экономические преступления широко распространены, но с ними государство ведет бескомпромиссную борьбу.
Продукт теневой экономики в этих странах составляет от 4 до 13% ВВП. Это, конечно, немало, но существенно меньше, чем в других частях мира.
Ведущую роль в хозяйственном праве стран с развитой рыночной экономикой играют принимаемые парламентами законы, в деталях регулирующие даже мелкие вопросы хозяйственной жизни. В целом в законодательстве развитых стран особенно четко прописаны вопросы имущественных (владение, пользование, распоряжение, наследование, аренда, залог, банкротство и др.), рыночных (права и обязанности продавцов и покупателей, условия конкуренции, противодействие олигополиям и монополиям) и налоговых отношений.
А д м и н и с т р а т и в н ы е с р е д с т в а чрезвычайно многочисленны и разнообразны. Они применяются на уровне не столько центральных (федеральных) правительств, сколько штатов и земель (в федеративных государствах), провинций и регионов (в унитарных государствах), а также местных (муниципальных) органов.
К данной категории относятся, прежде всего, различного рода р а з р е ш е н и я (в том числе в форме соответствующих л и ц е н з и й ) и з а п р е т ы. Весьма типичный пример применяемые во всех странах Запада разрешения и запреты на новое промышленное строительство в определенных агломерациях вокруг крупных городов и районах по градостроительным, экологическим и другим соображениям.
Наконец, к административным средствам относятся различного рода с т а н д а р т ы и н о р м ы , которые нередко находятся на стыке экономики, техники и экологии (например, максимально допустимые нормы содержания тех или иных вредных веществ в пищевых продуктах или выбросов вредных веществ в атмосферу и окружающую среду в целом).
Наряду с административно-правовыми в госрегулировании на Западе используются э к о н о м и ч е с к и е с р е д с т в а: финансовые и денежно-кредитные, а также государственная собственность и внешнеэкономический инструментарий. Последние в отличие от первых воздействуют не на рамочные условия хозяйствования (экономический строй), а на протекание процесса воспроизводства в народном хозяйстве, на темпы и пропорции (отраслевые, региональные и др.) этого процесса.

Государственные финансы
Важнейшим средством госрегулирования во всех странах Запада выступают государственные финансы, т.е. средства, связанные с формированием и использованием госбюджета и централизованных («полугосударственных») фондов социального страхования,, через которые перераспределяется от 1/3 до 1/2 ВВП развитых стран (подробнее см. гл. 27). Речь идет о пенсионном, медицинском страховании и страховании на случай утраты занятости.
После Второй мировой войны государственные финансы стали активно применяться для целенаправленного воздействия на темпы и пропорции экономического развития, для сглаживания циклических колебаний. Антициклическое налоговое регулирование включает в себя применение ряда средств: маневрирование ставками налогов на доходы и прибыль (для изменения величины инвестиций и потребительского спроса); введение (отмену) налоговых льгот и ускоренных амортизационных списаний; изменение правил и сроков выплаты налогов (например, установление предварительной выплаты налогов в фазе циклического подъема, чтобы ограничить спрос, или, напротив, откладывание сроков выплаты налогов в фазе кризиса, чтобы стимулировать спрос).
Средства расходных статей государственного бюджета используются для предоставления частному бизнесу субсидий, льготных займов и гарантий по частным кредитам с целью стимулирования предпринимательской деятельности и соответственно экономического роста. Эти средства служат также источником закупок промышленной и сельскохозяйственной продукции. Кроме того, они используются для проведения отраслевой и региональной структурной политики, содействия подготовке и переподготовке рабочей силы соответствующей квалификации и стимулирования научно-исследовательских и опытно-конструкторских работ (НИОКР).

Денежно-кредитный инструментарий Вторым по значению средством госрегулирования является денежно-кредитный инструментарий (см. подробнее гл.23). Денежно-кредитная политика включает в себя следующие основные элементы:
а) маневрирование учетной ставкой центрального (государственного) эмиссионного банка (ЦБ), т.е. изменение процента, взимаемого ЦБ при приобретении коммерческих векселей у частных банков. Это влияет на общий уровень ссудного процента, ибо частные банки взимают процент, как правило, превышающий на 1 1,5 процентных пункта учетную ставку ЦБ;
б) изменение нормы минимальных резервов, т.е. процентного отношения денежных фондов, которые коммерческие банки должны отвлекать от проводимых ими операций и хранить на своих беспроцентных счетах в ЦБ, к величине текущих и долгосрочных вкладов в этих банках;
в) операции на так называемом открытом рынке, т.е. акты купли-продажи государственных ценных бумаг (казначейских векселей, облигаций и др.), совершаемые между ЦБ и частными банками.
При помощи денежно-кредитного инструментария государство в лице ЦБ влияет на объем денежной и кредитной массы, величину ссудного процента и тем самым на темпы и пропорции воспроизводства капитала.
Во всех западных странах центральные банки, хотя их уставные капиталы целиком или большей частью принадлежат государству, не находятся в прямом подчинении правительствам или парламентам и выступают как относительно независимые агенты, отвечающие за твердость и стабильность национальных валют.
Степень независимости ЦБ определяется целым рядом факторов, прежде всего следующими:
возможностью для руководства ЦБ действовать самостоятельно, не подчиняясь указаниям извне;
правилами назначения и снятия с должности руководящих сотрудников, сроком их полномочий;
правилами урегулирования конфликтов между ЦБ и другими государственными органами, особенно правительством;
возможностью для ЦБ по правовым или иным соображениям отказаться от покрытия дефицита госбюджета путем предоставления кредита правительству.
По степени независимости ЦБ в западной литературе экспертами обычно выстраивается следующая цепочка: Швейцария, Германия, Австрия, США. Наименее независимыми считаются центральные банки Норвегии, Японии, Бельгии, Испании и Италии.

Государственная собственность
Государственная собственность (см. 3.2) также используется для воздействия на темпы и пропорции экономического развития.
В марксистской, прежде всего советской, литературе госсобственность объединялась понятием «государственный сектор», который создавал иллюзию существования находящегося в руках государства и управляемого им из единого центра интегрированного хозяйственного комплекса, играющего если не определяющую, то «содетерминирующую» роль в национальной экономике капиталистических стран. Причем этот сектор нередко рассматривался как некая альтернатива частному бизнесу в духе представлений о «предпосылках социализма» в рамках «государственно-монополистического капитализма».
В действительности такой сектор, построенный на чисто капиталистической основе как временная подпорка частному капиталу, в 50-е гг. существовал лишь во Франции, Австрии, Великобритании и Италии. В других же странах государственная собственность всегда была более или менее разрозненной, формировала в национальном хозяйстве множество анклавов, но никак не единый сектор. Эти анклавы находились в разных отраслях и регионах, не имея между собой четкой системы связей.



Активный рост монополий с конца XIX в.


Для компаний многих стран производство товаров и услуг за рубежом уже стало важнейшим способом работы на внешнем рынке. ТНК США и Японии реализовали таким способом соответственно 1/2 и 1/4 всей продаваемой ими за рубежом продукции.
В табл. 35.1 приведены данные, характеризующие масштабы международного движения капитала.


Таблица 35.1. Масштабы и география международного движения капитала (по данным платежных балансов), млрд долл.





Активный рост монополий с конца XIX в.





Активный рост монополий с конца XIX в.


2. Теории международного движения капитала Почему вывозится и ввозится капитал? На этот простой, казалось бы, вопрос пытались и пытаются ответить многие теории, прежде всего так называемые традиционные. Под ними обычно понимают неоклассическую и неокейнсианскую теории международного движения капитала; к ним же можно отнести и марксистскую теорию.

Неоклассическая теория Неоклассическая теория развивалась в рамках классической теории международной торговли. Так, одной из ее основ является рикардианский принцип сравнительных преимуществ в международной торговле. Опираясь на этот принцип, один из классиков экономики, англичанин Дж.С. Милль в XIX в. впервые в мире начал разрабатывать вопросы движения капитала между странами.
Вслед за Д. Рикардо он показал, что капитал движется между странами из-за разницы в норме прибыли, которая в наиболее богатых капиталом странах имеет тенденцию к понижению. Причем Милль подчеркивал, что перепад в нормах прибыли между странами должен быть существенным, чтобы покрыть еще и риск, который иностранный инвестор имеет в чужой стране.
Окончательно неоклассическую теорию международного движения капитала сформулировали в первые десятилетия ХХ в. Э. Хекшер и Б. Олин, Р. Нурксе и К. Иверсен.
Так, Э. Хекшер в рамках своей концепции, опираясь на теорию предельной полезности, сформулировал тезис о тенденции к международному равновесию цен на факторы производства. Эта тенденция пробивает себе дорогу как через международную торговлю, так и через международное движение факторов производства, чья стоимость и количественное соотношение в разных странах неодинаковы.
Б. Олин в своей концепции международной торговли показал, что движение факторов производства объясняется разным спросом на них в разных странах: они движутся оттуда, где их предельная производительность низка, туда, где она высока. Для капитала предельная производительность определяется прежде всего процентной ставкой. Но при этом один указывал на дополнительные моменты (помимо разницы в процентных ставках), которые воздействуют на международное движение капитала: таможенные барьеры (мешают ввозу товаров и тем самым подталкивают зарубежных поставщиков на ввоз капитала для проникновения на рынок), стремление фирм к географической диверсификации капиталовложений, политические разногласия между странами, риск зарубежных инвестиций и их деление на этой основе на безопасные и рискованные.
Р. Нурксе создал различные модели международного движения капитала и пришел к выводу, что в стране с быстро растущим экспортом товаров быстро увеличивается спрос на капитал и она его преимущественно импортирует (и наоборот).
К. Иверсен показал, что разные виды капитала имеют различную международную мобильность (прежде всего из-за издержек перевода капитала, т.е. трансакционных) и этим объясняется тот факт, что одна и та же страна может активно вывозить и ввозить капитал. Иверсен сформулировал и вывод о том, что перевод капитала из страну, где его предельная производительность низка, в страну с более высокой его производительностью означает более эффективную комбинацию факторов производства в обеих странах и увеличение их совокупного национального дохода.

Неокейнсианская теория
Эта теория, как и неоклассическая, базируется на макроэкономическом анализе. В этом главный недостаток обеих теорий, так как они не исследуют поведение индивидуальных инвесторов.
Особый интерес неокейнсианская теория проявляет к связи между движением капитала и состоянием платежного баланса страны. Сам Кейнс исходил из того, что движение капитала вообще возникает из неравновесия платежных балансов разных стран. В полемике с Олином он подчеркивал, что вывоз капитала из страны осуществляется, когда экспорт товаров и услуг превышает их импорт, а при нарушении этого правила необходимо вмешательство государства.
Р. Харрод в своей модели «экономической динамики» подчеркивает, что чем ниже темпы экономического роста страны, богатой капиталом, тем сильнее тенденция к вывозу последнего из нее.
Неокейнсианская теория стала одной из основ так называемой политики помощи развитию государств Африки, Азии и Латинской Америки со стороны стран с рыночной экономикой. Ведь согласно этой теории экспорт капитала в развивающиеся страны стимулирует деловую активность как в странах-экспортерах, так и в странах-импортерах. Однако поскольку этому вывозу мешают сильный риск и другие препятствия во многих развивающихся странах, западным правительствам необходимо поощрять этот экспорт капитала, в том числе за счет вывоза государственного капитала.

Марксистская теория и ее эволюция
К. Маркс обосновывал вывоз капитала избытком его в стране, экспортирующей капитал. Под избытком капитала он (вслед за классиками экономики) понимал такой капитал, применение которого в стране вело бы к понижению нормы прибыли. Избыточный капитал выступает в трех формах: товарной, производительной (избыточные производственные мощности и рабочая сила) и денежной.
Через товарный экспорт и экспорт капитала этот избыток (реальный или потенциальный) вывозится за рубеж. Подобная возможность появляется после втягивания большинства стран в орбиту мирового капитализма и создания в них предварительных условий (прежде всего производственной инфраструктуры, хотя часто сам иностранный капитал и создает эту инфраструктуру). Активный рост монополий с конца XIX в. стимулировал вывоз капитала, и поэтому В. И. Ленин даже назвал вывоз капитала одним из главных признаков современной стадии капитализма, его типичной чертой.
Последующие поколения экономистов-марксистов, не отходя от постулата избытка капитала, выделили еще несколько причин его экспорта (иногда называя их условиями): растущая интернационализация производства, усиливающееся соперничество монополий, повышение темпов развития (что ведет к усилению зарубежного спроса на капитал со стороны как развивающихся, так и экономически развитых стран). Ряд экономистов марксистской школы подчеркивали, что ускорение темпов развития после Второй мировой войны в индустриальных странах увеличило финансовые и организационные возможности монополий для экспорта капитала из этих стран, несмотря на отсутствие тенденции нормы прибыли к понижению. Однако идея Маркса о главной причине экспорта капитала осталась основополагающей в марксистской теории.

Современные концепции ТНК
Теоретическая экономика много внимания уделяет транснациональным корпорациям, и в первую очередь из-за их бурного роста во второй половине ХХ в. Первоначально ТНК изучались в рамках теории фирмы, затем стали разрабатываться самостоятельные концепции. В основе их лежат прежде всего идеи американских экономистов С. Хаймера о необходимости для фирмы иметь преимущества перед местными конкурентами при осуществлении прямых инвестиций за рубежом и Р. Коуза о наличии специфического рынка внутри крупной корпорации, а также Р. Вернона, который в своей концепции жизненного цикла продукта объяснял феномен ТНК в первую очередь стремлением национальных монополий нанести своим зарубежным конкурентам как бы упреждающий удар.
На марксистскую концепцию ТНК оказал воздействие Дж. Гэлбрейт, который считает, что генезис ТНК обусловлен технологическими причинами: современная продукция более сложная, чем в XIX в., и ее сбыт и обслуживание за рубежом требуют от фирм создания там товаре- и услугопроводящей сети. Марксистская концепция сводится к тому, что ТНК это прежде всего результат наложения процесса капиталистической концентрации и централизации на процесс интернационализации производства.
Главная черта ТНК это наличие у них зарубежного производства товаров и услуг, т.е. прямых инвестиций. Поэтому в рамках концепций ТНК разработано немало моделей прямых инвестиций, наиболее известными из которых являются следующие.
1. Модель монополистических преимуществ. Эта модель была разработана С. Хаймером и далее развита Ч.П. Киндлебергером, Р.Е.
Кэйвзом, Г.Дж. Джонсоном, Р. Лакруа. Она базируется на идее, что иностранный инвестор находится в менее благоприятной ситуации по сравнению с местным: он хуже знает рынок страны и «правила игры» на нем, у него нет здесь обширных связей, он несет дополнительные транспортные издержки и больше страдает от рисков. Поэтому ему нужны дополнительные, так называемые монополистические преимущества перед местным конкурентом, за счет которых он мог бы получить более высокую прибыль.
Это премия за инвестиционный риск (о котором писал Б. Олин), получаемая в силу преимуществ, возникающих в ходе монополистической конкуренции (ее теорию разработал Э. Чемберлин).
Для иностранного инвестора монополистические преимущества возможны за счет использования несовершенной конкуренции на местных товарных рынках (если у него оригинальный продукт) и на рынках ресурсов (при наличии у иностранной фирмы совершенной технологии, легкого доступа к кредиту, большого предпринимательского опыта); преимуществ в масштабах (за счет чего возможно получать большую массу прибыли); благоприятного государственного регулирования иностранных инвестиций (особые льготы иностранному капиталу) и др.



Амортизационные отчисления включаются в издержки


  1. Анализ обновления, выбытия и износа основных фондов, которые характеризуются соответствующими коэффициентами:

КОБН = ФВВЕД .100; (17.2)
ФК

КВЫБ = ФЛИКВ .100; (17.3)
ФН

где КОБН и КВЫБ к о э ф ф и ц и е н т ы соответственно о б н о в л е н и я и в ы б ы т и я , %; ФВВЕД и ФЛИКВ , стоимость соответственно введенных и ликвидированных основных фондов (за год), руб.; ФК и ФН стоимость основных фондов соответственно на конец и начало года, руб.
В 1997 г. коэффициент обновления в России составил 1,4 1(в 1970 г. - 10,2; в 1980 г. - 8,2; в 1990 г. - 5,8), а коэффициент выбытия равнялся 1,0 (в 1970 г.-1,7; в 1980 г.1,5; в 1990 г. 1,8).
Причем при анализе важны не только величины каждого из этих коэффициентов, но и разница между ними. Например, при высоком коэффициенте обновления и низком коэффициенте выбытия на фирме возрастает доля старых фондов (как это и происходило в нашей стране в 7080-х гг.). При противоположном сочетании объемы основных фондов сокращаются (что и происходит в России в 90-е гг.).
К о э ф ф и ц и е н т и з н о с а это доля в основных фондах тех фондов, возраст которых превышает нормативные сроки. Так, на конец 1998 г. износ основных фондов в России составил 41%, в 1, том числе в промышленности 52% (в 1970 г. 26%; в 1980 г. 36; в 1990 г.-46).
4. Анализ эффективности использования основных фондов, который характеризуется целым рядом коэффициентов, в том -числе такими, как:
ф о н д о о т д а ч а , рассчитываемая по формуле:
=Q (17.4)
Ф
где фондоотдача, руб/руб.; Q стоимость выпущенной продукции, руб.; Ф среднегодовая стоимость основных фондов, руб.;
к а п и т а л о е м к о с т ь основного капитала, исчисляемая по формуле:

Ке=КОСН (17.5)
Ср

где Ке капиталоемкость, руб/руб.; К ОСН стоимость основного капитала, руб.; Ср себестоимость произведенных и реализованных товаров и услуг, руб.

Амортизация основного капитала Вышеупомянутый износ основного капитала может быть физическими моральным. Физический износ состоит в том, что элементы основного капитала изнашиваются и поэтому их стоимость снижается. Моральный износ заключается в том, что стоимость основных фондов снижается из-за появления более совершенных фондов, а также из-за более низких издержек на их производство.
Процесс физического и морального износа основного капитала называется его амортизацией.
Другое значение термина «амортизация» это стоимостная оценка износа основного капитала за определенный период времени. На основе этой оценки происходит ежегодное списание части стоимости основных фондов, так называемые амортизационные отчисления. Они поступают в амортизационный фонд, который служит для возмещения износа основного капитала.
Владельцы основах фондов осуществляют амортизационные отчисления согласно утверждаемым для всей страны нормам амортизационных отчислений по балансовой стоимости основных фондов.
Расчет размеров амортизационных отчислений, или списаний, производится по формуле:

А=Кn Ko , (17.6)
T

где А размер ежегодных амортизационных отчислений, руб.;
Kn первоначальная стоимость основного капитала, руб.;
Ko остаточная стоимость основного капитала на момент его предполагаемого выбытия из эксплуатации, руб.;
Т срок службы вещественных носителей основного капитала, годы.

Ежегодные амортизационные отчисления включаются в издержки производства. Поэтому предприниматели в принципе заинтересованы в увеличении списаний в амортизационный фонд, так как эти средства более выгодно, чем прибыль, использовать для финансирования инвестиций: с них не надо платить налогов.
Особый интерес к размерам амортизационных отчислений и у государства. Слишком маленькие амортизационные отчисления это недостаточный в национальных масштабах фонд для капиталовложений.
В современных условиях амортизационные отчисления главный источник финансирования капитальных вложений в развитых странах. Поэтому государство часто разрешает фирмам ускоренную амортизацию, позволяющую на основе высоких норм амортизационных отчислений списывать стоимость основных фондов быстро, за несколько лет. Обычно ускоренная амортизация разрешается для активной части основных фондов.
Однако это может иметь следствием не только быстрое обновление основного капитала, но и увеличение той части издержек производства, которая приходится на амортизационные отчисления.
3. Оборотный капитал К оборотному капиталу, если иметь в виду его экономическое определение, относят сырье, топливо, энергию, материалы, полуфабрикаты, незавершенное производство, запасы готовой продукции, товары для перепродажи. Если брать бухгалтерское определение оборотного капитала, то к перечисленному следует добавить средства в расчетах с поставщиками и покупателями, денежные средства в кассе предприятия и расходы на заработную плату. Далее речь будет идти о бухгалтерском определении.


Оборотный капитал (оборотные активы) и себестоимость
Если сравнивать по величине оборотный капитал с основным, то в большинстве фирм и отраслей первый намного меньше второго. Тем не менее оборотный капитал в соответствии со своим названием оборачивается в хозяйственной жизни намного быстрее основного. В результате его вклад в себестоимость продукции обычно намного выше, чем вклад основного капитала. Ведь основной капитал переносит свою стоимость на изготавливаемую продукцию в течение нескольких лет частями (через амортизацию), а оборотный капитал не более года.
В российской промышленности в 1997 г. структура затрат (себестоимости) выглядела так, %: амортизация 8, материальные затраты 61, заработная плата и отчисления на социальные нужды 17, прочие расходы 14.
Отсюда понятно, почему на фирмах так велико стремление к снижению материалоемкости, в том числе энергоемкости, металлоемкости и т.д.

Анализ оборотного капитала Под м а т е р и а ло е м к о с т ю понимают отношение затрат сырья, топлива, энергии, материалов и других предметов труда к стоимости произведенной продукции:

=M .100 (17.7)
Q

где материалоемкость, %; М стоимость использованного сырья, топлива, энергии, материалов и полуфабрикатов, руб.; Q стоимость выпущенной продукции, руб.

Вариантами этого показателя могут быть э н е р г о е м к о с т ь , м е т а лл о е м к о с т ь и др.
При финансовом анализе эффективности использования оборотного капитала применяют и другие показатели (коэффициенты), в том числе:
оборачиваемости оборотного капитала (оборотных средств)

Oб=Qp (17.8)
Коб


где Об к оэ ф ф и ц и е н т о б о р а ч и в а е м о с т и о б о р о т н о г о к а п и т а л а (о б о р о т н ы х с р е д с т в), раз; Qp объем реализованной продукции; Коб среднегодовая стоимость оборотного капитала (оборотных средств). Хотя этот показатель сильно колеблется в зависимости от отрасли, тем не менее он показывает, сколько раз в год совершается экономический кругооборот на предприятии;
текущей ликвидности (коэффициент покрытия)


Л=Коб (17.9)
Окр

Где Лкоэффициент текущей ликвидности (коэффициент покрытия); Коб среднегодовая стоимость оборотного капитала (оборотных средств); Окр краткосрочные обязательства предприятия. Текущая ликвидность отражает, достаточно ли у фирмы средств, которые могут быть использованы ею для погашения (покрытия) своих краткосрочных обязательств в течение предстоящего года (краткосрочных займов и кредитов, кредиторской задолженности).
Если сопоставить только денежные средства фирмы с ее краткосрочными обязательствами, то получим коэффициент абсолютной ликвидности. По нему оценивают возможность фирмы заплатить сразу по всем краткосрочным обязательствам.
4. Оценка капитала На практике перед каждым предпринимателем часто встает вопрос: какова реальная рыночная стоимость его капитала (фондов, активов)? Оценка предприятия (фирмы) представляет собой мнение или расчет стоимости конкретно определенного объекта собственности на заданный момент времени. На профессиональном языке оценщиков этот процесс часто называется «оценка бизнеса».
При определении стоимости нередко используется понятие так называемой обоснованной рыночной стоимости, т.е. цены, по которой собственность переходит из рук продавца, желающего ее продать, в руки покупателя, желающего ее купить.
Существует три основных подхода к оценке предприятия: доходный, рыночный и затратный. Д о х о д н ы й п о д х о д основывается на оценке будущих доходов от оцениваемого предприятия. В соответствии с р ы н о ч н ы м п о д х о д о м стоимость оцениваемого предприятия определяется методом анализа продаж аналогичных или сопоставимых объектов, т.е. методом сравнения.
З а т р а т н ы й п о д х о д предусматривает, что стоимость оцениваемого предприятия может быть определена на основе анализа затрат, необходимых для воспроизводства или замены собственности за вычетом морального и физического износа. Важно подчеркнуть, что все три подхода не только не исключают друг друга, но и взаимосвязаны.

Доходный подход
В доходном подходе, который является наиболее распространенным, используются два основных метода: капитализации дохода и дисконтирования будущих доходов (дисконтирования денежного потока). Суть метода капитализации дохода состоит в том, что рыночная стоимость объекта прямо пропорциональна денежному доходу и обратно пропорциональна ожидаемой ставке капитализации, или, иначе, ожидаемой ставке дохода:



Анализ внешних активов и обязательств страны: пример России


Невозврат экспортной выручки и товаров под импортные авансы в 19961998 гг. оставался на уровне 8,611,5 млрд долл. в год, а объем наличной иностранной валюты за этот же период в экономике России увеличился на 21 млрд долл., что превышает объем вложений нерезидентов в ГКООФЗ.
Когда сформировался рынок ГКО и доходность по этой рублевой ценной бумаге превысила в несколько раз доходность по активам в иностранной валюте, практически прекратилось увеличение средств российских резидентов в иностранной валюте на текущих счетах и депозитах.
Баланс движения средств по предоставленным кредитам в 1994 1998 гг. был традиционно положителен, и изменялась только его величина. Это объясняется значительным превышением графика погашения основного долга нашими должниками в секторе государственного управления над предоставлением новых кредитов.
По привлеченным кредитам в секторе государственного управления баланс положителен и задан графиком погашения, объемом перенесенных сумм и вновь привлеченных кредитов, необходимых для финансирования дефицита бюджета и платежного баланса.
Резервные активы претерпели значительные колебания: в 1995 г. они возросли на 10,4 млрд долл., а в 1998 г. сократились на 5,3 млрд долл. В целом объем резервов оставался на недостаточно высоком уровне и не мог быть серьезным источником финансирования текущих или капитальных операций.
Большое отрицательное сальдо по статье «Чистые ошибки и пропуски» означает, что остается неучтенным значительный объем вывезенного капитала. Это можно объяснить несовершенством статистической и информационной базы платежного баланса России. Основные направления ее совершенствования очевидны: более полный учет движения наличной валюты, операций в рамках «челночной» торговли, введение более жесткой системы таможенно-валютного учета и контроля по импортным товарным операциям и по экспортно-импортным операциям в сфере услуг.
3. Анализ внешних активов и обязательств страны: пример России Стандартные компоненты платежного баланса используются и для определения м е ж д у н а р о д н о й и н в е с т и ц и о н н о й по з и ц и и с т р а н ы, которая представляет собой статистический отчет о величине ее внешних активов и обязательств на начало и конец отчетного периода.
В качестве основных классификационных групп, используемых для определения чистой инвестиционной позиции страны,выступают внешние активы и обязательства резидентов, разность между которыми и дает искомую величину.
Международная инвестиционная позиция содержит информацию, имеющую важное значение для анализа экономического состояния страны. Чистая международная инвестиционная позиция страны характеризует состояние и тенденции развития ее внешнеэкономических связей с остальными странами мира. В зависимости от того, положительна или отрицательна эта позиция, можно говорить, является ли страна «чистым кредитором» или «чистым должником».
В целом анализ показателей платежного баланса и международной инвестиционной позиции имеет важное значение при выработке экономической политики страны, например, при разработке и практическом осуществлении программ экономической стабилизации, оценке потребности в финансировании, связанном с реализацией таких программ.
До настоящего времени официально публикуемая статистика по международной инвестиционной позиции России в целом отсутствует. Центральный банк РФ с 1996 г. начал публиковать данные по международной инвестиционной позиции без учета Внешэкономбанка России, который является агентом правительства по обслуживанию внешнего долга и ведет учет всех связанных с ним категорий активов и пассивов.
Чистая инвестиционная позиция только банковского сектора не позволяет судить о чистой инвестиционной позиции страны в целом, так как остается ряд неизвестных параметров. Кроме того, неучтенный за последние пять лет нелегальный вывоз капитала значительно осложняет реальную ситуацию с определением международной инвестиционной позиции России.
Отсутствие ясности в вопросе о накопленных внешних активах объясняется незавершенностью процесса переоформления долговых обязательств развивающихся стран перед бывшим СССР на Россию. В настоящее время общая сумма задолженности иностранных государств по предоставленным в рамках межправительственных соглашений кредитам приближается к 100 млрд руб., что в пересчете по курсу Госбанка СССР, котируемому Банком России для платежно-расчетных и торговых соглашений бывшего СССР, составляет более 150 млрд долл. Следует, однако, отметить условность такого пересчета, поскольку кредиты предоставлялись в рублях, переводных рублях, свободно конвертируемой валюте (СКВ) и товарными поставками и услугами на клиринговой основе, а проблема признания курса Госбанка СССР до настоящего времени еще не урегулирована с некоторыми странами-должниками.
Из имеющихся в настоящее время 57 стран-должников на долю 18 государств приходится 94% общей суммы задолженности, в том числе на Кубу 18,4%, Монголию 11,4, Вьетнам 10,6, Индию 8,7, Сирию 7,6, Афганистан 5,5, Ирак 3,9%, Эфиопию 3,6%. Из общего количества стран-должников в той или иной степени выполняют свои долговые обязательства менее 1/3 государств, а общий объем фактических платежей не превышает 1520% от причитающихся по графику.
Исходя из мировой практики, долгц многих государств, относящихся по классификации ООН к категории наименее развитых стран, считаются невозвратными. Поэтому с точки зрения перспектив погашения значительная часть долгов иностранных государств России может быть отнесена к разряду безнадежных, так как большую группу стран-должников России составляют развивающиеся государства Африки, из которых одни практически не приступали к обслуживанию своего долга, а другие имеют высокий удельный вес просроченной задолженности. Невыплата России части существующих долгов ряда развивающихся государств-должников объясняется также военно-политическим характером кредитных отношений с бывшим СССР.
Реальная рыночная стоимость активов бывшего СССР в СКВ по различным экспертным оценкам не превышает 30 млрд долл., что значительно меньше внешних обязательств России.
Несколько яснее ситуация с внешним долгом России зарубежным странам. В 1994 г. общий объем ее внешних обязательств (включая долг бывшего СССР) составлял 120 млрд долл. Платежный баланс позволяет подсчитать, что к концу 1998 г. внешние обязательства России увеличились более чем на 30 млрд долл. только по линии государственных органов управления.
Из 103,0 млрд долл. долга бывшего Советского Союза, сложившегося на конец 1995 г., 40,4% Парижскому клубу (объединяет страны-кредиторы), 32,0% Лондонскому клубу (объединяет банки-кредиторы). Принимая во внимание близость сроков погашения данных обязательств (их основная масса должна была быть погашена в 19921995 гг.) и отсутствие достаточных резервов иностранной валюты, правительство было вынуждено искать способы реструктуризации данного долга. Первым шагом по достижению данной цели явилась серия временных соглашений с Парижским клубом кредиторов, а затем последовало соглашение по полной реструктуризации долга, заключенное в 1996 г. По этому соглашению 45% задолженности будет выплачено в течение 25 лет, тогда как оставшиеся 55% в течение последующих 21 года.
В обоих случаях реструктурированные основные части долгов должны погашаться постепенно увеличивающимися платежами, начиная с 2002 г. Также было достигнуто соглашение о полной реструктуризации долга бывшего Советского Союза и с членами Лондонского клуба кредиторов. В декабре 1997 г. были выпущены облигации на сумму основного долга (22,1 млрд долл.) и просроченных процентов (6,1 млрд долл.), погашение которых растянуто на 25 лет, начиная с 2002 г.
Правительство России признало также долг бывшего Советского Союза бывшим странам членам СЭВ и начало его погашать. Уменьшение задолженности связано в основном с соглашениями, достигнутыми с Болгарией и Польшей по взаимному списанию задолженностей. Правительство РФ заключило также со-.глашения с другими бывшими странами членами СЭВ по урегулированию взаимных обязательств.
Примерно 30% обязательств должны быть выплачены в денежной форме, а остальная часть будет погашена в виде товаров.
График обслуживания внешнего долга с учетом достигнутых условий его реструктуризации в 19961997 гг. предполагал плавное нарастание ежегодных платежей до 1215 млрд долл. к 2005 г. с последующим уменьшением их вплоть до 2020 г. Таким образом, предполагалось, что реструктуризация внешнего долга позволит России освободиться от статуса неплатежеспособного государства и рассрочить платежи по долгу на достаточно длительный период в соответствии с реальными возможностями экономики обслуживать этот долг.
Однако в этот же период резко возрос объем привлеченных иностранных портфельных инвестиций в активы краткосрочного характера (ГКООФЗ). После 17 августа 1998 г. стало очевидно, что Россия уже не вписывается в ранее согласованный график платежей по реструктурированной задолженности. Страна оказалась на грани дефолта.
Необходимость новой реструктуризации долгов стала очевидной.
4. Регулирование платежного баланса


Бездействие денежных средств


Автоматическое ведение банковских счетов (зачисление и списание средств, переводы со счета на счет, начисление процентов, контроль за состоянием расчетов и т.д.) осуществляется созданными в банках электронно-вычислительными центрами.
Первоначально получили распространение п л а т е ж н ы е п л а с т и к о в ы е к а р т о ч к и, имеющие магнитную ленту, которая содержит всю необходимую информацию о ее владельце. В 90-х гг. в обращение поступили платежные карточки нового поколения, содержащие микропроцессор и обладающие более высокой степенью защиты.
В России платежные пластиковые карточки появились в начале 1992 г., когда началось распространение карточек международной организации «Виза интернасьональ». В 1994 г. появляется принципиально новая система безналичных электронных расчетов с помощью пластиковых карточек с микросхемой «Оптимум-карт». Аналогичные карточки широко используются в ряде европейских стран: Франции, Португалии, Германии, Венгрии и т.д.
Широкое внедрение на территории России системы безналичных вкладных операций и расчетов населения по широкому спектру услуг на базе кредитных карточек является одной из ключевых мер по повышению эффективности функционирования денежно-кредитной системы и ее интеграции в общемировую систему. По имеющимся расчетам, внедрение системы компьютерного денежного обращения (СКДО) на территории России даст эффект существенного сокращения объемов наличной денежной массы, ускорения оборота денежной единицы, повышения качества и сокращения сроков обслуживания населения по всем видам расчетно-кассовых и вкладных операций, более жесткого контроля за финансово-хозяйственной деятельностью, значительного ограничения возможности злоупотреблений и хищений денежных средств.
2. Кредит и кредитная система
Ссудный капитал и кредит Ссудным капиталом называется капитал в денежной форме (денежный капитал), предоставляемый в ссуду его собственниками на условиях возвратности за плату в виде процента. Движение этого капитала называется кредитом. Важнейшими источниками ссудного капитала служат:
1) денежные средства, предназначенные для восстановления основного капитала и накапливаемые по мере перенесения его стоимости по частям на создаваемые товары в виде амортизации;
2) часть оборотного капитала, высвобождаемая в денежной форме в связи с несовпадением во времени продажи изготовленных товаров и покупки сырья, топлива и материалов, необходимых для продолжения процесса производства;
3) капитал, временно свободный в промежутках между поступлением денежных средств от реализации товаров и выплатой заработной платы;
4) предназначенные для вложений в основной капитал средства, накапливаемые при расширенном воспроизводстве до определенной величины, зависящей от масштабов предприятий и их технического уровня;
5) сбережения домохозяйств, т.е. откладываемые людьми для приобретения товаров длительного пользования и жилья деньги, которые аккумулируются на счетах в банках.
Бездействие денежных средств противоречит природе рыночной экономики. Кредит разрешает это противоречие.

Формы кредита Кредит выступает в двух основных формах: коммерческого и банковского кредита, которые различаются по составу участников, объектам ссуд, динамике, величине процента и сфере функционирования.
Коммерческий кредит это кредит, предоставляемый одними предприятиями другим в виде продажи товаров с отсрочкой платежа. Орудием, средством коммерческого кредита служит в е к с е л ь. Впервые он стал использоваться в Италии в XIIXIII вв. Векселя делятся на простые и переводные. П р о с т о й в е к с е л ь представляет собой вексельное обязательство, выдаваемое заемщиком на имя кредитора, с указанием места и времени выдачи долгового обязательства, суммы последнего, места и времени платежа.
П е р е в о д н о й в е к с е л ь, или тратта - это письменный приказ одного лица (кредитора) другому (заемщику) об оплате определенной суммы третьему лицу или предъявителю. Лицо, выдающее переводной вексель, именуется т р а с с а н т о м ; лицо, обязанное совершить платеж, т р а с с а т о м, а лицо, которому передается право получения денег, р е м и т е н т о м . Объект переводного векселя товарный капитал.
Цель коммерческого кредита ускорить реализацию товаров и получение заключенной в них прибыли. Процент по нему, входящий в цену товара и в сумму векселя, ниже, чем, по банковскому кредиту, цель которого получение прибыли по ссудам (займам, кредитам). Размеры этого кредита ограничены величиной резервных (свободных) капиталов, имеющихся у предпринимателей.
Банковский кредит предоставляется владельцами денежных средств банками, специальными кредитными учреждениями заемщикам в виде денежные ссуд. Объект банковского кредита денежный капитал. Банковский кредит обслуживает и накопление капитала, превращая в него сбережения всех слоев общества.
Для современной рыночной экономики характерно переплетение коммерческого и банковского кредитов. Это проявляется при кредитовании не только предприятий, но и потребителей.
Потребительский кредит предоставляется частным лицам. Его объектами являются обычно товары длительного пользования (мебель, автомобили, холодильники, телевизоры и др.), разнообразные услуги.
Потребительский кредит выступает в форме кредита коммерческого (продажа товаров с отсрочкой платежа через розничные магазины) и банковского (предоставление ссуд кредитными учреждениями на потребительские цели). В ряде случаев банки заключают соглашения с магазинами, которые продают товары в кредит клиентам банков. При этом банки сразу оплачивают магазинам наличные деньги за проданные товары, а покупатели постепенно погашают ссуду банка.
Максимальный срок потребительского кредита три года. Разновидностью потребительского кредита являются долгосрочные (на очень длительный срок) ссуды частным лицам на приобретение или строительство жилищ (ипотечный, жилищный кредит). В России потребительский кредит только начинает развиваться, прежде всего в продаже автомобилей, приобретении и строительстве жилья.
Государственный кредит совокупность кредитных отношений, в которых и заемщиками, и кредиторами выступают государство и местные органы власти. Они заимствуют средства на рынке ссудных капиталов путем выпуска займов через финансово-кредитные учреждения. Доходы от внутренних займов стали вторым после налогов источником 'финансирования государственных расходов.
Одновременно государство является кредитором, особенно низкорентабельных, но необходимых для воспроизводства отраслей (жилищное строительство, инфраструктура, сельское хозяйство и т.д.).
Международный кредит движение и функционирование ссудного капитала между странами. Кредитные отношения существуют не только внутри каждой страны, но и между государствами, их компаниями и банками как одна из форм международного движения капитала (см. гл. 36).

Функции кредита
Кредит выполняет прежде всего перераспределительную функцию. При его помощи свободные денежные капиталы и доходы предприятий, домашних хозяйств, государства аккумулируются и превращаются в ссудный капитал, который передается за плату (в виде процента) во временное пользование. Через кредитный механизм ссудный капитал перераспределяется на основе возвратности между отраслями хозяйства, устремляясь в те сферы, которые обеспечивают получение большей прибыли или которым отдается предпочтение в соответствии с общенациональными программами развития экономики.
Кредит выполняет также функцию э к о н о м и и и з д е р ж е к о б р а щ е н и я, частично через замещение наличных денег (векселями, банкнотами, чеками), а также через развитие безналичных расчетов (через банки и расчетные палаты) и ускорение обращения денег.
Специфической функцией современной рыночной экономики является использование кредита наряду с деньгами и дотациями как инструмента ее регулирования. К р е д и т н о е р е г у л и р о в а н и е э к о н о м и к и это совокупность мероприятий, осуществляемых государством для изменения объема и динамики кредита в целях воздействия на хозяйственные процессы. Государство участвует в процессе движения ссудного капитала от источников к сферам приложения, регулируя доступ заемщиков на рынок ссудных капиталов, облегчая или затрудняя получение ссуд.
Путем дифференциации процентных ставок за кредит, предоставления правительственных гарантий и льгот стимулируется преимущественное кредитование тех предприятий и отраслей, деятельность которых соответствует общенациональным программам экономического развития. Данной цели служит также государственный кредит.
В России при решении в настоящее время задач реструктуризации банковской системы предполагается более активное участие государства в этом процессе, в том числе стимулирование процесса кредитования банками реального сектора экономики. Данное направление развития кредитного регулирования предполагает сохранение отдельных крупных многофилиальных банков, которые могли бы выполнять функции проводников государственной структурной и инвестиционной политики в сфере кредитования, прежде всего агропромышленного производства (СБС-АГРО, включая Агробанк), а также в индустриальной и строительной сфере (Промстройбанк, банк «Российский кредит»).



Биржевой курс ценных бумаг




Такой доход на акцию едва ли можно считать привлекательным для вкладчика по сравнению с банковскими вложениями. В данном случае гораздо более важным является ожидание, что биржевой курс акции возрастет и в результате выгодной продажи ценной бумаги можно будет получить прибыль. Таким образом, второй момент воздействующий на вкладчика при покупке акции, заключается в ожидании, что ее курс будет расти.
В современных условиях это главное, что определяет курс акции.

Векселя Векселя в нормально функционирующей экономике обслуживают процесс реализации: чтобы реализовать продукцию и создать удобства для покупателя, поставщики идут на отсрочку платежа, предоставляя оформленный векселем коммерческий кредит.
У ч е т, или д и с к о н т векселя это, во-первых, покупка векселя до истечения срока его действия по цене ниже номинала и, во-вторых, в банковской практике учетный процент, взимаемый банками при покупке (учете) векселей.
В России вексельное обращение развивается в условиях глубокого кризиса производства и денежно-кредитной системы. Отсюда вытекают его особенности. О б ы ч н ы й в е к с е л ь это ценная бумага, выданная в обеспечение займа и не предназначенная для использования в качестве средства расчетов.
В российских условиях вексель скорее решает для продавца дилемму: или получить за отгруженную продукцию вексель покупателя, или ни денег, ни долгового обязательства.
В западной практике вексель в качестве многооборотного документа, как правило, не используется. Получатель векселя стремится предъявить его к оплате через специализированные факторинговые организации или вексельные отделы банков. В России векселя стали своеобразной формой денег, их суррогатом. Они используются в расчетах между хозяйствующими субъектами, между фирмами и государственными органами для уплаты налогов и т.д.
Векселя эмитированы в различных секторах экономики предприятиями, министерствами, банками, местными органами власти, Минфином, казначейством и т.д. Таким образом, в России векселя вышли из-под контроля, обращаются не по установленным законам, а по условиям, определяемым эмитентами, начали замещать деньги в обороте.
Для решения проблем, существующих в области вексельного обращения, в октябре 1996 г. была создана Ассоциация участников вексельного рынка (АУВЕР). Первоочередными задачами ассоциации являются сбор информации о вексельном рынке, в том числе о недобросовестных его участниках; обеспечение листинга векселей; разработка единых стандартов и правил вексельного обращения; образование расчетной палаты; развитие общероссийской инфраструктуры вексельного депозитария, торговой системы и т.д.
В России действует Федеральный закон «О переводном и простом векселе» от 11 марта 1997 г., совпадающий с Женевской конвенцией о Единообразном законе о переводном и простом векселе

4. Фондовая биржа и внебиржевой рынок Акции и облигации стали популярным средством вложения благодаря тому, что их можно выгодно продать. Операции по продаже и покупке осуществляются на рынке ценных бумаг, иначе именуемом фондовым. Существуют два основных типа фондового рынка: б и р ж е в о й и в н е б и р ж е в о й .

Посредничество Гигантский объем и многообразие ценных бумаг превращают их куплю-продажу в нелегкое дело. Сама купля-продажа регулируется огромным количеством правил и ограничений. К тому же различные виды ценных бумаг реализуются на разных рынках.
Те, кто берет на себя функцию проведения операций с ценными бумагами, становятся посредниками, или, говоря по-другому, профессиональными участниками рынка ценных бумаг. Действовать они могут как на бирже, так и вне ее, поскольку далеко не все бумаги котируются на фондовых биржах. Пространственно посредники разобщены, но они связаны между собой и образуют единое целое, постоянно вступая в контакт друг с другом.
Именно это единое целое называется рынком ценных бумаг.
В отдельно взятой фондовой сделке (на фондовой бирже или вне ее) задействованы три стороны: продавец, покупатель и посредник. Посредник может действовать двояко. Во-первых, приобретая за свой счет ценные бумаги, он становится на время их владельцем и получает доход в виде разницы между курсами покупки и продажи. Таких посредников называют д и л е р а м и. Во-вторых, он может работать как поверенный или за определенный процент от суммы сделки, т.е. за комиссионное вознаграждение, просто принимая от своих клиентов поручения на куплю-продажу ценных бумаг.
В этом случае он именуется б р о к е р о м, или управляющим. Кроме того, от своего имени он совершает операции с переданными ему в доверительное управление на определенный срок чужими ценными бумагами.
В России развиваются все виды профессиональной деятельности на рынке ценных бумаг. Помимо дилерской и брокерской деятельности, это клиринг (деятельность по определению взаимных обязательств на рынке ценных бумаг), депозитарная деятельность (хранение сертификатов ценных бумаг), деятельность по ведению реестра владельцев ценных бумаг и другие посреднические услуги.
Традиционно наиболее представительным рынком ценных бумаг являются фондовые биржи.

Понятие фондовой биржи и биржевые системы
Фондовая биржа представляет собой регулярно функционирующую и организованную определенным образом часть рынка ценных бумаг (акций, облигаций, казначейских билетов, векселей, сертификатов), где с этими бумагами при посредничестве членов биржи совершаются сделки купли-продажи.
Биржа строго следит за тем, чтобы никто из продавцов или покупателей не мог диктовать цены. Наконец, все сделки заключаются методом открытого торга и о каждой из них предоставляется полная информация. Сначала она поступает на электронное табло биржи, а затем публикуется в печати.
Ф о н д о в ы е ц е н н о с т и это ценные бумаги, с которыми разрешены операции на бирже. Торговля ведется или партиями на определенную сумму, или по видам, при этом сделки заключаются без наличия на бирже самих ценных бумаг.
Биржевой курс ценных бумаг определяется следующими факторами:
доходностью (дивидендами, процентами) текущей и ожидаемой;
размерами банковской процентной ставки (ссудного процента), ценой на золото, отдельные товары и недвижимость, так как вложения на банковские счета, в золото, товары и недвижимость являются альтернативой приложения временно свободных средств;
биржевой спекуляцией.
Учреждения, аналогичные биржам, функционировали еще в Вавилоне, Древнем Египте и Финикии. Но первая постоянная биржа возникла в 1406 г. в голландском городе Брюгге возле дома Ван дер Бурса. На доме был нарисован герб в виде трех кошельков, которые на позднелатинском обозначались словом «bursa». Отсюда стали называться биржами и создававшиеся в дальнейшем товарные и фондовые рынки: в Антверпене (1460 г.), Лионе (1462 г.), Тулузе (1469 г.), Амстердаме (1530 г.), Париже (1563 г.), Гамбурге (1564 г.), Кельне (1566 г.), Гданьске (1593 г.), Берлине (1716 г.), Вене (1771 г.). Первая в России Петербургская биржа была организована в 1703 г. Первой международной стала биржа в Антверпене, имевшая собственное постоянное помещение, над входом в которое была знаменитая надпись: «Для торговых людей всех народов и языков».
Однако все это были товарные биржи, хотя на ряде из них постепенно были образованы фондовые отделы.
С основанием в 1602 г. голландской Ост-Индской компании роль важнейшего мирового торгового центра переходит к Амстердамской бирже. Здесь впервые появились срочные сделки, а техника биржевых операций достигла достаточно высокого уровня. Поэтому первой фондовой биржей считается организованная в 1608 г. Амстердамская биржа. Затем фондовые биржи возникли в конце XVIII столетия в Великобритании, СЩА и Германии, а в 1878 г. в Японии. Первый фондовый отдел в составе Петербургской биржи был создан в 1900 г., однако специальные фондовые биржи в дореволюционной России отсутствовали.
В период нэпа биржи играли заметную роль, но к 30-м гг. их деятельность была прекращена.
Биржи подразделяются на товарные (оптовые сделки с зерном, металлами, нефтью и другими так называемыми биржевыми товарами), валютные и фондовые (операции с ценными бумагами). С конца XIX начала XX в. фондовые биржи стали важнейшими центрами национальной и международной хозяйственной жизни.
Биржи создавались как частные, общественные или государственные организации. В России в соответствии с действующим законодательством фондовые биржи создаются как коммерческие партнерства.
В настоящее время в мире функционирует около 200 фондовых бирж. У каждой из них есть свои особенности, нередко существенные. Даже в Западной Европе, несмотря на попытки сформировать единый рынок ценных бумаг, в правилах деятельности фондовых бирж сохраняются значительные различия.
Наиболее крупными .являются те национальные фондовые биржи, которые находятся в главном финансовом центре страны. На них концентрируются акции компаний с общенациональными масштабами операций. Провинциальные биржи постепенно теряют свои позиции. Так складывается м о н о ц е н т р и ч е с к а я б и р же в а я с и с те м а. В наиболее законченном виде она представлена в Англии, где Лондонская биржа именуется Международной фондовой биржей, поскольку она вобрала в себя все биржи не только Великобритании, но и Ирландии.
Моноцентрическими являются также биржевые системы Японии и Франции, но там еще сохранились провинциальные биржи, однако их роль весьма незначительна. Подобная система сложилась и в России, где главные фондовые биржи сосредоточены в Москве.



Бюджетно-налоговая (фискальная) политика


3. Бюджетно-налоговая (фискальная) политика Огромные средства, взимаемые в виде налогов и перераспределяемые через госбюджет, составляют главную экономическую силу современного государства. Отсюда столь пристальное внимание к налогам и бюджету и большое воздействие фискальной политики на всю жизнь современного общества.
Фискальная политика может быть направлена на стимулирование хозяйственной жизни, например, в период спада, и тогда ее называют фискальной экспансией. Главными ее рычагами являются увеличение государственных расходов или/и снижение налогов.
Направленная на ограничение экономического бума, точнее, на борьбу с вызванной этим бумом инфляцией, фискальная политика называется фискальной рестрикцией. Она предполагает снижение государственных расходов или/и увеличение налогов. Это позволяет снизить вызванную бумом инфляцию за счет падения темпов экономического роста и увеличения безработицы.

Государство и совокупный спрос Подавляющая часть бюджетных расходов (государственные закупки, заработная плата так называемым бюджетникам, кредиты, ссуды и субсидии) обусловливает совокупный спрос. Их большой вес в нем позволяет государству воздействовать на весь совокупный спрос:


AD= C + I + G + X, (27.1)
где AD совокупный спрос; С потребительский спрос; I инвестиционный спрос частные инвестиции); G спрос государства (государственные расходы); X чистый экспорт.
На совокупный спрос правительство воздействует также через налоги: чем выше их ставки, тем ниже размер располагаемых доходов в виде потребительского спроса домашних хозяйств и инвестиционного спроса предприятий. Однако налоги могут оставаться высокими безотносительно к их негативному воздействию на совокупный спрос, а просто потому, что фискальная функция Налогообложения может возобладать над регулирующей, что и происходит в России в 90-е гг.

Госбюджет, сбережения и инвестиции. Эффект вытеснения В равновесной экономике сумма сбережений (S) должна быть равна сумме инвестиций (I), т.е. S=I(см. 4.3). Однако на практике ситуация обычно близка к такой, когда к сбережениям домашних хозяйств (S) прибавляются доходы госбюджета (они состоят преимущественно из налогов и поэтому обозначаются также буквой Т (taxes), а к частным инвестициям (I) добавляются государственные расходы (G), которые для экономики выполняют роль инвестиционных вливаний:

S +T = I+ G. (27.2)
Если преобразовать это уравнение, то получим
S I = G - T. (27.3)
Эта преобразованная формула показывает, что разница между сбережениями и инвестициями равна разнице между государственными расходами и доходами, т.е. бюджетному дефициту. Говоря по-другому, если инвестиции оказываются меньше сбережений, то эта разница часто идет на покрытие бюджетного дефицита, обычно в виде государственных займов. Однако это та часть сбережений, которая могла бы быть частными инвестициями.
Другой негативный эффект от государственных займов известен еще больше. Он состоит в том, что в результате дополнительного спроса на сбережения повышается процентная ставка на рынке ссудного капитала, что ведет к сокращению частных инвестиций и соответственно к падению производства, экспорта и потребительских расходов. Возникает так называемый эффект вытеснения государственными займами частных инвестиций.

Госбюджет и динамика ВВП Рост государственных расходов ведет к оживлению экономики росту доходов и ВВП.
27.1 демонстрирует, что при росте ВВП (Y) рост государственных доходов (Т) приводит к тому, что они со временем начинают превышать государственные расходы (G). В результате дефицит госбюджета, типичный для периода спада ВВП, превращается в профицит. Заметим, что размеры и дефицита, и профицита зависят от наклона линии Т, который обусловлен тем, насколько налоговые поступления в бюджет восприимчивы (эластичны) к изменениям ВВП.




Бюджетно-налоговая (фискальная) политика



27.1. Изменение государственных доходов в зависимости от динамики ВВП


В свою очередь, указанная восприимчивость во многом зависит от силы так называемых встроенных стабилизаторов. Это прогрессивная система налогообложения, государственные трансферты малоимущим и тому подобные средства воздействия на доходы. Они не только уменьшают меру снижения и повышения совокупного спроса, но и смягчают циклические колебания в доходах госбюджета.

Налоги и совокупное предложение 27.1 показывает, что в ходе экономического цикла автоматически может возникать дефицит бюджета (в фазе спада) и профицит (в фазе подъема). Для борьбы с дефицитом госбюджета и в целях оживления хозяйственной жизни сторонники экономики предложения предлагают снижать налоги. Они полагают, что более низкие ставки налогов не обязательно приведут к увеличению дефицита госбюджета из-за сокращения налоговых поступлений (как полагают кейнсианцы), а подъему производства (предложения) и спроса помогут обязательно.
В качестве доказательства того, о снижение налоговых ставок оборачивается ростом налоговых вступлений в бюджет, приводится кривая Лаффера (см. 7.3). Однако проблема состоит в том, что если это и происходит, то в долгосрочном периоде, а в краткосрочном периоде поступления догов в бюджет могут и снизиться.
Отметим также, что косвенные налоги, в отличие от прямых, являются одним из встроенных стабилизаторов бюджета. В фазе спада, когда объем прибыли и других доходов обычно снижается больше, чем объем ВВП, также резко сокращается поступление прямых налогов. Что касается косвенных налогов, то объем сделок с товарами и услугами снижается заметно меньше, в результате чего поступления в госбюджет от НДС, налога с продаж, акцизов снижаются не в такой степени, как объем ВВП. Более того, косвенные налоги уменьшают и отрицательное воздействие инфляции на бюджет.
Если прямые налоги дают в бюджет поступления в основном от тех доходов и имущества, размеры и цены которых растут обычно медленнее инфляции, то косвенные налоги базируются на тех товарах и сделках, цены которых не отстают, а иногда и опережают индекс -дефлятор ВВП.


Выводы 1. Главным средством перераспределения ВВП служат бюджет и налога.
2. Государственный бюджет представляет собой форму образования и расходования фонда денежных средств, предназначенных для финансового обеспечения задач и функций государства и местного самоуправления. Он состоит из центрального и территориальных бюджетов; их проекты и отчеты об исполнении ежегодно принимаются парламентом.
3. Расходная часть бюджета представлена ассигнованиями на социальные, хозяйственные, военные цели, а также на содержание управленческих органов и платежи по государственному долгу. Бюджетные расходы на хозяйственные цели осуществляются в форме государственных кредитов, субсидий и поручительств.
4. В случае превышения расходов над доходами возникает государственная внутренняя и внешняя задолженность. Некоторые страны-должники прибегают к консолидации международной задолженности и к конверсии долгов в иностранную собственность на своей территории.
5. Под налогом, пошлиной, сбором понимается осуществляемый в порядке, определенном законодательными актами, обязательный взнос в бюджет или во внебюджетный фонд. Налоги бывают прямые и косвенные: они различаются по объекту налогообложения и по механизму расчета и взимания, по их роли в формировании доходной части бюджета.
6. Основные функции налогов: фискальная, социальная и регулирующая.
7. Большое воздействие налогообложение (НДС, таможенные пошлины, двойное налогообложение) оказывает и на внешнеэкономические связи.
8. В современных условиях налоги стали предметом международных соглашений. В первую очередь, это относится к таможенным пошлинам, согласуемым в рамках ВТО, а также к внутренним налогам в странах участницах интеграционных объединений.
9. Бюджетно-налоговая (фискальная) политика может быть направлена на стимулирование хозяйственной жизни или на ее ограничение. Она осуществляется через государственные расходы и сбор налогов.


Термины и понятия Финансы
Финансово-кредитная система
Финансово-кредитная политика
Государственный бюджет
Бюджетный процесс
Государственные внебюджетные фонды
Целевые бюджетные фонды
Бюджетный дефицит
Бюджетный федерализм (межбюджетные отношения)
Реструктуризация (консолидация) внешнего долга
Конверсия внешнего долга
Регулирование внешнего долга
Обслуживание долга
Налоги
Налоговая система
Прямые налоги
Косвенные налоги
Подоходный налог с физических лиц
Налог на прибыль предприятий (фирм, корпораций)
Социальные взносы (социальные налоги)
Поимущественные налоги
Акцизы
Налоговая база
Налоговая ставка
Налог на вмененный доход
Двойное налогообложение
Эффект вытеснения


Вопросы для самопроверки 1. Что такое государственный бюджет?
2. Из каких статей состоят доходная и расходная части бюджета?
3. Почему существуют центральные и территориальные бюджеты, как они финансируются?
4. Почему государство вынуждено прибегать к займам?
5. Перечислите основные налоги в России.
6. Какое воздействие оказывают налоги на экономику страны?
7. В чем заключаются фискальная и регулирующая функции налогов?
8. Что такое налоговые льготы; кому и в каких целях они предоставляются?
9. На какие цели расходуются бюджетные средства?
10. Как избегают двойного налогообложения?
11. Что такое гармонизация налогов?
12. Что такое фискальная рестрикция?
13. Какие последствия от снижения ставок налогов предрекают Кейнсианцы и сторонники экономики предложения?




























Большие циклы конъюнктуры


Кейнс считал основным источником импульсов, вызывающих экономические колебания, инвестиционные расходы, которым в силу определенного «предпринимательского чутья» к риску свойственна неустойчивость. В результате происходят сдвиги в совокупном спросе, а следовательно, и в совокупном предложении.
В теории инвестиций широко используется западными экономистами модель мультипликатора-акселератора, которая объясняет динамику инвестиций действием механизма акселератора, т.е. инвестиции испытывают воздействие не самого объема выпуска, а его колебаний.
Лауреат Нобелевской премии английский экономист Дж. Хикс считает, что главную причину колебаний следует искать во влиянии, которое оказывают на инвестиции изменения объема выпуска (или дохода), в чем, собственно, и выражается эффект акселерации. По его мнению, торгово-промышленный бум есть не что иное, как период интенсивного накопления капитала, а спад является просто приостановкой накопления.1





1 См: Хикс Дж.Р.Стоимость и капитал/Пер. с англ. М.,1993. С.433,436.



Большие циклы конъюнктуры
Согласно концепции «больших циклов конъюнктуры», разработанной русским ученым Н.Д. Кондратьевым (18921938), развитию экономики наряду со средними и короткими циклами свойственны продолжительные длинноволновые колебания, охватывающие период от 45 до 60 лет. К такому выводу Н.Д.
Кондратьев пришел на основе анализа статистических данных (динамики цен, заработной платы, внешнеторгового оборота, добычи угля, золота, производства чугуна, стали и т.д.) экономического развития Англии, США, Франции за 100150 лет. Им было отмечено, что циклы динамики указанных показателей достаточно близко совпадают во времени и в определенной степени взаимосвязаны. Так, динамика цен отражает процессы возмещения основного капитала, циклический характер инвестиций.
В результате исследований Н.Д. Кондратьев выделил следующие большие циклы конъюнктуры:



Подъем

Спад
1789-1814 гг.
1849-1873 гг.
1896-1920 гг.
1814-1849 гг.
1873-1896 гг.




Большие циклы Кондратьев рассматривал как нарушение и восстановление экономического равновесия длительного периода и считал, что «основная причина лежит в механизме накопления, аккумуляции и рассеяния капитала, достаточного для создания новых основных производительных сил»'.





' Кондратьев Н.Д. Проблемы экономической динамики. М., 1989.
С. 226.


Им был выявлен ряд закономерностей в развитии больших циклов:
перед началом и в начале повышательной волны каждого большого цикла наблюдаются глубокие изменения в технике (чему предшествуют, в свою очередь, значительные технические открытия и изобретения), в вовлечении в мировые экономические связи новых стран, в изменение добычи золота и денежного обращения;
на периоды повышательной волны каждого большого цикла приходится наибольшее количество социальных потрясений (войн и революций);
периоды повышательной волны каждого большого цикла сопровождаются длительной и особенно резко выявленной депрессией сельского хозяйства;
в период повышательной волны больших циклов средние капиталистические циклы характеризуются краткостью депрессий и интенсивностью подъемов;
в период понижательной волны больших циклов наблюдается обратная картина. 2





' Кондратьев Н.Д. Проблемы экономической динамики. М., 1989.
С. 225.
2 Там же. С. 225

Выводы Кондратьева нашли подтверждение и в дальнейшем развитии экономической конъюнктуры. Продолжительный и глубокий кризис 19291933 гг. развернулся в период понижательной волны большого цикла, начавшегося в конце XIX в. Примерно через пятьдесят лет, в 19731975 гг. вновь на фоне понижательной волны произошел самый глубокий и разрушительный за последние десятилетия спад производства.
Экономический рост в 8090-х гг. в развитых странах происходил в условиях развернувшегося пятого технологического уклада (современного этапа НТР), определившего начало новой повышательной волны большого цикла.
После Н.Д. Кондратьева изучением длинноволнового цикла занимались такие известные ученые, как Й. Шумпетер, С. Кузнец, К. Кларк, У. Митчел и др. Среди современных российских экономистов следует отметить Ю. Яковца, Л. Клименко, С. Меньшикова, С. Глазьева.
Было подтверждено, что переходы от одной фазы большого цикла к другой связаны с технологическими переворотами и структурными преобразованиями в экономике. Однако теория длинных волн не является универсальной. Она неоднократно подвергалась критическому анализу.
Как известно, жизнь вносит многочисленные поправки в различные концепции общественного развития. Вместе с тем теория длинноволновых циклов помогает изучать и прогнозировать общие закономерности социально-экономического развития.


  1. Структурные изменения в экономическом развитии

Сущность экономической структуры Народное хозяйство представляет собой сложную систему, состоящую из многих макроэкономических элементов, теснейшим образом связанных друг с другом. Соотношение между этими элементами и есть экономическая структура.
Экономическая структура имеет огромное значение для сбалансированности народного хозяйства, его эффективного и устойчивого роста. Так, успех в экономическом росте большинства стран Запада в немалой степени объясняется глубокими структурными изменениями, обеспечившими общий динамизм производства и другие положительные качественные изменения. Быстрый рост производства в ряде новых индустриальных стран Юго-Восточной Азии произошел прежде всего за счет форсирования развития нетрадиционных для этих стран отраслей, т.е. в результате резкого изменения структуры хозяйства.
Теория структуры занимает достаточно почетное место в экономике. Большое внимание этим проблемам уделили, в частности, лауреаты Нобелевской премии Л. Канторович, С. Кузнец, В. Леонтьев и др.
Структура экономики многоплановое понятие; ее можно рассматривать с разных точек зрения, отражающих соотношение различных элементов хозяйственной системы. Обычно выделяют отраслевую, воспроизводственную, региональную и внешнеторговую структуры.

Отраслевая структура Отраслевая структура представляет собой соотношение различных отраслей и подотраслей в системе национального хозяйства. Она сложна, динамична и подвергнута количественным и качественным изменениям под воздействием научно-технического прогресса, циклического развития экономики и ряда других факторов. формируется отраслевая структура на основе общественного разделения труда.
Деление национального хозяйства на основные сферы экономики (сельское и лесное хозяйство, промышленность и строительство, транспорт, торговля и другие отрасли сферы услуг) выражает общее разделение труда. В свою очередь, частное разделение труда предполагает наличие в каждой из этих сфер целого ряда отраслей. Так, в промышленности существуют добывающие и обрабатывающие отрасли, в обрабатывающих отраслях легкая и пищевая промышленность, машиностроение. В машиностроении выделяются станкостроение, приборостроение и т.д.
Наконец, во многих отраслях существуют подотрасли, отражающие внутриотраслевое разделение труда.
В процессе общественного воспроизводства между отраслями формируются тесные взаимосвязи, изучение которых необходимо для прогнозирования развития экономики. Анализ этих взаимосвязей был осуществлен в модели межотраслевого баланса, разработанной в 30-х гг. американским ученым русского происхождения Василием Леонтьевым (19061999), получившим за это звание лауреата Нобелевской премии по экономике. Данная модель называется «затраты выпуск», так как в ней рассматриваются количественные соотношения между затратами ресурсов и выпуском продукции каждой отрасли и показано движение товаров и услуг из одной отрасли национального хозяйства во все другие.
На протяжении ХХ в. отраслевая структура экономики неоднократно изменялась. В начале века в создании общественного продукта стран Запада преобладали природоэксплуатирующие отрасли (первичной переработки природного сырья), сельское хозяйство; начало развиваться машиностроение. К середине века происходит стремительное сокращение в производстве ВВП доли сырьевых отраслей и сельского хозяйства и резко возрастает доля сферы услуг.
Переход к постиндустриальному обществу в конце ХХ в. сопровождается кардинальными изменениями в отраслевой структуре развитых стран, что выражается в следующем:
в создании ВВП продолжается неуклонное снижение доли сельского и лесного хозяйства, добывающих отраслей, тяжелой промышленности;
одновременно наблюдается опережающий рост наукоемких отраслей материального производства, таких как электронное машиностроение, ракетно-космическая техника, контрольно-измерительные и аналитические приборы и т.д.;
растет доля сферы услуг, прежде всего таких ее отраслей, как здравоохранение, наука, образование, социальное обеспечение и т.д. Структурные изменения в экономике вызвали аналогичные тенденции в структуре занятости.

Воспроизводственная структура
Это срез хозяйственной системы, который отражает возможности роста экономики и ее эффективности. Наиболее важно соотношение между потреблением и накоплением, так как оно является основным, определяющим условием расширенного воспроизводства. В принципе чем выше доля валового накопления, тем выше темпы роста экономики.
Для бывшего Советского Союза была характерна норма валового накопления, составлявшая примерно 3040% ВВП. В дальнейшем эта норма снизилась и в 1990 г. в России была на уровне 20,7%. Структурная перестройка экономики осуществляется в условиях ограниченности инвестиционных ресурсов.



Цель группировки создание Карибского общего рынка.


МЕРКОСУР имеет определенную систему управления и координации интеграционными процессами. В нее входит Совет общего рынка в составе министров иностранных дел, Группа общего рынка исполнительный орган и подчиняющиеся ему 10 технических комиссий. Деятельность МЕРКОСУР способствует стабилизации экономического развития входящих в него стран, в частности, сдерживанию инфляции и спада производства.
Вместе с тем имеются и нерешенные проблемы: валютное регулирование, унификация налогообложения, трудового законодательства.
Стремление стран Центральной Америки (Гватемала, Гондурас, Коста-Рика, Никарагуа и Сальвадор) к экономическому взаимодействию получило правовое выражение в заключенном между ними еще в 60-е гг. договоре, который предусматривал создание зоны свободной торговли, а затем Центральноамериканского общего рынка (ЦАОР). Однако сложившаяся в дальнейшем экономическая и политическая ситуация в этом регионе значительно затормозила процесс интеграционного взаимодействия.
С середины 90-х гг. на базе ЦАОР, деятельность которого к тому времени значительно ослабла, создается с помощью Мексики зона свободной торговли. В результате внутрирегиональный товарооборот значительно возрос. Для интеграционных процессов, происходящих в Латинской Америке, характерно, что ряд стран одновременно входят в различные экономические объединения.
Так, страны, входящие в МЕРКОСУР, одновременно с другими государствами (всего 11 государств) являются членами крупнейшего интеграционного объединения Латинской Америки Латиноамериканской ассоциации интеграции (ЛАИ), в рамках которой в свою очередь функционирует с 1969 г. Андская субрегиональная группировка, включающая Боливию, Колумбию, Перу, Чили, Эквадор, Венесуэлу. Боливия и Чили в то же время имеют статус ассоциированных членов блока МЕРКОСУР.
Достаточно развитой интеграционной группировкой Латинской Америки является КАРИКОМ, или Карибское сообщество, объединяющее 15 англоязычных стран бассейна Карибского моря. Цель этой группировки создание Карибского общего рынка.
В рамках всех интеграционных группировок Латинской Америки приняты программы либерализации внешней торговли; разработаны механизмы промышленного и финансового сотрудничества, определены методы регулирования отношений с иностранными инвесторами и система защиты интересов наименее развитых стран.
4. Механизм интеграции: пример ЕС Западноевропейская интеграция с самого начала была процессом, идущим как снизу (на уровне фирм), так и сверху (на межгосударственном, наднациональном уровне).

Система управления ЕС
К настоящему времени произошло своеобразное разделение межгосударственных властей ЕС на законодательную, исполнительную и судебную власти.
Законодательным и представительным органом ЕС является Европейский парламент в количестве 626 депутатов, избираемых прямым тайным голосованием граждан во всех государствах членах ЕС сроком на 5 лет. Парламент наделен большими полномочиями: он утверждает бюджет, контролирует деятельность Комиссии ЕС и может потребовать отставки всех ее членов путем вынесения вотума недоверия.
Система исполнительных органов включает: Европейский Совет (Евросовет), Совет министров и Европейскую комиссию (до провозглашения Евросоюза в 1994 г. Комиссия Европейских сообществ, КЕС).
Европейский совет (Евросовет) имеет статус форума политического сотрудничества стран членов ЕС. В его состав входят главы государств и правительств стран членов ЕС, министры иностранных дел, председатель Комиссии ЕС. Он собирается для обсуждения широкого круга политических вопросов; решения принимаются на основе консенсуса.
Совет министров, или Совет Европейского союза, состоящий из министров государств-членов, обеспечивает участие входящих в ЕС государств в принятии решений по реализации единой политики Евросоюза. Голоса различных стран в Совете взвешены по их экономической мощи, и решения принимаются квалифицированным большинством. Германия, Франция, Италия и Великобритания располагают десятью голосами каждая, Испания восемью, Бельгия, Греция, Нидерланды и Португалия имеют по пять голосов, Австрия и Швеция по четыре, Дания, Финляндия и Ирландия потри, Люксембург два голоса.
Комиссия Европейского союза (Комиссия, КЕС) исполнительный орган, имеющий право представлять на утверждение Совету министров проекты законов. Сфера ее деятельности весьма обширна и разнообразна. Так, Комиссия осуществляет контроль за соблюдением таможенного режима, деятельностью аграрного рынка, налоговой политикой и т.д.
Она выполняет еще целый ряд функций, в том числе финансирование из находящихся в ее распоряжении фондов (социального, регионального, аграрного). Комиссия самостоятельно ведет переговоры с третьими странами, ей принадлежит право распоряжаться общим бюджетом. Одним из важнейших направлений ее деятельности является приведение в соответствие национальных законодательств, стандартов и норм.
Комиссия состоит из 20 членов и председателя, назначаемых с согласия правительств стран-участниц и с одобрения Европейского парламента. Решения принимаются простым большинством голосов. Члены Комиссии независимы от своих правительств, кон-тролируются Европарламентом.
Срок пребывания в Комиссии 5 лет. Аппарат Комиссии состоит из нескольких тысяч человек.
Суд Европейского союза высший судебный орган. Он осуществляет контроль за выполнением договоров в соответствии с правовыми нормами, а также разрешает споры между государствами членами ЕС, между государствами и органами ЕС, между физическими лицами и фирмами, с одной стороны, и органами ЕС с другой.
Помимо перечисленных существуют другие властные и консультативные органы, а также различные вспомогательные учреждения разного рода комитеты, комиссии, подкомиссии, фонды финансового регулирования.

Правовая основа ЕС Высшее место в иерархии права ЕС занимают м е ж г о с у д а р с т в е н н ы е с о г л а ш е н и я создании и расширении ЕС. Это прежде всего:
Римский договор (1957 г.) о создании Общего рынка, или ЕЭС, подписанный Италией, Францией, ФРГ и странами Бенилюкса и вступивший в силу с 1958 г.;
Единый европейский акт (ЕЕА, 1987 г.);
Маастрихтские соглашения (19911992 гг.);
Амстердамскийдоговор (1997 г.). Существует целый ряд других соглашений, затрагивающих функционирование Союза. Они подлежат единообразному толкованию и применению для всех стран членов ЕС и подпадают под юрисдикцию Суда ЕС.
Это первичное законодательство образует нечто вроде конституции ЕС.
Вторичное законодательство представлено регламентами, директивами, решениями, рекомендациями и мнениями.
Р е г л а м е н т ы по своему статусу главенствуют над национальными законами стран членов ЕС и приобретают на их территории силу закона.
Д и р е к т и в ы законодательные акты, содержащие общие положения, которые конкретизируются в специальных постановлениях стран членов ЕС.
Р е ш е н и я имеют сугубо индивидуальных адресатов и формально не обладают обязательной силой, хотя и имеют определенное юридическое значение.
Р е к о м е н д а ц и и и м н е н и я не являются обязательными к исполнению.
В процессе западноевропейской экономической интеграции право играет активную роль, противодействуя центробежным тенденциям. В рамках ЕС сформировано единое правовое пространство. Право ЕС стало неотъемлемой частью национального права его участников.
Обладая прямым действием на территории стран членов ЕС, оно в то же время автономно, самостоятельно и не только не подчиняется национальным властям, но и обладает преимущественной силой в случаях коллизии с национальным правом.
В области внешнеторговой, аграрной политики, торгового и гражданского права (свобода конкуренции), налогового права (сближение систем налогов на прибыль, установление уровня налога с оборота и прямые взносы в бюджет ЕС) законодательные акты Европейского союза заменяют национальные законы.
Однако на нынешнем этапе в области внешнеэкономической политики национальные правительства имеют возможность:
вводить импортные квоты по товарам из третьих стран;
заключать договоры о «добровольных ограничениях экспорта», и прежде всего с теми странами, где очень низкие цены на продукцию текстильной и электронной промышленности (например, Япония, Южная Корея);
сохранять особые торговые отношения с бывшими колониями.
Комиссия ЕС всегда действует в интересах защиты единого рынка. Не допускаются какие-либо национальные нормативные акты, противоречащие праву ЕС. И еще одна особенность субъектами системы права являются не только государства члены ЕС, но и их граждане.

Финансы и бюджет ЕС
Европейский союз располагает собственными финансовыми средствами, т.е. не зависит от бюджетов входящих в него стран. Размер бюджета ЕС определяется Советом и Парламентом ЕС и утверждается последним.
Важную роль в финансовой деятельности играет Счетная палата, 15 членов которой назначаются Советом ЕС. Палата осуществляет общее финансовое управление, контроль над расходами фондов и финансовых институтов ЕС. Европейский инвестиционный банк, являясь автономной организацией, финансирует капиталовложения ЕС на региональные программы, развитие энергетики, инфраструктуры путем долгосрочных кредитов и гарантий.



Частные предприятия в переходной экономике


Во-первых, идет поиск методов эффективного управления теми предприятиями, в капитале которых в течение длительного времени сохраняется высокая доля государства. Таким методом может стать, например, передача государственного пакета акций в доверительное управление либо сторонним для компании юридическим лицам (банковско-финансовым холдингам, финансово-промышленным группам, специализированным консалтинговым фирмам), либо менеджменту самой компании (как было в случае с 35% акций РАО «Газпром»). Состав представителей государства в органах управления АО с крупным госпакетом и порядок голосования этим пакетом акций устанавливается централизованно.
Во-вторых, разворачивается так называемая доприватизация. Она может заключаться в выработке приватизационных стратегий для предприятий, ранее входивших в списки не подлежащих приватизации в тот или иной период времени. Подобные списки составлялись наряду с приватизационными программами во всех странах, в том числе и в России. Кроме того, «доприватизации» подлежат остававшиеся в собственности государства мелкие пакеты акций, не дающие реальных возможностей контроля. Так, в восточноевропейских странах, как и в России, существуют сотни компаний с незначительными долями государственного участия, не обеспечивающими ни доходов, ни контроля.
Государству выгоднее избавиться от этих долей, нежели номинально оставаться их собственником.

3. Частные предприятия в переходной экономике Частные предприятия в переходной экономике образуются путем как инвестирования и капитализации доходов и сбережений физических и негосударственных юридических лиц (частные предприятия на собственной основе), так и трансформации государственной собственности (приватизированные предприятия). При этом важно, что независимо от способа учреждения предприятий функции собственности и профессионального управления полностью совпадают только в рамках мелких фирм.
Что же касается средних и особенно крупных частных предприятий, образованных в результате приватизации, то в их рамках неизбежно происходит известное расщепление капитала на капитал-собственность (контроль) и капитал-функцию (управление), позволяющее использовать наемных профессиональных менеджеров и освободить собственников от функций непосредственного управления капиталом. Принципиально важно, что согласование контроля и управления не происходит автоматически. Опыт всех постсоциалистических стран свидетельствует о неизбежности конфликтов по этим вопросам между новым и старым менеджментом, внешними и внутренними инвесторами, наемными работниками приватизированных компаний.

Типы частных компаний
В переходной экономике структура капиталов новых частных и смешанных компаний по форме собственности и типу инвесторов зависит прежде всего от примененных методов приватизации. Именно они определяют специфику корпоративного контроля и перспективы дальнейшей рыночной реструктуризации приватизированных предприятий. По этим признакам можно выделить следующие типы частных компаний.
1. Компании, приватизированные методом прямых продаж внешнему (в том числе иностранному) инвестору. Это был первоначально наиболее предпочтительный тип компаний, так как прямая продажа сразу создавала стратегического собственника, минуя промежуточные стадии передела собственности на капитал, характерные для других методов приватизации. Вместе с тем, прямая продажа государственного предприятия частному инвестору требовала не только крупных сумм от покупателя, но и серьезных затрат от продавца (государства), в том числе предпродажной подготовки предприятия и предварительной работы с предполагаемым инвестором, согласования с ним объема и характера будущих инвестиций в покупаемое предприятие, затрат на оценку его рыночной стоимости.
Понятно, что этим методом можно было продать лишь наиболее привлекательные и поэтому дорогие компании, на покупку которых средств у национальных инвесторов явно было недостаточно. Оплатить такие сделки, тем более с инвестиционными условиями, были способны в основном только иностранцы. Из всех стран с переходной экономикой, пытавшихся через прямые продажи трансформировать основную часть госпредприятий, это удалось лишь Восточной Германии, Венгрии и Эстонии.
В других странах число подобных компаний относительно невелико.
2. Компании, выкупленные менеджментом и работниками. В переходной экономике льготные методы выкупа госпредприятий их трудовыми коллективами воспринимались как социально справедливые. В ряде стран использовались специальные механизмы, повышавшие ликвидность приватизируемого имущества в интересах работников предприятий: целевые ваучеры, скидки с цены, рассрочки платежей.
Компании, приватизированные работниками, получили распространение почти во всех странах с переходной экономикой, причем даже в тех, где такой метод приватизации первоначально не предусматривался.
В таких компаниях обычно не возникает грубых конфликтов интересов внутренних собственников (инсайдеров), ибо они, как правило, смягчаются общей заинтересованностью в улучшении результатов деятельности. Однако серьезным недостатком является то, что у старого менеджмента нет достаточного опыта работы в рыночных условиях, а привлечение внешних инвесторов (аутсайдеров), которые могли бы привнести такой опыт и расширить ограниченные инвестиционные возможности компании, практически исключается. Опыт стран Центральной и Восточной Европы подтверждает, что по сравнению с компаниями, проданными внешним стратегическим инвесторам, компании, выкупленные работниками, имеют гораздо более ограниченные перспективы инвестиций и реструктуризации.
При этом возможные прогрессивные сдвиги в структуре собственности могут блокироваться менеджментом (запреты и ограничения на перепродажу акций работниками компаний).
Нормы корпоративного права, интересы акционеров, особенно внешних, в таких компаниях нередко нарушаются. А потому аутсайдеры крайне неохотно инвестируют в них даже в тех случаях, когда это в принципе не запрещено уставом. А во внутреннем корпоративном управлении указанными компаниями происходит постепенное перераспределение прав контроля в пользу менеджмента, например, путем передачи ему в трастовое управление или для солидарного голосования акций рядовых работников.
В целом более устойчивы и эффективны небольшие компании с собственностью работников, так как в них легче адаптировать корпоративное управление к потребностям рыночной среды и согласовать интересы всех категорий собственников. Крупные же компании с преобладанием собственности работников (в России, например, такой вариант приватизации выбрали три четверти всех преобразованных госпредприятий) могут выйти из инвестиционного и структурного тупика только в том случае, если собственность работников будет постепенно трансформироваться в нормальные варианты собственности инвесторов (внутренних и внешних, национальных и иностранных) с соответствующими механизмами реализации и защиты их прав и интересов. Успешность такой трансформации во многом зависит от уровня развития рынков капитала.
Динамика структуры владения акциями в приватизированных компаниях России свидетельствует о постепенных сдвигах контроля в сторону сокращения доли работников и увеличения доли менеджмента и внешних собственников. Так, в период с середины 1994 г. (окончание массовой приватизации и первичное закрепление прав собственности) до середины 1996 г. доля работников в капитале компаний снизилась с 53 до 40%, доля менеджмента увеличилась с 9 до 16%, а внешних инвесторовс 21 до 34%.
3. Компании, возникшие в ходе массовой ваучерной приватизации. Использование метода ваучерной приватизации вполне объяснимо при глобальном огосударствлении экономики и общей нехватке капиталов для нормального выкупа государственного имущества. Он социально справедлив, так как обеспечивает равный доступ к государственной собственности всем гражданам.
Вместе с тем, полученные с помощью ваучеров собственнические права не могут квалифицироваться как полноценное право частной собственности и являются в большинстве случаев лишь стартовым условием для дальнейших переделов или обращения в наличные деньги.
Ваучерные схемы широко использовались во многих странах с переходной экономикой, и число компаний, приватизированных этим методом, относительно велико (особенно в Чехии, Литве, Монголии, России). Ваучерный метод обеспечил быстрый старт приватизации наиболее проблемной части государственных активов крупных промышленных предприятий. Однако изменения в правах собственности и их первичное закрепление не сопровождались столь же быстрой и адекватной рыночным требованиям ре-структуризацией компаний.
Структура собственности в компаниях, образованных в результате ваучерной приватизации, не приводит, как правило, к появлению эффективного стратегического инвестора и соответствующего уровня корпоративного управления. В России, например, в приватизированных ваучерным методом компаниях доля внутренних акционеров в капитале сразу после первичного закрепления прав собственности (1994 г.) составила 6065% (что и стало самым большим резервом для дальнейших переделов), внешних 1822%, а в собственности государства сохранилось в среднем 17% капитала. Всего за один год соотношение негосударственных собственников изменилось в пользу внешних инвесторов, их доля увеличилась до 33% (при этом доля внутренних сократилась в среднем до 56%). Доля государства снизилась до 11 %.



Чем объясняется цикличность развития рынка?


За счет сокращения инвестиций можно временно расширить объем потребления, в особенности если удастся повысить эффективность капиталовложений. Однако в перспективе свертывание инвестиционных программ может отрицательно сказаться на общей динамике народного хозяйства.
В развитых странах сложились довольно разнообразные и нестабильные пропорции между накоплением и потреблением. Многое зависит от циклической конъюнктуры. Чаще всего накопление колеблется в пределах 1520% национального дохода.
Однако, например, в Японии в отдельные годы норма накопления была более 30%.

Структурные кризисы Резкие изменения структуры могут приводить к глубоким и достаточно острым последствиям, охватывающим как национальные, так и международные экономические отношения.
В отличие от циклических кризисов перепроизводства структурные кризисы проявляются в изменении не общей экономической конъюнктуры, а в каких-то отдельных отраслях или сферах экономики. Нередко структурные кризисы оказывают влияние на многие отрасли хозяйства и даже на многие сферы мирового хозяйства.
В определенных условиях структурные кризисы могут оказывать глубокое воздействие на экономическое развитие в течение довольно длительного времени. Например, энергетический кризис, начавшийся с резкого роста мировых цен на нефть в 1973 г., оказал длительное влияние на экономику большинства стран мира. Экономическая история знает также аграрные, валютные, финансовые и другие виды структурных кризисов.
Валютные кризисы выражаются в резкой изменчивости валютных курсов ряда стран. Аграрные кризисы проявляются в периодических затруднениях в реализации сельскохозяйственной продукции на национальных или мировых рынках.

Методы воздействия на экономическую структуру
Экономическая структура не остается раз и навсегда данной. Она подвержена изменениям, причем чем быстрее происходят эти изменения, чем эластичнее подгоняется структура к требованиям времени, тем успешнее развивается экономика. Структурные изменения после Второй мировой войны охватили практически все страны, и хотя пути их не были одинаковыми, можно выделить из них два основных.
В одном превалируют стихийные силы, порождаемые чисто рыночными отношениями. Структура изменяется в результате изменений в норме прибыли. Разоряются или удовлетворяются меньшей доходностью хозяева предприятий, переставших быть перспективными.
Капитал, рабочая сила, предпринимательская энергия устремляются туда, где сегодня стало выгоднее.
Другой путь широкое использование государственных рычагов для ускорения прогрессивных структурных изменений. Здесь обычно применяют необходимые прогнозные оценки, которые помогают заранее определить, какие элементы структуры должны подвергнуться сокращению, а каким целесообразно оказать содействие.
Первый путь с известной степенью условности можно назвать американским. По нему в 80-х гг. шла и Великобритания. Здесь опорой служила преимущественно стихия рынка при пассивном государственном вмешательстве.
Этот путь оказался долгим, со значительными социальными издержками, сопровождался замедленным темпом роста эффективности производства.
Второй путь японский (по которому за Японией вот уже более 40 лет идет Южная Корея), с опорой на централизованные рычаги регулирования, государственное планирование и ускоренный межотраслевой перелив ресурсов. Этот путь более быстрый, с меньшими социальными издержками и значительными темпами роста производительности.



Выводы 1. Экономическое развитие общества многоплановый процесс, охватывающий все сферы экономической деятельности. Показатели динамики экономического развития многочисленны, основным из них является ВВП на душу населения.
2. В связи с трудностями измерения процесса экономического развития в макроэкономике чаще всего анализируют экономический рост, т.е. изменение объема производимых в стране товаров и услуг, хотя это лишь один из критериев экономического развития. Экономический рост может измеряться в физическом и стоимостном выражении.
3. Ведущим фактором экономического роста в настоящее время является научно-технический прогресс. С развитием и освоением достижений НТП интенсивные факторы становятся преобладающими.
4. Современные теории экономического роста развиваются в рамках неоклассического, кейнсианского, неокейнсианского и посткейнсианского направлений, что находит отражение в государственной стратегии экономического развития общества, методах и формах государственного регулирования экономического роста.
5. Экономическое развитие общества происходит неравномерно, включает периоды роста и спада, отражает положительные и отрицательные тенденции.
6. Экономическая теория выделяет ряд циклов экономического развития, среди которых длинноволновые циклы, охватывающие период от 45 до 60 лет, и промышленные экономические циклы с периодом от 8 до 12 лет. Каждые из них имеют свою специфику.
7. Народное хозяйство это сложная система, состоящая из многих макроэкономических элементов, теснейшим образом связанных друг с другом. Соотношение между этими элементами и представляет собой экономическую структуру. Обычно выделяют социальную, отраслевую, воспроизводственную, региональную и внешнеторговую структуры.
8. Отраслевая структура характеризует соотношения между различными отраслями и внутри отраслей.
9. Основным параметром воспроизводственной структуры является соотношение между потреблением и накоплением.
10. Экономическая структура подвержена изменениям. Можно выделить два основных пути ее изменения: стихийный и государственно-регулируемый.



Термины и понятия
Экономическое развитие
Экономический рост
Экономический цикл
Экономическая структура
Структурные кризисы
Отраслевая структура
Воспроизводственная структура



Вопросы для самопроверки 1. Что общего и каковы различия между содержанием понятий «экономическое развитие» и «экономический рост»?
2. Как определяется уровень экономического развития?
3. Что характерно для экономического развития России в 90-е гг.: а) рост ВВП;
б) эволюция форм собственности; в) падение производства; г) структурные сдвиги в экономике; д) формирование рыночных институтов?
4. В чем состоят основные различия между неоклассическими и кейнсианскими концепциями экономического роста?
5. Какую роль отводит Р. Солоу научно-техническому прогрессу в процессе экономического роста? Что выражает так называемый остаток Солоу?
6, В чем заключается специфика государственного регулирования экономического роста в современных условиях?
7. Что лежит в основе развития отраслевой структуры экономики?
8. Почему пропорция между накоплением и потреблением является основной при характеристике воспроизводственной структуры экономики?
9. Чем объясняется цикличность развития рыночной экономики?
10.Чем отличаются длинноволновые циклы экономического развития от промышленных экономических циклов?





















































Чем определяется форма кривых IS и LM


Равновесие означает, что общая структура производства приведена в соответствие со структурой потребления. Условием рыночного равновесия служит равновесие спроса и предложения на всех основных рынках.
Напомним, что согласно кейнсианским взглядам рынок не обладает внутренним механизмом, способным обеспечивать равновесие на макроуровне. Необходимо участие государства в этом процессе. Для анализа положения о равновесии при неполной занятости была предложена упрощенная модель Кейнса.
Для исследования взаимосвязи процентной ставки и национального дохода на рынке товаров и рынке денег была разработана другая схема, объединившая анализ этих двух рынков.




Модель IS LM
Проблема общего равновесия на рынке товаров и рынке денег проанализирована английским экономистом Джоном Хиксом в его труде «Стоимость и капитал» (1939 г.). В качестве инструмента анализа равновесия Хикс предложил модель ISLM. IS означает «инвестиции сбережения»; LM «ликвидность деньги» (L спрос на деньги; М предложение денег).
В разработке модели, объединившей реальный и денежный секторы экономики, также принимал участие американец Элвин Хансен, и поэтому ее называют моделью ХиксаХансена.
Первая часть модели призвана отразить условие равновесия на рынке товаров, вторая на рынке денег. Условием равновесия на рынке товаров служит равенство инвестиций и сбережений; на денежном рынке равенство между спросом на деньги и их предложением (денежной массой).
Изменения на рынке товаров вызывают определенные сдвиги на рынке денег и наоборот. Согласно Хиксу равновесие на обоих рынках определяется одновременно нормой процента и уровнем дохода, иначе говоря, оба рынка определяют одновременно уровень равновесного дохода и равновесный уровень нормы процента.
Модель несколько упрощает картину: предполагается неизменность цен, короткий период, равенство сбережений и инвестиций, спрос на деньги соответствует их предложению.

Чем определяется форма кривых IS и LM
Кривая IS показывает соотношение между процентной ставкой (r) и уровнем дохода (Y), который определяется кейнсианским равенством: S = I. Сбережения (S) и инвестиции (I) зависят от уровня доходов и процентной ставки.
Кривая IS отображает равновесие на рынке товаров. Инвестиции находятся в обратной зависимости от нормы процента. К примеру, при низкой норме процента инвестиции будут расти.
Соответственно увеличится доход (Y) и несколько вырастут сбережения (S), а норма процента снизится, чтобы стимулировать превращение S в I. Отсюда изображенный на 25.4 наклон кривой IS.


Чем определяется форма кривых IS и LM



25.4, Кривая IS


Кривая LM ( 25.5) выражает равновесие спроса и предложения денег (при данном уровне цен) на денежном рынке. Спрос на деньги растет по мере увеличения дохода (Y), но при этом повышается процентная ставка (r). Деньги дорожают, «подталкивает» возрастающий спрос на них. Рост процентной ставки призван смерить этот спрос.
Изменение нормы процента способствует достижению некоторого равновесия между спросом на деньги и их предложением.
Если норма процента устанавливается на слишком высоком уровне, владельцы денег предпочитают приобретать ценные бумаги. Это «загибает» кривую LM вверх. Норма процента падает, постепенно вновь восстанавливается равновесие.



Чем определяется форма кривых IS и LM



25.5. Кривая LM
Равновесие на каждом из двух рынков рынке товаров и рынке денег устанавливается не автономно, а взаимосвязанно. Изменения на одном из рынков неизменно влекут за собой соответствующие сдвиги на другом.

Взаимодействие двух рынков Точка пересечения IS и LM удовлетворяет двойному условию (денежного) равновесия: во-первых, равновесию сбережений (S) и инвестиций (I); во-вторых, равновесию спроса на деньги (L) и их предложения (М). «Двойное» равновесие устанавливается в точке Е, когда IS пересекает LM ( 25.6).


Чем определяется форма кривых IS и LM



25.6. Равновесие на двух рынках


Допустим, улучшаются перспективы инвестиций; норма процента остается неизменной. Тогда предприниматели расширят вложения капиталов в производство. В итоге в силу мультипликационного эффекта увеличится национальный доход. С возрастанием дохода заработает обратная связь. На рынке денег возникнет недостаток денежных средств, нарушится равновесие на данном рынке.
Повысится спрос участников хозяйственной деятельности на деньги. В результате поднимется норма процента.
Процесс взаимовлияния двух рынков на этом не заканчивается. Более высокая норма процента «притормозит» инвестиционную деятельность, что в свою очередь отразится на уровне национального дохода (он несколько снизится).
Теперь макроравновесие установилось в точке Е1 на пересечении кривых IS1 и LM.
Равновесие на рынке товаров и на рынке денег определяется одновременно нормой процента (r) и уровнем дохода (Y). Например, равенство между сбережениями и инвестициями может быть выражено следующим образом:S(Y) = I (r).
Равновесность регулирующих инструментов (r и Y) на том и другом рынках формируется взаимосвязанно и одновременно. При завершении процесса взаимодействия двух рынков устанавливается новый уровень r и Y
Модель IS LM получила признание Кейнса и стала весьма популярной. Эта модель означает конкретизацию кейнсианской трактовки функциональных взаимосвязей на товарном и денежном рынках. Она помогает представить функциональные зависимости на этих рынках, схему денежного равновесия по Кейнсу, влияние экономической политики на экономику.
Модель способствует обоснованию финансовой и денежной политики государства, выявлению их взаимосвязи и результативности. Интересно, что модель ХиксаХансена используется сторонниками как кейнсианского, так и монетаристского подходов. Тем самым достигается своеобразный синтез этих двух школ.
Вывод из модели таков: если уменьшается предложение денег, то условия кредита ужесточаются, процентная ставка повышается. В результате спрос на деньги несколько снизится. Часть денег будет использована на приобретение более выгодных активов.
Равновесие спроса на деньги и их предложения нарушится, затем установится в новой точке. Процентная ставка здесь будет ниже, а денег в сфере обращения меньше. В этих условиях центральный банк скорректирует свою политику: предложение денег возрастет, процентная ставка снизится, т.е. процесс пойдет как бы в обратном направлении.

Равновесие в статике и динамике Допустим, в обществе достигнуто общее равновесие. Попробуем представить, сколь длительное время будет сохраняться равновесное состояние основных параметров? Как известно, экономика находится в постоянном движении, непрерывном развитии: изменяются фазы цикла, конъюнктура, доходы, происходят сдвиги в спросе.
Все это говорит о том, что равновесное состояние только условно может рассматриваться как статичное. Согласование спроса и предложения, взаимосвязь основных звеньев хозяйства достигаются лишь в развитии, динамике, а равновесие в текущий момент является лишь его предпосылкой.
Равновесие в экономике это такое состояние системы, в которое она постоянно возвращается в соответствии со своими собственными закономерностями. В случае нарушения равновесности существенное значение приобретает общая направленность процесса, иначе говоря, речь идет об усилении неравновесности или, напротив, о ее ослаблении.
Общее экономическое равновесие это сбалансированность всей экономики страны, система взаимосвязанных и взаимосогласованных пропорций во всех сферах, отраслях, на всех рынках, у всех участников экономической деятельности, обеспечивающая нормальное развитие национального хозяйства.


Выводы 1. Экономическое равновесие это такое состояние экономики, при котором произведенная продукция реализована, а спрос удовлетворен. Оно предполагает, что имеющиеся рабочая сила и производственные мощности используются полностью, нарушаемые пропорции постоянно восстанавливаются.
Экономическое равновесие это согласованное, равновесное развитие всех рынков: товаров и услуг, рабочей силы, денег, капиталов, ценных бумаг. Оно достигается в ходе взаимодействия и взаимоприспособления всех сфер, секторов, факторов производства.
2. Теорию общего рыночного равновесия разработал экономист и математик Л. Вальрас, утверждавший, что всякое рыночное хозяйство стремится к равновесию в виде тенденции. Основным инструментом реализации взаимозависимости и достижения взаимосогласованных пропорций является обмен. Дж.
Хикс, Э. Хансен и другие теоретики сформулировали условия равновесия, определили методы достижения равновесности в экономике.
3. Теория общего равновесия предполагает проведение четкого разграничения между «идеальной» моделью (моделями) и фактическим состоянием равновесности экономической системы.
4. Основоположником методологии макроэкономического анализа является Дж.М. Кейнс. Именно он ввел в практику функциональный анализ макропоказателей, показал ограниченность классической теории общего равновесия.
Модели Кейнса и его последователей, в том числе модели ADAS, ISLM, помогают уяснить взаимосвязанность основных макропоказателей, представить картину общего рыночного равновесия в динамике.
В отличие от монетарной концепции, согласно которой равновесие в экономике устанавливается автоматически, кейнсианцы исходят из того, что для достижения соответствия между основными параметрами рынка необходимо участие внешних факторов, вмешательство государства.
5. В переходной экономике достижение равновесности является одной из целей проводимых преобразований. Переход к рыночной системе равновесности весьма сложный, противоречивый и длительный процесс.


Термины и понятия Совокупный спрос
Совокупное предложение
Макроэкономическое равновесие
Равновесие на товарном и денежном рынках
«Ловушка ликвидности»
Модель AD AS
Модель ISLM
Макроэкономическая неравновесность
Условия общего равновесия
Закон Вальраса
Теория макроэкономического равновесия Кейнса



Вопросы для самопроверки 1. Какие неценовые факторы оказывают в настоящее время наиболее существенное влияние на совокупный спрос и совокупное предложение в российской экономике?
2. Какое влияние на совокупный спрос и совокупное предложение оказывают следующие факторы:
сокращение экспорта нефти вследствие падения производства;
снижение мировых цен на жидкое топливо и цветные металлы?
3. Если ВВП увеличился на 4%, а совокупный доход на 2%, то к каким последствиям это должно привести? Что произойдет, если, напротив, ВВП возрастет на 2%, а совокупный доходна 4%?
4. Сравните общее и частичное экономическое равновесие. В чем состоят различие и взаимосвязь между ними?
5. Как взаимодействуют кривые совокупного спроса и совокупного предложения в кейнсианской модели ADAS?
6. Поясните, как устанавливается равновесие на рынке денег и рынке товаров по модели ISLM.
7. Поясните, может ли иметь место общее равновесие при наличии диспропорций в экономике? В чем состоят преимущества рыночной системы макрорегулирования и обеспечения общего равновесия?










Члены и участники биржи


В ряде стран действует п о л и ц е н т р и ч е с к а я б и р ж е в а я с и с т е м а , при которой примерно равные позиции занимают несколько центров фондовой торговли. Так произошло в Канаде, где лидируют биржи Монреаля и Торонто, и в Австралии, где лидерство принадлежит биржам Сиднея и Мельбурна.
Фондовый рынок США в этом плане специфичен: он настолько обширен, что найглось место и для общепризнанного лидера Нью-Йоркской фондовой биржи, и еще одной крупной биржи Американской фондовой биржи; кроме того, в стране функционирует ряд крупных провинциальных бирж. Число их за послевоенные годы сократилось, но оставшиеся достаточно прочно стоят на ногах. Поэтому биржевую систему США надо классифицировать как построенную по смешанному типу.

Члены и участники биржи Деятельность биржи строго регламентирована правительственными документами и уставом биржи. В уставе прежде всего определяются возможные члены биржи, условия их приема, порядок образования и управления биржей. В России членами фондовой биржи могут быть любые профессиональные участники рынка ценных бумаг.
Таким образом, на бирже царствуют посредники.
Российская фондовая биржа организует торговлю только между членами биржи. Другие участники рынка ценных бумаг могут совершать операции на бирже исключительно через посредничество членов биржи. Фондовые отделы товарных и валютных бирж в соответствии с Федеральным законом «О рынке ценных бумаг» также признаются фондовыми биржами.
Согласно российскому законодательству не допускается: неравноправное положение членов фондовой биржи, временное членство, а также сдача мест в аренду и их передача в залог лицам, не являющимся членами данной фондовой биржи.
Круг бумаг, с которыми проводятся сделки на бирже, ограничен. Чтобы попасть в число компаний, бумаги которых допущены к биржевой торговле (иными словами, чтобы акции фирмы были приняты к котировке), фирма должна удовлетворять выработанным членами биржи требованиям в отношении объемов продаж, размеров получаемой прибыли, числа акционеров, рыночной стоимости акций, периодичности и характера отчетности и т.д. Члены биржи или государственный орган, контролирующий их деятельность, устанавливает правила ведения биржевых операций, режим, регулирующий допуск к котировке. Процедура включения акций в котировочный лист биржи называется л и с т и н г о м .
Число акционерных обществ измеряется десятками и сотнями тысяч (в США несколькими миллионами), а на биржах счет котирующимся компаниям идет на сотни, в лучшем случае на тысячи. Так, на лондонской бирже представлены акции примерно 2800 компаний, на Нью-Йоркской около 1700. Это самые крупные и известные в стране акционерные общества.
В России включение региональных торговых биржевых площадок в торговую систему Московской межбанковской валютной биржи (крупнейшей фондовой биржи в стране) первый шаг на пути образования единого общероссийского рынка ценных бумаг. В свою очередь, инфраструктурная база, создаваемая в регионах с помощью торговой сети по государственным ценным бумагам, открывает перспективу внедрения высокотехнологичной системы торгов и по негосударственным фондовым инструментам. До сих пор региональная обособленность наряду с неразвитостью инфраструктуры являются серьезным препятствием для мобилизации относительно свободных денежных средств.
Из потенциальных претендентов на биржевую котировку следует исключить товарищества, общества с ограниченной ответственностью и акционерные общества закрытого типа, так как их вклады и акции не могут обращаться на рынке.
Что касается акционерных обществ открытого типа, то они различаются по масштабам деятельности. Для крупных и быстро растущих обществ привлечь внимание к своим акциям не составляет труда, тогда как для остальных это трудноразрешимая задача. Поэтому с точки зрения интенсивности обращения акций акционерные общества расслаиваются.
По одним бумагам спрос и предложение настолько велики, что сделки заключаются не просто каждый день, а помногу раз в день, по другим же один раз в несколько недель или месяцев. Отсюда вывод: в первом случае котировка на бирже целесообразна, во втором нет. Ведь за котировку надо платить, а зачем платить, если сделок будет мало.

Внебиржевой рынок
Совершенно очевидно, что существование внебиржевого рынка ценных бумаг необходимо. На нем представлено немало солидных фирм, чьи размеры «не дотягивают» до биржевых стандартов (прежде всего по количеству выпущенных в обращение акций и степени их надежности). Внебиржевой рынок является также «инкубатором», где выращиваются компании, акции которых со временем перемещаются на биржу.
Основу внебиржевого рынка составляет компьютеризированная сеть связи, по каналам которой передается информация о миллиардах котируемых акций. По крайней мере, часть этих бумаг отличает более высокий уровень спекулятивности. Поэтому многие «игроки» предпочитают внебиржевой рынок.
Информация о сложившихся на нем за день ценах, об объемах совершенных сделок регулярно печатается наряду с данными биржевого оборота.
В отличие от биржи внебиржевой рынок не локализован и представляет собой взаимосвязанную сеть фирм, ведущих операции с ценными бумагами. Размеры внебиржевых рынков существенно различаются в зависимости от стран, где они функционируют. Скажем, в США по стоимостному объему операций он практически сравнялся с оборотом центральной, Нью-Йоркской фондовой биржи; в Японии же он составляет лишь малую долю биржевого оборота.
В России основной оборот ценных бумаг приходится на внебиржевой рынок.
Главная особенность внебиржевого рынка заключается в системе ценообразования. Фирма, ведущая операции с ценными бумагами вне биржи, действует следующим образом: она покупает их на собственные средства, а затем перепродает. С клиента не взимается комиссионная плата, как на бирже, но ценные бумаги продаются ему с надбавкой к цене, по которой они были приобретены фирмой, либо покупаются со скидкой по отношению к той цене, по которой они в дальнейшем будут перепроданы.
Такая наценка или скидка и образует прибыль посреднической фирмы.
Через внебиржевой рынок проходит основная продажа облигаций государственных займов и акций мелких фирм, не включенных в биржевые списки. Внебиржевая торговля ценными бумагами осуществляется посредством личных и телефонных контактов, а также через электронный внебиржевой рынок, включающий специальные компьютерные телекоммуникационные системы.
Биржевой механизм, разработанный еще в средние века, менее гибок по сравнению с внебиржевым. Безусловно, технический прогресс ведет к развитию систем внебиржевой торговли, которые более дешевы, гибки и эффективны. Но их основные характеристики информационная прозрачность, гарантированность и надежность уступают биржевым.
Именно эти качества создают определенные преимущества для биржевой торговли на этапе становления фондового рынка.

Модели фондовой биржи и внебиржевого рынка
В чем еще отличия англо-американской модели фондового рынка от западноевропейской? Схематично их суть можно изобразить следующим образом: в одной модели контрольные пакеты акций обычно невелики и поэтому основная их масса свободно обращается на рынке; в другой модели подавляющая доля акций в контрольных пакетах и, следовательно, на рынке обращается относительно немного акций. Первую модель можно обозначить как англо-американскую, вторую как западноевропейскую (континентальную).
При всей условности такой схемы различия между моделями отражают суть происходящего в реальной жизни. В англо-американской модели акций на фондовой бирже и внебиржевом рынке много, а значит, велика вероятность наличия большого числа инвесторов, желающих их купить и продать. Следовательно, можно сформировать пакет акций, перехватить контроль над компанией. В западноевропейской модели такая возможность менее вероятна. Переход компании из рук в руки может произойти только по желанию прежних владельцев.
Обороты акций на бирже и внебиржевом рынке невелики.

Фондовый рынок России
Российский рынок ценных бумаг относится к р а з в и в а ю щ и м с я р ы н к а м. Общая капитализация российского фондового рынка в 1998 г. достигла 50 млрд долл. Средний дневной оборот торгов в долларовом выражении до 17 августа 1998 г. составлял около 100 млн долл. По темпам роста этих показателей фондовый рынок России был лидером среди развивающихся рынков. Вместе с тем за счет эмиссии корпоративных ценных бумаг финансировалось менее 1% внебюджетных инвестиций против 1040% в странах с развитой экономикой.
Поэтому пока рано говорить о какой-либо сформировавшейся модели российского рынка ценных бумаг.
В России развитие фондового рынка происходило в двух направлениях: создание, во-первых, собственно фондовых бирж и, во-вторых, универсального внебиржевого рынка различных финансовых инструментов и валюты, также обеспечивающего участников полным набором услуг от организации торгов до осуществления клиринга и расчетов как по ценным бумагам, так и по денежным средствам.
Примером первого направления является Московская межбанковская валютная биржа (ММВБ), второго Российская торговая система (РТС). На сегодняшний день сохраняются различия в торгуемых финансовых инструментах. Если РТС продолжает оставаться организатором торгов по акциям, то ранее специализированные биржи по торговле акциями и облигациями (например, Московская фондовая биржа) пытаются формировать рынок валюты и рынок деривативов.
Пионерами универсальных фондовых бирж остаются ММВБ и Санкт-Петербургская валютная биржа (СПВБ), которые с 1997 г. организуют торги практически по всем видам финансовых инструментов и валюте. В целом тенденция универсализации фондового рынка в России прослеживается.



Действие закона спроса ограничено в следующих случаях:


Понятие «спрос» отражает желание и возможность приобрести товар. Если отсутствует одна из этих характеристик, отсутствует и спрос. Например, у некоего потребителя есть желание приобрести автомобиль за 15 тыс. долл., однако он не располагает такой суммой.
В данном случае есть желание, но нет возможности, поэтому спрос на автомобиль со стороны данного потребителя отсутствует. Действие закона спроса ограничено в следующих случаях:
при ажиотажном спросе, вызванном ожиданием повышения цен;
для некоторых редких и дорогих товаров, покупка которых является средством накопления (золото, серебро, драгоценные камни, антикварные изделия и т.п.);
при переключении спроса на более новые и качественные товары (например, с пишущих машинок на домашние компьютеры; снижение цен на пишущие машинки не приведет к повышению спроса на них).
Изменение количества товара, которое покупатели хотят и могут купить, в зависимости от изменения цены этого товара называют изменением величины спроса. На 6.1 графически изображена зависимость между ценой костюма и величиной спроса на него в магазине. Изменение величины спроса это движение по кривой спроса.





Действие закона спроса ограничено в следующих случаях:




6.1. График спроса: Р цена; Q величина спроса

Если цена костюма снизится с 2 тыс. до 1 тыс. руб., то величина спроса на него возрастет с 200 до 400 шт. ежедневно. И наоборот.
Однако цена является не единственным фактором, оказывающим влияние на желание и готовность потребителей приобрести товар. Изменения, которые вызваны воздействием всех других факторов, кроме цены, называют изменением спроса. Все другие факторы (так называемые неценовые) воздействуют как в сторону увеличения, так и в сторону уменьшения спроса.
К неценовым факторам относятся:
изменения в доходах населения. Если доходы населения растут, то у покупателей возникает желание приобретать больше товаров вне зависимости от цен на них. Например, растет спрос на высококачественные одежду и обувь, товары длительного пользования, недвижимость и т.п.;
изменения в структуре населения. Например, увеличение рождаемости приводит к росту спроса на детские товары; старение населения влечет за собой увеличение спроса на лекарства, предметы ухода за пожилыми людьми;
изменение цен на другие товары. К примеру, повышение цен на говядину может привести к росту спроса на продукт - заменитель свинину и т. п.;
изменение вкусов потребителей, изменения моды, привычек, а также другие факторы, не связанные с ценой.
На графике влияние неценовых факторов на спрос ( 6.2) ;может быть изображено как сдвиг кривой спроса вправо (рост опроса) или влево (снижение спроса).



Действие закона спроса ограничено в следующих случаях:





6.2. Влияние неценовых факторов на спрос: D первоначальный спрос; D1 возросший спрос; D2 уменьшившийся спрос

Что такое предложение? Предложение это количество товара, которое хотят и могут 'предложить на рынок продавцы за определенный промежуток времени при всех возможных ценах на этот товар.
Закон предложения состоит в том, что при прочих равных условиях количество предлагаемого продавцами товара тем выше, чем выше цена этого товара, и наоборот, чем ниже цена, тем ниже величина его предложения.
На 6.3 графически изображена зависимость между ценой товара и его количеством, которое продавцы готовы предложить на продажу. Движение вдоль кривой предложения называют изменением величины предложения.



Действие закона спроса ограничено в следующих случаях:




6.3. График предложения:Pцена; Овеличина предложения

Как видно из приведенного графика, если цена костюма повысится с 1 тыс. до 2 тыс. руб., то количество предлагаемых костюмов увеличится с 200 до 400 шт. ежедневно. И наоборот.
Помимо цены на предложение оказывают воздействие и неценовые факторы, среди которых можно выделить следующие:
изменение издержек фирмы. Снижение издержек в результате, например, технических нововведений или снижения цен на сырье и материалы приводит к росту предложения. Увеличение издержек вследствие повышения цен на сырье или введения дополнительных налогов на производителя вызывает уменьшение предложения;
изменение количества фирм в отрасли. Их увеличение (уменьшение) приводит к росту (сокращению) предложения;
природные катастрофы, войны.
На графике влияние неценовых факторов на предложение ( 6.4) может быть изображено как сдвиг кривой предложения вправо (рост предложения) или влево (сокращение предложения). В данном случае говорят об изменении предложения.



Действие закона спроса ограничено в следующих случаях:


6.4. Влияние неценовых факторов на предложение: S первоначальное предложение: S1 возросшее предложение; S2 уменьшившееся предложение


Равновесная цена Равновесная (рыночная) цена устанавливается под воздействием опроса и предложения. На 6.5 представлен график равновесия. При данной равновесной цене желание и готовность покупателей приобрести товар, а также желание и готовность продавцов его продать совпадают.

Действие закона спроса ограничено в следующих случаях:


6.5. Равновесие на рынке: Р равновесная цена; Q равновесный объем продаж

Равновесие означает, что все покупатели, которые могут и хотят приобрести данный товар по цене Р, приобретут его, а все продавцы, которые желают и готовы продать товар по цене Р, продадут его. При этом на рынке не будет ни дефицита, ни излишков данного товара.
Что произойдет, если цена повысится и станет равна Р1?. В этом случае желания продавцов и покупателей не совпадут. Покупатели при такой цене будут готовы приобрести товар в количестве Q1 а продавцы захотят предложить его в количестве Q2. Продукция в объеме Q2 Q1 представит собой излишек на рынке, который не будет куплен.
Как поступят продавцы? Для того чтобы продать излишки, они предоставят покупателям скидки, цена начнет падать до тех пор, пока не установится на уровне Р.
Аналогичная картина создастся, если цена окажется ниже равновесной, т.е. будет равна Р2 Несовпадение интересов продавцов и покупателей выразится в возникновении дефицита товара в объеме Q1 Q2 . Желающие купить недоступный товар будут переплачивать до тех пор, пока цена не поднимется до уровня цены равновесия Р.
На рынке действует закон рыночного ценообразования, который состоит в следующем:
1. Цена на рынке стремится к такому уровню, при котором спрос равен предложению.
2. Если под воздействием неценовых факторов произойдет изменение в спросе или предложении, то установится новая равновесная цена, соответствующая новому состоянию спроса и предложения.


Рыночный механизм спроса и предложения Как действует рыночный механизм спроса и предложения? Что произойдет, если спрос на какой-либо товар изменится в результате влияния неценовых факторов? Предположим, что спрос на некий товар А повысился, так как этот товар стал более модным.
Повышение спроса на графике ( 6.6) отразится как сдвиг кривой спроса вправо (из положения D в положение D1). В результате установится новая равновесная цена P1, которая выше цены первоначального равновесия Р, а продавцы начнут предлагать больше товара (Q1). Высокая рыночная цена в дальнейшем привлечет новых продавцов к производству и продаже товара А, что приведет к росту предложения. Кривая предложения переместится вправо (из положения S в положение S1).
Результатом подобных изменений станет новое равновесие (Р2, Q2). Такие изменения на рынке происходят постоянно, поэтому понятие равновесной цены может быть применимо только к данному конкретному моменту.


Действие закона спроса ограничено в следующих случаях:





6.6. Спрос, предложение, цена


Регулирование цены. Цены «пола» и «потолка»
Рыночный механизм действует таким образом, что любое нарушение равновесия влечет за собой его автоматическое восстановление. Однако иногда равновесие нарушается искусственно либо в результате вмешательства государства, либо вследствие деятельности монополий, заинтересованных в поддержании монопольно высоких цен.
«Цена пола» установленная минимальная цена, ограничивающая дальнейшее ее снижение. «Цена потолка», напротив, ограничивает повышение цены.
Цены пола и потолка могут быть установлены государством, регулирующим ценообразование на рынке. Например, государство при осуществлении социальной политики может установить максимальные цены на отдельные виды продуктов питания (потолок цен), выше которых продавцы не вправе устанавливать свои цены.
Примером цены пола может служить запрет на торговлю товарами по ценам ниже их себестоимости.
Можно указать на многочисленные случаи завышения цен на продовольственные товары, в частности на пшеницу и кукурузу в США, посредством предоставления субсидий фермерам с тем, чтобы спасти их от разорения и обеспечить им достаточный уровень жизни. Однако при завышении цены образуются излишки непроданного товара. В Соединенных Штатах Америки излишки зерновых скупаются федеральным правительством за счет средств госбюджета и в дальнейшем экспортируются.
В противном случае одно лишь декларативное установление завышенной цены не дало бы никакого результата.
С ценами потолка, регулируемыми государством, мы сталкиваемся чаще. К примеру, в России в качестве цен потолка можно рассматривать устанавливаемые ограничения на железнодорожные тарифы, стоимость топлива и электроэнергии и т.п.
Цены потолка занижены по сравнению с равновесной ценой и препятствуют повышению рыночной цены до уровня равновесия. Заниженные цены обычно устанавливаются в результате политики государства, направленной на «замораживание» цен, т.е. фиксирование их на определенном уровне с тем, чтобы приостановить инфляцию и воспрепятствовать снижению жизненного уровня. Нехватку товаров, которая возникает как результат занижения цен по сравнению с уровнем равновесия, обычно решают с помощью рационирования спроса путем введения карточной системы или других систем нормированного распределения.



Денежно-кредитная политика и модель ADAS


Денежно-кредитная политика имеет значительный в н е ш н и й л а г (время от принятия решения до его результата), так как влияние ее на размер ВВП в значительной степени связано через колебания процентной ставки с уменьшением инвестиционной активности в экономике, что является достаточно длительным процессом. Это также осложняет ее проведение, ибо запаздывание результата может даже ухудшить ситуацию. Скажем, антициклическое расширение денежной массы (и снижение процентной ставки) для предотвращения спада может дать результат, когда экономика будет уже на подъеме и вызовет нежелательные инфляционные процессы.
Углубить представление о денежно-кредитной политике можно с помощью модели совокупного спроса совокупного предложения (модели ADAS). Денежно-кредитная политика, подобно фискальной (см. гл. 27), ограничивается факторами, заключенными в кривой предложения.
Другими словами, причинно-следственная связь, представленная на 23.6, исходит из того, что денежно-кредитная политика воздействует прежде всего на инвестиционные расходы и тем самым на реальный объем производства и уровень цен. Модель ADAS, и в частности кривая совокупного предложения, объясняет, как изменения в инвестициях распределяются между изменениями в реальном объеме производства и изменениями в уровне цен.




Денежно-кредитная политика и модель ADAS




23.6. Денежно-кредитная политика и модель ADAS


Рассмотрим 23.6. Определяя положение данной кривой совокупного спроса, предполагаем, что денежное предложение фиксировано. Расширение денежного предложения смещает кривую совокупного спроса вправо.
Большое денежное предложение позволяет экономике достигнуть большого реального объема производства при любом данном уровне цен. Сокращение денежного предложения, наоборот, сдвигает кривую совокупного спроса влево.
Таким образом, можно заметить, что, если экономика находится в состоянии спада и характеризуется почти горизонтальным кейнсианским отрезком кривой совокупного спроса, политика «дешевых денег» сместит кривую совокупного спроса из положения AD1 в положение AD2 и сильно повлияет на реальный объем производства и занятость. Однако оно вызовет существенное повышение уровня цен. На 23.6 это показано смещением совокупного спроса из положения AD3 в положение AD1 на классическом, или вертикальном, отрезке кривой совокупного предложения.
Само собой разумеется, что политика «дешевых денег» явно неуместна, когда экономика достигла или близка к состоянию полной занятости. Рисунок 23.6 указывает причину: она привела бы к высокой инфляции.
В целом денежно-кредитная политика сталкивается с рядом ограничений и проблем:
1) избыточные резервы, появляющиеся в результате политики «дешевых денег», могут не использоваться банками для расширения предложения денежных ресурсов;
2) вызванное денежно-кредитной политикой изменение денежного предложения может быть частично компенсировано изменением скорости обращения денег;
3) воздействие денежно-кредитной политики ослабится, если кривая спроса на деньги станет пологой, а кривая спроса на инвестиции крутой; к тому же кривая спроса на инвестиции может сместиться, нейтрализовав денежно-кредитную политику.
В результате руководящие органы банковской системы сталкиваются с дилеммой в области денежно-кредитной политики: они могут стабилизировать процентные ставки или предложение денег, но не то и другое одновременно. В период после Второй мировой войны направление денежно-кредитной политики переместилось со стабилизации процентных ставок на контроль за денежным предложением, а затем денежно-кредитная политика стала более прагматической.

Современные тенденции в денежно-кредитной политике
Основными приемами денежно-кредитного регулирования в соответствии с неокейнсианскими рекомендациями являются изменение официальной учетной ставки центрального банка; ужесточение или ослабление прямого ограничения объема банковских ссуд в зависимости от размеров совокупного спроса и занятости, уровня валютного курса, масштабов инфляции; использование операций с государственными облигациями преимущественно для стабилизации их курсов и понижения цены государственного кредита.
Принципиальное отличие техники денежно-кредитного контроля на основе монетаристского подхода состоит во введении количественных ориентиров регулирования, изменение которых обусловливает изменение направления денежно-кредитной политики. Выбор того или иного показателя в качестве ориентира денежно-кредитной политики во многом определяет и главные объекты, и саму технику денежно-кредитного контроля. Такими показателями могут быть как совокупная денежная масса, так и ее отдельные агрегаты.
Особо следует подчеркнуть, что государственные органы стран с рыночной экономикой в последнее время все чаще используют «политику развития конкуренции» в банковской сфере, т.е. стимулируют конкуренцию, расчищают для нее место, включая и меры, .направленные против антиконкурентного сотрудничества. В рамках этой политики находятся и предпринимаемые в последние годы во многих странах действия по либерализации внутренних и международных финансовых рынков, отмене контроля над процентными ставками и ряда ограничений для банков на проведение сделок на рынках ценных бумаг и на другие виды финансовой деятельности. При этом широкий доступ иностранных банков на местные рынки часто рассматривается как необходимый фактор повышения эффективности последних.

Основные направления и инструменты денежно-кредитной политики России
Главные задачи в данной области определены в ежегодно разрабатываемых Центральным банком РФ Основных направлениях денежно-кредитной политики и совместных заявлениях Правительства РФ и Центрального банка РФ об экономической политике.
В 1994 первой половине 1998 г. наиболее действенным средством выполнения основной задачи денежно-кредитной политики сдерживания инфляции было соблюдение положений ежегодно разрабатываемой Денежной программы, предусматривающей целевые ориентиры в денежно-кредитной сфере. При разработке этой программы Банк России исходил из прогнозируемых показателей состояния экономики (изменения в ее отдельных секторах и ВВП в целом, инфляции, дефицита государственного бюджета, международных резервов и др.), устанавливал поквартальные предельные величины роста денежной массы и денежной базы, а также другие целевые показатели. Осуществление этой политики в указанный период имело следствием замедление темпов инфляции в 1995 первой половине 1998 г.
Вместе с тем, по мнению ведущих российских специалистов, главная причина денежно-кредитного и финансового кризиса 1998 г. это ошибочная экономическая и денежно-кредитная политика Правительства и Банка России. Она не была ориентирована на подъем и повышение эффективности реальной экономики, так как опора делалась главным образом на весьма жесткий монетаризм. В то же время материальное производство (реальный сектор) основа любой экономики с каждым годом сокращался. Банковская система оказалась заложницей такой политики.
К тому же значительная часть ее капиталов использовалась для финансирования большого дефицита государственного бюджета с использованием пирамиды ГКО и других ценных бумаг.
Отказ Правительства от платежей по ГКО в целом блокировал почти 16% активов, а по крупным банкам 4050% активов, которые рассматривались банками как наиболее ликвидные и надежные.
Для преодоления банковского кризиса был принят план реструктуризации (новация государственных ценных бумаг), создано Агентство по реструктуризации кредитных организаций, ряду банков выданы стабилизационные кредиты (около 17 млрд руб.) и т.д.
До августа 1998 г. денежно-кредитная политика создавала стимулы для концентрации и использования ресурсов банков на обеспечение расходов бюджета. Более разумным путем является кардинальная переориентация финансовых потоков, которые концентрируются в банковской системе. Банковские ресурсы должны использоваться главным образом в операциях с реальным сектором.
В качестве приоритетных направлений государственной поддержки могут быть выделены:
стимулирование внешнеэкономической деятельности;
инвестиционные проекты в развитие передовых технологий и отрасли промышленности, прежде всего в экспортное производство и импрртозамещение;
обеспечение реструктуризации и повышения эффективности сельского хозяйства; кредитование жилищного строительства (ипотека).
Одновременно в рамках предложений Банка России предусматривается определение структурных приоритетов промышленности и региональной политики, а также создание системы финансовых стимулов развития реального сектора, включая государственные гарантии по кредитам.


Выводы 1. Деньги являются особым товаром, служащим всеобщим эквивалентом. Они выполняют функции меры стоимости, средства обращения, накопления, сбережения и образования сокровищ, платежа.
2. Денежный оборот складывается из наличных и безналичных денег. Под наличными деньгами понимаются монеты и банкноты, под безналичными средства на безналичных счетах в банках, а также вклады в депозитные сертификаты и государственные ценные бумаги.
3. Кредит это движение ссудного капитала (денежного капитала), предоставляемого в ссуду на условиях возвратности за плату в виде процента. Он выступает в двух основных формах: коммерческого и банковского кредита.



Денежный сектор -часть экономического кругооборота


Вексель (переводной) см. Тратта
Вексель (простой) обязательство, выдаваемое заемщиком на имя кредитора, содержащее в себе указание места и времени выдачи долгового обязательства, суммы последнего, места и времени платежа
Вмененные издержки альтернативные издержки использования ресурсов, являющихся собственностью фирмы
Внешняя торговля на основе эффекта масштаба теория, объясняющая торговый обмен между странами дифференцированной продукцией одной отрасли тем, что им выгодно специализироваться на торговле товарами, при создании которых они получают экономию на масштабе производства
Внутренняя норма доходности (рентабельности) относительный показатель эффективности инвестиционного проекта
Внутриотраслевая конкуренция соперничество между предпринимателями, занятыми производством и реализацией одинаковой или взаимозаменяемой продукции
Входные барьеры (барьеры входа, вхождения) факторы, препятствующие проникновению в отрасль (на рынок) новых конкурентов посредством возрастания риска и увеличения затрат для новых фирм
Выходные барьеры (барьеры выхода) факторы социально-политического и экономического характера, препятствующие уходу из отрасли (с рынка) фирм с низкой рентабельностью или убыточных
Возрастная структура основмлх фондов разбивка основных фондов по возрастным категориям и их соотношение



Г


Глобализация процесс превращения мирового хозяйства в единый рынок товаров, услуг, рабочей силы и капитала
Горная рента в хозяйственной жизни обычно представлена теми специальными налогами (на пользование недрами, на воспроизводство минерально-сырьевой базы и др.), которые добывающая компания платит главному собственнику природных ресурсов государству
Государственное регулирование экономики процесс воздействия государства на хозяйственную жизнь общества и связанные с ней социальные процессы, в ходе которого реализуется экономическая и социальная политика государства, основанная на определенной доктрине (концепции). Она включает момент целеполагания, целеустановки, причем для достижения поставленных целей используется определенный набор средств (инструментов)
Государственный долг накопленная задолженность государственных органов
Государственный сектор экономики (госсектор) -~ совокупность предприятий и организаций, находящихся в государственной собственности и финансируемых из средств государственного бюджета (федерального или региональных)
Государственные внебюджетные фонды денежные средства государства, имеющие целевое назначение и не включенные в бюджет
Демонополизация экономики предупреждение, ограничение и пресечение монополистической деятельности (т.е. действий хозяйствующих субъектов и органов государственной власти и управления, направленных на недопущение, ограничение или устранение конкуренции) и одновременно содействие формированию рыночных отношений на основе развития конкуренции и предпринимательства
Денежная база используемый в России показатель, включающий наличные деньги (агрегат МО) и обязательные резервы коммерческих банков в Центральном банке РФ
Денежная система форма организации денежного обращения в стране, т.е. движение денег в наличной и безналичной формах. Она включает следующие элементы: денежную единицу, масштаб цен, виды денег в стране, порядок эмиссии и обращения денег, а также государственный аппарат, осуществляющий регулирование денежного обращения
Денежно-кредитная политика совокупность мероприятий в области денежного обращения и кредита, направленных на регулирование экономики
Денежные доходы получение денег в виде оплаты труда, доходов от предпринимательской деятельности, пенсий, стипендий, доходов от собственности (в виде процентов, дивидендов, ренты доходов от продажи недвижимости, продукции сельского хозяйства, доходов от оказания различных услуг
Денежные поступления (денежный поток) чистый (нетто) денежный результат коммерческой деятельности фирмы
Денежный рынок рынок краткосрочных кредитных операций (до одного года), включающий учетный, межбанковский и валютный рынки
Денежный сектор та часть экономического кругооборота (см. Экономический кругооборот), которая представлена прежде всего движением доходов, расходов и денег
Деньги особый товар, выполняющий функции меры стоимости, средства обращения, средства образования сокровищ, накоплений и сбережений, средства платежа
Дерегулирование курс на ограничение экономической роли государства, проводившийся развитыми капиталистическими государствами в конце 70-х первой половине 90-х гг. Этот курс включал три основных аспекта: а) распродажу части государственной собственности; б) установление режима «жесткой экономии» бюджетных расходов, особенно на социальные нужды; в) уменьшение налогов с целью повышения их собираемости и стимулирования экономического роста, который обеспечил бы общее увеличение массы собираемых налогов
Дефицит государственного бюджета превышение расходов бюджета над его доходами
Дефицит дохода величина дополнительных средств, необходимых для доведения доходов малоимущих слоев населения до уровня прожиточного минимума
Дефлятор ВВП индекс цен (см. Индекс цен), используемый для определения реального объема ВВП
Децильный коэффициент показатель дифференциации доходов, выражающий соотношение между средними доходами 10% населения с наиболее высокими доходами и средними доходами 10% наименее обеспеченных граждан
Дивиденд величина выплат по акциям, зависящая от прибыли, указанной в балансе акционерного общества
Дилер биржевой посредник, осуществляющий операции с ценными бумагами путем их купли-продажи и получающий доход в виде разницы между курсами купли и продажи
Дисконтирование процесс, обратный начислению сложного процента (см. Начисление сложного процента)
Дифференциация доходов различия в уровне доходов на душу населения
Добавленная стоимость стоимость, созданная в процессе производства на данном предприятии и отражающая его реальный вклад в создание стоимости выпускаемого конкретного продукта
Домашние хозяйства экономические агенты (см. Экономические агенты), связанные с ведением домашнего хозяйства, т.е. преимущественно с потреблением
Доходный подход в опенке подход, основывающийся на оценке будущих доходов оцениваемого предприятия


Е

Европейский союз (ЕС) официальное название ведущей интеграционной группировки западноевропейских стран (до 1 ноября 1993 г. Европейские сообщества)
Еврооблигация долгосрочная ценная бумага, которая выпускается на рынке евровалют корпорациями, правительствами, международными организациями в целях получения денежных средств для пополнения оборотного и основного капитала
Естественный уровень безработицы уровень безработицы при полной занятости



З

Закон Вальраса гласит, что суммарная ценность предложения всех товаров всегда в точности равна совокупному спросу на них. Из этого следует невозможность перепроизводства в бартерной экономике (деньги в модели Вальраса выполняют роль счетных единиц). В состоянии общего рыночного равновесия совокупный спрос равен совокупному предложению, совокупные доходы равны совокупным расходам
Закон Оукена отражает отношение между уровнем безработицы и отставанием объема ВВП. Согласно этому закону превышение текущего уровня безработицы на 1 % над предполагаемым естественным уровнем увеличивает отставание объема ВВП на 2,5%
Закон предложения состоит в том, что при прочих равных условиях количество предлагаемого продавцами товара тем больше, чем выше цена этого товара, и наоборот, чем ниже цена, тем меньше величина его предложения
Закон спроса состоит в том, что при прочих равных условиях величина спроса на товар тем больше, чем ниже цена этого товара, и наоборот, чем выше цена, тем меньше величина спроса на товар
Закон спроса и предложения приспособление производства и предложения по объему и структуре к совокупному спросу в результате взаимодействия предложения и спроса с ценами
Закон убывающей отдачи увеличение использования одного переменного ресурса в сочетании с неизменным количеством других ресурсов на определенном этапе ведет к прекращению роста отдачи, а затем и к ее сокращению
Закон убывающей предельной полезности с увеличением объема потребления полезность каждой последующей потребляемой единицы продукции меньше полезности предыдущей
Закон Энгеля закон, в соответствии с которым существует прямая связь между типом покупаемых товаров и услуг и уровнем дохода потребителя
Занятые часть рабочей силы (экономически активного населения), занятая в общественном производстве
Запас прочности это процентное отклонение фактической выручки от пороговой. Чем больше запас прочности, тем менее рискованным является положение фирмы
Заработная плата оплата трудовых услуг, предоставляемых наемными работниками разных профессий
Затратный подход в оценке подход, исходящий из определения стоимости предприятия на основе анализа затрат, необходимых для воспроизводства активов предприятия
Земельная рента доход от реализации собственности на землю
Золотовалютный стандарт (Бреттон-Вудская валютная система) мировая валютная система, при которой доллар США, а также в значительно меньшем объеме английский фунт стерлингов осуществляли резервные функции наряду с золотом и могли для этих целей размениваться на него в США и Великобритании; цена золота была неизменна (35 долл. за тройскую унцию, т.е. за 31,1 г), валютные курсы были фиксированы, а регулирование валютных отношений между странами (кроме социалистических) осуществлялось через Международный валютный фонд



Динамика валютных курсов



Динамика валютных курсов Ряд значений курса одной валюты по отношению к другой за определенный промежуток времени дает представление о динамике обеих валют относительно друг друга. Например, если курс доллара к марке за определенный промежуток времени упал с 1,6500 до 1,500 DM за доллар, то совершенно справедливо будет сказать, что курс немецкой марки по отношению к доллару повысился с 1,6500 до 1,5000 DM; при обратной котировке курс немецкой марки повысился с 0,6061 до 0,6667$ за марку ( 37.1,0). Именно так будет выглядеть повышение курса немецкой марки при ее прямой котировке.




Динамика валютных курсов






37.1. Динамика валютного курса доллара: ак немецкой марке (DM); бк немецкой марке (DM), швейцарскому франку (SF) и французскому франку (FF); в к итальянской лире (L), французскому франку (FF), японской иене (Y) и немецкой марке (DM); r курс единиц национальной валюты за доллар; tвремя

Динамика обменного курса двух валют, естественно, не дает полного представления об их реальном движении. Например, повышение курса немецкой марки по отношению к доллару не исключает того, что одновременно курс марки падал по отношению к швейцарскому франку и оставался стабильным по отношению к французскому франку. А для доллара эта ситуация означает лишь то, что его курс падал по отношению ко всем трем валютам, но к швейцарскому франку более быстрыми темпами, что и отражено на 37.1,6.
Гораздо труднее сказать, что происходит с долларом, если динамика его курса к различным валютам выглядит так, как это показано на 37.1 ,в (что теоретически вполне возможно в условиях «плавания» валют). Возникает задача измерения некоторого среднего курса доллара по отношению к целому набору валют. Если набор, или так называемая корзина валют определена, количество единиц каждой национальной валюты, входящей в ее состав, фиксировано, то не представляет особого труда ежедневно рассчитывать ее стоимость в какой-либо одной валюте (например, в долларах) на базе текущих рыночных котировок.
Вместе с изменением текущих курсов национальных валют будет изменяться и курс «корзины» в долларах, и соответственно в обратном направлении курс доллара к «корзине» (или к определенному набору валют).
При фиксировании количества единиц каждой национальной валюты, включенной в «корзину», можно применять ряд критериев. Наиболее часто встречающимися являются, например, такие, как доля страны в мировом экспорте; доля страны в совокупном ВВП стран, валюты которых включены в «корзину»; доля страны в мировых резервах и т.д.

Коллективные валюты и счетные единицы Если валютной «корзине» дать какое-либо наименование, то образуется новая коллективная валюта. Наиболее известными счетными коллективными единицами являются ЭКЮ (применялась в рамках Европейской валютной системы и рассчитывалась на базе «корзины» всех валют этой системы) и СДР (счетная единица, используемая МВФ и рассчитываемая на базе «корзины» из пяти основных валют).
В связи с тем, что курс «корзины», как правило, гораздо более стабилен, чем курсы отдельных валют, входящих в нее, коллективные счетные единицы, а также различные «корзины» без названия широко используются в международных экономических отношениях для индексации валюты цены в контрактах или валюты займа, а также рядом стран при расчете курсов национальных валют. Например, официальный курс рубля до 1992 г. рассчитывался на основе «корзины» из шести валют: доллар США, марка ФРГ, японская иена, французский франк, швейцарский франк и английский фунт стерлингов.


Евро
Искусственные счетные единицы нельзя путать с реальной валютой, которая возникает в результате экономической и валютной интеграции ряда стран. С 1 января 1999 г. одиннадцать из пятнадцати государств Евросоюза ввели в безналичном обороте единую валюту евро. В числе этих государств Австрия, Бельгия, Германия, Ирландия, Испания, Италия, Люксембург, Нидерланды, Португалия, Финляндия, Франция.
Переход этих стран на единую валюту проводится в два этапа. Первый начался 1 января 1999 г. На этот день были зафиксированы курсы валют указанных одиннадцати стран к евро. По этим курсам проводится деноминация и пересчитываются все финансовые и другие активы как внутри валютного союза, так и за его пределами.
Началось параллельное использование евро и привязанных к нему валют для безналичных расчетов.
Второй этап начнется 1 января 2002 г. С этого момента в течение 6 месяцев в странах членах валютного союза параллельно будут обращаться банкноты и монеты евро, а также национальные валюты. С 1 июля 2002 г. обращение национальных валют прекратится, что будет означать полный переход экономики стран участниц «зоны евро» на новую валюту. Остаточные суммы национальных валют еще в течение нескольких лет можно будет обменивать на евро.

3. Факторы, определяющие валютные курсы В настоящее время можно с уверенностью сказать, что валютные курсы являются важным «нервным узлом» всей системы международных экономических отношений, и весь комплекс внутренних и внешних факторов (от долгосрочных экономических до политических и даже психологических), определяющих развитие экономики той или иной страны, влияет на динамику валютных курсов.
Остановимся на некоторых базовых понятиях, которые необходимы для более глубокого понимания закономерностей динамики валютных курсов.

Динамика ВВП В настоящее время невозможно анализировать валютные курсы без детального изучения национальных рынков. Очевидно, что относительное состояние экономики отдельных государств влияет на валютные курсы.
Общий спрос на денежных рынках зависит от количества сделок, в которых деньги выполняют функцию средства обращения и платежа. Объем сделок тесно связан с динамикой ВВП той или иной страны. Связь между динамикой ВВП и спросом на деньги играет центральную роль в количественной теории денег.
В принципе отсюда вытекает, что курс валюты должен повышаться в стране, где наблюдаются более высокие темпы экономического роста и спроса на различные виды активов.

Паритет покупательной способности Существует гипотеза, что основой соотношения обмена двух валют является паритет покупательной способности (ППС). Он показывает количестве денежных единиц страны А, необходимых для покупки некоего стандартного набора товаров и услуг, которые можно купить за одну денежную единицу страны Б. В 90-е гг. ППС рассчитывались во многих странах мира, в том числе в России.
Разработанная на базе этой гипотезы теория ППС связывает динамику валютного курса с изменением соотношения цен в соответствующих странах:

Р1 = r l P2 , или r=Р1/Р2 (37.1)

где r валютный курс; Р1 и Р2 уровни цен в рассматриваемых странах.

Данная теория построена на предположении, что международная торговля сглаживает разницу в движении цен основных товаров в мировой торговле. Такие товары должны иметь во всех странах приблизительно одинаковые цены, исчисленные в одной и той же валюте. Если бы компьютеры приблизительно одинакового класса и качества стоили в США 1000 долл. за единицу, а в ФРГ 2000 марок при курсе 1$ = 1,5000 DM, то очевидно, что американские компании увеличили бы экспорт компьютеров в ФРГ или немецкие компании их импорт, что привело бы к увеличению предложения и уменьшению цены до равновесного с рынком США уровня (не принимая во внимание транспортные и прочие издержки) 1500 DM за компьютер.
Если же учесть, что действия экспортеров США и импортеров ФРГ увеличивают спрос на доллары и курс доллара мог повыситься, например, до 1$ = 1,6500 DM, то равновесный уровень цены компьютера в ФРГ будет несколько выше.
Совершенно очевидно, что не по всем товарам и особенно услугам может действовать механизм такого выравнивания. Например, цены на недвижимость при пересчете по валютному курсу могут значительно различаться в разных странах. И обычно не ездят из одной страны в другую для того, чтобы посетить парикмахерскую или пообедать в ресторане в целях экономии.
Для этого проще поменять местожительство.
Тем не менее теория ППС имеет эмпирическое подтверждение. Во-первых, она в целом «работает» и оказывается полезной при анализе цен и валютных курсов в странах с высокими темпами инфляции. А в условиях гиперинфляции индексы внутренних цен и курса национальной валюты, например, к доллару практически совпадают.
Во-вторых, корреляция между соотношением уровней инфляции в различных странах и динамикой валютных курсов существует в долгосрочном плане (на временных отрезках свыше 10 лет).
Оба описанных выше примера подтверждения теории ППС иллюстрирует 37.2.


Динамика валютных курсов







37.2. Соотношение ППС двух валют и валютный курс в условиях высоких темпов инфляции в одной из стран (а) и за длительный период времени (б): 1 динамика соотношения ППС; 2 динамика валютного курса


В краткосрочном плане данная теория не находит достаточных подтверждений, особенно в странах с низкими темпами инфляции. Средневзвешенное соотношение цен, рассчитанное на базе различных товарных «корзин» двух стран, на протяжении нескольких лет может не соответствовать абсолютному уровню валютного курса и его динамике.
Тем не менее подтверждение теории ППС в долгосрочном плане достаточно для того, чтобы говорить о другом важном факторе, влияющем на валютные курсы, торговом балансе страны, а точнее, о взаимосвязи динамики курса и торгового баланса.



Доход по облигации


При переходе к рынку возникает и такое явление, которое, как правило, не характерно для развитой рыночной экономики. Речь идет о резком расслоении акций. Появляется небольшая (по численности компаний) группа акций, которые обычно называют «голубыми фишками».
Это наиболее надежные акции, выпущенные крупными компаниями, которым в условиях переходной экономики удается довольно успешно развиваться, получать прибыли.
Голубым фишкам очень немногочисленных компаний противостоят все остальные акции множества акционерных обществ. Эти ценные бумаги малоликвидны, риск вложений в них велик, их трудно реализовать на вторичном рынке. Разрыв между положением голубых фишек и всех остальных акций в российской экономике необычайно велик.
В отечественном обороте акций сделки с голубыми фишками составляют около 90%.
В 1999 г. к компаниям, чьи акции считаются голубыми фишками, относились РАО «ЕЭС России», «ЛУКойл», Мосэнерго, Ростелеком, Юганскнефтегаз и ряд других. Их акции пользуются спросом не только российских, но и иностранных инвесторов. Голубые фишки постепенно начинают выходить на зарубежные фондовые рынки.
3. Облигации и акции Рассмотрим более подробно два основных вида ценных бумаг в мире облигации и акции.
Рынки акций и облигаций теснейшим образом связаны между собой и зачастую денежные средства с одного из них напрямую перекачиваются на другой. Эта связь действует и на уровне акционерных обществ, так как многие из них выпускают оба вида бумаг, и показатели акций общества влияют на показатели стоящих за ними облигаций.

Облигации Наиболее распространенный тип облигаций в мире это корпоративные, т.е. облигации компаний.
Привлекательность облигаций компаний (как и других облигаций) состоит в том, что они, в отличие от акций, могут продаваться по эмиссионной стоимости (эмиссионному курсу), которая ниже их номинальной стоимости (номинального курса), например, за 98 руб. вместо 100 руб. Такая скидка с цены называется д и з а ж и о. Кроме того, может быть достигнута договоренность, что и погашение облигаций будет проведено не по номинальному, а по более высокому курду, например, по 103 руб. вместо 100 руб. Таким образом, возникает надбавка, или а ж и о, которая при соответствующем сроке погашения облигаций представляется как дополнительный доход (наряду с процентными платежами).
Суммарный доход (процент и ажио или дизажио) облигации считается важным показателем при оценке условий облигации. В большинстве случаев вкладчики приобретают эти ценные бумаги по курсу, отличающемуся от номинального. В соответствии с этим доход и номинальный процент по облигации могут существенно отличаться. Доход по ценным бумагам с фиксированным доходом рассчитывается по формуле:

Y = N . 100, (24.1)
P

где Y доход; N номинальный процент; Р эмиссионный курс ценной бумаги.


Пример 24.1. Допустим, вы купили по номиналу облигацию достоинством 100 руб., которая имеет доходность 80% и срок погашения пять лет. Ваш доход по этой облигации:
0,8 100 = 80 руб.
Предположим далее, что та же облигация куплена с дизажио за 95 руб., а не за 100 руб. Доход по облигации тот же 80 руб. Каким будет прирост или уменьшение?
80 руб. (процент) + 10 руб. (ежегодный процент) = 90 руб.
Доходность равна 94,7%. Заметим, однако, что рассмотренные методы используются лишь для выведения приблизительной доходности. Точные цифры можно получить только с помощью компьютера.


В настоящее время в мировой практике существует множество видов облигаций. Приведем некоторые из них: закладные и беззакладные, гарантированные, с уменьшающимся фондом и расширяемые, конвертируемые, «вечные», купонные, дисконтные, с ордером, с «плавающим» курсом и «плавающим» процентом, с «подстилкой» и т.д. Например, «вечные» облигации это облигации без даты погашения; купонные облигации облигации, содержащие отрезные купоны, по которым после определенного срока выплачивается процентный доход; дисконтные облигации это те, которые продаются на вторичном рынке по цене ниже номинала.
С точки зрения мирового опыта российская практика эмиссии облигаций пока довольно примитивна.
Таким образом, облигации как долговые обязательства дают большую по сравнению с акциями защиту от потери капиталовложений и потому до недавнего времени традиционно приносили меньший доход. Самый низкий доход и по сей день обычно дают имеющие практически полную гарантию погашения государственные облигации.

Акции Из ценных бумаг с нефиксированным доходом важнейшими являются акции. Для того чтобы осуществить публичный выпуск ( э м и с с и ю ) акций, компания обязана представить подробную информацию о своем финансовом положении, после чего ей будет выдано официальное разрешение на указанный выпуск. Обычно от компании требуются данные о ее средствах (активах), долгах, прибылях и убытках за последние несколько лет, всех ранее осуществленных выпусках ценных бумаг и их условиях.
Получив разрешение, компания объявляет о выпуске акций и распространяет их, как правило, через инвестиционный банк. Первая продажа акций (так называемое п е р в и ч н о е р а с п р е д е л е н и е ) производится по номинальной цене. Правда, если выпуск распространяется в течение нескольких месяцев, при высоком общем росте цен изменяется и продажная цена акций в сторону повышения.
Сегодня в России акции выпускаются как в наличной, так и в безналичной форме. В первом случае акционер получает специальный документ с подписью и печатью, на котором написано, что это акция. При безналичной форме акции просто производится запись на счете, открываемом на имя акционера.
В большинстве стран наличная форма выпуска акций постепенно уходит в прошлое. В США, например, начиная с 1983 г. все ценные бумаги акционерных обществ выпускаются лишь в безналичной форме, хотя в обращении находятся и сертификаты ранее выпущенных ценных бумаг.
После выпуска и первичного размещения начинается «трудовая» жизнь акций. Как это происходит, рассмотрим на условном примере.


Пример 24.2. Допустим, посредством выпуска акций удалось собрать 10 млн руб., необходимых для аренды здания, закупки машин и оборудования, найма рабочих и т.д. Всего продано 10 тыс. акций по 1000 руб. Каждая такая акция дает своему владельцу право на получение дивиденда.
Скажем, если компания в текущем году получила прибыль в размере 2 млн руб., то часть этой суммы (пусть 1 млн руб.) распределяется среди акционеров по 100 руб. на тысячную акцию в качестве дивиденда.


Одна из главных особенностей акции как титула собственности заключается в том, что акционер не имеет права потребовать у акционерного общества вернуть ему внесенную сумму. Именно это позволяет акционерному обществу свободно распоряжаться своим капиталом, не опасаясь, что часть его придется вернуть акционерам. Отсюда вытекает, что акция бессрочная бумага, она не выпускается на какой-то заранее оговоренный период.
Жизнь акции обрывается лишь с прекращением существования акционерного общества. Это происходит при добровольной ликвидации, поглощении другой компанией или слиянии с ней, банкротстве.
Акция как титул собственности обладает такой основной особенностью, как право голоса. В нем реализуется возможность каждого акционера как совладельца капитала акционерного общества участвовать в управлении последним.
Еще одна из главных особенностей акции право на часть прибыли, однако акционерное общество не берет на себя никаких безусловных обязательств производить регулярные выплаты держателям его акций. Если компания не выплачивает дивиденды, акционеры не имеют возможности взыскать их по суду или объявить компанию банкротом. Они совладельцы капитала и добровольно берут на себя риски, связанные с возможностью убытков или разорения компании.
Отсюда вытекает возможность колебания дивиденда в зависимости от результатов деятельности акционерного общества в тот или иной период. Ведь акционерное общество может решить, распределить между акционерами полученную им прибыль полностью или только ее часть. В последнем случае другая часть составит нераспределенную прибыль, оставшуюся в распоряжении общества.
У акции есть еще одно очень важное преимущество перед твердопроцентными бумагами. Рост их дивидендов в основном опережает темпы роста инфляции. Инфляция главный бич кредиторов не отражается значительно на акционерном капитале.
Можно говорить о том, что акции обладают антиинфляционной устойчивостью.

Величина дивиденда. Доход по акциям Величина годовых дивидендов зависит от прибыли, указанной в балансе акционерного общества. Обычно акционерная компания стремится выплачивать дивиденды, по возможности растущие, и тем самым демонстрировать общественному мнению свое последовательное развитие или имитировать его. К тому же, покупая, сохраняя или продавая акцию, акционер исходит из двух основных моментов. Первый из них уровень годового дивиденда:

Y = D . 100, (24.2)
P

где Y доход на акцию; D годовой дивиденд; Р цена приобретения акции.
Его обычно сравнивают с процентом, выплачиваемым по другим формам сбережений.


Пример 24.3. Если акция номинальной стоимостью 500 руб. приобретается по курсу 2500 руб. и по ней выплачивается годовой дивиденд 100 руб., то доход на акцию составит: (100:2500)· 100 = 4%.



Доходная часть бюджета ЕС


Доходная часть бюджета ЕС формируется за счет как собственных финансовых источников (отчисления от налога на добавленную стоимость в размере 1,4%, таможенные пошлины, налоги на импорт сельскохозяйственной продукции из третьих стран и прочие средства), так и отчислений от ВВП всех входящих в ЕС государств в размере 1,21,3% в зависимости от их доли в валовом продукте ЕС.
Что касается расходов бюджета, то они в последние годы распределялись примерно следующим образом, %:


Аграрная политика………………………………….61
Администрация.………………………………………4
Региональная политика........ ……………………….14
Погашения и резерв................... …………………….2
Социальная политика................. …………………….9
Сотрудничество в целях развития.................... ……..4
Исследования, энергетика, промышленность........….6


С 1 января 1999 г., когда евро приобрела статус официальной денежной единицы 11 стран, была проведена твердая фиксация курсов национальных валют к единой европейской денежной единице. Внедрение единой валюты (пока еще в безналичный финансовый оборот) имеет большое значение с точки зрения осуществления валютно-финансовой политики ЕС: ликвидации различий в организации кредита, расчетов, курсовой политики; задержки платежей; несопоставимости налогов; избежания валютных рисков, установления единой бюджетной дисциплины; успешной борьбы с инфляцией. Единая валюта способна гораздо успешнее противостоять доллару и иене, чем существовавшая «валютная змея». Проведение единой валютной и финансовой политики осуществляется ЭВС посредством двухуровневой системы банков: Европейского Центрального банка (ЕЦБ) и системы центральных банков стран-членов.
Предполагается, что с 1 января 2002 г. евро станет обращаться и в наличной форме.
Все финансы ЕС с 1 января 1999 г. выражаются в евро. На нее переведена бухгалтерия Европейского инвестиционного банка (ЕИБ) и других финансовых институтов Евросоюза.
Переход на евро для бюджета и финансовых институтов ЕС не является сложным, так как они ранее работали на основе эквивалентного евро ЭКЮ.
Что касается внутренних финансовых операций стран участниц валютного союза, то до 31 декабря 2001 г. их можно вести в национальных валютах, одновременно публикуя основные финансовые показатели в евро.
На основе евро будет происходить становление в ЕС единого рынка банковских услуг.

Структурная и региональная политика ЕС
Важной составляющей механизма западноевропейской интеграции выступает совместное проведение структурной и региональной политики. Причем наднациональное регулирование применимо в отношении наименее конкурентоспособных отраслей и отсталых регионов.
Наибольшие успехи достигнуты в проведении совместной аграрной политики. Ее финансирование представляет крупнейшую статью расходов в бюджете ЕС. В основе общей аграрной политики лежит субсидирование внутренних и экспортных цен. В результате ЕС превратился во второго после США мирового сельскохозяйственного экспортера.
Одновременно аграрный рынок ЕС огражден высокими таможенными барьерами, препятствующими доступу товаров с мирового аграрного рынка, который располагает избыточными ресурсами. За счет больших субсидий эта система обеспечила стабилизацию доходов сельскохозяйственных производителей, их соответствие социальным гарантиям работников других сфер экономики.
В настоящее время в ЕС действует единый структурный фонд, финансирующий региональные, социальные и аграрные межгосударственные программы поддержки отдельных регионов в зависимости от их принадлежности к той или иной группе «проблемных» территорий.
В 80-х гг. были разработаны И стали реализовываться четыре межгосударственные региональные программы по важнейшим отраслевым направлениям: «Стар», предусматривающая создание систем коммуникаций в отсталых районах; «Валорен», направленная на освоение энергетического потенциала этих районов; «Ренаваль» и «Резидер», ориентированные на подъем районов с традиционным судостроением и структурную переориентацию районов с развитой черной металлургией (Франция, Италия).
В 19901993 гг. вступили в действие еще десять межгосударственных региональных программ, предусматривающих стимулирование угледобывающих районов, создание сетей электро- и газоснабжения в периферийных регионах, вторичное использование пресной воды в средиземноморских регионах и т.д.
Для успешной реализации региональной политики создан Региональный комитет, который регулирует прямые отношения между ЕС.и отдельными регионами, с тем чтобы придать им новый статус и ограничить влияние на них отдельных стран членов ЕС. Так, возник ряд европейских регионов: Транс-Рейнский союз регионов, Транс-Ламаншский союз регионов. Успешно развиваются Транс-Альпийский и Транс-Пиренейский регионы.
Внутри регионов ЕС стремится к развитию отстающих районов.
Подавляющая часть финансовых средств сосредоточивается в слаборазвитых районах, где ВВП на душу населения не превышает 75% среднего для ЕС показателя. В соответствии с Маастрихтскими соглашениями создан Фонд содействия экономическому и социальному сближению наименее развитых стран, к которым относятся Греция, Испания, Ирландия, Португалия.

Совместная научно-техническая политика
На начальных этапах развития европейской интеграции совместные действия в области НИОКР осуществлялись главным образом в угольной, металлургической промышленности и ядерной энергетике. В дальнейшем было введено среднесрочное планирование научно-технической деятельности на основе разработки и принятия «рамочных комплексных программ». Всего их три. Ныне (с 1995 г. по 2000 г.) реализуется третья комплексная программа.
Все они направлены на усиление конкурентоспособности европейской промышленности в области новейших технологий на мировом рынке в противовес США и Японии.
В настоящее время научно-техническая политика возведена в ранг приоритетов ЕС. Институты ЕС активно формируют необходимую инфраструктуру и благоприятный инвестиционный климат для компаний, ориентирующихся на совместные действия в области НИОКР. Причем ЕС финансирует только те виды НИОКР, научные и технологические программы, которые отражают общие, а не национальные интересы.
Наиболее известными из научно-технических программ являются ЭСПРИТ (информационные технологии), БРИТЕ (внедрение новых технологий в обрабатывающую промышленность), РАСЕ (развитие телекоммуникаций). В реализации каждой программы задействованы многие компании различных отраслей и разных стран.
Большое значение имеет действующая с 1985 г. независимая крупномасштабная многоцелевая программа сотрудничества 19 стран Европы «Эврика», открытая и для других стран.
5. Экономическая интеграция на постсоветском пространстве Экономика СССР развивалась как высокоинтегрированный комплекс, где отдельные части были тесно связаны друг с другом, хотя внутрисоюзное разделение труда отнюдь не всегда было оправданным с точки зрения развития производительных сил. Разрыв сложившихся связей после распада Советского Союза был очень болезненным (по оценке, от 1/3 до 1/2 падения ВВП в странах членах СНГ в 19921995 гг. приходилось на последствия от разрушения этих связей).
Сразу же после распада СССР возникли интеграционные тенденции у бывших советских республик. На первом этапе они проявлялись в попытках оградить, хотя бы частично, прежнее единое экономическое пространство от дезинтеграционных процессов, и в первую очередь в областях, где прекращение связей оказывало особенно неблагоприятное воздействие на состояние народного хозяйства (транспорт, связь, поставки энергоносителей и т.п.). В дальнейшем, примерно с 19961997 гг., усилились стремления к интеграции на иных основах с учетом возникших реалий.
Россия естественное ядро СНГ. Из всех постсоветских республик на нее приходится свыше 3/4 территории, почти 1/2 населения и около 2/3 ВВП.

Факторы экономической интеграции бывших советских республик
Интеграционные тенденции на постсоветском пространстве порождаются следующими основными факторами:
разделение труда, которое невозможно было полностью изменить за короткий промежуток времени. Во многих случаях это было и нецелесообразно, поскольку сложившееся разделение труда в значительной степени соответствовало природно-климатическим и историческим условиям развития;
длительное совместное проживание в пределах одного государства многих народов. Оно создало плотную «ткань отношений» в разнообразных областях и формах (из-за смешанного населения, смешанных браков, элементов общего культурного пространства, отсутствия языкового барьера, заинтересованности в свободном перемещении людей и т.п.). Конфликтность межнациональных и межконфессиональных отношений (между двумя основными религиями: православием и исламом) в целом была невысокой. Отсюда желание широких масс населения, в странах членах СНГ поддерживать достаточно тесные взаимные связи;
технологическая взаимозависимость, единые технические нормы.
Однако интеграционные процессы наталкивались на противоположные тенденции, определявшиеся прежде всего стремлением правящих кругов в бывших советских республиках упрочить недавно полученный суверенитет, укрепить свою государственность. Это рассматривалось ими как безусловный приоритет, и соображения экономической целесообразности отступали на второй план, если интеграционные меры воспринимались как ограничение суверенитета. Но всякая интеграция, даже самая умеренная, предполагает передачу каких-то прав единым органам интеграционного объединения, т.е. добровольное ограничение суверенитета в определенных областях. Запад, с неодобрением встречавший любые интеграционные процессы на постсоветском пространстве и рассматривавший их как попытки «воссоздания СССР», сначала скрыто, а затем и открыто начал активно противодействовать интеграции во всех ее формах.
Учитывая растущую финансовую и политическую зависимость стран членов СНГ от Запада, это не могло не препятствовать интеграционным процессам.



Достигнутый уровень интернационализации


Период 5070-х гг. был временем, когда возникали интеграционные группировки (ЕС, СЭВ), бурно шел процесс транснационализации и на этой основе активно двигались между странами знания (технология), предпринимательские способности и предпринимательский капитал, восстановился мировой рынок ссудного капитала, на свою особую роль в мировом хозяйстве стали претендовать социалистические и развивающиеся страны.
Период 8090-х гг. характеризуется прежде всего тем, что для наиболее развитых стран он стал временем перехода в эру постиндустриализации, для многих отставших стран временем активного преодоления своего экономического отставания (Китай и новые индустриальные страны), для бывших социалистических стран временем возвращения в лоно рыночной экономики, для всех стран периодом либерализации внутренней и внешней хозяйственной жизни и ее глобализации.
2. Возникновение и развитие экономических связей между странами. Интернационализация, транснационализация и глобализация хозяйственной жизни Коренная причина возникновения и развития международных экономических отношений это различия в наделенности стран факторами производства (экономическими ресурсами). С одной стороны, это ведет к международному разделению труда. С другой стороны, разная наделенность стран факторами производства ведет к перемещению самих этих факторов между странами.

Международное разделение труда
Вследствие разной наделенности факторами производства хозяйствующие субъекты специализируются на производстве ограниченного набора продукции. При этом они достигают высокой производительности труда в ее изготовлении, но одновременно вынуждены обмениваться ею для удовлетворения своих потребностей. Вначале это разделение труда зарождается в рамках страны, затем охватывает соседние страны и, наконец, весь мир.
Международное разделение труда представляет собой специализацию отдельных стран на производстве товаров и услуг, которыми эти страны обмениваются между собой. До промышленного переворота (конец XVIII первая половина XIX вв.) международное разделение труда базировалось на различиях в наделенности стран природными ресурсами климатом, почвами, недрами, водными и лесными ресурсами и др. Однако затем стала усиливаться специализация, базирующаяся на различиях в наделенности стран остальными факторами производства капиталом, трудом, предпринимательскими способностями, знаниями.
Именно это сегодня во многом определяет, на производстве каких товаров и услуг для мирового рынка специализируется страна.
Так, и сто лет тому назад, и сейчас Россия поставляла на мировой рынок продукцию, производство которой обеспечивалось прежде всего обилием природных ресурсов (на их базе тогда производились и экспортировались, как уже отмечалось, зерно, лен, лесоматериалы, сейчас прежде всего энергоносители). Однако в настоящее время в российском экспорте значительное место занимают товары, производство которых требует обилия не только природных, но и других ресурсов (например, металлы и удобрения), или же вообще мало зависит от обилия или скудости в стране природных ресурсов (вооружение).

Движение факторов производства
Странам целесообразно не только использовать изобилие одних и скудость других факторов для налаживания экспорта и импорта тех или иных товаров и услуг, но и экспортировать имеющиеся в изобилии и импортировать недостающие факторы производства. Бедные капиталом страны активно привлекают его из-за рубежа; избыточная для одних стран рабочая сила стремится найти себе применение в других странах; государства с развитой наукой вывозят технологию туда, где такой собственной технологии нет. Международное движение факторов производства зависит не только от спроса и предложения этих факторов в разных странах, но и от разной мобильности факторов, различных барьеров на пути их движения и многих других моментов, которые мешают этому движению.
Тем не менее объем международного движения факторов производства вполне сопоставим с объемом международной торговли.
На этой основе строятся теории международной торговли и международного движения факторов производства, которые описаны в последующих главах учебника.

Интернационализация хозяйственной жизни. Уровень участия страны в мировой экономике
Термин «интернационализация хозяйственной жизни» означает усиление участия страны в мировом хозяйстве. Достигнутый уровень интернационализации измеряется целым рядом показателей. Какие же это показатели?
В первую очередь это показатели участия в мировой торговле. Так, часто подсчитывают экспортную квоту, т.е. отношение экспорта к ВВП страны. Этот показатель нельзя трактовать как долю экспорта во всем объеме ВВП, потому что экспорт учитывается по ценам экспортируемых товаров и услуг, а ВВП только по добавленной стоимости. Тем не менее величина экспортной квоты говорит о важности экспорта для национальной экономики.
Часто экспортную квоту исчисляют только по экспортируемым товарам (подобным образом рассчитанная экспортная квота для России в 1997 г. составила около 9%, если ВВП России пересчитать в доллары по паритету покупательной способности, т.е. с учетом цен на товары и услуги в стране см. 37.2). Нередко исчисляют также импортную квоту, а иногда складывают вместе экспорт и импорт и соотносят эту сумму с ВВП страны, называя полученную величину внешнеторговой квотой. По данным Всемирного банка, во второй половине 90-х гг. внешнеторговая квота составила: для США 24%, Франции 45, Южной Кореи 67, Канады 76, Бельгии 137%, т.е. размер этой квоты коррелируется с размерами внутреннего рынка страны.
У России внешнеторговая квота составляет около 1516% (если рассчитывать ВВП по паритету покупательной способности рубля).
Из других относительных показателей интернационализации на базе внешней торговли нередко рассчитывают долю импорта в розничном товарообороте, которая у России находится на уровне 40%. Наконец, иногда определяют соотношение доли страны в мировом экспорте с ее долей в мировом ВВП по паритету покупательной способности, чтобы определить, насколько активно страна участвует в международной торговле. У России этот показатель составляет 0,7 (2%:3%), у США также 0,7(14%:21%), у Японии-0,9 (8%:9%).
Важны и абсолютные показатели интернационализации, например, стоимостной объем экспорта товаров и услуг на душу населения. У России он составляет около 700 долл., у США свыше 3200, у Китая примерно 150 долл.
При анализе уровня участия страны в мировом хозяйстве необходимо обращаться не только к международной торговле, но и к международному движению факторов производства. Так, показателями участия страны в международном движении капитала являются объем накопленных зарубежных капиталовложений страны по отношению к ее ВВП, объем накопленных в стране иностранных инвестиций по отношению к ее ВВП, доля иностранного капитала в ежегодных инвестициях страны, объем государственного внешнего долга страны по отношению к ее ВВП и объем платежей по обслуживанию этого долга по отношению к поступлениям от экспорта товаров и услуг.
Российские капиталовложения за рубежом большинством экономистов оцениваются в 200300 млрд долл., что по отношению к нынешнему объему ВВП России (по паритету покупательной способности, равному примерно 1000 млрд долл.) составляет 0,20,3 : 1,0. В свою очередь, объем накопленных в России иностранных инвестиций составляет около 15 млрд долл., т.е. соотношение с ВВП составляет 0,01 : 1,0. Для сравнения укажем, что у США эти соотношения составляют соответственно 0,6 : 1,0 и 0,7 : 1,0.
В связи с небольшим объемом иностранного капитала в России невелика и его доля в ежегодных капиталовложениях около 5% в конце 90-х гг. (если считать только иностранные прямые инвестиции). Что касается государственного внешнего долга, то по многим развивающимся странам он превышает объем их ВВП (по некоторым многократно), у развитых стран он незначителен, а у России составляет на начало 1999 г. свыше 141,5 млрд долл., и на его обслуживание в указанном году может уйти до 20% поступлений от экспорта товаров и услуг.
Показателями участия страны в международном движении других факторов производства могут быть доля иностранной рабочей силы в общей численности занятых или численность занятой за рубежом отечественной рабочей силы, доля иностранных патентов и лицензий в общем количестве зарегистрированных в стране патентов и лицензий, размеры экспорта и импорта технологий и управленческих услуг.
Хотя уровень интернационализации национальных экономик растет, этот процесс не идет прямолинейно. Так, уровень экспортной квоты, существовавший у США в первые два десятилетия ХХ в., восстановился только в 7080 гг. До сих пор не достигнуто и вряд ли будет превзойдено то соотношение между вывозом капитала и внутренними капиталовложениями в ведущих странах Западной Европы, которое существовало в указанный период (например, накануне Первой мировой войны Великобритания экспортировала капитала больше, чем инвестировала у себя дома). К тому же процесс интернационализации идете различной скоростью в разных регионах.
Вероятно, сейчас он наиболее интенсивен в наиболее динамичных регионах мира Восточной и Юго-Восточной Азии.



Два основных вида рыночной стратегии предприятия.






Два основных вида рыночной стратегии предприятия.







8.1. Система ценностей акционеров, персонала, поставщиков и потребителей продукции предприятия

Создание ценностей - это функция фирмы. Процесс создания ценностей представляет собой удовлетворение индивидуальных или групповых потребностей, в результате чего предприятие добивается общественного признания своей деятельности. Такое признание, в свою очередь, обеспечивает предприятию возможность расширять производство, наращивать объемы продаж, увеличивать прибыль и в конечном счете укреплять свои рыночные позиции.
При этом особое место отводится созданию фирмой определенной ценности (блага) для своих потребителей, так как это оказывает решающее влияние на результат ее деятельности. Ценность, созданная фирмой для своих потребителей, определяется денежной суммой, которую последние готовы заплатить за ее товары или услуги. Фирма получает прибыль только в том случае, если эта денежная сумма превышает все затраты, необходимые для создания ценности.
Основной инструмент фирмы в создании системы ценностей это ее долгосрочная стратегия, которая базируется на использовании конкурентного преимущества предприятия. Конкурентное преимущество это то, что выигрышно отличает данное предприятие от его конкурентов и обеспечивает его превосходство на рынке. Оно базируется на конкурентоспособности (см. 8.4) и обычно связано либо с более высоким, чем у конкурентов, качеством товаров, либо с более низкими издержками их производства.
Различают два основных вида рыночной стратегии предприятия.
Для того чтобы успешно осуществлять свою деятельность в условиях рыночной конкуренции, предприятия должны или выпускать на рынок сравнимые товары с меньшими, чем у конкурентов, издержками и получать большую прибылью как разницу примерно одинаковых цен и более низких затрат (стратегия меньших издержек), или создавать для покупателя большую ценность в виде нового качества товара, особых потребительских свойств, высокого уровня сервиса, что выражается в более высокой цене и при сравнимых с конкурентами издержках соответственно в более высокой прибыли (стратегия дифференциации).
Руководство фирмы должно серьезно проанализировать имеющиеся конкурентные преимущества и выбрать одну из двух стратегий поведения на рынке. Как любой экономический выбор, необходимость четкой ориентации в своей стратегии связана с ограниченностью экономических (производственных) ресурсов. Попытки совместить элементы разных стратегий ведут к падению эффективности.
Из этого, однако, не следует, что фирма, сделавшая ставку на более низкие издержки, не должна заботиться о приемлемом для потребителей качестве своих товаров и услуг. В свою очередь, предприятие, выбравшее стратегию дифференциации, не должно несоразмерно завышать цены по сравнению с конкурентами.
Выбирая оптимальную для своей фирмы рыночную стратегию, ее руководство также должно решить, в какой сфере конкуренции будет реализовываться конкурентное преимущество. Речь идет либо о конкуренции во всех секторах рынка одновременно, либо о нацеленности на какой-то узкий его сегмент. Причем, избрав узкий целевой сегмент и работая точно в соответствии с его специфическими потребностями, фирма может иметь выигрыш с точки зрения более низких издержек или более высокой дифференциации по сравнению с конкурентами, работающими на более широкий рынок.
После того как конкурентная рыночная стратегия и сфера конкуренции определены, следующим инструментом реализации целевых установок предприятия, обеспечивающим устойчивое положение на рынке, является стратегическое планирование, т.е. систематическое составление плана действий, направленных на достижение целевых установок предприятия.
Первый этап планирования анализ внешней среды, т.е. экономической и политической ситуации в стране (экономическая политика государства, политическая стабильность, культурные особенности), отрасли (темпы роста, цикличность, международные воздействия, финансовые характеристики), рынка (изменения и тенденции развития конъюнктуры, альтернативные технологии, конкуренты, тактика продаж, реклама, цены), спроса (изменяемость, формируемость, длительность, устойчивость), ресурсов (доступность, заменяемость, изменение цен, воздействие на окружающую среду).
Второй этап планирования оценка возможностей фирмы действовать в этой среде (прежде всего с точки зрения прибыльности, жизнеспособности, риска). Оценка потенциальных возможностей предприятия позволяет обеспечить баланс рыночных запросов и реальных возможностей самого предприятия, выработать обоснование производственной программы и поведения на рынке, а также обеспечить принятие грамотных управленческих решений. Третий этап выбор вариантов развития фирмы (см. гл.
19).
3. Организационные формы предпринимательства Предприятие (фирма) является самостоятельным (обособленным) субъектом, что в первую очередь означает свободу в принятии экономических решений. Однако любое решение, касающееся деятельности предприятия, принимается с учетом результатов анализа внутренней и внешней среды. Внутренняя среда фирмы это собственная экономика предприятия, охватывающая все составляющие его деятельности: производственные процессы, реализацию продукции, финансовое, материальное и кадровое обеспечение, систему управления.
Внешняя среда фирмы это экономическая, правовая и социальная среда, в которой предприятие работает, являясь частью национального хозяйства. Внешняя среда фирмы может быть схематически представлена следующим образом ( 8.2).



Два основных вида рыночной стратегии предприятия.








8.2. Внешняя среда предприятия (фирмы)

Предпринимательский сектор национального хозяйства обычно насчитывает огромное количество фирм, которые для целей экономического анализа группируются по ряду существенных признаков. Наиболее распространенными являются классификации.по формам собственности, размерам, характеру деятельности, отраслевой принадлежности, доминирующему фактору производства, правовому статусу.
П о ф о р м а м с о б с т в е н н о с т и предприятия подразделяются на:
частные, которые могут существовать либо как полностью самостоятельные, независимые фирмы, либо в виде монополистических объединений и их составных частей. К частным можно отнести и те фирмы, на которых у государства есть доля капитала (но не преобладающая);
государственные, под которыми понимаются как чисто государственные, в которых капитал и управление полностью принадлежат государству, так и смешанные, где государство обладает большей частью капитала или играет решающую роль в управлении. По рекомендации Организации экономического сотрудничества и развития (ОЭСР) государственными следует считать предприятия, в которых государственные органы обладают большей частью капитала (свыше 50%), и/или те, которые ими контролируются (через работающих на предприятии государственных чиновников).
Смешанные предприятия иногда занимают существенное место в экономической жизни страны. Например, в России конца 90-х гг. государство сохраняет пакет акций во многих приватизированных предприятиях (на этих предприятиях работает четверть всех занятых).
П о р а з м е р а м предприятия подразделяются на малые, средние и крупные, исходя из двух основных параметров: численность занятых и объем производства (продаж).
По количеству обычно преобладают малые предприятия (в России на них приходится около 1/2 общего числа предприятий).
В разных странах по-разному определяют малое предприятие. По Закону «О государственной поддержке малого предпринимательства в Российской Федерации» от 14 июня 1995 г. в нашей стране к ним относят те предприятия, где средняя численность работников не превышает 30 человек в розничной торговле и бытовом обслуживании, 50 человек в оптовой торговле, 60 человек в научно-технической сфере, сельском хозяйстве и 100 человек на транспорте, в строительстве и промышленности.
Классификация фирм п о х а р а к т е р у д е я т е л ь н о с т и предполагает их деление на производящие материальные блага (потребительские или инвестиционные товары) и услуги. Данная классификация близка к классификации предприятий по отраслевой принадлежности, которая подразделяет их на промышленные, сельскохозяйственные, торговые, транспортные, банковские, страховые и т.д.
Классификация предприятий по признаку д о м и н и р у ю щ е г о ф а к т о р а п р о и з в о д с т в а выделяет трудоемкие, капиталоемкие, материалоемкие, наукоемкие предприятия.
П о п р а в о в о м у с т а т у с у (организационно-правовым формам) в России различают следующие виды предприятий согласно Гражданскому кодексу Российской Федерации:
1) хозяйственные товарищества и общества;
2) производственные кооперативы;
3) государственные и муниципальные унитарные предприятия;
4) некоммерческие организации (включая потребительские кооперативы, общественные и религиозные организации/объединения, фонды и др.);
5) индивидуальные предприниматели.

Хозяйственные товарищества и общества Рассмотрим прежде всего хозяйственные товарищества и общества, так как это наиболее распространенные типы предприятий (фирм).
Полное товарищество. Полным признается товарищество, участники которого (полные товарищи) в соответствии с заключенным между ними договором занимаются предпринимательской деятельностью от имени товарищества и несут ответственность по его обязательствам принадлежащим им имуществом. Управление деятельностью полного товарищества осуществляется по общему согласию всех участников.
Как правило, каждый участник полного товарищества имеет один голос. Участники полного товарищества солидарно несут субсидиарную ответственность принадлежащим им имуществом по обязательствам товарищества, т.е. всем своим имуществом, включая личное.



Факторы обусловливающие предпочтения потребителей.


Одно из главных достижений российской экономической науки разработка математических методов, используемых в экономических исследованиях.
Владимира Карповича Дмитриева (18681913) считают одним из наиболее ярких представителей математической школы в политической экономии. Он оставил сравнительно мало публикаций, но они отличаются богатством творческих идей, новизной и значимостью разработок. Впервые в литературе Дмитриев предложил способ определения полных затрат труда на производство продукции.
Проблема заключалась в том, чтобы попытаться исчислить всю совокупность затрат, т.е. не только текущего, но и прошлого труда, производителей как конечной, так и промежуточной продукции с тем, чтобы в итоге получить суммарный показатель всех издержек.
Другой экономист-математик Евгений Евгеньевич Слуцкий (18801948) вскоре после завершения университетского образования (он учился в Киеве и Мюнхене) подготовил работу «К теории сбалансированного бюджета потребителя». Выводы, к которым он пришел, состоят в том, что категория полезности формируется под влиянием изменения цен и доходов, т.е. реальных, объективно действующих факторов. Именно эти факторы обусловливают систему предпочтений потребителей.
В результате работы Слуцкого полезность получает объективную оценку, причем речь идет о предпочтениях и полезности не одного, а совокупности потребителей, как это реально происходит на рынке.
В дальнейшем положение, впервые выдвинутое и обоснованное Слуцким, разрабатывалось и детализировалось другими экономистами. Была предложена и соответствующая терминология: так называемый анализ «эффекта дохода» и «эффекта замещения», вошедший практически во все учебники.
Одним из наиболее значительных достижений в области экономико-математических исследований было открытие Леонидом Витальевичем Канторовичем (19121986) метода линейного программирования, т.е. решения линейных уравнений (уравнений первой степени) посредством составления программ и применения методов их последовательного решения.
Разработка метода линейного программирования началась с решения практической задачи. По просьбе работников фанерного треста Канторович занялся поиском такого способа распределения ресурсов, который обеспечивал наиболее высокую производительность оборудования. На предприятии нужно было найти оптимальный вариант выпуска фанеры при наличии пяти станков и восьми видов сырья.
Канторович предложил математический метод выбора оптимального варианта. По сути дела, ученый открыл новый раздел математики, получивший распространение в экономической практике, способствовавший развитию электронно-вычислительной техники. За разработку метода линейного программирования Л. В. Канторович был удостоен Нобелевской премии в области экономики (1975). Премия присуждена ему совместно с американским экономистом Т.Ч.
Купмансом, который несколько позже, независимо от Канторовича, предложил сходную методологию.
При активном участии Канторовича и его ближайших коллег и друзей Виктора Валентиновича Новожилова (18921970) и Василия Сергеевича Немчинова (18941964) во второй половине 50-х начале 60-х гг. формируется отечественная экономико-математическая школа. Все трое продолжали разработку методов линейного программирования, строили экономические модели, перейдя затем к разработке системы моделей, получивших название СОФЭ (системы оптимального функционирования экономики).
В других областях экономической науки одним из наиболее популярных, признанных в стране и за рубежом российских экономистов конца ХIХ начала ХХ в. был Михаил Иванович Туган-Барановский. В его творческом наследии исследования кардинальных проблем рынка, особенностей формирования совокупного спроса и совокупного предложения, анализ причин и специфики экономических кризисов, создание системы индикаторов в интересах прогнозирования, выявление путей становления капиталистических отношений. Ряд крупных работ посвящены критике взглядов народников, не понимавших неизбежности складывания новых, капиталистических отношений в деревне.
При анализе кризисов и циклов Туган-Барановский обосновал функциональные зависимости и связи, представляющие собой своего рода аналоги категорий, получивших впоследствии название мультипликатора и акселератора.
Рассматривая проблему соотношения «личности и общества», ученый утверждал, что развитие каждой отдельной личности должно быть общественной целью. Не может считаться общественным благом принижение личности, низведение трудящегося человека до простого винта или колеса огромного государственного механизма, до «простого подчиненного орудия общественного целого».
Александра Васильевича Чаянова (18881937) по праву называют энциклопедически образованным, необычайно разносторонним, глубоким и смелым, талантливейшим экономистом. Он был не только выдающимся ученым, но и поэтом, фантастом, историком, краеведом. Учение Чаянова его концепция семейно-трудового хозяйства, теория сельскохозяйственной кооперации, методология исследования аграрных отношений не потеряло своей актуальности и сегодня.
Сквозная, ведущая тема в работах Чаянова исследование условий развития деревни на переломных рубежах (в период столыпинской реформы. Первой мировой войны, «военного коммунизма», нэпа, «великого перелома»).
В начале 20-х гг. Чаянов обосновал необходимость перехода от создания в сельском хозяйстве общественного сектора, грозившего упадком и развалом, к сохранению крестьянских хозяйств.
В разработке и практической реализации финансовой и денежной политики самое активное участие принимал Леонид Наумович Юровский (18841938) один из талантливейших и продуктивных теоретиков рыночной экономики. Исключительная ясность и четкость изложения являются отличительной чертой Юровского как теоретика и публициста-популяризатора. Вместе с другими специалистами и руководителями финансового хозяйства Л.Н.
Юровский сыграл ключевую роль в проведении денежной реформы в 19221924 гг. Он является одним из авторов и организаторов выпуска знаменитого «золотого червонца». Опыт денежной реформы, проведенной «красными финансистами» в период, когда иностранные валюты никак не могли обрести прочную основу, не случайно внимательно изучали зарубежные специалисты; с ним небезынтересно познакомиться и сегодня.
Развитие теории конъюнктуры, концепции больших циклов неразрывно связано с именем Николая Дмитриевича Кондратьева (1892-1938).
Согласно разработанной им концепции длинных волн (названных длинными волнами Кондратьева) развитие экономики не сводится к среднесрочным и коротким циклам. В ряде докладов и монографических работ Кондратьев убедительно показал, что существует и более продолжительный, так называемый большой цикл, охватывающий период от 45 до 60 лет. Ученый пришел к выводу о наличии долгосрочного механизма, обусловливающего периодическое обновление хозяйственной системы, которая, образно говоря, раз в полвека «меняет кожу».
Обновляются технологическая база, производственный аппарат, перестраивается хозяйственный механизм, изменяется организационная структура.
В своих работах Н. Кондратьев рассмотрел и прокомментировал три большие волны и выявил ряд специфических закономерностей общественной динамики. Так, он считал, что понижательные волны больших циклов сопровождаются длительными депрессиями сельского хозяйства; фазы больших циклов влияют существенным образом на глубину и продолжительность среднесрочных торгово-промышленных циклов. Кондратьев, по существу, предсказал наступление глубокого экономического кризиса 30-х гг.
С российскими корнями так или иначе связано творчество ряда выдающихся экономистов-теоретиков, получивших мировую известность. Один из выдающихся современных экономистов, разработчик системы межотраслевых балансов «затраты выпуск», используемых в практике моделирования национальных и мировой экономик, Василий Леонтьев родился в Петербурге (19061999), учился в Ленинградском университете. Детально разработанная и обогащенная им идея шахматного баланса впервые была выдвинута и исследована российскими теоретиками. Американский ученый Саймон Кузнец, признанный разработчик системы национальных счетов теоретической и статистической основы теории макроанализа, родился в Пинске, учился в Харькове. Количественное определение экономических величин и проблема экономического роста квинтэссенция его научных исследований.
Проблему экономического роста с позиций марксистской политической экономии исследовал родившийся в нашей стране и эмигрировавший в США профессор Станфордского университета Поль Баран (19101964).
Заканчивая раздел, назовем имена некоторых известных экономистов, активно участвовавших в разработке практически значимых, актуальных (по крайней мере для своего времени) проблем.
Евгений Самойлович Варга (18791964), будучи руководителем коллектива Института мирового хозяйства и мировой политики, длительное время возглавлял школу советских экономистов-международников. Он безусловный авторитет, автор многих работ, в том числе соавтор и руководитель фундаментальной работы по истории экономических кризисов.
Николай Алексеевич Вознесенский (19031950), будучи непосредственно перед началом и в годы Великой Отечественной войны председателем Госплана СССР, сочетал эту работу с творческой деятельностью. Его книга «Военная экономика СССР в период Отечественной войны» содержит обширный фактический материал, полезный для понимания процессов развития экономики, подчиненной потребностям войны. Первичный статистический материал к этой работе до сих пор не обнародован.



Федеральные, региональные и местные налоги


система снижения налогообложения на уровне компании, при которой распределяемая прибыль либо облагается по более низкой ставке корпоративного налога (Австрия, Германия, Япония), либо частично освобождается от налогообложения (Испания, Финляндия);
система снижения налогообложения на уровне акционеров, при которой либо акционеры частично освобождаются от уплаты подоходного налога на получаемые ими дивиденды независимо от того, удержан или не удержан корпоративный налог с распределяемой прибыли (Австрия, Дания, Канада, Япония); либо налог, уплаченный компанией с распределяемой прибыли, частично засчитывается при налогообложении акционеров (Великобритания, Ирландия, Франция);
система полного освобождения распределяемой прибыли от корпоративного налога на уровне фирмы (Греция, Норвегия) или акционеров (Австралия, Италия, Финляндия).
3. Социальные взносы (социальные налоги) охватывают взносы предприятий на социальное обеспечение и налоги на заработную плату и рабочую силу. Они представляют собой выплаты, которые осуществляются частично самими работающими, частично их работодателями. Они направляются в различные внебюджетные фонды: по безработице, пенсионный и т.д. Государство также принимает участие в финансировании этих фондов. Налоги на фонд заработной платы и рабочую силу выплачиваются только работодателями.
В России взносы предприятий в государственные внебюджетные фонды составляют около 39,5% от их затрат на заработную плату.
4. Поимущественные налоги это налоги на имущество, землю и другую недвижимость, дарения и наследство. Размер этих налогов определяется задачей перераспределения богатства. В некоторых странах такие налоги включаются в акцизные сборы, взимаемые при совершении сделок.
5. Налоги на товары и услуги, прежде всего таможенные пошлины и сборы, акцизы, налог с продаж и налог на добавленную стоимость. Последний схож с налогом с продаж, при котором всю его тяжесть несет конечный потребитель. Налогоплательщики, которые в процессе работы добавляют стоимость к поступившим в их распоряжение предметам труда, облагаются налогом с этой добавленной стоимости.
Но каждый налогоплательщик включает эту сумму в цену своего товара, который движется по цепочке вплоть до конечного потребителя. В России используется несколько упрощенная, так называемая косвенная модель исчисления добавленной стоимости, т.е. не прямо с величины добавленной стоимости, рассчитать которую непросто, а исходя из величины реализации произведенной продукции за минусом закупленных сырья, материалов, полуфабрикатов и т.д.
Налог на добавленную стоимость взимается в России (по стандартной ставке 20%) и почти во всех развитых странах по основной (стандартной) ставке, которая колеблется, например, в ЕС, вокруг 15%. Однако по некоторым товарам и услугам НДС не взимается, а по другим взимается по повышенной или пониженной ставке. В большинстве регионов России взимается и налог с продаж (по ставке до 5%) с ряда товаров и услуг. В некоторых регионах России начал действовать единый налог на вмененный доход.
Его плательщиком является малый бизнес в сфере услуг. Налог уплачивается раз в квартал в размере 20% от предполагаемого будущего налога.


Федеральные, региональные и местные налоги Налоговые платежи, как мы уже знаем, поступают в центральный, региональные и местные бюджеты. Существует определенный порядок распределения поступающих средств. В России в местные бюджеты целиком поступают налоги на имущество физических лиц и земельный налог, налог на наследство или дарение и некоторые незначительные налоги. К региональным налогам в России относятся налог на имущество организаций, налог на недвижимость, налог с продаж, дорожный и транспортный налоги и ряд менее значительных налогов.
К федеральным налогам относятся налог на добавленную стоимость, акцизы, налог на прибыль предприятий, взносы во внебюджетные фонды, таможенные пошлины и сборы, различные налоги на пользователей природными ресурсами. Поступления от ряда налогов (в России это НДС, налог на прибыль предприятий, акцизы) делятся между центральным и территориальными бюджетами.
В связи с определенными противоречиями между интересами центрального правительства и территориальными экономическими интересами вокруг разделения налоговых поступлений идет политическая борьба. Местные жители и власти заинтересованы, чтобы больше средств поступало в бюджеты штатов, земель, муниципалитетов, общин, так как из этих средств финансируются образование, здравоохранение, благоустройство территории, местное общественное строительство, охрана порядка и окружающей среды. У центрального правительства постоянно не хватает средств на административные и военные расходы, решение глобальных экономических и социальных задач.

Налоговое бремя
Величина налоговой суммы (так называемое налоговое бремя) зависит прежде всего от налоговой базы и налоговой ставки. Налоговая база это та величина, с которой взимается налог, а налоговая ставка это размер, в котором взимается налог.
В США, Великобритании, Италии и некоторых других странах размеры налога на прибыль определяются исключительно ее величиной. В ФРГ, Франции, Японии, Швеции часть налога на прибыль взимается независимо от ее размера. В 8090-х гг. в большинстве стран идет снижение ставок налогов. В результате если в целом по ОЭСР фирмы выплачивали в 1986 г. в виде налогов более 45% своей прибыли, то в 1996 г. около 30%.
Наряду со снижением ставок налогообложения возрастали налоговые льготы на выплату государственного долга и процентов по нему.
На практике у большинства компаний на выплату налогов уходит доля прибыли, меньшая, чем ставка налогообложения. Во-первых, используются различные налоговые льготы, о которых речь пойдет ниже. Во-вторых, компании легально могут уменьшать размер подлежащей налогообложению суммы за счет увеличения отчислений в не облагаемые налогом фонды (амортизационный и др.).
В-третьих, компании с небольшим оборотом во многих странах облагаются более низким налогом. В-четвертых, в ряде стран налог на прибыль корпораций может выплачиваться не только отдельной фирмой, но и ее материнской компанией (если фирма входит в группу компаний), что на практике позволяет снизить налоговую базу компаний, входящих в группу. В-пятых, почти всюду действует система покрытия убытков компании за счет ее прибылей нескольких предшествующих лет или будущих прибылей.
Налоговая льгота (льгота на налоги) устанавливается, как и налог, в порядке и на условиях, определяемых законодательными фактами. Распространены следующие виды налоговых льгот:
необлагаемый минимум объекта налога;
изъятие из обложения определенных элементов объекта налога (например, затрат на НИОКР);
освобождение от уплаты налогов отдельных лиц или категорий плательщиков (например, инвалидов); понижение налоговых ставок; вычет из налоговой базы (налоговый вычет); изменение срока уплаты налогов и сборов (в виде отсрочки, рассрочки, налогового кредита);
списание безнадежных долгов по налогам.
В результате средний уровень налогообложения компаний намного ниже базового (т.е. максимального). Например, в ФРГ он составлял в конце 80-х гг. около 50% (базовый равнялся 71%). В России, по оценке, он составляет в настоящее время около 65%.

Структура налогообложения Доля отдельных налогов, участвующих в формировании доходной части бюджета, в разных странах с рыночной экономикой характеризуется следующими данными, % к итогу:

Налоги на личные доходы ......................... 40
Налоги на прибыль корпораций (фирм) . .10
Социальные взносы................... ………….30
Налог на добавленную стоимость .....……10
Таможенные пошлины ..............……………5
Прочие налоги и налоговые поступления…5

В России роль отдельных налогов в доходах бюджета несколько иная. В связи с относительно низким уровнем жизни большинства населения поступления от налогов на личные доходы невелики; вместо них главное место в доходной части бюджета занимают налоги на прибыль предприятий и НДС (см. табл. 27.1).
Прямые налоги трудно перенести на потребителя. Легче всего обстоит дело с налогами на землю и на другую недвижимость: они включаются в арендную и квартирную плату, цену сельскохозяйственной продукции.
Косвенные налоги переносятся на конечного потребителя в зависимости от показателя эластичности спроса на товары и услуги, облагаемые этими налогами. Чем менее эластичен спрос, тем большая часть налога перекладывается на потребителя (см. гл. 8).
Чем менее эластично предложение, тем меньшая часть налога перекладывается на потребителя, а большая его часть уплачивается за счет прибыли. В долгосрочном плане эластичность предложения растет, и на потребителя перекладывается все большая часть косвенных налогов.
При высокой эластичности спроса увеличение косвенных налогов может привести к сокращению потребления, а при высокой эластичности предложения к сокращению чистой прибыли, что вызовет сокращение капиталовложений или перелив капитала в другие сферы деятельности.
Налоги выполняют следующие важнейшие функции:
фискальную, т.е. финансирования государственных расходов. У государства есть традиционные функции содержание органов государственного управления, правоохранительная деятельность и обеспечение безопасности граждан, национальная оборона, охрана окружающей среды и природных ресурсов, поддержка транспорта, дорог, связи и информатики. В ХХ в. к ним прибавились все возрастающие социально-культурные функции. На выполнение этих традиционных и современных функций и приходится основная часть государственных расходов;



Финансовые и правовые регуляторы не срабатывают.



Макроэкономическая неравновесность Функционирование рыночного механизма иногда сравнивают с взаимодействием и строгим сопряжением элементов часового или другого подобного механизма. Однако это сравнение весьма условно. Рыночный механизм действует успешно, когда нет резкого колебания цен, непредвиденного и опасного воздействия внешних факторов. Глубокие и непредсказуемые скачки цен приводят в замешательство рыночную экономику. Привычные финансовые и правовые регуляторы не срабатывают.
Рынок не желает возвращаться в равнов.есное состояние или приходит в норму не сразу, а постепенно, со значительными издержками и потерями.
В результате существует немало различий между традиционной картиной, складывающейся на макрорынке, на котором командные высоты занимают равновесные цены, и «нетипичной» ситуацией, порождаемой нетрадиционным поведением кривых совокупного спроса и совокупного предложения.
Система равновесных цен как своего рода «идеал» существует только в теории. В реальной хозяйственной практике происходит постоянное отклонение цен от равновесных. Иногда «привычные» взаимосвязи перестают действовать; возникают противоречивые и подчас неожиданные ситуации.
Некоторые из них называют «ловушками».
В качестве примера сошлемся на так называемую ловушку ликвидности, при которой количество денег в обращении (в ликвидной форме) растет, а понижение процентной (учетной) ставки практически прекращается.
«Ловушка ликвидности» ситуация, когда процентная ставка оказывается на крайне низком уровне. Казалось бы это хорошо: чем ниже процентная ставка, тем дешевле кредит и, следовательно, благоприятнее условия для производственных инвестиций.
На деле подобная ситуация оказывается близкой к тупиковой. «Подстегнуть» инвестиции с помощью процента не удается, так как расставаться с деньгами и хранить их в банках никто не хочет. Сбережения не превращаются в инвестиции. Кейнс считал, что снижение процентной ставки в целях повышения прибыльности инвестиций имеет свой предел.
Ловушка ликвидности показатель неэффективности денежно-кредитной политики.
Иная ситуация, именуемая «ловушкой равновесности», возникает в условиях переходной экономики вследствие резкого снижения доходов населения. Равновесность на неоправданно низком уровне доходности основных групп населения носит тупиковый характер. Из-за подрыва платежеспособного спроса выход из создавшегося положения оказывается необычайно сложным. «Ловушка равновесности» препятствует выходу из кризиса, достижению стабильности.

Значение модели равновесия Вальраса
Эта модель помогает понять особенности рыночного механизма, процессы саморегулирования, инструменты и методы восстановления нарушенных связей, пути достижения стабильности и устойчивости рыночной системы.
Теоретический анализ Вальраса представляет собой концептуальную основу для решения более конкретных и практических задач, связанных с нарушением и восстановлением равновесия. Концепция Вальраса и ее развитие современными теоретиками служит основой исследования главных проблем макроэкономики: экономического роста, инфляции, занятости. Теория равновесия исходная база практических разработок и практической деятельности, анализа комплекса проблем, связанных с пониманием того, как нарушается равновесие и как оно восстанавливается.

2.Модели АD AS и IS-LM В теории равновесия имеются как общие положения, так и специфические концептуальные подходы представителей различных школ и направлений. Различия в подходах связаны с глубиной разработок, с изменениями самой экономической действительности. В той или иной степени они обычно отражают национальные особенности и конкретные ситуации отдельных стран.
Анализ функциональных зависимостей между отдельными макропараметрами помогает понять ситуацию, уточните экономическую политику, но не дает универсальных решений.

Классическая модель макроравновесия в экономике
В классической (и неоклассической) модели экономического равновесия рассматривается прежде всего взаимосвязь сбережений и инвестиций на макроуровне. Прирост доходов стимулирует увеличение сбережений; превращение сбережений в инвестиции увеличивает объемы производства и занятости. В итоге вновь возрастают доходы, а вместе с тем и сбережения, и инвестиции. Соответствие между совокупным спросом (AD) и совокупным предложением (AS) обеспечивается через гибкие цены, механизм свободного ценообразования. Согласно классикам, цена не только регулирует распределение ресурсов, но и обеспечивает «развязку» неравновесных (критических) ситуаций.
Согласно классической теории, на каждом рынке имеется одна ключевая переменная (цена Р, процент r, заработная плата W), обеспечивающая равновесность рынка. Равновесие на рынке товаров
P
(через спрос и предложение инвестиций) определяет норма процента. На денежном рынке в качестве определяющей переменной выступает уровень цен. Соответствие между спросом и предложением на рынке труда регулирует величина реальной заработной платы.
Классики не видели особой проблемы в превращении сбережений домохозяйств в инвестиционные расходы фирм. Государственное вмешательство они считали излишним. Но между отложенными расходами (сбережениями) одних и использованием этих средств другими может возникнуть (и возникает) разрыв. Если часть доходов откладывается в форме сбережений, значит она не потребляется. Но чтобы потребление росло, сбережения не должны лежать без движения; они должны трансформироваться в инвестиции.
Если этого не происходит, то тормозится рост валового продукта, значит, снижаются доходы, ужимается спрос.
Картина взаимодействия между сбережениями и инвестициями не столь проста и однозначна. Сбережения нарушают макроравновесие между совокупным спросом и совокупным предложением. Расчет на механизм конкуренции и гибкие цены при определенных условиях не срабатывает.
В результате, если инвестиции больше сбережений, возникает опасность инфляции. Если же инвестиции отстают от сбережений, то тормозится прирост валового продукта.

Кейнсианская модель
В отличие от классиков Кейнс обосновал положение, согласно которому сбережения являются функцией не процента, а дохода. Цены (включая заработную плату) не гибки, а фиксированы; точку равновесия AD и AS характеризует эффективный спрос. Рынок товаров становится ключевым.
Уравновешивание спроса и предложения происходит не в результате повышения или понижения цен, а вследствие изменения запасов.
Кейнсианская модель AD - AS базовая для анализа процессов выпуска товаров и услуг и уровня цен в экономике. Она позволяет выявить факторы (причины) колебаний и последствия.
Кривая совокупного спроса AD количество товаров и услуг, которое способны приобрести потребители при сложившемся уровне цен. Точки на кривой представляют собой комбинации выпуска (Y) и общего уровня цен (Р), при которых рынки товаров и денег находятся в равновесии ( 25.1).







Финансовые и правовые регуляторы не срабатывают.



25.1. Кривая совокупного спроса

Совокупный спрос (AD) изменяется под влиянием динамики цен. Чем выше уровень цен, тем меньше запасы денег у потребителей и соответственно меньше количество товаров и услуг, на которое предъявляется платежеспособный спрос.
Между размерами совокупного спроса и уровнем цен существует и обратная зависимость: рост спроса на деньги влечет за собой повышение процентной ставки.
Кривая совокупного предложения (AS) демонстрирует, какое количество товаров и услуг может быть произведено и выброшено на рынок производителями при разных уровнях средних цен ( 25.2).






Финансовые и правовые регуляторы не срабатывают.



25.2. Кривая совокупного предложения


В краткосрочном периоде (два-три года) кривая совокупного предложения согласно кейнсианской модели будет иметь положительный наклон, близкий к горизонтальной кривой (AS1).
В долгосрочном периоде при полной загрузке мощностей и занятости рабочей силы кривая совокупного предложения может быть представлена в виде вертикальной прямой (AS2). Выпуск примерно одинаков при различном уровне цен. Изменения размеров производства и совокупного предложения будут происходить под-влиянием сдвигов производственных факторов, прогресса технологии.






Финансовые и правовые регуляторы не срабатывают.




25.3. Модель экономического равновесия


Пересечение кривых AD и AS в точке N отражает соответствие равновесной цены и равновесного объема производства ( 25.3). При нарушении равновесия рыночный механизм будет выравнивать совокупный спрос и совокупное предложение; сработает, прежде всего, ценовой механизм.
В данной модели возможны следующие варианты:
1) совокупное предложение превышает совокупный спрос. Сбыт товаров затруднен, запасы нарастают, рост производства тормозится, возможен его спад; 2) совокупный спрос обгоняет совокупное предложение. Картина на рынке иная: запасы сокращаются, неудовлетворенный спрос стимулирует рост производства.
Экономическое равновесие предполагает такое состояние хозяйства, когда используются все экономические ресурсы страны (при наличии резерва мощностей и «нормальном» уровне занятости). В равновесной экономике не должно быть ни изобилия простаивающих мощностей, ни избыточной продукции, ни чрезмерного перенапряжения в применении ресурсов.



Финансовый рынок


Как формируется модель будущего глобального финансового рынка, видно по происходящим изменениям на фондовом рынке в Западной Европе в связи с введением единой европейской валюты евро. Консолидация и интеграция национальных фондовых рынков этих стран создает условия для формирования общего западноевропейского финансового пространства, в пределах которого будет вестись торговля ценными бумагами около 300 крупнейших западноевропейских предприятий. Наряду с формирующимся общеевропейским финансовым рынком сохраняют свое значение и национальные рынки.


Выводы 1. Финансовый рынок (рынок ссудных капиталов) это механизм перераспределения финансовых ресурсов между кредиторами и заемщиками при помощи посредников на основе спроса и предложения денежных средств. На практике это совокупность кредитных организаций (финансово-кредитных институтов). Главная функция данного рынка трансформация бездействующих денежных средств в ссудный капитал.
2. Рынок ссудных капиталов делится на денежный рынок и рынок капиталов. Под денежным рынком понимается рынок краткосрочных кредитных операций (до одного года). В свою очередь, денежный рынок обычно подразделяется на учетный, межбанковский и валютный рынки, а также рынокдеривативов.
Рынок капиталов включает рынок ценных бумаг и рынок средне- и долгосрочных банковских кредитов.
3. Финансовый рынок делится также на первичный рынок (на нем мобилизуются финансовые ресурсы) и вторичный рынок (на котором эти ресурсы перераспределяются), на национальный и международный финансовые рынки.
4, К ценным бумагам, обращающимся на финансовом рынке, относятся ценные бумаги с фиксированным и нефиксированным доходом, государственные, муниципальные и корпоративные бумаги. Есть и смешанные формы.
5. Фондовые бумаги это те ценные бумаги, которые допущены для операций на фондовой бирже. Последняя представляет собой регулярно функционирующую и организованную. Определенным образом часть рынка ценных бумаг (акций, облигаций, казначейских билетов, векселей, сертификатов), где с этими бумагами при посредничестве членов биржи совершаются сделки купли-продажи.
6. Членами биржи являются физические и юридические лица. Существует и внебиржевой рынок ценных бумаг, где представлены фирмы, чьи размеры пока «не дотягивают» до биржевых стандартов. Операции на рынке ценных бумаг делятся на кассовые и срочные.
7. Для оценки конъюнктуры рынка ценных бумаг рассчитываются биржевые индексы и составляются таблицы биржевых котировок акций, проводятся рейтинговые оценки облигаций.
8. Финансовая глобализация это более высокая стадия интернационализации деятельности финансовых рынков во всех ее формах с целью обеспечения потребностей развития валютно-финансовых отношений.


Термины и понятая
Финансовый рынок (рынок ссудных капиталов)
Денежный рынок
Рынок капиталов
Учетный рынок
Рынок деривативов
Межбанковский рынок
Валютный рынок
Рынок ценных бумаг
Акции
Ценные бумаги с фиксированным доходом
Дизажио
Ажио
Доход на акцию (облигацию)
Дивиденд
Фондовая биржа
Фондовые ценности
Дилер
Брокер
Кассовые операции
Срочные операции
Биржевая котировка
Биржевые индексы
Рейтинговые оценки облигаций
Еврооблигация
Финансовая глобализация


Вопросы для самопроверки 1. Составляющими какого рынка являются рынок ценных бумаг и рынок средне и долгосрочных банковских кредитов?
2. Чем отличается облигация от акции?
3. Рассчитайте, какой будет получен годовой доход на облигацию, по которой установлены годовые процентные выплаты в размере 8%, если при номинальном курсе в 100 руб. она продается за 90 руб.
4. Определите доход владельца облигации с выплатой по ней 8% годовых по истечении установленных 10 лет ее функционирования, если облигация погашается по номинальному курсу 100 руб., а была приобретена за 90 руб.
5. Допустим, что пять лет назад вы приобрели облигацию по номинальной стоимости в 100 руб., выпущенную сроком на 10 лет. Годовые процентные выплаты по ней составляют 4% (примерно таким же был и процент, выплачиваемый банками по вкладам). В настоящее время большинство банков принимает вклады под 10%.
Вы решили реализовать данную облигацию. По какой цене и с какой скидкой в сегодняшних условиях можно ее продать?
6. Рассчитайте, какой доход получит владелец акции, если ее номинальная стоимость составляет 250руб., цена приобретения 1000руб., а дивиденд 100руб.
7. Акционерное общество выпустило 1000 обыкновенных акций по номинальной стоимости 1000 руб. За год работы была получена прибыль в размере 2 тыс. руб., 50% которой распределена в качестве дивиденда, а другие 50% пошли на расширение производства. Определите балансовую цену акции.
8. Объясните, какие ценные бумаги и по каким критериям допускаются на фондовую биржу.
9. Объясните, какие различия существуют между кассовыми и срочными операциями на рынке Ценных бумаг. Почему в ряде стран законодательно запрещены срочные операции на фондовой бирже?
10. Дайте характеристику участникам срочных операций «быкам» и «медведям». Чем различается их деятельность на фондовой бирже?
11. Какие биржевые индексы, рассчитываемые в России, вы знаете?
































Формирование правовой основы рыночной экономики



Формирование правовой основы рыночной экономики
Институциональные преобразования выражаются прежде всего в разработке законов, регулирующих деятельность экономических агентов в условиях рыночного хозяйства. Рыночное законодательство должно регулировать, по крайней мере, следующие области:
а) права собственности;
б) договоры между экономическими агентами, включая их выполнение;
в) порядок начала и окончания хозяйственной деятельности (процедуры открытия фирм или регистрации юридических лиц, слияния, поглощения и банкротство предприятий);
г) поддержание конкурентной среды.
В переходный период могут действовать особые правовые нормы и основанные на них меры экономической политики государства (например, приватизация, демонополизация и др.).

Становление рыночных институтов
В переходный период рыночные институты могут возникать самостоятельно, без видимого участия государства, в ответ на потребности экономических агентов (например, создание нескольких сотен товарных бирж в России в 19901991 гг. вследствие стихийной либерализации хозяйственных связей между предприятиями). При этом, однако, могут возникнуть социально нецелесообразные институты (вроде «уполномоченных банков», получавших в нарушение принципов конкуренции особые выгоды от ведения операций с государственными финансами). Поэтому государство должно играть активную роль в формировании рыночных институтов, в том числе путем отбора социально целесообразных.
В переходный период в экономике России возникли основные институты рынка: частная собственность; свобода установления хозяйственных связей; конкуренция.

Особенности рыночных институтов в переходной экономике
Рыночные институты переходного периода заметно отличаются от институтов, сложившихся в развитых странах рыночной системы. Они имеют следующие характерные черты.
Во-первых, институциональная неполнота (институциональные лакуны), т.е. отсутствие или крайне слабое развитие некоторых важных институтов рынка. В России такой лакуной является отсутствие купли-продажи земли, что не позволяет использовать ее в качестве залога и препятствует привлечению кредитов и инвестиций в сельское хозяйство.
Другой институциональной лакуной, характерной для всех стран с переходной экономикой, является фактическое отсутствие рыночной селекции (отбора) в форме ликвидации обанкротившихся предприятий. Эта лакуна нарушает действие конкурентного механизма и сдерживает перестройку структуры экономики.
Во-вторых, структурная асимметричность, т.е. неравномерное развитие различных сегментов рынка. В России наибольшее развитие получил рынок товаров и услуг, тогда как другие сегменты рынка рынки факторов производства (капитала, труда, земли и других природных ресурсов) развиты значительно слабее. Так, формированию рынка капитала вплоть до финансового кризиса 1998 г. препятствовала почти монопольная роль государства как заемщика.
Становление рынка труда затруднено вследствие низкой мобильности трудовых ресурсов.
Институциональные лакуны и структурная асимметричность порождают нерыночные формы поведения экономических агентов: неплатежи, бартер, слабую адаптацию к колебаниям спроса.


Выводы 1. Переход к рынку сопровождается либерализацией экономики отказом государства от монополии на те или иные виды хозяйственной деятельности или резким ограничением его регулирующих функций. Одновременно происходит переход от преимущественно административных методов государственного регулирования к экономическим (через денежно-кредитную и бюджетно-налоговую системы).
2. При переходе от плановой к рыночной экономике, как правило, возникает необходимость в макроэкономической (финансовой) стабилизации. Ее главной целью является подавление (или предотвращение) высокой инфляции, а также смягчение (или недопущение) трансформационного спада.
3. Сложились два главных подхода к финансовой стабилизации, в основе которых лежат различные представления о природе инфляции в переходной экономике. В соответствии с монетарным подходом инфляция целиком зависит от темпов прироста денежной массы. Согласно немонетарному подходу на инфляцию в переходной экономике влияют такие факторы, как диспропорции в структуре народного хозяйства, высокая степень монополизации экономики и т.д.
4. Выделяются два основных сценария макроэкономической стабилизации: ортодоксальный (сокращение или ликвидация дефицита госбюджета, жесткий контроль за денежной эмиссией, установление «монетарного якоря») и гетеродоксный (те же меры в сочетании с регулированием цен и доходов).
5. Структурная политика в переходный период направлена на создание условий для устойчивого долгосрочного экономического роста и перестройку отраслевой структуры народного хозяйства с целью защиты отраслей, конкурентоспособных на внутреннем и внешнем рынках или обслуживающих национальные интересы (производственная и социальная инфраструктура, отдельные производства ВПК).
6. Институциональные преобразования включают разработку рыночного законодательства и контроль за его применением; изменение отношений собственности, формирование новых хозяйствующих субъектов рыночного типа; создание новой системы управления народным хозяйством.


Термины и понятия Стабилизационная политика
Макроэкономическая (финансовая) стабилизация
Монетарный подход к финансовой стабилизации
Немонетарный подход к финансовой стабилизации
Структурная политика
Ортодоксальный сценарий макроэкономической стабилизации
Гетеродоксный сценарий макроэкономической стабилизации
«Монетарный якорь» Институциональные преобразования
Институциональные лакуны
Структурная асимметричность


Вопросы для самопроверки 1. Какие экономические функции государство вынуждено брать на себя в связи с переходным характером экономики?
2. Какие меры необходимы для финансовой стабилизации в переходной экономике:
а) свобода частнопредпринимательской деятельности; б) отмена государственной монополии на внешнеэкономическую деятельность;
в) повышение ссудного процента сверх уровня инфляции? 3. Какими проблемами в переходной экономике должно заниматься государство: а) осуществлять импорт продовольственных товаров;
б) оказывать помощь коммерческому банку, находящемуся в тяжелом финансовом положении; в) определять круг товаров и услуг, необходимых для государственных нужд?
4. Какой вариант макроэкономической стабилизации применялся в России в 19921994 гг.: ортодоксальный или гетеродоксный?
5. Почему в начале переходного периода, как правило, необходима макроэкономическая стабилизация?
6. Какие меры относятся к институциональным преобразованиям: а) повышение цен на бензин; б) введение валютного коридора; в) создание двухуровневой банковской системы?
7. Какие отрасли российской промышленности должны пользоваться в ходе структурной перестройки поддержкой государства:
а) газовая; 6) легковая; в) пищевая?

















































Функции рынка определяются решаемыми задачами.


5. Рыночный механизм порождает неполную и недостаточно совершенную информацию. Только в условиях полностью конкурентной экономики участники рынка обладают достаточно исчерпывающей информацией о ценах и перспективах развития производства. Но сама конкуренция заставляет фирмы скрывать реальные данные о положении дел.
Информация стоит денег, и экономические агенты производители и потребители обладают ею в различной степени.
Отсутствие совершенной информации, неполнота и неравномерность ее распределения создают преимущества для одних и подрывают способность принятия оптимальных решений у других. Продавцы и покупатели, предприниматели и рабочие не обладают равнозначной информацией. Между тем информация является в некоторых отношениях общественным товаром. Наиболее полную и надежную информацию предоставляет не частный рынок, а государственные институты.
Итак, рынок не является идеальным механизмом регулирования экономической деятельности.
Несовершенства («провалы») рынка могут быть смягчены созданием соответствующих институциональных структур, участием государства в распределении ресурсов, решении проблем, которые не могут быть обеспечены чисто рыночными инструментами.




Выводы 1. Рынок это многосложная сфера взаимодействия покупателей и продавцов, производителей и потребителей, осуществляемого через движение цен при регулирующем воздействии институциональных норм и правил. Предпосылками возникновения рынка служат общественное разделение труда, экономическая самостоятельность (обособленность) товаропроизводителей, свобода предпринимательства.
2. Рынок как развитая система отношений товарного обмена представляет собой совокупность отдельных рынков, прежде всего рынков ресурсов. Рынки классифицируются в зависимости от объектов обмена, характера обмениваемых товаров, условий функционирования и т.д.
3. Функции рынка определяются решаемыми им задачами. Рынок отвечает на вопросы: что, как и для кого производить? Он выполняет ценообразующую, информационную, регулирующую, посредническую и санирующую функции.
4. Конкуренция одно из основополагающих понятий рыночной экономики. Это движущий механизм рынка, фактор внутреннего развития, борьба участников рынка за лучшие условия производства и реализации продукции.
Конкурентный рынок способствует достижению эффективности производства и оптимальному распределению экономических ресурсов. Принято различать конкуренцию совершенную и несовершенную, монополистическую, ценовую и неценовую, добросовестную и недобросовестную. Условием для формирования конкуренции служат определенные предпосылки, создание необходимой институциональной среды.
5. Экономическая деятельность связана с неопределенностью и риском. Неопределенность выбора обусловливается неполнотой и неточностью информации, неизбежностью ошибок в процессе прогнозирования. Не существует «патентованных» рецептов снижения риска.
Повышению надежности выбора могут служить диверсификация размещения средств, всесторонняя оценка принимаемых решений.
6. Позитивные функции рынка делают его в принципе достаточно эффективной системой. Вместе с тем рынок нуждается в институциональном регулировании. Отклонения от условий совершенной конкуренции свидетельствуют о несовершенстве рынка.
7. Рынок не способен противостоять монополистическим тенденциям. Он непригоден для устранения внешних эффектов. Рынок не заинтересован и не может производить общественные блага. Он не способен обеспечить социальные гарантии и противодействовать социальному расслоению.
Несовершенства рынка нейтрализуются мерами государственной экономической и социальной политики.


Термины и понятия Рынок
Трансакционные издержки
Конкуренция
Совершенная конкуренция
Монополистическая конкуренция
Монополия
Монопсония
Олигополия
Экономическая неопределенность и риски
Несовершенства рынка


Вопросы для самопроверки
1. Что такое рынок? Приведите наиболее значимые определения.
2. Правильно ли утверждать, что обмен и рынок это синонимы?
3. Каковы исторические условия возникновения рынка?
4. Какие критерии могут быть положены в основу классификации рынков?
5. Каковы основные функции рынка? Поясните, как они взаимосвязаны.
6. Какую роль выполняет на рынке конкуренция?

  1. В чем состоит различие между совершенной и несовершенной конкуренцией?
  2. Почему существует такое понятие, как монополистическая конкуренция, ведь монополия противоположна конкуренции?
  3. Правильно ли утверждать, что рынок не может устранить последствия внешних эффектов?
  4. Чем объясняются несовершенства рынка?









































Издержки фирмы


Изучение спроса потребителей, а также мотивов, которыми они руководствуются, совершая покупки, важнейшая задача фирмы в условиях конкуренции. Обладание как можно более полной информацией о спросе позволяет фирме обеспечивать сбыт своей продукции, расширять производство и успешно конкурировать на рынке. Спрос, в свою очередь, зависит от качества продукции, ее цены, доходов покупателей, цен на аналогичные товары, потребительских вкусов и предпочтений и т.п.
Трудно перечислить все факторы, определяющие, почему та или иная продукция покупается. От того, насколько качественно составлен прогноз спроса на продукцию фирмы, зависит ее будущая выручка от реализации и соответственно прибыль.
В данной главе рассматривается эластичность спроса по ценам, доходам, перекрестная эластичность, что позволяет оценить влияние перечисленных показателей на спрос, а также теория потребительского выбора, которая объясняет, каким образом покупатели предпочитают тратить получаемые ими доходы в целях максимального удовлетворения своих потребностей.
1. Эластичность Для фирмы при планировании объема и структуры производства чрезвычайно важно знать, от чего зависит спрос на ее продукцию. Как мы уже выяснили, величина спроса зависит от цены товара, доходов потенциальных потребителей, а также цен на товары, которые являются либо взаимодополняемыми (например, автомобили и бензин), либо взаимозаменяемыми (например, масло и маргарин, отдельные сорта мяса и т.п.). На спрос влияют и другие факторы.
С повышением цен на продукцию фирмы можно ожидать, при прочих равных условиях, снижения спроса на нее, при этом активная деятельность конкурентов, выпускающих продукты-заменители и продающих их по более низким ценам, также может привести к снижению спроса на изделия фирмы. В то же время с ростом доходов населения фирма может рассчитывать на расширение покупательского спроса и соответственно увеличение сбыта предлагаемой продукции.
Однако нас интересует не только направление, но и величина изменения спроса. Как изменится величина спроса при повышении (понижении) цены продукции на 1, 10, 100 руб.? Обычно предприятие, повышая цену, рассчитывает на рост выручки от продаж.
Однако возможна ситуация, когда повышение цены приведет не к росту выручки, а, наоборот, к ее снижению за счет сокращения величины спроса и соответственно уменьшения сбыта.
Поэтому для фирмы важно определить, какое в количественном отношении воздействие на величину спроса может оказать изменение цены продукции, доходов потребителей или цен на товары-заменители, производимые конкурентами.

Эластичность спроса Мера реакции одной величины на изменение другой называется эластичностью. Эластичность показывает, на сколько процентов изменится одна переменная экономическая величина при изменении другой на один процент. Примером может служить эластичность спроса по цене, или ценовая эластичность спроса, которая показывает, на сколько изменится в процентном отношении величина спроса на товар при изменении его цены на один процент.
Если обозначить цену Р, а величину спроса Q, то показатель (коэффициент) ценовой эластичности спроса Ер равен:

Ер= sQ (9.1)
s P

где Q изменение величины спроса, %; Р изменение цены, %; «P» в индексе означает, что эластичность рассматривается по цене.
Аналогично можно определить показатель эластичности по доходам или какой-то другой экономической величине.
Показатель ценовой эластичности спроса для всех товаров является отрицательной величиной. Действительно, если цена товара снижается величина спроса растет, и наоборот. Однако для оценки эластичности часто используется абсолютная величина показателя (знак «минус» опускается).
Например, снижение цены стирального порошка на 5% вызвало увеличение спроса на него на 10%. Показатель эластичности будет равен:

Ер= 10 Ер =2
-5
Если абсолютная величина показателя ценовой эластичности спроса больше 1, то мы имеем дело с относительно эластичным спросом. Иными словами, изменение цены в данном случае приведет к большему количественному изменению величины спроса.
Если абсолютная величина показателя ценовой эластичности спроса меньше 1, то спрос относительно неэластичен. В этом случае изменение цены повлечет за собой меньшее изменение величины спроса.
При коэффициенте эластичности равном 1 говорят о единичной эластичности. В этом случае изменение цены приводит к такому же количественному изменению величины спроса.
На 9.1 изображены два варианта графиков спроса. На 9.1,а снижение цены с Р0 до Р1 на 100 руб. (на 33%) приведет к росту величины спроса с Q0 до Q1 на 20 ед. (на 200%). Коэффициент эластичности будет равен 6 (200:33), т.е. он больше 1, и спрос эластичен. А что произойдет с выручкой от реализации продукции? Она увеличится с 3000 (300 · 10) до 6000 руб. (200 · 30), т.е. вырастет в два раза.
Заштрихованные прямоугольники 0 и 7 наглядно показывают увеличение выручки от реализации продукции при снижении цены в условиях эластичного спроса. Площадь прямоугольника 1 заметно больше площади прямоугольника 0.
9.1 б,графически иллюстрирует пример неэластичного спроса. Снижение цены на 100 руб. (с Р0 до Р1 увеличит величину спроса лишь на 2 ед. При этом выручка от реализации упадет с 3000 (300 · 10) до 2400 руб. (200 · 12).
Естественно, что при такой ситуации фирма не будет снижать цену своей продукции, не без основания опасаясь снижения своих доходов.





Издержки фирмы



9.1. Относительно эластичный (а) и относительно неэластичный (б) спрос


Существует два крайних случая. Первый случай существование только одной цены, при которой товар будет приобретаться покупателями. Любое изменение цены приведет либо к полному отказу от приобретения данного товара (если цена повысится)., либо к неограниченному увеличению спроса (если цена снизится). При этом спрос является абсолютно эластичным, показатель эластичности бесконечен.
Графически этот случай можно изобразить в виде прямой, параллельной горизонтальной оси ( 9.2,в). Например, спрос на помидоры, сдаваемые отдельным торговцем на городском рынке, абсолютно эластичен. Однако рыночный спрос на помидоры не является эластичным.




Издержки фирмы



9.2. Крайние случаи эластичности: а спрос абсолютно эластичен, б спрос абсолютно неэластичен



Другой крайний случай изменение цены не отражается на величине спроса. График абсолютно неэластичного спроса ( 9.2,6) выглядит как прямая, перпендикулярная горизонтальной оси. Примером может служить спрос на отдельные виды лекарств, без которых больной не может обойтись, и т.п.

Издержки фирмы

Таким образом, абсолютная величина показателя ценовой эластичности спроса может изменяться от нуля до бесконечности:
Измерение эластичности спроса Как измерить эластичность спроса по цене? Для этого необходимо подсчитать процентные изменения величины спроса и цены и соотнести их:


Ер=5Q : 5P = 5Q . P (9.2)
Q P 5P Q


Из этой формулы видно, что показатель эластичности зависит не только от соотношения приростов цены и объема или от наклона кривой спроса (см. 9.1), но и от их фактических значений. Даже если наклон кривой спроса является постоянным, показатель эластичности будет различным для разных точек на этой кривой.
Есть еще одно обстоятельство, которое следует учитывать при определении эластичности. Какой объем продукции и какой уровень цены следует использовать при расчете: существовавший до изменения или полученный после него?
Пример 9.1. Допустим, что небольшая булочная выпекает батоны и продает их по свободной иене. Чем ниже будет выбрана цена, тем большее количество батонов булочная сможет продать. Зависимость цены и объема продаж известна (табл. 9.1).
Нас интересует, какова эластичность спроса и как ее измерить в различных интервалах, выбранных нами для анализа.

Таблица 9.1. Расчет коэффициента ценовой эластичности спроса





Издержки фирмы






Как измерить изменение величины спроса? Возьмем второй интервал от 1000 до 1500 батонов. Величина спроса изменилась на 500 батонов, или на 50% (500:1000=0,5). Однако если мы рассмотрим изменение величины спроса в обратном направлении, т.е. с 1500 до 1000 батонов, то в процентном отношении это составит лишь 33% (500:1500=0,33). Такие различия создают сложности при расчете коэффициента эластичности.
Поэтому для измерения процентного изменения каждой рассматриваемой величины используется средняя точка выбранного интервала. В нашем примере это ( 1000+1500) :2= 1250 батонов.
Изменение величины спроса в интервале от 1000 до 1500 батонов составит 500:1250=0,4 (или 40%).

Издержки фирмы

В общем виде формула для определения процентного изменения величины спроса sQ будет выглядеть:



где Q0 и Q1 величина спроса до и после изменения цены, шт.
Аналогично для определения процентного изменения цены s Р в выбранном интервале получаем:


Издержки фирмы





где P0 и P1 соответственно начальная и новая цена, руб.

Издержки фирмы

Коэффициент эластичности исчисляем как отношение прироста величины спроса к приросту цены:

Рассчитав коэффициенты эластичности (см. табл. 9.1), получим количественные характеристики ценовой эластичности спроса в различных ценовых интервалах. В пределах первых трех интервалов спрос эластичен, в четвертом интервале неэластичен.



Цена и объем производства


Любая фирма, прежде чем начать производство, должна четко представлять, на какую прибыль она может рассчитывать. Для этого она изучит спрос и определит, по какой цене будет продаваться продукция, и сравнит предполагаемые доходы' с издержками, которые предстоит понести.



' В микроэкономике термин «доход» означает выручку от реализации.


1. Структура издержек фирмы
Явные и альтернативные (вмененные) издержки
Рассмотрим издержки фирмы в процессе производства и сбыта товаров и услуг. Прежде всего обратим внимание на явные и альтернативные (вмененные) издержки, так как и те и другие учитываются фирмой в ее деятельности. К явным относятся все издержки фирмы на оплату используемых факторов производства.
Классическими факторами производства являются труд, земля (естественные ресурсы) и капитал. Современные экономисты склонны выделять в особый фактор предпринимательские способности. Так или иначе, все явные затраты фирмы в конечном счете сводятся к возмещению использованных факторов производства.
Сюда входит оплата труда в виде заработной платы, земли в виде аренды, капитала в виде расходов на основные и оборотные фонды, а также оплата предпринимательских способностей организаторов производства и сбыта. Сумма всех явных издержек выступает как себестоимость продукции, а разница между рыночной ценой и себестоимостью как прибыль.
Однако сумма производственных издержек, если в них включать только явные издержки, может быть заниженной, а прибыль соответственно будет завышенной. Для более точной картины, с тем чтобы принятие фирмой решения о начале или развитии производства было обоснованным, в издержки следует включать не только явные, но и неявные (вмененные, альтернативные) затраты.
Альтернативными называются издержки (альтернативная стоимость) использования ресурсов, являющихся собственностью фирмы. Эти издержки не входят в платежи фирмы другим организациям или лицам. Например, собственник земли не платит ренту, однако, обрабатывая землю самостоятельно, отказывается тем самым от сдачи ее в аренду и от дополнительного дохода, возникающего в связи с этим. Работник, занимающийся индивидуальной деятельностью, не нанимается на фабрику и не получает там заработную плату.
Наконец, предприниматель, вложивший свои деньги в производство, не может положить их в банк и получать ссудный (банковский) процент.
Учет не только явных, но и альтернативных издержек позволяет более точно оценить прибыль фирмы. Экономическая прибыль определяется как разница между валовым доходом и всеми (явными и альтернативными) издержками.
Пример 10.1. Вы решили самостоятельно отремонтировать свою квартиру. Вашими затратами будет стоимость обоев, краски, клея и т.п.
Однако, ремонтируя квартиру несколько дней, вы отказываетесь от другой работы, где могли бы получать заработную плату (например, взяли на работе отпуск за свой счет). Структура ваших издержек будет выглядеть следующим образом, руб.:





Цена и объем производства




Очевидно, что если ремонтная контора за ту же работу (без стоимости материалов) потребует менее 3 000 руб., то вы предпочтете обратиться туда, а если более этой суммы вы будете ремонтировать квартиру сами.
Проведя различие между явными и альтернативными издержками, можно определить, что понимается под прибылью в бухгалтерии. Бухгалтерская прибыль (финансовая прибыль) представляет собой разность между валовым доходом (выручкой) фирмы и ее явными издержками. На практике, как правило, руководитель сталкивается именно с этим видом прибыли.

Прямые и косвенные издержки
Деление издержек на явные и альтернативные является одной из возможных их классификаций. Существуют и другие виды классификации,, такие как деление издержек на прямые и косвенные (накладные), постоянные и переменные.
Прямые издержки - это такие издержки, которые можно полностью отнести к товару или услуге. К ним относятся:
стоимость сырья и материалов, используемых при производстве и реализации товаров и услуг;
заработная плата рабочих (сдельная), непосредственно занятых производством товаров;
иные прямые затраты (все расходы, которые так или иначе непосредственно связаны с товаром).
Косвенные (накладные) издержки это издержки, не связанные напрямую с тем или иным товаром, а относятся к фирме в целом. Они включают:
расходы на содержание административного аппарата;
арендную плату;
амортизацию;
проценты за кредит и т.п.
Критерием разделения издержек на постоянные и переменные является их зависимость от объема производства.

Постоянные, переменные и валовые издержки Постоянные издержки FC (англ. fixed costs) - это издержки, которые не зависят от объема производства.
Переменные издержки VC (англ. variable costs) это издержки, зависящие от объема производства. Прямые затраты на сырье, материалы, рабочую силу и т.п. изменяются в зависимости от масштабов деятельности. Такие накладные расходы, как комиссионные торговым посредникам, плата за телефонные разговоры, затраты на канцелярские товары, увеличиваются с расширением бизнеса, а поэтому в данном случае относятся к категории переменных издержек. Однако в большинстве своем прямые издержки фирмы всегда относятся к категории переменных, а накладные расходы относятся к постоянным ( 10.1



Цена и объем производства




10.1. Взаимосвязь между двумя видами классификации издержек

Сумма постоянных и переменных издержек представляет собой валовые,или суммарные, издержки фирмы ТС(анг.total costs).
Деление издержек на постоянные и переменные подразумевает условное выделение краткосрочного и долгосрочного периодов в деятельности фирмы. Под краткосрочным понимают такой период в работе фирмы, когда часть ее издержек являются постоянными. Иными словами, в краткосрочном периоде фирма не покупает нового оборудования, не строит новых зданий и т.д.
В долгосрочном периоде она может расширять свои масштабы, поэтому в данном периоде все ее издержки являются переменными.

Средние издержки
Под средними понимаются издержки фирмы на производство и реализацию единицы товара. Выделяют:
средние постоянные издержки AFC (англ. average fixed costs), которые рассчитывают путем деления постоянных издержек фирмы на объем производства;
средние переменные издержки AVC (англ. average variable costs), исчисляемые путем деления переменных издержек на объем производства;
средние валовые издержки или полная себестоимость единицы изделия АТС (англ. average total costs ), которые определяют как сумму средних переменных и средних постоянных издержек или как частное от деления валовых издержек на объем выпуска.
Пример 10.2. Рассчитаем средние издержки на базе данных, приведенных в 10.1


Таблица 10.1. Постоянные, переменные, валовые и средние издержки фирмы


Цена и объем производства







Мы видим, что средние валовые издержки уменьшаются с ростом объема выпуска продукции. Это происходит потому, что по мере расширения производства постоянные издержки фирмы относятся на все большее и большее количество изделий, что приводит к их удешевлению.
Средние переменные и средние валовые издержки при росте объема производства могут вести себя по-разному. В нашем примере средние переменные издержки одинаковы при объемах от 100 до 300 шт., при дальнейшем расширении производства (до 600 шт.) они растут. Средние валовые издержки снижаются при росте объема до 400 шт., а далее возрастают.

2. Предельные издержки фирмы
Закон убывающей отдачи
Факторы производства должны использоваться фирмой с соблюдением определенной пропорциональности между постоянными и переменными факторами. Нельзя произвольно увеличивать количество переменных факторов на единицу постоянного фактора, поскольку в этом случае вступает в действие закон убывающей отдачи (см. 2.3).
В соответствии с этим законом непрерывное увеличение использования одного переменного ресурса в сочетании с неизменным количеством других ресурсов на определенном этапе приведет к прекращению роста отдачи, а затем и к ее снижению. Часто действие закона предполагает неизменность технологического уровня производства, и поэтому переход к более прогрессивной технологии может повысить отдачу независимо от соотношения постоянных и переменных факторов.
Рассмотрим подробнее, как изменяется отдача от переменного фактора (ресурса) в краткосрочном временном интервале, когда часть ресурсов или факторов производства остается постоянной. Ведь в течение короткого периода, как уже отмечалось, фирма не может изменять масштабы производства, строить новые цехи, закупать новое оборудование и т.д.
Допустим, что фирма в своей деятельности использует только один переменный ресурс труд, отдачей которого является производительность. Как будут изменяться издержки фирмы при постепенном увеличении числа нанимаемых рабочих? Сначала рассмотрим, как будет изменяться выпуск продукции при увеличении численности рабочих. По мере загрузки оборудования выпуск продукции быстро нарастает, затем прирост постепенно замедляется до тех пор, пока рабочих станет достаточно для полной загрузки оборудования.
Если дальше продолжать нанимать рабочих, они уже ничего не смогут добавить к объему производимой продукции. В конце концов рабочих станет так много, что они будут мешать друг другу, и выпуск сократится.



Конкуренция и монополия на рынке


На поведение каждой фирмы влияет характер, тип рынка, на котором она функционирует. Тип рынка зависит от вида продукции, количества фирм на нем, наличия или отсутствия ограничений на вход в отрасль и выход из нее, доступности информации о ценах, нововведениях и т.д. В странах с развитой рыночной экономикой преимущественно существуют рынки монополистической конкуренции (производство одежды, обуви, сфера услуг, торговля и т.д.), а также олигополии (автомобильная промышленность, металлургия).
Совершенная конкуренция и чистая монополия встречаются довольно редко и скорее являются абстракциями, моделями, на примере которых можно провести анализ поведения фирмы, формирования ее ценовой стратегии и определения объема выпуска, обеспечивающего максимальную прибыль. Хотя совершенная конкуренция явление редкое, ее анализ позволяет понять, как функционирует рыночная экономика, и сравнить «идеальный» рынок с реальным.

Спрос и предложение фирмы в условиях совершенной конкуренции
Поскольку объем продаж фирмы в условиях совершенной конкуренции составляет лишь малую долю от общего рыночного предложения, сокращение или увеличение объема производства фирмы не будет влиять на рыночную цену продукции. Если, например, мы предлагаем 1% от всего количества продаваемых на рынке яблок, то увеличение этой доли до 2% никак не повлияет на рыночную цену.
Отсюда можно сделать вывод, что спрос на продукцию отдельной фирмы в условиях чистой конкуренции является абсолютно эластичным. Если цена 1 кг яблок составляет Р0, то кривую спроса на них можно изобразить в виде горизонтальной линии D, показывающей, что любое количество предлагаемой нами продукции будет продаваться по цене Р0 ( 11. 1,а). Напротив, график рыночного спроса на яблоки будет наклонным, отражая готовность потребителей приобрести различное количество яблок при всех возможных уровнях цен ( 11.
1,б); при цене Ро будет приобретено Qо яблок.




Конкуренция и монополия на рынке


11.1. Спрос на продукцию конкурентной фирмы (а) и отраслевой спрос (б)

Поскольку цена продукции конкурентной фирмы задана извне и не зависит от объема продаж (производства) общий (валовой) .доход фирмы TR (англ. total revenus) будет равен произведению цены на количество проданной продукции Р Q. При этом предельный доход MR(англ. marginal revenuе) - прирост дохода, связанный с выпуском (продажей) каждой дополнительной единицы продукции - будет равен цене продукции. Средний доход (валовой доход, деленный на количество проданных товаров) фирмы в условиях совершенной конкуренции также будет равен цене.
Например, мы продали на рынке 5 кг яблок по рыночной цене 7 руб. за 1 кг. Общий (валовой) доход составит 5i7=35 руб., средний и предельный доходы будут равны 7 руб. На графике кривые среднего и предельного доходов совпадают между собой, а также с горизонтальной линией спроса на продукцию конкурентной фирмы; валовой доход линейно зависит от объема проданной продукции ( 11.2).





Конкуренция и монополия на рынке





11.2. График валового TR и предельного MR доходов конкурентной фирмы


Объем выпуска и реализации в условиях совершенной конкуренции Какой объем производства должен быть достигнут, чтобы обеспечить фирме максимальную прибыль при ограничениях в принятии решений, наложенных динамикой издержек фирмы и спросом на продукцию?
Отвечая на этот вопрос, прежде всего следует провести различия в рассматриваемых временных интервалах. Краткосрочным назовем период, недостаточный для вхождения новых производителей в отрасль или выхода из нее. Долгосрочный период, напротив, является достаточным для вступления новых фирм в отрасль, если представляется возможность получения более высокой прибыли, и выхода из отрасли, если фирма начинает нести убытки.
Как фирма определяет объем производства в краткосрочном временном интервале? Для этого существует два пути. Первый состоит в том, что фирма сравнивает получаемый ею валовой доход при различных объемах выпуска с валовыми издержками, соответствующими каждому из возможных объемов.
Фирма выберет вариант, когда разница между валовым доходом и валовыми издержками будет максимальной, иными словами, будет достигнут максимальный объем прибыли ( 11.3,а).









11.3. Выбор объема производства фирмой путем сопоставления валовых (а) и предельных (б) доходов и издержек: ТС валовые издержки; TR валовой доход; МС предельные издержки; MR предельный доход

Однако на практике, когда фирма уже занимается производством, перед ней встает вопрос: что ей даст производство еще одной дополнительной единицы продукции? В какой пропорции расширение производства увеличит доход и издержки? Фирма будет сравнивать предельный доход и предельные издержки. До тех пор, пока расширение производства будет обеспечивать более быстрый рост дохода по сравнению с ростом издержек, фирма будет наращивать производство.
Когда же дополнительная продукция будет больше добавлять к издержкам, чем к доходу, фирма прекратит увеличивать объем выпуска. Переломной точкой станет момент, когда будет достигнуто равенство предельного дохода и предельных издержек. То количество продукции, при котором обеспечивается это равенство, и будет выбрано фирмой ( 11.3,б).
Объем производства, при котором предельный доход равен предельным издержкам, называется точкой оптимального выпуска.
Используя либо первый подход (сравнение валовых дохода и издержек), либо второй (сравнение предельных дохода и издержек), фирма выберет объем производства Q0, который обеспечит ей максимальную прибыль.
Любой объем производства от Q1 до Q2 принесет фирме прибыль (см. 11.3,а), однако лишь в точке Q0 эта прибыль будет максимальной. Именно при Q0 предельный доход будет равен предельным издержкам (см.
11.3,б). На участке Q1Q0 фирма будет недополучать возможную прибыль, а на участке Q0Q2 предельные издержки превысят предельный доход и прибыль снизится.
Выше мы предположили, что фирма работает успешно, получая прибыль, и решает вопрос, сколько продукции надо произвести, чтобы эта прибыль была максимальной. Однако в краткосрочном периоде, как уже отмечалось ранее, фирма может столкнуться с ситуацией убытков, например при снижении рыночной цены. В этих условиях поведение фирмы может быть двояким: либо она продолжит производство, несмотря на убытки, либо прекратит свою деятельность и закроется.
Мы исходим из того, что фирма предпочтет производить продукцию даже в случае возникновения временных убытков, при этом ее задачей станет их минимизация. Закрытие крайне нежелательный вариант. Возможны три ситуации, с которыми сталкивается фирма в условиях совершенной конкуренции.
Производя продукцию в количестве Оо, при котором обеспечивается равенство цены (предельного дохода) и предельных издержек, фирма получает прибыль, поскольку сложившаяся на рынке цена Р0 превышает минимальные средние валовые издержки ( 11.4).




Конкуренция и монополия на рынке





1 1.4. Максимизация прибыли фирмой в условиях совершенной конкуренции

Предположим, что по каким-то причинам рыночная цена продукции снизилась до уровня Р1 и стала ниже минимума средних валовых издержек фирмы, однако выше минимума средних переменных издержек. В этом случае фирма продолжит производство в объеме, который позволит максимально сократить возникшие убытки и хотя бы частично компенсировать постоянные издержки (затраты на аренду помещения, оборудование и т.п.) ( 11.5).




Конкуренция и монополия на рынке



11.5. Минимизация убытков фирмой в условиях совершенной конкуренции

Что произойдет, если рыночная цена снизится до уровня P2 и окажется ниже минимальных средних переменных издержек? В этом случае фирма не сможет компенсировать даже части своих постоянных затрат и единственным приемлемым выходом для нее станет прекращение производства. Подобная ситуация отражена на 11.6.




Конкуренция и монополия на рынке



11.6. Соотношение цены и издержек, когда единственным выходом для фирмы является прекращение деятельности

Из вышеизложенного можно сделать выводы:
1. Объем производства фирма будет определять, сравнивая валовой доход и валовые издержки либо предельный доход и предельные издержки. В условиях совершенной конкуренции предельный доход равен цене единицы продукции, и фирма будет наращивать производство до того момента, когда предельные издержки станут равны предельному доходу (цене).
2. В краткосрочном периоде фирма продолжит производство даже в том случае, когда она не сможет получать прибыль, при условии, что цена окажется выше минимальных средних переменных издержек. В такой ситуации задачей фирмы станет минимизация убытков, возникших из-за снижения рыночной цены. Если цена окажется ниже минимальных средних переменных издержек, фирма предпочтет остановить производство и закрыться.
Следует обратить внимание, что на 11.4 и 11.5 при более высокой рыночной цене равенство предельного дохода (цены) и предельных издержек будет достигаться при большем объеме производства данной фирмы. Учитывая это обстоятельство, можно построить график предложения конкурентной фирмы при всех возможных вариантах рыночных цен ( 11.7).
Фирма начнет производство при цене не ниже минимума средних переменных издержек P1 и будет продолжать увеличивать выпуск до Q3 при цене P3 минимизируя убытки, затем при росте цены до P4 и далее до P5 будет увеличивать выпуск от Q3 до Q5 максимизируя прибыль. Отрезок кривой Х1 Х5 будет кривой предложения фирмы при всех возможных ценах от P1 до P5.



Анализ безубыточности


Совершенная конкуренция, как уже отмечалось, является скорее абстрактной моделью, удобной для анализа основных принципов формирования рыночного поведения фирмы. В реальной действительности чисто конкурентные рынки встречаются редко, как правило каждая фирма имеет «свое лицо», и каждый потребитель, выбирая продукцию той или иной фирмы, руководствуется не только полезностью продукции и ее ценой, но и своим отношением к самой фирме, к качеству выпускаемых ею изделий. В этом смысле положение каждой фирмы на рынке в чем-то уникально, или, иными словами, в ее поведении присутствует элемент монополизма.
Этот элемент накладывает отпечаток на деятельность фирмы, заставляет ее несколько иначе подходить к формированию ценовой стратегии, определению объема выпуска продукции, наиболее эффективного с точки зрения прибылей и убытков.

  1. Монополия

Что такое монополия? Чтобы определить, как влияет монополизм на поведение фирмы, остановимся на теории монополии. Что такое монополия? Как формируются издержки предприятия-монополиста, исходя из каких принципов оно устанавливает цену на свою продукцию и как определяет объем производства?
Понятие чистой монополии также обычно является абстракцией. Даже полное отсутствие конкурентов внутри страны не исключает их наличия за рубежом. Поэтому можно представить чистую, абсолютную монополию скорее теоретически. Монополия предполагает, что одна фирма является единственным производителем какой-либо продукции, не имеющей аналогов.
При этом покупатели не имеют возможности выбора и вынуждены приобретать данную продукцию у фирмы-монополиста.
Не следует отождествлять чистую монополию и монопольную (рыночную) власть. Последняя означает возможность для фирмы влиять на цену и повышать экономическую прибыль, ограничивая объем производства и сбыта. Когда говорят о степени монополизации рынка, обычно имеют в виду силу рыночной власти отдельных фирм, присутствующих на этом рынке.
Как ведет себя монополист на рынке? Он полностью контролирует весь объем выпуска товара; если он принимает решение о повышении цены, то не боится потерять часть рынка, отдать его конкурентам, устанавливающим более низкие цены. Но это не означает, что он бесконечно будет повышать цену своей продукции.
Поскольку фирма-монополист, так же как и любая другая фирма, стремится к получению высокой прибыли, в ходе принятия решения о цене продажи она учитывает рыночный спрос и вои издержки. Так как монополист является единственным производителем данной продукции, кривая спроса на его продукцию будет совпадать с кривой рыночного спроса.
Какой объем производства должен обеспечить монополист, с тем чтобы его прибыль была максимальной? Принятие решения об объеме выпуска основывается на том же принципе, что и в случае конкуренции, т.е. на равенстве предельного дохода и предельных издержек.

Предельный доход монополиста Как уже было сказано (см. гл. 11), для фирмы в условиях совершенной конкуренции характерно равенство предельного дохода и цены. Для монополиста ситуация иная.
Кривая среднего дохода и цены совпадает с кривой рыночного спроса, а кривая предельного дохода лежит ниже нее.
Почему кривая предельного дохода лежит ниже кривой рыночного спроса? Поскольку монополист единственный производитель продукции на рынке и представитель всей отрасли, он, снижая цену продукции для увеличения объема продаж, вынужден снижать ее на все единицы продаваемых товаров, а не только на последующую ( 12.1).


Анализ безубыточности






12.1. Цена и предельный доход фирмы-монополиста:D спрос; MR предельный доход


Например, монополист может продать по цене 800 руб. только одну единицу своей продукции. Чтобы продать две единицы, он должен снизить цену до 700 руб. как на первую, так и на вторую единицу продукции. Чтобы продать три единицы продукции, цена должна стать равной 600 руб. за каждую из них, четыре единицы 500 руб. и т.д.
Доход фирмы-монополиста соответственно составит при продаже: 1 ед. 800 руб.; 2 ед. 1400 (700 2); З ед.-1800 (600 3); 4 ед.-2000 (500 4).
Соответственно предельный (или дополнительный в результате увеличения продаж на одну единицу продукции) доход составит: 1 ед. - 800 руб.; 2 ед. - 600 (1400 - 800); 3 ед. - 400(1800 - 1400); 4 ед. - 200 (2000 - 1800).
На 12.1 кривые спроса и предельного дохода показаны как две несовпадающие линии, причем предельный доход во всех случаях, кроме выпуска 1 ед., меньше цены. А поскольку монополист принимает решение об объеме производства, выравнивая предельный доход и предельные издержки, цена и количество произведенной продукции будут иными, чем в условиях конкуренции.

Максимизация прибыли монополистом Чтобы показать, при какой цене и каком объеме выпуска предельный доход монополиста будет максимально приближен к предельным издержкам и получаемая прибыль окажется наибольшей, обратимся к числовому примеру. Представим себе, что фирма является единственным производителем данной продукции на рынке, и сведем данные об ее издержках и доходах в табл. 12.1.



Таблица 12.1.Динамика издержек и доходов фирмы Х в условиях монополии


Анализ безубыточности








Мы предположили, что 1 тыс. ед. своей продукции монополист может продать по цене 500 руб. В дальнейшем при расширении сбыта на 1 тыс. ед. он вынужден каждый раз снижать ее цену на 12 руб., поэтому предельный доход сокращается на 4 руб. при каждом расширении объема продаж. Фирма будет максимизировать прибыль, производя 14 тыс. ед. продукции. Именно при таком объеме выпуска ее предельный доход в наибольшей степени приближен к предельным издержкам.
Если она произведет 15 тыс. ед., то эта дополнительная 1 тыс. ед. больше добавит к издержкам, чем к доходу, и тем самым уменьшит прибыль.
На конкурентном рынке, когда цена и предельный доход фирмы совпадают, было бы произведено 15 тыс. ед. продукции, причем цена этой продукции была бы ниже, чем в условиях монополии:




Анализ безубыточности




Графически процесс выбора фирмой-монополистом цены и объема производства показан на 12.2.





Анализ безубыточности





12.2. Определение цены и объема производства фирмой-монополистом: D спрос; MR предельный доход; МС предельные издержки
Поскольку в нашем примере производство возможно лишь в целых единицах продукции, а точка А на графике лежит между 14 и 15 тыс. ед., будет произведено 14 тыс. ед. продукции. Не произведенная монополистом 15-я тысяча (а она была бы выпущена в условиях конкуренции) означает потерю для потребителей, так как часть из них отказались от покупки из-за высокой цены, установленной производителем-монополистом.
Любая фирма, спрос на продукцию которой не является абсолютно эластичным, будет сталкиваться с ситуацией, когда предельный доход меньше цены. Поэтому цена и объем производства, приносящие ей максимальную прибыль, будут соответственно выше и ниже, чем в условиях совершенной конкуренции. В этом смысле на рынках несовершенной конкуренции (монополия, олигополия, монополистическая конкуренция) каждая фирма обладает определенной монопольной властью, которая наиболее сильна при чистой монополии.


Монополия и эластичность спроса Как уже отмечалось, предельный доход в условиях совершенной конкуренции равен цене единицы товара и спрос на продукцию фирмы совершенно эластичен. При существовании монопольной власти предельный доход меньше цены, кривая спроса на продукцию фирмы является наклонной, что позволяет фирме, обладающей монопольной властью, получать дополнительную прибыль.

Анализ безубыточности

Эластичность спроса на продукцию (даже в случае, если на рынке присутствует только один продавец этой продукции) влияет на цену, установленную монополистом. Имея информацию об эластичности спроса Ер, а также данные, характеризующие предельные издержки фирмы МС, руководство фирмы может рассчитать цену продукции Р по формуле:

(12.1)




Чем выше эластичность спроса, тем более приближены условия деятельности монополиста к условиям свободной конкуренции, и наоборот, при неэластичном спросе у монополиста создается больше возможностей «взвинчивать» цены и получать монопольные доходы.

Как влияют налоги на поведение монополиста? Поскольку налог увеличивает предельные издержки, их кривая МС сместится влево и вверх в положение МС1 как это показано на 12.3. Фирма теперь будет максимизировать свою прибыль в очке пересечения Р1 и Q1.
Монополист сократит производство и повысит цену в результате введения налога. Насколько он повысит цену, можно рассчитать, используя формулу (12.1). Если эластичность спроса, к примеру, составляет -1,5, тогда



Анализ безубыточности



При этом после введения налога цена увеличится на величину, в три раза превышающую размер налога. Влияние налога на монопольную цену зависит, таким образом, от эластичности спроса: чем менее эластичен спрос, тем в большей степени монополист повысит цену после введения налога.




Анализ безубыточности





12.3. Влияние налога на цену и объем производства фирмы- монополиста: D спрос, МR предельный доход; МС предельные издержки без учета налога; МС1 предельные издержки с учетом налога

Оценка монопольной власти
Эластичность спроса является важным фактором, ограничивающим монопольную власть фирмы на рынке. Если мы имеем дело с чистой монополией (только один продавец), эластичность спроса становится единственным рыночным фактором, сдерживающим монопольный произвол. Именно поэтому деятельность всех отраслей естественной монополии регулируется государством.
Во многих странах предприятия естественной монополии являются государственной собственностью.



Трудовые ресурсы


Каждая фирма, начиная процесс производства или принимая решение о его расширении, должна быть уверена, что ее затраты обязательно окупятся и принесут прибыль. Как известно, фирма всегда несет постоянные издержки, которые не зависят от объема производства, и переменные издержки, которые возрастают уменьшаются с изменением объема выпуска и продаж. Для получения прибыли необходимо, чтобы объем выручки от продаж превышал сумму постоянных и переменных издержек.
При расчете объема продаж (выручки), при котором валовые затраты фирмы окупаются, было бы неправильно механически сложить постоянные и переменные издержки. Дело в том, что сумма переменных издержек будет различной при разных объемах производства, и определить ее можно только зная, о каком конкретно объеме производства идет речь. В данной главе рассматривается порядок расчета выручки, окупающей затраты фирмы (точки безубыточности), и приводятся примеры, поясняющие, как он используется на практике. 1. Определение объема выручки, обеспечивающего покрытие всех затрат Для расчета объема выручки, покрывающего постоянные и переменные издержки фирмы, целесообразно использовать такую величину, как сумма покрытия. Расчет суммы покрытия позволяет определить, сколько средств зарабатывает фирма, производя и реализуя свою продукцию с тем, чтобы окупить постоянные издержки и получить прибыль. Понятие средней величины покрытия используется, когда речь идет не о выручке фирмы в целом, а о цене отдельного товара.
Расчет суммы и средней величины покрытия дает возможность определить также точку безубыточности.

Сумма покрытия, средняя величина покрытия, коэффициент покрытия
Суммой покрытия называется разница между выручкой от реализации и всей суммой переменных затрат (издержек). Ее можно рассчитать и по-другому как сумму постоянных затрат (издержек) и прибыли. Для расчета суммы покрытия из выручки необходимо вычесть все прямые затраты, а также часть накладных расходов, которые зависят от объема производства и поэтому относятся к категории переменных затрат.
Сумма покрытия означает вклад в покрытие постоянных расходов и получение прибыли.
Под средней величиной покрытия понимают разницу между ценой товара и средними переменными издержками. Средняя величина покрытия отражает вклад единицы изделия в покрытие постоянных затрат и получение прибыли.
Коэффициентом покрытия называется доля суммы покрытия в выручке от реализации или (для отдельного товара) доля средней величины покрытия в цене товара.
Использование этих величин помогает быстро решать некоторые задачи, например определение размера прибыли при разных объемах выпуска.

Пример 13.1. Фирма выпускает и продает товар, средние переменные издержки на производство и сбыт которого составляют 100 руб/шт. Товар продается по цене 120 руб.
Постоянные затраты фирмы в месяц составляют 60 тыс. руб. Рассчитаем, какую прибыль может получить фирма в месяц, если она продаст данного товара 4000, 5000, 6000 шт.
Поскольку постоянные затраты фирмы не зависят от объема выпуска, найдем сумму покрытия и прибыль (как разность суммы покрытия и постоянных издержек) для всех трех вариантов (табл. 13.1 ).


Таблица 13.1.Прибыль фирмы при различных объемах выпуска, тыс. руб.



Трудовые ресурсы




Так как средняя величина покрытая одинакова для всех трех вариантов, расчет прибыли можно упростить. Определим прибыль фирмы при любом объеме выпуска. Для этого:
1) умножив среднюю величину покрытия на объем выпуска, получим сумму покрытия;
2) от суммы покрытия отнимем постоянные издержки. Например, какую прибыль получит фирма, если произведет и продаст 4560 шт. товара?
Сумма покрытия: 20 руб. 4560 = 91,2 тыс. руб.
Прибыль: 91,2 тыс. руб. 60 тыс. руб. = 31,2 тыс. руб.

Пример 13.2. Фирма производит и продает одновременно два товара: А и Б. Данные об объемах продаж, ценах и затратах приведены в табл. 13.2.





Таблица 13.2.06ъмы продаж, цены товаров А и Б и издержки производства




Трудовые ресурсы








Предположим, что требуется определить:
1) размер прибыли, получаемой фирмой за месяц,
2) среднюю величину покрытия для каждого товара;
3) коэффициент покрытия для каждого товара;

  1. размер прибыли, который получит фирма, если расширит продажу товара А до 7000 шт., а товара Б до 4500 шт.
Для ответа на поставленные вопросы все необходимые данные сведем в табл. 13.3.




Таблица 13.3. Порядок расчета средней величины и коэффициента покрытия, а также размера прибыли фирмы




Трудовые ресурсы








Итак, за месяц фирма зарабатывает 10 тыс. руб. прибыли. Средняя величина покрытия для товара А составляет 8 руб. (коэффициент покрытия 0,154), для товара Б13 руб. (коэффициент покрытия 0,144). При расширении объема продаж фирма получит:
1 ) сумма покрытия от продажи товара А: 8 руб. 7000 = 56 тыс. руб.:
2) сумма покрытия от продажи товара Б : 13 руб. 4500 = 58,5 тыс. руб.;
3) сумма покрытия от продажи товаров А и Б: 56 тыс. руб. + 58,5 тыс. руб. = 114,5 тыс. руб.;
4) постоянные издержки фирмы: 90 тыс. руб.;
5) прибыль фирмы: 114,5 тыс. руб. 90 тыс. руб. =24,5 тыс. руб.
Пример 13.3. Компания производит и реализует один товар, переменные затраты на единицу которого приведены ниже, руб.:


Трудовые ресурсы


Товар продается по цене 60 руб. за 1 шт., постоянные затраты составляют 136 тыс. руб. Определим, какое количество товара должна продать компания, чтобы обеспечить получение 32 тыс. руб. прибыли?
1. Для решения этой задачи найдем сумму покрытия. Ее можно определить как разницу между валовой выручкой и переменными затратами, а также как сумму постоянных затрат и прибыли:
136 тыс. руб. + 32 тыс. руб. = 168 тыс. руб.
2. Зная сумму покрытия, найдем его среднюю величину как разницу между ценой товара и средними переменными издержками: 60 руб. 48 руб. = 12 руб.

  1. Поскольку производится и продается только один товар, требуемое для получения заданной суммы прибыли его количество можно рассчитать, разделив сумму покрытия на его среднюю величину:
168 тыс. руб. : 12 руб/шт. = 14 тыс. шт.

Пример 13.4. Фирма желает продать 20 тыс. шт. товара. Средние переменные издержки на производство и реализацию составляют 15 руб.
Постоянные издержки 250 тыс. руб. Фирма планирует получить прибыль в размере 50 тыс. руб. По какой цене следует продавать товар?
1. Найдем сумму покрытия, прибавив к постоянным издержкам планируемый объем прибыли:
250 тыс. руб. + 50 тыс. руб. = 300 тыс. руб.
2. Найдем среднюю величину покрытия, разделив сумму покрытия на количество продаваемых товаров: 300 тыс. руб. : 20 тыс. шт. = 15 руб/шт.
3. Найдем цену товара, прибавив к средней величине покрытия средние переменные издержки: 15 руб. +15 руб. == 30 руб.


Точка безубыточности Под точкой безубыточности понимается такая выручка и такой объем производства, которые обеспечивают фирме покрытие всех ее затрат и нулевую прибыль. Расчет точки безубыточности позволяет фирме решить следующие задачи:
1. Поскольку будущий объем продаж и цена товара в значительной степени зависят от рынка, его емкости, покупательной способности потребителей, эластичности спроса, производитель должен быть уверен, что его затраты окупятся и принесут прибыль в будущем. Если объем спроса, позволяющий окупить затраты и получить прибыль, не сможет быть достигнут вследствие, к примеру, узости рынка сбыта, то всегда об этом лучше знать до начала производства и осуществления инвестиций.
2. Поскольку выручка зависит от двух компонентов: цены товара и объема продаж, можно рассчитать необходимое изменение каждого из них в том случае, если другой компонент изменится. Например, предприятие вынуждено снизить цену продукции, чтобы сохранить позиции в конкурентной борьбе. Придется увеличить объем продаж, чтобы сохранить размер получаемой ранее прибыли.
3. Если предприятие получает выручку больше той, которая соответствует точке безубыточности, оно работает с прибылью. Эта прибыль тем больше, чем больше разница между фактической выручкой и выручкой, соответствующей точке безубыточности. Сравнивая эти два значения выручки, можно оценить, насколько фирма может допустить снижение выручки без опасения оказаться убытке.
Приводимый ниже порядок расчета точки безубыточности является очень простым и позволяет быстро и без сложных расчетов найти искомую величину. Однако следует остановиться на некоторых допущениях, которые при этом принимаются.
Во-первых, предполагаем, что, расширяя объем продаж, фирма не изменяет продажную цену. В отношении длительного времени и большого объема продукции такое предположение не является правомерным. Однако для короткого промежутка времени и небольших объемов оно вполне приемлемо, поэтому график валовой выручки на 13.1 выглядит как прямая линия.






Трудовые ресурсы



13.1. График выручки и издержек фирмы: FC постоянные издержки; VC переменные издержки; ТС валовые издержки; ТR валовая выручка (валовой доход); R' пороговая выручка; Q' пороговый объем продаж

Во-вторых, аналогичное предположение относится и к затратам. Известно, что при расширении объема производства темп изменения затрат различный. На определенном этапе начинает действовать закон убывающей отдачи, и темп роста издержек ускоряется. Это выражается в росте предельных издержек в случае, если производственные мощности оказываются чрезмерно загруженными.
Однако здесь предполагаем, что затраты растут равномерно, что также вполне приемлемо, если предприятие работает с нормальной загрузкой и сильных колебаний в объеме выпуска не наблюдается.



Природные ресурсы


Сфера труда важная и многоплановая область экономической и социальной жизни общества. Она охватывает как рынок рабочей силы, так и непосредственное использование трудовых ресурсов в общественном производстве. На рынке труда получает оценку стоимость рабочей силы, определяются условия ее найма, в том числе величина заработной платы, условия труда, возможность получения образования, профессионального роста, гарантии занятости и т.д.
Рынок труда отражает основные тенденции в динамике занятости, ее основных структурах (отраслевой, профессионально - квалификационной, демографической), т.е. в общественном разделении труда, а также мобильность рабочей силы, масштабы и динамику безработицы. Не менее важным компонентом сферы труда является кадровая работа на предприятиях (фирмах), мотивация труда и трудовые отношения. Именно на микроуровне происходит непосредственное использование трудовых ресурсов страны, осуществляется их вклад в экономический рост в качестве экономического ресурса и фактора производства.
1. Спрос, предложение и равновесие на рынке труда В экономической теории рынок труда это рынок, где реализуется лишь один из прочих ресурсов. Здесь можно выделить четыре основных концептуальных подхода к анализу функционирования современного рынка труда.

Неоклассический подход В основе первой концепции лежат постулаты классической политэкономии. Ее придерживались в основном неоклассики (П. Самуэльсон, М. Фелдстайн, Р. Холл), а в 80-х гг. ее поддерживали также сторонники концепции экономики предложения (Д. Гилдер, А. Лаффер и др.).
Приверженцы этой концепции полагают, что рынок труда, как и все прочие рынки, действует на основе ценового равновесия, т.е. основным рыночным регулятором служит цена в данном случае рабочей силы (заработная плата). Именно с помощью заработной платы, по их мнению, регулируется спрос и предложение рабочей силы, поддерживается их равновесие. Инвестиции в образование и квалификацию (в человеческий капитал) это аналоги инвестиций в машины и оборудование, которые осуществляются до тех пор, пока не понижается норма прибыли на эти вложения.
Из неоклассической концепции следует, что цена рабочей силы гибко реагирует на потребности рынка, увеличиваясь или уменьшаясь в зависимости от спроса и предложения, а безработица невозможна, если на рынке труда существует равновесие ( 14.1).


Природные ресурсы




14.1. Спрос и предложение на рынке труда: Wc равновесная заработная плата:Lc численность нанимаемых работников; S кривая предложения; Q кривая спроса

Равновесная ставка заработной платы и равновесный уровень занятости данного вида труда определяются на пересечении кривых предложения и спроса на труд (в точке С).
Экономисты-неоклассики обосновали вывод о том, что полная занятость является нормой для капитализма. Они объясняют это тем, что в соответствии с классической теорией совокупное предложение в экономике определяет уровень реального объема производства при полной занятости, а совокупный спрос уровень цен. Кроме того, согласно неоклассическим представлениям в рыночной экономике существует эластичность соотношения цен и заработной платы.
Даже если и произойдет временное сокращение общих расходов, то оно будет компенсировано снижением цен и заработной платы и в результате реальный объем производства, занятость и реальный доход не снизятся ( 14.2).




Природные ресурсы


14.2. Спрос и предложение в классической теории занятости: Sc совокупное предложение; Dc совокупный спрос: Р цена; Q реальный объем производства

Согласно классической теории совокупный спрос обычно стабилен, но если бы упал, как показано на 14.2, с Dc1 до Dc2 , то цена быстро бы снизилась с Р1 до Р2 В результате временное превышение предложения АВ устраняется и восстанавливается полная занятость в точке С.
Поскольку всерьез говорить об изменении заработной платы в точном соответствии с колебаниями спроса и предложения, а тем более об отсутствии безработицы не приходится, сторонники этой концепции ссылаются на некие несовершенства рынка, которые и приводят к несоответствию их теории с жизнью. К ним относят влияние профсоюзов, установление государством минимальных ставок заработной платы, отсутствие информации и т.п.
Выдвигается также тезис о якобы добровольном характере безработицы. Однако если безработица носит такой характер, то почему она колеблется в зависимости от фазы экономического цикла? Выдвигается и тезис о «поиске» рабочего места как явлении, вызывающем нестабильность рынка. Суть его заключается в том, что наемные работники очень разборчивы и стремятся к максимально выгодной работе.
Однако и в этом случае не ясно, почему таких работников бывает то 45%, то все 15%? Но главный вопрос, на который не могут ответить сторонники неоклассического подхода, почему все наемные работники в случае превышения их предложения над спросом не предлагают свою рабочую силу по более низкой цене?

Кейнсианский подход
Иного подхода к объяснению функционирования рынка труда придерживаются кейнсианцы и монетаристы. В отличие от неоклассиков они рассматривают рынок труда как явление постоянного и фундаментального неравновесия. Именно Дж. Кейнс является родоначальником современной теории занятости. Главный вывод этой теории состоит в том, что при капитализме не существует механизма, гарантирующего полную занятость.
Причины безработицы кроются в значительной мере в отсутствии полной синхронности в принятии основных экономических решений, в частности решений о сбережениях и инвестициях. Кроме того, кейнсианцы ставят под сомнение положение об эластичности цен заработной платы. При этом и цены на продукцию, и заработная плата устойчивы к понижению вследствие наличия целого ряда факторов, например влияния профсоюзов, монополий, законодательства о минимальной заработной плате ( 14.3).





Природные ресурсы



14.3. Спрос и предложение в кейнсианской теории занятости: Sc1, Sc2 совокупное предложение; совокупный спрос; Р цена; Q реальный объем производства
Вследствие неэластичности цен и заработной платы в направлении понижения кривая совокупного предложения имеет горизонтальное расположение (Sc2 ). Поэтому снижение объема производства не окажет влияния на цену. При достижении уровня полной занятости (уровня потенциального производства) точка С кривая совокупного предложения занимает вертикальное положение (Sc1).
Поскольку цена (заработная плата) согласно данной концепции не является регулятором рынка, он (регулятор) должен быть привнесен извне. Его роль отводится государству, которое, уменьшая или увеличивая совокупный спрос, может ликвидировать данное неравновесие. Так, снижая налоги, государство стимулирует рост спроса и потребления. Это, в свою очередь, приводит к росту производства и занятости.
Таким образом, спрос на рабочую силу по этой модели регулируется не колебаниями рыночных цен на труд, а совокупным спросом, иначе объемом производства.

Монетаристская модель
Как и сторонники кейнсианского подхода, представители школы монетаристов (прежде всего М. Фридмен) исходят из жесткой структуры цен на рабочую силу и, более того, из предпосылки их однонаправленного, повышательного движения.
По мнению представителей данной школы, для рынка труда негативными факторами, усиливающими рыночное неравновесие, являются установление государством минимального уровня заработной платы, сильные позиции профсоюзов, отсутствие всей необходимой информации о наличии вакансий и резервной рабочей силы. Для уравновешивания рынка монетаристы предлагают использовать инструменты денежно-кредитной политики. Речь, в частности, идет о необходимости использовать такие рычаги, как учетная ставка центрального банка, размеры обязательных резервов коммерческих банков на счетах центрального банка, что позволит, в частности, стимулировать инвестиционную и деловую активность и таким образом увеличить занятость в стране.
По мнению монетаристов, денежная политика в конечном счете должна быть направлена на достижение естественного уровня безработицы, отражающего структурные диспропорции на рынке труда и не связанного с циклической конъюнктурой в экономике.

Институционалисты на рынке труда
Еще один распространенный теоретический подход к механизму функционирования рынка труда представлен школой институционалистов (Дж. Данлоп, Л. Ульман и др.). Основное внимание в ней уделяется анализу профессиональных и отраслевых различий в структуре рабочей силы и соответствующих уровней заработной платы.
Здесь прослеживается отход от макроэкономического анализа и попытка объяснить характер рынка особенностями динамики отдельных отраслей, профессиональных демографических групп.

Марксизм об особенностях рынка труда В марксистской экономической теории рынок труда определяется как рынок особого рода. Его отличает от других рынков разница товара «рабочая сила» и физического капитала. Если рабочая сила в процессе труда создает стоимость, то все прочие виды ресурсов лишь переносятся на новую стоимость самим трудом.
Это кардинально отличает рабочую силу от всех прочих ресурсов, обеспечивает ее ключевое значение в общественном производстве. Кроме того, марксисты полагают, что рынок рабочей силы, хотя и подчиняется общим рыночным закономерностям, имеет существенные особенности, поскольку сама рабочая сила как субъективный фактор производства, будучи товаром, может в то же время активно влиять на соотношение спроса и предложения.



Знания


Природные ресурсы являются самым древним производственным фактором. Этот ресурс дан нам природой, «землею-матерью» (отсюда сокращенное название этого фактора «земля»). 1. Природные ресурсы как экономический фактор. Рента
Понятие «природные ресурсы»
В природные ресурсы включают землю и недра, растительный и животный мир, лесные и водные ресурсы, воздушный бассейн и климат.
Природные ресурсы распределены неравномерно. В результате этого различные районы, страны, регионы и даже целые материки имеют разную ресурсообеспеченность, т.е. соотношение между величиной природных ресурсов и размерами их использования. Этот показатель по каждому виду ресурсов можно выразить либо количеством лет, на которые должно хватить данного ресурса, либо его запасами на душу населения.
При этом возникают два момента. Во-первых, хватает ли запасов данного вида природных ресурсов и на сколько. Во-вторых, как следует использовать этот природный ресурсе (комплексность, эффективность, безотходность и т.д.).
Большое влияние на вовлечение природных ресурсов в процесс производства оказывает научно-технический прогресс. С одной стороны, он способствует рационализации использования природных ресурсов: выявление более дешевых по добыче и легко транспортируемых топливных ресурсов (природный газ по трубопроводам); внедрение более полного извлечения и переработки нефти (в настоящее время коэффициент отдачи пластов в среднем для топливных ресурсов составляет около 45%, в том числе для угля открытой добычи 8090%, шахтной добычи 3580% , для нефти 35%, природного газа 80%); повышение коэффициента использования уже добытого топлива и сырья (средний мировой уровень полезного использования первичных полезных энергоресурсов составляет около 1/3, в том числе при сжигании угля 20%; нефти 24%; природного газа 48%); внедрение безотходных технологий (оборотная вода и т.д.). В целом в сельском хозяйстве внедряются ; более интенсивные способы ведения земледелия и животноводства, в промышленности переход к энергосберегающим и материалосберегающим технологиям, проводится политика экономии ресурсов.
С другой стороны, под влиянием научно-технического прогресса расширяются старые производства и получают «второе дыхание» старые промышленные районы, создаются новые производства, осваиваются новые территории, увеличивается число полезных ископаемых, вовлекаемых в производство.
Сложно сказать, какая из тенденций победит в скором будущем: сберегающая или потребляющая. Но надо отметить тот факт, что разведанные запасы полезных ископаемых растут быстрее, чем их добыча.

Влияние природных ресурсов на экономику
В большинстве стран с развитой рыночной экономикой природных ресурсов (особенно полезных ископаемых) потребляется больше, чем они их имеют. Недостающие ресурсы ввозятся преимущественно из развивающихся стран. В силу этого огромные сырьевые потоки движутся в три основных центра их переработки: Северную Америку, Западную Европу, Восточную и Юго-Восточную Азию.
Такое положение дел порождает две проблемы: зависимость развитых стран от поставок сырья и сырьевую ориентацию экспорта многих развивающихся государств.
Неравномерность обеспечения стран природными ресурсами, а также потребления их выдвигает ряд закономерностей в экономическом развитии разных стран. Первая из них связана с необходимостью поиска путей более рационального использования природных ресурсов в условиях их нехватки. Особенно остро эта проблема стоит для развитых стран.
Собственно говоря, их вариант промышленного развития в последние десятилетия (экономия ресурсов) и есть ресурсосберегающий путь экономического развития.
Природные ресурсы, как известно, делятся на возобновляемые и невозобновляемые. Особенно бережно следует относиться к невозобновляемым ресурсам. Необходимо также принимать действенные меры в отношении возобновляемых ресурсов (пресная вода, лес, почва), восстанавливать их первоначальное состояние, Многие страны мира активно используют вторичное сырье и отходы производства, сберегая таким образом «кладовые» природы.
Наконец, следует всемерно стремиться к созданию максимального количества малоотходных и безотходных предприятий и технологий.

Рента
Рента как экономическая категория представляет собой доход от природных ресурсов. Хотя нередко этот термин используют для обозначения дохода от любой собственности, причем не только в виде природных ресурсов.
В экономике наибольшее значение имеют земельная и горная рента, т.е. доход от сдачи в аренду земельных угодий и месторождений полезных ископаемых.
Величина земельной ренты зависит как от общественных, так и от природных условий. В сельском хозяйстве величина ренты тем больше, чем плодороднее земля, лучше географическое расположение и обустроенность вследствие проведения соответствующих мероприятий на арендуемом участке земли. Таким образом, здесь рентные отношения представляют собой отношения по распределению дохода между собственником земли и арендатором.
Сама по себе земельная рента возникает вследствие того, что земельный собственник передает свое право пользования землей предпринимателю или другому арендатору.
Рента существует и в добывающей промышленности. Это горная рента. В хозяйственной жизни она обычно представлена теми специальными налогами (налог на пользование недрами, налог на воспроизводство минерально-сырьевой базы и др.), которые добывающая компания платит главному собственнику природных ресурсов государству.
2. Экологическая проблема Окружающей природной средой называется та часть земной природы, с которой человеческое общество непосредственно взаимодействует в своей жизни и производственной деятельности на данном этапе исторического развития.
Хотя вторая половина ХХ в. это время невиданных ранее темпов экономического роста, однако оно во все в большей мере стало осуществляться без надлежащего учета возможностей окружающей природной среды, допустимых хозяйственных нагрузок на нее. В результате происходит деградация окружающей природной среды.
В качестве примеров деградации окружающей природной среды в результате нерационального природопользования можно привести обезлесение и истощение земельных ресурсов. Процесс обезлесения выражается в сокращении площади под естественной растительностью, и прежде всего лесной. По некоторым оценкам, во время возникновения земледелия и скотоводства лесами было покрыто 62 млн км2 суши, а с учетом кустарников и перелесков 75 млн км2 или 56% всей ее поверхности.
В результате продолжающегося уже 10 тыс. лет сведения лесов их площадь сократилась до 40 млн км2 а средняя лесистость до 30%.
В наши дни сведение лесов продолжается быстрыми темпами: ежегодно их уничтожается более 20 тыс. км2 Лесные массивы исчезают по мере расширения запашки земли и пастбищ, роста заготовки древесины. Особенно угрожающее положение сложилось в зоне тропических лесов, где, по данным Продовольственной и сельскохозяйственной организации ООН (ФАО), в середине 80-х гг. ежегодно уничтожалось 11 млн га лесов, а в начале 90-х гг. примерно 17 млн га, особенно в таких странах, как Бразилия, Филиппины, Индонезия, Таиланд.
Деградация земельных ресурсов в результате расширения земледелия и животноводства происходила на протяжении всей истории человечества. По подсчетам ученых, в результате нерационального землепользования человечество в ходе неолитической революции уже потеряло 2 млрд га некогда продуктивных земель, что значительно больше всей современной площади пашни. И в настоящем в результате процессов деградации почвы ежегодно из мирового сельскохозяйственного оборота выбывает около 7 млн га плодородных земель, которые теряют свое плодородие и превращаются в пустоши. Потери почвы можно оценить не только по площади, но и по массе.
Американские ученые подсчитали, что только пахотные земли нашей планеты ежегодно теряют 24 млрд плодородного почвенного слоя.
Процесс деградации почв особенно интенсивно протекает на засушливых землях, которые занимают около 6 млн км2 и в наибольшей мере присущи Азии и Африке. В пределах засушливых земель расположены и главные районы опустынивания, где перевыпас скота, сведение лесов и нерациональное орошаемое земледелие достигли максимального уровня. По существующим оценкам, общая площадь опустынивания аридных земель в мире составляет в наши дни 4,7 млн км2 в том числе территория, на которой произошло антропогенное опустынивание, оценивается в 900 тыс. км2.
Ежегодно она прирастает на 60 тыс. км2.
Другая причина деградации мировой экологической системы загрязнение ее отходами производственной и непроизводственной деятельности человека. Количество этих отходов очень велико и в последнее время приняло размеры, угрожающие существованию человеческой цивилизации. Отходы делятся на твердые, жидкие и газообразные.
В настоящее время не существует единой оценки количества твердых отходов, порождаемых хозяйственной деятельностью человека. Не так давно для всего мира они оценивалась в 40 50 млрд т в год с прогнозом увеличения до 100 млрд т и более к 2000 г. По современным расчетам, к 2025 г. объем таких отходов может возрасти еще в 45 раз. При этом следует также учитывать, что в настоящее время только 510% всего добываемого и получаемого сырья переходит в конечную продукцию и 9095% его в процессе переработки превращается в прямые отходы.



Капитал


Знаменитый английский ученый средневековья Роджер Бэкон (12141294), доказывая, что знания увеличивают власть человека над природой и приносят ему практическую пользу, высказал мысль: «Знания сила». По мнению Бэкона, получение знаний возможно прежде всего через науку. 1. Знания как экономический ресурс Тысячи лет человечество жило такой жизнью, когда быт, уровень материального достатка, производительность труда одних поколений мало отличались от быта, уровня жизни и эффективности труда предшествующих поколений. Экономическое развитие шло весьма медленно. Например, уровень экономического развития Московского царства мало отличался от того уровня, который был в Киевской Руси полтысячи лет до этого. Но если сравнить уровни экономического развития России конца ХХ в. и начала ХIХ в., то разница будет огромной.
Для этого периода, несмотря на войны и социальные потрясения, характерны невиданные в истории человечества темпы экономического роста.
Что же так ускорило экономический рост России и других стран мира в последние века? Это прежде всего новые знания, полученные преимущественно через науку. Ее достижения, нараставшие лавинообразно в последние 200 лет, привели к тому, что знания, не выделявшиеся классиками экономической теории в отдельный экономический ресурс наряду с трудом, землей, капиталом и предпринимательскими способностями, стали таковым и при этом не менее (если не более) важным, чем остальные экономические ресурсы.
З н а н и я это совокупность сведений в различных областях. Например, есть житейские знания («знание жизни»), профессиональные знания работников, технологические знания фирмы и т.д. Хозяйственная жизнь требует самых разнообразных знаний. Их набор, уровень, новизна различаются по категориям работников, предприятиям, отраслям и секторам хозяйственной деятельности. Набор знаний, необходимый инженеру предприятия по выпуску автомобилей, совсем другой, чем у финансового директора этого предприятия.
Профессиональные знания подчиненных этого инженера обычно меньше, проще и старее, чем у инженера. Наконец, технологические знания данной фирмы и ее работников сосредоточены на производстве автомобилей, а технологические знания соседней фирмы относятся к другой отрасли страхованию.
Знания для ведения хозяйственной деятельности обретаются разными способами: через приобретение опыта, получение образования, покупку технологических знаний в виде лицензий и патентов. В конечном счете главный источник знаний для хозяйственной жизни это наука. Именно научные достижения и составляют основу тех знаний, которые работники получают во врем» своей учебы и работы, а фирмы в ходе приобретения новых технологий.
К категории «знания» примыкает категория «информация». Более того, они часто заменяют друг друга как синонимы, так как многие отождествляют знания с информацией.
В огромном объеме знаний (информации) часто выделяют знания о различных способах (технике) производства той или иной продукции и организации этого производства. Знания об этой технике называют технологией (технологиями).
2. Наука Таким образом, новыми знаниями мир обязан прежде всего науке, которая сейчас могущественнее, чем когда либо, если судить по затратам на нее и численности занятых в ней работников.

Понятие науки Н а у к о й называется, во-первых, система знаний (в том числе в какой-либо области), во-вторых, процесс открытия новых знаний и, в-третьих, сфера экономики, которая этим занимается. Далее термин «наука» будет употребляться во втором и третьем значениях, т.е. как процесс или как сфера открытия новых знаний.
Когда говорят о науке как сфере открытия знаний, то в качестве синонимов употребляют термины «научные исследования», «научные исследования и разработки (НИР)», «научные исследования и опытно-конструкторские работы (НИОКР)». Предпоследний термин наиболее употребим в России, последний в мире. В данном учебнике они употребляются как синонимы.
В современных условиях растет группа отраслей, где на НИОКР приходится заметная часть расходов и работников. Такие отрасли называются наукоемкими. К ним обычно относят отрасли, где доля расходов на НИОКР составляет не менее 3,54% от объема продаж, а доля занятых в НИОКР не менее 2,53% всех занятых в отрасли.
К таким отраслям относятся авиационная, космическая, медицинской техники и фармацевтическая и др.

НИОКР (НИР): пример России На начало 1999 г. научными исследованиями и разработками в России было занято 930 тыс. человек. Примерно половина из них собственно исследователи, а остальные работники относились к техникам и вспомогательному персоналу. Хотя данная цифра в два раза меньше, чем была в 1990 г. (1934 тыс. человек), тем не менее это очень большая величина по мировым меркам (впереди по численности занятых в НИОКР только США и Япония).
Слабым местом российской науки в 90-х гг. стало ее финансирование. Не говоря уже об абсолютном снижении расходов на НИР, наблюдается и относительное их сокращение: по отношению к валовому внутреннему продукту России они уменьшились с более чем 2% до 0,81%, в то время как в ведущих научных державах мира расходы на науку колеблются в диапазоне от 2 до 3%. Ни государственному бюджету (его доля в финансировании российских НИР сейчас составляет 60%), ни частному сектору, ни высшей школе на это остро не хватает финансов.
Это отражается на возможностях научно-исследовательских организаций России (за 90-е гг. сильно сократилось количество созданных в России новых типов машин, оборудования, аппаратов, приборов и средств автоматизации), а также на заработной плате их сотрудников (87% из уволившихся специалистов сделали это из-за низкой заработной платы, а из оставшихся ученых половина имеют второе место работы).

Научно-технический прогресс (технический прогресс)
Его часто идентифицируют с процессом получения знаний преимущественно в сфере естественных наук, в основном технических. Во многом это справедливо, так как основные научные достижения за последние два века произошли в технологии производства продукции и особенно машин и оборудования.
Английский экономист, лауреат Нобелевской премии Джон Хикс предложил делить технический прогресс на нейтральный, трудосберегающий и капиталосберегающий. Н е й т р а л ь н ы й т е х н и че с к и й п р о г р е с с обеспечивает одновременное повышение производительности труда и капитала. Т р у д о с б е р е г а ю щ и й т е х н и ч е с к и й п р о г р е с с обеспечивает экономию и труда, и капитала, но прежде всего труда.
К а п и т а л о с б е р е г а ю щ и й т е х н и ч е с к и й п р о г р е с с п о в ы ш а е т эффективность использования и капитала, и труда, но прежде всего капитала.
3. Рынок знаний Рынок знаний не имеет четких границ. Его можно определить как рынок, где происходит продажа и передача знаний.
Особенности рынка знаний Рынок знаний своеобразен. Так, значительная часть знаний на нем распространяется безвозмездно или за символическую плату, например школьное и в большей части среднее и высшее профессиональное образование. Бесплатность или низкая плата за эти знания для их потребителей объясняется тем, что процесс передачи этих знаний финансируется из государственного бюджета или некоммерческими организациями.
Структурно рынок знаний представлен большим количеством секторов, из которых выделяются по своим размерам такие сектора, как наука (НИОКР, НИР), образование (образовательные услуги), средства массовой информации, хранение информации (архивы, библиотеки, информационные сети) и др.
Наконец, своеобразная черта рынка знаний это большое количество посредников на этом рынке, а главное, что целый ряд секторов (образования, хранения информации и др.) выступает преимущественно как посредник между производителями знаний (например, НИОКР) и потребителями (домашними хозяйствами, фирмами, государственными учреждениями).

Интеллектуальный продукт, интеллектуальная собственность и ее охрана В ходе НИОКР рождаются новые знания. Их часто называют и н т е л л е к т у а л ь н ы м п р о д у к т о м (продукцией). Этот продукт принимает самые разные формы: открытий (обычно они являются результатом фундаментальных исследований), изобретений и рационализаторских предложений, полезных моделей и промышленных образцов, сведений о технологических процессах и другой конфиденциальной деловой информации (ноу-хау), программ для ЭВМ и селекционных достижений.
К интеллектуальной продукции относят и другие произведения науки, а также произведения литературы и искусства.
Собственники интеллектуального продукта, чтобы оформить свои права на него, используют правовую охрану этого продукта. В результате собственник интеллектуального продукта получает исключительное право на использование своей так называемой интеллектуальной собственности и в силу этого имеет возможность определить условия ее использования, в том числе цену реализации.
Арсенал правовых средств защиты интеллектуальной собственности велик. В России он базируется на Законах «Об авторском праве и смежных правах», «О правовой охране программ для электронных вычислительных машин», «О правовой охране топологий интегральных схем», «О товарных знаках, знаках обслуживания и наименованиях мест происхождения товаров», а также на Патентном законе Российской Федерации.
На этой основе права на интеллектуальный продукт:
автоматически возникают в виде авторских прав на произведения науки, литературы и искусства, программ для ЭВМ базы данных;
оформляются в виде патентов на изобретения, промышленные образцы и полезные модели, селекционные достижения;
регистрируются в виде фирменных наименований, товарных знаков, знаков обслуживания, наименований мест происхождения товаров, топологий интегральных микросхем.
Используя это право, собственник интеллектуальной продукции может самостоятельно использовать ее, продать, сдать в аренду и т.п. Например, он может заключить авторский договор на издание книги, продать патент или только право на использование защищенного патентом изобретения (т.е. продать лицензию на использование изобретения) и т.д. Если предприятие использует чужую интеллектуальную собственность, оно выплачивает ее собственнику вознаграждение (доход).
Этот доход может принимать самые разные формы: авторского гонорара за книгу, паушального платежа или роялти за лицензию и т.д.

Выводы 1. Знания это совокупность сведений в различных отраслях. Для ведения хозяйственной деятельности они поступают к их потребителям разными способами: через приобретение опыта, получение образования, покупку технологии.
2. Новыми знаниями мир обязан прежде всего науке. Под научными исследованиями и разработками (НИР) или научно-исследовательскими и опытно-конструкторскими работами (НИОКР) имеется в виду организованный процесс открытия новых знаний.
3. Рынок знаний специфичен. Значительная часть знаний распространяется на нем безвозмездно. На рынке знаний множество секторов, из которых своими размерами выделяются сектора науки, образования, средств массовой информации, хранения информации.
На нем также много посредников между производителями новых знаний и их потребителями.
4. Новые знания называются интеллектуальным продуктом, интеллектуальной собственностью. Этот продукт приобретает самые разные формы, а его собственники получают право на использование, в силу чего они либо сами используют свой интеллектуальный продукт, либо продают его, либо сдают в аренду и т.д.
5. Если фирма использует чужую интеллектуальную собственность, она выплачивает ее собственнику вознаграждение (доход). Этот доход может принимать формы авторского гонорара за книгу, паушального платежа или роялти за лицензию на право использовать изобретение и т.д.


Термины и понятия
Знания
Наука
Технология НИОКР (НИР)
Научно-технический прогресс
Наукоемкие отрасли
Интеллектуальный продукт
Интеллектуальная собственность



Вопросы для самопроверки 1. Почему знания считают экономическим ресурсом?
2. Технический и научный прогресс это одно и то же?

  1. Как бы вы разделили НИОКР на фундаментальные и прикладные исследования?
  2. Какими характеристиками должна обладать отрасль, чтобы ее отнести к наукоемкой?
  3. Что такое интеллектуальная собственность?
  4. Чем отличается патенты от лицензий?











Инвестиции


Стремление объяснить суть и значение капитала проявили представители всех крупнейших школ и направлений экономической науки. Это видно даже из названия многих трудов. Упомянем, в частности, «Капитал» К. Маркса, «Капитал и прибыль» Е. Бем-Баверка, «Природу капитала и прибыли» И. Фишера, «Стоимость и капитал» Дж.
Хикса.
  1. Понятие и теории капитала

Сущность и формы капитала
Капитал это определенная сумма благ в виде материальных, денежных и интеллектуальных средств, используемых в качестве ресурса в дальнейшем производстве. Поэтому капитал есть сумма так называемых капитальных благ, т.е. благ по производству других благ. Капитальным благом можно считать кирпичи (из них сложат дом), станки (на них изготовят детали будущих легковых машин), телевизор (он воспроизведет телепередачу) и т.д.
Распространены и более узкие определения. Согласно бухгалтерскому определению капиталом называются все активы (средства) фирмы. По экономическому определению капитал разделяется на реальный (физический, производственный), т.е. в форме средств производства, и денежный, т.е. в финансовой форме, а иногда выделяют еще и товарный капитал, т.е. капитал в форме товаров.
Реальный капитал делится на основной и оборотный капитал ( 17.1). К основному капиталу обычно относят имущество, служащее больше одного года. В России основной капитал называют основными фондами.
К реальному оборотному капиталу следует относить только материальные оборотные средства, т.е. производственные запасы, незавершенное производство, запасы готовой продукции и товары для перепродажи. Это экономическое определение оборотного капитала.
Если к материальным оборотным средствам добавить средства в расчетах с поставщиками и покупателями (дебиторская задолженность, т.е. кредиты и рассрочка платежей покупателям, и расходы будущих периодов, т.е. авансы поставщикам), денежные средства в кассе предприятия и расходы на заработную плату, то получим оборотный капитал (оборотные средства, или оборотные активы) по бухгалтерскому определению.





Инвестиции



17.1. Структура реального капитала
Нередко капитал делят по сферам его применения: производственный (промышленный), торговый, финансовый (ссудный) и т.д. Владельцы капитала получают доход от его использования. В случае со ссудным капиталом доход приобретает форму процента. В остальных случаях (это другие виды денежного капитала или же весь реальный капитал) доход приобретает форму прибыли.
Она может быть в разных вариантах: прибыль фирмы, дивиденды владельца акций, роялти владельца интеллектуального капитала (например, собственника патента) и др.

Теории капитала
Теории капитала имеют длительную историю.
А. Смит характеризовал капитал лишь как накопленный запас вещей или денег. Д. Рикардо трактовал его как средства производства. Палка и камень в руках первобытного человека представлялись ему таким же элементом капитала, как машины и фабрики.
В отличие от своих предшественников К. Маркс подошел к капиталу как к категории социального характера. Он утверждал, что капитал это самовозрастающая стоимость, рождающая так называемую прибавочную стоимость. Причем создателем прироста стоимости (прибавочной стоимости) он считал только труд наемных рабочих.
Поэтому Маркс считал, что капитал это прежде всего определенное отношение между различными слоями общества, в особенности между наемными рабочими и капиталистами.
В числе трактовок капитала следует упомянуть так называемую теорию воздержания. Одним из ее основателей был английский экономист Нассау Уильям Сениор (17901864). Труд рассматривался им как «жертва» рабочего, теряющего свой досуг и покой, а капитал как «жертва» капиталиста, который воздерживается от того, чтобы всю свою собственность использовать на личное потребление, и значительную часть ее превращает в капитал.
На этой базе был выдвинут постулат о том, что блага настоящего обладают большей ценностью, чем блага будущего. И следовательно, тот, кто вкладывает свои средства в хозяйственную деятельность, лишает себя возможности реализовать часть своего богатства сегодня, жертвует своими сегодняшними интересами ради будущего. Такая жертвенность заслуживает вознаграждения в виде прибыли и процента.
По мнению американского экономиста Ирвинга Фишера (18671947), капитал порождает поток услуг, которые оборачиваются притоком доходов. Чем больше ценятся услуги того или иного капитала, тем выше доходы. Поэтому величину капитала нужно оценивать на основе величины получаемого от него дохода. Так, если сдача внаем квартиры приносит ежегодно ее владельцу 5000 долл., а в надежном банке он может получить 10% годовых на положенные на срочный счет деньги, то реальная цена квартиры составляет 50 000 долл. Ведь именно такую сумму нужно положить в банк под 10% годовых, чтобы получать ежегодно 5000 долл.
Таким образом, в понятие капитала Фишер включал любое благо, приносящее доход своему владельцу (даже талант).

Количественное определение прибыли и ее динамика
Есть две меры количественного определения прибыли. Абсолютный показатель этой категории масса прибыли, относительный показатель норма прибыли.

Масса прибыли это ее абсолютный объем, выраженный в деньгах. Норма прибыли это отношение прибыли к авансированному капиталу, выраженному в процентах. Ее формула:

П'= П . 100 (17.1)
К

где П' норма прибыли; П величина прибыли; К величина капитала.
В России норму прибыли чаще называют уровнем рентабельности. Он рассчитывается как отношение прибыли к стоимости основных фондов и оборотных средств. В российской промышленности уровень рентабельности в 1980 г. составил 12,5%; в 1990 г.-12,0; в 1997 г.-9,0.
2. Основной капитал Основной капитал (основные фонды) является главной составной частью капитала фирм в большинстве отраслей, прежде всего в реальном секторе. Например, в России в 1997 г. соотношение между основным и оборотным капиталом в целом по промышленности составляло 8:1.

Структура и анализ основного капитала
О с н о в н ы е ф о н д ы представлены прежде всего зданиями и сооружениями, передаточными устройствами, машинами, оборудованием и приборами, транспортными средствами, инструментом, скотом, товарами длительного пользования домашних хозяйств (домашним имуществом), а также нематериальными активами (патентами, товарными знаками, авторскими и другими правами).
Основные фонды во многом определяют производственный потенциал фирмы (отрасли, всей страны), т.е. способность произвести (выпустить) за какой-то временной период определенное количество продукции нужного ассортимента и качества. По отношению к предприятиям (фирмам) сферы материального производства часто говорят об их производственной мощности (производственных мощностях). Например, в России п р о и з в о д с тв е н н ы е м о щ н о с т и по выпуску легковых автомобилей составляют около 1,2 млн автомобилей в год.
Производственные мощности часто используются не полностью; часть из них модернизируется, часть ремонтируется, часть простаивает из-за забастовок или отсутствия спроса на выпускаемую на этих мощностях продукцию. Так, загрузка производственных мощностей по производству легковых автомобилей в России в 1997 г. составила около 80%, по производству стали 68, тракторов 8, обуви 17.
Основные фонды учитываются в статистике с помощью баланса основного капитала. Он представляет собой статистическую таблицу, данные которой характеризуют объем, структуру, воспроизводство и использование основных фондов. Анализ основного капитала осуществляется по многим направлениям, в том числе:
1. Анализ основных фондов по технологической и возрастной структуре. Т е х н о л о г и ч е с к а я с т р у к т у р а показывает соотношение между так называемой активной частью фондов (рабочие машины и оборудование, непосредственно участвующие в выпуске продукции) и пассивной их частью (здания, сооружения и т.д.). В о з р а с т н а я с т р у к т у р а фондов характеризует их по сроку службы.
Так, в конце 1997 г. возрастная структура производственного оборудования (это основная часть производственных мощностей) в российской промышленности выглядела следующим образом: оборудование до 5 лет 5,4%; 610 лет 24,0; 11 15 лет24,6; 1620 лет 17,5; более 20 лет28,6, а средний возраст этого оборудования составил 15,9 лет (в 1970 г. он равнялся 8,4 года, в 1980 г. - 9,5 годам, в 1990 г. - 10,8 лет).
2. Анализ стоимости основных фондов с использованием различных подходов. При оценке основных фондов по балансовой стоимости за базу берется стоимость основных фондов при постановке их на учет, точнее, в момент первоначальной записи в баланс основных фондов или ее последующего исправления. В результате балансовая стоимость представляет собой смешанную оценку основных фондов, так как одна часть их еще числится по первоначальной стоимости (т.е. стоимости приобретения), а другая уже прошла переоценку и числится по так называемой восстановительной стоимости.
Причем и первоначальная, и восстановительная стоимость может быть как полной, т.е. на момент покупки или очередной переоценки, так и остаточной, т.е. за вычетом износа или с добавлением от модернизации и реконструкции.



Бизнес-план и консалтинговые услуги


Важнейшим элементом хозяйственной жизни и предметом экономической теории являются инвестиции. Они призваны воспроизводить и обновлять основной капитал. 1. Сущность, структура и источники финансирования инвестиций
Сущность инвестиций И н в е с т и ц и и это вложения как в денежный, так и в реальный капитал. Они осуществляются в виде денежных средств, кредитов, ценных бумаг, а также вложений в движимое и недвижимое имущество, интеллектуальную собственность, имущественные права и другие ценности. Подобное определение инвестиций можно назвать бухгалтерским, так как оно охватывает вложения во все виды активов (фондов) фирмы, т.е. и в денежный, и в реальный капитал.
Инвестиции в реальный капитал (их называют капиталообразующими инвестициями или инвестициями в нефинансовые активы) ведут к воспроизводству и обновлению основного капитала. Когда речь идет об инвестициях вообще, обычно подразумевают именно эти инвестиции. Подобное определение можно назвать экономическим.
Что касается инвестиций в денежный капитал (это вложения финансовых средств в виде кредитов и в ценные бумаги), то одна часть из них превратится в реальный капитал сразу, другая позже, а третья вообще в него не превратится (например, выпущенные и купленные ценные бумаги компании, которая затем «лопается»). Говоря по-другому, инвестиции в денежный капитал это средства для будущего инвестирования в реальный капитал страны, часть из которых в таковой может и не превратиться.
Поэтому если инвестиции в денежный капитал (в России их называют финансовыми вложениями) складывать с инвестициями в реальный капитал (в России их часто называют инвестициями в нефинансовые активы), то, с одной стороны, получится двойной счет, а с другой не все финансовые вложения обернутся реальным капиталом. В 1998 г. финансовые вложения в России (без субъектов малого предпринимательства) составили, по предварительным данным, 184 млрд руб., а вложения в нефинансовые активы около 550 млрд руб.
Совокупность практических действий по реализации финансовых и нефинансовых инвестиций называется инвестиционной деятельностью (инвестированием), а осуществляющие инвестиции лица инвесторами. Ввод в действие, реконструкция и модернизация основных фондов называется в России капитальным строительством.

Структура инвестиций
Из всего произведенного с стране валового внутреннего продукта одна часть потребляется, а другая сберегается ( 18.1). Сбережение не обязательно будет израсходовано в стране и может уйти за рубеж в виде вывоза капитала, расходов по обслуживанию внешнего долга и других расходов. Одновременно аналогичные средства поступают в страну из-за рубежа. Сальдо подобного чистого увеличения или уменьшения сбережения (в российской статистике оно называется чистым кредитованием или чистым заимствованием, хотя это и не совсем верно) уменьшает или увеличивает сумму сбережения в стране, превращая его в накопление, точнее, в валовое накопление. Валовым оно называется потому, что включает не только новые накопления, но и амортизационные отчисления от ранее созданного капитала.
По сути дела, валовое накопление это та величина, которая инвестируется в реальный капитал. Поэтому второе название валового накопления капиталообразующие инвестиции.
Валовое накопление включает валовое накопление основного капитала, изменение запасов материальных оборотных средств, а также сальдо приобретения таких ценностей, как драгоценные металлы и камни, антиквариат.
Валовое накопление основного капитала состоит из затрат на капитальный ремонт, инвестиций в нематериальные активы и вложений в остальные основные фонды. Эти последние вложения называют капитальными.





Бизнес-план и консалтинговые услуги





18.1. Структура инвестиций в реальный капитал в России (в скобках предварительные и оценочные данные за 1998 г. в млрд руб. )

Источники финансирования инвестиционной деятельности
Инвестиционная деятельность может осуществляться за счет:
собственных средств инвестора (амортизационных отчислений, прибыли, денежных накоплений и др.);
заемных средств (кредитов банков, заемных средств других организаций);
привлеченных средств (от продажи акций и других ценных бумаг);
средств из бюджета и внебюджетных фондов. В 1998 г. в России капитальные вложения крупных и средних предприятий финансировались за счет их собственных средств на 53%, за счет средств бюджета и внебюджетных фондов на 31%, а заемные и привлеченные средства играли незначительную роль соответственно 9 и 7%, что говорит о слабой связи российских банков с реальной экономикой и небольшом размере российского фондового рынка. Из общего объема финансирования капитальных вложений на инвестиции из-за рубежа приходилось 3%, это также невысокий показатель.
Что касается инвестиций в изменение запасов материальных оборотных средств, то в структуре их финансирования доля заемных и привлеченных средств намного выше.
2. Теории и анализ инвестиций Если брать все капиталообразующие инвестиции (все валовое накопление), то их величина исчисляется формулой:

I=J+dK, (18.1)

где I валовое накопление; Jчистые (новые) инвестиции; d норма амортизационных отчислений; К накопленный в стране основной капитал.
Норма амортизационных отчислений и величина накопленного основного капитала изменяются медленно, а вот чистые (новые) инвестиции обычно подвержены сильным изменениям. Именно эта часть инвестиций наиболее сильно воздействует на колебания нормы валового накопления в стране.
Норма валового накопления рассчитывается как соотношение двух показателей: объема валового накопления и величины валового внутреннего продукта:


N= I . 100 (18.2)
Y

где N норма валового накопления; Y величина ВВП. В России норма валового накопления снизилась с 3040% в 1985 1990 гг. до 1621% в 19951998 гг. В развитых странах с высокими темпами экономического роста норма накопления в 90-е гг. находится на уровне 3040% (Южная Корея, Сингапур), со средними и низкими темпами на уровне 1025% (США, Германия, Франция, Великобритания, Италия).
Но и у второй группы стран норма накопления в период сильного экономического роста была высокой. Так, в Германии в 5060-х гг. она доходила до 60% ВВП.

Теория инвестиций Кейнсианская теория инвестиций предполагает, что именно колебания объемов инвестиций являются движущей силой экономических циклов (циклов деловой активности). В свою очередь, по мнению Кейнса, уровень инвестиций основывается во многом на такой категории, как склонность к сбережению, особенно предельная склонность к сбережению, которая колеблется по времени и странам. Это та доля дополнительной единицы дохода, которая направляется на сбережение. Так, если годовой доход семьи увеличился с 50 тыс. до 60 тыс. руб., а ее сбережения при этом возросли с 12 тыс. до 16 тыс. руб., то предельная склонность к сбережению составит: (16 - 12)/(60 - 50) = 0,4.
Предельная склонность к сбережению является обратной величиной предельной склонности к потреблению.
Однако, как показывает пример России, даже сравнительно высокая предельная склонность к сбережению может оборачиваться не столько инвестициями в реальный капитал (нефинансовые активы), сколько финансовыми вложениями (например, в банковские вклады, наличные доллары), которые лишь потенциально, а не непосредственно могут способствовать росту реального капитала.
Соотношение между инвестициями в финансовые и нефинансовые активы зависит от величины ссудного процента (при высокой ставке процента растут финансовые вложения, а при низкой . ставке вложения в нефинансовые активы) и предполагаемых перспектив экономического роста (если предполагаемая норма прибыли выше ставки ссудного процента, то растут инвестиции в нефинансовые активы). Так, если норма прибыли от реального капитала будет больше, чем существующая ставка ссудного процента, то домашние хозяйства владельцы сбережений, стремясь к максимизации своего дохода, будут заинтересованы в инвестировании своих сбережений в конечном счете в реальный капитал.
Хотя подобный вывод относится на первый взгляд только к домашним хозяйствам, фирмы также, стремясь к максимизации своей прибыли (см. 8.2), при осуществлении инвестиций ориентируются прежде всего на максимизацию будущих дивидендов, т.е. опять же доходов домашних хозяйств их акционеров. В результате и домашние хозяйства, и фирмы в условиях превышения нормы прибыли над ставкой ссудного процента полагают рациональным брать кредиты и направлять их в инвестиции.
Заметим, что в 90-е гг. ставка банковского процента в России превышала средний уровень рентабельности по стране.
Теория рационирования кредитов предполагает, что темпы роста инвестиций зависят не только от разницы между ставкой процента и нормой прибыли, но и от доступности кредита. Его доступность, в свою очередь, зависит от поступлений денежных средств (денежного потока) от тех инвестиционных проектов, в которые эти кредиты вкладываются. Поэтому при низких процентных ставках банкам и другим кредитным организациям приходится рационировать кредиты для фирм, желающих их получить, так как последние в условиях дешевых кредитов предпочитают все менее доходные инвестиционные проекты. Но особенно жестко рационируются банками кредиты в условиях сильной инфляции и высокого риска, и прежде всего кредиты на инвестиционные проекты мелких и средних фирм, а также все долгосрочные кредиты.
В этих условиях особое значение приобретают внутренние ресурсы фирм, как, например, в России в 90-е гг.



Экономические потребности, блага и ресурсы


В экономической науке сложились два подхода к изучению современного общества: формационный и цивилизационный. Суть формационного подхода состоит в том, что в качестве глубинной причины развития человеческого общества рассматривается изменение его производственной основы и соответствующей ей формы собственности на экономические ресурсы, которые и определяют весь комплекс экономических, политических, правовых и других форм человеческого общения на различных этапах развития общества. Следует отметить, что формационному подходу присущ ряд недостатков. Это, в частности, относится к утверждению об обязательности прохождения в своем развитии всех стран и народов через пять формаций: первобытно-общинную, рабовладельческую, феодальную, капиталистическую и коммунистическую, а также чрезмерному акценту на антагонистический характер отношений между собственниками и несобственниками средств производства.
Отличие цивилизационного подхода состоит в том, что главенствующая роль в нем отводится социокультурному или религиозному фактору. Причем само понятие «цивилизация» употребляется в разных смыслах. В более широком, глобальном, всемирном смысле цивилизация рассматривается как определенная эпоха в историческом развитии общества. Так, выделяют доиндустриальную, индустриальную и постиндустриальную цивилизацию или традиционную (патриархальную), авторитарную и либеральную демократическую (рыночную) цивилизацию.
В более узком смысле понятие «цивилизация» рассматривается как явление локальное, территориально ограниченное, например западнохристианская, православно-христианская, исламская, индуистская, китайская, японская, африканская, латиноамериканская.
В данном учебнике используются исходные положения формационного подхода и современный мир рассматривается как состоящий из экономических систем различных типов.
Экономическая система это совокупность всех экономических процессов, совершающихся в обществе на основе сложившихся в нем отношений собственности и хозяйственного механизма. Поняв суть системы, можно понять и многие закономерности хозяйственной жизни.
1. Типы и модели экономических систем

Элемент экономической системы

В любой экономической системе первичную роль играет производство вкупе с распределением, обменом, потреблением.
Во всех экономических системах для производства требуются экономические ресурсы, а результаты хозяйственной деятельности распределяются, обмениваются и потребляются.
В то же время в экономических системах есть также элементы, которые отличают их друг от друга; ими являются социально-экономические отношения, базирующиеся на сложившихся в каждой экономической системе формах собственности на экономические ресурсы и результаты хозяйственной деятельности; организационно-правовые формы хозяйственной деятельности; хозяйственный механизм, т.е. способ регулирования экономической деятельности на макро- и микроэкономическом уровнях.
В последние полтора-два столетия в мире действовали различные типы экономических систем: две рыночные системы, в которых доминирует рыночное хозяйство, рыночная экономика свободной конкуренции (чистый капитализм) и современная рыночная экономика (современный капитализм), а также две нерыночные системы традиционная и административно-командная. Кроме того, переход бывших социалистических стран России, других стран членов СНГ, стран Центральной и Восточной Европы, а также социалистического Китая и Вьетнама к рыночным отношениям привел к формированию экономической системы переходного типа.
В рамках той или иной экономической системы существуют многообразные модели экономического развития отдельных стран и регионов. Рассмотрим характерные черты основных типов экономических систем.

Рыночная экономика свободной конкуренции (чистый капитализм)
Хотя эта система сложилась в XVIII в. и прекратила свое существование в конце XIX первых десятилетиях ХХ в. (в разных странах по-разному), значительная часть ее элементов вошла в современную рыночную систему.
Отличительными чертами этой экономической системы являлись частная собственность на экономические ресурсы; рыночный механизм регулирования макроэкономической деятельности, основанный на свободной конкуренции; наличие множества самостоятельно действующих покупателей и продавцов каждого товара.
Одной из главных предпосылок чистого капитализма выступает личная свобода всех участников экономической деятельности, т.е. не только капиталиста-предпринимателя, но и наемного работника. Решающим условием экономического прогресса стала свобода предпринимательской деятельности тех, кто имел капитал, и свобода наемного работника продавать свою рабочую силу.
Каков механизм решения ключевых экономических задач в рассматриваемой экономической системе? Они решаются опосредованно, прежде всего через цены, складывающиеся на рынке под воздействием спроса и предложения. Ориентируясь на конъюнктуру рынка, определяемую прежде всего уровнем и динамикой цен, товаропроизводители самостоятельно решают проблему распределения всех ресурсов, производя те товары, которые пользуются спросом на рынке.
Таким образом, рынок, прежде всего через цены, координирует деятельность миллионов людей.
Предприниматели стремятся получить все больший доход (прибыль), предельно экономно использовать природные, трудовые ресурсы, капитал, знания и максимально широко реализовать такой ресурс, как свои творческие и организационные (так называемые предпринимательские) способности в избранной ими сфере деятельности. Это служит мощным стимулом развития и совершенствования производства, раскрывает созидательные возможности частной собственности.

Современная рыночная экономика (современный капитализм)
По сравнению со всеми предшествовавшими рыночная система оказалось наиболее гибкой: она способна перестраиваться, приспосабливаться к изменяющимся внутренним и внешним условиям. В ходе длительной эволюции, преимущественно в ХХ в., рыночная экономика свободной конкуренции превратилась в современную рыночную экономику. Ее основными чертами являются:
1) многообразие форм собственности, среди которых по-прежнему ведущее место занимает частная собственность в различных ее видах (от трудовой индивидуальной до крупной, корпоративной);
2) развертывание научно-технической революции, ускорившей создание мощной производственной и социальной инфраструктуры;
3) более активное воздействие государства на развитие национальной экономики и социальной сферы.
В развитой рыночной экономике существенные изменения претерпевает хозяйственный механизм. Плановые методы хозяйствования получают дальнейшее развитие в рамках отдельных фирм в виде маркетинговой системы управления. В то же время на макроуровне развитие плановых методов связано с государственным регулированием экономики, вплоть до осуществления общенациональных программ и планов.
Планомерность выступает как средство активного приспособления к требованиям рынка. В результате и ключевые задачи экономического развития получают новое решение. Так, вопрос об объеме и структуре производимой продукции решается на основе маркетинговых исследований в рамках фирм, а также прогноза развития потребностей. Прогноз рынка позволяет заблаговременно сокращать выпуск устаревающих товаров и переходить к качественно новым моделям и видам продукции.
Маркетинговая система управления производством дает возможность еще до начала производства приводить индивидуальные затраты компаний, выпускающих основную массу товаров данного вида, в соответствие сложившимся на рынке ценам.
Задача использования ресурсов решается в рамках крупных компаний на основе стратегического планирования. В то же время перераспределение ресурсов на развитие новейших отраслей происходит во многом за счет бюджетных ассигнований, на основе государственных общенациональных и межгосударственных программ, государственного стимулирования НИОКР в приоритетных направлениях развития научно-технического прогресса.
Наконец, задача распределения созданного валового внутреннего продукта не только решается на основе традиционно сложившихся форм, но и дополняется выделением все больших ресурсов как крупными компаниями, так и государством для вложений в развитие «человеческого фактора»: финансирования систем образования, в том числе переподготовки работников различной квалификации, совершенствования медицинского обслуживания населения, на социальные нужды.
В последние десятилетия в странах Запада и наиболее развитых странах других регионов мира все более рельефно выступают контуры будущего, идущего на смену современному капитализму постиндустриального общества. Его характерными чертами являются:
изменение структуры производства и потребления, преимущественно за счет возрастания роли услуг. Так, в России уже в начале 90-х гг. услуги стали преобладать над товарами в структуре валового внутреннего продукта (ВВП);
рост уровня образования, прежде всего за счет послешкольного. Например, в России уже 52% работающих имеют высшее (включая незаконченное высшее) и среднее профессиональное образование;
новое отношение к труду, так как для высокообразованных работников характерно творческое отношение к нему и высокие требования к человеческим отношениям на работе;



Система национальных счетов и ее показатели


Бизнес-план представляет собой подробный, четко структурированный и тщательно подготовленный документ, описывающий современное состояние предприятия (фирмы), его цели, пути их достижения и ожидаемые результаты. Бизнес-планирование в современной России часто рассматривается как деятельность, направленная лишь на получение финансовых средств от внешних инвесторов (кредиторов, покупателей акций, партнеров). В странах с развитой рыночной экономикой планирование бизнеса изначально несет другую смысловую нагрузку осознание ситуации и определение путей наиболее эффективного развития организации.
К сожалению, само понятие «планирование» в России было существенно скомпрометировано. Как показывает практика, большинство российских предприятий не имеет не только долгосрочных (на 35 лет), но и краткосрочных (на 1 год) планов. Аргументом против планирования у российских менеджеров является представление о том, что оно является атрибутом административно-командной экономики, не свойственным рыночному хозяйству.
Такое отношение к планированию является неадекватным. В действительности бизнес-план является инструментом рационального хозяйствования в рыночной экономике.
Объектом и субъектом бизнес-плана в рыночной экономике выступает сама фирма, и в этом заключается принципиальное отличие бизнес-планирования от централизованного (государственного) планирования в бывшей советской экономике.
Бизнес-план предназначен в первую очередь для следующих категорий участников экономических процессов:
1) менеджеров фирм, для которых бизнес-план является руководящим документом, а сам процесс планирования приносит очевидные преимущества,
2) собственников этих фирм, использующих бизнес-план как инструмент воздействия на менеджеров для достижения своих целей и реализации интересов;
3) внешних инвесторов (кредиторов, покупателей акций и паев), которым необходимо знать и контролировать перспективы отдачи от их вложений;
4) других деловых партнеров (оптовых покупателей, поставщиков, государственных органов, участников консорциума и т.д.). Главное предназначение бизнес-плана понять общее состояние организации на данный момент и наметить пути перехода из сходного состояния в желаемое.
1. Принципы и техника составления бизнес-плана Среди вопросов, которые следует обязательно включать в бизнес-план и подробно в нем рассматривать, можно выделить следующие:
1. П о д т в е р ж д е н и е т о г о , ч т о п о к у п а т е л и о д о б р я ю т д а н н у ю п р о д у к ц и ю и л и в и д у с л у г. Инвесторы всегда желают иметь свидетельство того, что продукция или услуги, которые будет продавать компания, опробованы на потребителях и нашли свое применение, хотя бы в качестве опытных образцов. Чем больше отзывов клиентов, опробовавших продукцию будет представлено, тем лучше.
2. П о н и м а н и е п о т е н ц и а л ь н ы х п о т р е б н о с т е й и н в е с т о р о в. В странах с развитой экономикой инвесторы обычно хотят вернуть свой капитал с прибылью через трипять лет после капиталовложения. В бизнес-плане они желают видеть свидетельство того, что бизнесмен подумал, как осуществить эту задачу. Инвесторы хотят знать, что предполагаемый доход от сбыта произведенной продукции (услуг) позволит им получить прибыль на вложенные капиталы соразмерно инвестиционному риску обычно в пределах от 45 до 60% с учетом инфляции.
3. П р а в а с о б с т в е н н о ст и исключительные права на продукцию, вид услуг или процесс производства в виде патента или торгового знака. Во многих странах нельзя получить патент на продукцию, которая уже поступила в широкую продажу. Поэтому, прежде чем предлагать свою продукцию на продажу, необходимо проконсультироваться с опытным юристом-патентоведом.

Вопросы,которых следует избегать при составлении бизнес плана.
1. Озабоченность своей продукцией в большей степени, чем рынком дли этой продукции. Бизнес-план должен продемонстрировать, что руководство организации думает в первую очередь не о самом производстве продукции, а о том, что нужно клиентам и какие преимущества они получат от использования этой продукции. Бизнес-план, в котором описание самой продукции занимает больше места, чем детальное изложение того, кто и почему станет ее покупать, вселяет в инвесторов чувство беспокойства.
2. Проекты и прогнозы, которые чрезмерно отклоняются от норм, существующих в данной отрасли промышленности. В каждой отрасли есть свой диапазон общепринятых финансовых результатов и технических приемов маркетинга. Потенциальный инвестор может определить вероятные прибыли, стоимость сбыта, цену продукта и т.д., изучив информацию, полученную от других компаний, работающих в этой области. Если в бизнес-плане начинающей фирмы содержатся проекты и прогнозы, которые явно входят в противоречие с тем, что, как известно инвесторам, является обычными показателями деятельности других компаний, на пути потенциального сотрудничества «загорается красный свет».
Инвесторы начинают подозревать, что компания небрежно провела анализ, предшествующий составлению бизнес-плана, или проявляет чрезмерный оптимизм. В любом случае, это ставит под сомнение весь бизнес-план.
3. Нереалистические прогнозы роста. Такие прогнозы на долгосрочную перспективу порождают у инвесторов чувство, что предприниматели или оторвались от реальности, или не знают рынка.
4. Специальное оборудование или приспособления для каждого индивидуального покупателя. Инвесторы не сторонники иметь дело с продукцией, которую после продажи надо приспосабливать к условиям клиента. Это относится и к гарантийному обслуживанию.
5. Отсутствие концентрации внимания компании на определенной продукции или направлении. Скорее всего потенциальный инвестор не будет иметь дело с компанией, которая занимается производством слишком разнообразной продукции или работает сразу в нескольких отраслях. Инвесторам необходимо убедиться, что организаторы компании хорошо знают свои сильные стороны и сконцентрируют все свои усилия на том продукте, который они делают лучше других. Всем известно, что компании, которые пытаются сделать слишком много, ничего не делают хорошо.
Нужно сосредоточить все свои усилия на чем-то одном и делать это лучше, чем другие. Это тот самый случай, когда «больше» не означает «лучше».
2. Содержание бизнес-плана Составление бизнес-плана должно преследовать две вышеназванные цели:
1. Тщательно проанализировать современное состояние фирмы и определить ее цели, пути их достижения и ожидаемые результаты.
2. Представить фирму в привлекательном для внешних инвесторов и партнеров виде.
Названия разделов бизнес-плана могут изменяться в зависимости от методики его составления, но в обобщенном виде они сводятся к следующим: 1) резюме; 2) фирма; 3) рынки и конкуренция; 4) продукция; 5) сбыт; 6) производство; 7) финансы; 8) инвестиции; 9) дополнительная информация.
Резюме. Это очень важный раздел, так как содержит краткое изложение сути бизнес-плана (внешние инвесторы обычно его читают в первую очередь). Включает описание нынешнего состояния фирмы, а также информацию о том, какую продукцию она намерена продавать и кто будет эту продукцию покупать.
Следует показать экономические и неэкономические выгоды для покупателя, финансовые прогнозы, общие цели фирмы на 37 лет вперед и способы достижения этих целей. Здесь же указывается объем капитала, необходимый для осуществления намеченных целей, а также как и когда инвесторы могут получить выгоду от вложения своих капиталов в компанию.
Фирма. Данный раздел посвящен тому, какие цели ставит перед собой предприятие и как оно предполагает их достичь. В разделе следует описать:
нынешний статус фирмы;
задачи на ближайшее время (13 года);
задачи на более отдаленное время (57 лет);
состав руководящего звена фирмы;
задачи руководящего звена.
Рынки и конкуренция. Здесь нужно дать информацию о том, кто и почему будет покупать продукцию. Необходимо доказать, что фирма сосредоточивает внимание на рынке, который она обслуживает, а не на технической стороне выпуска продукции. Описываются следующие параметры:
рынок для продукции в настоящее время;
преимущества, которые получают потребители продукции;
ожидаемый спрос на продукцию в ближайшем будущем;
спрос на продукцию в перспективе;
сегмент рынка, который желает занять фирма;
во что обойдется фирме выход на рынок;
желаемый объем продажи и доля рынка, которую займет продукция фирмы;
особые цели на рынке;
стратегия сбыта, направленная на достижение поставленных целей;
риск на рынке.
Продукция. Этот раздел должен быть короче, чем раздел, посвященный рынку, чтобы показать потенциальному инвестору, что фирма думает сперва о рынке, а потом уже о своем продукте. Все связанное с разработкой продукта должно быть изложено предельно лаконично.
Инвесторы предпочитают, чтобы их деньги шли на производство и продажу продукта, а не на его разработку. Крупные затраты на разработку продукта могут оттолкнуть многих инвесторов.
Содержание раздела:
примеры использования продукта;
соответствие продукта принятым стандартам;
преимущества, которые имеет данный продукт перед продуктами -аналогами;



Экономическое развитие, рост и структурные изменения


Для анализа макроэкономики необходима система показателей, дающих полноценную картину хозяйственной жизни. 1. Понятие Системы национальных счетов Необходимость в системе макроэкономических показателей была осознана еще английским экономистом Уильямом Петти, который впервые в мире осуществил оценку национального дохода своей страны. Первую макроэкономическую модель национальной экономики создал француз Франсуа Кэне, глава школы физиократов. Однако особенно сильно потребность в системе макроэкономических показателей проявилась в 2030-х гг.
ХХ в. В СССР была создана система показателей и таблиц, называемая балансом народного хозяйства, которая использовалась уже при составлении первого пятилетнего плана развития народного хозяйства (19281932 гг.). На Западе разработка подобной системы началась после Великой депрессии 19291933 гг. Ряд важных принципов этой системы был сформулирован еще А. Маршаллом, затем Дж.М. Кейнсом; большой вклад внесли английские экономисты Р. Стоун, К. Кларк, Дж.
Хикс и американские экономисты С. Кузнец, М. Джилберт, В. Леонтьев и др. После Второй мировой войны к разработке системы макроэкономических показателей подключились международные экономические организации, и в 1953 г. в ООН был опубликован документ под названием «Система национальных счетов и вспомогательных таблиц», который можно рассматривать как первый международно признанный вариант системы макроэкономических показателей. Эта система пересматривалась, и ныне действует вариант 1993 г. С конца 80-х гг. на нее начала переходить и Россия.

Сущность и структура Системы национальных счетов
Система национальных счетов (СНС) это система взаимоувязанных показателей, применяемая для описания и анализа макроэкономических процессов. Она дает сведения о всех стадиях экономического кругооборота производстве и обмене, первичном и вторичном распределении (перераспределении), потреблении и сбережении (накоплении). СНС ООН 1993 г. включает оценку теневой экономики, которая, как уже отмечалось, представляет собой производство обычных товаров и услуг, осуществляемое подпольным образом с целью сокрытия доходов от налогообложения.
Более того, она предлагает учитывать даже производство юридически незаконных товаров и услуг (наркотики, проституция и т.п.), а также труд по ведению домашнего хозяйства (приготовление пищи, уборка жилищ, воспитание детей и т.д.), хотя большинство стран мира, в том числе Россия, не готовы включать в свои расчеты оценки этой деятельности.
Структура Системы национальных счетов исходит из того, что каждой стадии экономического кругооборота соответствует специальный счет или группа счетов. СНС России в настоящее время включает следующие счета.
Счет товаров и услуг, как и все другие счета СНС, состоит из двух частей. В части «Ресурсы» показываются выпуск и импорт продуктов, причем в так называемых основных ценах (т.е. без учета косвенных налогов, но с учетом полученных субсидий), а также косвенные налоги (в СНС они называются налогами на продукты и импорт) и субсидии на произведенные продукты и импорт, что необходимо для приведения основных цен к рыночным. В части «Использование» отражаются объемы использования продукции на потребление, накопление и экспорт (табл. 20.1)

.
Таблица 20.1. СНС России: счет товаров и услуг в 1997 г., млрд руб.





Экономическое развитие, рост и структурные изменения



Счет производства схож со счетом товаров и услуг, но исключает импорт. Он является базой для определения валового внутреннего продукта по отраслям (табл. 20.2).



Таблица 20.2. СНС России: счет производства в 1997 г., млрд руб.




Экономическое развитие, рост и структурные изменения






Счет образования доходов и счет распределения первичных доходов отражают выплату доходов экономическим агентам домашним хозяйствам, нефинансовым и финансовым предприятиям, государственным учреждениям и некоммерческим организациям. Так как в статистике эти доходы не всегда можно разграничить, то в указанных счетах выделяют оплату труда наемных работников, валовую прибыль и валовые смешанные доходы, а также налоги на производство и импорт (т.е. не только косвенные, но и прямые налоги, кроме налогов на прибыль и доходы) за вычетом субсидий на это производство и импорт (табл. 20.3).
На базе этих счетов возможно построение валового внутреннего продукта по доходам, а также национального дохода.


Таблица 20.3. СНС России: счет образования доходов в 1997 г., млрд. руб.





Экономическое развитие, рост и структурные изменения



Счет вторичного распределения доходов учитывает поступление доходов извне и их перевод за рубеж.
Счет использования располагаемого дохода и счет скорректированного располагаемого дохода отражают распределение полученного страной дохода на конечное потребление и сбережение. Они служат основой для расчета ВВП по использованию (табл. 20.4).


Таблица 20.4. СНС России: счет использования располагаемого дохода в 1997 г., млрд руб.




Экономическое развитие, рост и структурные изменения



*Оценка


Счет операций с капиталом отражает превращение сбережений в основной капитал, оборотный капитал и сокровище (приобретение ценностей) с учетом притока капитала извне и его оттока (так называемого чистого кредитования). Так, в 1998 г. 622 млрд руб. российских сбережений были уменьшены на 72 млрд руб. в результате отрицательного сальдо притока и оттока капитала. Вследствие этого валовое накопление составило, по оценке, 550 млрд руб., из которых на валовое накопление основного капитала пошло 481 млрд руб., на прирост запасов материальных оборотных средств 65 млрд руб. и на чистое приобретение ценностей 4 млрд руб. (см.
18.1).

Добавленная стоимость
Добавленная стоимость это стоимость, созданная в процессе производства на данном предприятии и охватывающая его реальный вклад в создание стоимости конкретного продукта, т.е. заработную плату, прибыль и амортизацию.
Поэтому стоимость потребленных сырья и материалов, которые приобретались у поставщиков и в создании которых предприятие не принимало участия, в добавленную стоимость произведенного данным предприятием продукта не включается.
Иначе говоря, добавленная стоимость это валовая продукция предприятия (или рыночная цена выпущенной продукции) за минусом текущих материальных издержек, но с включением в нее отчислений на амортизацию (так как основные фонды предприятия принимают участие в создании новой стоимости производимой продукции). В советской практике этот показатель носил название условно чистой продукции.
Эти величины добавленной стоимости при суммировании их по всем отраслям и производствам и дают итоговые показатели ВВП, свободные от повторного счета. В СНС в состав добавленной стоимости включаются амортизация, заработная плата, прибыли корпораций и некорпорированных предприятий, полученная ими рента, процент на ссудный капитал, а также так называемые чистые налоги или чистый экспорт.
К чистым налогам на продукты и импорт относят косвенные налоги на эти товары и услуги, к чистому экспорту экспорт товаров и услуг за вычетом их импорта. От них несколько отличаются чистые налоги на производство и импорт. При расчете сумм счетов и самого ВВП чистые налоги или чистый экспорт часто добавляют отдельной строкой для того, чтобы разные счета или подсчитанные разными способами показатели ВВП сходились, так как не во всех расчетах учитываются косвенные налоги, субсидии и сальдо внешней торговли товарами и услугами.
Как уже отмечалось, в СНС используются различные цены цены потребителя, т.е. рыночные (включающие налоги на продукты и импорт за минусом субсидий), а также цены производителя, называемые основными (они меньше рыночных на величину косвенных налогов). Для перевода одних цен в другие их корректируют на косвенные налоги и субсидии.
Наконец, в СНС налоги на продукты и импорт рассматриваются не только как поправка к ценам, но и как первичный доход госучреждений.
2. Основные макроэкономические показатели В макроэкономическом анализе применяется ряд статистических показателей.
Центральным показателем Системы национальных счетов является валовой внутренний продукт (ВВП). В статистике ряда зарубежных стран используется и более ранний макроэкономический показатель валовой национальный продукт (ВНП). Оба эти показателя определяются как стоимость всего объема конечного производства товаров и услуг в экономике за один год (квартал, месяц).
Они подсчитываются в ценах как текущих (действующих), так и постоянных (какого-либо базового года). Разница между ВНП и ВВП состоит в следующем:
ВВП подсчитывается по так называемому территориальному признаку. Это совокупная стоимость продукции сфер материального производства и услуг независимо от национальной принадлежности предприятий, расположенных на территории данной страны;
ВНП это совокупная стоимость всего объема продукции и услуг в обеих сферах национальной экономики независимо от местонахождения национальных предприятий (в своей стране или за рубежом).
Таким образом, ВНП отличается от ВВП на сумму так называемых факторных доходов от использования ресурсов данной страны за рубежом (переведенная в страну прибыль от вложенного за рубежом капитала, имеющейся там собственности; переведенная в страну заработная плата граждан, работающих за рубежом) за минусом аналогичных вывезенных из страны доходов иностранцев. Эта разность весьма невелика: для ведущих стран Запада не более1%отВВП.



Инфляция


Характер и динамика экономического развития страны являются предметом пристального внимания экономистов и политиков. От того, какие процессы и структурные изменения происходят в национальной экономике, зависит многое в жизни страны и ее перспективах. 1. Экономическое развитие и его уровень
Сущность экономического развития
Экономическое развитие общества представляет собой многоплановый процесс, охватывающий экономический рост, структурные сдвиги в экономике, совершенствование условий и качества жизни населения.
Известны различные модели экономического развития (модель Германии, США, Китая, стран Юго-Восточной Азии, России, Японии и других стран). Но при всем их многообразии и национальных особенностях существуют общие закономерности и параметры, характеризующие этот процесс.
По уровню экономического развития различают развитые страны (США, Япония, ФРГ, Швеция, Франция и др.); развивающиеся (Бразилия, Индия и др.), в том числе наименее развитые (в основном государства Тропической Африки), а также страны с переходной экономикой (бывшие советские республики, страны Центральной и Восточной Европы, Китай, Вьетнам, Монголия), большинство из которых занимают как бы промежуточное положение между развитыми и развивающимися странами.
В целом экономическое развитие общества противоречивый и трудноизмеряемый процесс, который не может происходить прямолинейно, по восходящей линии. Само развитие характеризуется неравномерностью, включая периоды роста и спада, количественные и качественные изменения в экономике, положительные и отрицательные тенденции. Это наглядно проявилось в 90-х гг. в России, когда прогрессивные реформы по трансформации экономической системы сопровождались сокращением производства и резкой дифференциацией доходов населения.
Вероятно, экономическое развитие должно рассматриваться за средне- и долгосрочные периоды, а также в рамках отдельной страны или мирового сообщества в целом.
Неравномерность экономического развития отдельных стран и регионов мира особенно проявилась во второй половине ХХ в., когда наиболее динамично развивающимся регионом стала Азия. Так, больших успехов в экономическом развитии достигли такие страны, как Япония, а затем Китай и новые индустриальные страны Юго-Восточной Азии. Во многом благодаря им темпы роста ВВП в развивающихся странах за этот период (с 1950 г. по настоящее время) почти вдвое превзошли соответствующий показатель развитых стран, в результате чего доля последних в мировой экономике сократилась с 63 до 52,7%, а доля развивающихся стран выросла с 21,7 до 31,4%.
Большие изменения произошли в экономическом развитии стран с переходной экономикой.
Самая тяжелая экономическая ситуация сложилась в государствах Тропической Африки. Здесь темпы роста ВВП были самыми низкими среди всех стран с рыночной экономикой, их удельный вес в мировой экономике к концу ХХ в. снизился с 2,3 до 1.8%.

Показатели уровня экономического развития Разнообразие исторических и географических условий существования и развития различных стран, сочетание материальных и финансовых ресурсов, которыми они располагают, не позволяют оценить уровень их экономического развития каким-то одним показателем. Для этого существует целая система показателей, среди которых выделяются, прежде всего, следующие:
общий объем реального ВВП;
ВВП/ВНП на душу населения;
отраслевая структура экономики;
производство основных видов продукции на душу населения;
уровень и качество жизни населения;
показатели экономической эффективности.
Если объем реального ВВП характеризует главным образом экономический потенциал страны, то производство ВВП/ВНП на душу населения является ведущим показателем уровня экономического развития.
Например, ВВП на душу населения, если его считать по паритету покупательной способности (см. гл. 38), в Люксембурге составляет около 38 тыс. долл., что в 84 раза превосходит ВВП на душу населения в самой бедной стране Эфиопии и даже выше, чем в США, хотя экономические потенциалы США и Люксембурга несравнимы. В России в 1998 г. ВВП на душу населения по последним оценкам составил 6,7 тыс. долл. Это уровень скорее развивающейся страны верхнего эшелона (Бразилии, Мексики, Аргентины), чем развитой. В некоторых развивающихся странах (например, в Саудовской Аравии) показатель ВВП на душу населения достаточно высокий, однако он не соответствует современной отраслевой структуре экономики (низкая доля сельского хозяйства и других отраслей первичного сектора; высокая доля вторичного сектора, прежде всего за счет обрабатывающей промышленности, особенно машиностроения; преобладающая доля третичного сектора, прежде всего за счет образования, здравоохранения, науки и культуры).
Отраслевая структура экономики России характерна скорее для развитой, чем для развивающейся страны.
Показатели уровня и качества жизни многочисленны. Это в первую очередь продолжительность жизни, степень заболеваемости различными болезнями, уровень медицинского обслуживания, состояние дел с личной безопасностью, образованием, социальным обеспечением, состоянием природной среды. Немаловажное значение имеют показатели покупательной способности населения, условий труда, занятости и безработицы. Попыткой обобщить некоторые наиболее важные из этих показателей является индекс (показатель) человеческого развития, который вбирает в себя индексы (показатели) продолжительности жизни, охвата населения образованием, уровня жизни (объема ВВП на душу населения по паритету покупательной способности). В 1995 г. этот индекс в России составил 10,767, что близко к среднемировому значению.
В развитых странах он приближается к 1, а в наименее развитых был близок к 0,2.
Экономическая эффективность характеризуется прежде всего производительностью труда, рентабельностью производства, фондоотдачей, капиталоемкостью и материалоемкостью единицы ВВП. В России эти показатели в 90-х гг. ухудшились.
Следует подчеркнуть, что уровень экономического развития страны это понятие историческое. Каждый этап развития национальной экономики и мирового сообщества в целом вносит те или иные изменения в состав его основных показателей.

  1. Экономический рост, его источники и измерение

Экономический рост и его измерение
В связи с трудностями измерения процесса экономического развития в макроэкономике чаще всего анализируют экономический рост, хотя это лишь один из критериев экономического развития.
Экономический рост есть составляющая экономического развития. Он выражается непосредственно в количественном увеличении ВВП и его составляющих.
На макроэкономическом уровне ведущими показателями количественной динамики экономического роста являются:
годовой прирост объема ВВП;
годовые темпы роста ВВП в расчете на душу населения;
годовые темпы роста производства основных отраслей экономики.
В экономической статистике для изучения динамики экономического роста используются коэффициенты роста, темпы роста и темпы прироста. Коэффициент роста х исчисляется по формуле:
y1 , (21.1)
Х = y0

где y1 и y0 показатели соответственно в изучаемом и базовом периодах.
Темп роста равен коэффициенту роста, умноженному на 100. Темп прироста равен темпу роста минус 100. Однако на практике под темпом роста часто понимают темп прироста.
Экономический рост может измеряться как в физическом выражении (физический рост), так и в стоимостном (стоимостный рост). Первый способ более надежен (так как позволяет исключить воздействие инфляции), но не универсален (при расчете темпов экономического роста трудно вывести общий показатель для производства разных изделий). Второй способ употребляется чаще, однако не всегда возможно до конца очистить его от инфляции.
Правда, в статистике ряда стран измеряют макроэкономический рост на базе роста производства наиболее важных для экономики товаров, используя при этом их доли в общем объеме производства.
В СССР в течение многих десятилетий экономический рост измерялся произведенным НД и лишь с 1987 г. начали применять показатель ВНП. В 90-х гг. в России основным показателем динамики народного хозяйства стал ВВП.
В течение длительного периода многие данные о развитии экономики искажали ее реальное состояние. Так, стоимостные данные о динамике общеэкономических показателей не учитывали скрытого роста цен, происходящего под видом улучшения качества продукции. Многочисленные приписки по результатам деятельности отдельных предприятий и организаций, особенно в строительстве, на транспорте, в сельском хозяйстве, также не позволяли иметь объективное представление о темпах роста экономики.
Не случайно сейчас подвергаются сомнению традиционные расчеты основных общеэкономических показателей, производившиеся ранее в СССР.

Факторы экономического роста Экономический рост происходит в результате экстенсивного и интенсивного использования производственных факторов.
В современных условиях ведущим фактором экономического роста являются знания, особенно технологические (научно-технический прогресс). Об этом впервые со всей определенностью высказался в 50-х гг. американский экономист, впоследствии ставший лауреатом Нобелевской премии, Роберт Солоу. Аналогичные оценки сделали и другие американские экономисты Джон Кендрик, Эдвард Денисон.
В частности, Э. Денисон разработал классификацию факторов экономического роста, включающую 23 фактора, из которых 4 относятся к труду, 4 к капиталу, один земля, остальные 14 характеризуют вклад научно-технического прогресса. По его мнению, экономический рост в современных условиях определяется не столько количеством затраченных факторов производства, сколько повышением их качества, и прежде всего качества рабочей силы. Проанализировав источники экономического роста в США за 19291982 гг., Э. Денисон пришел к выводу, что образование является определяющим фактором роста объема выпуска на одного работающего.



Деньги и кредит


В мире почти нет стран, где бы во второй половине ХХ в. не было инфляции. Она как бы пришла на смену прежней болезни рыночной экономики, которая стала явно ослабевать, циклическим кризисам. По-прежнему актуальна проблема инфляции и для России. 1. Инфляция как многофакторный процесс
Что такое инфляция Инфляция это обесценение денег, снижение их покупательной способности. Инфляция проявляется не только в повышении цен. Наряду с открытой, ценовой имеет место скрытая, или подавленная, инфляция, проявляющаяся, прежде всего, в дефиците товаров и услуг при неизменных ценах или невыплате заработной платы в срок, что означает ее последующую выплату обесцененными деньгами.
Напомним, что не всякое повышение цен служит показателем инфляции. Цены могут повышаться в силу улучшения качества продукции, ухудшения условий добычи топливно-сырьевых ресурсов, изменения общественных потребностей. Но это будет, как правило, не инфляционный, а в определенном мере логичный, оправданный рост цен на отдельные товары.
Например, переход на выпуск новых модификаций автомобилей с экономичным двигателем, соответствующим международным стандартам, очевидно, приведет к повышению отпускной цены: более совершенная и качественная продукция требует больших затрат и ценится выше. В то же время систематический рост цен на серийно производимые автомобили одной и той же модели без каких-либо улучшений, а нередко и с ухудшением отделки и понижением надежности в эксплуатации носит ярко выраженный инфляционный характер.
Существует и несколько иной взгляд на природу инфляции, что вполне естественно, ибо она представляет собой чрезвычайно сложный, противоречивый, недостаточно изученный процесс. Некоторые авторы под инфляцией понимают повышение общего уровня цен в экономике. Однако в реальной практике изменяются не только цены на товары, но и измерители их ценности деньги, причем не только под влиянием ценовых сдвигов, но и, например, под воздействием конъюнктурных колебаний.
Иногда говорят о том, что деньги «дешевые» или, напротив, «дорогие», что зависит от спроса на заемные средства, уровня процентных ставок вне прямой связи с динамикой цен на товары.
Бесспорно одно: падение покупательной способности денег и повышение цен на товары теснейшим образом взаимосвязаны. Инфляция это снижение покупательной способности денег, которое проявляется чаще всего в повсеместном повышении цен. В буквальном переводе с латинского инфляция означает «вздутие», т.е. переполнение каналов обращения избыточными бумажными деньгами, не обеспеченными соответствующим ростом денежной массы.
Наиболее распространенная причина инфляции денег много, товаров мало; покупательский спрос превышает товарное предложение. Деньги «охотятся» за товарами. Причина роста цен обычно не одна, их бывает несколько. В основе инфляционного повышения цен могут лежать различные, как правило, взаимосвязанные факторы.
При этом меняются масштабы, характер, темпы инфляции.
В январеиюле 1998 г. цены на потребительском рынке России практически стабилизировались, их среднемесячный рост не превышал 0,5%. С августа 1998 г. прирост потребительских цен стал быстро нарастать, и к декабрю их уровень (по отношению к декабрю 1997 г.) поднялся на 84,4%. Во втором и третьем кварталах 1999 г. инфляционный рост цен несколько стабилизировался.
В странах Запада, в том числе в странах с относительно стабильной экономикой, наблюдается значительный разброс среднегодовой динамики цен. Так, в период с 1975 по 1998 г. он составил в США от 1,6 до 13,5; в Японии от 1,2 до 11,8; в Великобритании от 3,4 до 24,2; в Португалии от 8,9 до 28,8; в Греции от 13,7 до 24,7%.
При относительно стабильных объеме и структуре производства и постоянной скорости обращения денег основным фактором ценовых сдвигов становится изменение объема денежной массы. Если предложение денег равно спросу на них, то уровень цен остается неизменным. Увеличение количества денег в обращении приводит к повышению цен.
Сторонники монетаризма утверждают, что причина инфляционного разрыва между деньгами и товарами лежит «на поверхности», она сводится к чрезмерному росту денежной массы. К инфляционному росту цен ведет избыток денежной массы; вслед за этим, с некоторым разрывом во времени, повышаются цены.
Но связь между денежной массой и движением цен не только прямая, но и обратная: растут цены увеличивается денежная масса, увеличивается количество денег в обращении - растут цены.

Рост цен и покупательная сила денег Значение имеет не только количество денег в обращении, но и их покупательная способность, структура денежной массы.
Денежная масса может расти. Если при этом покупательная способность денег падает, то нарушения происходят из-за того, что владельцы денег стремятся как можно быстрее избавиться от «падающих» денежных единиц. Увеличивается скорость денежного обращения.
Выбрасываемые на рынок в избыточном количестве деньги подстегивают инфляционный рост цен.
Так, в России слабость рубля проявляется не только в том, что растут цены, но и в том, что падает доверие к национальной валюте, а отдельные виды продукции российских производителей зачастую не выдерживает конкуренции со стороны иностранных товаров.
Покупательная сила рубля обеспечивается прежде всего продукцией нефтяной и газовой промышленности; в этой сфере рубль выступает на равных с западной валютой. В то же время падение в целом за 90-е гг. спроса на товары и услуги широкого потребления, производимые на российских предприятиях, подрывает покупательную силу национальной валюты, усиливает негативные процессы в денежно-кредитной сфере.

Инфляция спроса и инфляция издержек
Рассматривая причины инфляции, экономисты проводят различие между двумя ее видами: инфляцией спроса (инфляцией покупателей) и инфляцией издержек (инфляцией продавцов). В сущности, это две, как правило, взаимосвязанные, но неравнозначные причины инфляции: одна со стороны спроса (избыток денежных средств у покупателей), другая со стороны предложения (рост производственных издержек).
Что такое инфляция спроса? Это вид инфляции, порождаемый избытком совокупного спроса, за которым по тем или иным причинам не успевает производство. Избыточный спрос приводит к взлету цен. Избыток денег образуется при дефиците товаров.
Подобная ситуация на внутреннем рынке нашей страны наблюдалась в 70-80-х гг.
Чтобы финансировать дополнительные расходы, государство выпускает бумажные деньги, не обеспеченные товарной массой. Подобная практика выпуска «нематериальных» денег представляет собой своего рода инфляционный налог. Печатание дополнительных денег практически ничего не стоит государству, но позволяет наращивать расходы. Налог падает на общество, прежде всего на тех, кто имеет сбережения, хранит наличные деньги,
Ценность старых денег, находящихся у населения, стремительно падает. Если, к примеру, в течение года цены выросли на 130%, значит, покупательная сила рубля упала в 2,3 раза, т.е. в декабре она составила 43 коп.
Инфляция спроса может иметь смысл при специфических условиях: при низком темпе экономического роста, наличии недозагруженных мощностей. В этом случае подстегивание спроса послужит своеобразным стимулом активизации производства.
Как отмечалось, развитие инфляции может иметь место и без дополнительного подстегивания спроса. Инфляционный рост цен происходит в условиях, когда спрос не растет, а падает. Причину следует искать со стороны предложения. Это другой вид инфляции инфляция издержек.
Механизм инфляции начинает раскручиваться в силу того, что растут издержки.
Возможны два исходных момента: а) издержки начинают расти в результате повышения заработков (давление профсоюзов, требования рабочих) и в силу удорожания сырья и топлива (рост цен на импорт, изменение условий добычи, повышение транспортных расходов и т.п.); б) производители повышают цены, используя свое монополистическое положение или создавая его путем сговора.
В отличие от инфляции спроса инфляция издержек, по мнению ряда экономистов, обладает некоторыми предпосылками к самопогашению. Повышение цен в результате роста издержек ведет к сокращению производства, а это неизбежно сопровождается обострением конкуренции, поиском средств, направляемых на рационализацию производства, снижение производственных и трансакционных издержек.
В реальной действительности выделить два вида инфляции довольно трудно. Важно учитывать, какой вид инфляции является генератором инфляционного роста цен. В России все более важную роль стала играть инфляция издержек (возросли цены на сырье, топливо и комплектующие, сохраняется высокий уровень монополизации).
Что касается платежеспособного спроса населения, то он сокращается или растет крайне неравномерно.
Для большинства индустриально развитых стран Запада характерны сравнительно невысокие темпы инфляции. После некоторого повышения темпов инфляционного роста цен во второй половине 70-х начале 80-х гг. в ряде стран они достигли двузначных цифр, рост цен замедлился. В табл.
22. приведены среднегодовые темпы инфляции в индустриально развитых странах.

Таблица 22.1. Индексы потребительских цен, % к предшествовавшему периоду (году)



Финансовый рынок


Предприниматели в своей хозяйственной деятельности постоянно имеют дело с денежными единицами своей страны и иностранных государств. Деньги историческая категория, присущая товарному производству. До появления денег имел место натуральный обмен (см. гл. 1). К древнейшим видам денег относятся товары, которые использовались повседневно, а при обмене служили всеобщим эквивалентом: продовольственные (скот, соль, чай, зерно, рис и др.), меховые (шкуры пушных зверей), орудия труда (мотыги, топоры, ножи, лопаты), украшения (кольца, браслеты, цепочки).
Постепенно роль денег перешла к металлам, сначала в форме слитков разной формы, а с VII в. до н.э. в форме чеканных монет. До капитализма роль денег выполняли медь, бронза, серебро, а в некоторых странах (в Ассирии и Египте) еще в древности (за два тысячелетия до н.э.) золото. С развитием товарного производства золото и серебро стали денежными товарами.
Нам более привычны бумажные деньги. Впервые они появились в Китае в 812 г. Самые ранние в мире выпуски банкнот были осуществлены в Стокгольме в 1661 г. В России бумажные деньги (ассигнации) впервые были введены при Екатерине II (1769 г.).
Оноре де Бальзак утверждал, что «деньги это шестое чувство, позволяющее нам наслаждаться пятью остальными». Более строго и сухо определяют их экономисты. А. Смит называл деньги «колесом обращения», К. Маркс «всеобщим эквивалентом».
1. Деньги и денежная система
Сущность денег Итак, деньги это особый товар, служащий всеобщим эквивалентом. Лучше всего сущность денег проявляется в их функциях.
1. Д е н ь г и к а к м е р а с т о и м ос т и. Это приравнивание товара к определенной сумме денег, что дает количественное измерение величины стоимости товара. Стоимость товара, выраженная в деньгах, является его ценой.
Функция меры стоимости реализуется на основе масштаба цен. С его помощью цена товара как показатель величины стоимости преобразуется в прейскурантную или рыночную цену, выраженную в национальных денежных единицах.
2. Д е н ь г и к а к с р е д с т в о о б р а щ е н и я. Они позволяют платить владельцам ресурсов и производителям таким товаром (деньгами), который может быть использован для покупки любого другого товара или услуги, имеющихся на рынке. Как средство обмена деньги позволяют избежать неудобств бартерного обмена.
3. Д е н ь г и к а к с р е д с т в о н а к о п л е н и я, с б е р е ж е н и я и о б р а з о в а н и я с о к р о в и щ. Если производитель, продав свой товар, в течение длительного времени не покупает другой товар, то деньги, изъятые из обращения с целью накопления, выполняют функцию средства образования сокровищ, т.е. сохранения стоимости. Сокровища это накопление драгоценных металлов в виде монет, слитков, ювелирных и других изделий, принадлежащих государству или частным лицам. Рыночная система создает возможности и стимулы для превращения сокровищ в капитал, приносящий прибыль, отчасти непосредственно, но главным образом через кредитную систему, в том числе фондовую биржу.
4. Деньги как средство платежа (расчетов). В силу ряда обстоятельств товары не всегда могут продаваться с немедленной оплатой за наличные деньги. Поэтому возникают расчеты, которые растянуты во времени и фактически базируются на отсрочке уплаты денег.
Деньги функционируют как средство платежа не только при оплате купленных в кредит товаров, но и при погашении других обязательств, например при возврате денежных ссуд, внесении арендной платы за землю, уплате налогов, а также в расчетах между экономическими агентами, которые осуществляются через банки.
Отсюда денежная система это форма организации денежного обращения в стране, т.е. движения денег в наличной и безналичной формах. Она включает следующие элементы: денежную единицу, масштаб цен, виды денег в стране и порядок их эмиссии, порядок обращения денег и платежей, а также государственный аппарат, осуществляющий регулирование денежного обращения.
Денежное обращение «кровеносная» система экономики. От его успешного функционирования зависит хозяйственная активность, экономический рост, благополучие общества.

Что понимается под деньгами?
В странах с рыночной экономикой денежный оборот складывается из наличных и безналичных денег. Под наличными деньгами понимаются монеты, банковские билеты (банкноты) и казначейские билеты. М о н е т ы служат в качестве разменных денег, позволяют совершать любые мелкие покупки.
В обращение их вводит центральный банк.
Первоначально б а н к н о т ы выпускались всеми банками как векселя вместо обычных денег. Впоследствии они приобрели силу законного и единственного платежного средства с принудительно устанавливаемым государством курсом, т.е. стали национальными деньгами. Их выпуск (эмиссию) осуществляет только центральный банк.
К а з н а ч е й с к и е б и л е т ы те же бумажные деньги, но выпускаемые непосредственно государственным казначейством министерством финансов или специальным государственным финансовым органом, ведающим кассовым исполнением государственного бюджета. В России казначейские билеты не выпускаются.
Под безналичными деньгами понимаются средства на счетах в банках, различные депозиты (вклады) в банках, депозитные сертификаты и государственные ценные бумаги. Эти вклады называются также банковскими деньгами.
Хранение денег на текущих счетах получило в странах с рыночной экономикой наибольшее распространение. Функционирование этих счетов обеспечивается через чековое обращение. Чек это переводной вексель, выставленный на банк и оплачиваемый по предъявлении.
Чеки появились в обращении на рубеже XVI XVII вв. одновременно в Великобритании и Голландии.
В начале XX в. экономисты считали деньгами лишь монеты и банкноты. Чековое обращение только формировалось. И лишь Дж.М.
Кейнс увидел во вкладах (депозитах) до востребования (чековых вкладах), предназначенных для использования в качестве средства платежа, реальные деньги'.



См.: Кейнс Дж.Л. М.Трактат о деньгах. 1930.

Безналичные деньги в отличие от наличных, по существу, не являются платежными средствами, но в любую минуту они могут превратиться в наличные, гарантированные кредитными институтами. Практически же безналичные деньги выступают наравне с наличными и даже имеют некоторые преимущества перед последними. Действительно, наличные деньги связаны с бумагой или металлом.
Они имеют реальные высокие издержки хранения и транспортировки, а также могут быть потеряны или подделаны.
Таким образом, деньги образованы несколькими составляющими, так называемыми денежными агрегатами: М0, М1, М2, М3 ( 23.1). Сумма всех агрегатов называется совокупной денежной массой.


Финансовый рынок



23.1. Денежные агрегаты в российской практике


Проиллюстрируем эту схему данными по совокупной денежной массе России на 1 марта 1999 г., млрд руб.:

Денежная масса (М2) ..............................…………….463,9
В том числе:
наличные деньги (МО)............................. 180,8
доля МО в М2, %................................……..39,0


В России используется такой показатель, как денежная база, который включает наличные деньги (агрегат МО) и обязательные резервы коммерческих банков в Центральном банке РФ. В конце мая 1999 г. объем денежной базы составил 236,7 млрд руб.

Спрос и предложение денег Согласно подходам сторонников количественной теории денег, величина стоимости денег находится в обратной зависимости от их количества, т.е. чем больше денег в обращении, тем меньше их стоимость. Основателями этой теории в XVIII в. являлись во Франции Ш. Монтескье, в Англии Д. Юм. В начале XIX в. Д. Рикардо предпринял попытку соединить количественную теорию денег со своей трудовой теорией стоимости.
В начале XX в. количественная теория денег математически обосновывается с помощью так называемого уравнения обмена. В соответствии с этим подходом, поскольку деньги выполняют функцию средства обращения, количество необходимых для обращения денег М определяется общим уровнем цен на товары Р и объемом текущих сделок купли-продажи Т, а также скоростью обращения денег V.

MV= PT. (23.1)

Эта формула называется уравнением Фишера в честь предложившего ее американского экономиста Ирвинга Фишера (1867 1947). Используется и другая форма этого уравнения, так называемое кембриджское уравнение:

M = kPV, (23.2)
где k= 1 величина, обратная скорости обращения денег. Коэффициент k, однако, несет
V
и собственную смысловую нагрузку, показывая долю номинальных денежных остатков (М) в доходе (PV).
Кембриджское уравнение предполагает наличие различных видов финансовых активов с разной доходностью (а не только МО, или М1 ) и возможность выбора между ними при решении вопроса, в какой форме хранить доход.
Чтобы элиминировать влияние инфляции, обычно рассматривают р е а л ь н ы й с п р о с н а д е н ь г и:


M D =k Y (23.3)
P

Где М - реальные запасы денежных ресурсов, или реальные денежные остатки.
Р
Кейнсианская теория спроса на деньги т е о р и я п р е д п о ч т е н и я л и к в и д н о с т и выделяет три мотива, побуждающие людей хранить часть денег в виде наличности:
трансакционный мотив (потребность в наличности для текущих сделок);



Макроэкономическое равновесие


Финансовый рынок (рынок ссудных капиталов) это механизм перераспределения капитала между кредиторами и заемщиками при помощи посредников на основе спроса и предложения на капитал. На практике он представляет собой совокупность кредитных организаций (финансово-кредитных институтов), направляющих поток денежных средств от собственников к заемщикам и обратно. Главная функция этого рынка состоит в трансформации бездействующих денежных средств в ссудный капитал. 1. Денежный рынок и рынок капиталов
Структура финансового рынка Финансовый рынок включает денежный рынок и рынок капиталов ( 24.1). Под денежным рынком понимается рынок краткосрочных кредитных операций (до одного года). В свою очередь денежный рынок обычно подразделяется на учетный, межбанковский и валютный рынки, а также рынок деривативов.








Макроэкономическое равновесие


24.1. Структура финансового рынка


К у ч е т н о м у р ы н к у относят тот, на котором основными инструментами являются казначейские и коммерческие векселя, другие виды краткосрочных обязательств (ценные бумаги). Таким образом, на учетном рынке обращается огромная масса краткосрочных ценных бумаг, главная характеристика которых высокая ликвидность и мобильность.
М е ж б а н к о в ск и й р ы н о к часть рынка ссудных капиталов, где временно свободные денежные ресурсы кредитных учреждений привлекаются и размещаются банками между собой, преимущественно в форме межбанковских депозитов на короткие сроки. Наиболее распространенные сроки депозитов один, три и шесть месяцев, предельные сроки от одного до двух лет (иногда до пяти лет). Средства межбанковского рынка используются банками не только для краткосрочных, но и для средне- и долгосрочных активных операций, регулирования балансов, выполнения требований государственных регулирующих органов.
В а л ю т н ы е р ы н к и обслуживают международный платежный оборот, связанный с оплатой денежных обязательств юридических и физических лиц разных стран. Специфика международных расчетов заключается в отсутствии общепринятого для всех стран платежного средства. Поэтому необходимым условием расчетов по внешней торговле, услугам, инвестициям, межгосударственным платежам является обмен одной валюты на другую в форме покупки или продажи иностранной валюты плательщиком или получателем.
Валютные рынки официальные центры, где совершается купля-продажа валют на основе спроса и предложения.
Р ы н о к д е р и в а т и в о в . Деривативами (финансовыми деривативами) называются производные финансовые инструменты, в основе которых лежат другие, более простые финансовые инструменты акции, облигации. Основными видами финансовых деривативов являются опционы (дающие их владельцу право продавать или покупать акции), свопы (соглашения об обмене денежными платежами в течение определенного периода времени), фьючерсы (контракты на будущую поставку, в том числе валюты, по зафиксированной в контракте иене).
Рынок капиталов охватывает средне- и долгосрочные кредиты, а также акции и облигации. Он подразделяется на рынок ценных бумаг (фондовый рынок) и рынок средне- и долгосрочных банковских кредитов. Рынок капиталов служит важнейшим источником долгосрочных инвестиционных ресурсов для правительств, корпораций и банков.
Если денежный рынок предоставляет высоколиквидные средства в основном для удовлетворения краткосрочных потребностей, то рынок капиталов обеспечивает долгосрочные потребности в финансовых ресурсах.
На рынке средне- и долгосрочных банковских кредитов заемные средства выдаются компаниям для расширения основного капитала (обновление оборудования и увеличение производственных мощностей). Такие кредиты, как правило, предоставляются инвестиционными банками, реже коммерческими.
Фондовый рынок обеспечивает распределение денежных средств между участниками экономических отношений через выпуск ценных бумаг, которые имеют собственную стоимость и могут продаваться, покупаться и погашаться. Основные функции фондового рынка заключаются:
в централизации временно свободных денежных средств и сбережений для финансирования экономики;
в переливе капитала с целью его концентрации в технически или экономически прогрессивных отраслях и наиболее перспективных регионах;
в ликвидации дефицита государственного бюджета, в его кассовом исполнении и сглаживании неравномерности поступления налоговых платежей;
в информации о состоянии экономической конъюнктуры, исходя из состояния рынка ценных бумаг.
Фондовый рынок можно рассматривать и как совокупность п е р в и ч н о г о и в т о р и ч н о г о р ы н к о в . Первичный рынок возникает в момент эмиссии ценных бумаг, на нем мобилизуются финансовые ресурсы. Основными эмитентами этого рынка являются частные компании и государственные органы, основными объектами сделок ценные бумаги. Размещение вновь выпущенных ценных бумаг происходит путем либо подписки, либо открытой продажи.
На вторичном рынке эти ресурсы перераспределяются, и даже не один раз. В свою очередь вторичный рынок подразделяется на биржевой и небиржевой. На последнем происходит купля-продажа ценных бумаг, по каким-либо причинам не котирующихся на бирже (например, через банки).
Различные виды ценных бумаг, формы вкладов и кредитования получили в экономической литературе и официальных документах обобщающее определение финансовые инструменты.

Государство и финансовый рынок Взаимоотношения государства и финансового рынка многоплановы. Государство может выступать кредитором и заемщиком, устанавливать общие правила функционирования рынка и осуществлять повседневный контроль за ним, проводить через рынок официальную денежно-кредитную политику и даже более широкие экономические мероприятия.
Государство может также поощрять и защищать развитие финансового рынка (так, фондовые биржи в ряде стран являются государственными учреждениями). Ведь от состояния фондового рынка в значительной мере зависит устойчивое функционирование национальной экономики. В первую очередь такая политика проводится через придание рынку и его составляющим организационной завершенности, стандартизации операций и жесткого контроля.
Этими вопросами в странах с рыночной экономикой занимаются такие специальные учреждения, как Федеральная комиссия по ценным бумагам и биржам в США или Федеральная комиссия по рынку ценных бумаг в России.
Вместе с тем международный финансовый кризис, начавшийся в 1997 г., наглядно продемонстрировал, что методы регулирования финансового рынка перестают соответствовать возрастающему уровню развития и интеграции финансовых рынков.
Финансовые рынки по своей природе нестабильны. Усиливающееся взаимодействие финансовых рынков и возрастающие объемы перелива капитала повышают риск нестабильности национальных рынков и опасность распространения ее на другие рынки. Поэтому роль органов государственного регулирования возросла с увеличением финансовых потоков, расширением финансовых инструментов рынка, появлением новых его участников.

Особенности финансового рынка России Так называемые новые финансовые рынки (emerging markets) в развивающихся странах и странах с переходной экономикой имеют некоторые особенности. Для них в настоящее время существует больше возможностей привлечения внешнего капитала и информации об опыте других стран, чем в период формирования финансовых рынков развитых стран в прошлом. Поэтому процессы на новых рынках характеризуются резкими колебаниями и более быстрым темпом развития.
В ходе финансового кризиса в России выявилась необходимость формирования такой структуры финансовых инструментов, которая обеспечивает переориентацию финансовых потоков на обслуживание потребностей конечных заемщиков, повышение эффективности притока свободных ресурсов и их вложение в продуманные экономические проекты. В условиях, когда снижение конкурентоспособности государственных ценных бумаг создает реальные возможности для развития других финансовых инструментов, формируются предпосылки для выхода на российский финансовый рынок корпоративных эмитентов.
Произошла также переоценка роли финансового рынка. Он уже не рассматривается в качестве локомотива дальнейшего развития экономики в целом. Более того, становится все очевиднее, что именно развитие реального сектора экономики, переход производителей к преимущественному использованию денежных форм расчетов должны стать прелюдией к эффективному расширению операций финансово-кредитных институтов с реальным сектором и последующему оживлению работы финансового рынка.
К особенностям российского финансового рынка относится значимость его социальной составляющей. Граждане России требуют разнообразия способов инвестирования своих сбережений и обеспечения личной финансовой безопасности, поэтому при формировании политики в отношении рынка ценных бумаг государство не только исходит из потребностей экономики и доступности инвестиций, но и ориентируется на учет потребностей населения в целом. Острота социальных вопросов в сфере развития рынка капиталов обусловливается также тем, что российские граждане потеряли значительную часть своих сбережений в результате инфляции, а также деятельности финансовых пирамид, обманувших вкладчиков.
Для решения этих вопросов был разработан и в марте 1999 г. вступил в силу Федеральный закон «О защите прав и законных интересов инвесторов на рынке ценных бумаг».



Государственное регулирование экономики


Рассмотрение экономики как единого целого, анализ работы экономического механизма на уровне национального хозяйства необходимая предпосылка выработки основ экономической политики. 1. Сущность, предпосылки и значение теории экономического равновесия На реальном рынке встречаются не два контрагента продавец и покупатель, а множество продавцов и покупателей, к примеру, продавцов рубашек и галстуков и тех, кто, располагая соответствующими денежными средствами, стремится приобрести эти товары. Цены, по которым предлагаются и покупаются рубашки и галстуки, как и любые иные товары, устанавливаются на основе многих, массовых, а не единичных сделок.
К тому же на рынке предлагаются и покупаются не только рубашки и галстуки, но и множество других товаров. В этом случае речь идет о совокупном спросе и предложении в рамках национального рынка. Иначе говоря, конкретные товары галстуки и рубашки, холодильники и телевизоры, макароны и коньяки объединяют в совокупную массу товаров, выражаемую не в штуках, тоннах или метрах, а в стоимостном выражении.

Совокупный спрос и совокупное предложение Макроэкономика имеет дело с совокупными, агрегированными показателями. Здесь не множество, а один совокупный производитель, один совокупный потребитель, один национальный рынок. Спрос выступает не как спрос отдельных покупателей или групп населения, а как совокупный платежеспособный спрос в масштабе национального хозяйства.
С одной стороны, это совокупный спрос домашних хозяйств на потребительские товары и услуги (С), фирм на инвестиционные товары и услуги (I), государства на приобретаемые государством товары и услуги (G). С другой стороны, это предложение валового внутреннего продукта, рассчитанного применительно к сложившемуся уровню цен.
Итак, совокупный спрос это спрос на тот общий объем товаров и услуг, который может быть предъявлен при данном уровне цен, а совокупное предложение это то общее количество товаров и услуг, которое может быть произведено и предложено в соответствии со сложившимся уровнем цен.
Проблемы макроэкономики это проблемы функционирования отдельных секторов и хозяйства в целом, т.е. на национальном уровне. Наиболее важные из них проблемы обеспечения занятости, снижения уровня инфляции, поддержания оптимальных темпов развития, совершенствования народнохозяйственной структуры, «вписанности» национального хозяйства в мировую экономику. Эти проблемы не остаются неизменными: меняется их актуальность, подходы к решению, пересматриваются задачи и методы экономической политики.
Макроэкономика сложное, противоречивое взаимодействие спроса и предложения, затрат и результатов, доходов и расходов. В качестве важнейших «регуляторов» выступают ценовые инструменты, механизм конкуренции. Включаются в процесс и воздействуют на экономическую ситуацию и другие, неценовые факторы демографические сдвиги, географическое положение, национальные и исторические традиции, уровень профессиональной подготовки. В результате возникают неустойчивость и неравновесность.
Особенно они присущи переходной экономике, в которой исключительно важную роль играют неформальные институты обычаи, традиции, кодекс экономического поведения.
Макроэкономическая неравновесность это инфляция, спад производства, нарушения платежного баланса. Чтобы анализировать и управлять конкретной ситуацией на рынке (ринках), неравновесной ситуацией, нужно иметь представление о том, что такое равновесность (равновесие).

Макроэкономическое равновесие в экономике
В самом общем виде равновесие в экономике это сбалансированность и пропорциональность ее основных параметров, иначе говоря, ситуация, когда у участников хозяйственной деятельности нет стимулов к изменению существующего положения.
По отношению к рынку равновесие это соответствие между производством благ и платежеспособным спросом на них.
Обычно равновесие достигается посредством либо ограничения потребностей (на рынке они всегда выступают в виде платежеспособного спроса), либо увеличения и оптимизации использования ресурсов.
А. Маршалл рассматривал равновесие на уровне отдельного хозяйства или отрасли. Это микроуровень, который характеризует особенности и условия частичного равновесия. Но общее равновесие это согласованное развитие (соответствие) всех рынков, всех секторов и сфер, оптимальное состояние экономики в целом.
Причем равновесие системы (национального хозяйства) не сводится только к рыночному равновесию. Рыночные факторы не следует отделять от производственных. Ведь диспропорции, нарушения в сфере производства неизбежно ведут к неравновесности на рынках.
К тому же в реальной действительности наряду с рыночными воздействиями экономика испытывает влияние других, нерыночных факторов (войны, социальные волнения, погода, демографические сдвиги).
Проблему рыночного равновесия анализировали Дж. Робинсон, Э. Чемберлин, Дж. Кларк.
Однако пионером в исследовании этого вопроса был Л. Вальрас.

Модель равновесия Вальраса
Швейцарский экономист-математик Леон Вальрас (1834 1910) стремился ответить на вопрос: как рынки и секторы экономики функционируют в наиболее общем (чистом) виде? На основе каких принципов устанавливается взаимодействие 'цен, издержек, объемов спроса и предложения на различных рынках? Принимает ли это взаимодействие формы «равновесности» или рыночный механизм, действует в обратном направлении?
Является ли это равновесие (если оно достижимо) устойчивым?
Вальрас исходил из того, что решение проблемы может быть достигнуто с помощью использования математического аппарата. Весь экономический мир он разделил на Две большие группы: фирмы и домохозяйства. Фирмы выступают на рынке факторов как покупатели и на рынке потребительских товаров как продавцы. Домашние хозяйства владельцы факторов производства выступают в роли их продавцов и в то же время как покупатели потребительских товаров. Роли продавцов и покупателей постоянно меняются.
В процессе обмена расходы производителей товаров превращаются в доходы домохозяйств, а все расходы домохозяйств в доходы производителей (фирм).
Цены экономических факторов зависят от размеров производства, спроса, а значит, от цен на производимые товары. В свою очередь, цены на выпускаемые в обществе товары зависят от цен на факторы производства. Последние должны соответствовать издержкам фирм.
В то же время доходы фирм должны сочетаться с расходами домохозяйств.
Построив довольно сложную систему взаимосвязанных уравнений, Вальрас доказывает, что система равновесности может быть достижима как некий «идеал», к которому стремится конкурентный рынок. Положение, получившее название закона Вальраса, гласит: в состоянии равновесия рыночная цена равна предельным издержкам. Таким образом, стоимость общественного продукта равна рыночной стоимости использованных на его выпуск производственных факторов; совокупный спрос равен совокупному предложению; цена и объем производства не увеличиваются и не уменьшаются.
Построенная на основе этой теоретической концепции модель Вальраса есть модель общего экономического равновесия, своего рода одномоментный снимок национального хозяйства в «чистом» виде. Что касается состояния равновесия, то оно, по Вальрасу, предполагает наличие трех условий:
во-первых, спрос и предложение факторов производства равны; на них устанавливается постоянная и устойчивая цена;
во-вторых, спрос и предложение товаров (и услуг) также равны и реализуются на основе постоянных, устойчивых цен;
в-третьих, цены товаров соответствуют издержкам производства.
Равновесие является устойчивым, ибо на рынке действуют силы (прежде всего, цены на факторы производства и на товары), выравнивающие отклонения и восстанавливающие «равновесность». Предполагается, что «неверные» цены постепенно исключаются, так как этому способствует полная свобода конкуренции.

Выводы из модели Вальраса Основной вывод, вытекающий из модели Вальраса, взаимосвязанность и взаимообусловленность всех цен как регулирующего инструмента, причем не только на рынке товаров, но и на всех рынках. Цены на потребительские товары устанавливаются во взаимосвязи и взаимодействии с ценами на факторы производства, цены на рабочую силу с учетом и под влиянием цен на продукты и т.д.
Равновесные цены устанавливаются в результате взаимосвязанности всех рынков (рынков товаров, труда, денежных рынков, рынков ценных бумаг).
В данной модели возможность существования равновесных цен одновременно на всех рынках доказывается математически. К этому равновесию в силу присущего ей механизма стремится рыночная экономика.
Из теоретически достижимого экономического равновесия следует вывод об относительной устойчивости системы рыночных отношений. Установление («нащупывание») равновесных цен происходит на всех рынках и, в конечном счете, приводит к равновесию спроса и предложения на них.
Равновесие в экономике не сводится к равновесию обмена, к рыночному равновесию. Из теоретической концепции Вальраса вытекает принцип взаимосвязанности основных элементов (рынков, сфер, секторов) рыночной экономики.
Модель Вальраса упрощенная, условная картина национального хозяйства. Она не рассматривает, как устанавливается равновесие в развитии, динамике. В ней не учитываются многие факторы, действующие на практике, например, психологические мотивы, ожидания.
В модели рассматриваются сложившиеся рынки, устоявшаяся и соответствующая потребностям рынка инфраструктура.



Бюджет и налоги


Во всех общественных системах государство играет весомую экономическую роль, выполняя больший или меньший набор хозяйственных и социальных функций. Поскольку наиболее совершенным образом такая деятельность организована в странах с развитой рыночной экономикой, проблемы государственного регулирования экономики рассматриваются на примере этой группы государств. Проблемы экономической политики в странах, переходящих к рыночному хозяйству, рассмотрены в гл.
30.
  1. Сущность государственного регулирования экономики и его место в хозяйственном механизме современного капитализма

Необходимость и сущность госрегулирования Теория экономической политики как составная часть макроэкономической теории объясняет необходимость государственного регулирования экономики различными проявлениями несовершенства рынка, предоставленного самому себе (см. 5.6). При этом речь идет, по меньшей мере, о следующих проявлениях.
1. Несостоятельность конкуренции, выражающаяся в том, что на некоторых отраслевых и региональных рынках могут возникать (и возникают) монополии, которые, если этому не противодействует государство, своим ценообразованием наносят ущерб благосостоянию общества.
2. Наличие многочисленных товаров, жизненно необходимых обществу, которые либо не предлагаются рынком, либо, если и могли быть предложены, то в недостаточном количестве. Таких товаров (главным образом в форме услуг) много в сферах образования, здравоохранения, науки, культуры, обороны и др.
3. Внешние эффекты (экстерналии), типичный пример которых загрязнение окружающей среды, нанесение теми или иными хозяйствующими субъектами экологического ущерба обществу, физическим и юридическим лицам.
4. Неполные рынки, одним из типичных примеров которых является рынок страховых услуг, прежде всего медицинских и пенсионных.
5. Несовершенство информации, во многих отношениях представляющей собой общественный товар, который в более или менее достаточном количестве при соответствующем качестве не может быть произведен без активного участия государства.
6. Безработица, инфляция, экономическое неравновесие, особенно резко проявляющееся в периоды кризисов (рецессий) и депрессий.
7. Излишне неравномерное распределение доходов, которое, если государство не принимает мер для «социальной компенсации» малоимущим и обездоленным слоям населения, ставит под угрозу общественную стабильность.
8. Наличие обязательных товаров (например, начальное образование), потреблять которые общество может заставить только государство, но никак не рынок.
Из указанных и других проявлений несовершенства рынка вытекает не только сама по себе необходимость государственного регулирования, но и экономические функции государства, которые и реализуются посредством такого регулирования.
Государственное регулирование экономики (госрегулирование) процесс воздействия государства на хозяйственную жизнь общества и связанные с ней социальные процессы, в ходе которого реализуется экономическая и социальная политика государства, основанная на определенной доктрине (концепции). При этом для достижения поставленных целей используется определенный набор средств (инструментов).

Место госрегулирования в хозяйственном механизме В системе современного капитализма хозяйственная жизнь общества регулируется не столько государством, сколько рынком. Для всех стран с развитой рыночной экономикой характерен т р е х у р о в н е в ы й («трехслойный») хозяйственный механизм как совокупность форм и методов регулирования хозяйственной жизни (он опирается на те его фундаментальные элементы, которые были рассмотрены в гл. 4).
Исторически эти три уровня сформировались не одновременно.
Уровень с т и х и й н о р ы н о ч н о г о р е г у л и р о в а н и я начал формироваться еще в XVIXVII вв., т.е. в период зарождения капиталистических отношений в Западной Европе (раньше всего в Нидерландах и Великобритании), и вполне сложился там и в США к 5060-м гг. XIX в., когда материальной базой хозяйственной жизни стало крупное машинное производство и высокого уровня развития достигло общественное разделение труда. Это вызвало к жизни систему рыночных отношений, важнейшим регулятором которых выступает рыночная цена товара.
Движение цен происходит в зависимости от издержек производства и соотношения спроса на товар и его предложения.
Уровень корпоративного регулирования сформировался за 2025 лет до начала Первой мировой войны. Сложившиеся к этому времени мощные корпорации, сосредоточивая в своих руках значительную или даже преобладающую долю производства того или иного товара, получили возможность целенаправленно воздействовать на цены, а также на объем производства и сбыта соответствующих товаров. В отличие от этого для мелких фирм цена выступает как внешний регулятор их производства и сбыта, на который они не могут влиять и к которому они должны приспосабливаться.
Уровень г о с у д а р с т в е н н о г о ( м а к р о э к о н о м и ч е с к о г о ) р е г у л и р о в а н и я сложился после самого глубокого в истории капитализма кризиса 19291933 гг. (так называемого великого кризиса), особенно после Второй мировой войны. Этот кризис показал, что существовавший в то время «двухслойный» хозяйственный механизм не способен был обеспечивать более или менее стабильное состояние и развитие капиталистической экономики, а следовательно, и общества в целом. Стало очевидным, что без резкого усиления экономической роли государства традиционный капитализм не имеет будущего.
Заметное повышение роли государства в экономике отчетливо выразилось, например, в увеличении совокупных государственных расходов по отношению к ВВП ( 26.1).
После Второй мировой войны во всех странах Запада в полной мере сформировались многогранные системы госрегулирования. Причем в организации этих систем преобладает общее (это относится ко всем тем проблемам, о которых речь идет ниже), а не частное, хотя последнее немаловажно.
В современном мире бурно протекают процессы интернационализации хозяйственной жизни и ее глобализации, в которые в наибольшей мере вовлечены страны с развитой рыночной экономикой. Внутриэкономическая жизнь и внешнеэкономические аспекты госрегулирования здесь должны рассматриваться в неразрывном единстве и с учетом того, что в Европейском союзе (ЕС) уже сложились формы наднационального госрегулирования. Таким образом, в ЕС складывается четырехуровневый механизм регулирования.




26.1. Совокупные государственные расходы в странах членах ОЭСР, %ВВП

При сравнении трех «центров силы» современного капитализма (США, Западная Европа, Япония) по организации хозяйственного механизма можно констатировать, что на первом и втором уровнях «слоев» различия между ними просматриваются в наименьшей мере. Это вполне закономерно, ибо именно на этих уровнях наиболее полно находит выражение сущность капитализма как социально-экономической системы, движимой мотивом частной прибыли и рыночной конкуренцией. В то же время третий уровень наиболее активно проявляется в Западной Европе по сравнению с США и Японией.
Особенно это относится к тем аспектам госрегулирования, где реализуется социальная политика западноевропейских государств.
В каждом из «центров силы» сложилась своя модель госрегулирования. Так, в США преобладают налогово-бюджетные методы при небольших размерах госсобственности. Для Западной Европы характерно сочетание высокой доли государственных расходов в ВВП с наличием (особенно в 5080-х гг.) значительного госсектора, прежде всего в финансовой сфере и отраслях инфраструктуры.
В Японии при относительно небольшой доле бюджетных расходов в ВВП и незначительных размерах госсектора сложилась уникальная система взаимодействия государственных органов и крупнейших корпораций для реализации стратегических целей в экономике.

Цели госрегулирования
Имеется своего рода п и р а м и д а ц е л е й госрегулирования, которые находятся между собой в определенной субординации, изменяющейся в результате эволюции конкретных условий в той или иной стране в данный исторический момент. В ы с ш и м и , « ц е н т р а л ь н ы м и » ц е л я м и неизменно являются формирование наиболее благоприятных условий для поддержания экономического развития (включая его социальные сферы) и общественной стабильности. Все прочие цели производны от этих двух, но они периодически модифицируются в зависимости от многих факторов и различным образом переплетаются между собой, находясь в отношениях взаимозависимости.
Во многих научных и учебных публикациях на Западе выделяются четыре главные цели госрегулирования (цели первого порядка), объединяемые понятием «магический четырехугольник»: обеспечение темпов роста ВВП, соразмерных хозяйственному потенциалу страны; минимизация безработицы; стабильность цен; внешнеэкономическое равновесие, выражающееся в бездефицитном или умеренно-дефицитном платежном балансе. О «магическом четырехугольнике» говорится в том смысле, что одни его цели противоречат другим. Так, стимулирование занятости населения посредством дополнительных государственных расходов подстегивает рост бюджетного дефицита, а в конечном счете, и инфляции. «Магия» как раз и состоит в том, чтобы двигаться во всех четырех направлениях более или менее равномерно.



Доходы населения и социальная политика


Главными средствами перераспределения доходов и наиболее важными орудиями государственного регулирования экономики и экономической политики являются бюджет и налоги. Это тесно связанные категории, поэтому часто говорят о бюджетно-налоговой политике (сфере, системе, отношениях и т.п.). Часто вместо термина «бюджетно-налоговый» используют его синоним «фискальный» (от лат. fiscus государственная казна и fiscalis относящийся к казне).
В качестве другого синонима бюджета и налогов используют также термины «государственные финансы», «финансы страны». Для обозначения совокупности бюджетно-налоговой и денежно-кредитной систем употребляют термин «финансово-кредитная система» (сфера, отношения и т.д.) или иногда просто «финансы».
1. Государственный бюджет Через бюджет перераспределяется значительная часть ВВП страны. В России эта величина составляет примерно 1/3.

Понятие государственного бюджета
Государственный бюджет (госбюджет), по определению Бюджетного кодекса Российской Федерации, это форма образования и расходования фонда денежных средств, предназначенных для финансового обеспечения задач и функций государства и местного самоуправления. Проект бюджета ежегодно обсуждается и принимается законодательным органом парламентом страны, региона или муниципальным собранием. В течение и по завершении финансового года представители исполнительной власти отчитываются о своей деятельности по мобилизации доходов и осуществлению расходов в соответствии с принятым законом о бюджете.
Регламентируемая нормами права деятельность по составлению и рассмотрению проектов бюджетов, а также по контролю за их исполнением называется бюджетным процессом.
Государственный бюджет всегда представляет собой компромисс между основными социально-экономическими группами в стране. Это компромисс между общегосударственными и частными интересами граждан по поводу налогообложения доходов и собственности, между центром и регионами по поводу распределения налогов и субсидий, между интересами отдельных отраслей и фирм в отношении государственных заказов.

Теоретические подходы к бюджету
Несмотря на уменьшение роли государства во многих сферах современной рыночной экономики, оно вынуждено расходовать все большие средства на социальную сферу, науку и культуру. В результате перераспределяемая через госбюджет доля ВВП, резко увеличившаяся в предвоенные и военные годы, т.е. в период социально-политических потрясений, продолжала расти и в послевоенные десятилетия, несмотря на экономическую, социальную и политическую стабилизацию во всех странах с развитой рыночной экономикой.
Огромные государственные расходы на социальную сферу, науку и культуру (в российской статистике их объединяют под названием «социально-культурные мероприятия») вызваны самим характером современного общества, которое становится постиндустриальным (см. 1.1). Быстрый рост науки и научного обслуживания, образования, культуры и искусства, здравоохранения и физической культуры, жилищно-коммунального и бытового обслуживания, социального обеспечения и индустрии отдыха не может быть обеспечен исключительно рынком.
Государство, отказываясь от активной роли в поддержке материального производства, одновременно увеличивает расходы на поддержку указанных отраслей сферы услуг (на социально-культурные мероприятия).
В ряде стран, и развивающихся, и с переходной экономикой, в последнее десятилетие доля государственных расходов по отношению к ВВП снизилась, однако это произошло из-за отказа государства от значительного числа экономических (но не социально-культурных) функций.
Для развитых стран с рыночной экономикой характерно внимание не столько к величине бюджетов, сколько к их сбалансированности и структуре.
Неоклассическое и неолиберальное направления считают целесообразным для страны иметь сбалансированный госбюджет. Ведь несбалансированный бюджет (обычно это бюджет с превышением расходов над доходами, т.е. с дефицитом, а не с превышением доходов над расходами, т.е. с профицитом) усиливает инфляцию. Так, для покрытия дефицита госбюджета государство прибегает или к печатанию денег (что менее характерно для современных условий), или к выпуску государственных займов.
Оба эти способа покрытия дефицита госбюджета обычно ведут к инфляции: высокой в первом случае или более низкой во втором вкупе с другими проблемами (обслуживание государственного долга, удорожание ссудного капитала в стране). Неолиберальный и неоклассический подходы преобладают в последние годы в США и Канаде, правительствам которых удается добиваться профицита бюджета.
Неокейнсианское направление полагает, что сбалансированный госбюджет мешает антициклической и даже антиинфляционной политике. При этом неокейнсианцы исходят из того, что государственные расходы являются важной частью совокупного спроса. Отталкиваясь от этого, они указывают, что в период высокой безработицы и соответствующего падения доходов налоговые поступления в бюджет сокращаются (см. 27.3).
Это подталкивает государство к сокращению расходов для сохранения сбалансированного бюджета или/и к увеличению налоговых ставок, в результате чего совокупный спрос в стране сокращается еще больше (примером может служить Россия в 90-е гг.). В период же избыточного спроса с высокой инфляцией автоматически возрастают налоговые поступления в бюджет, и для уменьшения возможного профицита правительство снижает налоговые ставки или/и увеличибает государственные расходы, что еще больше увеличивает избыточный спрос и соответственно инфляцию. Поэтому неокейнсианцы полагают, что в период спада нужно дать государству возможность увеличивать государственные расходы и снижать налоги для оживления хозяйственной жизни, а в период избыточного спроса нужна сдерживающая политика в виде уменьшения государственных расходов и увеличения налоговых ставок.
И та, и другая политика ведет к несбалансированности бюджета.

Бюджетная система Бюджетной системой называется совокупность бюджетов всех уровней (в России федерального бюджета, бюджетов субъектов Федерации и местных бюджетов, т.е. бюджетов органов местного самоуправления) и государственных внебюджетных фондов.
Государственные внебюджетные фонды это денежные средства государства, имеющие целевое назначение и не включенные в государственный бюджет. Эти средства находятся в распоряжении центральных и территориальных органов власти и концентрируются в специальных фондах, каждый из которых предназначен для определенных нужд. Примерами могут быть российские Пенсионный фонд, Фонд социального страхования, Фонд медицинского страхования, Государственный фонд занятости населения, Фонд социальной поддержки населения.
Внебюджетные фонды создаются в основном в социальных целях и финансируются за счет социальных налогов (см. 27.2) и субсидий из бюджета. Подобные фонды расширяют возможности вмешательства государства в экономику минуя бюджет и, следовательно, парламентский контроль.
Кроме того, за счет государственных внебюджетных фондов можно создать видимость уменьшения дефицита бюджета.
Существуют также целевые бюджетные фонды, являющиеся, в отличие от государственных внебюджетных фондов, составной частью госбюджета. Например, в России это Федеральный дорожный фонд. Фонд воспроизводства минерально-сырьевой базы и др. Как и государственные внебюджетные фонды, они нацелены на то, чтобы целевые налоги шли не в «общий котел» госбюджета, а расходовались строго по назначению на строительство и содержание дорог, геологоразведку и.т.д.
В России в 1998 г. наделю целевых бюджетных фондов приходилось около 5% расходной части консолидированного бюджета. Средства целевых бюджетных фондов хранятся в банках и приносят прибыль для бюджета.
В бюджетной системе стран с федеративным устройством можно выделить три уровня: бюджет центрального (федерального) правительства, бюджеты субъектов федерации (региональные бюджеты) и бюджеты органов местного самоуправления (местные бюджеты). В остальных странах бюджетная система имеет два уровня: бюджет центрального правительства и местные бюджеты.
Через бюджет федерального правительства в России во второй половине 90-х гг. перераспределялось 1014% ВВП, если судить по доходной части федерального бюджета. Расходы превышали доходы и составляли 1520% по отношению к ВВП.
Если сложить вместе бюджет центрального (федерального) правительства и бюджеты территорий, т.е. бюджеты субъектов федерации и местных органов самоуправления, то этот свод бюджетов называется консолидированным бюджетом. В России во второй половине 90-х гг. его доходы составляли 2425% по отношению к ВВП, а расходы 28-34%.
Наконец, если к консолидированному бюджету добавить государственные внебюджетные фонды, то получим так называемый бюджет расширенного правительства. В России во второй половине 90-х гг. его доходы составляли 3334% по отношению к ВВП, а расходы 3743%. Для сравнения укажем, что в середине 90-х гг. в странах Центральной Европы (Чехия, Словакия, Польша, Венгрия, Словения) доходы бюджета расширенного правительства находились на уровне 4548% по отношению к ВВП; в Юго-Восточной Европе (Албания, Болгария, Хорватия, Македония, Румыния) 3138%; в странах Балтии 33%; в Белоруссии 41 43%; в Средний Азии 2022%; в Закавказье 1113%.
Добавим, что иногда бюджет расширенного правительства также называют консолидированным бюджетом.



Концепции переходной экономики


Доходы участников рыночной экономики распределяются по факторам производства (земля, труд, капитал, предпринимательские способности, знания). Рыночная система влечет за собой значительное неравенство в распределении доходов между различными слоями населения. С целью смягчения этого неравенства государство проводит социальную политику, главным содержанием которой является перераспределение доходов между отдельными категориями населения.
1. Доходы и их измерение. Проблема дифференциации доходов
Определение дохода Под доходами населения понимается сумма денежных средств и материальных благ, полученных или произведенных домашними хозяйствами за определенный промежуток времени. Роль доходов определяется тем, что уровень потребления населения прямо зависит от уровня доходов.
Д е н е ж н ы е д о х о д ы н а с е л е н и я включают все поступления денег в виде оплаты труда работающих лиц, доходов от предпринимательской деятельности, пенсий, стипендий, различных пособий, доходов от собственности в виде процентов, дивидендов, ренты (по вкладам, ценным бумагам, недвижимости) от продажи продукции сельского хозяйства и различных изделий, доходов от оказанных на сторону различных услуг, а также страховые возмещения, ссуды, доходы от продажи иностранной валюты и др. Н а т у р а л ь н ы е д о х о д ы включают прежде всего продукцию, произведенную домашними хозяйствами для собственного потребления.

Классификация доходов С о в о к у п н ы е д о х од ы представляют собой общую сумму 1нежных и натуральных доходов по всем источникам их поступления с учетом стоимости бесплатных или льготных услуг, оказываемых за счет социальных фондов.
Н о м и н а л ь н ые д о х о ды характеризуют уровень денежных доходов независимо от налогообложения и изменения цен. Р а с п о л а г а е м ы е д о х о д ы это номинальные доходы за вычетом налогов и других обязательных платежей, т.е. средства, используемые населением на потребление и сбережение. Для измерения динамики располагаемых доходов применяется показатель «реальные располагаемые доходы», рассчитываемый с учетом индекса цен. Р е а л ь н ы е д о х о д ы характеризуют номинальные доходы с учетом изменения розничных цен (и тарифов).
Р е а л ь н ы е р а с п о л а г а е м ы е д е н е ж н ы е д о х о д ы определяются исходя из денежных доходов текущего периода за минусом обязательных платежей и взносов, скорректированных на индекс потребительских цен.
Заработная плата это цена трудовых услуг, предоставляемых наемными работниками разных профессий при реализации их деловой активности. Н о м и н а л ь н а я з а р а б о т н а я п л а т а это сумма денег, полученная работником за определенный промежуток времени (неделю, месяц и т.д.). Р е а л ь н а я з а р а б о т н а я п л а т а это номинальная заработная плата с учетом движения розничных цен (и тарифов).
Так, повышение номинальной заработной платы на 15% приросте уровня розничных цен на 10% дает прирост реальной заработной платы на 5%. Номинальная заработная плата может повыситься, а реальная понизиться, если цены на товары и услуги растут быстрее, чем номинальная заработная плата.
Распределение доходов Функциональное распределение доходов происходит между владельцами факторов производства. Однако в реальной жизни многие из факторных доходов переплетаются (например, участие наемных работников в прибыли предприятия) и перераспределяются (как в случае с социальными трансфертами).
Главными составляющими денежных доходов населения являются оплата труда, доходы от предпринимательской деятельности и собственности, а также социальные трансферты (пенсии, стипендии и т.д.).
При переходе к рыночной экономике в России произошли значительные изменения в структуре денежных доходов населения (табл. 28.1). Формируются и интенсивно развиваются новые формы доходов: от предпринимательства и от собственности (проценты, дивиденды, рента, поступления от продажи ценных бумаг).


Таблица 28.1. Структура денежных доходов населения России в 19901996 гг., % к итогу







Соотношение в денежных доходах населения доли заработной платы и социальных трансфертов играет важную роль в трудовой мотивации. При преобладании оплаты труда в формировании общей суммы доходов обычно развивается предприимчивость, инициатива, тогда как при повышении роли социальных трансфертов нередко усиливается психология иждивенчества.

Дифференциация доходов Различия в уровне доходов на душу населения или на одного занятого называются дифференциацией доходов. Неравенство доходов характерно для всех экономических систем. Наибольший разрыв в уровне доходов отмечался в традиционной системе.
Этот разрыв был больше, чем в эпоху капитализма свободной конкуренции. Затем при переходе к современной рыночной экономике различия в уровне доходов (и имущества) заметно уменьшаются. При переходе от административно-командной к рыночной системе рост дифференциации доходов связан с тем, что часть населения продолжает жить в условиях распадающейся прежней системы и одновременно возникает общественный слой, действующий по законам рыночной экономики.
По мере вовлечения все более широких слоев населения в рыночные отношения размеры неравенства сокращаются.
Для количественной оценки дифференциации доходов применяются различные показатели. Степень неравенства доходов отражает кривая Лоренца ( 28.1), при построении которой по оси абсцисс откладывали доли семей (в % от общего их числа) с соответствующим процентом дохода, а по оси ординат доли доходов рассматриваемых семей (в % от совокупного дохода).










Теоретическая возможность абсолютно равного распределения дохода представлена биссектрисой, которая указывает на то, что любой данный процент семей получает соответствующий процент дохода. Это значит, что если 20, 40, 60% семей получают соответственно 20, 40, 60% от всего дохода, то соответствующие точки будут расположены на биссектрисе. Кривая Лоренца представляет собой кумулятивное распределение численности населения и соответствующих этой численности доходов.
В результате она показывает соотношение процентов всех доходов и процентов всех их получателей. Если бы доходы распределялись равномерно, т.е. 10% получателей имели бы десятую часть доходов, 50% половину и т.д., то такое распределение имело бы вид л и н и и р а в н о м е р н о г о р а с п р е д е л е н и я. Неравномерное распределение характеризуется кривой Лоренца, т.е. л и н и е й ф а к т и ч е с к о го р а с п р е д е л е н и я, отстоящей от прямой тем дальше, чем больше дифференциация.
Например, 20% населения с самыми низкими доходами получили 5% общего дохода, 40% с низкими доходами 15%и т.д.
Заштрихованная область между линией абсолютно равного распределения и кривой Лоренца указывает на степень неравенства доходов: чем больше эта область, тем больше степень неравенства доходов. Если бы фактическое распределение доходов было абсолютно равным, то кривая Лоренца и биссектриса совпали бы.
Кривую Лоренца можно использовать для сравнения распределения доходов в различные периоды времени или между различными группами населения ( 28.2).







28.2. Кривая Лоренца в России (1996 г.)

Одним из наиболее часто употребляемых показателей дифференциации доходов является квинтильный (децильный) коэффициент, выражающий соотношение между средними доходами 20% (10%) наиболее высокооплачиваемых граждан и средними доходами 20% (10%) наименее обеспеченных (табл. 28.2).
Для характеристики распределения совокупного дохода между группами населения применяется индекс концентрации доходов населения (коэффициент Джини). Чем больше этот коэффициент, тем сильнее неравенство, т.е. чем выше степень поляризации общества по уровню доходов, тем коэффициент Джини ближе к 1. При выравнивании доходов в обществе этот показатель стремится к нулю. Коэффициент Джини рассчитывается по формуле:

Концепции переходной экономики


где S нарастающие проценты денежного дохода; (Fi F(il)) доля населения, относящегося к i му интервалу; S(il) , S i -доля суммарного дохода, приходящегося на начало и конец i -го интервала.
Объем доходов каждой интервальной группы определяется на основании кривой распределения населения по размеру среднедушевого дохода путем умножения середины доходного интервала на численность населения в этом интервале.
Для переходной экономики России первой половины 90-х гг. был характерен рост показателей дифференциации доходов.






Таблица 28.2. Распределение доходов населения и уровень дифференциации











2. Государственная политика доходов.


Государственная политика доходов является составной частью социальной политики и направлена на решение двух главных задач: оказание прямой помощи наиболее уязвимым слоям населения через систему социального обеспечения и нейтрализацию инфляционного обесценивания доходов и сбережений населения.
Государственная политика доходов заключается в перераспределении их через госбюджет путем дифференцированного налогообложения различных групп получателей дохода и социальных выплат. При этом значительная доля национального дохода переходит от слоев населения с высокими доходами к слоям с низкими доходами. Ныне все развитые страны мира создали системы социальной поддержки малоимущих.



Экономические агенты. Собственность и доходы


Хозяйственная жизнь общества зиждется на необходимости удовлетворять потребности людей в различных экономических благах. В свою очередь, эти блага производятся на базе экономических ресурсов, которые есть в распоряжении общества и его членов.
1. Экономические потребности и блага У всех людей есть различные потребности. Их можно разделить на две части: духовные и материальные потребности. Хотя это деление условно (так, трудно сказать, к духовным или материальным потребностям относится потребность человека в знаниях), однако в большей части оно возможно.

Понятие экономических потребностей и благ Материальные потребности можно назвать экономическими потребностями. Они выражаются в том, что мы хотим различных экономических благ. В свою очередь, экономические блага это материальные и нематериальные предметы, точнее, свойства этих предметов, способные удовлетворять экономические потребности.
Экономические потребности одна из основополагающих категорий в экономической теории.
На заре человечества люди удовлетворяли экономические потребности за счет готовых благ природы. В дальнейшем абсолютное большинство потребностей стало удовлетворяться за счет производства благ. В рыночной экономике, где экономические блага продаются и покупаются, их называют товарами и услугами (часто просто товарами, продуктами, продукцией).
Человечество устроено так, что его экономические потребности обычно превышают возможности производства благ. Говорят даже о законе (принципе) возвышения потребностей, который означает, что потребности растут быстрее производства благ. Во многом это происходит потому, что по мере удовлетворения одних потребностей у нас тут же возникают другие.
Так, в традиционном обществе большинство его членов испытывает потребности прежде всего в продуктах первой необходимости. Это потребности преимущественно в пище, одежде, жилье, простейших услугах. Однако еще в ХIХ в. прусский статистик Эрнест Энгель доказал, что существует прямая связь между типом покупаемых товаров и услуг и уровнем дохода потребителей. Согласно его утверждениям, подтвержденным практикой, с увеличением абсолютного размера дохода доля, расходуемая на товары и услуги первой необходимости, уменьшается, а доля расходов на менее необходимые продукты увеличивается. Самая первая потребность, притом ежедневная, это потребность в пище.
Поэтому закон Энгеля находит выражение в том, что с ростом доходов уменьшается их доля, идущая на покупку продовольствия, и увеличивается та часть доходов, которая расходуется на приобретение других товаров (особенно услуг), являющихся продуктами не первой необходимости.
В конечном счете мы приходим к выводу, что если рост экономических потребностей постоянно обгоняет производство экономических благ, то эти потребности до конца неутолимы, безграничны.
Другой вывод экономические блага ограниченны (редки, по терминологии экономической теории), т.е. меньше потребностей в них. Это ограничение связано с тем, что производство экономических благ сталкивается с ограниченностью запасов многих природных ресурсов, частой нехваткой рабочей силы (особенно квалифицированной), недостаточностью производственных мощностей и финансов, случаями плохой организации производства, отсутствием технологий и других знаний для производства того или иного блага. Говоря по-другому, производство экономических благ отстает от экономических потребностей из-за ограниченности экономических ресурсов.

2. Экономические ресурсы
Понятие экономических ресурсов Под экономическими ресурсами понимаются все виды ресурсов, используемых в процессе производства товаров и услуг. В сущности, это те блага, которые используются для производства других благ. Поэтому их нередко называют производственными ресурсами, производственными факторами, факторами производства, факторами экономического роста.
В свою очередь, остальные блага называют потребительскими благами.

Виды экономических ресурсов К экономическим ресурсам относятся:
природные ресурсы (земля, недра, водные, лесные и биологические, климатические и рекреационные ресурсы), сокращенно земля;
трудовые ресурсы (люди с их способностью производить товары и услуги), сокращенно труд;
капитал (в форме денег, т.е. денежный капитал, или средств производства, т.е. реальный капитал);
предпринимательские способности (способности людей к организации производства товаров и услуг), сокращенно предпринимательство;
знания, необходимые для хозяйственной жизни.
Еще Аристотель, а вслед за ним и средневековые мыслители считали труд одним из основных экономических ресурсов. Подобный подход разделяла и первая экономическая школа в мире меркантилизм. Школа физиократов особое значение приписывала земле как экономическому ресурсу. Адам Смит рассматривал такие экономические ресурсы, как труд, земля и капитал. Однако наиболее четко теорию трех факторов производства сформулировал французский экономист Жан Батист Сэй (17671832).
Английский экономист Альфред Маршалл (18421924) предложил добавить четвертый фактор предпринимательские способности. Многие современные экономисты склонны полагать, что сейчас по значимости в качестве фактора экономического роста на первое место вышел фактор «знания», называя его по-разному технология, научно-технический прогресс, наука, информация.

Безграничность потребностей и ограниченность экономических ресурсов как основа экономической теории.
Как уже отмечалось выше, в жизни мы часто сталкиваемся с тем, что экономические ресурсы ограничены. Также подчеркивалось, что экономические потребности безграничны.
Это сочетание двух типичных для хозяйственной жизни ситуаций безграничность потребностей и ограниченность ресурсов образует основу всей экономики, экономической теории. В сущности, это наука, «изучающая, каким образом общество с ограниченными, дефицитными ресурсами решает, что, как и для кого производить»',


' Цит. по: Фишер С., Дорнбуш Р., Шмолензи Р. Экономика / Пер. с англ. М., 1997. С. 1.


или, говоря по-другому, она «исследует проблемы эффективного использования ограниченных производственных ресурсов или управления ими с целью достижения максимального удовлетворения материальных потребностей человека»2


2 Цит. по: Макконнелл К.Р., Брю С.Л. Экономикс / Пер. с англ. В 2 т. М., 1992.
Т. 1. С. 18.

Свести только к этому современную экономическую теорию .нельзя. Однако противоречие между безграничностью потребностей и ограниченностью ресурсов образует ту ось, вокруг которой вращается хозяйственная жизнь, и стержень экономики как науки. Домохозяйству, фирме, всей национальной экономике приходится постоянно делать выбор, на покупку или производство каких благ следует потратить свои ресурсы, которые почти всег да ограниченны.

Переплетение, мобильность и взаимозаменяемость экономических ресурсов
Ресурсы взаимопереплетены. Например, такой экономический ресурс, как знания, используется, когда природные ресурсы стремятся потребить более рационально на основе новых знаний (научных достижений). Знания являются важным элементом такого ресурса, как труд, когда его оценивают с качественной стороны и обращают внимание на квалификацию работников, которая зависит прежде всего от полученного ими образования (знаний). Знания (прежде всего технологические) обеспечивают повышение уровня использования оборудования, т.е. реального капитала.
Наконец, они (особенно управленческие знания) позволяют предпринимателям организовывать производство товаров и услуг наиболее рационально.
Экономические ресурсы мобильны (подвижны), так как могут перемещаться в пространстве (внутри страны, между странами), хотя степень их мобильности различна. Наименее мобильны природные ресурсы, подвижность многих из которых близка к нулю (землю трудно переместить из одного места в другое, хотя и возможно). Более подвижны трудовые ресурсы, что видно из внутренней и внешней миграции рабочей силы в мире в заметных размерах (см. гл. 36). Еще более мобильны предпринимательские способности, хотя часто они перемещаются не сами по себе, а вместе с трудовыми ресурсами или/и капиталом (это связано с тем, что носителями предпринимательских способностей являются или наемные управляющие, или владельцы капитала).
Наиболее мобильны два последних ресурса капитал (особенно денежный) и знания.
Переплетение ресурсов и их мобильность отчасти отражают их другое свойство взаимозаменяемость (альтернативность). Если фермеру нужно увеличить производство зерна, то он может сделать это так: расширить посевные площади (использовать дополнительные природные ресурсы), или нанять дополнительных работников (увеличить использование труда), или расширить свой парк техники и инвентаря (увеличить свой капитал), или улучшить организацию труда на ферме (шире использовать свои предпринимательские способности), или, наконец, использовать новые виды семян (применить новые знания). У фермера есть подобный выбор потому, что экономические ресурсы взаимозаменяемы (альтернативны).
Обычно эта взаимозаменяемость не бывает полной. Например, человеческие ресурсы не могут полностью заменить капитал, иначе работники останутся без оборудования и инвентаря. Экономические ресурсы заменяют друг друга вначале легко, а потом все труднее.
Так, при неизменном числе тракторов можно увеличить число работников на ферме, обязав их работать в две смены. Однако нанять еще работников и организовать систематическую работу в три смены будет очень сложно, разве что резко увеличив им заработную плату,



Экономическая политика в переходной экономике


Необходимость перехода от административно-командной экономики к современной рыночной была обусловлена нараставшей недееспособностью нетоварной экономики по мере исчерпания экстенсивных факторов экономического роста. Административно-командная система имеет два существенных недостатка. Первый это ее негибкость, медленная адаптация к переменам. Адаптационные механизмы в форме происходящего по решению высшего руководства перераспределения материальных и финансовых ресурсов включаются лишь тогда, когда глубина диспропорций близка к критической точке.
Второй недостаток это крайне низкая производительность вследствие тотального подавления хозяйственной инициативы.
1. Содержание и закономерности переходной экономики Переход от административно-командной к рыночной экономике в разных странах имеет общие тенденции. Этот процесс включает либерализацию экономики, глубокие институциональные изменения (прежде всего в отношениях собственности), структурные преобразования, но в то же время обычно предполагает осуществление финансовых стабилизационных мер (преимущественно в денежно-кредитной и финансовой сферах, особенно в ценообразовании для уменьшения нестабильности хозяйственной и социальной ситуации).
Содержанием переходной экономики является преобразование всей системы экономических отношений, а не реформирование ее отдельных элементов или корректировку экономической политики.

Понятие и сущность переходного периода
Под переходным периодом понимается исторически непродолжительный срок (но не менее одного десятилетия), во время которого происходит ликвидация или коренное преобразование административно-командной системы и формируется основа рыночной системы. Напомним, что понятие «основа экономической системы» (в данном случае рыночной) означает установившиеся и сравнительно стабильные формы хозяйственных связей между экономическими агентами, а также преобладающую в данной системе форму собственности.
Поскольку преобразование административно-командной системы означает изменение основы этой системы и замену ее качественно иной (рыночной), то такого рода трансформацию следует называть системными реформами.

Сферы системных реформ Главными направлениями формирования рыночной экономики в переходный период являются следующие.
1. Л и б е р а л и з а ц и я э к о н о м и к и это система мер, направленных на отмену или резкое сокращение запретов и ограничений, а также государственного контроля во всех сферах хозяйственной жизни. Она имеет повсеместное распространение и включает: отмену государственной монополии на осуществление хозяйственной деятельности (в том числе внешней торговли), прекращение централизованного распределения ресурсов, переход к формированию цен в основном в соответствии со спросом и предложением, снижение государственного контроля над транзакционными операциями на внутреннем и внешнем рынках.
2. Д е м о н о п о л и з а ц и я э к о н о м и к и и с о з д а н и е к о н к у р е н т н о й с р е д ы , предполагающие создание равных возможностей и условий для деловой активности всех экономических агентов, обеспечение доступа на рынок иностранных конкурентов, поощрение малого бизнеса и снижение барьеров для проникновения в отрасль (путем снятия административных препятствий, предоставления льготных кредитов), регулирование ценовой и сбытовой политики естественных монополий, в отдельных случаях раздробление крупных фирм.
3. И н с т и т у ц и о н а л ь н ы е п р е о б р а з о в а н и я, включающие изменения отношений собственности (создание частного сектора), формирование рыночной инфраструктуры (коммерческих банков, товарных и фондовых бирж, инвестиционных фондов и т.д.), создание новой системы государственного регулирования экономики, принятие адекватного рыночным условиям хозяйственного законодательства.
4. С т р у к т у р н ы е п р е о б р а з о в а н и я, направленные в первую очередь на устранение или смягчение унаследованных от прежней системы диспропорций в отраслевой структуре народного хозяйства и отдельных его отраслей. Главная цель перестройки структуры экономики развитие производства продукции, пользующейся платежеспособным спросом на внутреннем и внешнем рынках.
5. М а к р о э к о н о м и ч е с к а я с т а б и л и з а ц и я (в основном финансовая). Строго говоря, она не входит в число системных реформ, так как осуществляется нередко и в странах с устоявшейся рыночной экономикой. Важное значение этого направления вытекает из того, что кризис административно-командной системы раньше и сильнее всего проявляется в финансовой сфере, особенно в форме высокой инфляции.
Длительное сохранение последней препятствует нормальному становлению рыночных отношений, поэтому подавление инфляции жизненно важно для переходных экономик. В систему мер макроэкономической стабилизации входят ограничение денежной эмиссии, минимизация дефицита госбюджета, обеспечение положительной процентной ставки и т.д.
6. Ф о р м и р о в а н и е а д е к в а т н о й р ы н о ч н о м у х о з я й с т в у с и с т е м ы с о ц и а л ь н о й з а щ и т ы н а с е л е н и я. Эта система мер направлена на переход к адресной социальной поддержке наиболее нуждающихся слоев населения.
Завершение формирования этих основных элементов рыночной системы и означает окончание переходного периода.
2. Варианты системных реформ в переходной экономике Важное значение для хода и результатов реформ в странах с переходной экономикой имеют исходные условия.

Роль исходных условий В успехе преобразований большую роль играют исходные условия (на начало реформ). К ним относятся:
длительность существования административно-командной системы;
доля частного сектора в экономике;
размер структурных диспропорций и уровень милитаризации народного хозяйства;
уровень внутреннего и внешнего макроэкономического равновесия (в частности, размеры инфляции, внешнего долга и др.);
трудовая этика населения и преобладающий хозяйственный менталитет;
открытость экономики и общества по отношению к странам с рыночной системой и др.
Группы стран с переходной экономикой
В процессе перехода от административно-командной к рыночной экономике сформировались примерно три группы стран.
П е р в а я г р у п п а включает страны, где темпы продвижения к рыночной системе наиболее значительны (Польша, Венгрия, Чехия, Словакия, Словения, страны Балтии). Сравнительно быстрое и успешное продвижение к рыночной экономике обусловлено рядом факторов: существованием основ рыночной экономики до поворота к административно-командной системе, тесными экономическими и историческими связями с Западной Европой, относительной сбалансированностью структуры народного хозяйства или небольшим объемом диспропорций, консенсусом всех слоев населения в отношении необходимости перехода к рыночной системе.
В т о р а я г р у п п а включает страны, где переход к рыночной экономике оказался сопряженным с немалыми трудностями и осуществляется гораздо медленнее, чем в странах первой группы (Россия, другие страны члены СНГ, Болгария, Румыния, Югославия, Албания, Монголия). Здесь не было устойчивой традиции рыночной экономики, а формирование административно-командной системы нередко происходило на базе традиционной системы. Затрудняют продвижение к рынку и такие факторы, как наличие глубоких диспропорций в структуре экономики, наличие сильных уравнительных тенденций и отсутствие в обществе консенсуса по вопросу о характере преобразований, относительная изолированность от развитых стран, а нередко и военные конфликты на их территории.
Т р е т ь ю г р у п п у составляют страны Восточной Азии (Китай и Вьетнам), где господство административно-командной системы было кратковременным и переход к рыночной экономике начался на основе традиционной патриархальной системы при крайне слаборазвитой промышленности и, следовательно, отсутствии серьезных диспропорций, а также при сохранении авторитарной политической власти, в условиях благоприятного для развития рыночных отношений хозяйственного менталитета населения.
В этих странах действовал рад факторов, облегчавших рыночные реформы. Здесь переход от коллективных хозяйств к мелким частным был легко осуществим, так как основой сельского хозяйства оставался ручной труд. Тяжелая промышленность и военно-промышленный комплекс составляли сравнительно небольшую долю в экономике этих стран, что облегчило переориентацию их промышленности на нужды потребительского рынка.
Господство плановой экономики в этом регионе продолжалось 2530 лет (против 40 лет в Восточной Европе и 70 лет в бывшем СССР). Немалое значение имели традиционно высокая трудовая этика населения, сохранившаяся склонность к предпринимательству. Наконец, заметную роль сыграла китайская и вьетнамская диаспора с ее капиталом, кадрами и предпринимательским опытом.
Некоторые экономисты предпочитают относить Китай и Вьетнам не к переходным (постсоциалистическим), а к посттоталитарным странам на том основании, что в них официально не ставится задача перехода к рыночной экономике западного типа с преобладанием частной собственности. В этих странах рыночные отношения развиваются преимущественно в сельском хозяйстве, торговле, услугах, ремесле, тогда как крупная промышленность остается в государственной собственности. Многие (в том числе международные организации) относят эти страны к развивающимся.



Перестройка отношений собственности


В переходной экономике по сравнению с административно-командной системой происходит коренное изменение роли государства. Отказ от прежнего всевластия государства сопровождается превращением его в одного из участников хозяйственной деятельности. В то же время, поскольку рынок еще не стал целостной системой, а стихийное действие рыночных механизмов не всегда приводит к повышению экономической эффективности, в переходный период существенную роль в проведении преобразований играет экономическая политика государства.
1. Функции государства. Направления и средства государственного регулирования в переходной экономике В переходный период государство изменяет свое положение в экономике и обретает новые функции.

Роль государственного регулирования экономики Система государственного регулирования в переходной экономике характеризуется двумя определяющими тенденциями. Во-первых, происходит либерализация экономики, которая сводится к отказу государства от монополии на ведение тех или иных видов хозяйственной деятельности. Во-вторых, совершается переход от преимущественно административных методов государственного регулирования (путем предписаний, запретов, ограничений) к экономическим (через денежно-кредитную и бюджетно-налоговую системы).
В переходной экономике роль государственного регулирования в целом выше, чем в развитом рыночном хозяйстве. Это обусловлено следующими причинами. Прежде всего, переход от административно-командной системы к рыночной не происходит автоматически, особенно в странах, находящихся на этапе индустриального общества. Государство должно активно участвовать в формировании рыночных институтов, особенно в выработке правил хозяйственной деятельности и контролировать их выполнение.
Далее, в переходной экономике рынок не сразу становится главным регулятором хозяйственной деятельности, поэтому государству приходится активно вмешиваться в экономические процессы.

Функции государственного регулирования экономики
В переходной экономике преобладают две группы регулирующих функций государства.
Первая группа включает функции, которые обычно выполняет государство в современной рыночной системе:
обеспечение институционально-правовой основы деятельности экономических агентов (определение прав и форм собственности, условий заключения и выполнения контрактов, отношений работников и работодателей и т.д.);
ликвидация или компенсация негативных эффектов рыночного поведения (государство занимается вопросами охраны окружающей среды, в ряде случаев организацией фундаментальных научных исследований, государственной системы образования и медицинского обслуживания и т.д.);
поддержание нормального функционирования национальной экономики (обеспечение условий долгосрочного экономического роста, сглаживание циклических колебаний, структурная перестройка т.д.).
Вторая группа включает функции, связанные с формированием рыночных отношений:
разработка хозяйственного законодательства, адекватного условиям рыночной экономики;
демонополизация и поощрение конкуренции;
приватизация государственной собственности и поощрение частного сектора.
Кроме того, в течение определенного периода государство вынуждено брать на себя отдельные функции, которые в развитой рыночной системе обычно выполняют другие экономические агенты (мобилизация финансовых ресурсов для инвестиций и др.).

Средства государственного регулирования экономики Регулирующие функции государства осуществляются посредством административных и экономических средств. В начале переходного периода происходит разрушение или трансформация системы административно-командных средств управления: отменяются или сокращаются поставки по централизованным планам; предприятиям предоставляется свобода в установлении цен, выборе поставщиков и покупателей; ликвидируется государственная монополия внешней торговли.
Однако административные средства продолжают применяться в ряде областей. Во-первых, государство на начальном этапе перехода к рынку зачастую сохраняет административный контроль над ценами и тарифами на социально значимые товары и услуги. Во-вторых, административные методы регулирования используются как средство антимонопольной политики (государство вмешивается в деятельность естественных монополий, включая установление цен на их товары и услуги).
В-третьих, административные средства применяются для регулирования внешнеэкономической деятельности (количественные ограничения и лицензирование экспорта и импорта).
По мере усиления рыночных механизмов возрастает значение денежно-кредитной и бюджетно-налоговой политики и присущих им методов регулирования экономики.

Институты государственного регулирования переходной экономики В переходной экономике происходит трансформация институтов государственного регулирования. Государство отходит от непосредственного вмешательства в хозяйственную деятельность предприятий, что влечет за собой ограничение функций и постепенную ликвидацию отраслевых органов управления министерств и ведомств. Директивное планирование трансформируется в социально-экономическое прогнозирование.
Бюджетное и налоговое регулирование становится прерогативой парламента. Центральный банк осуществляет денежно-кредитное регулирование, Возникают специфические для переходного периода институты ведомства по приватизации и антимонопольному регулированию.
2. Стабилизационная и структурная политика Переходный период почти во всех странах начинался с системного кризиса, проявлениями которого на макроэкономическом уровне были:
1) инфляция, подрывающая стимулы к производственной деятельности;
2) трансформационный спад, глубина которого зависит от величины накопившихся в структуре экономики диспропорций, устанавливаемых в ходе макроэкономической стабилизации ограничений платежеспособного спроса;
3) снижение накоплений и инвестиционной активности, которые становятся невыгодными при высокой инфляции.


Понятие стабилизационной политики Стабилизационная политика направлена на восстановление и поддержание макроэкономического равновесия на уровне, близком к полному использованию факторов производства в условиях стабильного уровня цен.
Эта политика обычно связана с воздействием на совокупный спрос как более динамичный компонент макроэкономического равновесия, регулируя который, можно достаточно быстро вернуть экономику к полной занятости и обеспечить равновесие, по крайней мере, в краткосрочном периоде. Такое воздействие осуществляется с помощью инструментов денежно-кредитной и бюджетно-налоговой политики.

Проблема макроэкономической стабилизации в переходный период Страны с переходной экономикой в самом начале преобразований сталкиваются с проблемой подавления (в ряде стран недопущения) высокой инфляции. Подавление инфляции, укрепление денежной единицы и достижение устойчивости валютного курса называют макроэкономической, или финансовой, стабилизацией. Ее центральный элемент борьба с инфляцией. Показателем успеха стабилизационных мер в этой области считается снижение ежегодного прироста индекса потребительских цен до 30% и ниже.
Для проведения эффективной стабилизационной политики необходимо понимание специфики инфляции в переходный период, которая находится под влиянием как монетарных, так и немонетарных факторов (см. гл. 22).

Монетарный подход к финансовой стабилизации В соответствии с монетарным подходом темпы инфляции прямо пропорциональны темпам прироста денежной массы, темпам увеличения скорости денежного обращения и обратно пропорциональны темпам прироста объема продукции реального сектора.
Повышение темпов прироста денежной массы приводит к соответствующему повышение темпов инфляции, в то время как их снижение вызывает обратный эффект. В качестве показателя инфляции в странах с переходной экономикой обычно используется рост индекса потребительских цен.
Рост денежной массы влияет на инфляцию через определенные временные промежутки лаги, в течение которых изменения объемов денежной массы вызывают изменения в темпах прироста цен.

Немонетарный подход к финансовой стабилизации Согласно немонетарному подходу на инфляцию в переходной экономике влияют многочисленные факторы, находящиеся за пределами сферы денежного обращения.
Во-первых, с т р у к т у р н ы й ф а к т о р, т.е. значительные диспропорции в развитии отдельных отраслей экономики, которые быстро не могут быть устранены, а поэтому нехватка тех или иных товаров и услуг долго подталкивает цены в сторону повышения. Еще одним проявлением этого, например, в тяжелой промышленности с длительным производственным циклом, является инерционность экономики, в силу чего производство не способно быстро реагировать на изменения спроса и обмена денежной массы. Поэтому даже жесткая финансовая политика не может в короткое время устранить неравновесие между спросом и предложением.
Во-вторых, м о н о п о л и с т и ч е ск и й ф а к т о р, который в специфических условиях России усугубляется огромной ролью естественных монополий (топливно-энергетический комплекс и транспорт).
В-третьих, и н с т и т у ц и о на л ь н ы й ф а к т о р, связывающий инфляцию с особенностями правовых и организационных условий функционирования экономических агентов. Действие



Частное и государственное предприятие в переходной экономике


Преобразование отношений собственности магистральное направление экономической трансформации в странах с переходной экономикой. Оно идет различными путями в трех группах стран (см. 29.2).
В п е р в о й и в т о р о й г р у п п а х стран (к ним относятся бывшие советские республики и социалистические страны Восточной Европы, ранее входившие в Совет Экономической Взаимопомощи), осуществляющих более или менее быстрый переход от планового хозяйства и авторитаризма к рыночной экономике и политической демократии, гласным направлением является приватизация государственной собственности. Различают м а л у ю и б о л ь ш у ю приватизацию. Различия состоят в том, что в первом случае создаются индивидуальные частные предприятия, мелкие кооперативы или небольшие хозяйственные товарищества и общества с ограниченной ответственностью, во втором акционерные общества, акции которых чаще всего имеют хождение на фондовой бирже.
В с т р а н а х т р е т ь е й г р у п п ы (КНР и Вьетнам), взявших курс на длительный, постепенный переход рыночному хозяйству через «социалистическое смешанное хозяйство» при сохранении политической диктатуры коммунистической партии, преобразование отношений собственности идет главным образом по пути создания частного сектора при активном привлечении иностранного капитала, без приватизации государственной собственности. При этом государственные предприятия все более широко используют рыночные методы хозяйствования.
С точки зрения изменений в структуре собственности к этой группе стран можно отнести и бывшие республики СФРЮ, где после реформ, проведенных президентом И. Броз Тито (1958 1965 гг.), сложилась специфическая форма рыночного хозяйства на базе групповой собственности производственных коллективов (формально она называется «общественной»). Она не может быть приватизирована на основе решений государства, ибо не принадлежит ему. Подлежащих приватизации государственных предприятий здесь сравнительно немного.
В целом экономическая трансформация этих стран движется в направлении рыночного хозяйства западного типа с имманентным ему набором форм собственности.

Интенсивность приватизации в странах с переходной экономикой
По пути приватизации различные страны с переходной экономикой прошли неодинаковые отрезки. Об этом свидетельствует доля негосударственного сектора, т.е. частных предприятий и предприятий со смешанной собственностью, в производстве ВВП, % (данные за 1996 г.):

Страны Доля негосударственного
сектора вВВП(%)
.
Азербайджан ....…………………25
Албания........... …………………….75
Армения.......... ……………………..50
Белоруссия........ ……………………15
Болгария.......... ………………..……45
Венгрия.........……………………….70
Грузия..........……………………..…50
Казахстан......……………………….40
Киргизия.......……………………….50
Латвия........... ………………………60
Литва..........………………………….65
Молдавия......………………………..40
Польша..........………………………..60
Россия...........……… ……………… 60
Румыния.........…………… ………… 60
Словакия................. …………… ….70
Словения................. …… … …… ….45
Таджикистан............... …… ……….20
Узбекистан ..............…………………40
Украина......………………………….40
Хорватия .....…………………………50
Чехия........……………………………75
Эстония.....……………………………70


Во всех указанных странах после 1996 г. эта доля несколько повысилась.
Такой разброс показателей объясняется различиями социально-экономических и политических структур. При этом те страны, которые дальше продвинулись по пути демократии, добились и большего прогресса в приватизации.

Общие тенденции, проблемы и противоречия приватизации В ходе приватизации во всех странах с переходной экономикой проявились примерно одинаковые важнейшие тенденции, проблемы и противоречия. Среди них выделим следующие.
1. Приватизация в первую очередь охватила промышленность и сферу услуг, торговлю и общественное питание. При этом использовались схожие методы приватизации. Мелкие предприятия переходили в частные руки путем их продажи на аукционах или по конкурсу.
Крупные предприятия передавались приватизационным ведомствам, которые осуществляли их разгосударствление путем акционирования. Акции таких предприятий частично (но не во всех странах) передавались коллективам предприятий, а оставшаяся часть приобреталась частными (юридическими и физическими) лицами на аукционах или по конкурсу. Вместе с тем в конкретных формах и методах приватизации было и много различий.
2. В большинстве стран первой и второй группы новые правящие элиты в начале 90-х гг., на старте рыночной трансформации, полагали, что путем быстрой ликвидации госсобственности и передачи в частные руки можно быстро решить важнейшие экономические и социальные проблемы. Однако к середине 90-х гг. стало очевидным, что такой подход оказался ошибочным. Все эти страны оказались в состоянии кризиса.
До сих пор только Польше и Словении удалось достичь и превзойти уровень производства ВВП 1989 г., а Чехия, Словакия и Венгрия лишь приблизились к этому уровню.
Вследствие таких обстоятельств во всех указанных странах стали исходить из того, что дальнейшая приватизация должна быть проведена поэтапно, в течение 510 лет и более. При этом должны быть решены те проблемы, которые не удалось решить на начальном этапе приватизации и которые обусловили ее неэффективность: привлечение «эффективных инвесторов» и реальное накопление капитала, коренное улучшение менеджмента, формирование конкурентной среды и благоприятных для частных фирм общих условий хозяйствования.
3. Практически все страны считали, что к приватизации удастся быстро привлечь большие объемы иностранного капитала в форме прямых инвестиций. Именно иностранному капиталу отводилась роль «мотора» приватизации. Однако и эти расчеты потерпели провал.
Поэтому к середине 90-х гг. большинство стран перешло к разработке стратегических долговременных программ по привлечению иностранных прямых инвестиций.
4. Малая приватизация оказалась в институциональном и организационном аспектах не слишком сложной проблемой и прошла в большинстве стран довольно быстро. Пожалуй, единственной проблемой, значительно ее осложнившей, была р е с т и т у ц и я, т.е. возвращение хозяйственных объектов лицам, которые ими владели ранее (до социалистической революции), или их наследникам. К «счастью» для России и других стран членов СНГ они не были серьезно обременены этой проблемой, ибо Октябрьская революция, экспроприировавшая частную собственность, произошла еще в 1917 г. В других же странах эта проблема стояла достаточно остро и породила сложные общественные коллизии.
Так, в сельском хозяйстве Болгарии многолетнее «перетягивание каната» между отдельными крестьянами за возвращение им только их прежних (а не других, равноценных) участков нанесло тяжелый удар по аграрному производству важнейшему сектору национальной экономики этой страны. Напротив, в тех странах, например, в Венгрии, где власти придерживались принципа приоритета равноценной компенсации перед собственно реституцией, эта проблема была решена более или менее безболезненно.
5. Гораздо более сложной и медленной, как и следовало ожидать, во всех странах стала большая приватизация, которая все еще далека от завершения. Она оказалась сопряженной с целым рядом сложных проблем. Так, ни в одной стране не удалось гармонично увязать экономическую рациональность и эффективность приватизации с ее социальной справедливостью.
В этой связи наиболее показательно сравнение приватизации в Чехии и Польше.

Чешский путь приватизации Наиболее справедливым и взвешенным в социальном отношении, безусловно, оказался чехословацкий путь купонной приватизации, который начал применяться с 1991 г. (после разделения бывшей ЧСФР с 1 января 1993 г. на Чешскую и Словацкую Республики он последовательно претворялся в жизнь только в первой).
Все совершеннолетние граждане ЧСФР получили за административную пошлину в 1035 крон (тогда около 40 долл.) именные, не подлежащие свободной купле-продаже купонные книжки. Их владельцы имели возможность стать (как правило, через специально созданные инвестиционные фонды) обладателями солидных пакетов акций стоимостью (при удачном использовании книжек) до 70 000 крон. Купонная приватизация обеспечила довольно широкое «рассеивание» собственности среди различных слоев граждан, формирование значительного среднего класса как социальной опоры процессов рыночной трансформации и позволила избежать сколь-нибудь заметной криминализации большой приватизации.
Вместе с тем, бесплатный характер распределения купонных книжек привел к тому, что в Чехии и Словакии приватизация не сопровождалась реальным накоплением капитала. В результате этого большинство крупных приватизированных предприятий, нуждавшихся с переходом на рельсы рыночной экономики в срочном санировании и модернизации, оказались без достаточных средств для этого (в убыточном состоянии). Во многом вследствие этих обстоятельств после достижения позитивных макроэкономических результатов Чехией в 19941996 гг. ее экономическое положение с 1997 г. осложнилось.

Польский путь приватизации С точки зрения экономической эффективности приватизации наиболее удачным, пожалуй, оказался опыт Польши. Из 8000 предприятий, предназначавшихся к началу 90-х гг. для большой приватизации, первоначально были переданы на возмездной основе в частные руки (в значительной части иностранным инвесторам) только 1150 из них. Другие 5000 объектов были превращены в принадлежащие приватизационному ведомству предприятия, которые должны были провести исключительно своими силами, т.е. без финансовой помощи государства, собственное санирование (кредиты для этого они могли получать только на обычной коммерческой, возвратной и платной, основе), добиться самоокупаемости и рентабельности и тем самым подготовить себя к последующей приватизации уже на выгодной для государства и производственных коллективов основе.
Остальные 1850 объектов, наиболее слабых в финансово-экономическом отношении и поэтому бесперспективных, были сразу же закрыты.



Сущность и главные тенденции мировой экономики


К концу 90-х гг. большинство стран с переходной экономикой располагали уже десятилетним опытом рыночной трансформации. Этот срок оказался в целом достаточным для решения такой основополагающей задачи, как устранение монополии государственной собственности и развитие предпринимательства на базе частной и смешанной собственности. 1. Предприятие в условиях перехода к рынку
Проблемы крупных предприятий Практические результаты трансформации, прежде всего в реальном секторе, не позволяют говорить о завершенности реформ и необратимости перехода экономики к рыночным принципам функционирования. Предприятия многих отраслей, особенно крупные, даже после акционирования и приватизации не смогли адаптироваться к требованиям рыночной экономики: они экономически неэффективны, сохраняют избыточную занятость, дорогую социальную инфраструктуру и при этом остаются монополистами на соответствующих сегментах рынка.
Большинство бывших социалистических промышленных гигантов оказались в чрезвычайно сложном финансово-экономическом положении, генерируют и умножают взаимную задолженность, невозврат кредитов, не могут платить налоги и взносы в социальные фонды. Так, в России в конце 90-х гг. более половины промышленных предприятий, а в некоторых отраслях и еще больше были убыточными. В Болгарии в первые годы реформ убыточными были до 60% предприятий.
В Венгрии серьезные финансовые трудности испытывали 3040% предприятий, причем наделю предприятий потенциальных банкротов приходилось до 25% объемов производства и 16% работников промышленности. В Китае в середине 90-х гг. убыточными были около половины крупных и средних государственных предприятий, а треть были фактическими банкротами.
Более того, трудно трансформируемые крупные предприятия консервировали те структурные диспропорции, которые как раз и явились главной причиной глубочайшего кризиса переходной экономики. Деградирующие крупные предприятия, составлявшие некогда основу национальной промышленности стран с переходной экономикой, стояли перед угрозой утраты наиболее ценных элементов накопленного производственного и научно-технического потенциала, интеллектуальных ценностей и даже здоровых, но плохо управляемых активов.
Столь негативные тенденции в реальном секторе заставили пересмотреть и уточнить ряд принципиальных положений экономической политики рыночного перехода, казавшихся бесспорными в начале системных реформ. Прежде всего подверглись корректировке первоначальные представления о роли и соотношении государственного и частного секторов экономики, перспективах и особенностях государственных и частных предприятий.
Реальное влияние приватизации, проведенной во всех восточноевропейских странах и большинстве стран членов СНГ, на реформирование общественных отношений и экономики сильно отличалось от первоначальных концепций и ожидаемых результатов. Главный вывод, к которому подводит десятилетний опыт реформирования отношений собственности, заключается в том, что смена лишь формы собственности и правового статуса сама по себе не приводит к росту эффективности работы предприятий. А учитывая опыт Китая, где не торопились с приватизацией крупных предприятий, можно добавить, что на финансовое положение субъектов реального сектора экономики определяющее воздействие оказывает общая макроэкономическая ситуация, а не форма собственности.

Условия рыночной адаптации предприятий
Эффективное функционирование предприятий должно опираться на создание вполне определенных предпосылок. При этом акционирование предприятий и их последующая приватизация являются далеко не единственным условием эффективной рыночной адаптации. Помимо этого необходимо:
формирование механизмов эффективного современного управления предприятиями;
проведение организационной, производственной и финансовой реструктуризации предприятий (см. 32.4);
привлечение стратегических инвесторов (национальных или иностранных), способных принести с собой не только капитал, но и управленческий опыт, а также помочь выйти на новые рынки;
запуск необходимых инвестиционных проектов;
создание необходимых структур и институтов эффективного накопления и перелива капитала (организационных, правовых, инвестиционных), т.е. формирование рынка капиталов.
Создание указанных условий означает, что становление системы эффективно функционирующих предприятий государственной, частной и смешанной форм собственности как основы рыночной экономики является сложным и относительно длительным процессом. Этот процесс в странах с переходной экономикой предполагает три главных направления.
1. Преобразование традиционных государственных предприятий в акционерные и иные общества с разделением функций собственности и управления (корпоратизация), осуществляемое, как правило, довольно быстро.
2. Проведение приватизации, т.е. первичное закрепление и последующее перераспределение прав собственности за юридическими и физическими лицами, требующее более длительного времени и соответствующего законодательного обеспечения этих прав.
3. Формирование параллельно с преобразованием государственных предприятий частных предприятий на собственной основе, т.е. за счет капитализации сбережений граждан, а также средств негосударственных предприятий и организаций.
В переходной экономике влияние формы собственности на эффективность деятельности субъектов реального сектора в конечном счете оказывается меньшим, чем воздействие общей направленности государственной экономической политики. Функционирование предприятий всех форм собственности в переходный период определяется бюджетной, денежно-кредитной, валютной политикой властей, стабильностью налоговой политики и величиной налогового бремени, методами и масштабами государственного ценового контроля и регулирования, характером и последовательностью антимонопольной политики.
2. Государственные предприятия в переходной экономике
Понятие государственного сектора Государственный сектор экономики представляет собой совокупность предприятий и организаций, находящихся в государственной собственности и финансируемых из государственного бюджета. Границы государственного сектора в переходной экономике довольно подвижны. Из-за набирающей силу корпоратизации и приватизации предприятий существует большое разнообразие смешанных государственно-частных структур.
В настоящее время статистика большинства стран с переходной экономикой обычно исключает из рамок госсектора предприятия, находящиеся в процессе приватизации, причем даже в тех случаях, когда доля государственной собственности в их капитале остается значительной. Поэтому общий объем государственного имущества за счет государственных пакетов акций и далей в капитале смешанных предприятий оказывается гораздо больше, чем собственно государственный сектор.
Отношение к государственному сектору экономики и после десятилетия рыночных реформ остается одним из наиболее спорных вопросов. Начало рыночной трансформации в большинстве стран было связано с ультралиберальными настроениями в отношении к государству как собственнику и в оценке возможности эффективного функционирования государственных предприятий. В эйфории надежд на чудеса приватизации правительства постсоциалистических стран явно недооценили потенциал госкапиталистической модели компаний в переходной экономике.
Сейчас понятно, что причиной этому скорее были политические предпочтения, чем трезвый экономический расчет.

Коммерциализация государственных предприятий
Ограниченное распространение в переходной экономике ряда стран имели идеи коммерциализаций госсектора (главным образом через акционирование государственных предприятий). Дольше всего они просуществовали в Китае, где первые признаки корректировки концепции госкапитализма обозначились лишь в 1997 г. Китайские государственные акционерные компании в большинстве своем так и не смогли преодолеть убыточность. В 1996 г. 4050% таких компаний удерживались на плаву лишь благодаря кредитам государственных банков: до 80% их оборотных капиталов формировалось исключительно за счет банковских кредитов.
В восточноевропейских странах коммерциализация государственных предприятий рассматривалась главным образом как подготовительный, переходный этап к приватизации, который желательно миновать как можно скорее. Однако на практике большие проблемы с приватизацией и особенно затруднения в реструктуризации крупных приватизированных предприятий заронили серьезные сомнения в абсолютном и повсеместном превосходстве частных компаний. Иностранные инвесторы интересовались только «звездами» национальной экономики и не спешили принимать в расчет интересы реструктуризации остальных предприятий. А национальный капитал стремился использовать дешевые государственные активы, не заботясь об эффективности перераспределения ресурсов и наполнении государственного бюджета.
К тому же у государственных предприятий в странах с переходной экономикой фактически не было серьезного опыта работы в рыночных условиях. Исключением является Венгрия, где все-таки делались неоднократные попытки организовать на рыночных принципах работу предприятий, по тем или иным причинам сохраняющихся полностью или частично в госсобственности.



Мировая торговля


Для изучения мировой экономики вначале нужно выяснить, что подразумевается под этим термином, какие формы принимают мирохозяйственные связи и как они развиваются. Этим вопросам и посвящена данная глава. 1. Становление и сущность мирового хозяйства
Понятие мировой экономики Термины «мировая экономика», «мировое хозяйство», «всемирное хозяйство» рассматриваются в данном учебнике как синонимы. Мировой экономике (мировому хозяйству, всемирному хозяйству) можно дать широкое и узкое определение. По широкому определению, мировая экономика это сумма всех национальных экономик мира.
По узкому определению это совокупность только тех частей национальных экономик, которые взаимодействуют с внешним миром. Однако различие между двумя определениями становится все менее заметным, так как в любой стране остается все меньше отраслей и подотраслей, которые не взаимодействуют с внешним миром прямо или косвенно, например, через те отрасли национальной экономики, которые активно торгуют на внешнем рынке.

Международные экономические отношения и их формы Мировое хозяйство является сложной системой. Вся совокупность различных национальных экономик (или их внешнеэкономических частей, если исходить из узкого определения) скреплена движением товаров, услуг и факторов производства (экономических ресурсов). На этой основе между странами возникают международные экономические отношения (внешнеэкономические связи, мирохозяйственные связи), т.е. хозяйственные связи между разными странами.
Их можно классифицировать по формам.
Традиционно в отдельную форму выделяют международную (мировую) торговлю товарами и услугами. Перемещение факторов производства лежит в основе таких форм международных экономических отношений, как международное движение капитала, международная миграция рабочей силы, международная торговля знаниями (международная передача технологии). Что касается остальных факторов производства, помимо капитала, труда и знаний (технологии), то природные ресурсы немобильны и участвуют в мирохозяйственных связях почти всегда опосредованно, через международную торговлю изготовленной на их основе продукции.
Такой фактор, как предпринимательские способности (предпринимательство), перемещается обычно вместе с капиталом, рабочей силой и знаниями (технологией) и поэтому обычно не фигурирует как самостоятельная форма экономических отношений. В отдельную форму нужно выделить международные валютно-расчетные отношения, которые, хотя и являются производными от международной торговли и движения факторов производства (особенно капитала), приобрели большую самостоятельность в мировом хозяйстве.
Подобная типология международных экономических отношений не претендует на то, чтобы быть единственно верной. Существуют и другие типологии. Тем не менее данный раздел учебника построен на вышеописанной типологии, исходя прежде всего из того, что она представляется простой, логичной и тесно связанной с экономической теорией.

Становление мировой экономики Большинство исследователей сходятся в том, что, хотя мировое хозяйство начало складываться очень давно, окончательно оно сложилось около ста лет тому назад.
Все началось с международной (мировой) торговли, т.е. движения товаров и услуг между странами. Жители первого в мире государства Египта еще пять тысяч лет тому назад торговали с соседними племенами, покупая у них древесину, металлы, скот в обмен на продукты египетского ремесла и земледелия, а также организуя экспедиции для хозяйственного освоения новых земель. В это же время живущие на территории современной России племена уже обменивались товарами с соседними и даже отдаленными от них регионами мира. Так, медные и бронзовые изделия с Кавказа и Южного Урала и Сибири расходились по всей Евразии, перепродаваясь одним племенем другому. К международной торговле товарами стали подключаться торговцы услугами.
Финикийские и греческие купцы не только торговали по всему Средиземноморью собственными и реэкспортируемыми товарами, но и оказывали услуги, перевозя чужие грузы и иноземных пассажиров.
Район Средиземного моря вместе с прилегающими странами Западной Азии стал тем регионом мира, где еще в глубокой древности зародилось ядро мирового хозяйства. Постепенно к нему присоединились другие хозяйственные регионы мира вначале Южная Азия, затем Юго-Восточная и Восточная Азия, Россия, Америка, Австралия и Океания и, наконец, труднодоступные районы Тропической Африки и Восточной Азии.
Особо большой вклад в становление мировой торговли товарами и услугами внесло активное распространение в новое время рыночных отношений (вначале в Западной Европе, а затем в других регионах мира), великие географические открытия XV XVII вв., появление в XIX в. машинной индустрии и современных средств транспорта и связи.
Быстро богатевшие европейские купцы нового времени, часто совместно с монархами своих стран (их мощь также окрепла по сравнению с временами средневековой раздробленности) стремились к новым рынкам и новым источникам капитала. Жажда золота, новых земель, заморских товаров стимулировала одно из величайших предприятий человечества волну экспедиций из Европы на поиски новых земель и торговых путей. Экспедиции Колумба, Васко да Гамы, Магеллана, Ермака раздвинули пределы тогдашнего мирового рынка во много раз, присоединив к нему новые огромные регионы. Хозяйственные связи с этими регионами упрочились после начала в XIX в. прежде в Западной Европе, а затем в Северной Америке, России и Японии массового производства готовых изделий (преимущественно это были доступные всем простые и дешевые потребительские товары) как для внутреннего, так и внешнего рынков.
Их сбыту сильно способствовали появившиеся в ранее малодоступных уголках мира пароходы, железные дороги, телеграф.
В результате к концу XIX в. сложился мировой (всемирный) рынок товаров и услуг, т.е. совокупность национальных рынков товаров и услуг (если использовать широкое определение). По узкому определению, это совокупность только тех товаров и услуг, которые продаются и покупаются на внешнем рынке. К ним часто применяется термин «торгуемые товары и услуги», т.е. участвующие в международной торговле.
Остальные обозначаются термином «неторгуемые товары и услуги».
Хота на мировом рынке, как и сейчас, доминировали товары, одновременно широко продавались и некоторые виды услуг: фрахтовые, банковские, биржевые. Россия на мировом рынке выступала прежде всего как экспортер зерна и другой сельскохозяйственной продукции, а также древесины в Западную Европу и поставщик готовых изделий в соседние азиатские страны, а также как импортер западноевропейских готовых изделий, материалов и полуфабрикатов.
Одновременно в мире вслед за товарами и услугами усиливалось движение почти всех факторов производства капитала, рабочей силы, предпринимательских способностей, знаний. Потоки экономических ресурсов (факторов производства) первоначально шли в одном направлении из небольшой группы наиболее развитых стран во все остальные, менее развитые. Британский, французский, бельгийский, голландский и немецкий капиталы были заметным элементом накопления капитала в Америке и России; эмигранты из Европы хозяйственно освоили огромные просторы Северной Америки, Южной Африки, Австралии и других регионов мира, а западные предприниматели донесли во все уголки мира эпохальные достижения западной науки (электричество, двигатель внутреннего сгорания, механические средства передвижения).
Затем процесс перемещения экономических ресурсов стал более комплексным: капитал, предпринимательские способности и технологию стали не только импортировать, но и экспортировать среднеразвитые страны (включая Россию), а в экспорте рабочей силы активное участие стали принимать и слаборазвитые страны. В результате международное движение факторов производства становится взаимным, но отнюдь не симметричным.
Таким образом, национальные экономики оказалось не только участниками мирового рынка товаров и услуг, но и участниками движения экономических ресурсов между странами и регионами. В этих условиях стало возможным говорить о более широком понятии мирового (всемирного) хозяйства, которое охватывает движение не только товаров и услуг, но и факторов производства.

Этапы развития мировой экономики
Мировое хозяйство сложилось на рубеже XIXXX вв. После этого оно претерпело значительные изменения, пройдя через ряд этапов (периодов).
Период с начала Первой мировой войны до начала 50-х гг. характеризуется сворачиванием мирохозяйственных связей (в ходе двух мировых войн, революций и гражданских войн, экономического кризиса 30-х гг.) в сочетании с частичным восстановлением этих связей в 20-е гг. и после Второй мировой войны. В результате объем мировой торговли вышел на уровень 1913 г. только спустя сорок лет, а объем движения факторов производства еще позже, если судить по международному движению капитала. Так, в 1913 г. объем экспорта товаров из Российской империи составлял немногим более 1 млрд долл. и из США 2,6 млрд долл., в 1928 г.0,7 млрд долл. из СССР и 5,8 млрд долл. из США, в 1938 г. соответственно менее 0,3 и 3,1 млрд долл. и лишь в конце 40-х гг. экспорт СССР превысил 1 млрд долл., а США 12 млрд долл.
С учетом обесценивания доллара за это время в 2,2 раза восстановление экспорта в обеих странах произошло фактически в 50-е гг.



Международное движение капитала


Мировая торговля является наиболее распространенной формой международных отношений. Значительный интерес представляет изучение как закономерностей развития международной торговли, так и теорий, обосновывающих принципы оптимального участия национальных экономик в международном товарообмене.
1. Основные черты мировой торговли
Содержание мировой торговли Международная (мировая) торговля представляет собой процесс купли-продажи товаров и услуг, осуществляемый между покупателями, продавцами и посредниками в разных странах. Весьма часто под международной торговлей подразумевают только торговлю товарами.
Международная торговля включает экспорт и импорт товаров, сумма которых называется т о в а р о о б о р о т о м , а соотношение между ними т о р г о в ы м б а л а н с о м . В статистических справочниках ООН приводятся данные об объеме и динамике мировой торговли как суммы стоимости экспорта всех стран мира.
Основные этапы в развитии мировой торговли и ее динамика в современных условиях
Зародившись в глубокой древности, мировая торговля достигает значительных масштабов и приобретает характер устойчивых международных товарно-денежных отношений на рубеже XVIII и XIX вв. Мощным импульсом этого процесса послужило создание в ряде стран (Англии, Голландии и др.) машинного производства, ориентированного не только на внутренний, но и на внешний рынок. К концу XIX началу XX вв. сложился мировой (всемирный) рынок. В первой половине XX в. мировая торговля пережила глубокий кризис.
Он начался в годы Первой мировой войны и привел к длительному нарушению мирового товарооборота, продолжавшемуся до окончания Второй мировой войны, которая до основания потрясла всю структуру международных экономических отношений. Характерной чертой послевоенного периода явилось заметное ускорение темпов развития мировой торговли, достигших наиболее высокого уровня за всю историю человеческого общества.
Так, среднегодовой темп роста мирового экспорта товаров составил: в 50-х гг. - 6%; 60-х гг. - 8,2; 7080-х гг.-9,0 и в 90-97 гг. 6% (среднегодовые темпы роста ВВП за этот период составили 1,5%). Соответственно возрастал и объем мировой торговли.
Так, в 1970 г. он составил 0,3 трлн долл.; в 1980 г. 1,9; в 1997 г. 5,4 трлн долл. ( с учетом экспорта услуг 6,4 трлн долл.).
Беспрецедентно высокие темпы послевоенного роста мировой торговли обусловлены, в первую очередь, более высокими темпами экономического развития в этот период. Кроме того, оно сопровождается все большим разделением труда в мире, что стимулирует международный товарооборот. Наконец, значительную роль в ускорении темпов роста мировой торговли сыграло активное включение в нее новых групп стран, ранее экономически отсталых.
По имеющимся прогнозам, высокие темпы роста мировой торговли сохранятся и в дальнейшем: к 2003 г. объем мировой торговли увеличится на 50% и превысит 7 трлн долл.

Структура и основные товаропотоки мировой торговли. Роль торговли услугами в международном обмене
Товарная структура мировой торговли изменяется прежде всего под воздействием НТР и углубления международного разделения труда. В настоящее время наибольшее значение в мировой торговле имеет продукция обрабатывающей промышленности; на ее долю приходится свыше 3/4 мирового товарооборота. Особенно быстро растет доля таких видов этой продукции, как машины, оборудование и транспортные средства, химические товары.
Доля продовольствия, сырья и минерального топлива составляет примерно 1/5 (табл. 34.1).
Во второй половине ХХ в. наряду с быстрым ростом мировой торговли товарами опережающими темпами расширяется международный обмен услугами. Помимо традиционных видов услуг (транспортных, финансово-кредитных, туристических и др.) все большее место в международном обмене занимают новые виды услуг, развивающиеся под воздействием НТР (информационно-вычислительные, лицензионные, консалтинговые и др.).


Таблица 34.1. Товарная структура мирового экспорта по основным группам товаров, %



Международное движение капитала


Для географического распределения мировой торговли характерно преобладание стран с развитой рыночной экономикой, промышленно развитых стран. Так, в конце 90-х гг. на них приходится около 75% мирового экспорта товаров.
Развитые страны торгуют больше всего друг с другом. Торговля развивающихся стран также ориентирована в основном на рынки развитых стран, а их доля в мировом экспорте составляет около 15%. На страны с переходной экономикой приходится около 10% мирового вывоза товаров, причем доля России снижается (1,3%), а Китая вместе с Гонконгом растет (6,3%). Значение в мировой торговле стран экспортеров нефти в последние годы значительно уменьшилось.
Все заметнее становится роль так называемых новых индустриальных стран, особенно азиатских.

Ценообразование на мировом рынке товаров. Интернациональные издержки и мировые цены
Характерной чертой мировой торговли является наличие особой системы цен мировых цен. В их основе лежат интернациональные издержки производства, которые тяготеют к среднемировым затратам экономических ресурсов на создание данного вида товаров. Интернациональные издержки производства формируются под преимущественным влиянием стран, являющихся главными поставщиками данных видов товаров на мировой рынок.
Кроме того, значительное воздействие на уровень мировых цен оказывает соотношение спроса и предложения на данный вид товара на мировом рынке.
Для международной торговли характерна множественность цен, т.е. существование различных цен на один и тот же товар. Мировые цены различаются в зависимости от времени года, места, условий реализации товара, особенностей контракта. На практике в качестве мировых цен принимаются цены крупных, систематических и устойчивых экспортных или импортных сделок, заключаемых в определенных центрах мировой торговли известными фирмами экспортерами или импортерами соответствующих видов товаров.
На многие сырьевые товары (зерновые, каучук, хлопок и др.) мировые цены устанавливаются в процессе операций на крупнейших мировых товарных биржах.

2. Классические теории международной торговли Классические теории заложили основы анализа мирохозяйственных связей. Выводы, содержащиеся в этих теориях, стали своего рода отправными аксиомами для дальнейшего развития экономической мысли в рассматриваемой области.

Теория абсолютных преимуществ А. Смита
Основоположник экономической науки Адам Смит в своей книге «Исследование о природе и причинах богатства народов» (1776 г.) существенное внимание уделил разделению труда на основе специализации экономической деятельности. При этом выводы о разделении труда А. Смит распространил и на мирохозяйственную сферу, впервые теоретически обосновав принцип абсолютных преимуществ (или абсолютных издержек): «Основное правило каждого благоразумного главы семьи состоит в том, чтобы не пытаться изготовить дома такие предметы, изготовление которых обойдется дороже, чем при покупке их на стороне... То, что представляется разумным в образе действия любой частной семьи, вряд ли может оказаться неразумным для всего королевства. Если какая-либо чужая страна может снабдить нас каким-нибудь товаром по более дешевой цене, чем мы в состоянии изготовить его, гораздо лучше покупать его у нее на некоторую часть продукта нашего собственного промышленного труда, прилагаемого в той области, в которой мы обладаем некоторым преимуществом» '






' Смит А. Исследование о природе и причинах богатства народов. М.. 1962.
С. 333.



Таким образом, суть взглядов А. Смита состоит в том, что основой развития международной торговли служит различие в абсолютных издержках. Торговля будет приносить экономический эффект, если товары будут ввозиться из страны, где издержки абсолютно меньше, а вывозиться те товары, издержки которых в данной стране ниже, чем за рубежом.

Теория сравнительных преимуществ Д. Рикардо
Другой классик, Давид Рикардо, в своей книге «Начала политической экономики и налогообложения» (1817 г.) убедительно доказал, что межгосударственная специализация выгодна не только в тех случаях, когда какая-либо страна имеет абсолютное преимущество в производстве и сбыте данного товара по сравнению с другими странами, т.е. не обязательно, чтобы затраты на производство этого товара были меньше по сравнению с затратами на аналогичные товары, созданные за рубежом. Вполне достаточно, по мнению Д. Рикардо, чтобы эта страна экспортировала те товары, по которым у нее есть сравнительные преимущества, т.е. чтобы по этим товарам соотношение ее затрат с затратами других стран было бы более благоприятным для нее, чем по другим товарам.
Теория сравнительных преимуществ основана на ряде допущений. Она исходит из наличия двух стран и двух товаров; издержек производства только в виде заработной платы, которая к тому же одинакова для всех профессий; игнорирования различий в уровне заработной платы между странами; отсутствия транспортных издержек и наличия свободной торговли. Эти исходные предпосылки были необходимы для выявления основных принципов развития международной торговли.
Рассмотрим действие принципа сравнительных преимуществ (издержек) в международной торговле на конкретном примере.



Международная миграция рабочей силы


Вывозя средства за рубеж в виде кредитов иностранным партнерам или через организацию своего дела за границей, оставляя там свои деньги на банковских и других счетах или же покупая иностранные ценные бумаги и недвижимость во всех этих случаях отечественный предприниматель осуществляет вывоз капитала из России. Капитал вывозит и российское государство, например, через предоставление другим странам займов. По этим же направлениям капитал ввозится в Россию. Любая страна мира вывозит капитал, например, путем открытия в зарубежных банках корреспондентских счетов своих банков.
И каждая страна ввозит капитал из-за рубежа. Поэтому можно говорить о международном движении капитала применительно к любой стране, подразумевая двустороннее движение (но отнюдь не то, что каждая страна ввозит капитала ровно столько, сколько вывозит).
1. Понятие и формы международного движения капитала. Масштабы, динамика и география этого процесса
Сущность и формы движения капитала Международное движение капитала это помещение и функционирование капитала за рубежом, прежде всего с целью его самовозрастания. Вкладывая капитал за рубежом, инвестор осуществляет зарубежные инвестиции (инвестиции за рубежом).
Классификация форм международного движения капитала отражает различные стороны этого процесса. Капитал вывозится, ввозится и функционирует за рубежом в следующих формах.
1. В форме частного или государственного капитала в зависимости от того, вывозится он частными или государственными организациями и компаниями. Движение капитала по линии международных организаций часто выделяется в самостоятельную форму. По приблизительной оценке, в 1998 г. вывоз капитала из России составил около 30 млрд долл., в том числе в форме государственного капитала лишь 0,2 млрд долл., а остальное в форме частного капитала.
2. В денежной и товарной формах. Так, вывозом капитала могут быть машины и оборудование, патенты и ноу-хау, если они вывозятся за рубеж в качестве вклада в уставный капитал создаваемой или покупаемой там фирмы. Другим примером могут быть товарные кредиты.
3. В краткосрочной (обычно на срок до одного года) и долгосрочной формах ( 35.1). В мире и в России преобладает движение краткосрочного капитала.





Международная миграция рабочей силы






35.1. Деление ввоза и вывоза капитала на краткосрочный и долгосрочный

Хотя депозиты в банках и средства на счетах в других финансовых институтах могут быть помещены на срок более одного года, их традиционно относят к краткосрочному капиталу. Прямые и портфельные инвестиции будут рассмотрены ниже.
4. В ссудной и предпринимательской форме ( 35.2). Так, в 1998 г. Россия вывозила капитал в основном в ссудной форме.
Капитал в ссудной форме (ссудный капитал) приносит его владельцу доход главным образом в виде процента по вкладам, займам и кредитам, а капитал в предпринимательской форме (предпринимательский капитал) преимущественно в виде прибыли.




Международная миграция рабочей силы




35.2. Деление ввоза и вывоза капитала на ссудный и предпринимательский

Прямые и портфельные инвестиции Предпринимательский капитал включает прямые и портфельные инвестиции. Характерная черта прямых инвестиций, по определению МВФ, состоит в том, что инвестор участвует в управленческом контроле над объектом (предприятием), в который инвестирован его капитал. Обычно для этого достаточно владеть 10% акционерного капитала. Портфельные инвестиции такого участия в контроле не дают.
Они, как правило, представлены пакетами акций (или отдельными акциями), на которые приходится менее 10% собственного капитала фирмы, а также облигациями и другими ценными бумагами. В разных странах формальную границу между прямыми и портфельными инвестициями устанавливают по-разному, но обычно это 10%.
Нужно вообще иметь в виду, что граница между прямыми и портфельными инвестициями во многом условна. Часто возможность управленческого контроля может дать весьма небольшой пакет акций (паев) фирмы, особенно если собственный капитал фирмы распределен между многими владельцами или если в руках владельца небольшой части капитала важная для фирмы технология и т.д. Нечеткость границы наблюдается в некоторых случаях и между предпринимательским и ссудным капиталом.
Так, к прямым инвестициям относят займы родительских фирм своим зарубежным филиалам.
Через вывоз прямых инвестиций инвесторы учреждают за рубежом новую фирму (самостоятельно или с местным партнером); покупают существенную долю в уже действующей за рубежом фирме; полностью покупают (поглощают) эту фирму. За рубежом такие фирмы обычно называют з а р у б е ж н ы м и ф и л и а л а м и (англ. foreign affiliates) родительских компаний (в России под филиалом часто имеют в виду то, что на Западе именуют отделением).
В свою очередь, эти филиалы подразделяются на отделения, дочерние и ассоциированные компании. О т д е л е н и е (англ. division, branch), которое обычно полностью или на паях принадлежит иностранному инвестору и является его представительством или офисом, хозяйственным товариществом, землей и другой недвижимостью, оборудованием и транспортными средствами. Обычно это закупочно-сбытовые фирмы со складами и сервисным оборудованием, строительные, транспортные и добывающие предприятия. Д о ч е р н я я к о м п а н и я (англ. subsidiary) регистрируется за рубежом как самостоятельная компания (т.е. является юридическим лицом) с собственным балансом, но контроль над ней осуществляет родительская фирма, в силу того что она обладает основной частью акций (паев) дочерней компании или же всем ее капиталом.
А с с о ц и и р о в а н н ая к о м п а н и я (англ. assotiated company, associate) отличается от дочерней тем, что находится не под контролем, а под влиянием родительской фирмы за счет того, что той принадлежит существенная (но не основная) часть акций (паев).
В России отделениям, дочерним и ассоциированным компаниям соответствуют филиал, дочернее и зависимое общества.
К разновидности ассоциированной компании можно отнести и большинство с о в м е с т н ы х к о м п а н и й, совместных предприятий (англ. joint ventures), создаваемых на паях двумя или несколькими национальными фирмами (хотя среди них могут быть и иностранные). Узкий ассортимент продукции, короткий срок существования, совсем не обязательное иностранное участие в этом отличие западного толкования термина «совместное предприятие» от российского.
К зарубежным филиалам иногда относят такие предприятия, в которых родительской компании не принадлежит ни одна акция (пай). Управленческий контроль над подобным подразделением родительская компания осуществляет через заключение соглашения, например через контракты на управление этим предприятием (особенно это относится к гостиницам), на совместное производство в рамках принадлежащего местному партнеру предприятия (через поставки сырья, технологии .и т.д.) и др. В данном случае определяющим является не владение собственностью (ее частью) этих филиалов, а существование контрактных отношений на базе кооперации.
Для таких отношений употребляют термин «кооперационные соглашения». Если имеют в виду и кооперационные соглашения, и совместные предприятия, то используют термин «стратегические союзы» (англ. strategic alliances).

Масштабы, динамика и география международного движения капитала
Величина функционирующего за рубежом иностранного капитала огромна. Только объем накопленных в мире прямых инвестиций к 1997 г. составил около 3,5 трлн долл. По оценке ООН, на предприятиях с иностранным капиталом в 1997 г. производилось товаров и услуг на 9,5 трлн долл.
Более трети мирового экспорта товаров и услуг (в 1997 г. он составил 6,4 трлн долл.) приходится на внутрифирменную торговлю (т.е. торговлю между зарубежными филиалами и их родительскими компаниями). Следовательно, объем подобного зарубежного производства в полтора раза превышает объем внутрифирменного экспорта.
В мире в 1997 г. насчитывалось почти 450 тыс. зарубежных филиалов, которыми владеют 54 тыс. родительских компаний (ТНК). Их число постоянно растет, преимущественно за счет выхода на мировой рынок компаний среднего и даже небольшого размера. Но основу ТНК по-прежнему составляют крупные корпорации с десятками (иногда сотнями) зарубежных филиалов. Так, на 100 крупнейших транснациональных корпораций приходится шестая часть накопленных в мире иностранных прямых инвестиций.
Эти корпорации почти все из развитых стран, именно в этих странах расположены штаб-квартиры их родительских компаний. Однако число ТНК из стран развивающихся и с переходной экономикой быстро растет, преимущественно за счет фирм из новых индустриальных стран (Мексики, Бразилии, Малайзии и др.), а также Китая и России.
В результате картина современной международной экономической жизни создается прежде всего теми компаниями, которые не только активно торгуют с зарубежными странами, но и активно инвестируют там. Менеджеры развитых и многих развивающихся стран считают, что их рынок весь мир (прежде всего страны их региона), а для работы на этом рынке уже нельзя ограничиться одной только торговлей, нужно все активнее инвестировать за рубежом, создавая там свои отделения, дочерние и ассоциированные фирмы. С их точки зрения, это надежный способ проникновения и расширения присутствия их фирм на внешнем рынке.



Мировая валютная система


По мере глобализации мировой экономики все более важным фактором экономического, социального и демографического развития многих стран становится международная миграция рабочей силы и населения. 1. Миграция рабочей силы в современном мире
Сущность международной миграции
Международная миграция рабочей силы представляет собой процесс перемещения трудовых ресурсов из одной страны в другую с целью трудоустройства на более выгодных условиях, чем в стране происхождения. Помимо экономических мотивов процесс международной миграции обусловливается также соображениями политического, этнического, культурного, семейного и иного характера. Таким образом, международная миграция рабочей силы является частью более широкого явления международной миграции населения, когда данный процесс не связан прямо с трудоустройством.
Международная миграция включает две основные составляющие: эмиграцию и иммиграцию. Под э м и г р а ц и е й понимается выезд из страны на постоянное место жительства, под и м м и г р а ц и е й въезд в страну на постоянное место жительства. Международная миграция включает также процесс репатриации возвращение в страну происхождения ранее выехавших из нее граждан.
М е ж д у н а р о д н ы е м и г р а н т ы подразделяются на пять основных категорий:
иммигранты и неиммигранты, легально допущенные в страну. Для стран, которые традиционно принимают иммигрантов, 8090-е гг. были периодом высокого уровня иммиграции;
работники-мигранты по контракту. Их к концу 90-х гг. в мире насчитывалось более 25 млн человек. Многие страны зависят от иностранной рабочей силы. Договоренности о ее контрактировании заключаются между странами с избыточной рабочей силой в некоторых районах Азии и, например, рядом стран Ближнего Востока, Европы;
нелегальные иммигранты. Их число в конце 90-х гг. превышало 30 млн человек. Почти все индустриальные страны имеют у себя нелегальных иммигрантов. Часть из них проникают через границу, другие остаются в чужой стране с просроченными визами; обычно они замещают рабочие места, находящиеся на низшей ступени трудовой иерархии;
лица, просящие убежища. До 80-х гг. численность этой категории мигрантов была крайне незначительна, затем она заметно увеличилась до более 1 млн человек к концу 90-х гг. Просьбы об убежище люди направляют по политическим мотивам, а также в силу тяжелого экономического положения в своих странах;
беженцы. По данным ООН, в мире на конец 90-х гг. насчитывается более 22 млн беженцев (из них около 4 млн возвратившихся в места прежнего проживания, но находящихся под патронажем ООН). Большинство сегодняшних беженцев являются жертвами войн. Обычно они живут в специальных лагерях, находящихся под опекой ООН или частных агентств.
По оценкам, лишь менее 1% беженцев расселяются в развитых странах Запада.

Теории международной миграции
Международная миграция рабочей силы это объективный процесс, присущий рыночной экономике. Он так же объективен, как процесс перелива капитала между странами, развития внешнеторговых связей, международной экономической интеграции. Трудовые ресурсы в соответствии с рыночными законами ищут себе наиболее выгодное применение, дающее максимальную эффективность.
Существует несколько теорий, объясняющих причины и направленность международных миграционных процессов. Наиболее распространенный концептуальный подход исходит из классической теории и, в частности, из представления о соотношении факторов «выталкивания» и «притяжения» населения и рабочей силы как главных движущих силах данного процесса. Согласно классической (Е. Равенштайн, А. Люис, Дж.
Фей, Г. Ранис) и неоклассической теории (Дж. Харрис, М. Тодаро) избыточные трудовые ресурсы мигрируют из преимущественно сельских районов с низкой предельной производительностью в более развитые урбанизированые районы. Часто решения о миграции объясняются индивидуальными представлениями о более благополучных районах и странах, а не фактическим положением вещей.
Этим, например, экономисты-неоклассики объясняли миграционные потоки в урбанизированные районы с высокой безработицей.
В отличие от классических теорий приверженцы исторических и структуралистских концепций объясняют миграцию экономическим и политическим неравенством различных субъектов (стран, регионов, предприятий, индивидов), когда более сильные субъекты определяют направленность миграционных потоков в выгодном им направлении. Эти же теории признают важность таких факторов, как этнические и семейные связи среди мигрантов, роль государственного регулирования в данной области.
В реальной жизни все перечисленные подходы и объяснения дополняют друг друга и взаимопереплетены.
Говоря о сопоставимости человеческих ресурсов с другими экономическими ресурсами на международных рынках, важно отметить и их особенности. Они отражают специфику товара «рабочая сила», который является не только объектом, но и субъектом международных экономических отношений в данной сфере. Кроме того, процесс международной миграции оказывает не только экономическое, но и многоплановое социальное, демографическое и социально-психологическое влияние как на страны-доноры, так и на принимающие страны.

Основные центры притяжения миграционных потоков
По мере роста интернационализации хозяйственной жизни значение международной миграции возрастает. Основной поток ее в последние десятилетия устремляется в США. В 70-х гг. число легальных иммигрантов в эту страну достигло 4,5 млн человек (20% прироста населения за 70-е гг.), что на 1/3 больше, чем в 60-х гг. В 80-х гг. масштабы иммиграции еще более возросли на нее приходилось уже 39% прироста населения страны. В этот период в страну въехало 6 млн легальных и 2 млн нелегальных иммигрантов.
За период 19901996 гг. в США въехало еще 6,1 млн иммигрантов, только в 1996 г. почти 961 тыс. человек. При этом к началу 1998 г. в стране, по оценке, проживало более 5 млн незарегистрированных (нелегальных) иммигрантов.
Другим крупнейшим центром притяжения мигрантов является Западная Европа: средний ежегодный прирост иностранной рабочей силы составляет 600700 тыс. человек (с учетом членов семей численность въезжающих возрастает до 1,5 млн человек). Лидерство по масштабам иммиграции в Европе удерживают Германия, Франция и Великобритания. В качестве примера более локального регионального центра притяжения мигрантов можно назвать Австралию.
В последние годы локальным центром иммиграции становится Россия.

Страны-доноры Для различных принимающих стран существуют разные источники миграционных потоков, хотя во многих случаях они и совпадают. Это обусловлено, с одной стороны, той ролью, которую страна притяжения играет в современном мире, и возможностями, которые она имеет, а с другой стороны, конкретными историческими, этническими, географическими связями между принимающими странами и странами-донорами. При этом наблюдаются довольно заметные сдвиги в географических потоках современной иммиграции. Так, если в 60-х гг. основными источниками новых мигрантов для США были Канада и Западная Европа (79% приехавших), то в 7080-х гг. доминировали Латинская Америка и Азия.
В 90-х гг. из этих регионов в США въехало 84% всех иммигрантов.
За прошедшие десятилетия изменился не только этнический состав, но и квалификационный и образовательный уровень иммигрантов. В 80-х гг. в США, например, въехало беспрецедентно большое число лиц с высшим образованием 1,5 млн человек. В 1996 г. было выдано 18 тыс. въездных виз на постоянную работу иностранным ученым и инженерам. Однако было бы неверно утверждать, что все иммигранты имеют высокий уровень образования и квалификации; 33,1% из них не закончили среднюю школу.
В свою очередь, 1/3 таких иммигрантов принадлежит к числу тех, кто нелегально пересек границу США.

Регулирование международной миграции
Процесс международной миграции рабочей силы и населения регулируется национальным законодательством различных стран и международными правовыми актами. В законодательстве находят отражение две тенденции: одна к открытой экономике и соответственно к свободному перемещению трудовых ресурсов и населения; другая к протекционизму и ограничениям в области международной миграции.
В каждой стране вырабатывается национальная м и г р а ц и о н н а я п о л и т и ка. Это комплекс законодательных, организационных и иных мер, направленных на регулирование въезда в страну и выезда из нее, предоставление и лишение гражданства или иного статуса проживания в стране, использование в ней иностранной рабочей силы, создание системы социальной зашиты работников-мигрантов в период их работы за рубежом, регламентирование потоков беженцев и их социальную защиту.
С целью недопущения неконтролируемого влияния международной миграции на социальную обстановку и рынки труда большинство развитых стран проводит определенную миграционную протекционистскую политику, призванную защитить интересы своего населения и экономики. Так, в США по закону об иммиграции, вступившему в силу в ноябре 1990 г., начиная с 1995 г. в страну ежегодно допускается не более 675 тыс. человек. Закон вводит также квоту для лиц, выезжающих в США в поисках работы, 140 тыс. человек в год.



Платежный баланс


Денежные единицы различных стран, каждая из которых имеет свой национальный «мундир», опосредуют процесс международного движения товаров, услуг, капитала и рабочей силы и тем самым формируют мировую валютную систему.
1. Национальные и мировая валютные системы Национальная валютная система это форма организации денежных отношений, которая охватывает не только внутреннее денежное обращение, но и сферу международных расчетов страны. По мере развития международных экономических отношений на базе национальных валютных систем возникает мировая валютная система.
М е ж д у н а р о д н ы е р а с ч е т ы это расчеты между государствами, организациями, фирмами и гражданами, находящимися на территории различных стран. В сфере международных расчетов возникают две базовые проблемы:
а) как устанавливать и регулировать соотношения обмена национальной денежной единицы с иностранными;
б) как решать проблемы несбалансированности расчетов национальной экономики с внешним миром.
Весь комплекс отношений, возникающих в процессе международных расчетов, находит свое концентрированное выражение в платежных балансах (см. гл. 38) стран. Несбалансированность платежного баланса той или иной страны требует введения в действие механизма его выравнивания.

Золотой (золотомонетный) стандарт
Данная организация системы денежного обращения и международных расчетов предполагала закрепление за золотом денежных функций и официальное установление фиксированного золотого содержания (паритета) национальной денежной единицы. Установленный золотой паритет являлся и официальной ценой золота. Золотые монеты находились к обращении и имели силу законного платежного средства. Центральные банки были обязаны обменивать бумажные деньги (банкноты, казначейские билеты и другие денежные знаки) на золото по номиналу.
Был разрешен свободный ввоз и вывоз золота в любом виде. Валютные курсы стран фиксировались на базе золотых паритетов национальных денежных единиц и колебались в узких пределах «золотых точек», которые определялись расходами (в основном на транспортировку и страхование), связанными с перемещением золота между странами.
Исторически в своем классическом виде з о л о т о й с т а н д а р т сформировался в Великобритании в начале XIX в., а к концу его он был установлен практически во всех основных промышленно развитых странах (в России с 1897 г.), тем самым превратившись в мировую систему.
В условиях золотого стандарта регулирование платежного баланса осуществлялось в основном стихийно путем переливов золота из одних стран в другие через частные каналы. Государство практически не участвовало в процессе регулирования международных расчетов, а официальные золотые резервы были главным регулятором несбалансированности платежного баланса.
Объективная основа для ликвидации системы золотого стандарта в его классическом варианте была подготовлена развитием международного движения капитала и эволюцией внутреннего платежного механизма, в котором кредит и безналичные деньги заняли господствующее положение.
Следствием этого явилось качественное изменение механизма образования и покрытия сальдо платежного баланса. Значительно расширился экономический инструментарий, находившийся в распоряжении государственных органов и предназначенный для текущего балансирования международных расчетов. Манипулирование валютным курсом путем девальвации или ревальвации валюты, изменение учетной процентной ставки, проведение инфляционной или дефляционной политики для регулирования движения товаров, услуг и капитала, использование международных займов и кредитов и, наконец, реструктуризация внешней задолженности все это позволяло поддерживать платежные балансы в известной степени временно уравновешенными и отодвигать погашение отрицательного сальдо (за счет резервов золота) на неопределенное время, например периодически продлевая сроки погашения полученных кредитов или привлекая новые кредиты.
Одновременно становилось ясным, что регулярное возобновление экономических отношений между партнерами различных стран делает возможным и необходимым накопление ими иностранной валюты (в наличной и безналичной формах) в качестве своеобразного резерва для быстрого погашения своих обязательств перед партнерами страны с данной национальной валютой. Непрерывность перевода денежных средств обеспечивается наличием определенных валютных запасов на счетах как коммерческих, так и центральных банков. При этом накапливаются в основном так называемые резервные валюты, т.е. национальные валюты, наиболее широко применяющиеся в международных расчетах.
Таким образом, были подготовлены объективные условия для замены системы золотого стандарта на более эффективную систему. При этом катализатором послужила политическая и экономическая нестабильность в мировой экономике и международных отношениях в период между двумя мировыми войнами и сама Вторая мировая война.

Золотовалютный стандарт (Бреттон-Вудская валютная система)
Планы реконструкции международной валютной системы начали разрабатываться еще во время Второй мировой войны, а принципы действия ее нового механизма были определены на валютно-финансовой конференции ООН в Бреттон-Вудсе (США) в 1944 г.
Б р е т т о н В у д с к ая в а л ю т н а я с и с т е м а мировая валютная система, при которой доллар США, а также в значительно меньшем объеме английский фунт стерлингов осуществляли резервные функции наряду с золотом и для этих целей разменивались на него, цена золота была неизменной и составляла 35 долл. за тройскую унцию, т.е. за 31,1 г, валютные курсы были фиксиро-ванны, а все регулирование валютных отношений междустранами (кроме социалистических) осуществлялось через Международный валютный фонд (МВФ).
Для нормального функционирования з о л о т о в а л ю т н о г о с т а н д а р т а требовалось постоянное увеличение резервов в соответствии с потребностями расширения экономических и соответственно платежных отношений в условиях роста мировой экономики и поддержание оптимального соотношения между золотыми и валютными (долларовыми) резервами, с тем чтобы цена на золото была равновесной. Невыполнение этих условий закономерно должно было вести к краху Бреттон-Вудской системы. Недостаток резервных средств (долларов, фунтов стерлингов, золота) вел к торможению мировой торговли, а избыток к дестабилизации системы фиксированных валютных курсов.
Кроме того, более высокие темпы прироста валютных резервов по сравнению с темпами прироста золотого компонента резервов рано или поздно поставили бы под сомнение способность США сохранять конвертируемость своей валюты в золото по установленной официальной цене. В условиях новой валютной системы закономерно начался рост валютного компонента в резервах центральных банков. К концу 60-х гг. американский доллар практически монополизировал сферу международных расчетов, что нашло свое отражение в росте его доли в золотовалютных резервах всех стран с 9% в 1950 г. до 75% в 1970 г.
К тому же в .результате относительного снижения конкурентоспособности американской экономики с 70-х гг. для США стало характерным отрицательное сальдо платежного баланса и как следствие этого ослабление доллара. Дефицит баланса США активно погашали долларами, а не золотом. Результат нарастание несбалансированности международных расчетов и подрыв доверия к доллару, особенно к его золотому содержанию.

Система плавающих курсов Когда запасы долларов в международных резервах превысили золотой запас США в несколько раз, а другие страны начали требовать обмена долларовых резервов на золото, США прекратили размен американской валюты на золото в официальном порядке с 15 августа 1971 г. Западноевропейские страны отказались от обязательств по поддержке курса доллара, и началось «плавание» валют, что де-факто привело к отказу от всех основополагающих принципов системы золотовалютного стандарта.
Плавание валютных курсов имело ряд особенностей в связи с тем, что многие страны предпринимали определенные усилия по ограничению колебаний валютных курсов, что делало их плавание «грязным». Например, правительство Японии неоднократно воздействовало на курс иены в сторону его понижения, с тем чтобы обеспечить японским экспортерам конкурентные преимущества на международных рынках. Страны Европейского сообщества детали попытки сократить пределы колебаний между курсами своих валют, создавая так называемую змею в туннеле в декабре 1971 г. Они установили максимальные рамки колебаний наиболее слабых и наиболее сильных валют стран членов ЕС («туннель»), а также максимальные пределы колебаний для каждой пары валют («змея») и путем валютных интервенций пытались регулировать данную систему взаимных курсов валют.
В 1978 г. вступили в силу поправки к Уставу МВФ, которые зафиксировали изменения, происшедшие в мировой валютной системе. Суть их сводилась к следующему: а) отменяется официальная цена золота; б) официально закрепляется система плавающих курсов; в) повышаются требования к координации внутренней и внешней экономической политики стран членов МВФ; г) декларируется намерение превратить СДР'






Международная экономическая интеграция


Взаимосвязь международного движения товаров, услуг, знаний, капиталов и рабочей силы с макроэкономическими параметрами развития отдельных стран находит свое отражение в их платежных балансах. Платежный баланс представляет собой статистический отчет обо всех международных сделках резидентов той или иной страны с нерезидентами за определенный период времени. Он отражает соотношение между объемом товаров и услуг, полученных данной страной из-за границы и предоставленных ею загранице, а также изменения в ее финансовой позиции по отношению к загранице.
Отметим, что платежный баланс имеет дело с потоками, а не с запасами, с изменениями в реальных и финансовых активах и пассивах, происходящими за базовый период, а не с общими суммами экономических активов и пассивов страны, которые существуют в некий конкретный момент времени.
Платежный баланс составляется с целью выполнения как учетных, так и аналитических задач, которые тесно связаны между собой. Анализ платежного баланса позволяет сделать выводы о том, насколько динамика внешнеэкономических потоков факторов производства соответствует целям макроэкономической, кредитно-денежной, валютной и налоговой политики.
1. Методика составления и теории платежного баланса
Система двойной записи Основополагающим для составления платежного баланса является метод двойной записи международных сделок. Этот метод базируется на том, что каждой регистрируемой операции соответствует платеж в той или иной форме, а баланс платежей и поступлений должен сходиться. Система двойной бухгалтерской записи, используемая при составлении платежного баланса, означает, что каждая операция представлена двумя записями, имеющими одинаковое значение.
Одна из них регистрируется как «Кредит» и имеет положительный знак, другая как «Дебет» с отрицательным знаком, а сумма их величин должна равняться нулю.
Большинство записей в платежном балансе касаются операций, в которых одни экономические ценности предоставляются или приобретаются в обмен на другие. Другая часть записей это погашающие кредитовые и дебетовые записи, которых требует система регистрации (представляют собой две записи равных величин по обоим предметам обмена). Например, экспорт некоего товара регистрируется в статистике по товарам, а оплата этого экспорта в статистике банковских операций по изменениям в активе и пассиве.
В качестве примера возьмем экспортера, получившего за свой товар иностранную валюту. В этом случае одна запись (в данном случае «Кредит») будет означать регистрацию экспорта товара, а другая запись (в данном случае «Дебет») зафиксирует увеличение валютного счета экспортера на ту же сумму:

Кредит Дебет
Экспорт.......................... 100 -
Валютные активы банков........………. - 100

В то же время вывоз оборудования в счет оплаты уставного капитала предприятия, созданного за рубежом, будет зарегистрирован по кредиту как экспорт и по дебету как прямые инвестиции за рубежом:


Дебет Кредит
Экспорт.....................……………….100 -
Прямые инвестиции за рубежом…. - 100


Большинство проводок в платежном балансе относится к сделкам, которые подразумевают встречный поток: это обмен товарами, услугами, финансовыми активами, доходы от инвестиций. В то же время в платежный баланс включаются операции, которые не влекут за собой адекватной компенсации в той или иной форме (т.е. товары, услуги или активы). Такие операции относятся к разряду трансфертов, т.е. односторонних переводов и поступлений.
В этом случае автоматически будет записана только одна сторона операции, а для наличия необходимой компенсации в платежном балансе приходится делать записи по статье трансфертов. Трансферты показываются в кредите, когда записи, которые они погашают, являются дебетовыми, и в дебете, когда эти записи являются кредитовыми. Фактически это безвозмездные переводы, и поэтому в балансе их именуют переводами (текущими или капитальными).
Например, гуманитарная помощь, полученная страной, найдет свое отражение в платежном балансе следующим образом:


Кредит Дебет
Импорт (гуманитарная помощь). . . . 100
Трансферты (текущие переводы)... ….100



Таким образом, при составлении платежного баланса в графу «Кредит» заносится экспорт товаров и услуг, получаемый доход, увеличение пассивов или уменьшение активов, а в графу «Дебет» импорт товаров и услуг, уплачиваемый доход, уменьшение пассивов или увеличение активов. Другими словами, для активов (материальных или финансовых) кредитовая проводка означает операцию, приводящую к их вывозу (и тем самым к уменьшению), в то время как контрпроводка по дебету показывает операцию, приводящую к их ввозу (и тем самым к росту). Что касается пассивов (обязательств), то закономерность получается прямо противоположной.
Например, если страна Х займет 100 ед. у страны Y в ее валюте, где они записываются на счет страны Х в коммерческом банке, то последняя приобрела не только актив (сальдо банковского счета), но и пассив (обязательства перед правительством страны Y). Счет актива будет дебетован, а счет пассива кредитован. Запись в платежном балансе страны X, регистрирующая эту операцию, будет иметь следующий вид:


Кредит Дебет
Актив (сальдо банковских счетов в стране Y) ...... …. - 100
Пассив (долговые обязательства перед страной Y). … 100 -



Принципы построения платежного баланса Важнейшим принципом построения платежного баланса является проведение различия между резидентами и нерезидентами при учете всех сделок. В соответствии с общепринятыми критериями к резидентам относят физических лиц, имеющих постоянное местожительство в данной стране, предприятия и организации, созданные в соответствии с законодательством данной страны и находящиеся в этой стране. Кроме того, резидентами являются дипломатические и иные официальные представительства страны за рубежом, а также зарубежные филиалы и представительства предприятий и организаций-резидентов.
Существует два различных подхода к регистрации операций для статистики платежного баланса: регистрация сделок на момент операции и на момент расчета.
Составление платежного баланса на момент расчета охватывает только сделки, связанные с наличными платежами. Таким образом, в нем учитываются только фактически осуществленные платежи и поступления. В силу этого указанный подход имеет определенные ограничения: не принимаются во внимание операции, осуществляемые без наличных расчетов, а также полученные и предоставленные кредиты.
Базирующийся на операциях подход обеспечивает учет различных стадий заграничных операций, отражая все требования и обязательства страны к загранице, в том числе и непогашенные. Критерием в данном случае является переход собственности от резидентов к нерезидентам и наоборот. Указанный метод дает более полное понимание экономических операций между резидентами и нерезидентами, включая в платежный баланс безналичные сделки.
Проиллюстрируем сказанное условным примером. Итак, импортер приобретает за границей товары, привлекая на эти цели иностранный кредит. В данном случае импортер не получает валюту от нерезидента-экспортера. В результате при составлении платежного баланса по методу операций указанная сделка найдет свое отражение в следующей записи:

Кредит Дебет
Товар......................……………… - 100
Иностранные пассивы, займы…. 100 -


В то же время при составлении платежного баланса по методу расчетов запись была бы произведена только в момент погашения кредита, который может быть существенно сдвинут относительно момента совершения сделки.
В современных условиях в большинстве стран платежный баланс составляется по методу операций. Указанный подход возобладал в результате дискуссий и в настоящее время соответствует рекомендациям МВФ.

Ошибки и пропуски Система двойной записи предполагает формальное отсутствие расхождений между размерами сальдо по кредитовым и дебетовым статьям. На практике такое состояние недостижимо. Из-за сложности полного охвата всех сделок, неоднородности цен, разницы во времени регистрации сделок и др. неизбежны различные искажения.
Этим обусловлено введение в платежный баланс специальной статьи «Ошибки и пропуски» (или «Чистые ошибки и пропуски»). Как правило, величина, показанная в этой статье, относительно невелика и стабильна, однако она резко возрастает и может достигать больших значений в странах со слабым контролем за предоставлением отчетов участниками внешнеэкономических связей для статистики платежного баланса. В этом случае величина пропусков и ошибок дает представление о незарегистрированном оттоке (или притоке) капитала.

Классификация статей платежного баланса
Периодически издавая Руководство по платежному балансу, МВФ разработал его унифицированную схему, которая позволяет осуществлять межстрановые сопоставления. Приведенный в табл. 38.1 платежный баланс России составлен на базе стандартных компонентов в соответствии с методикой, изложенной в пятом издании МВФ Руководства по платежному балансу, действующего с 1993 г.

Таблица 38.1. Платежныйбаланс Российской Федерацииза 1994-1998гг.. (нейтральное представление): основные агрегаты, млн долл.



Экономический кругооборот


Выше были рассмотрены потребности, блага и ресурсы. Теперь речь пойдет об участниках экономического процесса, т.е. о тех, кто производит блага и реализует потребности, а также об их собственности и доходах. 1. Экономические агенты Из ограниченности экономических ресурсов вытекает необходимость хозяйственной деятельности. Часто хозяйственную деятельность называют проще экономикой. При этом, как отмечалось выше, экономическая (хозяйственная) деятельность есть не что иное, как постоянная работа по оценке, сравнению, отбору альтернативных вариантов использования экономических ресурсов.
В хозяйственной деятельности участвуют хозяйствующие субъекты, называемые в экономической теории экономическими агентами.

Понятие экономических агентов и их основные виды
К экономическим агентам относят домашние хозяйства (отдельных лиц и семей), предприятия (фирмы) и государство (органы государственного управления, государственные учреждения), а также некоммерческие организации. Это самое общее, несколько условное деление.
Отличительная черта экономических агентов принятие и реализация самостоятельных решений в сфере хозяйственной деятельности.
Положение и роль каждого экономического агента определяется его отношением к факторам производства, которыми он владеет. Одни располагают капиталом и обладают экономической властью, определяют формы хозяйствования, участвуют в управлении, занимаются предпринимательской деятельностью. Другие распоряжаются лишь собственной рабочей силой, их возможности влияния на организацию производства, распределение доходов, участие в управлении ограниченны.
К домашним хозяйствам принято относить тех, кто осуществлять операции, связанные с ведением домашнего хозяйства, т.е. преимущественно потреблением. Предполагается, что все экономические ресурсы в конечном счете принадлежат домашним хозяйствам. Они получают доходы, предоставляя экономические факторы рабочую силу, капитал, землю и др., которыми они располагают, иначе говоря, путем оказания факторных услуг.
Полученные доходы используются ими на приобретение необходимых товаров, а также для создания сбережений. Как потребители домашние хозяйства независимы, т.е. они вправе принимать решения самостоятельно, но эта независимость ограничивается размерами доходов и системой регламентации, существующей в обществе.
Предприятия (фирмы) в отличие от домашних хозяйств, выполняющих преимущественно функцию потребления, в основном осуществляют производственную деятельность, а также инвестирование. Предприятия различаются по формам собственности (частные кооперативные, государственные), размерам и масштабам производства, видам производственной деятельности и т.д. В экономической статистике предприятия (фирмы) часто делят на два вида агентов: нефинансовые и финансовые.
Предприятия (фирмы) занимаются предпринимательской, коммерческой деятельностью, цель которой извлечение прибыли. Несколько специфические функции выполняют в обществе некоммерческие организации, например благотворительные фонды, профсоюзные организации, спортивные общества, ассоциации предпринимателей. Их основная задача непосредственное удовлетворение потребностей людей, а не получение прибыли.
Так, цель некоммерческих организаций в области спорта физическое развитие личности и подготовка спортсменов.
Хотя основные функции государства состоят в обеспечении общественных потребностей и безопасности, оно всегда играло важную роль в экономической жизни общества. Государство активно вмешивается в экономику, используя различные формы и методы. Существуют различные показатели и критерии экономической активности государства, среди них доля государственных расходов в ВВП; доля налогов в ВВП; размеры государственной собственности и продукции, производимой государственными предприятиями.

Экономические интересы Интересы экономических агентов обусловливаются их положением в экономической системе, выполняемыми ими функциями. Домашние хозяйства стремятся максимизировать полезность благ, приобретаемых на доходы; они ранжируют свои потребности и осуществляют расходы в пределах имеющихся у них бюджетов. Решения, принимаемые предприятиями (фирмами), неоднозначны: они определяются не только стремлением максимизировать прибыль, но и другими мотивами, например, захват и удержание доли на рынке, расширение масштабов производства, утверждение экономической власти.
Выполняя функции, которые не может реализовать рынок, государство призвано обеспечивать общенациональный интерес, способствовать росту богатства нации. Исключительная роль общенационального интереса, особенно в переходные эпохи, далеко не всегда осознается членами общества. Но именно этот интерес, направляемый на решение коренных задач нации, страны в соответствии с ее положением в мире, наличием ресурсов, особенностями общественного устройства, историей и традициями, является ведущим и определяющим.
В свое время еще Т. Веблен с известной долей иронии замечал, что не следует представлять «экономического человека» в виде механического шарика, своего рода «генерального калькулятора удовольствий и тягот», который руководствуется исключительно денежными мотивами. «Экономический человек» одно из наиболее общих понятий, своего рода модель человека с точки зрения его целей, средств достижения и знаний (информации), которыми он руководствуется. Поведение человека как потребителя и как участника производства весьма неоднозначно. Экономические интересы одна из составляющих его интересов, представляющих достаточно сложную и противоречивую систему.
Следует иметь в виду, что помимо чисто личных интересов люди руководствуются интересами коллектива, села или города, региона, в котором они живут. В решениях и поступках людей присутствуют и более широкие интересы национальные, общества в целом.

2. Собственность За категорией «собственность» стоит чрезвычайно сложная и многослойная система общественных отношений, как экономических, так и юридических, которые настолько взаимопереплетены, что их трудно отделить друг от друга.

Сущность собственности
В самом общем виде собственность можно определить как отношения между экономическими агентами по поводу присвоения Экономических ресурсов и потребительских благ. Также в самом общем виде можно констатировать, что присвоение экономических ресурсов является первичным, определяющим по отношению к присвоению потребительских благ. Вследствие этого в любом обществе, любой стране расслоение населения на богатых и бедных вытекает главным образом из разного отношения людей к экономическим ресурсам как своим или чужим.
Отношения собственности в любом обществе юридически регулируются конституцией, законами и многочисленными подзаконными правовыми актами (указами, постановлениями, распоряжениями различных государственных органов).
Любая национальная экономика включает три типа экономических отношений. Во-первых, технико-экономические отношения, детерминируемые уровнем развития производительных сил, состоянием техники и технологии, но не определяемые отношениями собственности, соотношением спроса и предложения товаров на тех или иных рынках.
Во-вторых, социально-экономические отношения, или отношения собственности как отношения присвоения экономических ресурсов и потребительских благ в сферах производства, обмена, распределения и потребления.
В-третьих, организационно-экономические, или организационно-управленческие отношения. Они детерминируются отношениями собственности и выражаются в формах и характере организации производства на микро- и макроэкономическом уровнях.

Формы собственности
Всем экономическим системам присущ свой набор форм собственности. В традиционной системе этот набор представляется довольно разнородным вследствие ее многоукладности. В наиболее отсталых странах (главным образом в Африке, а также в Азии и Океании), где сохраняется и натурально-общинный уклад, земля и орудия труда принадлежат общинам, которые ведут коллективное хозяйство с натуральным, уравнительным распределением произведенных благ между ее членами, не опосредствованным товарно-денежными отношениями. В мелкотоварном укладе доминирует частная собственность на производственные ресурсы, основанная на личном труде ремесленника, кустаря или крестьянина.
В частнокапиталистическом укладе господствует собственность частных предпринимателей, использующих наемный труд, на производственные ресурсы. Значительная часть последних также находится в собственности государства.
В административно-командной системе важнейшие производственные ресурсы были в собственности прежде всего государства, а также производственных кооперативов (например, колхозов и артелей в бывшем СССР), функционировавших главным образом в сельском хозяйстве. Непосредственные производители здесь выступают как собственники таких ресурсов, как знания (уровень общего и профессионального образования в СССР и европейских социалистических странах был довольно высок), а также рабочая сила. Распределение потребительских благ было (в КНДР и на Кубе еще сохраняется) довольно равномерным, а в некоторых аспектах (услуги образования, здравоохранения и др.) даже с элементами уравниловки.
Оно во многом определялось не отношением к ресурсам, а политическими факторами. В преимущественном положении находился узкий слой правящей партийно-государственной номенклатуры, имевший привилегии в доступе ко многим потребительским благам (жилью, услугам санаториев и других лечебно-оздоровительных учреждений, дефицитным видам продуктов питания и одежды и др.).



Рынок


Разделение труда вызывает специализацию, а та приводит к постоянному обмену между экономическими агентами. Обмен является базой для постоянных хозяйственных связей, отношений между ними. Прежде чем описывать эти связи, следует пояснить ряд исходных понятий, в том числе и ранее упомянутых.
1. Производство, обмен и распределение Производство это процесс создания экономических благ для удовлетворения потребностей человека.

Производство и его секторы
Производство разделено на отрасли, т.е. группы предприятий (фирм), производящих однородную продукцию. Отрасли, с одной стороны, делят на подотрасли, а с другой группируют в народнохозяйственные комплексы: топливно-энергетический, агропромышленный и т.д.
В экономической теории весьма распространено деление экономики на секторы: первичный, вторичный и третичный.
Первичный сектор включает сельское и лесное хозяйство, охоту и рыболовство; вторичный промышленность и строительство. К третичному сектору относят производство услуг (торговлю, транспорт, связь, образование, здравоохранение, науку, культуру, бытовые и коммунальные услуги и т.д.). Первичный и вторичный секторы нередко объединяют в сферу материального производства.
Различают также реальный и финансовый (денежный) секторы. В реальном секторе создаются товары и услуги, а финансовый призван обслуживать сектор, в котором реально производится продукция.
Деление национальной экономики на реальный и финансовый секторы в известной мере условно. Эти секторы различаются целями, характером операций, техническими особенностями. Финансовый сектор не имеет четких границ, он охватывает движение денежных средств, предоставление финансовых услуг, управление финансовой деятельностью.

Понятие обмена
Обмен это процесс движения потребительских благ и производственных ресурсов от одного участника экономической деятельности к другому. Он соединяет производителей и потребителей, связывает членов общества. Через обмен формируется система экономических отношений.
Способы обмена весьма многообразны. Он может производиться с помощью бартера или опосредованно через деньги, быть свободным или строго регулируемым. Одно бесспорно: обмен выгоден для его участников и эффективен для общества.

Распределение
Как обмен, так и функционирование экономики в целом предполагают соблюдение известных пропорций, количественных параметров. Последние определяются в процессе распределения экономических ресурсов и потребительских благ.
Распределение в узком смысле означает определение размера дохода, получаемого отдельными участниками экономической деятельности и социальными группами.
Экономистов интересует, как распределяются доходы, каковы их структура и динамика, как влияет распределение доходов на производство, обмен, потребление.
Распределение доходов в любом обществе не бывает строго равномерным: одни социальные группы (предприниматели, высококлассные специалисты) получают высокие доходы, другие (работники невысокой квалификации, пенсионеры) имеют сравнительно низкие доходы, третьи средний класс, т.е. подавляющая часть квалифицированных работников и членов их семей, получают доходы, обеспечивающие достаточное качество жизни, сложившийся в обществе жизненный стандарт.
Разница в уровнях доходов обусловливается прежде всего тем, какими факторами производства владеет тот или иной экономический агент. Распределение доходов по производственным факторам носит название функционального распределения. При этом определить количественные пропорции практически весьма сложно.
В реальной действительности люди нередко получают доходы не от одного, а от нескольких факторов.
Распределение доходов, как и сама категория доходов, представляет собой достаточно сложную и противоречивую картину. В «иерархии» доходов различают: личные и совокупный, национальный, номинальные и реальные, валовые и чистые, выплачиваемые и располагаемые доходы.
Первичное распределение (по факторам) не всегда справедливо с социальной точки зрения и недостаточно эффективно с экономической. Поэтому оно дополняется вторичным распределением (перераспределением) через систему налогов, субсидий, страховых взносов, последующих выплат из государственного бюджета, общественных фондов. Первичное распределение осуществляется через механизм рынка, процесс перераспределения протекает при активном участии государства.
Доходы связаны с расходами и потреблением. Если совокупные расходы совпадают с совокупным доходом, достигается макроэкономическое равновесие. В реальной динамично развивающейся экономике существует сложная связь доходов и расходов (см. гл.
28).
2. Потребление, сбережение, инвестиции
Понятие потребления Завершающий акт хозяйственной деятельности потребление. Оно представляет собой использование товаров и услуг для удовлетворения текущих и перспективных потребностей.
Когда речь заходит о потреблении, то прежде всего возникает представление о потребительской функции домашних хозяйств. Однако потребляются не только потребительские (продукты питания, одежда), но и инвестиционные товары (станки, оборудование, стройматериалы).
Потребительские товары составляют примерно 2/3 «общественного пирога», остальная 1/3 инвестиционные товары. Они предназначены для восполнения выбывающего реального капитала, говоря по-другому, расходуются на производственное потребление. Главным потребителем производимых благ являются домашние хозяйства, а инвестиционных товаров предприятия (фирмы).
В принципе потребление домашних хозяйств можно определить достаточно точно. Но здесь возникают свои трудности. Одни товары, например продукты питания, напитки, различные услуги, потребляются сразу. Другие, а именно товары длительного пользования автомобили, мебель, жилища, потребляются постепенно, в течение ряда лет, т.е. можно сказать, что они потребляются по частям.
Потребление этих товаров исчисляют не по полной их стоимости, а по стоимости того количества услуг, который предоставляют товары длительного пользования за тот или иной отрезок времени, например за год.
Каждому хозяйству приходится постоянно принимать решение, какую часть дохода израсходовать (потребить) сегодня, какую отложить на будущее на случай непредвиденной ситуации, заболевания, инфляции, с целью накопить средства для приобретения дорогостоящей вещи. Одна часть дохода расходуется на текущее потребление, другая откладывается в виде сбережения.
Сбережения доход, не израсходованный на приобретение товаров и услуг в рамках текущего потребления. Их осуществляют как домохозяйства, так и фирмы. Размер сбережений обратно пропорционален величине потребления. Источниками сбережений служат рост производства (и доходов) или сокращение доли потребления в доходах.
Процесс осуществления сбережений называют термином «сбережение».
Связь между совокупными потребительскими расходами и доходами выражает потребительская функция. Потребительские расходы зависят от величины всего национального и располагаемого доходов.
Уровень потребления характеризуют такие показатели, как средняя склонность к потреблению и предельная склонность к потреблению. Средняя склонность к потреблению это доля дохода (V); израсходованного на потребление (С). Она выражается как отношение С к V. Предельная склонность к потреблению характеризует динамику потребления в результате прироста дохода. Увеличение дохода на одну единицу (долю, часть) ведет к изменению потребления.
Предельная склонность к потреблению (Мс) исчисляется в виде отношения прироста потребления (sС) к приросту дохода (sV), т.е.
Мс = s С: sV.
С экономической точки зрения сбережения представляют ту часть дохода общества (национального дохода), которая призвана пойти на накопление, расширение производства.


Инвестиции
Инвестиции это затраты, направляемые на увеличение или восполнение капитала.
Во многих случаях как синоним инвестиций употребляется термин «валовое накопление». В России его принято делить на три части: инвестиции в финансовые активы (финансовые вложения), например в ценные бумаги, уставный капитал, займы; инвестиции в запасы материальных оборотных средств (в основном это сырье, не до конца изготовленная продукция и еще не проданная готовая продукция); инвестиции в основной капитал, т.е. в машины, оборудование, здания, сооружения, или, говоря по-другому, в тот реальный капитал, который служит более года. Последний вид инвестиций называют капитальными вложениями (капиталовложениями) или валовым накоплением основного капитала.
В свою очередь, эти капиталовложения включают затраты как на возмещение, так и на прирост основного капитала. Амортизация это инвестиционные расходы, которые направляются на возмещение износившихся машин и оборудования, на восполнение отслуживших свои сроки зданий и сооружений.
Чистые инвестиции это ресурсы для строительства новых предприятий, создания нового оборудования, новых транспортных средств и др. Они могут быть исчислены как разница между валовыми инвестициями и средствами, израсходованными на возмещение износа и потерь. Иначе говоря, валовые инвестиции минус амортизация дают величину чистых инвестиций.



Спрос, предложение, цена


В настоящее время в мировой экономике действуют две тенденции. С одной стороны, усиливается целостность мирового хозяйства, его глобализация, что вызвано развитием экономических связей между странами, либерализацией торговли, созданием современных систем коммуникации и информации, мировых технических стандартов и норм. Особенно этот процесс проявляется через деятельность ТНК.
С другой стороны, происходит экономическое сближение и взаимодействие стран на региональном уровне, формируются крупные региональные интеграционные структуры, развивающиеся в направлении создания относительно самостоятельных центров мирового хозяйства.

1. Сущность, предпосылки, цели и эффекты интеграции
Содержание и формы международной экономической интеграции
Международная экономическая интеграция это процесс хозяйственного и политического объединения стран на основе развития глубоких устойчивых взаимосвязей и разделения труда между национальными хозяйствами, взаимодействия их экономик на различных уровнях и в различных формах. На микроуровне этот процесс идет через взаимодействие отдельных фирм близлежащих стран на основе формирования разнообразных экономических отношений между ними, в том числе создания филиалов за границей. На межгосударственном уровне интеграция происходит на основе формирования экономических объединений государств и согласования национальных политик.
Бурное развитие межфирменных связей порождает необходимость межгосударственного (а в ряде случаев надгосударственного) регулирования, направленного на обеспечение свободного движения товаров, услуг, капитала и рабочей силы между странами в рамках данного региона, на согласование и проведение совместной экономической, валютно-финансовой, научно-технической, социальной, внешней и оборонной политики. В результате создаются целостные региональные хозяйственные комплексы единой валютой, инфраструктурой, общими экономическими «задачами, финансовыми фондами, общими наднациональными или межгосударственными органами управления.
Самая простая и наиболее распространенная форма экономической интеграции з о н а с в о б о д н о й т о р г о в л и в рамках которой отменяются торговые ограничения между странами-участницами, и прежде всего таможенные пошлины.
Создание зон свободной торговли усиливает конкуренцию на внутреннем рынке между национальными и зарубежными производителями товаров, что, с Одной стороны, увеличивает опасность банкротств, а с другой является стимулом для совершенствования производства и внедрения нововведений. Отмена таможенных пошлин и нетарифных ограничений касается, как правило, промышленных товаров; в отношении сельскохозяйственных товаров либерализация импорта ограниченна. Это было характерно для ЕС и сейчас наблюдается в Североамериканском регионе и Латинской Америке.
Другая форма т а м о ж е н н ы й с о ю з предполагает наряду с функционированием зоны свободной торговли установление единого внешнеторгового тарифа и проведение единой внешнеторговой политики в отношении третьих стран.
В обоих случаях межгосударственные отношения касаются лишь сферы обмена, с тем чтобы обеспечить для стран-участниц одинаковые возможности в развитии взаимной торговли и финансовых расчетов.
Таможенный союз часто дополняется п л а т е ж н ы м с о ю з о м, обеспечивающим взаимную конвертируемость валют и функционирование единой расчетной денежной единицы.
Более сложной формой является о б щ и й р ы н о к, который призван обеспечивать его участникам наряду со свободной взаимной торговлей и единым внешнеторговым тарифом свободу передвижения капитала и рабочей силы, а также согласование экономической политики.
При функционировании единого рынка формируются общие фонды содействия социальному и региональному развитию, создаются наднациональные органы управления и контроля, совершенствуется правовая система, т.е. возникает единое экономическое, правовое, информационное пространство.
Высшей формой межгосударственной экономической интеграции является экономический и валютный союз, совмещающий все указанные формы интеграции с проведением общей экономической и валютно-финансовой политики: Этот союз имеет место лишь в Западной Европе. Только здесь процесс экономической интеграции прошел все указанные этапы.

Факторы, определяющие интеграционные процессы Экономическая интеграция имеет в своей основе ряд объективных факторов, среди которых важнейшее место занимают:
глобализация хозяйственной жизни;
углубление международного разделения труда (см. гл. 33);
общемировая по своему характеру научно-техническая революция;
повышение открытости национальных экономик. Все эти факторы взаимообусловлены.
В современных условиях развитие устойчивых экономических связей между странами и особенно между их фирмами на основе международного разделения труда приняло глобальный характер. Все большая открытость национальных экономик, деятельность ТНК, развернувшаяся НТР, международная торговля, миграция капитала, современные системы транспорта, связи и информации способствовали переходу процесса интернационализации хозяйственной жизни на такой уровень, на котором образовалась глобальная сеть взаимосвязей в целостном мировом хозяйстве с активным участием в нем основной массы фирм большинства стран мира.
Глобализация хозяйственной жизни наиболее интенсивно идет на региональном уровне, так как большая часть фирм имеет контакты с фирмами соседних стран. Поэтому одна из основных тенденций глобализации мирового хозяйства образование вокруг той или иной страны или группы наиболее развитых стран интеграционных зон, крупных экономических мегаблоков (США на американском континенте, Япония и США в Тихоокеанском регионе, ведущие западноевропейские страны в Западной Европе). В свою очередь, в рамках региональных интеграционных блоков иногда формируются субрегиональные очаги интеграции, что особенно характерно для Тихоокеанского региона.
Продолжается углубление международного разделения труда. Под влиянием НТП усиливается предметное, подетальное, технологическое разделение труда на внутрифирменном и межстрановом уровнях. Возрастает взаимосвязь (взаимозависимость) производителей отдельных стран на основе не только обмена результатами труда, но и организации совместного производства на базе кооперирования, комбинирования, взаимодополняемости производственно-технологических процессов.
Интенсивное развитие .кооперирования между фирмами разных стран привело к появлению крупных международных производственно-инвестиционных комплексов, инициаторами создания которых чаще всего являются ТНК.
Фактор, стимулирующий интеграционные процессы повышение открытости национальных экономик. Характерными чертами открытой экономики являются:
глубокая втянутость экономики страны в систему мирохозяйственных отношений (об этом косвенно свидетельствует большая и продолжающая расти экспортная квота по товарам и услугам в ВВП большинства стран мира, которая в 1995 г. составила 18% в среднем по миру);
ослабление или полная ликвидация ограничений на межстрановые перемещения товаров, капитала, рабочей силы;
конвертируемость национальных валют.
Развитию межгосударственной экономической интеграции способствует наличие целого ряда предпосылок. Так, интеграционные процессы наиболее продуктивно происходят между странами, находящимися примерно на одинаковом уровне экономического развития и имеющими однородные хозяйственные системы.
Другая, не менее важная предпосылка географическая близость интегрирующихся стран, расположенных в одном регионе и имеющих общую границу.
Возможность и целесообразность интегрирования во многом определяется наличием между странами исторически сложившихся и достаточно прочных экономических связей. Большое значение имеет общность экономических интересов и проблем, решение которых совместными усилиями может быть значительно эффективнее, чем порознь. Примером может служить наиболее развитая форма интеграции, сложившаяся в Европейском союзе.

Цели и эффекты интеграции Цели международной экономической интеграции конкретизируются в зависимости от той формы, в которой происходит интегрирование. При формировании зоны свободной торговли и таможенного союза (эти формы интеграции сейчас являются наиболее распространенными) страны-участницы стремятся обеспечить расширение рынка и создание благоприятной среды для торговли между собой, одновременно препятствуя продвижению на рынок конкурентов из третьих стран.
В Европе Римский договор (1957 г.), провозгласив в качестве конечной цели создание общего рынка, т.е. целостного рыночного пространства, по существу явился правовой основой для формирования зоны свободной торговли и в дальнейшем таможенного союза. Реализация этой глобальной цели была конкретизирована Единым европейским актом (1986 г.). Предполагалось:
создание «зоны без внутренних границ» со свободным движением всех факторов производства;
проведение общей отраслевой и научно-технической политики в приоритетных сферах хозяйственной деятельности;
проведение единой региональной политики с целью выравнивания социально-экономического развития как стран-участниц, так и отдельных административных регионов;



Спрос, предложение, цена


Рынок как экономический механизм, пришедший на смену натуральному хозяйству, формировался на протяжении тысячелетий, в течение которых менялось и содержание самого понятия. 1. Сущность и условия возникновения рынка В экономической теории термин «рынок» имеет несколько значений, но основное его значение таково: рынок это механизм взаимодействия покупателей и продавцов экономических благ.
Отношения между покупателями и продавцами, т.е. рыночные отношения, начали складываться еще в глубокой древности, до возникновения денег, которые и появились затем во многом для того, чтобы обслуживать эти отношения.
По мере разложения натурального хозяйства и развития производства товаров на продажу менялось само представление о рынке. Современный рынок, оставаясь механизмом взаимодействия покупателей и продавцов, превратился в систему регулирования хозяйственной жизни (экономики).
Рынок обслуживает производство, обмен, распределение и потребление. Для производства рынок поставляет необходимые ресурсы и реализует его продукцию, а также определяет спрос на нее. Для обмена рынок является главным каналом сбыта и закупок товаров и услуг. Для распределения он является тем механизмом, который определяет размеры доходов дяя владельцев ресурсов, продающихся на рынке. Для потребления рынок это тот канал, через который потребителю поступает основная часть необходимых ему потребительских благ.
Наконец, рынок это то место, где определяется цена, являющаяся главным индикатором рыночной экономики.
Каковы же исторические условия, сделавшие рынок объективно необходимым?

Условия возникновения рынка
П е р в о е у с л о в и е разделение труда, которое ведет к специализации и обмену.
Первоначально обмен имел примитивные формы. По наблюдениям этнографов, на о. Калимантан и территории нынешней Малайзии это происходило так. «Продавцы», положив свои продукты для обмена, удалялись, дабы дать возможность «покупателям» подойти и рассмотреть их. Если «покупатели» хотели приобрести предложенные им предметы, они оставляли свои и удалялись.
Тогда возвращались «продавцы» и в случае согласия забирали оставленные предметы, взамен оставив свои.
Здесь мы наблюдаем зародыш бартера одной из простейших форм обмена. Конечно, ему еще далеко до подлинного рынка. Ведь интересы «покупателя» и «продавца» могли не совпадать.
Тогда приходилось совершать не один, а несколько обменов, чтобы за свой продукт получить то, что требовалось.
Развитие обмена привело к появлению денег, которое расширило стимулы к производству тех или иных товаров специально для продажи. Только тогда и смогло появиться товарное производство в подлинном смысле слова, т.е. производство таких изделий, которые нужны их производителю не для собственного потребления, а в качестве носителя стоимости, позволяющего получить взамен десятки других нужных ему предметов. Иными словами, появилось производство на рынок, для удовлетворения потребностей других экономических агентов.
В т о р о е у с л о в и е самостоятельность экономических агентов, или, как часто говорят экономисты, обособленность хозяйственных субъектов. Товарный обмен обязательно предполагает стремление к взаимовыгодности. Никто не хочет проиграть, т.е. все хотят получить взамен своего товара желаемое количество другого.
А такое стремление возникает на основе экономической самостоятельности, выражающейся в экономической ограниченности, обособленности интересов. Эта самостоятельность (обособленность) исторически возникает на базе частной собственности. В дальнейшем она начала опираться и на коллективную собственность, но обязательно ограниченную каким-то локальным кругом интересов (кооперативы, товарищества, акционерные общества, государственные предприятия, смешанные предприятия, т.е. с государственным участием, и т.д.).
Для эффективного функционирования рыночного хозяйства необходимо и т р е т ь е условие свобода предпринимательства. Внерыночное регулирование хозяйства имеет место в любой системе. Институциональная система дополняет рынок. Институты это законы, нормы, традиции, организационные структуры. Именно институты создают ту среду, в которой функционируют рынки, и определяют систему сдержек и противовесов, противодействующих произволу и деформации рыночных отношений.
Но в целом, чем меньше скован товаропроизводитель, тем больше простора для развития рыночных отношений.

Трансакционные издержки
Таким образом, рынок является сложным механизмом, на котором совершаются сделки между покупателями и продавцами экономических благ. Расходы на совершение рыночных сделок называются т р а н с а к ц и о н н ы м и и з д е р ж к а м и. Это издержки на сбор и обработку информации о состоянии рынка, на поиск покупателя (продавца) и ведение с ним переговоров и заключение контракта, а также на контроль за его соблюдением. Нобелевский лауреат Рональд Коуз в своей знаменитой статье «Природа фирмы» выдвинул концепцию (ее теперь разделяют большинство экономистов), согласно которой наиболее эффективно рыночные сделки осуществляются через фирмы, а не между индивидуумами.
Говоря иначе, покупая товар в магазине, покупатель экономит на трансакционных издержках. По мнению Р. Коуза, «экономия на трансакционных издержках по сравнению с индивидуумами является одной из главных причин существования фирм вообще»'.


' Коуз Р.Г. Природа фирмы // Теория фирмы / Под ред. В.М.
Гальперина. СПб., 1995. С. 11-32.

2. Виды рынков и их структура Рынок как механизм («большой» рынок) состоит из отдельных («малых») рынков капитала, труда, продовольствия, жилья, страховых услуг и т.д. «Малые» рынки бывают двух видов: ресурсов и продукции (товаров и услуг).
Экономические агенты возникают на «большом» рынке как собственники экономических ресурсов (труда, земли, капитала, предпринимательских способностей, знаний). Через соответствующие рынки они продают фирмам свои ресурсы, получая за это доходы.
Производители используют приобретенные ресурсы для организации производства продукции, которую затем продают на рынках продукции. Здесь она приобретается потребителями за их доходы.
Любой рынок можно дробить на все более узкие. Так, если в рынках ресурсов выделить рынок труда, то он, в свою очередь, состоит из рынков по группам специализаций (машиностроители, работники транспорта, финансисты и т.д.) и по отдельным специальностям.
3. Функции рынка Функции рынка определяются стоящими перед ним задачами Рыночный механизм призван найти ответы на три ключевые во проса: что, как и для кого производить? Для этого рынок выполняет ряд функций ( 5.1)




Спрос, предложение, цена





5.1, Функции рынка

Ценообразующая функция В результате взаимодействия производителей и потребителей, предложения и спроса на товары и услуги на рынке формируется цена. Она отражает полезность товара и издержки на его производство (см. 6.2).
В отличие от административно-командной системы в рыночной экономике эта оценка происходит не до обмена, а в ходе его. Рыночная цена представляет собой своего рода итог, баланс сопоставления затрат производителей и полезности (ценности) данного блага для потребителей. Таким образом, в процессе рыночного обмена цена устанавливается путем сопоставления затрат (издержек) и полезности обмениваемых благ

Информационная функция Цена, складывающаяся на каждом из рынков, содержит богатую информацию, необходимую всем участникам хозяйственной (экономической) деятельности. Постоянно изменяющиеся цены на продукты и ресурсы дают объективную информацию о потребном количестве, ассортименте, качестве благ, поставляемых на рынки. Высокие цены свидетельствуют о недостаточном предложении, низкие цены об избытке благ по сравнению с платежеспособным спросом.
Стихийно протекающие операции превращают рынок в гигантский компьютер, собирающий и перерабатывающий колоссальные объемы точечной информации, выдающий обобщенные данные по всему хозяйственному пространству, которое он охватывает. Концентрируемая рынком информация позволяет каждому участнику хозяйственной деятельности сверять собственное положение с рыночной конъюнктурой, приспосабливая к запросам рынка свои расчеты и действия.

Регулирующая функция Она связана с воздействием рынка на все сферы хозяйственной деятельности, прежде всего на производство. Постоянные колебания цен не только информируют о состоянии дел, но и регулируют хозяйственную деятельность. Растет цена сигнал к расширению производства; падает цена сигнал к его сокращению.
Информация, предоставляемая рынком, заставляет производителей снижать затраты, улучшать качество продукции.
Образно говоря, на рынке действует регулирующая «невидимая рука», о которой еще писал Адам Смит: «Предприниматель имеет в виду лишь свой собственный интерес, преследует собственную выгоду, причем в этом случае он невидимой рукой направляется к цели, которая совсем не входила в его намерения. Преследуя свои собственные интересы, он часто более действенным способом служит интересам общества, чем тогда, когда сознательно стремится служить им»'.



' Смит А. Исследование о природе и причинах богатства народов. М., 1962.


В то же время, являясь регулятором хозяйственной жизни, рынок неоднократно демонстрировал, что не все процессы макроэкономического регулирования ему подвластны. Это проявляется в периодических спадах, инфляции, безработице.



Современные направления и школы экономической теории


Важнейшими элементами рыночного механизма являются спрос, предложение и цена. Как уже отмечалось, рынок есть механизм взаимодействия покупателей и продавцов, в ходе которого они, соотнося спрос и предложение товара, определяют его цену. 1. Полезность, ценность (стоимость) и цена товара Испытывая потребности в тех или иных благах, потребители вынуждены постоянно определять полезность этих благ, так как в условиях их ограниченности приходится делать выбор. Для этого потребители постоянно сравнивают полезность тех благ, которые им необходимы и доступны.


Полезность и ее измерение
Полезностью называется то удовлетворение, которое благо приносит потребителю. Определяя для себя степень полезности того или иного блага, потребитель оценивает размер той пользы, которую принесет ему потребление блага. Для этого каждый потребитель как бы выстраивает для себя шкалу, по которой он оценивает размер пользы для себя от различных благ.
Понятно, что у разных людей она различна: если человек любит охоту или рыбалку, то охотничье ружье или спиннинг представляют для него большую пользу, а для всех остальных они малополезны. Однако в том или ином обществе возможно выявление средних для всех его членов оценок полезности различных благ или хотя бы сравнений: какое благо для них более полезно, а какое менее. Оценка полезности зависит от субъективных и объективных обстоятельств. На уровне индивидуума она часто весьма субъективна.
Во-первых, оценка полезности одного и того же блага для разных индивидуумов может отличаться, как, например, в случае с охотничьим ружьем и спиннингом. Во-вторых, даже у одного индивидуума оценка полезности одного и того же блага зависит от обстоятельств его потребления. Так, если очень хочется пить, то стакан воды имеет больше полезности, чем в обычном случае, а если сегодня утром не хочется есть обычную порцию каши, то ее полезность для индивидуума будет снижена.

Закон убывающей предельной полезности
На уровне группы, коллектива, страны субъективизм в оценке полезности благ меньше, преобладает усредненная и поэтому более объективная оценка. Это позволило немецкому ученому Герману Госсену (18101858) сформулировать законы, касающиеся оценки полезности.
По мере увеличения потребления блага его полезность уменьшается. Например, в случае сильной жажды индивидуума он наиболее высоко оценивает полезность первого стакана воды, его оценка полезности второго стакана меньше, третьего еще меньше, а четвертый стакан воды имеет для него очень низкую полезность. П е р в ы й з а к о н Г о с с е н а, более известный как закон убывающей предельной полезности, гласит, что каждая последующая (предельная) порция блага все менее полезна с точки зрения индивидуума, а в результате и совокупная полезность всего блага для него снижается. Таким образом, если блага много, то оно ценится очень дешево, а именно по полезности последней (предельной) доступной потребителю порции этого блага.
В нашем примере это полезность для потребителя последнего стакана воды, которая и определит его оценку полезности пресной воды.
Отталкиваясь от своего первого закона, Госсен сформулировал свой второй закон, суть которого состоит в том, что «общее количество потребляемых благ устанавливается таким, при котором равны предельные полезности каждого блага»'.




Майбурд Е.М. Введение в историю экономической мысли. М. 1996.
С. 333.

Иначе говоря, потребляя одновременно много благ, каждый индивидуум покупает для себя такой набор их, в котором предельные полезности каждого блага равны, или приносят ему одинаковое удовлетворение. Так, в наборе продовольствия, который холостяк покупает в течение недели, присутствует несколько буханок хлеба, один батон колбасы, несколько литров молока, пара килограммов яблоки, возможно, банка каких-либо деликатесов, например красной икры. Предельная полезность последней ложки этой искры для данного покупателя равна предельной полезности последнего куска колбасы, или последнего стакана молока, или последнего из купленных им яблок. Это достаточно важный момент, который позволяет понять, чем руководствуется индивидуум при покупке набора благ (см.
9.2).

Ценность (стоимость)
Ценность это денежная оценка потребителем полезности блага. Обычно она определяется потребителем так: к цене лучшего из доступных ему альтернативных товаров (цена такого товара называется ценой безразличия) потребитель прибавляет (вычитает) свою денежную оценку положительных и отрицательных отличий данного товара от базового (т.е. берущегося за базу).
Ценность имеет синоним стоимость. Оба термина взаимозаменяемы. Но в советской политической экономии термин «стоимость» имел другое значение, чем термин «ценность» в классической и современной экономической теории. По мнению советских политэкономов, термин «стоимость» означал, что потребитель определяет ценность товара (как говорят марксисты, потребительную стоимость товара) в конечном счете на основе затраченного на изготовление этого товара труда.
Термин же «ценность», по их мнению, не подразумевал привязанность к трудовой теории (концепции) стоимости и означал приверженность к немарксистской экономической теории. В современной России эти термины обычно не противопоставляются.

Парадокс ценности В своей книге «Богатство народов» Адам Смит сформулировал так называемый парадокс ценности, согласно которому польза от воды огромна, но ценность ничтожна, и в то же время бриллиант, который не имеет никакой практической ценности, имеет высокую цену. Ответ на этот парадокс может быть таким. Вода относительно изобильна, а бриллианты редки. Ценность воды и бриллианта определяется их предельной полезностью.
Из-за того, что воды в мире много, ее предельная полезность (определяемая последним стаканом воды) очень мала. У бриллиантов, которые относительно редки, предельная полезность намного выше.

Понятие и сущность цены Ценой называется количество денег, за которое продается и покупается экономическое благо. Цена определяется на рынке в результате взаимодействия покупателей и продавцов, в ходе которого они сравнивают предложение и спрос на товар и устанавливают цену. Так как цена устанавливается на уровне, когда предложение товара равно спросу на него (предложение и спрос находятся в равновесии), то рыночная цена обычно является равновесной ценой (см.
6.2).
Но что стоит за спросом и предложением? Различные направления экономической теории предлагают различные ответы на этот простой, казалось бы, вопрос. Классическая экономическая теория полагала, что в основе цены, которая устанавливается в ходе обмена товара на другие ценности (меновая цена), лежат затраты на производство этого товара.
Таким образом, цена товара определяется прежде всего издержками на его производство, т.е. платой за использованные экономические ресурсы. Как писал Адам Смит, «в целом цена все же сводится непосредственно или в конечном счете к... трем составным частям: к ренте, заработной плате и прибыли»'.




Антология экономической классики. В2т. М., 1991.Т.
1. С. 121.


Трудовая теория стоимости, полагающая, что главный фактор это труд, была развита другим классиком Давидом Рикардо (17721823).
Маржиналистская концепция полагает, что в основе стоимости (ценности) товара лежит его полезность для потребителя, точнее, предельная полезность. Еще Карл Менгер (18401921) выдвинул, а Евгений Бем-Баверк (18511914) развил положение, что именно соотношение предельных полезностей обмениваемых товаров и обусловливает пропорции их обмена, т.е. цены.
Неоклассическая теория в лице ее основателя Альфреда Маршалла предложила свой взгляд на цену и ценообразование. Подход Маршалла является синтезом классического и маржиналист-ского подхода к цене. Маршалл исходил из того, что Рикардо и Бем-Баверк сосредоточили свое внимание на различных сторонах одного и того же процесса формирования ценности.

Два лезвия одних ножниц Итак, согласно выработанному неоклассической теорией подходу цена товара определяется двумя принципами: предельной полезностью и издержками производства. Цена, которую покупатель согласен уплатить за товар, обусловливается степенью полезности товара. Цена, которую назначает продавец, имеет в своей основе издержки производства товара. Цены формируются не посредством их «усреднения», а в ходе своеобразного компромисса между покупателями и продавцами как предельно допустимые со стороны спроса и со стороны предложения.
Это два взаимодействующих между собой принципа цены. Маршалл писал: «Принцип «издержек производства» и принцип «конечной полезности», без сомнения, являются составными частями одного всеобщего закона спроса и предложения, каждый из них можно сравнить с одним из лезвий ножниц»'.



' Маршалл А. Принципы экономической науки. В 3 т. М., 1993. Т. III.
С. 282. 8 - 1130

Подобную модель ценообразования можно назвать двухфакторной.
2.Спрос, предложение, рыночная цена
Что такое спрос?
Спрос это количество товара, которое хотят и могут приобрести покупатели за определенный период времени при всех возможных ценах на этот товар.
В условиях рынка действует так называемый закон спроса, суть которого можно выразить следующим образом. При прочих равных условиях величина спроса на товар тем выше, чем ниже цена этого товара, и наоборот, чем выше цена, тем ниже величина спроса на товар. Действие закона спроса объясняют существованием эффекта дохода и эффекта замещения. Эффект дохода выражается в том, что при снижении цены товара потребитель чувствует себя богаче и хочет приобрести большее количество товара.
Эффект замещения состоит в том, что при снижении цены товара потребитель стремится заместить этим подешевевшим товаром другие, цены на которые не изменились.



Фирма как объект микроэкономического анализа


Современные направления и школы экономической теории, аккумулируя все лучшее из опыта ее многовекового развития, служат основой экономической политики государств, способствуют поиску путей преодоления противоречий хозяйственной жизни. В этой главе будут рассмотрены важнейшие современные направления в экономической науке. 1. Развитие и преемственность экономической науки
Экономическая теория и доктрина Под экономической теорией принято понимать основанное на фактах, подкрепленное аргументами и обоснованиями научное обобщение процессов, происходящих в экономической жизни. В отличие от доктрины теория исходит не из заранее заданных принципов, положений, а из реальных факторов, событий, процессов.
Экономическая действительность весьма многообразна, противоречива и изменчива, и экономическая наука не вправе претендовать на абсолютно точное, адекватное отражение действительных процессов и тенденций. Научное знание постигает истину лишь с известной степенью приближения и по мере происходящих в экономической жизни изменений уточняет или отбрасывает прежние представления, приходит к новым обобщениям и выводам.
В экономической науке существуют разные направления и школы, в основе типологии которых лежат различия в методах анализа, понимании предмета и задач исследования, общем концептуальном подходе к анализу и разработке экономических проблем. Это деление в значительной мере условно. В рамках одного направления может существовать несколько школ.
Например, монетаризм (школа) развивается в общем русле неолиберального направления, экономика предложения (школа) примыкает к неоклассическому направлению.
Нередко школы получают свое наименование по географическому признаку стокгольмская, лондонская, кембриджская. Представители одной школы объединяются в силу общности взглядов, методологии, позиций, хотя обычно различаются по изучаемой проблематике, кругу интересов, занимаются разработкой более частных проблем. К одной школе принадлежат нередко профессора одного крупного вуза, ученики и продолжатели идей и концепций «основателя» школы.
Классическая экономическая теория как особая область научных знаний возникла в период разложения феодализма и зарождения капитализма. Эта теория формировалась и утверждалась под названием политической экономии, хотя нередко крупные экономисты использовали и иную терминологию. Англичанин Уильям Петти (16231687), Колумб политической экономии, основатель экономической статистики, именовал свою науку политической арифметикой. Создатель первой макроэкономической модели француз Франсуа Кенэ (16941774) называл себя экономистом.
Основной труд шотландца Адама Смита (17231790), классика политической экономии, получил название «Исследование о природе и причинах богатства народов». Главная его идея состоит в том, что люди, преследуя собственные интересы и личную выгоду, создают, ведомые «невидимой рукой» рыночных законов, блага и выгоды для общества в целом. Английский предприниматель и экономист Давид Рикардо, завершивший создание классической экономической теории, оставил нам «Начала политической экономии».
Труд теоретика и систематика англичанина Джона Стюарта Милля (18061873) назывался «Основания политической экономии».

Истоки проблем и концепций Здесь нет возможности, да и необходимости сколь-нибудь детально рассмотреть взгляды и выявить значимость каждой теории, школы или направления, показать их эволюцию и преемственность. Хотелось бы лишь напомнить, что появление тех или иных взглядов и концепций всегда тесно связано с объективными условиями, потребностями и интересами живой экономической практики.
Так, меркантилисты превозносили и абсолютизировали созидательную роль торговли, что было обусловлено небывалым ростом торговых операций, великими географическими открытиями и усилением роли и влияния представителей торгового капитала. Накопление благородных металлов, золота и серебра, меркантилисты рассматривали в качестве главной хозяйственной цели и главной заботы государства. Физиократы, стремившиеся отбить натиск торгового капитала, утверждали, что национальное богатство увеличивают только «дары земли», т.е. сельское хозяйство.
Они рассчитывали с помощью реформ сохранить старый порядок с господством земельной собственности, избежать острых коллизий и «жестокостей» нового общественного строя.
Развитие рыночных отношений периода свободной конкуренции породило необходимость создания системы экономических знаний, нашедшей свое выражение в формировании классической школы.
Разумеется, появлению новых теорий, созданию оригинальных работ предшествует накопление эмпирического материала, проведение исследований и обобщений в отдельных, сравнительно узких областях экономической науки и практики. Новые концепции опираются на труды и разработки предшественников; они, как правило, систематизируют и упорядочивают накопленное теоретическое богатство. Памятуя о сказанном, попытаемся кратко обрисовать некоторые важнейшие современные направления и школы экономической теории.
2. Неоклассическая теория Главная проблема, которая находилась в центре внимания представителей неоклассиков Альфреда Маршалла, Артура Пигу (18771959) и др., удовлетворение потребностей человека. Определяя цели экономической науки, неоклассики говорили о влиянии различных факторов на экономическое благосостояние. На первый план ими выдвигалась потребительная стоимость (полезность) благ (товаров и услуг) и спрос на эти блага со стороны потребителей.
При этом представители неоклассиков исходили из того, что экономические законы одинаковы для любого общества: как для индивидуального хозяйства, так и для современных, весьма сложных экономических систем.

Концепция равновесной цены А. Маршалл разработал концепцию, явившуюся своего рода компромиссом между различными направлениями экономической науки, и в частности теориями стоимости. Его концепция и работы получили широкое распространение в конце ХIХ начале ХХ в. (до Кейнса). Ключевая идея Маршалла состоит в переключении усилий с теоретических споров вокруг стоимости на изучение проблем взаимодействия спроса и предложения как сил, опреляющих протекающие на рынке процессы.
Он обстоятельно проанализировал, как складываются и взаимодействуют спрос и предложение, ввел понятие эластичности спроса, предложил свою, «компромиссную» теорию цены.
Маршалл использовал понятие равновесной цены: когда «цена Спроса равна цене предложения, объем производства не обнаруживает тенденции ни к увеличению, ни к сокращению; налицо равновесие. Когда спрос и предложение пребывают в равновесии, количество товара, производимого в единицу времени, можно назвать равновесным количеством, а цену, по которой он продается, равновесной ценой»'.



Маршалл А. Принципы экономической науки. В Зт. М., 1993.
Т.II. С. 28.



График равновесной цены, предложенный Маршаллом, используется во многих учебниках по экономическим наукам.

«Предельная полезность» и концепция предельных величин
Задачу выявить предпочтения потребителей путем соизмерения сопоставления полезностей (потребительных стоимостей) поставили перед собой экономисты австрийской школы Карл Менгер, Евгений Бем-Баверк и др. Они пришли к заключению, что потребительский выбор зависит от степени значимости приобретаемого блага для данного индивидуума, уровня насыщенности и количества этих благ, возможности их воспроизводства. Острота нужды в том или ином благе неодинакова, существует своего рода иерархия потребностей. Одно дело кусок хлеба, чтобы не умереть с голода; стакан воды, чтобы утолить жажду; пара обуви, чтобы не ходить босиком. И другое дело наличие значительного количества подобных благ, что существенно изменяет остроту потребности, степень их полезности.
Полезность одного ломтя хлеба, одного стакана воды, одной пары обуви намного выше полезности сотни стаканов воды, корзины хлеба, нескольких десятков пар обуви. Как уже отмечалось, по мере потребления новых единиц, частей, долей блага (потребительной стоимости) темп нарастания пользы падает, добавочная полезность, приносимая каждой новой долей, порцией, снижается. Важность (ценность) благ (потребительных стоимостей) определяет не средняя, а н а и м е н ь ш а я, добавочная полезность, приносимая каждой очередной и в каждом конкретном случае «последней», конечной единицей, долей, порцией блага.
Для обозначения этой добавочной, наименьшей по величине полезности употребляется термин предельная полезность. Под предельной полезностью принято понимать наименьшую из всех удовлетворяемых из имеющегося запаса (набора, комплекта).

Экономические модели
Переключение усилий на анализ взаимосвязи спроса и предложения как исходных моментов ценообразования оказало существенное влияние на разработку и понимание других проблем экономической науки, формирование системы взглядов, трактовку основных категорий и методологию неоклассиков. Представители неоклассической школы, занимаясь анализом рыночной экономики, широко используют экономические модели в качестве важнейшего инструмента научного исследования. Экономические модели представляют собой формализацию сложных экономических отношений; модели это диаграммы, графики, таблицы, формулы, применение которых помогает понять суть экономических событий, вскрыть и обрисовать существо и характер функциональных взаимосвязей.
Например, кривая Лоренца показывает, как изменяется распределение дохода между основными группами населения (беднейшими, наиболее богатыми и промежуточными); график равновесной цены помогает выяснить, как формируется цена в результате взаимодействия спроса и предложения; уравнение денежного обмена отражает взаимосвязь между количеством денег в обращении и уровнем цен.



Эластичность спроса и предложения на рынке


В микроэкономическом анализе главным объектом является фирма (предприятие). Это объясняется тем, что в современной экономике именно предприятия (фирмы) производят основную массу товаров и услуг, которые удовлетворяют потребности человека. В данном учебнике термины «фирма» и «предприятие» рассматриваются как синонимы, хотя на практике это не всегда так.
Например, фирма может состоять из нескольких предприятий, но тогда они будут выступать как составные части этой фирмы.
  1. Предпринимательские способности (предпринимательство как экономический ресурс)

Что такое предпринимательские способности (предпринимательство)? Предпринимательские способности (предпринимательство) можно определить как экономический ресурс, в состав которого следует включать предпринимателей, предпринимательскую инфраструктуру, а также предпринимательскую этику и культуру.
В свою очередь, к предпринимателям относятся прежде всего владельцы компаний, менеджеры, не являющиеся их собственниками, а также организаторы бизнеса, сочетающие в одном лице владельцев и управляющих.
Используют также термин «предпринимательский потенциал». В целом предпринимательский потенциал можно охарактеризовать как потенциальные возможности по реализации предпринимательских способностей людей.
Уникальность значения предпринимательства состоит в том, что именно благодаря ему приходят во взаимодействие прочие экономические ресурсы труд, капитал, земля, знание. Инициатива, риск и умение предпринимателей, помноженные на рыночный механизм, позволяют с максимальной эффективностью использовать все прочие экономические ресурсы, стимулировать экономический рост. Как показывает опыт многих стран с рыночной экономикой, их экономические достижения, в том числе темпы экономического роста, инвестиции, нововведения, напрямую зависят от реализации предпринимательского потенциала.
Так, экономический курс, ориентированный на поддержку предпринимательства, уменьшение государственных расходов, и государственного регламентирования, позволил США и ряду других стран Запада эффективно преодолеть многие трудности 8090-х гг.
Можно утверждать, что предпринимательские способности как ресурс более эффективно реализуются в условиях максимально либеральной экономической системы, не обремененной чрезмерной государственной бюрократией, имеющей также устоявшиеся предпринимательские традиции и соответствующее законодательное оформление. При этом очевидно, что залогом успешного использования предпринимательских способностей являются прежде всего сами предприниматели, их квалификация и уровень образования, способность брать на себя ответственность и инициативу, умение ориентироваться в высококонкурентной среде, а также их чувство социальной ответственности.
В странах с высоким предпринимательским потенциалом важную роль обычно играет малый и средний бизнес, являющийся питательной средой предпринимательства, своего рода «кузницей» предпринимательских кадров. В США, например, 40% ВНП создается на предприятиях малого и среднего бизнеса. Государство оказывает предпринимательству широкую поддержку.
В стране, наряду с поддерживающим предпринимательство федеральным органом Администрацией малого бизнеса, при органах исполнительной власти на местах действуют 19 тыс. региональных комиссий по экономическому развитию, призванных способствовать развитию бизнеса в конкретном регионе, росту производства перспективных товаров и услуг, имеющих спрос в данной местности. Кроме того, в США в середине 90-х гг. действовало около 600 так называемых предпринимательских инкубаторов, т.е. специализированных государственных и частногосударственных учреждений, осуществляющих многоплановую поддержку вновь создающимся компаниям. Такой бизнес-инкубатор территориально объединяет новые компании под одной крышей и способствует их «выращиванию» и становлению.

Предпринимательский доход Предпринимательская способность как ресурс имеет свою специфическую оплату предпринимательский доход. В реальной хозяйственной жизни его трудно выделить, тем не менее это не абстрактная экономическая категория. Предпринимательский доход это та плата, которую получает предприниматель за свою организаторскую работу по объединению и использованию экономических ресурсов, за риск убытков от использования этих ресурсов за хозяйственные инициативы (инновации) и монопольную рыночную власть.
В экономической теории предпринимательский доход делят на две части, образующих основу нормальной прибыли и экономической прибыли (см. 3.3). К первой относят как бы гарантированный доход предпринимателя, своего рода его заработную плату; ко второй плату за риск, инновации, монопольную власть.
Понятно, что величина предпринимательского дохода колеблется прежде всего за счет второй составляющей.
2. Цели и функции фирмы Предприниматели создают в рыночной экономике сектор предприятий. Предприятия (фирмы), составляющие основу этого сектора, представляют собой самостоятельные хозяйственные единицы разных форм собственности, объединившие экономические ресурсы для осуществления коммерческой деятельности. Под последней понимается деятельность по производству товаров и оказанию услуг для третьих лиц, физических и юридических, которая должна приносить предприятию коммерческую выгоду, а именно прибыль.

Целевые установки фирмы Конечной целью деятельности фирмы является упрочение ее позиций на рынке, прежде всего за счет максимизации прибыли. Цель максимизации денежной прибыли является безусловно определяющей в условиях совершенной конкуренции, когда на рынке действует достаточно фирм и нет препятствий для появления новых.
В условиях несовершенной конкуренции извлечение максимальной прибыли дополняется, уточняется, ограничивается или даже иногда замещается другими целевыми установками фирмы, прежде всего такими, как максимизация валовой выручки (продаж) при обеспечении удовлетворительного объема чистой выручки (прибыли); максимизация темпов роста валовой выручки (продаж); выход на новый рынок; сохранение или увеличение имеющейся доли рынка.
Характер целевых установок предприятия определяется состоянием экономики в целом, тенденциями развития конкретной отрасли, к которой относится его деятельность, и характером конкуренции в ней, а также стадией цикла жизни самого предприятия.
Цикл жизни предприятия (фирмы) это определенный период времени, в течение которого оно обладает жизнеспособностью на рынке. Типичная модель жизненного цикла предприятия представлена четырьмя стадиями (выход на рынок, рост, зрелость, упадок), каждая из которых характеризуется определенным соотношением объема продаж и прибыли. Первая стадия характеризует собственно процесс .создания и становления предприятия, за которым стоят определенные начальные вложения капитала.
Целевая установка на этой стадии выход на рынок, обеспечение стартового уровня продаж. На второй стадии цикла жизни предприятие проводит активную рыночную экспансию, наращивает темпы роста продаж. Целевой установкой является расширение производственных мощностей, захват рынков. На третьей стадии в центре стоит максимизация валовой выручки, рост прибылей.
Целевая установка борьба за удержание своей доли рынка, рост производственных мощностей отходит на второй план по сравнению с сокращением издержек. На четвертой стадии происходит снижение объемов продаж и вместе с ним сокращение прибыли вплоть до возникновения убытков (результаты коммерческой деятельности предприятия становятся отрицательными). На этой стадии единственной целью предприятия становится либо продолжение его операций в течение определенного периода времени для минимизации убытков, либо выживание на рынке (сохранение его жизнеспособности) с последующим использованием его ресурсной базы для новой рыночной экспансии.
Минимизация убытков является оборотной стороной максимизации прибыли как одной из целей деятельности предприятия. Эти два понятия неразрывно связаны между собой. Однако следует отметить, что, будучи ориентированной на высокий положительный результат, в краткосрочном плане фирма может переживать менее успешные периоды своей деятельности. Речь идет о финансовых потерях, возникновение которых напрямую связано с рисками, сопровождающими предпринимательскую деятельность (см.
5.6). Предпринимательский риск, собственно, и определяется как вероятность возникновения у фирмы финансовых потерь, к которым относится и недополучение прибыли по сравнению с прогнозируемой величиной, и возникновение убытков.

Система ценностей Процветающее предприятие это предприятие, занимающее прочные позиции на рынке и получающее устойчивую прибыль от своей деятельности. Эта задача-максимум может быть реализована на стабильной основе только через осознание и наиболее полное удовлетворение общественных потребностей или, согласно получившей широкое распространение в теории и практике бизнеса концепции, через создание системы ценностей для трех общественных групп: владельцев (акционеров) предприятия, потребителей его продукции, поставщиков и персонала предприятия. Владельцы (акционеры) предприятия заинтересованы в постоянном и все возрастающем потоке доходов и таком использовании собственных и привлеченных средств, которое увеличивает ценность принадлежащей им собственности.
Персонал и поставщики заинтересованы в стабильности предприятия, развитии с ним долгосрочных отношений, благоприятной рабочей атмосфере. Для потребителей наивысшую ценность представляют товары и услуги, удовлетворяющие их по качеству и цене ( 8.1).



Государственное регулирование рынка труда


О макроэкономических издержках безработицы говорит, в частности, закон Оукена, отражающий отношение между уровнем безработицы и отставанием объема ВВП. Это отставание представляет собой объем, на который фактический ВВП меньше потенциального его значения. В свою очередь, потенциальный ВВП определяется исходя из предположения, что существует естественный уровень безработицы при данных темпах экономического роста. Согласно закону Оукена превышение текущего уровня безработицы на 1% над предполагаемым естественным ее уровнем (при полной занятости) увеличивает отставание объема ВВП на 2,5%.
Это отношение 1:2,5, т.е. уровня безработицы к отставанию объема ВВП, позволяет вычислить абсолютные потери продукции, связанные с любым уровнем безработицы в стране.
В России, по данным статистики, общая численность безработных (в соответствии с методологией Международной организации труда) составила к началу 1999 г. около 8,5 млн человек, т.е. порядка 11,5% рабочей силы. Из них статус официально зарегистрированных безработных имели около 2 млн человек.
Представляется, что официальные данные не отражают истинного положения в сфере занятости в России. В частности, статистика не учитывает в составе безработных лиц, отправленных в неоплачиваемые отпуска, переведенных на график неполной рабочей недели (а таковых в начале 1998 г. насчитывалось несколько миллионов человек). Весьма несовершенны и методы учета лиц, нуждающихся в трудоустройстве.
В России сегодня преобладает «синеворотничковая» безработица. Большая часть безработных (65%) рабочие, 19% специалисты, в том числе 8,3%с высшим образованием.
В то же время масштабы безработицы в стране не следует преувеличивать. Необходимо иметь в виду существование значительной «теневой» занятости, не учитываемой официальной статистикой. Сюда относятся, в частности, так называемые челноки, осуществляющие экспортно-импортные операции (по оценкам, несколько сотен тысяч человек); люди, занятые внутренней неорганизованной мелкорозничной торговлей; сотрудники незарегистрированных охранных структур; лица, вовлеченные в нелегальный бизнес (проституция, порнография, наркотики и т.п.), и криминальные структуры. Кроме того, существует немало видов деятельности (консультативные услуги, репетиторство, ремонт жилья и автомобилей, строительство дач и садовых домиков и т.п ) которая нередко осуществляется без какой-либо регистрации и масштабы которой весьма велики.
Все это вместе взятое может обеспечить регулярную и нерегулярную занятость многих сотен тысяч человек и таким образом скорректировать существующие оценки безработицы.

  1. Государственное регулирование рынка труда

Основные направления государственного регулирования рынка труда Вследствие многообразия внутренних регуляторов, а также в силу социальной важности эффективного функционирования )рынка рабочей силы он нуждается в квалифицированном регулировании. Представляется, что создание такой действенной системы регулирования в сфере занятости является одной из основных социальных задач проводимых в России реформ. Надо сказать, что кое-что в этой области уже сделано.
Принят закон о занятости, создаются биржи труда (службы содействия найму), началась регистрация безработных.
Здесь разумно обратиться к апробированному опыту многих развитых стран.
Можно выделить четыре основных направления государственного регулирования рынка труда. Во-первых, это программы по стимулированию роста занятости и увеличению числа рабочих мест; во-вторых, программы, направленные на подготовку и переподготовку рабочей силы; в-третьих, программы содействия найму рабочей силы и, в-четвертых, программы по социальному страхованию безработицы, т.е. правительство выделяет средства на пособия безработным.
В рамках этих программ в США, например, в послевоенный период были созданы сотни тысяч рабочих мест в государственном секторе (в сфере общественных услуг - образование, медицинское обслуживание, коммунальное хозяйство, а также в строительстве общественных зданий и сооружений и ремонтно-восстановительных работах).
Все более важное значение приобретают также государственное содействие найму и программы подготовки и переподготовки кадров.

Концептуальные основы регулирования В качестве концептуальной основы деятельности государства на рынке труда многие годы (до конца 70-х гг.) служили воззрения сторонников активной государственной политики (кейнсианцы и институционалисты). В 8090-х гг. в экономическом регулировании на Западе, в том числе и рынка труда, возобладали концепции сторонников «экономики предложения», исповедующих ограничение государственного вмешательства в экономику.
Важной основой регулирования рынка труда в стране с рыночной экономикой является зависимость между безработицей и инфляцией. Речь идет о так называемой кривой Филлипса, графически отражающей нелинейную зависимость между этими двумя величинами ( 14.4).


Государственное регулирование рынка труда


14.4. Кривая Филлипса: Iр среднегодовой темп прироста цен; Lue уровень безработицы, %, W годовой прирост заработной платы, %
Эта зависимость была рассчитана английским экономистом А. Филлипсом на основе данных по Англии, охватывающих период с 1861 по 1958 г.
Если допустить, что существует одинаковое соотношение между темпами изменений заработной платы и цен, то модель Филлипса может быть преобразована в соотношение между безработицей и темпами изменения заработной платы. Кривая Филлипса дает варианты выбора: или достаточно высокая занятость с максимальным экономическим ростом, но при быстром повышении цен, или достаточно стабильные цены, но при значительной безработице.
Существует модифицированный вариант кривой Филлипса, основывающийся на разработанной Э. Фелпсом и М. Фридменом теории естественного уровня безработицы. Согласно этой теории естественный уровень безработицы достигается в ситуации, когда силы, вызывающие повышение и понижение темпов инфляции и заработной платы, уравновешивают друг друга и в результате их динамика стабильна. При такой трактовке кривая Филлипса имеет отрицательный наклон только в краткосрочном периоде.
В длительном периоде, при естественном уровне безработицы с устойчивыми темпами инфляции эта кривая занимает вертикальное положение ( 14.5).






Государственное регулирование рынка труда



14,5. Модифицированная кривая Филлипса: Lve уровень безработицы, %; Iр среднегодовой темп прироста цен, %

Долгие годы кривая Филлипса служила базой социально-экономического регулирования в странах Запада. Многие западные экономисты и сейчас исходят из того, что существует однонаправленное движение изменений в заработной плате и ценах и разнонаправленное в данных величинах и безработице. Однако было немало примеров, когда безработица и инфляция приобретали не обратную, а прямую связь: несмотря на рост безработицы, цены продолжали расти.
Это вызывает критику обоснованности кривой Филлипса как надежного регулятора в экономике.

Косвенное регулирование рынка рабочей силы
Перечисленные направления не исчерпывают всех мер воздействия государства на рынок труда. Наряду с ними существует комплекс мер косвенного регулирования данного рынка: налоговая, денежно-кредитная и амортизационная политика правительства. Кроме того, немалое влияние на рынок труда оказывает и законодательство в области социального обеспечения, трудовых отношений, гражданских прав и т.п.
В США, например, большая часть такого рода законов была принята в 30-х гг.
Меры косвенного регулирования рынка рабочей силы одновременно являются мерами общеэкономического регулирования и воздействия на динамику занятости и безработицы через конъюнктуру в стране. Таким образом, современное государственное регулирование рынка труда представляет собой комплекс экономических, административных, законодательных, организационных и иных мер.

Биржи труда и частные посреднические фирмы
Особое место в системе регулирования рынка труда занимают биржи труда (служба занятости, служба трудоустройства, служба содействия найму), являющиеся одной из важных структур рыночного хозяйственного механизма. Они представляют собой специальные учреждения, осуществляющие посреднические функции на рынке рабочей силы. В большинстве стран биржи труда являются государственными и осуществляют свою деятельность под руководством министерства труда или аналогичного ему органа. Вместе с тем на рынке труда наряду с государственными службами занятости функционирует большое число частных посреднических фирм, эффективность деятельности которых очень высока.
Так в США действует около 15 тыс. таких фирм. Немало таких фирм действует уже и в России.
Основными направлениями деятельности бирж труда являются: 1) регистрация безработных; 2) регистрация вакантных мест; 3) трудоустройство безработных и других лиц, желающих получить работу; 4) изучение конъюнктуры рынка труда и предоставление информации о ней; 5) тестирование лиц, желающих получить работу; 6) профессиональная ориентация и профессиональная переподготовка безработных; 7) выплата пособий.
Следует подчеркнуть, что в современных условиях в развитых странах большинство граждан трудоустраиваются не через биржи труда, а обращаясь непосредственно в кадровые службы предприятий и организаций или с помощью частных посреднических агентств.



График предложения фирмы





График предложения фирмы



11.7.График предложения фирмы в условиях совершенной конкуренции



Таблица 11.1.Динамика издержек и доходов фирмы




График предложения фирмы




Обратимся к примеру с фирмой (см. гл. 10) и рассмотрим ее действия в каждом из приведенных трех вариантов (табл. 11.1). Поскольку в условиях совершенной конкуренции предельный доход равен цене продукции, для фирмы он составляет соответственно 500 (вариант I), 400 (вариант II) и 300 (вариант III).
Выравнивая предельный доход и предельные издержки, фирма будет производить 16 тыс. ед. продукции при цене 500 руб. за единицу и максимизировать прибыль, 13 тыс. ед. при цене 400 руб. и минимизировать убытки, а при цене 300 руб. откажется от производства.
Прибыль фирмы рассчитана как разница между выручкой и валовыми издержками (данные об издержках см. в табл. 10.3). При цене 500 руб. прибыль будет максимальной при производстве 16 тыс. ед. продукции и составит 960 тыс. руб.
При цене 400 руб. минимальные убытки составят 480 тыс. руб. при выпуске 13 тыс. ед. продукции. При цене 300 руб. не существует варианта, когда убытки меньше суммы постоянных издержек фирмы (постоянные издержки приняты 1000 тыс. руб.). Если рыночная цена выше 436 руб. (минимальных валовых издержек), фирма максимизирует прибыль.
Если цена в интервале 353,3436 руб. минимизирует убытки, ниже 353,3 руб. прекращает деятельность.
В краткосрочном периоде, как отмечалось выше, при определенных условиях фирма может продолжать производство в случае его убыточности. Стабильные убытки в течение длительного времени скорее заставят фирму отказаться от выпуска данной продукции и перенести свою деятельность в другие, более выгодные сферы. В то же время высокие прибыли привлекут новых производителей, которые, войдя в отрасль, увеличат объем предложений данной продукции.
В долгосрочном периоде, когда могут меняться все виды затрат (в том числе и те, которые в краткосрочном периоде были постоянными), решение фирмы об объеме выпуска продукции будет приниматься иначе, поскольку можно изменять все производственные факторы, в том числе и размеры предприятия.
Если при существующей рыночной цене несколько фирм терпят убытки и прекращают производство, предложение на рынке сокращается. Результатом сокращения предложения (при постоянном спросе) является повышение цены. Возросшая цена позволит фирмам, оставшимся в отрасли, получать экономическую прибыль. В условиях совершенной конкуренции, когда нет ограничений для доступа на рынок, появятся новые фирмы, привлеченные возросшей прибыльностью дела.
В результате предложение возрастет, а цена снизится; при совершенной конкуренции такие колебания носят постоянный характер.
Равновесие на рынке будет достигнуто, когда у фирм не будет стимулов как для входа в отрасль, так и для выхода из нее. Это достигается при условии, если рыночная цена установится на уровне минимума средних валовых издержек и экономическая прибыль, таким образом, исчезнет.
Графическое решение представлено на 11.8. При цене Р0 объем производства фирмы составит Q0. При таком объеме предельный доход равен предельным издержкам, а минимальные средние валовые издержки равны рыночной цене, экономическая прибыль равна нулю.
При таких условиях фирма удовлетворена объемом производства и размерами предприятия.



График предложения фирмы



11.8. Долгосрочное равновесие фирмы в условиях совершенной конкуренции


Как будет меняться предложение в конкурентной отрасли при условии изменения спроса?
Предположим, что до изменения спроса на рынке существовало равновесие. График S на 11.9 представляет собой кривую предложения всех фирм, производящих данную продукцию, иными словами, кривую предложения отрасли; D кривую рыночного спроса на взятый нами в качестве примера товар; Р0 равновесную рыночную цену; Q0 равновесный объем производства отрасли.





График предложения фирмы





11.9. Кривая предложения отрасли в долгосрочном периоде: D,D1 отраслевой спрос до и после изменения; S,S1) отраслевое предложение до и после изменения; Sдолг долгосрочное предложение отрасли




Что произойдет, если по каким-либо причинам (например, при изменении предпочтений потребителей или увеличении их доходов) спрос на данную продукцию возрастет? Кривая спроса сдвинется вправо до уровня D1. Рынок отреагирует на увеличение спроса повышением цены. Цена возрастет до P1. Для отдельных фирм и отрасли это будет означать, что цена окажется выше минимума средних валовых издержек, а равенство цены и предельных издержек будет достигаться при большем объеме производства.
Фирмы начнут получать экономическую прибыль, что создаст стимулы для расширения производства и вступления новых производителей в отрасль.
Вступление новых фирм, привлеченных возможностью получения экономической прибыли, сдвинет кривую предложения отрасли до S1. В результате цена снизится и возникнет новое равновесие при цене Р2 и объеме производства Q2. Если предположить, что увеличение объема производства в отрасли не приведет к росту издержек, то кривая долгосрочного предложения будет горизонтальной.
Однако в условиях ограниченности ресурсов вовлечение в производственный процесс все большего и большего их количества вызовет рост цен на них, поэтому Р2 Р0 и кривая долгосрочного предложения будет восходящей.


Выводы 1. Тип рынка определяется следующими основными факторами: количеством фирм на нем, характером выпускаемой ими продукции, наличием или отсутствием ограничений на вход в отрасль и выход из нее, доступностью информации. Различают четыре основных типа рынка: совершенная конкуренция, монополистическая конкуренция, олигополия и монополия. Последние три относятся к рынкам несовершенной конкуренции.
2, Совершенная конкуренция характеризуется существованием на рынке множества мелких фирм, производящих однородную продукцию; вход в отрасль и выход из нее фирм абсолютно свободный, каждая фирма имеет свободный доступ к информации; доля каждой фирмы на рынке настолько мала, что ее решение о повышении или понижении цены не отразится на рыночной цене, поэтому она является для фирмы заданной извне.
3. Фирма определяет объем выпуска, выравнивая предельный доход, который в условиях совершенной конкуренции равен цене единицы продукции, и предельные издержки. До тех пор, пока предельные издержки ниже цены, фирма будет наращивать производство вплоть до того момента, когда они сравняются. Дальнейшее увеличение выпуска будет увеличивать издержки в большей степени, чем доход, и производство станет нецелесообразным.
4. Правило равенства предельного дохода предельным издержкам используется фирмами при любых рыночных условиях. Особенностью совершенной конкуренции является равенство предельного дохода и цены. Если рыночная цена установлена выше минимальных средних валовых издержек фирмы, то ее задачей является получение максимума прибыли.
Однако фирма будет продолжать производить, когда цена ниже минимума средних валовых издержек, но не ниже средних переменных издержек. В этом случае ее задачей будет минимизация своих убытков. Если цена окажется ниже минимума средних переменных издержек, фирма предпочтет прекратить свою деятельность.
5. Высокие прибыли и убытки отдельных фирм характерны для краткосрочного периода, когда недостаточно времени для выхода отдельных фирм из отрасли или входа в нее новых фирм. В долгосрочном периоде экономическая прибыль привлечет новые фирмы, которые, увеличив предложение отрасли, окажут воздействие на снижение рыночной цены.
В то же время длительные по времени убытки заставят ряд фирм покинуть отрасль, предложение уменьшится, и цена повысится. Долгосрочное равновесие в условиях совершенной конкуренции устанавливается, когда цена равна предельным и средним валовым издержкам. В этом случае у фирм нет стимулов для расширения или сужения производства, а также входа в отрасль и выхода из нее.
6. В условиях совершенной конкуренции фирмы производят такое количество продукции, которое соответствует точке пересечения кривых рыночного спроса и предложения. Кривая предложения каждой фирмы является отрезком кривой ее предельных издержек, лежащим выше кривой средних переменных издержек.
Совокупное предложение отрасли складывается из объемов предложения всех работающих в ней фирм. Реакция на изменение спроса быстрая и гибкая, рынок совершенной конкуренции автоматически реагирует на изменение потребительского спроса расширением или свертыванием производства.


Термины и понятия Совершенная конкуренция
Предельный доход
Точка оптимального выпуска
Валовой доход


Вопросы для самопроверки 1. Назовите характерные черты совершенной конкуренции.
2. Какие существуют способы определения оптимального объема производства?
3. Почему равенство предельного дохода и предельных издержек является важным при определении объема выпуска продукции фирмой в условиях всех рыночных структур?
4. Почему в условиях совершенной конкуренции графики цены, среднего и предельного доходов фирмы совпадают?
5. Кривая предложения фирмы в условиях совершенной конкуренции совпадает с кривой ее предельных издержек на отрезке, лежащем выше кривой средних переменных издержек. Поясните это утверждение. Проиллюстрируйте графически.
6. Когда достигается долгосрочное равновесие для фирмы в условиях совершенной конкуренции?
7. Постройте кривую долгосрочного предложения конкурентной отрасли.
8. Определите валовой и предельный доходы фирмы при цене единицы продукции 100 руб. и выпуске ее от 1 до 8ед. Начертите график валового, среднего и предельного доходов фирмы.
9. На основании приведенных ниже данных о средних постоянных и средних переменных издержках фирмы при различных объемах производства ответьте на следующие вопросы:

  1. будет ли фирма производить продукцию, если рыночная цена установится на уровне 110 руб.?
  2. какой объем производства выберет фирма?
  3. что станет ее задачей: максимизация прибыли или минимизация убытков?
  4. как поступит фирма, если цена снизится до 32 руб., до 72 руб.?

Выпуск продукции, ед................ 1 2 3 4 5 6 7 8 9 10
Переменные издержки, руб. .......... 90 170 240 300 370 450 540 640 750 870
Постоянные издержки составляют 200 руб/ед.





















Индекс Доу Джонса


Идет также процесс качественных изменений на фондовом рынке, который требует адекватной реакции регулирующих органов. Эти изменения происходят в двух направлениях. Прежде всего, происходит так называемая глобализация рынка ценных бумаг, т.е. становление всемирного рынка, частями которого становятся все национальные рынки. Современный этап характеризуется усиливающимся преодолением национальных границ биржевых операций, одновременным обращением на национальных рынках ценных бумаг, выраженных в разных валютах, появлением ценных бумаг-космополитов типа еврооблигаций, евроакций и евронот. Экспансия эмиссии ценных бумаг ТНК заставляет регулирующие органы всех развитых стран следить за изменениями, происходящими в законодательствах стран-партнеров, сверять с ними свои законы и системы регулирования.
А в рамках ЕС идет официальный процесс создания единого правового пространства для функционирования общенациональных рынков ценных бумаг стран членов этого Союза.
Второе направление это видоизменение инструментов, форм деятельности, а также субъектов рынка ценных бумаг. Появление автоматизированных систем торговли ценными бумагами, механизма спекуляции, особенно деривативами, к которым относят опционы, фьючерсы, свопы, не укладывается в традиционное понимание рынка ценных бумаг.
В России на государственном уровне также создается система регулирования рынка и обеспечивается ее функционирование, основой которой является Федеральный закон «О рынке ценных бумаг» от 22 апреля 1996 г. При этом система регулирования развивается в сторону большей детализации и ужесточения государственного контроля за деятельностью рынка ценных бумаг. Федеральным органом исполнительной власти по проведению государственной политики в области рынка ценных бумаг, контролю за деятельностью профессиональных участников этого рынка, обеспечению права инвестировать акционеров и вкладчиков является Федеральная комиссия по рынку ценных бумаг.
К тому же само государство в лице Министерства финансов РФ выступает крупнейшим заемщиком на рынке ценных бумаг и оказывает прямое влияние на его количественные и качественные характеристики. Оно является также крупнейшим держателем ценных бумаг российских предприятий и выступает крупнейшим продавцом на рынке корпоративных ценных бумаг.
6. Как читать биржевые индексы, котировки и рейтинговые оценки Как свидетельствует российская и зарубежная практика, реально складывающуюся картину спроса и предложения могут исказить в основном спекулятивные операции. Однако, несмотря на это, биржа (точнее, биржевые индексы и котировки) остается достаточно точным индикатором положения дел в экономике.

Биржевые индексы
Для оценки движения биржевых курсов на всех биржах рассчитывается индекс курса акций. Как правило, в стране доминирует один, максимум два индекса курсов акций, точно так же, как выделяется одна доминирующая фондовая биржа. Индекс курсовой цены каждой акции (облигации) определяется как произведение ее курса на число акций этого типа, котирующихся на бирже, деленное на номинал акции. В дальнейшем индексы курсовых цен акций используются для расчета а г р е г и р о в а н н о г о б и р ж е в о г о и н д е к с а. Наиболее распространенным среди них считается индекс Доу Джонса (Dow Jones, DJ) Нью-Иоркской фондовой биржи. По его образцу рассчитываются индексы всех других бирж.
Индекс Доу Джонса публикуется с 1884 г. фирмой «Доу Джонс энд К0 инкорпорейтед» (Dow Jones Co.Inc), издающей «Уолл Стрит Джорнэл» (Wall Street Journal) и «Берронз» (Barron's); он рассчитывается как индекс среднеарифметической биржевой цены (курса) акций ведущих американских компаний.
Индекс Доу Джонса рассчитывается: а) для акций 30 ведущих промышленных корпораций США, имеющих наибольшую престижность с точки зрения инвесторов (Dow Jones Industrial Average, DJIA), среди них «Дженерал моторс» (General Motors), «Дженерал электрик» (General Electric), «Тексако» (Техасo) и др.; б) для акций 20 ведущих транспортных компаний; в) для акций 15 ведущих компаний коммунального хозяйства.
Наиболее важным является промышленный индекс. Суммарный показатель (composite) индекса Доу Джонса определяется для всех указанных 65 компаний. Если компания, акции которой учтены в индексе, поглощается или сливается с другой, то ее акции исключаются из индекса и заменяются акциями новой крупной корпорации.
Список этих компаний ежедневно публикует «Уолл Стрит Джорнэл».
Следует отметить, что индекс Доу Джонса имеет значение только тогда, когда возможно регулярное сопоставление его текущих и предыдущих значений. Например, значение индекса 10 870,5 сравнивается с его значением 10 871,71, имевшим место днем раньше. Разница между дневными значениями измеряется в пунктах.
Так, разница значений индекса 1,21 (10 870,5 10 871,71) указывает на падение курсов акций на 1,21 пункта.
Значение индекса Доу Джонса выходит далеко за рамки США. Поскольку на Нью-Йоркской бирже концентрируется около 50% всего биржевого оборота развитых стран (суммарная стоимость котируемых на ней акций оценивается в несколько триллионов долларов), движение рассматриваемого индекса служит важным сигналом в финансовых и экономических делах стран с рыночной экономикой. С учетом этого на биржах он рассчитывается и официально объявляется каждые полчаса.
Вместе с тем у индекса Доу Джонса существуют серьезные конкуренты. Так, крупнейшая в США фирма по исследованию рынка ценных бумаг «Стэндард энд Пурс» (Standart and Poor s 500 Index, S P 500) с 1957 г. производит расчет индекса средневзвешенной цены акций 500 ведущих американских компаний. Этот индекс более репрезентативен, потому что охватывает 400 промышленных, 20 транспортных предприятий, 40 предприятий сферы коммунального обслуживания и 40 финансовых компаний. Рассчитываются и отдельные (самостоятельные) индексы для этих групп отраслей.
Но индекс средневзвешенной цены акций имеет недостаток: его числовое значение во много раз меньше значения индекса Доу Джонса. Скажем, когда индекс Доу Джонса равен 2965,56, индекс «Стэндард энд Пурс» лишь 377,75. Поэтому рыночные колебания, измеренные по последнему показателю, не так заметны.
В свою очередь американская автоматизированная система котировки Национальной ассоциации фондовых дилеров (NASDAQ) имеет большую долю акций компаний сектора высоких технологий, что определяет ряд психологических особенностей инвесторов и игроков на этом рынке. Например, велик соблазн сыграть на повышение акций быстро растущих компаний, «поймать восходящую звезду». В результате акции некоторых компаний оказываются сильно переоцененными.
Кроме этих основных показателей каждая из бирж и внебиржевой рынок исчисляют свои показатели для характеристики динамики цен акций зарегистрированных на них компаний. Нью-Иоркская фондовая биржа ввела такой показатель в 1966 г. Ее примеру в 1973 г. последовала Американская фондовая биржа, введя аналогичный показатель для 800 зарегистрированных на бирже компаний.
По аналогичному принципу строится система биржевых индексов во всех странах с развитым рынком ценных бумаг. Так, японским аналогом индекса Доу Джонса является индекс «Никкей» (Nikkei), рассчитываемый по акциям 225 крупнейших компаний, индекс Токийской фондовой биржи «Топик» (Topix); германским индекс ДАКС (DAX) для 30 компаний; сингапурским индекс «Стрейтс тайме», гонконгским индекс «Ханг Сенг» и т.д. Свои индексы по методу «Стэндард энд Пурс» рассчитывают для зарегистрированных компаний некоторые газеты и информационные агентства. Например, в Великобритании индекс рассчитывают агентство Рейтер (Reuter) и газета «Файнэншл таймс» (FT SE Index), в Германии «Франкфуртер Албгемайне Цайтунг» (FAZ - Index ).

Биржевые котировки в России и за рубежом Среди многочисленных сводок, характеризующих текущую конъюнктуру рынка ценных бумаг, наибольший интерес для инвесторов представляет информация о б и р ж е в ы х к о т и р о в к а х а к ц и й. Это вполне объяснимо, поскольку, во-первых, акция была и остается одним из наиболее распространенных и популярных среди индивидуальных инвесторов видов ценных бумаг и, во-вторых, именно в рамках биржевого оборота обращаются ценные бумаги компаний, определяющих деловое лицо любой страны.
На первый взгляд биржевые сводки устрашают своим объемом, обилием цифр и сокращений. Однако прочитать их не составляет труда. Большинство инвесторов черпают из них все основные сведения о состоянии интересующих их предприятий и положении на рынке ценных бумаг.
Более того, для понимания этих столбцов цифр не нужно даже знание иностранных языков, поскольку повсюду они строятся по более или менее единой схеме'.





' Биржевая котировка акций на фондовых биржах США рассмотрена в первом издании настоящего учебника (Экономика: Учебник / Под ред. А.С. Булатова.
М., 1994. С. 384-386),



В 90-е гг. в России существовал ряд фондовых индексов, рассчитываемых, как правило, российскими информационными и брокерскими компаниями (табл. 24.2).


Таблица 24.2. Основные индексы российского фондового рынка, использовавшиеся в 90-е гг.



Компания
Идексы
CS First Boston

Агентство «Скейт Пресс»


Агентство «АК М»

Агентство « Интерфакс»


ФЦ Грант

Коммерсантъ - Daily
ROS- Index

MT Index, АСП Дженерал, АСП финансы, АСП металл, АСП 12

АК М свободный, АК М финансы ,
АК М промышленный
ИФ финансы, ИФ металл, ИФ нефте- газ

Грант 100, Грант 5, Грант нефтегаз

Банковский индекс «Ъ», промышленный индекс «Ъ»


Индекс «РТС-Интерфакс».




В настоящее время официальным индикатором состояния российского рынка ценных бумаг, позволяющим отслеживать текущую ситуацию на нем, является индекс «РТС-Интерфакс».
И н д е к с « Р Т С - И н т е р ф а к с » ( в а л ю т н о е з н а ч е н и е ) рассчитывается как отношение текущей суммарной рыночной капитализации (стоимости) ценных бумаг, включенных в список для расчета индекса, к суммарной рыночной капитализации (стоимости) бумаг на базовый момент времени по следующей формуле:




Индекс «РТС-Интерфакс».



где Iо начальное значение индекса «РТС-Интерфакс» на базовый момент времени (5 января 1998 г.); In индекс «РТС-Интерфакс» (валютное значение) на текущий момент времени (n= 1,2,3, ...); К сглаживающий коэффициент, который вводится вследствие изменений в списке акций, включаемых в расчет индекса (в первоначальный момент К= 1); MktCapn суммарная рыночная капитализация ценных бумаг из листинга для расчета индекса на текущий момент времени; MktCap0 суммарная рыночная капитализация бумаг, включенных в список для расчета индекса на базовый момент времени.

Индекс «РТС-Интерфакс».

С у м м а р н а я р ы н о ч н а я к а п и т а л и з а ц и я ц е н н ы х б у м а г Российской торговой системы (РТС) определяется как произведение рыночной цены акций данного типа в момент n на количество таких акций:




где MktCapn суммарная рыночная капитализация ценных бумаг; Рni рыночная цена акции i-го типа на текущий момент времени; Q ni общее количество акций i-го типа, выпущенных на текущий момент времени; N число акций в списке, по которому рассчитывается индекс.
В табл. 24.3 приведены показатели рынка корпоративных ценных бумаг на конкретные даты.

Таблица 24.3. Отдельные покязатели рынка корпоративных ценных бумаг




Индекс «РТС-Интерфакс».





И н д е к с « Р Т С И н т е р ф а к с » ( р у б л е в о е з н а ч е н и е ) рассчитывается на основе валютного значения с учетом изменения текущего курса рубля к доллару США по сравнению с курсом на начальную дату:


где Im индекс «РТС-Интерфакс» (рублевое значение); In индекс «РТС-ИНтерфакс» (валютное значение); R курс рубля к доллару США на день расчета индекса; Ro курс рубля к доллару США на начальную дату расчета индекса.

Как уже отмечалось выше, основной объем торговли ценными бумагами в России в настоящее время приходится на внебиржевой рынок. Это в значительной мере связано со схемой приватизации. Основы внебиржевого рынка были заложены в 19931994 гг. Торговые системы наряду с увеличением объемов деятельности стремятся решать задачи стандартизации условий сделок, котировок акций, обязательности выполнения брокерами указанных в заявке условий, ответственности за нарушение правил торгов, обеспечения переоформления прав собственности, соблюдения сроков перерегистрации и оплаты, поддержания ликвидности рынков и др. С учетом всего этого в декабре 1996 г. на базе Российской торговой системы (РТС) открылась РТС-2 для акций второго эшелона.
РТС сосредоточивается на наиболее ликвидных акциях. Их насчитывается около 20. РТС-2 обслуживает еще примерно 1500 акционерных обществ, в частности, ценные бумаги региональных предприятий энергетического комплекса, связи, металлургии и др.
Таким образом, торговля менее ликвидными более ликвидными акциями разделяется.

Рейтинговые оценки облигаций Практически все выпускаемые облигации оцениваются одним или несколькими специализированными рейтинговыми агентствами. Главная цель определить способность эмитента вовремя выплачивать проценты в течение срока существования облигации и своевременно ее погашать. Другими словами, нужно определить показатель н а д е ж н о с т и . Этим занимаются коммерческие агентства.
В мире наибольшую известность получили системы оценки двух основных рейтинговых агентств: «Standart Poor's Corporation» и «Moody's Investors Service ».
Их оценки, чаще всего, совпадают.
Инициатива определения рейтинга ценной бумаги, как правило, принадлежит эмитенту, который выплачивает агентству определенную сумму за оценку своей кредитоспособности.
Если облигация не прошла процедуру оценки и для нее не указан рейтинг, ее не будут покупать индивидуальные инвесторы, а институциональные инвесторы по закону не имеют право совершать такие покупки.
Все рейтинговые агентства используют буквенную систему обозначения степени р и с к а. Высший уровень надежности обозначается буквами ААА, самый низкий D (табл. 24.4). «Полутона» характеризуются знаками «+» и «».
Рейтинг первых четырех уровней характеризует так называемые ценные бумаги инвестиционного класса, следующая группа спекулятивные ценные бумаги и последняя, третья, относится к полностью неплатежеспособным эмитентам.




Таблица 24.4. Виды рейтинговых оценок




Облигации
Уровень надежности
Инвестиционного класса :
Высшее качество
Высокое качество
Качество выше среднего
Среднее качество
Спекулятивные
»
Эмитент на пороге банкротства или банкрот
То же
»

ААА
АА
А
ВВВ
ВВ
В
ССС
СС
D





Финансовая глобализация А к т и в н а я г л о б а л и з а ц и я одна из особенностей послевоенного развития финансовых рынков стран мира. Все они функционируют во все более тесной связи друг с другом, превращаясь в единый финансовый рынок. Иными словами, финансовая глобализация это более высокая стадия интернационализации деятельности финансовых рынков во всех ее формах с целью обеспечения потребностей развития валютно-финансовых отношений.
Во многом это проявляется в глубоком взаимодействии всех крупнейших фондовых бирж мира. Колебания курсов акций и других финансовых активов на биржах одних стран неизбежно отражаются через биржевой механизм на рыночной конъюнктуре других стран.
Практически полная отмена ограничений на перемещение капитала в 70-х гг. в развитых странах привела к тому, что рынок ценных бумаг стал в полном смысле слова глобальным. В обращении появились международные ценные бумаги и прежде всего еврооблигации, которые стали главным объектом сделок на мировом фондовом рынке.
Е в р о о б л и г а ц и я долгосрочная ценная бумага, которая выпускается на рынке евровалют корпорациями, правительствами, международными организациями в целях получения денежных средств для пополнения оборотного и основного капитала. Еврооблигация выпускаются на различные сроки (от 7 до 40 лет). Размещают еврооблигации инвестиционные и коммерческие банки.
Основными покупателями являются страховые, инвестиционные компании и пенсионные фонды.
Процесс финансовой глобализации ускорился благодаря дальнейшему развитию и совершенствованию информационных систем. Всеохватывающая компьютеризация, создание надежных и доступных телефонных и других сетей, связанных между собой космическими каналами передачи данных, позволяют трем крупнейшим фондовым биржам мира Нью-Йоркской, Токийской и Лондонской иметь между собой постоянно действующую систему спутниковой связи. Передача информации осуществляется непрерывно и отображается на биржевых мониторах.
В области передачи финансовой информации конкурируют два крупнейших агентства: английское «Рейтер» (имеет 173 000 разбросанных по всему миру терминалов) и американское «Телерейт» (76 000 терминалов). «Телерейт» доминирует на рынке США, «Рейтер» на всей остальной территории планеты.
С 1996 г. внедряется продажа акций с помощью международной телекоммуникационной сети. Каждый клиент, имеющий персональный компьютер, может подключиться к системе «Интернет», в которую включены котировки акций компаний, входящих в листинг Лондонской биржи, и направлять заказы на покупку и продажу тех или иных ценных бумаг.
Интернационализация мировых рынков и увеличение доли зарубежных ценных бумаг в портфелях крупных инвесторов обусловили потребность в установлении индексов, отражающих общую динамику, с единой базой расчета так называемых глобальных индексов. К числу наиболее авторитетных и широко используемых индексов подобного рода относятся индексы группы FT-SE «Actuaries World Indexes» и индексы инвестиционного банка Morgan Stanley Capital International. Расчеты ведутся по 2212 акциям 24 стран мира (FT-SE).
На эти акции приходится не менее 70% капитализации в каждой из этих стран. База, равная 100, берется на 31 декабря 1986 г. Индекс рассчитывается после закрытия Нью-Йоркской фондовой биржи и публикуется на следующий день в газете «Файнэншл Таймс».
Индексы Morgan Stanley включают 3 интернациональных, 19 страновых и 38 интернациональных отраслевых. В расчет берутся данные по 1375 компаниям, имеющим листинг на биржах 19 стран, на которые приходится 60% общей капитализации в этих странах.
С января 1993 г. «Уолл-стрит джорнэл» публикует мировой индекс Dow Jones World Index, рассчитываемый по акциям 2200 компаний 13 стран мира с разбивкой на 120 отраслевых групп.
Изменения на финансовых рынках, ускорившиеся на протяжении 90-х гг., определяют контуры финансового рынка XXI в.
Мировой финансовый рынок все больше обретает очертания двухуровневой системы. Первый верхний, наднациональный, или глобальный уровень представлен обращением ценных бумаг ведущих транснациональных корпораций. Второй нижний, национальный уровень.
На этом уровне обращаются ценные бумаги национальных компаний. В условиях глобализации границы между двумя уровнями финансового рынка стираются.



Индексы Ласпейреса, Пааше и Фишера



Индексы Ласпейреса, Пааше и Фишера
Индексы цен это относительные показатели, характеризующие соотношение цен во времени. Если надо рассчитать (проиндексировать) рост цен, то это не составит особой трудности. Цены базового года можно принять за 100%, а цены последующих лет пересчитать по отношению к этому году. Так, если средняя цена бензина в базовом 1998 г. составляла 1100 руб. за тонну, а в отчетном 1997 г. 1000 руб. за тонну, то индекс цен на бензин составил:
(1100: 1000) i 100 = 110%.
Таким образом, средняя цена в отчетном году по отношению к базовому выросла на 10%, иначе говоря, стоимость денег по отношению к данному товару снизилась на 9%.
Если нам надо рассчитать соотношения цен по набору товаров, то выбор и расчет соответствующих показателей (индексов) усложнится. В этом случае надо вначале определить, каков состав набора товаров и как рассчитать средние цены, ибо с изменением структуры реализуемых товаров изменятся их доли (веса) в наборе, а затем избрать наиболее приемлемый метод подсчета ценовых индексов (от метода подсчета зависят показатели роста цен). При подсчете ценовых сдвигов обычно используют два метода.
Один из них основывается на применении индекса (формулы) Ласпейреса: сравниваются цены текущего периода (p1) и базового (p 0) на одинаковый набор товаров (товарную корзину) (q0). Формула Ласпейреса показывает, на сколько фиксированная товарная корзина становится дороже в текущем периоде.

Индексы Ласпейреса, Пааше и Фишера




Другой метод опирается на использование индекса (формулы) Пааше. Ценовые индексы по формуле Пааше показывают, на сколько фиксированная товарная корзина текущего периода дороже или дешевле, чем в базовом периоде:

Индексы Ласпейреса, Пааше и Фишера




Оба рассмотренных индекса имеют недостаток: в них не учитываются изменения номенклатуры потребительских товаров, а значит, не отражаются сдвиги в товарных корзинах потребителей. Если индекс Ласпейреса несколько завышает рост цен, то индекс Пааше его занижает. Чтобы точнее отразить с помощью ценовых индексов динамику цен и соответственно динамику стоимости жизни (реальные затраты потребителей на приобретение определенных наборов товаров и услуг), используют индекс Фишера:

Индексы Ласпейреса, Пааше и Фишера



Индекс Фишера представляет собой геометрическую среднюю из индекса Ласпейреса и индекса Пааше. Этот индекс в известной мере усредняет показатели, тем самым нивелирует недостатки того и другого индекса.
На основе формулы Ласпейреса в России рассчитывается индекс потребительских цен по регионам и Федерации в целом за неделю, месяц, квартал и год. В товарную корзину входит до 559 товаров и услуг, разделенных на три группы: продовольственные товары, непродовольственные, платные услуги.
Также на основе формулы Ласпейреса в стране рассчитывается сводный индекс цен предприятий-производителей на промышленную продукцию в целом и по отдельным группам производимых промышленностью товаров.
С 1996 г. в России введено ежеквартальное исчисление дефлятора ВВП. Дефлятор индекс цен, используемый для определения реального объема ВВП и соответствующей корректировки экономической политики. Дефлятор ВВП равен отношению номинального ВВП (исчисленного в текущих ценах) к реальному (в неизменных ценах) в текущем периоде:


Дефлятор ВВП = ВВП ном
ВВП реал

В качестве косвенного показателя уровня инфляции используются данные об отношении товарных запасов к сумме денежных вкладов населения. Сокращение запасов и рост вкладов свидетельствуют о повышении степени инфляционного напряжения.

Ползучая, галопирующая и гиперинфляция В зависимости от темпов (степени) развития различают следующие виды инфляции: ползучая, галопирующая и гиперинфляция.
Ползучая инфляция характеризуется повышением цен не более чем на 35% в год. Подобный темп инфляции наблюдается во многих странах Запада. Ползучая инфляция не сопровождается кризисными потрясениями. Она стала привычным элементом рыночной экономики.
Считается, что относительно невысокий, «трехпроцентный» темп инфляции может быть использован для стимулирования производства.
Допустимый темп «привычной» инфляции зависит от конкретных условий; он неодинаков для различных стран. К примеру, для Швейцарии допустимый темп ползучей инфляции не должен зашкаливать за пределы 1%; для Греции стабильное развитие хозяйства достигается в пределах 810%-ного роста цен.
Галопирующая инфляция в отличие от ползучей трудно управляема. Среднегодовой рост цен от 10 до 50% (или несколько выше). Подобный вид инфляции характерен для стран с переходной экономикой.
В первой половине 90-х гг. темпы прироста розничных цен в Польше находились в пределах от 20 до 70%; в Венгрии от 19 до 35%; в Чехии и Словакии от 10 до 5560%.
В России резкий взлет цен имел место в 19921993 гг., затем он снижался и постепенно вышел из рамок галопирующей инфляции. В известной мере сходная картина наблюдалась в странах членах СНГ. Наиболее высоким темпом росли цены в Таджикистане и Белоруссии. В целом по Содружеству индекс потребительских цен (1997 г.) составил 116,9%, а по отдельным странам он характеризовался следующими данными, %:



Азербайджан …103,7
Армения.......... .114,0
Белоруссия..... ..163,8
Грузия............. ..107,3
Казахстан......….117,4
Киргизия……….125,4
Молдавия………111,8
Россия………….111,0
Таджикистан…..171,7
Украина………..110,1


Галопирующий рост цен не имеет строго обозначенных параметров. Инфляционные процессы проявляют себя неодинаково в странах с различным уровнем развития, разной социально-экономической структурой, с несхожим механизмом регулирования ценовых процессов. В послевоенный период капитализм пережил две большие волны инфляции: при переходе от военной экономики к экономике рыночного типа (19451952 гг.) и под воздействием «нефтяных шоков», резко перетряхнувших всю структуру мировых и внутренних цен (19741981 гг.).
Но западным странам удалось утихомирить инфляционные процессы, используя различные методы антиинфляционного регулирования. Для небольших стран, например Швеции, важно было избежать импортируемой инфляции, для чего использовалось повышение курса национальной валюты. Другие страны, например США, ФРГ, прибегали к методам сдерживания инфляции посредством денежно-кредитной финансовой политики.
Наибольшую опасность представляет гиперинфляция. Ее условный рубеж ежемесячный (в течение трех-четырех месяцев) рост цен свыше 50.%, а годовой темп порой выражается четырехзначными цифрами. Особенность гиперинфляции состоит в том, что она становится практически неуправляемой; обычные функциональные взаимосвязи и привычные рычаги управления ценами не действуют.
На полную мощность работает печатный станок, развивается бешеная спекуляция. Производство дезорганизуется. Чтобы остановить или притормозить гиперинфляцию, приходится прибегать к чрезвычайным мерам.
Не существует однозначного представления о том, как именно бороться с гиперинфляцией. Предлагаются различные, нередко весьма противоречивые рецепты.
Чтобы опередить неизбежное, ожидаемое всеми повышение цен, владельцы «горячих» денег стремятся как можно быстрее избавиться от них. В результате разворачивается ажиотажный спрос; раскупаются в первую очередь те товары, которые могут служить средством частичного сохранения сбережений (недвижимость, предметы искусства, драгоценные металлы). Люди действуют по давлением «инфляционного психоза», а это подстегивает рост цен, и инфляция начинает «кормить» сама себя.
Классический пример гиперинфляции обстановка, сложившаяся в Германии, ряде других стран после Первой мировой войны. В Германии в 1923 г. уровень роста цен исчислялся десятизначными и двенадцатизначными числами; заработную плату следовало расходовать немедленно, ибо в течение дня цены на продукты повышались неоднократно. В России количество денег в обращении выросло с 27 млрд в январе 1918 г. до 219 трлн 845 млрд руб. к декабрю 1921 г. Эмиссия привела к падению покупательной способности рубля в 10 млн раз.
Таким образом, инфляция представляет собой весьма сложный, необычайно противоречивый феномен. Приведенное определение инфляции как процесса обесценивания денег и переполнения каналов обращения бумажными деньгами не исчерпывает полностью сути этого неоднозначного явления, оказывающего нередко существенное воздействие на общее состояние экономики. В некоторых случаях применяется даже специальный термин «инфляционная экономика», чтобы подчеркнуть многогранность инфляционного воздействия на различные стороны и сферы народного хозяйства и кумулятивный, самоподдерживающийся характер инфляционных процессов.

Последствия инфляции В какой-то мере, говоря о показателях и типах инфляции, мы уже затронули вопрос о ее последствиях, влиянии на экономику. В западных странах инфляция стала практически неотъемлемым атрибутом рыночной системы хозяйствования. Это позволяет вести речь не просто о следствии, а о некоторых специфических функциях инфляции.
Ряд экономистов придерживаются той точки зрения, что незначительная по размерам инфляция (скажем, ежегодное повышение цен составляет 34%), сопровождаемая соответствующим ростом денежной массы, способна стимулировать производство. В соответствии с уравнением обмена MV = PQ некоторый рост M создает своеобразный стимул для увеличения объема выпускаемой продукции, иными словами, для увеличения Q.



Инфляция


1. Инфляция. Если через год на 1 руб. можно купить набор товаров и услуг, который сейчас стоит 50 коп., то и цена долгового обязательства на год в 1 руб. сейчас составляет 50 коп.
2. Процент. Положенный сегодня в банк на депозит 1 руб. через год превратится в сумму, намного его превышающую (например, в 1 руб. 70 коп., если процентная ставка составляет 70%).
Поэтому если кто-то должен выплатить нам через год 1 руб., то сегодня ему для этого нужно положить под проценты 59 коп.
3. Риск. Всегда есть опасность (большая или ничтожно малая), что тот, кто должен вам выплатить через год 1 руб. по долговому обязательству, не сможет сделать этого (умрет, обанкротится) или же попросит отсрочу. В результате через год долговое обязательство в 1 руб. может быть не погашено.
Поэтому говорят о таком понятии, как стоимость денег во времени. Оно означает, что рубль, полученный раньше, стоит больше, чем рубль, полученный позже.
В экономическом и финансовом анализе используют специальную технику для измерения текущей и будущей стоимости одной денежной меркой. Эта техника (технический прием) называется дисконтированием.
Дисконтирование является процессом, обратным начислению с л о ж н о г о п р о ц е н т а. Поэтому напомним, как начисляется сложный процент. Процесс роста основной суммы вклада за счет накопления процентов называется начислением сложного процента, а сумма, полученная в результате накопления процентов, называется б у д у щ е й с т о и м о ст ь ю суммы вклада по истечении периода, на который осуществляется расчет. Первоначальная сумма вклада называется т е к у щ е й с т о и м о с т ь ю.
Пример 18.3. Предположим, что мы положили в банк 1 руб. при ставке 10% в год. Таким образом, текущая стоимость составляет 1 руб.

Начисление сложного процента

Год
Будущая стоимость
1
2

3
1+0,1i1=1,1 1,1+0,1i1,1=
=21
1,21+0,1i1,21 = 1,33


Формализуем эти объяснения, обозначив будущую стоимость FV (англ. future value); текущую стоимость PV (англ. present value); процентную ставку r, число лет n.
При начислении сложного процента будущую стоимость находим путем умножения текущей стоимости на (1 + процентная ставка) столько раз, на сколько лет делаем расчет:

FV= PV(1 + r )n (18.5)

Теперь предположим, что наша задача определить, каков должен быть первоначальный вклад, чтобы к концу третьего года он составил 1 руб. 33 коп., исходя из процентной ставки 10% в год. Этот неизвестный нам вклад называется текущей стоимостью будущей стоимости в 1 руб.
33 коп. Процесс определения этой текущей стоимости, обратный начислению сложного процента, и будет дисконтированием.
Таким образом, при дисконтировании находим текущую стоимость путем деления будущей стоимости на ( 1 + процентная ставка) столько раз, на сколько лет делаем расчет:
PV =FV = FV (1+r)-n (18.6)
(1+r )n


Пример 18.4. Предположим, что в течение двадцати лет ежегодно будут поступать доходы в размере 1 руб. Какова будет текущая стоимость этих рублей?

Дисконтирование



Инфляция





Для облегчения расчетов при начислении сложного процента и при дисконтировании существуют таблицы, в которых для каждого года и для каждой процентной ставки заранее вычислены величины (1 +r)n и (1 + r) - n . Эти величины называются соответственно фактор сложного процента (множитель наращения) и фактор дисконтирования (дисконтный множитель)'.



' Подробнее см.: Четыркин Е.М., Васильева Н.Е. Финансово-экономические расчеты. М., 1990.



Дисконтирование, как и начисление сложных процентов, базируется на использовании процентной ставки. Как определить процентную ставку для дисконтирования, так называемую ставку дисконта? В экономическом анализе ее определяют как уровень доходности, который можно получить по разным инвестиционным возможностям.
Например, если нашему проекту есть две реальные альтернативы: вложить средства в казначейские (государственные) облигации под 30% годовых или в акции надежных компаний, дающие не менее 50% годовых, или же положить их в банк под 40% годовых, то для экономического анализа ставкой дисконта будет 50%.
При финансовом анализе поступают проще. За ставку дисконта берут типичный процент, под который данная фирма может занять финансовые средства. Если банки кредитуют нашу фирму по ставке 60%, то это и будет ставкой дисконта.
Однако если в проекте уровень риска выше обычного для данной фирмы, то ставка дисконта должна быть выше, так как рискованность проекта влияет на доходность. Фирме нужно получать больший доход, чтобы компенсировать риск, т.е. возможные потери. Соответственно и банк будет давать фирме кредит на рискованный проект под более высокий процент, чем обычно.
Таким образом, и в экономическом, и в финансовом анализе дисконтирование это приведение друг к другу потоков доходов/выгод и затрат год за годом на основе ставки дисконта с целью получения текущей (сегодняшней) стоимости будущих доходов/выгод и затрат.
5. Показатели эффективности в проектном анализе


Чистая приведенная стоимость
Чистая приведенная стоимость характеризует общий абсолютный результат инвестиционного проекта. Ее определяют как разницу между текущей приведенной стоимостью потока будущих доходов (выгод) и текущей приведенной стоимостью потока будущих затрат на реализацию и функционирование проекта во время всего цикла его жизни:

Инфляция










где NPV чистая приведенная стоимость (англ. net present value); Вt, выгода (доход) от проекта в году t; С t затраты на проект в году t ;i ставка дисконта; n число лет цикла жизни проекта.
Для иллюстрации расчета приведем взятый из практики Всемирного банка реальный ирригационный проект с циклом жизни 30 лет и со ставкой дисконта 10%.


Пример 18.5. Расчет чистой приведенной стоимости, млн долл.





Инфляция



1 Эти величины одинаковы для каждого из годов с 10-го по 30-й.
2 Это величина фактора дисконтирования сразу за 21 год (с 10-го по 30-й), при ставке дисконта 10% (называется текущей стоимостью фактора аннуитета или коэффициентом приведения годовой ренты, берется из специальных таблиц).
3 Это величина всего равномерного потока чистой выгоды за 21 год (с 10-го по 30-й).


Внутренняя норма доходности Это второй по важности показатель доходности инвестиционного проекта, IRR (англ. internal rate of return). Внутренняя норма доходности (окупаемости) это расчетная процентная ставка, при которой получаемые выгоды (доходы) от проекта становятся равными затратам на проект, т.е. ее можно определить как расчетную процентную ставку, при которой чистая приведенная стоимость равняется нулю. Можно дать еще одно определение это тот максимальный процент, который может быть выплачен для мобилизации капиталовложений в проект.
Вычисление внутренней нормы доходности осуществимо только на компьютере со специальной программой или на специальном финансовом калькуляторе. В обычных условиях определить внутреннюю норму доходности можно серией попыток, в которых NPV вычисляется при разных ставках дисконта. Например, NPV положительна при ставке дисконта 10% .и отрицательна при ставке дисконта 20%. Это означает, что внутренняя норма доходности лежит между 10 и 20%. Сделаем еще попытку: NPV все еще положительна при 15%.
Это значит, что внутренняя норма доходности лежит между 15 и 20%. Следующие попытки будут все больше сужать этот диапазон, и в конце концов ставка дисконта, при которой NPV= 0, будет найдена. Этот метод расчета называется м е т о д о м и т е р а ц и й.
Добавим, что Вt - Сt как показатель широко используется при оценке результатов деятельности фирмы (предприятия) и называется д е н е ж н ы м и п о с т у п л е н и я м и (денежным потоком, англ. cash flow). Он имеет более широкое значение, чем поступления наличных денежных средств в кассу фирмы (предприятия): это чистый денежный результат коммерческой деятельности фирмы.

Пример 18.6. Определение внутренней нормы доходности (на основе данных примера 18.5).





Инфляция




Итак, внутренняя норма доходности нашего инвестиционного проекта равна 18%. Что дает предпринимателю знание этого показателя? Если IRP выше ставки дисконта, то наш проект окупается, он выгоден.

Другие показатели эффективности
К показателям эффективности (доходности) относятся наименьшие затраты, рентабельность, срок окупаемости.
Суть приема «наименьшие затраты» была описана выше, показатель наименьших затрат это величина расходов на проект по наименее дорогостоящему варианту.
Рентабельность проекта определяется как соотношение между всеми дисконтированными доходами от проекта и всеми дисконтированными расходами на него. Если эти доходы и расходы рассчитать на базе данных примера 18.5, то они составят соответственно 38,6 и 22,9 млн долл. Тогда показатель рентабельности 38,6 х 22,9 = 1,69, т.е.
69%, и чем он выше, тем более выгоден проект. Но, в сущности, показатель рентабельности больше единицы просто означает, что NPV положительна. Этот показатель эффективности можно использовать, например, для быстрого проигрывания вариантов в случае роста затрат.
Если в нашем проекте затраты возрастут на 69%, то он перестанет быть доходным.
Срок окупаемости проекта показывает, за какой период времени проект окупается; он обычно рассчитывается на базе недисконтированных доходов.



Интеграционные меры


Немалое значение для определения реальной позиции стран по отношению к интеграции в рамках СНГ имели, особенно в первые годы после распада СССР, расчеты на помощь Запада в том случае, если эти страны не будут «торопиться» с интеграцией. Нежелание в должной мере учитывать интересы партнеров, негибкость позиций, столь часть встречавшаяся в политике новых государств, также не способствовали достижению договоренностей и их практической реализации.
Различия в характере системных реформ временами создавали трудности в налаживании взаимных связей, например, в функционировании платежного механизма и банковской системы. Интеграционные меры нередко требовали средств и целеустремленности. Часто и то, и другое отсутствовало.
Сильнейший системный кризис во всех странах членах СНГ и государствах Балтии сделал материальные трудности, особенно дефицит обратимой валюты, повсеместным явлением.
Готовность бывших советских республик к интеграции была различной, что определялось не столько экономическими, сколько политическими и даже этническими факторами. С самого начала прибалтийские страны были против участия в каких-либо структурах СНГ. Для них стремление дистанцироваться от России и от своего прошлого как можно дальше с целью упрочить свой суверенитет и «войти в Европу» было доминирующим, несмотря на высокую заинтересованность в поддержании и развитии экономических связей со странами членами СНГ.
Сдержанное отношение к интеграции в рамках СНГ отмечалось со стороны Украины, Грузии, Туркменистана и Узбекистана, более положительное со стороны Белоруссии, Армении, Киргизии и Казахстана.
Поэтому многие из них рассматривали СНГ прежде всего как механизм «цивилизованного развода», стремясь осуществить его и укрепить собственную государственность таким образом, чтобы неизбежные потери от нарушения сложившихся связей были минимальными. Задача реального сближения стран членов СНГ отодвигались на второй план. Отсюда и постоянное неудовлетворительное выполнение принятых решений. Ряд стран пытались использовать интеграционный механизм для достижения своих политических задач.
В частности, Грузия для борьбы с абхазским сепаратизмом стремилась через СНГ установить экономическую и политическую блокаду Абхазии.
Решение о создании Содружества Независимых Государств (СНГ) было принято президентами России, Белоруссии и Украины одновременно р подписанием Беловежских соглашений о роспуске СССР в конце 1991 г. В дальнейшем к СНГ присоединились все бывшие советские республики, кроме прибалтийских. В уставе определены цели Содружества: способствовать сближению членов СНГ в экономической, политической и гуманитарной областях, поддерживать и развивать контакты и сотрудничество между людьми, государственными институтами и предприятиями стран Содружества. СНГ открытая организация для присоединения других стран.
Структура органов СНГ В соответствии с уставом СНГ возникла разветвленная структура органов Содружества:
С о в е т г л а в г о с у д а р с т в, в функции которого входит принятие основополагающих решений на уровне глав государств;
С о в е т г л а в п р а в и т е л ь с т в, координирующий сотрудничество органов исполнительной власти;
С о в е т м и н и с т р о в и н о с т р а н н ы х д е л, который согласовывает позиции стран членов СНГ в отношениях с третьими странами в том случае, если правительства пришли к выводу о целесообразности такого согласования. Министры иностранных дел также обсуждают вопросы налаживания механизма отношений в рамках Содружества;
С о в е т м и н и с т р о в о б о р о н ы, занимающийсярешением вопросов взаимоотношений стран членов СНГ в военной сфере, в том числе касающихся общих операций по поддержанию мира, помощи при строительстве национальных вооруженных сил, имущественных отношений в военной области, реализации соглашений о поставках вооружений и материалов;
С о в е т к о м а н д у ю щ и х п о г р а н в о й с к а м и , который согласовывает и реализует мероприятия по совместной охране внешних границ Содружества в том случае, если возникает такая потребность, организует обустройство границ, взаимопомощь в обучении погранвойск.
М е ж п а р л а м е н т с к а я а с с а м б л е я состоит из представителей парламентов стран членов СНГ. На своих сессиях она вырабатывает рекомендации по гармонизации законов стран-членов, затрагивающих взаимные связи, организует обмен мнениями среди парламентариев относительно сотрудничества в рамках СНГ.
Э к о н о м и ч е с к и й с у д призван разрешать межгосударственные споры между странами членами СНГ, возникающие в процессе хозяйственных отношений.
В качестве постоянного исполнительного и координирующего органа Содружества устав СНГ предусматривал создание К о о р д и на ц и о н н о к о н с у л ь т а т и в н о г о к о м и т е т а (ККК) с местопребыванием в Минске. По решению глав правительств в 1994 г. ККК фактически был разделен на два органа: И с п о л н и т е л ь н ы й се к р е т а р и а т (ИС) и М е ж г о с у д а р с т в е н н ы й э к о н ом и че с к и й к о м и т е т (МЭК). К ИС перешел весь рабочий аппарат ККК, в то время как МЭК базировался на принципе коллегиального руководства (каждая страна направляла в МЭК определенное число своих представителей).
В этом комитете проходили обсуждение и подготовка основной части решений по экономическим вопросам сотрудничества.
Но ИС и МЭК не предусматривались в уставе СНГ, что создавало некоторую правовую незавершенность организационной структуры Содружества. К тому же их функции не всегда были достаточно четко разграничены, что приводило к частому дублированию работы.
В апреле 1999 г. Совет глав государств принял решение о реорганизации структуры органов СНГ: ККК и МЭК преобразовывались в Э к о но м и ч е с к и й со в е т некоторыми изменениями функций, расширялись полномочия Исполнительного секретариата.
Деятельность органов СНГ базируется на принципе единогласия при решении важнейших вопросов сотрудничества. Хотя любая из стран могла не участвовать в работе какого-либо органа или в обсуждении вопроса, но если она возражала, то действие принятого решения на нее не распространялось. Никакого контрольного механизма по реализации принятых решений не предусматривалось.
Помимо уставных главных органов СНГ была создана разветвленная система органов более низкого уровня отраслевых и проч. (около 60). Они занимаются конкретными областями сотрудничества.

Успехи и неудачи СНГ
К главному экономическому успеху СНГ следует отнести его реальное функционирование как зоны свободной торговли.
Неудачей можно считать то, что с 1992 г. по 1998 г. в органах СНГ было принято около тысячи совместных решений в самых различных областях сотрудничества, но большая часть из них осталась на бумаге по разным причинам, главным образом из-за нежелания стран-членов идти на какое-либо ограничение своего суверенитета, без чего реальная интеграция невозможна или имеет крайне узкие рамки. Известную роль сыграл и бюрократический характер интеграционного механизма, его неповоротливость, отсутствие у него контрольных функций.
Критика неэффективности работы СНГ особенно стала слышна в 19971998 гг. Часть критиков вообще сомневалась в жизнеспособности самой идеи интеграции в СНГ, а часть видела в качестве причины этой неэффективности бюрократизм, громоздкость и неотлаженность интеграционного механизма.
Однако все же главное препятствие для успешной интеграции заключалось не в недостатках функционирования организационного механизма Содружества, а в отсутствии согласованной цели интеграции, последовательности интеграционных действий, в слабой политической воле для достижения прогресса, в экономических трудностях. Еще не исчезли расчеты у части правящих кругов новых государств на получение выгод при дистанцировании от России и интеграции в рамках СНГ.
Тем не менее, несмотря на все эти сомнения и критику, организация сохранила свое существование, поскольку она нужна большинству стран членов СНГ. Нельзя сбрасывать со счетов и распространенные среди широких слоев населения этих государств надежды на то, что активизация взаимного сотрудничества поможет преодолению серьезных трудностей, с которыми столкнулись все постсоветские республики в ходе преобразований социально-экономических систем и упрочения своей государственности. Глубокие родственные и культурные связи также подталкивали к сохранению взаимных связей.

Перспективы СНГ По мере того как происходило становление собственной государственности, у правящих кругов стран членов СНГ уменьшались опасения, что интеграция может повлечь за собой подрыв суверенитета. Возможности увеличения поступлений в твердой валюте за счет дальнейшей переориентации топливно-сырьевого экспорта на рынки третьих стран оказались постепенно исчерпанными. Потенциал же расширения экспорта готовых изделий за пределы СНГ крайне ограничен из-за низкой конкурентоспособности продукции обрабатывающей промышленности стран членов СНГ.
В то же время резервы расширения торговли в рамках СНГ, особенно готовыми Изделиями, остаются значительными.
Технологическое разделение труда и единые стандарты, унаследованные от советского периода, знакомство с продукцией друг друга, характер общей подготовки персонала и т.д. создавали хорошие возможности для взаимного обмена. Конечно, эта продукция по качеству и техническому уровню часто не соответствует требованиям мировых рынков, но торговля в границах Содружества позволяет поддерживать часть производств. В дальнейшем повышать качество и технический уровень продукции легче на базе работающих предприятий, чем начинать с нуля.



Инвестиционный климат и инвестиционные риски


Прорабатывается местное и отечественное законодательство, прямо или косвенно затрагивающее деятельность создаваемой фирмы: ограничения на вывоз и ввоз капитала и прибыли, таможенное законодательство, законодательство о конкуренции и демпинге, налоговое законодательство, иммиграционный режим, неформальные ограничения и т.д. Особое внимание уделяется оценке инвестиционного климата и учету рисков.
Определяется организационно-правовая форма создаваемой фирмы (товарищество, общество и т.д.) и подбираются потенциальные зарубежные ее учредители, если в них есть нужда. Последние, кстати, привлекаются к проработке вышеуказанных вопросов.
Затем следует оценка экономической эффективности создаваемой фирмы. При этом надо учитывать, что для снабженческо-сбытовых компаний задача максимизации их прибыли не всегда является главной, так как российскому учредителю часто выгоднее получить доход через цену, по которой зарубежная фирма покупает у него или продает ему товары, а не через дивиденды по вкладу в капитал фирмы. Однако если налогообложение прибыли в стране размещения зарубежного филиала заметно ниже, чем в России, то выгоднее, чтобы прибыль аккумулировалась за рубежом, что в большинстве случаев и происходит.
Заключительный этап создания (покупки) фирмы включает подготовку и принятие учредительских документов (договор, устав и др.); получение разрешения от компетентных органов в России (обязательно) и зарубежной стране (если такое разрешение требуется); регистрацию фирмы за рубежом и занесение ее в Государственный реестр зарубежных предприятий, создаваемых с российским участием.

4. Инвестиционный климат и инвестиционные риски
Понятие инвестиционного климата Инвестиционным климатом (иногда предпринимательским) называется ситуация в стране с точки зрения иностранных предпринимателей, вкладывающих в ее экономику свои капиталы. Этот климат складывается из большого числа элементов (так называемых факторов риска), которые можно объединить в следующие группы:
1) социально-политическая ситуация в стране и ее перспективы;
2) внутриэкономическая ситуация и перспективы ее развития;
3) внешнеэкономическая деятельность и ее перспективы.
Каждый фактор риска имеет свою долю и оценивается в баллах. Поэтому становится возможным количественное измерение как отдельных групп факторов риска, так и инвестиционного климата в целом.

Понятие инвестиционных рисков и их оценка Упомянутые выше группы факторов риска определяют ситуацию в самых важных для иностранного предпринимателя сферах жизни той страны, в которой он собирается вложить (или уже вложил) свой капитал. С точки зрения иностранного предпринимателя, это факторы, характеризующие различные виды риска, с которыми он сталкивается в зарубежной стране. В данном случае риск это вероятность потери средств, вложенных потенциальным инвестором.
Поэтому вместо термина «фактор риска» может употребляться просто «риск», а вместо социально-политической ситуации (внутриэкономической, внешнеэкономической) в стране и перспективах ее развития можно говорить о социально-политических (внутриэкономических, внешнеэкономических) рисках.
Социально-политический риск оценивается прежде всего исходя из того, насколько стабильна ситуация в стране с точки зрения социально-политических перемен, которые могут изменить экономическую политику страны настолько, что это приведет к заметной потере средств действующих в стране иностранных компаний. Аналогично можно определить и внутриэкономический, и внешнеэкономический риск.
Существует и чаще используется также другой подход к классификации рисков'.





' В частности, одно из наиболее известных в этой области изданий ежегодник по большинству стран мира в семи томах под названием «Political Risk Year-book », издаваемый американской фирмой «International Business Company USA (Publications) INC.», оценивает следующие риски: политический, финансовых трансфертов, экспорта, прямых инвестиций. Причем риски (группы рисков) оцениваются по 12-балльной системе (от «А+» лучшая оценка, до «D-» худшая оценка), а общая оценка не выводится. Американские фирмы «Business Enviroment Risk Intelligence», «International Reports » и немецкая фирма «BERI» дают и отдельный, и сводный риск, оценивая их по 100-балльной шкале (100 баллов лучшая оценка).





Выделяют следующие три группы:
1) политические риски (включая и некоторые социальные);
2) финансовые риски, определяющие в основном платежеспособность страны с точки зрения предоставления ей и ее юридическим лицам ссудного капитала; 3) риски операций и в особенности:
риски для внешнеторговой деятельности (внешнеторговый риск);
риски для производственной деятельности (производственный риск).
Оценка рисков чрезвычайно важна для любого инвестора, но особенно для осуществляющего капиталовложения за рубежом, так как он попадает в незнакомую среду. Поэтому ему следует отчетливо представлять достоинства и недостатки систем оценки инвестиционного климата:
а) подбор факторов риска и их доля в любой системе не могут быть полностью объективны. Поэтому целесообразно сравнивать оценки риска, даваемые различными системами;
б) при анализе факторов риска инвестору целесообразно уделять особое внимание тем из них, с которыми он будет сталкиваться чаще;
в) все вышеуказанные системы оценки деловых рисков недостаточно конкретны и слабо специализированы по отраслям, в которых фирма намеревается осуществить инвестиции.


Учет рисков Системы оценки рисков нацелены на то, чтобы помочь потенциальному инвестору лишь на начальной стадии инвестиционного проекта: при открытии фирмы за рубежом, когда нужно принимать решения типа «где» (выбор страны размещения капиталовложений), «как» (способ проникновения на рынок) и «когда» (в зависимости от предполагаемого срока жизни проекта); при уже функционирующей за рубежом фирме, когда требуется решать, нужно ли расширять ей свою деятельность на этом рынке, сбыт какой продукции там следует планировать и следует ли ей полностью или частично уйти с этого рынка. Возможны различные методы снижения рисков: 1) добавление «премии за риск» к стоимости проекта. Так, если уровень общего инвестиционного риска по стране составит 90 100 баллов (по 100-балльной системе), то инвестор обычно не закладывает в стоимость проекта существенной «премии за риск». Если этот уровень составит 8089 баллов, то целесообразно реальную ставку дисконта (т.е. очищенную от инфляции) увеличить на 3 процентных пункта.
Если же уровень ниже 60 баллов, то целесообразно добавить не менее 11 процентных пунктов к ставке дисконта. Возможна коррекция ставки через добавление «премии за риск» к стоимости авансируемого первоначального капитала или же к внутренней норме доходности;
2) создание (расширение) резервного фонда фирмы в качестве страховки от возможных потерь от инвестиционной деятельности за рубежом;
3) страхование от политического риска через частные страховые компании, а также через государственные и полугосударственные организации и службы. В США это Экспортно-импортный банк (EXIM Bank ) и особенно Корпорация зарубежных частных инвестиций (ОР1С)'.




' ОР1С Overseas Private Investment Corporation.


Под эгидой Всемирного банка действует Многостороннее агентство по гарантированию инвестиций, участником которого является и Россия. Наша страна имеет также несколько десятков соглашений с зарубежными странами о поощрении и взаимной защите капиталовложений;
4) подбор такого проекта, который явно нужен принимающей стране (с новой технологией, с экспортной направленностью) и поэтому будет «опекаться» за рубежом;
5) «перевод» риска, основанный на использовании неакционерных форм собственности (см. п. 1);
6) диверсификация риска через географическое рассредоточение портфеля зарубежных активов фирмы.
Возможны и многие другие способы уменьшения риска, но наиболее распространенный состоит в том, что инвесторы просто воздерживаются от рискованных стран и проектов.
5. Россия в международном движении капитала
Особенности ввоза капитала в Россию Участие России в международном движении капитала заметно, однако весьма специфично.
Как страна импортер капитала Россия является заметным объектом приложения ссудного капитала, преимущественно государственного и международных организаций. В 90-х гг. в Россию было привлечено кредитов на сумму несколько десятков миллиардов долларов. Однако большой ежегодный приток ссудного капитала увеличивает задолженность России перед мировым сообществом со всеми вытекающими отсюда последствиями: растущие ежегодные платежи в счет долга, «связанность» многих кредитов с закупками товаров в странах-кредиторах и т.д.
К началу 1999 г. внешняя задолженность России составила 141,5 млрд долл., а ежегодные платежи по ней начали составлять уже двузначную цифру.
Что же касается предпринимательского капитала, то, несмотря на все усилия (или, скорее, призывы) государственных органов, его присутствие в России невелико: за 90-е гг. в стране было вложено около 10 млрд долл. иностранных предпринимательских инвестиций, преимущественно прямых.
Россия особенно заинтересована в притоке прямых инвестиций, так как они не увеличивают внешний долг (а напротив, способствуют получению средств для его погашения); обеспечивают эффективную интеграцию национальной экономики в мировую благодаря производственной и научно-технической кооперации; служат источником капиталовложений, причем в форме современных средств производства; приобщают отечественных предпринимателей к передовому хозяйственному опыту.



Инвестор юридическое или физическое лицо


Золотой (золотомонетный) ставдарт валютная система, при которой за золотом закрепляются денежные фикции и устанавливается фиксированное золотое содержание (паритет) национальной денежной единицы
Зона свободной торговли форма экономической интеграции, в рамках которой отменяются торговые ограничения между странами-участницами, и прежде всего таможенные пошлины



И

Иммиграция въезд в страну на постоянное место жительства
Инвестиционные льготы льготы, предоставляемые преимущественно в виде субсидий, снижения и отсрочки уплаты налогов инвесторам в случае соответствия их капиталовложений целям и условиям государственных экономических программ
Инвестиционный климат ситуация в стране с точки зрения иностранных предпринимателей, вкладывающих в ее экономику свои капиталы
Инвестор юридическое или физическое лицо, осуществляющее инвестиции
Индекс потребительских цен показатель, характеризующий изменение во времени общего уровня цен на товары и услуги, приобретаемые населением для непроизводственного потребления; он измеряет отношение стоимости фактически фиксированного набора товаров и услуг в текущем периоде к его стоимости в базовом периоде
Индекс цен относительный показатель, характеризующий соотношение цен во времени
Индексация доходов увеличение номинальных доходов (заработной платы, социальных выплат) в зависимости от уровня инфляции
Индивидуальный предприниматель гражданин, осуществляющий предпринимательскую деятельность без образования юридического лица
Инжиниринг консультационные услуги в инженерной сфере
Институционализм направление экономической теории. Институционалисты претендуют на создание теории, объясняющей процессы развития человеческого общества в целом. Анализ экономических процессов они связывают с анализом социальных, правовых, политических, психологических и других общественных отношений.
Общество рассматривается как постоянно обновляющаяся и развивающаяся система. В основу изменений кладутся технологические сдвиги
Институциональные преобразования изменение формальных и неформальных условий хозяйственной деятельности
Интеграционное объединение хозяйственная группировка, созданная для регулирования интеграционных процессов между странами-участницами
Интеллектуальная собственность собственность на интеллектуальный продукт (см. Интеллектуальный продукт)
Интеллектуальный продукт (интеллектуальная продукция) знания в различной форме: открытий, изобретений и т.д.
Интернационализация экономики усиление участия страны в мировом хозяйстве
Инфляция снижение покупательной способности денег, которое проявляется в повсеместном повышении цен
Инфляция издержек инфляционный рост цен, в основе которого лежит рост производственных издержек (заработной платы, сырья, топлива, комплектующих)
Инфляция спроса инфляция, причиной которой служит рост совокупного спроса, вызывающий устойчивый рост цен
Итоговый баланс (баланс официальных расчетов) баланс всех статей платежного баланса, кроме статьи «Резервные активы»
Калькуляция расчет затрат на производство и реализацию единицы товара. Метод калькуляции полной себестоимости это метод, который предусматривает расчет всех издержек (постоянных и переменных), связанных с производством и продажей единицы товара (услуги). Метод калькуляции по величине покрытия предусматривает расчет только переменных издержек, связанных с производством и реализацией единицы товара (услуги)
Капитал экономический ресурс, определяемый как сумма материальных, денежных и интеллектуальных средств, используемых для предпринимательской деятельности
Капиталовложения инвестиции (см. Инвестиции) в воспроизводство основного капитала (основных фондов)
Капитальное строительство осуществление капитальных вложений и ввод в действие основных фондов
Капитальный проект (инвестиционный проект) форма планирования и реализации инвестиций
Карта безразличия семейство кривых безразличия при различных количествах предлагаемых товаров
Кассовые операции операции на фондовой бирже, выполнение которых в основном происходит непосредственно после заключения сделки
Квалификация набор требуемых для выполнения работы навыков, знаний и опыта
Кейнсианство направление экономической теории, разработанное Дж.М. Кейнсом и называемое теорией эффективного спроса. Ее идея состоит в том, чтобы через стимулирование спроса воздействовать на производство и предложение товаров, сократить безработицу.
Кейнс обосновывал необходимость государственного вмешательства в экономику в отличие от классиков, считавших, что рыночный механизм способен к саморегулированию и выравниванию возникающих диспропорций между спросом и предложением. Современное кейнсианство это не одна, а несколько макроэкономических теорий, в известной мере различающихся выбором целей и средств макроэкономической политики
Классическая теория теория, объединяющая представителей экономической науки, развивавших экономические концепции, начало которым положили английские экономисты А. Смит и Д, Рикардо. В качестве основы цены и конечного источника доходов ими принимались затраты труда в процессе производства. Западные экономисты относят к классическому направлению широкий круг теоретиков, завершая историю классиков трудами А. Маршалла
Коммерческая деятельность деятельность по производству товаров и оказанию услуг для третьих лиц (физических и юридических) с целью получения коммерческой выгоды
Коммерческий кредит кредит, предоставляемый одними предприятиями другим в виде продажи товаров с отсрочкой платежа
Конверсия внешней задолженности превращение внешней задолженности в долгосрочные иностранные инвестиции через предоставление собственности страны-должника в счет ее внешнего долга
Конкуренция соперничество между участниками рынка за лучшие условия производства и реализации продукции
Конкурентное преимущество ценовые, качественные и другие характеристики продукции предприятия, которые выгодно отличают его от конкурентов и обеспечивают устойчивое положение на рынке
Конкурентоспособность фирмы реальная и потенциальная способность фирмы изготовлять и реализовывать товары или оказывать услуги, которые по ценовым и неценовым (качественным) характеристикам более привлекательны для покупателей, чем товары и услуги других фирм конкурентов
Консалтинг (консультирование) профессиональные научно-внедренческие услуги в области экономики и управления, оказываемые предприятиям, организациям и органам государственного управления консультационными фирмами и индивидуальными) консультантами
Консолидация (реструктуризация) государственного долга превращение краткосрочной и среднесрочной государственной задолженности в долгосрочную, т.е. перенос предстоящих в скором времени платежей на отдаленное будущее
Консолидированный бюджет сумма бюджетов всех уровней Косвенные налоги налоги, взимаемые с товаров и услуг Коэффициент выбытия основных фондов отношение стоимости ликвидированных основных фондов за год к их наличию на начало года
Коэффициент Джини показатель концентрации доходов населения; чем выше неравенство в обществе, тем он ближе к 1
Коэффицисет износа основного капитала доля тех основных фондов, возраст которых превышает нормативные сроки
Коэффициент обновления основных фондов отношение стоимости введенных за год основных фондов к их наличию на конец года
Коэффициент покрытия доля суммы покрытия (см. Сумма покрытия) в выручке от реализации или (для отдельного товара) доля средней величины покрытия в цене товара
Коэффициент ценовой эластичности спроса отношение процентного изменения в спросе к процентному изменению цены
Кредит движение ссудного капитала, т.е. денежного капитала, предоставляемого в ссуду на условиях возврата за плату в виде процента
Кредитная система совокупность кредитно-расчетных отношений, форм и методов кредитования или совокупность кредитно-финансовых институтов
Кредитно-финансовые институты центральные банки, коммерческие банки, специализированные кредитно-финансовые институты (кредитные организации)
Кредитор физическое или юридическое лицо, предоставляющее другому лицу заемные средства на условиях возврата в определенные сроки и с уплатой определенного процента
Кривая безразличия график, отражающий все возможные сочетания товаров, дающих одинаковую суммарную полезность для потребителя
Кривая Лоренца график, отражающий фактическое распределение доходов. Область между линией абсолютно равного распределения доходов и линией их фактического распределения указывает на степень неравенства доходов: чем больше расхождение этих линий, тем выше степень неравенства доходов
Кривая Филлипса графическая зависимость между динамикой безработицы и ростом цен
Кризис ликвидности ситуация, когда кредитные организации не могут исполнять свои текущие обязательства
Кризис платежеспособности ситуация, когда банки не могут восстановить ликвидность баланса (за счет реструктуризации портфеля активов и пассивов), т.е. они фактически становятся банкротами
Криминализация экономической жизни получение довольно большой частью населения доходов преступным путем (рэкет, контрабанда, проституция и т.д.); контроль организованной преступности над хозяйственными предприятиями; перераспределение собственности преступным путем (грабеж, мошенничество и т.д.); значительная доля сделок, с которых не уплачиваются налоги



Исходные позиции для перехода к рыночным отношениям


Вследствие относительно меньшего, чем в Японии, развития рыночных отношений южнокорейское государство целенаправленно способствовало созданию мощных плацдармов рыночной экономики в лице крупных корпораций, так называемых чеболь, переросших затем в финансово-промышленные группы.
И наконец, еще один элемент южнокорейской модели, представляющий несомненный интерес для России, это оказание государственными органами всесторонней поддержки мелкому и среднему предпринимательству, что способствовало созданию в сжатые сроки среднего класса. В то же время, как показал конец 90-х гг., у южнокорейской и японской моделей с их особенно сильным государственным вмешательствам в рыночный механизм возникает пониженная приспособляемость последнего к мировым финансовым кризисам.
2. Российская модель переходной экономики
Исходные позиции для перехода к рыночным отношениям
После длительного господства административно-командной системы в экономике России на рубеже 80-х и 90-х гг. начался переход к рыночным отношениям.
Исходные позиции для перехода к рыночной экономике, сложившиеся к концу 80-х гг. в России, в целом были неблагоприятными по следующим обстоятельствам (объективные факторы):
крайне высокая (даже для стран с административно-командной системой) степень огосударствления экономики, почти полное отсутствие в то время легального частного сектора при неуклонно расширявшейся «теневой экономике»;
длительное (на протяжении жизни трех поколений) существование принципиально нерыночной экономики, что ослабляло хозяйственную инициативу большинства населения и порождало преувеличенное представление о социальной роли государства;
крайне искаженная структура национальной экономики, где ведущую роль играл военно-промышленный комплекс, а роль отраслей, ориентированных на потребительский рынок, была принижена;
неконкурентоспособность преобладающей части отраслей промышленности и сельского хозяйства.
Все это было усугублено отсутствием в обществе консенсуса по поводу самого перехода к рыночной системе, темпов и конкретных способов этого перехода, что вело к почти непрерывному социально-политическому кризису.
Стратегическая цель переходного периода в России это формирование эффективной рыночной экономики с сильной социальной ориентацией. Условиями создания такой экономики являются:
а) преобладание частной собственности;
б) создание конкурентной среды;
в) эффективное государство, обеспечивающее надежную защиту прав собственности и создающее условия для экономического роста;
г) эффективная система социальной защиты;
д) открытая конкурентоспособная на мировом рынке экономика.

Геополитические и исторические особенности
Формирование современной рыночной экономики в России происходит в условиях взаимопереплетающихся и взаимоотягощающих экономических, политических и социальных кризисов, что затягивает переход к зрелой рыночной системе на десятилетия и усиливает болезненность самих переходных процессов.
Характеризуя формирующуюся в России модель рыночной экономики, следует учитывать особую геополитическую роль страны. Россия в социокультурном плане выступает связующим звеном между цивилизациями западного и восточного типа. В экономическом плане российское общество исторически сформировалось как восточное и сохранило, несмотря на смену политических режимов, следующие его черты:
огромную роль государства как регулятора экономики и крупнейшего собственника;
неразвитость частной собственности, прежде всего на землю;
отсутствие автономного от государства гражданского общества:
неразрывную связь власти и собственности;
слабость личной инициативы при довольно сильных коллективистских тенденциях.
Сложившаяся в первой половине 90-х гг. российская модель рыночной экономики включает ряд черт, унаследованных из исторического прошлого. Государство даже после приватизации немалой части собственности по-прежнему располагает мощным государственным сектором в важнейших отраслях хозяйства. Сохраняется тесная связь политической власти и собственности.
Вместе с тем государство, утратив в ходе приватизации немалую часть прежних источников доходов, сохранило непосильный для него объем финансовых обязательств, что обусловливает затяжной кризис госбюджета.

Другие особенности экономического развития
В России не возникало взаимодействия и разграничения функций между рыночными структурами и государством, которые постоянно конфликтуют друг с другом, усугубляя кризисное состояние экономики. В результате сложившиеся в переходной экономике России формы собственности заметно отличаются от преобладающих в зрелой рыночной экономике. На многих приватизированных предприятиях так и не появился эффективный собственник.
Значительное влияние на экономические процессы оказывают сложившиеся в предыдущую эпоху монополистические структуры, что затрудняет формирование конкурентной среды; нередко практикуются и криминальные формы конкурентной борьбы.
Наряду с неблагоприятным в целом инвестиционным климатом в стране ограничение конкуренции обусловливает медленную структурную перестройку экономики. Причем начавшийся переход к открытой экономике высветил неконкурентоспособность подавляющего большинства отраслей обрабатывающей промышленности и вызвал новый перекос в отраслевой структуре в сторону топливно-энергетического комплекса и первичной переработки сырья (металлургия и химия). Преодоление неконкурентоспособности российской экономики потребует длительного времени, возможно нескольких десятилетий.
Переход к рыночным отношениям в различных отраслях и сферах российской экономики осуществляется крайне неравномерно. Так, в денежно-кредитной сфере и торговле происходит быстрое приближение к уровню стран со зрелой рыночной экономикой, тогда как в сельском хозяйстве в основном сохранились формы организации производства, унаследованные от административно-командной системы.
Неравномерным является также переход к рыночной экономике в регионах России. Быстрее всего этот процесс протекает в Москве, а также в Санкт-Петербурге и других крупных городах, где широкое распространение получило частное предпринимательство, тогда как в отдаленных регионах и сельской местности становление рыночных отношений идет крайне медленно.
Присущие российской модели рыночной экономики высокая криминализация экономической жизни и уход предпринимательства «в тень» обусловлены как факторами, общими для всех стран с переходной экономикой (конфликты в ходе перераспределения собтвенности, рост коррупции), так и российскими особенностями.
Чрезвычайно болезненные гигантские социальные сдвиги, происходящие в переходной экономике, вызывают превращение немалой части населения в маргиналов и люмпенов, которые становятся легкой добычей криминальных структур. В эту же сторону толкает аномия, т.е. разрушение прежних общественных ценностей, не сопровождающееся быстрым формированием новой законченной системы ценностей. Фактическим проявлением аномии в обществе является рост преступности, в том числе экономической.
Характерные для России деспотизм и отсутствие демократических традиций порождали неуважение к закону и недоверие к любой власти. Немалую роль играет и упоминавшийся антагонизм между государством и предпринимательскими структурами, ведущий к разрастанию теневой экономики.
На формирование рыночной экономики в России оказывают влияние такие факторы, как склонность немалой части населения к государственному патернализму (значительной роли государства в перераспределении доходов населения) и общественным формам присвоения (бесплатному образованию, медицинскому обслуживанию и т.д.). Это ведет к сохранению значительной экономической роли государства в финансировании социальных нужд и ограничению рыночных факторов в социальной сфере.
Из сказанного следует, что основанная на сильной регулирующей роли государства российская модель рыночной экономики опирается на ряд долговременных факторов: преобладание добывающих отраслей, неконкурентоспособность большинства обрабатывающих отраслей, неэффективность сельского хозяйства, социальное иждивенчество. Эти факторы в современных условиях сдерживают функции свободного рынка.
Такая переходная экономика, представляющая собой шаг вперед по сравнению с административно-командной системой, со временем должна будет уступить место зрелой рыночной системе.


Выводы 1. Совокупность всех экономических процессов, совершающихся в обществе на основе действующих в нем отношений собственности и организационно-правовых форм, представляет собой экономическую систему этого общества. В последние полтора-два века в мире действовали следующие системы: рыночная экономика свободной конкуренции (чистый капитализм), современная рыночная экономика (современный капитализм), административно-командная и традиционная экономика.
2. В каждой системе существуют свои национальные модели организации хозяйства, так как страны различаются своеобразием истории, уровнем экономического развития, социальными и национальными условиями.
3. Переход от одной системы к другой порождает особое, переходное состояние экономики. Экономике переходного типа свойственны некоторые специфические черты, в ней функционируют особые экономические формы (например, частично приватизированные предприятия) и одновременно идет интенсивное развитие форм, характерных для новой системы, и постепенное исчезновение старых экономических отношений.
4. Сложившаяся в первой половине 90-х гг. российская модель переходной экономики имеет ряд характерных черт: мощный государственный сектор, малая доля мелкого и среднего частного предпринимательства, постоянное перераспределение прав собственности, преобладание финансового капитала над промышленным, крайне неравномерный переход к рыночным отношениям в различных отраслях и регионах, высокая криминализация экономической жизни, склонность населения к государственному патернализму.


Термины и понятия Экономическая система
Рыночная экономика свободной конкуренции (чистый капитализм)
Современная рыночная экономика (современный капитализм)
Административно-командная система
Традиционная система
Модели в рамках экономической системы
Переходная экономика
Государственный патернализм
Криминализация экономической жизни


Вопросы для самопроверки 1. Как решаются проблемы определения объема и состава производимой продукции и распределения ресурсов между отраслями в странах с рыночной экономикой?
2. Каким образом эти же проблемы решаются в условиях административно-командной системы хозяйствования?
3. Какие формы монополизма в экономике существуют в административно-командной системе хозяйствования и как они отражаются на эффективности ее функционирования?
4. Каковы характерные черты переходной экономики (от административно-командной к рыночной)?
5. Каковы отличительные черты японской и южнокорейской моделей развития? Какие элементы этих моделей могут быть использованы в России при создании рыночной экономики?
6. В чем заключаются специфические особенности России в сравнении с другими странами с переходной экономикой:
а) высокая доля военно-промышленного комплекса в народном хозяйстве;
б) широкое распространение кустарного производства;
в) наличие свободных экономических зон?
7. В каком случае можно говорить о преобладании в стране административно- командной системы, исходя из степени участия государства в хозяйственных процессах:
а) минимальное вмешательство государства в экономику:
б) государство контролирует производство преобладающей части товаров и
услуг в рамках государственного сектора;
в) государство, сохраняя контроль над некоторыми отраслями экономики, в то же время поощряет развитие частного сектора?
8. Как сказываются геополитические особенности России на процессе ее перехода к рыночной экономике?
9. Чем вызван высокий уровень криминализации хозяйственной жизни в современной России?








































Из каких агрегатов состоит денежная масса?


4. Кредит выполняет функции: перераспределительную, экономии издержек, обращения, ускорения концентрации и централизации капитала. В современных условиях кредит наряду с деньгами и финансами используется как инструмент регулирования экономики.
5. Кредитная система включает, во-первых, совокупность кредитных отношений, форм и методов кредитования и, во-вторых, совокупность финансово-кредитных институтов, которые подразделяются на центральные банки, коммерческие банки и специализированные финансово-кредитные учреждения (кредитные организации).
6. Банковские операции обычно подразделяются на четыре группы: пассивные, активные, банковские услуги и собственные операции банков. Первые две группы операций наиболее распространены, и на них приходится основная часть банковской прибыли.
7. Совокупность мероприятий в области денежного обращения и кредита представляет собой денежно-кредитную политику. Она направлена либо на стимулирование кредита и денежной эмиссии (кредитная экспансия), либо на их сдерживание и ограничение (кредитная рестрикция). Методы денежно-кредитной политики делятся на две группы: общие (влияют на рынок ссудного капитала в целом) и «селективные (предназначены для регулирования конкретных видов кредита или кредитования отдельных отраслей, крупных фирм и т.д.).
К общим методам относятся учетная (дисконтная) политика, операции на открытом рынке и изменение норм обязательных резервов. Среди селективных методов выделяются прямое ограничение резервов банковских кредитов и контроль по отдельным видам кредитов


Термины и понятия Деньги
Мера стоимости и масштаб цен
Средство обращения
Средство образования сокровищ, накоплений и сбережений
Средство платежа
Денежная система
Количество денег в обращении
Денежная масса
Кредитная мультипликация
Банки
Наличные деньги (монеты и банкноты)
Безналичные деньги (счета в центральном банке)
Электронные средства платежа
Кредит
Ссудный капитал
Кредитная система
Коммерческий кредит
Банковский кредит
Вексель (простой)
Тратта
Овердрафт
Потребительский кредит
Государственный кредит
Международный кредит
Кредитное регулирование экономики
Кредитная система
Финансово-кредитные институты
Центральный банк
Коммерческие банки
Специализированные финансово-кредитные институты
Банковские операции (пассивные, активные, банковские услуги и собственные операции банков)
Кризис ликвидности
Кризис платежеспособности
Денежно-кредитная политика
Учетная (дисконтная) политика
Операции на открытом рынке
Нормы обязательных резервов


Вопросы дм самопроверки 1. Дайте определение денег и охарактеризуйте их основные функции.
2. Используя уравнение количества денег в обращении, объясните, почему возможен рост ВВП без изменения количества денег в обращении.
3. Что понимается пол наличными и безналичными деньгами?
4. Из каких агрегатов состоит денежная масса?
5. Какой денежный агрегат наилучшим образом отражает функцию денег как средства обращения?
6. Какие из приведенных активов обладают наибольшей ликвидностью: а) наличные деньги; б) сберегательный вклад; в) недвижимое имущество?
7. Что такое кредит? Охарактеризуйте его основные формы и функции.
8. Чем занимаются коммерческие банки? Каковы их взаимоотношения с центральным банком?
9. Как вы оцениваете эффективность следующих методов противодействия массовому изъятию банковских депозитов: а) распродажа банком ценных бумаг; б) временное прекращение выплат наличными деньгами; в) обращение за финансовой помощью в центральный банк; г) создание межбанковских резервных фондов?
10. Представьте себя членом совета управляющих центрального банка. В экономике кризис, идет спад производства, гиперинфляция.
Какие изменения вы хотели бы произвести: а) в норме обязательных резервов; б) в учетной политике; в) в операциях на открытом рынке? Дайте обоснование, каким образом каждое из изменений, за которое вы выступаете, повлияет на резервы коммерческих банков, денежное предложение, процентные ставки и совокупные расходы населения.
11. Предположим, что вам предложили два способа распорядиться состоянием: а) 50% состояния перевести в наличные деньги, а 50% в ценные бумаги; б) 90% состояния перевести в наличные деньги, а 10% в ценные бумаги. Какой из способов вы выберете в современных условиях России?
12. Как изменятся показатели М1 и М2, если вкладчик переводит 10 тыс. руб. с текущего вклада в Сбербанке (вклад до востребования) на срочный вклад?
13. Стоимость оборудования, сдаваемого в лизинг, 250 тыс. руб. Срок аренды 5 лет. Процентная ставка по лизингу 10%. Выплаты производятся два раза в год.
Рассчитайте сумму платежа за лизинг. Какую сумму выплатит арендатор банку за весь срок аренды?
14. В данный момент обыкновенная акция имеет курсовую стоимость 200 руб., ожидаемый дивиденд 100 руб. Ставка банковского процента 50% годовых.
Какой из объектов вложения можно порекомендовать инвестору, ориентирующемуся на краткосрочное безопасное вложение средств: покупку акций или хранение денег в банке?
15. Проанализируйте приводимый ниже баланс банка. Какие изменения произошли за год?
Как вы думаете, с чем это связано?


Из каких агрегатов состоит денежная масса?



Из каких агрегатов состоит денежная масса?



















Издержки фирмы на производство и реализацию


Ниже приводится расчет средней величины покрытия для одного платья; при этом учитываются только переменные издержки на единицу изделия (средние постоянные издержки во внимание не принимаются), руб.:


Издержки фирмы на производство и реализацию




Средняя величина покрытия составит: 100 руб. 47 руб. = 53 руб.
Покажем на примере, каким образом использование метода калькуляции полной себестоимости и метода калькуляции по величине покрытия может способствовать принятию решений по ассортименту выпускаемой продукции.

Пример 13.7. Пусть некая фирма производит и реализует четыре товара: товар А 30 000 шт. по цене 40 руб.; товар Б 40 000 шт. по цене 50 руб.; товар В 80000 шт. по цене 30 руб.; товар Г-35 000 шт. по цене 70 руб.
Переменные издержки на производство и продажу товара А составляют 600 тыс. руб., товара Б 1160тыс.руб., товара В 1280тыс. руб., товара Г 1260тыс.руб.; итого 4300 тыс. руб. Постоянные издержки фирмы 3440 тыс. руб.
Известны также затраты фирмы на производство и реализацию каждого из этих товаров (табл. 13.4).




Таблица 13.4. Издержки фирмы на производство и реализацию единицы изделия, руб.



Издержки фирмы на производство и реализацию





Требует пояснения, каким образом постоянные издержки фирмы были распределены между отдельными товарами, как были рассчитаны средние постоянные издержки.
Существует несколько принципов распределения постоянных затрат:
1. Постоянные издержки могут быть распределены поровну между всеми выпускаемыми товарами. В рассматриваемом примере производится 185 000 шт. разных товаров. Если постоянные издержки распределим поровну между ними, получим:
AFC= 3440 тыс. руб. : 185 тыс. шт. = 18,6 руб/шт.
2. Постоянные издержки можно распределить и пропорционально выручке от реализации.
Выручка от реализации товара А 40 руб. 30 000 шт. = 1200 тыс. руб., или 15% суммарной выручки фирмы.
Выручка от продажи товара Б: 50 руб. 40 000 шт. = 2000 тыс. руб., или 25% общей выручки.
Выручка от продажи товара B: 30 руб. 80 000 = 2400 тыс. руб., или 30% всей выручки.
Выручка от реализации товара Г: 70 руб. 35 000 = 2450 тыс. руб., или 30% всей выручки фирмы.
Тогда постоянные издержки распределим следующим образом. Постоянные издержки на товар А составляют 15% от всех постоянных издержек фирмы, или 516 тыс. руб. (3440 тыс. руб. 0,15).
Тогда на единицу товара А приходится 17,2 руб. постоянных издержек (516 тыс. руб. : 30 000 шт.).
Вычисленные аналогичным образом средние постоянные издержки составят: на товар Б 21,5 руб.; товар В 12,9 руб. и товар Г 29,5 руб.
3. Постоянные издержки можно распределить между отдельными товарами и пропорционально переменным издержкам, необходимым для их производства и реализации.
В нашем примере соотношение постоянных и переменных издержек фирмы составляет: 3440 тыс. руб. : 4300 тыс. руб. = 0,8, или 80%.
Для каждого отдельного товара средние постоянные издержки рассчитываются как 80% от средних переменных издержек. Именно этот способ был применен для определения средних постоянных издержек, приведенных в табл. 13.4.
Возможны также другие способы распределения постоянных издержек. Например, пропорционально прямым переменным затратам или пропорционально какой-либо одной статье переменных затрат.
В рассматриваемом примере прибыль на единицу товара Б является отрицательной величиной. Однако прежде чем принимать решение о том, сохранить этот товар в ассортименте или отказаться от его производства, рассчитаем прибыль от реализации всех производимых фирмой товаров, точку безубыточности, запас прочности и эффект производственного рычага. Общая выручка от реализации четырех товаров составит:
1200 тыс. руб. + 2000 тыс. руб. + 2400 тыс. руб. + 2450 тыс. руб. = 8050 тыс. руб.
Валовые издержки фирмы равны сумме постоянных и переменных издержек:
3440 тыс. руб. + 4300 тыс. руб. = 7740 тыс. руб.
Прибыль фирмы составляет:
8050тыс. руб. 7740тыс. руб. = 310 тыс. руб.
Определим выручку фирмы, соответствующую точке безубыточности, а также отклонение от нее фактической выручки:



Издержки фирмы на производство и реализацию




Поскольку фирма имеет в ассортименте товар Б, убыточный по полной себестоимости, посмотрим, как изменится прибыль фирмы, если отказаться от производства этого товара.
В случае отказа от производства товара Б выручка фирмы сократится на величину выручки от реализации этого товара:
8050 тыс, руб. 2000 тыс. руб. = 6050 тыс. руб.
При этом издержки фирмы сократятся на сумму переменных издержек, необходимых для производства и реализации товара Б, или на 1160 тыс. руб. Поскольку постоянные издержки не зависят от объема выпуска, отказ от производства товара Б не повлияет на их величину.
Издержки фирмы без производства товара Б составят:
7740 тыс. руб. - 1160 тыс. руб. = 6580 тыс. руб.
Тогда убытки фирмы будут равны:
6050 тыс. руб. - 6580 тыс. руб. = 530 тыс. руб.
Потери фирмы достигнут:
310 тыс. руб. + 530 тыс. руб. = 840 тыс. руб.
(здесь 310 тыс. руб. потерянная прибыль).
Таким образом, имея информацию о полных затратах и прибыли на единицу изделия, можно принять неправильное решение, отказаться от убыточных товаров и потерять прибыль. Использование метода калькуляции средней величины покрытия позволит избежать подобных ошибок (табл .13.5).


Таблица 13.5. Расчет средней величины покрытия на единицу товара,руб.






Издержки фирмы на производство и реализацию





Как видно, у всех четырех товаров средняя величина покрытия положительная. Если отказаться от производства одной штуки товара Б, фирма теряет 14 руб. из покрытия постоянных затрат. Отказ от 40000 шт. товара Б приведет к потерям в размере:
21 руб.\шт. i40000 шт. = 840 тыс.руб.
Вывод : товар Б сохранить в ассортименте.
Теперь предположим, что фирма имеет возможность производить и продавать новый товар Д в объеме 60 000 шт. по цене 47 руб/шт. Ниже приведен расчет средней величины покрытия на единицу товара Д руб.:
Сырье и материалы. ................................... 16
Заработная плата. .................................... 6
Переменные производственные накладные расходы. . . . . .2
Переменные сбытовые накладные расходы.............. 1


Итого средние переменные издержки …………….25
Цена……………………………………………………..47
Средняя величина покрытия……………………………22

Выпуск и реализация данного товару выгодны фирме. Средняя величина покрытия равна 22 руб/шт. Увеличение прибыли фирмы от данного товара составит 1320 тыс. руб. (22 руб/шт, 60000 шт.).
Однако производственные мощности фирмы пригодны для производства только 185 000 шт. товаров. Если фирма собирается наладить производство нового товара Д, ей придется отказаться от выпуска 60 000 шт. других товаров. Отсюда вопрос: стоит ли вводить в ассортимент новый товар и если да, то производство каких товаров следует сократить?
Средняя величина покрытия для единицы товара Д составляет 22 руб. Среди всех производимых фирмой товаров наименьшая средняя величина покрытия у товара В (14 руб.). Если отказаться от производства 60 000 шт. товара В, то фирма потеряет 840 тыс. руб. (14 руб/шт.
60 000 шт.), в то время как от выпуска товара Д фирма получит дополнительно 1320. тыс. руб. Выигрыш фирмы от изменения в ассортименте составит:
1320 тыс. руб. 840 тыс. руб. = 480 тыс. руб.
В табл. 13.6 показано, как изменится прибыль фирмы, когда она начнет выпускать пятый товар, Д.


Таблица 13.6. Расчет прибыли фирмы после изменения в ассортименте



Издержки фирмы на производство и реализацию



Теперь посмотрим, как отразилось изменение в ассортименте на запасе прочности фирмы и эффекте производственного рычага. Ниже приведен расчет точки безубыточности и запаса прочности для фирмы после изменения в ассортименте:

Выручка от реализации, тыс. руб…….9070
Переменные издержки, тыс. руб……...4840
Постоянные издержки, тыс. руб. . . . ….3440
Сумма покрытия, тыс. руб.......... ………4230 (9070 4840)
Коэффициент покрытия........... …………0,466 (4230:9070)
Пороговая выручка,тыс. руб....... ………7382(3440:0,466)
Запас прочности, %..............………….18,6((9070-7382):9070i100)
Прибыль, тыс. руб..............…………..790
Эффект производственного рычага. .5,35(4230:790)





Как видно, в результате обновления ассортимента положение фирмы улучшилось: прибыль выросла с 310 тыс. до 790 тыс. руб., запас прочности увеличился с 8,3 до 18,6%, эффект производственного рычага снизился с 12,1 до 5,35.


Выводы 1. Каждая фирма, начиная процесс производства или принимая решение о его расширении, должна быть уверена, что ее затраты обязательно окупятся и принесут прибыль. Для получения прибыли необходимо, чтобы объем выручки от продаж превышал сумму постоянных и переменных издержек фирмы. Чтобы определить, при каком объеме продаж окупятся валовые затраты фирмы, необходимо рассчитать точку безубыточности (выручку и объем продаж, обеспечивающие покрытие всех затрат фирмы и нулевую прибыль).
2. Для расчета объема выручки, покрывающего постоянные и переменные издержки фирмы, целесообразно использовать такую величину, как сумма покрытия. Расчет суммы покрытия позволяет определить, сколько средств зарабатывает фирма, производя и реализуя свою продукцию, с тем чтобы окупить постоянные издержки и получить прибыль.
3. Нахождение точки безубыточности имеет важное практическое значение. Начиная производство, всегда необходимо знать, какого объема продаж следует достичь ,с тем чтобы окупить вложенные средства. Поскольку будущий объем продаж и цена товара в значительной степени зависят от рынка, его емкости, покупательной способности потребителей, эластичности спроса, производитель должен быть уверен, что его затраты окупятся и принесут прибыль в будущем.
Если объем спроса, позволяющий окупить затраты и получить прибыль, не сможет быть достигнут вследствие, к примеру, узости рынка сбыта, то всегда об этом лучше знать до начала производства и осуществления инвестиций.
4. Если выручка предприятия больше той, которая соответствует точке безубыточности, значит, оно работает с прибылью. Эта прибыль тем больше, чем больше разница между фактической выручкой и выручкой, соответствующей точке безубыточности. Сравнивая эти два значения выручки, можно оценить, насколько фирма может допустить снижение выручки без опасения оказаться в убытке.
5. Производственный рычаг показывает, какое воздействие изменение выручки фирмы оказывает на ее прибыль. Чем выше эффект производственного рычага, тем более рискованным с точки зрения изменчивости прибыли является положение фирмы.
6. При принятии решений по ассортименту выпускаемой продукции целесообразно использовать метод калькуляции по величине покрытия. Калькуляция полной себестоимости не может служить основой для принятия решений, поскольку требуется обязательное распределение постоянных затрат между отдельными товарами, а результаты такого распределения во многой зависят от выбранного принципа. Следует обратить внимание на то, что если бы в рассмотренном выше примере 13.7 постоянные издержки были распределены поровну между всеми товарами, то убыточным оказался бы товар В, а если пропорционально выручке товар Б.
7. В случае, когда производственные мощности фирмы ограниченны и для обновления ассортимента приходится отказываться от уже производимых ею товаров, в первую очередь стоит снимать с производства тот товар, который имеет наименьшую среднюю величину покрытия.


Термины и понятия Сумма покрытия
Средняя величина покрытия
Коэффициент покрытия
Точка безубыточности
Пороговая выручка
Пороговый объем производства (продаж)
Запас прочности
Производственный рычаг
Калькуляция
Метод калькуляции полной себестоимости
Метод калькуляции по величине покрытия


Вопросы для самопроверки 1. Компания производит и продает один товар, переменные издержки на единицу которого составляют 80 руб. Товар продается по цене 100 руб/шт. Постоянные издержки фирмы составляют 200 тыс. руб.
Какое количество товара должна продать фирма, чтобы получить 20 тыс. руб. прибыли?
2. Фирма производит и продает три товара: А20000 шт. по цене 40 руб/шт.; Б25 000 шт. по цене 50 руб/шт. ,В 30 000 шт. по цене 32 руб/шт.
Переменные издержки на производство и реализацию единицы каждого товара характеризуются следующими данными, руб.:

А Б В
Прямые затраты................................……………………20 18 9
Переменные производственные накладные расходы. . 8 4 5
Переменные сбытовые накладные расходы........………4 5 6


Рассчитайте среднюю величину покрытия для каждого товара. Какую прибыль получает фирма? Как изменится прибыль фирмы, если она будет производить и продавать 21 000 шт. товара , А, 22 000 шт. товара Б,31000 шт. товара В ?
3. Ежемесячная выручка фирмы составляет 80 тыс. руб.; переменные издержки 35 тыс. руб.; постоянные издержки 38 тыс. руб. Найдите сумму покрытия, коэффициент покрытия, рассчитайте пороговую выручку и запас прочности.
4. Фирма производит 200 тыс. шт. товара А и 400 тыс. шт. товара Б. Ниже приведены цена реализации и затраты на производство каждого из этих товаров, руб.:

А Б
Цена реализации............…………50 40
Средние переменные издержки . 30 15
Средние постоянные издержки. .. 22 10
Прибыль на единицу изделия ….. -2 +15
Насколько целесообразно отказаться от выпуска товара А?
Предположим, что принято решение снять с производства товар А. Рассчитайте полную себестоимость товара Б для этого случая. Как изменится прибыль фирмы?


















































Эффект масштаба



Чем объясняется эффект масштаба?
Существует много объяснений положительного и отрицательного эффекта масштаба. Экономия, обусловленная расширением масштабов производства, вызвана тем, что:
по мере роста размеров предприятия увеличиваются возможности использования преимуществ специализации в производстве и управлении;
на более крупных предприятиях может применяться высокопроизводительное и дорогостоящее оборудование;
больше возможностей для диверсификации деятельности, развития побочных производств, выпуска продукции на базе отходов основного производства.
Отрицательный эффект масштаба возникает в связи с нарушением управляемости в чрезмерно крупной фирме:
снижается эффективность взаимодействия между ее отдельными подразделениями, фирма становится «неповоротливой», теряется гибкость;
затрудняется контроль за реализацией решений, принимаемых руководством фирмы;
в отдельных подразделениях возникают локальные интересы, противоречащие интересам фирмы в целом;
с ростом размеров фирмы увеличиваются издержки на передачу и обработку информации, необходимой для принятия решений, и т. п.
Эффект масштаба проявляется в отдельных отраслях по-разному. Существуют отрасли, где средние издержки достигают минимума при очень большом объеме выпуска продукции, достаточном для удовлетворения рыночного спроса. С точки зрения экономии издержек в них целесообразно существование одной крупной фирмы.
Это отрасли так называемой естественной монополии. К естественным монополиям относятся, например, предприятия электро-, газо- и водоснабжения крупного города. Деятельность естественных монополий регулируется государством.
В некоторых отраслях кривые средних долгосрочных издержек вначале быстро снижаются, а затем достаточно долго остаются на одном уровне горизонтальные участки. На таких участках отдача от роста масштабов производства является постоянной, и могут существовать и эффективно работать как мелкие, так и крупные фирмы. Примером могут служить предприятия по производству одежды, обуви, магазины.
В нашем примере оптимальным по размеру является предприятие, выпускающее 2000 булочек ежедневно. Если рыночный спрос превышает это количество, целесообразно создать новое предприятие, а не расширять уже работающее.
Анализ издержек фирмы в кратко- и долгосрочном периодах, приведенный выше, является необходимым, но не достаточным условием при планировании выпуска продукции на ближайшее время и перспективу. Минимизация издержек это не самоцель, а лишь средство повышения прибыли или сокращения убытков, а в конечном счете обеспечения стабильности и устойчивости положения фирмы в рыночной экономике.
На следующем этапе анализируются доходы фирмы, а также прибыли и убытки в различных временных интервалах. Доход является функцией цены производимой продукции и объема производства. В одних случаях цена продукции это внешний по отношению к фирме фактор, в других фирма, основываясь на анализе потребительских предпочтений, сама определяет цену продукции.
Поэтому анализ выбора фирмой объема производства, обеспечивающего ей максимальную прибыль или минимальные убытки, начинается с рассмотрения условий, с которыми приходится сталкиваться на рынке.


Выводы 1. Существуют различные виды классификации издержек. Согласно одному из них издержки делятся на явные и альтернативные (вмененные). Явными называют издержки, связанные с использованием не принадлежащих фирме факторов производства, за которые она должна заплатить сторонним организациям или частным лицам. Альтернативные издержки, как правило, возникают, когда используются ресурсы, принадлежащие самой фирме. При этом возможная выгода от использования данных ресурсов иным способом на стороне рассматривается в качестве альтернативных затрат фирмы.
Учет этих затрат при принятии решений о целесообразности производства продукции приводит к понятию экономической прибыли как разницы между выручкой фирмы и всеми (явными и альтернативными) ее издержками.
2. На практике мы часто сталкиваемся с делением издержек на прямые и накладные (косвенные), основным критерием которого является возможность их отнесения к единице изделия. Классификация издержек на постоянные и переменные основана на их зависимости (или независимости) от объема выпуска.
Постоянные издержки не зависят от объема производства и не могут быть изменены в течение короткого времени. Переменные издержки изменяются в зависимости от количества выпускаемой продукции. В связи с этим анализ издержек фирмы может проводиться в краткосрочном (когда изменяются только переменные издержки) и долгосрочном (когда все издержки могут изменяться) временных интервалах.
3. Изменение издержек в краткосрочном интервале подчинено действию закона убывающей отдачи. Его суть состоит в том, что при расширении использования в производстве какого-либо одного переменного ресурса (при условии, что все остальные ресурсы являются постоянными) отдача от него сначала растет, а затем этот рост замедляется. В результате предельный продукт (дополнительная продукция, произведенная за счет увеличения количества ресурса на единицу) на определенном этапе начнет сокращаться, а предельные издержки (прирост издержек на каждую дополнительную единицу продукции) возрастать.
4. Закономерности, которым подчиняется изменение издержек в долгосрочном временном интервале, позволяют фирме правильно выбрать размер предприятия. Если фирма расширяет производство, то на начальном этапе сказывается положительный эффект масштаба и издержки на единицу продукции снижаются. Это происходит за счет преимуществ специализации труда работников, возможности использования более производительного оборудования и т.д.
Однако при дальнейшем увеличении размера предприятия эффект масштаба становится отрицательным, средние издержки увеличиваются. Экономия от масштабов производства в разных отраслях достигается при различных размерах предприятий. В некоторых случаях максимальная экономия может быть достигнута при существовании нескольких или даже одного очень крупного предприятия.
Деятельность фирм в отраслях так называемой естественной монополии регулируется государством.


Термины и понятия Явные издержки
Альтернативные (вмененные) издержки
Бухгалтерская (финансовая) прибыль
Прямые издержки
Косвенные издержки
Постоянные издержки
Переменные издержки
Валовые (общие) издержки
Средние издержки
Предельный продукт
Предельные издержки
Положительный и отрицательный эффект масштаба


Вопросы для самопроверки 1. Что такое явные и альтернативные (вмененные) издержки фирмы?
2. Приведите примеры постоянных и переменных издержек фирмы. В чем состоит экономический смысл разделения издержек на постоянные и переменные?
3. Какой принцип лежит в основе выделения кратко- и долгосрочного периодов в деятельности фирмы?
4. В чем состоит действие закона убывающей отдачи (возрастающих предельных затрат)?
5. Что такое предельные издержки? Какова зависимость между предельными и средними переменными издержками фирмы?
6. Предположим, что вы решили заняться индивидуальной трудовой деятельностью вязать и продавать свитеры. Стоимость шерсти составляет 2000 руб. в месяц, вязальная машина обошлась вам в 6 тыс. руб., однако вы предполагаете ее использовать в течение двух лет.
Выручка от месячной реализации продукции 3300 руб., налог на прибыль 30%. Вам предлагают пойти работать на фабрику (заработная плата 700 руб. в месяц без учета 12% подоходного налога). Рассчитайте ваши явные и альтернативные издержки, а также вероятную экономическую прибыль.
Каково будет ваше решение: начать собственное дело или пойти работать на фабрику?
7. Рассчитайте и начертите кривые средних (постоянных, переменных, валовых) и предельных издержек фирмы, исходя из следующей информации:

Количество изделий, тыс. шт……………. 1 2 3 4 5 6 7 8 9 10
Переменные издержки, тыс. руб……….. 9 17 24 30 37 45 54 65 78 93

Постоянные издержки составляют 3 тыс. руб.
8. Как повлияют на издержки фирмы следующие изменения: - повышение арендной платы; повышение заработной платы работников; увеличение процента за кредит; повышение ставок налога?









Экономические потребности в товарах и услугах


Финансы синоним бюджета и налогов, иногда всей финансово-кредитной системы (см. Финансово-кредитная система)
Фонд не имеющая членства некоммерческая организация, учрежденная гражданами и/или юридическими лицами на основе добровольных имущественных взносов, преследующая созидательные, благотворительные, культурные, образовательные и иные общественно полезные цели
Фондовая биржа организованная определенным образом часть рынка ценных бумаг, где с этими бумагами при посредничестве членов биржи совершаются сделки купли-продажи
Фондоотдача отношение стоимости выпущенной продукции к среднегодовой стоимости основных фондов
Фрикционная безработица безработица, вызванная добровольным переходом трудящихся с одной работы на другую и сезонными колебаниями в спросе на рабочую силу



Х

Хозяйственная (экономическая) деятельность трансформация и приспособление экономических ресурсов в целях удовлетворения экономических потребностей




Ц

Целевые бюджетные фонды составная часть госбюджета
Цена «потолка» искусственно заниженная цена, ограничивающая ее рост
Цена «пола» искусственно завышенная цена, ограничивающая ее снижение
Ценовая дискриминация практика установления различных цен на одну и ту же продукцию для разных групп покупателей, причем разница в ценах не является следствием разницы в издержках
Ценовая эластичность спроса изменение в процентном отношении величины спроса на товар при изменении его цены на 1 %
Центральные банки как правило, государственные учреждения, осуществляющие выпуск банкнот и являющиеся центрами кредитной системы
Циклическая безработица безработица, отражающая состояние экономической конъюнктуры в стране и превышение предложения рабочей силы над спросом нанес



Ч

Частичная безработица это когда трудящиеся вынуждены работать часть рабочего времени ввиду отсутствия работы на полный рабочий день
Частичное равновесие в экономике количественное соответствие (равенство) двух взаимосвязанных параметров или элементов экономики
Чистая приведенная стоимость (чистая приведенная величина дохода) абсолютная величина чистого дисконтированного дохода от инвестиционного проекта


Ш

«Шоковая терапия» экономическая политика периода перехода от административно-командной к рыночной экономике. Включает два основных направления: антиинфляционную стабилизационную программу и глубокие институциональные реформы, в том числе преобразования отношений собственности



Э

Экономика свободной конкуренции (чистый капитализм) экономическая система, существовавшая с середины XVIII в. до начала XX в. Ее характерными чертами являются частная собственность на производственные ресурсы, наличие множества самостоятельных товаропроизводителей, господство свободной (совершенной) конкуренции в хозяйственной деятельности
Экономическая демократия система, включающая демократизацию собственности в форме привлечения работников к владению ею, участие работников в управлении компанией и другие меры по активизации участия работников в различных сторонах деятельности компании
Экономическая прибыль разность между валовой выручкой и всеми (явными 1 вмененными) издержками фирмы
Экономическая система совокупность экономических процессов, совершающихся в обществе на основе сложившихся отношений собственности и организационно-правовых форм
Экономически активное население см. Рабочая сила
Экономические агенты (хозяйствующие субъекты) те, кто самостоятельно принимает решения, планирует и реализует в сфере хозяйственной (экономической) деятельности практические мероприятия. Среди них принято различать прежде йсего домашние хозяйства, предприятия (фирмы), государство, нередко некоммерческие организации
Экономические потребности потребности в товарах и услугах
Экономические ресурсы все виды ресурсов, используемых в процессе производства товаров и услуг
Экономический и валютный союз форма международной экономической интеграции, совмещающая общий рынок (см. Общий рынок) с проведением единой экономической и валютно-финансовой политики
Экономический кругооборот модель взаимосвязанного движения продуктов и денег в масштабе национального хозяйства, представленного в виде одного хозяйственного цикла
Экономическое развитие многоплановое явление, отражающее прежде всего экономический рост, структурные изменения в экономике и рост уровня и качества жизни
Экономический рост критерий экономического развития. Выражается ростом объема ВВП (ВНП) как в абсолютной величине, так и на душу населения
Эффект масштаба производства выигрыш, получаемый в результате снижения средних издержек производства на единицу продукции по мере увеличения ее выпуска
Экспортная (импортная) квота экономический показатель, характеризующий значимость экспорта (импорта) для национального хозяйства; измеряется как отношение стоимости экспорта (импорта) к стоимости ВВП
Эластиционный подход неоклассический подход к проблемам платежного баланса, предлагающий для обеспечения его равновесия изменять валютный курс
Эластичность степень реакции одной экономической величины на изменение другой
Эластичность спроса по доходу отношение изменения величины спроса на товар (в процентах) к изменению доходов потребителей (в процентах)
Эмиграция выезд из страны на постоянное место жительства





Я


Явные издержки фирмы расходы фирмы на оплату используемых факторов производства ( природных ресурсов, труда капитала, предпринимательских способностей ) , не являющихся собственностью фирмы.
























Оглавление



ПРЕДИСЛОВИЕ К ТРЕТЬЕМУ ИЗДАНИЮ 1
ВВЕДЕНИЕ 2
Понятие и задачи экономической теории 3
Позитивная и нормативная экономическая теория 3
Экономическая политика и ее цели 3
Микро- и макроэкономика 3
Экономические законы и принципы 4
Гипотезы, теоремы, теории, концепции и модели 4
Направления и школы в экономической теории 4
Допущения 5
Методы 5
СОДЕРЖАНИЕ 9




Экономические ресурсы стали перемещаться в добычу газа.


Применительно к теории специфических факторов суть этого процесса раскрывается в теореме СамуэльсонаДжонса: развитие внешней торговли приводит к росту цен на факторы, специфические для экспортных отраслей, и увеличению доходов их владельцев, а также снижению цен на факторы, специфические для отраслей, конкурирующих с импортом, и соответственно к снижению доходов их владельцев.

Внешняя торговля на основе эффекта масштаба Эффект масштаба возникает в том случае, когда с ростом объема выпускаемой продукции средние издержки на единицу продукции снижаются (подробнее см. 6.3.). Экономия на масштабе позволяет объяснить торговлю между странами в случаях, не поддающихся объяснению на основе классических теорий международной торговли.
Это, в первую очередь, относится к торговле между странами, в одинаковой степени наделенными основными факторами производства, и к торговле технологически однородными товарами, внутриотраслевой торговле дифференцированными товарами (например, автомобилями, изделиями электронной промышленности и др.).
Рассмотрим на конкретном примере, как развивается международная торговля на основе эффекта масштаба.
Предположим, что две страны, А и В, обладают примерно одинаковым экономическим потенциалом и в равной мере наделены факторами производства. В отсутствии внешней торговли каждая страна производит по 30 ед. товара Х и товара Y, что обозначено точкой Е на графике 34.6. В этом случае граница производственных возможностей обеих стран и кривые безразличия могут быть выражены одними и теми же сливающимися кривыми.
Соотношение цен товара Х (Рx) и товара У(Ру) представлено вектором относительных цен Pх/Pу.




Экономические ресурсы стали перемещаться в добычу газа.





34.6. Международная торговля на основе эффекта масштаба

С началом торговли каждая страна начинает специализироваться на выпуске того товара, в производстве которого она может получить эффект масштаба. Для страны А это товар X, а для страны В товар Y. Рост выпуска товара Х в стране A отражен на графике движением вниз от точки Е в направлении точки К, где будет достигнута полная специализация страны A на выпуске этого товара, который будет доведен до 90 ед. Рост выпуска страной В товара Y отражен движением вверх от точки Е до точки N, где достигается полная специализация страны В на производстве этого товара (90 ед.).
Как видно из графика, в условиях торговли на основе эффекта масштаба кривая производственных возможностей (общая для обеих стран) является вогнутой в сторону начала координат. Такая форма кривой объясняется тем, что при экономии на масштабе рост выпуска экспортного товара приводит к снижению средних издержек на каждую единицу продукции в пересчете на другой товар, от выпуска которого приходится отказываться. В приведенном на 34.6 графике для страны А: при отсутствии торговли 1Х= 1Y, по мере роста выпуска товарами сокращения выпуска товара Y- 1Х= 0,8 Y, 0,6 Y и т.д.
В результате использования высвобождаемых от сокращения производства товара Y ресурсов выпуск товара X расширяется в большем объеме, чем сокращается производство товара Y .
По мере развития внешней торговли и углубления международной специализации на основе использования эффекта масштаба происходит относительное снижение цен на экспортируемые товары. Так, в стране А уменьшается цена товара Х относительно цены товара Y, что отражается в сдвиге вектора цен Рх/Py для страны А влево, а для страны В ответственно вправо от ее положения при отсутствии внешней торговли.
В результате обе страны получают выигрыш от участия в международной торговле по мировым ценам, увеличивают потребление товарам Х и товара У с 30 до 45 ед. Это отражается точкой Е1. Соответственно общая, сливающаяся для обеих стран кривая безразличия смещается вправо (кривая безразличия D1 отражает рост уровня потребления обоих товаров в равной пропорции).
Внешняя торговля на основе эффекта масштаба приводит к изменениям в рыночной структуре экспортоориентированных отраслей. При этом в экономической литературе выделяют внутреннюю и внешнюю экономию на масштабе. Внутренняя экономия на масштабе достигается на основе увеличения размеров отдельных фирм, что ведет к созданию монополий и порождает несовершенную конкуренцию.
Внешняя экономия на масштабе, напротив, предполагает снижение затрат на единицу продукции в результате увеличения количества фирм в отрасли, усиления конкуренции между ними, т.е. дальнейшего развития совершенной конкуренции (подробнее о видах конкуренции см. 2.4).

Торгуемые и неторгуемые товары и услуги Последствия участия во внешней торговле для национальной экономики были конкретизированы экономистами на основе использования концепции торгуемых и неторгуемых товаров и услуг.
В соответствии с этой концепцией все товары и услуги подразделяются на торгуемые, т.е. участвующие в международном обмене (вывозимые и ввозимые), и неторгуемые, т.е. потребляемые только там, где они производятся, и не являющиеся объектом международной торговли. Уровень цен на неторгуемые товары складывается на внутреннем рынке и не зависит от цен на мировом рынке.
Исключение неторгуемых товаров и услуг из международного товарооборота обусловлено двумя основными факторами: большими транспортными расходами на их перемещение через национальные границы и высоким уровнем протекционистских (тарифных и нетарифных) ограничений.
На практике большинство товаров и услуг, произведенных в сельском хозяйстве, добывающей и обрабатывающей промышленности, являются торгуемыми. Напротив, большая часть товаров и услуг, производимых в сфере строительства, транспорта и связи, коммунальных, общественных и личных услуг, относится к неторгуемым. Разделение товаров и услуг на торгуемые и неторгуемые имеет условный характер и может изменяться под воздействием научно-технических достижений.
Отмеченное деление товаров и услуг влияет на структурные сдвиги в экономике, происходящие под воздействием участия страны в международной торговле. Это обусловлено тем, что спрос на неторгуемые товары и услуги может быть удовлетворен только за счет внутреннего производства, а спрос на торгуемые товары и услуги также и за счет импорта.

Теорема Рыбчинского
Английский экономист польского происхождения Т.М. Рыбчинский уточнил выводы теории соотношения факторов производства ХекшераОлина.
Он доказал теорему, согласно которой при неизменных мировых ценах и наличии только двух секторов в экономике расширение использования избыточного фактора в одном из них ведет к сокращению производства и выпуска товаров в другом. Рассмотрим теорему Рыбчинского на конкретном примере.




Экономические ресурсы стали перемещаться в добычу газа.



34,7. Влияние роста использования фактора производства на доходы от него

Допустим, что в стране производятся два товара: Х и Y с использованием двух факторов производства капитала и труда ( 34.7). Причем товар X является относительно более трудоемким, а товар Y относительно более капиталоемким. Вектор OF показывает оптимальное сочетание труда и капитала на основе использования наиболее эффективной технологии при производстве товара X, а вектор ОЕ соответственно при производстве товара Y. Обеспеченность страны в целом трудовыми ресурсами и капиталом показана точкой G, означающей, что в стране имеется OJ труда и GJ капитала. При отсутствии внешней торговли товар Х производится в объеме F, а товар Y в объеме Е.
С включением страны в международный товарообмен увеличивается производство товара Y в экспортном секторе, при создании которого в большей мере используется избыточный фактор капитал. Это приводит к росту используемого капитала на GG1 При неизменных размерах другого используемого фактора труда соотношение производства товаров Х и Y показано параметрами нового параллелограмма. Производство экспортируемого капиталоемкого товара Y переместится в точку Е1, т.е. возрастет на ЕЕ1.
Напротив, производство более трудоемкого товара X переместится в точку F1, т.е. уменьшится на FF1. Причем перемещение капитала в экспортоориентированный сектор приводит к непропорционально большому увеличению производства товара Y .

«Голландская болезнь»
Концепция торгуемых и неторгуемых товаров и теорема Рыбчинского позволяют объяснить проблемы, с которыми в последние десятилетия XX в. столкнулись многие страны, начавшие интенсивную разработку новых сырьевых экспортных ресурсов: нефти, газа и др., так называемую голландскую болезнь. Своим названием этот феномен обязан тому, что в конце 60-х начале 70-х гг. в Голландии началась разработка природного газа в Северном море с расширением в дальнейшем его экспорта. Экономические ресурсы стали перемещаться в добычу газа.
Происшедший в результате этого рост доходов привел к увеличению спроса на неторгуемые товары и росту их производства. В то же время имело место свертывание производства в традиционных экспортных отраслях обрабатывающей промышленности и расширение импорта недостающих товаров. «Голландская болезнь» в различные периоды поразила Норвегию, Великобританию, Мексику и другие страны.
Последующее снижение цен на сырьевые товары вызвало новую фазу «голландской болезни». Произошло снижение доходов населения, сокращение производства неторгуемых товаров, отток ресурсов из отраслей сырьевого экспорта. Вновь укрепились позиции традиционных экспортных отраслей обрабатывающей промышленности.
Структурные сдвиги, вызываемые «голландской болезнью», порождают серьезные социальные проблемы.



Экономика к концу «кейнсианской эры» оказалась «зарегулированной».


Целевые установки «магического четырехугольника» во многом противоречат друг другу. Это отчетливо проявилось на протяжении всего периода после Второй мировой войны. Так, неокейнсианская модель госрегулирования 50-х первой половины 70-х гг. благоприятствовала быстрому экономическому росту и резкому повышению уровня занятости, но одновременно она действовала в сторону постепенного вызревания бюджетного кризиса и развязывания крупномасштабной инфляции. Экономика к концу «кейнсианской эры» оказалась «зарегулированной».
Обложение доходов предпринимателей и лиц наемного труда налогами и взносами на нужды социального страхования достигло такого уровня, при котором оказались в значительной мере подорванными стимулы к накоплению капитала путем реинвестирования прибыли, а также к более интенсивному и производительному труду. Все это, а также ряд других факторов поставили на повестку дня проблему так называемого д е р е г у л и р о в а н и я экономики, которое стало осуществляться с конца 70-х гг. на гребне неоконсервативной волны в политической жизни стран Запада.
Дерегулирование включало три основных аспекта: а) распродажу части государственной собственности, которая, например, в США принесла в федеральный бюджет 40 млрд долл.; б) установление режима жесткой экономии бюджетных расходов (т.е. их ограничение и, по возможности, сокращение), что удалось в гораздо меньшей степени, чем первое; в) уменьшение налогов, преследовавшее цель повысить их собираемость и стимулировать экономический рост, который бы обеспечил общее увеличение массы собираемых налогов (удалось в еще меньшей степени).
Результаты дерегулирования оказались далеко не однозначными. С одной стороны, бюджетный кризис на Западе был преодолен или значительно смягчен. Так, в США дефицит федерального бюджета в 1997 г. составил по отношению к ВВП только 0,5% по сравнению с 3% в 1990 г., а в среднем по странам членам ЕС дефицит центральных (федеральных бюджетов) соответственно 2,3% против 3,5%.
Правда, в Японии этот показатель вырос с 0,5% в 1990 г. до 4,2% в 1996 г. и лишь в 1997 г. вновь снизился до 3,7%.
С другой стороны, оздоровление государственных финансов и связанное с этим резкое уменьшение инфляции имело своей обратной стороной жесткое ограничение или даже урезание расходов на нужды социального обеспечения («социальный демонтаж») и высокий уровень безработицы.
Можно с уверенностью предположить, что госрегулирование в странах с развитой рыночной экономикой и впредь будет двигаться в замкнутом пространстве «магического четырехугольника». Вместе с тем оно будет поддерживать систему рыночно-государственно регулируемого, социально ориентированного капитализма, включая его институты политического плюрализма и демократии, в дееспособном, более или менее стабильном состоянии.


Выводы 1. Государственное регулирование экономики (госрегулирование) представляет собой процесс воздействия государства на хозяйственную жизнь общества и связанные с ней социальные процессы, в ходе которого реализуется экономическая и социальная политика государства, основанная на определенной доктрине (концепции). Оно включает в себя момент целеполагания, целеустановки, причем для достижения поставленных целей используется определенный набор административно-правовых и экономических средств (инструментов).
2. После «великого кризиса» 19291933 гг. и особенно после Второй мировой войны госрегулирование было органично встроено в хозяйственный механизм капиталистического общества в качестве третьего, верхнего «слоя» (уровня) наряду с двумя другими «слоями» спонтанно-рыночным и корпоративным регулированием. В результате сложился рыночно-государственно регулируемый, социально ориентированный капитализм (современный капитализм), который выгодно отличается от исторически предшествовавших ему форм капитализма (капитализм свободной конкуренции, корпоративно-олигополистический, по В.И. Ленину, «монополистический» капитализм) значительно большими экономической и социальной стабильностью, эффективностью общественного производства, уровнем и качеством жизни.
3. В условиях быстрой интернационализации и глобализации хозяйственной жизни в современном мире внутриэкономическое и внешнеэкономическое госрегулирование тесно связаны и взаимопереплетены.
4. По объекту воздействия со стороны государства выделяются различные направления госрегулирования: инвестиций, сбыта (включая регулирование цен), рынка труда, НИОКР, экологическое, социальных отношений, внешнеэкономическое и т.д.
5. По характеру воздействия на процесс общественного воспроизводства выделяются две основные формы госрегулирования: краткосрочное (антициклическое), которое на Западе чаще всего именуется конъюнктурной политикой, и среднесрочное и долгосрочное целевое регулирование (оно включает структурную политику и политику общего стимулирования экономического роста на определенную перспективу), которое, как правило, осуществляется при помощи различного рода прогнозов и программ.
6. Эффективность госрегулирования далеко не беспредельна. Оно не может преодолеть цикличность капиталистического воспроизводства с ее многочисленными негативными последствиями, постоянно обеспечивать высокий уровень занятости населения и его всестороннюю социальную защиту. Оно движется в замкнутом пространстве «магического четырехугольника», цели которого (обеспечение темпов роста ВВП, соразмерных хозяйственному потенциалу страны, минимизация безработицы, стабильность цен, внешнеэкономическое равновесие) во многом противоречат друг другу.
7. В развитых странах сложились три главные модели госрегулирования (американская, западноевропейская и японская), характеризующиеся различным сочетанием основных инструментов экономической политики (бюджетно-налоговых, денежно-кредитных, государственной собственности и др.).
8. Нет никаких объективных оснований полагать, что госрегулирование в обозримой перспективе не обеспечило бы поддержание высокого уровня экономической, социальной, а на этой основе и политической стабильности в странах Запада. Для России и других стран с переходной экономикой опыт госрегулирования на Западе, эффективно адаптированный к своим специфическим условиям, имеет большое значение.


Термины и помятая Государственное регулирование экономики (госрегулирование)
Цели госрегулирования
Средства (инструменты) госрегулирования
Направления госрегулирования
Формы госрегулирования
Дерегулирование


Вопросы для самопроверки 1; Как соотносится понятие «государственное регулирование экономики» с понятием «экономическая политика государства» и «хозяйственный механизм»?
2. Почему современный капитализм следует охарактеризовать как рыночно-государственно регулируемый, социально ориентированный капитализм?
3. Почему экономическая система в странах Западной Европы в наибольшей мере по сравнению с США и Японией заслуживает быть названной «социальным рыночным хозяйством»?
4. Чем отличаются административно-правовые средства (инструменты) госрегулирования от экономических?
5. Каковы критерии выделения направлений и форм госрегулирования?
6. Возможно ли точное количественное установление возможностей и границ госрегулирования, в чем они выражаются?









































Эластичность спроса


Эластичность спроса является важным фактором, влияющим на ценовую политику фирмы. Предположим, что какая-то фирма построила стоквартирный дом и решает вопрос, по какой цене следует предлагать квартиры съемщикам. Расходы на строительство и эксплуатацию фактически не зависят от того, сколько квартир будет сдано (за исключением расходов на текущий ремонт, которые составляют небольшую долю от общих расходов).
Если фирма знает спрос на квартиры и его эластичность, она может определить, по какой цене следует сдавать эти квартиры, чтобы обеспечить максимальную выручку. При этом максимальная выручка может достигаться даже в том случае, если часть квартир останется пустовать. Проиллюстрируем это графически. Допустим, что фирма столкнулась с линейной кривой спроса, как это показано на 9.3. При арендной плате 1 тыс. .руб. в месяц ценовая эластичность спроса равна единице и сумма поступлений от аренды наибольшая.
Однако, как видно из 9.3, по этой цене может быть сдано только 80 квартир, а не 100. Если же фирма установит арендную плату ниже 1 тыс. руб., она может сдать оставшиеся 20 квартир, однако ее выручка при этом сократится.







Эластичность спроса




Эластичность спроса


9.3, Эластичность спроса (а) и изменение валовой выручки (б): Р плата за аренду квартиры;Q количество квартир:R доход (выручка) фирмы от сдачи квартир в аренду


Другим примером практического использования теории эластичности является государственная налоговая политика. При введении косвенных налогов государство преследует цель увеличить объем налоговых поступлений в бюджет для перераспределения ресурсов в экономике, перераспределения доходов населения и поддержки малоимущих, развития социальной сферы, инфраструктуры, обороны и т.п. Однако в зависимости от эластичности спроса и предложения на отдельные виды товаров и услуг налоговое бремя будет распределяться по-разному между производителями и потребителями продукции.
Рассмотрим распределение налогового бремени при эластичном и неэластичном спросе на продукцию (эластичность предложения принимается постоянной). На 9.4 показано, как изменятся цена и объем продаж после введения налога.
График спроса D на 9.4,а показывает, что он имеет высокую эластичность, а на 9.4,б относительно неэластичен. График предложения S0 предложение до введения налога. Соответственно P0 и Q0 равновесные цена и объем производства до введения налога.






Эластичность спроса


9.4. Распределение налогового бремени при эластичном (а) и неэластичном (б) спросе: D спрос; S0, S1 предложение до и после введения налога

Что произошло, когда государство ввело налог? Кривые предложения переместились влево вверх на величину налога. Возникла новая ситуация равновесия Р1 и Q1.
Таким образом, цена товара будет повышена производителем. Но насколько? Производитель в условиях рыночной экономики не может увеличить цену на сумму налога (хотя в России в переходной экономике это часто наблюдалось), установить ее выше равновесной, так как в условиях конкуренции он будет вытеснен с рынка.
Единственное, что он может сделать это поднять цену до равновесного уровня.
В случае, если спрос эластичен, потери производителя будут выше, бремя налога ляжет в основном на него. На 9.4,а выделенный прямоугольник показывает величину налога, его часть ниже пунктирной линии потери производителя от налога. Кроме того, производитель будет вынужден сократить производство до Q1, потеряв часть покупателей своей продукции за счет более высокой цены на нее.
В случае, если спрос неэластичен, налоговое бремя ляжет преимущественно на потребителя. Кроме того, абсолютный размер налога также будет выше при неэластичном спросе. Именно поэтому государство облагает акцизными и другими косвенными налогами товары, спрос на которые неэластичен (сигареты, алкогольные напитки и т.п.).
Следует обратить внимание на заштрихованные треугольники на 9.4. Они очерчивают продукцию, которая была бы произведена и куплена, если бы государство не ввело налог. Это те потребители, которые хотят, но не могут купить товар, и те производители, которые хотят, но не могут произвести его.
Несовпадение желаний и возможностей является прямым следствием установленного налога и представляет собой потерю для общества. Причем эта потеря будет тем выше, чем выше эластичность спроса на данный товар.
Теперь рассмотрим зависимость распределения налогового бремени от эластичности предложения (эластичность спроса примем постоянной). 9.5 иллюстрирует ситуацию до и после введения налога.
При эластичном предложении налоговое бремя ляжет в основном на потребителя, рост цены и сокращение объема производства будут значительными, сумма налога будет относительно меньше, чем при неэластичном предложении, потери общества выше. При неэластичном предложении наблюдается обратная картина.


Эластичность спроса




9.5. Распределение налогового бремени при эластичном (а) и неэластичном (б) предложении: D спрос;S0,S1) предложение до и после введения налога

2. Потребительское поведение
Предположим, что какая-то фирма разработала новый, усовершенствованный вид товара, качество которого превышает уже производимые ею изделия. Перед фирмой стоит вопрос: по какой цене продавать этот товар? Насколько выше может быть установлена цена на этот товар по сравнению с ценами на похожие товары?
Какая цена окажется приемлемой для потребителей? Какое количество нового товара они приобретут?
Для ответа на поставленные вопросы фирма должна провести анализ спроса на продукцию, изменения цен и доходов покупателей, определить, от каких факторов зависит потребительский выбор.
Главным фактором потребительского выбора является п о л е з н о с т ь того или иного товара. Полезность понятие сугубо индивидуальное. То, что полезно для одного человека, может быть абсолютно бесполезно для другого. Однако даже если выбранный нами продукт полезен для потребителя, существуют обстоятельства, ограничивающие возможности покупателя в его приобретении.
Такими ограничителями являются цена и доход. Например, мясо является очень полезным продуктом для большинства людей, однако высокие цены и ограниченные доходы не всем позволяют потреблять его в больших количествах. Вместе с тем и сама полезность меняется с увеличением количества потребляемой продукции.

Закон убывающей предельной полезности
Напомним, что предельной называют дополнительную полезность, полученную от потребления каждой последующей единицы продукции. В сильную жару первый стакан газированной воды будет обладать очень высокой полезностью, второй меньшей, а пятый может оказаться абсолютно бесполезным. Таким образом, предельная полезность обратно пропорциональна объему потребления.
Как может быть использован закон убывающей предельной полезности при объяснении потребительского выбора? Предположим, что мы пришли в магазин за покупками, имея 350 руб. Предположим также, что имеется всего два товара: А и Б, цены которых соответственно 50 и 100 руб.
Сколько единиц товара А и Б мы купим? Иными словами, как мы распределим наш бюджет на покупку этих товаров, исходя из их полезности?
Оценим предельную полезность товаров А и Б в баллах, исходя из наших субъективных представлений (табл. 9.2). Согласно нашей оценке наибольшее удовлетворение нам принесет покупка товара Б. Однако мы учитываем не только предельную полезность, но и цену товара.
А цена товара Б в два раза превышает цену товара А. Мы принимаем решение о покупке, исходя из полезности на единицу затраченных средств, т.е. на 1, руб. Так как предельные полезности на 1 руб. будут иными, максимально удовлетворит наши потребности покупка трех единиц товара А и двух единиц товара Б.


Таблица 9.2. Выбор сочетания товаров А и Б, максимизирующего полезность




Эластичность спроса






Любая другая комбинация количеств товаров А и Б при существующих ценах и определенном размере имеющихся в наличии средств (350 руб.) даст меньшую суммарную полезность для покупателя.
Потребительское равновесие достигается, когда отношения предельных полезностей отдельных товаров к их ценам равны. Обозначив предельную полезность через MU (англ. marginal utility), получим равенство:


MU A = MUБ = … =MU N
PA PБ P N



В нашем примере 3 = 6
50 100


Что произойдет, если цена товара Б снизится вдвое? Тогда на те же 350 руб. мы купим три единицы товара А и четыре единицы товара Б. Таким образом, при снижении цены количество купленных товаров будет возрастать.

Эффект дохода и эффект замещения
Нисходящую форму кривой спроса можно объяснить не только базируясь на теории предельной полезности.
Так называемый эффект дохода состоит в том, что если цена на какой-либо товар снижается, то у потребителя высвобождается часть дохода для покупки дополнительных единиц данного или какого-либо другого товара. Падение цены даже одного товара оказывает влияние, пусть незначительное, на общий уровень цен и делает потребителей относительно богаче.
Согласно эффекту замещения потребитель будет покупать больше продукции, цена которой снизилась, и заменять ею другие товары, которые при этом относительно подорожали. Например, снижение цен на куры (или не такой быстрый их рост) заставит нас покупать больше кур по сравнению с говядиной или свининой.



Эмпирически установленная картина.





Страны
1977-1986 гг.
1987-1993 гг.
1994г.
1995 г.
1996г.
1997 г.
1998 г.
1999 г.*
2000 г.*
США
6,8
4,0
2,6
2,8
2,9
2,3
1,6
2,1
2,4
Япония
3,8
1,7
0,7
0,1
0,1
1,7
0,6
-0,2
-0,2

Другие









развитые
страны
7,6
4,4
4,1
3,7
3,2
2,5
2,5
1,5
1,7






















* Прогноз МВФ.
В отдельные периоды (ФРГ 1986 г., Япония 1987 и 1995 гг.) наблюдалось даже некоторое снижение потребительских цен. По прогнозу, темпы инфляции в индустриально развитых странах в ближайшие годы сохранятся в среднем на уровне 2,5 3,0%. Иная картина наблюдается в развивающихся странах, где среднегодовой темп инфляции удерживается на уровне 812%.
В Колумбии, Перу, Боливии темпы инфляции достигали сотен и тысяч процентов.
Различают также особый вид структурную инфляцию. Такое наименование получила инфляция, сочетающая элементы инфляции спроса и инфляции издержек. В ее основе процесс, связанный с изменением структуры спроса.
Подобный процесс рассмотрим на примере ситуации, сложившейся в России.
В российской экономике образовался разрыв двух секторов финансового и реального. Деньги «уплывают» в финансовые спекуляции, а реальный сектор испытывает острую нехватку денежной массы. Отсюда неплатежи, задолженность, задержки в расчетах, невыплаты в срок заработной платы.
Цены росли, а денежная масса не поспевала за ростом цен. Оптовые цены за период с 1991 по 1995 г. выросли в 3500 раз, а выпуск денег в 500 раз. Иными словами, оптовые цены на товары росли в шесть раз быстрее, чем денежная масса.
Сочетание инфляционных процессов с одновременным спадом производства называется стагфляцией.
В России при отсутствии конкуренции и сохранении монополизма производителей проводимый курс реформ не поправил, а лишь обострил и усилил ценовые несоответствия и перекосы. Структура производства оказалась еще более деформированной. Относительный «вес» потребительских товаров в совокупном национальном продукте снизился, а доля топливно-сырьевого сектора возросла, хотя ставилась прямо противоположная задача.

Инфляция и безработица. Кривая Филлипса
Для изучения феномена инфляции нередко используется кривая Филлипса. Она указывает на наличие обратной связи между движением цен (и заработной платы) и уровнем безработицы. Эту связь впервые установил австралийский экономист Филлипс (см. гл. 14).
Он обратил внимание, что в условиях депрессии, для которой характерно снижение или, по крайней мере, торможение цен, наблюдается рост безработицы. С наступлением подъема происходит рост цен (повышенный спрос на товары) и уровень безработицы снижается.
Эту связь можно прокомментировать следующим образом. Как известно, уровень заработной платы и уровень занятости взаимосвязаны. С повышением заработной платы занятость растет, а безработица снижается.
Но повышение заработной платы означает рост издержек, а следовательно, и цен. Повышение же цен, как правило, означает снижение безработицы. Рост цен (т.е. инфляция) выступает в качестве платы за сокращение безработицы.
Инфляция и безработица две острые и взаимосвязанные проблемы. Чем выше темпы инфляции, тем ниже размеры безработицы. Чем ниже темп инфляции, тем большее число людей вынуждены заниматься поиском работы.
Это реальная, хотя и эмпирически установленная картина.
При выработке экономической политики приходится выбирать: либо инфляция, либо безработица. Практически идет поиск наиболее приемлемого сочетания двух «зол». На 22.1 представлена модифицированная кривая Филлипса.




Эмпирически установленная картина.







22.1. Кривая Филлипса:UN естественный уровень безработицы; РN - темп роста цен при этом уровне.


Подходы к решению проблемы искомого сочетания инфляции и безработицы у Кейнса и Фридмена неодинаковы. Кейнс исходит из того, что стимулирование денежного спроса (небольшая инфляция) будет способствовать повышению уровня занятости. Фридмен утверждает, что равномерный рост денежного предложения и устранение бюджетного дефицита ведут к торможению инфляции, стабильному росту и «нормальной» занятости.
Кейнс делает упор на гибкую денежную политику и рост денежной массы, Фридмен сторонник жесткой денежной и фискальной политики.
Кривая Филлипса «работает» в относительно короткие периоды роста безработицы и снижения производства. В условиях длительного периода кривая «взлетает вверх», становится «крутой». Проще говоря, возникает так называемая стагфляция сохранение высокой безработицы при одновременном инфляционном росте цен.
Подводя некоторый итог, отметим, что в современной интерпретации кривой Филлипса вместо темпов прироста номинальной заработной платы принято рассматривать темпы прироста цен, т.е. инфляции. Это объяснимо, ибо два этих показателя тесно связаны. Если растет заработная плата, то обычно повышаются цены.
На поведение людей, производственную активность населения оказывают влияние не только рост цен, но и ожидания. Если они рациональны, то рационально и поведение. Людей интересует не номинальная, а реальная заработная плата. Сама инфляция становится теперь зависимой от степени доверия к действиям правительства. Политика выбора между безработицей и инфляцией теряет свою актуальность.
Основные акценты смещаются в сторону изучения факторов, под влиянием которых формируются ожидания.

«Импортируемая» инфляция
Существует несколько каналов так называемой импортируемой инфляции. Один из них связан с колебаниями валютных курсов. Если курс национальной валюты падает, то более выгодным становится экспорт, но в невыгодном положении оказываются импортеры.
Чтобы получить в соответствующих размерах «подорожавшую» иностранную валюту, потребную для закупки очередных партий импортируемых товаров, импортеры поднимают внутренние цены. И при сохранении прежнего уровня мировых цен для приобретения требуемого количества американских долларов или немецких марок теперь необходимо выручить (от продажи ранее закупленных по импорту товаров) большее количество национальной валюты. В итоге внутренние цены на импортируемые товары возрастают.
Одномоментное падение курса рубля по отношению к доллару во время «черного вторника» в октябре 1994 г., обвальная девальвация (снижение фиксированного курса рубля) в сочетании с дефолтом в августе 1998 г. повлекли за собой повышение цен на потребительские товары, а затем и на другие виды товаров внутреннего российского рынка.
Инфляционное повышение цен может происходить и вследствие ожидаемого снижения курсовой стоимости рубля, его предполагаемой девальвации.
Таким образом, между валютным курсом национальной валюты и движением внутренних цен существует прямая и обратная связь. Падение обменного курса (например, рублей на доллары) подталкивает рост цен, а повышение цен, в свою очередь, неизбежно влечет снижение покупательной способности национальной валюты и соответственно изменение ее валютного курса.
Другим каналом, стимулирующим инфляционное движение внутренних цен, служит расширение денежной массы вследствие нарастающего притока на внутренний рынок иностранной валюты. В российской экономике функционируют две валюты: рубли и доллары, происходит процесс долларизации денежного рынка страны.
Иностранной валюты на денежно-кредитном рынке России больше, чем рублей. Доллары, которые не отложены про запас (не лежат «в чулке»), используются на закупку импорта, на покупку недвижимости за пределами страны, на вклады, которые направляются в иностранные банки, а также на расчеты в теневой экономике.
При наличии двух валют регулировать ситуацию на денежно-кредитном рынке становится трудно. Более устойчивый и привлекательный доллар начинает теснить национальную валюту.
Строго говоря, механизм импортируемой инфляции весьма многообразен и противоречив. Рост издержек, а значит, и внутренних цен нередко происходит вследствие колебания мировых цен (например, на нефть и нефтепродукты, зерно, рис, золото).
На уровень внутренних цен оказывает влияние неравноправное положение национальных покупателей и продавцов на внешних рынках, торговая дискриминация со стороны контрагентов. С феноменом импортируемой инфляции определенным образом связаны социальные, организационные факторы ожидания и стремление избежать рисков, особенно резко проявляемые в условиях неустойчивости и существенных перепадов конъюнктуры на мировых рынках.
Следует обратить внимание на два опасных момента. Во-первых, на процесс долларизации денежного обращения. В этих условиях становится трудно управлять национальной валютой. Тем более если иностранная сильнее, если неизвестно, сколько ее в «чулках», если к ней больше доверия.
Во-вторых, происходит падение покупательной способности рубля. Цены растут, и в пропорции близкой к росту цен падает покупательная сила национальной валюты.
Отрицательное влияние оказывают резкие колебания цен на мировом рынке. Усиливают инфляцию рост внешних долгов, снижение экспортной выручки, разрывы торгово-производственных связей.


2. Измерение и показатели инфляции Показатели инфляции призваны дать количественную оценку инфляционных процессов. Одними из широко используемых показателей служат индексы цен, в том числе индексы цен в потребительском секторе экономики.



Эволюция отношений собственности в сельском хозяйстве


Поскольку приватизация во многом носила бесплатный характер, она не сопровождалась формированием реального капитала и его накоплением, без чего невозможен экономический рост и, следовательно, преодоление экономического кризиса. Вполне закономерно, что приватизация до сих пор не стала и крупным источником пополнения госбюджета. Даже в наиболее успешном в этом отношении 1998 г. на поступления от приватизации пришлось лишь 5,1% доходной части федерального бюджета РФ.

Эволюция отношений собственности в сельском хозяйстве
В российском сельском хозяйстве преобразование отношений собственности происходит совершенно иными путями по сравнению с промышленностью и сферой услуг.
Бывшие советские колхозы, как правило, пошли по пути преобразования в общества с ограниченной ответственностью (ООО). Каждому их члену, бывшему колхознику, формально выделен земельный надел и доля в производственном имуществе ООО. Однако фактически земля и производственное имущество по-прежнему используются коллективно. Подавляющее большинство бывших колхозников остаются в ООО, считая это в условиях глубокого экономического кризиса единственно возможным способом выживания.
Необходимо также отметить, что в отличие от подчиненных плановому диктату государства советских колхозов ООО являются самостоятельными товаропроизводителями, от которых целиком зависит благосостояние их членов.
Фермерские хозяйства, как правило, создаются на базе не использовавшихся ранее или брошенных сельскохозяйственных угодий. Их число в последние годы колеблется вокруг отметки 240 тыс. Они дают около 2% сельскохозяйственной продукции.
Росту этого показателя противодействуют многочисленные факторы, прежде всего утрата российским крестьянством традиции частного хозяйствования в результате насильственной коллективизации 1929-1933 гг., объективные трудности выживания в одиночку вследствие необычайной дороговизны в нынешних кризисных условиях кредитов и аграрных средств производства, нехватка (или отсутствие) малой техники для фермеров, неурегулированность поземельных отношений. Так, нынешний Земельный кодекс запрещает куплю-продажу земель сельскохозяйственного назначения. Объективно сельское хозяйство РФ в обозримой перспективе должно развиваться как смешанное.
Его принудительная фермеризация может стать не менее контрпродуктивнои, чем бывшая коллективизация.

Современные тенденции и перспективы
На первом этапе приватизация была проведена весьма поспешно. Это обусловило многие ее недостатки, нарушения приватизационного законодательства, злоупотребления и другие негативные явления.
В настоящее время приватизация носит постепенный и «точечный» характер в том смысле, что в каждом конкретном случае государственные органы стремятся выбирать для этого объекты в порядке очередности и народнохозяйственной целесообразности в данный момент. При этом они пытаются увязать ее с поиском «эффективного инвестора», в том числе или даже в первую очередь иностранного (вообще речь идет об увязке приватизации с привлечением иностранных инвестиций, особенно прямых), который безусловно обеспечил бы реальное накопление капитала, модернизацию производственного аппарата, увеличение или, по меньшей мере, сохранение числа рабочих мест. К сожалению, эти правильные новые ориентиры приватизации пока еще слабо претворяются в жизнь.
Как отмечалось выше, в течение всего переходного периода доля государственных предприятий в производстве ВВП в странах с переходной экономикой объективно должна оставаться более высокой, чем в развитых странах. Это в полной мере относится и к России. Однако в принципе подавляющее большинство остающихся в государственной собственности предприятий постепенно будет вовлечено в процесс приватизации.
В собственности государства в обозримой перспективе будут оставаться лишь важнейшие предприятия военно-промышленного комплекса (ВПК), имеющие ключевое значение для обеспечения обороноспособности страны. Постановлением Правительства РФ от 12 июля 1996 г. определен список 480 предприятий ВПК, приватизация которых запрещена бессрочно.
Перспективы российской экономики во многом будут зависеть от того, пойдет трансформация отношений собственности только по пути приватизации большей части хозяйственного имущества, еще остающегося в госсобственности, или она будет эффективно сочетаться с созданием частного сектора, т.е. формированием новых предприятий на основе частной собственности. Конечно, речь может идти в первую очередь о создании новых мелких и средних предприятий.
Показателен в этой связи опыт китайских реформ. После их начала в 1978 г. в стране были созданы миллионы небольших частных предприятий (в том числе действующих в сельской местности волостных и поселковых предприятий), которые в настоящее время производят более 1/2 ВВП КНР.
К сожалению, как уже отмечалось выше, в России вновь созданных в пореформенный период предприятий крайне мало. Причем подавляющее большинство из них занято в сферах торговли и услуг (не столько услуг потребительского назначения, сколько риэлтерских, юридических, консультационных и т.п.). В то же время и результаты их деятельности однозначно показывают, что благодаря совершенно иной мотивации, связанной с необходимостью быстро утвердиться на рынке и обеспечить достаточную рентабельность, они за короткое время нередко добиваются заметных успехов.
Экономическое стимулирование мелкого бизнеса, активно осуществляемое во всех странах Запада, в России сегодня, безусловно, лимитируется крайне недостаточными финансовыми возможностями государства. По мере преодоления финансового кризиса стимулирование создания частного сектора должно стать одной из приоритетных задач экономической политики государства. Однако уже сегодня можно значительно улучшить правовые условия деятельности в сфере мелкого бизнеса и устранить многочисленные искусственно созданные препятствия на его пути.
От создания эффективного среднего класса решающим образом зависит будущее России.


Выводы 1. Развитое рыночное хозяйство, которое стремятся построить все страны с переходной экономикой, основывается на частной собственности на экономические ресурсы. Поэтому вполне закономерно, что преобразование отношений собственности посредством приватизации является ключевым моментом трансформации планового хозяйства постсоциалистических стран, в том числе России, в рыночное.
2. Приватизация в странах с переходной экономикой характеризуется сочетанием общих тенденций и национальных особенностей. С точки зрения социальной справедливости, она была наиболее успешной в Чехии, экономической эффективности ~ в Польше. Российская приватизация, к сожалению, не отличалась ни тем, ни другим.
3. В российской приватизации выделяются два этапа, что главным образом обусловливается протеканием процессов большой приватизации. Последняя на первом этапе (1992 г. конец июня 1994 г.) осуществлялась на безвозмездной основе посредством приватизационных чеков (ваучеров) при предоставлении крупных приватизационных льгот коллективам предприятий. На втором этапе (с 1 июля 1994 г.) эти льготы отменены, приватизация ведется исключительно на возмездной основе с акцентом на формирование реального капитала.
4. Итоги приватизации в России оказались противоречивыми, причем скорее негативными, чем позитивными. В этом отношении они в худшую сторону отличаются от итогов приватизации, проведенной в других постсоциапистических странах, особенно в Чехии, Польше и Венгрии.


Термины и понятия Малая и большая приватизация
Реституция
Ваучеры




Вопросы для самопроверки 1. Чем различаются малая и большая приватизация в качественном отношении?
2. В чем коренное отличие чехословацких купонных книжек от российских ваучеров?
3. Почему проблема реституции не была в России актуальной?
4. Что в российской приватизации способствовало криминализации экономики страны?
5. Чем нынешние общества с ограниченной ответственностью в российском сельском хозяйстве отличаются от советских колхозов?

















































Качественное изменение структуры рынка.


В короткой и бурной истории развития российского фондового рынка почти каждый год неповторим и отличен особыми событиями. Среди них запуск рынка государственных ценных бумаг (1993 г.), допуск нерезидентов на российский рынок государственных ценных бумаг (1996 г.). Начиная с октября 1997 г. фондовый рынок вступил в самую сложную за всю свою историю стадию.
Нараставшая с этого момента нестабильность конъюнктуры российского финансового (включая фондовый) рынка завершилась в августе 1998 г. резким обострением ситуации, затронувшим все сегменты рынка. Масштабы постигших рынок потрясений в сочетании с дестабилизацией работы банковской системы дают основания охарактеризовать сложившуюся ситуацию как системный кризис.
С целью частичного преодоления рыночной неопределенности, восстановления рыночных ориентиров, поддержания работающей инфраструктуры рынка и предложения коммерческим банкам, участвующим в работе рынка государственных ценных бумаг, альтернативного инструмента регулирования ликвидности Банк России со 2 сентября 1998 г. эмитировал собственные краткосрочные бескупонные облигации (ОБР). В отличие от ГКООФЗ облигации Банка России не являются инструментом финансирования бюджета. В целом опыт выпуска ОБР можно оценить как положительный: они обеспечили непрерывность торговли ценными бумагами на фондовом рынке, хотя и не смогли стать финансовым инструментом, который отвлекал бы значительные по объемам рублевые средства от вложений в иностранную валюту. С середины февраля 1999 г. на рынке корпоративных ценных бумаг отмечен рост активности: заметно выросли объемы торгов, курс акций поднялся до уровня на конец августа 1998 г., происходит качественное изменение структуры рынка.
Отличительной особенностью нового рынка ГКООФЗ является более долгосрочный характер облигационного долга, что объясняется доминирующей долей в общем объеме обращающихся на рынке облигаций выпусков ОФЗ с длительными сроками погашения.
5. Виды операций на рынке ценных бумаг При классификации сделок с ценными бумагами можно исходить из нескольких критериев. Наиболее важным является деление на кассовые и срочные операции. Различают также арбитражные сделки, основанные на перепродаже ценных бумаг на различных биржах, когда имеется разница в их курсах, и пакетные сделки, являющиеся сделками по купле-продаже крупных партий ценных бумаг.

Кассовые и срочные операции Типичным для кассовой операции является то, что ее выполнение в основном происходит непосредственно после заключения сделки. В Германии, например, операция должна быть завершена не позднее второго рабочего дня после заключения сделки. В США существуют дифференцированные сроки выполнения кассовых операций от немедленной оплаты до пяти дней.
Аналогичный принцип действует и в Великобритании. В Японии в зависимости от договора кассовые сделки могут выполняться от одного до 14 дней; в Швейцарии на их осуществление полагается до пяти дней. В России подобные сделки осуществляются, как правило, в течение двух-трех дней.
Следует указать, что сами ценные бумаги физически не участвуют в операциях, потому что, как правило, хранятся на специальных счетах банков. Для того чтобы перевести проданные ценные бумаги из банка покупателю, их владелец выписывает специальный чек на ценные бумаги. После введения комплексных компьютерных систем биржевых расчетов необходимость выставления чеков на ценные бумаги отпала и все переводы осуществляются с помощью ЭВМ.
Срочные операции являются, по существу, договорами о поставке, в силу которых одна сторона обязуется сдать в установленный срок определенное количество фондовых ценностей, а другая немедленно их принять и оплатить заранее установленную сумму. Срочные сделки обычно заключаются на срок от одного до трех месяцев, редко на полгода. Подобные операции разрешены далеко не во всех странах. Так, в Германии в 1931 г. вследствие мирового экономического кризиса они были запрещены и только с 1970 г. срочные сделки с фондовыми ценностями вновь разрешены в модифицированном виде и с определенными ограничениями.
По российскому законодательству оформление сделки и ее оплата могут отстоять друг от друга не более чем на 90 дней. Срочные сделки широко практикуются в США и Швейцарии.
Срочные операции представлены, прежде всего, простыми срочными операциями, фьючерсами и опционами Ф и н а н с о в ы й ф ь ю ч е р с это стандартная сделка, которая заключается по установленным биржей правилам, когда партнером в каждой сделке является сама биржа в лице ее клиринговой (расчетной) палаты. Рынок фьючерсов имеет большую ликвидность, так как стандартные правила обеспечивают возможность свободной торговли для сколь угодного количества участников.
Если к фьючерсному контракту добавить такое условие, как право выбора за определенное вознаграждение (премию) купить (продать) ценную бумагу по заранее оговоренной в контракте цене или отказаться от сделки, то этот дополнительный параметр превращает срочную сделку в опцион'.



От англ. option выбор.



Тем самым рассмотренные сделки выполняют функцию х е д ж и р о в а н и я , т.е. ограничения рисков при проведении различных биржевых операций.
Как правило, срочные операции с фондовыми ценностями носят явно выраженный спекулятивный характер. Биржевые спекулянты, играющие на понижение (так называемые м е д в е д и ), заключают к установленному сроку по существу фиктивные продажи (именуемые на биржевом лексиконе короткими продажами). Они продают ценные бумаги, которых еще не имеют к моменту заключения сделки (другими словами, спекулируют на падении курса).
Биржевики, играющие на повышение (так называемые б ы к и ), совершают покупки ценных бумаг на срок в ожидании повышения курса (именуемые длинными сделками)'.




' Названия «быки» и «медведи» интерпретируются следуюшим образом: играющие на повышение подобны быкам, которые стремятся «поднять на рога»; играющие на понижение медведи, которые «подминают под себя».



Сделка должна быть выполнена, как правило, к концу месяца.
«Медведи» надеются, что незадолго до окончания срока сделки, т.е. в конце месяца, они смогут купить ценные бумаги по более низкому курсу и продать их по более высокой цене, установленной в договоре срочной сделки, и таким образом получить курсовую разницу. «Быки», напротив, предполагают, что они впоследствии смогут продать ценные бумаги по более высокому курсу. Для этого они по установленному в сделке курсу приобретают ценные бумаги.

Купля-продажа ценных бумаг В упрощенном виде купля-продажа ценных бумаг выглядит следующим образом. Инвестор (покупатель) поручает брокеру купить 100 акций компании Х по курсу 150 руб. за одну акцию. Продавец поручает своему брокеру реализовать такую же партию аналогичных акций по тому же курсу.
Брокеры обращаются к дилеру-специалисту, формирующему пакет заявок относительно компании Х. Видя, что полученные им предложения взаимно удовлетворительны и иных предложений не поступает, дилер устанавливает официальный курс акции на уровне 150 руб. и уведомляет обоих клиентов о совершении сделки.
В действительности дилер получает гораздо большее количество заявок на куплю и продажу одних и тех же ценных бумаг с запросами достаточно разнообразных курсов. Его цель определить курс, по которому можно удовлетворить большинство заявок, и разницу между спросом и предложением. Именно эту информацию он оглашает в биржевом зале в поиске недостающих ценных бумаг или в целях продажи их излишка. Главная цель дилера сбалансировать спрос и предложение и реализовать все партии ценных бумаг.
Поскольку информация о спросе и предложении поступает постоянно, курс бумаг также претерпевает в течение дня определенные изменения. Поэтому в биржевых листах фиксируются курсы на момент открытия биржи и на момент прекращения ее работы.
Если сделка совершается, то из продажной цены фондовых ценностей вычитаются фондовые сборы, включающие к у р т а ж (вознаграждение) посредников, биржевой налог и иногда некоторые другие платежи.
Куртаж, складывающийся из комиссионных, не единственный источник доходов посредника. Другой источник восходит к спекуляциям, и это понятно. Биржа, где ни продавцы, ни покупатели не видят друг друга, где в течение нескольких часов могут совершаться тысячи сделок, не может не быть местом спекулятивных, т.е. рассчитанных на чисто операционный доход действий.
На бирже спекулируют, прежде всего, сами компании, выпускающие в оборот иногда «липовые» фондовые ценности или занимающиеся так называемым к р о с с и н г о м неоднократной куплей-продажей собственных ценных бумаг для создания иллюзии большого спроса на них.
На бирже, как уже отмечалось выше, спекулируют также брокеры, маклеры и вообще любые инвесторы, пытающиеся предугадать динамику биржевых курсов в срочных (фьючерсных) операциях.


Государственное регулирование операций на рынке ценных бумаг В условиях ослабления вмешательства государства в хозяйственную жизнь, наблюдающегося в большинстве стран, отказа от государственного регулирования ценных бумаг нигде не произошло. Это было бы не только нежелательно, но и даже нереально. Можно видеть объективный процесс разрастания денежного капитала, рост биржевой деятельности, значительно превышающий прирост оборота реального капитала, а соответственно и биржевой спекуляции, реальной опасности биржевых крахов со всеми возможными экономическими и социальными последствиями.
Все эти проблемы и сегодня не теряют своей остроты и не позволяют отказаться от созданной системы государственного регулирования.



Как подсчитываются индексы Ласпейреса, Пааше и Фишера?


Применительно к России можно выделить следующие особенности хозяйственной ситуации.
1. Наличие общего структурного неравновесия и отсутствие конкурентной среды. Сжатие спроса на многие потребительские товары, происшедшее в результате отпуска цен, само по себе не ведет к конкуренции между производителями.
2. Ценовые перекосы и диспропорции, усилившиеся в ходе либерализации цен. Свободные цены пока еще не стали ценами равновесия и не работают на улучшение производственной структуры. В наиболее сложном положении в результате непредвиденных скачков цен оказались отрасли, которые призваны непосредственно обеспечивать потребительский рынок: легкая и пищевая промышленность, машиностроение.
Новые цены не всегда согласуются с изменениями в структуре потребительского спроса.
3. На наш взгляд, определяющее влияние на рост цен оказывает сегодня инфляция издержек. Об этом, в частности, говорит тот факт, что оптовые цены росли быстрее, чем розничные, потребительские; особенно это было характерно для 19921996 гг.
Наличие кризиса неплатежей свидетельствует о том, что в основе инфляционного роста цен лежит не чрезмерное увеличение денежной массы, а, напротив, нехватка, отсутствие денег, потребных для обслуживания кругооборота товаров. Проводилась политика сдерживания, а не стимулирования совокупного спроса. Доходы населения не росли, а падали.
4. Сохраняется давление внешнего долга, резко сужающего маневр валютными ресурсами.
Результативность макроэкономической политики зависит от последовательности ее реализации и взаимодействия многих факторов. Например, то, что допустимо при сбалансированном рынке, оказывается бесполезным и даже вредным при рынке несбалансированном, не обладающем должной инфраструктурой. Серьезной проблемой для России становится сокращение расходных статей государственного бюджета, что ведет к развалу социальной сферы, свертыванию капитальных вложений, порождает новые, трудновыполнимые проблемы.
Не просчитанные в деталях и не обеспеченные ресурсно и организационно меры таят опасность резкой дифференциации доходов.
Отмеченные здесь и некоторые другие особенности напоминают об ограниченности пространства для маневрирования, о неправомерности применения некоторых стандартных рецептов сдерживания инфляции. Это во-первых. Во-вторых, сложившаяся в стране ситуация предполагает весьма осторожные, тщательно взвешенные меры, в том числе по регулированию курса национальной валюты, по сдерживанию темпов инфляции.
Окончательно преодолеть инфляцию можно, только перестроив хозяйственный механизм, включив рыночные регуляторы. Решение этой весьма непростой проблемы предполагает достижение политической стабильности и договоренности, согласия и поддержки населением мер регулирования. Без этого самые разумные (с позиции экономической теории) рецепты и рекомендации не способны дать желаемого результата.


Выводы 1. В настоящее время инфляция один из самых болезненных и опасных процессов, негативно воздействуюших на финансовую, денежную и экономическую систему в целом. Инфляция не только означает снижение покупательной способности денег, но и подрывает возможности хозяйственного регулирования, сводит на нет усилия по проведению структурных преобразований, восстановлению нарушенных пропорций.
2. По своему характеру, интенсивности, проявлениям инфляция бывает весьма различной, хотя и обозначается одним термином. Инфляционные процессы не могут рассматриваться как прямой результат только определенной политики, политики расширения денежной эмиссии или дефицитного регулирования производства, ибо рост цен оказывается не просто следствием «злой воли» и непродуманных акций государственных чиновников, а неизбежным результатом глубинных процессов в экономике, объективным следствием нарастания диспропорций между спросом и предложением, производством предметов потребления и средств производства, накоплением и потреблением и т.д. В итоге процесс инфляции (в различных его проявлениях) носит весьма устойчивый, трудно управляемый характер.
3. В странах с развитой рыночной экономикой инфляция может рассматриваться в качестве неотъемлемого элемента хозяйственного механизма. Однако для них она не представляет серьезной угрозы, поскольку там отработаны и достаточно широко используются методы ограничения и регулирования инфляционных процессов. В США, Японии, странах Западной Европы преобладает тенденция замедления темпов инфляции.
4. В отличие от Запада в России и большинстве других стран, осуществляющих преобразование хозяйственного механизма, инфляционный процесс с трудом поддается сдерживанию и регулированию. Инфляцию поддерживают инфляционные ожидания, нарушения народнохозяйственной сбалансированности (дефицит госбюджета, отрицательное сальдо внешнеторгового баланса, растущая внешняя задолженность).
5. Управление инфляцией представляет важнейшую проблему денежно-кредитной и в целом экономической политики. При всей значимости сокращения государственных расходов, постепенного сжатия денежной массы требуется проведение широкого комплекса антиинфляционных мероприятий. Среди них стабилизация и стимулирование производства, совершенствование налоговой системы, создание рыночной инфраструктуры, повышение ответственности предприятий за результаты хозяйственной деятельности, проведение определенных мер по регулированию цен и доходов.
Нормализация денежного обращения и противодействие инфляции требуют выверенных, гибких решений, настойчиво и целеустремленно проводимых в жизнь.


Термины и понятия Инфляция
Инфляция спроса
Инфляция издержек
Дефлятор ВВП
Индекс цен
Индексы Ласпейреса, Пааше и Фишера
Ползучая инфляция
Галопирующая инфляция
Гиперинфляция
«Импортируемая» инфляция
Инфляционные ожидания
Дефляционная политика



Вопросы для самопроверки 1. Что такое инфляция? Прокомментируйте утверждение, согласно которому инфляция носит многофакторный характер.
2. Что такое «импортируемая» инфляция? Каковы, на ваш взгляд, внешние причины инфляционного роста цен?
3. Для чего нужны индексы цен? Как подсчитываются индексы Ласпейреса, Пааше и Фишера?
4. В чем особенности инфляционного процесса, протекающего в России?
5. Поясните различие между инфляцией издержек и инфляцией спроса.
6. Какие связи отражает кривая Филлипса? Какую роль эта кривая играет при выработке экономической политики?
7. Как известно, инфляция ведет к перераспределению доходов: одни группы населения проигрывают, другие - выигрывают. Какие группы населения в нашей стране в результате инфляции оказались в худшем положении и кто оказался в выигрыше?
8. В июне 1993 г. стоимость одного набора продуктов питания (хлеб, сахар, масло, колбаса, молоко, овощи и др.) в России составила 2971 руб. по сравнению со 182 руб. с 1990 г. Можно ли на основании этих показателей оценить темп инфляции?



































Как влияет концентрация производства на монополию


Наклон кривой отражает соотношение предельных доходностей используемых факторов производства, а наклон прямой соотношение цен на эти факторы. Отсюда можно сделать вывод, что фирма будет минимизировать издержки, когда отношения предельной доходности каждого ресурса к его цене будут равны:


Как влияет концентрация производства на монополию



где KRPK и KRPL, предельные доходности машины и дворника; PK и PL цена машины и заработная плата дворника
Иными словами, фирма будет минимизировать свои издержки, когда затраты на производство дополнительной единицы продукции или на выполнение дополнительного объема работ будут одинаковы, независимо от того, что она использует для этого новую группу дворников или новую снегоуборочную машину.
Если цена одного из факторов изменится, то фирма будет минимизировать издержки при другом их сочетании.







Выводы 1. Чистая монополия предполагает, что одна фирма является единственным производителем данной продукции, не имеющей аналогов. Монополист полностью контролирует ее цену и объем выпуска.
2. Причинами монополии являются: а) эффект масштаба; б) законодательные препятствия для вступления новых фирм в отрасль, патенты и лицензии; в) нечестное поведение и др.
3. Кривая спроса на продукцию фирмы-монополиста наклонная и совпадает с кривой рыночного спроса. Издержки и рыночный спрос являются ограничителями, которые не позволяют монополисту произвольно устанавливать высокую цену на свою продукцию. Максимизируя прибыль, он определяет цену и объем производства исходя из равенства предельного дохода и предельных издержек.
Поскольку кривая предельного дохода монополиста лежит ниже кривой спроса, он будет продавать продукцию по более высокой цене и производить ее в меньшем объеме, чем в условиях совершенной конкуренции.
4. Фактором, ограничивающим монопольную власть на рынке, является эластичность рыночного спроса. Чем выше эластичность, тем меньше монопольная власть, и наоборот. На степень монопольной власти влияют также количество фирм на рынке, концентрация, конкурентная стратегия.
5. Монополия снижает экономическую эффективность. Антимонопольные законодательства разных стран препятствуют возникновению и укреплению монопольной власти. Предметом государственного регулирования являются естественные монополии.
В отраслях естественной монополии многие предприятия являются государственной собственностью.
6. В реальной жизни чистая монополия, так же как и совершенная конкуренция, встречается достаточно редко. Реальные рынки очень разнообразны и характеризуются условиями монополистической конкуренции, постепенно переходящей в олигополию.
7. При монополистической конкуренции множество мелких фирм производит разнообразную дифференцированную продукцию; вступление новых фирм в отрасль не сложно. В краткосрочном периоде фирмы выбирают цену и объем выпуска, максимизирующие прибыль или минимизирующие убытки. Легкое вхождение новых фирм в отрасль приводит к тенденции получения нормальной прибыли в долгосрочном периоде, когда экономическая прибыль стремится к нулю.
8. Олигополистические отрасли характеризуются наличием нескольких крупных фирм, каждая из которых контролирует значительную долю рынка. Особенностью олигополии является взаимная зависимость решений отдельных фирм в области объема выпуска продукции и цены на нее. Вступление новых фирм в отрасль существенно затруднено, а эффект масштаба делает неэффективным существование большого количества производителей. Существуют разные модели, описывающие поведение олигополистов, в том числе модель Курно и модель изогнутой кривой спроса.
Однако единой теории олигополии, которая могла бы объяснить все многообразие поведения фирм, нет.
9. Со стороны отдельной фирмы спрос на ресурсы определяется их предельной доходностью. Предельная доходность любого переменного ресурса медленно понижается в соответствии с законом убывающей отдачи. Фирма будет расширять использование ресурса до тех пор, пока его предельная доходность будет выше предельных издержек на него, т.е. до момента, когда эти два показателя сравняются.
В условиях, когда спрос фирмы на ресурс составляет малую долю рыночного спроса на него, предельные издержки ресурса для данной фирмы равны его цене.
10. Фирма стремится выбрать такое сочетание используемых ресурсов, которое обеспечивает минимальные издержки. Это возможно, если предельная доходность каждого ресурса пропорциональна его цене.


Термины и понятия Монопольная (рыночная) власть
Ценовая дискриминация
Предельная доходность ресурса
Предельные издержки ресурса


Вопросы для самопроверки 1. Каковы причины возникновения монополии?
2. Чем определяются цена и объем производства в условиях монополии?
3. Какие факторы оказывают влияние на монопольную власть? Как влияет концентрация производства на монопольную власть? В каком из двух вариантов монопольная власть выше: а) на рынке присутствует пять фирм, каждая из которых имеет равную долю в совокупном объеме продаж; б) доли продаж распределены следующим образом: фирма 1 25%, 210%, 3- 50%, 47%, 5-8%?
4. Почему монополии прибегают к ценовой дискриминации? Какие условия делают ее возможной? Как влияет ценовая дискриминация на прибыль монополии?
5. Что общего и в чем различия совершенной и монополистической конкуренции? Каковы преимущества и недостатки монополистической конкуренции?
6. Почему можно говорить о тенденции получения нормальной прибыли в долгосрочном периоде для фирм, действующих в условиях монополистической конкуренции?
7. Каковы основные черты олигополии?
8. Почему не существует единой теории, полностью отражающей поведение фирм на рынке? Почему предпочитают неценовую конкуренцию ценовой? В чем состоит равновесие по Курно?
9. К какому типу рынка можно отнести: автомобильную промышленность, черную металлургию, легкую промышленность, сферу услуг?
10. Какие типы рынков формируются в отдельных отраслях экономики России? Часто говорят, что до 80% российского машиностроения монополизировано.
Так ли это?
11. От чего зависит количество используемого фирмой ресурса?
12. Что такое предельная доходность ресурса? Чем отличаются предельные доходности ресурса для конкурентной фирмы и фирмы-монополиста на рынке готовой продукции?
13. Предположим, что фирма является монополистом на рынке готовой продукции. Сколько рабочих она наймет при ставке заработной платы 1200 руб.?
Сколько рабочих она наняла бы в условиях совершенной конкуренции на рынке продукции? Необходимые для ответа на вопрос данные указаны ниже:


Как влияет концентрация производства на монополию






Что произойдет, если ставка заработной платы удвоится?





























Какая из форм собственности лучше?


В рыночной экономике прежде всего выделяются две основные формы собственности: частная и государственная, которые, в свою очередь, имеют много разновидностей.
В подавляющем большинстве стран мира сегодня превалирует в различной степени частная собственность. Она делится на индивидуальную и корпоративную.
Индивидуальные частные фирмы, образующие юридическое лицо, невелики по размерам и представлены в небольшом числе отраслей: ремесленном и сельскохозяйственном производстве, сфере услуг разного рода, в том числе и самых современных, например консалтинговых. Их собственниками являются или одно лицо, или небольшое число лиц; преобладает собственный труд (одного лица или семьи, как это имеет место в фермерских хозяйствах на селе), но в дополнение к нему может применяться и наемный труд. Во всем мире имеется несколько сотен миллионов таких хозяйств, но для них характерна огромная ротация: каждый год большое число таких фирм разоряется и ликвидируется, но на смену им приходят новые.
Кроме мелких фирм, к индивидуальной частной собственности относятся служащие для извлечения дохода имущественные объекты отдельных предпринимателей (мелких торговцев, ремесленников, лиц свободных профессий), работающих по соответствующему разрешению (патент, лицензия) от властей и не образующих юридического лица.
Корпорированные предприятия существуют везде, где технологическая база той или иной отрасли предполагает формирование среднего или крупного производства, для чего необходимы большие капиталы. Эти предприятия существуют в виде обществ (акционерные и с ограниченной ответственностью), товариществ (полных, на вере и др.), кооперативов, некоммерческих организаций (фондов, объединений). Подробнее об этом изложено в 9.3.
Государственная собственность в странах развитого капитализма сосредоточена сегодня в крайне ограниченном спектре отраслей, которые по тем или иным причинам малорентабельны или даже убыточны, что делает их непривлекательными для частного капитала. Речь идет главным образом о социально-экономической инфраструктуре (железнодорожный транспорт, коммунальное хозяйство, сфера образования). В других отраслях имеются лишь «точечные» участия государства в виде пакетов акций ряда фирм. В среднем по развитым странам доля государственных предприятий в создании ВВП в 1995 г. не превышала 7%.
В развивающихся странах и странах с переходной экономикой этот показатель составлял соответственно 11 и более 40%.
Предприятия, именуемые государственными, либо целиком принадлежат государству, либо оно владеет контрольным пакетом акций (или по меньшей мере обладает солидным блокирующим меньшинством). Юридически их собственником выступают в федеративных государствах федеральные и земельные органы (типа земель Германии или штатов США, т.е. образования типа субъектов федерации в России), а в унитарных государствах - соответствующие центральные и региональные учреждения.
Фирмы и учреждения (например, в сферах образования или здравоохранения), в которых государство участвует на уровне ниже блокирующего меньшинства, можно назвать смешанными.
К государственной собственности непосредственно примыкает муниципальная собственность (городов, общин и т.п.) которая, однако, и на Западе, и в России квалифицируется как отличная от государственной. Тем не менее по своей экономической природе они родственны друг другу. Разница лишь в том, что муниципальная собственность связана с бюджетом более низкого уровня и функционирует в территориально ограниченной области национального хозяйства.
Но и собственность земель или штатов также не распространяется на всю страну.

Какая из форм собственности лучше? Теперь обратимся к отнюдь не праздному вопросу: какая из рассмотренных форм собственности лучше? Обычно этот вопрос ставится в виде дилеммы: государственная или частная собственность? В действительности такая альтернативная постановка вопроса неплодотворна.
Речь должна идти о поиске наиболее рационального, оптимального сочетания обеих форм.
Критерий оценки может быть только один: какая форма собственности обеспечивает в данный исторический момент и в отдаленной перспективе более высокую экономическую эффективность, более высокий уровень удовлетворения потребностей населения в благах (уровень жизни), но обязательно с учетом индикаторов качества жизни (уровень занятости населения и объективные возможности для безработных получить работу; степень социальной защищенности населения, особенно по болезни и старости; состояние окружающей среды).
По совокупности этих критериев предпочтение следует отдать частной собственности, являющейся в настоящее время стержнем развитой рыночной экономики стран Запада. К формированию именно такой хозяйственной системы стремятся развивающиеся и бывшие социалистические страны. Она содержит в себе мотивы прибыли и конкуренции, реализация которых приносит наивысшую экономическую эффективность и наилучшее удовлетворение потребностей.
Однако и частная собственность имеет свои недостатки, в первую очередь касающиеся занятости и безработицы.
Ведь мотив прибыли и конкуренции вынуждает предпринимателей постоянно стремиться к возможно большему сокращению издержек производства, в том числе и на наем рабочей силы.
В странах Запада волна приватизации в 80-х - первой половине 90-х гг. привела к сокращению доли государственной собственности в производстве ВВП с 9 до 7% в среднем (разумеется, по отдельным странам членам ОЭСР этот показатель немного отклоняется в ту или иную сторону), что означает преодоление наследия предвоенных и первых послевоенных лет. В 30-х гг. прямое участие государства в экономике расширялось в процессе преодоления самого глубокого в истории капитализма кризиса 1929 1933 гг. Государственная собственность в предвоенные годы в большинстве стран Запада была заметно усилена как своего рода «подпорка» частного предпринимательства, обнаружившего очевидные слабости, и инструмент поддержания прочности общественного строя. В конце 40-х начале 50-х гг. в Западной Европе и Японии частный капитал был временно ослаблен военными разрушениями и некоторыми другими обстоятельствами.
Такого рода брешь по необходимости была заполнена государством, в чем теперь нет надобности.
Потенциал для дальнейшей приватизации в странах Запада в основном исчерпан. Доля государства в них, по меньшей мере в среднесрочной перспективе, будет оставаться примерно на нынешнем уровне, немного изменяясь в отдельных странах. При этом в ряде случаев для борьбы с безработицей возможно создание в трудоемких отраслях (прежде всего в инфраструктуре) новых предприятий за счет государственных инвестиций.
Программы западноевропейской социал-демократии, пришедшей в последние годы к власти в ряде стран, в том числе во Франции, в Великобритании, Германии и Италии, предусматривают подобные меры.
В развивающихся странах в тот же период указанный показатель оставался на уровне 11 %. С одной стороны, это было обусловлено притоком иностранных частных инвестиций, за счет которых создавались новые частные предприятия. С другой стороны, слабость национального частного капитала вынуждала государство поддерживать сравнительно высокий уровень своего присутствия в экономике. Поскольку в среднесрочной перспективе нельзя ожидать массированного увеличения притока прямых инвестиций из стран Запада, а также по ряду других причин нынешний показатель вряд ли заметно изменится в обозримом будущем.
Бывшие социалистические страны встали на путь перехода от планового к рыночному хозяйству преимущественно на рубеже 80-х и 90-х гг. Рыночная трансформация, естественно, в первую очередь потребовала вытеснения государственной собственности частной путем приватизации первой и создания новых частных предприятий.
В этом направлении страны с переходной экономикой с начала 90-х гг. уже прошли (каждая в разной степени) значительный отрезок пути. Вместе с тем доля госсобственности в производстве ВВП этих стран, как правило, все еще составляет 2030% и более, т.е. заметно превышает соответствующий показатель для развитых и развивающихся государств. О причинах этого и перспективах дальнейшей приватизации в странах с переходной экономикой речь пойдет в гл.
31.
3. Доходы и их виды. Прибыль Итак, экономические ресурсы имеют своих собственников. Те сами их потребляют или, что чаще бывает, продают на рынках ресурсов (см. 5.2) и получают за это плату в виде доходов.
Покупатели ресурсов (преимущественно фирмы) имеют возможность оплатить их, так как продают на товарных рынках произведенную на базе экономических ресурсов продукцию и также получают за это плату в виде доходов. Таким образом, доходами называются поступления от продажи экономических ресурсов и продукции.

Виды факторных доходов
Доходы от экономических ресурсов (факторов производства) называют факторными доходами. Собственники факторов производства (экономических ресурсов) получают следующие виды доходов:
от природных ресурсов ренту (земельную, горную, плату за воду и т.д.);
от трудовых ресурсов заработную плату;
от капитала процент (как доход собственников денежного капитала) и прибыль (как доход собственников реального капитала);



Какой показатель эффективности лучше?


Этот показатель полезен для быстрой оценки при выборе альтернативных проектов, но он не учитывает фактора времени. Например, проект с затратами в 100 млрд руб., приносящий ежегодно доходы 20 млрд руб., имеет 5-летний срок окупаемости, так же как и проект с затратами в 100 млрд руб., который принесет доход в 1 млрд руб. в первый год и 99 млрд руб в пятый год.

Какой показатель эффективности лучше?
В сущности, этот вопрос сводится к выбору между NPV и IRR, так как подсчет наименьших затрат используется лишь в определенных случаях, рентабельность является отражением NPV, а срок окупаемости как показатель имеет слишком большие недостатки.
В большинстве случаев у лучшего проекта обычно и максимальная положительная NPV, и одновременно IRR выше, чем у альтернативных проектов. Но нередки и противоположные ситуации. В этом случае рекомендуется ориентироваться прежде всего на NPV как показатель, дающий возможность наиболее объективно подойти к выбору проекта с точки зрения максимизации выгод (доходов).
Однако возможны исключения. Если у фирмы ограничен собственный капитал и она не имеет широкого доступа к ссудному капиталу, то тогда главная цель фирмы получение наибольшего прироста на ее ограниченный капитал. В этом случае для фирмы IRR будет главным показателем доходности проектов.

Пример 18.7. Рассмотрим два проекта, оба со ставкой дисконтирования 10%.
Проект А. Фирма вкладывает в проект 1 млрд руб. и через год получает доход 2 млрд руб.
Проект Б. Фирма вкладывает в проект 1000 млрд руб. и через год получает доход 1250 млрд руб.
Какой проект выбрать? Подсчитаем IRR и NPV. Получим следующие результаты:


IRR,% NPV,мрлд руб.
Проект А…………100 0,909
Проект Б………… 25 227


В принципе проект Б лучший, так как его NPV больше. Но при сильной ограниченности средств лучшим может считаться проект А.


Выводы 1. Термин «инвестиции» имеет бухгалтерское и экономическое определения. Согласно бухгалтерскому определению инвестициями являются все виды активов (средств), вкладываемых в хозяйственную деятельность. Согласно экономическому определению инвестиции это расходы на создание, расширение, реконструкцию техническое перевооружение основного капитала.
2. Основой инвестиций является сбережение, превращающееся в накопление. Валовое накопление (капиталообразующие инвестиции) расходуется преимущественно на валовое накопление основного капитала, прежде всего на капитальные вложения. Нормой накопления называется соотношение между объемом валового накопления и объемом ВВП страны.
3. Капитальные вложения осуществляются фирмой для реализации ее капитальных (инвестиционных) проектов, т.е. проектов создания, расширения, реконструкции и технического перевооружения ее основного капитала. Анализ доходности капитального проекта называется проектным анализом. Это сложный и длительный процесс, ставший концепцией, которая кладется в основу инвестиционных проектов в странах с рыночной экономикой.
4. По мере подготовки и реализации капитальный проект проходит жизненный цикл, состоящий из ряда стадий. На всех стадиях проекта идет анализ:

  1. технический;
  2. коммерческий (маркетинговый);
  3. институциональный;
  4. социальный;
  5. окружающей среды;
  6. экономический;
  7. финансовый. Два последних направления проектного анализа являются ключевыми и рассматриваются особо.
  1. Экономический анализ призван оценить доходность проекта с точки зрения всего общества (страны), финансовый анализ только с точки зрения фирмы и ее кредитора. Для экономического анализа используются особые, очищенные от искажений цены. Они называются расчетными (теневыми).
  2. Проектный анализ осуществляется на базе ряда приемов, демонстрирующих принципы проектного анализа.
Анализируя доходность инвестиционного проекта, целесообразно сравнивать две будущие альтернативные ситуации: а) фирма осуществила свой проект; б) фирма не осуществила свой проект. Подобный прием часто называют «с проектом без проекта».
В тех случаях, когда выгоды заранее заданы, но их трудно оценить в денежном выражении, используется прием «наименьшие затраты». Суть его в том, что для достижения цели разрабатываются альтернативные проекты и из них выбирается наименее дорогостоящий.
При расчете затрат в них не включаются амортизационные отчисления, которые начисляются в ходе цикла жизни проекта (особенно на его последней стадии), дабы избежать двойного счета, потому что амортизационные отчисления все равно будут включены в цену производимой продукции.
При подходе к инфляции в проектном анализе рекомендуется осуществлять расчеты на базе текущих цен, если инфляция в стране будет идти равномерно по всем основным группам товаров и услуг. При неравномерной инфляции рекомендуется корректировать текущие цены (уменьшать или увеличивать) в такой степени, в какой рост цен на эти товары и услуги будет меньше или больше общего роста цен.
7. В проектном анализе, как и в некоторых других областях теоретической и прикладной экономики, используется понятие «стоимость денег во времени», Оно означает, что рубль, полученный раньше, стоит больше, чем рубль, полученный позже. Тому есть три причины: инфляция, возможность положить деньга под проценты, риск. В результате рубль обладает текущей и будущей стоимостью.
В экономическом и финансовом анализе используют специальную технику измерения текущей и будущей стоимости одной денежной меркой. Эта техника (технические приемы) называется вычислением сложного процента и дисконтированием. С ее помощью сопоставляются (приводятся) разновременные денежные величины.
8. За ставку процента (ставку дисконта) в экономическом анализе берут уровень доходности наиболее доходного из альтернативных проектов. В финансовом анализе для этого используют типичный процент, под который фирма может занять финансовые средства.
9. В проектном анализе эффективность проекта измеряется его доходностью. Главными показателями доходности проекта являются чистая приведенная стоимость и внутренняя норма доходности.
Чистая приведенная стоимость определяется как разница между текущей приведенной стоимостью потока будущих доходов (выгод) и текущей приведенной стоимостью потока будущих затрат. Она дает абсолютную величину чистых приведенных выгод (доходов) от проекта.
Внутренняя норма доходности (окупаемости) это тот максимальный процент, который может быть выплачен для мобилизации капиталовложений проекта. Если внутренняя норма доходности рассматриваемого проекта меньше внутренней нормы доходности альтернативных проектов, то данный проект менее выгоден по сравнению с ними.
10. К другим показателям эффективности (доходности) проекта относятся наименьшие затраты, рентабельность, срок окупаемости, которые используются реже.


Термины и понятия Инвестиции
Капиталообразующие инвестиции
Капиталовложения
Инвестиционная деятельность (инвестирование)
Инвестор
Капитальное строительство
Валовое накопление
Норма валового накопления
Предельная склонность к сбережению
Кейнсианская теория инвестиций
Теория рационирования кредитов
Модель акселерации инвестиционных процессов
q-теория инвестиций
Капитальный (инвестиционный) проект
Проектный анализ
Стадии жизненного цикла проекта
Расчетные (теневые) цены
«С проектом без проекта»
Наименьшие затраты
Стоимость денег во времени
Будущая стоимость
Текущая стоимость
Сложный процент
Дисконтирование
Ставка дисконта
Фактор сложного процента
Фактор дисконтирования
Денежные поступления (денежный поток)
Чистая приведенная стоимость
Внутренняя норма доходности
Рентабельность проекта
Срок окупаемости проекта


Вопросы для самопроверки 1. Фирма в прошлом году израсходовала 100 млрд руб. на издержки по выпуску продукции: 20 млрд руб. на сооружение нового корпуса, 5 млрд руб. на закупку сырья и материалов для производства в будущем корпусе, 8 млрд руб. на капитальный ремонт старых корпусов. Каков был у этой фирмы объем капиталовложений?
2. Какая стадия проектного анализа является самой длинной?

  1. 3. Какова главная задача анализа окружающей среды?
4. Экономический анализ отличается от финансового анализа прежде всего:
а) использованием расчетных (теневых) цен;
б) учетом технических аспектов проекта;
в) учетом результатов маркетинговых исследований?
5. В 1992 г. розничные цены в России выросли в 26,1 раза. Какова была 1 января1993 г. реальная стоимость 1 руб., положенного 1 января 1992 г. в банк?
6. На основе данных примера 18.5 рассчитайте приведенную стоимость выгод (доходов) и приведенную стоимость затрат по проекту.
7. Чем хорош и чем плох показатель срока окупаемости проекта?
8. Чистая приведенная стоимость проекта - это: а) величина стоимости проекта к моменту его завершения; б) величина абсолютного дохода от проекта; в) процент, характеризующий доходность проекта?
9. Внутренняя норма доходности проекта позволяет: а) сравнить уровень доходности данного проекта с уровнями доходности альтернативных проектов; определить с помощью расчетных (теневых) цен, какова в реальности, а не по бухгалтерской отчетности доходность проекта; в) сравнивать доходность проекта с точки зрения отдельных подразделений фирмы?

































Классификация статей платежного баланса по методике МВФ










Классификация статей платежного баланса по методике МВФ



Классификация статей платежного баланса по методике МВФ




Классификация статей платежного баланса по методике МВФ базируется на различии двух основных разделов: I. Счет текущих операций (текущий платежный баланс) и II. Счет операций с капиталом и финансовыми инструментами (так называемые капитальные статьи).
В свою очередь, счет текущих операций подразделяется на три широкие категории: товары и услуги, доходы от инвестиций и оплата труда и текущие трансферты. Текущий счет отражает операции с реальными ресурсами (товарами, услугами, доходом), а счет движения капитала показывает финансирование движения потоков реальных ресурсов. При этом трансферты включаются в текущий счет, поскольку являются балансирующими статьями по текущим операциям, а не формой их финансирования.
Сальдо платежного баланса по текущим операциям равняется сумме сальдо торгового баланса (экспорт-импорт) и сальдо «невидимых операций» (услуги, некоммерческие операции, включая доходы и платежи по инвестициям, а также трансферты).
Счет движения капитала и финансов включает в части счета движения капитала только переводы капитала (но не инвестиции) и операции с другими активами непроизводственного и нефинансового характера (такими, как патенты и авторские права). Вся остальная масса операций с финансовыми активами и обязательствами (инвестициями и резервными активами) включается в счет финансов.
Счет движения капитала (капитальные статьи) использует классификацию по типу капитала (прямые инвестиции, портфельные инвестиции, прочий капитал и резервы), традиционное деление на долгосрочные активы (финансовые требования резидентов к нерезидентам) и пассивы (финансовые требования нерезидентов к резидентам), а также разбивку в соответствии с институциональной принадлежностью (государственные органы, финансовые власти, прочие банки и др.). Прочие инвестиции остаточная категория, в которой учитывают капитал, не попавший в состав прямых и портфельных инвестиций и резервов. Сюда относятся коммерческие кредиты поставщиков, авансы, просроченные платежи, а также долгосрочные кредиты МВФ.
К резервным активам принадлежат сугубо определенные активы государственный золотой запас (монетарное золото), СДР, резервная позиция страны в МВФ, активы в иностранной валюте и другие активы, имеющиеся в распоряжении центральных денежно-кредитных органов для целей регулирования платежного баланса.
В платежном балансе России операции, связанные с изменением внешней задолженности, имеют важное значение. Основные принципы учета данных операций сводятся к следующему.
По статьям «Ссуды и займы предоставленные (непросроченные)» и «Ссуды и займы привлеченные (непросроченные)» показываются все операции, приводящие к изменению задолженности по непросроченным ссудам и займам. Операциями, приводящими к росту задолженности, являются использование новых кредитов и образование нового долга в результате реструктуризации (или переноса сроков погашения) старого. Снижение непросроченной задолженности по ссудам и займам происходит в соответствии с графиком ее погашения и в результате ее досрочного погашения.
По статье «Изменение задолженности по своевременно непоступившей экспортной валютной и рублевой выручке и непогашенным импортным авансам» показывается движение просроченной задолженности по предоставленным торговым кредитам.
По статьям «Просроченная задолженность» (активы и обязательства) показываются все операции, приводящие к изменению просроченной задолженности (кроме просроченной задолженности по торговым кредитам, которая показывается по отдельной статье): накопление, включая накопление задолженности по просроченным процентам, погашение, в том числе погашение за счет ре-структуризации и переоформления в новое кредитное соглашение.
Например, если ссуда была просрочена, то по статье «Ссуды и займы» показывается, что ссуда была погашена, но при этом проводится возникновение нового требования по статье «Просроченная задолженность». Таким образом, в платежном балансе считается, что если ссуда была просрочена, то задолженность по ней более не является ссудной, так как последняя по определению представляет собой предоставление кредитором финансовых средств дебитору в рамках некоторого первоначального соглашения.
Сходный подход используется для отражения просрочек по процентам. Например, если подлежащие выплате проценты фактически не были выплачены, то в счете текущих операций показывается график платежей процентов, а в финансовом счете возникновение просроченной задолженности по процентам. Если же в отчетном периоде проценты, просроченные в предыдущих периодах, фактически выплачиваются, то в финансовом счете платежного баланса показывается погашение просроченной задолженности по процентам, а не выплаты процентов в счете текущих операций.
Если же непросроченная ссуда была переоформлена в новый кредит, то по статье «Ссуды и займы» показывается ее погашение и одновременно по этой же статье проводится возникновение новой задолженности в соответствии с но^ым соглашением. Аналогично показывается переоформление в новый кредит просроченной задолженности: по статье «Просроченная задолженность» проводится снижение задолженности, а по статье «Ссуды и займы непросроченные» возникновение ее.
В случае если реструктуризация непросроченных и просроченных ссуд происходит посредством выпуска ценных бумаг, то по статьям «Ссуды и займы непросроченные» и «Просроченная задолженность» показывается соответственно снижение задолженности, а по статье «Портфельные инвестиции» рост задолженности, переоформленной в ценные бумаги. Именно так был отражен в платежном балансе 1997 г. факт переоформления в еврооблигации просроченной российской задолженности Лондонскому клубу кредиторов.
Описанные методы отражения операций с долговыми финансовыми инструментами позволяют показывать в платежном балансе трансформации долга и переходы его из одной категории в другую, независимо от того, связаны они с фактическими (кассовыми) платежами или нет.
В настоящее время Банк России публикует и аналитическое представление платежного баланса, в котором статьи группируются таким образом, чтобы выявить операции, которые имели наибольшее значение именно для платежного баланса страны и которые не могут быть четко выделены в нейтральном представлении, составляющемся в рамках международных стандартов (без учета страновой специфики). В частности, финансовый счет платежного баланса в данном аналитическом представлении позволяет проследить, во-первых, общий объем привлеченных от нерезидентов финансовых ресурсов, который интерпретируется как чистый приток иностранных инвестиций в экономику России, а во-вторых, чистый прирост всех иностранных активов резидентов страны или чистый отток капитала за границу.
В данном аналитическом представлении активы и обязательства прежде всего классифицируются не по функциональному признаку (как в нейтральном представлении), а по секторам российской экономики. Это позволяет проследить влияние различных секторов экономики на платежный баланс.
Таким образом, важным аспектом группировки статей и определения сальдо платежного баланса является проведение различия между основными и балансирующими статьями. Согласно современной концепции МВФ сальдо баланса по текущим операциям и капитальным статьям (за исключением официальных резервов) классифицируется как итоговый баланс, который уравновешивается операциями с официальными резервами. Кроме резервных активов, в аналитических целях (в рамках так называемого аналитического представления платежного баланса см. табл.
38.2) к балансирующим статьям могут быть отнесены операции в рамках так называемого исключительного финансирования дефицита платежного баланса. В этом случае общее финансирование дефицита платежного баланса складывается не только из изменений резервных активов, но из просроченных и перенесенных платежей по обслуживанию внешнего долга и использования зарубежных займов органами государственного управления.


Таблица 38.2 Платежный баланс Российской Федерации за 1998 г., млн долл. ( аналитическое представление)


Классификация статей платежного баланса по методике МВФ









Классификация статей платежного баланса по методике МВФ


Теоретические подходы к сбалансированности платежного баланса В соответствии с принципами построения платежного баланса он всегда является сбалансированным. Понятие отрицательного или положительного сальдо применимо только к отдельным его частям. При этом необходимо отметить, что само по себе сальдо баланса априори не может иметь .однозначной трактовки с точки зрения его воздействия на национальную экономику.
В зависимости от целей экономической политики как отрицательное, так и положительное сальдо по отдельным статьям может расцениваться и в позитивном, и в негативном плане.
Обычно внутри общего платежного баланса выделяются сальдо торгового баланса, баланса по текущим операциям, баланса движения капитала и баланса официальных расчетов.
Сальдо торгового баланса формируется как разница между экспортом и импортом только товаров (без учета услуг). Комментарии к изменению торгового баланса зависят от того, какие факторы обусловили данное изменение. Например, если отрицательное сальдо образовалось в результате сокращения экспорта, то это может свидетельствовать о снижении конкурентоспособности национальной экономики и рассматриваться как негативное явление.
Но если такое положение стало результатом роста импорта вследствие притока прямых инвестиций в страну, то это никак не может рассматриваться как ослабление национальной экономики.



Кредитная система



Кредитная система Кредитную систему обычно рассматривают как совокупность кредитно-расчетных отношений, форм и методов кредитования и как совокупность кредитных организаций (финансово-кредитных институтов).
Выше отмечалось, что кредитные отношения связаны с движением ссудного капитала и включают различные формы кредита. Кредитная система как совокупность финансово-кредитных институтов аккумулирует свободные денежные капиталы, доходы и сбережения различных слоев населения и предоставляют их в ссуду фирмам, правительству и частным лицам. Отметим, что кредитная система тесно связана с денежной, поэтому чисто говорят об их совокупности денежно-кредитной системе.
Основой кредитной системы исторически являются кредитные организации (финансово-кредитные институты), прежде всего банки.
Выполнение отдельных банковских функций восходит к глубокой древности (Древний Вавилон, Египет, Греция и Римская империя). Первые предшественники современных банков возникли во Флоренции и Венеции (1587 г.) на основе меняльного дела обмена денег различных областей и стран. Главными операциями банков были прием денежных вкладов и безналичные расчеты.
Позднее по такому принципу организовались банки в Амстердаме (1605 г.) и Гамбурге (1618 г.).
Финансово-кредитные институты на страновом уровне подразделяются на центральные банки, коммерческие банки и специализированные финансово-кредитные институты (кредитные организации). Все они являются примером того, насколько тесно переплетены денежная и кредитная системы.
Центральные банки это банки, осуществляющие выпуск банкнот и являющиеся центрами кредитной системы. Они занимают в ней особое место, будучи «банками банков», и являются, как правило, государственными учреждениями. В странах Западной Европы центральные банки были национализированы в период Второй мировой войны или в послевоенный период.
В США центральный банк (Федеральная резервная система) находится в смешанной собственности.
Коммерческие банки представляют собой частные и государственные банки, осуществляющие универсальные операции по кредитованию промышленных, торговых и других предприятий, главным образом за счет тех денежных капиталов, которые они получают в виде вкладов. Появление термина «коммерческие банки» связано с тем, что в XVII в. они начали с обслуживания торговли и нарождающейся промышленности.
Специализированные кредитные организации включают банковские и небанковские организации, специализирующиеся на определенных видах кредитования. Так, внешнеторговые банки специализируются на кредитовании экспорта и импорта товаров, а ипотечные банки и компании на предоставлении долгосрочных ссуд под залог недвижимости (земли и строений).
Кроме того, с целью регулирования валютных и денежно-кредитных отношений на основе межгосударственных соглашений созданы м е ж г о с у д а р с т в е н н ы е ( м е ж д у н а р о д н ы е ) б а н к и : Международный банк реконструкции и развития (Всемирный банк) и его филиалы Международная ассоциация развития и Международная финансовая корпорация, а также Банк международных расчетов и различные региональные международные банки развития, в том числе Европейский банк реконструкции и развития, а также другие банки. Членом большинства этих банков является и Россия'.


' Подробнее см.: Мировая экономика: Учебник / Под ред. А.С. Булатова. М..
1999. Гл. 13.



Функции центрального банка Для центрального банка страны характерен ряд основных функций.
Э м и с с и о н н а я ф у н к ц и я старейшая и одна из наиболее важных функций центрального банка. Хотя в современных условиях наличные деньги менее важны, чем безналичные, банкнотная эмиссия центральных банков сохраняет свое значение, поскольку наличные деньги по-прежнему необходимы для значительной части платежей и обеспечения ликвидности кредитной системы, которая должна иметь средства окончательного погашения долговых обязательств. Так, в России наличные деньги составляют 3542% совокупной денежной массы.
Ф у н к ц и я а к к у м у л я ц и и и х р а н е н и я к а с с о в ы х п р е з е р в о в для коммерческих банков заключается в том, что каждый банк, являющийся членом национальной кредитной системы, обязан хранить на резервном счете в центральном банке сумму в определенной пропорции к размеру его вкладов. Изменение нормы резервов один из основных методов денежно-кредитной политики, (в России эта норма в 1999 г. составляла по различным вкладам и депозитам 57%). Одновременно центральный банк по традиции является х р а н и т е л е м о ф и ц и а л ь н ы х з о л о т о в а л ю т н ы х р е з е р в о в с т р а н ы (официально золотовалютные резервы России на 1 июня 1999 г. составили около 112 млрд долл. против 15 млрд долл. на 1 июня 1996 г.).
К р е д и т о в а н и е к о м м е р ч е с к и х б а н к о в центральным банком характерно, прежде всего, для социалистической экономики с ее государственной монополией на кредитную деятельность, а также для экономики переходного периода с ее нехваткой средств у частных финансово-кредитных институтов. Менее характерно оно для развитой рыночной экономики, где подобное кредитование существует преимущественно в периоды финансовых трудностей.
П р е д о с т а в л е н и е к р е д и т о в и в ы п о л н е н и е р а с ч е т н ы х о п е р а ц и й д л я п р а в и т е л ь с т в е н н ы х о р г а н о в осуществляются следующим образом. В государственных бюджетах аккумулируется до половины и больше ВВП стран. Эти средства накапливаются на счетах в центральных банках и расходуются с них. Поэтому центральные банки ведут счета государственных учреждений и организаций, местных органов власти, аккумулируют на этих счетах средства и проводят выплаты с них.
Кроме того, они осуществляют операции с государственными ценными бумагами, предоставляют государству кредит в форме прямых краткосрочных и долгосрочных ссуд или покупки государственных облигаций. Центральные банки также проводят по поручению правительственных органов операции с золотом и иностранной валютой.
Безналичные расчеты, основанные на зачете взаимных требований и обязательств, т.е. клиринги, являются важной функцией центральных банков. В ряде стран центральный банк ведет операции по общенациональному клирингу, выступая посредником между коммерческими банками, расположенными в разных районах страны. Примером общенациональной расчетной палаты служит Федеральная резервная система Соединенных Штатов Америки.
Совокупность мероприятий денежной политики (она, прежде всего, регулирует изменение денежной массы) и кредитной политики (нацелена на регулирование объема кредитов, уровня процентных ставок и других показателей рынка ссудных капиталов) получила название денежно-кредитной политики.


Коммерческие банки Функции коммерческих банков это, прежде всего, аккумулирование депозитов и ведение текущих счетов; оплата выписанных на эти банки чеков; предоставление кредитов предпринимателям. Коммерческие банки часто называются финансовыми универмагами или супермаркетами кредита. Ведь они осуществляют расчеты и организуют платежный оборот в масштабах всего национального хозяйства.
На базе их операций возникают кредитные деньги (чеки, банковские векселя).
На рубеже 8090-х гг. началось активное внедрение коммерческих банков в страховой бизнес. В результате клиенты коммерческих банков могут пользоваться услугами самого широкого диапазона. Очевидно, данное направление универсализации коммерческих банков будет развиваться и в ближайшие годы.

Специализированные кредитные организации (финансово-кредитные институты)
Эти организации возникли в XIX в. Длительное время они играли в денежно-кредитной сфере подчиненную роль, уступая коммерческим банкам. Однако их роль резко возросла в странах с рыночной экономикой после Второй мировой войны. Это произошло, с одной стороны, из-за усиления значения операций, на которых специализировались эти институты, а с другой из-за проникновения этих финансово усилившихся специализированных институтов в сферу действия коммерческих банков.
Примером могут служить пенсионные фонды, капиталы которых сильно возросли в последние десятилетия и которые на Западе являются одними из крупнейших покупателей ценных бумаг.
Инвестиционные банки занимаются эмиссионно-учредительской деятельностью, т.е. проводят операции по выпуску и размещению на фондовом рынке ценных бумаг, получая на этом доход. Они не имеют права принимать депозиты и привлекают капитал, как правило, путем продажи собственных акций или за счет кредита коммерческих банков. Свой капитал они используют для долгосрочного кредитования различных отраслей хозяйства.
В России эти банки немногочисленны.
Важное место в кредитной системе занимает обширная группа сберегательных учреждений. Они привлекают мелкие сбережения и доходы, которые без помощи кредитной системы не могут функционировать как капитал. Существуют разные типы сберегательных учреждений: сберегательные банки и кассы, взаимно-сберегательные банки (разновидность кооперативных банковских учреждений в США), доверительно-сберегательные банки (в Великобритании), ссудосберегательные ассоциации (в США), кредитные кооперативы (союзы, ассоциации).
В России среди сберегательных учреждений доминирует Сбербанк РФ (на февраль 1999 г. имел 1848 филиалов).



Кривая безразличия и карта безразличия


Для нормальных товаров, о которых говорилось выше, действие эффектов дохода и замещения объясняет увеличение спроса при понижении цен и сокращение его при повышении последних.
Для низших товаров ситуация зависит от степени воздействия каждого из этих эффектов на потребительский выбор. Если эффект замещения действует сильнее эффекта дохода, то кривая спроса на низший товар будет иметь ту же форму, что и на нормальный. Например, с ростом цен на сливочное масло мы стали больше покупать относительно дешевого маргарина.
Если влияние эффекта дохода выше, чем эффекта замещения, наблюдается обратная картина: при увеличении цены растет потребление низшего товара. Например, в течение 1992 г. средняя семья в России увеличила потребление сахара, несмотря на повышение цены на него в 4000 раз, в то время как цены на шоколадные конфеты выросли примерно в 3000 раз.
Здесь сработал эффект дохода: общее снижение жизненного уровня населения привело к росту потребления товаров низшей категории (в данном случае сахара).

Кривые безразличия Более сложным принципом построения кривых спроса на ту или иную продукцию является использование кривых безразличия и бюджетных линий.
Что такое кривые безразличия и как их строить? Вспомним, как в застойные годы приобретались продовольственные заказы к празднику. Обычно нам предлагали на выбор несколько вариантов этих заказов.
Причем составлялись они таким образом, чтобы были равноценными, несмотря на различный состав включенных продуктов.
Для упрощения анализа представим, что в каждый набор входит только два продукта: масло и сыр, и составим таблицу равноценных для нас количеств обоих продуктов:

Масло, кг
Сыр кг
4,0
0,5
2,5
1,0
1,5
1,5
1,0
2,5
0,5
4,0
На основании этой таблицы предпочтений (набор по вертикали нам безразличен) построим график, или так называемую кривую безразличия. Все соотношения количеств масла и сыра, лежащие на этой кривой, для нас равноценны ( 9.6).




Кривая безразличия и карта безразличия





9.6. Кривая безразличия (а) и карта безразличия (б)

Взяв другие возможные варианты сочетания продуктов, мы можем составить карту безразличия, которая представляет собой семейство кривых безразличия при различных количествах предлагаемых товаров. На 9.6,б изображены четыре кривых безразличия, но в принципе кривая может быть проведена через любую точку.
Обратим внимание на то, что покупатель, увеличивая потребление сыра, готов отказаться от все меньшего и меньшего количества масла: при переходе от точки А к точке Б от 1,5 кг масла ради дополнительных 0,5 кг сыра, от точки Б к точке В лишь от 1 кг масла и т.д. Количество товара Х, от которого мы готовы отказаться ради увеличения потребления Y на единицу товара, называется п р е д е л ь н о й н о р м о й з а м е щ е н и я т о в а р а Yтоваром Х:

Кривая безразличия и карта безразличия



где MRS предельная норма замещения (от англ. marginal rate of substitution).
В рассматриваемом примере предельная норма замещения будет составлять при переходе от точки А к точке Б -3
Кривая безразличия и карта безразличия
и далее -2; -1/2; -1/3
Исходя из норм замещения можно определить, является ли один товар ради относительно другого более или менее значительным для потребителя и насколько он готов отказаться от одного товара ради увеличения потребления другого. На 9.7 показаны предпочтения потребителей А и Б в отношении масла и сыра: А отдает предпочтение маслу, в то время как Б сыру.




9.7. Предпочтения потребителей А (а) и Б (б)

Теория потребительского выбора широко используется фирмами при разработке новых видов продукции, совершенствовании уже производимых. Для принятия решения об улучшении выпускаемых изделий надо учитывать не только необходимые для этого дополнительные затраты, но и потребительские предпочтения. Какое из свойств товара является более значимым для потенциальных покупателей?
На что следует обратить особое внимание?
Например, для фирмы, выпускающей обувь, надо знать, что является для потребителей более важным в новых моделях: долговечность, удобство, фасон, цвет кожи? Как правило, фирма проводит опрос среди возможных покупателей. Кривые безразличия по всем четырем указанным параметрам обуви, рассчитанные для каждого опрашиваемого, позволят выявить предпочтения большинства из них и определить, во что следует вкладывать средства в первую очередь. Может быть, инвестиции в разработку более удобных моделей потребуются меньшие, чем в дизайн.
Однако если потребители отдают явное предпочтение дизайну, средства следует вкладывать в первую очередь именно в него.

Бюджетные линии Склонность потребителя к покупке того или иного товара еще не означает, что он этот товар купит. Если он явно предпочитает масло сыру, но цена на масло очень высока, потребитель купит сыр. Ограничивают потребление два фактора: цена товара и доход потребителя.
Предположим, что в нашем распоряжении имеется 160 руб., которые мы потратим на покупку масла и сыра. Допустим, что цена масла составляет 20 руб., а сыра 40 руб. за 1 кг. Тогда мы можем графически изобразить бюджетную линию, т.е. все возможные варианты сочетания покупок масла и сыра, сумма затрат на которые составит 160 руб.




Кривая безразличия и карта безразличия




9.8. Графическое изображение бюджетной линии

Любая точка, лежащая на прямой количеств закупок ( 9.8), удовлетворяет равенству:
РM iQM +PCiQc=I,
где РM, Рc, QM, Qc соответственно цены и количества масла и сыра; I доход потребителя (англ. income).
Мы можем купить 6 кг масла и 1 кг сыра (6 · 20 + 1 · 40), а также 2 кг масла и 3 кг сыра (2·20 + 3 · 40) и т.д. При любом возможном сочетании на прямой количеств закупок этих двух продуктов мы потратили весь свой доход в 160 руб. Иными словами, мы можем выбрать любое сочетание количеств масла и сыра, однако какое же конкретно мы выберем?
Чтобы ответить на вопрос, как обеспечить максимальное удовлетворение от покупки при ограниченном бюджете, мы должны знать, какой из наборов продуктов предпочтем. Наши предпочтения выражаются через кривые безразличия. Вопрос в том, какую точку на кривой безразличия мы выберем.
Эта точка должна быть точкой пересечения кривой безразличия и бюджетной линии. Очевидно, это будет точка Х на 9.9. Мы не выберем ни точку Y, ни точку Z, ибо они лежат на кривой безразличия А, находящейся ниже кривой безразличия В, а потому приносят меньше удовлетворения; с кривой безразличия С бюджетная линия не имеет общих точек.
Поэтому можно сделать вывод, что в своем выборе мы остановимся на точке, где бюджетная линия является касательной к кривой безразличия, т.е. мы купим 4 кг масла и 2 кг сыра.




Кривая безразличия и карта безразличия





9.9. График потребительского выбора

Построим кривую спроса на масло для отдельного потребителя. Что произойдет, если цена масла изменится с 20 до 25, 30, 35, 40 и 45 руб. за 1 кг? Бюджетная линия будет иметь другой вид, и потребитель будет приобретать уже иное количество масла и сыра при том же доходе в 160 руб. ( 9.10).
Исходя из данных о спросе на масло при различных его ценах, получим график спроса на масло со стороны выбранного нами потребителя.
Зная данные о спросе на масло со сторон отдельных покупателей, мы можем получить рыночную кривую спроса на масло, суммировав количество масла, которое будет приобретено отдельными лицами при всех возможных уровнях цен.






Кривая безразличия и карта безразличия




9.10. Построение кривой спроса на основе бюджетных линий и кривых безразличия. Точки А, Б, В, Г,Д и Е отражают выбор потребителя при различных ценах на масло (от 20 до 45 руб. за 1 кг)

Кривые Энгеля
Кривые Энгеля, названные так в честь Эрнста Энгеля (1821 1896), показывают количество того или иного товара, которое потребитель готов купить при различных уровнях дохода (другие факторы, влияющие на спрос, принимаются как неизменные). Иными словами, данные кривые связывают количество приобретаемого товара с доходом покупателей.
Для нормальных товаров характерен положительный наклон кривой Энгеля. Действительно, с ростом доходов население приобретает больше подобных товаров. Для товаров низшего качества наклон кривой Энгеля является отрицательным: с повышением доходов покупатели приобретают все меньшее количество низкокачественных продуктов.
Если потребление товара не зависит от уровня дохода, то кривая Энгеля является вертикальной ( 9. 11).




Кривая безразличия и карта безразличия


9.11. График зависимости количества приобретаемой продукции (Q) от денежного дохода (I)
Как видно, при росте дохода с 1 тыс. до 2 тыс. руб. в месяц 1 объем покупок возрастает с 1 до 2 шт., с 2 тыс. до 3 тыс. руб. с 2 до 4 шт. При дальнейшем увеличении доходов темп роста покупок товара замедляется: с 3 тыс. до 4 тыс. руб. с 4 до 6 шт., с 4 тыс. до 5 тыс. руб. с 6 до 7 шт., а затем и совсем прекращается (при доходе свыше 7 тыс. руб. в месяц покупается 8 шт. данного товара).
Кривые Энгеля несут важную информацию о том, как реагирует спрос на изменение в денежных доходах покупателей. Закономерности в соотношении между доходами и объемами покупок, определенные Энгелем, имеют важное значение для фирм-производителей при оценке ими возможных объемов продаж и рыночной конъюнктурой данного товара. В частности, Энгелем были выведены следующие закономерности:
спрос на разные товары по-разному реагирует на изменения в доходах покупателей, товары, воспринимаемые как предметы роскоши, являются более восприимчивыми к подобным изменениям;
потребление продуктов питания и других товаров первой необходимости слабо зависит от доходов населения, с ростом доходов уменьшается доля потребительского бюджета, расходуемая на закупку данных видов товаров;
с ростом доходов наблюдается более быстрое увеличение расходов потребителей на услуги (образовательные, медицинские, туризм и т.п.) и др.


Выводы 1 Изучение спроса на продукцию является первейшей задачей фирмы в условиях рынка. Одной из важнейших характеристик спроса является его эластичность. Оценка эластичности спроса (по цене, доходам покупателей и другим параметрам) позволяет фирме выбрать верную стратегию поведения на рынке.
Коэффициенты (показатели) эластичности спроса и предложения дают возможность определить положение кривых спроса и предложения и прогнозировать изменение объема продаж в зависимости от изменения факторов, влияющих на спрос и предложение.
2. Успех фирмы на рынке во многом определяется тем, насколько точно и своевременно учитываются интересы потребителей, их предпочтения, мотивы, заставляющие совершать покупки. Анализ потребительского поведения на основе кривых безразличия, бюджетных линий и кривых Энгеля позволяет правильно выбрать направления улучшения характеристик уже выпускаемых изделий, а также лучше ориентироваться при разработке новых товаров.


Термины и понятия Эластичность
Ценовая эластичность спроса
Коэффициент ценовой эластичности спроса
Перекрестная эластичность спроса
Эластичность спроса по доходу
Предельная полезность
Закон убывающей предельной полезности
Кривая безразличия
Карта безразличия
Предельная норма замещения
Бюджетная линия
Кривая Энгеля


Вопросы для самопроверки 1. Что такое эластичность? Что отражает эластичность применительно к спросу и предложению?
2. Фирма решила повысить цену на свою продукцию. Что произойдет с ее выручкой. если спрос эластичен (неэластичен)?
3. Рассчитайте показатели ценовой эластичности спроса на продукцию фирмы, исходя из следующих данных об объемах продаж при разных ценах:


Кривая безразличия и карта безразличия


Сколько продукции будет продавать фирма? Насколько целесообразно расширение объема продаж?
4. Цена на холодильник «Минск» повысилась с 2 тыс. до 2,8 тыс. руб. В результате повышения цены продажа сократилась с 1,2 тыс. до 1,0 тыс. шт. ежедневно. Рассчитайте коэффициент ценовой эластичности спроса на холодильник «Минск».
5. Ежемесячные доходы покупателей, пользующихся услугами супермаркетом «Альфа», повысились с 1800 до 2400 руб. Вследствие этого количество продаваемых супермаркетом электрочайников возросло с 240 до 320 шт. в месяц. Рассчитайте коэффициент эластичности спроса на электрочайники, продаваемые супермаркетом «Альфа», по доходу покупателей.
6. Фотоаппараты и фотопленка являются сопутствующими товарами. Коэффициент эластичности спроса на фотопленку по цене фотоаппарата равен -2. Как изменится (на сколько процентов) спрос на фотопленку, если цена фотоаппарата снизится на 15%?
7. Какие товары называют нормальными и какие товарами низшего качества?
8. Как используются кривые безразличия и бюджетные линии для построения кривых спроса?
9. Какую зависимость отражают кривые Энгеля?































Кривая Лаффера


Экономика предложения выступает за сокращение налогов в целях стимулирования инвестиций. Предлагается отказаться от системы прогрессивного налогообложения (получатели высоких доходов являются лидерами в обновлении производства и повышении производительности), снизить налоговые ставки на предпринимательство, заработную плату и дивиденды. Снижение налогов увеличит доходы и сбережения предпринимателей, понизит уровень процентной ставки, в результате будут расти накопления и инвестиции.
Для получателей заработной платы снижение налогов увеличит привлекательность дополнительной работы и дополнительных заработков, возрастут стимулы к работе, увеличится предложение рабочей силы.
Рекомендации представителей этой школы по расширению предложения капитала и рабочих рук используются в экономических программах США и других стран Запада.

Эффект Лаффера
В своих рассуждениях теоретики экономики предложения опираются на так называемую кривую Лаффера'



' Кривая Лаффера получила название по имени американского экономиста, обосновавшего зависимость бюджетных доходов от налоговых ставок.

( 7.3). Ее смысл в том, что снижение предельных ставок и вообще налогов обладает мощным стимулирующим воздействием на производство. При сокращении ставок база налогообложения в конечном счете увеличивается: раз выпускается больше продукции, то и налогов собирается больше. Это происходит не сразу.
Но по идее расширение базы налогообложения способно компенсировать потери, вызванные снижением налоговых ставок. Как известно, снижение налогов явилось составным элементом программы Рейгана



max

Кривая Лаффера




7.3. Кривая Лаффера: Т ставка налога: ТRналоговые поступления

Уместно упомянуть и некоторые другие рекомендации экономики предложения. Поскольку снижение налогов ведет к сокращению доходной части бюджета, предлагаются способы «спасения» от дефицита. Так, рекомендуется урезать социальные программы, сократить бюрократический аппарат, избавиться от малоэффективных федеральных расходов (например, субсидий промышленным предприятиям, затрат на развитие инфраструктуры и др.).
Политика замораживания неэффективных, с точки зрения правящих кругов, социальных программ (проводимая в США, Англии, Франции, других странах) опирается на обоснования и рекомендации экономики предложения и монетаристов.
7. Неолиберализм Неолиберализм направление в экономической науке и практике управления хозяйственной деятельностью, сторонники которого отстаивают принцип саморегулирования экономики, свободной от излишней регламентации.

Традиции экономического либерализма
Современные представители экономического либерализма следуют двум традиционным положениям. Во-первых, они исходят из того, что рынок как наиболее эффективная форма хозяйствования создает наилучшие условия для экономического роста.
Во-вторых, они отстаивают приоритетное значение свободы субъектов экономической деятельности. Государство должно обеспечивать условия для конкуренции и осуществлять контроль там, где отсутствуют эти условия.
К неолиберализму обычно относят три школы: чикагскую (Милтон Фридмен); лондонскую (Фридрих фон Хайек); фрайбургскую (Вальтер Ойкен, 18911950; Людвиг Эрхард, 1897 1977). Современных либералов объединяет общность методологии, а не концептуальные положения. Неолибералы, например Н. Бэрри, А. Лернер, выступают не только против кейнсианства, но и против монетаризма, обвиняя эти школы в увлечении макроэкономическими проблемами в ущерб микроэкономике.
Представители современного неолиберализма оказывают немалое влияние на экономическую политику. Теоретические постулаты неолибералов были использованы при формировании экономических курсов, названных «рейганомикой» и «тэтчеризмом». В них делался упор на ограничение государственного участия в экономической жизни, создание максимально благоприятных условий для развития конкуренции важнейшего регулирующего механизма,
Сторонники экономического либерализма ведут речь не об отказе от государственного регулирования, а о его совершенствовании, эффективности. Дискуссии, теоретические разработки, рекомендации остаются в рамках традиционной проблемы оптимального сочетания государственного регулирования и стихийного функционирования рыночного механизма применительно к конкретным условиям и возможностям национальных экономик. К сожалению, отечественные либералы, в том числе обладающие властными полномочиями, проявили себя как плохие подражатели и неудачливые реформаторы.

Экономическая реформа Л. Эрхарда
Среди западных сторонников неолиберального направления особый интерес представляет фигура Л. Эрхарда, при непосредственном участии которого Западная Германия в конце 40-х гг. была выведена из кризисного состояния и в ней были проведены денежная и экономическая реформы. Тщательно подготовленная экономическая реформа проводилась одновременно с денежной реформой, реформой цен, перестройкой централизованного управления. Прежняя система была разрушена сразу, а не постепенно.
Рост цен остановился примерно через полгода. Успех реформы условливался и своевременной корректировкой (например, пересмотром обменного курса национальной валюты), наличием сильной и авторитетной власти.1




' Подробнее о послевоенной экономической реформе в Германии см.: Зарницкий Б.Е. Людвиг Эрхард: секреты «экономического чуда». М., 1997.



Позитивные результаты экономической реформы во многом были обусловлены сочетанием благоприятных факторов наличием сохранившейся материальной базы, сравнительно дешевой рабочей силы, активно воздействующего на производство неудовлетворенного спроса населения. Стабилизация финансовой и денежно-кредитной систем явилась необходимой предпосылкой условием успеха, а не универсальной «палочкой-выручалочкой». Поставить на рельсы рухнувшую экономику с помощью лишь одной денежной реформы и финансовых упражнений было бы неделимо.
Эрхард не был «чистым» неолибералом. Он широко использовал государственные рычаги для перехода на принципы либерализма. Вслед за проведением денежной реформы были упразднены административное распределение ресурсов и контроль над ними.
Концепция социального рыночного хозяйства, разработанная В.Ойкеном и его коллегами, своей популярностью обязана эффективной экономической политике Эрхарда, обеспечившей чрезвычайно высокие темпы роста. Это была политика так называемого среднего пути. Она направлена на сглаживание социальных противоречий, всемерную поддержку предпринимательства, создание условий для роста жизненного уровня средних слоев населения.

Ф. Хайек против административного деспотизма
Одним из основоположников и главных теоретиков неолиберализма считается Фридрих фон Хайек. В своих работах он отстаивает принцип максимальной свободы человека.2




2 См.: Хайек Ф.А. Пагубная самонадеянность. М., 1992; Хайек Ф.А.
Дорога к рабству. М., 1992.




Со стороны государства не должно быть никакого принуждения, внешнего вмешательства. Государство не должно заниматься ни социальным страхованием, ни организацией просвещения, ни ставками квартирной платы. Все это «административный деспотизм».
Максимум, что можно допустить, это сохранение пенсий по старости и пособий по безработице.
Основное требование сторонников подобных взглядов заключается в ограничении деятельности правительства во всех областях. Социальный порядок в обществе продукт не сознательных, а чисто спонтанных действий. По утверждению Ф. Хайека, цель экономики «суть результат ее собственного развития». Если попытаться координировать хозяйственную деятельность, то нарушится механизм передачи информации.
Ф. Хайека не волнует наличие монополии или чистой спекуляции во всем должна быть свобода. Государству следует отказаться и от контроля над денежной политикой, над выпуском валюты. Эмиссией денег должны заниматься конкурирующие между собой частные банки.
Концепции неолибералов обычно отличаются от практики хозяйственной деятельности, от экономической политики, проводимой правительствами ФРГ, Швеции и других стран. С неолибералами нередко полемизируют и сторонники неоклассического направления. Авторы книги «Экономикс» К. Макконнелл и С. Брю, к примеру, считают, что государство не сужает, а расширяет сферу свободного выбора, принимая решения, связанные с производством общественных товаров.1





1 Общественные товары это такие товары (услуги), производство которых обычно не окупается для производителя, но они необходимы для общества (например, маяки).




Государство способствует нейтрализации кризисов, депрессии. Его действия можно сравнить со светофором, который не только задерживает, но и пропускает транспорт, предотвращает транспортные пробки.
8. Марксистская теория Существенное влияние на формирование взглядов многих представителей экономической науки оказала философская и экономическая концепция, основополагающие принципы которой были разработаны Карлом Марксом (18181883).

Основа развития общества материальное производство
Исходные положения этой концепции состоят в том, что основой существования и развития общества являются материальное производство и те изменения, которые обусловлены сдвигами в сфере производства, прогрессом производительных сил.



Кривая производственных возможностей


Все это частные случаи концепции предельных величин (предельного анализа, маржиналистской теории, маржинализма). Она широко применяется в экономической теории и практике и базируется на постоянном соотнесении производимых благ (пшеница) или уже имеющихся благ (питьевая вода) с затратами на их производство или их доступностью (редкостью). Важнейшая идея концепции состоит в том, что на определенном этапе затраты на производство блага (издержки производства) начинают расти быстрее, чем само производство этого блага.
Другая важнейшая идея концепции такова: чем обильнее благо, тем менее оно ценится. Как писал Маршалл, «чем большим количеством какой-либо вещи человек обладает, тем меньше, при прочих равных условиях (т.е. при равенстве покупательной силы денег и при равном количестве денег в его распоряжении), будет цена, которую он готов уплатить за небольшое дополнительное ее количество, или, другими словами, его предельная цена спроса на нее снижается»'.



' Цит. по: Маршалл А. Принципы экономической науки / Пер. с англ. В 3 т. М. 1993. Т. 1. С. 158.

В сущности, это формулировка принципа убывающей предельной полезности (см. 6.1).

4. Экономическая эффективность
Понятие экономической эффективности Экономическая эффективность это получение максимума возможных благ от имеющихся ресурсов. Для этого нужно постоянно соотносить выгоды (блага) и затраты, или, говоря по-другому, вести себя рационально. Рациональное поведение заключается в том, что производитель и потребитель благ стремятся к наивысшей эффективности и для этого максимизируют выгоды и минимизируют затраты.
Если обратиться к кривой производственных возможностей (см. 2.1), то при максимально возможном эффективном производстве точки А, В, С, Д, Е, отражающие возможные варианты производства благ, должны лежать на поверхности кривой, т.е. как бы на грани, пределе производственных возможностей. Если та или иная точка лежит влево от кривой, то это означает неполное использование производственных возможностей (экономических ресурсов), а если вправо превышение производственных возможностей страны, т.е. нереальность производства благ в таких объемах.
Можно сделать вывод, что «эффективность имеет место тогда, когда общество не может увеличить выпуск одного блага, не уменьшая при этом выпуска другого. Эффективная экономика лежит на грани производственных возможностей». 2


Цит. по: Самуэльсон П.А., Нордхаус В.Д. Экономика. Изд. 15-е / Пер. с англ. М., 1997.
С. 55.


Эффективность по Парето (оптимум Парето)
В сущности, сделанный вывод вытекает из той формулировки экономической эффективности, которую предложил итальянский экономист Вильфредо Парето (18481923). Исследуя эффективность производства и распределения товаров на рынке при ограченности ресурсов, Парето пришел к выводу, что это такое состояние рынка, при котором никто не может улучшить свое состояние, не ухудшая положения хотя бы одного из участников рынка. Подобное определение эффективности часто называют оптимумом Парето, оптимальностью по Парето, Парето-оптимальным достоянием.
Его применяют не только в экономике, но и в других науках, в том числе в математике.

Измерение эффективности производства и потребления благ При расчете эффективности производства благ соизмеряются затраты одного или всех факторов с полученной выгодой (благом). Уже отсюда ясно, что показателей эффективности производств может быть много. Так, измеряют производительность труда (деля стоимость всей произведенной продукции на численность работников или на стоимость затрат труда), материалоемкость (деля стоимость израсходованных природных ресурсов, в том числе прошедших первичную переработку сырья, топлива и энергии, материалов и полуфабрикатов, на стоимость произведенной продукции), капиталоемкость (деля стоимость использованного капитала на стоимость произведенной продукции) или капиталоотдачу (обратный показатель, получаемый делением стоимости произведенной продукции на стоимость использованного капитала).
Если соизмеряют стоимость произведенной продукции со стоимостью всех использованных факторов, то говорят о рентабельности.
Потребитель при расчете эффективности приобретения и потребления благ обычно исходит из их альтернативной стоимости, т.е. из стоимости тех благ, от которых ему приходится отказаться при получении желаемого блага. Понятно, что для разных потребителей эта альтернативная стоимость различна, так как вкусы их неодинаковы. Однако по большинству благ в обществе есть общепризнанная, установившаяся альтернативная стоимость.

Эффективность на микро- и макроуровне
Подходы к измерению эффективности на микро- и макроэкономическом уровне различаются.
Фирма считает только те затраты, которые она понесла при производстве блага, а покупатель обычно соотносит покупаемое им благо с рыночной стоимостью тех благ, от которых ему приходится отказываться, чтобы получить желаемое благо. Однако при этом оба не учитывают те затраты, которые несет все общество, но которые не всегда входят в затраты фирмы на производство блага и соответственно в его рыночную стоимость. Если, например, государство предоставляет производителю из своего бюджета субсидию на изготовление дешевых товаров для детей и стариков, то оно занижает для производителя величину его затрат (издержек производства), а для потребителя величину альтернативной стоимости.
В результате для них производство и потребление указанных благ будет эффективнее, чем при отсутствии субсидии.
Однако в этом случае все общество несет затраты в виде субсидии, предоставляемой из государственного бюджета, который финансируется за счет налогов, собираемых со всего общества. Таким образом, если принять во внимание эти затраты, то эффективность на макроэкономическом уровне (так называемая народнохозяйственная эффективность) будет ниже, чем на микроэкономическом уровне (фирменная эффективность).
Более того, на микроэкономическом уровне при расчете эффективности не всегда учитываются и другие затраты. Так, в издержки производства фирма обычно не включает стоимость тех принадлежащих ей ресурсов (например, земельного участка, патентов на собственные изобретения), за использование которых она никому не платит (см. 10.1).
5. Разделение труда, специализация и обмен Свой знаменитый труд «Исследование о природе и причинах богатства народов» (1776) Адам Смит начинает со слов: «Величайший прогресс в развитии производительной силы труда и значительная доля искусства, умения и сообразительности, с какими он направляется и прилагается, явились, по-видимому, следствием разделения труда»'.


' Цит.по:Антология экономической классики.В 2 т. М., 1991.Т. 1.С.83.

Далее в примере с производством булавок Смит показывает, что один работник производит не более 20 булавок в день, если изготавливает их сам от начала до конца, тогда как десять работников булавочной мануфактуры, разделив между собой отдельные операции по изготовлению булавок, производят их свыше 48 000 в день, т.е. более 4800 булавок в расчете на работника.

Понятия разделения труда и специализации Разделение производства продукции между различными работками, предприятиями и их подразделениями, отраслями, регионами страны, а также между странами называется разделением труда. Соответственно различают профессиональное, межфирменное и внутризаводское, межотраслевое, межрегиональное и международное разделение труда. Различают также разделение труда подетальное и поузловое, т.е. изготовление не готового до конца продукта, а его элементов.
В ходе разделения труда работники, предприятия и их подразделения, отрасли, регионы, страны ориентируются на производство ограниченного круга продуктов. Базирующаяся на разделении зуда ориентация производителей на изготовление отдельных продуктов и их элементов называется специализацией.
Специализация дает производителю немало преимуществ. Во-первых, специализируясь на производстве того или иного продукта, производитель имеет возможность наиболее эффективно использовать доступные ему или имеющиеся у него экономические ресурсы. Так, специализация России в мировой торговле на экспорте сырья, топлива и энергии, материалов и полуфабрикатов во многом объясняется тем, что позволяет использовать имеющиеся нашей стране огромные минеральные ресурсы.
Во-вторых, специализация на производстве ограниченного набора продуктов дает возможность производителю эффективно использовать свое умение их производить (как в примере с булавками).

Обмен Если каждый участник хозяйственной жизни специализируется на производстве ограниченного круга продукции, то все остальные блага, нужные ему как производителю и потребителю, он доложен получать со стороны. Для этого он обменивает имеющиеся в его распоряжении блага (производственные ресурсы и потребительские блага) на те блага, которые ему нужны. В хозяйственной жизни обмен благами обычно принимает форму торговли между людьми, фирмами, регионами, странами.


Выводы 1. Хозяйственная жизнь основывается на необходимости удовлетворения потребностей людей в различных экономических благах. Абсолютное большинство этих потребностей удовлетворяется за счет производства благ. В рыночной экономике, где эти блага продаются и покупаются, их называют товарами и услугами.



Кризисные проявления преодолевались кейнсианскими методами.


Внешнеторговый режим развитых стран характеризуется наивысшей степенью либерализации, что является закономерным следствием высокой международной конкурентоспособности их национальных экономик. После Второй мировой войны процесс либерализации внешней торговли этих стран, сменив негативные тенденции к протекционизму и автаркизму, принял поступательный характер. Так, величина их таможенных (импортных) пошлин уменьшилась с 3040% в 50-е гг. до 710% в 70-е гг., а в 1997 г. их средневзвешенный показатель снизился до рекордно низкой отметки всего 4%.
Кроме того, значительно сузился круг квотируемых для ввоза товаров, а сами количественные ограничения на каждый из них, как правило, стали менее жесткими.
Указанная степень либерализации внешней торговли развитых стран достигнута прежде всего за счет либерализации товарообмена между ними. По отношению к развивающимся и бывшим социалистическим странам (особенно к государствам членам СНГ) применяется менее либеральный режим и нередко пускаются в ход антидемпинговые процедуры. По числу действующих антидемпинговых мер в настоящее время лидируют США, ЕС и Канада.
Либерализация отнюдь не означает, что государство в странах Запада играет пассивную роль во внешней торговле, особенно в экспорте. Напротив, оно всячески поддерживает своих экспортеров, в том числе посредством субсидирования экспорта и особенно гарантирования экспортных кредитов. Такие меры внешнеэкономического госрегулирования подрывают равенство условий конкуренции для различных национальных производителей на мировом рынке, т.е. свободу торговли, и поэтому являются уже в течение ряда лет предметом обсуждения в ВТО/ГАТТ.
Были достигнуты принципиальные международно-правовые договоренности о постепенном сокращении, а затем и прекращении помощи национальным экспортерам (в том числе экспортерам сельскохозяйственной, судостроительной и ряда других видов продукции). Эти договоренности постепенно претворяются в жизнь, однако помощь продолжает оказываться на стадиях НИОКР и производства, предшествующих сбыту на внутреннем рынке или экспорту (см. гл. 34).
Государства Запада создали либеральный регистрационный (а не разрешительно-запретительный, как это было в первые послевоенные годы) режим д л я и но с т р а н н ы х и н в е ст и ц и й. Фирмы, целиком принадлежащие иностранному капиталу или контролируемые им, обладают такими же юридическими и экономическими правами и обязанностями, как и национальные хозяйствующие субъекты. В ряде случаев государство для привлечения особенно желательных иностранных инвестиций стимулирует последние различными способами, например, созданием соответствующей инфраструктуры дорожной сети, водоснабжения, электроэнергетических сетей и т.д. (подробнее см. гл. 35).
В области международной м и г р а ц и и р а б о ч е й с и л ы страны Запада выступают как принимающая сторона для большей части иностранных («гостевых») рабочих (значительное число таких наемных работников приходится также на богатые нефтедобывающие страны Ближнего и Среднего Востока, особенно на Саудовскую Аравию). Легально пребывающие на Западе иностранцы (надо отметить, что большое число их работает там нелегально в сфере теневой экономики) составляют 510% самодеятельного населения Северной Америки и Западной Европы. В Японии этот показатель намного ниже.
Наплыв иностранных рабочих побудил государства Запада принять в последние годы жесткие иммиграционные законы (подробнее см. гл. 36).
Как правило, ежегодный приток иностранной рабочей силы квотируется, причем в каждом конкретном случае необходимо получение разрешения на работу. Любой предприниматель, намеревающийся привлечь иностранного рабочего или служащего, должен доказать, что на данное рабочее место нет местных претендентов подходящей квалификации.
Действительно свободная, без ограничений миграция рабочей силы к настоящему моменту обеспечена только в странах ЕС.
Все страны Запада в настоящее время обладают первоклассными свободно конвертируемыми валютами, вследствие чего для них характерна либеральная в а л ю т н а я п о л и т и к а; какие-либо валютные ограничения, к которым вновь и вновь вынуждены прибегать развивающиеся и бывшие социалистические страны, на Западе применяются крайне редко, в исключительных случаях. Воздействие на курс национальной валюты в сторону его повышения или понижения осуществляется при помощи валютных интервенций центральных банков, скупающих или дополнительно предлагающих свои валюты, а также средств денежно-кредитной политики, особенно дисконтной. Повышение учетной ставки (при прочих равных условиях) способствует увеличению спроса на данную валюту и росту ее обменного курса, понижение ставки дает обратный эффект (подробнее см. гл.
37).
4. Формы государственного регулирования экономики По характеру воздействия на процесс экономического развития можно выделить две основные формы государственного регулирования экономики: краткосрочное антициклическое регулирование (конъюнктурная политика) и среднесрочное и долгосрочное целевое регулирование (оно включает структурную политику и политику общего стимулирования экономического роста на определенную перспективу).

Антициклическое регулирование До Второй мировой войны, а во многих странах до середины 50-х гг. воздействие государства на состояние хозяйственной конъюнктуры осуществлялось спорадически, от случая к случаю и диктовалось обычно чрезвычайными обстоятельства, т.е. свершившимися фактами негативного характера. В первой половине 50-х гг. такое воздействие приобрело непрерывный характер, превратившись в а н т и ц и к л и ч е с к о е р е г у л и р о в а н и е, которое западными учеными и политиками обычно именуется « к о н ъ ю н к т у р н а я п о л и т и к а » . Оно нацелено на сглаживание циклических колебаний хозяйственной конъюнктуры, предотвращение особенно глубоких циклических кризисов и такой массовой безработицы, которая угрожала бы самим устоям рыночного хозяйства и демократического общества, а также на создание благоприятных условий для среднесрочного и долгосрочного регулирования экономики, способствующего ее непрерывной модернизации и прогрессу.
В 50-е первой половине 70-х гг. в подавляющем большинстве стран Запада антициклическое регулирование осуществлялось преимущественно на базе кейнсианской теории. Высокие государственные расходы на собственные инвестиции (например, в транспортную сеть и прочие отрасли хозяйственной и социальной инфраструктуры), стимулирование частных инвестиций и закупки товаров через государственные заказы увеличивали совокупный спрос и поддерживали конъюнктуру. Кейнсианская политика во многом способствовала тому, что в указанный период темпы роста ВВП оказались самыми высокими в истории капитализма, а уровень безработицы самым низким (более того, спрос на рабочую силу, особенно в Западной Европе, превысил ее предложение, что положило начало ее массовому импорту из-за рубежа).
Такая политика диктовалась не только внутриэкономическими потребностями послевоенного восстановления и перестройки народного хозяйства, но и обстановкой острой борьбы двух общественных систем и «холодной войны».
В указанный период в Западной Европе и Японии, правда, отмечались циклические колебания темпов роста ВВП, но не было сколь-нибудь заметных циклических кризисов. В США такие кризисы наблюдались неоднократно, с более или менее ярко выраженной периодичностью, но они не шли ни в какое сравнение с «великим кризисом», когда капиталистическое производство было отброшено на 3040 лет назад. Отдельные кризисные проявления быстро преодолевались кейнсианскими методами.
Особенно впечатляющим в этом смысле было преодоление всего за 56 месяцев первого в послевоенной истории ФРГ циклического кризиса 19661967 гг.
Кейнсианское дефицитное финансирование антициклического регулирования и экономического роста способствовало быстрому расширению денежного обращения и развертыванию инфляционных процессов. В том же направлении действовала «мягкая» денежно-кредитная политика государства, нацеленная на обеспечение низкого уровня ссудного процента, благоприятствующего инвестициям. Для этого также различными способами увеличивалась обращающаяся денежная масса, что давало инфляционные эффекты.
Такие эффекты сознательно принимались в расчет. Умеренная, ползучая инфляция рассматривалась как неизбежная плата за рост и меньшее зло по сравнению с глубокими циклическими кризисами и массовой безработицей. Кейнсианская политика в целом, безусловно, способствовала созданию высокоразвитой системы социального обеспечения и страхования, ее финансированию, хотя это и было связано со значительными инфляционными издержками.
Дефицитное финансирование по рецептам Дж.М. Кейнса постепенно неизбежно вело к глубокому бюджетному кризису и переходу ползучей инфляции в галопирующую. То, что этот кризис действительно разразился, стало очевидным к 19741975 гг., когда Запад столкнулся (вследствие совпадения по времени последствий целого ряда негативных факторов) с «букетом» кризисов циклического и структурных (энергетического, экологического, сырьевого).
Бюджетный кризис был обусловлен и тем, что кейнсианское дефицитное финансирование экономического роста и социального обеспечения дополнялось дефицитным финансированием крупных военных расходов, необходимость которых обосновывалась «холодной войной».



Курс может быть фиксированным или плавающим.


Формирование денежно-кредитной и валютной политики происходило в условиях высокой степени неопределенности и необходимости в короткие сроки вывести страну из тяжелого экономического кризиса. В связи с этим Центральный банк РФ оставил за собой право, в случае, если этого потребуют фактически складывающиеся условия, корректировки проводимой им денежно-кредитной и валютной политики, с тем чтобы она была адекватной экономической ситуации.
На ММВБ в системе электронных лотовых торгов была введена двухступенчатая система проведения биржевых торгов, предполагающая их разделение на две торговые сессии: утреннюю (спецсессия, организованная, главным образом, для обслуживания участников внешнеэкономической деятельности) и дневную (купля-продажа долларов, осуществляемая для иных целей). Установление Банком России официального курса российской валюты на следующий день осуществлялось по итогам утренней спецсессии на ММВБ как средневзвешенный курс по всем заключенным сделкам.
Для обеспечения стабильности российской валюты и ограждения валютного рынка от спекулятивных операций коммерческих банков на утренней спецсессии Банк России ввел дополнения в уже действовавшую систему ограничений:
колебания курса не должны превышать 15% от средневзвешенного курса доллара, сложившегося в ходе утренних торгов предыдущего дня;
для участия в торгах банки должны предварительно депонировать всю валюту, которую они хотят продать на сессии, а также все рубли (100% залог денежных средств);
величина операционной позиции в разрезе каждой иностранной валюты против российских рублей по конверсионным операциям за каждый операционный день должна быть отрицательной или равной нулю (т.е. по итогам каждого рабочего дня банк должен продать валюты не меньше, чем купил для собственных нужд). Данные о величине операционной позиции по конверсионным операциям банки должны ежедневно представлять в соответствующие территориальные управления Центрального банка РФ;
иностранная валюта, закупленная под импортные контракты, должна храниться на специальном транзитном счете и подлежит перечислению контрагенту в течение 7 дней. В противном случае эта валюта должна быть принудительно продана за рубли;
для оплаты контрактов по импорту товаров иностранная валюта должна закупаться только на утренней спецсессии. Для оплаты контрактов по импорту работ и услуг иностранная валюта может закупаться на дневной сессии;
доля экспортной валютной выручки, подлежащей обязательной продаже, увеличивается с 50 до 75%. Если по истечении 7 дней со дня поступления валютных средств российский экспортер не дал поручение на ее продажу, уполномоченный банк в течение 3 дней самостоятельно должен реализовать необходимую часть валютной выручки на внутреннем валютном рынке по текущему курсу;
приобретение иностранной валюты за счет средств на рублевых корреспондентских счетах банков-нерезидентов в уполномоченных банках не допускается;
на специальных торговых сессиях прекращена покупка долларов США уполномоченными банками от своего имени и за свой счет в целях осуществления выплат в иностранной валюте физическим лицам (резидентам и нерезидентам) по вкладам (счетам), открытым в уполномоченных банках.
Такое ужесточение системы валютных ограничений в краткосрочном плане позволило стабилизировать валютный курс, однако вступило в противоречие с обязательствами России по снятию всех ограничений по валютным операциям по текущим счетам и переводам в соответствии со ст. 8 Устава МВФ. Поэтому с середины 1999 г. была ликвидирована двухступенчатая система проведения биржевых торгов и вновь возобладала тенденция к снятию значительной части валютных ограничений, введенных в кризисной ситуации после 17 августа 1998 г.


Выводы 1. В сфере международных расчетов возникают две базовые проблемы:
а) как устанавливать и регулировать соотношение обмена национальной денежной единицы с иностранными;
б) как решать проблемы несбалансированности расчетов национальной экономики с внешним миром. Отсюда вытекают все проблемы валютных отношений.
2. Валютой является любой платежный документ или денежное обязательство, выраженное в той 'или иной денежной единице и используемое в международных расчетах. Эти платежные документы, выраженные в различных валютах, покупаются и продаются на специальном рынке валютном.
3. Национальный режим регулирования валютных сделок по различным видам операций для резидентов и нерезидентов определяет степень так называемой конвертируемости валюты. С этой точки зрения все валюты можно разделить на три группы: свободно конвертируемые, частично конвертируемые и неконвергируемые (замкнутые).
4. Соотношение обмена двух денежных единиц или цена денежной единицы одной страны, выраженная в денежной единице другой страны, называется валютным курсом. Формирование валютной политики государства в значительной степени зависит от установленного режима валютных курсов. Этот курс может быть фиксированным или плавающим.


Термины и понятия Мировая валютная система
Национальная валютная система
Международные расчеты
Резервные валюты
Золотой (золотомонетный) стандарт
Золотовалютный стандарт (Бреттон-Вудская валютная система)
Система плавающих курсов Валюта
Валютный рынок
Валютная корзина
Валютный курс
Прямая и обратная котировка
Валютный арбитраж
Курс покупателя и курс продавца
Кросс-курс
Курс «спот»
Курс «форвард» (форвардный курс)
Открытая позиция
Паритет покупательной способности
Страхование валютных рисков


Вопросы для самопроверки 1. Можете ли вы объяснить, что такое:
а) курс продавца и курс покупателя;
б) кросс-курс;
в) валютный арбитраж;
г) «короткая» и «длинная» позиция?
2. Чем отличается хеджирование от спекуляции?
3. Каким образом экспортер может застраховаться от изменения валютного курса?
4. Представьте себе, что вы валютный дилер. Как вы отреагируете на следующую информацию:
а) Великобритания расширяет добычу нефти в Северном море; б) Бундесбанк объявил о повышении учетной ставки; в) индекс ДоуДжонса на Нью-Йоркской фондовой бирже упал на 100 пунктов; г) в России предоставлены широкие льготы для иностранных инвесторов; д) темпы инфляции во Франции оказались выше ожидаемых?
5. Курс доллара к российскому рублю остается стабильным в течение трех месяцев. Процентные ставки по трехмесячным депозитам в долларах и рублях составляют соответственно 5 и 15%. Опишите схему операции, позволяющей получить максимальную норму прибыли по долларовым средствам.
6. Курсы доллара и швейцарского франка к немецкой марке во Франкфурте-на-Майнесоставляютсоогветственно 1:1,5000и 1:1,1000. Курсдолларакшвейцар-скому франку в Нью-Йорке составляет 1:1,3000. Возможен ли валютный арбитраж и между какими валютами?
Если да, то подсчитайте прибыль при условии отсутствия издержек по данной операции.
7. Компания ФРГ экспортирует автомобили в США по цене 10 000 долл. Издержки производства составляют 10 000 DM. Текущий валютный курс 1$ = 1,5000 DM**.
Как изменится прибыль экспортера в немецких марках при повышении курса марки на 20%?



















































Курс «спот» базовый курс валютного рынка


Существует понятие « к р о с с - к у р с » , который представляет собой котировку двух иностранных валют, ни одна из которых не является национальной валютой участника сделки, устанавливающего курс, например курс доллара к иене, установленный немецким банком. В принципе любой курс, полученный расчетным путем из курсов двух валют к третьей, является кросс-курсом. Котировки кросс-курсов на различных национальных валютных рынках могут отличаться друг от друга, что создает условия для в а л ю т н о г о а р б и т р а жа , т.е. для операций с целью извлечения прибыли из разницы валютных курсов одной и той же денежной единицы на различных валютных рынках.
Наконец, валютные курсы дифференцируются в зависимости от вида валютных сделок. Различают курсы наличных (кассовых) сделок (курс «спот»), при которых валюта поставляется немедленно (в течение двух рабочих дней) и курсы срочных сделок (форвардные), при которых реальная поставка валюты осуществляется через четко определенный период времени.
Остановимся подробнее на анализе различий между курсами «спот» и «форвард» (форвардный курс). Это позволит быстрее уяснить основные факторы, определяющие динамику курсов валют.
К у р с « с п о т » базовый курс валютного рынка. По нему происходит урегулирование текущих торговых и неторговых операций. Ф о р в а р д н ы й к у р с устанавливается участником валютной сделки, которая реально будет осуществлена через определенный период времени на фиксированную дату.
Например, при курсе продавца «спот» 1 сентября 1996 г. во Франкфурте-на-Майне 1$ = 1,5655 DM форвардный курс на срок три месяца (с поставкой 1 декабря) составляет 1$ = 1,5700 DM. Это означает, то немецкий банк готов продать доллар клиенту за 1,5655 DM с поставкой немедленно или за 1,5700 DM с поставкой 1 декабря. При этом банку совершенно не обязательно до декабря иметь доллары.
Главное, что 1 декабря он обязан их продать клиенту по курсу, установленному 1 сентября, независимо от того, какой курс «спот» будет в декабре.
Таким образом, форвардный валютный курс на срок три месяца нельзя путать с будущим курсом «спот» через три месяца. Форвардный валютный курс это своеобразное «бронирование» курса на определенную дату в будущем.
Возникновение такого явления, как форвардные валютные курсы, в конечном счете связано с процессами в а л ю т н о г о (или процентного) а р б и т р а ж а. Участники валютного рынка осуществляют операции либо в чисто спекулятивных целях, либо в целях страхования валютных рисков. Причем цели хеджеров (тех, кто страхует риски) и спекулянтов прямо противоположны.
С т р а х о в а н и е, или х е д ж и р о в а н и е, валютных рисков, обусловленных колебанием курсов, представляет собой действие, направленное на то, чтобы не допустить ни чистых активов, ни чистых пассивов в какой-либо валюте. В финансовых терминах это означает действия по ликвидации так называемых открытых позиций в иностранной валюте.
О т к р ы т ы е п о з и ц и и бывают двух видов: «длинная» позиция (нетто-активы в инвалюте, т.е. требования превышают обязательства) и «короткая» позиция (нетто-пассивы, т.е. обязательства превышают требования).
Хеджирование является нормальной операцией, например, для экспортеров и импортеров, для которых важнее ориентироваться на какой-то определенный курс в течение срока действия внешнеторгового контракта, нежели подвергать себя риску валютных потерь.


Пример 37.1. Американский экспортер по условиям контракта должен заплатить 1 650 000 DM через три месяца. При текущем курсе 1$ = 1,6500DM эта сумма эквивалентна 1 000 000$.
Однако в случае падения курса к моменту платежа, например, до 1$ = 1,5000 DM экспортер вынужден будет заплатить 1 100 000$, т.е. на 10% больше, чем в момент заключения контракта. Если экспортер не желает подвергать себя такому риску, он имеет возможность застраховать сделку либо на рынке «слот», купив немецкие марки в момент заключения контракта по текущему курсу и поместив их на депозит в немецком банке, либо на срочном рынке, купив немецкие марки на срок три месяца по форвардному курсу, сохранив доллары на депозите в американском банке. В обоих вариантах экспортер четко знает, что через три месяца у него будет необходимая сумма в немецких марках.


Спекуляция на валютном рынке в широком смысле означает действия, которые направлены на открытие «длинной» или «короткой» позиции в иностранной валюте. В этом случае действия участников валютного рынка строятся на сознательном расчете, основанном на оценке будущей динамики курса, и имеют целью извлечение дополнительной прибыли.
Прибыльность спекулятивных операций в иностранной валюте зависит от того, насколько курс национальной валюты упадет сверх разницы в процентных ставках по депозитам в национальной валюте, с одной стороны, и в иностранной валюте, с другой стороны.


Пример 37.2. Предположим, что процентная ставка по трехмесячным депозитам (в годовом исчислении) в США составляет 4%, а в ФРГ 6%. Американский спекулянт может поместить 1 000 000$ на такой депозит в США и через три месяца иметь 1 010 000$ или, купив немецкие марки по курсу 1$ = 1,6500 DM, разместить их на депозите в ФРГ и через три месяца получить 1 674 750 DM.
Если курс доллара не меняется в течение трех месяцев, то второй вариант предпочтительнее, так как дает прибыль на 5 000$ больше, чем первый (1 674 750 DM : 1,6500 DM/$ = 1015000$).
В случае, если курс доллара за три месяца упадет до 1.5060 DM, то операция по покупке немецких марок даст гораздо большую дополнительную прибыль в размере 106 500 $(1 674 750 DM: 1,5000 DM/$ - 1 010000$). Наоборот, если курс доллара повышается (особенно выше 1,67475 DM/$), то операция ведет к серьезным потерям.


Срочные операции дают еще большие возможности для спекуляций. Более того, такие операции возможны даже при отсутствии собственных оборотных средств. За несколько дней до исполнения срочного контракта можно получить необходимую ссуду в долларах в банке, предоставив контракт в качестве ее обеспечения.


Пример 37.3. Предположим, дилер какого-либо банка уверен в падении курса доллара «слот» с 1,6500 до 1,5000 DM в течение трех месяцев. Он заключает контракт на продажу 100 000 000 ** на срок три месяца по форвардному курсу, сложившемуся в данный момент на рынке, 1$ = 1,6000 DM.
Если ожидания дилера оправдались, то в момент исполнения контракта он покупает 100 000 000$ за 150 000 000 DM на рынке «слот» по курсу 1$ = 1,5000 DM и тут же продает их на условиях срочного контракта, заключенного три месяца назад, за 160 000 000 DM по курсу 1$ = 1,6000 DM, получив чистую прибыль в размере 10 000 000 DM за несколько минут.
Однако если дилер ошибется в оценке динамики валютного курса, то он понесет огромные убытки.


Этот пример показывает, что участники срочного рынка получают прибыль или несут убытки от разницы между срочным курсом и будущим курсом «спот». Так как в контракте всегда присутствуют две стороны, то форвардный курс как бы выражает баланс ожиданий будущего курса «спот», естественно, отличающегося от текущего курса.
Данные ожидания в значительной степени связаны с различием процентных ставок тех валют, которые являются предметом сделки. Этим, в свою очередь, объясняется и разница между текущими и срочными курсами. Этот вывод иллюстрируется приводимым ниже примером.


Пример 37.4. Если бы процентные ставки по депозитам в США и ФРГ составляли соответственно 6 и 4%, а форвардный курс почти не отличался от текущего, то практически все участники валютного рынка предпочли бы разместить свои активы в марках в США, обменяв их на доллары по текущему курсу и заключив одновременно срочный контракт на покупку марок с поставкой через три месяца. Такая операция (сделка «своп») позволяет избежать риска изменения валютных курсов и гарантированно получать прибыль.
Однако нужно учитывать, что в такой ситуации на рынке все будут стремиться купить марки на срок и никто не будет их продавать. Продавцы появятся только в том случае, если разница между текущим и форвардным курсами обеспечивает процентный паритет по депозитам. В рассматриваемом примере форвардный курс покупателя долларов на три месяца (теоретически) должен был бы установиться на уровне 1$ = 1,6419 DM.
На депозите в марках 1000 000 DM за три месяца даст прибыль в размере: 1000000 DM (1+0,04:4) 1000000 DM = 10000 DM.
Тот же миллион немецких марок при операции «своп» дает прибыль в 15 000 DM. если текущий и форвардный курсы совпадают: 1000000 DM : 1,6500 DM/$ (1+0,04:4) 1.6500 DM/$ = 1015000 DM.
1015 000 DM -1 000 000 DM = 15 000 DM.
Прибыль, равная 10 000 DM, получается при этой операции только в том случае, если форвардный курс немецкой марки равен 1 $ =1,6419 DM*: 1 000000 DM : 1,6500 DM/$ (1+0,06:4) 1,6419 DM/ $ = 1010000 DM
1010000 DM- 1000000 DM = 10000 DM


Таким образом, срочный курс валюты имеет тенденцию превышать текущий курс, если процентные ставки в стране данной валюты ниже, чем процентные ставки в другой стране. Причем изменение курса «слот» влечет за собой такое же изменение срочного курса, если при этом сохраняется различие в процентных ставках.



Любой чистый доход сверх нормальной прибыли.


от предпринимательских способностей предпринимательский доход;
от знаний доход от интеллектуальной собственности.
В хозяйственной жизни, особенно у фирмы, не всегда есть возможность разграничивать эти виды факторных доходов, тем более что они часто совмещаются с доходами от продажи продукции.

Понятие издержек и прибыли Для предприятия (фирмы) важно определить не только свои доходы, но и свои расходы по производству продукции (прежде всего расходы на приобретение ресурсов на рынках). Расходы на производство продукции называются издержками производства или просто издержками. Соотнося доходы (совокупный доход) с издержками (часто не только с издержками производства, но и с другими издержками налогами, рекламой и т.д.), определяют превышение доходов над издержками.
Это превышение называется прибылью (чистым доходом).
Данное определение прибыли в широком значении. В сущности, это совокупность чистых факторных доходов, ведь доходы фирмы от продажи продукции расходуются преимущественно на доплату факторов производства. В том случае, когда у фирмы есть собственные, т.е. принадлежащие ей, экономические ресурсы (например, свое месторождение полезных ископаемых), доход от них, пусть даже неявный, фактически присутствует в прибыли фирмы,
Прибыль в узком значении это доход от такого фактора производства, как реальный капитал.

Прибыль фирмы
Когда говорят о прибыли фирмы (предприятия), подразумевают прибыль в широком значении. Это комплексный показатель, отражающий результаты хозяйственной деятельности фирмы. Поэтому в рыночной экономике прибыли уделяют огромное внимание.
Так, экономисты тщательно анализируют уровень прибыли (так называемую норму прибыли) фирмы. Стремясь к ее максимизации (см. 8.2), фирма одновременно оценивает, каков минимально допустимый для нее уровень прибыли в долгосрочном периоде. Если прибыль систематически держится ниже этого уровня, то владельцы фирмы будут стремиться уйти из этого бизнеса и вложить свой капитал в другое дело.
Подобный минимально допустимый для фирмы уровень прибыли называется нормальной прибылью. Экономическая теория рассматривает нормальную прибыль как составную часть издержек фирмы, которые она должна покрывать, чтобы выжить. Поэтому фирма включает нормальную прибыль в состав своих издержек.
Та часть прибыли, которую фирма получает сверх нормальной прибыли, называется экономической прибылью. Это любой чистый доход сверх нормальной прибыли.

Теории прибыли Огромное значение прибыли вызвало к жизни различные теории (концепции, гипотезы), объясняющие природу прибыли или ее составных частей.
Теория прибыли как дохода от экономических ресурсов (факторов производства) была описана выше. Ее разделяют большинство экономистов. Остальные теории скорее дополняют ее.
Компенсаторная и инновационная теории прибыли, в сущности, сводят прибыль к предпринимательскому доходу и поэтому рассматривают ее как плату (компенсацию) предпринимателю за его предпринимательскую деятельность. Причем эта плата состоит из двух частей: платы за обычный рутинный труд по управлению предприятием и платы за тот управленческий труд, который ведет к достижению уровня прибыли выше минимально допустимого. Первая часть прибыли совпадает с тем, что называется нормальной прибылью.
Вторая часть прибыли возможна тогда, когда в условиях неопределенности (а будущее всегда неопределенно) предприниматель пошел на риск, например на выпуск новых товаров, и этот риск оказался оправданным. Эта часть прибыли выступает как компенсация предпринимателю за его прозорливость. Ее объясняют также тем, что, когда предприниматель вводит технологические, организационные и другие новшества (инновации), он получает за них компенсацию.
Теория монопольной прибыли и объясняет те случаи, когда прибыль является следствием недостаточной конкуренции или даже монополии (см. 4.2,4.3).


Выводы 1. Экономическая деятельность (хозяйственная жизнь) в условиях рыночной экономики принимает форму предпринимательской деятельности.
2. Участниками экономической деятельности являются экономические агенты домашние хозяйства, предприятия (фирмы), государство и его структуры (учреждения), некоммерческие организации. Экономические агенты различаются по их отношению к факторам производства и выполняемым ими функциям.
3. Интересы участников хозяйственной деятельности весьма многообразны и противоречивы. Поэтому необходимы их согласование и координация, что достигается различными способами, в том числе при регулирующей деятельности государства.
4. В самом общем виде собственность представляет собой отношения между экономическими агентами по поводу присвоения экономических ресурсов и потребительских благ, причем второе производно от первого.
5. Всем известным с истории экономическим системам присущ свой набор форм собственности. В настоящее время во всем мире формы собственности выделяют прежде всего по такому критерию, как ее юридический субъект. Под этим углом зрения различают в первую очередь частную и государственную собственность, которые имеют много разновидностей.
6. О том, какая форма собственности лучше, можно судить по следующему критерию: какая из форм обеспечивает в данный исторический момент и в отдаленной перспективе более высокую эффективность общественного производства, более высокий уровень жизни и удовлетворения потребностей населения, но обязательно с учетом социально-экономических и экологических индикаторов качества жизни. В настоящее время по совокупности данных показателей предпочтение следует отдать, безусловно, частной собственности, являющейся стержнем развитой рыночной экономики стран Запада.
7. Доходами называют поступления от продажи экономических ресурсов и продукции. Так называемые факторные доходы делятся на ренту, заработную Оплату, процент и прибыль, предпринимательский доход, доход от интеллектуальной собственности.
8. Расходы на производство продукции называются издержками производства. превышение доходов над расходами называется прибылью (чистый доход). Прибыль это комплексный показатель, отражающий результаты хозяйственной деятельности фирмы. Поэтому в рыночной экономике прибыли уделяют огромное внимание.
9. Прибыль делят на нормальную (минимально допустимую для фирмы) и экономическую (предпринимательский доход), т.е. получаемую сверх нормальной прибыли.


Термины и понятия Экономические агенты
Экономические интересы
Собственность
Доходы
Факторные доходы
Издержки производства
Прибыль
Нормальная прибыль
Экономическая прибыль


Вопросы для самопроверки 1. К какому виду экономических агентов вы относите себя? А учебное заведение, в котором вы учитесь?
2. Когда вы поступаете в хозяйственной жизни не как «экономический человек»?
3. Что такое собственность: вещь или общественное отношение?
4. Какая из форм собственности лучше для ведения сельского хозяйства и почему? А для розничной торговли?
5. От какого экономического ресурса образуется доход, называемый предпринимательским?
6. Какие определения прибыли вам известны?
7. Чем нормальная прибыль отличается от экономической?
8. Какая норма прибыли типична в этом году для предприятий розничной торговли в вашем регионе? А для сельскохозяйственных предприятий?
















Лучшим регулятором они считают денежно-кредитные методы.


Неоклассическая теория, в отличие от классической, не является цельной и строго субординированной системой взглядов; она не представляет собой какой-либо единой завершенной концепции, хотя и выработала в известной мере общий понятийный аппарат, опирается на некоторые признаваемые большинством ее представителей принципы. Это ведущее направление в современной западной, прежде всего англо-американской, экономической науке.
Экономисты, которых называют неоклассиками, занимаются разработкой различных проблем и представляют практически не одну, а различные концепции и школы. При этом общность тематики, близость или сходство разрабатываемых проблем не означают общности во взглядах. Неоклассическое направление «объединяет», сводит под одну крышу представителей далеко не однородных школ, различающихся и сферой интересов, и глубиной анализируемых проблем, и полученными результатами (выводами и рекомендациями).
Принято различать позитивную экономическую науку, имеющую дело с фактами и явлениями, и нормативную, вырабатывающую предписания и рецепты. Неоклассическая школа считает, что экономические разработки, как правило, должны иметь выход на практику, давать рекомендации для обоснования экономической политики. Взаимосвязь позитивных аспектов теории с нормативными выводами характерна для многих разработок и концепций.
К примеру, одна из первых моделей экономического роста, модель ХарродаДомара, имеет целью выявить условия постоянного и относительно равномерного роста в долгосрочном периоде. Двухфакторная модель КоббаДугласа, учитывающая заменяемость факторов, нужна для оценки источников роста, влияния технологии, технического прогресса на экономический рост.
Американский ученый российского происхождения Саймон Кузнец (19011985), наряду с решением других вопросов, обеспечил статистическую основу исчисления национального дохода, разработал методы подсчета валового внутреннего и чистого продукта страны. Лоуренс Клейн (р. 1920) сконструировал модели американской экономики, модели экономики Мексики, Японии и ряда других стран; организовал проект «Линк», чтобы обрисовать картину международных экономических связей и мировой торговли.
Гарри Беккер (р. 1931) распространил методы экономического анализа на изучение семьи, преступности, других социальных проблем; к примеру, он предлагает наркоманию «лечить» экономически, без принудительных мер, путем повышения заинтересованности людей в реальных благах, способных перевесить «преимущества» иллюзорного мира наркотиков.

Неоклассический синтез Дальнейшее углубление теоретических разработок и изучение новых проблем (микрохозяйственных процессов, экономического роста, инфляции, исследование рынков отдельных товаров и др.) проводились, в частности, представителями школы неоклассического синтеза: Джоном Хиксом (19041989), Полом Самуэльсоном (р. 1915) и другими экономистами. Суть синтеза в том, что в зависимости от состояния экономики предлагается использовать либо кейнсианские рекомендации государственного регулирования, либо рецепты экономистов, стоящих на позициях ограничения государственного вмешательства в экономику.
Лучшим регулятором они считают денежно-кредитные методы. Рыночный механизм, по мнению представителей этой школы, способен в конечном счете сам установить равновесие между основными экономическими параметрами: спросом и предложением, производством и потреблением.
Приверженцы идей неоклассического синтеза не преувеличивают регулирующие возможности рынка. Они считают, что по мере усложнения экономических взаимосвязей и отношений необходимо совершенствовать и активно использовать различные методы государственного регулирования.
Школу неоклассического синтеза отличает расширение тематики исследований: создана целая серия работ по проблемам экономического роста; разрабатываются методы экономико-математического анализа; получила дальнейшее развитие теория общего экономического равновесия; предложены методика анализа безработицы и методы ее регулирования; обстоятельно изучена теория и практика налогообложения. Джеймс Бьюкенен (р. 1919) исследовал применение экономических методов в политологии, экономические основы принятия политических решений. Франке Модильяни (р.
1918) описывал закономерности образования личных сбережений, мотивы поведения инвесторов и принятия инвестиционных решений. Джеймс Тобин (р. 1918) разработал теорию выбора портфельных инвестиций и пришел к выводу, что инвесторы стремятся сочетать инвестиции с повышенной степенью риска и менее рискованные, чтобы добиться сбалансированности своих вложений.
Школа сторонников неоклассического синтеза отказывается от ряда доктринальных положений неоклассиков, широко использует методы макроанализа. Если Маршалл рассматривал главным образом частичное равновесие на рынке товаров, то в центре внимания современных теоретиков стоит проблема общего равновесия с учетом всей массы товаров и цен факторов производства. В неоклассическом синтезе получил развитие прикладной аспект экономической теории.
3. Институционализм С критикой гипотезы «рационального», «экономического человека», пекущегося только о максимальной выгоде, стремления свести поведение людей к системе уравнений выступили представители институционального направления. По их мнению, неоклассики рисуют несколько упрощенную и в определенной степени ни искаженную картину действительности.
В нашей стране переведены и изданы работы одного из основоположников институционализма Торстейна Веблена (18571929), его ученика, специалиста в области промышленных циклов Уэсли Митчелла (18741948), весьма плодовитого публициста, теоретика и политического деятеля Джона Гэлбрейта (р. 1908), экономиста и разработчика глобальных проектов Яна Тинбергена (19031996)'.




См.: Веблен Т. Теория праздного класса. М., 1984; Митчелл У. Экономические циклы. Проблема и ее постановка. М.;Л., 1930; ГэлбрейтДж. Новое индустриальное общество.
М., 1969; ГэлбрейтДж.К. Экономические теории и цели общества. М., 1976; Тинберген Я. Пересмотр международного порядка.
М., 1980.



Три основные идеи Сформулируем некоторые отличительные особенности «классического» институционализма. Во-первых, институционалисты весьма расширительно трактуют предмет экономики. По их мнению, экономическая наука не должна заниматься чисто экономическими отношениями.
Это слишком узко, нередко приводит к голым абстракциям. Важно учитывать весь комплекс условий и факторов, влияющих на хозяйственную жизнь: правовых, социальных, психологических, политических. Правила государственного управления представляют не меньший, а возможно и больший интерес, нежели механизм рыночных цен.
Во-вторых, следует изучать не столько функционирование, сколько развитие, трансформацию капиталистического общества. Институционалисты выступают за более обстоятельное решение социальных проблем. Вопрос о социальных гарантиях занятости может стать важнее вопроса об уровне заработной платы.
Проблема безработицы становится, прежде всего, проблемой структурной несбалансированности, и здесь все больше проявляется взаимосвязь экономики и политики.
По мнению Дж. Гэлбрейта, рынок отнюдь не нейтральный и не универсальный механизм распределения ресурсов. Саморегулирующийся рынок становится своеобразной машиной для поддержания и обогащения крупных предприятий.
Их партнером выступает государство. Опираясь на его мощь, монополизированные отрасли производят свою продукцию в огромном избытке и навязывают ее потребителю. Основа власти крупных корпораций техника, а не законы рынка.
Определяющую роль теперь играет не потребитель, а производитель, техноструктура.
В-третьих, надо отказаться от анализа экономических отношений с позиций так называемого экономического человека. Нужны не разрозненные действия отдельных членов общества, а их организация. Против диктата предпринимателей необходимы совместные, скоординированные действия, которые призваны организовать и проводить профсоюзы и государственные органы.
Государству надлежит взять под свою опеку экологию, образование, медицину.

Пути эволюции экономических систем
Представителей институционализма интересуют проблемы экономической власти и контроля над ней. В основе эволюции человеческого общества лежат изменения в технике производства. В соответствии с этим институционалистами разработаны различные концепции исторической трансформации общества: индустриальное постиндустриальное информационное техно-тронное.
В целом тематика институциональных исследований достаточно обширна. Она включает теорию потребительского спроса, социально-экономическую теорию благосостояния, анализ крупных корпораций как социально-экономического института и ряд других. Экономическая социология разрабатывалась одним из предшественников современного институционализма Максом Вебером (18641920).
Он обосновал методологические принципы социологии, подготовил фундаментальный труд «Хозяйство и общество», в котором подведены итоги его социологических исследований'.




' Ряд его работ по проблемам социологии опубликован в сборнике: Вебер М. Избранные произведения. М., 1990.



Максимальная производственная эффективность не достигается.





Максимальная производственная эффективность не достигается.



12.4. Модель ценовой дискриминации: МС предельные издержки, D и MR- спрос и предельный доход фирмы на первом рынке; D1 и MR1 спрос и предельный доход фирмы на втором рынке
С одной стороны, ценовая дискриминация позволяет увеличить доходы монополиста, а с другой большее количество потребителей получают возможность воспользоваться услугой данного вида. Такая политика в области ценообразования выгодна обеими сторонам. Однако в некоторых странах ценовая дискриминация рассматривается как препятствие конкуренции и усиление монопольной власти и ее отдельные проявления подпадают под антимонопольное законодательство.

Монополия и эффективность Современные экономисты считают, что распространение монополии снижает экономическую эффективность, по крайней мере, по трем основным причинам.
Во-первых, объем производства, максимизирующий прибыль монополиста, ниже, а цена выше, чем в условиях совершенной конкуренции. Это приводит к тому, что ресурсы общества используются не в полном объеме, и при этом часть продукции, необходимая обществу, не производится. Количество выпускаемой продукции не доходит до точки, соответствующей минимальным средним валовым издержкам, вследствие чего производство осуществляется не с минимально возможными при данном уровне технологии издержками.
Иными словами, максимальная производственная эффективность не достигается.
Во-вторых, являясь единственным продавцом на рынке, монополист не стремится к снижению производственных издержек. У него не существует стимула использовать наиболее прогрессивную технологию. Обновление производства, снижение издержек, гибкость не являются для него вопросами выживания.
По тем же причинам монополист слабо заинтересован в научно-исследовательских разработках и использовании новейших достижений НТП.
В-третьих, барьеры для вступления новых фирм в монополизированные отрасли, а также огромные силы и средства, которые монополисты тратят на сохранение и укрепление собственной рыночной власти, оказывают сдерживающее воздействие на экономическую эффективность. Мелким фирмам с новыми идеями трудно пробиться на монополизированные рынки.
Другая точка зрения на проблемы монополии и эффективности представлена позицией Дж. Гэлбрейта и Й. Шумпетера. Не отрицая негативные стороны монополии (например, более высокие цены на продукцию), они выделяют и ее преимущества с точки зрения научно-технического прогресса. Эти преимущества, по их мнению, состоят в следующем:
1. Совершенная конкуренция требует от каждого производителя использовать наиболее эффективную технику и технологию из уже существующих. Однако разработка новых прогрессивных технических решений не под силу отдельной конкурентной фирме. Необходимы значительные средства для финансирования НИОКР, которых не может быть у мелкой фирмы, не получающей стабильную экономическую прибыль.
В то же время монополии или олигополии, имеющие высокую экономическую прибыль, располагают достаточными финансовыми ресурсами для инвестиций в научно-технический прогресс.
2. Высокие барьеры, которые существуют для входа новых фирм в отрасль, дают олигополиям и монополиям уверенность в том, что экономическая прибыль, которая является результатом использования в производстве научно-технических достижений, сохранится долгое время и инвестиции в НИОКР дадут долговременную отдачу.
3. Получение монопольной прибыли за счет более высоких цен является стимулом инновационной деятельности. Если бы вслед за каждым нововведением, снижающим издержки, следовало понижение цен, то причин для развития инновационных процессов не существовало бы.
4. Монополия стимулирует конкуренцию, так как монопольно высокие прибыли являются крайне привлекательными для других фирм поддерживают стремление последних войти в отрасль.
5.В отдельных случаях монополия способствует снижению издержек и реализации эффекта масштаба (естественная монополия). Конкуренция в таких отраслях привела бы к росту средних затрат и снижению эффективности.
Во всех странах с рыночной экономикой действуют антимонопольные законодательства, контролирующие и ограничивающие монопольную власть.

2. Монополистическая конкуренция Были рассмотрены два крайних типа рынков: совершенная конкуренция и чистая монополия. Однако реальные рынки не укладываются в эти типы, они очень разнообразны. Монополистическая конкуренция распространенный тип рынка, наиболее близкий к совершенной конкуренции.
Возможность для отдельной фирмы контролировать цену (рыночная власть) здесь незначительная ( 12.5).



Максимальная производственная эффективность не достигается.



12.5. Усиление рыночной власти

Отметим основные черты, характеризующие монополистическую конкуренцию:
на рынке присутствует относительно большое число мелких фирм;
эти фирмы производят разнообразную продукцию, и, хотя продукт каждой фирмы в чем-то специфичен, потребитель легко может найти товары-заменители и переключить свой спрос на них;
вступление новых фирм в отрасль не является сложным. Чтобы открыть новую овощную лавку, ателье, ремонтную мастерскую, не требуется значительных первоначальных капиталов Эффект масштаба также не требует развития крупного производства.
Спрос на продукцию фирм, действующих в условиях монополистической конкуренции, не является абсолютно эластичным, однако его эластичность высока. Например, к монополистической конкуренции можно отнести рынок спортивной одежды. Приверженцы кроссовок фирмы «Рибок» готовы заплатить за ее продукцию большую, чем за кроссовки других фирм, цену, однако если разница в ценах окажется слишком значительной, покупатель всегда найдет на рынке аналоги менее известных фирм по более низкой цене.
То же относится к продукции косметической промышленности, производству одежды, лекарств и т.д.
Конкурентность таких рынков также очень высокая, что во многом объясняется легкостью доступа на рынок новых фирм. Сравним для примера рынок стальных труб и рынок стиральных порошков. Первый является примером олигополии, второй монополистической конкуренции.
Выход на рынок стальных труб затруднителен из-за большого эффекта масштаба и крупных первоначальных капиталовложений, в то время как для производства новых сортов стиральных порошков не требуется создавать крупное предприятие. Поэтому если фирмы, производящие порошки, будут получать большие экономические прибыли, это приведет к притоку новых фирм в отрасль. Новые фирмы будут предлагать потребителям стиральные порошки новых марок, иногда мало чем отличающиеся от уже производившихся (в новой упаковке, другого цвета или предназначенные для стирки разных видов тканей).

Цена и объем производства в условиях монополистической конкуренции Как определяется цена и объем производства фирмы в условиях монополистической конкуренции? В краткосрочном периоде фирмы будут выбирать цену и объем выпуска, максимизирующие прибыль или минимизирующие убытки, исходя из уже известного нам принципа равенства предельного дохода и предельных издержек.
На 12.6 изображены кривые цены (спроса), предельного дохода, предельных и средних переменных и валовых издержек двух фирм, одна из которых максимизирует прибыль ( 12.6,а), другая минимизирует убытки ( 12.6,б).




Максимальная производственная эффективность не достигается.



12.6. Цена и объем производства фирмы в условиях монополистический конкуренции, максимизирующие прибыль (а) и минимизирующие убытки (б):D спрос: MR предельный доход; МС предельные издержки: AVC средние переменные издержки; АТС средние валовые издержки

Ситуация во многом сходна с совершенной конкуренцией. Разница состоит в том, что спрос на продукцию фирм не является абсолютно эластичным, и поэтому график предельного дохода проходит ниже графика спроса. Наибольшую прибыль фирма получит при цене Р0 и объеме производства Q0, а минимальные убытки при цене Р1 и выпуске Q1.
Однако на рынках монополистической конкуренции экономическая прибыль и убытки не могут существовать долго. В долгосрочном периоде фирмы, терпящие убытки, предпочтут выйти из отрасли, а высокие экономические прибыли станут стимулом вступления в нее новых фирм. Новые фирмы, производя близкую по характеру продукцию, получат свою долю рынка, и спрос на товары фирмы, получавшей экономическую прибыль, снизится (график спроса сместится влево).
Сокращение спроса снизит экономическую прибыль фирмы до нуля. Иными словами, долгосрочной целью фирм, действующих в условиях монополистической конкуренции, является безубыточность. Ситуация долгосрочного равновесия показана на 12.7.






Максимальная производственная эффективность не достигается.




12.7. Долгосрочное равновесие фирмы в условиях монополистической конкуренции: D спрос; MR предельный доход; МС предельные издержки; АТС средние валовые издержки

Отсутствие экономической прибыли лишает новые фирмы стимула для вступления в отрасль, а старые для выхода из нее. Однако в условиях монополистической конкуренции стремление к безубыточности является скорее тенденцией. В реальной жизни фирмы могут получать экономическую прибыль достаточно длительный период. Это связано с дифференциацией продукции.
Некоторые виды продукции, выпускаемые фирмами, трудно воспроизвести. В то же время барьеры для входа в отрасль хоть и не высоки, но все же существуют. Например, чтобы открыть парикмахерскую или заняться частной медицинской практикой, надо иметь соответствующее образование, подтвержденное дипломом.



Мексика присоединилась в 1992 г.


Однако реализация СПС в полной мере стала возможна лишь после ратификации его парламентами всех стран членов ЕС и России, для чего потребовалось определенное время. Чтобы приблизить момент выполнения достигнутых договоренностей, в июне 1995 г. было подписано Временное соглашение о торговле между Россией и ЕС, включающее статьи СПС, которые не требовали ратификации, т.е. не вели к изменению законодательств государств, участвующих в соглашении. С 1 декабря 1997 г. СПС вступило в силу.
Евросоюз является главным торговым партнером России. На его долю приходится 40% ее внешнеторгового оборота, против 5%с США. При таком соотношении долларизация внешнеэкономических связей России не вполне оправдана и в перспективе евро может потеснить доллар с его определяющих позиций в экономических отношениях России с ЕС.
Допуск евро во внутрирос-сийский валютный оборот может способствовать дальнейшему развитию внешнеэкономических связей России с Евросоюзом.
В ближайшие годы главной задачей в отношениях с ЕС будет реализация СПС и решение конкретных спорных вопросов в сфере торговли, в частности, по антидемпинговой политике, проводимой в отношении России.
Вместе с тем Евросоюз считает, что необходимые экономические и правовые предпосылки для вступления России в ЕС еще не созрели.

Особенности интеграции в Североамериканском регионе Вся территория Северной Америки является зоной свободной торговли, называемой официально Североамериканским соглашением о свободной торговле (НАФТА), объединяющим США, Канаду и Мексику и функционирующим с 1994 г. Длительное время интеграционные процессы протекали здесь на фирменном и отраслевом уровнях и не были связаны с государственным и межгосударственным регулированием. На государственном уровне американо-канадское соглашение о свободной торговле было заключено лишь в 1988 г. Мексика присоединилась к нему в 1992 г.
О масштабах экономической взаимосвязи этих стран на основе взаимной торговли и движения капитала можно судить по следующим данным. В США реализуется около 7580% канадского экспорта (или 20% ВНП Канады). Доля в иностранных прямых инвестициях США в Канаде свыше 75% и Канады в США 9%.
В США направляется около 70% мексиканского экспорта, а оттуда поступает 65% мексиканского импорта.
Существующая структура североамериканского интеграционного комплекса имеет свои особенности по сравнению с европейской моделью интеграции. Главное отличие асимметричность экономической взаимозависимости США, Канады и Мексики. Взаимодействие хозяйственных структур Мексики и Канады далеко уступает по глубине и масштабам канадо-американской и мек-сикано-американской интегрированности.
Канада и Мексика скорее являются конкурентами на американском рынке товаров и рабочей силы, соперниками по привлечению капитала и технологий американских корпораций, чем партнерами по интеграционному процессу.
Другая особенность североамериканской экономической группировки заключается в том, что ее участники находятся в разных стартовых условиях. Если Канаде за последнее десятилетие удалось приблизиться по главным экономическим макропоказателям (объему ВНП на душу населения, производительности труда) к США, то Мексика, долгие годы находившаяся на положении экономически отсталого государства с большой внешней задолженностью, пока еще сохраняет значительный разрыв с данными странами по основным базовым показателям.
Ключевыми моментами Североамериканского соглашения о свободной торговле, подробно регламентирующего многие аспекты экономических отношений между тремя соседними странами, являются:
ликвидация всех таможенных пошлин к 2010 г.;
поэтапное упразднение значительного числа нетарифных барьеров в торговле товарами и услугами;
смягчение режима для североамериканских капиталовложений в Мексике;
либерализация деятельности американских и канадских банков на финансовом рынке Мексики;
создание американо-канадо-мексиканской арбитражной комиссии.
В перспективе предусмотрено не только углубление внутрирегионального сотрудничества в рамках НАФТА, но и расширение состава за счет других латиноамериканских стран.
В апреле 1998 г. в столице Чили г. Сантьяго на встрече глав государств и правительств 34 стран Северной, Центральной и Южной Америки (за исключением Кубы) была подписана Декларация Сантьяго о создании к 2005 г. Панамериканской зоны свободной торговли с населением 850 млн человек и общим объемом производимого ВВП более чем 9 трлн долл. Таким образом, речь идет о формировании межрегионального торгово-экономического сообщества.

Экономическая интеграция в Азиатско-Тихоокеанском регионе
Особенностью интеграционных процессов в Азиатско-Тихоокеанском регионе (АТР) является формирование субрегиональных очагов интеграции, степень интегрированности внутри которых очень различна и имеет свою специфику. В регионе сложился целый ряд локальных зон из двух или нескольких стран. Так, между Австралией и Новой Зеландией заключено соглашение о свободной торговле.
На основе развития региональной торговли происходит взаимодополняемость экономик таких стран, как Малайзия и Сингапур, Таиланд, Индонезия. Однако главным центром притяжения остаются Япония и Китай. Они занимают доминирующие позиции в регионе.
В Юго-Восточной Азии сложилась довольно развитая структура Ассоциация стран Юго-Восточной Азии (АСЕАН), в которую входят Индонезия, Малайзия, Филиппины, Сингапур, Таиланд, Бруней, Вьетнам, Мьянма и Лаос. Ассоциация возникла в 1967 г., но лишь в 1992 г. ее участники поставили перед собой задачу создать к 2008 г. зону региональной свободной торговли путем поэтапного снижения тарифов внутри нее. Каждая из стран членов АСЕАН связана с экономикой Японии, США и с новыми индустриальным странами Азии. Значительная часть азиатско-тихоокеанской торговли (в том числе и внутри АСЕАН) приходится на торговлю между местными филиалами японских, американских, канадских, тайваньских и южнокорейских корпораций.
Растет значение Китая, особенно в странах конфуцианской культуры.
Помимо АСЕАН в Азиатско-Тихоокеанском регионе действует еще несколько самостоятельных экономических объединений, среди которых созданное в 1989 г. Азиатско-Тихоокеанское экономическое сообщество (АТЭС), представленное вначале 18 странами (Австралия, Бруней, Гонконг, Канада, Китай, Кирибати, Малайзия, Маршалловы острова, Мексика, Новая Зеландия, Папуа-Новая Гвинея, Республика Корея, Сингапур, США, Таиланд, Тайвань, Филиппины, Чили), к которым затем (через десять лет) присоединились Россия, Вьетнам и Перу.
Деятельность АТЭС направлена на стимулирование взаимной торговли и развитие сотрудничества, в частности, в таких направлениях, как технические стандарты и сертификация, таможенная гармонизация, развитие сырьевых отраслей, транспорта, энергетики, малого бизнеса.
Предполагается, что к 2020 г. в рамках АТЭС будет образована крупнейшая в мире зона свободной торговли без внутренних барьеров и таможен. Однако для развитых стран, входящих в АТЭС, эта задача должна быть решена к 2010 г.
Признанным курсом тихоокеанских экономических организаций является так называемый открытый регионализм. Суть его в том, что развитие кооперационных связей и снятие ограничений на движение товаров, трудовых ресурсов и капитала внутри данного региона сочетается с соблюдением принципов ВТО/ГАТТ, отказом от протекционизма в отношении других стран, стимулированием развития внерегиональных экономических связей.
Развитие межгосударственного экономического сотрудничества на пути к интеграции происходит и в других регионах Азии. Так, в 1981 г. на Среднем Востоке возник и функционирует по настоящее время Совет по сотрудничеству арабских государств Персидского залива, объединивший Саудовскую Аравию, Бахрейн, Катар, Кувейт, Объединенные Арабские Эмираты и Оман. Это так называемая нефтяная шестерка.
В 1992 г. было объявлено о создании Организации экономического сотрудничества и развития центральноазиатских государств (ОЭС-ЭКО). Инициаторами явились Иран, Пакистан и Турция. В будущем предполагается создание на этой основе Цент-ральноазиатского общего рынка с участием также Азербайджана, Казахстана и среднеазиатских республик, входящих ныне в СНГ.
В основе формирования торгово-экономических группировок все чаще лежит общность религиозно-мировоззренческих и культурных корней. В июне 1997 г. в Стамбуле на встрече высокопоставленных представителей стран различных регионов: Турции, Ирана, Индонезии, Пакистана, Бангладеш, Малайзии, Египта и Нигерии было решено создать «мусульманскую восьмерку» с целью торгового, валютно-финансового и научно-технического сотрудничества.

Интеграция в Латинской Америке
Экономическая интеграция латиноамериканских стран имеет свою специфику. Для Латинской Америки на первом этапе (70-е гг.) было характерным создание многочисленных экономических группировок с целью либерализации внешней торговли и защиты внутрирегионального рынка посредством таможенного барьера. Многие из них формально существуют и сейчас.
К середине 90-х гг. интеграционные процессы усилились. В результате заключенного в 1991 г. и вступившего в силу с 1 января 1995 г. торгового пакта между Аргентиной, Бразилией, Уругваем и Парагваем (МЕРКОСУР), образовался но^ый крупный региональный торгово-экономический блок, в котором около 90% взаимной торговли освобождается от любых тарифных барьеров и устанавливается единый таможенный тариф в отношении третьих стран. Здесь сосредоточено 45% населения Латинской Америки (более 200 млн человек), свыше 50% совокупного ВВП.



Мировой финансовый кризис


Мировой финансовый кризис, начавшийся с потрясений в странах Юго-Восточной Азии в 1997 г., ухудшил перспективы для экспорта стран членов СНГ. Отрицательное воздействие на интеграционные процессы оказал финансовый кризис, разразившийся в России в августе 1998 г. Тем не менее, он серьезно не подорвал объективную заинтересованность стран членов СНГ в сохранении и дальнейшем развитии взаимных экономических связей.
Некоторое оживление и модификацию внесла в интеграционные процессы идея интеграции «разных скоростей», т.е. создание союзов между различными странами членами СНГ с разной степенью ин-тегрированности и с разными сферами совместной деятельности.
Наиболее интенсивная интеграция в различных областях идет между Россией и Белоруссией. Значительное большинство белорусского населения и высшее политическое руководство страны выступают за тесный союз с Россией, вплоть до создания конфедеративного государства.
В 1996 г. был заключен договор о Союзе Беларуси и России, предусматривающий широкий круг интеграционных мер. Помимо экономического сотрудничества, он предусматривает признание дипломов, полученных в обеих странах, уравнивание в правах граждан при получении образования, трудоустройстве, сближение норм социального обеспечения и т.п. Однако, несмотря на наличие безусловных предпосылок для глубоких и интенсивных интеграционных процессов, они сталкиваются с немалыми объективными и субъективными препятствиями, прежде всего с сопротивлением интеграции с Белоруссией влиятельной части российской политической элиты по идеологическим соображениям.
С 1995 г. начал формироваться Т а м о ж е н н ы й с о ю з, куда вошли Россия, Белоруссия, Казахстан. Киргизия. В дальнейшем к нему присоединился Таджикистан.
Союз преследует цель создания единого таможенного пространства и унификацию торговых режимов по отношению к третьим странам. Условия Таможенного союза предусматривают постепенную унификацию хозяйственного права, согласование валютной и денежно-кредитной политики. Объем необходимой работы оказался очень большим, а интересы в конкретных областях не всегда совпадали, поэтому результаты оказались меньше планировавшихся.
В 1996 г. был создан С о ю з че т ыр е х (Россия, Казахстан, Киргизия и Белоруссия), который дополнял экономическую сферу сотрудничеством в национальной и гуманитарной областях (науки, образования, культуры и др.). Предполагалось гармонизировать не только экономическую, но и социальную политику. Соглашение имело рамочный характер, на его базе должны были достигаться договоренности в конкретных областях.
Результаты получились аналогичными итогам создания Таможенного союза.
Общие интересы в развитии регионального сотрудничества привели к заключению Ц е н т р а л ь н о а з и а т с к о г о с о ю з а между Казахстаном, Узбекистаном, Кыргызстаном и Туркменистаном. Его целью является координация политики в области экономики и обороны. Создание этого союза определялось стремлением его участников упрочить свои позиции вовне с помощью координации политики в областях, где имелись взаимные интересы, и интенсифицировать региональные отношения, используя территориальную и культурную близость, исторические связи и разделение труда, сложившееся еще в советские времена.
Идет сближение между Украиной, Грузией, Узбекистаном, Азербайджаном и Молдавией, в основе которого лежат общие интересы в создании транспортного коридора на юге бывшего СССР. Проблема поставок на внешние рынки нефти и газа из Азербайджана, Туркмении и Казахстана превратилась в одну из ключевых для экономического развития этих стран. Поддерживаемые Западом и Турцией, они стремятся диверсифицировать пути транспортировки энергоносителей, в том числе через Грузию и Украину.
В свою очередь, последние страны заинтересованы в расширении своих доходов за счет транзита (Грузия) и получения альтернативных источников снабжения энергоносителями (Украина). Пока сближение между указанными странами еще не приняло сколько-нибудь четких организационных форм.
Воздействие регионализации СНГ на общие интеграционные процессы в рамках Содружества неоднозначно. С одной стороны, она дробит единое интеграционное пространство, а с другой стороны, регионализация означает мини-интеграцию на постсоветском пространстве в тех случаях, когда общая интеграция оказывается затруднительной. При определенных обстоятельствах «интеграция разных скоростей» может даже способствовать интеграционным процессам в целом, порождая «зоны кристаллизации», втягивая другие страны в общую «ткань сотрудничества».
Препятствия на этом пути те же самые, что и на уровне всего Содружества: прежде всего нежелание ограничить свой суверенитет и учитывать должным образом интересы партнеров, сомнения в выгодности сближения.
За интеграцией «разных скоростей» стоят объективные интересы стран членов СНГ в различных областях. По-видимому, позитивные моменты в регионализации СНГ все же преобладают, и они вполне могут ужиться с общими интеграционными процессами, а нередко и стимулировать их, однако при условии, если между субрегиональными группировками не возникнут серьезные противоречия.
Окончательный результат взаимодействия интеграционных и дезинтеграционных процессов на постсоветском пространстве будет зависеть от многих факторов: от результатов реформ, состояния экономики, политики правящих кругов стран членов СНГ, осознания народами важности сближения, политики третьих стран и многих других как в рамках СНГ, так и за его пределами. Но главным фактором будут результаты развития экономики и системных реформ, политики руководства в России естественного интеграционного ядра СНГ. Все стремятся интегрироваться с богатыми и процветающими, а не с бедными и отсталыми.
Исторический опыт 90-х гг., несомненно, самых трудных в развитии стран членов СНГ и государств Балтии показал, что они нужны друг другу. Существенное сокращение взаимного товарооборота по сравнению с межреспубликанскими поставками советского периода, переориентация внешнеэкономических связей на третьи страны не означают исчезновение объективной базы для интеграции в СНГ. Эти изменения были естественной реакцией на несообразности прежнего разделения труда, усугубленной трудностями трансформационного периода и особенностями политического развития стран членов СНГ.
Но сейчас эта переориентация завершается, и все больше начинают проявляться центростремительные тенденции. Объективные предпосылки для более тесной интеграции, безусловно, усилятся после завершения системных реформ, стабилизации и восстановления экономики в этих странах.


Выводы 1. Экономическая интеграция представляет собой объективный процесс, основанный на интернационализации хозяйственной жизни и международном разделении труда. При этом взаимодействие осуществляется как на макро-, так и на микроуровне. Основные формы международной экономической интеграции зона свободной торговли, таможенный союз, экономический и валютный союз.
2. Международные интеграционные процессы все в большей степени определяются не чисто торговыми связями, а долгосрочным сотрудничеством отдельных фирм, прежде всего входящих в системы различных ТНК.
3. В мировом хозяйстве выделяются регионы, где процессы экономической интеграции наиболее выражены: Западноевропейский, Североамериканский и Азиатско-Тихоокеанский. Однако механизм и степень интегрирования в каждом из регионов имеют свои особенности.
4. Наиболее зрелой формой экономической интеграции является Европейский союз, сформировавшийся на основе целого ряда договоров и соглашений. В рамках ЕС не только отменены барьеры на пути движения товаров, услуг, капитала и рабочей силы, но и создается экономический, валютный и политический союз. Реализация принятого в 1987 г. Единого европейского акта предусматривает также создание в Западной Европе единого европейского экономического пространства, в которое войдут и другие европейские страны.
5. Интеграция в СНГ опирается на такие объективные факторы, как сложившиеся в прошлом разделение труда, технологическая взаимозависимость, элементы общего культурно-цивилизационного пространства.
6. Главные препятствия интеграции: опасения в странах членах СНГ ограничить свой суверенитет, экономические трудности, незавершенность строительства новой социально-экономической системы.
7. Организационные рамки интеграционных процессов определяются разветвленной системой органов Содружества. Кроме того, на постсоветском пространстве возникло большое число союзов экономического, политического и гуманитарного характера между отдельными странами членами СНГ, целью которых является развитие внутрирегионального сотрудничества интеграция «разных скоростей»,
8. Результаты интеграции в СНГ оказались противоречивыми: были достигнуты многие договоренности, но большинство из них не было выполнено. В то же время Содружество не распалось и в целом доказало целесообразность своего существования.


Термины и понятия Международная экономическая интеграция
Зона свободной торговли
Таможенный союз
Платежный союз Общий рынок
Экономический и валютный союз
Глобализация хозяйственной жизни



Модель интернализации


2. Модель жизненного цикла продукта (цикла жизни продукта). Данная модель была разработана американцем Р. Верноном на базе теории роста фирмы. В соответствии с этой моделью новый продукт проходит четыре стадии цикла своей жизни (иногда их насчитывают пять): I внедрение на рынок; II рост продаж; III их зрелость (IV насыщение рынка); IV (V) спад продаж.
Международный цикл жизни продукта выглядит для фирмы, впервые наладившей его производство, несколько иначе: I монопольное производство и экспорт нового продукта; II появление у иностранных конкурентов аналогичного продукта и их внедрение на рынки (прежде всего на рынки своих стран); III выход конкурентов на рынки третьих стран и соответственно сокращение экспорта продукта из страны-пионера; (IV выход конкурентов на рынок страны-пионера как возможная стадия).
Конечно, передовая в технологическом отношении фирма к моменту возникновения конкуренции со стороны новых производителей продукта может начать внедрение другого продукта. Однако существует и иной выход при усилении угрозы экспорту наладить производство продукта за рубежом, что продлит его жизненный цикл. Тем более что на стадиях роста и зрелости издержки производства обычно снижаются, приводя к, снижению цены продукта и увеличению возможностей как для расширения экспорта, так и для налаживания зарубежного производства.
Но по сравнению с экспортом товара производство за рубежом часто выгоднее из-за более низких переменных расходов, возможностей обойти таможенные барьеры, усиления позиций в борьбе с иностранными монополиями и т.д.
3. Модель интернализации опирается на идею Р. Коуза о том, что внутри большой корпорации между ее подразделениями действует особый внутренний рынок, регулируемый руководителями корпорации и ее филиалов (подразделений). Создатели модели интернализации англичане П. Бакли, М. Кэссон, А. Рагмен, Дж. Даннинг и др. считают, что значительная часть формально международных операций является фактически внутрифирменными операциями между подразделениями больших хозяйственных комплексов, называемых ТНК.
4. Марксистская модель. Как и вся теория вывоза капитала, эта модель базируется на постулате избыточного капитала. В XIX начале XX вв. этот избыток вывозился главенствовавшими тогда в хозяйственной жизни мелкими собственниками капитала удобным для них способом преимущественно в виде облигаций.
Во второй половине ХХ в. избыток капитала вывозят прежде всего крупные и крупнейшие его собственники (монополии) и в основном через прямые инвестиции. При этом монополии, ставшие международными через вывоз прямых инвестиций, обладают преимуществом перед местными конкурентами из-за своей производственной, финансовой и технологической мощи (включая монополию на новые продукты). ,
5. Эклектическая модель. Однобокость и узость моделей прямых инвестиций привели к появлению модели Дж. Даннинга.
Она вобрала в себя из других моделей то, что прошло проверку действительностью (особенно из модели монополистических преимуществ), почему ее и называют «эклектическая парадигма». По этой модели фирма начинает производство товаров и услуг за рубежом (т.е. осуществляет прямые инвестиции) потому, что одновременно совпадают три предпосылки: 1) фирма обладает преимуществами по сравнению с другими фирмами в этой зарубежной стране (специфические преимущества собственника); 2) фирма может использовать за рубежом некоторые производственные ресурсы более эффективно, чем у себя дома, например, из-за дешевизны местных ресурсов, больших размеров местных рынков, превосходной местной инфраструктуры, в том числе сбытовой (преимущества места размещения прямых инвестиций); 3) фирме выгоднее использовать все эти преимущества самой на месте, а не реализовывать их там через экспорт товаров или экспорт знаний другим фирмам (преимущества интернационализации). В настоящее время эклектическая модель прямых инвестиций пользуется большой популярностью.

Теории портфельных инвестиций
Эти теории во многом определяются тем, что портфельных инвесторов интересуют за рубежом прежде всего четыре момента: а) уровень доходности иностранных ценных бумаг; б) степень риска по этим вложениям; в) уровень ликвидности этих бумаг; г) желание диверсифицировать свой портфель ценных бумаг за счет бумаг иностранного происхождения. Комбинация этих четырех моментов приводит к тому, что портфельные инвестиции особенно сильно подвержены колебаниям экономической и политической конъюнктуры.

Теория бегства капитала
Данная теория разработана слабо. Это видно хотя бы из того, что сам термин «бегство капитала» трактуется по-разному. А это сказывается на результатах оценки масштабов этого явления. Так, Д. Каддингтон сводит бегство капитала к нелегальному ввозу и вывозу краткосрочного капитала.
Однако большинство исследователей вслед за Ч.П. Киндлебергером полагают, что бегство капитала это такое движение капитала из страны, которое противоречит ее национальным интересам и происходит из-за неблагоприятного для многих отечественных владельцев капитала инвестиционного климата в стране. Некоторые добавляют, что капитал «бежит» еще и потому, что часто он имеет незаконное происхождение.

3. Механизм прямых инвестиций
Мотивы предпринимательства за рубежом
Чем конкретно руководствуются фирмы, осуществляя прямые инвестиции за рубежом?
Первым и основным мотивом является стремление к наиболее выгодному вложению капитала, что достигается производством товаров и услуг на месте. На это и направлена большая часть прямых инвестиций.
Второй мотив технико-экономический. Часть прямых инвестиций нацелена на создание за рубежом собственной инфраструктуры внешнеэкономических связей (складов, баз подработки, транспортных предприятий, банков, страховых компаний, торговых компаний и т.д.), иначе говоря, товаре- и услугопроводящей сети для обеспечения сбыта (реже снабжения).
Третья группа мотивов экономическая и политическая нестабильность, высокие налоги, «отмывание» незаконных средств и т.п., поэтому происходит так называемое бегство капитала; особенно активно такой капитал поступает в страны и территории с чрезвычайно льготным налогообложением тех компаний, которые там регистрируются, но совершают свои операции за рубежами этих стран и территорий (так называемые оффшорные компании).
Для российских компаний характерны скорее вторая и особенно третья группы мотивов. Так, значительная часть зарегистрированных за рубежом фирм с российским капиталом занимается снабженческо-сбытовой деятельностью, транспортно-экспедиторскими, агентскими, туристическими, финансовыми, страховыми и другими услугами.
Третья группа мотивов преобладает в предпринимательской деятельности российского капитала за рубежом. Инфляция, неуверенность в экономическом и политическом будущем, высокий уровень налогообложения, отсутствие развитой системы поддержки частного бизнеса, бюрократические ограничения, а также желание «отмыть» за рубежом незаконно нажитые средства все это приводит к огромному бегству капитала из России и других бывших советских республик. Причем капитал «убегает» преимущественно незаконными способами, нарушая отечественное валютное и внешнеторговое законодательство.

Механизм подготовки и осуществления прямых инвестиций Подготовка и осуществление прямых инвестиций базируются на проектном анализе. Поэтому остановимся лишь на некоторых особенностях, присущих проекту осуществления прямых инвестиций в снабженческо-сбытовую деятельность.
В большинстве случаев создание за рубежом фирм с российским капиталом являлось логическим шагом в освоении зарубежных рынков, потребляющих российскую продукцию и/или поставляющих свою продукцию в Россию. Учредители указанных фирм предпринимали этот шаг, убедившись, что применяемые ими организационные формы экспорта и импорта товаров и услуг не позволяют использовать все потенциальные возможности для работы на зарубежных рынках.
Подготовка проекта осуществления прямых инвестиций включает ряд этапов. Она начинается с изучения рынка зарубежной страны, в том числе с анализа номенклатуры отечественных товаров и услуг, перспективных для сбыта, и определения емкости зарубежного рынка по этой номенклатуре. Если фирма планирует заниматься также сбытом местных товаров в Россию, то аналогичный анализ проводится по России.
На этой базе делается прогноз объема реализации товаров и услуг через учреждаемую фирму.
Затем определяется способ закупок товаров и услуг у российских поставщиков и/или продаж их российским покупателям (с ними заключаются контракты, даже если они являются учредителями фирмы) за наличный расчет, в кредит, на консигнационный склад. Оговаривается способ оформления поставок: в виде договоров купли-продажи (типично для готовых изделий) или договоров комиссии (характерно для сырья).
На этой основе оценивается объем инвестиций в основные и оборотные фонды: затраты на размещение офиса, транспорт и склады, расходы на заработную плату, закупку и хранение товаров, таможенную очистку, транспортировку, страхование и т.п. Расчет делается в рублях и иностранной валюте и охватывает несколько лет.



Модель Кобба - Дугласа


Предприниматель (организатор производства) постоянно встречает и использует указанные свойства экономических ресурсов. Ведь в условиях ограниченности этих ресурсов он вынужден отыскивать наиболее рациональную их комбинацию, используя взаимозаменяемость.

Модель КоббаДугласа
Иллюстрацией к переплетению и альтернативности экономических ресурсов может быть простая, основанная только на двух производственных факторах модель КоббаДугласа (названа по имени двух американских экономистов). Она выглядит следующим образом:

Q=AKбLв (2.1)

где Q объем производства; К размер капитала; L затраты труда (в стоимостном выражении); б и в показатели эластичности производства Q по отношению соответственно к капиталу и труду (они показывают, на сколько процентов должно увеличиться Q, если или К или L возрастает на один процент); А функция.

Понятие рынков ресурсов В рыночной экономике каждый из экономических ресурсов представляет собой большой ресурсный рынок рынок труда, рынок капитала и т.д., состоящий, в свою очередь, из множества рынков конкретного ресурса. Например, рынок труда состоит из рынков работников разных специальностей экономистов, бухгалтеров, инженеров и т.д.

3. Производственные возможности. Предельные величины Как уже отмечалось, на базе экономических ресурсов осуществляется производство экономических благ. При ограниченности (редкости) ресурсов приходится определять, какие именно блага производить и какие для этого есть производственные возможности.

Понятие производственных возможностей. Кривая производственных возможностей Производственными возможностями называются возможности по производству благ (выпуску продукции). Необходимость постоянного выбора, какие ресурсы и в каких количествах использовать для производства благ, ярко демонстрирует модель под названием «кривая производственных возможностей».


Модель Кобба - Дугласа

Таблица 2.1. Производственные возможности страны по производству автомобилей
и самолетов в год




Модель Кобба - Дугласа





2.1. Кривая производственных возможностей

Упрощенно представим, что страна производит только два товара автомобили и самолеты. Если она сконцентрирует все свои экономические ресурсы на выпуске только автомобилей, она сможет за год выпустить их 10 млн шт. Если ей надо производить также 1 тыс. самолетов, то это возможно при сокращении выпуска автомобилей до 9 млн шт. Для производства 2 тыс. самолетов придется сократить выпуск автомобилей до 7 млн шт., а для производства 3 тыс. самолетов до 4 млн шт. При производстве 4 тыс. самолетов страна вынуждена вообще отказаться от выпуска автомобилей (табл.
2.1 и 2.1).
Таким образом, для увеличения производства самолетов приходится отказываться от все большего количества автомобилей. Можно сказать, что стоимость выпускаемых самолетов определяется тем количеством автомобилей, от производства которых надо отказываться.

Альтернативная стоимость
Альтернативная стоимость это то, «от чего приходится отказаться, чтобы получить желаемое»'.


' Цит. по: Мэнкью Н.Г. Принципы экономикс / Пер. с англ. СПб., 1999.
С. 32.

Недаром альтернативную стоимость нередко называют издержками упущенных возможностей. Так, в рассматриваемом примере производство 4 тыс. самолетов означает отказ от выпуска 10 млн автомобилей.
Конечно, в реальной жизни упущенные возможности не ограничиваются одним или даже двумя видами продуктов, от производства которых приходится отказываться, они многочисленны. Поэтому при определении альтернативной стоимости рекомендуют принимать во внимание наилучшую из упущенных реальных возможностей. Так, при учебе в дневном вузе после школы девушка упускает возможность работать в этот период секретарем (а не грузчиком или сторожем) и получать соответствующую заработную плату. Заработная плата секретаря и будет для нее альтернативной стоимостью (альтернативными издержками) обучения на дневном отделении вуза.
Альтернативные издержки в России часто называют вмененными, а альтернативную стоимость вмененной. Обратим внимание на то, что по мере увеличения производства блага его альтернативная стоимость возрастает. Так, в нашем примере производство 1 тыс. самолетов требует отказа от выпуска 1 млн автомобилей, 2 тыс. самолетов уже 3 млн автомобилей 3 тыс. самолетов 6 млн автомобилей, а для производства 4 тыс. самолетов нужно вообще отказаться от выпуска автомобилей, т.е. для производства каждой дополнительной тысячи самолетов нужно отказываться от все большего количества автомобилей.
Можно сказать, что альтернативные издержки первой тысячи самолетов равняются 1 млн автомобилей, а четвертой тысячи самолетов уже 4 млн автомобилей. Говоря по-другому, для выпуска каждой дополнительной единицы продукта приходится жертвовать все большим количеством другого, альтернативного продукта. Причины роста альтернативных издержек заключаются прежде всего в неполной взаимозаменяемости ресурсов.

Закон возрастающих альтернативных издержек. Закон убывающей отдачи
Увеличение альтернативных издержек по мере выпуска каждой дополнительной единицы продукции является известной, проверенной и учитываемой в хозяйственной жизни закономерностью. Поэтому данную закономерность именуют законом возрастающих альтернативных издержек. .
Еще более известен закон, тесно связанный с вышеуказанным, закон убывающей отдачи (производительности). Его можно сформулировать следующим образом: непрерывное увеличение использования одного ресурса в сочетании с неизменным количеством других ресурсов на определенном этапе приводит к прекращению роста отдачи от него, а затем и к ее сокращению. Этот закон базируется опять же на неполной взаимозаменяемости ресурсов. Ведь замена одного из них на другой (другие) возможна до определенного предела.
Например, если четыре ресурса: земля, труд, предпринимательские способности, знания оставить неизменными и увеличивать такой ресурс, как капитал (к примеру, число станков на заводе при неизменном числе станочников), то на определенном этапе наступает предел, за рамками которого дальнейший рост указанного производственного фактора становится все меньше. Результативность работы станочника, обслуживающего все большее число станков, снижается, увеличивается процент брака, растут простои станков и т.д.
Допустим, что в фермерском хозяйстве выращивается пшеница. Рост применения химических удобрений (при неизменности остальных факторов) приводит к увеличению урожая. Рассмотрим это на примере (в расчете на 1 га):






Модель Кобба - Дугласа


Мы видим, что, начиная с четвертого увеличения производственного фактора, прирост урожая хотя и продолжается, но во все меньших размерах, а затем вообще прекращается. Иначе говоря, увеличение одного производственного фактора при неизменности других на том или ином этапе начинает затухать и в конечном счете сводится к нулю.
Закон убывающей отдачи можно интерпретировать и по-другому: прирост каждой дополнительной единицы продукции требует с определенного момента все больших затрат экономического ресурса. В нашем примере для прироста урожая пшеницы на 1 ц вначале требуется 0,2 мешка удобрений (ведь для увеличения урожая на 5 ц нужен один мешок), затем 0,143 и 0,1 мешка. Но потом (при увеличении урожая свыше 42 ц) начинается увеличение затрат удобрений на каждый дополнительный центнер пшеницы 0,11; 0,143 и 0,25 мешка. После этого увеличение затрат удобрений вообще не дает прироста урожая.
В такой интерпретации закон называется законом возрастающих альтернативных издержек (возрастающих затрат).

Предельные (маржинальные) величины
Под предельной (маржинальной, от фр. marginal находящийся на краю чего-либо) величиной понимают прирост одной величины, вызванный приростом другой величины на единицу (при условии, что все остальные величины остаются неизменными).
В примере с пшеницей прирост минеральных удобрений на единицу (мешок) дает различный прирост урожая. Все приведенные величины прироста урожая (5, 7, 10,9, 7,4 ц) и будут предельными величинами, точнее, предельными продуктами такого фактора, как минеральные удобрения. Еще раз обратим внимание на то, что величина предельного продукта в соответствии с законом убывающей отдачи с определенного момента начинает постоянно снижаться (хотя это часто происходит и с самого начала).
Закон возрастающих затрат демонстрирует, что по мере прироста урожайности пшеницы затраты минеральных удобрений на прирост каждого центнера пшеницы (их называют предельными издержками) изменяются, причем с тенденцией к возрастанию. Можно сделать вывод, что в этом случае изменяется (сокращается) и доход, получаемый от применения каждого дополнительного мешка удобрений, его называют предельным доходом.
Наконец, предельные величины используются не только производителем, но и потребителем. Например, при оценке ими полезности того или иного блага. Потребитель исходит прежде всего из доступности (редкости) для него того или иного блага. Если чистая питьевая вода для него редкость, то за каждый литр ее он готов дорого заплатить (исходя из имеющихся у него денег и их покупательной способности).
Но по мере все большей доступности для потребителя питьевой воды он оценивает ее полезность для себя во все меньшую величину и готов платить намного меньше за каждый литр. Таким образом, по мере увеличения количества блага его предельная полезность снижается.



Монетаризм


5. Монетаризм Со второй половины 70-х начала 80-х гг. шел интенсивный поиск новых подходов к регулированию экономики. Если при разработке теории Кейнса центральным вопросом была безработица, то затем ситуация изменилась. Главной стала проблема инфляции при одновременном снижении производства. Эта ситуация получила название стагфляции. Кейнсианские рекомендации, скажем, увеличивать бюджетные расходы и тем самым проводить политику дефицитного финансирования, в изменившихся условиях оказывались непригодными.
Бюджетные манипуляции только могли усилить инфляцию, что и происходило.

Назад к Смиту Началась переоценка ценностей, поиск новых рецептов. Был выдвинут лозунг «Назад к Смиту», что означало отказ от методов активного государственного вмешательства в экономику. Немаловажное влияние в процессе разработки новой концепции и пересмотра экономической политики получили рекомендации монетаристов. Хотя их лидер американец Милтон Фридмен (р.
1912) опубликовал свои основные работы еще в 50-х гг., признание и популярность его теория получила позднее. Напомним, что экономический курс, называемый рейганомикой, в значительной степени опирался на взгляды монетаристов.
Позитивный вклад монетаризма в экономическую теорию, прежде всего в теорию денег, заключается в обстоятельном исследовании механизма обратного воздействия денежного мира на товарный мир, монетарных инструментов и монетарной (money деньги, monetari денежный) политики на развитие экономики. Можно сказать, что монетаризм это наука о деньгах и их роли в процессе воспроизводства. Это целостная теория, представляющая собой специфический подход к регулированию экономики с помощью денежно-кредитных инструментов.

Регулирующий фактор деньги
В соответствии с количественной теорией денег на первый план выдвигается их стабильная эмиссия независимо от экономического положения и состояния конъюнктуры. Объем денежной массы становится главным объектом денежно-кредитной политики .(кейнсианцы же в качестве средства денежного регулирования рассматривают процентные ставки).
Отметим основные положения концепции Фридмена и его сторонников.
1. Устойчивость частного рыночного хозяйства. Монетаристы считают, что рыночное хозяйство в силу внутренних тенденций стремится к стабильности, самоналаживанию. Если имеют место диспропорции, нарушения, то это происходит прежде всего в результате внешнего вмешательства.
Данное положение направлено против идей Кейнса, призыв которого к государственному вмешательству ведет, по мнению монетаристов, к нарушению нормального хода хозяйственного развития.
2. Число государственных регуляторов сокращается до минимума, исключается или снижается роль налогового, бюджетного регулирования (административных методов).
3. В качестве главного регулятора, воздействующего на хозяйственную жизнь, служат «денежные импульсы», денежная эмиссия. Фридмен утверждал, ссылаясь на «монетарную» историю Соединенных Штатов, что между динамикой денежной массы и динамикой национального дохода существует самая тесная корреляционная связь и денежные импульсы самая надежная настройка экономики. Денежная масса влияет на величину расходов потребителей, фирм; увеличение массы денег приводит к росту производства, а после полной загрузки мощностей к росту цен.
4. Поскольку изменения денежной массы сказываются на экономике не сразу, а с некоторым опозданием (лагом) и это может вести к неоправданным нарушениям, то следует отказаться от краткосрочной денежной политики. Ее следует заменить политикой, рассчитанной на длительное, постоянное воздействие на экономику, имеющее целью рост производственного потенциала. Данное положение, как и другие, также направлено против кейнсианского курса на текущее урегулирование конъюнктуры: кейнсианские коррективы запаздывают и могут приводить к противоположным результатам.


Механизм денежных импульсов Рассмотрим подробнее передаточный механизм денежных импульсов. На экономическую конъюнктуру влияют не только наличные деньги М0, но и вклады, депозиты в коммерческих банках М1, М2 по терминологии монетаристов не только наличные деньги, но и в целом монетарный базис, или совокупность наличных денег и банковских резервов. Строгого определения понятия монетарного базиса в литературе нет.
Фридмен использует агрегат М2. Именно этот статистический показатель включается в модели, по которым рассчитываются нормативы денежной политики.
Монетарный базис влияет на экономическую жизнь не сразу, а с определенным разрывом во времени (лагом). При этом темпы роста монетарного базиса должны быть скоординированы с темпами роста товарной массы. Монетаристский передаточный механизм схематично представлен на 7.2.
Прирост денежной массы (монетарного базиса) должен соответствовать росту ВВП с учетом изменений в скорости обращения денег




Монетаризм






7.2. Влияние монетарного базиса на ВВП

«Денежное правило» Фридмена
Фридмен исходил из того, что денежная политика должна быть направлена на достижение соответствия между спросом на деньги и их предложением. Рост денежного предложения (процент прироста денег) должен обеспечивать стабильность цен. Фридмен считал, что маневрировать с различными показателями прироста денег весьма сложно. Прогнозы центрального банка нередко ошибочны. «Если рассматривать кредитно-финансовую область в большинстве случаев скорее всего будет принято неправильное решение, поскольку принимающие решение рассматривают лишь ограниченную область и не принимают во внимание совокупность последствий всей политики в целом»',




Фридмен М. Капитализм и свобода. Нью-Йорк, 1982. С. 81.


писал Фридмен. Центральному банку следует отказаться от конъюнктурной политики краткосрочного регулирования и перейти к политике долгосрочного воздействия на экономику, постепенного увеличения денежной массы.
При выборе темпа роста денег Фридмен предлагает руководствоваться правилом «механического» прироста денежной массы, которое бы отражало два фактора: уровень ожидаемой инфляции и темп прироста общественного продукта. Применительно к США и некоторым другим странам Запада Фридмен предлагает устанавливать среднегодовой темп прироста денежной массы в размере 45%. При этом он исходит из 3%-ного роста реального ВНП (для Соединенных Штатов Америки) и небольшого снижения скорости обращения денег.
Этот 45%-ный прирост денег должен идти непрерывно месяц за месяцем, неделя за неделей. В одной из своих работ автор «денежного правила» указывает: «...стабильный уровень цен на конечные продукты представляет желанную цель всякой экономической политики» и «постоянный ожидаемый . темп роста денежной массы является наиболее существенным моментом, чем знание точной величины этого темпа».1





Фридмен М. Количественная теория денег. М., 1996. С. 99.




Итак, согласно взглядам монетаристов деньги являются главной сферой, определяющей движение и развитие производства. Спрос на деньги имеет постоянную тенденцию к росту (что определяется,в частности, склонностью к сбережениям), и чтобы обеспечить соответствие между спросом на деньги и их предложением, необходимо проводить курс на постепенное увеличение .(определенным темпом) денег в обращении. Государственное регулирование должно ограничиваться контролем над денежным обращением.
6. Экономика предложения Суть концепции сторонников экономики предложения перенос усилий с управления спросом на стимулирование совокупного предложения, активизацию производства и занятости. Название «экономика предложения» происходит от основной идеи авторов концепции стимулировать предложение капиталов и рабочей силы. Она содержит обоснование системы практических рекомендаций в области экономической политики, прежде всего налоговой.
По мнению представителей указанной концепции, рынок не только представляет собой наиболее эффективный способ организации хозяйства, но и является единственно нормальной, естественно сложившейся системой обмена экономической деятельностью.
Как и монетаристы, сторонники экономики предложения выступают за либеральные способы управления экономикой. Они критикуют методы прямого, непосредственного регулирования со стороны государства. И если все же приходится прибегать к регулированию, то это рассматривается как неизбежное зло, снижающее эффективность и связывающее инициативу и энергию производителей.
Взгляды представителей этой школы на роль государства весьма схожи с позицией австро-американского экономиста Фридриха фон Хайека (18991992), настойчиво проповедовавшего свободное рыночное ценообразование.

Рекомендации в области налоговой политики Остановимся кратко на рекомендациях школы экономики предложения в области налоговой политики. Представители этой школы считают, что увеличение налогов ведет к росту издержек и цен и в конечном счете перекладывается на потребителей. Повышение налогов толчок к «инфляции издержек». Высокие налоги сдерживают инвестирование, вложение средств в новую технологию, совершенствование производства.
В отличие от Кейнса сторонники экономики предложения утверждают, что налоговая политика стран Запада не сдерживает, а усиливает инфляцию, не стабилизирует экономику, а подрывает стимулы к росту производства.



Наем рабочей силы


Более активная деятельность в России такого рода частных .фирм наряду с деятельностью государственных бирж труда имела бы важное значение для эффективного функционирования рынка рабочей силы. Пока такие фирмы обслуживают в основном относительно узкий рынок дефицитных специальностей. Вместе с тем роль бирж труда в оказании помощи безработным (выплата пособий, трудоустройство, переквалификация) во многих странах весьма заметна.
В США, например, такая помощь оказывается ежегодно в среднем 68 млн безработных. В России в 1997 г. в органы государственной службы занятости за содействием в трудоустройстве обратились 4,6 млн человек. Из них получили работу 2,4 млн (более 52%).
Законодательство большинства стран содержит основные условия получения пособия по безработице. Так, в США максимальный срок его получения составляет 26 нед (в некоторых случаях он может быть продлен еще на 13 нед), средненедельное пособие по стране (при довольно больших различиях по отдельным штатам) в 1998 г. равнялось 200 долл.

Регулирование рынка труда в России Законодательное регулирование занятости и безработицы в России осуществляется в соответствии с Законом РФ «О занятости населения в Российской Федерации» от 19 апреля 1991 г., а также Положением о порядке регистрации безработных граждан и условий выплаты пособий по безработице, принятым Правительством РФ 17 ноября 1992 г.
В соответствии с российским законодательством центр занятости, где зарегистрирован безработный, обязан в течение 10 дней со дня обращения по возможности предложить ему два варианта подходящей работы, а впервые ищущему работу, не имеющему профессии два варианта получения профессиональной подготовки или оплачиваемой работы в пределах транспортной доступности.
В случае невозможности предоставления указанным гражданам подходящей работы из-за отсутствия необходимой профессиональной квалификации им может быть предложено пройти профессиональную подготовку или повысить квалификацию по направлению службы занятости. Кроме того, гражданам, ищущим работу, может быть предложено участие в общественных работах на добровольной основе.
Решение о признании граждан безработными принимается центром занятости не позже 11 календарных дней со дня предъявления всех необходимых документов. При этом безработными не признаются те, кто отказался от двух предложенных вариантов работы, а также впервые ищущие работу, оказавшиеся от двух вариантов профессиональной подготовки. Решение о назначении пособия по безработице принимается центром занятости одновременно с решением о признании гражданина безработным. Размеры пособий по безработице дифференцируются в зависимости от категорий граждан, признанных в установленном порядке безработными:
уволенным с предприятий по любым поводам, имевшим до увольнения оплачиваемую работу не менее 12 календарных недель на условиях полного рабочего дня пособие выплачивается в течение первых трех месяцев в размере 75% среднего заработка за последние два месяца работы, в течение следующих четырех месяцев 60%, в дальнейшем 45%, но во всех случаях не ниже минимального размера заработной платы, установленного законодательством РФ, и не выше средней заработной платы в данной республике, крае или области;
уволенным с предприятий на любых основаниях, но не имевшим за последний год 12 недель оплачиваемой работы пособие выплачивается в размере минимальной заработной платы;
гражданам, ищущим работу впервые, а также стремящимся возобновить трудовую деятельность после длительного (более одного года) перерыва, пособие по безработице выплачивается только в размере установленной законодательством минимальной заработной платы.
Продолжительность периода выплаты пособия по безработице не может превышать двенадцати календарных месяцев в суммарном исчислении. Выплата пособия прекращается в случаях трудоустройства безработного, прохождения профессиональной подготовки, повышения квалификации или переподготовки с выплатой стипендии, назначения ему пенсии.
Государственное регулирование проблем занятости и безработицы в Российской Федерации осуществляет Министерство труда и социального развития России, а также его органы на местах центры и службы занятости (биржи труда). Это же ведомство разрабатывает и реализует общую государственную политику в области труда, развития трудовых отношений на основе социального партнерства, предотвращения и разрешения трудовых конфликтов, охраны труда, подготовки и переподготовки кадров.
Большинство экономистов полагают, что проблема безработицы и других диспропорций на рынке труда может быть смягчена только с помощью комбинации различных средств: стимулирования экономического роста, сокращения рабочей недели, создания эффективной системы переподготовки кадров.
5. Наем, оплата труда и трудовые отношения в фирмах Важный элемент рынка труда кадровая работа на фирме. Она начинается с найма работников и охватывает весь процесс управления персоналом, включая его мотивацию, формы оплаты труда, профессиональную подготовку и переподготовку.
В основу практической политики многих фирм в области трудовых ресурсов положена теория человеческого капитала. Сам термин «человеческий капитал» означает образование, квалификацию, знания, навыки и опыт, воплощенные в рабочей силе и используемые в процессе производства. Согласно данной теории различия в заработной плате являются следствием неодинаковых инвестиций в человеческий капитал по категориям работников.
В результате увеличения объема таких инвестиций доходы работников возрастают, улучшаются и показатели экономической деятельности фирм. В настоящее время, следуя данной теории, предприниматели рассматривают затраты на образование, подготовку и переподготовку рабочей силы не как издержки производства, которые необходимо минимизировать, а как производственные инвестиции.

Наем рабочей силы и планирование человеческих ресурсов Масштабы и методы найма рабочей силы в фирме определяются двумя основными обстоятельствами: факторами внутреннего характера (стратегией развития фирмы и результатами ее деятельности, возможностями подготовки кадров) и положением на национальном рынке рабочей силы.
Внешний наем осуществляется с помощью четырех основных методов:
наем специалистов из университетов, институтов и колледжей;
тщательный отбор тех претендентов, которые непосредственно обращаются на фирму за работой;
наем кадров с помощью рекламных объявлений в средствах массовой информации;
обращение в государственные и частные агентства по содействию найму.
При этом при отборе претендентов аксиомой в кадровых службах фирм считается положение, при котором число рассматриваемых кандидатов на должности, как минимум, в два раза больше, чем количество имеющихся вакансий. Число же интервьюируемых для допуска в претенденты должно быть еще в полтора раза больше.
Достаточно сложным и продуманным является сам механизм отбора претендентов. Он включает, как правило, анализ рабочего места, результатом которого становится спецификация этого места, а также выбор процедуры отбора. Последняя обычно состоит из анализа информации, содержащейся в банках данных фирмы об имеющихся претендентах на работу, их интервьюирования и разнообразного тестирования.
Для этого многие крупные фирмы имеют специализированные центры оценки кадров, осуществляющие как отбор вновь нанимаемых работников, так и отбор и аттестацию претендентов на внутреннее продвижение на основе развернутого заключения по результатам тестирования и аттестации.
В фирмах используются специально разработанные схемы замещения сотрудников, учитывающие все затраты на наем, увольнение, продвижение персонала и управление им. Обычно это затраты на отбор персонала, ввод в должность, обучение в период работы, выплаты на программы социального страхования и т.п.
В кадровой работе активно используется и более широкий подход планирование человеческих ресурсов. Он включает анализ перспективных потребностей по отдельным категориям персонала исходя из долгосрочных целей фирмы.
Всю деятельность по управлению персоналом фирмы осуществляет специальная кадровая служба. Она состоит из нескольких отделов: трудовых отношений, занятости, управления персоналом, заработной платы, условий труда и борьбы с травматизмом, обучения кадров, учета и делопроизводства. В составе службы работают квалифицированные специалисты: социологи, специалисты по управлению, трудовым отношениям.
Кадровая служба, особенно в крупных фирмах, реализует целый ряд программ, направленных на непрерывную подготовку и переподготовку различных категорий рабочей силы, разработку и реализацию всего комплекса мер по мотивации персонала.

Оплата труда Существует несколько наиболее распространенных форм оплаты труда, используемых в рыночной экономике, в том числе и России. Среди них повременная оплата труда, при которой размеры заработной платы работника практически зависят от отработанного им времени и его тарифной ставки (оклада). Для рабочих часто устанавливаются часовые ставки. Сдельная форма предполагает оплату труда работников по количеству (объему) произведенной продукций требуемого качества. Одной из разновидностей сдельной оплаты труда является бригадная, или коллективная.
Начисление общей суммы заработной платы и индивидуально каждому работнику производится, как правило, на основании единого наряда по конечным результатам работы всего коллектива. Премиальная форма предусматривает дополнительную оплату к повременному или сдельному заработку.



Налогоплательщики - владель государственных ценных бумаг.



Бюджетный федерализм (межбюджетные отношения).
Понятие бюджетного федерализма (межбюджетных отношений) употребляется для обозначения тех отношений, которые возникают между бюджетами разных уровней: федеральным, региональными, местными.
Основа бюджетного федерализма автономность всех трех уровней бюджета, например, через закрепление за ними собственных налогов. Однако она редко достигается полностью из-за того, что налоговые поступления обычно не могут обеспечить все расходы региональных и местных бюджетов. В .результате бюджеты более высокого уровня обычно субсидируют бюджеты более низкого уровня.
И чем больше зависят бюджеты от таких субсидий, тем больше проблем возникает в межбюджетных отношениях.
Что касается России, то в консолидированном бюджете на долю территориальных бюджетов приходится более 1/2 доходов (схожая ситуация и в США). Одна часть налогов (региональные и местные) целиком поступает в территориальные бюджеты, другая целиком в федеральный бюджет, а налоги на добавленную стоимость, на прибыль предприятий и акцизы распределяются между федеральным бюджетом и территориальными бюджетами. Одновременно в доходах территориальных бюджетов заметную долю составляют неналоговые доходы (от использования или продажи собственного имущества), а также бюджетные ссуды, субсидии и дотации от бюджетов более высокого уровня.
Хотя у территориальных бюджетов возникают дефициты, обычно они покрываются из бюджетов более высокого уровня или за счет выпуска собственных ценных бумаг.

Статьи госбюджета Структуру бюджетных доходов и расходов и долю отдельных статей в консолидированном бюджете рассмотрим на примере Консолидированного бюджета России в 1998 г. (табл. 27.1).


Таблица 27.1. Консолидированный бюджет России в1998г.


Налогоплательщики - владель государственных ценных бумаг.



Налогоплательщики - владель государственных ценных бумаг.




Отметим, что учетом государственных внебюджетных фондов (а это еще около 9% по отношению к ВВП) доля социально-культурных мероприятий в расходах бюджета расширенного правительства резко возрастает примерно до 18% всего российского ВВП.

Бюджетные расходы
Расходы государственного бюджета выполняют функции политического, социального и хозяйственного регулирования.
Первое место в бюджетных расходах занимают социально-культурные статьи: социальные пособия, образование, здравоохранение, культура, наука и др. В этом проявляется главное направление бюджетной политики, как и государственной экономической политики в целом стабилизация, укрепление и приспособление существующего социально-экономического строя к изменяющимся условиям. Эти расходы призваны смягчить дифференциацию социальных групп, неизбежно свойственную рыночному хозяйству.
Впрочем, облегчение доступа представителей относительно менее обеспеченных слоев населения к получению квалификации, достойному медицинскому обслуживанию, гарантированной минимальной пенсии и сносному жилью не только играет социально стабилизирующую роль, но и обеспечивает хозяйство важнейшим фактором производства квалифицированной и здоровой рабочей силой, а значит, увеличивает национальное богатство страны.
В затратах на хозяйственные нужды обычно выделяются бюджетные субсидии сельскому хозяйству, которые имеют также социальную, политическую и хозяйственную направленность. Ни одно государство не может быть заинтересовано в ускоренном и массовом разорении своего крестьянства, фермерства. И хотя в своей внешнеэкономической политике правительство иногда временно жертвует интересами отечественных производителей аграрных товаров, допуская иностранную сельскохозяйственную продукцию на внутренний рынок в ответ на уступки торговых партнеров, оно, как правило, поддерживает свое фермерство.
Расходы на национальную оборону, правоохранительную деятельность и обеспечение безопасности, а также административно-управленческие расходы воздействуют на структуру спроса.
Конъюнктурным целям бюджетного регулирования могут служить расходы по государственному долгу (например, досрочное погашение части долга), размеры расходов на кредиты и субсидии частным и государственным предприятиям, сельскому хозяйству, на создание и совершенствование объектов инфраструктуры, на закупку вооружения и военное строительство.
В периоды кризисов и депрессий расходы государственного бюджета на хозяйственные цели, как правило, растут, а во время «перегрева» конъюнктуры. сокращаются.
Структура расходов государственного бюджета оказывает регулирующее воздействие на размеры спроса и капиталовложений, а также на отраслевую и региональную структуры экономики, национальную конкурентоспособность на мировых рынках.
Расходы на кредитование экспорта, страхование экспортных кредитов и вывозимого государственного капитала, финансируемые из бюджета, стимулируют экспорт и в долгосрочном плане улучшают платежный баланс, открывают для экономики страны новые зарубежные рынки, способствуют укреплению национальной валюты, обеспечению поставок на внутренний рынок необходимых товаров из-за рубежа. Это внешнеэкономический аспект политики бюджетных расходов.
Действенность госрегулирования экономики с помощью бюджетных расходов зависит, во-первых, от относительных размеров расходуемых сумм (их доли в ВВП); во-вторых, от структуры этих расходов; в-третьих, от эффективности использования каждой единицы расходуемых средств.

Проблема сбалансированности госбюджета
Как уже отмечалось, согласно неолиберальной и неоклассической теории идеальное исполнение государственного бюджета это полное покрытие расходов доходами и образование остатка средств, т.е. превышение доходов над расходами. Образовавшийся остаток правительство может использовать при непредвиденных обстоятельствах, для досрочных выплат задолженности или перевести его в доход бюджета следующего года.
Возникающий в результате превышения расходов над доходами бюджетный дефицит покрывается государственными займами (внутренними и внешними). Они осуществляются в виде продажи государственных ценных бумаг, займов у внебюджетных фондов (например, у фонда страхования по безработице или пенсионного фонда) и получения кредитов у банков (эта форма финансирования бюджетного дефицита часто практикуется местными властями).
Государственные займы не единственный путь покрытия дефицита государственного бюджета. У большинства развитых стран со времен перехода от золотого к бумажно-денежному обращению накоплен значительный опыт покрытия бюджетного дефицита путем дополнительной эмиссии денег. Правительства особенно часто прибегают к этому средству в критических ситуациях во время войны, длительного кризиса.
Последствия такой эмиссии общеизвестны: развивается неконтролируемая инфляция, подрываются стимулы для долгосрочных инвестиций, раскручивается спираль «цена заработная плата», обесцениваются сбережения населения, воспроизводится бюджетный дефицит.
В целях сохранения хозяйственной и социальной стабильности правительства развитых стран всемерно избегают неоправданной эмиссии денег. Для этого в систему рыночной экономики встроен специальный блок-предохранитель: конституционно закрепленная в большинстве стран независимость национального эмиссионного банка от исполнительной и законодательной властей. Эмиссионный банк не обязан финансировать правительство, таким образом ставится заслон инфляционному взрыву, который мог произойти, если бы деньги печатались по желанию правительства.
Государственные займы менее опасны, чем эмиссия, но и они оказывают определенное негативное воздействие на экономику страны. Во-первых, в определенных ситуациях правительство прибегает к принудительному размещению государственных ценных бумаг и нарушает таким образом рыночную мотивацию деятельности частных финансовых институтов. Во-вторых, если правительство даже и создает достаточные стимулы для приобретения юридическими и физическими лицами правительственных ценных бумаг, то государственные займы, мобилизуя свободные средства на рынке ссудных капиталов, сужают возможности получения кредита частными фирмами.
Фирмы, особенно мелкие и средние, не являются для банков такими надежными заемщиками, как государственные органы. Государственные займы на рынке ссудных капиталов способствуют удорожанию кредита росту учетной ставки.
Однако у государственных займов есть и положительные стороны. Во-первых, образовавшийся на основе рынок государственных ценных бумаг может привлекать часть инвесторов, для которых остальные секторы фондового рынка непривлекательны. Во-вторых, размещая на этом рынке ценные бумаги новых государственных займов или выкупая досрочно бумаги старых займов, государство может активно воздействовать на спрос и предложение на всем рынке ссудных капиталов, Однако эти положительные стороны проявляются преимущественно в развитых странах со стабильной экономикой.

Государственный долг
Задолженность правительственных органов владельцам государственных ценных бумаг накапливается и превращается в государственный долг. Его приходится выплачивать с процентами. Говорят, что сегодняшние государственные займы это завтрашние налоги. Некоторые налогоплательщики являются владельцами государственных ценных бумаг.
Они получают проценты по этим услугам и одновременно платят налоги, которые частично идут на выплату государственных займов. Как правило, из текущих бюджетных доходов не удается полностью выплачивать проценты и в срок погашать государственные займы. Постоянно нуждаясь в средствах, правительства прибегают к все новым займам; покрывая старые долги, они делают еще большие новые. Государственный долг в разных странах растет различными темпами.
Превышение государственного долга над ВВП считается потенциально опасным для стабильности экономики, особенно для устойчивого денежного обращения. Более осторожной оценки считается соотношение этих двух показателей как 0,6:1. В 1998 г. государственный долг по отношению к ВВП составил: в США - 62%, Японии - 116, Германии - 62, во Франции - 59, в Италии - 119, в Великобритании - 52, Канаде - 91,5%.
В России государственный долг в указанном году оценивался в 50%.



Налоговая база сумма, с которой взимается налог


Кросс-курс котировка двух иностранных валют, ни одна из которых не является национальной валютой участника сделки, устанавливающего курс
Курс покупателя это курс, по которому банк-резидент покупает иностранную валюту за национальную
Курс продавца это курс, по которому банк-резидент продает иностранную валюту за национальную
Курс «спот» это курс наличных (кассовых) сделок, при которых валюта поставляется немедленно (в течение двух рабочих дней происходит урегулирование операции по банковским счетам участников сделки)
Курс «форвард» (форвардный курс) это курс срочных (форвардных) сделок, при котором реальная поставка валюты осуществляется через четко определенный период времени


Л

Лаг в экономической теории это обычно временной промежуток, в течение которого изменение объема денежной массы вызывает соответствующие изменения в ценах и тарифах
Либерализация (дерегуляция) экономики процесс уменьшения государственного регулирования хозяйственной деятельности
«Ловушка ликвидности» макроэкономическая ситуация, при которой количество денег в обращении (в ликвидной форме) растет, однако понижения процентной (учетной) ставки не происходит, так как она находится на очень низком уровне. В результате хранить деньги в банках никто не хочет, из-за чего сбережения не превращаются в инвестиции



М

Макроэкономика раздел экономической науки, изучающий хозяйство как единое целое
Макроэкономическое равновесие это сбалансированность и пропорциональность основных параметров экономики, иначе говоря, ситуация, когда у участников хозяйственной деятельности нет стимулов к изменению существующего положения. По отношению к рынку это соответствие между производством благ и платежеспособным спросом на них
Малая и большая приватизация в первом случае создаются индивидуальные частные предприятия, мелкие кооперативы или небольшие общества с ограниченной ответственностью, во втором акционерные общества, акции которых чаще всего имеют хождение на фондовой бирже
Маркетинг услуги по научно обоснованной разработке и внедрению решений в области обеспечения и формирования рынка для сбыта продукции
Материалоемкость отношение стоимости использованного сырья, топлива, энергии, материалов и полуфабрикатов к стоимости выпущенной продукции
Межбанковский рынок часть рынка ссудных капиталов, где временно свободные денежные ресурсы кредитных учреждений привлекаются и размещаются банками между собой преимущественно в форме межбанковских депозитов
Международная инвестиционная позиция страны статистический отчет о величине внешних активов и обязательств страны на начало и конец отчетного периода, а также о тех изменениях, которые произошли в течение отчетного периода
Международная миграция рабочей силы процесс перемещения трудовых ресурсов из одной страны в другую с целью трудоустройства на более выгодных условиях, чем в стране происхождения
Международная экономическая интеграция процесс срастания экономик соседних стран в единый хозяйственный комплекс на основе глубоких и устойчивых экономических связей между их компаниями
Международное движение капитала помещение и функционирование капитала за рубежом, прежде всего с целью его самовозрастания
Международная (мировая) торговля торговля междуэкономическими агентами разных стран
Международное разделение труда специализация отдельных стран на производстве товаров и услуг, которыми эти страны обмениваются между собой
Международные мигранты лица, переезжающие из одной страны в другую с целью трудоустройства и постоянного проживания
Международные экономические отношения хозяйственные отношения между юридическими и физическими лицами разных стран
МЕРКОСУР интеграционное объединение в составе Аргентины, Бразилии, Парагвая и Уругвая
Мировая экономика (мировое хозяйство, всемирное хозяйство) по широкому определению это сумма всех национальных экономик мира, по узкому определению это совокупность только тех частей национальных экономик, которые взаимодействуют с внешним миром. Однако различие между двумя определениями становится все менее заметным, так как в любой стране остается все меньше отраслей и подотраслей, которые не взаимодействуют с внешним миром прямо или косвенно
Мировой рынок по широкому определению это совокупность национальных рынков товаров и услуг, по узкому определению это совокупность только тех товаров и услуг, которые продаются и покупаются на внешнем рынке
Модель пяти сил (направлений) конкуренции метод анализа основных конкурентных сил, определяющих положение фирмы на рынке: конкурентной силы других поставщиков аналогичной продукции, фирм потенциальных конкурентов, фирм поставщиков заменителей, а также конкурентных позиций поставщиков ресурсов и покупателей продукции
Модель торгуемых и неторгуемых товаров и услуг в теории международной торговли разделение всех товаров и услуг, создаваемых в стране, на торгуемые, т.е. являющиеся объектом международной торговли и потребляемые как внутри страны, так и за рубежом, и неторгуемые, которые не являются объектом международной торговлии потребляются только в той стране, где они были произведены
Монетаризм теория макрорегулирования экономики, в известной степени альтернативная кейнсианству. Монетаристы ставят во главу угла денежно-кредитные методы обеспечения занятости и стабилизации экономики. Они считают, что деньги являются главным инструментом, определяющим все развитие экономики.
Государственное регулирование должно ограничиваться контролем над денежной сферой. Изменение денежного предложения призвано прямо соответствовать движению (динамике) цен и национального дохода
«Монетарный якорь» макроэкономические показатели, которые фиксируются на определенном уровне с целью достижения финансовой стабилизации (обменный курс валюты, номинальная денежная масса, номинальная заработная плата и др.)
Монополистическая конкуренция рынок, характеризующийся большим количеством мелких фирм, производящих дифференцированную продукцию: доступ на рынок является относительно свободным: в известной степени фирмы в условиях монополистической конкуренции могут контролировать цены продукции; развита неценовая конкуренция
Монополия рыночные условия, когда одна-единственная фирма является продавцом данной продукции, не имеющей близких заменителей; барьеры для вступления новых фирм в отрасль практически непреодолимы
Монопольная (рыночная) власть возможность для фирмы воздействовать на цены продукции с целью повышения прибыли, увеличивая или сокращая объемы продаж
Мотивация труда система мер, направленная на повышение производительности труда, улучшение его качества и профессиональный рост
Мультипликатор (инвестиционный) коэффициент, выражающий соотношение между приростом дохода и вызывающим этот прирост увеличением объема инвестиций



Н


Наименьшие затраты прием в проектном анализе, применяемый в случаях, когда выгоды от проекта заранее заданы, но труднооценимы в денежном измерении
Наличные деньги монеты, банковские билеты (банкноты) и казначейские билеты
Налог на добавленную стоимость налог на стоимость, добавленную в процессе производства товара или услуги (см. Добавленная стоимость)
Налог на прибыль предприятий (корпораций) налог, взимаемый с прибыли юридических лиц
Налоги обязательные взносы в госбюджет или внебюджетные фонды в порядке и на условиях, определенных законодательными актами
Налоговая база сумма, с которой взимается налог
Налоговая ставка размер налога
Наукоемкие отрасли современные отрасли, выпускающие продукцию на базе последних достижений науки и техники, где доля расходов на научные исследования по совершенствованию технологии и продукции не менее 45% всех расходов, а численность научного персонала не менее 3-4% всей численности работников
Научно-технический прогресс процесс открытия и использования новых знаний в хозяйственной жизни
Национальный доход вновь созданная за год стоимость в стране
«Национальный ромб» в теории «национальных конкурентных преимуществ» М. Портера характеризует систему детерминантов конкурентных преимуществ страны, которые, находясь во взаимодействии, усиливают или ослабляют потенциальный уровень ее конкурентного преимущества на мировом рынке
Начисление сложного процента процесс роста основной суммы вклада за счет накопления процентов
Немонетарный подход к финансовой стабилизации концепция, согласно которой на уровень инфляции определяющее воздействие оказывают диспропорции в отраслевой структуре производства, высокая степень монополизации экономики, незавершенность формирования инфраструктуры рынка, высокая степень бюрократизации и криминализации экономики и др.
Неоклассическое направление ведущее направление в современной западной, прежде всего англо-американской, экономической науке. Неоклассики занимаются многоаспектным, анализом рыночной экономики, используя экономические модели в качестве главного инструмента научного исследования. В первую очередь их интересуют проблемы ценообразования, взаимодействия, спроса и предложения
Неолиберализм направление в экономической науке и практике управления хозяйственной деятельностью, сторонники которого отстаивают принцип саморегулирования, свободного от излишней регламентации



Направления и школы экономических теорий


Александр Иванович Анчишкин (19331987) экономист, руководитель коллектива ученых разработчиков Комплексной программы научно-технического прогресса. Анчишкин стоял у истоков теории интенсификации экономического роста. Эта идея получила признание, но не была реализована.
Трагедия состояла в том, что ответа на вопрос, каким путем перевести экономику на рельсы интенсивного роста, практически не было найдено.
Подлинная картина централизованно управляемого хозяйства еще ждет своего аналитика. От эксперимента социалистического хозяйствования не следует ни отворачиваться, ни пытаться рисовать его какими-либо однотонными красками.
Экономические идеи, выводы, концепции представителей отечественной науки имеют не только национальное значение. Историю экономической науки нельзя понять и проследить без вклада российской школы, российских представителей. По сути, речь следует вести не просто о приоритете наиболее актуальных и значимых исследований, а в более широком плане о взаимодействии и взаимообогащении отечественной и западной экономической науки.


Выводы 1. Экономическая теория не претендует на абсолютно точное отражение процессов, протекающих в реальной действительности. Перед ней постоянно возникают новые, неотложные проблемы, решить которые нелегко или невозможно. Поэтому подлинно научная теория находится в непрерывном поиске, развитии.
Нередко уточнения и изменения касаются не только деталей, отдельных гипотез, положений, но и основополагающих, фундаментальных концепций и выводов. Прежние представления и идеи не отвергаются, обычно сохраняется их рациональная основа, освобожденная от всего, что не соответствует действительности.
2, Экономика и экономические процессы представляют собой сочетание объективных условий и субъективных устремлений. Экономическая теория призвана изучать обе эти стороны; она не вправе игнорировать субъективный фактор интересы, психологию, ожидания участников экономических процессов. Без учета субъективного фактора нельзя понять регулирующую роль государства, цели и специфику предпринимательской деятельности, механизм функционирования рынка, основы маркетинга, позитивные стороны различных экономических концепций.
3. Меняется сам предмет экономической науки. Изучаемые ею экономические отношения реализуются в формах управления, в экономической политике. Эти и другие вопросы, очевидно, должны находиться в центре внимания экономической науки, в том числе общей экономической теории. В современных условиях происходит как бы расширение предмета за границы материального производства, теория под определенным углом зрения изучает экономику социальной сферы, экономику образования, проблемы экологии.
Меняется и приоритетность, значимость отдельных проблем.
4. Современный подход к познанию экономической действительности предполагает творческое взаимодействие и взаимообогащение различных теорий. Формирование собственной позиции, самостоятельной оценки происходящего, обоснование и реализация нестандартных, но эффективных решений вот что должно послужить целью и практическим результатом знакомства с экономическими теориями и фундаментальными выводами экономической науки.



Термины и понятия Направления и школы экономических теорий
Классическая теория
Предельная полезность
Неоклассическое направление
Кейнсианство
Мультипликатор
Акселератор
Совокупный спрос
Монетаризм
Стагфляция
Институционализм
Неолиберализм
Марксизм экономическая концепция
Экономические взгляды российских ученых
Экономико-математическая школа в России
Линейное программирование
Большие циклы Н. Кондратьева


Вопросы для самопроверки 1. Что имел в виду А. Смит, когда писал в «Богатстве народов» о «невидимой руке»? Из приводимых ниже выберите наиболее правильный ответ:
а) «невидимая рука» рыночных законов ведет к тому, что каждый член общества, преследуя собственные цели, способствует росту богатства нации;
б) фирмы и поставщики ресурсов, добиваясь собственной выгоды, как бы направляемые «невидимой рукой», вынуждены рисковать и, не зная реалий конкурентной игры, терпят банкротство;
в) «невидимая рука» рыночной конкуренции помогает производителям определить спрос потребителей и направить ресурсы на выпуск той продукции и в таком количестве, которые соответствуют потребностям общества.
2. Какое из приводимых здесь определений предмета экономической науки принадлежит А. Смиту, Д. Рикардо, А. Маршаллу:
а) экономическая наука изучает побудительные мотивы поведения человека в хозяйственной сфере его жизни, проблемы и закономерности экономического выбора. Ее задача выработка руководства к поведению в практической жизни. Ее лучше обозначить термином «экономике» (экономическая наука), а не более узким «политическая экономия»;
б) главная задача политической экономии каждой страны состоит в увеличении богатства и могущества. Каждый из видов торговли не только выгоден, но и необходим, и неизбежен, когда он порождается естественным ходом вещей;
в) продукт земли все, что получается путем соединенного приложения труда, машин и капитала, делится между тремя классами общества. Определить законы, которые управляют этим распределением, главная задача политической экономии?
3. Насколько справедлив важнейший принцип количественной теории денег: «цены товаров определяются количеством денежных средств»?
4. Каковы отличительные особенности институционалистского направления в экономической науке? Чем обусловлена тесная связь институционализма с американской общественно-экономической системой?
5. Почему кейнсианскую теорию занятости называют теорией эффективного спроса?
6. Кейнс утверждал, что накопление сбережений не является безусловным благом. Как он аргументировал этот вывод?
7. Какая связь, по мнению монетаристов, существует между денежной массой и уровнем цен? В чем состоит «денежное правило» М. Фридмена?
8. Что такое «большой цикл Кондратьева»?
9. Как называется экономико-математический метод, открытый Л.В. Канторовичем?
































Раздел II
МИКРОЭКОНОМИКА

























СОДЕРЖАНИЕ






Неокейнсианство






где ТsПР темпы прироста национального дохода; s НД и НД соответственно прирост и полная величина национального дохода; ФН фонд накопления; NНД норма накопления в национальном доходе; s К НД прирост капиталоемкости национального дохода.

Если обозначить s НД = ЭК.В (эффективность капитальных вложений), то можно
ФН
записать:
ТПР = NН = NН iЭК,В (21.7)
1/ЭК.В

т.е. темпы прироста национального дохода зависят от нормы накопления и эффективности инвестиций.


Неокейнсианство
В послевоенный период наибольшую известность в экономической литературе Запада получили неокейнсианские модели экономического роста, выдвинутые английским экономистом Р. Харродом и американскими экономистами Е.Домаром и Э. Хансеном.
Экономическая теория Харрода, дополненная Домаром, анализирует не момент нарушения равновесия в экономике и восстановления его (статическое равновесие Кейнса), а длительный период устойчивого экономического роста (динамическое равновесие), теоретически обосновывая устойчивые темпы роста рыночной экономики.
Устойчивый темп роста производства, который обеспечивается всем приростом населения (это один фактор экономического роста) и всеми возможностями увеличения производительности труда (это второй фактор роста), Харрод называет естественным темпом роста. Третьим фактором роста Харрод считает размеры накопленного капитала'.





' См.: Классики кейнсианства. В 2 т. М., 1997. Т. 1.





Обозначения Харрода специфичны. При устойчивом темпе роста производства GH потребности в капиталовложениях будут выражены величиной GniGr, где Gr «требуемый коэффициент капитала», который представляет собой прирост основного и оборотного капитала, необходимый для обеспечения единицы прироста продукции; он может колебаться в ходе цикла за счет главным образом размеров оборотного капитала. С точки зрения длительной перспективы Gr величина постоянная при неизменной норме процента, ибо технический прогресс, согласно Харроду, носит в этих условиях нейтральный характер изобретения, экономящие труд, якобы уравновешиваются изобретениями, экономящими капитал.
Что касается движения нормы процента и ее влияния на Сr, то ее длительное понижение вызывает возрастание Сг, а повышение влечет сокращение Сr.
Уравнение Харрода, выражающее условия равновесия при естественном темпе роста, имеет вид:
GniCr = или = S

Оно означает, что для обеспечения устойчивого темпа роста производства при полной занятости инвестируемая доля дохода Gni Сr должна быть равна его сберегаемой доле S. По существу, это модификация уравнения Кейнса: I =S, где I размер инвестиций. Разница в том, что, согласно Кейнсу, размеры инвестиций I определяются предельной эффективностью капитала (нормой прибыли) и нормой процента, а Харрод связывает эти размеры с ростом населения, техническим прогрессом и «требуемым коэффициентом капитала». Размеры сбережения S и в том и в другом случае определяются психологическим фактором склонностью людей к сбережению, Харрод подчеркивает .различие между фактическим темпом роста, который он обозначает G, и «естественным темпом» Gn , т.е. таким, который имел бы место, если бы не было хронической безработицы, недозагрузки мощностей и экономических кризисов.
Доказывая возможность ликвидации разрыва между фактическим темпом роста G и естественным темпом роста Gn, Харрод вводит новую категорию «гарантированный» темп роста Gw. Гарантированным является, по мнению Харрода, темп, удовлетворяющий предпринимателей, которые готовы его поддерживать и в дальнейшем. Согласно уравнению Харрода

GiCr =S = GwiCr (21.8)

т.е. для устойчивого роста фактическая потребность в капитале должна быть равна его потребности при гарантированном темпе роста. Харрод признает неспособность рыночной экономики к саморегулированию и обосновывает необходимость государственного регулирования экономики.
Модель роста, разработанная Харродом, должна была обеспечить динамическое равновесие основных народнохозяйственных величин. Темп экономического роста в этой модели в конечном итоге зависит от доли накопления в национальном доходе и капиталоемкости продукции. Следует отметить абстрактный характер модели, так как в ней отражены лишь самые общие зависимости процесса общественного производства: между накоплением, потреблением и темпами роста национального дохода при данных и неизменных технико-экономических условиях.
По сути, рассматривается экстенсивный тип роста.
Вопросы циклического развития рыночной экономики от подъемов к спадам разрабатывались в динамической теории цикла, наиболее видным представителем которой является американский экономист Э. Хансен. Основная рекомендация Хансена расширение спроса за счет государственного бюджета, что неизбежно развязывает инфляцию и сводит в конечном счете на нет попытки преодолеть противоречие между производством и потреблением, так как финансирование осуществлялось бы за счет государственного долга.
Экономический кризис 19731975 гг. способствовал формированию нового течения посткейнсианства, признанным лидером которого является представительница английской кембриджской школы Дж. Робинсон. Оригинальность посткейнсианства как самостоятельного течения наиболее отчетливо проявилась в разработке теории экономического роста и распределения продукта, в основу которой положена идея, что темпы роста общественного продукта зависят от распределения национального дохода, которое, в свою очередь, является функцией накопления капитала. Именно скорость накопления капитала определяет норму прибыли, а следовательно, и долю прибыли в национальном доходе.
Доля же заработной платы определяется как остаточная величина. Реальное значение посткейнсианской теории состоит в том, что в ней предпринята попытка увязать пропорции распределения с пропорциями воспроизводства.
Структурный кризис и сопровождавшая его длительная депрессия, охватившие мировую экономику с середины 70-х гг., вызвали активизацию исследований макроэкономической динамики. В центре внимания оказалась забытая идея Й. Шумпетера о неравномерном характере экономического роста и нововведениях как факторе этой неравномерности. Согласно этой теории нововведение нарушает экономическое равновесие, которое затем восстанавливается под воздействием процессов экономической конкуренции. Неоклассическая теория не могла объяснить периодических колебаний экономической активности.
Разрабатывается теория долгосрочного технико-экономического развития. В России она нашла отражение в работах С.Ю. Глазьева, который концентрирует свое внимание на макротехнологической динамике, содержании, механизме и географии смены технологических укладов.
В настоящее время в западных странах получила распространение концепция «экономическое развитие без роста». Это связано, с одной стороны, с тем, что на основе НТР уже достигнут высокий уровень подушевого производства, а с другой значительно уменьшились темпы роста населения. Кроме того, сторонники этой концепции считают, что экономический рост приводит к нарушению биосферы жизни человека и ограничен в силу недостаточности сырьевых и топливных ресурсов планеты.

Государственное регулирование экономического роста Государственная стратегия стимулирования экономического роста в развитых странах на разных этапах имела свою специфику и брала на вооружение различные концепции, умело сочетая рецепты неоклассического, кейнсианского и неокейнсианского направлений.
Сложившаяся в США после «великой депрессии» 1929 1933 гг. система государственного регулирования была ориентирована преимущественно на управление факторами спроса или совокупным спросом главным образом денежно-кредитными инструментами. Так, стимулирование расширения капиталовложений происходило на основе низких процентных ставок, ограничение путем их повышения.
В 80-х гг. в США была провозглашена новая экономическая политика, суть которой заключалась в переходе от экономики стимулирования совокупного спроса к экономике предложения на основе стимулирования инвестиций в машины и оборудование, перспективные технологии.
Сторонники экономики предложения сделали упор на факторы, повышающие производственный потенциал экономической системы. Наметилось три направления воздействия государства на экономический рост:
стимулирование НТП и развитие научных исследований;
увеличение расходов на образование, подготовку и переподготовку квалифицированных кадров в государственном масштабе;
глубокая перестройка налоговой системы.
Главной целью этой политики стали высокие темпы роста производства, решение социальных проблем: занятости, безработицы, бедности, повышение уровня доходов.
В 90-е гг. наблюдается значительное увеличение государственных расходов на социальное обеспечение, здравоохранение, образование, что в немалой степени связано с возрастающей ролью «человеческого капитала», творческой, новаторской деятельностью человека как важнейшего фактора экономического роста и накопления национального богатства. Это характерно не только для развитых, но и для развивающихся стран.
Другое направление государственной политики, стимулирующее экономический рост, поддержание конкурентоспособности и оптимальной структуры производства путем законодательного регулирования налоговых и иных преференций, прямого или косвенного субсидирования отдельных отраслей и регионов из государственного бюджета. Особенно это касается транспортной и коммуникационной инфраструктуры. Большое значение по-прежнему придается государственной поддержке фундаментальных и прикладных исследований, конструкторских разработок.



Объекты и направления государственного регулирования


И в настоящее время ни в одной из развитых стран нет интегрированного государственного сектора. Предприятия с государственным участием подчиняются общим правилам рыночной экономики.

Внешнеэкономический инструментарий Данный инструментарий воздействует на различные стороны внешнеэкономических отношений стран Запада торговлю, миграцию капиталов и рабочей силы, валютно-расчетные отношения. К нему относятся таможенные пошлины и количественные ограничения импорта (квоты на ввоз определенных товаров); субсидии и налоговые льготы отечественным экспортерам; налоговые и другие льготы иностранным инвесторам; квоты на привлечение рабочей силы из-за рубежа; покупки или продажи национальных валют центральными банками на валютных биржах для стабилизации обменных курсов соответствующих денежных единиц.
3. Объекты и направления государственного регулирования экономики По объекту воздействия со стороны государства выделяются различные направления регулирования.

Регулирование инвестиций
Капиталовложения в экономику, социальную инфраструктуру и все прочие сферы общественной жизни оказывают определяющее влияние на рост ВВП, занятость населения, уровень и качество его жизни. Именно поэтому воздействие на инвестиционный процесс следует рассматривать как главное направление госрегулирования. Все прочие направления так или иначе связаны с ним.
Прежде всего, государство воздействует на общие, «рамочные» условия инвестирования, формируя для капиталовложений благоприятный климат. Посредством денежно-кредитной политики оно обеспечивает движение ссудного .процента в таких пределах, в которых у частного капитала, безусловно, имеются стимулы для инвестирования. Параллельно с этим предоставляются налоговые льготы общеэкономического характера, которыми могут воспользоваться все производители.
Так, реинвестируемая, т.е. вновь вкладываемая в производство, часть прибыли либо вообще не облагается налогами, либо облагается ими по льготной (пониженной) ставке. В отличие от этого распределяемая, т.е. в конечном счете используемая для потребления, часть прибыли облагается налогами по обычной шкале.
Особой разновидностью инвестиционных налоговых льгот является предоставляемое государством частным фирмам п р а в о н а у с к о р е н н о е а м о р т и з а ц и о н н о е с п и с а н и е о с н о в н о г о к а п и т а л а. Вещественные элементы основного капитала (машины, оборудование, производственные здания и сооружения) в процессе их эксплуатации подвергаются физическому износу и постепенно теряют свою первоначальную стоимость. Однако последняя не исчезает бесследно, а переносится на создаваемый продукт, после реализации которого она по частям в денежной форме возвращается к его изготовителю. Последний накапливает эти средства в амортизационном фонде, служащем в первую очередь для восстановления выбывающих вследствие износа элементов основного капитала.
Сущность ускоренной амортизации состоит в том, что государство разрешает предпринимателям списывать в амортизационный фонд денежные суммы не по мере фактического износа элементов основного капитала (например, 1/10 первоначальной стоимости станка при ожидаемом сроке его эксплуатации в 10 лет), а в большей мере. При этом в амортизационный фонд включается часть прибыли, которая таким путем освобождается от налогов, ибо амортизационный фонд в принципе не подлежит налогообложению по законодательству развитых стран. Оно, как правило, предписывает фирмам составление долгосрочного амортизационного плана, включающего в том числе выбор одного или нескольких из предусматриваемых хозяйственным правом методов амортизационного списания. К ним наряду с отмеченным выше линейным (пропорциональным) методом относятся и другие методы ускоренного списания, такие как арифметически-дегрессивный, геометрически-дегрессивный и т.д.).
Изменения в амортизационном плане допускаются лишь в исключительных случаях, при солидном обосновании и доказательстве фирмой ее аудитору их вынужденной необходимости, ибо такие изменения глубоко затрагивают всю систему ведения счетов и бухгалтерского учета фирмы, расчета издержек, прибыли и налоговой базы.
Фактическое завышение объема амортизационного фонда позволят использовать его не только по сущностной принадлежности, т.е. для замены изношенных, выбывающих элементов основного капитала, но и для расширения последнего. В результате стимулируется весь инвестиционный процесс, а следовательно, рост ВВП.
Наряду с общеэкономическим осуществляется целенаправленное регулирование инвестиций в рамках с т р у к т у р н о й п о л и т и к и.

Госрегулирование сбыта После промышленных революций XIX в. в странах Запада сложилась устойчивая тенденция к превышению предложения над спросом. Дело в том, что машинное производство, имея колоссальные преимущества перед предшествующим ему мануфактурным производством, многократно увеличило предложение товаров. Это не сопровождалось такими изменениями в обществе, которые бы обеспечили аналогичное увеличение спроса.
Временное соответствие между спросом и предложением стало устанавливаться в ходе и результате циклических кризисов. Что касается превышения спроса над предложением, то оно, как правило, выступало как кратковременное явление в каждом конкретном случае, ибо рыночная экономика обладает богатейшими возможностями быстро адаптироваться к изменяющимся требованиям потребителя.
Противоречие между спросом и предложением сдерживает экономический рост; оно является одной из важнейших причин такого негативного социального явления, как безработица. Поэтому государство стремится различными способами стимулировать сбыт, а через него рост ВВП и занятости. Кроме того, регулирование сбыта преследует и другие цели, например фискальные (пополнение доходной части госбюджета).
Фискальная часть госрегулирования сбыта реализуется посредством взимания различных налогов: с оборота и добавленной стоимости, акцизов и др. (см. гл. 27). При этом с некоторых товаров первой необходимости, например продовольственных, налоги на добавленную стоимость и с оборота, как правило, взимаются по пониженным ставкам.
Важным средством стимулирования сбыта являются г о с у д а р с т ве н н ы е з а к у п к и с е л ь с к о х оз я й с т в е н н о й п р о д у к ц и и, которая в значительной мере используется для гуманитарной помощи пострадавшим в результате стихийных бедствий или военных действий в зарубежных странах, а также общего экономического содействия третьему миру. Закупки осуществляются полномочными государственными органами по регулируемым ценам.
По своей экономической природе к закупкам сельскохозяйственной продукции весьма близки государственные заказы на различного рода оборудование и военно-техническую продукцию, а также на строительные работы и услуги. Поскольку такие заказы гарантируют их получателю обычно на несколько лет сбыт по согласованным ценам, за них ведется острейшая конкурентная борьба, особую роль в которой играют лоббисты тех или иных компаний.
Чаще всего государственные заказы достаются национальным производителям, если они в состоянии их выполнить. После вступления в действие в 1993 г. Маастрихтских соглашений об образовании экономического и валютного союза в рамках ЕС здесь также предпринимаются попытки создать единый, интегрированный рынок государственных заказов. На них должны объявляться конкурентные торги с равными условиями для всех участников из стран членов ЕС.
Определенные шаги в этом направлении уже сделаны, но национальные лобби чаще всего по-прежнему оказываются сильнее зарубежных.
Наконец, госрегулирование сбыта осуществляется путем воздействия на ц е н о о б р а з о в а н и е . Государство прямо устанавливает цены лишь там, где оно является основным или единственным собственником экономических ресурсов (железнодорожные и почтовые тарифы и т.д.). Как правило, оно оказывает сильное влияние на прочие цены и тарифы экономическими средствами косвенного действия регулированием величины оптовых и розничных наценок, косвенными налогами и акцизами.

Госрегулирование рынка труда
Оно нацелено главным образом на сокращение безработицы и обеспечение высокого уровня занятости самодеятельного населения, а также на достижение соответствия предложения рабочей силы в отраслевом и региональном разрезе спросу на нее в количественном и качественном отношении. С этим тесно связаны принимаемые в рамках социальной политики меры поддержки безработных. При этом необходимо иметь в виду, что приближению к указанным целям способствует государственное стимулирование капиталовложений и экономического роста, ибо увеличение ВВП, как правило, в той или иной степени влечет за собой сохранение уже имеющихся и создание дополнительных рабочих мест.
Вместе с тем, государство осуществляет специальные, целенаправленные мероприятия в области занятости и безработицы. Прежде всего, ч е р е з с е т ь г о с у д ар с т в е н н ы х б и р ж т р у д а (чаще они называются ведомствами или службами занятости) безработным облегчается поиск и нахождение нового рабочего места.
Подготовке рабочей силы в достаточном для рынка труда количестве и нужной квалификации способствует с о д е й с т в и е г о с у д а р с т в а о б щ е м у и п р о ф е с с и о н а л ь н о м у о б р а з о в а н и ю . В развитых странах школы чаще всего принадлежат государству или муниципальным органам, как и учебные заведения, аналогичные российским техникумам. Подготовка квалифицированных рабочих осуществляется непосредственно на фирмах. Государство посредством субсидий и налоговых льгот нередко стимулирует создание дополнительных ученических мест на предприятиях.



Облигации - долговые обязательства


Несовершенства рынка отклонения от условий, обеспечивающих совершенную конкуренцию
НИОКР (научио-исследовательские и опытно-конструкторские работы) организованный процесс открытия новых знаний
Номинальная заработная плата сумма денег, полученная наемным работником за определенный промежуток времени (неделю, месяц, год и т.д.)
Номинальные доходы сумма денежных доходов, получаемых в течение определенного отрезка времени отдельным гражданином или семьей; не учитывает движение цен
Норма обязательных резервов метод прямого воздействия на величину резервов, хранимых коммерческими банками на беспроцентных счетах в центральном банке
Норма прибыли (уровень рентабельности) важнейший показатель эффективности функционирования капитала, исчисляемый как отношение прибыли к используемому капиталу
Нормальная прибыль прибыль, равная вмененным издержкам, вложенным в производство владельцем фирмы



О

Облигации долговые обязательства, выпускаемые обычно большими партиями
Обмен процесс движения товаров и услуг от одного участника экономической деятельности к другому; система экономических отношений в рыночной экономике
Оборотный капитал та часть капитала, которая переносит свою стоимость на изготавливаемую продукцию в течение срока, не превышающего одного года
Общественные и религиозные организации (объединения) добровольные объединения граждан, в установленном законом порядке объединившихся на основе общности их интересов для удовлетворения духовных и иных нематериальных потребностей
Общество с ограниченной ответственностью (ООО) учрежденное одним или несколькими лицами хозяйственное общество, уставный капитал которого разделен на доли, определенные учредительными документами; участники не отвечают по его обязательствам и несут риск убытков в пределах стоимости своих вкладов
Обший рынок - форма международной экономической интеграции. Обеспечивает его участникам наряду со свободной взаимной торговлей и единым внешним тарифом свободу передвижения капитала, рабочей силы. Участники общего рынка проводят единую внешнеторговую политику
Овердрафт предоставление кредита банком клиенту сверх остатка по его текущему счету
Окружающая природная среда та часть земной природы, с которой человеческое общество непосредственно взаимодействует в своей жизни и производственной деятельности на данном этапе исторического развития
Олигополия существование на рынке нескольких крупных фирм, продукция которых может быть как разнородной, так и однородной; вступление новых фирм в отрасль, как правило, затруднено; особенностью олигополии является взаимная зависимость фирм в принятии решений о ценах на свою продукцию
Операции на открытом рынке продажа или покупка центральным банком у коммерческих банков государственных ценных бумаг, банковских акцептов и других кредитных обязательств по рыночному или заранее объявленному курсу
Организационная схема управления логическая структура взаимодействия между подразделениями предприятия
Организационно-правовые формы собственности формы собственности, различающиеся юридическими особенностями своего функционирования
Основной капитал (основные фонды) средства труда
Открытая валютная позиция несбалансированность требований и обязательств (активов и пассивов), выраженных в той или иной валюте в данный момент времени
Открытая экономика экономика страны с высокой степенью включенности в мировые хозяйственные связи (международные экономические отношения)
Относительная черта бедности уровень стоимости минимальной потребительской корзины относительно среднего уровня доходов (расходов) семей в данной стране (регионе)
Отраслевая структура национальной экономики состав и доля продукции и услуг отраслей национальной экономики в ВВП страны
Оффшорная компания иностранная компания, созданная на территории или в государстве, где гарантированы особенно низкие налоговые ставки и отсутствует жесткий валютный контроль над иностранным капиталом. Льготный режим предоставляется оффшорной компании только для операций с иностранными резидентами и в иностранной валюте
Оценка предприятия (фирмы) мнение или расчет стоимости конкретного объекта собственности на заданный момент времени



П

Парадокс Леонтьева несоответствие реальной структуры внешней торговли США выводам Э. Хекшера и Б. Олина о направленности международной специализации страны
Паритет покупательной способности (ППС) фактическое соотношение между валютами сравниваемых стран, рассчитываемое как соотношение цен на аналогичные товары и услуги, произведенные в этих странах. Это реальная цена национальной денежной единицы в валюте другой страны
Перекрестная эластичность спроса степень влияния на величину спроса на данный товар изменения цены другого товара
Переменные издержки издержки, размер которых зависит от объема производства фирмы
Платежный баланс статистический отчет о состоянии внешнеэкономических связей страны за определенный период
Платежный союз форма экономической интеграции, при которой обеспечивается взаимная конвертируемость валют и функционирование единой расчетной единицы
Подоходный налог с физических лиц налог на доходы физических лиц, обычно прогрессивный (см. Прогрессивное налогообложение)
Повременная оплата труда оплата труда, при которой размеры заработной платы работника зависят от фактически отработанного им времени и его тарифной ставки
Поимущественные налоги налоги на имущество, дарение и наследство
Политика доходов государственная политика, направленная на перераспределение доходов населения через госбюджет путем дифференцированного налогообложения различных групп получателей дохода и социальных выплат отдельным категориям населения
Полное товарищество хозяйственное товарищество, участники которого (полные товарищи) в соответствии с заключенным между ними договором занимаются предпринимательской деятельностью от имени товарищества и несут ответственность по его обязательствам принадлежащим им имуществом
Положительный эффект масштаба снижение средних валовых издержек производства по мере увеличения размеров предприятия
Потребительский кооператив добровольное объединение граждан и юридических лиц на основе членства с целью удовлетворения материальных и иных потребностей участников, осуществляемое путем объединения его членами имущественных паевых взносов
Потребление использование произведенных товаров и услуг для удовлетворения потребностей членов общества
Портфельные инвестиции предпринимательские инвестиции, которые не дают их владельцу управленческого контроля над объектом вложения капитала
Пособие по безработице государственное пособие, получаемое безработным в течение определенного времени
Постоянные издержки издержки, размер которых не зависит от объема производства
Потребительская корзина набор продуктов питания, общее количество которых в расчете на год обеспечивает минимально достаточную калорийность
Потребительский кредит кредит, предоставляемый торговыми предприятиями в виде проданных в рассрочку товаров, банками и специальными кредитными институтами для покупки потребительских товаров и оплаты услуг
Предельная доходность ресурса прирост дохода фирмы за счет использования дополнительной единицы данного ресурса
Предельная полезность дополнительная полезность, получаемая от потребления каждой последующей единицы товара
Предельные издержки прирост издержек, связанный с выпуском дополнительной единицы продукции
Предельные издержки ресурса прирост издержек фирмы за счет использования дополнительной единицы данного ресурса
Предельный доход прирост дохода, связанный с выпуском каждой дополнительной единицы продукции. В условиях совершенной конкуренции равен цене
Предельный продукт прирост продукции фирмы в натуральном выражении за счет увеличения на единицу количества используемого переменного ресурса
Предложение количество товара, которое производитель готов продать по определенной цене за конкретный период
Предложение рабочей силы рабочая сила, приходящая на рынок труда
Предпринимательские способности один из экономических ресурсов, охватывающий прежде всего предпринимателей, а также предпринимательскую инфраструктуру страны, предпринимательскую этику и культуру
Предпринимательский доход доход от предпринимательской деятельности
Предпринимательский риск вероятность возникновения у предприятия финансовых потерь
Предприятие (фирма) самостоятельная хозяйственная единица, объединяющая экономические ресурсы для осуществления коммерческой деятельности. Под коммерческой понимается деятельность по производству товаров и оказанию услуг для третьих лиц, физических или юридических, которая должна приносить предприятию коммерческую выгоду, а именно прибыль
Прибыль в широком смысле слова это разница между полученной выгодой и понесенными при этом затратами; в узком смысле доход от реального капитала
Приватизация преобразование отношений собственности путем передачи или продажи на различных условиях государственной или муниципальной собственности частным или коллективным хозяйствующим субъектам
Природные ресурсы земля и недра, растительный и животный мир, лесные и водные ресурсы, воздушный бассейн и климат



Оценка недвижимости.



С= R . 100, (17.10)
r

где С рыночная стоимость; R годовой доход; r ожидаемая ставка капитализации (ожидаемая ставка дохода).

Под ставкой к а п и т а л и за ц и и (ставкой дохода) понимается уровень доходности данного объекта, выраженный в процентах, т.е. показатель, по смыслу близкий к ставке дисконта, хотя и не совпадающий с ней (см. 18.3). Этот метод имеет смысл применять при стабильном и неизменном доходе на протяжении ряда лет.
Наиболее часто он используется при оценке недвижимости.
Пример. Квартира в Москве сдана за 300 долл. в месяц на пять лет. Ожидаемая ставка дохода (базируется на ожидаемой ставке банковского срочного валютного депозита) составляет 10% годовых.
Это означает, что при годовом доходе в 3600 долл. рыночная стоимость квартиры составляет 36 тыс. долл.
Метод д и с к он т и р о в а н и я денежного потока основан на прогнозе будущего денежного дохода (денежного потока), который будет получен инвестором (покупателем) данного предприятия. Этот будущий денежный поток затем дисконтируется (приводится) к текущей стоимости с использованием ставки дисконта, которая соответствует требуемой ставке дохода.
Преимущество данного метода состоит в том, что он учитывает через ставку дисконта будущую рыночную конъюнктуру. Недостаток метода связан с трудностями подготовки прогноза, некоторой неопределенностью оценки.

Рыночный подход Рыночный подход (или подход аналога) включает три основных метода оценки: метод рынка капиталов, метод сделок и метод отраслевой оценки.
Метод рынка капиталов основан на ценах продажи акций сходных фирм на мировых фондовых рынках. Для применения этого метода требуется детальная финансовая и ценовая информация по представительной группе сопоставимых фирм. Сердцевина метода финансовый анализ, выбор и вычисление оценочных коэффициентов (факторов).
К последним относятся коэффициенты: цена/прибыль; цена/денежный поток; инвестированный капитал/прибыль и ряд других, которые затем применяются для обработки финансовых показателей деятельности фирмы.
Метод сделок основан на анализе цен приобретения контрольных пакетов акций. В этом методе используется тот же инструментарий, что и в предыдущем, с той лишь разницей, что здесь, как правило, используется ограниченный набор оценочных коэффициентов (обычно цена/прибыль и цена/балансовая стоимость) из-за недостаточности данных.
Метод отраслевых оценок основывается на наличии устоявшихся показателей оценки в отдельных отраслях. Например, стоимость рекламного агентства оценивается в 75% годовой прибыли; стоимость агентства по аренде автомобилей исчисляется как произведение числа автомобилей на 1000 долл., хлебопекарни как сумма 15% годового объема продаж и стоимости оборудования и товарных запасов и т.д.
Преимущества рыночного подхода состоят в том, что он базируется только на рыночных данных, отражает реальную практику покупателей и продавцов. Недостатки этого подхода связаны с трудностями получения данных по сопоставимым фирмам, так как он основан на прошлых событиях и не учитывает меняющуюся рыночную конъюнктуру.

Затратный подход
Затратный подход представлен прежде всего методом оценки накопленных активов. Он включает оценку финансовых, материальных (земля, здания, сооружения, машины и оборудование) и нематериальных (квалификация, торговая марка и др.) активов на основе балансового отчета с учетом различного рода поправок (износ, старение и проч.).
Преимущество данного подхода заключается в том, что он основывается на существующих активах, менее умозрителен, чем другие. Его недостаток трудность учета нематериальных активов, перспектив фирмы (предприятия).
На практике при оценке того или иного предприятия, как правило, используется не один, а два или все три оценочных подхода для получения наиболее надежного результата. Заключение о стоимости предприятия не просто принимается как механическое или процентное взвешивание результатов различных методов оценки, а основывается на профессиональном опыте и экспертном суждении оценщика.


Выводы 1. Капитал имеет немало как широких, так и узких определений. Он традиционно делится на основной и оборотный, а по сферам функционирования на производственный (промышленный), торговый, финансовый (ссудный).
2. Среди теорий капитала и прибыли наиболее известны трудовая, теория воздержания, теория капитала как блага, приносящего доход.
3. Основные фонды являются главной составной частью капитала фирм в большинстве отраслей, прежде всего в реальном секторе. В себестоимости продукции больше вклад оборотного капитала, так как он быстрее оборачивается.
4. Амортизация основного капитала это процесс его физического и морального износа. Финансовым отражением данного процесса является списание части стоимости основных средств в амортизационный фонд. Отчисления в амортизационный фонд являются частью издержек производства, поэтому они не облагаются налогами.
Средства из амортизационного фонда разрешается использовать только для финансирования капиталовложений.
5. При анализе основного капитала используют коэффициенты обновления, выбытия и износа основных фондов, фондоотдачи, капиталоемкости основного капитала и другие показатели. При анализе оборотного капитала применяют показатели его материалоемкости, энергоемкости, металлоемкости, оборачиваемости, ликвидности и др.
6. Оценка предприятия важный элемент экономической жизни. Используют три основных подхода: доходный, рыночный и затратный, позволяющие с разных сторон рассчитать и составить мнение о рыночной стоимости оцениваемого объекта.


Термины и понятия Капитал
Основной капитал
Оборотный капитал
Норма прибыли (уровень рентабельности)
Производственный потенциал (производственные мощности)
Технологическая структура основных фондов
Возрастная структура основных фондов
Коэффициент выбытия основных фондов
Коэффициент обновления основных фондов
Коэффициент износа основных фондов
Фондоотдача
Капиталоемкость основного капитала
Амортизация основного капитала
Амортизационные отчисления
Амортизационный фонд
Ускоренная амортизация
Материалоемкость
Оценка предприятия (фирмы)
Доходный подход в оценке фирмы (предприятия)
Рыночный подход в оценке фирмы (предприятия)
Затратный подход в оценке фирмы (предприятия)


Вопросы для самопроверки 1. Что такое капитал по экономическому и бухгалтерскому определению?
2. Если у вашей фирмы есть автомобиль, который прослужил меньше одного года и затем был списан, то вы его отнесете к основному или оборотному капиталу?
3. Говорят, что люди основной капитал любого предприятия. К основному или оборотному капиталу нужно отнести расходы на заработную плату?
4. Коэффициент обновления основных фондов возрос с 5 до 7%, коэффициент выбытия с 3 до 4%. В результате основной капитал фирмы: а) молодеет; 6) стареет быстрее, чем раньше; в) сохраняет свой возраст неизменным?
5. Как осуществляется финансирование простого воспроизводства основного капитала?
6. Что такое ускоренная амортизация основного капитала?

  1. Дача сдана в аренду на несколько лет с годовой оплатой 2000 долл. Ожидаемая ставка капитализации 8%. Какова рыночная стоимость дачи?






































Он представляет собой агрегированный поток


Необходимо иметь в виду, что в конечном счете инвестиции в финансовые активы предполагают не просто выпуск акций или облигаций, а направление средств от их продажи на расширение производственных мощностей, создание дополнительных рабочих мест, вовлечение в производство новых работников. Инвестирование в целях увеличения размеров реального капитала и есть процесс накопления.
Инвестирование это шаг в завтра, создание условий для обновления и увеличения производства. Стимулом для инвесторов служит прибыль. Но инвестиционные вложения возвращаются не сразу, поэтому процесс инвестирования связан с риском, так как растянут во времени.


3. Кругооборот товаров и услуг Экономика России это более двух миллионов предприятий, учреждений, различных организаций, десятки миллионов домашних хозяйств. Между ними сложная система связей, которую нелегко представить, даже имея в распоряжении подробные данные, статистические справочники.
Во всей этой необычайно разветвленной и неоднородной, находящейся в постоянном движении экономической деятельности трудно разобраться и опытному специалисту, и тем более рядовому участнику. Отсюда вытекает необходимость сделать скрытые связи прозрачными, сложные простыми, сгруппировать и укрупнить, или, как выражаются экономисты, агрегировать, однородные и сходные связи. В агрегировании экономических отношений заключается одна из задач макроэкономики.
Для начала представим самую простую картину экономических связей укрупненную схему движения товаров и доходов, продукции и денег.

Упрощенная схема кругооборота Вначале в ней будут присутствовать лишь две основные хозяйственные единицы: домашние хозяйства и предприятия. Мы абстрагируемся от внешних связей. Лишь позже привлечем в качестве участников экономического процесса государство и банковскую систему.
В упрощенной схеме агрегируем «ручейки» и «реки» разнообразных товаров и услуг, расходов и доходов в однородные «потоки», протекающие между предприятиями и домашними хозяйствами, объединяющие их в хозяйственную систему ( 4.1 ).


Он представляет собой агрегированный поток



4.1. Кругооборот товаров, доходов и расходов


В нашей (упрощенной) схеме кругооборота все ресурсы принадлежат домашним хозяйствам. Они предоставляют рабочую силу, капиталы, природные и другие ресурсы. Предприятия, когда предлагают факторные услуги, выступают в роли домашних хозяйств.
В схеме наглядно представлены основные связи.
Домашние хозяйства предъявляют спрос и потребляют потребительские товары (хлеб, одежду, бытовую электронику) и услуги (стирка белья, транспорт). Они оплачивают их за счет доходов, которые получают, предоставляя в распоряжение предприятий рабочую силу, капитал, землю, другие факторы производства.
Предприятия включают факторы производства в производственный процесс и поставляют готовые потребительские товары и услуги домашним хозяйствам. Хлеб, одежда, бытовая электроника, транспортные и иные услуги, потребляемые домашними хозяйствами, заканчивают свое движение, и процесс кругооборота начинается снова.
Как видно на 4.1, движение потоков товаров и денежных средств осуществляется постоянно. Потоки товаров и денег исчисляются за определенный отрезок времени, например за год. Один миллион автомашин, произведённых в течение года, это годовой поток, в то время как 15 млн автомашин, имеющихся в наличии на определенную дату (допустим, на декабрь 1999 г.), это запас.
Численность станочного парка или стоимость домашнего имущества населения запас; годовое производство станков или компьютеров поток.
Из всех потоков нас интересует весь продукт, произведенный страной за год (чаще его называют валовым внутренним или валовым национальным продуктом). Он представляет собой агрегированный поток, т.е. выражает стоимость всех товаров и услуг, произведенных за год. Валовой внутренний продукт включает конечную продукцию (завершенную производством и готовую для употребления), исключая промежуточную продукцию, предназначенную для переработки и изготовления конечной продукции. Он также является суммарным доходом всех владельцев экономических ресурсов. В данной (упрощенной) схеме экономического кругооборота показатели валового внутреннего продукта и национального дохода равны между собой (хотя в дальнейшем см. гл.
21 мы увидим, что ВВП превышает национальный доход на величину амортизационных отчислений).
Обратим внимание на следующий момент. Валовой внутренний продукт может быть рассчитан как совокупный доход от производства товаров и услуг (прямая линия со стрелкой в нижней части схемы). Он может быть подсчитан и иначе как совокупный расход на покупку произведенных товаров и услуг (прямая линия в верхней части рисунка).
Деньги и в верхней, и в нижней части 4.1 движутся в направлении, противоположном движению товаров. При этом совокупные доходы равны совокупным расходам.
Равенство доходов и расходов соответствует принципу двойного бухгалтерского учета, используемого в экономической статистике. Хозяйственный кругооборот представляет собой совокупность сделок по купле-продаже хлеба и одежды, оплате транспортных и бытовых услуг. В каждом отдельном случае оплачиваемая часть дохода соответствует затрачиваемой части расходов.
Это же равенство сохраняется в результирующем показателе кругооборота, в котором суммируются все сделки за год.
Если увеличивается выпуск продукции, то соответственно возрастают расходы и доходы. Предприятия нанимают дополнительных работников, закупают дополнительное сырье, топливо, материалы, устанавливают дополнительное оборудование. Увеличиваются выплаты заработной платы, возрастают размеры прибыли.
И вновь расходная и доходная части производимого продукта равны.


Кругооборот с участием государства и банков
Представим более сложную картину. В процессе кругооборота, помимо домашних хозяйств и предприятий, принимают участие государство и финансовые предприятия (в основном банки). Государство собирает налоги и осуществляет расходы закупает товары и выплачивает из бюджета заработную плату.
Банки перераспределяют денежные ресурсы.
На новой, несколько видоизмененной схеме кругооборота ( 4.2) функционируют уже не два, а четыре участника экономических операций: домашние хозяйства, предприятия, государство, банки. Выпуск продукции разделен в соответствии с ее использованием на три части: потребление С (англ. cosumption), государственные расходы G (англ. government), инвестиции I(англ. investment).

Он представляет собой агрегированный поток

4.2. Экономический оборот с участием государства и банков
Валовой внутренний продукт (конечный выпуск)Y равен сумме потребления, государственных расходов и инвестиций, т.е.Y= С+G+ I. В условиях нашей экономики ВВП в процентных показателях распадается примерно на следующие части: 55% расходуется на потребление; 25% составляют государственные расходы; 20% образуют инвестиции. Еще раз обратим внимание на то, что Y совокупное национальное производство всех товаров и услуг за год. Вместе с тем Y это сумма расходов всех потребителей (населения, государства и инвесторов).
Схема кругооборота с участием государства и учетом инвестиционной деятельности демонстрирует процесс, в котором осуществляется расширение масштабов производства. В этом случае домашние хозяйства не тратят на потребление весь доход, а откладывают часть его в форме сбережений. Как отмечалось выше, сбережения это та часть дохода, которая не используется на потребление.
Перераспределение сбережений и превращение их в инвестиции происходит при участии банков, выполняющих роль посредников.
На 4.2 показано, что государство собирает налоги с населения (домашних хозяйств) и предприятий, формируя тем самым доходную часть государственного бюджета. Расходные статьи государственного бюджета включают покупку товаров и услуг (для нужд обороны и строительства дорог, поддержки государственных предприятий и содержания учреждений), выплаты домашним хозяйствам социальных трансфертов, т.е. безвозмездные выплаты субсидий, пособий, пенсий, стипендий.
Для обеспечения нормального хода кругооборота сумма сбережений (S) должна быть равна размерам инвестиций (I), т.е. S=I В идеале доходы госбюджета должны соответствовать его расходам.
В нашей (упрощенной) картине движения товаров и денег мы, как уже отмечалось, отвлекаемся от участия в кругообороте внешней торговли. На 4.1 и 4.2 изображен товарооборот в экономике замкнутого типа. В модель «открытой» экономили включается еще один участник «заграница», рассматриваются экспортно-импортные связи, а в качестве результирующего показателя баланс внешней торговли товарами и услугами (X).
Тогда формула ВВП будет выглядеть следующим образом: Y= С+ G+I+X.
Объем национального производства и темпы экономического роста, как правило, не остаются неизменными, а постоянно колеблются под влиянием ряда факторов, прежде всего под воздействием изменений в сфере инвестиционной деятельности. К тому же экономика развивается циклически, подъемы и спады формируют цикл. Экономический цикл принято рассматривать как многоволновой процесс, включающий циклические колебания различной продолжительности (см. гл.
22).
Мы рассмотрели картину экономического кругооборота, используя графические схемы и формализованные символы. Тем самым в наиболее общем виде представили характер взаимосвязей между отдельными сферами и секторами, их роль и взаимовлияние.
Выводы 1. Экономический кругооборот это движение расходов и доходов, денег, ресурсов, продукции в сфере экономической деятельности. В экономическом кругообороте различают финансовый (денежный) и реальный секторы. К финансовому сектору относят ту часть экономического кругооборота, которая представлена движением доходов и расходов и денежных фондов (средств) в целом.
В реальный сектор включают промышленность, сельское хозяйство, строительство, транспорт.
2. Движение продуктов и денежных потоков охватывает четыре основные сферы: производство, распределение, обмен, потребление.
3. Производство представляет собой процесс преобразования и приспособления природных материалов для нужд человека. Оно включает сферы: первичную (сельское хозяйство, добычу ископаемых, производство электроэнергии), вторичную (дальнейшую обработку сырья и материалов в отраслях обрабатывающей промышленности), третичную (торговлю, связь, транспорт, услуги).
4. Обмен процесс движения материальных благ и услуг от одного участника экономической деятельности к другому. Он соединяет производителей и потребителей, через обмен формируется система экономических отношений в условиях рыночной экономики.
5. В процессе распределения выявляются количественные параметры ресурсов и результатов хозяйственной деятельности. Распределение определяет размеры доходов, получаемых участниками экономической деятельности. Разница в уровне доходов обусловливается различием выполняемых операций, формами собственности на факторы производства.
6. Потребление завершающий акт хозяйственной деятельности. Это конечная цель производства. Домашние хозяйства предъявляют спрос на потребительские товары, предприятия (фирмы) на инвестиционные товары.
7. Инвестиционные ресурсы предназначены для обновления и увеличения производства. Инвестиции направляются в финансовые активы, на увеличение основного капитала, пополнение запасов. Принято различать валовые и чистые инвестиции.
8. Изучение экономического кругооборота, его структуры помогает представить общую картину функционирования экономики, характер взаимосвязи между ее отдельными сферами и секторами, выявить их роль и взаимовлияние.


Термины и понятия
Производство
Первичный, вторичный и третичный секторы экономики
Домашние хозяйства
Предприятия (фирмы)
Государство
Финансовый (денежный) сектор экономики
Реальный сектор экономики
Производство
Обмен
Распределение
Потребление
Сбережение
Инвестиции
Амортизация
Чистые и валовые инвестиции
Экономический кругооборот


Вопросы для самопроверки
1. Какие хозяйственные операции выполняют домашние хозяйства и предприятия (фирмы)?
2. Что такое финансовый (денежный) и реальный секторы экономики? Чем они различаются?
3. Какова роль обмена в рыночной экономике?
4. Правильно ли утверждать, что распределение включает лишь распределение доходов?
5. Что такое потребление и сбережение? Как они взаимосвязаны между собой?
6. Поясните смысл кругооборота товаров и услуг. Какие связи рассматривается в упрощенной схеме кругооборота?
































Основные постулаты теории Хекшера Олина.




Пример 34.1. Допустим, что отрез сукна в 25 м обменивается на бочонок вина в 50 л.
На производство такого отреза сукна в Португалии затрачивается годовой труд 90 работников, а в Англии - 100 работников. На производство бочонка вина указанной емкости в Португалии затрачивается труд 80 работников, а в Англии 120 работников. Таким образом, Португалия имеет абсолютные преимущества по обоим товарам, а у Англии этих преимуществ нет.
Тем не менее обеим странам выгодно обмениваться товарами.
Если Португалия откажется от производства отреза сукна, а импортирует его из Англии в обмен на бочонок вина, то она сэкономит годовой труд своих 20 работников.
В приведенном примере подразумевается, что оплата труда в обеих странах одинакова. Однако, если она различна, то как указывали последующие экономисты сторонники теории Рикардо, это не вносит принципиальных изменений в теорию относительных преимуществ. В нашем случае, если уровень оплаты труда в Португалии, скажем, вдвое ниже, чем в Англии, то Португалия от обмена по-прежнему получит выгоду, но уже не в два, а в четыре раза меньше, чем Англия, т.е. у последней эта выгода будет уже не в два, а в четыре раза больше.
Это нетрудно подсчитать, если условно определить годовую заработную плату виноделов и ткачей в Португалии в 1000 ф. ст., а заработную плату тех же работников в Англии в 2000 ф. ст.


Есть теоретические доказательства того, что рикардианская модель работает и в случае множества товаров, а также при учете транспортных издержек. Таким образом, теория сравнительных преимуществ рекомендует стране импортировать те товары, издержки производства которых в данной стране по сравнению с другими товарами выше, чем экспортируемых товаров.
Как видно из приведенного примера, международная специализация стран на основе сравнительных преимуществ способствует экономии трудовых ресурсов в этих странах при сохранении в прежнем объеме (или даже увеличении) в них потребления товаров.

Теория соотношения факторов производства Хекшера Олина
Дальнейшее развитие классической теории международной торговли связано с созданием в 20-х гг. ХХ в. шведскими экономистами Эли Хекшером и Бертилем Олином теории соотношения факторов производства, которая наиболее полно была изложена в книге последнего «Межрегиональная и международная торговля» (1933 г.). Эта теория основывается на тех же предпосылках, что и теории абсолютных и сравнительных преимуществ Смита и Рикардо. Основное различие состоит в том, что она исходит из наличия не одного, а двух факторов производства: труда и капитала. Согласно воззрениям Хекшера и Олина каждая страна в разной степени наделена этими факторами производства, что и порождает различия в соотношении цен на них в странах, участвующих в международной торговле.
Ценой капитала является процентная ставка, а ценой труда заработная плата.
Уровень относительных цен, т.е. соотношение цен на капитал и труд в странах, более насыщенных капиталом, будет меньше, чем в странах, где имеется дефицит капитала и относительно большие трудовые ресурсы. И, наоборот, уровень относительных цен на труд и капитал в странах с избыточными трудовыми ресурсами будет меньше, чем в других странах, где их недостает.
Это в свою очередь приводит к различию относительных цен на одни и те же товары, от которого зависят национальные сравнительные преимущества. Отсюда каждая страна стремится специализироваться на производстве товаров, требующих больше факторов, которыми она относительно лучше наделена.

Теорема выравнивания цен на факторы производства (теорема Хекшера Олина Самуэльсона)
Под воздействием международной торговли относительные цены на товары, участвующие в мировом товарообороте, имеют тенденцию к выравниванию. Это приводит и к выравниванию соотношения цен на факторы производства, используемые при создании этих товаров в различных странах. Характер этого взаимодействия был раскрыт американским экономистом П. Самуэльсоном, исходившим из основных постулатов теории ХекшераОлина.
В соответствии с теоремой ХекшераОлинаСамуэльсона механизм выравнивания цен на факторы производства состоит в следующем. При отсутствии внешней торговли цены на факторы производства (заработная плата и процентная ставка) будут различаться в обеих странах: цена на избыточный фактор будет относительно ниже, а цена на дефицитный фактор относительно выше.
Участие в международной торговле и специализация страны на производстве капиталоемких товаров приводят к переливу капитала в экспортные отрасли. Спрос на избыточный в данной стране фактор производства превосходит предложение последнего и его цена (процентная ставка) повышается. Напротив, спрос на труд, являющийся дефицитным в данной стране фактором, относительно сокращается, что приводит к снижению его цены заработной платы.
В другой же стране, относительно лучше наделенной трудовыми ресурсами, специализация на производстве трудоемких товаров приводит к значительному перемещению трудовых ресурсов в соответствующие экспортные отрасли. Возрастание спроса на труд ведет к росту заработной платы. Спрос на капитал относительно уменьшается, что обусловливает уменьшение его цены процентной ставки.


Парадокс Леонтьева
В соответствии с теорией соотношения факторов производства относительные различия в наделенности ими определяют структуру внешней торговли отдельных групп стран. В странах, относительно более капиталонасыщенных, в экспорте должны преобладать капиталоемкие товары,,а в импорте трудоемкие. И наоборот, в странах, относительно более трудонасыщенных, в экспорте будут преобладать трудоемкие товары, а в импорте капиталоемкие.
Теория соотношения факторов производства многократно подвергалась эмпирическим проверкам путем анализа конкретных статистических данных применительно к различным странам. При этом экономисты стремились выяснить существование корреляционной зависимости между соотношением капитале- и трудонасыщенных отраслей экономики отдельных стран и реальной структурой их экспорта и импорта.
Наиболее известное исследование такого рода было осуществлено в 1953 г. известным американским экономистом российского происхождения В. Леонтьевым. Он проанализировал структуру внешней торговли США в 1947 г. и 1951 г.
Экономика США после Второй мировой войны характеризовалась высокой насыщенностью капиталом и относительно более высокой по сравнению с другими странами оплатой труда. В соответствии с теорией соотношения факторов производства Соединенные Штаты Америки должны были экспортировать преимущественно капиталоемкие, а импортировать преимущественно трудоемкие товары.
В. Леонтьев определил соотношение затрат капитала и труда, необходимых для производства экспортной продукции на 1 млн долл. и такого же по стоимости объема импорта. Вопреки ожиданиям, результаты исследования показали, что американский импорт оказался на 30% более капиталоемким, чем экспорт. Этот результат стал известен как «парадокс Леонтьева».
В экономической литературе существуют различные объяснения парадокса Леонтьева. Наиболее убедительное из них состоит в том, что США раньше других промышленно развитых стран достигли значительных преимуществ в создании новых наукоемких товаров. Поэтому в американском экспорте значительное место занимали товары, в которых относительно велики были затраты на квалифицированную рабочую силу, а в импорте преобладали товары, требовавшие относительно больших затрат капитала, включая и различные виды сырьевых товаров.
Парадокс Леонтьева предостерегает от излишне прямолинейного и упрощенного использования выводов теории Хекшера Олина в практических целях.

3. Стандартная модель международной торговли Используемая в настоящее время стандартная модель международной торговли объединяет различные теории, развивающие фундаментальные положения классических теорий на основе использования концепций предельных величин и общего равновесия экономической системы.
Базовые понятия стандартной модели были разработаны английскими экономистами Френсисом Эджуортом и Альфредом Маршаллом и американским экономистом австрийского происхождения Готфридом Хаберлером.

Основы стандартной модели
Стандартная модель, также как и классические теории международной торговли, исходит из того, что мировая экономика представлена двумя странами, в каждой из которых производятся два товара: Х и Y. Кроме того, в стандартной модели используются следующие допущения: покупатели в процессе потребления стремятся обеспечить максимум эффекта (графически это изображается с помощью кривых безразличия), а производители стремятся извлечь максимум прибыли; на внутреннем и мировом рынках существует совершенная конкуренция, в условиях которой равновесная цена устанавливается на уровне, соответствующем предельным издержкам производства.
Рассмотрим на конкретном примере, при каких условиях обеспечивается состояние равновесия в национальной экономике.








Основные постулаты теории Хекшера Олина.





34.1. Граница производственных возможностей

На 34.1 график показывает то количество товаров Х и Y , которое может быть произведено при данном количестве ресурсов. Точки выше кривой (такие, как точка В) это тот объем производства, который невозможно достичь при существующих технологиях. Точка ниже кривой (такие, как точка С) показывает тот объем производства, когда ресурсы в данной стране используются неэффективно. Сама же кривая отражает максимальный объем выпуска товаров в данной стране.
Каждая точка кривой (Е, Е1 и т.д.) показывает возможное сочетание производства товаров (ассортимент), при котором достигается этот максимальный уровень производства, а фактический объем производства устанавливается производителями и потребителями (подробнее о кривой производственных возможностей см. 1.3).



Основные рыночные силы.



Механизм обеспечения конкурентоспособности фирмы Конкурентные преимущества фирмы обеспечиваются в процессе конкурентной борьбы с так называемыми пятью силами (направлениями) конкуренции, т.е. с другими продавцами аналогичной продукции, фирмами потенциальными конкурентами, производителями заменителей, поставщиками ресурсов, покупателями ее продукции. Их можно рассматривать как основные рыночные силы. Аналитическую концепцию взаимодействия основных конкурентных сил можно представить в виде следующей схемы ( 8.3).






Основные рыночные силы.




8.3. Модель пяти сил (направлений) конкуренции
Модель пяти сил (направлений) конкуренции это эффективный метод анализа основных конкурентных сил, влияющих на положение фирмы на рынке. Эта модель дает возможность более целенаправленно оценить конкурентную обстановку на рынке и на этой основе разработать такой вариант долгосрочной стратегии фирмы, который в наибольшей мере обеспечит ее защиту от воздействия конкурентных сил и одновременно будет способствовать созданию дополнительных конкурентных преимуществ.
Каким образом фирма отстаивает свои преимущества в противодействии основным конкурентным силам? Каковы особенности этого процесса в современных российских условиях?
К о н к у р е н т н а я с и л а п о с т а в щ и к о в э к о н о м и ч е с к и х р е с у р с о в определяется в первую очередь уровнем цен и качеством поставляемых ресурсов. Особое значение это направление конкуренции приобретает в том случае, когда доля покупаемых ресурсов в издержках производства продукции велика, и от их качества во многом зависит качество конечной продукции фирмы. Позиции поставщиков ресурсов усиливаются также и в том случае, когда их предложение ограничено, что дает возможность поставлять ресурсы на менее выгодных для покупателей условиях.
В свою очередь, усилению конкурентных позиций фирм потребителей ресурсов способствует расширение круга поставщиков, включая возможность переключения фирмы на импортные поставки ресурсов на более выгодных условиях.
Одним из наиболее эффективных методов усиления позиции фирм покупателей ресурсов является проведение стратегии, направленной на установление контроля над фирмами производителями сырья или поставщиками комплектующих изделий путем создания вертикально-интегрированных компаний. К положительным моментам вертикальной интеграции относятся: большая защищенность от колебаний цен на ресурсы, большая надежность поставок, а также более эффективная координация различных этапов производства, объединенных в единую технологическую цепочку.
В условиях современной России вертикальная интеграция получает значительное развитие посредством создания холдингов или финансово-промышленных групп.
К о н к у р е н т н а я с и л а п о к у п а т е л е й возникает вследствие того, что покупатели (торгово-посреднические фирмы, предприятия потребители инвестиционных товаров, а также физические лица конечные покупатели потребительских товаров) оказывают воздействие на фирмы-производители через влияние на цены потребляемых товаров и услуг, требования к их качеству и послепродажному обслуживанию. Для обеспечения устойчивого гарантированного спроса на свою продукцию и реализацию ее на благоприятных условиях фирмы-производители во многих случаях стремятся углубить дифференциацию производимой продукции с тем, чтобы занять новые ниши на рынке и снизить свою зависимость в первую очередь от покупателей крупных партий товаров.
Немаловажное значение, особенно в условиях России, имеет расширение прямых поставок с предприятий, минуя торгово-посредническую сеть, предоставление отсрочек по платежам за приобретенную покупателями продукцию, применение различных схем льготного кредитования физических лиц конечных потребителей товаров.
Одним из наиболее эффективных средств усиления позиций фирм-производителей в отношении покупателей является применение стратегии расширения сферы деятельности фирм за счет : приобретения торгово-посреднических компаний или установления контроля над структурами, находящимися между фирмами и конечными потребителями их продукции, т.е. сбытовой сетью (каналами сбыта).
С и л а ф и р м , п о т е н ц и а л ь н о г о т о в ы х в ы й т и н а д а н н ы й р ы н о к т о в а р о в и у с л у г , определяется тем, что появление новых фирм на нем приводит к перераспределению рынка (или его сегмента), обострению конкуренции и снижению цен. Реальность проникновения новых фирм на рынок зависит от уровня входных барьеров, препятствующих такому проникновению. Суть их состоит в том, что они могут вызвать повышение размеров первоначальных капиталовложений или увеличение степени риска для новых фирм. К входным барьерам относятся высокая монополизация рынка, эффект масштаба (при увеличении объема выпуска суммарные издержки производства единицы продукции снижаются), патентно-лицензионная защита ключевых технологий и ноу-хау, контроль над ограниченными видами экономических ресурсов и лучшими каналами сбыта.
В условиях России дополнительные барьеры связаны с криминогенным влиянием на рынок, в том числе с разделом сфер влияния между криминальными структурами.
Конкурентная сила фирм, производящих товары-заменители, зависит прежде всего от соотношения цен на изделия-оригиналы и товары-заменители, а также от различий в их качественных характеристиках. Противодействие конкуренции со стороны товаров-заменителей это прежде всего улучшение качества производимых изделий, поддержание на приемлемом уровне цен на изделия-оригиналы, а также придание им таких уникальных свойств, которые затрудняют переход к использованию товаров-заменителей. В России наибольшая угроза со стороны товаров-заменителей вызвана расширением импорта товаров, производство которых не освоено отечественными производителями, в частности отдельных видов продовольственных товаров, медикаментов, аудио- и видеотехники, промышленного оборудования.
С и л а с о п е р н и ч е с т в а м е ж д у к о м п а н и я м и , п р о и з в о д я щ и м и а н а л о г и ч н ы е т о в а р ы и у с л у г и , является основной силой (направлением) конкурентной борьбы, так как в наиболее концентрированном виде выявляет успехи или неудачи фирмы в обеспечении дополнительных конкурентных преимуществ. При этом конкуренция между фирмами приобретает специфический черты в зависимости от ряда факторов. Она имеет .наиболее созидательный и плодотворный характер, если на рынке уже сложилась конкурентная среда, так как в этих условиях конкурентная борьба приводит к выпуску фирмами новых видов продукции, расширению круга оказываемых ими услуг, внедрению новой технологии.
Однако в России конкурентная среда только начинает складываться и во многих секторах экономики еще сохраняется олигополистическая структура рынка, унаследованная от административно-командной системы.
Конкуренция принимает явно выраженный наступательный, агрессивный характер, когда с появлением новых видов товаров формируются новые сегменты рынка, проникновение на которые сулит возможность получать высокую прибыль. В этих условиях более крупные фирмы, стремясь увеличить свою долю на рынке, действуют агрессивно, скупая более мелкие фирмы, внедряя на них новые технологии и расширяя выпуск продукции под своей торговой маркой. В России подобный характер конкуренция приобретает в тех пока немногочисленных отраслях экономики, которые раньше других вышли из кризиса (так называемые точки роста), ориентированы на реальный платежеспособный спрос и где в этой связи конкурентная борьба принимает агрессивные формы.
Наконец, конкурентная борьба носит наиболее ожесточенный и драматический характер в депрессивных отраслях с высокими в ы х о д н ы м и б а р ь е р а м и , т.е. когда затраты на уход с рынка Консервацию производства, выплату компенсации увольняемому персоналу и т.д.) превышают расходы, связанные с продолжением Конкурентной борьбы. Оказавшиеся в тяжелом финансовом положении фирмы вынуждены проводить оборонительную стратегию, стремясь удержаться на плаву, сохранить свою нишу на рынке даже в условиях падающей рентабельности и отсутствия доходов на капитал. Подобная ситуация характерна для многих отраслей современной России.
Все основные направления укрепления конкурентных позиций фирм находят отражение при разработке ими долгосрочной стратегии, которая в современных российских условиях имеет ряд особенностей по сравнению со стратегиями фирм, функционирующих в условиях развитой рыночной экономики. Во-первых, целевой установкой фирм часто является не только обеспечение устойчивой прибыли, но и сохранение занятости, чтобы избежать обострения социальной напряженности. Во-вторых, резко повышенная степень и специфический характер рисков принимаемых решений, к которым в первую очередь относятся частые изменения в государственной финансово-кредитной, налоговой, таможенной политике, а также низкая платежеспособность покупателей продукции фирмы, включая государственные ведомства и учреждения.

  1. Предпринимательский потенциал России

Характерные черты предпринимательского потенциала России Характер предпринимательского потенциала России обусловлен переходным состоянием российской экономики. С одной стороны, Россия продемонстрировала способность к быстрому формированию предпринимательской инфраструктуры и самого класса предпринимателей, тем более что сами эти понятия на протяжении многих предшествовавших десятилетий воспринимались в стране исключительно негативно. За 90-е гг. в России образовались тысячи рыночных институтов, возникли миллионы собственников.



Оживление постепенно охватывает новые производства.


4. Циклические колебания экономического роста. Теории экономических циклов Условием устойчивости и стабильного экономического развития является равновесие, сбалансированность между общественным производством и потреблением, совокупным спросом и совокупным предложением. Однако в рыночной экономике состояние равновесности периодически нарушается. Наблюдается определенная цикличность, повторяемость в функционировании национального хозяйства, когда периоды подъема экономики сменяются периодами спада и застоя.
Цикличность можно определить как движение национальной экономики от одного макроэкономического равновесия к другому.
Экономический цикл включает ряд последовательно сменяющих друг друга фаз экономической активности, выражающих неравномерность развития национальных хозяйств и экономического процесса в целом. В конечном итоге через цикличность проявляется экономический рост, ибо движение происходит не по кругу, а по спирали, отражая как долговременные, так и среднесрочные колебания конъюнктуры.
Экономическая теория выделяет ряд циклов экономического развития (роста): длинноволновые циклы, выражающие долговременные колебания экономической активности с периодом около 50 лет и получившие название «циклы Кондратьева» (по имени русского экономиста); нормальные, или так называемые большие, промышленные циклы с периодом от 8 до 12 лет и малые циклы, или «циклы Китчина» (по имени открывшего их американского экономиста), продолжительностью 34 года. Это тот срок, который необходим для массового обновления основных фондов.

Промышленный экономический цикл В классическом варианте промышленный экономический цикл складывается из четырех фаз: кризис перепроизводства, депрессия, оживление и подъем. Конечной и исходной фазой при развитии цикла выступает перепроизводство, выражающее сильное нарушение сбалансированности воспроизводственного процесса, перенакопление капитала во всех его формах (денежной, производительной, товарной) по сравнению с емкостью рынка.
Это перенакопление капитала проявляется, прежде всего, в сфере обращения, о чем свидетельствует накопление товарных запасов, замедление оборота капитала, разрыв актов купли-продажи. Как следствие падение темпов роста, сокращение выпуска продукции, снижение заработной платы, снижение цен.
Во время экономического кризиса, как правило, нарушаются кредитные отношения и кризис охватывает финансовый рынок.
В фазе депрессии спад производства прекращается, приостанавливается падение цен. Уровень безработицы остается еще высоким. Снижение нормы ссудного процента стимулирует спрос на ссудный капитал. Это создает предпосылки для определенного накопления капитала и способствует оживлению производства. Тогда наступает новая фаза в движении цикла оживление.
Безработица сокращается, растет покупательский спрос, наблюдается повышение цен, нормы прибыли, возрастает спрос на капитал, а следовательно, и увеличивается ставка ссудного процента. Оживление постепенно охватывает по спирали новые производства. Начинается фаза подъема.
Современные западные экономисты в противовес традиционному подходу рассматривают структуру экономического цикла несколько иначе, выделяя следующие фазы: подъем и бум (пик), сокращение и спад, где бум вершина подъема производства, а спад низшая точка его падениям ( 21.2).




Оживление постепенно охватывает новые производства.




21.2. Модель экономического цикла


Фаза экономического спада, находящаяся между самой высокой и самой низкой точками цикла, называется рецессией. Если спад чрезвычайно глубок, как в период с 1929 по 1933 г., эта фаза называется депрессией'.





' См.: СаксДж.Д., Ларрен Ф.Б. Макроэкономика. Глобальный подход / Пер. с англ.
М., 1996.



Эволюция экономических циклов Промышленные циклы четко проявились уже в начале XIX в. В 1825 г. в Англии, которая в то время являлась экономическим лидером, разразился первый экономический кризис. В дальнейшем экономические кризисы повторялись периодически через 812 лет, постепенно принимая мировой характер.
Экономические циклы эпохи свободной конкуренции и современной регулируемой рыночной экономики существенно различаются между собой как по продолжительности в целом, так и по проявлениям нарушения сбалансированности, глубине и масштабам падения производства и жизненного уровня населения.
Кризисы XIX в. характеризовались значительной синхронностью, почти одновременно охватывая все промышленно развитые страны. Их продолжительность составляла по большей части от одного до двух лет, глубина падения производства от 5 до 10%.
В первой половине XX в. наиболее продолжительным и глубоким был мировой кризис 19291933 гг. Падение производства достигало в некоторых странах более 40%. С этого времени возник xронический избыток основного капитала, постоянная недозагрузка производственных мощностей и хроническая безработица.
Вторая мировая война и послевоенное восстановление производства нарушили синхронность циклов. В США послевоенный кризис наблюдался в 19481949 гг., в Англии и Франции в 1951 1952 гг., в Японии - в 1953-1954 гг. и в ФРГ- в 1957-1958 гг.
На послевоенные экономические циклы большое влияние оказали НТР и государственное регулирование экономики с целью сглаживания циклических колебаний и остроты кризисов. Характер циклического развития подвергается определенным изменениям. Меняются глубина и продолжительность кризисов, основных фаз и параметров цикла.
Кризисы перепроизводства сопровождаются промежуточными спадами, нарушающими общую картину и механизм цикла. Наиболее глубокое падение производства наблюдалось в период кризисов 1957-1958 гг., 1966-1967 гг., 1973-1975 гг. и 1979-1981 гг.
Кризис 19731975 гг. восстановил синхронность очередного цикла, но уже в 19901991 гг. вновь возникла асинхронность. В то время как в США происходило снижение производства, в Японии продолжался его рост, во Франции наблюдалась стагнация. В дальнейшем в США наступает рекордный по длительности экономический подъем (табл.
21.1), наблюдаются постепенное улучшение конъюнктуры в Европе и серьезные финансовые трудности в Японии. Все это свидетельствует о том, что каждый экономический цикл имеет свою специфику и развертывается под воздействием многих факторов. В 90-е гг. в развитых странах наблюдаются волнообразные колебания производственного процесса без глубокого снижения производства, уменьшилась острота кризисных проявлений, усилились факторы, противодействующие падению производства.

Таблица 21.1. Темпы прироста ВВП и промышленного производства в США, %



Показатели
1991
г.
1992
г.
1993
г.
1994
г.
1995
г.
1996
г.
1997
г.
ВВП
-0,9
2,7
2,3
3,5
2,0
2,8
3.7
Промышленное производство
-0,2
3,2
3,4
5,0
3,3
2,8
4,7



Причины средних циклических колебаний
Цикличность в развитии рыночной экономики объясняется прежде всего действием внутренних факторов, присущих самой системе. Механизм «невидимой руки» рынка на основе экономических законов (законов спроса и предложения, конкуренции, капиталистического накопления) стихийно регулирует макроэкономическое равновесие. В то же время стремление экономических агентов к максимизации прибыли, расширению масштабов производства, росту инвестиций как стимулов развития экономики приводит к такому состоянию, когда совокупное предложение выходит за пределы рыночного спроса.
Большинство экономистов-теоретиков считают, что кризисы перепроизводства обусловлены серьезным нарушением соотношения между совокупным спросом и совокупным предложением. Вместе с тем через экономический кризис и меры, применяемые по выходу из него, равновесие восстанавливается. Происходит массовое обновление основного капитала, совершенствуется отраслевая структура экономической системы.
Э. Хансен связывает причины экономических спадов и подъемов с влиянием цикла капиталовложений.
В исследованиях причин экономических циклов в настоящее время широкое распространение получил подход, согласно которому циклы являются следствием случайных воздействий на экономическую систему, так называемых импульсов, или шоков, нарушающих экономическое равновесие и вызывающих ответные колебания.
Впервые эти идеи были высказаны советским экономистом Евгением Слуцким в 1927 г. Подобное исследование проводилось норвежским ученым Рагнаром Фришем и нашло отражение в его работе «Проблемы распространения импульсов в экономике», опубликованной в Лондоне в 1933 г. Выделяется несколько типов импульсов:
ш о к и п р е д л о ж е н и я, воздействующие на производство. К ним относятся технологические сдвиги, климатические изменения, открытие новых источников сырья, колебания мировых цен на сырье и т.д.;
ш о к и, с в я з а н н ы е с р е ш е н и я м и г о с у д а р с т в е н н ы х о р г а н о в в л а с т и на макроуровне и воздействующие главным образом на спрос. Это фискальная и денежная политика, колебания обменного курса, ставки ссудного процента;
ш о к и в с п р о с е ч а с т н о г о с е к т о р а, такие как изменения в инвестиционных и потребительских расходах этого сектора экономики.
Перечисленные шоки возникают внутри страны и влияют на развитие экономики посредством международных торговых и финансовых связей.



Перекрестная эластичность спроса


На участках эластичного спроса снижение цены и рост объема продаж приводят к увеличению общей выручки от реализации продукции фирмы, на участке неэластичного спроса к уменьшению выручки. Поэтому каждая фирма будет стремиться избегать того участка спроса на свою продукцию, где коэффициент эластичности меньше единицы.

Какие факторы влияют на эластичность спроса?
Важным моментом, оказывающим воздействие на эластичность спроса, является наличие т о в а р о в з а м е н и т е л е й. Чем больше на рынке продуктов, призванных удовлетворять одну и ту же потребность, тем больше возможностей для покупателя отказаться от приобретения данного конкретного продукта в случае повышения его цены, тем выше эластичность спроса на данный товар.
Например, спрос на хлеб относительно неэластичен. В то же время спрос на отдельные сорта хлеба является относительно эластичным, так как с повышением цены, к примеру, на бородинский хлеб покупатель может перейти на другой сорт ржаного хлеба и т.п. Спрос на сигареты, лекарства, мыло и другие подобные продукты относительно неэластичен.
Однако если рассматривать эластичность по отношению к отдельным видам сигарет, сортам мыла и т.п., то она будет значительно выше.
Та же закономерность применима к изделиям, выпускаемым отдельной фирмой. Если на рынке присутствует значительное число конкурентов, выпускающих аналогичную или близкую по назначению продукцию, то спрос на продукцию этой фирмы будет относительно эластичным. В условиях совершенной конкуренции, когда много продавцов предлагают одинаковую продукцию, спрос на товар каждой отдельной фирмы будет абсолютно эластичным (см. гл.11).
Другим важным обстоятельством, влияющим на ценовую эластичность, является ф а к т о р в р е м е н и. В краткосрочном периоде спрос имеет тенденцию быть менее эластичным, чем в долгосрочном. Например, спрос на бензин со стороны индивидуальных владельцев автомобилей относительно неэластичен, и повышение цены, особенно в летний сезон, вряд ли сократит спрос. Однако можно предположить, что осенью значительная часть автовладельцев поставят свои машины в гаражи, спрос на бензин снизится, сократится объем продаж его.
Кроме того, к следующему лету часть из них начнут пользоваться пригородными электричками. Несмотря на то, что спрос на бензин относительно неэластичен в обоих случаях, в долгосрочном периоде эластичность выше.
Такая тенденция изменения эластичности во времени объясняется тем, что с течением времени каждый потребитель имеет возможность изменить свою потребительскую корзину, найти товары-заменители.
Различия в эластичности спроса объясняются также з н а ч и м о с т ь ю того или иного товара для потребителя. Спрос на предметы первой необходимости неэластичен; спрос на товары, не играющие важной роли в жизни потребителя, обычно эластичен. Действительно, при повышении цен мы можем отказаться от дополнительной пары обуви, драгоценностей, мехов, но вряд ли сократим покупки хлеба, мяса и молока.
Как правило, спрос на продукты питания неэластичен, и сейчас, при снижающемся уровне жизни населения, на их приобретение тратится все большая часть доходов средней российской семьи.

Что такое перекрестная эластичность спроса?
Понятие п е р е к р е с т н о й э л а с т и ч н ос т и с п р о с а используется для определения степени влияния на величину спроса на данный товар изменения цены другого товара. Коэффициент перекрестной эластичности это отношение процентного изменения спроса на товар А к процентному изменению цены товара Б:

Перекрестная эластичность спроса




где «с» в индексе означает перекрестную эластичность (англ. сross).
Значение коэффициента перекрестной эластичности зависит от того, какие товары рассматривают: взаимозаменяемые или взаимодополняемые. Если товары являются взаимозаменяемыми, коэффициент перекрестной эластичности будет иметь положительное значение. Так, подорожание сливочного масла вызовет увеличение спроса на маргарин, снижение цены на бородинский хлеб приведет к сокращению спроса на другие сорта черного хлеба.
Если товары являются взаимодополняемыми, как, например, бензин и автомобили, фотоаппараты и фотопленка, величина спроса будет изменяться в направлении, противоположном изменению цен, а коэффициент эластичности будет иметь отрицательное значение.
Например, цена батона белого хлеба повысилась с 4 до 5 руб., в результате спрос на черный хлеб увеличился с 2000 до 3000 буханок. Рассчитав коэффициент перекрестной эластичности, который в данном случае равен 1,8, можно сделать вывод, что эти два вида хлеба являются взаимозаменяемыми товарами.
Измерив перекрестную эластичность, можно определить, являются ли выбранные товары взаимодополняемыми или взаимозаменяемыми и соответственно как изменение цены на какой-то один вид продукции, производимой фирмой, может отразиться на спросе на другие виды продукции той же фирмы. Такие расчеты помогут оценить решения по изменению цен на выпускаемую продукцию.

Эластичность спроса по доходу Для оценки эластичности спроса может быть выбрана не только цена, но и другие экономические переменные. Эластичность спроса по доходу измеряется как отношение изменения спроса на товар к изменению доходов потребителей. Измерив эластичность по доходу, можно определить, относится ли данный товар к категории нормальных (когда рост доходов приводит к росту спроса) или низших (когда реакция обратная).
Основная масса потребительских товаров относится к категории нормальных. С ростом доходов мы больше покупаем одежды и обуви, высококачественных продуктов питания, товаров длительного пользования. Однако есть товары, спрос на которые обратно пропорционален доходам потребителей.
К ним относится вся продукция «second hand», некоторые виды продовольствия (крупы, сахар, хлеб и т.п.).

Эластичность предложения Измерив э л а с т и ч н о с т ь п р е д л о же н и я п о ц е н е, можем получить ответ на вопрос, насколько производство той или иной продукции реагирует на изменение цены. Коэффициент ценовой эластичности предложения рассчитывается по той же формуле, что и коэффициент ценовой эластичности спроса. Различие лишь в том, что вместо величины спроса берется величина предложения:

Перекрестная эластичность спроса



где Q0 и Q1 предложение до и после изменения цены; Р0 и Р1, цены до и после изменения; «S» в индексе означает эластичность предложения.
Предложение, поскольку оно связано с изменением производственного процесса, медленнее адаптируется к изменению цены, чем спрос. Поэтому фактор времени является важнейшим в определении показателя эластичности.
Обычно при оценке эластичности предложения рассматриваются три временных периода: краткосрочный, среднесрочный и долгосрочный.
Под краткосрочным понимается период, слишком короткий для осуществления каких-либо изменений в объеме выпускаемой продукции. Например, садовод, вырастивший яблоки и приехавший на рынок их продавать, не может изменить количество предлагаемыx им яблок, какая бы ни сложилась рыночная цена. В этом случае предложение является неэластичным.
Среднесрочный период достаточен для расширения или сокращения производства на уже существующих производственных мощностях, но недостаточен для введения новых мощностей. Эластичность предложения в этом случае повышается.
Долгосрочный период предполагает расширение или сокращение фирмой своих производственных мощностей, а также приток новых фирм в отрасль при расширении спроса на данную продукцию или уход из нее при сокращении последнего. Эластичность предложения будет выше, чем в двух предыдущих случаях.

Применение теории эластичности
Теория эластичности спроса и предложения имеет важное практическое значение. Проиллюстрируем ее применение на конкретных примерах. Увеличение производственных издержек толкает предприятие на повышение цены продукции.
Что произойдет со сбытом? Снизится ли он значительно или вообще не изменится? Компенсирует ли рост цены сокращение прибыли за счет потери части потребительского спроса?
Чтобы ответить на эти вопросы и правильно выбрать ценовую стратегию предприятия, надо знать эластичность спроса и предложения на данный товар. Ниже приведены коэффициенты ценовой эластичности спроса на некоторые виды товаров и услуг'.




' См.: Макконнелл К.Р., Брю С.Л. Экономикс. В 2 т. М., 1992.
Т. 2. С. 19.




Перекрестная эластичность спроса


Приведенные данные характерны для экономики США. Для России показатели ценовой эластичности рыночного спроса будут несколько иными в зависимости от наличия товаров-заменителей и других обстоятельств, о которых говорилось выше.
Для фирмы важно иметь в виду, что эластичность спроса на ее продукцию и эластичность рыночного спроса не совпадают. Первая всегда (за исключением абсолютной монополии фирмы на рынке) выше второй. Рассчитать ценовую эластичность спроса на продукцию фирмы достаточно сложно, так как необходимо принимать во внимание и реакцию конкурентов на повышение или понижение фирмой цены.
Помочь в этом может использование математических моделей или опыт руководителей фирмы.
Если фирма при принятии решения о цене будет руководствоваться только данными об эластичности рыночного спроса, то потери сбыта от повышения цен могут стать более значительными, чем ожидались. Например, если примем эластичность рыночного спроса на табачные изделия 0,46, то это совершенно не означает, что эластичность спроса на сигареты фабрики «Ява» или «Дукат» будет иметь то же значение. Конкуренция повысит коэффициент эластичности спроса на сигареты каждой из этих фабрик.



Почему нужно бояться инфляции?


При этом расширение производства будет тем значительнее чем больше имеется неиспользуемых факторов производства. Рост массы обращающихся денег ускоряет платежный оборот, способствует активизации инвестиционной деятельности. В свою очередь, рост производства приведет к восстановлению равновесия между товарной и денежной массами при более высоком уровне цен.
Процесс этот противоречив. С одной стороны, увеличиваются денежные прибыли, расширяются капиталовложения, а с другой стороны, рост цен ведет к обесцениванию неиспользуемого капитала. Выигрывают не все, а прежде всего наиболее сильные фирмы, имеющие современное оборудование, наиболее совершенную организацию производства.
В лучшем положении оказываются социальные группы, живущие на нефиксированные доходы, если их номинальные доходы будут расти темпом, обгоняющим рост цен.
В условиях «инфляционных ожиданий» предприниматели стремятся обезопасить себя от риска, в частности от предполагаемого роста цен на сырье, топливо, комплектующие. Чтобы избежать потерь, вызываемых обесцениванием денег, производители, поставщики, посредники повышают цены, подстегивая тем самым инфляцию.
От инфляции могут выиграть люди, взявшие деньги в кредит, если не оговорено, что процент за кредит должен учитывать инфляционный рост цен. Взяв в качестве ссуды, к примеру, 1 млн руб., дебитор должен вернуть через оговоренный срок взятую сумму (с процентами). Но если за это время покупательная способность рубля упадет вдвое, то сумма, которая будет возвращена банку, по своей реальной покупательной способности окажется наполовину меньше по сравнению с взятой в кредит (без учета процентов).
Весьма опасна двузначная и тем более трехзначная инфляция. В условиях двузначной инфляции большинство экономических агентов испытывают трудности с планированием доходов и расходов, в результате чего экономическая деятельность тяготеет к наиболее доходным и быстроокупаемым видам деятельности и экономический спад становится весьма вероятным. Длительная и неуправляемая инфляция ведет вообще к постепенному сворачиванию хозяйственной деятельности в большинстве секторов экономики, в результате чего проигрывают почти все экономические агенты.

Почему нужно бояться инфляции? Но каковы бы ни были «позитивные» функции инфляции, выходя из-под контроля и даже оставаясь относительно слабой, регулируемой, она оказывает целый комплекс сугубо отрицательных, негативных влияний на ход экономического развития. Отметим кратко лишь некоторые из них.
Инфляция (и это общепризнано) сужает мотивы к трудовой деятельности, ибо она подрывает возможности нормальной реализации ценовых заработков. Инфляция, особенно в условиях существенного роста цен, усиливает социальную дифференциацию населения, разрыв между «крайними» группами получателей доходов.
Негативная функция инфляции состоит также в том, что она сужает возможности накопления. Сбережения в ликвидной форме сокращаются, частично принимают натуральную форму (скупку недвижимости). Соотношение между потребляемой и сберегаемой частями доходов сдвигается в сторону потребления.
Выпуск ценных бумаг нередко не достигает желаемой цели, ибо оказывается не в состоянии «связать» деньги у населения.
Инфляция ослабляет позиции властных структур. Стремление государственных органов получить посредством эмиссии дополнительные средства для решения неотложных задач имеет своим следствием рост недовольства, усиление нажима со стороны различных социальных групп в целях увеличения заработков, получения дополнительных льгот и субсидий. Снижается доверие к программам и мероприятиям, намечаемым и проводимым правительством.
Реакция населения на ухудшение условий на потребительском рынке, в производстве принимает нередко довольно острые формы.
К негативным последствиям инфляционных процессов относятся:
снижение реальных доходов населения (при неравномерном росте номинальных доходов);
обесценивание сбережений населения (повышение процентов на вклады, как правило, не компенсирует падение реальных размеров сбережений);
потеря у производителей заинтересованности в создании качественных товаров (увеличивается выпуск товаров низкого качества, сокращается производство относительно дешевых товаров);
усиление диспропорций между производством промышленной и сельскохозяйственной продукции;
ухудшение условий жизни преимущественно у представителей социальных групп с твердыми доходами (пенсионеров, служащих, студентов, чьи доходы формируются за счет госбюджета).

3. Регулирование инфляции Одним из сложнейших вопросов экономической политики является управление инфляцией. Способы управления ею неоднозначны, противоречивы по своим последствиям. Диапазон параметров для проведения такой политики может быть весьма узок: с одной стороны, требуется сдерживать раскручивание инфляционной спирали, а с другой стороны, необходимо поддерживать стимулы производства, создавать условия для насыщения рынка товарами.
Управление инфляцией предполагает использование комплекса мер, помогающих в определенной мере сочетать рост цен (незначительный) со стабилизацией доходов. Инструменты управления процессом инфляции различаются в зависимости от ее характера и уровня, особенностей хозяйственной обстановки, специфики хозяйственного механизма. В целом в развитых странах (в частности, в США и большинстве стран Западной Европы) темп инфляционного роста (после периода послевоенной стабилизации) удается удерживать в довольно узких пределах.

Антиинфляционная политика Для антиинфляционного регулирования используются два типа экономической политики:
политика, направленная на сокращение бюджетного дефицита, ограничение кредитной экспансии, сдерживание денежной эмиссии. В соответствии с монетаристскими рецептами применяется таргетирование регулирование темпа прироста денежной массы в определенных пределах (в соответствии с темпом роста ВВП);
политика регулирования цен и доходов, имеющая целью увязать рост заработков с ростом цен. Одним из средств служит индексация доходов, определяемая уровнем прожиточного минимума или стандартной потребительской корзины и согласуемая с динамикой индекса цен. Для сдерживания нежелательных явлений могут устанавливаться пределы повышения или замораживание заработной платы, ограничиваться выдача кредитов и т.д.
Воздействие на инфляционный процесс в условиях резкого роста цен требует специальных мер. Так, для устранения последствий «нефтяного шока», ударившего по экономике США во второй половине 70-х гг., были повышены учетные ставки, усилены требования к размерам резервных фондов, пересмотрена система налогообложения. Снизить темпы инфляционного роста цен удалось не сразу: с 1314% в 1979 г. они снизились до 4% спустя примерно три года в 1982 г.
Активная борьба с инфляцией, называемая дефляционной политикой, обычно приводит к падению темпов роста ВВП и даже его сокращению (дефляции).
Конкретные методы сдерживания инфляции, «дозировка» и последовательность применения привлекаемых «для лечения лекарств» зависят от постановки правильного «диагноза». Поставить «диагноз» значит определить характер инфляции, выделить основные и связанные с ними факторы, подстегивающие раскручивание инфляционных процессов. Каждая инфляция специфична и предполагает применение таких рецептов, которые соответствуют характеру и глубине «заболевания».
Инфляция может носить монетарный или преимущественно структурный характер; ее источниками могут быть чрезмерный спрос (инфляция спроса) или опережающий рост заработков и цен на материалы и комплектующие (инфляция издержек). Инфляция может стимулироваться неоправданно низким курсом национальной валюты (бегство от дешевых денег) или неоправданным снятием ограничений на цены, на ценообразующие товары (топливо, транспорт, сельскохозяйственное сырье).
Стимулируют инфляцию и дефицит госбюджета, и монополизм поставщиков и производителей. Практически действует не одна, а комплекс причин и взаимосвязанных факторов. Поэтому и методы борьбы с инфляционным процессом обычно носят комплексный характер; они постоянно уточняются и корректируются.

Управление инфляцией в переходной экономике Вполне очевидно, что управление инфляцией в условиях реформируемой экономики предполагает использование как апробированных, так и нестандартных мер, учитывающих природу инфляции, ее причины, методы проявления. По сути дела, в нашей стране следует вести речь об особой форме инфляции, порождаемой конкретными условиями, противоречиями переходного периода.
Следует признать, что ни в России, ни в большинстве других стран, вставших на путь системных экономических реформ, расчеты на быстрое укрощение стихии цен и пробуждение заинтересованности у производителей не оправдались. Запустить новую систему хозяйственного регулирования оказалось далеко не просто. Переход от одной системы к другой от централизованно управляемой к основанной на действии рыночных сил натолкнулся на беспрецедентные проблемы, которые не были предвидимы ни в деталях, ни в целом.
Управлять инфляционным процессом в переходной экономике оказалось необычайно трудно. Возник новый тип инфляции, который не отвечает привычным оценкам и слабо реагирует на традиционные методы воздействия. В условиях затяжного инфляционного «заболевания» складывалась ситуация своего рода консервации инфляционного климата, негативного или непредвиденного реагирования на попытки вывести экономику из состояния инфляционного шока.



Появляются банкноты евро


Среди многочисленных интеграционных группировок можно выделить: в Западной Европе ЕС, в Северной Америке НАФТА, в Азиатско-Тихоокеанском регионе АСЕАН, в Евразии-СНГ.
Исторически наиболее четко интеграционные процессы проявились в Западной Европе, где во второй половине ХХ столетия складывалось единое хозяйственное пространство целого региона, в рамках которого формировались общие условия воспроизводства и создавался механизм его регулирования. Здесь интеграция достигла наиболее зрелых форм.

ЕС как наиболее зрелая интеграционная группировка Официально до 1 ноября 1993 г. ведущая интеграционная группировка западноевропейских стран называлась Европейские сообщества, так как она появилась после слияния в 1967 г. органов трех ранее самостоятельных региональных организаций:
Европейского объединения угля и стали (ЕОУС); Парижский договор о создании ЕОУС вступил в силу в 1951 г.;
Европейского экономического сообщества (ЕЭС); Римский договор о создании ЕЭС заключен в 1957 г., вступил в силу в 1958 г.;
Европейского сообщества по атомной энергии (Евратом); договор вступил в силу с 1958 г.
Важной вехой в развитии ЕС явился вступивший в силу с 1 июля 1987 г. Единый европейский акт, одобренный и ратифицированный всеми членами Сообщества. Этим актом внесены и юридически закреплены глубокие изменения в договоры об образовании ЕС.
Во-первых, деятельность ЕС в области экономической интеграции соединялась с европейским политическим сотрудничеством в единый процесс. Было предусмотрено создание Европейского союза, который должен был обеспечить не только высокую степень экономического, валютно-финансового, гуманитарного сотрудничества стран-участниц, но и согласование внешней политики и обеспечение безопасности. Реализация Единого европейского акта приведет к тому, что Европейский союз будет иметь структуру федеративного типа.
Во-вторых, в Едином европейском акте была поставлена задача завершения создания в рамках ЕС единого внутреннего рынка как пространства без внутренних границ, в котором обеспечивается свободное движение товаров, капиталов, услуг и гражданских лиц, что и было достигнуто. Для реализации идеи единого рынка Комиссия ЕС разработала примерно 300 программ по устранению преград в торгово-экономическом обмене между странами членами ЕС. К середине 90-х гг. эти преграды были в основном устранены.
В 1991 и 1992 гг. были подписаны договоры о формировании экономического и валютного союза (Маастрихтские соглашения). С 1 ноября 1993 г., после вступления в силу Маастрихтских соглашений, официальное название этой группировки Европейский союз.
Развитие интеграции в рамках ЕС прошло ряд этапов, характеризующихся как ее углублением, переходом от низших форм (зона свободной торговли, таможенный союз, общий рынок) к высшим (экономический и валютный союз), так и увеличением числа участников.
С 1 января 1995 г. в ЕС, как полноправные члены, входят 15 стран: Австрия, Бельгия, Великобритания, Германия, Греция, Дания, Ирландия, Испания, Италия, Люксембург, Нидерланды, Португалия, Франция, Финляндия, Швеция.
В настоящее время в ЕС завершилось создание единого рынка, системы межгосударственного управления, и страны оформили экономический, валютный и политический союз.
Существование экономического союза предусматривает, что Совет министров ЕС разрабатывает основные направления экономической политики ЕС и контролирует соответствие им экономического развития каждой страны-члена.
Политический союз направлен на проведение единой внешней политики, в частности в области безопасности, и выработку общих подходов в рамках внутреннего законодательства: гражданского и уголовного.
Валютный союз означает проведение единой денежно-кредитной политики в рамках ЕС и функционирование общей для всех стран валюты. С этой целью согласно Маастрихтским соглашениям были определены и реализуются сроки введения единой валютыевро:
1997 г. Страны члены ЕС стараются соблюсти нормы, необходимые для введения на их территории евро: дефицит бюджета менее 3% ВВП, инфляция не более чем на 1,5 процентного пункта превышает показатели трех стран с наименьшей инфляцией из числа кандидатов на введение евро;
начало 1998 г. Определяются страны, которые выполнили требования и могут войти в валютный союз;
1 января 1999 г. Страны окончательно привязывают курсы своих валют к евро. Начинает работать Центральный банк ЕС;
19992002 гг. Банки и другие финансовые институты переходят на пользование безналичным евро;
1 января 2002 г. Появляются банкноты евро, национальные валюты продолжают хождение;
1 июля 2002 г. Старые валюты прекращают свое существование.
С 1 января 1999 г. евро функционирует как расчетная единица. Однако в валютный союз с 1 января 1999 г. вошли не все члены ЕС. Вне зоны евро остались Великобритания, Греция, Дания и Швеция. По итогам 1998 г. Греция не соответствовала «маастрихтским критериям» по величине государственного долга (107,7% к ВВП) и темпам инфляции (4,5%).
Великобритания отложила свое вступление как минимум до 2002 г., не желая расставаться с собственной валютой до очередных парламентских выборов. Швеция и Дания против сокращения социальных расходов государства, что предусматривается в рамках ЕС.

Перспективы расширения Евросоюза
На рубеже ХХI в. предусматривается значительное расширение Евросоюза. Число его членов должно увеличиться с 15 до 26 за счет, главным образом, стран Центральной и Восточной Европы (ЦВЕ), а также Балтии. Стремление стран ЦВЕ присоединиться к ЕС обозначилось уже в начале 90-х гг., когда были подписаны соглашения об их ассоциации с ЕС.
Данные соглашения предусматривали сближение законодательств ассоциируемых стран с законодательством ЕС, расширение внешнеэкономических связей, создание между сторонами в течение 10 лет зоны свободной торговли промышленными товарами путем постепенной взаимной отмены таможенных пошлин и других барьеров. По большинству промышленных товаров ЕС с 1995 г. отменила пошлины для стран Центральной и Восточной Европы; по черным металлам и текстильным товарам свободный доступ введен с 19961997 гг. Со второй половины 90-х гг. промышленные товары ЕС свободно поступают на внутренние рынки ассоциируемых стран.
Но для того, чтобы иметь право претендовать на членство в ЕС, страны Центральной и Восточной Европы должны обеспечить выполнение целого ряда условий: стабильность институтов, гарантирующих демократию; правовой порядок; соблюдение прав человека и защита национальных меньшинств; наличие функционирующей рыночной экономики; способность справляться с конкуренцией и действием рыночных сил в Союзе; возможность принять на себя обязательства члена, в том числе задачи политического, экономического и валютного союза. Пока страны Центральной и Восточной Европы не обладают всеми необходимыми экономическими и социальными предпосылками для того, чтобы стать полноправными членами ЕС.
На присоединение к Евросоюзу претендуют Болгария, Венгрия, Кипр, Латвия, Литва, Польша, Румыния, Словакия, Словения, Чехия, Эстония. Однако степень готовности этих стран вступить в Союз различна. И дело не только в значительном отставании в экономическом развитии от стран членов ЕС.
Разительна и внутренняя дифференциация претендентов по показателю ВВП на душу населения, структуре хозяйства, зрелости рыночных отношений, уровню заработной платы, инфляции.
Если в ЕС показатель ВВП на душу населения составляет в среднем 22 тыс. долл., то в Болгарии всего 1540 долл., Польше 2400, Чехии - 3200, Венгрии 3840, Словении 7040 долл. '





' МЭМО. 1999. №3. С. 97.




Исходя из этого, Совет Евросоюза разработал для каждой из стран-претендентов специальную стратегию присоединения, разделив их на два эшелона.
Первая группа стран: Венгрия, Польша, Словения, Чехия, Эстония ведут индивидуальные переговоры с ЕС с 30 марта 1999 г. Предполагается, что расширение ЕС за счет этих стран начнется с 20032004 гг.; остальные Болгария, Румыния, Словакия, Латвия, Литва будут находиться под наблюдением специальной Европейской конференции, и срок их вступления в ЕС не определен.
Расширение Евросоюза имеет как плюсы, так и минусы. С одной стороны, наращивается ресурсный потенциал ЕС за счет новых территорий и населения, значительно расширяется рынок для нынешних членов, усиливается политический статус ЕС в мире. С другой стороны, от ЕС потребуются огромные затраты, в частности, рост бюджетных расходов на субсидии и трансферты новым членам ЕС. Возрастет риск нестабильности в Евросоюзе, так как присоединятся страны с отсталой структурой экономики, требующей коренной модернизации.
Развитие интеграции вширь несомненно будет происходить в ущерб ее углублению за счет сокращения расходов на социальную, региональную и структурную политику, проводимую в ЕС в настоящее время.
Присоединиться к ЕС в дальнейшем предполагают также Албания, Македония, Хорватия, Турция, состоящая в таможенном союзе с ЕС. Мальта в 1996 г. изменила свое решение о членстве в ЕС.
Партнерство России с ЕС юридически было оформлено в 1994 г. Соглашением о партнерстве и сотрудничестве (СПС) признано, что Россия является страной с переходной экономикой. Соглашение предусматривает осуществление для сторон в их внешнеэкономических связях режима наибольшего благоприятствования в общепринятой в международной практике форме: расширение сотрудничества в многочисленных направлениях (стандартизации, науке, технике, космосе, связи), расширение торговли товарами и услугами, поощрение частных инвестиций и т.д.



Полезностью называется удовлетворение, которое приносит благо потребителю.


Многие экономисты сторонники неолиберального направления в экономике, т.е. приверженцы ничем не ограниченной свободы рыночных отношений, возражают против применения цен пола и потолка, поскольку это нарушает рыночный механизм. Они полагают, что рыночное ценообразование автоматически устраняет излишки и дефицит. Пока цены могут свободно достигать своего уровня равновесия, объем спроса и объем предложения отменить нельзя.
Приверженцы других направлений экономической науки, нисколько не умаляя роли рынка и его законов, предлагают не дожидаться автоматического регулирования спроса и предложения. Одни считают, что надо регулировать спрос посредством управления занятостью, кредитом и денежной массой (неокейнсианцы); другие рекомендуют регулировать предложение с помощью изменений в налоговой политике и инвестициях (сторонники экономики предложения).
Так или иначе, но фирмы, вступающие в дело, должны считаться с уровнем цены, сложившимся на основе взаимодействия спроса и предложения и, возможно, скорректированным путем установления государством верхнего и нижнего (одного или обоих) пределов колебаний. Разрабатывая рыночную стратегию, фирма не может существенно отклониться от этого уровня (если только она не владеет значительной частью рынка, дающей ей право стать монополистом) и при расчете возможной прибыли в основу калькуляции должна заложить рыночную цену.
Рассмотрение законов спроса и предложения, а также принципа формирования равновесной цены позволяет сделать следующие выводы.
1. В рыночной экономике существует механизм, обеспечивающий согласование интересов продавцов и покупателей на рынках:
фирмы могут расширять и сужать производство в зависимости от изменения спроса, иными словами, они свободны в выборе объема и структуры выпуска;
цены гибкие, изменяются под воздействием спроса и предложения;
наличие конкуренции, без которой рыночный механизм спроса и предложения действовать не будет.
2. Если на рынке произойдет какое-то событие, которое нарушит сложившееся равновесие (например, изменение вкусов потребителей и соответствующее изменение спроса), то:
фирмы-производители обязательно среагируют на изменение рыночных условий (например, увеличение спроса приведет к росту цены данной продукции, поскольку спрос покажет производителям, куда следует направить свои усилия);
начнется процесс приспособления производителей и потребителей к новым условиям, в результате сформируются новая рыночная цена и новый объем производства, соответствующие изменившимся условиям.
В этом смысле рыночная экономика оказалась более эффективной, чем административно-командная, которая реагировала на возникновение диспропорций в скрытой форме (устойчивый дефицит отдельных продуктов, деформированная структура производства и другие известные атрибуты плановой системы). Иными словами, предприятия в административно-командной экономике оказались нечувствительными к изменениям в силу отсутствия обратной связи, реакции производства на изменения спроса.
Значительная часть сегодняшних проблем России во многом объясняется пассивностью предприятий-производителей, ожиданием привычной помощи «сверху», нежеланием формировать рыночный образ мышления, отсутствием информации о том, как должно вести себя предприятие в условиях рынка.


Выводы 1. Полезностью называется удовлетворение, которое приносит благо потребителю. Хотя оценка полезности блага зависит не только от объективных, но и от субъективных обстоятельств, возможно выявление средних для того или иного общества оценок полезности. Закон убывающей предельной полезности (первый закон Госсена) гласит, что каждая последующая (предельная) порция блага все менее полезна с точки зрения индивидуума, а в результате и совокупная полезность всего блага для него снижается.
2. Ценность (стоимость) это денежная оценка потребителем полезности блага. Обычно она определяется на базе лучшего из доступных ему товаров с корректировкой на свойства данного товара.
3. Ценой называется количество денег, за которые продается и покупается экономическое благо. Цена определяется на рынке в результате взаимодействия покупателей и продавцов, в ходе которого они, сравнивая предложение и спрос на товар, устанавливают цену. Основу этого механизма описывает двухфакторная модель ценообразования, объясняющая величину цены как компромисс между издержками производства и полезностью товара.
4. Важнейшими категориями микроэкономического анализа являются спрос и предложение, которые подчинены действию определенных законов. Согласно закону спроса потребители готовы приобрести по низкой цене большее количество товара, чем по высокой; между ценой и величиной спроса существует обратная зависимость. Закон предложения в условиях рынка предусматривает прямую зависимость между ценой и объемом предлагаемого к продаже товара: по более высокой цене производитель готов выпускать и продавать большее количество товара, чем по низкой.
5. Рынок сводит продавцов и покупателей; равновесная цена и объем продаж устанавливаются в точке, где намерения продавцов и покупателей совпадают. Изменения в спросе или предложении, вызванные действием неценовых факторов (изменением потребительских предпочтений, ростом денежных доходов, введением дополнительных налогов и проч.), приводят в действие рыночные силы, благодаря которым равновесие на рынке устанавливается в новой точке.


Термины и понятия Полезность
Законы Госсена
Закон убывающей предельной полезности
Ценность (стоимость)
Парадокс ценности
Цена
Двухфакторная модель ценообразования
Спрос
Закон спроса
Предложение
Закон предложения
Равновесная (рыночная) цена
Цены «пола» и «потолка»


Вопросы для самопроверки
1. Почему полезность блага убывает по мере увеличения количества этого блага? В чем суть парадокса Смита?
2. Каков смысл второго закона Госсена?
3. Какая теория различает термины «ценность» и «стоимость» и почему?
4. В чем разница в подходах к ценообразованию классической теории и маржинализма? Как их примирил Маршалл?
5.0 чем говорят законы спроса и предложения?
6. Как достигается равновесие на рынке товара?
7. Как изменится равновесная цена товара, если спрос на этот товар не претерпит изменений, а у фирм-производителей возрастут издержки?
8. Товары А и Б являются взаимозаменяемыми. Как изменится спрос на товар Б, если цена на товар А повысится (понизится)? Что произойдет, если товары А и Б дополняют друг друга?


























Полные товарищества


Полные товарищества сосредоточены преимущественно в сельском хозяйстве и сфере услуг и представляют собой, как правило, небольшие по размерам предприятия, деятельность которых достаточно легко контролируется их участниками.
Товарищество на вере. Товариществом на вере (коммандитным товариществом) признается товарищество, в котором наряду с участниками, осуществляющими от имени товарищества предпринимательскую деятельность и отвечающими по обязательствам товарищества своим имуществом (полными товарищами), имеется один или несколько участников-вкладчиков (коммандитистов), которые несут риск убытков, связанных с деятельностью товарищества, в пределах сумм внесенных ими вкладов и не принимают участия в осуществлении товариществом предпринимательской деятельности. Поскольку данная правовая форма позволяет привлекать значительные финансовые ресурсы через практически неограниченное число коммандитистов, она характерна для более крупных предприятий.
Общество с ограниченной ответственностью (000). Таковым признается учрежденное одним или несколькими лицами общество, уставный капитал которого разделен на доли определенных учредительными документами размеров. Участники 000 не отвечают по его обязательствам и несут риск убытков, связанных с деятельностью общества, в пределах стоимости внесенных ими вкладов.
Уставный капитал 000 составляется из стоимости вкладов его участников.
Данная правовая форма наиболее распространена среди мелких и средних предприятий.
Акционерное общество (АО). Акционерным обществом признается общество, уставный капитал которого разделен на определенное число акций. Участники АО (акционеры) не отвечают по его обязательствам и несут риск убытков, связанных с деятельностью общества, в пределах стоимости принадлежащих им акций.
Акционерное общество, участники которого могут отчуждать принадлежащие им акции без согласия других акционеров, признается открытым (ОАО). Такое АО вправе проводить подписку на выпускаемые им акции и их свободную продажу на условиях, устанавливаемых законом. Открытое АО обязано ежегодно публиковать для всеобщего сведения годовой отчет, бухгалтерский баланс, счет прибылей и убытков.
Акционерное общество, акции которого распределяются только среди его учредителей или иного заранее определенного круга лиц, признается закрытым (ЗАО).
Учредительным документом АО является его устав. Уставный капитал АО составляется из номинальной стоимости акций общества, приобретенных акционерами. Высшим органом управления АО является общее собрание акционеров.
Преимуществами акционерной формы организации предприятий являются:
1) возможность мобилизации больших финансовых ресурсов;
2) возможность быстрого перелива финансовых средств из одной отрасли в другую;
3) право свободной передачи и продажи акций, обеспечивающее существование компании независимо от изменения состава акционеров;
4) ограниченная ответственность акционеров;
5) разделение функций владения и управления.
Правовая форма акционерного общества предпочтительна для крупных предприятий, где существует большая потребность в финансовых ресурсах.

Производственные кооперативы
Производственным кооперативом (артелью) признается добровольное объединение граждан на основе членства для совместной производственной деятельности, основанной на их личном трудовом и ином участии в объединении его членами (участниками) имущественных паевых взносов. Производственный кооператив является коммерческой организацией. Его учредительный документ устав, утверждаемый общим собранием членов кооператива. Число членов кооператива не должно быть менее пяти. Имущество, находящееся в собственности производственного кооператива, делится на паи его членов в соответствии с уставом кооператива.
Кооператив не вправе выпускать акции. Член кооператива имеет один голос при принятии решений общим собранием.

Государственные и муниципальные унитарные предприятия Унитарным предприятием называется коммерческая организация, не наделенная правом собственности на закрепленное за ней собственником имущество. К тому же это имущество является неделимым, т.е. не может быть распределено по вкладам (долям, паям), в том числе между работниками предприятия. В России в форме унитарных предприятий существуют только государственные и муниципальные предприятия.
Они управляют, но не владеют закрепленным за ними государственным (муниципальным) имуществом. Если подобное предприятие основано на праве оперативного управления федеральным имуществом, т.е. управляется государственными органами, оно именуется федеральным казенным предприятием. Все остальные унитарные предприятия являются предприятиями, основанными на праве хозяйственного ведения.

Некоммерческие организации
К некоммерческим организациям относятся потребительские кооперативы, общественные и религиозные организации, фонды.
Потребительским кооперативом признается добровольное обьединение граждан и юридических лиц на основе членства с целью удовлетворения материальных и иных потребностей участников, осуществляемое путем объединения его членами имущественных паевых взносов. Обычно потребительский кооператив обеспечивает своих членов теми или иными потребительскими благами.
Общественными и религиозными организациями (объединениями) признаются добровольные объединения граждан, в установленном законом порядке объединившихся на основе общности их интересов для удовлетворения духовных и иных нематериальных потребностей.
Организации вправе осуществлять предпринимательскую деятельность лишь для достижения целей, ради которых они созданы, и соответствующую этим целям. Участники (члены) указанных организаций не сохраняют прав на переданное ими этим организациям в собственность имущество, в том числе на членские взносы. Они не отвечают по обязательствам общественных и религиозных организаций, в которых участвуют в качестве их членов, а указанные организации не отвечают по обязательствам своих членов.
Индивидуальные предприниматели. Если отдельный гражданин занимается предпринимательской деятельностью, но без образования юридического лица (например, организует свое фермерское хозяйство), то он признается индивидуальным предпринимателем. Фактически это тоже предприятие.
Фондом признается не имеющая членства некоммерческая организация, учрежденная гражданами и (или) юридическими лицами , на основе добровольных имущественных взносов, преследующая социальные, благотворительные, культурные, образовательные и иные; общественно полезные цели. Имущество, переданное фонду его учредителями, является собственностью фонда. Учредители не отвечают по обязательствам созданного ими фонда, а фонд не отвечает по обязательствам своих учредителей. Для осуществления предпринимательской деятельности фонды вправе создавать хозяйственные общества или участвовать в них.
Фонд обязан ежегодно публиковать отчеты об использовании своего имущества.
4. Конкурентоспособность фирмы Основной целью любой фирмы в условиях рыночной экономики является сохранение и расширение своих позиций на рынке (или его сегменте), рост или, по крайней мере, стабильное получение прибыли. Это возможно только при ориентации на максимизацию прибыли, главным средством достижения которой выступает обеспечение высокой конкурентоспособности.
Все большую актуальность эта проблема приобретает для российских предприятий, прежде всего в тех сферах экономики, где начинает формироваться конкурентная среда, в розничной торговле, общественном питании, пищевой промышленности, сборке и продаже персональных компьютеров и др. Конкурентоспособность фирмы это ее реальная и потенциальная способность изготовлять и реализовывать товары или оказывать услуги, которые по ценовым и неценовым (качественным) характеристикам более привлекательны для покупателей, чем товары и услуги других фирм-конкурентов.


Понятие конкурентоспособности фирмы

Конкурентоспособность фирмы понятие относительное. Она может быть выявлена и оценена только путем сравнения фирм, выпускающих аналогичную продукцию или оказывающих одинаковые услуги применительно к территории, в пределах которой эти фирмы функционируют (на местном, региональном, национальном, мировом рынках). Поэтому одна и та же фирма может быть конкурентоспособной на местном или национальном рынке и не быть таковой на региональном и тем более на мировом.
Теория конкурентоспособности фирмы и ее конкурентных преимуществ разработана в трудах А. Смита, Д. Рикардо, Э. Хекшера, Б. Олина и др. (см. гл. 33). Однако новые тенденции в развитии мировой экономики потребовали пересмотра ортодоксальных взглядов. В последнее десятилетие наиболее значительный вклад в разработку проблем конкурентоспособности фирм внесли американские экономисты И. Ансофф, М. Портер и др.
Анализируя причины высокой конкурентоспособности фирм, эти экономисты пришли к выводу, что она во многом зависит от наличия и эффективного использования сложившихся в стране базирования условий: необходимых факторов производства, развитого спроса, зрелости конкурентной среды, качества управления, разумной государственной политики и даже благоприятных случайностей.



Понятие международной экономической интеграции


В целом регионализация является заметным и, как полагают некоторые экономисты, все более важным явлением хозяйственной жизни мира. В качестве доказательства они приводят тот факт, что хотя международные экономические отношения в целом в последние десятилетия развиваются достаточно быстро, наиболее динамично они развиваются внутри регионов и между соседними регионами. Более того, существует точка зрения, согласно которой регионализация это препятствие для глобализации.
Но если исходить из предположения, что в очень отдаленном будущем мировое хозяйство, возможно, превратится в единый рынок товаров, услуг, капитала, рабочей силы и знаний, то регионализацию можно рассматривать как движение к этой цели, которое осуществляется пока в ограниченных масштабах, в рамках регионов и частично между соседними регионами. С этой точки зрения, регионализация есть не препятствие для глобализации, а путь к ней. Ведь современная регионализация, в отличие от 2030-х гг. это не усиление экономических связей исключительно внутри регионов и группировок (например, внутри стерлинговой зоны) за счет их ослабления с другими странами и регионами, а ускоренное развитие региональных связей при достаточно высокой динамике межрегиональных связей.

Понятие международной экономической интеграции и интеграционных объединений
Регионализация является базой для международной экономической интеграции. Этот термин означает процесс срастания экономик соседних стран в единый хозяйственный комплекс на основе глубоких и устойчивых экономических связей между их компаниями. Примером может быть стабильно идущее весь ХХ в. усиление связей американских корпораций с канадскими и мексиканскими (многие из них являются филиалами американских ТНК) или бурный рост взаимосвязей между западноевропейскими компаниями в последние десятилетия.
Интеграционным объединением называют хозяйственную группировку, созданную для регулирования интеграционных процессов между ее странами-участницами. В настоящее время в мире насчитываются десятки интеграционных объединений. В развитых странах это в первую очередь ЕС и НАФТА, в развивающихся странах МЕРКОСУР в Латинской Америке и АСЕАН в Юго-Восточной Азии, в странах с переходной экономикой СНГ на территории бывшего СССР, АТЭС в Азиатско-Тихоокеанском регионе (см. гл.
39).
Из определения сути международной экономической интеграции и интеграционных объединений вытекает, что последние строятся на базе глубоких и устойчивых связей между фирмами стран-участниц. Попытки создать интеграционные объединения на базе неглубоких и неустойчивых связей между компаниями стран-участниц в большинстве случаев приводили к формальному существованию этих объединений (такова судьба большинства интеграционных группировок в Африке) или к их неустойчивому развитию (примером может быть СНГ), или же вообще к их краху (например, СЭВ, созданный прежде всего из политических целей и прекративший свое существование сразу же после распада СССР). История североамериканской интеграции демонстрирует, что юридическое оформление региональной интеграции может происходить без спешки (Американско-канадское соглашение о свободной торговле было заключено лишь в 1989 г., а затем к нему в 1992 г. присоединилась Мексика, в результате чего НАФТА в ее нынешнем размере действует с 1994 г.).
В то же время пример ЕС говорит о том, что процесс быстро развивающихся связей между компаниями соседних стран можно стимулировать, если заключать и совершенствовать интеграционные соглашения между странами-участницами не по итогам, а по ходу этого процесса.
Для СНГ отсюда можно сделать вывод, что, не отрицая возможностей государственного регулирования экономических отношений в рамках этой хозяйственной группировки, ее активное развитие возможно прежде всего при условии активизации отношений между компаниями стран участниц СНГ. Другим важным выводом для данного объединения является то, что в интеграционных объединениях активно могут участвовать страны разного экономического уровня. Так, соотношение объемов ВВП на душу населения по паритету покупательной способности между США и Мексикой составляет 3,9 : 1,0, а между Люксембургом и Грецией -~ 2,6 : 1,0.
Между Россией и Таджикистаном это соотношение в 1996 г. составляло 5,4 : 1,0 (в 1998 г. оно было намного меньше 2,6 : 1,0).
Наконец, как показывает положительный опыт региональной экономической интеграции, важной предпосылкой жизнеспособности интеграционных объединений является общность или близость культур их стран-участниц.

Понятие либерализация хозяйственной жизни Государственное регулирование экономики на протяжении большей части ХХ в. усиливалось. Однако в последние полтора два десятилетия наметилась обратная тенденция. Национализация сменилась приватизацией, государственный контроль над ценами ослабевает, субсидирование отдельных отраслей снижается, а деятельность транснациональных корпораций все меньше поддается государственному регулированию.
Процесс уменьшения государственного регулирования хозяйственной деятельности называется либерализацией экономической деятельности (дерегуляцией, экономической либерализацией). Различают внутри- и внешнеэкономическую либерализацию.

Внешнеэкономическая либерализация в различных регионах мира
В развитых странах внешнеэкономическая либерализация начала сменять внешнеэкономический протекционизм как главное направление во внешнеэкономической политике в 5060-е гг. Если взять такой традиционный инструмент внешнеторгового регулирования, как таможенные пошлины, то можно убедиться, что развитые страны снизили уровень своего таможенного обложения после Второй мировой войны в несколько раз. Среднеарифметический уровень тарифных ставок на импортные товары в ведущих десяти странах Запада составлял 17% в 1913 г., 32% в 1931 г. и 16% в конце 40-х гг., а в 1999 г. он оценивается для США в размере 4,3%, Японии 5,9%, ЕС 6,6% (если же считать по средневзвешенному уровню тарифных ставок на импортные товары, то по всей группе развитых стран он оценивался в 3,9% ).
В последние два-три десятилетия активно идет процесс либерализации международного движения капитала, который также охватил прежде всего развитые страны, в результате чего в них полностью либерализован не только ввоз, но и вывоз капитала. В этой группе стран практически полностью либерализованы и валютно-расчетные отношения, а сохраняющийся валютный контроль используется преимущественно в целях получения статистических данных о движении валюты и состоянии расчетов с внешним миром. Международная передача технологий здесь если и регулируется, то прежде всего в целях избежания бесконтрольного вывоза военной технологии и товаров двойного назначения.
Ощутимые ограничения сохраняются лишь при осуществлении такой формы международных экономических отношений, как международная миграция рабочей силы. так как в развитых странах были и остаются ограничения на приток рабочей силы из-за рубежа (кроме движения рабочей силы внутри ЕС).
В развивающихся странах и государствах с переходной экономикой внешнеэкономическая либерализация началась намного позже (за исключением некоторых небольших стран, где уровень либерализации традиционно был высоким), особенно после краха модели импортозамещения. По этой причине, а также из-за желания использовать протекционистские таможенные пошлины для защиты своих неконкурентных на мировом рынке отраслей здесь уровень тарифных ставок остается выше, чем в развитых странах (в ряде случаев составляет 2030%). Так, в России средневзвешенный уровень тарифных ставок на импортные товары колеблется в последние годы в пределах 1314%, в Китае в 1997 г. он составлял 17% и планируется его снизить к концу столетия до 15%.
Больше ограничений в этих двух группах стран на ввоз и особенно вывоз капитала: по данным МВФ, подобные ограничения существовали в 126 из 182 странах членах МВФ, и это были преимущественно страны развивающиеся и с переходной экономикой. Намного ощутимее здесь государственное регулирование остальных форм международных экономических отношений. Тем не менее и в этих двух группах стран уровень внешнеэкономической либерализации выше, чем он был несколько десятилетий назад, хотя, возможно, все еще ниже, чем в конце XIX начале ХХ вв.

Сочетание либерализации и протекционизма во внешнеэкономической политике Говоря о тенденции к внешнеэкономической либерализации, особенно во внешней торговле, надо учитывать растущий противовес ей в лице нетарифных ограничений. Квотирование импорта, антидемпинговое законодательство, правила оформления и оценки импортных товаров, технические стандарты и санитарные нормы для них являются часто более эффективным барьером на пути импорта, чем таможенные пошлины. В начале 90-х гг. под них подпадало 18% ввозимых в развитые страны товаров, особенно продовольствия, текстиля и транспортных средств. В сочетании с тарифным регулированием это дает возможность осуществлять гибкие протекционистские меры по отношению к некоторым отраслям и сферам. Нельзя забывать и о том, что во всех странах, даже развитых, для иностранного капитала существуют закрытые или ограниченные для его приложения отрасли и сферы, особенно это относится к оборонной промышленности, транспорту и многим другим отраслям сферы услуг.
Можно сделать вывод, что во внешнеэкономической политике даже развитых стран либерализация сочетается с протекционизмом, хотя в этом сочетании преобладает либерализация.



Понятие открытой и закрытой экономики



Понятие открытой и закрытой экономики Открытая экономика это такое национальное хозяйство, где иностранным хозяйствующим субъектам открыт доступ на большинство рынков и в большинство отраслей и сфер (в закрытой экономике большинство рынков, отраслей и сфер для них закрыто). Однако в мире почти нет полностью открытых, т.е. полностью либерализованных экономик, за исключением нескольких небольших государств. Поэтому нередко говорят о более открытых или менее открытых экономиках.
Так, российская экономика более открыта, чем китайская, если судить по уровню тарифных ставок на импортные товары, доле этих товаров на внутреннем рынке, степени либерализации валютно-расчетных отношений и другим показателям.
В тех случаях, когда протекционизм явно преобладает над либерализмом во внешнеэкономической деятельности, говорят о закрытой экономике. В мире их осталось немного. Это объясняется тем, что, как доказал мировой опыт, существует высокая корреляция между уровнем внешнеэкономического либерализма и темпами экономического роста.
Расчеты по 117 странам мира, проведенные экономистами Гарвардского университета, показали, что там, где в последнюю четверть века проводилась политика закрытой экономики, среднегодовой прирост ВВП в расчете на душу населения составил 0,7%, а там, где придерживались политики открытой экономики, ВВП на душу был в пять раз выше.


Выводы 1. Мировой экономике (мировому хозяйству, всемирному хозяйству) можно дать широкое и узкое определение. По широкому определению, мировая экономика это сумма всех национальных экономик мира. По узкому определению это совокупность только тех частей национальных экономик, которые взаимодействуют с внешним миром.
Однако различие между двумя определениями становится все менее заметным, так как в любой стране остается все меньше отраслей и подотраслей, которые не взаимодействуют с внешним миром прямо или косвенно, например, через те отрасли национальной экономики, которые активно торгуют на внешнем рынке.
2. Между странами существуют международные экономические отношения (внешнеэкономические связи, мирохозяйственные связи), т.е. хозяйственные отношения между юридическими и физическими лицами разных стран. Их можно классифицировать по следующим формам: международная (мировая) торговля товарами и услугами, международное движение капитала, международная миграция рабочей силы, международная торговля знаниями (международная передача технологии), а также международные валютно-расчетные отношения.
3. Мировой (всемирный) рынок товаров и услуг, т.е. совокупность национальных рынков (по узкому определению это совокупность только тех товаров и услуг, которые продаются и покупаются на внешнем рынке) сложился к концу XIX в. После того как к началу ХХ в. к этому добавилось мощное международное движение факторов производства, стало возможным говорить о более широком понятии мирового (всемирного) хозяйства.
4. Коренная причина возникновения и развития международных экономических отношений заключается в различии в наделенности стран факторами производства (экономическими ресурсами). С одной стороны, это ведет к международному разделению труда, с другой к перемещению этих факторов между странами.
5. Усиление участия страны в мировом хозяйстве, называемое интернационализацией ее хозяйственной жизни, измеряется набором показателей, в первую очередь, экспортной квотой, долей иностранных товаров на внутреннем рынке, объемом экспорта товаров и услуг на душу населения, отношением иностранных капиталовложений к ВВП страны, их долей в ее ежегодных инвестициях, долей иностранной рабочей силы в общем числе занятых, долей иностранных патентов и лицензий в общем количестве зарегистрированных в стране патентов и лицензий.
6. В свою очередь уровень интернационализации растет во многом в результате деятельности ТНК, число и размах хозяйствования которых особенно быстро увеличивается начиная со второй половины ХХ в. Их деятельность базируется на прямых инвестициях, принимающих форму зарубежных филиалов ТНК.
7. Деятельность ТНК все больше превращает мировое хозяйство в единый рынок товаров, услуг, рабочей силы и капитала. Подобный процесс называется глобализацией, которая, в сущности, является более высокой стадией интернационализации.
8. Глобализация осуществляется прежде всего через регионализацию, когда внешнеэкономические связи страны ориентируются на свой и соседние регионы. На базе регионализации идет международная экономическая интеграция, т.е. срастание экономик соседних стран в единый региональный хозяйственный комплекс на основе глубоких и устойчивых экономических связей между их компаниями. Так возникают интеграционные объединения, призванные регулировать интеграционные процессы междустранами-участницами.
9. Хотя на протяжении большей части ХХ в. государственное регулирование экономики усиливалось, в последние десятилетия преобладает тенденция к дерегуляции (либерализации). Различают внутри- и внешнеэкономическую либерализацию. Последняя начала сменять внешнеэкономический протекционизм как главное направление во внешнеэкономической деятельности развитых стран в 50 60 гг., а в остальных группах стран в основном позже.
В результате экономики большинства стран мира превращаются во все более открытые, характеризующиеся более высокими темпами экономического роста по сравнению с закрытыми экономиками.


Термины и понятия Мировая экономика (мировое хозяйство, всемирное хозяйство)
Международные экономические отношения
Мировой рынок
Торгуемые и неторгуемые товары
Международное разделение труда
Интернационализация экономики
Экспортная квота
Транснациональная корпорация (ТНК)
Транснационализация хозяйственной жизни
Глобализация
Регионализация
Международная экономическая интеграция
Интеграционные объединения
Либерализация (дерегуляция) экономики
Открытая экономика
Закрытая экономика


Вопросы для самопроверки 1. Какие формы международных экономических отношений являются главными для нашей страны?
2. Что такое торгуемые и неторгуемые товары и услуги?
3. Как соотносится активное участие в мирохозяйственных связях с экономической независимостью страны?
4. Экспортная квота в странах с примерно одинаковым уровнем экономического развития заметно различается: в Японии 10%, Германии 25 и Нидерландах 55%.' Чем можно объяснить эти различия?
5. Какие показатели интернационализации вам известны?
6. Какие компании можно назвать транснациональными корпорациями?
7. Как связаны интернационализация и глобализация?
8. Какая связь существует между глобализацией и регионализацией?
9. Каковы главные причины внешнеэкономической либерализации, происходящей почти во всех странах мира?
10. Чем закрытая экономика отличается от открытой?































Порогова выручка


Изображенная на 13.1 точка безубыточности это точка пересечения графиков валовой выручки и валовых издержек. Размер прибыли или убытков заштрихован. Если фирма продает продукции меньше объема Q', то она терпит убытки, если больше этого объема получает прибыль. Точка, соответствующая объему производства Q' и выручке R', получаемой фирмой, и является точкой безубыточности.
В этой точке получаемая фирмой выручка равна ее валовым издержкам, при этом прибыль равна нулю. Выручка, соответствующая точке безубыточности, называется пороговой выручкой. Объем производства (продаж) в точке безубыточности называется пороговым объемом производства (продаж).
Наиболее важное значение имеет показатель пороговой выручки, так как пороговый объем продаж может быть разным в зависимости от цены реализуемой продукции.
Как найти точку безубыточности? Рассмотрим этот вопрос на примере.


Пример 13.5. Фирма выпускает и продает один товар. Ниже приведены данные, характеризующие ее деятельность, руб.:

Выручка от реализации ............... 15 000
Переменные издержки ............... 10000
Постоянные издержки,............... 4000
Прибыль............................. 1000


Чтобы найти точку безубыточности, необходимо ответить на вопрос: до какого уровня должна снизиться выручка фирмы, чтобы прибыль стала нулевой? Нельзя просто сложить переменные и постоянные издержки, так как при снижении выручки переменные издержки также станут ниже. Поскольку мы предположили, что при снижении валовой выручки переменные издержки будут сокращаться в той же пропорции, можно воспользоваться формулой точки безубыточности:


R'=FC
K

где R' пороговая выручка; FC постоянные издержки; К коэффициент покрытия.
Тогда последовательность расчетов для нахождения пороговой выручки (выручки, соответствующей точке безубыточности) будет следующей:
1. Найдем сумму покрытия:
15 000 руб.-10 000 руб. == 5000 руб.
2.Вычислим коэффициент покрытия (долю суммы покрытия в выручке от реализации): 5000 руб.: 15 000 руб. = 0,33.
3. Определим пороговую выручку: 4000 руб.: 0,33 = 12 121 руб.
Как видно, фактическая выручка фирмы выше пороговой. Чтобы оценить, насколько фактическая выручка от продажи превышает выручку, обеспечивающую безубыточность, рассчитаем запас прочности процентное отклонение фактической выручки от пороговой:

St = R-R' . 100%
R

где St запас прочности; R фактическая выручка; R' пороговая выручка.

Чем больше запас прочности, тем лучше для фирмы. В рассматриваемом примере:

St = 15000 руб. 12121 руб. .100 = 19 %
15000 руб.
Значение запаса прочности 19% показывает, что если в силу изменения рыночной ситуации (сокращения спроса, ухудшения конкурентоспособности) выручка фирмы сократится менее чем на 19%, то фирма будет получать прибыль; если более чем на 19% окажется в убытке.

Пример 13.6. Фирма производит два товара: А и Б. Ниже приведены данные о выручке фирмы, ее издержках и прибыли, руб.:



Товар Товар Всего
А Б
Валовая выручка……………………………………………9100 7400 16500
Переменные издержки……………………………………..7000 6800 13800
Постоянные издержки……………………………………… 2300
Прибыль…………………………………………………….. 400


Требуется оценить положение фирмы, рассчитав пороговую выручку, запас прочности.
Для определения пороговой выручки выполним следующие расчеты:

  1. Найдем сумму покрытия: 16 500 руб. -13 800 руб. = 2700 руб.
  2. Исчислим коэффициент покрытия: 2700 руб.: 16 500 руб. = 0,16.
3. Пороговую выручку определим путем деления постоянных издержек на коэффициент покрытия: ; 2300 руб.: 0,16 = 14 375 руб.
4. Запас прочности равен:

16500 руб. 14375 руб. . 100 = 12,88 %
16500 руб.

Как известно, фирма производит два товара: А и Б. Чтобы определить, какой вклад вносит каждый из этих товаров в прибыль фирмы, необходимо распределить постоянные затраты между этими двумя товарами. На практике используются различные принципы распределения постоянных затрат. В данном примере постоянные издержки распределим пропорционально выручке от реализации каждого из двух товаров.
Выручка от реализации товара А составляет 54% суммарной выручки фирмы, товара Б соответственно 46%.
Распределение постоянных издержек и прибыли между товарами А и Б характеризуется следующими данными, руб.:

Товар А Товар Б Всего

Валовая выручка……………………………9100 7400 16500
Переменные издержки……………………..7000 6800 13800
Постоянные издержки……………………..1242 1058 2300
Прибыль…………………………………….+858 -458 +400

Как видно, прибыль от реализации товара А частично идет на покрытие убытков от реализации товара Б. Встает вопрос, насколько необходим товар Б для фирмы и не увеличится ли ее прибыль в случае, если товар Б будет снят с производства.
Предположим, что решили отказаться от выпуска товара Б как убыточного. Тогда все постоянные издержки фирмы будут приходиться на один-единственный товар А. В этом случае значение точки безубыточности изменится следующим образом, руб.:

Выручка от реализации товара А......................... ………..9100
Переменные издержки на производство товара А......... 7000
Постоянные издержки фирмы. .......................…………… 2300
Сумма покрытия...................................... …………………..2100
Коэффициент покрытия.............................………………….0,23
Пороговая выручка (точка безубыточности) ...........… 10 000

Из приведенных данных следует, что в случае отказа от производства убыточного товара Б производство товара А также оказывается убыточным (фактическая выручка от реализации товара А меньше пороговой). Вывод: товар Б необходим фирме, его производство следует сохранить.

Эффект производственного рычага
Производственный (операционный) рычаг показывает, какое воздействие изменение выручки фирмы оказывает на ее прибыль. Чем выше эффект производственного рычага OL(англ. operating leverage), тем более рискованным с точки зрения изменчивости прибыли является положение фирмы:
OL = sPr
sR

где 5Pr изменение прибыли в процентах; sR изменение выручки в процентах.
Например, если эффект производственного рычага равен 2, то увеличение (снижение) выручки на 1 % приведет к росту (сокращению) прибыли на 2%. Если же этот эффект равен 10, то увеличение (снижение) прибыли составит уже 10% при изменении выручки на 1%.
Если эффект производственного рычага равен 2, то фирма окажется без прибыли в том случае, если выручка снизится в два раза.
Если эффект производственного рычага равен 10, то для того, чтобы оказаться без прибыли, достаточно 10%-ного сокращения объема реализации.
Эффект производственного рычага можно рассчитать также по формулам:

OL = R VC или OL = FC + Pr = 1+ FC
Pr Pr Pr

где R выручка; FC постоянные издержки; VСпеременные издержки; Рr прибыль.
Используя формулу производственного рычага, можно рассчитать, насколько потребуется сократить постоянные или переменные издержки фирмы, с тем чтобы компенсировать данное изменение выручки от реализации.

Для примера 13.6 эффект производственного рычага составляет:
2700 руб.: 400 руб. = 6,75.
Это означает, что при снижении выручки на 1% прибыль сократится на 6,75%, а при снижении выручки на 14,8% прибыль станет нулевой.
Предположим, что выручка сократилась на 10% и составила 14 850 руб. При мой структуре затрат прибыль фирмы сократится на 67,5% и составит 130 руб.
Если мы хотим, чтобы прибыль осталась в размере 400 руб., необходимо сократить или постоянные, или переменные издержки. Для этого используем выводы из формулы эффекта производственного рычага:

FC=(OL-1)·Pr,
VC=R-Pr·OL.
Отсюда:
FC= (6,75 1) ·400 руб. =2300 руб.
VC= 14 850руб. - 400руб. ·6,75 = 12 150руб.
Таким образом, чтобы сохранить прибыль в объеме 400 руб. при 10%-ном сокращении выручки от реализации, необходимо сократить переменные издержки до 12150 руб.


2. Методы калькуляции. Выбор ассортимента выпускаемой продукции
Методы калькуляции затрат Калькуляция расчет затрат на производство и реализацию единицы товара.
Метод калькуляции полной себестоимости это метод, который предусматривает расчет всех издержек (постоянных и переменных), связанных с производством и продажей единицы товара (услуги). Здесь рассчитываются средние валовые издержки или полная себестоимость единицы изделия.
Например, некая фирма занимается пошивом платьев, и ее затраты на пошив одного платья составляют, руб.:




Порогова выручка




Если цена одного платья 100 руб., то прибыль, получаемая фирмой от реализации одного платья, составит 18 руб. (10082).
Метод калькуляции полной себестоимости позволяет получить представление о всех затратах, которые несет фирма в связи с производством и сбытом одного изделия. Однако этот метод не учитывает одно важное обстоятельство: себестоимость единицы изделия изменяется при изменении объема выпуска. Если фирма расширяет производство и продажу, себестоимость снижается за счет сокращения средних постоянных затрат; если же фирма сокращает объем выпуска себестоимость растет.
Метод калькуляции по величине покрытия предусматривает расчет только переменных издержек, связанных с производством и реализацией единицы товара (услуги). В основе этого метода лежит расчет средних переменных затрат и средней величины покрытия.



Последствия для принимающих стран


Прием, размещение и трудоустройство наших соотечественников потребует от России значительных материальных и организационных усилий. Серьезного внимания и регламентирования требует и проблема беженцев в Россию из развивающихся стран, которая приняла масштабный характер. Заниматься этими проблемами в России призвана Федеральная миграционная служба.
3. Последствия международной миграции кадров Следует иметь в виду, что международная миграция рабочей силы (как и вообще миграция населения) это не только экономическое, но и сложное политическое, и социально-экономическое явление. Оно значительно влияет на состав трудовых ресурсов как стран-доноров, так и принимающих стран, создает новую ситуацию на рынках труда, привносит немало изменений (и не только позитивных) в социальную и политическую жизнь многих принимающих стран. Иммиграция, в частности, может вызвать ряд проблем, связанных с этническими, расовыми, религиозными и культурными отличиями иммигрантов от коренного населения.
Примеры проявления таких проблем имеются практически во всех принимающих странах.
Каковы же последствия международной миграции рабочей силы для стран-доноров и для принимающих стран? Вряд ли можно дать однозначный ответ на этот вопрос.

Последствия для принимающих стран О положительном влиянии процесса «утечки умов», например для экономики США, писалось немало. Достаточно сказать, что 40% из пришедших на рынок труда США в 80-х гг. докторов наук в области инженерных и компьютерных дисциплин были иммигрантами; 25% преподавателей технических дисциплин в вузах тоже иммигранты. В конце 90-х гг. в США проживало более 13 млн иммигрантов; они зарабатывают, по оценкам, 240 млрд долл. в год. При этом они платят налоги в размере более 90 млрд долл. в год.
В то же время американское государство ежегодно тратит на социальное вспомоществование иммигрантам 5 млрд долл. Ясно, что отдача от иммигрантов даже в чисто денежном выражении весьма высока для американского государства. Неизмеримо выше тот вклад, который вносят высококвалифицированные иммигранты в развитие американской науки, медицины, искусства.
Так, в конце 90-х гг. 23% всех ученых в США в области естественных и точных наук были иммигрантами.
Другим ярким примером преимущественно позитивного влияния иммиграции на экономику страны может служить Израиль. Проводя целенаправленную политику на привлечение евреев в страну со всего мира, Израиль, во многом благодаря иммиграции научных и других высококвалифицированных кадров, вошел в число наиболее развитых в экономическом и научно-техническом отношении стран мира.
Последствия для стран-доноров
Несомненно, однако, и то, что многие ученые из развивающихся стран, повысив свою квалификацию и поработав в США и других развитых странах, вернулись к себе на родину, положив начало научным школам и направлениям в своих странах. Да и не только ученые. Получив образование и поправив материальное положение, возвращаются и представители других профессий: управляющие, врачи, строители, квалифицированные рабочие. Возвратились на родину многие китайцы, корейцы, югославы, греки, индийцы. Все они принесли в свои страны новые знания, квалификацию, достаток своим семьям.
Важно, чтобы и эти страны научились ценить свои кадры, создавали им условия для реализации их потенциала, нормальные условия для работы и жизни.
Важным позитивным последствием для стран-доноров являются доходы от эмиграции, т.е. денежные переводы эмигрантов в свои страны. В некоторых странах они достигают довольно значительных величин. Так, масштабы этих доходов составили в середине 90-х гг. для Бангладеш 4% ВВП, для Ямайки более 5, для Пакистана более 3, для Шри Ланки 6,2%.
По имеющимся оценкам, перевод, например, в Египет доходов эмигрантов в размере 2,8 млрд долл. стимулировал создание дополнительного ВВП на сумму 6,8 млрд долл., что составило 16% ВВП страны.
Последствия для России
С учетом изложенного опыта следует относиться и к проблемам внешней миграции в России. Прежде всего, не надо преувеличивать вероятные масштабы трудовой миграции из нашей страны. Она будет ограничиваться как административно-законодательными мерами потенциальных принимающих стран, так и объективными экономическими условиями этих стран, спецификой их рынка труда.
С одной стороны, в большинстве развитых стран достаточно высокий уровень безработицы (710%), что резко усиливает конкуренцию на рынке средне- и низкоквалифицированной рабочей силы, а с другой стороны, уровень квалификации потенциальных мигрантов из России (за небольшими исключениями среди ученых и инженеров в таких областях, как космическая и лазерная техника, кристаллография, биология, физика низких температур) оказывается ниже профессиональных стандартов западных стран.
Масштабы выезда на работу и постоянное место жительства ученых и инженеров составляют ежегодно около 8 тыс. человек (ученых 4,5 тыс. человек). Доля выехавших из страны ученых за 19851997 гг. составила не менее 23% от их общего числа, что не превышает размеры выезда ученых из большинства развитых стран. Однако в отдельных областях науки процент уезжающих гораздо выше.
Усиление этой тенденции может привести к серьезным отрицательным последствиям для отечественной науки.
Несмотря на возможность оттока за рубеж части наиболее квалифицированных кадров (ученых, инженеров, врачей, квалифицированных рабочих), чрезмерных поводов для алармизма нет. Во-первых, несомненно, повысив свою квалификацию и улучшив материальное положение, многие вернутся. Для большинства жить у себя дома гораздо естественнее и психологически комфортнее, чем за границей. Во-вторых, если страна переходит к рынку и стремится к интеграции в мировое хозяйство, то надо признать, что работники в соответствии с рыночными законами ищут себе наиболее адекватное применение и оптимальные условия для продажи своей рабочей силы.
Выход состоит в подъеме экономики страны, росте заработной платы. Разумеется, в нынешней ситуации государство должно позаботиться о необходимых правовых и экономических механизмах процесса международной миграции рабочей силы страны (социальная и консульская защита, налоги, финансовое и транспортное обеспечение, юридическая подготовка), соответствующих интересам как выезжающих российских граждан и их семей, так и страны.
Серьезные последствия имеет для России процесс иммиграции (репатриации) из стран ближнего зарубежья. Приезд в Россию миллионов этнических россиян и представителей других национальностей из бывших советских республик требует гигантских затрат на их обустройство, социальную помощь и создание рабочих мест. Особенно это касается вынужденных мигрантов, т.е. беженцев (лиц, не являющихся гражданами Российской Федерации) и вынужденных переселенцев (лиц, являющихся гражданами Российской Федерации). Их число с начала регистрации (в 1992 г. вынужденных переселенцев и в 1993 г. беженцев) возросло до 1,2 млн человек (данные за 1998 г.). В условиях продолжающегося экономического кризиса быстро решить социальные и иные проблемы иммигрантов из стран членов СНГ представляется весьма затруднительным.
Вместе с тем необходимо подчеркнуть, что именно приток иммигрантов из СНГ позволяет удерживать численность населения России от еще более значительного уменьшения по причине естественной убыли (смертность в России превышает рождаемость). Кроме того, приток трудоспособного и весьма образованного населения в Россию позволит в перспективе использовать его потенциал во благо страны, как это происходит и в других странах-реципиентах.
Наряду с созданием соответствующих финансовых и экономических условий в стране необходимо законодательное регулирование миграционных процессов, заключение соответствующих межгосударственных соглашений со странами членами СНГ, политическая и социальная поддержка этнических россиян, проживающих в этих странах.
Наиболее сложной с точки зрения последствий для России проблемой является нелегальная иммиграция иностранных граждан. По экспертным оценкам, приток незаконных иммигрантов составляет около 100 тыс. человек в год. Низкий профессиональный и квалификационный уровень нелегальных мигрантов, возможность ухудшения криминогенной обстановки и появления инфекционных заболеваний требуют серьезного контроля со стороны государства за данным процессом и его регулирования.


Выводы 1. Международная миграция рабочей силы представляет собой объективный процесс, отражающий интернационализацию хозяйственной жизни. Трудовые ресурсы, как и прочие экономические ресурсы, ориентированы на максимально эффективное использование, в том числе и в масштабах мировой экономики.
2. Правовая база современных миграционных процессов отражает тенденцию не только к экономическому либерализму и открытой экономике, но и к протекционизму и ограничениям в области международной миграции.
3. Основными мировыми центрами притяжения миграционных потоков являются развитые страны, прежде всего США и Западная Европа. Существуют и локальные, региональные центры притяжения миграционных потоков. Главными странами-донорами в сфере международной миграции являются развивающиеся страны Азии, Латинской Америки и Африки, а также бывшие социалистические страны.
4. Международная миграция населения и рабочей силы становится одной из острых социально-экономических проблем России. С одной стороны, кризисные явления в экономике, падение жизненного уровня населения вызывают довольно значительную эмиграцию рабочей силы, прежде всего наиболее квалифицированной, а с другой стороны, резко возрос поток в Россию русскоязычных беженцев и временных переселенцев из других стран членов СНГ, которые сталкиваются там с национальной, экономической и политической дискриминацией. Направить эти процессы в цивилизованное русло призвано законодательство России и международные соглашения в этой области.
5. Процессы миграции оказывают многогранное влияние на экономику, социальную сферу и внутриполитическое положение как принимающих стран, так и стран-доноров. Баланс позитивных и негативных последствий для стран участниц данного процесса обусловливается конкретными внутренними условиями каждой страны, ее положением в мировой экономике и международных отношениях.


Термины и понятия Международная миграция рабочей силы
Эмиграция
Иммиграция
Международные мигранты
Беженцы
Принимающие страны
Репатриация


Вопросы для самопроверки 1. В чем сущность и главные причины международной миграции рабочей
силы? 2. Какова правовая база процесса международной миграции рабочей силы и
населения?
3. Что представляют собой современные мировые миграционные потоки?
4. Каковы тенденции и причины эмиграции из России?
5. Каковы тенденции и причины иммиграции в Россию?

  1. Что говорит мировой опыт о последствиях международной миграции рабочей силы?
  2. Каковы социально-экономические последствия эмиграции из Российской
Федерации?
8. Что на практике означает для России массовая иммиграция (репатриация)
русскоязычных граждан?


























Посредническая функция



Посредническая функция Рынок выступает посредником между производителями и потребителями, позволяя им найти наиболее выгодный вариант купли-продажи. В условиях развитой рыночной экономики потребитель имеет возможность выбора оптимального поставщику Продавец со своих позиций стремится найти и заключить сделку наиболее устраивающим его покупателем.

Санирующая функция
Рыночный механизм это достаточно жесткая, в известной мере жестокая система. Он постоянно проводит «естественный отбор» среди участников хозяйственной деятельности. Используя инструмент конкуренции, рынок очищает экономику от неэффективно функционирующих предприятий.
И напротив, дает зеленый свет более предприимчивым и активным. В результате селекционной работы рынка повышается средний уровень эффективности, поднимается устойчивость национального хозяйства в целом.
Как свидетельствует опыт, средний цикл малого бизнеса не превышает пяти лет. В конкурентной борьбе нередко гибнут и крупные фирмы. Разумеется, в условиях концентрации производства и капитала монополизация деформирует санирующий механизм рынка.
И все же монополизация нигде не подавляет конкуренцию настолько, чтобы «естественный отбор» прекратился.
В России общее количество малых предприятий в последние годы стабилизировалось. Число прекращающих существование и вновь создаваемых предприятий сравнялось. Одна часть предприятий разорилась в результате банкротства банков, другая ушла в среду теневого бизнеса; многие не выдерживают конкуренции.
4. Конкуренция Формирование рыночных цен это процесс взаимодействия производителей (продавцов) и потребителей (покупателей), преследующих диаметрально противоположные цели.
Как взаимоувязываются эти различные стремления экономических агентов? Каким образом при возникновении дефицита или, напротив, избытка товаров эти перекосы сравнительно быстро устраняются? Кто стимулирует действия миллионов производителей и покупателей, принуждая расширять производство одних благ и сокращать предложение других?
Эту постоянную работу выполняет механизм цен и конкуренции. При этом цена способна выполнять свою функцию регулятора денежных и товарных потоков лишь при наличии конкурентной борьбы участников хозяйственной (экономической) деятельности. Конкуренция во многом направляет действия «невидимой руки», о которой писал Смит.

Понятие конкуренции По самому общему определению, конкуренция это соперничество между участниками рынка. В то же время по поводу существа конкуренции существуют различные трактовки в зависимости от позиций, занимаемых теоретиками.
По мнению неоклассиков, конкуренция есть борьба за экономические ресурсы, за утверждение устойчивой ниши на рынке. Й. Шумпетер считал, что главное в конкурентной борьбе внедрение нововведений, «созидающее разрушение» отжившего; сама же конкуренция вовсе не идеал, технологический прогресс нередко обеспечивает монополия. Рассматривая процесс конкуренции, один из столпов неолиберального направления Ф. Хайек делает упор на роль информации, которая осуществляется через движение цен, связывает производителей и потребителей.
Достоинство конкуренции в том, что она ставит распределение ограниченных ресурсов в зависимость от экономических аргументов соревнующихся. Победить в конкурентной борьбе обычно можно, предлагая блага (экономические ресурсы и продукцию) более высокого качества либо по меньшей цене.
Поэтому роль конкуренции заключается в том, что она способствует установлению на рынке определенного порядка, гарантирующего производство достаточного количества качественных и продающихся по равновесной цене благ.

Условия и виды конкуренции (формы рыночных структур)
Положительный эффект конкуренции во многом зависит от тех условий, в которых она действует. Обычно выделяют три основные предпосылки, наличие которых необходимо для функционирования механизма конкуренции: во-первых, равенство экономических агентов, действующих на рынке (во многом это зависит от количества фирм и потребителей); во-вторых, характер производимой ими продукции (степень однородности продукта); в-третьих, свобода входа на рынок и выхода с него (прежде всего отсутствие препятствий для входа в виде организационных объединений и структур).
Различают несколько видов конкуренции, или так называемых форм рыночных структур.
Совершенная (чистая) конкуренция возникает при следующих условиях:
существует множество мелких фирм, предлагающих на рынке однородную продукцию, при этом потребителю безразлично, у какой фирмы он приобретает эту продукцию;
доля каждой фирмы в общем объеме рыночного предложения данной продукции настолько мала, что любое ее решение о повышении или понижении цены не отражается на цене рыночного равновесия;
вступление новых фирм в отрасль не встречает каких-либо препятствий или ограничений; вход и выход из отрасли абсолютно свободен;
нет ограничений на доступ той или иной фирмы к информации о состоянии рынка, ценах на товары и ресурсы, затратах, качестве товаров, технике производства и т.д.
Конкуренция, которая в той или иной степени связана с заметным ограничением свободного предпринимательства, называется несовершенной. Для этого вида конкуренции- характерно незначительное количество фирм в каждой сфере предпринимательской деятельности, возможность какой-либо группы предпринимателей (или даже одного предпринимателя) произвольно влиять на конъюнктуру рынка. При несовершенной конкуренции существуют жесткие барьеры для проникновения на конкретные рынки новых предпринимателей, отсутствуют близкие заменители продукции, выпускаемой привилегированными производителями.
Между совершенной и несовершенной конкуренцией лежит тот вид ее, который весьма часто встречается в практике и является как бы смесью двух отмеченных видов, это так называемая монополистическая конкуренция.
Она представляет собой тип рынка, в условиях которого большое количество мелких фирм предлагают разнородную продукцию. Вход на рынок и выход с него обычно не связаны с какими-либо трудностями. Существуют различия в качестве, внешнем виде и других характеристиках товаров, производимых разными фирмами, которые делают эти товары в чем-то уникальными, хотя взаимозаменяемыми
Противоположностью конкуренции служит монополия (от греч. monos один и poleo продаю). В условиях монополии одна фирма является единственным продавцом данной продукции, не имеющей близких заменителей. Барьеры для вступления в отрасль для других фирм практически непреодолимы.
Если в единственном числе выступает покупатель, то такая конкуренция называется монопсонией (от греч. monos один и opsonia закупка).
В условиях монополии, как правило, выигрывает продавец; монопсония же обеспечивает привилегию для покупателей. В некоторых отраслях встречается своеобразная двусторонняя монополия, когда на рынке определенной продукции выступает один продавец и один покупатель (например, в области военного производства: заказчик государство, поставщик единственная фирма).
Чистая монополия и чистая монопсония сравнительно редкие явления. Гораздо чаще в ряде отраслей в странах с рыночной экономикой складывается так называемая олигополия ( от греч. oligos немногий и poleo продаю). Этот вид конкуренции предполагает существование на рынке нескольких крупных фирм, продукция которых может быть как разнородной (автомобили), так и однородной (алюминий, сталь).
Вступление новых фирм в отрасль, как правило, затруднено. Особенностью олигополии является взаимная зависимость фирм в принятии решений о ценах на свою продукцию.

Защита конкурентной среды Опыт стран с рыночной экономикой свидетельствует о необходимости защиты конкурентной среды государственными средствами. Основная цель применения этих средств состоит в том, чтобы добиться оптимального сочетания различных видов конкуренции, не допустить, чтобы одни из них подавили другие и тем самым ослабили совокупные позитивные результаты конкуренции.
Для формирования конкурентных рынков необходимы соответствующая институциональная среда, эффективная работа финансово-кредитной системы, защита национальных производителей. Проблема преодоления монополизма, доставшегося по наследству от Советского Союза, является чрезвычайно острой для современного российского рынка. Закон РСФСР «О конкуренции и ограничении монополистической деятельности на товарных рынках», принятый 22 марта 1991 г., явился первым в истории России; нормативным актом, направленным на развитие конкуренции.
25 мая 1995 г. вступили в силу изменения и дополнения к этому Закону. В этих документах определены понятия монопольно высокой и монопольно низкой цены, понятие «доминирующее положение» хозяйствующего субъекта, доля которого на рынке определенного товара составляет 65% и более, а в ряде случаев 35% и более.
Хотя само по себе обладание доминирующим положением не является антизаконным. Закон запрещает таким субъектам злоупотреблять своим положением на рынке. Статья 10 Закона ориентирована на пресечение недобросовестной конкуренции; ст. 17 направлена на предупреждение монопольных и олигопольных слияний; ст.
19 предусматривает крайнюю меру по отношению к субъектам предпринимательства, злоупотребляющим своим доминирующим положением, принудительное разделение хозяйствующих субъектов.



Поведение фирм на рынке


Однако чистая монополия встречается достаточно редко, как правило, либо монопольная власть делится между несколькими крупными фирмами, либо на рынке действует множество небольших фирм, каждая из которых производит отличающуюся от других продукцию.
Таким образом, на рынках несовершенной конкуренции каждая фирма в той или иной степени обладает рыночной властью, что позволяет ей устанавливать цену выше предельного дохода и получать экономическую прибыль.
Как известно, разница между ценой и предельным доходом зависит от эластичности спроса на продукцию фирмы: чем более эластичен спрос, тем меньше возможностей получения дополнительной прибыли, меньше рыночная власть фирмы.
В условиях чистой монополии, когда спрос на продукцию фирмы совпадает с рыночным, его эластичность является определяющей оценкой рыночной власти фирмы. В других случаях, когда рыночная власть делится между двумя, тремя или большим количеством фирм, она зависит от следующих факторов:
1. Эластичность рыночного спроса. Спрос на продукцию отдельной фирмы не может быть менее эластичным, чем рыночный спрос. Чем большее количество фирм представлено на рынке, тем более эластичен будет спрос на продукцию каждой из них.
Присутствие конкурентов не позволяет отдельной фирме значительно поднимать цену без опасения потерять часть своего рынка сбыта.
Поэтому оценка эластичности спроса на продукцию фирмы является той информацией, которая должна быть известна руководству фирмы. Данные об эластичности должны быть получены путем анализа сбытовой деятельности фирмы, объема продаж при различных ценах, проведения маркетинговых исследований, оценки деятельности конкурентов и т.д.
2. Количество фирм на рынке. Однако само по себе количество фирм еще не дает представления о том, насколько рынок монополизирован. Для оценки конкурентности рынка используется индекс рыночной концентрации Герфиндаля, характеризующий степень монополизации рынка:

H=p12 + p22 + …….+ p12 +….+ pn2 (12.2)
где Н показатель концентрации; p1 ,p2,…….,pi …. pn процентная доля фирм на рынке.


Пример 12.1. Оценим степень монополизаций рынка в двух случаях: когда доля одной фирмы составляет 80% от всего объема продаж данной продукции, а остальные 20% распределяются между другими тремя фирмами, и когда каждая из четырех фирм осуществляет по 25% продаж на рынке.
Индекс рыночной концентрации составит: в первом случае Н= 802+ 6,672 +6,672 + 6,672 = 6533;
во втором случае Н= 252i 4 == 2500.
В первом случае степень монополизации рынка выше.


3. Поведение фирм на рынке. Если фирмы на рынке будут придерживаться стратегии жесткой конкуренции, снижать цены для охвата большей доли рынка и вытеснения конкурентов, цены ,могут снизиться почти до конкурентного уровня (равенство цены и предельных издержек). Монопольная власть и соответственно монопольные доходы фирм уменьшатся.
Однако получение высоких доходов очень притягательно для любой фирмы, поэтому вместо агрессивной конкуренции более предпочтителен явный или тайный сговор, раздел рынка.
Структура рынка, степень его монополизации должны учитываться фирмой при выборе стратегии деятельности. Для формирующегося рынка России характерна высокомонополизированная структура, поддерживаемая созданием в последние годы различного рода концернов, ассоциаций и других объединений, одной из целей которых является поддержание высоких цен и обеспечение себе «спокойного существования». Вместе с тем предполагаемое усиление открытости российской экономики для мирового хозяйства приводит к конкуренции с зарубежными фирмами и значительно усложняет положение отечественных монополистов.
Помимо уже рассмотренного выше эффекта масштаба существуют и другие причины, приводящие к монополии. Среди них немалую роль играет установление препятствий для вхождения в отрасль новых фирм. Такими препятствиями могут стать необходимость получения специального разрешения государственных органов на занятие тем или иным видом деятельности, лицензионные и патентные барьеры, таможенные ограничения и прямые запреты на импорт, сложности в получении кредитов, высокие первоначальные затраты на открытие нового предприятия и др.
Например, для открытия коммерческого банка в России помимо установленного минимального размера уставного фонда требуется специальное разрешение Центрального банка РФ, получить которое достаточно сложно. Не менее сложно и «добыть» относительно дешевый кредит. Введенные новые импортные пошлины на спиртные напитки, табачные изделия, автомобили и др. снижают конкурентные возможности иностранных товаров и укрепляют позиции отечественных производителей.
Вместе с тем получение высоких прибылей является мощным стимулом, привлекающим новые фирмы в монополизированную отрасль. И если отрасль не является естественной монополией (а большинство российских монополий таковыми не являются), то фирма-монополист в любой момент может ожидать появления неожиданного конкурента.
Чем выше прибыль предприятия-монополиста, тем больше желающих проникнуть в отрасль, например, путем расширения производства и продаж товаров-заменителей. Выход новых фирм на рынок с продукцией, способной эффективно заменить продукцию монополиста, приводит к переключению спроса потребителей. В таких условиях монополист будет вынужден снижать цену, отказываться от части прибыли, чтобы сохранить свое положение на рынке.
Законодательные барьеры для вхождения в отрасль также не вечны. На поддержку государственных чиновников, выражающих их интересы, монополисты тратят значительные средства, которые включаются в издержки, увеличивая их. Поэтому в условиях развитого рыночного хозяйства положение фирм-монополистов не является таким уж «безоблачным», как это кажется на первый взгляд.

Ценовая дискриминация
Ценовая дискриминация является одним из способов расширения рынка сбыта в условиях монополии. Производя продукции меньше и реализуя ее по более высокой цене, чем в условиях чистой конкуренции, монополист тем самым лишается части потенциальных покупателей, которые были бы готовы приобрести товар, если бы его цена была ниже монопольной. однако, снижая цену с целью расширения объема сбыта, монополист вынужден снижать цену на всю продаваемую продукцию. Но в некоторых случаях фирма может устанавливать разные цены на одну и ту же продукцию для разных групп покупателей.
Если одни покупатели приобретают продукцию по более низкой цене, чем остальные, имеет место практика ценовой дискриминации.
Ценовая дискриминация может проводиться при следующих условиях:
покупатель, приобретя продукцию, не имеет возможности ее перепродать;
существует возможность разделить всех потребителей данной продукции на рынки, спрос на которых имеет разную эластичность.
Действительно, если фирма, производящая любую продукцию, которая может быть перепродана, например телевизоры, холодильники, сигареты и т.п., решила прибегнуть к ценовой дискриминации, она столкнется со следующей ситуацией. Снижение цены на эти товары для пенсионеров и сохранение ее на первоначальном уровне для всех остальных категорий населения приведет к тому, что, покупая эти товары, пенсионеры тут же будут их перепродавать. К тому же такая ценовая политика может вызвать недовольство покупателей.
Иная ситуация складывается, если продукция не может перепродаваться; сюда относятся прежде всего отдельные виды услуг. В этом случае для групп потребителей, спрос со стороны которых является более эластичным, устанавливаются различные виды скидок с цены. Иными словами, разные группы потребителей представляют собой разные рынки, эластичность спроса на которых различная.
Предположим, что какая-то авиакомпания продавала 100 тыс. авиабилетов по цене 500 руб. за один билет. Такая цена была установлена исходя из равенства предельного дохода и предельных издержек. Ежемесячный валовой доход компании составлял 50 млн руб. Однако в результате произошедших изменений (выросли цены на топливо, работникам была повышена заработная плата) издержки компании возросли, и цена билета была повышена вдвое.
Вместе с тем количество проданных билетов сократилось в два раза и составило 50 тыс. шт. Несмотря на то, что общий валовой доход сохранился на уровне 50 млн руб., существует возможность получить дополнительный доход, привлекая пассажиров, отказавшихся от полетов из-за высокой цены, через предоставление скидок.
На 12.4 графически изображена ситуация, когда рынок услуг авиакомпании разделен на два отдельных рынка. Первый ( 12.4, а) представлен состоятельными людьми, бизнесменами, для которых важна быстрота передвижения, а не цена билета. Поэтому спрос с их стороны относительно неэластичен. Второй рынок ( 12.4, б) это лица, для которых скорость не столь уж важна, и при высоких ценах они предпочтут пользоваться железной дорогой.
В обоих случаях предельные издержки авиакомпании одинаковы, различна только эластичность спроса.
Из 12.4 видно, что при цене билета 1 тыс. руб. ни один потребитель со второго рынка не воспользуется услугами авиакомпании. Однако если этой группе потребителей предоставить 50%-ную скидку, то билеты будут проданы и доход компании увеличится на 25 млн руб. ежемесячно.



Практика мотивации труда и трудовые отношения


Основными особенностями развития системы оплаты труда в последнее десятилетие стали: повышение роли повременной заработной платы, широкое распространение поощрительных форм оплаты труда, внедрение гибких форм вознаграждения. При этом базой для оценки выполненной работы и начисления заработной платы работников является тарифная система. Для более полного учета количества и качества труда используются поощрительные системы оплаты.
Среди наиболее типичных форм и принципов оплаты труда и материального стимулирования на Западе можно назвать:
увеличение доли нестабильных элементов заработной платы (премии, бонуса и т.п.), достигающих 1/3 всей заработной платы и используемых в качестве поощрения за экономию сырья и материалов, прирост производительности трудами улучшение качества продукции;
применение так называемой аналитической системы оценки трудового вклада, где дифференцированно в баллах оцениваются многочисленные факторы процесса труда: квалификация работника, объем работы, ее качество, финансовые результаты деятельности фирмы. Для оценки результатов труда административно-управленческого и инженерно-технического персонала в западных фирмах широко применяется метод, основанный на достижении поставленных целей. Этот метод включает четыре основных этапа: установление перечня главных обязанностей работника на установленный срок; определение сферы ответственности применительно к каждой функциональной обязанности; установление единицы измерения по каждой категории ответственности, например %, долл. и т.п.; установление индивидуальных «стандартов дополнения», которые соотносятся с расчетными стандартами. Эту систему в 90-х гг. использовали 75% американских фирм;
использование системы тарифных ставок, которые стимулируют рабочих к достижению высоких конечных результатов, прежде всего, по параметрам качества, а также к овладению смежными и иными профессиями, например профессиями по ремонту производственного оборудования;
существование значительной дифференциации в заработной плате, которая отражает индивидуальные различия в результатах труда, а также в уровне квалификации и опыте работников;
использование различных планов группового (бригадного) стимулирования, устанавливающего связь между конечными результатами деятельности бригады или другого трудового коллектива (прирост производства, производительности труда и т.д.) и вознаграждением в виде премий и бонусов;
использование различных форм участия работников в прибылях, которые увязывают денежное вознаграждение не с производственными результатами деятельности фирмы, а с финансовыми, т.е. с ростом прибыли;
участие работников во владении акциями.

Современная практика мотивации труда и трудовые отношения Заметным явлением в сфере трудовых отношений и мотивации труда в развитых странах стало, развитие экономической демократии как процесса, с одной стороны, продолжающего многолетние усилия по оптимизации управленческих моделей в экономике, а с другой стороны, имеющего целью гармонизацию социальных отношений на производстве и в обществе. Экономическая демократия может быть охарактеризована как система, включающая демократизацию собственности фирмы в форме привлечения работников к ее владению, а также участия работников в управлении фирмой в форме как предоставления им значительной производственной автономии, так и представительства рядовых работников (или профсоюзов, где они имеются) в руководящих структурах фирмы; контроль (по крайней мере, в определенных пределах) со стороны работников за деятельностью администрации, предоставление им права голоса при принятии ключевых производстве решений. Важными элементами экономической демократии фирме можно считать также регулярное информирование работников о ситуации в фирме, наличие постоянно действующей системы подготовки и переподготовки кадров, использование личных дополнительных доходов в зависимости от прибыльности фирмы, создание «кружков качества» и других форм активно участия работников в делах своей фирмы.
В основе данного подхода лежат концепции ряда американских экономистов, социологов и психологов (Ф. Херцберга, Д. Макгрегора и др.), которые декларируют, прежде всего, тезис необходимости социальной и производственной активности работника, важности фактора содержания труда для полного раскрытия потенциала человека в производстве. В целом можно утверждать, что во многих западных фирмах идет процесс перехода от жесткой модели управления трудом, модели контроля, основанной на концепции Тэйлора, к модели соучастия, основанной на современных концепциях «качества трудовой жизни», «обогащения» и «гуманизации труда».

Регулирование трудовых отношений в России В России трудовые отношения призван регулировать Закон РФ «О коллективных договорах и соглашениях» от 11 марта 1992 г. В нем регламентируются основные правила ведения коллективных переговоров, порядок заключения коллективных договоров и соглашений, т.е. документов, регулирующих отношения между работодателями и наемными работниками. Закон впервые в России признал право работодателя и работников самостоятельно определять содержание коллективного договора. Обычно коллективный договор включает пять положений:
нормы и обязательства, регулирующие условия труда, в том числе его оплату, продолжительность рабочего времени и времени отдыха, условия и охрану труда, трудовые льготы;
нормы и обязательства, регулирующие отношения, тесно связанные с трудовыми, в первую очередь вопросы занятости и предоставления льгот при высвобождении с предприятия;
нормы, регулирующие социальное обслуживание работников (компенсация транспортных расходов, организация питания, обеспечение жильем);
обязательства и нормы, касающиеся социального обеспечения и медицинского страхования работников;
правила внесения изменений и дополнений в коллективный договор, порядок и сроки осуществления контроля за реализацией договора.
В нашей стране коллективный договор обычно подписывают представители администрации и профсоюза.

Производительность труда Показателем эффективности использования трудовых ресурсов является производительность труда. Она определяется делением стоимостного объема произведенной продукции (как правило, это валовой внутренний продукт, т.е. добавленная стоимость продукции отдельных отраслей) на среднегодовую численность занятых (годовая производительность труда) либо на количество отработанных человеко-часов (часовая производительность труда). И хотя это достаточно популярный показатель экономической эффективности, ему свойственна известная ограниченность: в делителе не учитываются затраты прочих (кроме трудовых) производственных ресурсов.
Поэтому полное представление об эффективности общественного производства в целом и использование экономических ресурсов в частности может быть получено только через систему показателей (производительность труда, капиталоотдача, материалоемкостьи энергоемкость).
Среди факторов, определяющих уровень и динамику производительности труда, темпы и характер накопления капитала и динамика капиталовооруженности труда; темпы внедрения в производство и направленность научно-технических достижений; развитие методов организации и стимулирования труда, а также методов управления производством; сдвиги в качественных и количественных характеристиках трудовых ресурсов; факторы социального порядка.


Выводы. 1. В экономической науке существует несколько основных концепций функционирования рынка труда. Ведущими среди них являются неоклассический, монетаристский, кейнсианский, институционалистский и марксистский подходы.
Каждая из концепций в отдельности не дает полной и адекватной картины функционирования рынка рабочей силы, хотя и отражает отдельные его элементы.
2. Рынок труда, подчиняясь в целом законам спроса и предложения, представляет собой рынок особого рода, имеющий ряд существенных отличий от других товарных рынков. Здесь регуляторами являются не только макро- и микроэкономические факторы, но и многие факторы социального и социально-психологического характера.
3. Современный рынок труда в развитых странах с рыночной экономикой сегментирован на несколько неконкурирующих рынков. Это рынки квалифицированных (первичных) » неквалифицированных (вторичных) рабочих мест, рынки наукоемких и традиционных отраслей экономики.
4. В изменениях, происходящих в отраслевой структуре рабочей силы, прослеживаются две важнейшие тенденции: резкое сокращение численности занятых в сельском хозяйстве и существенное увеличение их в сфере услуг. В профессиональной структуре рабочей силы преобладающей категорией стали работники преимущественно умственного труда, так называемые белые воротнички. Численность работников физического труда сокращается как абсолютно, так и относительно.
5. Безработица выступает как превышение предложения рабочей силы над спросом на нее. В западной экономической науке превалирует концепция, согласно которой безработица в своей основе отражает экономическую целесообразность использования трудовых ресурсов. В зависимости от причин возникновения безработицы выделяют несколько ее типов: структурную, циклическую, естественную, фрикционную, сезонную, скрытую и др. В среднем уровень безработицы составляет 57% от численности рабочей силы.
В России в результате экономического кризиса уровень безработицы в 1999 г. достиг почти 12%.
6. Среди основных направлений государственного регулирования рабочей силы можно выделить: 1) программы по стимулированию роста занятости и увеличению числа рабочих мест в государственном секторе; 2) программы по подготовке и переподготовке кадров; 3) программы содействия найму рабочей силы; 4) программы по социальному страхованию безработицы.
7. Теоретической основой деятельности государства на рынке труда длительное время служили кейнсианство и институционализм. С начала 80-х гг. возобладали концепции сторонников «экономики предложения», исповедующих ограничение государственного вмешательства в экономику. В 90-е гг. государство вновь расширило свое влияние на сферу труда, прежде всего через увеличение ассигнований на образование и подготовку кадров.
8. Особое место в системе регулирования рынка труда занимают биржи труда (службы занятости, службы содействия найму). Они представляют собой специальные учреждения, осуществляющие посреднические функции на рынке рабочей силы. В их функции входят регистрация безработных, их трудоустройство, изучение конъюнктуры рынка труда, тестирование, профессиональная ориентация и переподготовка безработных, выплата пособий.
9. Важным элементом рынка труда является кадровая работа в фирмах. Она включает процесс найма рабочей силы, мотивацию персонала, формы и методы оплаты труда, профессиональную подготовку и переподготовку кадров. Можно констатировать, что в настоящее время во многих странах идет процесс перехода от жесткой модели управления трудом к модели «соучастия», основанной на концепциях «качества трудовой жизни», «обогащения» и «гуманизации» труда.

Термины и понятия Полная занятость
Безработица
Естественный уровень безработицы (естественная безработица)
Структурная безработица
Фрикционная безработица
Циклическая безработица
Сезонная безработица
Частичная безработица
Скрытая безработица
Застойная безработица
Технологическая безработица
Закон Оукена
Занятые
Рабочая сила
Экономически активное
Структура рабочей силы
Квалификация
Рынок труда
Сегментация рынка труда
Государственное регулирование рынка труда
Биржа труда
Управление трудом в фирмах
Кривая Филлипса
Пособие по безработице
Предложение рабочей силы
Спрос на рабочую силу
Формы оплаты труда
Экономическая демократия
Трудовые отношения
Мотивация труда
Теория «человеческого капитала»
Производительность труда


Вопросы для самопроверки 1. В чем состоит механизм функционирования рынка труда?
2. Каковы основные концепции рынка труда в западной экономической науке?
3. В каком направлении эволюционирует современный рынок труда?
4. Что такое сегментация рынка труда?
5. Что показывает кривая Филлипса?
6. Какова современная отраслевая и профессионально-квалификационная структура рабочей силы?
7. Что в экономической статистике понимается под безработицей?
8. Какова норма безработицы, если численность рабочей силы 80 млн человек. а число безработных 4 млн человек?
9. Каковы основные направления государственного регулирования рынка труда?
10. Чем занимается биржа труда?
11. Что охватывает кадровая работа в фирмах?
12. Что включает понятие экономической демократии?
13. Какие используются формы оплаты труда?
14. Что показывает производительность труда?



















































Принципы налогообложения


социальную, т.е. поддержания социального равновесия путем изменения соотношения между доходами отдельных социальных групп с целью сглаживания неравенства между ними. Одним из главных способов осуществления этого является введение прогрессивного налогообложения: чем выше доход, тем непропорционально большая часть его изымается в виде налога. Пропорциональное налогообложение предусматривает одинаковую долю налога в доходах независимо от их величины.
По прогрессивной шкале платится подоходный налог с физических лиц. и часто налог на прибыль предприятий и поимущественные налоги, т.е. те налоги, которые технически возможно взимать по разным ставкам в зависимости от дохода налогоплательщика. Социальную функцию также несет освобождение от уплаты ряда налогов некоторых категорий налогоплательщиков (малоимущих, инвалидов, пенсионеров, матерей-одиночек, многодетных, переселенцев, студентов) или необложение налогами некоторых социально значимых товаров и услуг (освобождение их от НДС, налога с продаж, таможенных пошлин), или же, наоборот, повышенное налогообложение предметов роскоши (через высокий НДС, акцизы);
регулирующую, т.е. государственного регулирования экономики, прежде всего циклических колебаний, структурных изменений, цен, капиталовложений, НИОКР, экологии, внешнеэкономических связей. Для этого вводятся новые и отменяются старые налоги, меняются и дифференцируются их ставки, предоставляются налоговые льготы (см. 27.3).

Принципы налогообложения
На протяжении всей истории человечества ни одно государство не могло существовать без налогов. Налоговый опыт подсказал и главный принцип налогообложения: «Нельзя резать курицу, несущую золотые яйца», т.е. как бы велики ни были потребности в финансовых средствах на покрытие мыслимых и немыслимых расходов, налоги не должны подрывать заинтересованность налогоплательщиков в хозяйственной деятельности.
Наглядно это демонстрирует кривая Лаффера, получившая название по имени американского экономиста, обосновавшего зависимость бюджетных доходов от налоговых ставок. Ее смысл в том, что снижение ставок налогов обладает мощным стимулирующим воздействием на экономику. При снижении ставок налогов в , конечном счете увеличивается налоговая база: раз выпускается больше продукции, то и налогов собирается больше, хотя это происходит не сразу (см.
7.3).
Современные принципы налогообложения таковы.
1. Уровень налоговой ставки должен устанавливаться с учетом возможностей налогоплательщика.
2. Обязательность уплаты налогов. Налоговая система не должна оставлять сомнений у налогоплательщика в неизбежности платежа. Система штрафов и пеней, общественное мнение в стране должны быть такими, чтобы неуплата или несвоевременная уплата налогов были менее выгодными, чем своевременное и честное выполнение обязательств перед налоговыми органами. ;
3. Система и процедура уплаты налогов должны быть простыми, понятными и удобными для налогоплательщиков и экономичными для учреждений, собирающих налоги.
4. Налоговая система должна быть гибкой и легко адаптируемой к изменяющимся общественно-политическим потребностям.
5. Налоговая система должна обеспечивать перераспределение создаваемого ВВП и быть эффективным инструментом государственной экономической политики. Этот принцип относится к регулирующей функции налогообложения.

Налоговая ставка и ее виды Мы уже отмечали, что та часть налоговой базы, которую налогоплательщик обязан выплатить в виде того или иного налога, называется налоговой ставкой (размером налога).
Различают минимальные, максимальные и средние налоговые ставки. Например, в США подоходный налог с физических лиц прогрессивный: годовой доход до 21 450 долл. включительно облагается налогом по ставке 15% (это минимальная налоговая ставке подоходного налога); от 21 450 до 51 900 долл. по ставке 3217,5 долл. + 28% с суммы, превышающей 21 450 долл.; свыше 51 900 долл. по ставке 11 743,5 долл. + 31% с суммы, превышающей 51 900 долл. (это максимальная ставка).

Пример 27.1. Предположим, молодой американец имеет годовой доход 25 000 долл. В этом случае величина его налогового обязательства такова: 21 450 X 0,15+ (25 000 -21 450) 0,28 = 4211,5 долл., т.е. он заплатил по средней налоговой ставке.
Для этого американца она составила: (4211,5:25 000) 100 = 16,8%.

Проблемы сбора налогов Легче всего собирать налоги с заработной платы и жалованья. Здесь налоги взимаются автоматически в момент выплаты причитающихся денег; никакой отсрочки в уплате налогов не предоставляется и практически нет возможностей укрытия от налогов. То же самое относится к остальным социальным взносам (социальным налогам).
Легко взимать акцизы и налоги на добавленную стоимость, но, хотя они дают поступления немедленно, существует возможность искусственного завышения материальных издержек и приуменьшения облагаемого прироста стоимости.
При нормальной организации таможенной службы сбор таможенных пошлин также не связан с серьезными проблемами.
Наибольшие трудности возникают при получении налогов с корпораций (фирм) в связи с разнообразными возможностями снижения облагаемой балансовой прибыли за счет искусственного завышения издержек и использования различных льгот, скидок, отсрочек, инвестиционных премий, необходимых отчислений в различные фонды, разрешаемых государственными органами, ответственными за регулирование экономики.
Существуют проблемы объективной оценки стоимости земли и другой недвижимости при взимании налогов с этого вида капитала.
Много трудностей и хлопот доставляет налоговым инстанциям налог на личные доходы, получаемые не от наемного труда, т.е. на доходы предпринимателей, рантье, лиц свободных профессий. Окончательная сумма налога на эти доходы определяется по итогам года, и налог они часто вносят в течение текущего года как бы авансом в размере налогового платежа за прошедший год. Окончательный перерасчет производится на основе налоговой декларации по итогам года, т.е. фактически эти налогоплательщики получают отсрочку уплаты части налога и имеют возможность существенно сократить его величину.
Кроме того, проверка правильности уплаты налогов на личные доходы от предпринимательской деятельности, прибыль корпораций и на недвижимость требует содержания значительного штата финансовых инспекторов, а в ряде стран даже финансовой полиции (в России она называется налоговой полицией).

Международные аспекты налогообложения
Выбор и изменение налоговой системы, установление налоговых ставок, предоставление льгот относится исключительно к компетенции национальных государственных законодательных и исполнительных органов.
Однако правительства различных государств все активнее сотрудничают между собой в области налоговой политики. Необходимость такого сотрудничества коренится в интенсификации двусторонних и многосторонних хозяйственных связей, развитии экономической интеграции и вытекающем отсюда стремлении к обеспечению равных условий конкуренции на мировых рынках.
Национальная конкурентоспособность экспортируемых товаров и услуг, возможности той или иной страны вывозить капитал за рубеж зависят не только от эффективности национального хозяйства, но и от степени обремененности его налогами. Отчасти это смягчается стимулированием внешнеэкономической деятельности национальных фирм, осуществляемым, в частности, при помощи налоговых льгот.
Примером воздействия налогов на международные экономические отношения может служить НДС. Обычно этот налог не распространяется на экспорт, но им облагаются все реализуемые в стране товары и услуги вне зависимости от страны происхождения. В результате НДС стимулирует экспорт и препятствует импорту, а так как этот налог косвенный, а не прямой, то он не подпадает под ограничения Всемирной торговой организации (ВТО) на прямые экспортные субсидии.
В России экспорт в дальнее зарубежье также не облагается НДС.
Классическим примером защиты внутреннего рынка от чрезмерной иностранной конкуренции являются таможенные пошлины на импорт. Так, в России в 1998 г. размер средневзвешенной пошлины составлял около 13% от таможенной стоимости ввозимых товаров. Кроме того, эти товары облагаются НДС и акцизами (если это подакцизные товары).

Международное регулирование двойного налогообложения
Все развитые страны обычно облагают налогом доходы, заработанные на их территории. Многие страны (США, Канада, Япония, Великобритания, а также Россия) облагают налогом также доходы своих физических и юридических лиц, полученные ими за рубежом. В результате возникает так называемое двойное налогообложение.
В России налоговые органы засчитывают уплаченные за рубежом российскими физическими и юридическими лицами налоги. Тем не менее Россия имеет с рядом стран соглашения об избежании (устранении) двойного налогообложения доходов и имущества.

Гармонизация налоговых систем В интеграционных группировках действует тенденция к сближению (гармонизации) налоговых систем входящих в них стран. Наиболее активна она в ЕС, где намечается создание в перспективе общих ставок налогообложения корпораций, устранено двойное налогообложение прибыли компаний стран членов ЕС, получающих доходы в других странах Союза. Теперь прибыли, переводимые дочерней компанией материнской, либо не облагаются налогом в стране пребывания первой, либо засчитываются при налогообложении второй.
Достигнуто соглашение о единстве основной ставки НДС (15%) и введении единых минимальных размеров акцизных сборов. Здесь уже гармонизированы национальные налоги на выпуск займов (12%) и отменены сборы с выпуска ценных бумаг. Гармонизация налоговых систем предполагается и в СНГ.



Приватизация в России: итоги и перспективы


Продажа акций указанных 5000 предприятий проходит поэтапно с августа 1995 г. (первоначально 413 из них) через специально созданные национальные инвестиционные фонды. Граждане Польши могут приобретать акции либо за деньги, либо за распределяемые с ноября 1995 г. приватизационные сертификаты, которые, как и российские ваучеры, подлежали свободной купле-продаже. Право на приобретение сертификатов в филиалах государственной сберегательной кассы за административную пошлину в 20 злотых (около 3 долл.) получили 27 млн поляков в возрасте от 18 лет.
Сертификаты должны быть обменены на акции в течение года после их приобретения. Процесс приватизации указанных предприятий путем продажи их акций за деньги или сертификаты почти завершен.
Польская приватизация оказалась достаточно жесткой для населения из-за резкого роста безработицы вследствие уменьшения персонала предприятий в ходе их санирования и гораздо менее привлекательной с точки зрения социальной справедливости, чем чешская. В то же время она сопровождалась реальным накоплением капитала и во многом способствовала тому, что Польша вышла из экономического трансформационного кризиса.

Общая перспектива До завершения рыночной трансформации доля государственного сектора в производстве ВВП объективно должна оставаться в странах с переходной экономикой выше, чем в развитых странах (см. 3.2). Только после того, как частный капитал завершит стадию своего первоначального накопления и окрепнет до такой степени, что сможет обеспечивать эффективное хозяйствование крупных предприятий и фирм, он окажется в силах поэт^пно заместить государственный капитал в производстве товаров и услуг.
Такой прогноз подтверждается и историческим опытом развитых стран в те периоды, когда частный капитал по различным причинам испытывал временную слабость (например, в Западной Европе и Японии в первые годы после Второй мировой войны вследствие военных разрушений и других связанных с войной причин) и на определенный срок замещался государственным. По всей видимости, раньше других приблизят свою структуру собственности к развитым странам те 10 из рассматриваемых стран, которые официально признаны Европейским союзом кандидатами на
вступление в него в качестве полноправных членов и ведут с ЕС переговоры об этом или готовятся их начать (см. гл. 39).
2. Приватизация в России: итоги и перспективы Российская приватизация протекала в целом в рамках рассмотренных выше общих тенденций этого процесса. Вместе с тем она характеризуется и значительной национальной спецификой.

Этапы приватизации
В российской приватизации выделяются два этапа. Первый из них пришелся на 1992 г. первую половину 1994 г. В этот период малая приватизация охватила 70% предприятий этой категории. К июню 1994 г. 85 тыс. магазинов, предприятий общественного питания и службы быта перешли в частные руки. Малые предприятия подлежали продаже на аукционах и по конкурсу.
В итоге же получилось так, что подавляющее большинство из них выкупили их коллективы.
Большая приватизация на этом этапе осуществлялась преимущественно в безвозмездной форме, посредством приватизационных чеков (ваучеров). Всего было распространено среди 96% населения (в принципе право на по существу бесплатное получение ваучеров имели все граждане) 144 млн ваучеров номиналом в 10 тыс. руб., за каждый из которых взималось 25 руб. (неденоминированных). Крупные предприятия акционировались, а затем продавались в первую очередь за ваучеры и лишь во вторую за деньги. При этом большие льготы получили коллективы предприятий, которые бесплатно или на льготных условиях могли стать собственниками от 40 до 51% акционерного капитала своих предприятий.
Из 19 тыс. предприятий этой группы, которые подлежали преобразованию в акционерные общества, к 1 апреля 1994 г. ими стали 15 тыс.
С середины 1994 г. осуществляется переход ко второму этапу, когда безвозмездная приватизация была прекращена и приобретение акций приватизированных предприятий возможно лишь за деньги. К сожалению, этот этап до сих пор протекает вяло. Развертыванию его с самого начала препятствовала сложившаяся в результате глубокого экономического кризиса низкая платежеспособность населения. Как показали социологические опросы, лишь 67% населения РФ намерены покупать акции приватизированных предприятий.
По многим причинам не проявили большой активности в приобретении таких акций российские и иностранные инвесторы.

Малая приватизация Малая приватизация не достигла своей главной экономической и социальной цели создать мощный средний класс, который во всех развитых странах является важнейшей опорой общества, гарантом его стабильного развития. Многочисленные проявления в РФ в пореформенный период экономической, социальной и политической нестабильности во многом являются результатом именно этого обстоятельства.
При наличии в неаграрных секторах российской экономики в настоящее время всего около 1 млн малых предприятий (по российскому законодательству к таковым причисляются в зависимости от отрасли предприятия с числом занятых, не превышающим от 30 до 100 работников) ни о каком крепком среднем классе не может быть и речи. Для сравнения отметим, что, например, в Польше данный показатель равен 2 млн. Причем в 1 млн входят не только приватизированные, но и вновь созданные малые предприятия, которых в России крайне мало.
Как известно, во всех странах с развитой рыночной экономикой именно данная группа предприятий, а не крупные фирмы и концерны, обеспечивает занятость большей части самодеятельного населения. Отсюда становится очевидным, что обостряющиеся в последние годы в РФ проблемы, связанные с безработицей, не могут быть решены или даже заметно смягчены без ускоренного развития и стимулирования государством малого бизнеса. Пока же российское законодательство, регламентирующее условия создания малых предприятий, налоговая, финансовая и кредитная политика государства скорее враждебны мелкому бизнесу, чем благоприятствуют ему.

Большая приватизация
Еще более противоречивыми и во многом негативными оказались итоги большой приватизации. С одной стороны, положительным само по себе является то обстоятельство, что к настоящему времени около 55 млн российских граждан владеют акциями. Причем 40 млн из них приобрели акции за ваучеры (как правило, посредством чековых инвестиционных фондов, число которых достигало 685).
С другой стороны, и этот способ «рассеивания собственности» не привел к образованию сильного среднего класса. Эти граждане, получая от своих мелких пакетов акций доход, в лучшем случае подобный проценту по сберегательным вкладам, в отличие от мелких предпринимателей никак не влияют на эффективность хозяйственной деятельности предприятий и занятость населения.
Поскольку ваучеры (в отличие от чехословацких купонных книжек) не были именными ценными бумагами и подлежали свободной купле-продаже, значительная их часть путем перекупки оказалась в руках различного рода мафиозных структур. Это, с одной стороны, привело к резкому усилению социального расслоения общества, а с другой, что еще хуже, способствовало быстрой криминализации российской экономики.
На основе ваучерной приватизации возникли новые формы экономической преступности. Так, всякого рода сомнительные фирмы (около 100 из них впоследствии бесследно исчезли), посулив гражданам огромные дивиденды, сумели получить в «доверительное управление» миллионы ваучеров и использовать их в своекорыстных целях. В результате 3 млн граждан был нанесен ущерб в 6 трлн руб. (тогда это соответствовало примерно 13 млрд долл.).
Весьма сомнительными оказались и льготы коллективам предприятий. Надо отметить, что такие льготы во многом оправданы тем, что большинство предприятий к моменту начала приватизации находились в сложном финансовом положении или даже были убыточными, а поэтому их акции не представляли интереса для внешних инвесторов. В то же время такие льготы явно противоречат основному принципу демократии равноправию граждан.
Поскольку сотрудники предприятий имели право (наряду с бесплатным получением акций) приобретать часть акций со скидкой, их администрации при предшествующей акционированию оценке стоимости предприятий стремились любыми способами к занижению последней, что, как правило, удавалось сделать. К тому же та часть акций, которая при проведении приватизации продавалась на сторону, скупалась за бесценок. Соответственно бюджет недополучил крупные суммы.
Только в 1994 г., с началом второго этапа, льготы коллективам предприятий при проведении приватизации последних были отменены.

Итоги приватизации Важнейшим итогом первого этапа и в меньшей степени второго стало образование крупного частного и полугосударственного сектора, который, производя около 70% российского ВВП, безусловно доминирует в экономике РФ и является основой дальнейших рыночных преобразований.
По существу, уже на первом этапе в стране сложилась принципиально новая структура отношений собственности, не имеющая ничего общего с прежним плановым хозяйством и исключающая или, по меньшей мере, делающая крайне маловероятной возможность возврата к последнему, и в целом благоприятствующая дальнейшей рыночной трансформации. Вместе с тем, итоги осуществленной приватизации оказались далеко не однозначными и во многом негативными. Это относится как к малой, так и к большой приватизации.



Проблема социальной ориентации экономики


Бедность также характеризуется распространенностью (число бедных) и глубиной. В большинстве стран с переходной экономикой в середине 90-х гг. она затрагивала существование почти четверти населения (в России в 19951997 гг. 2025%). Г л у б и н а б е д н о с т и это среднее отклонение доходов семей от величины прожиточного минимума.
Так, в России в среднем для бедного это отклонение составляет более 40% (в Эстонии 25%, в Польше и Венгрии 20%), т.е. бедность в нашей стране отличается большей глубиной, чем в странах Центральной и Восточной Европы.
Д е ф и ц и т д о х о д а оценивается как величина дополнительных средств, необходимых для доведения доходов бедных слоев населения до уровня прожиточного минимума. Для общества относительное бремя расходов на поддержку бедных слоев населения определяется тем, насколько высоко над чертой бедности находятся доходы средних граждан, т.е. насколько велик дефицит доходов по отношению к ВВП. Так, совокупный дефицит доходов населения по отношению в ВВП составлял в 1997 г.: в России 3%; Эстонии 2,7; Польше 0,6 и Венгрии - 0,2%.
Для количественной оценки бедности и социальной дифференциации в целом используются также более широкие по набору товаров и услуг, чем прожиточный минимум, показатели минимального и рационального потребительского бюджета.
М и н и м а л ь н ы й п о т р е б и т е л ь с ки й б ю д ж е т представляет собой социальный минимум товаров и услуг в объеме, необходимом для обеспечения нормальной жизнедеятельности человека. В России этот бюджет составлен на основе более 200. товаров и услуг, в том числе 80 продуктов питания. Структура минимального потребительского бюджета, %: питание 45,1; непродовольственные товары 39,0;услуги 13,2; налоги и сборы 2,7.
Р а ц и о н а л ь н ый п о т р е б и т е л ь с к и й б ю д ж е т отражает потребление товаров и услуг, обеспеченность домашних хозяйств предметами культурно-бытового и хозяйственного назначения в соответствии с научно обоснованными нормами удовлетворения рациональных потребностей человека. Рациональный потребительский бюджет отличается от минимального по структуре затрат в частности, в нем существенно ниже доля затрат на питание. Его составляющие таковы, %: продукты питания 30; непродовольственные товары 47 (из них ткани, одежда, обувь 20, мебель, предметы культуры и быта 18, прочие товары 9%); все услуги23.
Дифференциация населения по уровню доходов на основе прожиточного минимума и минимального потребительского бюджета позволяет выделить следующие группы с разным уровнем материальной обеспеченности:
1) «бедные» семьи, душевой доход в которых ниже или соответствует прожиточному минимуму;
2) «малообеспеченные» семьи, душевой доход в которых находится в интервале между прожиточным минимумом и минимальным потребительским бюджетом;
3) «обеспеченные» семьи, душевой доход в которых находится в интервале между минимальным потребительским бюджетом и рациональным потребительским бюджетом;
4) «богатые» семьи, уровень душевого дохода в которых выше рационального потребительского бюджета.
В России во второй половине 90-х гг. на бедные семьи приходилось 3035% населения, малообеспеченные 3540, обеспеченные 2025, состоятельные и богатые 66,5%.

3. Проблема социальной ориентации экономики. Противоречия социальной справедливости и экономической эффективности
Социальная ориентация экономики предполагает подчинение хозяйства задачам развития личности. Необходимость формирования социально ориентированной экономики обусловлена следующими факторами:
задачами гуманизации общественных отношений, предотвращения роста бедности и преступности;
научно-технической революцией, главным двигателем которой является творческий труд, немыслимый без удовлетворения разумных потребностей работника;
необходимостью создания нормальных условий жизнедеятельности людей, когда уровень экономического развития многих стран позволяет удовлетворить их основные потребности.
Социально ориентированная экономика сформировалась в странах Северной Америки и Западной Европы. Что касается России, то ее экономика при господстве административно-командной системы в сравнительно спокойный период 19531985 гг. могла обеспечить минимально нормальный уровень жизни, но в целом она не обеспечивала возможности раскрытия творческого потенциала личности, а многие разумные потребности не могли быть удовлетворены из-за постоянного дефицита потребительских товаров и услуг и выделения средств на развитие социальной сферы по «остаточному принципу».
Тем не менее административно-командная система имела и ряд достижений в социальной области: бесплатные образование и здравоохранение, гарантия рабочего места при практически всеобщей занятости. Уступая рыночной экономике в эффективности хозяйственной деятельности, насыщенности потребительского рынка товарами и услугами, административно-командная система опережала рыночную в перечисленных социальных моментах. Поэтому переходная экономика это желание сочетать социалистическую социальную систему с эффективностью рыночной экономики.

Социальная ориентация экономики в переходный период Создание социально ориентированной переходной экономики означает:
достижение рационального уровня потребления для большинства населения, что предполагает, в частности, сокращение дифференциации в уровне потребления благ и услуг до пределов, при которых сохраняются стимулы к квалифицированному труду и эффективному предпринимательству;
создание условий для квалифицированного творческого труда, что тесно связано с качественным изменением структуры экономики (прежде всего сокращение до минимума применения тяжелого физического труда и экологически вредных производств);
переход от хронического дефицита потребительских товаров и услуг к широкому предложению их на рынке;
формирование эффективной системы социальной защиты, которая должна включать защиту от безработицы, обеспечение пособий для нетрудоспособных групп населения, соединение государственной и страховой систем социальной защиты.
В России создание социально ориентированной экономики затруднено в силу следующих обстоятельств:
1) сильного отставания от современного технического уровня в ряде отраслей, особенно в сельском хозяйстве, что не позволяет быстро удовлетворить на высоком уровне потребности преобладающей части населения;
2) крайне нерациональной структуры экономики со слабым развитием отраслей, ориентированных на потребительский рынок;
3) сохранения бюрократических традиций управления, ведущих к значительной роли в экономической политике отраслевых интересов в ущерб социальным задачам:
4) преобладания в общественном поведении пассивных форм социальной адаптации (иждивенческие настроения некоторых социальных слоев);
5) необходимости при возобновлении экономического роста значительных инвестиций для технологического перевооружения экономики.

Противоречия социальной справедливости и экономической эффективности
Социальная справедливость в сфере экономики это соответствие системы экономических отношений (преимущественно отношений распределения) представлениям, потребностям, интересам, господствующим в данном обществе. Так, в разные эпохи считалось справедливым распределение благ в зависимости от следующих критериев: по статусу рождения (аристократ, свободный плебей, раб); по положению (чиновник, простолюдин); по имуществу (собственник, пролетарий); по труду; по едокам (в крестьянской общине в России). В настоящее время в общественном сознании россиян сложились три основных критерия социальной справедливости: уравнительный, рыночный (распределение доходов по факторам производства) и трудовой.
Экономическая эффективность это способ действий, обеспечивающий получение в результате осуществляемых усилий и затрат ресурсов максимального (наилучшего) результата. В принципе она противоречит социальной справедливости в таких сферах, как перераспределение ресурсов в пользу малоимущих, поддержание всеобщей занятости, решение экологических проблем и др. Противоречие между экономической эффективностью и социальной справедливостью это отражение противоречия между производством и потреблением.
В современных условиях применяется более широкое понятие социально-экономической эффективности, включающее категории социальных издержек (заболеваемость, загрязнение окружающей среды и т.д.) и социальных благ (здоровье, образование, научный потенциал). Такое расширение понятия экономической эффективности связано со стремлением к социальному консенсусу или хотя бы к смягчению социальных противоречий, без чего вообще невозможно нормальное функционирование экономики.
Экономическая эффективность, направленная на увеличение общественного «пирога», наилучшим образом достигается, как показал опыт последних десятилетий (ГДР и ФРГ, Северная и Южная Корея, КНР и Тайвань до начала 80-х гг.), в рамках рыночной системы с преобладанием частной собственности и при определенной регулирующей роли государства. Такая система неизбежно порождает усиление социальной дифференциации, так как в ней преобладает распределение по факторам производства, если государство устраняется от крупномасштабного перераспределения доходов граждан. Социальная справедливость реализуется главным образом через перераспределение доходов между различными группами населения, что ограничивает стихийное действие механизмов рыночной экономики.



Проблема внешнего долга


Государственный долг подразделяется на внутренний и внешний, а также на краткосрочный (до одного года), среднесрочный (от одного года до пяти лет) и долгосрочный (свыше пяти лет). Наиболее тяжелыми являются краткосрочные долги. По ним вскоре приходится выплачивать основную сумму с высокими процентами. Такую задолженность можно пролонгировать, но это связано с выплатой процентов на проценты. Государственные органы стараются консолидировать краткосрочную и среднесрочную задолженность, т.е. превратить ее в долгосрочные долги, отложив на длительный срок выплату основной суммы и ограничившись ежегодной выплатой процентов.
В ряде стран существуют специальные управления государственного долга при министерстве финансов, которые осуществляют погашение и консолидацию старых долгов и привлечение новых заемных средств. Выплата процентов по долгу и постепенное погашение основной суммы его называется обслуживанием долга (задолженности).

Проблема внешнего долга Предметом особого внимания является внешний долг. Если платежи по нему составляют значительную часть поступлений от экспорта товаров и услуг страны, например превышают 2025%, то ситуация становится критической. Это отражается, в частности, на кредитном рейтинге страны. В результате становится трудно привлекать новые займы из-за рубежа.
Их предоставляют неохотно и под более высокие проценты, требуя залогов или особых поручительств.
Обычно правительства стран-должников принимают все возможные меры, чтобы не попасть в положение безнадежных должников, так как это ограничивает доступ к зарубежным финансовым ресурсам. Отметим несколько возможных путей.
1. Традиционный путь - выплата долгов за счет золотовалютных резервов; для закоренелых должников этот путь, как правило, исключен, так как у них эти резервы исчерпаны или очень ограниченны.
2. Реструктуризация (консолидация) внешнего долга, которая возможна только с согласия кредиторов. Кредиторы создают специальные организации клубы, где вырабатывают солидарную политику по отношению к странам, которые не в состоянии выполнять свои международные финансовые обязательства.
Наиболее известные Лондонский клуб, в который входят банки-кредиторы, и Парижский клуб, объединяющий страны-кредиторы. Оба названных клуба неоднократно шли навстречу просьбам стран-должников (в том числе и России) об отсрочке выплат, а в ряде случаев частично списывали долги.
3. Сокращение размеров внешнего долга путем конверсии, т.е. превращения его в долгосрочные иностранные инвестиции, практикуемое в некоторых странах. В счет долга иностранным кредиторам предлагают приобрести в стране-должнике недвижимость, ценные бумаги, участие в капитале, права. Одним из вариантов превращения внешней задолженности в иностранные капиталовложения является участие хозяйствующих субъектов страны-кредитора в приватизации государственной собственности в стране-должнике.
В таком случае заинтересованные фирмы страны-кредитора выкупают у своего государства или банка обязательства страны-должника и с обоюдного согласия используют их для приобретения собственности.
Такая операция ведет к увеличению доли иностранного капитала в национальной экономике без поступления в страну из-за рубежа финансовых ресурсов, вещественных носителей основного капитала, новых технологий, но она облегчает бремя внешнего долга, делает возможным получение новых кредитов из-за рубежа и стимулирует последующий приток частных иностранных инвестиций и реинвестиций в приобретенные таким путем хозяйственные объекты.
4. Обращение страны-должника, попавшей в тяжелое положение, к международным банкам региональным, Всемирному банку. Такие банки, как правило, предоставляют льготные кредиты для преодоления кризисной ситуации, но обусловливают свои кредиты жесткими требованиями к национальной экономической политике, в частности к денежно-кредитной политике, поощрению конкуренции и приватизации, сведению до минимума дефицита государственного бюджета. К таким кредитам в 90-х гг. часто обращаются постсоциалистические страны, в том числе Россия (см.
37.3).
Эти и другие мероприятия называют регулированием внешнего долга. В истории ХХ в. встречались и другие примеры регулирования внешней задолженности. Так, и после Первой, и после Второй мировой войны Великобритания и Франция оплатили часть внешней задолженности своими иностранными активами.
Некоторые развивающиеся страны, чтобы смягчить кредиторов, предоставляли им право пользования своей морской хозяйственной зоной, континентальным шельфом, строительства военных баз, станций слежения за спутниками.
2. Налоги Как уже отмечалось, главной статьей бюджетных доходов являются налоги.

Сущность налога и налоговой системы
Под налогом, сбором, пошлиной и другими платежами понимается обязательный взнос в бюджет соответствующего уровня или во внебюджетный фонд, осуществляемый плательщиками в порядке и на условиях, определенных законодательными актами.
Совокупность взимаемых в государстве налогов, сборов, пошлин и других обязательных платежей (далее налоги), а также форм и методов их построения образует налоговую систему. Объектами налогообложения являются доходы (прибыль), стоимость определенных товаров, отдельные виды деятельности налогоплательщиков, операции с ценными бумагами, пользование природными ресурсами, имущество юридических и физических лиц, передача имущества, добавленная стоимость произведенных товаров и услуг и другие объекты, установленные законодательными актами. В России основы налоговой системы закреплены в Налоговом кодексе РФ.

Виды и группы налогов Налоги бывают двух видов. Первый вид налоги на доходы и имущество: подоходный налог с физических лиц; налог на прибыль предприятий (корпораций, фирм); налог на социальное страхование и на фонд заработной платы и рабочую силу (так называемые социальные налоги); поимущественные налоги, в том числе налоги на собственность, включая землю и другую недвижимость; налоги на перевод прибыли и капитала за рубеж и др. Они взимаются с конкретного физического или юридического лица, их называют прямыми налогами.
Второй вид налога на товары и услуги: налог с продаж, который в большинстве развитых стран в настоящее время заменен налогом на добавленную стоимость (НДС); акцизы (налоги, прямо включаемые в цену товара или услуги); налог на наследство, на сделки с недвижимостью и ценными бумагами и др. Эти налоги называют косвенными. Они частично или полностью переносятся на цену товара или услуги.
В России примерно одна половина налоговых сборов приходится на прямые налоги, другая на косвенные.

Основные налоги 1. Подоходный налог с физических лиц (налог на личные доходы) является вычетом из доходов (обычно годовых) налогоплательщика физического лица. Платежи осуществляются в течение года, но окончательный расчет производится в конце его. Налоговые системы разных стран, будучи в основном схожими, имеют свои собственные наборы налоговых ставок и изъятий из налогообложения, налоговых кредитов и сроков выплат.
Обычно подоходный налог взимается по прогрессивной ставке, повышающейся по мере роста дохода налогоплательщика. Высшие ставки подоходного налога в развитых странах колеблются от 30 до 70%. Самый высокий уровень подоходного налога в Швеции.
В России минимальная ставка этого налога составляет 12%, максимальную предполагается повысить до 45%.
В последние десятилетия заметна тенденция понижения ставок подоходного налога в мире. Тем не менее в развитых странах физические лица расходуют весьма существенную часть своего дохода на выплату этого налога. Подоходный налог с физических лиц в этих странах, в отличие от России, является главной составляющей бюджетных доходов.
2. Налог на прибыль предприятий, организаций (фирм, корпораций) взимается в случае, если они признаются юридическими лицами. Однако для некоторых фирм в мелком бизнесе делается исключение: они признаются юридическими лицами, но налоги платят не они, а их владельцы через индивидуальный подоходный налог.
Налог на прибыль предприятий (корпоративный налог) составляет основную часть их налоговых выплат. Обложению налогом подлежит прибыль, чистый доход (валовая выручка за вычетом всех расходов и убытков). В России ставка этого налога близка к той, что действует в ведущих развитых странах до 35%.
Налогообложение той части прибыли, которая подлежит распределению между акционерами (пайщиками) в виде дивидендов, в разных странах осуществляется по-разному. Полученные дивиденды подпадают под действие подоходного налога с физических лиц, в результате чего одна и та же сумма может дважды облагаться налогом: вначале корпоративным налогом как часть прибыли, а затем подоходным налогом с физических лиц как распределяемая прибыль, которая превращается с точки зрения налогообложения в доход акционеров. В результате возникает так называемое двойное налогообложение.
Оно имеет место и в других случаях.
В зависимости от подхода к двойному налогообложению распределяемой прибыли национальные системы взимания налога на прибыль предприятий можно сгруппировать следующим образом:
классическая система, при которой распределяемая часть прибыли облагается вначале налогом на прибыль предприятий, а затем личным подоходным налогом (Бельгия, Нидерланды и Люксембург, США, Швеция, Швейцария, а также Россия);



Проектный анализ как концепция


Модель акселерации инвестиционных процессов предполагает, что инвестиции растут тогда, когда ускоряются темпы экономического роста, т.е. что они производны от экономического роста, а не экономический рост зависит от них, как полагал Кейнс. Еще в начале ХХ в. американский экономист Джон Бейтс Кларк (18471938) предположил, что размер чистых инвестиций изменяется под влиянием объемов выпуска продукции. Для России 90-х гг. это будет означать, что не снижение инвестиций привело к резкому падению объема ВВП, а, наоборот, резкое сокращение последнего обусловило снижение инвестиций.
Правда, тогда следует предположить, что для финансирования инвестиций всегда достаточно средств, что оспаривается многими экономистами.
Другой американский ученый, лауреат Нобелевской премии Джеймс Тобин предложил так называемую q теорию инвестиций. Согласно ей обычно существует q разрыв между восстановительной стоимостью капитала фирмы и ее стоимостью (точнее, совокупной ценой фирмы) на фондовом рынке. Если фондовая стоимость превышает восстановительную, то фирма может увеличивать свой реальный капитал, выпуская новые акции под будущее увеличение массы своей прибыли.
Если q имеет отрицательное значение, то фирме не следует активизировать свою инвестиционную деятельность.

Анализ инвестиций
Анализ инвестиций весьма многообразен. Укажем лишь на некоторые направления анализа капитальных вложений.
1. Анализ динамики капиталовложений, очищенный от инфляции, позволяет судить об инвестиционной активности фирмы, отрасли, всей страны. Так, в России в 90-х гг. объем капиталовложений снизился в пять раз, позволяя говорить об «инвестиционной катастрофе», произошедшей в нашей стране в эти годы.
2. Анализ структуры капиталовложений, объектами которого могут являться:
производственная (отраслевая) структура инвестиций, во многом характеризующая будущую картину диверсификации производственной деятельности фирмы, отрасли, страны. Так, в России капиталовложения направляются прежде всего в топливно-энергетический комплекс, транспорт, жилищно-коммунальное хозяйство. В 1998 г. на эти отрасли пришлось соответственно 24, 14 и 21% всех капиталовложений;
география инвестиций. В 1998 г. 21% капитальных вложений в России приходился на Москву и Московскую область, 17 на Западную Сибирь, 12на Урал, 10% на Поволжье;
воспроизводственная структура капиталовложений, т.е. соотношение между вложениями в новое строительство, расширение действующих предприятий, в их техническое перевооружение и реконструкцию. Обычно последние обходятся дешевле, чем новое строительство. В 1997 г. на них приходилось соответственно 10 и 48% капитальных вложений в России;
технологическая структура капиталовложений, т.е. соотношение затрат на строительно-монтажные работы (пассивная часть инвестиций) и на приобретение оборудования, машин, инвентаря и инструмента (активная часть). Наиболее эффективной является такая структура, в которой преобладает активная часть (в 1997 г. в России на нее приходилось 27% капитальных вложений);
концентрация инвестиций: чем меньше стоимость незавершенного строительства по отношению к годовому объему капиталовложений, тем лучше.
3. Другие направления анализа инвестиций, и прежде всего анализ их доходности. Ведь в конечном счете капиталовложения осуществляются, чтобы приносить прибыль.

3. Проектный анализ как концепция Сущность проектного анализа. Проектный цикл
Планируемые, реализуемые и осуществленные капиталовложения принимают форму капитальных (инвестиционных) проектов. Но проекты надо подобрать, рассчитать, выполнить, а главное, оценить их эффективность, и прежде всего на основе сопоставления затрат на проект и результатов его реализации. Для этого и существует проектный анализ (анализ инвестиционных проектов).
Проектный анализ это анализ доходности капитального проекта. Иными словами, это сопоставление затрат на капитальный проект и выгод, которые будут получены от реализации этого проекта.
А так как выгоды от любого капитального проекта и затраты на него не всегда легко вычисляемы, то определение доходности превращается в длительный анализ всех стадий и аспектов инвестиционного проекта. В результате проектный анализ стал концепцией, закладываемой в основу инвестиционных проектов в странах с рыночной экономикой. В концепции проектного анализа сложился свой подход к стадиям проекта и аспектам его анализа.
По мере подготовки и реализации капитальный проект проходит «жизненный цикл», состоящий из различных стадий. Границы между ними не всегда четки, но тем не менее можно выделить шесть таких стадий (иногда их насчитывают восемь):
1, 2. Предыдентификация и идентификация проекта (эти две стадии часто объединяют). На этих стадиях вначале рождается сама идея, а затем подготавливаются основные детали проекта, который проходит предварительное обоснование и сравнивается с набросками других проектов, признается заслуживающим детальной проработки. Иначе говоря, это стадия предварительного технико-экономического обоснования.
3. Разработка проекта. На этой стадии идет детальная проработка всех аспектов проекта, которые окончательно должны обосновать выгодность проекта. Это можно назвать стадией подготовки технико-экономического обоснования.
4. Оценка проекта. Это экспертиза, которую проходит подготовленный проект (он изучается и обсуждается руководством фирмы, независимыми экспертами, потенциальными кредиторами, министерством и т.д.).
5. Принятие проекта (переговоры по проекту). На этой стадии руководство всех уровней и кредиторы принимают окончательное решение по проекту, а так как у самой фирмы обычно есть альтернативные возможности использовать экономические ресурсы или же у кредиторов есть предложения о финансировании других проектов, то эта стадия может оказаться не такой короткой, как может показаться на первый взгляд.
6. Осуществление проекта. Здесь главное это контроль и наблюдение за реализацией проекта, с тем чтобы он не отклонялся от графика, и одновременное внесение оперативных изменений в проект, если они действительно необходимы.
7, 8. Эксплуатация проекта и оценка его результатов. На этих последних стадиях (часто объединяемых в одну) не только получают выгоды от введенного в строй объекта, но и неоднократно сравнивают полученные результаты с планировавшимися. Это нужно и для анализа выявляющихся отклонений, и для приобретения опыта подготовки новых проектов.
Последняя стадия обычно самая продолжительная, так как проект начинает наконец-то работать и приносить выгоду.

Направления проектного анализа
На всех стадиях проекта (но особенно на стадии разработки) идет анализ его основных аспектов (часто их называют направлениями анализа или просто анализом):
1. Технический анализ, задачей которого является определение наиболее подходящей для данного инвестиционного проекта техники и технологии.
2. Коммерческий анализ (маркетинговый), в ходе которого анализируется рынок сбыта той продукции, которая будет производиться после реализации инвестиционного проекта, т.е. сколько нужно производить этой продукции, и рынок закупаемой для проекта продукции (прежде всего цена на нее).
3. Институциональный анализ, задача которого состоит в оценке организационно-правовой, административной и даже политической среды, в которой будет реализовываться проект, и приспособлении его к этой среде, особенно к требованиям государственных организаций. Другой важный момент приспособление самой организационной структуры фирмы к проекту.
4. Социальный (социально-культурный) анализ, во время которого необходимо исследовать воздействие проекта на жизнь местных жителей, добиться благожелательного или хотя бы нейтрального их отношения к проекту.
5. Анализ окружающей среды, который должен выявить и дать экспертную оценку ущербу, наносимому проектом окружающей среде, а также предложить способы смягчения или предотвращения этого ущерба.
6. Финансовый анализ.
7. Экономический анализ.
Два последних направления являются ключевыми, и поэтому их следует рассмотреть особо. Оба базируются на сопоставлении затрат и выгод от проекта, но отличаются подходом к их оценке. Экономический анализ оценивает доходность проекта с точки зрения всего общества (страны), финансовый же анализ только с точки зрения фирмы и ее кредитора (если проект кредитуется).
Главной целью частной фирмы является максимизация ее прибыли. Затраты, которые несет фирма во время реализации инвестиционного проекта, сводятся преимущественно к расходам на оплату товаров и услуг, необходимых для осуществления проекта. В большинстве случаев при расчете проекта фирма использует цены, по которым она приобретает необходимые для проекта товары и услуги, и те цены, которые заплатят потребители за продукцию, получаемую от реализации проекта.

Расчетные цены в экономическом анализе
С точки зрения общества эти цены не всегда могут быть приемлемой мерой стоимости затрат и выгод. Например, цены могут быть завышены из-за включения в них расходов на выплату налогов или же занижены из-за их субсидирования государством. Для экономического анализа нужно очищать цены от этих элементов, дабы избежать двойного счета.
Такой счет складывается из-за того, что сначала общество платит производителю завышенную (заниженную) цену из-за включения в цену закупаемой продукции налогов (субсидий), а затем отбирает у производителя часть его доходов в виде налога (дает производителю дополнительный доход в виде субсидии), т.е. считает налоги и субсидии как бы дважды.



Производительность труда


Прогрессивное налогообложение налогообложение, предусматривающее повышение ставки налога по мере роста налоговой базы
Проектный анализ концепция, лежащая в основе инвестиционных проектов в странах с рыночной экономикой и базирующаяся на сопоставлении затрат на инвестиционный проект и выгод от этого проекта
Проектный цикл временные стадии разработки и реализации инвестиционного проекта
Прожиточный минимум (социальный и физиологический) - совокупность товаров и услуг, выраженных в стоимостной форме и предназначенных для удовлетворения физических потребностей, социальных и духовных запросов, которые общество признает необходимыми для сохранения социально приемлемого образа жизни
Производительность труда показатель эффективности использования трудовых ресурсов. Выражается в виде соотношения стоимостного объема продукции либо со среднегодовой численностью занятых (годовая производительность труда), либо с количеством отработанных человеко-часов (часовая производительность труда)
Производство процесс создания экономических бЛаг для удовлетворения потребностей членов общества
Производственная функция КоббаДугласа функция, определяющая взаимозаменяемость труда и капитала. Выведена в 20-х гг. американскими учеными К. Коббом и П. Дугласом
Производственный кооператив (артель) добровольное объединение граждан на основе членства для совместной производственной или иной хозяйственной .т.е деятельности при их личном участии и объединении паевых взносов
Производственный потенциал (производственные мощности) способность предприятия за какое-то время произвести определенное количество продукции нужного ассортимента и качества
Производственный рычаг воздействие изменения выручки фирмы на изменение ее прибыли
Пропорциональное налогообложение налогообложение, предусматривающее одинаковые ставки налога независимо от величины налоговой базы
Профицит государственного бюджета превышение доходов бюджета над его расходами
Прямые инвестиции предпринимательские инвестиции, в результате которых инвестор приобретает управленческий контроль над объектом вложения капитала
Прямые налоги налоги, взимаемые с доходов или имущества налогоплательщика



Р

Рабочая сила совокупность занятых и безработных
Равновесная цена цена на конкурентном рынке, при которой размеры спроса соответствуют величине предложения и отсутствует дефицит или избыток товаров и услуг
Равновесный уровень цен уровень цен, при котором кривая совокупного спроса пересекает кривую совокупного предложения
Разгосударствление ликвидация механизмов прямого государственного управления экономикой путем передачи соответствующих полномочий на уровень предприятия без изменения характера собственности
Располагаемые доходы номинальные доходы за вычетом налогов и других обязательных платежей
Распределение процесс определения количественных пропорций, доли, которой участники хозяйственной деятельности участвуют в произведенном продукте
Распределение доходов получение дохода от выпуска и реализации товаров и оказания услуг в соответствии с долей основных' факторов производства (земли, капитала, труда и предпринимательских способностей)
Реальная процентная ставка процентная ставка с учетом инфляции; равна номинальной ставке, очищенной от инфляции
Реальные доходы количество товаров и услуг, которое отдельный гражданин или семья может приобрести в определенный период времени на свои номинальные доходы (см. Номинальные доходы)
Реальный сектор прежде всего промышленность, сельское хозяйство, строительство и транспорт
Регионализация ориентация внешнеэкономических связей страны на свой и соседние регионы мира
Рейтинговые оценки облигаций система определения способности эмитента вовремя выплачивать проценты в течение срока существования облигации и своевременно ее погашать, т.е. это система (показатель) надежности
Резервные валюты национальные валюты, наиболее широко применяющиеся в международных расчетах
Резиденты физические лица страны с постоянным местожительством в этой стране (в том числе временно находящиеся за ее пределами); юридические лица страны с местонахождением в этой стране; предприятия и организации не юридические лица, созданные в соответствии с законодательством страны, но находящиеся за ее пределами; дипломатические и иные представительства страны за ее пределами; зарубежные филиалы и представительства резидентов страны
Рента форма реализации собственности на те природные ресурсы, количество которых строго ограничено
Рентабельность проекта соотношение между всеми дисконтированными доходами от инвестиционного проекта и всеми дисконтированными расходами на него
Репатриация возвращение в страну происхождения ранее выехавших из нее граждан
Реструктуризация предприятий широкий круг мер, направленных на повышение экономической эффективности, рыночной конкурентоспособности, общую адаптацию предприятия к рыночной среде. Основные методы реструктуризации рационализация организационной структуры (организационная реструктуризация) и финансовое оздоровление (финансовая реструктуризация)
Ресурсообеспеченность соотношение между величиной природных ресурсов и размерами их использования. Выражается либо количеством лет, на которые должно хватить данного ресурса, либо его запасами на душу населения
Риск оценка вероятности ожидаемого события в условиях неустойчивой, подверженной частым изменениям конъюнктуры
Рынок механизм взаимодействия покупателей и продавцов, производителей и потребителей, осуществляемый посредством движения цен при регулирующем воздействии институциональных норм и правил
Рынок деривативов рынок производных финансовых инструментов, в основе которых лежат другие, более простые финансовые инструменты акции, облигации. Основными видами финансовых деривативов являются опционы (дающие их владельцу право продавать или покупать акции), свопы (соглашения об обмене денежными платежами в течение определенного периода времени), фьючерсы (контракты на будущую поставку, в том числе валюты, по зафиксированной в контракте цене)
Рынок капитала рынок средне- и долгосрочных кредитов, акций и облигаций
Рынок труда соотношение спроса и предложения рабочей силы
Рынок ценных бумаг (фондовый рынок) рынок, обеспечивающий долгосрочные потребности в финансовых ресурсах путем обращения на нем акций, облигаций, депозитных сертификатов, казначейских обязательств и других аналогичных документов
Рыночная инфраструктура механизмы установления и функционирования хозяйственных связей на отдельных рынках, например, товарные и фондовые биржи, коммерческие банки и др.


С

«С проектом без проекта» прием в проектном анализе, базирующийся на сравнении будущей доходности фирмы при двух альтернативах: а) фирма осуществила проект; б) фирма не осуществила этот проект
Сбережение часть дохода, которая используется на потребление
Свободная экономическая зона территория, где деятельность иностранных и отечественных фирм, обусловленная статусом зоны, пользуется налоговыми и другими льготами
Сегментация рынка труда разделение рынка на несколько неконкурирующих друг с другом рынков
Североамериканское соглашение о свободной торговле (НАФТА) интернациональное объединение в составе США, Канады и Мексики, Функционирует с 1994 г.
Сдельная оплата труда оплата труда в соответствии с количеством произведенной продукции требуемого качества
Система национальных счетов (СНС) система статистических данных о состоянии и динамике основных показателей экономики страны
Системные реформы преобразования, направленные на изменение основы экономической системы и замену ее качественно иной экономической системой; включают коренные изменения форм собственности и условий хозяйственной деятельности
Скрытая безработица существование нерациональной, неэффективной занятости
Смешанные предприятия предприятия, основанные на сочетании различных форм собственности
Совершенная конкуренция тип рынка, характеризуемый наличием большого количества продавцов, предлагающих однородную продукцию; каждый индивидуальный продавец не может оказать какого-либо влияния на рыночную цену продукции; доступ на рынок свободный
Совокупное преддожение общее количество товаров и услуг, которое может быть произведено и предложено в соответствии со сложившимся уровнем цен
Совокупный спрос спрос на общий объем товаров и услуг, который может быть предъявлен при данном уровне цен. Включает совокупный спрос домашних хозяйств, предприятий и государства
Современная рыночная экономика (современный капитализм) экономическая система, сложившаяся в развитых странах с рыночной экономикой. Характеризуется преобладанием коллективной частной (акционерной) собственности, активным государственным регулированием хозяйственной деятельности, развитой частной и государственной системой социального страхования и социального обеспечения
Содружество Независимых Государств (СНГ) интеграционная группировка на постсоветском пространстве, включающая все бывшие советские республики, кроме стран Балтии
Социальные налоги платежи предприятий в госбюджет на социальное обеспечение и налоги на заработную плату и рабочую силу



Производство создает новые общественные отношения.


С развитием производства создаются новые общественные отношения. Совокупность производственных отношений, материальный базис общества определяют формы сознания, юридическую и политическую надстройку. Право, политика, религия управляются базисом; взаимосвязь между двумя сторонами общественного организма необычайно сложна и противоречива.
Действующие в обществе социологические законы выражают принцип соответствия между производительными силами и производственными отношениями, а также между идеологической и Политической надстройкой и базисом. Принцип соответствия между уровнем развития производства и формой организации общества объясняет, почему происходят перемены в общественных отношениях: производственные отношения становятся тормозом развития производительных сил и должны быть преобразованы революционным путем. «С изменением экономической основы, писал К. Маркс, более или менее быстро происходит переворот во всей громадной надстройке» 1.






1 Маркс К., Энгельс Ф. Соч. Т. 13. С. 7.


Основной экономический труд К. Маркса «Капитал» состоит 13 четырех томов. Анализ системы экономических отношений начинается не с богатства (слишком общей категории), а с товара. Именно в товаре, по мысли Маркса, в зародышевой форме заложены все противоречия исследуемой системы.
В первом томе, названном «Процесс производства капитала», Маркс рассматривает исходные категории: стоимость, лежащую в основе цены; прибавочную стоимость основу прибыли; стоимость рабочей силы и ее «цену» заработную плату. Характеризуют процесс накопления капитала и его влияние на положение рабочего класса.
Второй том, «Процесс обращения капитала», посвящен анализу движения капитала, его оборота и кругооборота. Кругооборот капитала есть процесс его непрерывного движения, последовательного прохождения трех стадий. На каждой из стадий происходит смена функциональной формы капитала: превращение денежного капитала в производительный, производительного в товарный, товарного вновь в денежный капитал.
Согласно предложенной Марксом схеме воспроизводства рассматриваются условия и пропорции обмена между двумя подразделениями: производством средств производства и производством предметов потребления.
В третьем томе, «Процесс капиталистического производства, взятый в целом», рассматривается процесс распределения прибавочной стоимости (ее превращенных форм) между получателями прибыли, процента, торговой прибыли, земельной ренты. Показан механизм трансформации стоимости товара в цену производства. В капиталистическом обществе равновеликие капиталы приносят равновеликие прибыли; цены формируются в соответствии с капитальными издержками и средней прибылью.
Если товары продаются по ценам производства (а не по их стоимости), то тем самым сохраняется в несколько измененном виде действие закона стоимости.
Четвертый том, «Теории прибавочной стоимости», содержит критический обзор экономических теорий с точки зрения трактовки существа и форм распределения прибавочной стоимости.
Согласно теории Маркса источником дохода является труд. Остальные виды доходов (предпринимательская прибыль, торговая прибыль, ссудный процент, рента) результат неоплаченного труда рабочих.
Вопрос об источниках эксплуатации, эволюции исторических форм неравенства является дискуссионным. Марксова трактовка трудовой теории стоимости служит теоретической основой понимания эксплуатации наемного труда. По Марксу, в основе эксплуатации лежит отчуждение результатов труда наемных работников капиталистами, что, в свою очередь, обусловлено отчуждением средств производства.
Но можно ли, руководствуясь положениями трудовой теории стоимости, утверждать, что весь создаваемый продукт должен принадлежать рабочим?
Критики Маркса считают, что его теория прибавочной стоимости представляет своего рода теоретическую конструкцию, которая не учитывает того, что предпринимательский труд, труд по управлению, организации производства также является источником ценности товара, создает доход. Лежащая в ее основе трудовая (однофакторная) теория стоимости не согласуется с практикой, ибо труд неоднороден и различается не только по затраченному времени, но и по результатам; создание ценности возможно и без непосредственного участия труда (в случае полной автоматизации производства). Обращается внимание на то, что формы эксплуатации возможны и существуют также в условиях, когда участники производственного процесса являются равноправными субъектами отношений собственности.
В настоящее время утверждается позиция, признающая наличие различных видов (форм) социальных антагонизмов, их трансформацию под влиянием сдвигов в социально-экономических и политических условиях. Марксово положение, исходящее из определяющей роли отношения людей к средствам производства, очевидно, сохраняет свое значение, но не может рассматриваться как всеобъемлющая и исчерпывающая концепция.


Социологичность экономической теории Маркса
В более обстоятельном и глубоком осмыслении нуждается трактовка основных законов и тенденций экономического развития. Особенности формирования и эволюции экономического Цикла, концепция развития и смены общественно-экономических формаций, специфика и трансформация социально-классовых отношений все эти феномены и процессы требуют фундаментального переосмысления.
В литературе начинает преобладать точка зрения, согласно которой системы общественного устройства и в целом исторические преобразования не обязательно идут лишь в направлении совершенствования и прогресса, исключая повороты, отклонения, движение вспять. Общественную структуру не следуют характеризовать по одному, хотя бы и ведущему критерию; «общественное устройство слишком многофакторно, неоднозначно, противоречиво. Принципиальные различия между отдельными системами нельзя абсолютизировать.
Дальнейший прогресс общества органично связан с решением проблем глобального порядка.
Экономическое учение Маркса привлекательное и глубокое направление в экономической науке. Его социологичность можно трактовать как слабость, известную заданность и односторонность, но вместе с тем следует признать, что постановка и разработка социальных проблем, обращение к социальным аспектам экономических явлений и процессов вполне оправданны и составляют одну из выигрышных, сильных сторон марксистской методологии, подхода к познанию многосложной и противоречивой действительности.
9. Теоретические разработки экономистов России Развитие экономических воззрений в России проходило в тесной связи с общим движением науки в других странах. Труды и разработки российских ученых во многом оригинальны; многие положения, обоснования, выводы имеют не только национальную, но и более широкую значимость.
Одной из особенностей экономической мысли в России является органическая связь теоретического анализа с актуальными проблемами развития производительных сил, реформирования социально-экономических отношений. Это отличает и самобытную «Книгу о скудости и богатстве» Ивана Тихоновича Посошкова (16521726), и программу революционных преобразований Павла Ивановича Пестеля (17931826), и теорию политической экономии трудящихся Николая Гавриловича Чернышевского (18281889), и труды буржуазных-либералов Ивана Васильевича Вернадского (18211884), Александра Ивановича Чупрова (1842 1908), и работы теоретиков социального направления Николая Ивановича Зибера (18441888), Михаила Ивановича Туган-Барановского (1865-1919).
На протяжении длительного времени в центре внимания российских экономистов оставался крестьянский вопрос, проблема аграрных преобразований. Дискуссии шли о перспективах общинного землевладения, повышении эффективности сельскохозяйственного труда, путях вовлечения села в систему рыночных отношений. Эти проблемы находили свое отражение в неоднозначных подходах Михаила Михайловича Сперанского (17721839) и Александра Николаевича Радищева (17491802), в работах приверженцев западных методов преобразований и поклонников самобытного пути славянофилов, в спорах сторонников и противников аграрной реформы Петра Аркадьевича Столыпина (1862-1911).
В выдвижении и обосновании оригинальных идей активно участвовали нетолько профессиональные экономисты, но и представители других сфер знания, публицисты, практики. К. примеру, Сергей Юльевич Витте (18491915) был нетолько министром финансов, но и автором теоретических трудов. Он инициатор и проводник нововведений в экономической политике, перевода рубля на «золотую» основу, введения винной монополии.
О неизбежной необходимости решительных перемен в промышленности и сельском хозяйстве, в других областях экономической жизни и управления писал в «Заветных мыслях» Дмитрий Иванович Менделеев (18341907). Не были профессионалами в экономике известные эволюционные деятели, например энциклопедист и исследователь общественных отношений в деревне, первый российский марксист Георгий Валентинович Плеханов (18561918).
Экономические взгляды Плеханова формировались в ходе постоянных дискуссий с оппонентами. Он был одним из основных критиков народничества, ревизионистских взглядов Бернштейна. «Апрельские тезисы» Ленина Плеханов характеризовал как переход автора на позиции анархистов, игнорировавших реальные условия, действительный уровень экономического развития страны. Важную роль в формировании российской экономической Мысли играли представители исторической школы, в том числе авторы исследований и работ по истории экономических учений Владимир Владимирович Святловский (18691927), А.И.
Чупров. В России в меньшей степени, чем где-либо, экономическая .наука была чисто теоретической отраслью знаний, академической наукой. Экономические проблемы оставались предметом широкого обсуждения среди представителей различных слоев общества, дискутировались в печати, ведомственных кругах, государственном аппарате.



Работники наемного труда.


В России пока отраслевая структура занятости заметно отличается от той, которая сложилась в развитых странах: в материальном производстве у нас занято более 49% экономически активного населения, а в сфере услуг около 51 % (табл. 14.1).


Таблица 14.1. Отраслевая структура занятости в России'



Россия в цифрах. М., 1998. С. 43,44.






Работники наемного труда.




Заметна эволюция и в профессионально-квалификационном составе рабочей силы. Само понятие «профессионально-квалификационная структура рабочей силы» неоднозначно. Оно включает три самостоятельных, хотя и тесно связанных между собой понятия: профессиональную структуру рабочей силы, ее квалификационную структуру, содержание квалификации. При этом под профессиональной структурой понимается совокупность представителей различных профессий и профессиональных групп, под квалификационной структурой совокупность работников различных уровней квалификации.
Содержание квалификации различных профессий представляет набор требуемых для выполнения данной работы навыков, знаний, опыта, других компонентов квалификации.
В США, например, преобладающей категорией в п р о ф е с с и о н а л ь н о й с т р у к т у р е р а б о ч е й с и л ы стали работники преимущественно умственного труда, или так называемые белые воротнички. Они составили в 1997 г. 58,7% всей занятой рабочей силы. Сюда относятся инженеры, техники, ученые, административно-управленческий персонал, а также многочисленные группы конторских и торговых служащих.
В своей массе это работники наемного труда.
Доля представителей рабочих профессий составила в указанном году около 25,1% рабочей силы. Еще одной укрупненной профессиональной категорией рабочей силы, выделяемой американской статистикой и представляющей физический труд, являются так называемые работники обслуживания. В 1997 г. они составили около 13,5% рабочей силы страны.
В России доля работников физического труда достигала в 1996 г. почти 60% рабочей силы.
Говоря о к в а л и ф и к а ц и о н н о й с т р у к т у р е , необходимо отметить, что характерной чертой качественной эволюции современной рабочей силы является рост ее образовательного уровня. Только за период с 1970 по 1997 г. в США доля лиц, получивших среднее образование, возросла в структуре рабочей силы с 52 до 89,1%, а получивших законченное и незаконченное высшее образование с 21 до 56,2%. Сходные процессы характерны и для других развитых стран.
По показателям образования и квалификации рабочей силы Россия находится на одном из ведущих мест в мире. Так, на начало 1998 г. высшее образование в стране имело более 19% всех занятых, а среднее (общее и специальное) около 69%. В том же году государственными и негосударственными высшими учебными заведениями было выпущено около 460 тыс. специалистов.
В 1997/1998 учебном году в России насчитывалось более 3 млн студентов вузов (207 студентов на 10 тыс. населения). Уровень образования рабочей силы и в целом населения является одним из важных сравнительных конкурентных преимуществ России в международном разделении труда.
Основное направление развития в с о д е р ж а н и и к в а л и ф и к а ц и и переход от преимущественно физической работы, заключающейся в ручном управлении станками и агрегатами, к преимущественно нефизическому труду, выражающемуся в анализе и контроле производственных процессов. Разумеется, это лишь тенденция, в таком положении находится все еще меньшинство рабочих, поскольку новая технология не является господствующей. Непременным атрибутом рабочей квалификации нового типа является ее способность быстро адаптироваться к меняющейся технике, новым формам организации труда и производства.
Использование ЭВМ существенно меняет характер труда инженерно-технического персонала. Особо в этом плане отметим роль персональных компьютеров, а также систем автоматизированного проектирования. Пользование информационной техникой требует от инженеров, помимо специальности, знаний программирования.
Коренным образом изменяются содержание труда и функции многих категорий конторских работников: они становятся операторами ЭВМ, персональных компьютеров или терминальных устройств.

3. Безработица, ее измерение и регулирование
Сущность безработицы Б е з р а б о т и ц а это социально-экономическое явление, при котором часть рабочей силы (экономически активного населения) не занята в производстве товаров и услуг. Как уже отмечалось, безработные наряду с занятыми формируют рабочую силу страны. В реальной экономической жизни безработица выступает как превышение предложения рабочей силы над спросом на нее.
К безработным в России относятся лица, достигшие 16 лет и старше, которые в рассматриваемый период:
не имели работы (доходного занятия);
занимались поисками работы, т.е. обращались в государственную или коммерческую службу занятости, использовали или помещали объявления в печати, непосредственно обращались к администрации предприятия (работодателю), использовали личные связи и другие способы, предпринимали шаги к организации собственного дела;
были готовы приступить к работе.
При отнесении к безработным должны быть соблюдены все три перечисленных критерия.
К безработным, зарегистрированным в органах государственной службы занятости, относятся лица, не имеющие работы, ищущие работу и в установленном порядке получившие официальный статус безработного.

Структура и формы безработицы Важно подчеркнуть, что к безработным обычно относят не только уволенных по различным причинам, но и лиц, добровольно оставивших прежнюю работу и предпринимающих попытку найти новую. Структура безработицы по ее причинам включает четыре основные категории рабочей силы: потерявшие работу в результате увольнения; добровольно оставившие работу; пришедшие на рынок труда после перерыва; впервые пришедшие на рынок труда. Соотношение этих категорий зависит, прежде всего, от фазы экономического цикла.
Среднемесячный уровень безработицы в течение года рассчитывается по формуле:


Lue = UE .100 (14.1)
LFc

где Lue уровень (норма) безработицы, %; UE среднемесячная численность безработных; LFc численность гражданской рабочей силы.
Существуют различные концепции феномена безработицы, однако в целом в экономической науке господствует точка зрения, согласно которой безработица в своей основе отражает экономическую целесообразность использования ресурсов, подобно тому как, скажем, степень загрузки производственных мощностей отражает целесообразность и эффективность использования основного капитала. Об этом говорит, в частности, так называемый естественный уровень безработицы, определяемый как уровень безработицы п р и п о л н о й з а ня т о с т и. При этом полная занятость вовсе не означает 100%-ной занятости рабочей силы и отсутствие безработицы. Она предполагает наличие структурной и фрикционной безработицы, но отсутствие циклической безработицы. Под с т р у к т у р н о й б е з р а б о т и ц е й понимается безработица, вызванная несоответствием структур спроса и предложения рабочей силы по квалификации, демографическим, географическим и иным критериям. Ф р и к ц и о н н а я б е з р а б о т и ца это безработица, связанная главным образом с добровольным переходом трудящихся с одной работы на другую и с сезонными колебаниями в спросе на рабочую силу.
Таким образом, с е з о н н а я безработица является частью фрикционной безработицы. Ц и к л и ч е с к а я безработица отражает состояние экономической конъюнктуры в стране и превышение предложения рабочей силы над спросом на нее в период экономического спада.
Экономисты выделяют и некоторые другие формы безработицы, связанные с различными критериями классификации: ее продолжительностью, вынужденным характером, концентрацией в определенных профессиональных группах, отраслях, регионах или возрастных категориях. Среди них, в частности, ч а с т и ч н а я безработица, когда трудящиеся вынуждены работать неполный рабочий день ввиду отсутствия работы. К c к р ы т о й безработице относят существование нерациональной, неэффективной занятости.
Под з а с т о й но й безработицей понимается ее концентрация среди определенных категорий рабочей силы в течение длительного времени. Т е х н о л о ги ч е с к а я безработица связана с вытеснением из производства живого труда под влиянием научно-технического прогресса.

Масштабы безработицы В США в 60-х гг. естественным уровнем безработицы считался показатель в 4,3%, в 70-х уже 6,6%, в 8090-х гг. около 7%. Превышение безработицы над ее естественным уровнем определяется в основном циклическим фактором, т.е. состоянием экономической конъюнктуры в стране. По расчетам американских экономистов, 60% прироста числа безработных в США в 6090-х гг. приходится на структурную безработицу, а 40% на циклическую.
На динамику безработицы влияют, кроме того, экономическая и социальная политика государства, демографические факторы, изменения в структуре экономики, состояние внешней торговли и вывоз капитала, масштабы военных расходов, позиции и активность профсоюзов.
Разумеется, на практике трудно отделить воздействие структурных факторов от циклических, и поэтому дефиниции, используемые наукой (фрикционная, структурная, циклическая и прочие виды безработицы), достаточно условны. Тем не менее они могут быть полезны, например, для выявления долгосрочных и краткосрочных факторов, влияющих на рынок труда.



Расходы на конечное потребление


В СНС применяют, но намного реже, два других обобщающих показателя: чистый внутренний продукт и национальный доход (см. 20.3).
В нашей стране переход к новым показателям вначале ВНП, а затем ВВП начался с 1988 г. Этот переход осуществляется путем пересчета валового общественного продукта (ВОП) и национального дохода (НД), представляющих собой соответственно суммы валовой продукции и чистой продукции отраслей материального производства.
Показатель ВОП являлся основным в советской экономической статистике и представлял собой совокупную стоимость всего объема произведенных товаров и услуг в сфере материального производства с включением в нее затрат на сырье, материалы, топливо и др., т.е. не был свободен от повторного счета. Показатель национального дохода рассчитывался тоже только на базе материального производства.
Коренные различия в методологии подсчета этих показателей и показателей СНС, естественно, приводят к тому, что пересчитанные ВОП и НД бывшего СССР и России могут лишь приблизительно характеризовать их ВВП и НД.
3. Методы подсчета валового внутреннего продукта Таким образом, с помощью показателей валового внутреннего продукта делается попытка измерить объем годового (квартального, месячного) выпуска товаров и услуг в экономике.
Эта общая, сводная величина валового продукта нас интересует, во-первых, с точки зрения того, из чего она складывается, и, во-вторых, на что она расходуется.
Следовательно, ВВП может быть определен одним из трех методов, путем суммирования:
добавленной стоимости по всем отраслям национальной экономики (ВВП по производству, отраслям);
всех расходов на покупку общего объема произведенной в данном году продукции (ВВП по расходам, по методам использования);
всех доходов, полученных в стране от производства продукции в данном году (ВВП по источникам доходов).

Расчет ВВП по отраслям Анализ показателя ВВП, исчисленный первым методом (по отраслям), позволяет выявить соотношение и роль отдельных отраслей в создании ВВП.
Например, в 1998 г. валовой внутренний продукт России по сферам и отраслям составил, млрд руб. (%):

Производство товаров…………………..1055 (39,3)
Производство услуг . …………………...1415 (52,7)
Чистые налоги на продукты и импорт…..215 (8,0)
Всего………………………………………2685 (100,0)


Расчет ВВП по расходам В соответствии со вторым методом расчета ВВП (по расходам, по методам использования) он включает следующие статьи:
1. Конечные потребительские расходы домашних хозяйств. Это товары повседневного спроса, предметы потребления длительного пользования, расходы на потребительские услуги и др.
2. Конечные расходы органов государственного управления (государственных учреждений). Это расходы государственных и муниципальных органов управления на покупку экономических ресурсов и произведенной продукции для нужд государства, что выражается суммой затрат на выплату заработной платы государственным и муниципальным служащим (работникам так называемой бюджетной сферы), на закупку для государственных нужд товаров и услуг.
3. Конечные расходы некоммерческих организаций, обслуживающих домашние хозяйства. Это расходы профсоюзов, политических партий и религиозных организаций, общественных объединений на услуги обществу в целом и отдельным домашним хозяйствам.
4. Валовое накопление основного капитала (капиталообразующие инвестиции), которое состоит из так называемых чистых капиталовложений и амортизационных отчислений, идущих на финансирование капиталовложений.
5. Изменения в запасах материальных оборотных средств, которые, как и валовое накопление основного капитала, являются составной частью всего валового накопления.
6. Чистый экспорт товаров и услуг, рассчитываемый во внутренних ценах.
Например, ВВП России по использованию (расходам) в 1998 г. составил, млрд руб. (%):

Расходы на конечное потребление…………………………..2048 (75,9)
В том числе:
домашние хозяйства………………………………………1507 (55,9)
государственные учреждения...... ……………………….486 (18,0)
некоммерческие организации ..... ………………………..55 (2,0)
Валовое накопление...............……………………………….438 (16,2)
В том числе:
валовое накопление основного капитала и чистое приобретение
ценностей ....................................... …………………………472 (17,4)
изменение запасов материальных оборотных средств ..-34 (-1,2)
Чистый экспорт товаров и услуг ....... ………………………211 (7,9)
Статистическое расхождение ……………………………….-12 (0,0)
Всего…………………………………………………………2685 (100,0)



Расчет ВВП по источникам доходов
Расчет ВВП по источникам доходов отражает первичные, т.е. еще не перераспределенные, доходы домашних хозяйств, предприятий и государственных учреждений. Эти доходы можно разбить на оплату труда (заработную плату наемных работников, доходы самостоятельных работников, доходы от индивидуальных и семейных товариществ и кооперативов), валовую прибыль (ренту, ссудный и банковский процент, предпринимательскую прибыль, амортизационные отчисления) и различные виды смешанного дохода, а также чистые налоги.
Например, ВВП России по доходам в 1998 г. составил, млрд руб.(%):

Оплата труда наемных работников (включая скрытую) .........…… 1324 (49,3)
Валовая прибыль экономики и валовые смешанные доходы ....... 965 (35,9)
Чистые налоги на производство и импорт.………..........…..396 (14,8) . Всего....................................................……………………………….. 2685(100,0)

Чистый внутренний продукт и национальный доход
Уменьшив величину ВВП на сумму амортизационных отчислений, начисленных за год, можно получить два макроэкономических показателя чистый внутренний продукт (ЧВП) и национальный продукт (НД). Первый показывает размер дохода поставщиков экономических ресурсов за предоставленные ими землю, рабочую силу, капитал, предпринимательские способности и знания, с помощью которых создан ЧВП.
Если к ЧВП прибавить сальдо факторных доходов, то получим чистый национальный доход. Это сумма первичных доходов страны. Если к ним добавить сальдо тех доходов, которые в процессе перераспределения передаются в качестве трансфертов, то получим величину, называемую национальным располагаемым доходом.
4. Макроэкономические индикаторы Состояние национальной экономики анализируется с помощью набора макроэкономических показателей, часто называемых макроэкономическими индикаторами. Большинство из них берется из СНС.
Ведущие индикаторы. Прежде всего это динамика ВВП, т.е. агрегированный рост (сокращение) сферы материального производства (промышленности, сельского хозяйства, строительства) и сферы услуг (особенно торговли и транспорта).
С динамикой ВВП тесно связаны и другие макроэкономические индикаторы, особенно норма безработицы и размеры инвестиций. Более того, последние во многом определяют будущую динамику ВВП. Обычно быстрый или медленный рост ВВП сопровождается соответствующей динамикой доходов населения.
Финансовые индикаторы. Эта группа показателей свидетельствует о состоянии дел в финансовом секторе, хотя оно определяет и положение дел в реальном секторе. Прежде всего это такие показатели, как уровень инфляции, размеры дефицита бюджета, размеры и динамика денежной массы, учетная ставка, а также индекс (индексы) фондового рынка (см.
24.6).
Внешнеэкономические индикаторы. Состояние внешнеэкономической сферы во многом определяется сальдо внешней торговли (разницей между экспортом и импортом), сальдо платежного баланса (см. гл. 39) и стабильностью обменного курса национальной валюты.
Если взять в качестве примера состояние экономики России в 1998 г., то за тот год ее ВВП сократился на 4,6%, объем выпуска промышленной продукции на 5,2%, сельскохозяйственной продукции на 12,3%, строительных работ на 12,6%, грузооборота на 3,5%, объем розничной торговли на 4,5%.
В России за 1998 г. норма безработицы .возросла с 11,4 до 12,4%, инвестиции в основной капитал уменьшились на 6,7%, а реальная среднемесячная начисленная заработная плата снизилась на 13,8%.
Что касается финансовых показателей, то рост потребительских цен за 1998 г. составил 84,4% по сравнению с 1 1 % в предыдущем году; дефицит консолидированного бюджета несколько сократился, составив за год 3,6% по сравнению с 5% в предшествующем году. Денежная масса изменилась мало, а индекс фондового рынка оказался на уровне середины 90-х гг.
Внешнеэкономические индикаторы свидетельствовали, что положительный торговый баланс почти не изменился за год, составив 17,3 млрд долл., а счет текущих операций платежного баланса (текущий платежный баланс) хотя и был положительным, но уменьшился с 4 млрд долл. в 1997 г. до 2,4 млрд долл. в 1998 г. Драматичным оказалось положение обменного курса рубля к концу года он упал почти в четыре раза.
В целом можно сделать вывод, что 1998 г. был очередным кризисным годом для российской экономики. Квартальные и месячные индикаторы позволяют уточнить этот вывод, указав на августоктябрь 1998 г. как на наиболее кризисные месяцы.


Выводы 1. Система национальных счетов которая принята в мировой практике и переход к которой осуществляется в России, позволяет применять статистическую информацию для оценки и анализа макроэкономических процессов.
2. Валовой внутренний продукт (ВВП) как основной показатель экономического состояния общества (ВНП его модификация) представляет собой добавленную стоимость всех конечных товаров и услуг, произведенных в течение года. Промежуточные продукты (их повторный счет) исключаются при исчислении ВВП.
3. ВВП по отраслям (по производству) рассчитывается как сумма добавленной стоимости всех отраслей национальной экономики, в том числе сферы услуг.
4. ВВП по расходам (по методам использования) определяется как сумма конечных потребительских расходов на товары и услуги, государственных закупок товаров и услуг, валового накопления, сальдо экспорта и импорта товаров и услуг.
5. ВВП по источникам доходов рассчитывается как сумма оплаты труда, валовой прибыли и чистых налогов.
6. На основе ВВП можно определить другие важные показатели: чистый внутренний продукт и национальный доход.


Термины и понятия Система национальных счетов
Валовой внутренний продукт
Валовой национальный продукт
Добавленная стоимость
Чистый внутренний продукт
Национальный доход
Макроэкономические индикаторы


Вопросы для самопроверки 1. Каковы отличия СНС от принятой ранее в СССР и в России статистической отчетности?
2. В чем отличия ВВП от ВНП?
3. Как рассчитываются ВВП по источникам доходов, по расходам, по производству?
4. Как рассчитывается НД? Каковы его основные элементы?
5. Каковы принципы сопоставления стоимостных макроэкономических показателей?
6. Рассчитайте: а) ВВП; б) ЧВП; в) чистый национальный доход, используя приведенные ниже условные данные СНС, млрд ден. ед.:

Заработная плата наемных работников…………………200,0
Амортизация........................ ……………………………...15,0
Государственные закупки товаров и услуг……………..60,0
Валовое накопление………………………………………70,0
Расходы некоммерческих организаций…………..………2,0
Личные потребительские расходы...... ………….……..250,0
Чистые налоги ........ ……………………………………...18,0
Экспорт товаров и услуг …………………………………16,0
Импорт товаров и услуг ………………………….………20,0
Доходы от собственности ………………………………100,0
Рентные платежи………………………………………….31,0
Поступления процентов от вложенного капитала……...10,0












Рассмотрим предельную доходность ресурса фирмы


Чем определяется спрос на ресурсы со стороны отдельной фирмы? Прежде всего он зависит от спроса на готовую продукцию, производимую с использованием данных ресурсов, поэтому чем выше спрос на продукцию, тем выше и спрос на необходимые ресурсы с учетом изменения эффективности их использования. Так, в развитых странах спрос на энергоресурсы растет очень медленно. .Другим обстоятельством, влияющим на спрос ресурсов, являются их цены.
Средства фирмы, направляемые на покупку ресурсов, входят в ее производственные издержки, поэтому фирма стремится использовать ресурсы в таком количестве и сочетании, которое позволит ей получать максимальную прибыль.
Количество используемых фирмой ресурсов зависит от их отдачи, или производительности. Последняя подвержена действию закона убывающей отдачи. Поэтому фирма будет расширять применение ресурсов до тех пор, пока каждый дополнительный ресурс будет увеличивать ее доход в большей степени, чем издержки.
Каким образом введение в производство дополнительных ресурсов влияет на доход фирмы? Увеличение использования какого-либо ресурса приводит к увеличению выпуска продукции, а следовательно, и дохода фирмы.

Предельная доходность ресурса Предположим, что фирма использует только один переменный ресурс. Им может оказаться труд, отдельный вид оборудования и т.п. Прирост выпуска продукции в натуральном выражении, обеспеченный за счет увеличения данного ресурса на единицу, получил название предельного продукта. Прирост дохода фирмы за счет дополнительной единицы данного ресурса называется предельной доходностью ресурса или доходом от предельного продукта MRP (англ. marginal revenue product).
Как отмечалось выше, предельный продукт сначала растет, а затем начинает снижаться в соответствии с законом убывающей отдачи. Поскольку рост предельного продукта происходит на очень коротком участке, можно им пренебречь и предположить, что с самого начала он будет сокращаться.
Рассмотрим предельную доходность ресурса фирмы Х (табл. 12.3). Если фирма действует в условиях совершенной конкуренции, цена произведенной продукции постоянна и не зависит от объема выпуска. Если же фирма является несовершенным конкурентом, то она вынуждена снижать цену при расширении объема сбыта.
Соответственно предельная доходность ресурса фирмынесовершенного конкурента не совпадает с предельной доходностью ресурса конкурентной фирмы.









Таблица 12.3. Предельиая доходность ресурса фирмы Х в условиях совершенной и несовершенной конкуренции на рынке продукции






Рассмотрим предельную доходность ресурса фирмы





Из данных табл. 12.3 видно, что скорость снижения доходности ресурса для монополиста выше, чем для чисто конкурентной фирмы, и график предельной доходности ресурса для монополиста будет иметь более крутой наклон ( 12.11). Это обстоятельство важно для фирмы, так как предельная доходность является одним из факторов, определяющих количество данного ресурса, которое будет использовать фирма.
Но для принятия решения о расширении использования в производстве данного ресурса фирма должна не только знать, как повлияет дополнительный ресурс на увеличение ее дохода. Она всегда сравнивает доход с издержками и оценивает прибыль. Поэтому она должна определить, как покупка и использование дополнительного ресурса повлияют на увеличение издержек.





Рассмотрим предельную доходность ресурса фирмы




12.11. График предельной доходности ресурса для фирмы в условиях совершенной и несовершенной конкуренции на рынке готовой продукции: МRР1, МRР2 предельные доходности соответственно в указанных условиях; Qрес количество используемого ресурса; Qрес цена ресурса


Предельные издержки ресурса Прирост издержек за счет введения в производство дополнительной единицы переменного ресурса называется предельными издержками ресурса. Когда фирма сталкивается с условиями совершенной конкуренции на ресурсном рынке, ее предельные издержки на ресурс будут равны цене этого ресурса.
Например, если небольшая фирма хочет нанять бухгалтера, то ему заплатят согласно рыночной ставке заработной платы. Поскольку спрос фирмы является лишь малой долей спроса на бухгалтеров, она не сможет повлиять на уровень их заработной платы. Предельные издержки на оплату труда для фирмы будут иметь вид горизонтальной линии (например, см.
12.12).

Какое количество ресурса следует использовать?
Принцип выбора фирмой количества используемого ресурса аналогичен принципу определения оптимального объема выпуска продукции. Для фирмы будет прибыльным увеличивать количество используемого ресурса до точки, где его предельная доходность будет равна предельным издержкам на этот ресурс ( 12.12). В рассматриваемом примере при цене ресурса 1000 руб. фирма в условиях совершенной конкуренции на рынке готовой продукции будет использовать 6 ед. данного ресурса (график предельной доходности МRР1), а в условиях несовершенной конкуренции только 5 ед. (график предельной доходности ресурса МRР2).


Рассмотрим предельную доходность ресурса фирмы






12.12. Оптимальное количество используемого ресурса для конкурентной фирмы и для фирмы несовершенного конкурента на рынке готовой продукции: MPR1 и MPR2 предельные доходности ресурса для фирмы в условиях соответственно совершенной и несовершенной конкуренции на рынке готовой продукции; МСрес предельные издержки на ресурс


Мы определили, какое количество переменного ресурса будет использовать фирма при условии, что все остальные ресурсы постоянны. Однако на практике перед фирмой стоит вопрос, каким образом скомбинировать применяемые ресурсы, чтобы получить максимальную прибыль. Иными словами, она сталкивается с ситуацией, когда несколько ресурсов являются переменными и надо определить, в каком сочетании их использовать.

Выбор варианта сочетания ресурсов Выбор производителем варианта сочетания ресурсов, обеспечивающего минимальные издержки, напоминает выбор потребителя (см. гл. 9). Из различных наборов предлагаемых товаров, приносящих ему одинаковое удовлетворение, потребитель выбирает один, соответствующий его ограниченному бюджету.
Производитель из всех вариантов сочетания используемых ресурсов, с помощью которых можно произвести заданное количество готовой продукции, делает выбор, принимая во внимание цены ресурсов. Допустим, что используются два взаимозаменяемых ресурса. Например, фирма взяла на себя очистку городских улиц от снега.
Для этой цели ей нужны дворники и снегоуборочная техника. Сколько техники и сколько дворников ей нужно, чтобы выполнить фиксированный объем работ с наименьшими затратами?
Построим график, показывающий все возможные сочетания числа машин и числа дворников ( 12.3). Можно использовать 4 машины и 20 человек, 2 машины и 40 человек, 1 машину и 80 человек, а также всякое иное сочетание, отмеченное любой точкой на кривой. Кривая имеет изогнутую форму: с увеличением числа дворников их предельная доходность будет убывать, а машин, наоборот, возрастать.
Это происходит вследствие действия известного закона убывающей отдачи. Суммарный доход во всех точках будет одинаков и равен площади убранной территории, умноженной на стоимость уборки ее единицы (1 км2).







Рассмотрим предельную доходность ресурса фирмы




12.13. График возможных вариантов сочетания двух видов ресурсов, необходимых для выполнения заданного объема работ: К число снегоуборочных машин; L численность дворников

Для того чтобы принять решение о том, сколько нужно машин и дворников для уборки улиц, фирме недостаточно знать только их необходимые количество и численность. Следует учитывать издержки фирмы, которые она понесет в результате применения разного количества ручного труда и машин, и определить минимальные. Издержки зависят от цены снегоуборочной техники и заработной платы дворников.
Предположим, что использование одной машины обойдется фирме в 20 тыс. руб., а наем 10 дворников в 10 тыс. руб. Общая сумма издержек фирмы, связанных с закупкой машин и наймом дворников, может быть исчислена по формуле:

С=КРК+LPL (12.3)

где С общие издержки фирмы, тыс. руб.; К число машин, шт.; РК цена машины, тыс. руб.; L численность дворников, десятков чел.; РL затраты на наем 10 дворников, тыс. руб.





Рассмотрим предельную доходность ресурса фирмы




12.14. Возможные сочетания двух ресурсов при их одинаковой суммарной стоимости: К число снегоуборочных машин; L численность дворников

На 12.14 изображены три графика, соответствующие трем вариантам общих издержек фирмы. Например, график С1 показывает все возможные сочетания машин и ручного труда, которые обходятся в 60 тыс. руб.; С2в 80 тыс. и С3в 100 тыс. Наклон графиков зависит от соотношения цены на машину и заработной платы дворника.
Чтобы определить, какие издержки будут минимальными при выполнении заданного объема работ, сравним графики, представленные на 12.13и 12.14( 12.15).
Кривая на 12.15 наглядно показывает, что ни в точке А1, ни в точке А3, издержки фирмы не будут минимальными, они составят 100 тыс. руб., тогда как в точке А2 издержки будут равны 80 тыс. руб. Иными словами, минимум издержек будет достигнут при использовании фирмой двух снегоуборочных машин и найме 40 дворников.



Рассмотрим предельную доходность ресурса фирмы



12.15. График сочетания двух ресурсов, минимизирующего издержки фирмы


Как фирма может найти эту точку, не прибегая к вычерчиванию графиков? Обратим внимание, что в точке А2 наклон кривой, отражающей различные сочетания числа машин и числа дворников, необходимых для выполнения заданной работы (см. 12.13), и прямой, показывающей эти сочетания, соответствующие данному объему затрат (см.
12.14), совпадают.



Регулирование доходов


Социальные трансферты это система денежных или натуральных выплат населению, не связанных с его участием в хозяйственной деятельности в настоящее время или в прошлом. Целью социальных трансфертов является гуманизация отношений в обществе, предотвращение роста преступности, а также поддержание внутреннего спроса.
Государство, организуя через бюджет перераспределение доходов, решает проблему повышения доходов малоимущих слоев населения, создает условия для нормального воспроизводства рабочей силы, способствует ослаблению социальной напряженности и т.д. Степень воздействия государства на процесс перераспределения доходов можно измерить объемом и динамикой расходов на социальные цели за счет центрального и местных бюджетов, а также размером налогообложения доходов.
Возможности государства в перераспределении доходов во многом ограничиваются бюджетными поступлениями. Наращивание социальных расходов сверх налоговых поступлений ведет к превращению их в мощный фактор роста бюджетного дефицита и инфляции. Увеличение социальных расходов госбюджета, даже в пределах полученных доходов, ведет к чрезмерному росту налогов, способному подорвать рыночные стимулы.
Механизм социальных трансфертов включает изъятие в форме налогов части доходов у средне- и высокодоходных слоев населения и выплату пособий наиболее нуждающимся и инвалидам, а также пособий по безработице. Государство перераспределяет доходы также путем изменения цен, устанавливаемых рынком, например, гарантированием цен фермерам и введением минимальных ставок заработной платы.
Главный аргумент в пользу равного распределения доходов заключается в том, что оно необходимо для максимизации удовлетворения нужд потребителя, или предельной полезности. Основное возражение против равенства доходов состоит в том, что для достижения этой цели государство должно изъять в виде налогов часть доходов высокооплачиваемых семей и передать их низкооплачиваемым. Тем самым уменьшается стремление и тех, и других к максимальному увеличению заработка.
В результате подрываются стимулы к производительному труду, а следовательно, снизится эффективность экономики и народное хозяйство (при прочих равных условиях) рискует войти в полосу затяжной стагнации (что и произошло в СССР в 70-х первой половине 80-х гг.).
Перераспределение доходов от богатых к бедным американский экономист А. Окунь (Оукен) сравнил с «дырявым ведром», т.е. этот процесс неизбежно ведет к снижению экономической эффективности. Масштабы «утечки» из «ведра Окуня» определяются тем, в какой мере повышение налогов и рост социальных трансфертов уменьшают объемы предложения труда. В случае, если эластичность предложения труда по заработной плате высока, повышение налогов с целью увеличения социальных трансфертов приводит к значительному сокращению предложения труда в легальном секторе экономики и перетеканию его в теневой сектор (где оплата труда не облагается государственными налогами).

Регулирование доходов
Государство непосредственно вмешивается в первичное распределение денежных доходов и нередко устанавливает верхний предел увеличения номинальной заработной платы. Экономическое значение государственного регулирования заработной платы определяется тем, что ее изменение оказывает влияние на совокупный спрос и издержки производства. Политика доходов используется государством для сдерживания роста заработной платы в целях снижения издержек производства, повышения конкурентоспособности национальной продукции, поощрения инвестирования, сдерживания инфляции.
Государство, проводя антиинфляционную политику, может временно централизованным путем устанавливать долгосрочный предел роста заработной платы с учетом общих потребностей экономического и социального развития.
Методы осуществления политики доходов в условиях рыночной и переходной экономики могут быть различными. Предпочтение обычно отдается методам добровольного согласия работодателей и работников при участии правительства, что не исключает применения административных мер государственного контроля за увязкой повышения заработной платы с финансовыми возможностями предприятия. В ряде стран Западной Европы существуют так называемые допустимые пределы ее повышения, зафиксированные в общенациональных программах социального партнерства.
Наиболее эффективным средством государственного регулирования заработной платы в странах с рыночной экономикой является определение гарантированного минимума (или ставки). Именно исходя из минимальных размеров оплаты труда и ведутся переговоры между руководителями компаний и профсоюзами о заключении коллективных договоров на различных уровнях, начиная от предприятий и кончая отраслями. В этих документах также оговариваются различные премии и доплаты, дифференциация заработной платы по отраслям, в зависимости от уровня квалификации.
В России с 1991 г. действует периодически пересматриваемый минимальный размер оплаты труда (МРОТ). В условиях высокой инфляции в первой половине 90-х гг. данный показатель утратил связь с прожиточным минимумом.
В 19941999 гг. МРОТ колебался в пределах 1020% от прожиточного минимума и поэтому в небольшой степени влиял на реальную оплату труда лишь в бюджетной сфере.
Значительное влияние на уровень реальных доходов населения оказывает инфляция. Поэтому одним из важнейших условий рационального государственного регулирования доходов является учет роста цен на потребительские товары (включая тарифы на услуги населению).

Индексация доходов
Особое значение имеет проблема защиты денежных доходов (заработной платы, пенсий, пособий) от инфляции. С этой целью применяется индексация, т.е. установленный государством механизм повышения денежных доходов населения, позволяющий частично или полностью возместить ему удорожание потребительских товаров и услуг. Индексация доходов направлена на поддержание покупательной способности, особенно социально уязвимых групп населения с фиксированными доходами пенсионеров, инвалидов, неполных и многодетных семей, а также молодежи.
Индексация осуществляется как на уровне общегосударственном, так и отдельных предприятий через коллективный договор Она предусматривает дифференцированный подход в зависимости от величины доходов: от полной компенсации самых низких до близкой к нулю компенсации самых высоких.
В России индексация денежных доходов установлена законом от 24 октября 1991 г. и распространяется на заработную плату работников бюджетной сферы, а также на пенсии, стипендии и пособия.
Индексация доходов имеет и существенные недостатки. Гак, она может отрицательно сказаться на стремлении к более напряженному труду, а также не способствует проведению антиинфляционных мер.

Поддержка бедных слоев населения
Важным направлением в социальной политике при решении вопросов защиты личных доходов является поддержка бедных слоев населения. Бедность можно рассматривать как экономическое состояние части общества, при котором определенные слои населения не имеют минимальных по нормам данного общества средств к существованию. Состояние бедности характеризуется достаточно длительным отсутствием ресурсов, которые не могут быть компенсированы ни предыдущими сбережениями, ни временной экономией на приобретении дорогостоящих товаров и услуг. Решающее значение в социальной защите этих слоев населения имеет развитая система денежных и натуральных пособий.
Такая система существует во всех странах с рыночной экономикой и служит важным социальным амортизатором, смягчающим многие негативные последствия ее развития.
Для отнесения определенных категорий населения к числу имеющих право на получение социальной помощи используются показатели, определяющие уровень (порог) бедности.
А б с о л ю т н а я ч е р т а б е д н о с т и это минимальный уровень жизни, определяемый на основе физиологических потребностей человека в продуктах питания, одежде и жилье, т.е. на основе набора (корзины) товаров и услуг, достаточных для удовлетворения основных потребностей человека. В России абсолютная черта бедности совпадает с прожиточным минимумом.
П р о ж и т о ч н ы й м и н и м у м представляет собой натуральный набор продуктов питания, обеспечивающих минимально необходимое количество калорий, а также расходы на непродовольственные товары и услуги, налоги и обязательные платежи, соответствующие по структуре затрат на эти цели бюджета низкодоходных семей. В России продуктовые наборы, используемые в расчетах прожиточного минимума, дифференцированы по различным социально-демографическим группам (мужчины и женщины трудоспособного возраста, пенсионеры, дети до и после 6 лет). Минимальная продовольственная корзина дифференцирована по восьми природно-климатическим зонам России; она включает 35 наименований продуктов питания (общей калорийностью 2300 ккал. в сутки) и 79 непродовольственных товаров.
Часто прожиточный минимум называют чертой бедности.
О т н о с и т е л ь н а я ч е р т а б е д н о с т и показывает, сколько стоит минимальная потребительская корзина (черта бедности) относительно среднего уровня достатка в данной стране (регионе). Так, в России относительной чертой бедности является уровень доходов, составляющий менее 40% от среднего дохода в данном регионе, в странах членах ЕС менее 50% средних суммарных расходов домашних хозяйств по стране.



Регулирование внешней миграции в России


В связи с ростом политической и демографической нестабильности в 90-х гг., усложнением процесса адаптации и трудоустройства иммигрантов многие европейские страны также ужесточили свои иммиграционные законодательства. Например, с 1993 г. Франция ограничила въезд новых иммигрантов; ФРГ в середине 90-х гг. приняла решение не предоставлять вид на жительство претендентам на въезд, а также гражданство детям работающих по контракту мигрантов, преимущественно турецкого происхождения, что ранее было предусмотрено законом. Аналогичные ужесточения иммиграционного законодательства ввели Австрия, Италия, Испания, Португалия.
Такого рода меры напрямую связаны с политическими изменениями в Восточной Европе, войной в бывшей Югославии, распадом Советского Союза, резким ухудшением экономической ситуации в этих странах. Только при распаде СССР около 60 млн человек оказались в положении национальных меньшинств на территории вновь образованных государств.
Международные конвенции, в том числе Всеобщая декларация прав человека, принятая ООН 10 декабря 1948 г., объявляют свободный выбор места жительства и работы в качестве основополагающих прав человека. Вместе с тем международные правовые акты, регулирующие процессы миграции между странами участницами соглашений, а также с третьими странами, как правило, устанавливают либеральные нормы перемещения населения и рабочей силы внутри интеграционных группировок и ограничительные по отношению к третьим странам.
Так, в рамках ЕС подписан ряд конвенций, регулирующих международные миграционные потоки населения и рабочей силы. В их числе параграф 52 Римского договора 1957 г., вступивший в силу в 1968 г. и предоставляющий работникам шести стран первоначальных членов ЕС право поиска работы в странах-участницах (позднее оно было распространено на все страны члены ЕС); Шенгенское соглашение 1985 г., вступившее в силу в 1993 г. и устанавливающее единые визовые правила въезда в страны участницы Соглашения, а также Дублинская конвенция 1990 г., устанавливающая правила предоставления убежища.

Регулирование внешней миграции в России Демократизация общественной и экономической жизни в СССР, а затем в России коснулась и некогда жестко регламентируемой сферы выезда граждан за рубеж. Еще Верховным Советом СССР был принят Закон «О порядке выезда из СССР и въезда в СССР граждан СССР» от 20 мая 1991 г. (вступил в силу 1 января 1993 г.), предоставивший каждому гражданину возможность выезжать, жить и работать за границей и явившийся правовой основой для международной миграции российских граждан, в том числе и в целях трудоустройства за рубежом. Все граждане страны в соответствии с данным законом имеют право на получение заграничного паспорта сроком на пять лет.
Исключение составляют лишь лица, осведомленные в области государственных тайн, имеющие невыполненные обязательства перед государством (например, обязательная воинская служба), а также уголовные преступники. 22 декабря 1992 г. Верховный Совет РФ своим постановлением подтвердил легитимность этого союзного закона на территории России. Новый закон, регулирующий данную сферу жизни общества и конкретизирующий некоторые положения союзного закона, был принят Государственной Думой РФ 18 июля 1996 г. (вступил в силу 15 августа 1996 г.).
В целях регулирования миграционных потоков в Россию, а также регламентирования использования в стране иностранной рабочей силы были приняты Указы Президента РФ «О мерах по введению иммиграционного контроля» и «О привлечении и использовании в Российской Федерации иностранной рабочей силы» от 16 декабря 1993 г. Эти Указы имели целью обеспечить приоритетное право граждан России на занятие вакантных рабочих мест, установить определенные процедуры, правила и квоты на привлечение иностранной рабочей силы и навести порядок в процессе въезда иностранных граждан на территорию России. Так, по некоторым оценкам, в 1998 г. на территории России про-, живали без соответствующего оформления до 44,5 млн лиц, прибывших из стран дальнего зарубежья.
Регулирование миграционных потоков в России осуществляет Федеральная миграционная служба, созданная Указом Президента РФ.
2. Россия в мировых миграционных потоках
Тенденции эмиграции из России
Вопреки алармистским прогнозам конца 80-х гг. выезд из России граждан на постоянное место жительства не стал массовым, хотя и достаточно заметным среднегодовая численность эмигрантов в 19901997 гг. в страны дальнего зарубежья составила в среднем 100105 тыс. человек (в 1997 г. 85 тыс. человек). Помимо эмиграции в дальнее зарубежье весьма масштабным является выезд из России в другие страны члены СНГ и государства Балтии. За период 19901997 гг. число выехавших в эти страны составило почти 3 млн человек (149,5 тыс. человек в 1997 г.).
Эти цифры не включают выезжающих на временную работу (часто без соответствующего оформления), число которых, по оценкам, достигает нескольких десятков тысяч человек в год. По некоторым данным, например, только в Польше уже проживают более 300 тыс. выходцев из стран членов СНГ (в основном из России), выехавших на временную работу или по гостевой визе.
Десятки тысяч наших сограждан работают таким образом в Венгрии, тысячи в Германии и США. (Легально выехавших в США гораздо больше. Только в Нью-Йорке проживают несколько сотен тысяч русскоязычных иммигрантов.) Попытки регламентировать трудовую миграцию с помощью межправительственных соглашений серьезного влияния на данный процесс не оказывают. Так, соглашение с ФРГ предоставило России ежегодную трудовую квоту в 17 тыс. человек, с Финляндией и Бельгией по 500 человек.
В 1992 1998 гг. Российская Федерация заключила двусторонние договоры в области международной трудовой миграции с Вьетнамом, Китаем, Польшей, Словакией, Чехией, Финляндией, ФРГ, Швейцарией, Арменией, Белоруссией, Киргизией, Молдавией и Украиной.
Согласно официальным данным численность российских граждан, трудоустроенных за границей при посредничестве Федеральной миграционной службы, составила в 1996 г. 12 тыс. человек. Реальные миграционные потоки значительно превышают эти цифры.
Исходя из уже проявившихся миграционных тенденций, а также принимая во внимание внутриэкономические и социально-экономические процессы, происходящие в России, можно утверждать, что эмиграционный потенциал страны еще не исчерпан. В частности, продолжается традиционная этническая эмиграция: в России проживает около 270 тыс. евреев, более 500 тыс. немцев, часть из которых имеют стремление к воссоединению с «исторической родиной» или национальными общинами в развитых странах Запада. Вместе с тем в последние годы этническая эмиграция из России и других стран членов СНГ заметно сокращается. На первый план выходит экономическая эмиграция, обусловленная ухудшением экономического положения, неясностью перспектив экономических реформ, неэффективностью системы социальной защиты населения, падением жизненного уровня.
В 90-х гг. возникло такое принципиально новое для России явление, как бизнес-эмиграция, т.е. эмиграция предпринимателей, связанная не с экономическими трудностями и лишениями, а со стремлением к политической и экономической стабильности, с опасением потери достигнутого уровня благосостояния и отсутствием перспектив для бизнеса.
Согласно опросам Международной организации по вопросам миграции, проведенным в 1992 г., возможность временного отъезда на работу за границу допускали 26% опрошенных граждан России, 28% граждан Украины. При этом эмиграцию не исключали лишь 8% россиян и 13% жителей Украины. Среди национальных групп населения СНГ наибольшую склонность к эмиграции обнаружили также (согласно опросам) русские, украинцы, грузины, армяне и азербайджанцы.
По данным за 1997 г. в национальной структуре эмиграции из России лидировали русские почти 108 тыс. человек (более 46%). Причем большинство из них почти 78 тыс. человек выехало в другие страны члены СНГ и государства Балтии, около 30 тыс. в страны дальнего зарубежья. Затем следовали украинцы более 35 тыс. человек (15,1%), немцы - 31,4 тыс. человек (13,5%), евреи - 9,9 тыс. человек (4,2%), белорусы 9,5 тыс. человек (4,1%), представители других национальностей около 39 тыс. человек (17,1 %).

Проблема иммиграции в Россию
Помимо проблемы внешней миграции весьма серьезно в настоящее время встала для России проблема иммиграции, преимущественно из стран ближнего зарубежья, а также из некоторых развивающихся стран Азии и Африки. В 1997 г. за пределами России проживало более 17% русских, в том числе на Украине 11,4 млн человек, или 22% от численности населения. В бывших советских республиках Средней Азии и Казахстане проживают еще 10 млн русских, около 3 млн в странах Балтии и Молдавии, 1,3 млн в Белоруссии, около 800 тыс. в Закавказье. Большинство русских в этих диаспорах хорошо интегрированы и имеют глубокие корни.
Вместе с тем в ряде стран, особенно в странах Балтии и Средней Азии, рост националистических настроений может привести (и уже приводит) к оттоку русскоязычного населения. По официальным оценкам, число уже выехавших из бывших советских республик русских или русскоязычных граждан превысило за период 19901997 гг. 6,6 млн человек. По официальным данным, в 1998 г. число зарегистрированных беженцев и вынужденных переселенцев из стран ближнего зарубежья превысило 1192 тыс. человек.
Общий потенциал репатриантов составляет 4 6 млн человек. По оценке Института ООН по проблемам разоружения, подготовившим доклад о тенденциях миграции в Европе, численность славянского населения в неславянских странах бывшего СССР к 2016 г. уменьшится на 1530%.



Рыночный механизм монополистической конкуренции


Является ли рыночный механизм монополистической конкуренции эффективным? С точки зрения использования ресурсов нет, поскольку производство осуществляется не с минимальными издержками (см. 12.7): производство Q0 не достигает величины, где средние валовые издержки фирмы минимальны, т.е. составляют величину Q1.
Однако если оценить эффективность с точки зрения удовлетворения интересов потребителей, то многообразие товаров, отражающее индивидуальные потребности людей, является для них более предпочтительным, нежели однообразная продукция по более низким ценам и в большем объеме.
3. Олигополия

Что такое олигополия? Олигополией называют тип рынка, на котором несколько фирм контролируют его основную часть. При этом номенклатура продукции может быть как небольшой (нефть), так и достаточно обширной (автомобили, химическая продукция). Для олигополии характерны ограничения по вхождению новых фирм в отрасль; они связаны с эффектом масштаба, большими расходами на рекламу, существующими патентами и лицензиями.
Высокие барьеры для входа являются и следствием предпринимаемых ведущими фирмами отрасли действий, с тем чтобы не допустить в нее новых конкурентов.
Особенностью олигополии является взаимозависимость решений фирм по ценам и объему производства. Ни одно подобное решение не может быть принято фирмой без учета и оценки возможных ответных действий со стороны конкурентов. Действия фирм-конкурентов это дополнительное ограничение, которое фирмы должны учитывать при определении оптимальных цены и объема производства.
Не только издержки и спрос но и ответная реакция конкурентов обусловливают принятие решений. Поэтому модель олигополии должна отражать все эти три момента.

Модели олигополии Не существует единой теории олигополии. Однако экономистами разработан ряд моделей, на которых кратко остановимся.
Модель Курно. Впервые попытка объяснить поведение олигополии была предпринята французом А. Курно в 1838 г. Его модель основывалась на следующих предпосылках:
на рынке присутствуют только две фирмы;
каждая фирма, принимая свое решение, считает цену и объем производства конкурента постоянными.
Допустим, что на рынке действуют две фирмы: Х и У. Как будет определять фирма Х цену и объем производства? Помимо издержек они зависят от спроса, а спрос, в свою очередь, от того, сколько продукции выпустит фирма У. Однако что будет делать фирма У, фирме Х неизвестно, она лишь может предположить возможные варианты ее действий и соответственно планировать собственный выпуск.
Поскольку рыночный спрос есть величина заданная, расширение производства фирмой вызовет сокращение спроса на продукцию фирмы Х. На 12.8 показано, как сместится график спроса на продукцию фирмы Х (он будет сдвигаться влево), если фирма У начнет расширять продажу. Цена и объем производства, устанавливаемые фирмой Х исходя из равенства предельного дохода и предельных издержек, будут снижаться соответственно с Р0 до Р1, Р2 и с Q0 до Q1,Q2.





Рыночный механизм монополистической конкуренции








12.8. Модель Курно. Изменение цены и объема выпуска продукции фирмой Х при расширении производства фирмой У: D спрос; MR предельный доход; МC предельные издержки

Если рассматривать ситуацию с позиции фирмы У, то можно начертить подобный график, отражающий изменение цены и количества выпускаемой ею продукции в зависимости от действий, предпринятых фирмой Х.
Объединив оба графика, получим кривые реакции обеих фирм на поведение друг друга. На 12.9 кривая Х отражает реакцию одноименной фирмы на изменения в производстве фирмы У, а кривая У соответственно наоборот. Равновесие наступает в точке пересечения кривых реакций обеих фирм.
В этой точке предположения фирм совпадают с их реальными действиями.



Рыночный механизм монополистической конкуренции






12.9. Кривые реакции фирм Х и У на поведение друг друга

В модели Курно не отражено одно существенное обстоятельство. Предполагается, что конкуренты отреагируют на изменение фирмой цены определенным образом. Когда фирма У выходит на рынок и отнимает у фирмы У часть потребительского спроса, последняя «сдается», вступает в ценовую игру, снижая цены и объем производства.
Однако фирма Х может занять активную позицию и, значительно снизив цену, не допустить фирму У на рынок. Такие действия фирмы не охватываются моделью Курно.
«Ценовая война» снижает прибыли обеих сторон. Поскольку решения одной из них влияют на решения другой, существуют основания договориться о фиксации цен, разделе рынка с целью ограничения конкуренции и обеспечения высоких прибылей. Поскольку всякого рода сговоры подпадают под антимонопольное законодательство и преследуются государством, фирмы в условиях олигополии предпочитают от них отказываться.
Так как ценовая конкуренция не выгодна никому, каждая фирма была бы готова держать более высокую цену при условии, что ее конкурент поступит аналогичным образом. Даже если изменится спрос, или сократятся издержки, или произойдут еще какие-то события, позволяющие снизить цену без ущерба для прибыли, фирма не сделает этого из опасения, что конкуренты воспримут подобный шаг как начало ценовой войны. Повышение цен также не привлекательно, так как конкуренты могут и не последовать примеру фирмы.
Реакция фирмы на изменение цен конкурентами отражена в модели изогнутой кривой спроса на продукцию фирмы в условиях олигополии. Эта модель была предложена в 1939 г. американцами
Р. Холлом, К. Хитчем и П. Суизи. На 12.10 изображены кривые спроса и предельного дохода фирмы Х (выделены жирной линией). Если фирма поднимет цену выше Р0, то ее конкуренты не станут в ответ повышать цены. В результате фирма Х потеряет своих потребителей. Спрос на ее продукцию при ценах выше Р0 очень эластичен.
Если же фирма Х установит цену ниже Р0, то конкуренты, скорее всего, последуют за ней, чтобы сохранить свою долю рынка. Поэтому при ценах ниже Р0 спрос будет менее эластичным.




Рыночный механизм монополистической конкуренции



12.10. Модель изогнутой кривой спроса: D1,MR1 кривые спроса и предельного дохода фирмы при ценах выше Р0 ;D2 MR2 кривые спроса и предельного дохода фирмы при ценах ниже Р0

Резкое различие в эластичности спроса при ценах выше и ниже P0 приводит к тому, что кривая предельного дохода прерывается, а это значит, что снижение цены не сможет быть компенсировано расширением объема продаж. Модель изогнутой кривой спроса дает ответ на вопрос, почему фирмы в условиях олигополии стремятся поддерживать стабильные цены, перенося конкурентную борьбу в неценовую область.
Существуют и другие модели олигополии, основанные на теории игр. Так, при определении собственной стратегии фирма оценивает вероятные прибыли и убытки, которые будут зависеть от того, какую стратегию выберет конкурент. Предположим, что фирмы A и B контролируют основную долю продаж на рынке.
Каждая из них стремится увеличить объем продаж и тем самым обеспечить себе рост прибылей. Достигнуть результата можно снижением цен и привлечением дополнительных покупателей, активизацией рекламной деятельности и т.п.
Однако результат для каждой фирмы зависит от реакции конкурента. Если фирма А начнет снижать цены и фирма В последует за ней, то ни одна из них не увеличит своей доли на рынке, а их прибыли сократятся. Однако если фирма А снизит цены, а фирма В не сделает того же, то прибыли фирмы А увеличатся.
Разрабатывая свою стратегию в области цен, фирма А просчитывает возможные варианты ответной реакции со стороны фирмы В (табл. 12.2).








Таблица 12.2. Влияние рыночной стратегии на изменение прибыли фирмы А
(числитель) и фирмы В (знаменатель), млн руб.





Рыночный механизм монополистической конкуренции





Если фирма А решит снизить цены и фирма В последует за ней, прибыль фирмы А сократится на 1000 тыс. руб. Если фирма А снизит цены, а фирма В не сделает того же, то прибыль фирмы А возрастет на 1500 тыс. руб. Если фирма А не предпримет никаких шагов в области цен, а фирма В снизит свои цены, прибыль фирмы А сократится на 1500 тыс. руб.
Если обе фирмы оставят цены без изменений, их прибыли не изменятся.
Какую стратегию выберет фирма А? Наилучшим вариантом для нее является снижение цен при стабильности фирмы В, в этом случае прибыль возрастает на 1500 тыс. руб. Однако этот вариант является наихудшим с точки зрения фирмы В. Для обеих фирм было бы целесообразным оставить цены без изменения, при этом прибыли остались бы на прежнем уровне. Вместе с тем, опасаясь наихудшего из возможных вариантов, фирмы снизят свои цены, теряя при этом по 1000 тыс. руб. прибыли.
Стратегия фирмы А на снижение цены называется стратегией наименьших потерь.
Стремлением к наименьшим потерям можно объяснить, почему фирмы в условиях олигополии предпочитают тратить значительные средства на рекламу, увеличивая свои издержки и не добиваясь при этом увеличения доли рынка.
Ни одна из приведенных выше моделей олигополии не позволяет ответить на все вопросы, связанные с поведением фирм на подобных рынках. Однако они могут быть использованы для анализа отдельных аспектов деятельности фирм в этих условиях.

4. Использование и распределение ресурсов фирмой Как было показано выше, фирмы в условиях рынка широко применяют метод сравнения предельных дохода и издержек при принятии решений об объеме продаж и цене продукции. Тот же метод используется и при определении количества необходимых для производства продукции ресурсов, обеспечивающего фирме минимальные суммарные издержки и соответственно максимальную прибыль. Именно об этом речь пойдет ниже.



Сберегательные институты


Для страховых компаний характерна специфическая форма привлечения средств продажа страховых полисов. Полученные расходы они вкладывают прежде всего в облигации и акции других компаний, государственные ценные бумаги. Они также предоставляют долгосрочные кредиты предприятиям и государству.
Пенсионные фонды различаются по организации и управлению, по структуре активов. Так, имеются фонды застрахованные управляемые страховыми компаниями) и незастрахованные (управляемые предприятиями или по их доверенности банками), фундированные (их средства инвестированы в ценные бумаги) и нефундированные (пенсии выплачиваются из текущих поступлений и доходов) и т.д.
В России наряду со страховыми компаниями вопросами пенсионного обеспечения занимаются также негосударственные пенсионные фонды (НПФ). По своей сути они являются сберегательными институтами. Однако в деятельности НПФ существует еще немало проблем и изъянов.
В частности, некоторые НПФ основаны на пирамидальных схемах, что, несомненно, приведет их к банкротству и может дискредитировать в глазах населения идею негосударственного пенсионного обеспечения.
Инвестиционные компании размещают среди мелких держателей свои обязательства (акции) и используют полученные средства для покупки ценных бумаг различных отраслей хозяйства. Мелкие инвесторы охотно покупают обязательства инвестиционных компаний, так как благодаря значительной диверсификации (вложение средств в различные предприятия) достигается известное рассредоточение активов, снижается опасность потери сбережений из-за банкротств фирм, в чьи акции вложен капитал. Инвестиционные чековые фонды в России являются, в сущности, тоже инвестиционными компаниями.
Специализированные кредитные учреждения играют важную роль в содействии переливу капитала, а стало быть, структурным сдвигам в экономике. В то время как коммерческие банки обслуживают прежде всего кругооборот оборотных фондов, на долю специализированных учреждений приходится оборот основного капитала, т.е. кредитование инвестиционного процесса.

Особенности кредитной системы в России
В России, как и в большинстве других стран мира, действует двухуровневая кредитная система: Центральный банк банковские институты и небанковские кредитные организации. Центральный банк РФ (Банк России, Центробанк, ЦБ РФ) является эмиссионным центром страны, обладает монопольным правом выпуска в обращение и изъятия из него наличных денежных знаков в форме банкнот и монет. В качестве банка банков он предоставляет централизованные кредиты коммерческим банкам, является главным банкиром Правительства РФ, выполняет функции управляющего золотовалютными резервами, осуществляет кассовое исполнение государственного бюджета (прежде всего организацию через свои управления и отделения приема бюджетных платежей в регионах и на местах) и проч.
Коммерческие банки являются основой кредитной системы России. Некоторые из них возникли на базе ранее функционировавших специализированных государственных банков, имевших устойчивое финансовое положение и обладавших разветвленной сетью филиалов (Сбербанк, Мосбизнесбанк, Промстройбанк и др.), другие создавались практически «с нуля».
В России уже сложилась кредитная система, отличная от двух основных мировых моделей: американской и немецкой. В стране действуют универсальные банки (этим она отличается от американской модели), а также функционирует достаточно развитый сектор специализированных кредитных организаций (этим она отличается от немецкой модели).
В целом российские кредитные организации повторяют путь, по которому развивалась кредитная система в Западной Европе и других регионах мира с конца 40-х начала 50-х гг.: финансовый капитал в России уже сращивается с промышленным и торговым (например, в форме финансово-промышленных групп), усиливается концентрация банков, их объединения в различных формах, возникают первые интернациональные союзы, консорциумы для осуществления отдельных проектов и программ.
Следует отметить, что банковская система России слабо выполняет свою вторую главную функцию кредитование. В результате из-за дороговизны кредитования половина российских промышленных предприятий не прибегает к кредитам банков.
К середине 1998 г. заметно выросли капиталы банков, создана серьезная материальная база, внедрены международные технологии и стандарты. Однако августовский кризис 1998 г. нанес разрушительный удар прежде всего по кредитной системе России. За августдекабрь 1998 г. капиталы банковской системы сократились на 30%.
Обострению кризиса способствовали также отток вкладов населения и усиление недоверия к банкам. Общая сумма вкладов в рублевом выражении сократилась на 40%. Сужение ресурсной базы и повышение кредитных рисков привели к резкому сокращению кредитной активности.
В результате банковская система оказалась отброшенной на несколько лет назад. Но, несмотря на это, она продолжает функционировать, средние и небольшие банки развиваются, увеличивают капиталы и расширяют клиентуру (табл. 23.1).
В сложившихся условиях остро стоит вопрос о реструктуризации банковской системы. В частности, в рамках подготовки Банком России Концепции развития банковской системы предлагается принятие закона «О несостоятельности (банкротстве) кредитных организаций» и закона «О реструктуризации кредитных организаций», а также обеспечение результативной деятельности Агентства по реструктуризации кредитных организаций (АРКО).





Таблица 23.1. Характеристика деятельности кредитной системы России1






1 Составлено по данным Центрального банка Российской Федерации (Бюллень банковской статистики.1999. № 4 (71). С. 63-66)

Сберегательные институты






По оценке Банка России, из 1473 действующих банков 1032 (70%) являются финансово стабильными и они способны работать без государственной поддержки; 441 банк, или 30%, отнесены к «проблемным»: у них образовался значительный дефицит ликвидных средств и капитала, они являются неплатежеспособными и не могут самостоятельно выйти из кризиса; 149 банков из числа «проблемных» имеют явные признаки несостоятельности (банкротства). 44 «проблемным» банкам, в число которых входят 18 крупных, оказывается государственная поддержка в силу их социальной и экономической значимости. На них приходится почти 50% активов и 45% вкладов населения (без Сбербанка РФ).
Потребность средств на рекапитализацию банков оценивается Банком России в 75 млрд руб.
Главными в процессе финансового оздоровления «проблемных» банков призваны быть меры по реорганизации, а не проведению процессов банкротства. Мировой опыт показывает, что убытки от банкротства в 810 раз больше, чем при реорганизации.
Важным вопросом является с т р у к т у р а б а н к о в с к о й с и с т е м ы. Целесообразно иметь полный «ассортимент» банков, таких как банк развития, экспортно-импортный, сельскохозяйственный, ипотечный, кредитной кооперации. Банк России активизирует и поддержку региональной сети банков как важного условия развития производительных сил регионов.
3. Банковские операции Обычно выделяют четыре группы банковских операций:
пассивные;
активные;
банковские услуги;
собственные операции банков.
Первые две группы операций наиболее распространены, и на них приходится основная часть банковской прибыли. В развитых странах с рыночной экономикой в последние годы значительно возрос объем банковских услуг. Они постепенно становятся вторым по важности источником доходов банков.
Собственные операции банков играют по-прежнему подчиненную роль.

Сущность пассивных операций Пассивные операции служат для мобилизации средств. В результате пассивных операций, суть которых сводится к получению ссуды, банки получают денежные средства, которые используются для финансирования активных операций ( 23.3). Результаты этих операций отражаются в пассиве баланса банка.







Сберегательные институты



23.3. Пассивные операции банков

Для создания банка первоначально необходим определенный собственный капитал. Но это лишь отправная точка для организации собственного банковского дела. Банковские операции базируются на заемных средствах.
В экономически развитых странах соотношение между собственным и заемным капиталом находится на уровне от 1:10 до 1:100. Рассмотрим подробнее виды пассивных операций.
Под депозитами понимаются все срочные и бессрочные вклады клиентов банка, кроме сберегательных. Источники средств, помещаемые на депозиты, весьма разнообразны. Это средства на счетах предприятий, счетах заработной платы рабочих и служащих, счетах государственных учреждений и предприятий, которые временно не используются.
С точки зрения банковской техники депозиты можно подразделить на две группы: на вклады до востребования и срочные вклады.
Вклады (депозиты) до востребования представляют собой средства, которые могут быть востребованы в любой момент. По вкладам до востребования выплачивается довольно низкий процент. В некоторых странах начисление процентов по вкладам до востребования вообще запрещено.
Депозиты до востребования предназначены в первую очередь для осуществления текущих расчетов.
Ежедневное ведение платежных операций предприятий в банках требует немалых затрат. Однако эти затраты банков в большей или меньшей степени компенсируются тем, что клиенты, владеющие счетами до востребования, далеко не в полной мере используют имеющиеся на их счетах денежные средства. Как правило, остается так называемый твердый остаток, который используется банком для своих коммерческих целей, т.е. может быть выдан в ссуду в целях получения прибыли.
Банк без особых трудностей может выдавать из этих средств в определенном объеме краткосрочные кредиты.



Сберегательные сертификаты именные и на предъявителя.


2. Рынок ценных бумаг На рынке ценных бумаг обращаются средне- и долгосрочные ценные бумаги. Под ценной бумагой понимается документ, удостоверяющий с соблюдением установленной формы и обязательных реквизитов имущественные права, осуществление или передача, которых возможны только при его предъявлении. С передачей ценной бумаги переходят все удостоверяемые ею права в совокупности.
Ценные бумаги принято называть ф и к т и в н ы м к а п и т а л о м по той причине, что они являются представителями реального капитала (реальных фондов) и в определенной мере отражают их величину.
В России к ценным бумагам относят акции, облигации, депозитный и сберегательный сертификаты, чеки, векселя, различные государственные ценные бумаги, приватизационные чеки (ваучеры), опционы, фьючерсы и другие документы.

Виды ценных бумаг В рыночной экономике функционирует множество видов ценных бумаг. Их можно классифицировать по нескольким признакам.
Один из них р а з л и ч н ы е г р у п п ы э м и т е н т о в. Обычно выделяют три такие группы: государство, частный сектор и иностранные субъекты. Государственные ценные бумаги выпускаются и гарантируются правительством, министерствами и ведомствами или муниципальными органами власти.
Ценные бумаги частного сектора принято делить на корпоративные и частные. Корпоративные ценные бумаги выпускаются негосударственными предприятиями и организациями. Частные ценные бумаги могут выпускаться физическими лицами (например, векселя или чеки).
Иностранные ценные бумаги эмитируют нерезиденты страны. Ценные бумаги можно разделить на и м е н н ы е и п р е д ъ я в и т е л ь с к и е . Имя владельца ценной бумаги регистрируется в специальном реестре, который ведется эмитентом или внешним независимым реестродержателем. Ценная бумага на предъявителя не регистрируется на имя владельца у эмитента.
Еще один признак классификации ценных бумаг п о и х э к о н о м и ч е с к о й п р и р о де . В этом случае выделяются: свидетельства о собственности (акции, чеки, денежные сертификаты); свидетельства о займе (облигации, векселя); контракты на будущие сделки (фьючерсы, опционы).
Все эти три вида ценных бумаг существуют и обращаются в России (табл. 24.1).







Таблица 24.1 Виды ценных бумаг, обращающихся на российском фондовом рынке

Сберегательные сертификаты именные и на предъявителя.




Ц е н н ы е б у м а г и с н е ф и к с и р о в а н н ым д о х о д о м это прежде всего а к ц и и, т.е. ценные бумаги, удостоверяющие владение паем в капитале акционерного общества и дающие право на получение части прибыли в виде дивиденда. По российскому законодательству акция эмиссионная ценная бумага, закрепляющая права ее владельца (акционера) на получение части прибыли акционерного общества в виде дивидендов, на участие в управлении акционерным обществом и на часть имущества, остающегося после его ликвидации.
Ц е н н ы е б у м а г и с ф и к с и р о в а н н ы м д о х о д о м (их также называют долговыми обязательствами) представлены облигациями, депозитными и сберегательными сертификатами, чеками и векселями.
О б л и г а ц и и долговые обязательства государства, органов местного самоуправления, предприятий, различных фондов и организаций, выпускаемые обычно большими партиями. Они являются свидетельством того, что выпустивший их орган является должником и обязуется выплачивать владельцу облигации в течение определенного времени проценты по ней, а по наступлении срока выплаты погасить свой долг перед владельцем облигации. В любом случае облигация представляет собой долг, а ее держатель является кредитором (но не совладельцем, как акционер).
По российскому законодательству облигация эмиссионная ценная бумага, закрепляющая право держателя этой бумаги на получение от эмитента облигации в предусмотренный срок ее номинальной стоимости и зафиксированного в ней процента от этой стоимости или иного имущественного эквивалента.
Д е п о з и т н ы й с е р т и ф и к а т финансовый документ, выпускаемый кредитными учреждениями. Он является свидетельством этого учреждения о депонировании денежных средств, удостоверяющим право вкладчика на получение депозита. Различаются депозитные сертификаты до востребования и срочные, на которых указан срок изъятия вклада и размер причитающегося процента.
Депозитные сертификаты повсеместно принимаются инвесторами, различными компаниями и учреждениями.
С б е р е г ат е л ь н ы й с е р т и ф и к а т письменное обязательство о депонировании денежных средств физическим лицом в кредитном учреждении, удостоверяющее право вкладчика на получение вклада и процента по нему. Различают сберегательные сертификаты именные и на предъявителя.
Ч е к денежный документ установленной формы, содержащий безусловный приказ чекодателя кредитному учреждению о выплате его держателю указанной в чеке суммы. Как правило, плательщиком по чеку выступает банк или другое кредитное учреждение, имеющее такое право.
В е к с е л ь необеспеченное обещание выплатить в назначенный срок долг и процент по нему. Этот вид ценных бумаг стоит на последнем месте среди долговых обязательств фирмы. Как и чеки, векселя выпускаются и частными лицами.
Г о с у д а р с т в е н н ы е ц е н н ы е б у м а г и это долговые обязательства правительства. Они различаются по датам выпуска, срокам погашения, размерам процентной ставки. В определенном смысле это альтернатива денежной эмиссии и, следовательно, инфляции в случае дефицита государственного бюджета.
В настоящее время в большинстве стран обращаются государственные ценные бумаги нескольких видов: первый это казначейские векселя со сроком погашения, как правило, 91 день; второй казначейские обязательства со сроком погашения до 10 лет; третий казначейские облигации со сроком погашения от 10 до 30 лет. Эти виды ценных бумаг выпускают для кредитования кратко-, средне- и долгосрочного государственного долга. Соответственно различаются и процентные выплаты по ним.
Так, в США в 90-х гг. они составили: по казначейским векселям порядка 6%, по казначейским облигациям порядка 7%. В России в 90-е гг. выпускались:
государственные краткосрочные бескупонные облигации (ГКО) с 1993 г. Эмитентом выступает Министерство финансов РФ. ГКО выпускаются на срок 3, 6 и 12 мес и размещаются через учреждения Центробанка РФ;
казначейские обязательства (КО) в бездокументальной форме в виде записи на счетах, так же как и ГКО;
облигации федерального займа (ОФЗ) с 1995 г., обращающиеся в единой системе вместе с ГКО в безналичной форме, с переменным купонным процентом и сроком действия более одного года;
облигации государственного сберегательного займа (ОГСЗ) на предъявителя с 1995 г., предназначенные главным образом для населения;
облигации внутреннего валютного займа (ОВВЗ), являющиеся средством реструктуризации внутреннего валютного долга.
Наряду с центральным правительством и его органами ценные бумаги для кредитования задолженности выпускают местные органы власти. Это уже иной тип ценных бумаг м у н и ц и па л ьн ые о б л и г а ц и и. Как и другие облигации, они представляют собой обязательства по возмещению долга к определенному сроку с выплатой фиксированных процентов. Муниципальные облигации выпускаются и в России.

Рынок ценных бумаг в России Для возникающих в странах с переходной экономикой рынков ценных бумаг, к числу которых принадлежит и фондовый рынок России, характерны многие общие проблемы. Вместе с тем, российский рынок фондовых ценностей обладает рядом специфических черт.
Во-первых, обычно развитие эффективных рынков ценных бумаг сопровождает рост всей национальной экономики. В России же зарождение и становление фондового рынка, его определенное развитие происходило на фоне постоянного спада производства. Такое различие в эволюции рынка ценных бумаг и общеэкономических процессов вызывает серьезные кризисные явления на этом рынке, о чем свидетельствует опыт 19981999 гг.
В то же время, недоразвитость и несовершенство самого фондового рынка препятствуют преодолению тенденции к сужению воспроизводства.
Во-вторых, «непрозрачность» рынка (т.е. недостаточность или неточность информации о компаниях и банках, выпускающих ценные бумаги), рискованность операций на нем, преобладание (вплоть до 1999 г.) долговых обязательств государства для покрытия бюджетного дефицита вызвали доминирование краткосрочных ценных бумаг. А это, в свою очередь, отвлекает свободные средства от долгосрочного инвестирования, которое всегда является важнейшим фактором экономического роста.
В-третьих, дестабилизирующее влияние на российский рынок ценных бумаг оказывают инфляция и инфляционные ожидания. Риск обесценивания денег сдерживает инвесторов от долгосрочных вложений стратегического характера.
Зарубежный опыт свидетельствует, что негативные воздействия инфляции в определенной мере преодолеваются путем выпуска индексируемых ценных бумаг. Доход по таким бумагам индексируется с поправкой на темп инфляции. В России рынок индексируемых фондовых инструментов пока не создан, что усугубляет пагубное воздействие инфляции на рынок ценных бумаг.
Постепенно развивается и инфраструктура этого рынка, повышается уровень квалификации его участников. Создана Профессиональная ассоциация участников фондового рынка (ПАУФОР), регулирующая торговлю ценными бумагами. Действует Российская торговая система (РТС), разрабатывающая единые правила операций.
Таким образом, наряду с совершенствованием государственного воздействия на фондовый рынок появляются ростки его саморегулирования, характерного для стран с развитой рыночной экономикой.



Сбыт


состояние, в котором продукт находится в настоящее время (на стадии разработки, создания опытных образцов, производства и т.д.);
влияние увеличения объема производства на стоимость продукта;
патенты и ноу-хау, которым компания обладает по данному продукту.
Сбыт. Здесь следует обосновать цену продукта и сравнить ее с ценами, существующими в промышленности. Должно содержаться свидетельство того, что подход к сбыту будет способствовать успешному осуществлению плана маркетинга. Содержание раздела:
метод сбыта в настоящее время;
метод сбыта в ближайшей перспективе;
метод сбыта в более отдаленной перспективе;
наличие/отсутствие на фирме специализированного отдела по работе с покупателями;
затраты на подготовку к заключению контрактов о продаже продукта;
стоимость продажи продуктов, изготовленных по индивидуальным заказам;
стратегия определения цены и установления гарантийного срока.
Производство. В данном разделе нужно показать, что процесс производства не требует крупных затрат и является предельно эффективным, вследствие чего можно рассчитывать на получение максимальной прибыли.
Содержание раздела:
необходимые площади и оборудование;
элементы продукта, которые можно делать на своем оборудовании, и элементы, которые требуется закупать;
гарантии наличия источников сырья и запасных частей, необходимых для выпуска продукта;
наличие резервных источников сырья и запасных частей;
совершенствование технологии производства с целью повышения качества и снижения себестоимости продукта;
обеспечение контроля за качеством продукта на всех этапах производства;
необходимый штат сотрудников и предполагаемые изменения в штатном расписании по мере расширения производства.
Финансы фирмы.
Содержание раздела:
обзор финансового положения компании с момента ее основания;
увеличение бюджета по мере расширения фирмы;
прогноз финансового состояния фирмы на несколько лет вперед;
краткое изложение операций, предшествующих финансированию;
количество акционеров, число акций.
Инвестиции. В этом разделе необходимо указать, сколько капитала хочет получить фирма, форму инвестиций, как будут использоваться полученные фонды и какую долю компании приобретает инвестор. Нужно показать, каким образом по истечении определенного времени (обычно указывается срок в пять 'лет) инвестор сможет получить обратно свой вклад, стоимость которого пропорционально возрастает; как будут использоваться деньги инвестора.
Следует описать характер предполагаемых действий.
Дополнительная информация. В данном разделе приводятся краткие сведения о руководителях фирмы и ведущих сотрудниках, в том числе биографии руководителей; другие важные сведения (деловые, контактные и проч.).
Приложения (финансовая и бухгалтерская информация, сертификаты качества и т.д.). Бизнес-план должен содержать полную и подробную информацию о деятельности предприятия. Эта информация является строго конфиденциальной.
Поэтому, показывая свой бизнес-план потенциальному партнеру или инвестору, необходимо взять с него расписку о неразглашении полученной информации.
3. Использование консультантов Отличительной чертой рыночной экономики является наличие сектора профессиональных деловых услуг для предприятий, оказываемых консалтинговыми, аудиторскими, юридическими, риэлторскими, оценочными, маркетинговыми фирмами. В развитых странах для составления бизнес-плана обычно приглашают профессиональных консультантов по менеджменту. Их деятельность называется консалтингом, так как оказание ими профессиональных услуг происходит преимущественно в форме консультаций (консалтингаот англ. consulting).
Выделяют восемь основных разновидностей услуг, входящих в консалтинг:
1) стратегические вопросы развития: разработка и планирование общей стратегии развития, прогнозирование, организация филиалов, отделений и новых фирм, изменение формы собственности или состава собственников, приобретение имущества, акций или паев, совершенствование организационной структуры;
2) финансовые вопросы: финансовое планирование и контроль, налоги, бухгалтерский учет, размещение на рынке акций или паев, кредит, страхование, оценка стоимости предприятий или имущества;
3) управление кадрами: подбор сотрудников, контроль качества кадрового состава, система оплаты труда, повышение квалификации и обучение кадров, организация охраны труда и медицинского обслуживания, психологический климат в коллективе;
4) текущее управление производством и его обслуживанием: организация и планирование производства, контроль качества продукции, материально-техническое обеспечение, организация ремонта и капитальных вложений, технологические вопросы, организация НИОКР;
5) маркетинг и сбыт: формирование структурных подразделений по сбыту и маркетингу, подбор надежных партнеров-оптовиков, поиск новых заказчиков и рынков, стимулирование и исследование перспектив сбыта;
6) информационные технологии и системы: использование компьютеров и информационных систем в управлении;
7) управление проектом: решение комплекса управленческих проблем, возникающих при создании какого-либо нового объекта, подразделения, фирмы, выпуска нового товара и т.д.;
8) экономико-экологические вопросы: исследование экологической обстановки,-организация экологических служб и т.д.
Российские консалтинговые структуры объединены в Ассоциацию консультантов по экономике и управлению (АКЭУ), являющуюся национальным представителем России в Европейской федерации ассоциаций консультантов по менеджменту (ФЕАКО).

Участие консультантов в составлении бизнес-плана
Подготовка бизнес-плана требует большой аналитической работы и высокой квалификации ее участников. Необходимы знания в области не только экономики, но и законодательства, психологии, культурологии с тем, чтобы суметь представить информацию в соответствии с принятыми в мировой практике стандартами.
В табл. 19.1 приводится схема участия консультантов в разработке бизнес-плана.


Таблица 19.1 Участие консультантов в разработке бизнес-плана




Сбыт



Сбыт


Составление бизнес-планов для привлечения инвестиций получило широкое распространение в России в связи с нехваткой финансовых ресурсов на большинстве предприятий. Однако в последнее время усиливается потребность в оценке эффективности так называемых внутренних инвестиций, которые осуществляются предприятием без специального привлечения дополнительных источников финансирования, т.е. за счет собственных средств.
Бизнес-план для привлечения инвестиций должен удовлетворять, по меньшей мере, следующим трем требованиям:
с описательной точки зрения быть кратким, простым и понятным, чтобы потенциальный инвестор мог быстро разобраться в сути предложения и оценить его привлекательность. Это требование в первую очередь относится к резюме и предпосылкам, на основании которых строится прогноз основных показателей: реализации, параметров внешней среды и т.д.;
одновременно с этим содержать подробные финансовые расчеты, которые позволят аналитикам потенциального инвестора оценить справедливость выводов разработчика бизнес-плана и соответствие его общепринятым стандартам;
наконец, содержать достаточно широкий спектр возможных вариантов развития ситуации при изменении параметров внешней среды, ситуации на рынке, стоимости производства и т.д.
В качестве примера структуры бизнес-плана, ориентированной на привлечение внешних инвесторов, приведем перечень разделов типового бизнес-плана венчурных фондов Европейского банка реконструкции и развития, действующих на территории России:


  1. Общие сведения.
  2. Предприятие и его история.
  3. Коммерческая идея.
  4. Руководство.
  5. Сбыт.
  6. Технология и продукция.
  7. Экономический прогноз.
  8. Анализ рынка.
  9. Потребитель.
  10. Размер рынка сбыта и его изменения.
  11. Конкуренция на рынке.
  12. Оценка объемов реализации.
  13. План производства.
  14. Помещения.
  15. Инвестиции.
  16. Производственный процесс.
  17. Снабжение.
  18. Рабочая сила.
  19. Первоначальный капитал.
  20. Анализ кассовых потоков.
  21. Прогноз коммерческой деятельности.
  22. Итоговый экономический анализ.

Составление бизнес-плана на основе информационно-компьютерных программ Решение всех вышеперечисленных задач в короткие сроки и на высоком качественном уровне невозможно без специализированного программного обеспечения. С начала 90-х гг. в России активно развивается производство компьютерных программных продуктов, которые призваны решать задачи составления бизнес-планов и оценки эффективности инвестиций. Это как самостоятельные специализированные программы, так и составные части глобальных автоматизированных систем управления бизнес-процессами.
С п е ц и а л и з и р о в а н н ы е п р о г р а м м ы обычно настроены на стандартные процедуры инвестиционного анализа, что позволяет быстро выполнять большие объемы работ и не требует дополнительной настройки под конкретную фирму. Ф и н а н с о в ы е м о д у л и г л о б а л ь н ы х а в т о м а т и з и р о в а н н ы х с и с т е м у п р а в л е н и я п р е д п р и я т и е м могут быть приспособлены для конкретного пользователя, но это требует достаточно долгого процесса настройки системы и больших материальных затрат.
Специализированные программы, как правило, незаменимы при экспресс-анализе для составления бизнес-планов, особенно если речь идет о необходимости в короткие сроки оценить достаточно большое количество их параметров. По сложным проектам наряду со специализированными программами часто приходится использовать дополнительные расчеты, поскольку ни одна программа заранее не может предусмотреть все ситуации, возникающие в реальной жизни.
Рассмотрим работу по бизнес-планированию на основе специализированной компьютерной программы «Проект-Эксперт», которая была разработана в России фирмой «Про-инвест-консал-тинг». В программе предусмотрены следующие возможности:
разработка детального бизнес-плана на различных уровнях обобщения: как по всей фирме в целом, так и по отдельным ее подразделениям;
определение схемы финансирования предприятия, оценка привлекательности различных источников финансирования;
сравнение различных сценариев развития предприятия, в том числе с помощью факторного анализа;
формирование стандартного пакета финансовой документации, расчет наиболее распространенных финансовых показателей (см. гл. 18), необходимых для всестороннего анализа деятельности фирмы;
подготовка текста бизнес-плана, полностью соответствующего международным требованиям (в том числе Всемирного банка и ЮНИДО), как на русском, так и на нескольких европейских языках.


Выводы 1. Бизнес-планирование является важнейшим инструментом рационального хозяйствования в рыночной экономике и необходимым условием привлечения внешних инвесторов.
2. В России расширяется набор профессиональных услуг по планированию и управлению, к которым относятся прежде всего консалтинг и проверка финансового состояния предприятия (аудит). Эти услуги оказываются независимыми фирмами, а также индивидуальными профессионалами.
3. Компьютерные программы, разработанные для составления бизнес-планов, позволяют сделать этот процесс более тщательным и детальным, автоматизируя ряд расчетов и формализуя соответствующие процедуры. Однако они не заменяют профессиональных знаний экспертов и аналитиков.


Термины и понятия Бизнес-план
Резюме бизнес-плана
Консалтинг (консультирование)
Специализированные компьютерные программы по составлению бизнес-плана


Вопросы для самопроверки 1. Что такое бизнес-план?
2. Для каких четырех категорий участников бизнес-процессов предназначен бизнес-план?
3. В чем состоит главное назначение бизнес-плана в развитой рыночной экономике?
4. Какие вопросы надо обязательно включать в бизнес-план, а каких следует избегать при его составлении?
5. Какие разделы входят в содержание бизнес-плана?
6. Назовите восемь разновидностей консалтинговых услуг.
7. В чем состоят главные задачи консультантов при подготовке каждого из разделов бизнес-плана?
8. В чем сходство и различия обобщенной структуры бизнес-плана и структуры типового бизнес-плана венчурных фондов Европейского банка реконструкции и развития и в чем причина этих различий?

















































Раздел III
МАКРОЭКОНОМИКА











СОДЕРЖАНИЕ




Социальная политика


Развитие современной рыночной экономики предполагает определенную меру выравнивания доходов, создания социальных гарантий и равных стартовых условий для всех слоев населения. Опыт развитых стран демонстрирует механизм соединения социальной справедливости и экономической эффективности. «Дорогая» рабочая сила побуждает экономику достигать прироста производства и улучшения качества за счет научно-технического прогресса, применения ресурсе- и трудосберегающих технологий.
В переходной экономике России реализация задач социальной справедливости затруднена довольно скромными размерами общественного «пирога», что сдерживает перераспределительные процессы.
4. Социальная политика государства Социальная политика направлена на решение следующих задач:
1 ) стабилизация жизненного уровня населения и недопущение массовой бедности;
2) сдерживание роста безработицы и материальная поддержка безработных, а также подготовка трудовых ресурсов такого размера и качества, которые соответствуют потребностям общественного производства;
3) поддержание стабильного уровня реальных доходов населения путем проведения антиинфляционных мер и индексации доходов-
4) развитие отраслей социальной сферы (образование, здравоохранение, жилищное хозяйство, культура и искусство).
Таким образом, политика доходов представляет собой составную часть социальной политики государства. Последняя направлена, в частности, на ослабление дифференциации доходов и имущества, смягчение противоречий между участниками рыночной экономики и предотвращение социальных конфликтов на экономической почве.
Поэтому важной задачей социальной политики является адресная (т.е. предназначенная для конкретных групп населения) социальная поддержка со стороны государства, в первую очередь, слабо защищенных слоев населения. Решение этой задачи имеет целью поддержание оптимальных соотношений между доходами активной (занятой) части населения и нетрудоспособных граждан через механизм налогов и социальных трансфертов. Социальная политика в переходный период отличается не столько набором своих направлений, функций и целей сколько их соотношением, устанавливаемыми приоритетами.
В условиях переходной экономики действует объективное противоречие между целями и средствами. С одной стороны, обострение социальных проблем требует увеличения расходов госбюджета на расширение социальных программ, с другой решение этой задачи наталкивается на крайне скудные и все более сокращающиеся материальные возможности государства и общества (сокращение ВВП, снижающаяся собираемость налогов и др.).
Как уже отмечалось, для переходной экономики характерно резкое увеличение дифференциации доходов населения. В дополнение к различиям в степени адаптации к рыночным условиям отдельных групп населения неравенство в доходах усиливается трансформационным спадом, высокой инфляцией, массовой вынужденной безработицей, которые вызывают значительное снижение уровня жизни преобладающей части населения, особенно в самом начале переходного периода.
В этих условиях государство вынуждено (даже вопреки объективной логике сокращения государственного вмешательства в экономику) активно участвовать в перераспределении доходов. Как говорилось выше, главными средствами перераспределения доходов населения являются прогрессивное налогообложение личных доходов и система трансфертных платежей. Однако возможности государства в этот период весьма ограниченны. Во-первых, приватизация объективно ведет к сокращению государственных доходов.
Во-вторых, значительное повышение налоговых ставок ослабляет стимулы к получению высоких доходов, а тем самым к высокопроизводительному труду и инвестициям. В-третьих, резкий рост социальных трансфертов ослабляет стимулы к труду. Поэтому социальная политика в переходный период призвана сократить разрыв в доходах различных категорий населения, не подорвав при этом заинтересованности в труде, включая предпринимательскую деятельность.
Социальная политика государства включает гармонизацию отношений между участниками рыночной экономики в форме с о ц и а л ь н о г о п а р т н е р с т в а, которое предполагает заключение выступающими в качестве равноправных партнеров правительством, национальным объединением работодателей и профсоюзами «об щественного договора» в области экономической и социальной политики.
Практически эта идея получила свое воплощение в ФРГ, где с 60-х гг. стали проводиться «согласованные акции», в рамках которых при непосредственном участии правительства представители объединений предпринимателей и лидеры профсоюзов принимают решения по вопросам экономической политики страны.
Социальное партнерство активно используется в промышленно развитых и переходящих к рыночной экономике странах для выработки и проведения политики доходов. Инструментом такого взаимодействия являются трехсторонние комиссии с участием правительства, работодателей и профсоюзов, которые ежегодно заключают соглашения, регулирующие динамику заработной платы и некоторых социальных выплат. Соглашения о социальном партнерстве регламентируют деятельность работодателей (своевременная выплата и индексация заработной платы, создание новых рабочих мест, соблюдение техники безопасности) и наемных работников (соблюдение технологической дисциплины и др.).



Выводы 1. Государственная политика доходов заключается в перераспределении их через госбюджет путем дифференцированного налогообложения различных групп получателей дохода и социальных выплат. Наиболее эффективным средством государственного регулирования заработной платы является установление гарантированного минимума,
2. Прожиточный минимум - это стоимость товаров и услуг, признаваемых существом необходимыми для поддержания приемлемого уровня жизни.
3. Квинтильный (децильный) коэффициент применяется для оценки степени дифференциации доходов и выражает соотношение между средними доходами 20% (10%) наиболее высокооплачиваемых слоев населения и средними доходами 20% (10%) наименее обеспеченных. Минимальный потребительский бюджет - социальный минимум товаров и услуг в объеме, необходимом для обеспечения нормальной жизнедеятельности человека. Рациональный потребительский бюджет - набор товаров и услуг, обеспечивающий удовлетворение рациональных потребностей человека.
4. Социальная ориентация экономики предполагает ее подчинение задачам развития личности. Социальная справедливость в сфере экономики - соответствие системы экономических отношений представлениям, которые господствуют в данном обществе.
5. Социальная политика есть система мер государства, направленных на смягчение неравенства в распределении доходов, урегулирование противоречий
между участниками рыночной экономики.
6. Бедность представляет собой такое экономическое состояние части общества, при котором определенные слои населения не имеют минимальных по нормам данного общества средств к существованию. Различают абсолютную и относительную бедность, глубокую и неглубокую (измеряемую дефицитом доходов бедных слоев по отношению к прожиточному минимуму).
7. Социальное партнерство - это согласование экономической и социальной политики (особенно доходов и налогов) между правительством, предпринимателями и профсоюзами.



Термины и понятия Распределение доходов
Совокупные доходы
Номинальные доходы
Денежные доходы населения
Располагаемые доходы
Реальные доходы
Реальные располагаемые доходы
Номинальная и реальная заработная плата
Социальные трансферты
Социальная политика
Политика доходов
Индекс потребительских цен
Индексация доходов
«Дырявое ведро» А. Окуня
Прожиточный минимум (социальный и физиологический)
Кривая Лоренца
Квинтильный (децильный) коэффициент
Индекс концентрации доходов населения (коэффициент Джини)
Минимальный размер оплаты труда
Социальная справедливость
Социально ориентированная экономика
Бедность
Абсолютная черта бедности
Относительная черта бедности
Дефицит дохода




Вопросы для самопроверки 1. Какие цели может преследовать политика доходов в странах с рыночной экономикой:
а) пополнение доходов госбюджета,
б) противодействие инфляции;
в) повышение конкурентоспособности отечественных товаров;
г) смягчение неравенства доходов?
2. Чем отличается социальный прожиточный минимум от физиологического минимума?
3. Каковы основные факторы, определяющие дифференциацию доходов и заработной платы в России в переходный период?
4. В чем состоит противоречие социальной справедливости и экономической эффективности?
5. Номинальные доходы населения выросли за год на 20%, а индекс потребительских цен за этот же период составил 16%. Как изменились реальные доходы населения?
6. Чем характеризуется бедность в России и каковы ее масштабы?
7. Что такое индексация доходов и какова ее социальная роль?






































































Раздел IV
ПЕРЕХОДНАЯ ЭКОНОМИКА






























СОДЕРЖАНИЕ




Социально-политическая ситуация в стране нестабильна.


Потенциально Россия может быть одной из ведущих стран с переходной экономикой по объему приложения прямых инвестиций. Этому способствует ее большой внутренний рынок, сравнительно квалифицированная и одновременно дешевая рабочая сила, значительный научно-технический потенциал, огромные природные ресурсы и наличие инфраструктуры, хотя и не слишком развитой. Однако социально-политическая ситуация в стране нестабильна. Хозяйственные законы противоречивы, часто подвергаются изменениям. Высока криминализация и бюрократизация экономики.
Нет ясности с правами собственности (на приватизированные объекты, землю), высока вероятность сильных изменений в экономической политике в целом. Экономика страны находится в состоянии длительного кризиса, сохраняется высокая инфляция, уровень налогов и инвестиционных льгот явно не способствует предпринимательской деятельности.
Все эти причины воздействуют на инвестиционный климат в нашей стране, который оценивается как не очень благоприятный.
Объем накопленных иностранных прямых инвестиций оценивался на начало 1998 г. в Китае (не считая Гонконга) в 217 млрд долл., в Венгрии и Польше по 16, а в России примерно в 10 млрд долл.

Особенности вывоза капитала из России Россия не только ввозит, но и вывозит капитал, в основном в рамках его бегства. Легальное бегство капитала происходит преимущественно в виде роста зарубежных активов российских коммерческих банков, покупки иностранных ценных бумаг и притока иностранной наличной валюты в Россию для ее продажи желающим. Нелегальное бегство капитала складывается из непереведенной из-за рубежа экспортной выручки и предоплаты непоступившего импорта, контрабандного экспорта, а также из формально упущенной выгоды по бартерным операциям.
Ежегодный вывоз капитала из России составляет несколько десятков миллиардов долларов, значительно превосходя ввоз капитала в страну.
Ведущей формой вывоза капитала из России в период 1991 1993 гг. являлся экспорт ссудного капитала в бывшие советские республики. Россия субсидировала их на сумму, составившую около 8% российского ВВП, предоставляя им так называемые технические кредиты для покупки российских товаров и занижая цены на них по сравнению с мировыми. Однако в последние годы государственные кредиты невелики, их роль на себя взяли экспортные кредиты предприятий, а также те поставки товаров в страны члены СНГ, которые часто не полностью оплачиваются и превращаются в задолженность этих стран России.
Вывоз предпринимательского капитала из России относительно невелик. Эти инвестиции преимущественно размещены в Западной Европе в целях создания товаре- и услугопроводящей сети и часто имеют форму оффшорных компаний.
Представляется, что в будущем важнейшим регионом размещения российского капитала могут стать бывшие советские республики, что связано с их особой ролью во внешнеэкономических связях страны. Этому может способствовать и капитализация долга бывших советских республик России, т.е. обмен их долговых обязательств на их собственность. Однако в настоящее время другие страны СНГ не являются таким объектом приложения российского капитала, как оффшорные центры мира, где размещено, по оценке, несколько десятков миллиардов долларов российских инвестиций.
Все российские инвестиции за рубежом оцениваются в 200300 млрд долл.


Выводы 1. Вывоз и ввоз капитала осуществляется всеми странами, хотя и в разных масштабах. Капитал вывозится, ввозится и функционирует за рубежом в частной и государственной, денежной и товарной, краткосрочной и долгосрочной, ссудной и предпринимательской формах. Вывезенный в предпринимательской форме капитал представлен портфельными и прямыми инвестициями.
2. Существуют различные теории международного движения капитала, прежде всего так называемые традиционные; неоклассическая, кейнсианская, марксистская. Особое место занимают концепции ТНК, так как в них много внимания уделено моделям предпринимательских инвестиций. В первую очередь это модели монополистических преимуществ, жизненного цикла продукта, интернализации, марксистская модель прямых инвестиций, эклектическая модель.
3. Фирма направляет прямые инвестиции или на производство товаров и услуг за рубежом, или на организацию там товаре- и услугопроводящей сети, или вывозит капитал в рамках его бегства. Для российских прямых инвестиций характерны два последних направления вывоза капитала.
4. Механизм подготовки и осуществления прямых инвестиций базируется на проектном анализе, но имеет свои особенности. Создание за рубежом фирм и компаний с российским капиталом являлось логическим шагом в освоении зарубежных рынков. Подготовка проекта осуществления прямых инвестиций длительный процесс.
5. Инвестиционным климатом называется ситуация в стране с точки зрения условий для иностранных инвестиций. Инвестиционный климат характеризуется различными инвестиционными рисками: политическим (социально-политическим), финансовым, внешнеторговым и производственным. В России отмечается не очень благоприятный инвестиционный климат.
6. В международном движении капитала Россия участвует весьма специфически. Она активно ввозит ссудный капитал и слабо предпринимательский. Одновременно для России характерны широкие масштабы бегства капитала.


Термины и понятия Международное движение капитала
Прямые инвестиции
Портфельные инвестиции
Интернализация
Бегство капитала
Оффшорная компания
Инвестиционный климат
Инвестиционный риск


Вопросы для самопроверки 1. Создав фирму за рубежом, вы участвовали в международном движении капитала. Но теперь, когда эта фирма работает, ей не требуется приток капитала из России и она не переводит средства в Россию. Участвуете ли вы в международном движении капитала?
2. Вы купили акции «Дженерал моторс». Вывоз ли это капитала из России? Если да, то в какой форме?
А если вы купили облигации этой компании?
3. Чем отличаются отделения, дочерние и ассоциированные компании?
4. Что собой представляет концепция интернализации ТНК?
5. Российские предприниматели основали за рубежом множество так называемых оффшорных компаний. Каков основной мотив создания таких компаний?
6. Можно ли уменьшить уровень риска, создавая компанию за рубежом? Как это можно сделать?
7. Почему считается, что для страны предпочтительнее ввоз предпринимательского. а не ссудного капитала?


































Содействие НИОКР


Что касается величины з а р а б о т н о й п л а т ы, то государство прямо регулирует ее только на предприятиях и в учреждениях, которые к нему относятся. В частном хозяйстве заработная плата определяется на рыночной основе, в зависимости прежде всего от производительности труда и соотношения Между спросом на рабочую силы и ее предложением.
На мелких и средних предприятиях заработная плата устанавливается посредством индивидуальных контрактов и трудовых договоров. Заработная плата той части занятых, которая охвачена профсоюзами, регулируется ежегодными тарифными соглашениями между соответствующими отраслевыми профсоюзами и союзами предпринимателей (государство может оказывать на это лишь консультативное воздействие). Однако следует иметь в виду, что в среднем по странам Запада профсоюзами охвачено лишь около 40% работающих по найму, причем в Западной Европе этот показатель несколько выше (не более 50% в среднем при значительном разбросе по отдельным странам), а в Японии и особенно в США ниже.
Во многих развитых странах законодательство о труде включает в себя установление минимальной заработной платы. Однако на практике оно нередко не выполняется.

Содействие НИОКР
На современном этапе научно-технической революции прочность позиций той или иной страны в мировом хозяйстве решающим образом определяется ее достижениями в области научно-исследовательских и опытно-конструкторских работ (НИОКР). Это в полной мере осознано правящими кругами всех развитых государств. Во всех странах Запада на НИОКР расходуется более 2% ВВП, а в наиболее продвинутых в этой области странах (США, Германия, Франция, Великобритания, Швейцария, Япония) 2% около 3% или даже несколько больше.
Затраты крупнейших концернов (ТНК) на НИОКР, особенно в электротехнической и электронной, химической и автомобильной промышленности, как правило, достигают 812% их оборота и 1520% их совокупных затрат (издержек).
Развертывание НИОКР в подобных масштабах было бы немыслимо без самого активного стимулирующего воздействия государства на этот процесс. Государства Запада влияют на все стороны НИОКР и сам инновационный процесс, поощряя внедрение результатов НИОКР в производство. По отдельным странам с развитой рыночной экономикой государство финансирует (по различным каналам) от 30 до 60%, а в среднем около половины совокупных затрат на НИОКР.
Прежде всего государство играет ключевую роль (особенно в Западной Европе) в финансировании и организации высшего образования; только высокий его уровень может обеспечить эффективное построение системы НИОКР. В Западной Европе университеты и равнозначные им высшие учебные заведения, как правило, принадлежат государству в лице его органов центрального (федерального) или регионального (земельного, кантонального) уровней; в них обычно не взимается плата за обучение. В США преобладают организованные на коммерческой основе университеты; в Японии между частным и государственными университетами существует относительный баланс.
Во всех случаях деятельность частных университетов и прочих вузов четко лицензируется и регламентируется государством.
Государства Запада финансируют подавляющую часть затрат на фундаментальные исследования. Частный капитал лишь частично спонсирует такие исследования через различного рода исследовательские фонды и общества, которые организуются на частно-правовой или публично-правовой основе и имеют смешанные источники финансирования.
Прикладные исследования, разработки, а тем более сам по себе инновационный процесс протекают в рамках фирм, т.е. на микроэкономическом уровне (это касается и исследований для военного производства). Однако они активно стимулируются государством, прежде всего, посредством налоговых льгот (реже прямых субсидий). Одной из разновидностей таких льгот является предоставление права на дополнительные, а периодически и особые амортизационные списания стоимости оборудования, используемого для НИОКР.
Кроме того, государство поощряет особенно активный в инновационном процессе в е н ч у р н ы й ( р и с ко в ы й ) б и з н е с , например, путем создания необходимых для его функционирования технологических парков, т.е. специально обустроенных для НИОКР и инноваций территорий.
Для эффективного осуществления НИОКР в странах с развитой рыночной экономикой государство нередко прибегает к составлению и реализации среднесрочных и долгосрочных программ, о которых речь пойдет ниже.
Таким образом, госрегулирование НИОКР производится на стыке науки, техники, экономики, образования и ряда других сфер общественной жизни и представляет собой весьма сложный и социально значимый феномен.

Экологическое регулирование Госрегулирование экологических процессов в развитых странах также носит комплексный характер. Оно было значительно активизировано и усовершенствовано в середине 70-х гг., когда стало очевидным, что Запад (за исключением отдельных малых стран) оказался в состоянии глубокого экологического кризиса. Этот кризис в основном был преодолен в 8090-е гг. путем создания разветвленной системы экологического госрегулирования, которая «состыкована» с различными направлениями госрегулирования экономики, прежде всего, с государственным воздействием на инвестиции и экономический рост.
Экологическое госрегулирование нацелено на поощрение рационального природопользования, охрану окружающей среды, ограничение и уменьшение нагрузки на нее и предотвращение ее дополнительного загрязнения.
К важнейшим элементам экологического регулирования относится, прежде всего, г о с у д а р с т в е н н о е п о о щ р е н и е (путем субсидий, беспроцентной возвратной финансовой помощи и налоговых льгот) инвестиций в возведение сооружений и производство оборудования, улучшающих состояние окружающей среды. Они направлены на защиту населения от шума (например производимого автомобильным транспортом), уменьшение выбросов в атмосферу и водную среду вредных веществ (диоксида углерода, серы и т.д.), а также нейтрализацию и утилизацию твердых отходов (бытового мусора, стекла, отработанных металлов и пластмасс). При распределении бюджетных средств, предназначенных для стимулирования капиталовложений, инвестиционным проектам с экологической направленностью нередко отдается предпочтение.
Другим элементом является установление и реализация правовых норм, предусматривающих для юридических или физических лиц, допустивших загрязнение окружающей среды, правовую ответственность за это и о б я з а н н о с т ь в о з м е с т и т ь н а н е с е н н ы й у щ е р б государству или соответствующим частным собственникам земельных, лесных, водных и иных угодий (по принципу «платит загрязнитель»). При этом пострадавшая сторона в судебном порядке должна доказать виновность субъекта, подозреваемого в нанесении экологического ущерба, и величину последнего. Это дорогостоящая, сложная, а нередко и малоперспективная процедура.
Важнейшими элементами экологического регулирования во всех странах Запада являются также установление государством в административно-правовом порядке м а к с и м а л ь н о д о п у с т и м ы х н о р м в ы б р о с а («эмиссии») в окружающую среду вредных веществ действующими предприятиями (за превышение таких норм взимаются штрафы до тех пор, пока не будут приняты эффективные меры против этого), а также р а з р е ш е н и я и л и з а п р е т ы на новые инвестиционные проекты в зависимости от того, обеспечат ли они соблюдение указанных экологических норм.
Наконец, еще одним из основных элементов экологического госрегулирования являются так называемые э к о л о г и ч е с к и е н а л о г и. К ним относится, например, сбор на вывоз, хранение и нейтрализацию бытового мусора и прочих отходов бытового или производственного характера. В некоторых странах взимаются сборы за сброс сточных вод в водоемы (Франция, Германия, Нидерланды), «экологические налоги» в аэропортах на посадку «шумных» самолетов (Франция, Япония, Великобритания) и на использование в качестве топлива угля и мазута (Швеция, Норвегия). Получателем «экологических налогов» чаще всего являются не центральные (федеральные), а региональные (земельные) и особенно местные (муниципальные) органы.

Социальные аспекты госрегулирования
Во всех странах Запада государство активно регулирует не только собственно экономику, но и теснейшим, неразрывным образом связанные с ней социальные процессы. При прямом участии государства или, во всяком случае, под его регулирующим и контролирующим воздействием в этих странах в послевоенный период созданы, достаточно эффективно (хотя и не без проблем) функционируют и продолжают развиваться разветвленные системы социального страхования: пенсионного, медицинского и по безработице. Наиболее активно социальная политика проводится в странах Западной Европы.
Так, если в Японии и США в 1995 г. удельный вес всех затрат на социальные нужды в расходах центральных (федеральных) бюджетов составил соответственно 45,2 и 55%, то в большинстве западноевропейских стран 60% и более, а во Франции и Австрии даже 72,55 и 77,8%.


Внешнеэкономическое регулирование Внешнеэкономическое госрегулирование воздействует на все важнейшие аспекты внешнеэкономической деятельности развитых стран: их участие в международной торговле товарами и услугами, миграции капитала и рабочей силы, а также валютно-расчетные отношения.



Состав государственной собственности


Более того, на первоначальном этапе рыночной трансформации отмечалась и прямая дискриминация государственных предприятий. Так, в России в ходе массовой приватизации и сразу после нее власти неоднократно заявляли, что государственная поддержка (государственные гарантии под кредиты, участие в крупных инвестиционных проектах под патронажем государства) может быть предоставлена в первую очередь приватизированным предприятиям.
В Польше государственные предприятия с помощью дискриминирующей системы налогов были сознательно поставлены в худшее положение по сравнению с частными. Независимо от их реального экономического состояния государственным предприятиям отказывали в инвестиционных кредитах, налог на капитал изымался без учета рентабельности и требований восстановления основных фондов. И лишь впоследствии на основании закона о коммерциализации (1997 г.) государственные предприятия были уравнены с частными.
Получилось так, что «пасынками» для государства стали именно те предприятия, в которых ему принадлежал либо весь капитал, либо его значительная часть. При таком отношении к собственным капиталам государство не только постоянно недополучало свои законные бюджетные доходы от дивидендов на госпакеты акций и от передачи таких пакетов в трастовое управление, но и несло прямые убытки от неэффективного управления акционерными обществами с государственным участием. Так, из 3500 госчиновников, входивших в советы директоров российских АО в конце 1997 г., 80% составляли сотрудники федеральных министерств и ведомств, индифферентное или, что значительно хуже, «заинтересованное» поведение которых по отношению к АО развязывало руки менеджменту компаний, позволяя ему игнорировать интересы государства, накапливать долги, размывать госдолю путем несанкционированных дополнительных эмиссий.

Состав государственной собственности и особенности управления ею
Вопрос о сравнительной эффективности государственных и приватизированных предприятий в переходной экономике является весьма спорным. Достоверных и однозначных аргументов для предпочтения того иди иного организационно-правового статуса предприятия просто не существует. И это проблема не только переходной экономики.
В условиях нормально функционирующего рынка в странах Запада в принципе тоже не доказано, что приватизация государственных предприятий приводит к росту их эффективности.
Масштабное сокращение госсектора в развитых странах в 80-х гг. в основном преследовало цель устранения чрезмерной бюрократизации управления госпредприятиями, постоянного и бесконтрольного вмешательства в экономику государственного чиновничества. Что же касается эффективности работы предприятий, особенно крупных, то в современных условиях она зависит скорее не от «инстинкта собственника», а от качества, профессионализма управления, т.е. от уровня менеджмента и способности собственника контролировать результаты его деятельности. Это же в полной мере относится и к трансформирующейся экономике постсоциалистических стран.
В переходной экономике опыт преобразования государственных предприятий в АО с различными объемами государственных пакетов акций позволяет сделать, по крайней мере, два принципиальных вывода.
Во-первых, во всех странах с переходной экономикой возобладало мнение, что сохранять в руках государства целесообразно только пакеты, обеспечивающие ту или иную степень контроля в управлении компанией. Обычно это не менее 2530% капитала АО, что позволяет государству участвовать в управлении, но не ограничивать при этом жестко права частных инвесторов. В иных случаях целесообразно сохранить в руках государства более крупные, нередко контрольные пакеты акций. Есть и АО со 100% государственного капитала.
Как правило, крупные государственные пакеты необходимы в так называемых стратегически важных отраслях и производствах, где сильный государственный контроль рассматривается как решающий фактор экономической безопасности страны. Так, Мингосимущество России относит к стратегически важным три группы АО:
1) предприятия, работающие в сфере естественных монополий как общероссийского, так и регионального значения (РАО «Газпром», РАО «ЕЭС России»);
2) предприятия, занимающие доминирующее положение на том или ином товарном рынке и требующие целенаправленной реструктуризации для создания конкурентной среды (значительная часть региональных предприятий обрабатывающей промышленности);
3) предприятия, акции которых используются для создания интегрированных образований (например, холдингов, вертикально интегрированных компаний и т.п.), необходимых для реализации государственной структурной политики в некоторых отраслях экономики, например, в оборонной промышленности, транспорте. Примет ром могут служить также предприятия, входящие в вертикальные нефтяные компании, во многие финансово-промышленные группу.
Во-вторых, в любой стране с переходной экономикой имеются отрасли и производства, которые традиционно являются объектом безусловной монополии государства. В России к таковым обычно относят водные ресурсы, воздушный бассейн, недра, леса и другие природные богатства, а также транспортные магистрали, единые энергетические системы, памятники культуры и искусства, государственные золотовалютные резервы и пр. Правда, нередко возникают существенные разногласия в подходах к приватизации некоторых функций государства и объектов государственной собственности образования, здравоохранения, страхования, социального обеспечения, культуры.
Особняком стоит вопрос о земле, приватизация которой в переходный период допускается не во всех странах. В большинстве стран с переходной экономикой пока нет развитого рынка земли. Купля-продажа ее, как правило, жестко регулируется государством. Обычно не допускается продажа земли иностранным физическим и юридическим лицам. В том случае, когда сделки купли-продажи допускаются, земля не может быть перепродана в течение определенного длительного времени (например, в Румынии в течение десяти лет).
Тем не менее идет постепенная приватизация земель сельскохозяйственного назначения с использованием разнообразных методов от возврата земель прежним владельцам (реституция) до передачи в собственность или длительную аренду земельных наделов членам бывших сельскохозяйственных кооперативов. Так, в Чехии к 1997 г. было приватизировано более 80% государственных земель, в Болгарии более 50%.
Особой проблемой структуры государственного сектора является государственная собственность на банковские финансовые организации. В России большинство коммерческих банков с самого начала реформы были частными, а государство держало контроль лишь в таких ключевых финансовых структурах, как Сбербанк, Внешэкономбанк. Восточноевропейские страны с приватизацией банков не спешили, и вопрос об этом встал лишь после практического завершения приватизации в реальном секторе.
В приватизации банков ставка делалась на крупного иностранного инвестора, причем права иностранного банковского капитала жестко регулируются государством. В Китае медленные реформы в государственном секторе промышленности явились причиной того, что главные банки продолжают оставаться в государственной собственности и кредитовать госпредприятия, хотя в целом они стали больше уделять внимания рискам и доходам, сокращать поддержку ненадежных заемщиков.

Масштабы государственного сектора
По мере завершения реорганизации традиционных государственных предприятий в условиях перехода к рынку и, главное, преодоления трансформационного спада могут изменяться подходы к размеру и составу государственного сектора экономики. В Польше, например, считают, что после начала устойчивого экономического роста уже не существует объективных причин для исключения каких-либо отраслей и предприятий из процессов приватизации. Сокращение государственного влияния и контроля рассматривается как предпосылка притока крупных инвестиций в энергетику, угле- и газодобычу, транспорт и другие сектора инфраструктуры, а также повышения конкурентоспособности на мировых рынках.
Оценки необходимых масштабов госсектора формировались в странах с переходной экономикой в условиях столкновения и борьбы различных точек зрения, на фоне политического противостояния в обществе. Например, в Венгрии острые дискуссии о судьбе так называемого твердого ядра экономики, т.е. стратегически важных крупных предприятий, не только сильно затянули принятие новой версии закона о приватизации (1995 г.), но и обусловили внесение в него ряда компромиссных положений. В конечном итоге перспектива привлечения иностранных инвестиций перевесила доводы о сохранении под государственным контролем наиболее известных предприятий национальной экономики.
Так же сложилась и в Армении судьба знаменитого Ереванского коньячного завода, который в течение нескольких лет был закрыт для приватизации как элемент национального достояния страны, а затем все же был продан иностранному инвестору.
Опыт функционирования государственного сектора переходной экономики в большинстве стран показал, что государство, как и любой другой собственник, может выполнять свои функции недостаточно эффективно. Последовательной политики государства по отношению к остающемуся в его собственности имуществу нет практически ни в одной стране, и действия государства направлены на решение отдельных очевидных проблем. В России эти проблемы можно свести в две группы. .



Современной рыночной системе присущи различные модели.


повышение внимания к окружающей среде, прежде всего через переход к устойчивому развитию, т.е. ограничивающему безоглядное использование природных ресурсов;
гуманизация (социализация) экономики, в результате чего главным объектом приложения инвестиций, а также расходов бюджета становится сам человек («человеческий потенциал»);
информатизация общества, вследствие чего в мире постоянно увеличивается численность производителей знаний (занятых в науке и научном обслуживании), их распространителей (информационных сетей, учебных заведений, инновационных фирм) и потребителей (все общество);
ренессанс малого бизнеса, прежде всего из-за быстрого обновления и высокой дифференциации выпускаемой продукции;
глобализация хозяйственной деятельности, в результате которой для заметного числа фирм мир стал единым рынком, для многих фирм единым рынком стал их регион земного шара, для еще большего числа компаний экспорт и импорт продукции и экономических ресурсов стал не эпизодической, а систематической операцией.

Традиционная экономическая система Отличительные особенности традиционной экономической системы таковы: крайне примитивная технология, в первую очередь связанная с первичной обработкой природных ресурсов, преобладание ручного труда. Все ключевые экономические проблемы решаются в соответствии с освященными веками обычаями, религиозными, племенными и даже кастовыми традициями. Организация и управление экономической жизнью осуществляются на основе решений совета старейшин, предписаний вождей или феодалов.
В настоящее время традиционная экономическая система сохранилась в некоторых наиболее отсталых странах Азии и Африки, хотя ее элементы сохраняются и в странах среднего уровня развития.

Административно-командная система (централизованная,плановая, коммунистическая)
Эта система господствовала ранее в СССР, странах Восточной Европы и ряде азиатских государств.
Характерными чертами административно-командной системы являются общественная (а в реальности государственная) собственность практически на все экономические ресурсы, сильная монополизация и бюрократизация экономики, централизованное, директивное, экономическое планирование как основа хозяйственного механизма.
Хозяйственный механизм административно-командной системы имеет ряд особенностей. Он предполагает, во-первых, непосредственное управление всеми предприятиями из единого центра высших эшелонов государственной власти, что сводит на нет самостоятельность хозяйственных субъектов. Во-вторых, государство полностью контролирует производство и распределение продукции, в результате чего исключаются свободные рыночные взаимосвязи между отдельными предприятиями.
В-третьих, государственный аппарат руководит хозяйственной деятельностью с помощью преимущественно административно-командных (директивных) методов, что подрывает материальную заинтересованность в результатах труда.
При чрезмерной централизации исполнительной власти развивается бюрократизация хозяйственного механизма и экономических связей. По своей природе бюрократический централизм не способен обеспечить рост эффективности хозяйственной деятельности. Дело здесь прежде всего в том, что полное огосударствление хозяйства вызывает невиданную по своим масштабам монополизацию производства и сбыта продукции.
Гигантские монополии, утвердившиеся во всех областях народного хозяйства и поддерживаемые министерствами и ведомствами, при отсутствии конкуренции не заботятся о внедрении новинок техники и технологии. Для порождаемой монополизмом дефицитной экономики характерно отсутствие нормальных материальных и людских резервов на случай нарушения сбалансированности народного хозяйства.
В странах с административно-командной системой решение ключевых экономических задач имело свои специфические особенности. В соответствии с господствовавшими идеологическими установками задача определения объема и структуры продукции считалась слишком серьезной и ответственной, чтобы передать ее решение непосредственным производителям промышленным предприятиям, колхозам и совхозам. Поэтому структура общественных потребностей определялась центральными плановыми органами.
Однако поскольку детализировать и предвидеть изменение общественных потребностей в таких масштабах принципиально невозможно, эти органы руководствовались преимущественно задачей удовлетворения минимальных потребностей.
Централизованное распределение материальных благ, трудовых и финансовых ресурсов осуществлялось без участия непосредственных производителей и потребителей. Оно происходило в соответствии с заранее выбранными как «общественные» целями и критериями, на основе централизованного планирования. Значительная часть ресурсов в соответствии с господствовавшими идеологическими установками направлялась на развитие военно-промышленного комплекса.
Распределение созданной продукции между участниками производства жестко регламентировалось центральными органами посредством повсеместно применяемой тарифной системы, а также централизованно утверждаемых нормативов средств фонда заработной платы. Это вело к преобладанию уравнительного подхода к оплате труда.
Нежизнеспособность этой системы, ее невосприимчивость к достижениям НТР и неспособность обеспечить переход к интенсивному типу экономического развития сделали неизбежными коренные социально-экономические преобразования почти во всех социалистических (коммунистических) странах. Стратегия экономических реформ в этих странах определяется законами развития мировой цивилизации, в результате чего с большей или меньшей скоростью там строится современная рыночная экономика.

Модели в рамках систем Для каждой системы характерны свои национальные модели организации хозяйства, так как страны различаются своеобразием истории, уровнем экономического развития, социальными и национальными условиями. Так, для административно-командной системы характерны советская модель, китайская модель и др. Современной рыночной системе также присущи различные модели.
Изучение этих моделей имеет практическое значение для разработки модели развития России. При этом речь идет не о копировании чужого опыта, а о творческом его использовании с учетом конкретных условий, сложившихся в нашей стране.
Рассмотрим наиболее известные национальные модели.
Американская модель построена на системе всемерного поощрения предпринимательской активности, обогащения наиболее активной части населения. Малообеспеченным группам создается приемлемый уровень жизни за счет различных льгот и пособий. Задачи социального равенства здесь вообще не ставятся.
Эта модель основана на высоком уровне производительности труда и массовой ориентации на достижение личного успеха. В целом для американской модели характерно государственное воздействие, направленное на поддержание стабильной конъюнктуры и экономического равновесия.
Шведская модель отличается сильной социальной политикой, ориентированной на сокращение имущественного неравенства за счет перераспределения национального дохода в пользу наименее обеспеченных слоев населения. Здесь в руках государства находится всего 4% основных фондов, зато доля государственных расходов в 90-х гг. составила свыше 50% от ВВП, причем более половины этих расходов направляется на социальные нужды. Естественно, это возможно только в условиях высокого налогообложения, Особенно физических лиц.
Такая модель получила название «функциональная социализация», означающая, что функция производства ложится на частные предприятия, действующие на конкурентной рыночной основе, а функция обеспечения высокого уровня жизни (включая занятость, образование, социальное страхование) и многих элементов инфраструктуры (транспорт, НИОКР) да государство.
Социальное рыночное хозяйство ФРГ. Эта модель формировалась на основе ликвидации концернов гитлеровских времен и предоставления всем формам хозяйства (крупным, средним, мелким) возможности устойчивого развития. При этом особым покровительством пользуются так называемые миттельштанд, т.е. мелкие и средние предприятия, фермерские хозяйства.
Государство активно влияет на цены, пошлины, технические нормы. Лежащий в основе этой системы рынок обнаружил свое преимущество в использовании побудительных стимулов к высокоэффективной хозяйственной деятельности.
Японская модель характеризуется определенным отставанием уровня жизни населения (в том числе уровня заработной платы) от роста производительности труда. За счет этого достигается снижение себестоимости продукции и резкое повышение ее конкурентоспособности на мировом рынке. Такая модель возможна только при исключительно высоком развитии национального самосознания, приоритете интересов нации над интересами конкретного человека, готовности населения идти на определенные жертвы ради процветания страны.
Еще одна особенность японской модели развития связана с активной ролью государства в модернизации экономики, особенно на ее начальной стадии.
Южнокорейская модель имеет много общего с японской. Это, в частности, относится к особенностям психологического склада населения страны, его высокому трудолюбию и ответственному отношению к своим обязанностям, базирующимся на нравственных нормах конфуцианства. Общим для обеих моделей является и активное участие государственных органов в перестройке экономики.
В целях ее ускоренной модернизации широко используются налоговая, тарифная и валютная политика. Длительное время существовал контроль над ценами на ресурсы и широкий круг товаров производственного и потребительского назначения. Сложившаяся в Южной Корее система государственного регулирования экономики способствует повышению конкурентоспособности южнокорейских товаров на мировом рынке.



Специфика российских реформ


В Китае и Вьетнаме рыночные преобразования проявились прежде всего в создании предприятий нового частного сектора вместо приватизации уже существующих государственных предприятий, постепенной или одномоментной либерализации цен и мягком демонтаже планового регулирования при сохранении в руках государства основных финансовых рычагов.
4. Специфика российских реформ В России исходные условия для перехода к рынку складывались гораздо менее благоприятно, чем в странах ЦВЕ, по причине огромных структурных диспропорций между базовыми (топливно-энергетический и металлургический комплексы) и обрабатывающими отраслями, высокой милитаризации экономики, длительности существования административно-командной системы, отсутствия в обществе традиций рыночной экономики и частной собственности, сильного влияния уравнительно-коллективистской психологии, шока от распада единого хозяйственного комплекса СССР. Уже в силу этих факторов переходный период не может не быть более длительным и болезненным, чем в странах ЦВЕ или Восточной Азии.
Для рыночных реформ в России характерно использование в самом их начале (19921993 гг.) радикального варианта преобразований. Это выразилось в проведении в кратчайшие сроки приватизации преобладающей части государственной собственности без учета эффективности этой меры, а также в форсированном переходе к открытой экономике. Однако радикальные реформы затем уступили место эволюционному развитию рыночных отношений в 19941998 гг.
В ходе рыночных реформ в России в целом имело место постоянное сочетание мер «шоковой терапии» с мерами постепенных преобразований.
С точки зрения характера проводимых преобразований в России преобладали институциональные реформы (преобразование собственности, формирование рыночной инфрастуктуры и т.д.) при явной недооценке промышленной политики и других мер, направленных на возобновление экономического роста и перестройку отраслевой структуры народного хозяйства. За период 1992 1998 гг. Россия прошла начальный этап преобразований, в течение которого удалось снизить инфляцию, в значительной мере провести либерализацию экономики, приватизировать преобладающую часть государственной собственности, создать основные правовые и организационные институты рыночной экономики.
Для России характерна ярко выраженная неравномерность проведения рыночных реформ в различных сферах и отраслях экономики. Дальше всего зашло формирование рыночных институтов в финансовом секторе, а в реальном секторе адаптация к рыночным условиям происходит крайне медленно.


Выводы 1. Переход от административно-командной экономики к рыночной означает коренное преобразование всей системы экономических отношений (форм собственности, распределения ресурсов, связей между экономическими агентами и т.д.).
2. Переход к рынку осуществляется по следующим главным направлениям: а) либерализация экономики (отмена или резкое сокращение запретов и ограничений во всех сферах хозяйственной деятельности); б) институциональные преобразования (изменение отношений собственности, становление новых субъектов хозяйственной деятельности, создание новых формальных и неформальных правил хозяйствования); в) структурные преобразования (перестройка структуры народного хозяйства с целью удовлетворения платежеспособного спроса); г) формирование адекватной рыночному хозяйству системы социальной защиты населения.
3. Практика продемонстрировала два пути преобразования административно-командной экономики в рыночную: эволюционный (постепенное создание рыночных институтов) и радикальный («шоковая терапия»). В действительности почти все страны с переходной экономикой используют те или иные элементы как эволюционного, так и радикального пути.
4. Опыт стран с переходной экономикой показал, что не что не столько изменение формы собственности (приватизация), сколько изменение условий (создание конкурентной среды) определяет экономический рост и эффективность управления предприятиями.


Термины и понятия Переходная экономика
Либерализация
Приватизация
Системные реформы
Рыночная инфрастуктура
Эволюционный путь перехода к рыночной экономике
Радикальный путь перехода к рыночной экономике («шоковая терапия»)
Институциональные преобразования
Финансовая стабилизация
Демонополизация экономики


Вопросы для самопроверки 1. В чем состоят сильные и слабые стороны китайского пути к рыночной экономике?
2. Почему в России оказался невозможным китайский вариант перехода к рыночной экономике?
3. Какой вариант перехода от административно-командной к рыночной экономике выберет скорее всего руководство страны, если в ней: тяжелая промышленность представлена лишь несколькими крупными предприятиями; 80% активного населения занято в сельском хозяйстве, в экспорте преобладают кофе и цитрусовые?
4. Какими проблемами в переходной экономике должно заниматься государство: а) оказывать помощь предприятию, находящемуся в тяжелом финансовом положении; б) определять круг товаров и услуг, необходимых для государственных нужд?
5. Назовите действия, присущие радикальному пути перехода к рынку (возможно несколько ответов): а) реформы начинаются в сельском хозяйстве; б) либерализация цен распространяется на преобладающую часть товаров и услуг на начальном этапе реформ; в) одномоментная ликвидация централизованного планирования; г) государство непосредственно занимается производством товаров.
6. Главными задачами перехода от административно-командной к рыночной системе являются при всех вариантах (возможно несколько ответов): а) ликвидация государственного контроля над ценами и тарифами; б) приватизация значительной части государственного сектора экономики; в) введение государственной монополии внешней торговли; г) свобода частного предпринимательства.
7. Какие формы преобразования собственности характерны для реформ в Китае: а) ваучерная приватизация; б) реституция (возвращение национализированной собственности); в) акционирование госпредприятий?
8. Назовите отличительную черту реформ в странах членах СНГ и Восточной Европы по сравнению с Китаем: а) приватизация; б) стимулирование частного предпринимательства; в) переход к открытой экономике.



















































Специфика рынка труда


Ни один из перечисленных выше подходов не дает полного и адекватного представления о механизме функционирования рынка рабочей силы, хотя они и отражают отдельные его элементы.

Специфика рынка труда
Представляется, что рассматриваемые концепции, дополняя друг друга, дают общую картину функционирования рынка труда.
Этот рынок, подчиняясь в целом законам спроса и предложения, по многим принципам своего функционирования представляет собой специфический рынок, имеющий ряд существенных отличий от других товарных рынков. Здесь регуляторами являются факторы не только макро- и микроэкономические, но и социальные и социально-психологические, отнюдь не всегда имеющие отношение к цене рабочей силы заработной плате.
В реальной экономической жизни на динамику рынка труда оказывает влияние целый ряд факторов. Так, предложение рабочей силы определяется в первую очередь демографическими факторами: уровнем рождаемости, темпами роста численности трудоспособного населения, его половозрастной структурой. В России среднегодовые темпы прироста численности населения резко сократились: примерно с 1% в 7080-х гг. до минусовых значений в 90-х гг.
Помимо демографического важным фактором динамики рынка труда является степень экономической активности различных демографических и этнических групп трудоспособного населения, рассчитываемая как отношение численности занятых и безработных к общей численности трудоспособного населения в данной группе. В России, например, за период реформ 1993 1998 гг. уровень экономической активности женщин снизился во всех возрастных группах (следует иметь в виду, что он был практически максимально возможным), в том числе в группе 25 49 лет-с 90 до 84%.
Серьезное влияние на динамику рабочей силы оказывают процессы иммиграции. Влияние иммиграции на рынок труда России растет: только за 19901997 гг. из бывших советских республик в Россию въехало более 6,5 млн человек.
Со стороны спроса главным фактором, оказывающим влияние на динамику занятости, является состояние экономической конъюнктуры, фаза экономического цикла. Помимо этого серьезное влияние на потребность в рабочей силе оказывает научно-технический прогресс.

Особенности российского рынка труда Еще совсем недавно рабочая сила в нашей стране не рассматривалась в качестве товара. Несомненно, однако, что в реальной жизни, не очень сопряженной с политэкономическими представлениями, миллионы людей вступали и вступают в отношения найма. Но несомненно и то, что рынок труда в нашей стране отягощен многочисленными диспропорциями, придающими ему большое своеобразие.
Прежде всего это наличие административных, правовых и экономических ограничений, все еще препятствующих свободной продаже рабочей силы на наиболее выгодных условиях для большинства работников. Это и наличие регистрации, формально заменившей прописку, и отсутствие реального рынка жилья при его огромном дефиците, и неразвитость механизмов государственного регулирования и социальной поддержки в сфере занятости.
Другой особенностью российского рынка труда является высокая доля работников, совмещающих работу в нескольких местах. Данные, существующие на сей счет, противоречивы, однако, по оценкам, доля таких работников в совокупной занятости в конце 90-х гг. была не менее 15% (в США в 1997 г. 6%). Подобная ситуация нередка для небогатых стран с относительно образованной рабочей силой.
Главной особенностью российского рынка труда является то, что, как и в советские времена, в стране по-прежнему существует в больших масштабах скрытая безработица, т.е. большой избыток на предприятиях работников, которые используются крайне нерационально, но уволить их сложно по различным социальным причинам. Определенное представление о масштабах этого явления дают сведения о численности работников, переведенных на неполный рабочий день и отправленных в отпуска (часто неоплачиваемые) по инициативе администрации. Так, только в декабре 1997 г. число таких работников составляло 4,1 млн человек, или 9,2% от среднесписочной численности занятых.
Наконец, рынок труда в России несбалансирован. Большинство регионов страны за 90-е гг. стали трудоизбыточными. Так, в целом ряде областей и республик России в 1997 г. предложение рабочей силы в десятки, а то и в сотни раз превышало спрос на нее (в Эвенкийском автономном округе в 636 раз, в Республике Тыва в 352, в Ингушетии в 278, в Калмыкии в - 106, в Архангельской области в 85, в Республике Алтай в 65).
В то же время в Москве ощущается нехватка рабочей силы, особенно квалифицированных рабочих некоторых специальностей.
Несмотря на все эти трудности, можно надеяться, что с нынешним квазирынком достаточно скоро будет покончено. В 1997 г. на долю негосударственного сектора экономики уже приходилось 72,6% общей численности занятых. В обстановке конкуренции предприятия будут стремиться к оптимизации состава и численности работников в свою очередь, работники получат возможность поиска работы на наиболее выгодных условиях.
Все это, однако, может быть реализовано только при создании подлинно конкурентной среды на основе приватизации, при отмене регистрации, препятствующей свободному передвижению рабочей силы, при создании рынка жилья и действенной системы содействия найму.
2. Сегментация рынка труда. Структура рабочей силы Большинство исследователей приходят к выводу о двойственности современного рынка труда, где функционируют по крайней мере два не конкурирующих друг с другом рынка рабочей силы, или два сегмента единого рынка рабочей силы. Наиболее упрощенная формула этой сегментации наличие двух независимых друг от друга рынков рабочей силы, основанных на профессионально-квалификационном делении занятых.

Основные сегменты рынка труда Один рынок охватывает рабочие места специалистов с высшим образованием, управляющих и администраторов всех звеньев, высококвалифицированных рабочих. Это высокооплачиваемые группы рабочей силы, имеющие высокий уровень квалификации, надежные гарантии занятости. К нему также относятся рабочие места техников, административно-вспомогательного персонала и работников средней квалификации.
Другой рынок охватывает рабочие места, как правило, не требующие специальной подготовки и значительной квалификации. Их занимают работники обслуживания (к ним относят поваров, официантов, медицинский обслуживающий персонал, полицейских, пожарников, прислугу, уборщиков и т.д.), неквалифицированные рабочие, низшие категории служащих.
Первый рынок характеризует высокая мобильность рабочей силы, высокий уровень оплаты труда, широкие возможности для профессионального роста, значительная конкуренция за рабочие места, второй высокий уровень безработицы и текучести кадров, слабые карьерные перспективы.

Понятие рабочей силы и занятых По статистике к рабочей силе в развитых странах, в том числе и в России, относят всех занятых (включая военнослужащих) и безработных. Синонимом понятия является категория «экономически активное население». В статистике под ней обычно подразумевается гражданская рабочая сила, т.е. за исключением военнослужащих.
Занятыми в России являются лица обоего пола, которые в рассматриваемый период:
выполняли работу по найму за вознаграждение на условиях полного либо неполного рабочего времени, а также приносящую доход работу не по найму самостоятельно или с компаньонами как с привлечением, так и без привлечения наемных работников;
выполняли работу без оплаты на семейном предприятии;
временно отсутствовали на работе из-за болезни, ухода за больными, ежегодного отпуска или выходных дней, обучения, учебного отпуска, отпуска без сохранения или с частичным сохранением содержания по инициативе администрации, забастовки, других подобных причин.
Все занятые подразделяются на работающих полную и неполную рабочую неделю. В США, например, к первой категории относятся лица, проработавшие 35 ч и более в течение недели, а ко второй проработавшие от 1 до 34 ч в неделю. Исходя из этого применяются различные показатели занятости: общая численность занятых, численность занятых в пересчете на полный рабочий день, отработанные за определенный период человеко-часы.
В наиболее развитых странах с рыночной экономикой наемные работники составляют в среднем около 90% всей рабочей силы. Такой же процент их и в России. Определенную часть рабочей силы составляют так называемые самостоятельные работники, являющиеся в своей массе мелкими предпринимателями, не использующими, как правило, наемный труд, и многие лица свободных профессий (адвокаты, журналисты, писатели, художники, врачи и другие, не работающие по найму).


Отраслевая и профсссионально-квалификационная структура
В изменениях, происходящих в отраслевой структуре рабочей силы развитых стран в последние десятилетия, прослеживаются две важнейшие тенденции: резкое сокращение численности занятых в сельском хозяйстве и существенное увеличение их в сфере услуг в связи с ее расширением и превращением в ведущую сферу приложения общественного труда. Так, занятость в сельском хозяйстве США сократилась с 6,5 млн человек в 1955 г. до 3,4 млн человек в 1997 г., а в сфере услуг возросла с 30,1 млн человек в 1955 г. до 96,5 млн человек в 1997 г., составив 74,2% от общего числа занятых. В 70-90-х гг. происходил также ускоренный рост занятости в наукоемких отраслях экономики.
Здесь занятость растет в два раза быстрее, чем в промышленности в целом.



Способ снижения риска - страхование.


В практике рыночных отношений различают добросовестную и недобросовестную конкуренцию. Добросовестная конкуренция это такая, при которой соблюдаются правовые и этические нормы взаимоотношений с партнерами. Под недобросовестной конкуренцией понимаются технический шпионаж, подкуп работников конкурента, ложная реклама, самовольное использование чужого товарного знака, копирование внешнего оформления товара другой фирмы и т.п.
5. Экономическая неопределенность и риски Добиться желаемого результата в конкурентной борьбе весьма непросто. Как отмечал И. Шумпетер, успех в предпринимательской деятельности требует большой выносливости, наличия особых способностей, которые присущи лишь небольшой части населения. «Романтика прежних коммерческих авантюр отходит в прошлое, поскольку многое из того, что прежде могло дать лишь гениальное озарение, сегодня можно получить в результате строгих расчетов»'.


Шумпетер Й. Капитализм, социализм и демократия. М., 1995. С. 184.


Но самые строгие расчеты еще не гарантия успеха. Любая хозяйственная деятельность связана с неопределенностью, т.е. ситуацией, при которой неизвестно, как будут развиваться предстоящие события. Например, неизвестна степень колебания цен, размер ожидаемого дохода.
Неопределенность ситуация, не поддающаяся оценке, усложняющая выбор вариантов, поведение участников хозяйственной деятельности. Если вероятность ожидаемого события неизвестна, оно может развиваться и наступить различными способами, т.е. имеет место неопределенность. Нередко конечный итог в целом известен, но неизвестны сроки, отклонения от прогнозируемого варианта, непредвиденные последствия.
В условиях неопределенности принятие хозяйственных решений подвержено риску. Риск это оценка вероятности ожидаемого события. Она не может быть абсолютно точной. Хозяйственная деятельность связана с риском отклонений от проведенных оценок и расчетов, с риском неудач, потерь, неожиданного изменения конъюнктуры. Открытие собственного дела, участие в инвестиционном проекте, приобретение пакета акций все эти действия связаны с риском.
Он разнообразен, поэтому часто, говоря о риске, подразумевают различные виды его или риск в различных сферах.
Каким видом бизнеса заняться, что и в каком размере производить, куда вложить свободные деньги? При решении этих и других подобных вопросов приходится учитывать множество противоречивых факторов, перебирать бесчисленные варианты. А степень вероятности оптимального выбора, как правило, невелика.
Риск в условиях неопределенности неизбежен, он предполагает и вероятность события, и степень отклонения от ожидаемого результата. Допустим, у владельца акций имеется один шанс из десяти на выигрыш от повышения курса. Размер выигрыша или потерь при том же соотношении шансов может быть весьма различен это зависит от колебаний курса и количества приобретенных акций.
Отношение к риску различно. Люди стремятся свести неопределенность до минимума. Каждый, кто занимается предпринимательской деятельностью, берет на себя определенную долю риска.
Вместе с тем он стремится уменьшить степень риска, точнее прогнозировать ситуацию, застраховаться от возможных убытков.
Итак, риск связан с элементом неопределенности, которая так или иначе отражается на поведении экономических агентов и результатах хозяйственной (экономической) деятельности. Особое значение проблема риска приобретает в таких сферах деятельности, как инвестирование, страхование, кредит.
Вложение средств в производство, ценные бумаги с целью извлечения дохода предполагает оценку ожидаемой рентабельности операции. Процесс страхования предполагает возмещение возможных убытков. Страхование риска предполагает, с одной стороны, возможность статистической оценки вероятности потерь, а с другой возможность со стороны страховщика компенсации определенного количества рисков.
Кредитный риск узловая проблема управления банковской деятельностью, определения платежеспособности дебитора, организации системы гарантий, обеспечения полноты и объективности информации.
Существуют различные способы снижения риска в условиях неопределенности. Довольно широко используется принцип диверсификации разностороннего и многообразного размещения средств. Приобретаются, например, ценные бумаги многих компаний, занятых в различных областях; инвестор вкладывает средства в различные активы, обладающие разной доходностью и степенью риска. Одним из способов снижения риска является страхование.
Существует развитая система страхования банковских операций: передача должником имущества в залог; поручительство другого лица; развитие технических средств предоставления кредита.
Изучение и принятие решений в рыночной экономике основано на выборе. Детальность информации и разнообразие активов обеспечивает широту выбора. Однако это лишь предпосылки его надежности, снижения степени риска.
Универсальных правил принятия оптимальных решений не существует.
6. Несовершенства рынка Функции рынка делают его в принципе весьма эффективной системой. Однако это не означает, что рыночные отношения являются полностью совершенными и обеспечивают прогрессивное развитие экономики. Обособление экономических агентов, неполное совпадение их интересов, а зачастую и антагонизм неизбежно ведут к обострению многих противоречий.
В основном несовершенства рынка связаны с отклонением от условий, обеспечивающих совершенную конкуренцию. К тому же рыночная экономика оказывается неспособной обеспечить производство важных благ или создает их в недостаточных объемах.
В чем же проявляются несовершенства, или, как их нередко называют, «провалы» рынка?
1. Рынок не способен противостоять монополистическим тенденциям. В условиях рыночной стихии неизбежно возникают монополистические структуры, ограничивающие свободу конкуренции. При бесконтрольности рыночной среды формируются и укрепляются монополии.
Создаются неоправданные привилегии для ограниченного круга субъектов рынка.
Чтобы поддержать чрезвычайно высокие цены, монополисты искусственно сокращают производство. Это вызывает необходимость регулирования цен, скажем, на продукцию сырьевых монополий, электроэнергию, транспорт.
2. Рынок не заинтересован и не способен производить общественные блага («общественные товары»). Эти товары либо вообще не производятся рынком, либо поставляются им в недостаточном количестве.
Особенность общественных товаров состоит в том, что ими может пользоваться каждый, но не обязан за них платить. К тому же обычно нельзя ограничить их использование.
Дорожными знаками, регулирующими правила движения, обязаны пользоваться все во избежание нежелательных последствий. Вакцинация должна охватывать всех жителей, иначе не удастся исключить инфекционных заболеваний. Общественные блага это неконкурентные товары и услуги, доступные практически каждому.
Общественные блага бесплатны для потребителя, но не бесплатны для общества. Производство «бесплатных» благ связано с издержками, которые не способен нести рынок.
Рынок не может решить проблему производства благ для общественного пользования, ибо нельзя ограничить их потребление, согласовать издержки с «полезностью», устранить неизбежные коллизии (например, проблему «безбилетника», определение категорий пользователей). Удовлетворение нужд общества, не связанных непосредственно с бизнесом, предполагает создание соответствующей институциональной структуры, непосредственное участие государства (см. гл. 26).
3. Рыночный механизм непригоден для устранения внешних (побочных) эффектов. Экономическая деятельность в условиях рынка затрагивает интересы не только непосредственных его участников, но и других людей. Ее последствия нередко носят негативный характер.
По мере роста общественного богатства проблема внешних эффектов становится все более острой. Увеличение количества автомобилей в пользовании сопровождается загрязнением воздуха. Целлюлозно-бумажные комбинаты отравляют водные источники.
Широкое применение химических удобрений делает продукты питания непригодными для употребления.
Сам рынок не способен устранить или компенсировать ущерб, наносимый внешними эффектами. Соглашение между заинтересованными сторонами без внешнего вмешательства может быть достигнуто лишь в редких случаях, когда отрицательный эффект незначителен (см. гл. 7).
На практике при возникновении серьезных проблем необходимо вмешательство государства. Оно вводит жесткие нормативы, ограничения, использует систему штрафов, определяет границы, которые не вправе переступить участники хозяйственной деятельности.
4. Рынок не обладает способностью обеспечивать социальные гарантии, нейтрализовать чрезмерную дифференциацию в распределении доходов. Рынок по своей природе игнорирует социальные и этические критерии, т.е. справедливость при распределении ресурсов и доходов. Он не обеспечивает стабильную занятость трудоспособного населения.
Каждый должен самостоятельно заботиться о своем месте в обществе, что неизбежно ведет к социальному расслоению, усиливает социальную напряженность.
«Нормальный» рынок порождает ненормальные пропорции распределения созидаемого богатства. Рыночные отношения создают благоприятные условия для проявления узкокорыстных интересов, порождающих спекуляцию, коррупцию, рэкет, торговлю наркотиками, другие антиобщественные явления.



Стандартный коэффициент перевода


В других случаях цены искажаются из-за монополистической практики, их государственного регулирования, таможенных пошлин и т.д., в результате чего они отклоняются от равновесных.
Для очищения цен в экономическом анализе используют расчетные цены. При их определении исходят из того, какими были бы цены на внутреннем рынке при отсутствии вышеуказанных ценовых искажений. Простейший способ определения расчетной цены это пересчет цены мирового рынка в рубли с использованием ряда приемов.
Поясним это на примере.

Пример 18.1. Предположим, что важным элементом затрат инвестиционного проекта является дизельное топливо, экспортный товар. Его биржевая цена в России в октябре 1993 г. составляла около 150 000 руб. за 1 т. Определим расчетную цену дизельного топлива.
1. Возьмем мировую цену ФОБ'



' ФОБ свободно на борту, т.е. с доставкой груза в порт отправления и погрузкой на борт судна (англ. free on board).



за 1 т дизельного топлива и переведем ее в рубли по существовавшему на тот момент обменному курсу: 1 долл. США = 1200 руб.
250i1200 = 300 000 руб.
2. Сделаем поправку на то, что при установлении обменного курса на него сильно влияли российские таможенные пошлины, т.е. одна из форм налогов. Подобная поправка именуется коэффициентом перевода. Ее можно рассчитать по отдельным товарным группам (это будут так называемые специальные коэффициенты перевода) и в целом по всем товарам (так называемый стандартный коэффициент перевода). Для простоты используем стандартный коэффициент перевода kСТ:

kСТ = IСИФ - Е ФОБ (18.3)
(IСИФ +С 1 ) + (Е ФОБ + С Е)


где Iсиф - импорт СИФ2



2 СИФ стоимость, страхование, фрахт (англ. cost, insurance , freight).


Е ФОБ экспорт ФОБ; С1 импортные пошлины; CЕ экспортные пошлины.

Во втором полугодии 1993 г. стандартный коэффициент перевода составлял в РОССИИ, по нашим расчетам, около 0,8. Его мы и применим:
300 000i0,8 = 240 000 руб.
3. Добавим стоимость транспортировки 1 т дизельного топлива на отрезке между ближайшим портом и нашим объектом;
240 000 +10 000 = 250 000 руб.

Это упрощенный пример, ибо на практике определение расчетных цен требует более сложных расчетов. Тем не менее даже из этого примера видно, что при расчете такой цены мы руководствовались предпосылкой, что для страны реальной альтернативой использованию дизельного топлива в нашем инвестиционном проекте является экспорт этого товара.
Подобный базирующийся на альтернативе подход (но не вышеприведенную методику) можно использовать и при определении расчетных цен на те товары, на которые нет мировых цен: землю, рабочую силу, различные услуги и т.д. Так, если фирма осуществляет проект на своей земле и поэтому стоимость последней фактически не входит в затраты при финансовом анализе, при экономическом анализе расчетную цену можно определить:
а) на базе стоимости аналогичных участков на местном земельном рынке;
б) при отсутствии такого рынка на базе стоимости аренды аналогичных участков;
в) при отсутствии аренды на базе стоимости той сельскохозяйственной продукции, которая могла бы быть здесь произведена.
4. Техника и принципы проектного анализа. Стоимость денег во времени Проектный анализ осуществляется на базе приемов, которые не являются привилегией проектного анализа, а используются также в других областях теоретической и прикладной экономики. Рассмотрим некоторые из этих приемов.

«С проектом без проекта»
Анализируя доходность инвестиционного проекта, целесообразно сравнивать две будущие альтернативные ситуации: а) фирма осуществила свой проект; б) фирма не осуществляла этот проект. Подобный прием часто называют «с проектом без проекта». В модифицированном виде этот прием можно представить в виде формулы:


ВИНВ = s ВПР- s СПР (18.4)

где ВИНВ выгода (доход) от инвестиционного проекта; s ВПР изменения в выгодах/доходах благодаря проекту; s СПР изменения в затратах благодаря проекту.


Пример 18.2. Предположим, что у фирмы есть проект, рассчитанный на семь лет. Как изменится чистый доход фирмы, если она осуществит этот проект и если она от него откажется?
Без проекта валовой доход фирмы составит 50 млрд, а затраты 40 млрд руб. В случае реализации проекта валовой доход возрастет до 90 млрд, а затраты до 60 млрд руб. Представим эти данные следующим образом:


Валовой Затраты Чистый
доход доход

С проектом 90 60 30
Без проекта 50 40 10
Изменения 40 20 20

Таким образом, реализация проекта повысит чистый доход фирмы на 20 млрд руб., несмотря на рост ее затрат из-за проекта.



На 18.2,а видно, что площадь сектора А превышает площадь сектора Б, т.е. чистый доход фирмы В при варианте выполнения проекта выше, чем при варианте «без проекта». Однако в жизни чаще бывает, что чистые доходы фирмы даже понижаются, если она не реализует проект (проекты) ( 18.2,б).


Стандартный коэффициент перевода



18.2. Метод «с проектом без проекта»: а рост чистых доходов при реализации проекта и их неизменность при отказе от него; б уменьшение чистых доходов в случае отказа от проекта; В чистый доход; Т годы

Описанный выше прием и многие другие приемы проектного анализа базируются на принципе денежного соизмерения всех доходов и затрат. А если это затруднительно или невозможно? Особенно часто это относится к выгодам.

Наименьшие затраты В тех случаях, когда выгоды заранее заданы, но их трудно оценить в денежном измерении (в виде дохода) возможно использование приема «наименьшие затраты». Например, руководство крупной фирмы, действующей в одном городе, поставило цель: обеспечить за счет фирмы содержание детей сотрудников в детских садах. Для достижения этой цели и получения тем самым выгоды (но ее очень трудно перевести в деньги) нужно разработать несколько альтернативных проектов.
Например, фирма может: а) построить и содержать один крупный детский сад; б) содержать в разных районах города несколько небольших детских садов; в) оплачивать сотрудникам содержание их детей в других детских садах города.
Таким образом, выгода у всех этих альтернативных проектов одна и та же (считаем, что качество обслуживания детей одинаково во всех проектах), а вот затраты различны, но соизмеримы в денежном выражении.
Поэтому остается одно: найти наименее дорогостоящий проект, т.е. наиболее эффективный способ осуществления затрат для достижения поставленной цели.

Подход к амортизации и инфляции Включать ли в затраты те амортизационные отчисления, которые начисляются в ходе жизненного цикла проекта, особенно на его последней стадии, т.е. после ввода в действие машин, оборудования, зданий, сооружений и других элементов основного капитала? Нет, этого делать не следует, чтобы избежать двойного счета, потому что амортизационные отчисления все равно будут учтены в цене производимой по проекту продукции, т.е. при определении выгоды от проекта.
Отметим, что вообще в проектном анализе соблюдается принцип: как выгоды, так и затраты должны учитываться весьма тщательно, но только однажды.
Инфляция повышает цены на все товары и услуги. В стране, где высокая инфляция, часто стремятся пораньше реализовать проект, так как потом он будет стоить дороже. Но если реализовать проект позже, то возрастут и выгоды от него, так как в дальнейшем цены на продукцию проекта тоже будут намного выше. Поэтому неясно, изменит ли инфляция в будущем баланс между выгодами и затратами, подсчитанный на базе ныне действующих цен.
Вследствие этого в странах, где нет гиперинфляции, проекты обычно рассчитывают без учета инфляции, т.е. предполагая, что она одинаково воздействует на выгоды и затраты.
В тех случаях, когда воздействие на выгоды и затраты неравномерно (а неравномерный рост цен особенно характерен для стран с высокой инфляцией), целесообразно учитывать это. Так, если прогнозируется более быстрый рост цен на энергоносители (скажем, в ближайшие 10 лет, по прогнозу, цены на все товары и услуги в стране возрастут в среднем в 5 раз, а на энергоносители в 7 раз), то при расчете затрат в проект со сроком жизни 10 лет нужно заложить такой прирост стоимости энергоносителей, который будет равен отношению роста цен на все товары и услуги в стране к росту цен на энергоносители, т.е. в 1,4 раза (7:5). Если же цены на энергоносители будут расти медленнее, чем в общем цены на товары (скажем, вырастут в 3 раза), то надо будет закладывать снижение стоимости энергоносителей в 1,7 раза (5:3).

Стоимость денег во времени. Сложный процент и дисконтирование
Один из принципов проектного анализа, как уже отмечалось, состоит в том, что необходимо сопоставлять затраты и доходы (выгоды), возникающие в разное время. Так, затраты на осуществление проекта растягиваются во времени, а доходы от проекта, помимо растягивания во времени, обычно возникают после осуществления затрат.
Представим, что мы вместо того, чтобы истратить 1 руб. сейчас, ссужаем его на один год, получив взамен долговое обязательство. Мы как бы лишаем себя возможности потратить этот рубль на себя сейчас. Это предпосылка для того, чтобы нам вернули через год не 1 руб., а больше: ведь рубль, истраченный сейчас, стоит больше, чем рубль через год. Тому есть три причины:



Структура твердых отходов


В структуре твердых отходов преобладают промышленные и горно-промышленные отходы. В целом и на душу населения они особенно велики в России, США и Японии. По душевому показателю твердых бытовых отходов лидерство принадлежит США, где на каждого жителя в год приходится 500600 кг мусора.
Несмотря на все расширяющуюся утилизацию твердых отходов, во многих странах мира она либо находится на начальной стадии, либо отсутствует.
Жидкими отходами загрязняется прежде всего гидросфера, причем главными загрязнителями здесь выступают сточные воды и нефть. Общий объем сточных вод в начале 90-х гг. достиг 1800 км3. Для разбавления единицы объема загрязненных сточных вод до приемлемого к использованию уровня требуется в среднем от 10 до 100 и даже 200 ед. чистой воды. Таким образом, использование водных ресурсов для разбавления и очищения сточных вод стало самой крупной статьей их расходования.
Это относится прежде всего к Азии, Северной Америке и Европе, на которые приходится около 90% всего мирового сброса сточных вод.
В итоге деградация водной среды в наши дни приняла глобальный характер. Примерно 1,3 млрд человек пользуются в быту только загрязненной водой, что служит причиной многих эпидемических заболеваний. В силу загрязнения рек и морей снижаются возможности рыболовства.
Большую тревогу вызывает загрязнение атмосферы пылевидными и газообразными отходами, выбросы которых непосредственно связаны со сгоранием минерального топлива и биомассы, а также с горными, строительными и другими земляными работами.
Масштабным и опасным аспектом экологического кризиса является воздействие на нижние слои атмосферы парниковых газов, прежде всего диоксида углерода и метана. Диоксид углерода поступает в атмосферу в основном в результате сгорания минерального топлива (2/3 всех поступлений). Источниками поступления в атмосферу метана служат сжигание биомассы, некоторые виды сельскохозяйственного производства, утечка газа из нефтяных и газовых скважин.
По некоторым подсчетам, только в 19501990 гг. мировой объем выбросов углерода вырос в четыре раза, достигнув 6 млрд т, или 22 млрд т углекислого газа. Основную ответственность за эти выбросы несут экономически развитые страны Северного полушария, на долю которых приходится большая часть таких выбросов (на США 25%, страны члены ЕС 14%, страны члены СНГ- 13%, Японию - 5%).
Одним из главных последствий экологического кризиса на планете является оскудение ее генофонда, уменьшение биологического разнообразия. Биологическое разнообразие Земли оценивается в 1020 млн видов, в том числе на территории бывшего СССР 1012% от общего количества. Урон в данной сфере уже достаточно ощутим. Это происходит из-за разрушения среды обитания растений и животных, чрезмерной эксплуатации сельскохозяйственных ресурсов, загрязнения окружающей среды. По подсчетам американских ученых, за последние 200 лет на Земле исчезло около 900 тыс. видов растений и животных.
Во второй половине ХХ в. процесс сокращения генофонда резко ускорился. В результате ученые пришли к выводу, что при сохранении существующих тенденций в 19802000 гг. возможно исчезновение 1/5 всех биологических видов, населяющих ныне нашу планету.


Выводы 1. Природные ресурсы это земля и недра, растительный и животный мир, лесные и водные ресурсы, воздушный бассейн и климат.
2. В современных условиях потребление природных ресурсов продолжает расти. Существует два альтернативных пути развития мирового хозяйства: продолжение увеличения разведки и добычи полезных ископаемых и ресурсосбережение.
3. Основная часть природных богатств сосредоточена в развивающихся странах. Главная «болезнь» экономик этих стран ориентация на экспорт сырья при замораживании развития обрабатывающих отраслей. В то же время дефицит природных ресурсов в развитых странах Запада обусловливает направленность основных потоков международной торговли природными ресурсами из развивающихся стран (добывающих) в развитые (потребляющие).
4. Рента выступает как доход от собственности на природные ресурсы. Величина ренты зависит как от общественных, так и от природных условий. Наибольшее значение имеют земельная и горная рента.
5. Экологическая проблема одна из глобальных проблем современности. Она тесно связана с вопросами ресурсодефицитности, экологической безопасности и экологического кризиса. Одним из путей разрешения экологической проблемы является путь «устойчивого развития», предложенный в качестве основной альтернативы развития человеческой цивилизации.


Термины и понятия Природные ресурсы
Рента
Ресурсообеспеченность
Земельная рента
Горная рента
Окружающая природная среда



Вопросы для самопроверки 1. Что такое природные ресурсы?
2. Как влияет обеспеченность природными ресурсами на развитие экономики стран мира?
3. Назовите виды ренты.
4. Какие существуют основные виды загрязнения окружающей среды?
5. Как развитые страны мира могут помочь развивающимся в борьбе с последствиями загрязнения окружающей среды? Пойдут ли они на это?
6. Какие страны в наибольшей степени несут ответственность за загрязнение твердой, жидкой и газообразной оболочки Земли?

































Сущность активных операций


Срочные вклады бывают двух видов: собственно срочные вклады и вклады с предварительным уведомлением о снятии средств. Собственно срочные вклады возвращаются владельцу в заранее установленный день, до того момента они «заблокированы» и банк может полностью распоряжаться ими. Если сумма, первоначально вложенная как срочный вклад, не изымается владельцем в установленный день, то в дальнейшем он может распоряжаться ею так же, как и текущим счетом.
Сроки, на которые принимаются такие вклады, подразделяются на четыре группы: от 30 до 89, от 90 до 179, от 180 до 359 и более 360 дней.
Если в случае собственно срочных вкладов по истечении договорного срока клиенту автоматически предоставляется право их изъятия в любой из последующих дней, то срочные вклады с предварительным уведомлением требуют подачи в банк специального заявления вкладчика. Обычно сроки уведомления следующие: от 1 до 3, от 3 до 6, от 6 до 12 и более 12 мес. Для каждой из этих групп вкладов устанавливаются соответствующие проценты.
Отметим также, что срочные вклады занимают промежуточное положение между текущими и сберегательными вкладами.
Для сберегательных вкладов типичным является их медленный рост и то, что использование средств часто происходит через несколько лет. Отличительная особенность сберегательного вклада заключается в том, что его владельцу выдается свидетельство о наличии вклада (чаще всего сберегательная книжка). В практике сберегательного дела отдельных стран различают два вида сберегательных вкладов: с законодательно установленным и с договорным сроками оповещения об изъятии средств.
Формой расчетов между банками (в России минуя расчетно-кассовые центры Центрального банка РФ, осуществляющего расчеты между коммерческими банками) является установление прямых корреспондентских отношений путем открытия корреспондентских счетов одними банками в других и осуществления платежных расчетных операций по поручению друг друга. Корреспондентские отношения могут включать и иные виды услуг, в том числе банки-корреспонденты могут прокредитовать клиента сверх лимита, установленного для одного банка. Кроме того, крупные банки-корреспонденты могут давать более мелким банкам консультации по управлению инвестиционным портфелем, покупать, продавать, хранить ценные бумаги по их поручению.
Используя систему корреспондентских счетов, банки существенно снижают свои издержки, устанавливают доверительные отношения друг с другом, что особенно важно в связи с усилением конкуренции в банковской сфере за привлечение средств инвесторов.
Основные записи делаются по счету «Лоро». Эти записи являются решающими для обеспечения своевременности платежа и начисления процентов. Операции по счету «Ностро» проводятся по методу зеркальной бухгалтерии. Обычно предусматривается, что в случае отсутствия средств на корреспондентском счете может быть предоставлен кредит в установленном порядке.
По остаткам средств на корреспондентском счете проценты в пользу корреспондента не начисляются.
К пассивным операциям банка относятся и так называемые привлеченные средства (кредиты, полученные от других банков). Этот вид пассивных операций представляет собой обычные кредитные сделки. Здесь инициатива исходит от банка: ему на определенный срок необходима некоторая сумма денег, для этого он как заемщик выходит на денежный рынок.
Еще одна группа пассивных операций эмиссия облигаций: ипотечных (закладных листов) и банковских. Суть этих операций состоит в мобилизации банками денежных средств взамен выдачи определенных ценных бумаг.

Сущность активных операций В активных операциях банков выделяются кредитные (учетно - ссудные) операции и операции с ценными бумагами (фондовые). На них приходится до 80% всего баланса. Кроме того, банки осуществляют кассовые, акцептные операции, сделки с иностранной валютой, недвижимостью.
При этом в соответствии с Базельским соглашением (для стран участниц ОЭСР) доля собственных средств банка в общих активах должна быть не ниже 9,2%.
Кредитные операции можно классифицировать по ряду признаков.
1. В зависимости от о б е с п е ч е н и я: ссуды без обеспечения (бланковые) и имеющие обеспечение. Последние подразделяются на вексельные (выдаваемые в форме покупки векселя или под его залог), подтоварные, под ценные бумаги. Одной из разновидностей ссуд, имеющих обеспечение, являются ломбардные кредиты, предоставляемые центральным банком, коммерческим банком, т.е. процентные ссуды под залог ценных бумаг.
2. П о с р о к а м п о г а ш е н и я: онкольные (до востребования, т.е. погашенные по требованию заемщика или банка), краткосрочные (до одного года), среднесрочные (от одного года до пяти лет) и долгосрочные (свыше пяти лет).
3. П о х а р а к т е р у п о г а ш е н и я: погашаемые единовременным взносом и в рассрочку.
4. П о м е т о д у в з и м а н и я п р о ц е н т а: процент удерживается в момент предоставления ссуды (при учете векселя, выдаче потребительской ссуды), или в момент погашения кредита, или равномерными взносами на протяжении всего срока кредита.
5. П о к а т е г о р и я м з а е м щ и к о в, отражающим экономическое содержание и цель кредита. Различаются четыре вида ссуд:
коммерческие ссуды, предоставляемые предприятиям для пополнения временной нехватки оборотного капитала и вложений в основной капитал, расширения производства и т.д.;
ссуды посредникам фондовой биржи, которые выдаются под обеспечение ценными бумагами и используются для биржевых операций;
сельскохозяйственные ссуды, которые, в свою очередь, подразделяются на ипотечные ссуды (под залог недвижимости земли, строений и т.д.) для покрытия крупных капитальных затрат и краткосрочные ссуды на временные нужды (например, покупку семян), погашаемые обычно при реализации урожая;
кредитование конечного потребления, выступающее в трех формах: под залог жилых строений, на покупку потребительских товаров с погашением в рассрочку, ссуды с разовым погашением (по окончании ее срока).
Выдача ссуды банком сложная, многоступенчатая процедура. Заемщик, обращаясь в банк, представляет заявку, в которой указана цель кредита, срок, график погашения и другую данные. Кроме того, он обязан сообщить подробные сведения о всех сторонах своей производственной и финансовой деятельности (в случае потребительской ссуды о состоянии личных финансов, доходах, месте работы и т.д.). Мелкие фирмы должны представить обеспечение, а также поручителей или гарантов.
Кредитные заявки поступают в управление учетно-ссудных операций банка, которое направляет их в кредитный отдел для оценки способности заемщика погасить ссуду. Заявка рассматривается учетно-ссудным комитетом, состоящим из двух-трех директоров. Рекомендации этого органа по всем заявкам периодически докладываются совету директоров, который принимает окончательное решение о выдаче ссуды или отказе в ней.
В большинстве зарубежных стран значительная часть ссуд выдается компаниям в форме открытия лимита, т.е. «кредитной линии». В Англии, например, устанавливается лимит по овердрафту. Овердрафт предоставление кредита банком клиенту сверх остатка по его текущему счету. Открытие кредитного лимита означает достижение между заемщиком и банком договоренности о максимальной сумме задолженности по кредиту.
Лимит устанавливается на определенный срок, например на год, в течение которого заемщик может в любой момент получить ссуду без дополнительных переговоров с банком. Но банк может отказать выдать ссуду в рамках утвержденного лимита, если положение дел заемщика ухудшилось. Открытие подобной кредитной линии сопровождается, как правило, требованием банка, чтобы заемщик хранил на своем текущем счете минимальный компенсационный остаток, обычно в размере не менее 20% суммы кредита. Тем самым банк «привязывает» к себе заемщика, не давая изъять всю сумму кредита или перевести его в другой банк.
Соответственно повышается реальный размер процента, взимаемый по ссуде.
При предоставлении суммы под обеспечение банк получает залоговое обязательство, позволяющее ему распоряжаться заложенным имуществом. Обеспечением может служить недвижимое и движимое имущество, ценные бумаги, вкладные сертификаты и т.д.
Во многих странах банки устанавливают первичную, или базовую, ставку (англ. prime rate, base rate), которая начисляется по необеспеченным ссудам первоклассным заемщикам. Это самый низкий уровень процентов по кредитам.
Процент по кредитам дифференцируется в зависимости от вида и размера кредита, величины капитала заемщика, его связей с банком. По каждой из категорий ссуд норма процента, как правило, выше, чем по предыдущей: необеспеченные ссуды первоклассным заемщикам (первичная ставка), под биржевые ценные бумаги, под товары и оборудование, под дебиторскую задолженность (долговые обязательства клиента), сельскохозяйственные ссуды (без обеспечения), потребительский кредит.

Банковские услуги Важнейшие посреднические операции инкассовые, аккредитивные, переводные и торгово-комиссионные. Особое место занимают доверительные (трастовые) операции, которые внешне сходны с посредническими, но выходят за их рамки, и лизинговые операции.



Сущность международной экономической интеграции


Открытая экономика
Европейский союз (ЕС)
Североамериканское соглашение о свободной торговле (НАФТА)
Ассоциация стран Юго-Восточной Азии (АСЕАН)
Азиатско-Тихоокеанское экономическое сообщество (АТЭС)
МЕРКОСУР
Содружество
Независимых
Государств (СНГ)
Интеграция «разных скоростей»


Вопросы для самопроверки 1. Какова взаимосвязь между интернационализацией (глобализацией) хозяйственной жизни и международным разделением труда?
2. В чем сущность международной экономической интеграции?
3. Влияют ли внешнеполитические условия на процесс интеграции?
4. Каким образом функционируют зона свободной торговли, таможенный союз, общий рынок, экономический и валютный союз?
5. Насколько эффективна система управления ЕС?
6. Каковы основные источники доходной части бюджета ЕС?
7. Существуют ли возможности и перспективы вхождения России в ЕС?
8. В чем специфика интеграционных процессов в Азиатско-Тихоокеанском и Североамериканском регионах?
9. Насколько реально формирование единой экономической группировки бывших союзных республик?
10. Зачем России участвовать в СНГ? Может быть, проще иметь только двусторонние связи со всеми остальными странами членами СНГ?

ГЛОССАРИЙ


А

Абсолютная черта бедности минимальный уровень жизни, определяемый на основе физиологических потребностей человека в продуктах питания, одежде и жилье, т.е. на базе стоимости корзины товаров, достаточных для удовлетворения основных потребностей человека
Абсорбционный подход кейнсианский подход к проблемам платежного баланса, предлагающий для его улучшения прежде всего повышать конкурентоспособность отечественных товаров и услуг
Автаркия экономическая самообеспеченность одной или нескольких стран; обособление экономики страны от экономик других стран
Агрегирование соединение отдельных частных показателей в единый общий показатель. Например, сведение цен (их динамики) отдельных товаров в показатель общего уровня цен (индекс цен)
Административно-командная система централизованная плановая, коммунистическая) экономическая система, господствовавшая ранее в СССР, странах Восточной и Центральной Европы и ряде азиатских государств. Ее отличительные особенности «общественная» (в реалии государственная) собственность на все виды производственных ресурсов, монополизация и бюрократизация экономики в специфических формах, централизованное планирование как основа хозяйственного механизма
Ажио надбавка к цене облигации, образующаяся вследствие ее погашения не по номинальному, а по более высокому курсу
Акцизы налоги, включаемые в цену товара и услуги
Акции ценные бумаги, удостоверяющие владение паем в капитале акционерного общества и дающие право на получение части прибыли в виде дивиденда
Акционерное общество (АО) хозяйственное общество, уставный капитал которого разделен на определенное число акций. Акционеры не отвечают по обязательствам АО и несут риск убытков в пределах стоимости принадлежащих им акций. Акционерное общество бывает открытым и закрытым. Открытым признается акционерное общество, участники которого могут отчуждать принадлежащие им акции без согласия других акционеров (подписка на акции и их свободная продажа), закрытым общество, акции которого распределяются только среди его учредителей или иного заранее определенного круга лиц
Амортизация основного капитала процесс его физического и морального износа
Азиатско-Тихоокеанское экономическое сообщество (АТЭС) интеграционное объединение в составе 21 страны, включая Россию
Ассоциация стран Юго-Восточной Азии (АСЕАН) интеграционная группировка, возникшая в 1967 г. Объединяет Индонезию, Малайзию, Филиппины, Сингапур, Таиланд, Бруней, Мьянму, Вьетнам, Лаос




Б

Банки организации, осуществляющие универсальные операции по кредитованию промышленных, торговых и других предприятий, главным образом за счет тех денежных средств, которые они получат в виде вкладов
Банковские операции операции, обеспечивающие функционирование и прибыльность деятельности банков. Различают пассивные и активные операции, банковские услуги и собственные операции банков
Банковский кредит кредит, предоставляемый владельцами денежных средств, преимущественно банками, в виде денежных ссуд
Банкротство неспособность осуществлять платежи по долговым обязательствам, удостоверенная судебной инстанцией
Бедность экономическое состояние части общества, при котором определенные слои населения не имеют минимальных по нормам данного общества средств существования
Бегство капитала отток капитала из страны вследствие экономической и политической нестабильности, высоких налогов, для отмывания незаконно нажитых средств и т.п.
Беженцы лица, покидающие страну или территорию внутри страны по причинам политической, экономической или этнической дискриминации, а также в результате войн и стихийных бедствий
Безналичные деньги записи на счетах в банках
Безработица социально-экономическое явление, при котором часть рабочей силы (экономически активного населения) не занята в общественном производстве. Различают несколько видов безработицы: структурную, циклическую, фрикционную, сезонную, частичную, скрытую, застойную, технологическую
Бизнес-план подробный, четко структурированный документ, описывающий состояние предприятия (фирмы), его цели, пути их достижения и ожидаемые результаты
Биржа труда учреждение, оказывающее специализированные услуги по трудоустройству граждан на рынке рабочей силы
Биржевая котировка максимальная цена покупателя и минимальная цена продавца ценных бумаг или товаров на данном рынке и в данный момент времени
Биржевые индексы различные способы определения тенденций изменения цен на ценные бумаги (индексы Доу Джонса и «Стэндард энд Пурс» в США, «Никкей» в Японии, ДАКС и «Франкфурте Альгемайне Цайтунг» в Германии, индекс агентства Рейтер в Великобритании и др.)
Брокер (брокерская фирма) агент, выполняющий заказы клиентов на приобретение и продажу ценных бумаг, товаров и другой собственности и получающий за оказание этих услуг вознаграждение в виде комиссионных
Бухгалтерская прибыль разность между валовой выручкой и издержками фирмы
Бюджет расширенного правительства консолидированный бюджет плюс государственные внебюджетные фонды
Бюджетная линия графическое изображение всех возможных сочетаний покупок товаров, сумма затрат на которые определена
Бюджетный федерализм (межбюджетные отношения) отношения между бюджетами разных уровней




В

Валовой внутренний продукт (ВВП) добавленная стоимость всего объема товаров и услуг во всех сферах экономики страны независимо от национальной принадлежности предприятий, расположенных на территории данной страны
Валовой доход произведение цены на количество продукции
Валовой национальный продукт (ВНП) добавленная стоимость всего объема продукции и услуг во всех сферах национальной экономики независимо от территориального местоположения национальных предприятий (в своей стране или за рубежом)
Валовые (общуе) издержки сумма постоянных и переменных издержек
Валюта любые платежные документы либо денежные обязательства, выраженные в той или иной национальной денежной единице и используемые в международных расчетах
Валютная корзина определенным способом фиксированный набор валют, используемый для измерения средневзвешенного курса отдельных валют. Используется при создании международных счетных единиц, страховании валютных рисков в сфере торговых и кредитных отношений, а также при установлении рядом стран курса национальной валюты
Валютная котировка фиксирование курса национальной денежной единицы в иностранной. При этом курс национальной денежной единицы может быть установлен в форме как прямой котировки (1, 10, 100 ед. иностранной валюты = х ед национальной валюты), так и обратной котировки (1, 10, 100 ед. национальной валюты = х ед. иностранной валюты)
Валютная система форма организации денежных отношений, которая охватывает внутренние денежно-крелитные отношения и сферу международных расчетов; формируется на базе национальных экономик (национальных валютных систем) и с развитием международных экономических отношений превращается в мировую валютную систему
Валютный арбитраж операции с целью извлечения прибыли из разницы валютных курсов одной и той же денежной единицы на различных валютных рынках (пространственный арбитраж) или разницы в динамике курса (временной арбитраж)
Валютный курс соотношение обмена двух денежных единиц или цена денежной единицы одной страны, выраженная в денежной единице другой страны
Валютный рынок совокупность всех отношений, возникающих между субъектами валютных сделок. С институциональной точки зрения валютный рынок представляет собой множество крупных коммерческих банков и других финансовых учреждений, где совершается купля-продажа валют на основе спроса и предложения для обслуживания международного платежного оборота с использованием средств связи (от телефонов и телексов до электронных и спутниковых систем)
Ваучеры приватизационные чеки, имевшие хождение в России с начала 1993 г. до конца июня 1994 г. Все граждане России имели право на безвозмездное получение таких ценных бумаг, на которые приобретались акции приватизируемых предприятий



Текущий платежный баланс



Воздействие платежного баланса на внутри - и внешнеэкономическое положение страны
Международная статистика свидетельствует, что платежные балансы стран мира постоянно находятся в неравновесии, т.е. сальдо по текущим операциям и сальдо итогового баланса обычно не равны нулю и поэтому балансируются движением капитала, государственными операциями и изменениями в резервах, чтобы уравновесить платежный баланс.
Неравновесие платежных балансов, бывшее ранее скорее исключением, стало характерной чертой нашего времени. Во второй половине ХХ в. темпы экономического роста мирового сообщества оказались, вероятно, рекордными за всю историю человечества. На этом фоне стала резче проявляться неравномерность экономического развития отдельных стран. Так, усиление позиций Японии и Германии в мировой экономике сопровождается положительным сальдо текущего платежного баланса этих стран.
Иначе говоря, резкое нарушение равновесия в мировой экономике вызывает резкое неравновесие в платежных балансах.
Неравновесие платежного баланса страны, будучи прежде всего регулятором внутриэкономических процессов, вызывает ряд последствий для ее экономики.
Стабильно положительное сальдо баланса по текущим операциям укрепляет позиции национальной валюты и одновременно позволяет иметь прочную финансовую базу для вывоза капитала из страны; стабильно отрицательное сальдо ослабляет позиции национальной валюты и подталкивает страну ко все большему привлечению иностранного капитала. Если подобный приток капитала осуществляется не через долгосрочные предпринимательские инвестиции (т.е. прямые и портфельные), а через долгосрочные государственные и частные банковские займы и особенно посредством чрезвычайного финансирования и роста внешних обязательств, то это ведет к быстрому увеличению внешнего долга страны и выплат по нему. Страна начинает жить в кредит.
Сильные колебания сальдо баланса по текущим операциям (в ту и другую сторону) вызывают неблагоприятные для страны последствия. Так, резкое увеличение положительного сальдо создает базу для быстрого роста денежной массы и тем самым стимулирует инфляцию, а резкое увеличение отрицательного сальдо вызывает «обвальное» падение обменного курса, что вносит хаос во внешнеэкономические операции страны. Поэтому когда речь идет о равновесии платежного баланса, в центре внимания оказываются прежде всего дефицит текущего платежного баланса (если он образовался) и сильные колебания его сальдо.

Методы государственного регулирования платежного баланса Существует несколько основных методов государственного воздействия на состояние платежного баланса.
Первый метод это прямой контроль, включая регламентацию импорта (например, через количественные ограничения), таможенные и другие сборы, запрет или ограничения на перевод за рубеж доходов по иностранным инвестициям и денежных трансфертов частных лиц, резкое сокращение безвозмездной помощи, вывоза краткосрочного и долгосрочного капитала и др. Подобные меры прямого контроля обычно вызывают сильные затруднения ддя многих фирм страны и соответственно воспринимаются враждебно.
В краткосрочном плане прямой контроль дает положительный эффект (он больше или меньше зависит от уровня соблюдения фирмами хозяйственного законодательства и способности правительства следить за выполнением своих решений). В долгосрочном плане эффект от этих мер противоречив, так как создается «тепличный режим» для местных производителей, снижается интерес иностранных инвесторов к стране из-за запрета на перевод их доходов, возникают трудности с привлечением иностранных специалистов, создаются препятствия для расширения за рубежом товаре- и услугопроводящей сети для отечественных экспортеров.
Не вызывает враждебности, а наоборот, приветствуется отечественными фирмами такая прямая мера, как субсидирование экспорта. Но она дорогостояща, и поэтому ее применение обычно связано с состоянием бюджета страны. Так, вряд ли состояние государственного бюджета России позволит ей в ближайшем будущем активно субсидировать экспорт.
Второй метод дефляция (т.е. борьба с инфляцией), которая нацелена на решение внутриэкономических задач, при этом побочным эффектом является улучшение состояния платежного баланса. Считается, что традиционные для дефляционной политики последствия снижение объема производства, инвестиций и доходов ведут к сокращению импорта и росту резервных мощности для наращивания экспорта. Обычное для дефляции повышение реальной процентной ставки привлекает в страну краткосрочный капитал, если, конечно, здесь есть развитая банковская сис-вма и низок уровень политического риска.
Однако имеется и другая точка зрения: дефляция уменьшает репорт и увеличивает импорт. При дефляции повышается обменяй курс национальной валюты, что увеличивает возможности шортеров. Для экспортеров же высокий курс их национальной люты означает, что при обмене экспортной выручки они получают меньше национальной валюты, а это отнюдь не стимулирует х налаживать экспорт.
Третий метод изменения обменного курса. И при твердом, и при плавающем курсе они проходят под сильным контролем и влиянием государства. Так, даже в условиях плавающего курса государство (обычно в лице центрального банка страны) часто стремится удержать эти колебания в определенных пределах, ориентируясь на так называемые курсовые цели, дабы избежать сильных экономических потрясений.
Изменения обменного курса помогают государству регулировать равновесие платежного баланса, но при этом надо учитывать, что эффект от ревальвации/девальвации ослабляется эластичностью экспорта и импорта, а также инерцией внешнеторговых потоков. Поэтому различаются кратко-, средне- и долгосрочное воздействие изменений обменного курса на платежный баланс.
Так, инерция внешнеторговых потоков часто приводит к тому, Что в первые месяцы после сильного падения курса национальной валюты торговый баланс не изменяется и даже может произойти, как ни странно, его ухудшение. Ведь экспортерам нужно время, чтобы нарастить свой экспорт, а импортерам время, чтобы сократить количество новых контрактов. А пока внешнеторговые потоки идут по ранее заключенным контрактам, стоимость экспорта и импорта в долларах не сокращается, на внутреннем рынке стоимость экспортируемых товаров в рублях остается той же, а стоимость импортных товаров возрастает.
Правда, спустя некоторое время ситуация с торговым балансом обычно меняется: экспорт возрастает и импорт сокращается.
Эластичность импорта в современных условиях имеет тенденцию к снижению, так как из-за растущего участия всех стран в международном разделении труда постоянно увеличивается в национальном импорте доля тех товаров, ввоз которых объективно необходим. Поэтому в средне- и долгосрочном плане девальвация слабо сокращает национальный импорт, а ревальвация его заметно увеличивает. Экспорт обычно более эластичен и поэтому в средне- и долгосрочном плане более чуток к курсу национальной валюты.
Так, заниженный курс марки и иены был мощным стимулом для западногерманского и японского экспорта в первые послевоенные десятилетия.
Воздействие изменений в обменном курсе на движение капитала различно. Ввоз долгосрочного капитала в страну определяется перспективными целями, и поэтому на нем слабо отражаются изменения обменного курса. Для ввоза краткосрочного капитала в страну со свободно конвертируемой валютой, наоборот, это имеет большое значение, так как здесь имеется возможность играть на изменениях курса.
Ввоз увеличивается перед возможной ревальвацией, а после нее возрастает вывоз капитала.



Выводы 1. Платежный баланс представляет собой статистический отчет обо всех международных сделках резидентов той или иной страны с нерезидентами за определенный период времени. Он отражает соотношение между объемом товаров и услуг, полученных данной страной из-за границы и предоставленных загранице, а также изменения в финансовой позиции страны по отношению к загранице. Динамика платежного баланса является важным индикатором для правительства любой страны при проведении экономической политики, особенно в валютной, денежно-кредитной и налоговой сферах.
2. В соответствии с принципами построения платежного баланса он всегда является сбалансированным. Понятие отрицательного или положительного сальдо применимо только к отдельным его частям. Обычно внутри общего платежного баланса выделяется сальдо торгового баланса, баланса текущих операций, баланса движения капитала и баланса официальных расчетов.
3. Анализ платежного баланса России за 19941998 гг. позволяет выявить ряд устойчивых тенденций в его динамике, предопределенных процессом либерализации внешних экономических связей и макроэкономической политикой правительства в период рыночных реформ:
большое положительное сальдо торгового баланса:
устойчивое отрицательное сальдо баланса услуг:
постоянно увеличивающееся отрицательное сальдо баланса доходов от инвестиций в результате нарастающих платежей по обслуживанию внешнего долга:
огромные объемы перенесенных платежей по обслуживанию внешнего долга бывшего СССР и просроченных платежей по обязательствам развивающихся стран перед Россией:
резкие колебания сальдо баланса движения капиталов и резервных активов;
значительные отрицательные суммы по статье «Чистые ошибки и пропуски»


Термины и понятия Платежный баланс
Резиденты
Нерезиденты
Чистая международная инвестиционная позиция страны
Текущие операции
Текущий платежный баланс (баланс по текущим операциям)
Итоговый баланс (баланс официальных расчетов)
Международная инвестиционная позиция страны
Эластиционный подход
Абсорбционный подход
Монетаристский подход



Вопросы для самопроверки 1. Какой ответ правильный: 1) платежный баланс охватывает все внешнеэкономические платежи страны; 2) платежный баланс охватывает все внешнеэкономические операции страны?
2. Кто из перечисленных юридических лиц является российским резидентом:
а) представительство компании «Дженерал Моторс» в Москве;
б) предприятие, зарегистрированное в Москве со 100%-ным участием компании «Дженерал Моторс»;
в) представительство «Инкомбанка» в США;
г) отделение «Инкомбанка» на Кипре?
3. Какая из перечисленных сделок будет способствовать увеличению положительного сальдо по текущим операциям в платежном балансе:
а) АО «КамАЗ» поставляет грузовики в Китай в обмен (по бартеру) на товары народного потребления;
б) АО «Экспортхлеб» импортирует зерно из США в счет предоставленного кредита;
в) ВЭО «Продинторг» импортирует чай из Индии в счет погашения процентов по полученным ранее от России кредитам:
г) АО «Атомэнергоэкспорт» поставляет комплектующие для строящейся за рубежом электростанции на условиях рассрочки платежа?
4. Каким образом будут отражены в платежном балансе России следующие операции:
а) увеличился объем средств на валютных счетах резидентов в российских коммерческих банках;
б) просрочены платежи по основной части долга относительно графика платежей:
в) получена гуманитарная помощь в виде продовольствия и медикаментов;
г) экспортер в нарушение действующего законодательства вернул экспортную выручку из-за рубежа;
д) резидент ввез наличную валюту и обменял ее на рубли в обменном пункте?
5. Объясните взаимосвязь между динамикой сальдо по текущим операциям платежного баланса страны и динамикой валютного курса национальной валюты.




















































Текущий платежный баланс


Специфические факторы в теории международной торговли факторы производства (капитал, земля и др.), которые используются только в данной отрасли и не могут перемещаться между отраслями
Спрос количество товара, которое хотят и могут приобрести покупатели за определенный период времени при всех возможных ценах на этот товар
Стабилизационная политика политика, направленная на восстановление и поддержание макроэкономического равновесия на уровне, близком к полной занятости факторов производства в условиях стабильного уровня цен.
Стандартная модель международной торговли наиболее широко используемая в настоящее время модель международной торговли, раскрывающая воздействие внешней торговли на основные макроэкономические показатели торгующей страны: производство, потребление, общественное благосостояние
Страхование валютных рисков операции с целью предотвращения риска валютных потерь при проведении внешнеторговых, кредитных, валютных операций в связи с возможным изменением курса валют в период между заключение^ контракта и его исполнением
Структура рабочей силы состав рабочей силы по отраслевым, профессиональным, квалификационным и демографическим признакам
Структурная асимметричность неравномерное развитие различных сегментов рынка (рынков товаров, услуг, труда, капитала, земли)
Структурная безработица безработица, вызванная несоответствием структуры спроса и предложения рабочей силы
Структурная политика система мер государственного регулирования с целью создания условий для устойчивого долгосрочного экономического роста и перестройки структуры народного хозяйства с целью защиты и поощрения отраслей, конкурентоспособных на внутреннем и внешнем рынках или служащих национальным интересам
Структурный эффект выражение связи между индексом изменений структуры и динамикой хозяйства
Сумма покрытия разница между выручкой от реализации и всей суммой переменных затрат


Т

Таможенный союз форма экономической интеграции, при которой наряду с отменой таможенных пошлин устанавливается единый внешнеторговый тариф и проводится единая внешнеторговая политика странами-участницами в отношении третьих стран
Текушие операции раздел платежного баланса, охватывающий внешнюю торговлю товарами и услугами, перевод доходов от ранее вывезенного и ввезенного капитала, денежные переводы частных лиц, безвозмездную помощь и др.
Текущий платежный баланс (счет текущих операций) см. Текущие операции
Темп роста показатель, равный коэффициенту роста, умноженному на 100
Темп прироста показатель, равный темпу роста минус 100
Теория абсолютных преимуществ открытая А. Смитом закономерность развития международной торговли, состоящая в том, что страны экспортируют те товары, которые они производят с меньшими издержками (т.е. в производстве которых они имеют абсолютное преимущество), и импортируют те товары, которые они производят с ббльшими издержками, чем другие страны (т.е. в производстве которых преимущество принадлежит их торговым партнерам)
Теория специфических факторов закономерность, согласно которой в основе развития международной торговли лежат различия в относительных ценах на товары, обусловленные неодинаковой обеспеченностью стран специфическими факторами производства
Теория сравнительных преимуществ открытая Д. Рикардо закономерность развития международной торговли, состоящая в том, что внешняя торговля является взаимовыгодной, если страна экспортирует товары, произведенные с относительно более низкими для нее издержками производства, и импортирует товары, издержки производства которых у нее относительно более высокие
Теория факторов производства Хекшера Олина согласно ей каждая страна стремится специализироваться на производстве товаров, требующих больше факторов, которыми страна относительно лучше наделена
Теория человеческого капитала предполагает, что затраты на образование, подготовку и переподготовку рабочей силы следует рассматривать не в качестве издержек производства, а в качестве производительных инвестиций. Согласно данной теории различия в заработной плате являются следствием различий в инвестициях в человеческий капитал среди различных категорий работников
Теорема выравнивания цен на факторы производства (теорема ХекшераОлина Самуэльсона) согласно ей под воздействием развития международной торговли происходит выравнивание абсолютных и относительных цен на факторы производства в участвующих в торговле странах
Теорема Рыбчинского (в теории международной торговли) согласно ей увеличение предложения и использования одного из факторов производства приводит к непропорционально большому увеличению производства и доходов в той отрасли, в которой этот фактор используется наиболее интенсивно, и сокращению производства и доходов в отрасли, в которой этот фактор используется мецее интенсивно
Теорема СамуэльсонаДжонса (в теории международной торговли) согласно ей развитие международной торговли приводит к росту доходов владельцев факторов, специфических для экспортоориентированных отраслей, и сокращению доходов владельцев факторов, специфических для отраслей, конкурирующих с импортом
Технологическая безработица безработица, связанная с вытеснением из производства живого труда под влиянием научно-технического прогресса
Технологическая структура основных производственных фондов соотношение между активной частью основных фондов (рабочие машины, оборудование и др.) и пассивной их частью (здания, сооружения и др.)
Товарищество на вере (коммандитное товарищество) хозяйственное товарищество, в котором наряду с участниками, осуществляющими от имени товарищества предпринимательскую деятельность и отвечающими по обязательствам товарищества своим имуществом (полные товарищи), имеется один или несколько участников-вкладчиков (коммандитистов), которые несут риск убытков, связанных с деятельностью товарищества, в пределах сумм внесенных ими вкладов и не принимают участия в осуществлении предпринимательской деятельности
Товарная структура мировой торговли соотношение между отдельными видами товаров в экспорте и импорте данной страны
Точка безубыточности такие выручка и объем производства фирмы, которые обеспечивают покрытие всех се затрат и нулевую прибыль. Выручка, соответствующая точке безубыточности, называется пороговой выручкой, а объем производства (продаж) в этой точке пороговым объемом производства (продаж)
Точка оптимального выпуска (критическая точка объема производства) объем производства, при котором предельный доход равен предельным издержкам
Традиционная система экономическая система, распространенная в слаборазвитых странах и базирующаяся на отсталой технологии, широком распространении ручного труда, многоукладности экономики, преобладающей роли в жизни общества кастового и сословного деления, освященных веками традиций и обычаев
Трансакционные издержки расходы на совершение рыночных сделок
Транснационализация хозяйственной жизни процесс усиления роли транснациональных корпораций в мировой экономике
Транснациональная корпорация (ТНК) хозяйственная структура, которая включает родительскую компанию и ее зарубежные филиалы
Трансформационный спад сокращение объема производства вследствие изменения форм собственности и методов хозяйствования, приспособления производства к платежеспособному спросу, перестройки отраслевой структуры экономики
Тратта (переводной вексель) письменный приказ одного лица (кредитора) другому (заемщику) об уплате определенной суммы третьему лицу или предъявителю
Трудовые отношения отношения между работодателями и наемными работниками по поводу условий и оплаты труда
Трудовые ресурсы один из видов экономических ресурсов, к которому относятся люди с их способностью производить товары и услуги



У

Унитарное предприятие коммерческая организация, не наделенная правом собственности на закрепленное за ней собственником имущество
Ускоренная амортизация важный инструмент государственного регулирования экономики, суть которого состоит в ускоренном переносе стоимости средств труда на производимые товары и услуги за счет повышения норм амортизационных отчислений
Условия торговли соотношение индексов экспортных и импортных цен страны, показывающее пропорции внешнеторгового обмена
Учетная (дисконтная) политика изменение процентных ставок по кредитам центрального банка, предоставляемым коммерческим банкам, с целью воздействия на их кредитные операции
Учетный рынок рынок казначейских и коммерческих векселей, других видов краткосрочных обязательств





Ф


Факторы экономического роста см. Экономические ресурсы
Финансовая политика государства политика государства по организации и использованию финансов (см. Финансы) для осуществления своих функций к задач
Финансовая реструктуризация предприятия «расчистка» балансов, упорядочивание активов, а в ряде случаев процедура ликвидации и банкротства предприятия
Финансово-кредитная система бюджетная, налоговая, денежная и кредитная система
Финансовый рынок (рынок ссудных капиталов) механизм перераспределения Капитала между кредиторами и заемщиками при помощи посредников на основе спроса и предложения капитала



Теоретические подходы к денежно-кредитной политике


В России подобную функцию выполняет ставка рефинансирования Центробанка РФ, т.е. предоставление кредитных ресурсов в форме прямых кредитов, переучета векселей, ссуд под залог ценных бумаг (ломбардные кредиты), а также организации кредитных аукционов. При установлении данной ставки учитывается влияние процентной политики на формирование производственных затрат и на уровень доходности вкладов физических лиц в коммерческих банках. С 10 июня 1999 г. ставка рефинансирования составила 55% годовых.
Операции на открытом рынке заключаются в продаже или покупке центральным банком у коммерческих банков ценных бумаг (преимущественно обязательств казначейских и государственных корпораций, а также облигаций промышленных компаний и банков, коммерческих векселей, учитываемых центральным банком). Они имели широкое распространение на протяжении всего послевоенного периода, что соответствовало общей тенденции перехода центральных банков к косвенным формам регулирования.
Посредством проведения центральным банком операций на открытом рынке увеличивается (при покупке ценных бумаг) или уменьшается (при их продаже) объем собственных резервов коммерческих банков в отдельности и банковской системы в целом, что влечет за собой изменение стоимости кредита и, как следствие, спроса на деньги.
В России под операциями на открытом рынке понимается купля-продажа Центральным банком РФ государственных ценных бумаг, которые вплоть до финансового кризиса, разразившегося в августе 1998 г., обладали высокой степенью ликвидности и доходности. Коммерческие же банки являются основными инвесторами на рынке ценных бумаг, что расширяет регулирующее воздействие ЦБ РФ на их кредитные возможности. Операции на открытом рынке различаются в зависимости от:
у с л о в и й с д е л к и купля-продажа за наличные или купля на срок с обязательной обратной продажей так называемые обратные операции (операции РЕПО);
о б ъ е к т о в с д е л о к операции с государственными или частными бумагами;
с р о ч н о с т и с д е л к и краткосрочные (до 3 мес.) и долгосрочные (от 1 года и более) операции с ценными бумагами;
с ф е р ы п р о ве д е н и я о п е р а ц и й охватывают только банковский сектор или включают и небанковский сектор рынка ценных бумаг;
с п о с о б а у с т а н о в л е н и я с т а в о к определяемые центральными банком или рынком.
Установление норм обязательных резервов коммерческих банков, с одной стороны, способствует улучшению банковской ликвидности, а с другой эти нормы выступают в качестве прямого ограничителя инвестиций. Изменения норм обязательных резервов метод прямого воздействия на величину банковских резервов. Впервые данный метод применили в США в 1933 г. В отличие от операций на открытом рынке и учетной политики этот механизм денежно-кредитного регулирования затрагивает основы банковской системы и способен оказывать сильное воздействие на финансово-экономическую систему в целом. В России с 19 марта 1999 г. нормативы отчислений кредитных организаций в обязательные резервы Банка России составили: по привлеченным средствам юридических лиц в рублях 7%; привлеченным средствам юридических лиц в иностранной валюте 7%; привлеченным средствам физических лиц в рублях 5%; привлеченным средствам физических лиц в иностранной валюте 7%; вкладам и депозитам физических лиц в Сбербанке РФ в рублях 5%
К селективным методам денежно-кредитной политики относятся следующие.
Контроль по отдельным видам кредитов. Он часто практикуется в отношении кредитов под залог биржевых ценных бумаг, потребительских ссуд на покупку товаров в рассрочку, ипотечного кредита. Регулирование потребительского кредита обычно вводится в периоды напряжения на рынке ссудных капиталов, когда государство стремится перераспределить их в пользу отдельных отраслей или ограничить общий объем потребительского спроса.
Регулирование риска и ликвидности банковских операций. В многочисленных правительственных положениях и документах (законах, актах, инструкциях, директивах, указаниях и т.д.), регулирующих операционную деятельность банков, основное внимание уделяется риску и ликвидности банковских операций. Государственный контроль за риском усилился в последние два десятилетия.
Характерно, что риск банковской деятельности определяется не через оценку финансового положения должников, а через соотношение выданных кредитов и суммы собственных средств банка.
Поэтому во многих странах при кредитовании клиентуру банки должны соблюдать ряд принципов. Как правило, размер кредитов, выданных одному клиенту или группе «породненных» клиентов, должен составлять определенный процент от суммы собственных средств банка; так, он в США не более 10%, во Франции 75%. В развитых странах также определяется соотношение общего объема кредитных операций и собственных средств.
Во Франции сумма всех кредитов, предоставленных банком, не должна превышать более чем в 20 раз его собственные средства.

Теоретические подходы к денежно-кредитной политике
С помощью названных инструментов центральный банк реализует цели денежно-кредитной политики: поддержание на определенном уровне денежной массы ( ж е с т к а я м о н е т а р на я п о л и т и к а ) или ставки процента ( г и б к а я м о н е т а р н а я п о л и т и ка ). Варианты денежной политики по-разному интерпретируются на графике, их отображающем ( 23.4). Жесткая политика поддержания денежной массы соответствует вертикальной кривой предложения денег на уровне целевого показателя денежной массы. Гибкая монетарная политика может быть представлена горизонтальной кривой предложения денег на уровне целевого показателя денежной массы.
Промежуточный вариант соответствует наклонной кривой предложения денег.
Выбор вариантов денежно-кредитной политики зависит во многом от причин изменения спроса на деньги. Например, если рост спроса на деньги связан с инфляционными процессами, уместной будет жесткая политика поддержания денежной массы, что соответствует вертикальной или крутой кривой предложения денег. Если необходимо изолировать динамику реальных переменных от неожиданных изменений скорости обращения денег, то, вероятно, предпочтительнее окажется политика поддержания процентной ставки, связанной непосредственно с инвестиционной активностью (горизонтальная или пологая кривая предложения денег Ls В зависимости от угла наклона кривой Ls изменение спроса на деньги будет в большей степени сказываться либо на денежной массе М ( 23.4,б), либо на процентной ставке r ( 23.4,a)



Теоретические подходы к денежно-кредитной политике




23.4. Варианты денежной политики: а относительно жесткая; б относительно гибкая

Очевидно, что центральный банк не в состоянии одновременно фиксировать денежную систему и процентную ставку. Например, для поддержания относительно устойчивой ставки при увеличении спроса на деньги банк вынужден будет расширять предложение денег, чтобы сбить давление вверх на процентную ставку со стороны возросшего спроса на деньги (это отразится сдвигом вправо кривой спроса на деньги LD и перемещением точки равновесия вправо вдоль кривой LS от точки А к точке В).
Денежно-кредитная политика имеет довольно сложный п е р е д а т о ч н ы й м е х ан и з м . От качества работы всех его звеньев зависит эффективность политики в целом.
Можно выделить четыре звена передаточного механизма денежно-кредитной политики:
1) изменение величины реального предложения денег (M/р)S в результате пересмотра центральным банком соответствующей политики;
2) изменение процентной ставки на денежном рынке;
3) реакция совокупных расходов (особенно инвестиционных) на динамику процентной ставки;
4) изменение объема выпуска в ответ на изменение совокупного спроса (совокупных расходов).
Между изменением предложения денег и реакцией совокупного предложения есть еще две промежуточные ступени, прохождение через которые существенно влияет на конечный результат.
Изменение рыночной процентной ставки происходит путем изменения структуры портфеля активов экономических агентов после того, как в результате, скажем, расширительной денежной политики центрального банка на руках у них оказалось больше денег, чем им необходимо. Следствием, как известно, станет покупка других видов активов, удешевление кредита, т.е. в итоге снижение процентной ставки ( 23.50), когда кривая предложения денег сдвинется вправо из положения L1Sв положение L2S





Теоретические подходы к денежно-кредитной политике





23.5. Передаточный механизм денежно-кредитной политики


Однако реакция денежного рынка зависит от характера спроса на деньги, т.е. от крутизны кривой LD. Если спрос на деньги достаточно чувствителен к изменению процентной ставки, то результатом увеличения денежной массы станет незначительное изменение ставки. И наоборот, если спрос на деньги слабо реагирует на процентную ставку (крутая кривая LD), то увеличение предложения денег приведет к существенному падению ставки ( 23.5б,в).
Очевидно, что нарушения в любом звене передаточного механизма могут привести к снижению или даже отсутствию каких-либо результатов денежно-кредитной политики. Например, незначительные изменения процентной ставки на денежном рынке или отсутствие реакции составляющих совокупного спроса на динамику ставки разрывают связь между колебаниями денежной массы и объемом выпуска. Эти нарушения в работе передаточного механизма денежно-кредитной политики особенно сильно проявляются в странах с переходной экономикой, когда, например, инвестиционная активность экономических агентов связана не столько с процентной ставкой на денежном рынке, сколько с общей экономической ситуацией и ожиданиями инвесторов.



Теории экономического роста


Многие авторы также ставят этот показатель на первое место. Технический прогресс рассматривается как реализация в процессе проведения НИОКР накопленных знаний, навыков, приемов, технической информации и других нововведений.
На экономический рост большое влияние оказывает экономическая политика государства, стимулирующая его или фактически мешающая ему. Немаловажное значение имеют внешние аспекты, в том числе участие в международном разделении труда и экономической интеграции, степень открытости экономики мировому хозяйству.
Россия на мировом рынке продолжает выступать как поставщик сырья и импортер готовой продукции. Отсутствие притока капиталов, технологий, управленческого опыта замедляют ее экономическое развитие. Между тем иностранные инвестиции могли бы стать для России катализатором экономического прогресса.
3. Теории экономического роста Современные теории экономического роста сформировались на основе двух источников: неоклассической теории, уходящей своими корнями к теоретическим взглядам Ж. Б. Сэя и получившей законченное выражение в работах американского экономиста Дж.Б. Кларка (18471938), и кейнсианской теории макроэкономического равновесия.

Неоклассическое направление В центре неоклассического направления стоит идея оптимальности рыночной системы, рассматриваемой как совершенный саморегулирующийся механизм, позволяющий наилучшим образом использовать все производственные факторы не только отдельному экономическому субъекту, но и экономике в целом.
В реальной экономической жизни общества это равновесие нарушается. Однако моделирование равновесия позволяет найти отклонение реальных процессов от идеала. Наиболее .известны факторная модель КоббаДугласа и простая односекторная модель экономической динамики Р. Солоу.
Факторная модель КоббаДугласа (см. 2.2) показывает взаимодействие и взаимозаменяемость труда и капитала, насколько продукт обязан своим созданием тому или иному фактору, при какой их комбинации может быть достигнут максимум продукции при наименьших затратах.
Один и тот же объем прироста национального продукта может быть получен в результате либо увеличения капиталовложений, либо расширения использования труда. Поэтому на основе производственных функций осуществляется выбор требуемой в данных конкретных условиях технологической комбинации данных факторов производства.
В последующих многочисленных исследованиях экономистов (Э. Денисона, Р. Солоу) модель КоббаДугласа была модифицирована и развита путем ввода других факторов роста: возраста основного капитала, масштаба производства, квалификации работников, продолжительности рабочей недели и т.д.

Неоклассические модели Солоу
Значительный вклад в развитие теории экономического роста внес Р. Солоу. Им были разработаны две модели: модель факторного анализа источников экономического роста и модель, раскрывающая взаимосвязь сбережений, накопления капитала и экономического роста. Основой первой модели явилась производственная функция КоббаДугласа. Она была модифицирована путем ввода еще одного фактора уровня развития технологий: .

Q =F (K, L, T) (21.2)

где Q выпуск продукции; К основной капитал; L вложенный труд (в виде заработной платы); Т уровень развития технологий.

Солоу предположил, что изменение технологий приводит к одинаковому увеличению предельного продукта К и L, т.е.

Q = TF (K ,L), (21.3)

где F (K, L) обычная неоклассическая производственная функция КоббаДугласа.

Прирост выпуска продукции может быть представлен следующим образом:
s Q= sTF (K, L) + s К TFK + s L TFL (21.4)

Это означает, что прирост выпуска продукции пропорционально зависит от прироста технологий (sT), прироста основного капитала (sK) и прироста вложенного труда (sL). Доля изменения капитала в выпуске равна s К, умноженному на предельный продукт капитала ( TFK), а доля применения труда в выпуске равна s L, умноженному на предельный продукт труда (TFL)
Темп роста выпуска продукции может быть представлен уравнением:

s Q = s T + SL + s L +Sk + sК
Q T L К

Как видно, темп прироста выпуска s Q зависит от:
Q

темпа технического прогресса s T
T

темпа прироста объема вложенного труда s L , умноженного на долю
L

заработной платы (труда) в суммарном выпуске SL (доля заработной платы в продукте определяется как отношение номинальной заработной платы к цене выпуска);
темпа прироста капитала s K , умноженного на долю капитала в выпуске SK
K

Если доли труда и капитала в выпуске продукции измеряются на основе производительности труда, капиталовооруженности на одного работающего и фондоотдачи, то вклад технического прогресса представляется как остаток после вычета из прироста выпуска продукции доли, полученной за счет прироста труда и капитала, т.е. s T
T
это так называемый остаток Солоу, который выражает долю экономического роста за счет технического прогресса, или «прогресса в знаниях».
Другая модель Солоу показывает взаимосвязь между сбережениями, накоплением капитала и экономическим ростом.
Если обозначить производство продукции на одного занятого q, количество капитала на одного работающего k (капитало- или фондовооруженность), то производственная функция примет вид:
q = TF( k).




Теории экономического роста



21.1. Производственная функция в расчете на душу населения

Как видно из 21.1, по мере роста фондовооруженности происходит рост q, но оно возрастает в меньшей степени, так как падает предельная производительность капитала (фондоотдача).
В модели Солоу объем производства (Q) определяется инвестициями (I) и потреблением (С). Предполагается, что экономика носит закрытый от мирового рынка характер и отечественные инвестиции (I) равны национальным сбережениям, или объему валового накопления (S), т.е. I= S.
Как уже было показано, динамика объема выпуска в данном случае зависит от фондовооруженности, изменяющейся под воздействием выбытия основного капитала или инвестиций. В свою очередь инвестиции зависят от нормы валового накопления, которая является относительной величиной и исчисляется как отношение валового накопления к созданному продукту: S(I) . 100 ;
Q

она определяет деление продукта на инвестиции, сбережения и потребление.
Норма накопления непосредственно влияет на уровень фондовооруженности. С ростом нормы накопления (сбережения) инвестиции увеличиваются, превышая выбытие. При этом производственные фонды возрастают.
Таким образом, в краткосрочном периоде ускорение экономического роста зависит от нормы накопления. В дальнейшем, развивая свою модель, Солоу вводит новые факторы, влияющие наряду с инвестициями и выбытием на фондовооруженность: рост численности населения (рабочей силы) и технический прогресс.
Предполагается, что технологические изменения являются трудосберегающими, т.е. способствуют повышению квалификации, развитию профессиональных навыков, образовательного уровня работающих.

Кейнсианство
Центральная проблема макроэкономики для кейнсианской теории факторы, определяющие уровень и динамику национального дохода, его распределение. Эти факторы рассматриваются с позиции реализации в условиях формирования эффективного спроса. Кейнс сосредоточил усилия на изучении составных частей спроса, т.е. потребления и накопления, а также факторов, от которых зависит движение этих составных частей и спроса в целом.
Именно с движением потребления и накопления Кейнс связывал объем и динамику национального дохода.
Чем больше инвестиции, тем меньше размеры потребления сегодня и значительнее условия и предпосылки для его увеличения в перспективе. Поиск разумного соотношения между накоплением и потреблением одно из перманентных противоречий экономического роста и вместе с тем условие для совершенствования производства, умножения национального продукта.
В гл. 4 уже проводилось различие между инвестированием и сбережением. Рост сбережений в экономическом смысле означает переключение средств с приобретения предметов потребления на инвестиционные товары. Равенство сбережений и инвестиций одно из непременных условий устойчивого экономического роста.
Если сбережения превышают инвестиции, то образуются излишние запасы, не полностью используется оборудование, увеличивается безработица. Если же инвестиционный спрос опережает размеры сбережений, то это ведет к «перегреву» экономики, подстегивает инвестиционный рост цен.
В динамике экономического роста соотношение между сбережениями и инвестициями принимает несколько более сложную форму. Ведь сбережения, отложенные сегодня, будут трансформированы в инвестиции, которые будут осуществлены завтра. Значит, сегодняшние сбережения должны соответствовать завтрашним инвестициям. А в этом случае их совпадение, согласование становится более сложным, в известной мере проблематичным.
Оказывается, что в долгосрочном периоде речь идет о фактических сбережениях и ожидаемых инвестициях. Кейнсианская теория уделяет этой проблеме особое внимание.
Для всех моделей кейнсианского направления характерна общая зависимость между сбережениями и инвестициями, которая может быть выражена следующим образом:


TПР = s НД = ФН/НД .NНД (21.6)
НД ФН/s НД s КНД



Теории международной экономической интеграции


выработка общей внешней политики, политического сотрудничества.
Европейский союз высшая на данный период времени форма интеграции имеет целью создание на его территории триединого союза: экономического, валютного, имеющего единую валюту евро, и политического. Предполагается проведение сбалансированной долгосрочной социальной и экономической политики.
Развитие экономической интеграции несомненно имеет положительные эффекты для участвующих сторон и определенные негативные последствия. Так, формирование интеграционных блоков значительно усиливает их экономический потенциал, способствует расширению товарооборота и кооперационно-производствен-ных связей. Это подтверждается развитием многих интеграционных группировок, в том числе ЕС, НАФТА, МЕРКОСУР и др.
Кроме того, экономическое сближение стран в региональных рамках создает благоприятные условия для фирм стран участниц экономической интеграции, защищая их в определенной степени от конкуренции со стороны фирм третьих стран.
Далее, интеграционное взаимодействие позволяет его участникам совместно решать наиболее острые социальные проблемы, такие, как выравнивание условий развития наиболее отсталых регионов, смягчение положения на рынке труда, проводить научно-техническую политику, что характерно для стран членов ЕС.
Однако взаимодействие национальных хозяйств происходит с разной степенью интенсивности, в разных масштабах, проявляясь более четко в отдельных регионах.
Наиболее зрелую форму международной интеграции представляет ЕС; достаточно успешно развиваются интеграционные процессы в Североамериканском и Азиатско-Тихоокеанском регионах. А в Латинской Америке и особенно в Африке слишком различные стартовые условия и разнообразные интересы не позволяют странам этих континентов наладить эффективное прочное межгосударственное сотрудничество.
Более того, периодически возникают противоречия интересов стран-участниц и внутри группировок. Так, решение о введении в ЕС единой денежной единицы евро разделило входящие в Евросоюз государства на сторонников и противников этой акции (к последним относятся Великобритания, Швеция, Дания).
Функционирование зон свободной торговли, либерализация импорта усиливают конкуренцию на внутреннем рынке, что создает, как уже отмечалось, угрозу для национальных производителей товаров.
2. Теории международной экономической интеграции В теории экономической интеграции выделяется ряд направлений, отличающихся прежде всего разными оценками интеграционного механизма. Это неолиберализм, корпорационализм, структурализм, неокейнсианство, дирижистские направления и др.
Представители раннего н е о л и б е р а л и з м а (19501960 гг. ) швейцарский экономист Вильгельм Репке и француз Морис Аллэ под полной интеграцией понимали создание единого рыночного пространства в масштабе нескольких стран, функционирование которого осуществляется на основе действия стихийных рыночных сил и свободной конкуренции независимо от экономической политики государств и существующих национальных и международных правовых актов. Вмешательство же государства в сферу международных экономических отношений приводит, по их мнению, к таким негативным явлениям, как инфляция, разбаланси-рованность международной торговли, расстройство платежей.
Однако развитие международной экономической интеграции, формирование региональных межгосударственных союзов при активном участии государств показали несостоятельность взглядов ранних неолибералов. Представитель позднего неолиберализма американский ученый Бела Баласса рассматривал проблему интеграции в несколько иной плоскости: ведет ли экономическая интеграция к более интенсивному участию государства в экономических делах. Большое внимание уделялось эволюции интеграции, происходящей на основе как экономических, так и политических процессов.
В середине 60-х гг. возникло направление к о р п о р а ц и о н а л и з м а , представители которого американские экономисты Сидней Рольф и Юджин Ростоу выявили новый стержень интеграции. Они считали, что в противоположность рыночному механизму и государственному регулированию функционирование ТНК способно обеспечить интегрирование международной экономики, ее рациональное и сбалансированное развитие.
Представители с т р у к т у р а л и з м а шведский экономист Гуннар Мюрдаль и др. критически отнеслись к идее полной либерализации движения товаров, капитала и рабочей силы в интегрируемом пространстве, считая, что свободное функционирование рыночного механизма может привести к определенным диспропорциям в развитии и размещении производства, углублению неравенства в доходах. Экономическая интеграция рассматривалась ими как глубокий процесс структурных преобразований в экономике интегрирующихся стран, в результате которых возникает качественно новое интегрированное пространство, более совершенный хозяйственный организм. По их мнению, полюсами развития интеграции являются крупные фирмы, промышленные компании, целые отрасли промышленности.
В 70-х гг. широкое распространение получили идеи н е о к е й н с и а н с т в а, представители которого американский экономист Ричард Купер и др.в частности, считали, что центральная проблема международного экономического сотрудничества состоит в том, как уберечь многообразные выгоды широкого международного экономического взаимодействия от ограничений и в то же время сохранить максимальную для каждой страны степень свободы. Неокейнсианцы выдвинули два возможных варианта развития международной интеграции: первый интеграция с последующей утратой национальной свободы, но обязательным согласованием экономических целей и политики; второй интеграция с условием сохранения как можно больше национальной автономии. Предполагая, что ни один из этих вариантов не может быть представлен в чистом виде, они считали необходимым их оптимальное сочетание путем согласования внутренней и внешней хозяйственной политики интегрирующихся сторон.
Разновидностью неокейнсианского направления является д и р и ж и з м, теоретики которого также отрицают решающую роль в интеграционных процессах рыночного механизма и считают, что создание и функционирование международных экономических структур возможно на основе разработки интегрирующимися сторонами общей экономической политики, согласования социального законодательства, координации кредитной политики. Данное направление экономической мысли представлено голландским ученым Яном Тинбергеном.
Значительную роль в развитии теории международной экономической интеграции сыграли отечественные экономисты. Н.П. Шмелев связывает истоки мировых интеграционных процессов с потребностями современного международного разделения труда, развитием научно-технического прогресса, углублением международной специализации и кооперации хозяйственных структур отдельных стран.
Наиболее важными характеристиками интеграции он считает межгосударственное регулирование экономических процессов, постепенное формирование интеграционного хозяйственного комплекса с общими пропорциями и общей структурой воспроизводства; устранение административных и экономических барьеров, препятствующих свободному передвижению в пределах региона товаров, капитала и рабочей силы; выравнивание уровней экономического развития интегрирующихся стран.
Ю.В. Шишков выделяет в межгосударственном интеграционном процессе «частные интеграции» производства, национальных, товарных и кредитных рынков. По его мнению, в воспроизводственном цикле наименее поддается интегрированию производственная сфера и в большей степени кредитно-финансовая. Шишков справедливо считает, что интеграция основана на действии рыночных механизмов, которые регулируют прежде всего прямые международные хозяйственные связи на уровне агентов экономики.
За этим закономерно следует взаимоприспособление национальных, правовых, фискальных и прочих систем.
В настоящее время в связи с расширением ЕС за счет вступления в него новых стран разработан ряд моделей дальнейшего развития европейской интеграции по пути ее углубления, среди которых выделяются модели «ступенчатой интеграции», «Европы концентрических кругов», «дифференцированной интеграции». В основе первых двух моделей заложена идея создания в ЕС «ядра» из наиболее развитых стран, вокруг которого формируются «круги» из стран с меньшей глубиной интеграции.
Модель «дифференцированной интеграции» исходит из того, что географическое расширение ЕС должно изменить концепцию интеграции и предполагает дифференциацию скорости интеграционных процессов по различным странам. Как и «ступенчатая», «дифференцированная» интеграция преследует цель углубления интеграционных процессов, но при этом исключает необходимость подписания договоров и ограничение времени. Предусматривается также создание «ядра» с разным составом участников.

3. Главные интеграционные группировки мира Как следует из анализа теорий интеграции, ее объективный характер не означает, что она происходит спонтанно, стихийно, вне рамок управления со стороны государства и межгосударственных органов. Формирование региональных интеграционных комплексов имеет договорно-правовую базу. Целые группы стран на основе взаимных соглашений объединяются в региональные межгосударственные комплексы и проводят совместную региональную политику в разных сферах общественно-политической и хозяйственной жизни.



Теории платежного баланса


Сальдо баланса по текущим операциям (наиболее часто упоминаемое сальдо) рассматривается, как правило, в качестве справочного сальдо платежного баланса, поскольку определяет потребность страны в финансировании, являясь одновременно фактором внешнеэкономических ограничений во внутренней экономической политике. Положительное сальдо текущего платежного баланса означает, что страна является нетто-кредитором по отношению к другим государствам, и наоборот, дефицит по текущим операциям означает, что страна становится чистым должником, обязанным платить за нетто-импорт товаров, услуг и финансировать трансферты. Фактически страна с положительным сальдо текущего платежного баланса инвестирует часть национальных сбережений за границей вместо того, чтобы наращивать внутреннее накопление капитала.
Сальдо движения капитала и финансов фактически является зеркальным отражением состояния текущего сальдо, так как показывает финансирование потока реальных ресурсов. Правда, часть этого зеркального отражения обычно приходится на статью «Чистые ошибки и пропуски».
Сальдо баланса официальных расчетов является наиболее распространенным определением общего (итогового) сальдо платежного баланса и свидетельствует об увеличении (уменьшении) ликвидных требований к стране со стороны нерезидентов или об увеличении (уменьшении) официальных резервов страны в иностранных ликвидных активах. Напомним, что это сальдо охватывает все статьи, кроме статьи «Резервные активы».

Теории платежного баланса Государство регулирует платежный баланс страны. При этом оно во многом опирается на теории платежного баланса. Эти теории прошли длительный путь. Господствовавшая в XIX и начале XX вв. в условиях золотого стандарта классическая теория а в т о м а т и ч е с к о г о р а в н о в е с и я шотландца Д. Юма (17111776) отошла затем в прошлое вместе с золотым стандартом. Однако в последние два-три десятилетия интерес к этой теории вновь возрос.
Если в прежних условиях роль автоматического регулятора брала на себя статья «Резервные активы», то теперь, в условиях плавающих валютных курсов, таким автоматическим регулятором отчасти становится плавающий обменный курс национальной валюты, который падает при ухудшении состояния платежного баланса и возрастает при его улучшении, что автоматически ведет к изменениям во многих текущих операциях и отчасти в движении капитала.
Затем сформировался неоклассический э л а с т и ц и о н н ы й подход, разработанный прежде всего Дж. Робинсон, А. Лернером, Л. Мецлером. Этот подход подразумевает, что сердцевиной платежного баланса является внешняя торговля и сальдо торгового баланса определяется прежде всего отношением уровня цен на экспортируемые товары Рe к уровню цен на импортируемые товары Рi,умноженным на валютный курс r, т.е.
Теории платежного баланса
. Отсюда делается вывод: наиболее эффективным средством обеспечения равновесия платежного баланса является изменение валютного курса.
Ведь девальвация национальной валюты снижает экспортные цены в иностранной валюте, а ревальвация удорожает для иностранных покупателей приобретение товаров указанной страны и удешевляет для ее собственных резидентов ввоз иностранных товаров.
Но что особенно важно, степень этих изменений в зарубежном спросе на экспорт страны и в отечественном спросе на импорт определяется коэффициентом эластичности спроса на экспорт и импорт. Это необходимо учитывать при изменении обменного курса. Так, импорт товаров, которые нужны стране, но не производятся в ней, обладает небольшой эластичностью по сравнению с импортом, который конкурирует с местными товарами.
Работы С. Александера на основе идей Дж. Мида и Я. Тинбергена легли в основу а б с о р б ц и о н н о г о п о д х о д а , который в целом базируется на кейнсианской теории. Этот подход стремится связать платежный баланс (прежде всего торговый баланс) с основными элементами ВВП, в первую очередь с совокупным внутренним спросом (для его обозначения и используется термин «абсорбция»). Абсорбционный подход указывает на то, что улучшение состояния платежного баланса (в том числе через девальвацию национальной валюты) увеличивает доход страны и вследствие этого абсорбцию в целом, т.е. и потребление, и капиталовложения.
Отсюда кейнсианцы делают вывод: нужно стимулировать экспорт, сдерживать импорт, и прежде всего через повышение конкурентоспособности отечественных товаров и услуг в целом (а не только путем девальвации национальной валюты).
М о н е т а р и с т с к и й п о д х о д к платежному балансу был заложен в трудах многих авторов, особенно Х. Джонсона и Дж. Поллака. Главное внимание здесь, естественно, уделяется денежным факторам, прежде всего воздействию сальдо итогового платежного баланса на денежное обращение в стране.
Монетаристы считают, что именно неравновесие на денежном рынке страны определяет неравновесие платежного баланса в целом.
Отсюда их главная рекомендация правительству: не вмешиваться радикально не только в денежное обращение, но и в международные расчеты страны. Ведь если в обращении находится больше денег, чем нужно, то от них стараются избавиться, в том числе и покупая больше иностранных товаров, услуг, имущества и других активов. Чтобы ликвидировать дефицит платежного баланса, требуется лишь жесткий контроль над денежной массой.
И вообще к этой проблеме следует относиться как к второстепенной, считают монетаристы, потому что дефицит платежного баланса помогает экономике быстрее избавиться от излишка имеющихся в обращении денег.

2. Анализ платежного баланса: пример России Анализ платежного баланса России за 19921998 гг. позволяет выявить ряд устойчивых тенденций в его динамике и структуре, предопределенных процессом либерализации внешних экономических связей и макроэкономической политикой правительства в период рыночных реформ. Прежде всего необходимо отметить:
рост положительного сальдо торгового баланса и соответственно сальдо текущих операций (текущего платежного баланса);
устойчивое отрицательное сальдо баланса услуг;
постоянно увеличивающееся отрицательное сальдо доходов от инвестиций в результате нарастающих платежей по обслуживанию внешнего долга;
огромные объемы просроченных платежей по обязательствам развивающихся стран перед Россией и перенесенных платежей по обслуживанию внешнего долга бывшего СССР;
резкие колебания сальдо баланса движения капиталов и резервных активов;
значительные отрицательные суммы неучтенных операций, отражаемых по статье «Чистые ошибки и пропуски».
Тенденция к росту положительного сальдо торгового баланса обусловлена значительным увеличением объемов экспорта, прежде всего товаров топливно-энергетической группы в условиях «открытия» экономики и сохранения низкого совокупного спроса и предложения на внутреннем рынке. При этом импорт товаров рос более низкими темпами. Необходимо также отметить, что более чем на 20% импорт обеспечивается «челночной торговлей».
Устойчивое отрицательное сальдо баланса нефакторных услуг обусловлено главным образом отрицательным балансом по статье «Поездки (туризм)». После «открытия» экономики число российских граждан, выезжающих за рубеж на отдых и в командировки, резко возросло. В результате в 19941998 гг. ежегодные расходы российских граждан за рубежом превосходили в 23 раза расходы нерезидентов на эти цели в России.
Сальдо баланса доходов от инвестиций и оплаты труда традиционно является отрицательным. Это связано с тем, что ежегодные платежи процентов по привлеченным Россией кредитам превышают поступления процентов по кредитам, ею предоставленным, более чем в 1,5 раза.
В связи с увеличением платежей по обслуживанию Россией внешнего долга в 1997-1998 гг. наблюдалось резкое сокращение положительного сальдо по текущим операциям.
Положительное сальдо баланса по текущим операциям, на первый взгляд свидетельствует об отсутствии необходимости в привлечении внешних валютных ресурсов для финансирования текущих операций. Счет операций с капиталом и финансовыми инструментами позволяет проанализировать структуру и динамику таких инвестиций как за рубежом, так и в России.
Объем привлеченных прямых инвестиций в последние годы продолжает оставаться на относительно невысоком уровне 0,40,5 млрд долл. в квартал, что является следствием неблагоприятного инвестиционного климата в России. Обращает на себя внимание значительный объем и структура привлеченных портфельных инвестиций в 19961998 гг. После открытия в 1996 г. рынка ГКО для операций нерезидентов общий объем импортных инвестиций в этот вид ценных бумаг достиг к концу первого квартала 1998 г. 19,9 млрд долл.
За этот же период вложения нерезидентов в еврооблигации федеральных и местных органов власти составили 10,8 млрд долл. (без учета облигаций, выпущенных по соглашению с Лондонским клубом).
Таким образом, на протяжении последних трех лет именно портфельные инвестиции должны были быть основным источником финансирования текущих операций. Однако необходимо отметить, что, во-первых, это финансирование носило в основном (на 2/3) краткосрочный характер, а во-вторых, его значение для текущих операций становится менее существенным на фоне оттока краткосрочных капиталов по каналам экспортно-импортных операций и в виде ввоза иностранной валюты в страну.



Теория эффективного спроса.





В дальнейшем экономическая социология получила наибольшее развитие в трудах американских институционалистов, в частности, исследовались социальные аспекты международных отношений, международного разделения труда, межгосударственных связей.
4. Кейнсианство Одна из наиболее известных и признанных школ экономической теории, предложившая свои рецепты регулирования экономики, неразрывно связана с именем и работами англичанина Джона Мейнарда Кейнса (18831946). Рецепты Кейнса нашли применение на практике, в экономических программах, практических мерах и акциях экономической политики. Кейнсианские рекомендации применялись не только в Англии и США, но и в других странах Запада.
Выводы и положения этой экономической школы в известной мере полезны и для нас.
В 30-х гг., когда разрабатывалась и была опубликована «Общая теория занятости, процента и денег» Дж.М. Кейнса',



См.: Кейнс Дж.М. Избранные произведения. М., 1993.




проблема состояла в том, чтобы найти методы, обеспечивающие выход из глубокого кризиса, создать условия для роста производства и преодоления массовой безработицы.

Идеи, выдвинутые Кейнсом

В чем суть концепции, предложенной Кейнсом?
Во-первых, ее именуют теорией эффективного спроса. Идея Кейнса состоит в том, чтобы через активизацию и стимулирование совокупного спроса (общей покупательной способности) воздействовать на расширение производства и предложение товаров и услуг.
Во-вторых, это теория, придающая решающее значение инвестициям. Чем выше их прибыльность, ожидаемый от них доход и чем значительнее размеры инвестиций, тем больше масштабы и выше темпы производства.
В-третьих, это теория, согласно которой государство может воздействовать на инвестиции, регулируя уровень процента (ссудного, банковского) либо осуществляя инвестиции в общественные работы и другие сферы. Теория Кейнса предусматривает активное вмешательство государства в экономическую жизнь. Кейнс не верил в саморегулирующийся рыночный механизм и считал, что для обеспечения нормального роста и достижения экономического равновесия необходимо вмешательство извне.
Сама рыночная экономика «вылечить» себя не может.

Спрос создает предложение Кейнс обратил внимание на то, что ускользало от внимания других экономистов. Он выступил с критикой так называемого закона Сэя, который разделялся многими из них. Ж. Б. Сэй считал, что производство само формирует доходы, обеспечивая соответствующий спрос на товары, само исключает общее перепроизводство товаров и услуг.
Нарушения могут происходить по отдельным товарам или товарным группам в силу каких-либо внешних причин, а не в силу нарушения внутренних взаимосвязей, несовершенства самого хозяйственного механизма.
Подобная позиция исходила из безденежного, натурального обмена. Между тем реальная экономическая практика не имеет ничего общего с «некоторого рода безобменной экономикой Робинзона Крузо»1



Кейнс Дж. М. Указ. соч. С. 237.


Аналогии между робинзонадой и реальной экономической действительностью неубедительны. Надо не забывать о роли денег, о том, что товары не просто обмениваются «товар на товар», а продаются и покупаются. Если спрос меньше произведенной в обществе продукции, то возникает несоответствие, часть продукции не находит сбыта.
Цены не успевают выравнивать спрос и предложение.
Здесь действует «эффект храповика». В случае возрастания спроса цены растут, в случае его сокращения они остаются на прежнем уровне. Понизить уровень заработной платы весьма трудно: колесо не крутится в обратном направлении; рабочие и профсоюзы упорно противодействуют.
Низкие ставки не устраивают и предпринимателей, они боятся потерять квалифицированных рабочих.
То, что может сделать отдельная фирма, нередко оказывается проигрышем для других фирм. Нормальное функционирование отдельных фирм недостаточное условие для успешного функционирования экономики в целом. Когда же произойдет повсеместное снижение заработной платы, то снизится покупательная способность населения, сократится спрос на товары, а это приведет не к снижению (как полагают классики), а к увеличению безработицы.
Производство еще больше сократится, численность потерявших работу возрастет.
Кейнс приходит к выводу: размеры общественного производства и занятости, их динамика определяются не факторами предложения, а факторами платежеспособного спроса. В центре внимания должно находиться рассмотрение спроса и его составляющих, а также факторов, влияющих на спрос.
Совокупный спрос это реальный объем национального производства товаров и услуг, которые домашние хозяйства, предприятия и государство готовы купить при данном уровне цен.
Рост совокупного спроса тормозят два фактора. Первый психология потребителей. С увеличением доходов не все они будут направлены на покупки товаров (на повышение уровня потребления), часть доходов пойдет на сбережения. С увеличением входов склонность к потреблению понижается, склонность к сбережению возрастает.
Это своего рода психологический закон. Второй тормоз снижение эффективности капитальных вложений. С увеличением размеров накопленного капитала норма прибыли снижается в силу закона убывающей производительности капитала.
Если норма прибыли не сильно отличается от нормы процента, то расчет на получение высоких доходов от расширения и модернизации производства оказывается малопривлекательным. Спрос на инвестиционные товары падает.

Инструменты регулирования Как увеличить инвестиции, которые играют решающую роль в расширении платежеспособного спроса?
Во-первых, предлагалось снизить проценты на кредиты, что увеличит разрыв между стоимостью кредитов и ожидаемой прибыльностью капиталовложений, поднимет их «предельную эффективность». Предприниматели будут вкладывать денежные средства не в ценные бумаги, а в развитие производства.
Во-вторых, чтобы стимулировать эффективный спрос, Кейнс рекомендовал увеличить государственные расходы, инвестиции и закупки товаров. Расчет делался на то, что государство «будет брать на себя все большую ответственность за прямую организацию инвестиций»'.




Кейнс Дж.М. Указ. соч. С. 351.


Предполагалось, что расширение инвестиционной деятельности государства будет направлено прежде всего на организацию общественных работ строительство шоссейных дорог, освоение новых районов, сооружение предприятий.
В-третьих, намечалось перераспределение доходов в интересах социальных групп, получающих наиболее низкие доходы. Такая политика была призвана увеличить спрос этих социальных групп, повысить денежный спрос массовых покупателей. Склонность к потреблению в обществе должна увеличиться.
В итоге, утверждал Кейнс, расширится производство, будут привлечены дополнительные работники, сократится безработица ( 7.1). Рассматривая два инструмента регулирования спроса денежно-кредитный и бюджетный, Кейнс отдавал предпочтение второму. Во время спада инвестиции слабо реагируют на снижение уровня процентной ставки (денежно-кредитный способ регулирования).
Значит, главное внимание следует уделять не снижению процентной ставки (косвенная форма регулирования), а бюджетной политике, в том числе увеличению тех расходов самого государства, которые стимулируют инвестиции фирм.







Теория эффективного спроса.






7.1. Концепция Кейнса: пути стимулирования спроса


Инвестиционный мультипликатор
В кейнсианской теории важную роль играет концепция мультипликатора. В переводе «мультипликатор» означает «множитель» (лат. multiplicator умножающий). Мультипликатор множит, усиливает спрос в результате воздействия инвестиций на рост дохода.
Мультипликатор это коэффициент, выражающий соотношение между приростом дохода и вызывающим этот прирост увеличением объема инвестиций. Он показывает зависимость прироста национального дохода от прироста инвестиций. Мультипликатор увеличивается в том случае, когда потребители склонны использовать прирост их доходов для наращивания потребления.
Напротив, он уменьшается, если усиливается склонность потребителей к накапливанию сбережений.
Однако существуют ограничители мультипликационного эффекта. Мультипликация имеет место при наличии неиспользованных мощностей и свободной рабочей силы. В первом случае происходит «дешевое» наращивание выпуска продукции за счет незначительных дополнительных вложений. Говоря об эффекте мультипликации, Кейнс имел в виду прежде всего расходы из государственного бюджета, например на организацию общественных работ.
Он иронически замечал, что можно было бы организовать и бессмысленные работы, к примеру наполнять бутылки банкнотами и зарывать в землю, чтобы их разыскивали безработные.
Рекомендации неокейнсианцев
Последователи Кейнса (неокейнсианцы) дополнили и конкретизировали его положения и рекомендации. Например, концепцию мультипликатора они дополнили концепцией акселератора. Акселератор означает «ускоритель» (лат. accelerare ускорять) и показывает зависимость прироста инвестиций от прироста дохода. Каждый прирост дохода вызывает больший в процентном отношении прирост инвестиций.
Исходя из взаимосвязи мультипликатора и акселератора, неокейнсианцы разработали схему непрерывного, динамичного роста экономики. Была создана теория регулирования экономики в различных конъюнктурных условиях (спада и роста). Разработано положение о регулировании ее через госбюджет с использованием стабилизаторов, призванных в известной степени автоматически реагировать на циклические колебания, смягчать эти колебания (в качестве стабилизаторов выступают налоги, выплаты по социальному страхованию, пособия).



Теория конкурентных преимуществ страны Майкла Портера


Опыт промышленно развитых стран должен учитываться при разработке экономической стратегии России.

Теория конкурентных преимуществ страны Майкла Портера Дальнейшее развитие на качественно новой основе теория сравнительных преимуществ получила в трудах известного американского экономиста Майкла Портера'.





' Портер М. Международная конкуренция. Конкурентные преимущества стран. М., 1993.
С. 896.


На основании анализа обширного статистического материала М. Портер создал оригинальную теорию конкурентного преимущества страны. Центральное место в его концепции занимает идея так называемого национального ромба, раскрывающего главные свойства (детерминанты) экономики, формирующие конкурентную макросреду, в которой действуют фирмы этой страны ( 34.8).






Теория конкурентных преимуществ страны Майкла Портера






34.8, Детерминанты конкурентного преимущества страны («национальный ромб»)


«Национальный ромб» выявляет систему детерминантов, которые, находясь во взаимодействии, создают благоприятную или неблагоприятную среду для реализации потенциальных конкурентных преимуществ страны. Каковы же эти детерминанты?
П а р а м е т р ы ф а к т о р о в представляют собой материальные (вещественные) и нематериальные условия, необходимые для формирования конкурентного преимущества страны в целом и ее ведущих экспортоориентированных отраслей.
Рассматривая факторы производства с точки зрения их влияния на конкурентные преимущества страны. Портер наряду с традиционными факторами (труд, земля, капитал, предпринимательские способности) выделяет и такие, как ресурс знаний, т.е. сумма научной, технической и рыночной информации, влияющей на конкурентоспособность товаров и услуг, а также инфраструктуру (транспортная система, система связи, почтовые услуги, система здравоохранения, обеспеченность населения жилым фондом и др.).
Важное значение в теории М. Портера уделяется делению факторов на о б щ и е (например, сеть автомобильных дорог, персонал с высшим образованием и др.), которые создают конкурентные преимущества для широкого спектра отраслей, и с п е ц и а л и з и р о в а н н ы е (например, персонал с узкой специализацией, база данных в определенной области знаний и т.д.), которые, как правило, применимы в ограниченном числе отраслей или даже в одной-единственной отрасли. При этом специализированные факторы, обеспечивая более длительное и устойчивое конкурентное преимущество фирмам соответствующих отраслей на мировом рынке, в то же время требуют значительных и долговременных капиталовложений.
С т р а т е г и я ф и р м, и х с т р у к т у ра и с о п е р н и ч е с т в о. В обеспечении национального конкурентного преимущества немаловажную роль играет фирменная структура и конкурентная среда внутри страны, которая складывается в результате соперничества фирм. Если отсутствует конкурентная среда или соперничество между фирмами, если стратегия фирмы не ориентирована на деятельность в условиях соперничества, то на внешнем рынке у таких фирм конкурентного преимущества обычно не возникает.
П а р а м е т р ы с п р о с а это, в первую очередь, емкость спроса, динамика его развития, дифференциация на виды продукции, требовательность покупателей к качеству товаров и услуг. Именно на внутреннем рынке в условиях развитого спроса должны получать апробацию новые изделия до выхода на мировой рынок.
Р о д с т ве н н ы е и п о д д е р ж и в а ю щ и е о тр а с л и . Наличие в национальной экономике высокоразвитых родственных и поддерживающих отраслей, обеспечивающих фирмы в экспорто - ориентированных отраслях необходимыми материалами, полуфабрикатами, комплектующими изделиями, информацией, выступает необходимым условием создания и поддержания конкурентного преимущества в мировой торговле для фирм соответствующих отраслей.
В общей картине конкурентных преимуществ М. Портер отводит роль также с л у ч а ю и п р а в и т е л ь с т в у .
Случайными являются события, которые имеют мало общего с условиями развития экономики страны и влиять на которые часто не могут ни фирмы, ни правительство. К наиболее важным событиям такого рода можно отнести новые изобретения, крупные технологические сдвиги (прорывы), резкие изменения цен на ресурсы (например, «нефтяной шок»), значительные изменения на мировых финансовых рынках или в обменных курсах, всплески мирового или местного спроса, политические решения правительств, войны и другие непредвиденные обстоятельства. Случайные события могут изменить позиции соперничающих государств.
Они могут свести на нет преимущества старых мощных конкурентов и усилить экспортный потенциал других государств.
Р о л ь п р ав и т е л ь с т в а в формировании национального конкурентного преимущества состоит в оказании значительного влияния на все основные детерминанты «национального ромба», причем это влияние может быть как положительным, так и отрицательным. На параметры факторов производства и спроса правительство воздействует денежно-кредитной, налоговой, таможенной политикой. Само правительство в большинстве стран является покупателем товаров для армии, транспорта, связи, образования, здравоохранения и других отраслей. Осуществляя антимонопольное регулирование, правительство оказывает воздействие на поддержание оптимальной конкурентной среды в ведущих секторах и отраслях национальной экономики.
Наконец, правительство во многих странах содействует развитию родственных и сопряженных отраслей, взаимодействующих с ведущими экспортными отраслями.
Особое внимание М. Портер обращает на то, что во многих странах компании, успешно выступающие на мировых рынках, охватывают своей деятельностью и определяют уровень развития целого спектра отраслей, так называемый кластер. Отражая динамику конкурентных преимуществ страны, кластеры формируются, расширяются, но они могут и свертываться, и распадаться.
Таким образом, теория М. Портера наиболее полно отражает важнейшие факторы, определяющие конкурентные преимущества той или иной страны.
5. Внешняя торговля России: тенденции и перспективы развития
Место внешней торговли в экономике России Имея почти 150-миллионное население, обладая значительными энергетическими ресурсами, достаточно высококвалифицированными трудовыми ресурсами при пониженной стоимости рабочей силы, Россия представляет собой огромный рынок товаров, услуг и капиталов. Однако степень реализации этого потенциала во внешнеэкономической сфере весьма скромна. Доля России в мировом экспорте в 1997 г. составила около 1,3%.
На состоянии российской внешней торговли до сих пор болезненно отражаются резкое сокращение хозяйственных связей с другими бывшими советскими республиками в результате распада СССР и свертывание торговли с бывшими социалистическими странами - членами СЭВ, которые до начала 90-х гг. были главными потребителями отечественной машиностроительной продукции.
Но если роль России в мировой торговле невелика, то для нее самой значение внешнеэкономической сферы весьма существенно. Величина экспортной квоты России, рассчитанная на базе паритета покупательной способности рубля к доллару, составляет около 10%, делясь междудальним и ближним зарубежьем в соотношении примерно 5:1. Внешняя торговля остается важным источником поступления инвестиционных товаров, а также играет большую роль в снабжении населения России продовольствием и различными товарами потребительского назначения.

Структура внешней торговли России
Структура российской внешней торговли и ранее была не характерной для развитой страны. В настоящее время это в основном топливно-энергетические, простые химические и нефтехимические товары, черные и цветные металлы, оружие.
Существенные изменения произошли в товарной структуре российского импорта. В нем сократилась доля инвестиционных товаров, тогда как доля потребительских товаров возросла, составляя около 40% всего объема импорта (табл. 34.2).


Таблица 34.2. Структура внешней торговли России в 1998 г. (% к итогу)


Теория конкурентных преимуществ страны Майкла Портера



Конкурентные преимущества и слабые стороны России Перспективы развития внешней торговли России в значительной степени зависят от реализации конкурентных преимуществ ее промышленного комплекса. К ним помимо сырьевых ресурсов относятся: достаточно высокий уровень квалифицированной рабочей силы при ее сравнительной дешевизне, а также значительные объемы накопленных основных производственных фондов и фондов универсального обрабатывающего оборудования, что позволяет снизить капиталоемкость технологической модернизации производства; наличие уникальных передовых разработок и технологий в ряде секторов экономики, преимущественно связанных с ВПК.
Однако использование этих преимуществ сдерживается рядом причин. Это неразвитость финансовой и организационной инфраструктур внешнеторгового сотрудничества; отсутствие развитой системы государственной поддержки экспорта; трудности адаптации к условиям массового производства на основе конкурентных технологий, сосредоточенных в оборонном комплексе и предназначенных для малосерийного или единичного производства; низкая эффективность производства и чрезвычайно высокая доля материальных затрат даже в передовых секторах промышленности.



Теория международной торговли на основе эффекта масштаба



Перспективы развития внешней торговли России С учетом конкурентных преимуществ и слабых сторон России можно попытаться определить среднесрочные перспективы развития ее внешней торговли. Очевидно, что в российском экспорте топливно-сырьевые товары еще длительное время будут оставаться основной позицией. Однако для России вполне реально углубление степени переработки сырья и на этой основе увеличение в экспорте доли таких товаров, как целлюлоза, химическая продукция, удобрения и др.
Имеются возможности для стабилизации и расширения традиционного машинотехнического экспорта, к которому относятся легковые и грузовые автомобили, энергетическое и дорожное оборудование, оборудование для геологоразведки и др. С учетом наличия достаточно дешевой рабочей силы весьма перспективным является создание сборочных производств из ввозимых в Россию компонентов, ориентированных на внутренний и внешний рынок.
Имеются определенные перспективы для расширения экспорта наукоемкой продукции, что тесно связано с конверсией и коммерциализацией предприятий оборонного комплекса (в частности, экспорта аэрокосмических технологий и услуг, лазерной техники, оборудования для АЭС, современного оружия).
По мере развития отечественного сельского хозяйства и легкой промышленности, очевидно, в российском импорте будет сокращаться доля потребительских товаров и увеличиваться доля инвестиционных товаров машин и оборудования.





Выводы
1. В послевоенный период характерными чертами международной торговли являются беспрецедентно высокие темпы ее роста, концентрация товарного обмена в зоне развитых стран, увеличение в мировом товарообороте доли промышленных, в первую очередь, наукоемких товаров.
2. Теории международной торговли прошли в своем развитии ряд этапов вместе с развитием мировой экономической мысли.
3. Классические теории международной торговли заложили основы анализа мирохозяйственных связей. Создателями этих теорий были разработаны фундаментальные понятия мировой экономики, обоснованы методологические приемы ее углубленного изучения. Выводы, содержащиеся в классических теориях, стали своего рода отправными аксиомами для всего дальнейшего развития экономической мысли в рассматриваемой области.
4. Стандартная модель международной торговли, опираясь на достижения неоклассической теории, позволила дать математическую и графическую интерпретацию мирового товарного обмена и его воздействия на экономику отдельных стран. Тем самым была создана теория, более глубоко и детально отразившая реалии развития мирохозяйственных связей.
5. В альтернативных теориях международной торговли раскрываются ее отдельные аспекты, не объясненные классическими теориями. Некоторые из представителей этого направления, критически переосмыслив достижения своих предшественников, предложили собственную оригинальную трактовку участия национальных экономик в международном товарообмене. Особо следует отметить значительный вклад в развитие теории международной торговли М. Портера автора теории международной конкуренции. Большое внимание в ней уделяется формированию национальной макросреды в процессе взаимодействия основных детерминантов, определяющих конкурентные преимущества ведущих отраслей и фирм на мировом рынке.
Она имеет практическое значение и для разработки внешнеэкономической стратегии России.
6. Внешняя торговля России ни по своему объему, ни по структуре экспорта и импорта не соответствует экономическому потенциалу страны. Более полное использование ее конкурентных преимуществ и преодоление присущих ей недостатков возможно только в процессе возрождения экономики страны, создания полноценной системы государственной поддержки ее экспортного потенциала.





Термины и понятия
Мировая торговля
Структура мировой торговли
Мировые цены
Условия торговли
Теория абсолютных преимуществ
Теория сравнительных преимуществ
Теория факторов производства Хекшера Олина
Теория выравнивания цен на факторы производства (теорема Хекшера ОлинаСамуэльсона) Парадокс Леонтьева
Стандартная модель международной торговли
Теория специфических факторов производства
Теорема СамуэльсонаДжонса
Теория международной торговли на основе эффекта масштаба
Торгуемые и неторгуемые товары и услуги
Теорема Рыбчинского
«Национальный ромб» в теории международной конкуренции М. Портера



Вопросы для самопроверки 1, Допустим, страны А и Б имеют по 1000 работников, занятых в двух производствах: видеомагнитофонов и фотоаппаратов. В каждом из производств занято по 500 работников. Страна А имеет абсолютное преимущество в производстве фотоаппаратов; один работник может произвести в месяц 10 видеомагнитофонов или 20 фотоаппаратов.
Страна Б имеет абсолютное преимущество в производстве видеомагнитофонов; один работник может произвести 16 видеомагнитофонов или 8 фотоаппаратов.
Начав специализацию и сосредоточив 1000 работников в более эффективных отраслях, страны стали торговать друг с другом. Пользуясь соотношением мировых цен: один видеомагнитофон один фотоаппарат, покажите, что обе страны могут иметь больше видеомагнитофонов и больше фотоаппаратов, чем у них было до начала специализации и торговли друг с другом.
2. Предположим, что каждая из двух стран (А и Б) имеет по 2 млн работников, которые поделены поровну между сталелитейной и обувной промышленностью. При этом для страны А в сравнении со страной Б характерны большая производкгельность в выпуске стали и идентичная производительность в выпуске обуви: соответственно на 1 работника приходится 1 т стали и 10 пар обуви. В стране Б на 1 работника приходится 0,5 т стали и 10 пар обуви.
Покажите, что страна А обладает сравнительным преимуществом в производстве стали, а страна Б в производстве обуви.
Осуществив специализацию и сосредоточив по 2 млн работников в отраслях, имеющих сравнительное преимущество, страны начали торговать друг с другом. Пользуясь соотношением мировых цен: 10 пар обуви 0,6 т стали, покажите, что торговля между странами А и Б взаимовыгодна, т.е. в обеих странах возрастет потребление стали и в прежних масштабах будет удовлетворен спрос на обувь.
3. Объясните, почему согласно теории соотношения факторов Хекшера Олина страна получает наибольшие преимущества от участия в международной торговле, если она специализируется на экспорте товаров, в создании которых используются имеющиеся в данной стране в изобилии факторы, а импортирует товары, при создании которых используются дефицитные факторы?
4. Почему стандартная модель международной торговли предполагает возрастающие издержки замещения? Поясните это на конкретных примерах.
5. Из каких элементов складывается выигрыш страны от участия в международном обмене в соответствии со стандартной моделью международной торговли? Дайте их определение.
6. На основании какой из теорий: ХекшераОлина, специфических факторов производства или теоремы Рыбчинского сделаны следующие выводы:
а) рост цен на продовольственные товары приведет к росту доходов владелщев земли, т.е. фактора, который интенсивно используется для производства продовольствия, и сокращению доходов владельцев других факторов;
б) относительно трудоизбыточная страна будет импортировать относительно более капиталоемкие товары;
в) рост объема применяемого капитала, являющегося избыточным фактором в данной стране, приводит к непропорционально большому увеличению производства в экспортоориентированных отраслях и сокращению производства в импортозамещающих отраслях.
7. В чем, согласно теории «конкурентных преимуществ» М. Портера, состоит различие между общими и узкоспециализированными факторами? Почему последние наиболее надежно обеспечивают конкурентные преимущества в мировой торговле тех или иных отраслей? Приведите конкретные примеры.
8. Что препятствует использованию конкурентных преимуществ России для более эффективного ее участия в мировой торговле?






















































Торговый баланс и баланс текущих операций



Торговый баланс и баланс текущих операций Более подробно об этих понятиях говорится в гл. 38. Здесь будут проанализированы лишь основные моменты взаимосвязи торгового баланса и валютного курса.
В целом между ними существует обратная связь. Если торго- вый баланс ухудшается (увеличивается отрицательное сальдо), то это является показателем того, что страна больше расходует денег за границей, чем получает, т.е. на валютном рынке со стороны участников торговых операций увеличивается предложение национальной валюты и растет спрос на иностранную, что создает условия для формирования тенденции к падению курса национальной валюты. Наоборот, при положительном сальдо торгового баланса возникает тенденция к повышению курса национальной валюты.
Однако очевидно, что падение курса национальной валюты (девальвация) стимулирует экспортеров и делает менее выгодным импорт. Например, при падении курса марки по отношению к доллару за три месяца с 1,5000 до 1,6500 DM экспортер получит в марках выручку на 10% больше, чем три месяца назад, а импортер вынужден будет заплатить в марках на 10% больше за импорт из США. В результате такое изменение валютного курса создает тенденцию к увеличению экспорта и сокращению импорта, т.е. к уменьшению отрицательного и возникновению положительного сальдо торгового баланса.
При повышении курса национальной валюты (ревальвация) происходит все наоборот. Конечно, на практике проявление этой обратной зависимости не столь прямолинейно. Многое определяет эластичность цен на экспортные и импортные товары в зависимости от динамики валютного курса (при полной неэластичности повышение курса национальной валюты даже может ухудшить торговый баланс).
Однако в конечном счете, особенно в долгосрочном плане, изменения валютного курса обеспечивают стабилизирующее изменение торгового баланса.
На 37.3 изображена схематичная кривая, отражающая, как в теории торговый баланс и баланс по текущим операциям реагируют на падение курса национальной валюты. Кривая носит название «J-кривая».




Торговый баланс и баланс текущих операций


37.3. J-кривая


Различия в процентных ставках Валютные курсы достаточно чувствительны к изменениям процентных ставок, что можно было увидеть уже при рассмотрении отличий между курсами «слот» и форвардным.
Зависимость здесь простая. Более высокие процентные ставки, например, в США по сравнению с ФРГ при прочих равных условиях делают доллар более привлекательным для инвесторов, желающих поместить свои активы на долларовый депозит. На валютном рынке возрастает спрос на доллары, и его курс повышается.
При понижении процентных ставок в США, наоборот, возникает тенденция к понижению курса доллара.
Естественно, при анализе влияния процентных ставок на валютный курс необходимо учитывать, что данная закономерность справедлива не для номинальных, а для реальных процентных ставок (т.е. без учета темпов инфляции в стране).

Денежно-кредитная политика и валютный курс Изменения процентных ставок в значительной степени зависят от денежно-кредитной политики государства и действий центрального банка той или иной страны по регулированию валютного курса.
При ужесточении денежно-кредитной политики ограничивается рост денежной массы, а значит, относительно сокращается предложение национальной валюты на валютных рынках, что соответственно должно вести к повышению ее курса.
Смягчение денежно-кредитной политики создает тенденцию к понижению курса национальной валюты. Ужесточение налоговой политики в целом и особенно по отношению к нерезидентам или введение каких-либо ограничений по отдельным видам операций также однозначно ведет к падению курса национальной валюты.
Одним из инструментов валютной политики официальных органов являются валютные интервенции центрального банка с целью корректировки динамики валютного курса. Интервенции достаточно эффективны, если речь идет о временной несбалансированности международных расчетов страны, например под воздействием каких-либо сезонных факторов или кратковременных переливов краткосрочного (особенно спекулятивного) капитала. Однако в случае глобальной несбалансированности интервенции не в состоянии противостоять падению или повышению валютного курса.
Подводя итог, можно формализовать общие закономерности изменения валютных курсов в зависимости от различных факторов следующим образом:


Торговый баланс и баланс текущих операций


Курс иностранной валюты по отношению к национальной r повысится, если:
увеличится денежная масса в данной стране М1
уменьшится денежная масса в иностранном государстве M2;
повысится ВВП в данной стране N1;
снизится ВВП в иностранном государстве N 2;
понизятся процентные ставки в данной стране i1;
повысятся процентные ставки в иностранном государстве i2;
повысятся ожидаемые темпы инфляции в данной стране р1,
понизятся ожидаемые темпы инфляции в иностранном государстве p2,
ухудшится торговый баланс данной страны Т.

4. Национальная валютная политика: пример России Анализ основных принципов, в соответствии с которыми обмениваются валюты, и факторов, определяющих динамику валютных курсов, показывает, что через систему валютных отношений достигается динамическое равновесие внутренней экономики в системе мирохозяйственных связей.
Формирование валютной политики государства как инструмента регулирования данного равновесия в значительной степени зависит от установленного режима валютных курсов. В зависимости от того, установлен в той или иной стране режим фиксированных или плавающих курсов, будет применяться различный набор экономических рычагов восстановления нарушенного равновесия.
При фиксированном курсе должны проводиться изменения во внутренней экономике с тем, чтобы при существующем валютном курсе устранить внешний дисбаланс. Например, при дефиците платежного баланса необходимо за счет продажи валютных резервов сокращать денежную массу, ужесточать денежно-кредитную политику со всеми вытекающими дефляционными последствиями до тех пор, пока спрос на национальную валюту не восстановится.
При плавающем курсе возможна другая крайность. Валютный курс под воздействием краткосрочных (спекулятивных) факторов может переоценить макроэкономическую несбалансированность экономики, что может повлечь за собой нежелательные структурные изменения.
Интервенции центральных банков на валютных рынках и активное применение различных денежно-кредитных рычагов в целях воздействия на макроэкономические показатели развития экономики позволяют говорить о том, что в настоящее время ни тот, ни другой режим валютных курсов в чистом виде практически не существуют, хотя эволюция международной валютной системы в целом шла в направлении от режима фиксированных валютных курсов к плавающим.

Ликвидация системы государственной валютной монополии в России
Система валютной монополии государства, существовавшая в условиях централизованной плановой экономики бывшего СССР, являлась неотъемлемым элементом монополии государства на внешнеэкономическую деятельность в целом, а система расчетов с поставщиками экспортной и потребителями импортной продукции обеспечивала поступление в союзный бюджет всех разниц между внутренними и внешнеторговыми ценами.
Расчеты с предприятиями осуществлялись на базе внутренних цен, при этом в бюджет изымались все положительные разницы этих цен с внешнеторговыми контрактными ценами, пересчитанными по официальному курсу рубля, а отрицательные разницы до-тировались из бюджета. Все доходы и расходы бюджета от внешнеэкономической деятельности планировались и отражались в сводном валютном плане, разрабатывавшемся Госпланом СССР.
Госбанк СССР устанавливал единый официальный курс рубля к иностранным валютам по всем видам операций на базе золотого содержания валют. Золотое содержание рубля было рассчитано на базе паритета покупательной способности рубля к другим валютам, так как других объективных критериев его определения в условиях валютной монополии не существовало. После окончательного краха золотого стандарта в международной валютной системе курс рубля был привязан к «корзине» из шести основных валют (именно поэтому с 1972 г. курс доллара к рублю стал «плавать» в зависимости от изменения стоимости данной корзины).
Госбанк СССР имел исключительное право на совершение сделок с валютными ценностями на территории страны, а проведение международных валютных, расчетных м кредитных операций было поручено Внешторгбанку (Внешэкономбанку) СССР.
«Эрозия» системы валютной монополии началась в конце 80-х гг. в рамках концепции совершенствования внешнеэкономической деятельности, когда сначала несколько десятков, а затем все предприятия и организации получили право самостоятельного выхода на внешние рынки.
Последовательный демонтаж системы валютной монополии начался после распада СССР. С этого момента важнейшими целями валютной политики правительства России стали:
достижение конвертируемости национальной валюты;
поддержание стабильности курса рубля;
превращение рубля в единственное законное платежное средство на территории России.
С 1992 г. система валютного регулирования претерпела радикальные изменения: был установлен единый валютный курс по всем видам операций, а сам он устанавливался дважды в неделю по итогам аукционов на Московской межбанковской валютной бирже (ММВБ) и носил статус официального курса Банка России.



Транснационализация хозяйственной деятельности



Транснационализация хозяйственной деятельности
Уровень транснационализации национальных экономик растет в послевоенные годы во многом в результате деятельности транснациональных корпораций (многонациональных корпораций, международных монополий ТНК). К ним относят хозяйственные структуры, которые включают родительские компании и их зарубежные филиалы. Родительской (материнской) называют ту компанию, которая частично или полностью контролирует активы других компаний за рубежом, для чего обычно ей нужно владеть не менее 10% их уставного капитала.
Подобные фирмы называют зарубежными филиалами ТНК и подразделяют на дочерние компании (в них родительская компания владеет более 50% уставного капитала), ассоциированные (10 до 50% уставного капитала) и отделения.
В начале ХХ века уже существовало немало ТНК, часть из которых имела длинную историю. Однако массовым явлением, которое определяет ход экономического развития мира, ТНК становятся во второй половине ХХ века. Подавляющая часть родительских компаний размещается в развитых странах, намного меньше в развивающихся, еще меньше в странах с переходной экономикой (примерами могут быть «ЛУКойл», «Газпром», «АвтоВАЗ», «Ингосстрах» и другие российские ТНК).
Их росту способствует быстрая интернационализация и либерализация хозяйственной жизни в большинстве стран мира, радикальные изменения в средствах связи и информации, позволяющие штаб-квартирам родительских компаний осуществлять повседнеьный контроль над хозяйственной жизнью их зарубежных филиалов.
Несмотря на все более свободный доступ их товарок на зарубежные рынки и большие возможности выбора способов выхода на эти рынки (через внешнюю торговлю, передачу технологий), ТНК предпочитают прямые инвестиции. В этом случае они получают доступ к экономическим ресурсам (факторам производства) зарубежных стран, некоторые из которых иммобильны или маломобильны (природные ресурсы, рабочая сила). Прилагая к этим экономическим ресурсам свои собственные (капитал, знания, предпринимательские способности), ТНК получает возможность в рамках всей планеты организовать ориентированную на наибольшую эффективность собственную производственную и сбытовую сеть.
В настоящее время ТНК контролируют 1/51/4 часть мирового ВВП, а на торговлю между родительскими компаниями и их зарубежными филиалами приходится 1/3 мировой торговли. В результате ТНК являются важной составной частью механизма мирового хозяйства, которая во многих случаях имеет собственные интересы, могущие совпадать или не совпадать с интересами других составных частей этого механизма национальных экономик, интеграционных объединений, международных организаций. Отсюда часто настороженное отношение к ним со стороны как стран, где размещены зарубежные филиалы ТНК, так и стран, где расположены штаб-квартиры родительских компаний.
Ведь собственные производственно-сбытовые сети ТНК не только содействуют развитию внешнеэкономической деятельности стран их происхождения и размещения, но и нередко оказываются неподвластными государственному регулированию со стороны этих стран.
Транснациональные корпорации это новая сила в мировой экономике, и в настоящее время именно они являются главным двигателем интернационализации. Причем в современной внешнеэкономической деятельности доминирует уже не внешняя торговля, а организация производства товаров и услуг непосредственно на зарубежных рынках. Объем этого так называемого международного производства превышает объем мирового экспорта товаров и услуг (соответственно 9,5 и 6,4 трлн долл. в 1997 г.), а сам по себе мировой экспорт все больше становится внутрифирменной торговлей между различными подразделениями ТНК.
Можно сделать вывод, что деятельность ТНК все больше превращает мировое хозяйство в единый рынок товаров, услуг, капитала, рабочей силы и знаний.

Понятие глобализации хозяйственной деятельности Процесс превращения мирового хозяйства в единый рынок товаров, услуг, капитала, рабочей силы и знаний называется глобализацией. В сущности, это более высокая стадия интернационализации, ее дальнейшее развитие. Однако, когда мир был единым рынком (да и то за исключением регионов, проводивших политику импортозамещения) лишь для небольшого числа компаний, речь шла об интернационализации.
Когда же мир становится единым рынком для десятков тысяч ТНК и к тому же все его регионы открыты для деятельности этого рынка, то можно говорить о новом явлении глобализации.
Целью современных корпораций является не столько максимизация прибыли, сколько максимизация рынка. В противном случае конкуренты из других регионов могут вытеснить их не только с зарубежных, но и с национальных рынков, как это произошло в 90-е гг. со многими российскими компаниями, особенно по производству потребительских товаров. Мировые рынки многих товаров уже поделены транснациональными корпорациями в том смысле, что они присутствуют или доминируют в большинстве стран мира на местных рынках товаров и услуг. Таким образом, оборотной стороной политики максимизации рынка является ужесточение конкуренции между фирмами разных стран, в том числе и на их отечественных рынках. Это важное последствие глобализации, так оно приводит к закрытию или прозябанию многих национальных компаний, которые ранее могли рассматривать рынок своей страны как свою крепость, где им грозила конкуренция только со стороны других национальных фирм.
Глобализация делает международную конкуренцию обычным явлением и на внутреннем рынке.

Понятие регионализации
Интернационализация, перерастающая в глобализацию, превращает весь мир в поле деятельности ТНК. Однако статистика показывает, что не только национальные, но и транснациональные компании тяготеют в своей внешнеэкономической деятельности прежде всего к соседним странам. Многие из них имеют дело со всеми регионами мира, но свой и соседние регионы оказываются преобладающими в их внешнеэкономических связях.
Подобная внешнеэкономическая ориентация страны на свой и соседние регионы мира называется регионализацией.
Примером может быть внешняя торговля России. В 1997 г. на другие страны члены СНГ приходилось около 22% российского экспорта и импорта товаров, на страны Европы около 52% и на соседние азиатские страны, прежде всего Китай, около 8%. Таким образом, более 80% внешнеторгового оборота России приходится на соседние страны и регионы, хотя наша страна активно торгует и со многими отдаленными от нее странами мира (например, на США приходилось более 6% внешнеторгового оборота России).
Другим примером может быть Европейский союз, где на взаимные капиталовложения приходится более 55% всего ввоза и вывоза капитала (если судить по прямым инвестициям).

Особенности регионализации по странам и формам внешнеэкономических связей
Отмеченная тенденция является доминирующей, но не обязательной для всех случаев. Многие развивающиеся страны и государства с переходной экономикой в своих внешнеэкономических связях ориентируются на развитые страны, а не на своих соседей по региону, такие же развивающиеся или постсоциалистические страны, к тому же нередко небольшие по величине рынка. Так, во внешней торговле Африки доминирует Западная Европа (52% африканского экспорта в 1996 г.).
Подобное особенно характерно в международном движении капитала. Например, в экспорте товаров из США на другие американские страны приходится около 40%, а в экспорте прямых инвестиций менее 1/3. Это связано с тем, что прямые инвестиции являются не только орудием сращивания экономик (как в вышеупомянутом примере взаимных капиталовложений в ЕС), но и способом проникновения на те рынки, где рост экспорта товаров и услуг сталкивается с большими трудностями (высокими пошлинами, сильной конкуренцией и т.д.).
Еще более ярким примером могут быть портфельные инвестиции, ориентированные не на стратегию завоевания (удержания) зарубежных рынков, а прежде всего на доходность зарубежных ценных бумаг с поправкой на их рискованность и ликвидность: лишь 1/4 портфельных инвестиций США за рубежом размещена в остальных странах Северной и Южной Америки.
Что касается регионализации остальных форм международных экономических отношений, то надо иметь в виду следующее. Валютно-расчетные отношения достаточно сильно привязаны к торговле товарами и услугами, меньше к движению капитала и поэтому прежде всего регионализация внешней торговли страны определяет характер регионализации валютно-расчетных отношений.
Меньше регионализация проявляется в международной торговле знаниями. Центры производства и экспорта знаний расположены преимущественно в ведущих развитых странах. Поэтому, как и сто лет тому назад, покупатели знаний ориентируются на Западную Европу, Северную Америку, а в последние десятилетия также на Японию.
Однако потоки международной миграции рабочей силы носят преимущественно региональный характер. Так, рабочая сила из Индии, Пакистана, Йемена и Египта мигрирует преимущественно в соседние арабские нефтедобывающие страны; поляки, турки, алжирцы, марокканцы и тунисцы в соседнюю Западную Европу. Латиноамериканцы мигрируют преимущественно в рамках своего региона или направляются в Северную Америку, а мигранты из СНГ направляются в основном в Россию.



Управление компаниями со стратегическим иностранным инвестором.


Понятно, что дисперсия прав собственности компаний, приватизированных ваучерным методом, не способствует быстрому формированию эффективного корпоративного управления ими. В течение более или менее длительного периода перераспределения и концентрации прав собственности в компаниях данного типа доминирующие позиции в управлении сосредоточены в руках старого менеджмента. В немалой степени этим объясняется действующая в странах с переходной экономикой тенденция к относительно медленному «открытию» компаний внешним инвесторам, что особенно ярко проявилось в России.
Указанная типология приватизированных предприятий условна, так как все разнообразие субъектов частного сектора не может быть втиснуто в рамки этих трех видов компаний. Существует множество смешанных предприятий переходных форм, где процесс структурирования капитала не закончился установлением контроля того или иного стратегического инвестора. Не исключено, что многие приватизированные компании так и не смогут сформировать эффективную форму собственности и управления и рано или поздно подвергнутся процессам ликвидации, банкротства, разделения активов, слияния и поглощения.
Не случайно эти процессы усиливаются и расширяются в переходной экономике после завершения приватизации.

Типы корпоративного управления
Исходя из особенностей структуры капитала и преобладающей формы контроля, можно выделить три типа корпоративного управления частными и смешанными компаниями, сложившихся в переходной экономике:
1) управление средними и крупными предприятиями, когда основной контроль концентрируется в руках банков и банковских посреднических фирм. Банки четко контролируют эмиссионную деятельность такой компании, не допуская нарушения необходимого им баланса власти и управления;
2) управление компаниями, имеющими стратегического иностранного инвестора. Опыт восточноевропейских стран свидетельствует, что действия такого собственника могут приходить в противоречие с интересами национальной экономики (экспорт прибыли и капитала, подавление потенциального конкурента и т.п.);
3) управление компаниями, преимущественно небольшими, не имеющими крупных стратегических инвесторов и вынужденных рассчитывать исключительно на собственные внутренние источники роста. В таких компаниях корпоративное управление максимально приспосабливается к особенностям рыночной среды и необходимости эффективно использовать ограниченные инвестиционные ресурсы. Этот тип корпоративного управления получил широкое распространение в России.
4. Реструктуризация в реальном секторе
Методы реструктуризации предприятий
Реструктуризация предприятия это широкий круг мер, направленных на повышение экономической эффективности и рыночной конкурентоспособности. Будучи по существу процессом рыночной адаптации субъектов реального сектора, реструктуризация может проводиться двумя принципиально различными путями.
Первый проблемы реструктуризации могут решаться непосредственно на микроуровне экономики, т.е. индивидуально на каждом предприятии, преимущественно с помощью целенаправленного подбора стратегических инвесторов, способных предоставить необходимый капитал и привнести современный опыт управления.
Второй реструктуризация может быть результатом общесистемных изменений в экономике (прежде всего отношений собственности), проводимых быстро и комплексно. При этом поиск окончательных эффективных собственников переадресуется рынкам капиталов. Потенциальные инвесторы самостоятельно формируют на фондовых рынках пакеты акций интересующих их приватизированных компаний либо участвуют в конкурсах по продаже таких акций и выполняют соответствующие инвестиционные и социальные условия (например, вложить в реструктуризацию определенную сумму средств, создать определенное количество рабочих мест и т.п.).
В ходе рыночных реформ в странах с переходной экономикой используются оба пути реструктуризации.
Многообразие методов реструктуризации может быть сведено к двум большим группам: организационные и финансовые.
О р г а н и з а ц и о н н а я р е с т р у к т у р и з а ц и я это комплекс мер, направленных на приближение размеров предприятия и его подразделений к требованиям конкурентной рыночной среды. Такая задача стояла перед всеми странами с переходной экономикой, получившими от социализма сверхконцентрированное и монополизированное хозяйство.
Вычленение небольших единиц из крупных предприятий, их дробление (по решению трудовых коллективов или администрации), разделение промышленных гигантов там, где это оказывалось возможным, обычно происходило или перед началом приватизации, или на первых же ее этапах (Венгрия, Чехия, Восточная Германия, Румыния). В результате быстро и резко увеличилось число мелких предприятий, часть которых продавалась новым' частным владельцам, а часть ликвидировалась с распродажей имущества и активов. В России организационная реструктуризация получила ограниченное распространение.
О р г а н и з а ц и о н н а я р е с т р у к т у р и з а ц и я может приводить к распределению собственности крупных государственных предприятий по 1520 компаниям или фирмам-спутникам, формально независимым, но вращающимся в орбите головной компании. Сложность и разветвленность производственно-технических связей приводит к большому разнообразию форм взаимного переплетения капиталов. Сеть взаимосвязей, построенная на перекрестном и комбинированном владении капиталами, в отличие от административно создаваемых жестких структур гибка, подвижна, способна к перераспределению и развитию через рынки капиталов.
Разновидностью таких структур являются некоторые финансово-промышленные группы и холдинги в России.
Ф и н а н с о в а я р е с т р у к т у р и з а ц и я это меры по расчистке баланса предприятия, упорядочению активов компании по критериям рыночной экономики. В отличие от организационной, финансовая реструктуризация не может растягиваться на годы. Финансовое оздоровление должно проводиться быстро, иначе оно просто потеряет смысл.
Этот тип реструктуризации не обязательно сразу приводит к банкротству или ликвидации проблемных предприятий. Главное расчистить активы, достигнуть приемлемой для всех заинтересованных лиц договоренности по долгам. В Польше еще в 1993 г. был принят Закон о финансовой реструктуризации предприятий и банков, предусматривающий несколько моделей оздоровления финансов от «полюбовной» договоренности до публичной распродажи долгов.
Кредиторы могут требовать процедуры банковского (несудебного) урегулирования при задолженности в размере 20% обязательств. Долги могут быть проданы по рыночной цене с аукциона на основе публичного предложения. Их можно обменять на акции.
Благодаря такому широкому выбору вариантов финансового оздоровления кризисных предприятий реальной процедуре банкротства с распродажей активов подверглись только 15% потенциально неплатежеспособных фирм.
Практикуемая в ряде стран частичная продажа активов в целях оздоровления финансового положения может помочь оказавшимся в кризисе государственным предприятиям лишь временно, так как средства тратятся на цели краткосрочного выживания: погашение кредитов, выплату заработной платы, прочие текущие расходы, а не на инвестирование и улучшение структуры производства. Напротив, частные инвесторы, приобретая активы, встраивают их в жизнеспособную структуру и используют более эффективно.

Роль банков в реструктуризации реального сектора
В первые годы структурных реформ в России и других странах полагали, что реструктуризацию предприятий во многом могут взять на себя к о м м е р ч е с к и е б а н к и. Однако массовые неплатежи предприятий серьезно подорвали платежеспособность банковской системы переходной экономики. Первоначальные программы реформ, предусматривавшие в восточноевропейских странах ведущую роль банков в реструктуризации экономики, оказались излишне оптимистичными. Справедливый для развитой рыночной экономики аргумент, что банки лучше, чем государственные органы, знают положение дел на предприятиях, в переходной экономике себя не подтвердил.
Оказалось, что банки плохо понимают собственно производственные проблемы, чего и не требуется в здоровой экономике, но что совершенно необходимо для анализа реального состояния финансов предприятий-должников, рыночная жизнеспособность которых неопределенна. Банки же рассматривают реструктуризацию в узко финансовом смысле как реструктуризацию долгов и активов. Кроме того, слабое законодательство по переходу прав собственности (залог, обращение ответственности, гарантии), а также социально-политическое торможение судебных процедур ликвидации и банкротства ограничивали возможности финансового сектора « вытягивать» реальный.
Именно это противоречие интересов коммерческих банков, скупивших в целях контроля на чековых аукционах и за деньги пакеты акций ряда крупных российских компаний, и самих этих компаний (в лице менеджмента) послужило причиной многих конфликтов в России. Так, известно длительное противостояние сторон в РАО «Норильский никель», в ряде компаний черной и цветной металлургии, в нефтяных компаниях. Поэтому в большинстве стран с переходной экономикой решение многих проблем реструктуризации кризисных предприятий было возложено на государство через правительственные органы по приватизации, реструктуризации, банкротству. Вместе с тем банки остаются важнейшими агентами реструктуризации, способными в какой-то мере противостоять правительственному бюрократизму и политическому давлению.
В последнее время получили распространение (например, в Польше) финансовые структуры типа фондов или инвестиционных банков, специально занимающиеся реструктуризацией государственных предприятий с целью увеличения рыночной стоимости их капитала и последующей выгодной продажи.

Выводы 1. Десятилетие рыночной трансформации позволило странам с переходной экономикой ликвидировать тотальное огосударствление хозяйства, провести широкую приватизацию и создать условия для развития предпринимательства на базе частной и смешанной собственности.
2. В сфере производства реальные результаты трансформации не вполне отвечали поставленным целям. Предприятия многих отраслей, особенно крупные, плохо адаптировались к условиям рынка, в большинстве оставались экономически неэффективными, сохраняли избыточную занятость, дорогую социальную инфраструктуру. Индустриальные гиганты по-прежнему оставались монополистами на соответствующих сегментах рынка.
Тяжелое финансово-экономическое положение большинства крупных предприятий способствовало увеличению взаимной задолженности и приводило к невозврату кредитов, невозможности платить налоги и взносы в социальные фонды. Главной причиной продолжающегося трансформационного кризиса предприятий была слабость структурных реформ в экономике.
3. В переходной экономике, как правило, сохраняется достаточно масштабный государственный сектор, включающий стратегически важные предприятия. Однако предприятия, находящиеся полностью или частично в государственной собственности, подвергаются реорганизации преобразованию в акционерные общества с соответствующим изменением системы управления, позволяющей отделить функции профессионального менеджмента от контроля собственника. Под государственным контролем остаются также сделки купли-продажи земель сельскохозяйственного назначения.
4. Частный сектор переходной экономики включает предприятия двух типов: частные фирмы на собственной основе, учрежденные на средства граждан и негосударственных юридических лиц, а также частные и смешанные компании, образованные путем частичной или полной приватизации государственных предприятий. Тип этих компаний по структуре акционерного капитала и особенностям корпоративного управления зависит от конкретного метода приватизации.
5. Ключевую роль в рыночной адаптации как государственных, так и приватизированных предприятий играют их последовательная и целенаправленная реструктуризация. Последняя имеет организационный и финансовый аспекты. В результате организационной реструктуризации число и характер субъектов реального сектора приближается к нормам рыночной экономики.
Финансовая реструктуризация способствует оздоровлению активов, расчистке балансов компаний по критериям рыночной экономики. Значительную роль в реструктуризации играют банки.



Термины и понятия Государственный сектор экономики
Коммерциализация государственных предприятий
Реструктуризация предприятий
Организационная реструктуризация
Финансовая реструктуризация



Вопросы для самопроверки 1. Какие факторы определяют положение предприятий в переходной экономике и каковы условия их эффективной рыночной адаптации?
2. Что такое государственный сектор экономики, каковы его рамки в переходной экономике?
3. Что такое коммерциализация государственных предприятий, каковы ее преимущества и недостатки?
4. Какие предприятия полностью или частично сохраняются в государственной собственности, в чем смысл государственного контроля?
5. Какие типы частных и смешанных компаний действуют в переходной экономике, от чего зависит структура их капитала и характер корпоративного управления?
6. Какой тип приватизированных компаний в наибольшей степени отвечает требованиям рыночной экономики? Каковы тенденции развития структуры отношений собственности в компаниях, выкупленных работниками предприятий?
7. Что такое реструктуризация предприятия, какими метолами она осуществляется, какова роль банков в реструктуризации предприятий в переходный период?






































Раздел V
МИРОВАЯ ЭКОНОМИКА






















СОДЕРЖАНИЕ




Утяжеление экономической структуры.


этого фактора выражается, с одной стороны, в сохранении государственного субсидирования неконкурентоспособных предприятий и банков, что неизбежно ведет к росту инфляции. С другой стороны, институциональный фактор проявляется в отсутствии в начале реформ практики банкротств, что вызывало нерыночную реакцию предприятий на сжатие спроса неплатежи.
Наличие долгосрочных инфляционных факторов немонетарного характера рождает «фоновую» инфляцию, которую нельзя устранить путем сжатия денежной массы. В определенные периоды «фоновая» инфляция принимает подавленную форму неплатежей и долгов государства перед предприятиями и населением.
Сочетание монетарных факторов инфляции с немонетарными при высокой роли последних свидетельствуют о том, что политика финансовой стабилизации в переходный период не может ограничиваться сжатием денежной массы и требует проведения глубоких структурных и институциональных реформ.

Инструменты макроэкономической стабилизации
Главными средствами макроэкономической стабилизации являются:
1) сокращение (в лучшем случае ликвидация) дефицита консолидированного государственного бюджета до уровня ниже 5% ВВП;
2) проведение жесткой денежно-кредитной политики (прекращение льготного кредитования центральным банком дефицита госбюджета, установление процентных ставок по кредитам центрального банка коммерческим банкам выше уровня инфляции и т.д.);
3) установление «монетарного (номинального) якоря», под которым понимаются макроэкономические показатели, которые фиксируются на определенном уровне при осуществлении финансовой стабилизации (обменный курс валюты, номинальная денежная масса, номинальная заработная плата и т.п.). Эти показатели позволяют снизить инфляционные ожидания бизнеса и домашних хозяйств и удерживают на определенном уровне цены;
4) сдерживание роста доходов населения путем неполной индексации оплаты труда в бюджетной сфере и социальных трансфертов;

  1. либерализация цен с целью уничтожения избыточной денежной массы через повышение общего уровня цен.
В зависимости от применяемого набора инструментов можно выделить два основных сценария макроэкономической стабилизации: ортодоксальный и гетеродоксный.

Ортодоксальный и гетеродоксный сценарии макроэкономической стабилизации.
О р т о д о к с а л ь н ы й с ц е н а р и й представляет собой совокупность макроэкономических мероприятий, включающую: устранение или сведение к минимуму дефицита государственного бюджета; жесткий контроль за объемом денежного предложения и повышения учетной ставки сверх уровня инфляции; установление «монетарного якоря».
Г е т е р од о к с н ы й с ц е н а р и й предполагает проведение жесткой денежно-кредитной и бюджетно-налоговой политики в сочетании с регулированием цен и доходов.
На практике ортодоксальная программа стабилизации дополняется использованием «якоря» путем фиксации уровня номинальной заработной платы. Важным условием реализации гетеродоксного сценария является социальное партнерство между правительством, трудом и капиталом в области контроля над ценами и заработной платой.
В ходе макроэкономической стабилизации происходит переход от системы с мягкими бюджетными ограничениями к системе жестких бюджетных ограничений.

Макроэкономическая несбалансированность в переходной экономике
Переходная экономика индустриального типа, как правило, получает в наследство от административно-командной системы большую или меньшую несбалансированность структуры экономики. Она проявляется, во-первых, в неравномерности развития отдельных отраслей и, во-вторых, в глубоких различиях в технической оснащенности отдельных отраслей и предприятий.
Неравномерность в развитии отдельных отраслей во всех странах с плановой экономикой проявлялась прежде всего в гипертрофированном развитии отраслей, производящих средства производства, а также военно-промышленного комплекса (ВПК). В то же время сохранялось и даже усиливалось отставание отраслей, производящих потребительские товары, а также инфрастуктуры (финансовой, информационной, социальной).
Неравномерность технического оснащения отдельных отраслей выражалась в сочетании высокотехнологичных производств (в освоении космоса, ВПК) и отраслей с преобладанием ручного труда и низким уровнем механизации (производство многих потребительских товаров, сельское хозяйство).

Структурная политика и ее главные направления в переходный период Главной задачей структурной политики является создание условий для устойчивого долгосрочного экономического роста выпуска продукции, пользующейся платежеспособным спросом на внутреннем и внешнем рынках или служащей национальным интересам.
Структурная политика оказывает воздействие прежде всего на совокупное предложение. При этом различают как прямое, так и косвенное воздействие на экономику. Прямое воздействие может иметь форму субсидий, льготных инвестиционных кредитов с целью создания, поддержки или развития отдельных предприятий, отраслей, а также проведения фундаментальных научных исследований.
Косвенное воздействие осуществляется, в частности, путем налоговых льгот с целью полдержания или увеличения объема (выпуска) продукции, стимулирования инвестиций.
Важной задачей структурной политики переходного периода, особенно на начальных его этапах, является государственная поддержка отечественного производства, конкурирующего с импортом, а также содействие государства формированию конкурентоспособных отраслей и предприятий, поставляющих значительную часть своих товаров и услуг на внешний рынок.
Одним из главных направлений структурной политики в этот период должно стать формирование финансовой системы, которая могла бы аккумулировать временно свободные средства населения и направлять их на инвестиционные проекты, главным образом в реальный сектор экономики. Решение этой задачи может осуществляться как путем прямого участия государства в инвестициях и предоставления гарантий, так и на основе налогового и денежно-кредитного регулирования с целью сделать наиболее выгодными инвестиции в наиболее эффективные объекты реального сектора.
Особое значение имеет политика по перестройке отраслевой структуры экономики, хотя такая перестройка происходит стихийно с самого начала рыночных преобразований. Приоритетными становятся отрасли, получившие слабое развитие в плановой экономике производство потребительских товаров и оказание услуг (финансовых, информационных, социальных).
В России за годы реформ в структуре ВВП резко выросла доля услуг, что отражает быстрое развитие в этот период торговли, банков и других финансовых институтов. Одновременно существенно сократился объем производства в отраслях, ориентировавшихся на государственный спрос (ВПК) или бюджетную поддержку (угольная промышленность, сельское хозяйство).
Структурные сдвиги на макроуровне проявляются в ограничении предприятиями ассортимента наиболее конкурентоспособными видами продукции, освоении выпуска новых изделий, зачастую на основе кооперации с иностранными партнерами. В результате начинается постепенное оживление производства.


Концепция структурной перестройки экономики России
В структуре российской экономики в переходный период продолжает расти доля добывающих отраслей и производств «первого» передела (металлургия) и снижается доля высокотехнологичных производств. Подобный сдвиг часто называется «утяжелением» экономической структуры.
Концепция структурной перестройки в России исходит из сохранения отраслевого разнообразия народнохозяйственного комплекса. В структуре промышленности выделяются три группы отраслей:
1) топливно-энергетический комплекс. Эти отрасли сохраняют свою конкурентоспособность и могут привлекать иностранные инвестиции;
2) отрасли обрабатывающей промышленности, способные поставлять продукцию на экспорт (авиакосмическая, энергетическое машиностроение, отчасти станкостроение). Они нуждаются в государственной поддержке на внутреннем и внешнем рынках;
3) отрасли обрабатывающей промышленности, которые могут быть конкурентоспособными на внутреннем рынке (автомобильная, сельскохозяйственное машиностроение, пищевая). Развитие этих отраслей напрямую зависит от умеренно протекционистских мер и стимулирования внутреннего спроса на их продукцию путем лизинга и потребительского кредита.

Взаимосвязь стабилизационной и структурной политики В переходной экономике стабилизационная и структурная политика тесно взаимосвязаны и могут как усиливать, так и существенно ослаблять действие друг друга. Так, успешная макроэкономическая стабилизация приводит к улучшению инвестиционного климата, создает условия для притока капиталов в конкурентоспособные отрасли реального сектора, открывает путь к возобновлению экономического роста. Сокращение бюджетного дефицита ведет к уменьшению государственных заимствований и к увеличению финансовых ресурсов, которые могли быть использованы в качестве частных инвестиций.

3. Институциональные преобразования (создание основ рыночной экономики) Под институциональными преобразованиями понимается изменение формальных и неформальных условий хозяйственной деятельности. Эта система мер включает прежде всего разработку и применение законодательства, соответствующего рыночным условиям хозяйствования. К институциональным преобразованиям обычно относят изменение отношений собственности (создание частного сектора), формирование новых организаций и учреждений рыночного типа (коммерческих банков, товарных и фондовых бирж, инвестиционных фондов и др.), а также создание новой системы управления народным хозяйством (путем замены административных рычагов экономическими, прежде всего бюджетными и налоговыми).



В микроэкономическом анализе главный объект- фирма.


С другой стороны, многие рыночные структуры остаются крайне несовершенными и неэффективными, например рынок ценных бумаг (фондовый рынок). Сохраняется весьма заметной доля государства как в национальном богатстве, так и в собственности акционированных и частично приватизированных предприятий. Есть все основания полагать, что в силу многих исторических и культурных традиций Россия сохранит значительный государственный сектор и в будущем.
Весьма велика будет и роль государственного регулирования в экономике. При этом одной из характерных черт переходной экономики России является тесное переплетение частного и государственного капитала, заметная роль государственного аппарата, а значит, и государственного предпринимательства. Одновременно с этим продолжает оставаться сильная зависимость частных предпринимателей (как сохранивших свои позиции прежних директоров приватизированных государственных предприятий, так и новых менеджеров, возглавивших вновь созданные коммерческие структуры) от органов государственного управления и их многочисленных чиновников, имеющих огромные возможности для контроля за деятельностью частного бизнеса, его разрешения или запрещения, часто небескорыстно.
Все еще слабое развитие получили малые предприятия, являющиеся главным двигателем предпринимательства во всем мире. В России насчитывается лишь 840 тыс. таких предприятий с числом занятых на них 6,3 млн человек (9,5% от общего числа занятых), что несопоставимо со среднемировым уровнем (40 50% занятых). При этом малые предприятия крайне неравномерно распространены по территории страны.
Так, в 1997 г. на Москву приходилось 22% этих предприятий, на Санкт-Петербург 10%, на них было занято 25% общей численности работающих на малых предприятиях. В то же время в 28 субъектах РФ было зарегистрировано менее чем по 0,5% от общего чиста таких предприятий.
Нельзя не отметить специфику состава формирующегося российского предпринимательского класса. Согласно проведенным исследованиям, около 60% российской бизнес-элиты являются выходцами из прежней советской номенклатуры (партийной, комсомольской, хозяйственной) со всеми присущими ей традициями клановой закрытости, специфической моралью и привычкой функционировать в контролируемой государством высокомонополизированной экономике. Одна часть этих кадров сумела адаптироваться к требованиям рынка, успешно осваивает новые знания и стиль поведения, другая продолжает руководить предприятиями и фирмами во многом по старинке, полагаясь главным образом на личные связи и покровительство государственных чиновников.
Довольно пестрым является и «неноменклатурный» сегмент российского предпринимательства: здесь и рядовые граждане, прежде всего молодежь, активно работающая в бизнесе (в основном в розничной и «челночной» торговле, не требующей значительного первоначального капитала, в посреднических услугах), и высококвалифицированные специалисты, открывающие консультативные фирмы, например, в области управления, подготовки кадров, программного обеспечения. Расширяется малый бизнес в сфере ремонта, строительства и технического обслуживания. Значительных масштабов достиг в России туристический бизнес, ставший весьма привлекательным для предпринимательского капитала.
В то же время положение российского предпринимательства, особенно малого и среднего, чрезвычайно нестабильно. Это в полной мере продемонстрировал финансовый кризис августа 1998 г., разоривший или поставивший на грань разорения множество фирм, банков и страховых компаний.
К сожалению, отличительной чертой современного российского предпринимательства является его криминализация. Немалая часть (трудно определить какая) нового предпринимательства вышла из прежнего «теневого» бизнеса и находится под прямым контролем криминальных структур. Эти структуры втягивают в свою орбиту и вполне «чистый» бизнес, облагая его всевозможными поборами. Массовым стало уклонение предпринимателей от уплаты налогов, расцвет теневой экономики, прямые хищения бюджетных средств государства и средств населения.
По различным оценкам, масштабы теневой экономики достигают 2540% ВВП страны. Особенно болезненным явлением, подрывающим сами основы цивилизованного предпринимательства, стала коррупция, криминальное сращивание бизнесменов и государственного аппарата.

Факторы и перспективы развития Таким образом, исходные рубежи для формирования российского предпринимательского класса являются далеко не самыми благоприятными. Потребуется немало лет и усилий для «выращивания» не только умелых и опытных, но и «цивилизованных» предпринимателей. Пожалуй, одним из ключевых факторов, наряду с продолжением либеральных экономических реформ, является система образования, способная не только дать нынешним и будущим российским предпринимателям современные управленческие знания, но и привить определенную систему моральных ценностей, выработать новую предпринимательскую этику, широко распространившуюся в развитых странах.
Учитывая весьма высокий образовательный и квалификационный уровень российских трудовых ресурсов, развитую систему образования, возможности для этого имеются.
Другой ключевой фактор осознание предпринимателями своей социальной ответственности. В такой стране, как Россия, где чувство социальной справедливости обострено, а от руководителя ожидают решения социальных проблем его подчиненных, предприниматели могут стать потенциально более важным элементом общественно-политической жизни, чем в некоторых странах с развитой рыночной экономикой.
Еще одна важная задача перевести большинство российских старых предприятий (фирм) на рельсы рыночной экономики за счет учета воздействия рынка не только на его внешние условия хозяйствования, но и на внутренние, т.е. перестроить отношения в рамках компаний, внедрить современную систему управления, расширить экономическую демократию. Чрезвычайно важной представляется также задача формирования на приватизированных и акционированных предприятиях новой культуры отношений между работниками, многие из которых стали одновременно и собственниками, и управляющими, осознания акционерами своих прав и обязанностей.
В этой связи чрезвычайно важны роль и усилия государства, а также других общественных институтов (образования, средств массовой информации и др.), направленные на формирование цивилизованного класса предпринимателей в нашей стране, законодательное и организационное обеспечение этого процесса.
В частности, одна из ключевых задач государства оказание финансово-кредитной поддержки предпринимательству, особенно малому и среднему, принятие стабильного законодательства, в том числе налогового, способствующего развитию бизнеса. Важным фактором становления отечественного предпринимательства должно стать создание соответствующей институциональной структуры развитие бизнес-инкубаторов (в 1998 г. их было 58), информационно-консультативное обслуживание предприятий, в том числе подключение их к системе Интернет, более активная деятельность фондов и других организационных структур поддержки предпринимательства.


Выводы 1. В микроэкономическом анализе главным объектом является фирма. Это объясняется тем, что в современной экономике предприятия (фирмы) производят основную массу товаров и услуг. Функционирование фирм обеспечивают предприниматели.
Предпринимательские способности это экономический ресурс, в состав которого следует включать прежде всего предпринимателей, предпринимательскую инфраструктуру, а также предпринимательскую этику и культуру.
2. Предприятия (фирмы) представляют собой самостоятельные хозяйственные единицы разных форм собственности, объединившие экономические ресурсы для осуществления коммерческой деятельности. Под последней понимается деятельность по производству товаров и оказанию услуг для третьих лиц, физических и юридических, которая должна приносить предприятию коммерческую выгоду, а именно прибыль.
3. Конечной целью деятельности фирмы является упрочение ее позиций на рынке, и прежде всего за счет максимизации прибыли.
4. Основной рабочий инструмент фирмы это ее конкурентная стратегия. Под ней понимается механизм реализации конкурентного преимущества фирмы. Конкурентное преимущество это ценовые и качественные характеристики продукции фирмы, которые выгодно отличают ее от конкурентов и обеспечивают устойчивое положение на рынке.
5. Предприятия, как правило, группируются по ряду существенных признаков: формам собственности, размерам, характеру деятельности, отраслевой принадлежности, доминирующему фактору производства, правовому статусу.
6. Наиболее развитой формой предприятия является АО, наиболее устойчивой полное товарищество, наиболее безопасной товарищество на вере, наиболее замкнутой ЗАО, наиболее открытой ОАО.
7. Конкурентоспособность фирмы это ее реальная и потенциальная способность изготавливать и реализовывать товары или оказывать услуги, которые по ценовым и неценовым (качественным) характеристикам более привлекательны, чем товары и услуги других фирм-конкурентов.
8. Эффектным методом анализа главных направлений конкурентной борьбы на рынке является модель основных конкурентных сил, влияющих на положение фирмы: конкурентной силы других поставщиков аналогичной продукции, фирм- потенциальных конкурентов, фирм - поставщиков товаров-заменителей, также конкурентных позиций поставщиков ресурсов покупателей продукции.
9. Все основные направления конкурентоспособности фирмы находят отражение в ее долгосрочной стратегии. Долгосрочная стратегия фирмы - это план ее деятельности, определяющий перспективные цели развития, а также пути их реализации.
10. Характер предпринимательского потенциала России обусловлен переходным состоянием российской экономики, а также его спецификой .
Термины и понятия Предпринимательские способности (предпринимательство)
Предпринимательский потенциал
Предприятие (фирма)
Жизненный цикл предприятия (фирмы)
Конкурентные преимущества
Полное товарищество
Товарищество на вере
Общество с ограниченной ответственностью
Акционерное общество
Производственный кооператив
Унитарное предприятие
Потребительский кооператив
Общественные и религиозные организации (объединения)
Фонд
Индивидуальный предприниматель
Конкурентоспособность фирмы
Модель пяти сил (направлений) конкуренции
Входные барьеры
Выходные барьеры


Вопросы для самопроверки 1. Дайте определение терминам «предпринимательские способности» и «предпринимательский потенциал».
2. Каковы целевые установки деятельности фирм в нашей стране? Каковы целевые установки вашей фирмы (предприятия) и какие из них являются приоритетными в настоящее время?
3. Охарактеризуйте процесс создания «ценностей» на вашей фирме?
4. Охарактеризуйте основные виды конкурентных стратегий. Какую рыночную
конкурентную стратегию избрала для себя ваша фирма?
5. Какова современная тенденция в мире: к увеличению числа частных или государственных предприятий или наоборот и почему?
6. Почему выгодно образовывать полные товарищества?
7. Зачем нужны коммандитисты полным товариществам.
8. Чем различаются ОАО и ЗАО?
9. Почему в мире и в России существуют производственные кооперативы как форма организации и ведения хозяйства?
10. Почему иногда разрешено вести коммерческую деятельность некоммерческим организациям (на примере России)?
11. Какие факторы препятствуют российским фирмам, конкурентоспособным на региональных рынках, обеспечить себе конкурентные позиции на общенациональном и мировом рынках? Приведите конкретные примеры.
12. Какая из конкурентных сил, по вашему мнению, создает большую угрозу , сложившимся конкурентным позициям фирмы: производство товаров-заменителей или появление новых фирм-конкурентов, производителей аналогичных товаров?
13. Каковы особенности конкуренции со стороны товаров-заменителей на рынках России? Какие, на ваш взгляд, методы противостояния товарам-заменителям являются наиболее действенными в современных российских условиях?
Приведите конкретные примеры.
14. В чем состоят особенности долговременной рыночной стратегии российских фирм? Как они влияют на обеспечение дополнительных конкурентных рыночных преимуществ?



















Валютные курсы и конвертируемость




' СДР, или специальные права заимствования («spesial drawing rights»), международный резервный актив, который эмитируется МВФ и распределяется между странами-членами пропорционально их квотам в МВФ. СДР не имеют материально-вещественной формы и существуют лишь в виде бухгалтерской записи на счетах центральных банков, а также на специальном счете МВФ. В качестве ликвидного средства СДР используются той или иной страной для покрытия дефицитов платежных балансов, а также задолженности МВФ или другой стране. Однако непосредственным инструментом расчетов в международных экономических отношениях СДР не являются. Этот актив лишь дает центральному банку право на получение любой валюты для последующего финансирования дефицита платежного баланса.
В конечном счете СДР не стали эффективным инструментом межгосударственного регулирования международных расчетов и остаются своеобразной искусственной надстройкой к сложившейся структуре международных валютных резервов.




в основной резервный актив.
Хотя первые попытки регулирования плавания курсов нельзя было назвать удачными, в конечном счете начала формироваться система управляемого плавания валютных курсов, при которой внешняя несбалансированность расчетов (платежного баланса) регулируется за счет как постепенного изменения валютных курсов, так и одновременного проведения внутренних макроэкономических преобразований. Валютная политика страны стала неотъемлемым элементом ее макроэкономической политики.
2. Валютные курсы и конвертируемость Любая национальная денежная единица является валютой, она приобретает целый ряд дополнительных функций и характеристик, как только начинает рассматриваться не в узких рамках национальной системы макроэкономических координат, а с позиции участника международных экономических отношений и расчетов.

Валюты и их виды С точки зрения материально-вещественной формы валютой являются любые выраженные в той или иной национальной денежной единице платежные документы или денежные обязательства, используемые в международных расчетах. Обычно речь идет о банкнотах, казначейских билетах, различных видах банковских счетов, а также чеках, векселях, аккредитивах и других платежных средствах.
Эти платежные документы, выраженные в различных валютах, покупаются и продаются на специальном рынке валютном. Спрос и предложение на национальном валютном рынке формируются в результате столкновения денежных требований и обязательств, выраженных в различных валютах, опосредующих международный обмен товарами, услугами и движение капитала. Например, американский экспортер, продавший партию компьютеров в ФРГ за немецкие марки, желает обменять их на национальную валюту, тем самым формируя спрос на доллары и предложение немецких марок.
Наоборот, американский импортер автомобилей из ФРГ будет предлагать на национальном рынке доллары в обмен на марки для оплаты своего контракта.
Спрос и предложение валюты формируются и в связи со всеми другими операциями, которые опосредуют международный обмен и находят свое отражение в платежном балансе любой страны. Речь идет об операциях не только экспортно-импортных (торговых), но и неторговых (транспорт, страхование, туризм, переводы заработной платы, пенсий и т.д.), а также о движении капитала, как краткосрочного (включая спекулятивные валютные сделки), так и средне- и долгосрочного (предоставление и погашение кредитов, отток и приток прямых и портфельных инвестиций) и т.д.

Конвертируемость валюты
Национальный режим регулирования валютных сделок по различным видам операций для резидентов и нерезидентов определяет степень так называемой конвертируемости валюты.
С этой точки зрения все валюты условно можно разделить на три группы: свободно конвертируемые, частично конвертируемые и неконвертируемые (замкнутые).
Валюта стран, где отсутствуют какие-либо законодательные ограничения на совершение валютных сделок по любым видам операций (торговым, неторговым, движению капитала) как для резидентов, так и для нерезидентов, является с в о б о д н о ко н в е р т и р у е м о й (СКВ).
Ч а с т и ч н о к о н в е р т и р у е м ы м и являются валюты тех стран, где существуют количественные ограничения или специальные разрешительные процедуры на обмен валюты по отдельным видам операций или для различных субъектов валютных сделок.
Наконец, н е к о н в е р т и р у е м ы м и, или замкнутыми валютами являются национальные денежные единицы тех стран, законодательство которых предусматривает ограничения практически по всем видам операций. Советский и даже российский рубль фактически до середины 1992 г. являлся классическим образцом такой валюты.
Чем меньше ограничений, тем более «рыночным» является механизм формирования спроса и предложения на валютном рынке, тем более совершенна его институциональная организация.

Валютный рынок
Совокупность всех отношений, возникающих между субъектами валютных сделок, охватывается общим понятием «валютный рынок». С институциональной точки зрения валютный рынок представляет собой множество крупных коммерческих банков и других финансовых учреждений, связанных друг с другом сложной сетью современных коммуникационных средств связи (от телефонов и телексов до электронных и спутниковых систем), с помощью которых осуществляется торговля валютами. В этом смысле валютный рынок не является конкретным местом сбора продавцов и покупателей валют. На валютном рынке опытные дилеры (например, сотрудники специального отдела коммерческого банка) сидят на своих рабочих местах и посредством компьютеров и телефонов связываются с дилерами других банков. На дисплеи компьютеров выведены текущие котировки курсов всех основных валют, по которым различные банки в данный момент торгуют валютой.
Любой банк может купить или продать валюту по наилучшему курсу как за свой счет, так и по поручению своего клиента.
Дилер банка-покупателя связывается напрямую по телефону с банком-продавцом и заключает сделку. Время совершения сделки, как правило, составляет от нескольких десятков секунд до двух-трех минут. Подтверждающие сделку документы отсылаются позже, а проводки по банковским счетам осуществляются в течение, как правило, двух рабочих банковских дней. Такая форма организации торговли валютой называется м е ж б а н к о в с к и м в а л ю т н ы м р ы н к о м.
Подавляющая часть валютных операций проводится в безналичной форме, т.е. по текущим и срочным банковским счетам, и только незначительная часть рынка приходится на торговлю монетами и обмен наличных денег.
В ряде стран часть межбанковского рынка организационно оформлена в виде в а л ю т н о й б и р ж и.
Современные средства коммуникации позволяют торговать валютой круглые сутки (исключая выходные дни). Например, Западноевропейский банк, имеющий разветвленную филиальную сеть по всему миру, может торговать долларами в Сингапуре, Франкфурте-на-Майне, Нью-Йорке и Сан-Франциско, перемещая операции из одного часового пояса в другой.
Таким образом, в настоящее время можно говорить о том, что национальные валютные рынки тесно связаны между собой, взаимопереплетены и являются составной частью глобального мирового валютного рынка.

Валютные курсы Соотношение обмена двух денежных единиц или цена одной денежной единицы, выраженная в денежной единице другой страны, называется валютным курсом.
Фиксирование курса национальной денежной единицы в иностранной называется в а л ю т н о й к о т и р о в к о й. При этом курс национальной денежной единицы может быть установлен в форме как п р я м о й к о т и р о в к и 1 ,10, 100 ед. иностранной валюты = х ед. национальной валюты), так и о б р а т н о й к о т и р о в к и 1 , 10, 100 ед. национальной валюты =хед. иностранной валюты). В большинстве стран при установлении курса национальной валюты используется прямая котировка, в Великобритании обратная, в США применяются обе котировки.
В дальнейшем все выводы о закономерностях динамики валютных курсов будут сделаны применительно к прямым котировкам.
Для профессиональных участников валютных рынков просто понятие «валютный курс» не существует. Оно распадается на курс покупателя и курс продавца.
К у р с п о к у п а т е л я это курс, по которому банк-резидент покупает иностранную валюту за национальную, а к у р с п р о д а в ц а курс, по которому он продает иностранную валюту за национальную.
Например, котировка 1$ = 1,5635/55 DM означает, что коммерческий банк ФРГ готов купить 1 долл. у клиента за 1,5635 марки, а продать за 1,5655 марки.
При прямой котировке курс продавца более высокий, чем курс покупателя.
Разница между курсом продавца и курсом покупателя называется м а р ж о й, которая покрывает издержки и формирует прибыль банка по валютным операциям.
Очевидно, что любой банк заинтересован в максимально низком курсе покупателя и максимально высоком курсе продавца, и только жесткая конкуренция за клиента вынуждает банки действовать в обратном направлении. Сокращение маржи и привлечение клиентов позволяет выиграть на массе прибыли.
Валютные курсы различаются и по видам платежных документов, которые являются объектом обмена. Различают к у р с т е л е г р а ф н о г о п е р е в о д а, к у р с ч е к о в, к у р с б а н к н о т ( к у р с м е н я л ь н ы х ко н т о р ) .



Виды издержек по вертикали


мотив предосторожности (хранение определенной суммы наличности на случай непредвиденных обстоятельств в будущем);
спекулятивный мотив («намерение приберечь некоторый резерв, чтобы с выгодой воспользоваться лучшим, по сравнению с рынком, значением того, что принесет будущее»').




КейнсДж.М. Избранные произведения. М., 1993.
С. 356.



Обобщая два названных подхода классический и кейнсианский, можно выделить следующие факторы спроса на деньги:
уровень дохода;
скорость обращения денег;
процентная ставка.
Классическая теория связывает спрос на деньги главным образом с реальным доходом. Кейнсианская теория спроса на деньги считает основным фактором процентную ставку. Хранение денег в виде наличности связано с определенными издержками.
Они равны проценту, который можно было бы получить, положив деньги в банк или использовав их на покупку других финансовых активов, приносящих доход. Чем выше процентная ставка, тем больше мы теряем потенциального дохода, тем выше альтернативная стоимость хранения денег в виде наличности, а значит, тем ниже спрос на наличные деньги.
Наиболее популярная теория спроса на деньги, рассматривающая его с точки зрения оптимизации денежных запасов, основана на выводах к которым пришли независимо друг от друга Уильям Баумоль и Джеймс Тобин в середине 50-х гг. Сегодня эта теория широко известна как модель БаумоляТобина. Они указывали, что индивиды поддерживают денежные запасы так же, как фирмы поддерживают товарные запасы.
В любой данный момент домашнее хозяйство держит часть своего богатства в форме денег для покупок в будущем.
В результате перед домашним хозяйством возникает дилемма: храня значительную часть богатства в денежной форме, домашнее хозяйство лишается процента, который оно бы получало, если бы вместо денег имело приносящие процент активы.
У. Баумоль и Дж. Тобин формализовали эту идею следующим образом. Домашнее хозяйство получает доход, номинальная стоимость которого, например, за месяц составляет РQ. Далее предполагается, что эти доходы в начале каждого периода автоматически помещаются на приносящий процент сберегательный счет в банке.
При этом всякий раз, когда деньги снимаются со сберегательного счета, имеют место постоянные издержки Рb (b реальные издержки, Рb номинальные).
Итак, домашнее хозяйство должно решить, сколько раз ежемесячно оно будет обращаться в банк и сколько денег изымать при каждом его посещении. Допустим, что это будет одна и та же сумма денег М'. Если домашнее хозяйство начинает каждый месяц с М' денежных средств, которые постепенно уменьшаются до нуля, то средние денежные остатки за месяц составляют
Виды издержек по вертикали
.
Оптимальный уровень спроса на деньги будет зависеть от различного рода издержек. Прежде всего, существуют издержки от каждого посещения банка Рb, число посещений за месяц равно
Виды издержек по вертикали
. Таким образом, суммарные месячные издержки от посещений банка cоставят
Виды издержек по вертикали
.
Кроме того,следует учесть альтернативные издержки хранения денег упущенный процент от средней суммы денежных (кассовых) остатков, которое обозначим через
Виды издержек по вертикали
.
Следовательно, чем выше М', тем реже домашнее хозяйство обращается в банк, но тем больше потери процентов в течение месяца. Домашнее хозяйство может минимизировать издержки от посещения банка путем одного масштабного изъятия средств в начале месяца (М' = PQ ), что даст ему все денежные средства, необходимые для расходования в течение месяца. Но такая большая сумма М' также максимизирует проценты, которые домашнее хозяйство теряет за этот месяц.
Действительно, не имея средств на сберегательном счете, домашнее хозяйство вообще не получит процентов.
Поэтому домашнее хозяйство должно соизмерять издержки от частых посещений банка (если М' мало) и упущенные проценты (если М' велико). Оптимальный выбор М' осуществляется путем минимизации общих издержек хранения денег (TС), их можно определить как сумму трансакционных издержек и альтернативных издержек упущенного процентного дохода:


Виды издержек по вертикали





Оптимальный уровень М' изображен на 23.2, где по вертикальной оси откладывается ТС как функция от М', отложенного по горизонтальной оси. Кривая СW отражает издержки от изъятия средств Pb PQ (Кривая CW это равносторонняя гипербола, так как издержки
M'

обратно пропорциональны М'.) Прямая, выходящая из начала координат, изображает альтернативные издержки, ОС = i M'. Суммируя оба вида издержек по вертикали, получим
2

график совокупных издержек ТС, имеющий U -образную форму. Минимум совокупных издержек достигается в точке А, определяющей М'о как оптимальное количество денег, которые необходимо брать каждый раз. Тогда спрос на деньги (средние денежные остатки за месяц) составит МD= М'о
2





Виды издержек по вертикали




23.2. Издержки хранения денег и оптимальные денежные остатки


Одновременно можно получить алгебраическое выражение спроса на деньги в модели БаумоляТобина. Это уравнение интересно тем, что позволяет представить спрос на деньги как функцию трех ключевых параметров: дохода, процентной ставки и постоянных издержек:

Виды издержек по вертикали





Фундаментальный вывод, который можно сделать на основе подхода БаумоляТобина, состоит в том, что спрос на деньги это спрос на р е а л ь н ы е д е н е ж н ы е о с т а т к и. Иначе говоря, для людей важна покупательная способность денег, а не их номинальная ценность. Эта характеристика спроса на деньги широко известна как отсутствие «денежной иллюзии». Как следует из формулы (23.5), если уровень цен удваивается, в то время как все остальные параметры (i, Q, b) остаются без изменения, спрос на деньги также удваивается.
В более общей форме можно утверждать, что изменение уровня цен прямо пропорционально воздействует на желаемый уровень номинальных денежных остатков, но оставляет реальный спрос на деньги неизменным.
Модель учитывает также существенные воздействия дохода, процентной ставки и фиксированных издержек b на спрос на деньги. Как следует из соотношения (23.5), рост реального дохода Q увеличивает желаемый уровень денежных остатков. Другими словами, более высокий уровень дохода вызывает рост расходов домашнего хозяйства, и, чтобы поддерживать более высокий объем сделок, оно увеличивает свои средние денежные остатки.
Что касается п р е д л о ж е н и я д е н е г (MS), то оно включает наличность (C) вне банковской системы и депозиты (D), которые экономические агенты при необходимости могут использовать для сделок (фактически это агрегат М1), т.е. MS = C+D.
Современная банковская система это система с частичным резервным покрытием: только часть своих депозитов банки хранят в виде резервов, а остальные используют для выдачи ссуд.
В отличие от других финансово-кредитных институтов банки обладают способностью увеличивать предложение денег («создавать деньги»). К р е д и т н а я м у л ь т и п л и к а ц и я процесс эмиссии платежных средств в рамках системы коммерческих банков.
В общем виде дополнительное предложение денег, возникшее в результате появления нового депозита, равно:

MS = 1 .D (23.6)
rr

где rr норма банковских резервов, D первоначальный вклад.
Коэффициент
Виды издержек по вертикали
н а з ы в а е т с я б а н к о в с к и м м у л ь т и п л и к а т о р о м и л и м у л ь т и п л и к а т о р о м денежной экспансии.



Особенности денежной системы России В современных условиях в России обострилась проблема нехватки денежных средств, проявляющаяся в низком соотношении денежной массы и ВНП/ВВП. Данный показатель в экономической литературе называется к о э ф ф и ц и е н т о м м о н е т и з а ц и и .
Россия имеет один из самых низких в мире уровень насыщенности хозяйственного оборота деньгами, самый крупный дефицит денег в обращении. В среднем по странам «большой семерки» уровень монетизации экономики составляет 55100% , по развивающимся странам 4060%. В России в начале 90-х гг. уровень монетизации экономики составлял около 40%, в 1994 г. 24%, с началом проведения политики финансовой стабилизации опустился к 1996 г. до 1216% и остается примерно на этом же уровне в 1999 г. (1617%, по данным Банка России).
Дефицит денежной массы в обращении и устойчиво высокие расходы государства приводят к росту доли денежных ресурсов страны, направляемых на покрытие расходов бюджета. Все меньше становится финансирование оборотных средств реального сектора (через кредиты банков) и в еще меньшей мере инвестиций. В последние годы более 50% денежной массы, обслуживающей хозяйственный оборот в России, было отвлечено на кредитование правительства (еще в 1995 г. при всей «нерыночности» форм финансирования правительства этот показатель составлял только 19%, остальная часть внутреннего кредита шла на обслуживание экономики).
Нехватку рублей отчасти заменили неплатежи, бартерные сделки, денежные суррогаты и иностранная валюта. Так, процент бартерных операций в российской промышленности непомерно высок около 50%. На некоторых ведущих предприятиях, производящих ликвидную продукцию (нефть, автомобили), доля бартера достигает 8090%.

Электронные средства платежа Деньги как средство платежа все больше принимают электронную форму, становясь «электронными деньгами». Получившие распространение со второй половины 70-х гг. электронные устройства и системы связи, используемые для перевода денежных средств, осуществления кредитных и платежных операций посредством передачи электронных сигналов, имеют следующие преимущества по сравнению с бумажными деньгами: увеличение скорости передачи платежных инструкций, упрощение обработки банковской корреспонденции, снижение стоимости обработки платежной документации.



Влияние уровня относительных цен на объем производства


Добавим к графику на 34.2 вектор относительных цен. отражающий отношение цены товара Х(Рх) к цене товара Y(Рy).
Если, например, при неизменном Рy начинает расти Рx, то это означает такое изменение угла оси вектора Pх/Рy, при котором он будет касаться кривой производственных возможностей уже не в точке Е, а в точке Е1 что будет означать увеличение производства товара Х и сокращение производства товара Y. (Этот сдвиг в ассортименте производимой продукции отображен на 34.2 пунктирными линиями).





Влияние уровня относительных цен на объем производства



34.2. Влияние уровня относительных цен на объем производства

Теперь добавим к графику множество кривых безразличия (о них подробнее см. 9.2), тогда график будет выглядеть следующим образом ( 34.3).




Влияние уровня относительных цен на объем производства





34.3. Производство, потребление и внешняя торговля в стандартной модели внешней торговли

Кривая безразличия отражает предпочтения покупателей по товарам. Объем потребления в экономике будет задан точкой касания одной из кривых безразличия вектора цен (это точка D на 34.3). Объем производства был задан ранее точкой Е. Тогда страна будет экспортировать излишнее для нее количество товара X (оно равно X1, Х2) и импортировать недостающее ей количество товара Y(оно равно Y2-Y1,).
В соответствии с теорией ХекшераОлина, дополненной Самуэльсоном, в экспортное производство будет происходить перелив экономических ресурсов (факторов производства), что приведет к повышению цен на экспортируемые товары относительно остальных. Тогда вектор цен Рх/ру возрастет и коснется кривой производственных возможностей в точке Е1, т.е. сместится в пользу товара Х (до Х3). Точка касания кривой безразличия нового вектора цен (точка D1,) переместится вверх вправо, что означает увеличение объема потребления, правда, в изменившемся ассортименте за счет роста импорта ( 34.4).






Влияние уровня относительных цен на объем производства




34.4. Эффект роста относительной цены экспортируемого товара

Рост Рх/Pу приводит к двум эффектам: эффекту дохода, означающему повышение благосостояния вследствие роста дохода от экспорта, и эффекту замещения, который означает рост потребления импортируемых товаров по сравнению с экспортируемыми.

Понятие условий торговли Таким образом, для рассматриваемой страны рост цен на экспортируемые товары по отношению к импортируемым (Px/Ру) приведет к повышению ее благосостояния, а понижение цен, наоборот, к уменьшению его. Если же цены на импортируемые товары (в нашем случае Ру) будут расти, то это будет означать снижение благосостояния страны.
Подобная логика лежит в основе расчета условий торговли, т.е. показателя, равного частному от деления цены экспортируемого товара (товаров) на цену импортируемого товара (товаров).

Выигрыш от внешней торговли
Выигрыш от участия страны в международной торговле весьма неравномерно распределяется между различными слоями общества. Развитие торговых отношений приносит ощутимые выгоды потребителям импортных товаров, так как они получают возможность приобретать их по более низким ценам по сравнению с ценами на аналогичные товары отечественного производства в отсутствии внешней торговли. Кроме того, как видно из графика на 34.4, возрастает и объем потребления импортных товаров по сравнению с экспортируемыми.
Дополнительные доходы получают производители экспортных товаров в связи с ростом их цен и увеличением объема производства.
С развитием внешней торговли проигрывают производители товаров, конкурирующих с импортными. Рост импорта относительно более дешевых товаров вынуждает их отказаться от производства части продукции, создаваемой с высокими предельными издержками. В то же время сократившуюся по объему продукцию они вынуждены реализовать по относительно более низким ценам.
Неодинаковое воздействие внешней торговли на благосостояние различных слоев населения находит отражение в проводимой государством торговой политике. Его стремление к проведению политики либерализации внешней торговли, как правило, сочетается с элементами протекционизма.
4. Альтернативные теории международной торговли. Теория конкурентных преимуществ Можно выделить два направления в развитии альтернативных теорий международной торговли. Первое это теории, авторы которых стремятся углубить концепции классической школы. Причем они концентрируют свое внимание на тех аспектах, которые не получили должного освещения в трудах их предшественников.
Второе теории, авторы которых исходят из необходимости критического переосмысления сложившегося традиционного подхода к анализу международной торговли и стремятся создать собственные оригинальные концепции.

Теория специфических факторов производства
Теория специфических факторов производства была разработана американскими экономистами Полом Самуэльсоном и Рональдом Джонсом в 70-х гг. на основе фундаментальных положений теории ХекшераОлина. Однако в отличие от своих предшественников авторы этой теории исходят из того, что в производстве товаров участвуют не два, а три фактора: труд (L.), капитал (К) и земля (Т). Причем только труд является мобильным фактором, т.е. используется во всех секторах экономики и свободно перемещается между ними.
В то же время два других фактора являются специфическими, т.е. могут быть использованы только в одной отрасли. Такой подход в большей мере соответствует действительности, чем теория ХекшераОлина.
Рассмотрим на конкретном примере, как формируется граница производственных возможностей в стране в соответствии с теорией специфических факторов ( 34.5).











Влияние уровня относительных цен на объем производства



34.5. Граница производственных возможностей страны в теории специфических факторов

Предположим, что в стране производится два товара: Х и Y. При создании обоих товаров используется труд. Кроме того, при создании товара Х используется капитал, а при создании товара Y земля. Следовательно, существует функциональная зависимость объемов производства товара Х (Qx) и товара Y(Qy) от затраченного труда.
Эта зависимость выражается следующими формулами: Q x = Q x (k, L x) a , Q y = Q y (Т, L y). При этом L x + L y =L.
График на 34.5 состоит из четырех квадрантов. В нижнем правом углу (квадрант IV) изображена граница производственных возможностей страны при условии использования всех трудовых ресурсов для создания товара X. При этом рост трудовых затрат в этой отрасли отражается сдвигом вниз по вертикальной оси координат, а рост его выпуска сдвигом по горизонтальной оси вправо. В верхнем левом углу (квадрант I) изображена граница производственных возможностей страны при использовании всех ресурсов для создания товара Y. Причем рост трудовых затрат в этой отрасли отражается сдвигом влево по горизонтальной оси координат, а рост выпуска товара Y сдвигом по вертикальной оси вверх от начала координат.
Совмещение рассмотренных двух графиков достигается следующим образом. В нижнем левом углу (квадрант III ) на кривой LL показаны различные варианты распределения трудовых ресурсов между производством товаров Х и У (на графике это изображено пунктирными линиями). В верхнем правом углу (квадрант II) показано, как изменяется соотношение выпуска товара Х и товара Y (в точках Е1, E2 и E3) на кривой производственных возможностей в соответствии с различными вариантами распределения трудовых ресурсов между отраслями их производства (соответственно точки L1, L2 и L3).
Теперь рассмотрим, как развивается внешняя торговля между странами в соответствии с теорией специфических факторов.
Эта теория исходит из тех же допущений, что и теория ХекшераОлина: наличия равного спроса в обеих странах и различного предложения каждого из товаров, обусловленного неодинаковой наделенностью стран факторами производства. Исходя из этих допущений предположим, что в стране А относительно больше предложение товара X, в создании которого используется относительно избыточный в этой стране специфический фактор капитал, а в стране B относительно больше предложение товара Y, в создании которого используется изобильный в данной стране специфический фактор земля.
В отсутствии внешней торговли относительная цена товара X (PX/Py) в стране А будет меньше, чем в стране В, а в последней соответственно относительная цена товара Y (Py/Px) будет меньше, чем в первой. Это различие в относительных ценах на товары и является главным стимулом развития внешней торговли.
Однако с развитием внешней торговли относительные цены выравниваются. В то же время происходит рост производства в экспортоориентированных отраслях, усиливается перелив в эти отрасли мобильного фактора труда, расширяется использование специфических для этих отраслей факторов. Как видно из графика, представленного на 34.5, перемещение мобильного фактора труда в экспортоориентированную для данной страны отрасль приводит к оттоку трудовых ресурсов и сокращению выпуска продукции в отраслях, конкурирующих с импортом.
Согласно теореме ХекшераОлинаСамуэльсона происходящее вследствие развития внешней торговли выравнивание относительного уровня цен на экспортируемые обеими странами товары приводит и к выравниванию цен на факторы производства. Повышается цена факторов, используемых в производстве экспортных товаров и снижается цена дефицитных факторов, преимущественно используемых в отраслях, конкурирующих с импортом.



Возможности и границы государственного регулирования экономики


Кризисы середины 70-х гг. и превращение инфляции из умеренной (при норме 35% в год) и социально терпимой в галопирующую и выходящую из-под контроля (810% и более в год) побудили правящие круги стран Запада, где социал-демократические и либеральные правительства стали одно за другим сменяться правоконсервативными правящими элитами (под руководством М. Тэтчер в Великобритании, Р. Рейгана в США и т.д.), к смене экономического курса. В теории и практике госрегулирования на смену «кейнсианской революции» пришла «неоконсервативная контрреволюция», нашедшая свое идейное обоснование, прежде всего, в теориях монетаризма и экономики предложения (см. гл. 7) и выразившаяся в «дерегулировании» (см.
26.5).
В 8090-е гг. конъюнктурная политика в целом приобрела более плавный и сдержанный характер. В массированных нео-кейнсианских мероприятиях по «закачиванию» в экономику дополнительного инфляционного спроса для антициклического регулирования динамики ВВП и занятости в этот период уже не было необходимости вследствие перехода развитой рыночной экономики к очередному долгосрочному более или менее устойчивому росту, обусловленному технологическими сдвигами (новый этап научно-технической революции, прежде всего на базе массового распространения микроэлектроники). Динамика ВВП и занятости стали определяться не столько движением спроса, сколько технологическим развитием и мирохозяйственными факторами.
По этой причине конъюнктурная политика сконцентрировалась на ее антиинфляционных аспектах поддержании сложившихся в первой половине 80-х гг. и характерных также для 90-х гг. низких темпах инфляции и недопущении ее новых скачков в моменты резкого повышения темпов роста ВВП.
Переходу к более сдержанной и предсказуемой конъюнктурной политике способствовало и значительное усовершенствование, благодаря прогрессу экономической науки, инструментария и методики прогнозирования конъюнктуры, которая применяется различными исследовательскими институтами и центрами.

Долгосрочное регулирование
Данная форма нацелена на обеспечение модернизации экономики и ее прогресс. Она предполагает использование в соответствии с избранными государством в каждый период приоритетами структурной политики и политики роста взаимоувязанных среднесрочных и долгосрочных прогнозов и программ для всей экономики, а также отдельных отраслей и регионов.
В теории и практике госрегулирования данная форма получила различные названия: макроэкономическое, рамочное и индикативное планирование, планификация, глобальное регулирование и проч. Что же касается «программирования», то под ним на Западе понимаются по-разному трактуемые феномены из области информатики и производства программного продукта для ЭВМ.
В основе рамочного планирования лежит с р е д н е с р о ч н о е (на 45 лет) и д о л г о с р о ч н о е п р о г н о з и р о в а н и е экономического развития. Среднесрочные прогнозы, как правило, разрабатываются по «скользящему» методу, т.е. ежегодно корректируются и продлеваются на год (скажем, прогноз на 19941998 гг. преобразуется в прогноз на 19951999 гг.). Первоочередное назначение этих прогнозов состоит в том, что они служат отправным пунктом для расчета ожидаемых доходов и расходов госбюджета в прогнозируемый период.
Как правило, правительство поручает разработку подобных прогнозов одновременно нескольким авторитетным и постоянно выполняющим его заказы научно-исследовательским институтам. Из нескольких прогнозов выбирается один или производится какой-то симбиоз из них. В результате формируется целевой прогноз, служащий основой среднесрочного планирования финансов.
Предпринимаются попытки более или менее взаимоувязанно использовать для реализации установок такого прогноза весь рассмотренный выше инструментарий госрегулирования.
Достижению макроэкономических целей, которые преследует правительство, служат также о т р а с л е в ы е и р е г и о н а л ь н ы е п р о г р а м м ы , содержание которых определяется приоритетами государственной с т р у к т у р н о й п о л и т и к и . Последняя нацелена на смягчение кризиса, стабилизацию или экономическую экспансию тех или иных отраслей или регионов «структурно-кризисных» (по каким-либо причинам слаборазвитых в данной стране или депрессивных) или новых, зарождающихся. Для нужд структурной политики используются такие инструменты, как кредитные гарантии и льготы, субсидии и налоговые послабления. В ЕС национальные отраслевые и региональные программы сочетаются с «коммунитарными», т.е. совместными для стран членов Союза.
Среди отраслей хозяйства подобными льготами длительное, заранее не ограниченное время пользуется, прежде всего, аграрный сектор развитых стран. На его поддержку там затрачивается, как правило, 34%, а в Швейцарии даже 6% национального ВВП. В ЕС содействие сельскому хозяйству всех стран-членов оказывается из единого аграрного фонда (ФЕОГА), на который приходится 3/4 всех бюджетных расходов Союза. Такое содействие нацелено на достижение и поддержание как минимум самообеспечения стран членов ЕС основными продуктами питания умеренного пояса (зерно, мясо, молоко и т.д.) и сохранение достаточно сильной прослойки крестьянства как одной из важных опор социальной стабильности общества (см.
39.5).
Кроме того, длительной поддержкой на безвозмездной основе пользуются структурно-кризисные отрасли промышленности, объем производства которых по тем или иным причинам имеет тенденцию к свертыванию. Так, в Западной Европе к ним относятся угледобыча, текстильная промышленности, черная металлургия и судостроение. Предоставляемая им помощь, прежде всего финансовая, обеспечивает плавное сокращение производства до масштабов, при которых выпускаемая продукция конкурентоспособна и может находить сбыт.
Эта помощь смягчает также негативные социальные последствия кризиса указанных отраслей для занятых в них работников, которые переучиваются на новые специальности, получают единовременные пособия или имеют возможность досрочно уйти на пенсию. Типичный пример «коммунитарной» (в рамках интеграционного объединения) программы такого рода «план Давиньона» для черной металлургии стран членов ЕС.
Новейшие, «устремленные в будущее» отрасли, как правило, получают государственную поддержку на временной основе, до освоения ими рентабельного массового производства принципиально новой продукции.
Такую помощь, в частности, повсеместно получила микроэлектроника, а в Западной Европе еще и гражданское авиастроение (изготовление европейских аэробусов «А-310»). Подобная помощь может быть как безвозмездной, так и льготной, возвратной (после достижения соответствующей рентабельности).
Из регионального фонда ЕС осуществляются «коммунитарные» программы экономического содействия структурно слабым регионам. Вся территория ЕС разделена по уровню экономического развития на пять категорий регионов. Чем ниже уровень экономического развития данного региона и соответственно его категория, тем большую поддержку он получает от ЕС. «Коммунитарные» региональные программы в каждой стране члене ЕС дополняются национальными.
5. Возможности и границы государственного регулирования экономики Возможности и границы эффективности госрегулирования не могут получить точной к о л и ч е с т в е н н о й о ц е н к и уже потому, что они имеют много аспектов. Многие проявления эффективности госрегулирования, например социальная стабильность в обществе, вообще не имеют однозначных количественных параметров. Кроме того, практически невозможно вычленить вклад каждого из трех «слоев» хозяйственного механизма в обеспечение приемлемых темпов экономического роста, увеличение занятости или повышение эффективности общественного производства.
Вследствие этого можно предложить лишь некоторые к а ч е с т ве н н ы е оценки возможностей и границ госрегулирования.
Госрегулирование в целом, безусловно, доказало свою высокую эффективность. После того, как оно было встроено в хозяйственный механизм капиталистического общества, развитие стран Запада характеризуется высокой экономической динамикой, быстрым ростом эффективности общественного производства, более или менее умеренной безработицей, заметным повышением уровня и качества жизни населения, смягчением противоречий и достаточной социальной стабильностью. Всем этим рыночно-государстренно регулируемый, социально ориентированный современный капитализм выгодно отличается от капитализма свободной конкуренции.
В то же время эффективность госрегулирования далеко не безгранична. Так, оно не может преодолеть цикличность капиталистического воспроизводства, порождающую в понижательных фазах цикла (кризис, депрессия) массу тяжелых экономических и социальных проблем. В течение длительных периодов оно не в состоянии, несмотря на все усилия, обеспечить приемлемого, социально терпимого уровня безработицы, а тем более полной занятости самодеятельного населения.
Именно так обстоит дело в последние два десятилетия ХХ в., когда сдвиги в технологической базе производства и обострение мирохозяйственной конкуренции привели на Западе к свертыванию производства и уменьшению количества рабочих мест в ряде отраслей и ускорению замещения живого труда трудом, овеществленным в дополнительных элементах основного капитала (машинах, оборудовании и т.п.). При безработице, которая в последние два десятилетия в большинстве стран Запада колеблется в пределах 1012% и более, неуклонно обостряется проблема финансирования системы социального страхования и ее поддержания на достигнутом качественном уровне.



ВВалютный рынок в России


С мая 1996 г. Банк России отменил механизм установления официального курса рубля в форме привязки к курсу ММВБ и перешел к объявлению ежедневных курсов покупки и продажи долларов США по своим операциям на межбанковском и биржевом валютных рынках.
Последовательные реформаторские усилия по достижению основных целей валютной политики в конечном счете позволили России с 1 июня 1996 г. принять на себя обязательства по ст. VIII Учредительного соглашения (Устава) МВФ, в соответствии с которыми полностью снимаются все ограничения на валютные операции по текущим счетам и переводам. Тем самым был завершен переход к конвертируемости рубля по текущим операциям, что являлось одной из важнейших целей рыночных реформ в России.

Валютный рынок в России Основными сегментами валютного рынка в России являются биржи и межбанковский валютный рынок.
Валютные биржи играют в настоящее время ключевую роль прежде всего в силу того, что курсы валюты и объемы операций по результатам торгов на биржах служат ориентиром для сделок на межбанковском и фьючерсном (срочном) валютных рынках.
Механизм торгов на всех биржах в целом одинаков и проводится на основе принципа «жесткого фиксинга». При этом каждая биржа имеет свои особенности в порядке проведения и организации торгов. В общих чертах торги проходят следующим образом.
Перед началом торгов дилеры, представляющие участников торгов, сообщают курсовому маклеру заявки на покупку и/или продажу иностранной валюты. Минимальная сумма покупки или продажи иностранной валюты (лот) равна 10 тыс. долл. США для биржевых торгов по долларам или 10 тыс. марок ФРГ для биржевых торгов по немецким маркам.
В качестве начального курса иностранной валюты к рублю используется курс, зафиксированный на предыдущих торгах.
В начале торгов курсовой маклер сообщает о суммах заявок на покупку и продажу валюты. Если общий объем предложения валюты в начале торгов превышает общий объем спроса, то курсовой маклер понижает курс иностранной валюты к рублю, а участники торгов могут выставлять дополнительные заявки на покупку валюты и/или снимать свои заявки на продажу. В случае, если в начале биржевой сессии объем предложения меньше объема спроса, то при повышении курса иностранной валюты к рублю участники торгов могут выставлять дополнительные заявки на продажу валюты и/или снимать свои заявки на покупку иностранной валюты.
При достижении равенства спроса и предложения происходит установление фиксированного для текущих торгов курса иностранной валюты к рублю «фиксинг». По этому курсу происходит расчет по всем заключенным сделкам. С участников торгов биржа взимает комиссию в размере, как правило, не превышающем 0,150,2% от объема нетто-покупки (в иностранной валюте) или нетто-продажи (в рублях).
После завершения торгов все его участники получают биржевые свидетельства и операционные листы. Сроки расчетов на различных биржах варьируют от 0 до 7 дней.
Хотя еще и сохраняется достаточно сильная разобщенность российских валютных бирж, однако встает вопрос о формировании единого биржевого рынка в связи с формированием единого рынка торговли государственными ценными бумагами, и первое, что необходимо будет обеспечить, это унификацию системы расчетов на региональных валютных биржах.
В последнее время существенно возросла привлекательность межбанковского валютного рынка за счет усиления его конкурентных позиций по сравнению с биржевым рынком. Имеющиеся на межбанковском валютном рынке риски компенсируются скоростью перечисления средств. Так, здесь преобладают короткие и сверхкороткие сделки с поставкой валют в день заключения сделки или на следующий день (операции « today» и «tomorrow»).
В целом перспективы развития валютного рынка в России связаны с развитием межбанковского валютного рынка. Уже сейчас в отдельные периоды межбанковский валютный рынок опережает биржевой по объему операций в дватри раза. Однако банковский кризис в августе 1995 г., приведший к резкому свертыванию операций на межбанковском рынке, а также события после 17 августа 1998 г. показали, что этот рынок еще не обладает достаточно устойчивой институциональной структурой и без поддержки Центрального банка РФ перспективы данного рынка достаточно неопределенны.

Динамика валютного курса рубля и его регулирование Стабилизация курса рубля в условиях рыночных преобразований не только цель валютной политики правительства, но и необходимая предпосылка для достижений финансовой стабилизации экономики в целом.
За пять лет реформ номинальный рыночный курс рубля по отношению к доллару снизился с 60 руб. в октябре 1991 г. до 6000 руб. в декабре 1997 г., а после деноминации до 24,0 25,0 руб. к середине 1999 г. Рыночный курс рубля к августу 1998 г. максимально приблизился к курсу, рассчитанному на базе паритета покупательной способности: если в 1992 г. рыночный курс превышал курс на базе ППС более чем в 12 раз, то в середине 1998 г. всего в 1,5 раза. После девальвации рубля в августе 1998 г. разрыв с ППС увеличился до Трехкратного. Динамику рыночного валютного курса рубля определяли следующие основные факторы:
инфляция, и прежде всего такие ее показатели, как кредитная эмиссия (точнее, динамика остатков на счетах предприятий, динамика взаимных неплатежей предприятий, наличная эмиссия (динамика массы наличных денег в обращении, индекс оптовых цен, индекс потребительских цен (в том числе по товарам наиболее эффективного импорта);
динамика процента, особенно соотношение процента по краткосрочным рублевым кредитам и депозитам и процента по валютным кредитам и депозитам;
государственное регулирование, и прежде всего валютные интервенции Центрального банка РФ на бирже, регулирование конверсионных операций на бирже, экспортные и импортные налоги и тарифы, лицензирование и квотирование во внешней торговле;
ожидания (курсовые, инфляционные, процентные). В начале рыночных реформ российское правительство предполагало, что курс удастся контролировать косвенным путем, т.е. за счет жесткой монетарной политики и создания стабилизационного валютного фонда, призванного играть на валютном рынке роль мощного психологического амортизатора. Общая схема взаимодействия в связке «эмиссия курс объем валютных операций» задумывалась следующим образом: ограничение денежной массы увеличение спроса на рубли в экономике в целом и рост предложения валюты на бирже относительное (с учетом инфляции) снижение курса доллара рост спроса на валюту нарастание объема биржевых конверсионных операций.
В конкретных условиях отечественной экономики эта схема была существенно скорректирована. Выяснилось, что монетарная политика не в состоянии противостоять инерционной экономической структуре, В результате контроль за ростом денежной массы оказался неэффективным ограничителем роста цен, а последний сопровождался резким нарастанием объема взаимных неплатежей между предприятиями.
Поэтому в течение первых трех лет реформ предложение валюты на рынке в решающей мере корректировалось интервенциями Банка России, а не перераспределением рублевого спроса. В условиях динамичного роста цен, развития инфляционных ожиданий и, как следствие, процесса долларизации экономики спрос на валюту оказывал постоянное давление на рынок.
Иными словами, схема регулирования курса в 19931994 гг. выглядела таким образом: интервенции Центрального банка РФ рост предложения валюты на бирже относительное (с учетом инфляции) снижение курса доллара рост спроса на валюту нарастание объема биржевых конверсионных операций.
Только с 1995 г. после того, как заявление правительства о последовательном проведении жесткой денежно-кредитной политики было реализовано на практике, валютный курс начал адекватно реагировать на ситуацию, складывающуюся на российском денежном рынке.
В июле 1995 г. Центральный банк РФ объявил о введении «валютного коридора», в рамках которого предполагалось удерживать валютный курс рубля в течение заданного периода времени. В условиях стабильного валютного курса привлекательность рублевых краткосрочных активов резко возросла, в связи с чем началась реальная дедолларизация экономики (снижались остатки на валютных счетах и.запасы наличной валюты на руках у физических лиц) и увеличилось предложение валюты на рынке. Удержание курса в рамках заданного коридора потребовало огромных рублевых интервенций Банка России на валютном рынке, что привело к резкому росту его валютных резервов.
«Горизонтальный валютный коридор» сохранялся до июля 1996 г. и, исполнив свою стабилизирующую функцию, был заменен на «наклонный коридор», параметры которого, привязанные к прогнозируемым темпам инфляции, устанавливались ежегодно.
После более чем трехкратной девальвации рубля осенью 1998 г. Банк России принял решение о серьезной корректировке своей валютной политики в условиях глубокого финансово-экономического кризиса в стране. Он начал проводить свою политику в режиме «плавающего» валютного курса без определения границ его отклонений. При этом, используя соответствующие инструменты денежно-кредитной и валютной политики, стремился сглаживать амплитуду резких курсовых колебаний рубля к доллару, зависящих от спроса и предложения валюты на рынке.
В то же время эффективность действий Банка России в этом направлении определялась уровнем его золотовалютных резервов (за 1998 г, они сократились на 31,3%, или с 17,784 млрд долл. по состоянию на 01.01.98 г. до 12,223 млрд долл. по состоянию на 01.01.99 г.), а также возможностями государства договориться с внешними кредиторами по своим долгам.



Выбор «шокового» варианта является вынужденной мерой.


Опыт рыночных преобразований во всех трех группах стран показывает, что сравнительно легко проходит либерализация в виде отмены или ослабления государственного контроля над хозяйственной деятельностью, возрождения частного предпринимательства, а также приватизации небольших объектов (преимущественно в сфере торговли и бытового обслуживания). Гораздо тяжелее проходит либерализация цен и демонополизация экономики, так как здесь реформы сталкиваются с возможностью широкого социального недовольства. Столь же трудной, но в целом разрешимой проблемой оказывается финансовая стабилизация, также требующая немалых жертв от населения.
Крайне трудно разрешимой задачей, является эффективная (а не формальная) приватизация крупных хозяйственных объектов, а также проведение на практике процедуры банкротства. Значительных и длительных усилий требует преодоление унаследованных структурных диспропорций (при том, что ни одна страна не решилась ликвидировать «горб» в виде хронически убыточных крупных промышленных предприятий).

Варианты перехода к рыночной экономике Практика стран, входивших некогда в «мировую социалистическую систему», демонстрирует два основных варианта трансформации административно-командной системы в рыночную экономику: первый (исторически более ранний) эволюционный путь постепенного создания рыночных институтов (Китай и в немалой степени Венгрия); второй «шоковая терапия», применявшаяся с той или иной степенью интенсивности в России и большинстве стран Центральной и Восточной Европы (в классической форме в Польше).
Различия между указанными путями заключаются в сроках осуществления системных преобразований и стабилизационных мер, степени охвата рыночными механизмами народного хозяйства, объеме регулирующих функций государства и др.
Выбор эволюционного или «шокового» пути перехода к рыночной экономике зависит не столько от воли политического руководства, сколько от комплекса политических, экономических, социальных, исторических и других факторов. В пользу эволюционного перехода говорит наличие довольно развитого сельского хозяйства и кустарного производства, в которых заняты поколения работников, сохранивших навыки частного предпринимательства; сравнительно невысокий удельный вес тяжелой промышленности и особенно военно-промышленного комплекса; стабильность финансовой системы; преобладание среди политической и хозяйственной элиты слоев, заинтересованных в проведении реформ, и др.
Выбор «шокового» варианта обычно является вынужденной мерой. Он связан в большинстве случаев с необходимостью преодоления крайне тяжелого финансового положения, доставшегося в наследство от административно-командной системы, а также острого товарного дефицита, вызванного накопившимися структурными диспропорциями.

Эволюционный путь («градуализм»)
Можно выделить следующие общие черты эволюционного пути перехода к рыночной экономике.
1. Государство на основе долгосрочной стратегии реформ последовательно, шаг за шагом заменяет механизмы административно-командной системы рыночными отношениями. Так, в Венгрии этот процесс происходил с 1968 по 1990 гг., а в Китае продолжается с 1979 г.
2. Начало реформы связывается с установлением динамического равновесия на потребительском рынке, причем не только с помощью более гибкой системы цен, но и прежде всего благодаря быстрому развертыванию в частном секторе производства потребительских товаров и оказания услуг и насыщению ими рынка. В Китае ограничения на создание частных производственных предприятий были отменены в середине 80-х гг., что позволило спустя пять-шесть лет полностью насытить потребительский рынок.
3. Рыночные отношения первоначально охватывают сферу производства и сбыта потребительских товаров и лишь затем распространяются на инвестиционные отрасли.
4. Либерализация цен проводится на последующих этапах реформы, причем нередко с сохранением государственного контроля над ценами в отраслях с сильными монополистическими тенденциями, с целью избежать резкого снижения жизненного уровня населения.
5. Проводится жесткая финансовая политика в целях недопущения высокой инфляции. В Венгрии максимальный годовой прирост розничных цен составил 35% (1991 г.), а в Китае 24,1% (1994 г.).
6. Активно формируется рыночная инфраструктура, поощряется частное предпринимательство, главным образом в мелком производстве и сфере услуг.
Импульс, данный развитию сельского хозяйства и связанных с ним отраслей по производству потребительских товаров, становится своеобразным мотором дальнейшего распространения рыночных механизмов и одновременно приводя к насыщению потребительского рынка, создает благоприятный социальный фон для дальнейшего углубления реформ.

Вариант радикального перехода к рынку («шоковая терапия»).
Стратегия «шоковой терапии» основана на неолиберальной теории. Согласно неолиберализму рыночная экономика является саморегулирующейся системой. Поэтому главная задача преобразований заключается в сведении к минимуму экономической роли государства.
За ним сохраняется важнейшая функция поддержание устойчивости финансовой системы, а для этого необходимо решительное подавление инфляции, которая препятствует регулирующей роли рынка.
В числе важнейших институциональных преобразований стратегия радикального перехода предполагает:
одномоментную либерализацию цен на основную массу товаров и услуг и переход от государственного материально-технического снабжения к свободной торговле средствами производства и предметами потребления. Эта мера приводит к устранению товарного дефицита и запускает механизмы рыночного саморегулирования;
скорейшее разрушение прежней системы централизованного планирования и замена административных способов государственного регулирования экономическими, среди которых главными являются ужесточение условий предоставления кредита, ограничение денежной эмиссии;
ускоренную приватизацию государственной собственности, переход к частной собственности на землю;
либерализацию внешнеэкономической деятельности, что приводит к широкому открытию внутреннего рынка и экономики в целом для иностранных товаров и капитала.
Недостатки стратегии радикального перехода к рыночной экономике сводятся к следующему: во-первых, в условиях унаследованных от прежней системы огромных структурных диспропорций переход к свободному ценообразованию приводит к тому, что наиболее прибыльной сферой вложения капитала становится перераспределительная деятельность в финансовом секторе при оттоке ресурсов из реального сектора; во-вторых, стремительный переход к ценообразованию на основе спроса и предложения в условиях доставшегося от планового хозяйства товарного дефицита и монопольного положения производителей на первых порах вызывает высокую инфляцию; в-третьих, стратегия радикального перехода, сопровождаемая высокой инфляцией, влечет за собой падение жизненного уровня преобладающей части населения и усиление социальной дифференциации.

Финансовая стабилизация
Стабилизационные меры в денежно-кредитной и финансовой сферах вначале направлены на ликвидацию накопленного в рамках административно-командной системы инфляционного потенциала в виде излишнего количества денег (по отношению к имеющейся товарной массе) населения и предприятий. Поэтому снятие государственного контроля над ценами и возникающий сразу после этого резкий разрыв в темпах роста цен и заработной платы (из-за фактического замораживания последней) должны достаточно быстро остановить дальнейшее повышение цен, которые .наталкиваются на барьер платежеспособного спроса. Инфляция должна замедлиться.
Вместе с тем следует уточните, что вышеописанная схема представляет собой скорее теоретическую концепцию, реализация которой связана с самыми разнообразными обстоятельствами (политическими, психологическими и т.д.).
На практике либерализация цен почти всегда и везде (кроме Китая и отчасти Венгрии) вела к огромному ценовому скачку. Снижение инфляции до социально приемлемого уровня в 20 30% в год занимало от нескольких месяцев (в Польше) до нескольких лет (в России), причем затягивание стабилизации повышало ее социальные издержки. Под воздействием стабилизационных мер инфляция в странах СНГ и Центральной и Восточной Европы (ЦВЕ) обычно снижается, но остается высокой по стандартам развитых стран.
В странах, осуществляющих переход преимущественно по градуалистской модели, финансовая стабилизация не является острой необходимостью, так как либерализация цен обычно проводится постепенно и здесь не происходит накопление огромного инфляционного потенциала.
Снижению инфляции и повышению сбалансированности рынка способствуют также ликвидация или, по крайней мере, резкое сокращение дефицита государственного бюджета и увеличение ссудного процента сверх уровня инфляции, что ведет к дополнительному сокращению текущего спроса. Повышение процента по вкладам стимулирует сбережения. В результате всех этих мер создается возможность обеспечить более рациональные соотношения цен по отдельным товарам, отражающие реальный спрос.
Все это должно привести к преодолению товарного дефицита и достижению равновесия на потребительском рынке, когда появляется возможность свободно купить любой товар.



Взаимосвязь банковских операций


Инкассовые операции представляют собой операции, при посредстве которых банк по поручению своего клиента получает деньги по денежным и товарно-расчетным документам. На инкассо принимаются чеки, векселя, ценные бумаги, иностранная валюта и т.д. Совершая инкассовую операцию, банк взимает комиссию, размер которой зависит от вида операции.
Аккредитив это поручение о выплате определенной суммы лицу или компании при выполнении указанных в аккредитивном письме условий. В подобной операции участвуют: клиент, дающий поручение об открытии аккредитива; банк, открывающий аккредитив; банк, в котором открыт аккредитив и который следит за выполнением его условий; лицо, в пользу которого открыт аккредитив (бенефициар, или получатель).
Различают денежные и товарные аккредитивы. Денежный аккредитив это именной документ, выдаваемый банком лицу, внесшему определенную сумму и желающему получить ее в другом городе данной страны или за границей. Т о в а р н ы й а к к р е д и т и в применяется для расчетов между поставщиком и покупателем товара в оптовом обороте.
Переводные операции заключаются в перечислении внесенных в банк денег получателю, находящемуся в другом месте. Они осуществляются путем посылки банковского чека или перевода банку-корреспонденту.
Банки выполняют следующие доверительные (трастовые операции для частных лиц) временное управление имуществом лиц, лишенных права осуществлять эту функцию (вдовы, несовершеннолетние); управление имуществом умершего в интересах наследников; управление капиталом с целью получения наивысшей прибыли (вложение денег в акции, недвижимость); хранение ценностей в сейфах и т.п. Доверительные операции для компаний отличаются от перечисленных выше: банк может выступать гарантом по облигационному займу; агентом по регистрации выпускаемых на рынок акций, по трансферту (передаче права собственности по именным акциям); управляющим средствами пенсионных фондов корпораций ит.д.
В последние годы все большую популярность среди промышленных компаний получает финансовый лизинг, т.е. приобретение дорогостоящих машин и оборудования и сдача их в аренду. Обычно банк или подчиненная ему лизинговая компания покупают за полную стоимость машины и оборудование и предоставляют их в пользование арендатору. Последний периодически (раз в месяц, квартал) уплачивает взносы, за счет которых происходит погашение стоимости оборудования и обеспечивается прибыль учреждения, кредитующего сделку.

Взаимосвязь банковских операций
Современный банк выполняет до 100 видов операций и услуг. Все они связаны между собой. Прежде всего, существует зависимость между активными и пассивными операциями.
Банки оперируют преимущественно чужим капиталом, поэтому масштабы кредитования и инвестирования банковских средств во многом зависят от способности кредитного учреждения привлечь свободный денежный капитал и сбережения. В то же время с развитием банковской системы зависимость активных операций от пассивных ослабевает.
Помимо общей связи активов и пассивов имеется зависимость междуотдельными видами операций. Банковская клиентура, особенно промышленные предприятия и крупные индивидуальные заемщики и вкладчики, как правило, заинтересованы в получении от банка различных услуг. Острейшая конкуренция на рынке ссудных капиталов заставляет банки вводить новые формы обслуживания, предоставлять сопутствующие и дополняющие, подчас бесплатные услуги.
Так, открытие текущего счета обычно сопровождается выполнением разнообразных операций по расчетам и безналичному переводу средств, выдаче краткосрочных кредитов (например, в форме овердрафта), использованию кредитных карточек, автоматов для получения или взноса денег в нерабочие часы, уличных кассовых (денежных) автоматов и т.д.
Регулярные кредитные связи между банком и заемщиком (например, крупной компанией) побуждают банк инвестировать капитал клиента в ценные бумаги, выполнять для него комиссионные и посреднические операции, принимать его имущество в управление на доверительной основе, осуществлять расчеты в своем электронно-вычислительном центре и т.д. Предоставление дополнительных услуг привлекает в банк и мелких вкладчиков, которые обычно пользуются преимущественным правом получения или пролонгации кредита в данном банке.
Современные тенденции развития банковской деятельности можно свести к следующим направлениям: расширение «нетрадиционных» операций банков; стирание граней между различными типами банков и небанковскими кредитными организациями; универсализация деятельности банков; респециализация деятельности крупных и средних банков и усиление специализации мелких банков, имеющих свою «рыночную нишу»; укрупнение объектов кредитования; увеличение доли среднесрочного и долгосрочного кредитования в структуре кредитных операций; широкое внедрение современных средств связи и информационно-программного обеспечения банковской деятельности; повышение качества банковских услуг.
Указанные направления выступают как ориентиры для организации и развития кредитной системы в России. Однако их реализация связана прежде всего с улучшением экономического положения в стране: снижением уровня инфляции, цены кредита, активизацией инвестиционной деятельности, стабилизацией валютного курса рубля, нормализацией структуры денежной массы (увеличением доли агрегата МО).
Поэтому в последние годы достаточно типичным явлением для России стали кризисы ликвидности ситуация, когда многие кредитные организации не могут исполнять свои текущие обязательства. Если им не удается восстановить ликвидность баланса (за счет реструктуризации портфеля активов и пассивов), то кризис ликвидности перерастает в кризис платежеспособности, т.е. банк фактически становится банкротом.


4. Денежно-кредитная политика Совокупность государственных мероприятий в области денежного обращения и кредита получила название денежно-кредитной политики. Ее главная цель регулирование экономической активности в стране и борьба с инфляцией.
Денежно-кредитная политика направлена либо на стимулирование кредита и денежной эмиссии (кредитная экспансия), либо на их сдерживание и ограничение (кредитная рестрикция). В условиях падения производства и увеличения безработицы центральные банки пытаются оживить конъюнктуру путем расширения кредита и снижения нормы процента. Напротив, экономический подъем часто сопровождается «биржевой горячкой», спекуляцией, ростом цен, нарастанием диспропорций в экономике.
В таких условиях центральные банки стремятся предотвратить «перегрев» конъюнктуры с помощью ограничения кредита, повышения процента, сдерживания эмиссии платежных средств и т.д.

Методы денежно-кредитной политики Эти методы делятся на две группы: общие (влияют на рынок ссудных капиталов в целом) и селективные (предназначены для регулирования конкретных видов кредита или кредитования отдельных отраслей, крупных фирм и т.д.). Охарактеризуем общие методы денежно-кредитной политики. Учетная (дисконтная) политика является старейшим методом кредитного регулирования: она активно применяется с середины XIX в. Возникновение этого метода было связано с превращением центрального банка в кредитора коммерческих банков. Последние переучитывали у него свои векселя или получали кредиты под собственные долговые обязательства.
Повышая ставку по кредитам (учетную ставку, ставку дисконта, ставку рефинансирования), центральный банк побуждал другие кредитные учреждения сокращать заимствования. Это затрудняло пополнение банковских ресурсов, вело к повышению процентных ставок и в конечном итоге к сокращению кредитных операций.
Следовательно, учетная (дисконтная) политика это условия, на которых центральный банк покупает векселя у коммерческих банков. Учетная политика относится к прямым методам регулирования и представляет собой вариант регулирования качественного параметра рынка, а именно стоимости банковских кредитов.
В тех случаях, когда предприниматель расплачивается с поставщиком не сразу после отгрузки товаров, а через определенный срок, например через 3 мес., для подтверждения отсрочки платежа они обычно выставляют вексель. Поставщик товара может использовать этот вексель следующим образом: либо ожидать поступления срока его оплаты, либо оплатить им свои денежные обязательства, либо реализовать его коммерческому банку. Покупая вексель, осуществляя тем самым его учет, Коммерческий банк оплачивает не всю сумму, а лишь ее часть, удерживая определенный процент (комиссию). Коммерческий банк в случае необходимости может переучесть полученный вексель в центральном банке.
При этом последний также удерживает в свою пользу определенный процент учетную ставку. Устанавливая единую учетную ставку, центральный банк тем самым определяет ее низшую границу для коммерческих банков. Комиссионный процент коммерческих банков превышает ставку центрального банка, как правило, на 0,52%.
Наибольшей популярностью учетная политика пользовалась в конце XIX начале XX в. В 3040-х гг. центральные банки проводили рекомендованную Дж.М. Кейнсом политику «дешевых денег», т.е. низких процентных ставок и обильного кредитования. В Англии с 1932 по 1951 г. учетная ставка сохранялась на уровне 2%, в США с 1937 по 1948 г.1%. Большую роль в поддержании низких ставок сыграло стремление обеспечить финансирование казначейства на льготных условиях в период после Второй мировой войны.
С 50-х гг. во многих странах вновь активизировалось использование учетной политики. В настоящее время за рубежом учетная ставка колеблется в достаточно широких пределах от 2 до 15%, отражая как общие тенденции экономическою развития, так и циклические колебания конъюнктуры. Но в целом значение этого метода регулирования по сравнению с другими существенно снизилось.



Закон возвышения потребностей


2. Закон возвышения потребностей означает, что потребности растут быстрее производства благ. Это происходит из-за того, что экономические потребности безграничны, а производство экономических благ ограниченно в силу ограниченности экономических ресурсов.
3. Под экономическими ресурсами понимаются все виды ресурсов, используемых в процессе производства товаров и услуг. К ним относятся природные и трудовые ресурсы, капитал (как реальный, так и денежный), предпринимательские способности, знания. Безграничность потребностей и ограниченность ресурсов образуют ось, вокруг которой вращается экономическая жизнь, и стержень экономики как науки.
4. Ресурсы взаимопереплетены, мобильны и, главное, взаимозаменяемы (альтернативны), хотя и не полностью. Поэтому предприниматель (организатор производства) в условиях ограниченности ресурсов постоянно отыскивает наиболее рациональную их комбинацию, используя взаимозаменяемость. В рыночной экономике каждый из экономических ресурсов представляет собой большой ресурсный рынок.
5. На базе экономических ресурсов осуществляется производство экономических благ. При ограниченности (редкости) ресурсов приходится выбирать, какие блага производить и какие дяя этого есть производственные возможности. При этом используется понятие альтернативной (вмененной) стоимости (издержек), которое означает то, от чего приходится отказываться для производства желаемого блага.
6. Увеличение альтернативных издержек по мере выпуска каждой дополнительной единицы продукции является сутью закона возрастающих альтернативных издержек, С ним тесно связан закон убывающей отдачи, который означает, что прирост выпуска продукции становится все меньшим по мере добавления новых единиц экономического ресурса в сочетании с неизменным количеством прочих экономических ресурсов.
7. Экономическая теория и практика широко используют понятие предельных (маржинальных) величин, под которыми понимают прирост одной величины, вызванный приростом другой величины на единицу (при условии, что все остальные величины остаются неизменными). Говорят о предельных затратах, предельном доходе, предельной полезности. Концепция предельных величин базируется прежде всего на двух идеях. Во-первых, на определенном этапе затраты на производство блага (издержки производства) начинают расти быстрее, чем само производство этого блага.
Во-вторых, чем обильнее благо, тем меньше оно ценится.
8. Экономическая эффективность это получение максимума возможных благ от имеющихся ресурсов. Для этого нужно постоянно соотносить выгоды (блага) и затраты (издержки), или, говоря по-другому, вести себя рационально. Рациональное поведение заключается в том, что производитель и потребитель благ стремятся к наивысшей эффективности и для этого максимизируют выгоды и минимизируют затраты.
Эффективность рассчитывают различными способами.
9. Разделение производства продукции междуразличными работниками, предприятиями и их подразделениями, отраслями, регионами страны, а также между странами называется разделением труда. Соответственно различают профессиональное, межфирменное и внутризаводское, межотраслевое, межрегиональное и международное разделение труда. Базирующаяся на разделении труда ориентация производителей на изготовление отдельных продуктов и их элементов называется специализацией.


Термины и понятия Экономические блага
Экономические потребности
Товары и услуги (товары)
Продукты первой необходимости
Закон Энгеля
Экономические ресурсы
Взаимозаменяемость (альтернативность) экономических ресурсов
Производственные возможности
Альтернативная (вмененная) стоимость (издержки)
Закон возрастающих альтернативных издержек
Закон убывающей отдачи
Экономическая эффективность
Эффективность по Парето (оптимум Парето)
Разделение труда
Специализация


Вопросы для самопроверки 1. Как формулируется закон (принцип) возвышения потребностей?
2. Перечислите известные вам экономические ресурсы.
3. Какие последствия вытекают из сочетания безграничности потребностей и ограниченности ресурсов?
4. Что дает предпринимателю такое свойство экономических ресурсов, как их взаимозаменяемость (альтернативность)?
5. Объясните, что демонстрирует кривая производственных возможностей?
6. Чем схожи и чем различаются закон возрастающих альтернативных издержек и закон убывающей отдачи?
7. Где в хозяйственной жизни, на ваш взгляд, можно использовать идеи маржинализма?
8. Какие показатели экономической эффективности вам известны и как они рассчитываются?
9. В чем разница между фирменной и народнохозяйственной эффективностью?
10. Докажите, что специализация связана с разделением труда.







































Зависимость изменения издержек фирмы



Предельный продукт Прирост продукции за счет увеличения на единицу количества переменного фактора называется предельным продуктом этого фактора. В рассматриваемом примере предельным продуктом труда МР L (англ. marginal product) будет прирост объема производства за счет привлечения одного дополнительного рабочего. На 10.2 показано изменение объема выпуска продукции с ростом численности рабочих L (англ. labour).
Как видно из графиков, прирост производства сначала идет быстро, затем постепенно замедляется, останавливается и, наконец, становится отрицательным.
Однако фирма в своей деятельности сталкивается в первую очередь не с количеством используемых ресурсов, а с их денежной оценкой: ее интересует не количество нанятых рабочих, а затраты на заработную плату. Как изменятся издержки фирмы (в данном случае на оплату труда) на каждую дополнительную единицу выпускаемой продукции?







Зависимость изменения издержек фирмы



10.2. Закон убывающей отдачи. Динамика выпуска продукции с увеличением численности рабочих (а) и динамики предельного продукта (б): Q объем выпуска; L численность рабочих; МРL предельный продукт труда

Предельные издержки
Зависимость изменения издержек фирмы

Прирост издержек, связанный с выпуском дополнительной единицы продукции, т.е. отношение прироста переменных издержек к вызванному ими приросту продукции, называется предельными издержками фирмы МС (англ. marginal costs):



где sVC - прирост переменных издержек; sQ вызванный ими прирост объема производства.
Если при росте объема продаж на 1ОО ед. товара издержки фирмы возрастут на 800 руб., то предельные издержки составят 800 : 100 = 8 руб. Это означает, что дополнительная единица товара обходится фирме в дополнительные 8 руб.
При росте объема производства и продаж издержки фирмы могут изменяться:
а) равномерно. В этом случае предельные издержки являются величиной постоянной и равны переменным издержкам на единицу товара ( 10.3,а);
б) с ускорением. В этом случае предельные издержки растут с увеличением объема производства. Эта ситуация объясняется либо действием закона убывающей отдачи, либо удорожанием сырья, материалов и других факторов, затраты на которые относятся к категории переменных ( 10.3,б);
в) с замедлением. Если расходы фирмы на закупаемые сырье, материалы и т.п. снижаются при росте объёма выпуска ,предельные издержки сокращаются ( 10.3,в).



Зависимость изменения издержек фирмы



10.3. Зависимость изменения издержек фирмы от объема производства

Рассмотрим более подробно влияние закона убывающей отдачи на предельные издержки фирмы. Предположим, что в качестве переменного выступает один фактор труд. Определим, каким образом изменение отдачи от используемых работников повлияет на издержки фирмы при увеличении объема выпуска продукции.
Предположим, что наем каждого рабочего обходится фирме в 1 тыс. руб. В нашем примере один рабочий вообще не в состоянии произвести продукцию, двое рабочих могут произвести 5 ед., трое рабочих 15 ед. и т.д. (табл. 10.2).
Фирма не будет нанимать восьмого и девятого рабочих, так как восьмой не сможет обеспечить прироста производства, а девятый будет просто мешать, и производство сократится. Поэтому фирма либо примет решение о расширении производственных площадей, которые позволят эффективно использовать дополнительных рабочих, либо ограничится наймом двухсеми рабочих при уже существующих мощностях. Однако ответить на вопрос, сколько конкретно рабочих будет нанято, нельзя, ибо нет информации о спросе на продукцию и доходах фирмы от ее реализации.





Таблица 10.2. Издержки и выпуск при одном виде переменных ресурсов



Численность рабочих, чел.
Выпуск продукции, ед.
Издержки, тыс. руб.


на выплату заработной платы
предельные
1
0
0

2
5
2
0,400
3
15
3
0,100
4
35
4
0,050
5
50
5
0,0667
6
60
6
0,100
7
65
7
0,200
8
65
8

9
55
9



Мы предположили, что переменным является только один вид ресурсов рабочая сила. Однако на практике фирма сталкивается с несколькими переменными ресурсами. Для расширения производства ей необходимо больше сырья, материалов, энергии и т.п. Часть же ее издержек останется постоянной: арендная плата, страховые взносы, стоимость используемого оборудования.
В краткосрочном периоде, когда можно разделить издержки на постоянные и переменные, закон убывающей отдачи будет действовать.
В табл. 10.3 приведены данные об издержках фирмы: постоянных, переменных, предельных и средних.
На основе расчетов, приведенных в табл. 10.3, можно построить график изменения средних (постоянных, переменных и валовых) издержек фирмы, а также предельных издержек в зависимости от изменения объема выпускаемой продукций ( 10.4). Взаимное расположение кривых на графике всегда подчинено определенным закономерностям.
Когда кривая предельных издержек проходит ниже кривой средних переменных издержек, последняя всегда имеет характер понижающейся кривой, так как эти издержки сокращаются.


Таблица 10.3.Динамика издержек фирмы в краткосрочном периоде





Зависимость изменения издержек фирмы




Зависимость изменения издержек фирмы







10.4. Семейство кривых издержек фирмы в краткосрочном периоде: С издержки; Q - объем выпуска; AFC средние постоянные издержки; AVC средние переменные издержки; АТС средние валовые издержки; МС предельные издержки

С момента пересечения кривой предельных издержек и кривой средних переменных издержек (точка А) средние переменные издержки начинают возрастать. Такая же закономерность существует для кривых предельных и средних валовых издержек: кривая предельных издержек пересекает кривую средних валовых издержек в точке с их минимальным значением (точка Б).
Средние переменные издержки будут минимальными в точке А при производстве 9 тыс. ед. продукции (в табл. 10.3 минимальные средние переменные издержки составляют 353,3 руб.). Минимальные средние валовые издержки составляют 436 руб. при производстве 14 тыс. ед. продукции (точка Б).
Построение графика при анализе издержек всегда следует начинать с вычерчивания кривой предельных издержек. Затем следует убедиться, что она пересекает кривые средних переменных и валовых издержек в точках их минимума. Эти точки могут не совпадать в точности с данными, приводимыми в таблице, так как она дает сведения лишь для целых единиц продукции, а кривые издержек могут отражать производство продукции в долях единицы.
Анализ издержек производства сказывается на выборе фирмой объема выпуска в краткосрочном временном интервале, когда часть издержек постоянна. Например, сколько батонов хлеба сможет выпускать пекарня при существующих производственных мощностях и имеющемся оборудовании? Сколько зерна может быть выращено на фиксированных посевных площадях при имеющемся количестве сельскохозяйственной техники?


  1. Эффект масштаба

Положительный и отрицательный эффект масштаба В долгосрочном временном интервале фирма может менять все используемые факторы производства. Иными словами, все издержки будут выступать в качестве переменных. Анализ изменения долгосрочных издержек важен для выбора стратегии фирмы в области масштабов своей деятельности. Например, стоит создавать для выпуска заданного объема товаров одно крупное предприятие или несколько мелких? Какой вариант позволит минимизировать издержки?
Если размеры фирмы удвоились (построили новое здание, закупили новое оборудование), в какой пропорции изменится объём выпуска продукции? Почему мы наблюдаем на практике, что в автомобильной, металлургической промышленности существуют крупные предприятия, в то время как производство одежды, сфера услуг сосредоточены, как правило, на мелких фирмах?
Допустим, наша хлебопекарня выпекает булочки. Проанализировав издержки, мы пришли к выводу, что минимальными они будут при производстве 1000 булочек ежедневно. Кривая средних валовых издержек АТС1, изображена на 10.5.
Если пекарня будет выпускать большее количество булочек, то ее средние валовые издержки возрастут.

С


Зависимость изменения издержек фирмы






10.5. Средние издержки фирмы в краткосрочном и долгосрочном периодах: АТС1, АТС2, АТС3 кривые средних валовых издержек в краткосрочном периоде: АС кривая средних издержек в долгосрочном периоде

Нивелировать действие закона убывающей отдачи, можно только расширив масштабы производства, открыв новый цех с новым оборудованием. На этом новом, более крупном предприятии (кривая средних валовых издержек АТС2) закон убывающей отдачи начнет действовать при большем объеме выпуска, и минимальные издержки на одну булочку будут достигнуты при выпечке 2000 шт. ежедневно.
Если мы и дальше будем расширять предприятие, то кривая средних валовых издержек АТС3 поднимется вверх и минимальные издержки при выпечке 3000 булочек будут выше, нежели при выпечке 2000 булочек. Дуга АС, описывающая кривые АТС1, АТС2, АТС3), будет представлять собой к р и в у ю д о л г о с р оч н ы х с р е д н их в а л о вы х и з д е р же к при разных масштабах производства. Минимальными издержки будут при выпечке 2000 булочек ежедневно.
Чем объясняется такое положение кривой средних долгосрочных издержек предприятия? Экономисты связывают его с так называемым положительным и отрицательным эффектом масштаба. Эффект масштаба будет положительным, если при увеличении размеров предприятия средние издержки уменьшаются, и отрицательным если они увеличиваются.





    Экономика: Знания - Циклы - Макроэкономика